CONTENIDO
• 5.6 La teoría del consumidor
• 5.3.4-Las preferencias del consumidor
• 5.3.5-La restricción presupuestaria
• 5.3.6-La función de utilidad
• 5.3.7-La utilidad marginal
• 5.3.8-La pendiente de la curva
“ NO PUEDO IR A PREGUNTARLE A LOS
CONSUMIDORES QUE ES LO QUE
DESEAN, PORQUE DURANTE EL TIEMPO
QUE ESTÉ DESARROLLÁNDOLO, ELLOS
VAN A DESEAR ALGO NUEVO”
STEVE JOB.
5.6- Teoría del consumidor
estudia el comportamiento de los diferentes agentes de
carácter económico del consumidor de bienes y
de servicios, relaciona las preferencias, las curvas de
indiferencia y las restricciones presupuestarias a las curvas
de demanda del consumidor.
Objetivo de la teoría del consumidor
Se considera que el consumidor es el acto a la hora de
elegir los bienes que tiene disponible y dentro de los que
puede adquirir, con los recurso que tiene en consumidor.
5.3.4 LAS PREFERENCIAS DEL CONSUMIDOR
• En economía un consumidor es una persona u organización que demanda bienes o servicios a
cambio de dinero proporcionados por el productor o el proveedor de bienes o servicios. Es
decir, es un agente económico con una serie de necesidades.
• También se define como aquél que consume o compra productos para el consumo. Es por
tanto el actor final de diversas transacciones productivas.
• Ahora bien. ¿Quién es y qué caracteriza a un consumidor? Un consumidor es una persona
o grupo de personas que demanda bienes o servicios, que tiene una serie de necesidades que
satisfacer y un cierto ingreso monetario para hacerlo. Y resulta difícil caracterizar a un
consumidor típico, puesto que a lo largo del tiempo, la configuración económica de cada lugar
es diferente, lo que condiciona la existencia de patrones de consumo distintos.
• Cada consumidor es distinto a la hora de satisfacer sus necesidades y
deseos, no todos comprar las mismas cosas o tienen las misma
preferencias, por eso vemos una amplia gama de productos que el
consumidor puede elegir.
5.3.4 LAS PREFERENCIA DEL
CONSUMIDOR
• Si volvemos sobre la definición de consumidor, podemos concluir que las preferencias de los
consumidores estarán dadas por aquellos productos que les permitan satisfacer de mejor
forma la necesidad emergente, dentro del marco presupuestario correspondiente.
• Sin embargo, ¿cómo sabe el consumidor cuál es el producto que satisface de mejor forma su
necesidad?, es decir ¿cuál producto tiene una mayor utilidad?
• Convengamos que el concepto de “utilidad” no se relaciona con “utilitarismo”, siendo éste parte
de aquel. A lo que nos referimos con utilidad es al grado de satisfacción del consumidor con un
producto que con otro, atendiendo a los distintos atributos del mismo.
• La teoría neoclásica del consumidor (que es la más utilizada hoy en día), señala que el
consumidor posee un determinado presupuesto que puede gastarlo en un amplio
abanico de opciones de bienes. De aquí desprendemos que el consumidor no adquirirá un
solo bien con su presupuesto, sino que tendrá entre una serie de opciones para elegir. En
términos económicos, y para facilitar el estudio, se utiliza normalmente dos tipos de bienes,
que explican de muy buena forma el comportamiento del consumidor.
CONSUMIDORES DEL SIGLO XXI
Consumidor múltiple:
consumidor con perfiles múltiples
y diferentes en entre si.
crossumer: Carece de confianza en la
comunicación de marcas, conoce el backstage
del marketing, participa de forma activa en el
storytelling de las marcas y conocedor de las
nuevas tecnologías
Prosumer: Usuarios que actúan como
canales de comunicación humanos y son
consumidores a la vez que productores de
contenidos
CONSUMIDORES DEL SIGLO XXI
Cibersumidor web 2.0 Consumidor informado y
activos agentes informativos dentro y fuera de
Internet.
