MUNICIPIO GARCIA,
PARROQUIA FAJARDO
Bachiller:
Elena Coromoto lopez Ojeda
C.I. 27.424.696
Profesor:
Gómez Niño
Porlamar, Nueva Esparta.
Instituto Universitario Politécnico
Santiago Mariño
Extensión Porlamar
Escuela de Arquitectura, código de la
carrera: “41.”
Estado: Nueva Esparta.
Centro cultural, es un lugar en una comunidad que esta destinado a mantener
actividades que promueven la cultura entre sus habitantes.
Algunos centros culturales tienen bibliotecas, talleres, cursos y otras
actividades generalmente gratuitas o a precios accesibles para la comunidad.
Este tipo de locales tienen una gran importancia para la preservación de la
cultura local, sobre todo en comunidades rurales que carecen de teatros, cines
o salas de conciertos. Aunque también en las grandes ciudades los centros
culturales tienen importancia para mantener actividades culturales orientadas
a grupos de todas las edades y estratos sociales.
Un centro cultural o institución similar puede estar ubicado en un edificio
histórico de una ciudad, como en el caso de la Casa de la Cultura de Buenos
Aires, en Argentina, o puede ser grande con exposiciones artísticas a nivel
internacional como el Centro Cultural Universitario en Zapopan, México y el
Centro Cultural Palacio de La Moneda en Santiago de Chile.
Casa de la Cultura (Buenos Aires)
Es un edificio ubicado en la Avenida de Mayo 575,
en la Ciudad de Buenos Aires, edificado en 1898 en
estilo Escuela de Bellas Artes de París para el
funcionamiento del diario La Prensa, propiedad de
José Camilo Paz, que es desde 1985 Monumento
Histórico Nacional de la Argentina y que
actualmente pertenece al Gobierno de la Ciudad de
Buenos Aires.
La disminución del número de lectores en el
periódico ayudó a la venta del emblemático edificio
en 1988, que actualmente alberga al Ministerio de
Cultura del Gobierno de la Ciudad de Buenos Aires.
Además tiene sectores públicos en los cuales se
desarrollan eventos culturales como exposiciones
(fundamentalmente en sus subsuelos, donde se
hallaban las salas de máquinas), conferencias,
congresos, conciertos, espectáculos infantiles y de
danza, clases de tango y visitas guiadas.
Centro Cultural La Moneda (Santiago de Chile)
Es un centro cultural localizado en la ciudad de
Santiago en Chile, bajo la Plaza de la Ciudadanía,
frente a la fachada sur del Palacio de La Moneda.
El CCLM ofrece al público chileno y extranjero un
lugar de encuentro de diversas miradas,
aportándole a sus visitantes acceso a la reflexión,
la creación, las artes, la cultura y el patrimonio
visual y audiovisual, no sólo de Chile, sino que del
mundo. Es un espacio familiar, en permanente
evolución, en el que se viven experiencias
culturales de alto nivel.
Su propósito se plasma mediante un calendario de
exposiciones de alto nivel, y también a través de
sus programas educativos y de formación de
carácter participativo -realizados tanto en sus
instalaciones como en regiones- así como por
medio de la programación de la Cineteca
Nacional, actividades de extensión y otros
servicios.
Centro de la Diversidad Cultural
Se encuentra ubicada en la Calle Unión, Nº 10-41, en
el centro histórico de la ciudad capital de La Asunción,
municipio Arismendi. Fue construida a principio del
siglo XX, y habitada por el doctor Rosario Silva y Doña
RosaAna de Silva.
Se inaugura como sede del Centro de la Diversidad
Cultural en el estado Nueva Esparta el 5 de agosto de
2007.
Los espacios se complementan a partir de una sala
donde se muestran fotografías de diversiones y
comparsas, así como piezas etnográficas de esta
región insular como el tejido de chinchorros y cestas
margariteñas, disponiendo de dos salones: Salón
Cubagua que es un área expositiva permanente con
colecciones etnográficas y el Salón Matasiete de usos
múltiples para talleres, conferencias, charlas e
interacción multimedia.
El recinto también acoge corredores que conectan
con un patio interior abierto que sirve perfectamente
para el desarrollo de actividades al aire libre.
