Equipo:


                                         Periódico                                Michelle Alejandra Domínguez Perales

                                                                                          Arlette Alejandra Silva Palomo

                                                                                                Mauro Castillo Rodríguez




              Negocio del                                                  Valores
               Periódico                                                  noticiosos

                                                                Son los valores que debe tener una
    Ventas                  Publicidad                          noticia para ser publicada.


                                                       Oportunidad                               Controversia
                                                  La conveniencia de la                   Es el interés del público
                                                   noticia en cuanto a                    por la noticia y su opinión
                                                    espacio y tiempo.                     sobre ella, lo que los hace
                                                                                          dividirse por sus opiniones
Obtienen ganancias      Otra manera es por                                                contrarias.
con la venta de         medio de los espacios            Impacto                                  Prominencia
ejemplares a los        publicitarios    que    Es el hecho de a cuantos                  Es la cercanía o interés con
lectores y también      compran anunciantes,    lectores les afectara de                     los involucrados en la
con            sus      probablemente     sus   distintas maneras,                        noticias un político, músico,
suscripciones.          ganancias son mayor a   emocional, físicamente,                       líder de opinión, etc.
                        comparación de las      etc.
                        ventas.                         Proximidad                                Actualidad
                                                Es la cercanía de donde                   Si la noticia es un tema de
                                                ocurrió la notica, en la                  conversación actual que le
                                                localidad, en el estado, en               interese al público lector.
                                                la nación, etc.

                                                                              Extrañeza
                                                                     Es lo inesperado de la noticia,
                                                                   cuando es extraordinaria y no muy
                                                                           común que suceda.
Discurso                                                 Lectores del
                   Periodístico                                               Periódico

El discurso periodístico es el mensaje que se transmite en los
     medios de comunicación de masas con un propósito                           Lectores
                 predominante informativo.



              Géneros Periodísticos


   Género Informativo                 Género Interpretativo
Reportaje:incorpora                 El género interpretativo se
elementos que no recoge la          divide en:
noticia: valoraciones de
protagonistas o testigos,           Editoriales un texto sin
detalles de cifras y fechas.        firma en el que se expresa                   Leer
                                    la opinión del periódico
                                    sobre     los   principales
                                    acontecimientos de la
     GéneroHíbrido
                                    actualidad.
                                                                  Observar      Comprender   Responder
Reportajeinterpretativo:incl        Artículo de fondo:es un
uye información y opinión           Texto firmado en el que el
como la crónica, de la que          autor opina, interpreta y
se diferencia porque no             valora los hechos desde su
interesa la inmediatez de           punto de vista. Como:
                                                                                  Supone
los acontecimientos.
Crónica:exposición de una       La columna, comentarios
 serie de acontecimientos en     de actualidad, tribunas
 forma      narrativa     con    libres y cartas al lector.
 detallismo y descripción de                                       Actividad
                                 Artículos de crítica y                           Interés             Dialogo          Critica
 los mismos al tiempo que                                          Receptiva
 se        incluye        una    divulgación científica:son
                         M       artículos que se refieren a
 interpretación y valoración
 por parte del redactor.         temas especializados y no a
                                 información general.

                                                                                   Desarrollada atreves de


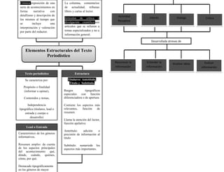
     Elementos Estructurales del Texto
               Periodístico
                                                                 Reconocer la    Entender la       Analizar ideas      Evaluar
                                                                 Información    información                         información

     Texto periodístico                  Estructura

     Se caracteriza por:            Titulares: Antetítulo,
                                     Título y Subtítulo.
    Propósito o finalidad
    (informar u opinar),         Rasgos           tipográficos
                                 especiales con función
    Contenidos y temas,          diferenciadora o de apertura

      Independencia              Contiene los aspectos más
tipográfica (titulares, lead o   relevantes,  función   de
    entrada y cuerpo o           resumen.
         desarrollo)
                                 Llama la atención del lector,
                                 función apelativa
      Lead o Entrada
                                 Antetítulo:    adición   o
Característico de los géneros    precisión de información al
informativos.                    título

Resumen amplio: da cuenta        Subtítulo: sumariode los
de los aspectos principales      aspectos más importantes.
del acontecimiento: qué,
dónde, cuándo, quiénes,
cómo, por qué.

Destacado tipográficamente
en los géneros de mayor
extensión (reportaje)
                                           Cuerpo
En otros géneros más breves     Desarrollo de los diferentes
se reduce al primer párrafo o
al cuerpo de la noticia.        contenidos.

                                        Genero de Opinión
                                        Genero Informativo




               Tipos de Estructuras
                  Periodísticas

       Anticlimática                        Libre

La información se desarrolla    Suelen ajustarse a una
 desde la más relevante a la    disposición          tripartita:
    de menor relevancia.        introducción (elementos para
          (Noticia)             captar la atención del lector
                                y síntesis o planteamiento de
                                la tesis o idea que se
                                defiende),          desarrollo
                                (explicativo                  o
                                argumentativo) y conclusión
                                (opinión del redactor y cierre
                                textual).     (Genero        de
                                Opinión)



   Estructura dialogada                     Relato
    El desarrollo aparece
                                  Disposición cronológica.
     repartido en turno.
                                     (Crónica, noticia)
   (Entrevista y reportaje)
Estilo Periodístico