Hiperconsumidor: Busca experiencias
emocionales, mayor bienestar, calidad de vida y de
salud, calidad de marcas, autenticidad, inmediatez y
comunicación
Nuevo consumista: vive al mes (no al día ni al
año), prefiere el valor restado al valor añadido
CONSUMIDOR DEL SIGLO XXI
Efímeros: Prefiere consumir productos
menos longevos
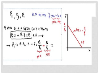
5.3.5 LA RESTRICCIÓN PRESUPUESTARIA
• En microeconomía, se entiende por recta de
balance o restricción presupuestaria, al conjunto de
distintas combinaciones de dos bienes que pueden ser
consumidas por un individuo, partiendo de una
determinada renta o presupuesto y unos determinados
precios de los bienes.
• Las rectas de balance se utilizan en microeconomía,
dentro de la teoría del consumidor, para obtener el
denominado equilibrio del consumidor, que resuelve el
problema sobre la cantidad que consumirá un individuo,
con una determinada renta ante la alternativa de dos
bienes para elegir.
• A. Renta Disponible
• B. Gusto
A) RENTA DISPONIBLE
• La renta disponible fija un límite a la capacidad de
gasto del consumidor, quien podrá consumir como
máximo el importe de su renta.
b) Gusto
El gusto hace referencia al nivel de
satisfacción que le proporcionan al
consumidor las distintas opciones
de consumo.
• Los datos de partida para la elaboración de la recta
presupuestaria es la existencia de un individuo, que
dispone de una determinada renta o presupuesto
monetario (M) por unidad de tiempo, que en principio se
considera que permanece fijo y que debe distribuir en el
consumo de dos productos, que denominaremos A y B;
de los que se conocen sus precios (PA y PB), que se
supone también que permanecen invariables. La recta
de balance tendrá la siguiente fórmula:
PAA + PBB = M
C 0 40 80$
B 20 30 80$
D 40 20 80$
E 60 10 80$
F 80 0 80$
Cesta de Alimentos (A) Vestido (V) Gasto total
mercado PA = ($1) PV = ($2) PAA + PVV = I
La Recta Presupuestaria
Tomado de Toeria del Consumo. Eldis Barnes.
Vestido
(unidades
semanales)
Recta presupuestaria A + 2V = 80$
/ PAPV-2
1
-/ ==dAdV=Pendiente
10
20
(I/PV) = 40
40 60 80 = (I/PA)20
10
20
30
0
C
B
D
E
F
PV = 2$ PA = 1$ I = $80
Alimentos
(unidades semanales)
La Recta Presupuestaria
Tomado de Toeria del Consumo. Eldis Barnes.
• En las preferencias del consumidor, uno de los bienes
es un bien en concreto, por ejemplo ropa, y el otro bien
es un bien compuesto que englobaba al conjunto del
resto de los bienes. Según este planteamiento, entonces
podemos decir que el bien X es la demanda de ropa del
consumidor mientras que el bien Y representa todo lo
demás que el consumidor desea adquirir, además de
ropa.
5.3.6LA FUNCIÓN DE
UTILIDAD
C ON C EPTO :
ES UNA PUNTUACIÓN NUMÉRICA QUE
R EPR ESEN TA LA SATISFAC C IÓN QU E
OBTIEN E U N C ON SU MID OR D E U N A C AN ASTA
D E BIEN ES D AD A.
Las características más resaltantes de esta
curva son las siguientes:
a) La utilidad se incrementa pero de manera
decreciente
a) b) Si aumenta el consumo de “X”, la
satisfacción total crece; sin embargo las
variaciones pequeñas en la utilidad cada vez
son menores.
5.3.7UTILIDAD MARGINAL
U T I L I D A D M A R G I N A L : R E P R E S E N TA L A S AT I S FA C C I Ó N
A D I C I O N A L O B T E N I D A P O R E L C O N S U M O D E U N A
U N I D A D A D I C I O N A L D E L B I E N .
U T I L I D A D T O TA L : L A Q U E E S TA B L E C E E L G R A D O D E
S AT I S FA C C I Ó N E N R E F E R E N C I A A C A D A U N I D A D
C O N S U M I D A , E S D E C I R , A C A D A U N I D A D M A R G I N A L .