POBLACION PROYECTADA AL AÑO 2050: 115.360
AÑO POBLACION
1990 26.905
2001 31.577
2011 48.778
SE REALIZO LA SIGUIENTE INVESTIGACION DE
POBLACIONES PASADAS, Y PROYECTO EL NUMERO DE
HABITANTES PARA EL AÑO 2050
TAMBIEN SE REALIZARON INVESTIGACIONES DE LOS
AMBITOS URBANOS EXISTENTES Y SE PROYECTO A
FUTURO
AMBITO URBANO PRIMARIO RESULTADO DE DIAGNOSTICO DEFICIT
EQUIPAMIENTO
GENERICO
USO ESPECIFICO POBLACION
PREFERENCIAL
INDICE M2/HAB AREA
REQUERIDA
(M2)
N° DE ESPACIOS
REQUERIDOS
N° DE ESPACIOS AREA (M2) N° DE
ESPACIOS
AREA (M2)
RECREACION
PARQUE VECINAL 4.000 1,70 196.112 29 3 5.884 26 190.228
VERDE TERRITORIAL ----- 2,00 230.720 -----
CAMPO DE JUEGO 1-5
AÑOS
500 0,80 92.280 231 0 ---- 231 92.280
CAMPO DE JUEGO 6-
10 AÑOS
1.000 0,65 74.984 116 0 ---- 116 74.984
CAMPO DE JUEGO 11-
15 AÑOS
2.000 0,40 46.144 58 0 ---- 58 46.144
DEPORTE DE
ENTRENAMIENTO
3.500 2,60 299.936 33 1 12.348 32 287.588
EDUCACION
PRE-ESCOLAR 1.100 0,65 74.984 105 5 9.110 100 65.874
BASICA 1.500 2,00 230.720 77 5 9.110 72 221.610
ASISTENCIAL
CASA-CUNNA 2.000 0,10 11.536 58 0 ---- 58 11.536
GUARDERIA 2.000 0,15 17.304 58 1 467 57 16.837
SOCIO-CULTURAL
ASOCIACION DE
VECINOS
10.000 0,20 23.072 12 0 ---- 12 23.072
CENTRO PARROQUIAL 10.000 0,25 28.840 12 2 1.713 10 27.127
SUB – TOTALES: 11,5 1.326.520 789 17 38632 772 1.057.280
POBLACION PROYECTADA AL AÑO 2050: 115.360
ECONOMICO
INDUSTRIA 0 4,00 461.000 29 7 155,313 22 305.687
COMERCIO 0 2,50 288.400 46 25 64.638 21 223.762
MINI-EXPENDIDOS
DE GASOLINA
8.000 0,10 11.536 14 4 8.023 10 3.513
AMBITO URBANO PRIMARIO RESULTADO DE DIAGNOSTICO DEFICIT
EQUIPAMIENTO
GENERICO
USO ESPECIFICO POBLACION
PREFERENCIAL
INDICE M2/HAB AREA
REQUERIDA
(M2)
N° DE ESPACIOS
REQUERIDOS
N° DE ESPACIOS AREA (M2) N° DE
ESPACIOS
AREA (M2)
POBLACION PROYECTADA AL AÑO 2050: 115.360
SUB – TOTALES: 6.6 760.936 89 36 227.974 53 532.962
AMBITO URBANO INTERMEDIO RESULTADO DEL DIAGNOSTICO DEFICIT
EQUIPAMIENTO
GENERICO
USO ESPECIFICO POBLACION
PREFERENCIAL
INDICE
M2/HAB
AREA REQUERIDA
(M2)
N° DE ESPACIOS
REQUERIDOS
N° DE ESPACIOS AREA (M2) N° DE ESPACIOS AREA (M2)
RECREACION
PARQUE COMUNAL 20.000 1,00 115.360 6 0 ---- 6 115.360
DEPORTES DE
COMPETENCIAS
25.000 0,50 57.680 5 1 12.348 4 45.332
EDUCACION
EDUCACION MEDIA 20.000 0,20 23.072 6 4 14.071 2 9.001
EDUCACION ESPECIAL 150.000 0,02 2.307 1 0 ---- 1 2.307
OTRA EDUCACION 100.000 0,10 11.536 1 0 ---- 1 11.536
ASISTENCIAL
ANCIANATO 50.000 0,80 92.288 2 0 ---- 2 92.288
ORFELINATO 200.000 0,03 3.461 1 0 ---- 1 3.461
COMEDOR POPULAR 50.000 0,02 2.307 2 0 ---- 2 2.307
MERCADO POPULAR 50.000 0,10 11.536 2 0 ---- 2 11.536
AMBULATORIO 25.000 0,20 23.072 5 4 10.827 1 12.245
HOSPITAL LOCAL 50.000 0,34 39.222 2 0 ---- 2 39.222
SOCIO-CULTURAL
TEATRO 150.000 0,02 2.307 1 0 ---- 1 2.307
SALA DE EXPOCISION 100.000 0,02 2.307 1 0 ---- 1 2.307
BIBLIOTECA COMUNAL 50.000 0,02 2.307 2 0 ---- 2 2.307
SUB – TOTALES: 3,37 388.762 37 9 37.246 28 351.516
POBLACION PROYECTADA AL AÑO 2050: 115.360
AMBITO URBANO INTERMEDIO RESULTADO DEL
DIAGNOSTICO
DEFICIT
EQUIPAMIENTO
GENERICO
USO ESPECIFICO POBLACION
PREFERENCIAL
INDICE M2/HAB AREA REQUERIDA
(M2)
N° DE ESPACIOS
REQUERIDOS
N° DE
ESPACIOS