                    Está determinado por:

                               Público
                              Propósito
                               Medio
                                Tema



Referencias

http://redaccion-periodistica.blogspot.mx/2011/05/los-valores-de-las-noticias.html

http://www.juntadeandalucia.es/averroes/iescasasviejas/cviejas1/lengua/discurspe.htm

Imágenes

http://www.clasesdeperiodismo.com/2011/04/23/publicidad-en-diarios-tiene-mas-influencia-todavia/

http://jcvalda.wordpress.com/2012/02/02/traza-tu-plan-de-ventas/

http://segundoesosansuena.blogspot.mx/2013/02/realizamos-un-periodico-escolar.html

Periodico impreso

  • 1.
    Equipo: Periódico Michelle Alejandra Domínguez Perales Arlette Alejandra Silva Palomo Mauro Castillo Rodríguez Negocio del Valores Periódico noticiosos Son los valores que debe tener una Ventas Publicidad noticia para ser publicada. Oportunidad Controversia La conveniencia de la Es el interés del público noticia en cuanto a por la noticia y su opinión espacio y tiempo. sobre ella, lo que los hace dividirse por sus opiniones Obtienen ganancias Otra manera es por contrarias. con la venta de medio de los espacios Impacto Prominencia ejemplares a los publicitarios que Es el hecho de a cuantos Es la cercanía o interés con lectores y también compran anunciantes, lectores les afectara de los involucrados en la con sus probablemente sus distintas maneras, noticias un político, músico, suscripciones. ganancias son mayor a emocional, físicamente, líder de opinión, etc. comparación de las etc. ventas. Proximidad Actualidad Es la cercanía de donde Si la noticia es un tema de ocurrió la notica, en la conversación actual que le localidad, en el estado, en interese al público lector. la nación, etc. Extrañeza Es lo inesperado de la noticia, cuando es extraordinaria y no muy común que suceda.
  • 2.
    Discurso Lectores del Periodístico Periódico El discurso periodístico es el mensaje que se transmite en los medios de comunicación de masas con un propósito Lectores predominante informativo. Géneros Periodísticos Género Informativo Género Interpretativo Reportaje:incorpora El género interpretativo se elementos que no recoge la divide en: noticia: valoraciones de protagonistas o testigos, Editoriales un texto sin detalles de cifras y fechas. firma en el que se expresa Leer la opinión del periódico sobre los principales acontecimientos de la GéneroHíbrido actualidad. Observar Comprender Responder Reportajeinterpretativo:incl Artículo de fondo:es un uye información y opinión Texto firmado en el que el como la crónica, de la que autor opina, interpreta y se diferencia porque no valora los hechos desde su interesa la inmediatez de punto de vista. Como: Supone los acontecimientos.
  • 3.
    Crónica:exposición de una La columna, comentarios serie de acontecimientos en de actualidad, tribunas forma narrativa con libres y cartas al lector. detallismo y descripción de Actividad Artículos de crítica y Interés Dialogo Critica los mismos al tiempo que Receptiva se incluye una divulgación científica:son M artículos que se refieren a interpretación y valoración por parte del redactor. temas especializados y no a información general. Desarrollada atreves de Elementos Estructurales del Texto Periodístico Reconocer la Entender la Analizar ideas Evaluar Información información información Texto periodístico Estructura Se caracteriza por: Titulares: Antetítulo, Título y Subtítulo. Propósito o finalidad (informar u opinar), Rasgos tipográficos especiales con función Contenidos y temas, diferenciadora o de apertura Independencia Contiene los aspectos más tipográfica (titulares, lead o relevantes, función de entrada y cuerpo o resumen. desarrollo) Llama la atención del lector, función apelativa Lead o Entrada Antetítulo: adición o Característico de los géneros precisión de información al informativos. título Resumen amplio: da cuenta Subtítulo: sumariode los de los aspectos principales aspectos más importantes. del acontecimiento: qué, dónde, cuándo, quiénes, cómo, por qué. Destacado tipográficamente en los géneros de mayor
  • 4.
    extensión (reportaje) Cuerpo En otros géneros más breves Desarrollo de los diferentes se reduce al primer párrafo o al cuerpo de la noticia. contenidos. Genero de Opinión Genero Informativo Tipos de Estructuras Periodísticas Anticlimática Libre La información se desarrolla Suelen ajustarse a una desde la más relevante a la disposición tripartita: de menor relevancia. introducción (elementos para (Noticia) captar la atención del lector y síntesis o planteamiento de la tesis o idea que se defiende), desarrollo (explicativo o argumentativo) y conclusión (opinión del redactor y cierre textual). (Genero de Opinión) Estructura dialogada Relato El desarrollo aparece Disposición cronológica. repartido en turno. (Crónica, noticia) (Entrevista y reportaje)
  • 5.
    Estilo Periodístico Está determinado por: Público Propósito Medio Tema Referencias http://redaccion-periodistica.blogspot.mx/2011/05/los-valores-de-las-noticias.html http://www.juntadeandalucia.es/averroes/iescasasviejas/cviejas1/lengua/discurspe.htm Imágenes http://www.clasesdeperiodismo.com/2011/04/23/publicidad-en-diarios-tiene-mas-influencia-todavia/ http://jcvalda.wordpress.com/2012/02/02/traza-tu-plan-de-ventas/ http://segundoesosansuena.blogspot.mx/2013/02/realizamos-un-periodico-escolar.html