L A U T I L I D A D P R O M E D I O :
TA M B I É N L L A M A D A U T I L I D A D M E D I A O
U N I TA R I A , E S L A M E D I A A R I T M É T I C A D E L A
U T I L I D A D T O TA L , P O R L O Q U E S U VA L O R
E S L A C I F R A R E S U LTA N T E D E L C O C I E N T E
E N T R E L A U T I L I D A D T O TA L D E U N B I E N Y
L A S U N I D A D E S Q U E D E E S E B I E N S E
D I S P O N E N
U T I L I D A D T O TA L
L A U T I L I D A D T O TA L D E U N B I E N E S L A Q U E
O B T I E N E E L C O N S U M I D O R P O R E L D I S F R U T E
D E L A T O TA L I D A D D E L A S U N I D A D E S D E E S E
B I E N .
U T I L I D A D M A R G I N A L ( U M X ) :
R E P R E S E N TA E L I N C R E M E N T O E N L A U T I L I D A D D E U N
A R T Í C U L O “ X ” E N L A M E D I D A Q U E E L C O N S U M I D O R U T I L I Z A
U N A U N I D A D M Á S D E U N M I S M O S AT I S FA C T O R . L A F Ó R M U L A
PA R A C A L C U L A R L A E S :
U M X = D Q X / D Q X
D O N D E :
U M X = U T I L I D A D D E C I E R T O A R T Í C U L O .
D U T X = I N C R E M E N T O O A D I C I Ó N D E L A U T I L I D A D T O TA L D E
C I E R T O S A R T Í C U L O S .
D Q X = I N C R E M E N T O O A D I C I Ó N D E L A C A N T I D A D D E
C I E R T O A R T Í C U L O .
S E D I V I D E N L O S I N C R E M E N T O S O A D I C I O N E S Q U E
R E G I S T R A L A Q X R E S P E C T I VA M E N T E .
5.3.8 LA PENDIENTE DE LA CURVA
• La pendiente indica la relación a la que pueden
sustituirse los dos bienes uno por otro sin alterar
la cantidad total de dinero gastada.
• Antes de conocer la pendiente de la curva es
imprescindible conocer que Una curva de indiferencia
representa a todas aquellas decisiones de consumo
que proporcionan al consumidor el mismo nivel de
satisfacción.
• Por ejemplo, si una persona obtiene el mismo nivel de
satisfacción tomado 2 hamburguesas y 1 refresco que 1
hamburguesa y 2 refrescos ambas cestas de bienes se
situarán en la misma curva de indiferencia.
PROPIEDADES DE ESTAS CURVAS:
• a) Tienen pendiente negativa: si disminuye la cantidad
de un bien, para mantenerse en el mismo nivel de
satisfacción tendrá que compensarlo con mayor
cantidad del otro bien.
• b) Las curvas de indiferencia no se cortan: si se
cortasen habría un punto (punto de corte) en el que
ambas curvas tendrían el mismo nivel de satisfacción),
pero como dentro de cada curva todos sus puntos tienen
el mismo nivel de satisfacción, esto implicaría que todos
los puntos de las dos curvas tendrían el mismo nivel de
satisfacción.
• Esto no tendría sentido ya que a un lado del punto de
cruce una de las curvas estaría más alejada del origen
(por lo que debería tener un nivel de satisfacción mayor)
mientras que al otro lado del punto de cruce se situaría
más cerca del origen (nivel de satisfacción menor).
• La pendiente de la curva equivale a la relación a la
que el consumidor estaría dispuesto a cambiar un
bien por otro (relación marginal de sustitución) para
mantenerse en la misma curva de indiferencia.
• Si la pendiente es 1 quiere decir que el consumidor
podría cambiar 1 unidad del bien A por 1 unidad del bien
B obteniendo el mismo nivel de satisfacción.
• Si la pendiente es 2 quiere decir que cambiaría 2
unidades del bien A por 1 del bien B y seguiría
obteniendo el mismo nivel de satisfacción.
• Dentro de cada curva la pendiente va cambiando a lo
largo de la misma. Esto se debe a que no es igual el
valor que para un consumidor tiene un determinado bien
cuando tiene mucha cantidad de él que cuando tiene
poca.
A medida que el consumo se desplaza a lo largo de la
recta presupuestaria desde la intersección, el
consumidor gasta cada vez menos en un producto y
más en otro.
– La pendiente de la recta mide
el coste relativo de los
alimentos y el vestido.
La pendiente es la relación de
precios de los dos bienes con
signo negativo.