AREA (M2) N° DE
ESPACIOS
AREA
(M2)
SOCIO CULTURAL ASOCIACION JUVENIL 50.000 0,03 3.461 2 0 ---- 2 3.461
PLAZA 50.000 0,15 17.304 2 0 ---- 2 17.304
PROMOCION SOCIO-
CULTURAL
150.000 0,10 11.536 1 1 1.345 0 10.191
ADMINISTRACION
PUBLICA
ADM. DE SERVICIOS 150.000 0,05 5.768 6 5 6.608 1 0
ADM. DE VIGILANCIA Y
SEGURIDAD
150.000 0,06 6.922 1 1 425 0 6.497
OFICINAS
SECTORIZADAS
150.000 0,04 4.615 1 1 1.188 0 3.427
LOGISTICA
ADMINISTRATIVA
150.000 0,12 13.843 1 2 54.928 0 0
SEDES DE
INFRAESTRUCTURA
DEPOSITO DE AGUA 150.000 0,03 3.461 1 1 517 0 2.944
SUB-ESTACION
ELECTRICA
100.000 0,07 8.075 1 1 4.839 0 3.236
ESTACION DE RADIO 100.000 0,10 11.536 1 0 ---- 1 11.536
CENTRAL TELEFONICA 250.000 0,01 1.154 1 0 ---- 1 1.154
DEPOSITO DE
MATERIALES
250.000 0,04 4.614 1 2 35.414 1 0
GARAJES 250.000 0,05 5.768 1 0 ---- 0 ----
Propuesta de Centro Cultural en el Municipio
Garcia, Estado Nueva Esparta.
municipio garcia
municipio garcia
municipio garcia

municipio garcia

  • 1.
    MUNICIPIO GARCIA, PARROQUIA FAJARDO Bachiller: ElenaCoromoto lopez Ojeda C.I. 27.424.696 Profesor: Gómez Niño Porlamar, Nueva Esparta. Instituto Universitario Politécnico Santiago Mariño Extensión Porlamar Escuela de Arquitectura, código de la carrera: “41.” Estado: Nueva Esparta.
  • 2.
    Centro cultural, esun lugar en una comunidad que esta destinado a mantener actividades que promueven la cultura entre sus habitantes. Algunos centros culturales tienen bibliotecas, talleres, cursos y otras actividades generalmente gratuitas o a precios accesibles para la comunidad. Este tipo de locales tienen una gran importancia para la preservación de la cultura local, sobre todo en comunidades rurales que carecen de teatros, cines o salas de conciertos. Aunque también en las grandes ciudades los centros culturales tienen importancia para mantener actividades culturales orientadas a grupos de todas las edades y estratos sociales. Un centro cultural o institución similar puede estar ubicado en un edificio histórico de una ciudad, como en el caso de la Casa de la Cultura de Buenos Aires, en Argentina, o puede ser grande con exposiciones artísticas a nivel internacional como el Centro Cultural Universitario en Zapopan, México y el Centro Cultural Palacio de La Moneda en Santiago de Chile.
  • 3.
    Casa de laCultura (Buenos Aires) Es un edificio ubicado en la Avenida de Mayo 575, en la Ciudad de Buenos Aires, edificado en 1898 en estilo Escuela de Bellas Artes de París para el funcionamiento del diario La Prensa, propiedad de José Camilo Paz, que es desde 1985 Monumento Histórico Nacional de la Argentina y que actualmente pertenece al Gobierno de la Ciudad de Buenos Aires. La disminución del número de lectores en el periódico ayudó a la venta del emblemático edificio en 1988, que actualmente alberga al Ministerio de Cultura del Gobierno de la Ciudad de Buenos Aires. Además tiene sectores públicos en los cuales se desarrollan eventos culturales como exposiciones (fundamentalmente en sus subsuelos, donde se hallaban las salas de máquinas), conferencias, congresos, conciertos, espectáculos infantiles y de danza, clases de tango y visitas guiadas.
  • 4.
