Descarga gratis durante 30 días
Iniciar sesión
Cargar
Idioma (ES)
Atención al cliente
Empresariales
Móvil
Redes sociales
Marketing
Tecnología
Arte y fotografía
Empleo
Diseño
Educación
Presentaciones y charlas públicas
Gobierno y org. sin ánimo de lucro
Atención sanitaria
Internet
Derecho
Liderazgo y gestión
Motor
Ingeniería
Software
Reclutamiento y RR. HH.
Venta al por menor
Ventas
Servicios
Ciencias
PYMES y liderazgo
Alimentación
Medio ambiente
Economía y finanzas
Datos y análisis
Relaciones con inversores
Deportes
Meditación
Noticias y política
Viajes
Desarrollo personal
Sector inmobiliario
Entretenimiento y humor
Salud y medicina
Dispositivos y hardware
Estilo de vida
Cambiar idioma
Idioma
English
Español
Português
Français
Deutsche
Cancelar
Guardar
Enviar búsqueda
ES
Subido por
Yuyer
401 vistas
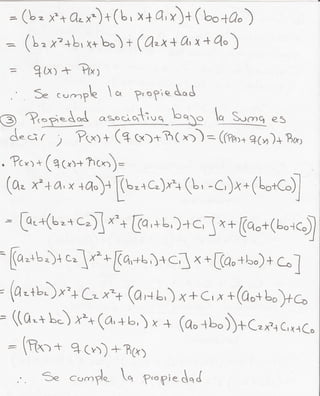
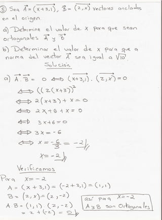
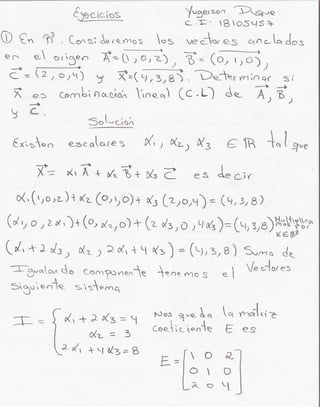
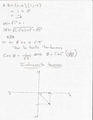
Actividad no 4 algebra lineal
Ejercicios de algebra lineal.
Educación
◦
Leer más
0
Guardar
Compartir
Insertar
Incrustar presentación
Descargar
Descargar para leer sin conexión
1
/ 17
2
/ 17
3
/ 17
4
/ 17
5
/ 17
6
/ 17
7
/ 17
8
/ 17
9
/ 17
10
/ 17
11
/ 17
12
/ 17
13
/ 17
14
/ 17
15
/ 17
16
/ 17
17
/ 17
Más contenido relacionado
PPS
El cipriano
por
Parada de PosTas de Arenas
PPTX
Aprendiendoyjugandoconsebran
por
PATOLATA
PPT
Qué hace falta aquí segunda parte
por
Carol Torres
PPTX
Guía 3
por
Julios_julios
PDF
Candidatura abad lara
por
DiegoAbadMartin
PPTX
Escritorios de oficina somos fabrica
por
Carlos Espinoza
DOCX
53 new physical laws - rosa díez
por
Miguel Cabral Martín
PPTX
Síndrome de turner
por
caamiuc
El cipriano
por
Parada de PosTas de Arenas
Aprendiendoyjugandoconsebran
por
PATOLATA
Qué hace falta aquí segunda parte
por
Carol Torres
Guía 3
por
Julios_julios
Candidatura abad lara
por
DiegoAbadMartin
Escritorios de oficina somos fabrica
por
Carlos Espinoza
53 new physical laws - rosa díez
por
Miguel Cabral Martín
Síndrome de turner
por
caamiuc
Destacado
DOCX
Resumen
por
Jacqueline Castañeda
PPT
Paginas web
por
Nessi Arcones
PDF
Programa de USAID para el Desarrollo de las PYME. Boletín No. 1
por
lorenasanchez777701
PDF
Gestión del tiempo: cómo sobrevivir con 24 al día
por
Juan C. Saladín Bonilla
PPTX
Los dinosaurios
por
dayannis-liseth
PPT
Cursos de verano
por
Vázquez Alejandre Emilia Jazmín
PPTX
Guía 5 etica en las organizaciones
por
Julios_julios
PPTX
Electronica digital
por
Rosmery Crispin Guerreros
PPTX
Protocolo
por
Jorge Hernandez Cruz
PPTX
Presentación tic y gestión del medio ambiente
por
Patricia Parrouty
PPTX
Exposicion uta aashto seccion iv
por
Estudiante Universitario
DOCX
Actividad nª 1 de algebra lineal
por
AlvaroBachaco
PPTX
Crisis alimentaria- Africa y politicas de la OMC
por
Anna Osorio Rosales
DOC
Formato plan de_accion_2_ (4)
por
juancholoraine
PPTX
Epitelios
por