la teoría del consumidor

  • 2.
    CONTENIDO • 5.6 Lateoría del consumidor • 5.3.4-Las preferencias del consumidor • 5.3.5-La restricción presupuestaria • 5.3.6-La función de utilidad • 5.3.7-La utilidad marginal • 5.3.8-La pendiente de la curva
  • 3.
    “ NO PUEDOIR A PREGUNTARLE A LOS CONSUMIDORES QUE ES LO QUE DESEAN, PORQUE DURANTE EL TIEMPO QUE ESTÉ DESARROLLÁNDOLO, ELLOS VAN A DESEAR ALGO NUEVO” STEVE JOB.
  • 4.
    5.6- Teoría delconsumidor estudia el comportamiento de los diferentes agentes de carácter económico del consumidor de bienes y de servicios, relaciona las preferencias, las curvas de indiferencia y las restricciones presupuestarias a las curvas de demanda del consumidor.
  • 5.
    Objetivo de lateoría del consumidor Se considera que el consumidor es el acto a la hora de elegir los bienes que tiene disponible y dentro de los que puede adquirir, con los recurso que tiene en consumidor.
  • 6.
    5.3.4 LAS PREFERENCIASDEL CONSUMIDOR • En economía un consumidor es una persona u organización que demanda bienes o servicios a cambio de dinero proporcionados por el productor o el proveedor de bienes o servicios. Es decir, es un agente económico con una serie de necesidades. • También se define como aquél que consume o compra productos para el consumo. Es por tanto el actor final de diversas transacciones productivas. • Ahora bien. ¿Quién es y qué caracteriza a un consumidor? Un consumidor es una persona o grupo de personas que demanda bienes o servicios, que tiene una serie de necesidades que satisfacer y un cierto ingreso monetario para hacerlo. Y resulta difícil caracterizar a un consumidor típico, puesto que a lo largo del tiempo, la configuración económica de cada lugar es diferente, lo que condiciona la existencia de patrones de consumo distintos. • Cada consumidor es distinto a la hora de satisfacer sus necesidades y deseos, no todos comprar las mismas cosas o tienen las misma preferencias, por eso vemos una amplia gama de productos que el consumidor puede elegir.
  • 7.
    5.3.4 LAS PREFERENCIADEL CONSUMIDOR • Si volvemos sobre la definición de consumidor, podemos concluir que las preferencias de los consumidores estarán dadas por aquellos productos que les permitan satisfacer de mejor forma la necesidad emergente, dentro del marco presupuestario correspondiente. • Sin embargo, ¿cómo sabe el consumidor cuál es el producto que satisface de mejor forma su necesidad?, es decir ¿cuál producto tiene una mayor utilidad? • Convengamos que el concepto de “utilidad” no se relaciona con “utilitarismo”, siendo éste parte de aquel. A lo que nos referimos con utilidad es al grado de satisfacción del consumidor con un producto que con otro, atendiendo a los distintos atributos del mismo. • La teoría neoclásica del consumidor (que es la más utilizada hoy en día), señala que el consumidor posee un determinado presupuesto que puede gastarlo en un amplio abanico de opciones de bienes. De aquí desprendemos que el consumidor no adquirirá un solo bien con su presupuesto, sino que tendrá entre una serie de opciones para elegir. En términos económicos, y para facilitar el estudio, se utiliza normalmente dos tipos de bienes, que explican de muy buena forma el comportamiento del consumidor.
  • 8.
    CONSUMIDORES DEL SIGLOXXI Consumidor múltiple: consumidor con perfiles múltiples y diferentes en entre si. crossumer: Carece de confianza en la comunicación de marcas, conoce el backstage del marketing, participa de forma activa en el storytelling de las marcas y conocedor de las nuevas tecnologías Prosumer: Usuarios que actúan como canales de comunicación humanos y son consumidores a la vez que productores de contenidos
  • 9.
    CONSUMIDORES DEL SIGLOXXI Cibersumidor web 2.0 Consumidor informado y activos agentes informativos dentro y fuera de Internet. Hiperconsumidor: Busca experiencias emocionales, mayor bienestar, calidad de vida y de salud, calidad de marcas, autenticidad, inmediatez y comunicación Nuevo consumista: vive al mes (no al día ni al año), prefiere el valor restado al valor añadido
  • 10.