    Centro Cultural LaMoneda (Santiago de Chile) Es un centro cultural localizado en la ciudad de Santiago en Chile, bajo la Plaza de la Ciudadanía, frente a la fachada sur del Palacio de La Moneda. El CCLM ofrece al público chileno y extranjero un lugar de encuentro de diversas miradas, aportándole a sus visitantes acceso a la reflexión, la creación, las artes, la cultura y el patrimonio visual y audiovisual, no sólo de Chile, sino que del mundo. Es un espacio familiar, en permanente evolución, en el que se viven experiencias culturales de alto nivel. Su propósito se plasma mediante un calendario de exposiciones de alto nivel, y también a través de sus programas educativos y de formación de carácter participativo -realizados tanto en sus instalaciones como en regiones- así como por medio de la programación de la Cineteca Nacional, actividades de extensión y otros servicios.
  • 5.
    Centro de laDiversidad Cultural Se encuentra ubicada en la Calle Unión, Nº 10-41, en el centro histórico de la ciudad capital de La Asunción, municipio Arismendi. Fue construida a principio del siglo XX, y habitada por el doctor Rosario Silva y Doña RosaAna de Silva. Se inaugura como sede del Centro de la Diversidad Cultural en el estado Nueva Esparta el 5 de agosto de 2007. Los espacios se complementan a partir de una sala donde se muestran fotografías de diversiones y comparsas, así como piezas etnográficas de esta región insular como el tejido de chinchorros y cestas margariteñas, disponiendo de dos salones: Salón Cubagua que es un área expositiva permanente con colecciones etnográficas y el Salón Matasiete de usos múltiples para talleres, conferencias, charlas e interacción multimedia. El recinto también acoge corredores que conectan con un patio interior abierto que sirve perfectamente para el desarrollo de actividades al aire libre.
  • 6.
    POBLACION PROYECTADA ALAÑO 2050: 115.360 AÑO POBLACION 1990 26.905 2001 31.577 2011 48.778 SE REALIZO LA SIGUIENTE INVESTIGACION DE POBLACIONES PASADAS, Y PROYECTO EL NUMERO DE HABITANTES PARA EL AÑO 2050 TAMBIEN SE REALIZARON INVESTIGACIONES DE LOS AMBITOS URBANOS EXISTENTES Y SE PROYECTO A FUTURO
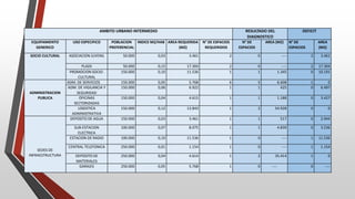
  • 7.
    AMBITO URBANO PRIMARIORESULTADO DE DIAGNOSTICO DEFICIT EQUIPAMIENTO GENERICO USO ESPECIFICO POBLACION PREFERENCIAL INDICE M2/HAB AREA REQUERIDA (M2) N° DE ESPACIOS REQUERIDOS N° DE ESPACIOS AREA (M2) N° DE ESPACIOS AREA (M2) RECREACION PARQUE VECINAL 4.000 1,70 196.112 29 3 5.884 26 190.228 VERDE TERRITORIAL ----- 2,00 230.720 ----- CAMPO DE JUEGO 1-5 AÑOS 500 0,80 92.280 231 0 ---- 231 92.280 CAMPO DE JUEGO 6- 10 AÑOS 1.000 0,65 74.984 116 0 ---- 116 74.984 CAMPO DE JUEGO 11- 15 AÑOS 2.000 0,40 46.144 58 0 ---- 58 46.144 DEPORTE DE ENTRENAMIENTO 3.500 2,60 299.936 33 1 12.348 32 287.588 EDUCACION PRE-ESCOLAR 1.100 0,65 74.984 105 5 9.110 100 65.874 BASICA 1.500 2,00 230.720 77 5 9.110 72 221.610 ASISTENCIAL CASA-CUNNA 2.000 0,10 11.536 58 0 ---- 58 11.536 GUARDERIA 2.000 0,15 17.304 58 1 467 57 16.837 SOCIO-CULTURAL ASOCIACION DE VECINOS 10.000 0,20 23.072 12 0 ---- 12 23.072 CENTRO PARROQUIAL 10.000 0,25 28.840 12 2 1.713 10 27.127 SUB – TOTALES: 11,5 1.326.520 789 17 38632 772 1.057.280 POBLACION PROYECTADA AL AÑO 2050: 115.360
  • 8.
    ECONOMICO INDUSTRIA 0 4,00461.000 29 7 155,313 22 305.687 COMERCIO 0 2,50 288.400 46 25 64.638 21 223.762 MINI-EXPENDIDOS DE GASOLINA 8.000 0,10 11.536 14 4 8.023 10 3.513 AMBITO URBANO PRIMARIO RESULTADO DE DIAGNOSTICO DEFICIT EQUIPAMIENTO GENERICO USO ESPECIFICO POBLACION PREFERENCIAL INDICE M2/HAB AREA REQUERIDA (M2) N° DE ESPACIOS REQUERIDOS N° DE ESPACIOS AREA (M2) N° DE ESPACIOS AREA (M2) POBLACION PROYECTADA AL AÑO 2050: 115.360 SUB – TOTALES: 6.6 760.936 89 36 227.974 53 532.962
  • 9.
    AMBITO URBANO INTERMEDIORESULTADO DEL DIAGNOSTICO DEFICIT EQUIPAMIENTO GENERICO USO ESPECIFICO POBLACION PREFERENCIAL INDICE M2/HAB AREA REQUERIDA (M2) N° DE ESPACIOS REQUERIDOS N° DE ESPACIOS AREA (M2) N° DE ESPACIOS AREA (M2) RECREACION PARQUE COMUNAL 20.000 1,00 115.360 6 0 ---- 6 115.360 DEPORTES DE COMPETENCIAS 25.000 0,50 57.680 5 1 12.348 4 45.332 EDUCACION EDUCACION MEDIA 20.000 0,20 23.072 6 4 14.071 2 9.001 EDUCACION ESPECIAL 150.000 0,02 2.307 1 0 ---- 1 2.307 OTRA EDUCACION 100.000 0,10 11.536 1 0 ---- 1 11.536 ASISTENCIAL ANCIANATO 50.000 0,80 92.288 2 0 ---- 2 92.288 ORFELINATO 200.000 0,03 3.461 1 0 ---- 1 3.461 COMEDOR POPULAR 50.000 0,02 2.307 2 0 ---- 2 2.307 MERCADO POPULAR 50.000 0,10 11.536 2 0 ---- 2 11.536 AMBULATORIO 25.000 0,20 23.072 5 4 10.827 1 12.245 HOSPITAL LOCAL 50.000 0,34 39.222 2 0 ---- 2 39.222 SOCIO-CULTURAL TEATRO 150.000 0,02 2.307 1 0 ---- 1 2.307 SALA DE EXPOCISION 100.000 0,02 2.307 1 0 ---- 1 2.307 BIBLIOTECA COMUNAL 50.000 0,02 2.307 2 0 ---- 2 2.307 SUB – TOTALES: 3,37 388.762 37 9 37.246 28 351.516 POBLACION PROYECTADA AL AÑO 2050: 115.360
  • 10.
    AMBITO URBANO INTERMEDIORESULTADO DEL DIAGNOSTICO DEFICIT EQUIPAMIENTO GENERICO USO ESPECIFICO POBLACION PREFERENCIAL INDICE M2/HAB AREA REQUERIDA (M2) N° DE ESPACIOS REQUERIDOS N° DE ESPACIOS AREA (M2) N° DE ESPACIOS AREA (M2) SOCIO CULTURAL ASOCIACION JUVENIL 50.000 0,03 3.461 2 0 ---- 2 3.461 PLAZA 50.000 0,15 17.304 2 0 ---- 2 17.304 PROMOCION SOCIO- CULTURAL 150.000 0,10 11.536 1 1 1.345 0 10.191 ADMINISTRACION PUBLICA ADM. DE SERVICIOS 150.000 0,05 5.768 6 5 6.608 1 0 ADM. DE VIGILANCIA Y SEGURIDAD 150.000 0,06 6.922 1 1 425 0 6.497 OFICINAS SECTORIZADAS 150.000 0,04 4.615 1 1 1.188 0 3.427 LOGISTICA ADMINISTRATIVA 150.000 0,12 13.843 1 2 54.928 0 0 SEDES DE INFRAESTRUCTURA DEPOSITO DE AGUA 150.000 0,03 3.461 1 1 517 0 2.944 SUB-ESTACION ELECTRICA 100.000 0,07 8.075 1 1 4.839 0 3.236 ESTACION DE RADIO 100.000 0,10 11.536 1 0 ---- 1 11.536 CENTRAL TELEFONICA 250.000 0,01 1.154 1 0 ---- 1 1.154 DEPOSITO DE MATERIALES 250.000 0,04 4.614 1 2 35.414 1 0 GARAJES 250.000 0,05 5.768 1 0 ---- 0 ----
  • 11.
    Propuesta de CentroCultural en el Municipio Garcia, Estado Nueva Esparta.