    CONSUMIDOR DEL SIGLOXXI Efímeros: Prefiere consumir productos menos longevos
  • 11.
    5.3.5 LA RESTRICCIÓNPRESUPUESTARIA • En microeconomía, se entiende por recta de balance o restricción presupuestaria, al conjunto de distintas combinaciones de dos bienes que pueden ser consumidas por un individuo, partiendo de una determinada renta o presupuesto y unos determinados precios de los bienes.
  • 12.
    • Las rectasde balance se utilizan en microeconomía, dentro de la teoría del consumidor, para obtener el denominado equilibrio del consumidor, que resuelve el problema sobre la cantidad que consumirá un individuo, con una determinada renta ante la alternativa de dos bienes para elegir. • A. Renta Disponible • B. Gusto
  • 13.
    A) RENTA DISPONIBLE •La renta disponible fija un límite a la capacidad de gasto del consumidor, quien podrá consumir como máximo el importe de su renta. b) Gusto El gusto hace referencia al nivel de satisfacción que le proporcionan al consumidor las distintas opciones de consumo.
  • 14.
    • Los datosde partida para la elaboración de la recta presupuestaria es la existencia de un individuo, que dispone de una determinada renta o presupuesto monetario (M) por unidad de tiempo, que en principio se considera que permanece fijo y que debe distribuir en el consumo de dos productos, que denominaremos A y B; de los que se conocen sus precios (PA y PB), que se supone también que permanecen invariables. La recta de balance tendrá la siguiente fórmula: PAA + PBB = M
  • 15.
    C 0 4080$ B 20 30 80$ D 40 20 80$ E 60 10 80$ F 80 0 80$ Cesta de Alimentos (A) Vestido (V) Gasto total mercado PA = ($1) PV = ($2) PAA + PVV = I La Recta Presupuestaria Tomado de Toeria del Consumo. Eldis Barnes.
  • 16.
    Vestido (unidades semanales) Recta presupuestaria A+ 2V = 80$ / PAPV-2 1 -/ ==dAdV=Pendiente 10 20 (I/PV) = 40 40 60 80 = (I/PA)20 10 20 30 0 C B D E F PV = 2$ PA = 1$ I = $80 Alimentos (unidades semanales) La Recta Presupuestaria Tomado de Toeria del Consumo. Eldis Barnes.
  • 18.
    • En laspreferencias del consumidor, uno de los bienes es un bien en concreto, por ejemplo ropa, y el otro bien es un bien compuesto que englobaba al conjunto del resto de los bienes. Según este planteamiento, entonces podemos decir que el bien X es la demanda de ropa del consumidor mientras que el bien Y representa todo lo demás que el consumidor desea adquirir, además de ropa.
  • 20.
    5.3.6LA FUNCIÓN DE UTILIDAD CON C EPTO : ES UNA PUNTUACIÓN NUMÉRICA QUE R EPR ESEN TA LA SATISFAC C IÓN QU E OBTIEN E U N C ON SU MID OR D E U N A C AN ASTA D E BIEN ES D AD A.
  • 21.
    Las características másresaltantes de esta curva son las siguientes: a) La utilidad se incrementa pero de manera decreciente a) b) Si aumenta el consumo de “X”, la satisfacción total crece; sin embargo las variaciones pequeñas en la utilidad cada vez son menores.
  • 22.
    5.3.7UTILIDAD MARGINAL U TI L I D A D M A R G I N A L : R E P R E S E N TA L A S AT I S FA C C I Ó N A D I C I O N A L O B T E N I D A P O R E L C O N S U M O D E U N A U N I D A D A D I C I O N A L D E L B I E N . U T I L I D A D T O TA L : L A Q U E E S TA B L E C E E L G R A D O D E S AT I S FA C C I Ó N E N R E F E R E N C I A A C A D A U N I D A D C O N S U M I D A , E S D E C I R , A C A D A U N I D A D M A R G I N A L .
  • 23.
    L A UT I L I D A D P R O M E D I O : TA M B I É N L L A M A D A U T I L I D A D M E D I A O U N I TA R I A , E S L A M E D I A A R I T M É T I C A D E L A U T I L I D A D T O TA L , P O R L O Q U E S U VA L O R E S L A C I F R A R E S U LTA N T E D E L C O C I E N T E E N T R E L A U T I L I D A D T O TA L D E U N B I E N Y L A S U N I D A D E S Q U E D E E S E B I E N S E D I S P O N E N
  • 24.
    U T IL I D A D T O TA L L A U T I L I D A D T O TA L D E U N B I E N E S L A Q U E O B T I E N E E L C O N S U M I D O R P O R E L D I S F R U T E D E L A T O TA L I D A D D E L A S U N I D A D E S D E E S E B I E N .
  • 25.
    U T IL I D A D M A R G I N A L ( U M X ) : R E P R E S E N TA E L I N C R E M E N T O E N L A U T I L I D A D D E U N A R T Í C U L O “ X ” E N L A M E D I D A Q U E E L C O N S U M I D O R U T I L I Z A U N A U N I D A D M Á S D E U N M I S M O S AT I S FA C T O R . L A F Ó R M U L A PA R A C A L C U L A R L A E S : U M X = D Q X / D Q X D O N D E : U M X = U T I L I D A D D E C I E R T O A R T Í C U L O . D U T X = I N C R E M E N T O O A D I C I Ó N D E L A U T I L I D A D T O TA L D E C I E R T O S A R T Í C U L O S . D Q X = I N C R E M E N T O O A D I C I Ó N D E L A C A N T I D A D D E C I E R T O A R T Í C U L O . S E D I V I D E N L O S I N C R E M E N T O S O A D I C I O N E S Q U E R E G I S T R A L A Q X R E S P E C T I VA M E N T E .
  • 26.
    5.3.8 LA PENDIENTEDE LA CURVA • La pendiente indica la relación a la que pueden sustituirse los dos bienes uno por otro sin alterar la cantidad total de dinero gastada.
  • 27.
    • Antes deconocer la pendiente de la curva es imprescindible conocer que Una curva de indiferencia representa a todas aquellas decisiones de consumo que proporcionan al consumidor el mismo nivel de satisfacción. • Por ejemplo, si una persona obtiene el mismo nivel de satisfacción tomado 2 hamburguesas y 1 refresco que 1 hamburguesa y 2 refrescos ambas cestas de bienes se situarán en la misma curva de indiferencia.
  • 28.
    PROPIEDADES DE ESTASCURVAS: • a) Tienen pendiente negativa: si disminuye la cantidad de un bien, para mantenerse en el mismo nivel de satisfacción tendrá que compensarlo con mayor cantidad del otro bien. • b) Las curvas de indiferencia no se cortan: si se cortasen habría un punto (punto de corte) en el que ambas curvas tendrían el mismo nivel de satisfacción), pero como dentro de cada curva todos sus puntos tienen el mismo nivel de satisfacción, esto implicaría que todos los puntos de las dos curvas tendrían el mismo nivel de satisfacción.
  • 29.
    • Esto notendría sentido ya que a un lado del punto de cruce una de las curvas estaría más alejada del origen (por lo que debería tener un nivel de satisfacción mayor) mientras que al otro lado del punto de cruce se situaría más cerca del origen (nivel de satisfacción menor). • La pendiente de la curva equivale a la relación a la que el consumidor estaría dispuesto a cambiar un bien por otro (relación marginal de sustitución) para mantenerse en la misma curva de indiferencia.
  • 30.
    • Si lapendiente es 1 quiere decir que el consumidor podría cambiar 1 unidad del bien A por 1 unidad del bien B obteniendo el mismo nivel de satisfacción. • Si la pendiente es 2 quiere decir que cambiaría 2 unidades del bien A por 1 del bien B y seguiría obteniendo el mismo nivel de satisfacción. • Dentro de cada curva la pendiente va cambiando a lo largo de la misma. Esto se debe a que no es igual el valor que para un consumidor tiene un determinado bien cuando tiene mucha cantidad de él que cuando tiene poca.
  • 31.
    A medida queel consumo se desplaza a lo largo de la recta presupuestaria desde la intersección, el consumidor gasta cada vez menos en un producto y más en otro. – La pendiente de la recta mide el coste relativo de los alimentos y el vestido. La pendiente es la relación de precios de los dos bienes con signo negativo.

Notas del editor