Karina Gallart
PPTX
Los estilos de liderazgo en mi departamento
por
Lorena Cantos
DOCX
Automata ejercicios
por
estefaniavgl
PPT
Los valores
por
crikaespinoza
PDF
Manual de instalacion_oracle
por
loreya90
PDF
Modulo iii
por
Marilu Gomez
Resumen
por
Jacqueline Castañeda
Paginas web
por
Nessi Arcones
Programa de USAID para el Desarrollo de las PYME. Boletín No. 1
por
lorenasanchez777701
Gestión del tiempo: cómo sobrevivir con 24 al día
por
Juan C. Saladín Bonilla
Los dinosaurios
por
dayannis-liseth
Cursos de verano
por
Vázquez Alejandre Emilia Jazmín
Guía 5 etica en las organizaciones
por
Julios_julios
Electronica digital
por
Rosmery Crispin Guerreros
Protocolo
por
Jorge Hernandez Cruz
Presentación tic y gestión del medio ambiente
por
Patricia Parrouty
Exposicion uta aashto seccion iv
por
Estudiante Universitario
Actividad nª 1 de algebra lineal
por
AlvaroBachaco
Crisis alimentaria- Africa y politicas de la OMC
por
Anna Osorio Rosales
Formato plan de_accion_2_ (4)
por
juancholoraine
Epitelios
por
Karina Gallart
Los estilos de liderazgo en mi departamento
por
Lorena Cantos
Automata ejercicios
por
estefaniavgl
Los valores
por
crikaespinoza
Manual de instalacion_oracle
por
loreya90
Modulo iii
por
Marilu Gomez
Último
PDF
Tarea N°1: vocabulario ilustrativo de los conceptos básicos de las computadoras
por
nathalymartinez1892
PPTX
PPT I Asistencia tecnica ORIENTACIONES GENERALES PARA EL BUEN INICIO DEL AÑO...
por
npastrana1
PDF
Probabilidad y Estadistica para Ingenieria y Ciencias Ccesa007.pdf
por
Demetrio Ccesa Rayme
PDF
Las fuerzas extrañas de Leopoldo Lugones
por
Yanina Gallardo
PDF
Técnicas de estudio eficaces con Notebook LM
por
AndinaVirtual
PPTX
PRESENTACIÓN SOBRE LA SOCIEDAD EN LA HÉLADE Y LA EDUCACIÓN
por
profeRafa7
PDF
Bajo este sol tremendo de Carlos Busqued
por
Yanina Gallardo
PDF
Enseñar a Investigar - Ricardo Sanchez Ccesa007.pdf
por
Demetrio Ccesa Rayme
PDF
Problemas Resueltos de Probabilidades Ccesa007.pdf
por
Demetrio Ccesa Rayme
PPT
MODULO - 3 - CLASE - 3 - TAC EN LA EDUCACION - I PARTE.ppt
por
OscarRodrguez943873
PDF
Registro de materias en Curso de Inducción 2026A - CUValles
por
veganet
PDF
El Conflicto en el Aula de Educación Básica Ccesa007.pdf
por
Demetrio Ccesa Rayme
PDF
Como Lideran los Mejores Lideres - Brian Tracy Ccesa007.pdf
por
Demetrio Ccesa Rayme
PDF
Liderazgo Consciente - Daniel Gabarro Ccesa007.pdf
por
Demetrio Ccesa Rayme
PDF
Serie Inteligencia Emocional - Proposito , Sentido y Pasion HBR Ccesa007.pdf
por
Demetrio Ccesa Rayme
PDF
Orden de Pago en Curso de Inducción 2026A de CUValles
por
veganet
PDF
Portafolio corporativo 2026 Centro de Educación Continua EPN
por
jmorales40
PDF
Aulas y Laboratorios para las materias de CUValles - 2026a
por
veganet
PDF
Propuesta_Cursos_IA_Aplicada_IIAA 2026 SIRIUS IA
por
Ramiro Aduviri Velasco
PDF
La-normalizacion-del-endeudamiento-juvenil-en-la-publicidad-de-servicios-fina...
por
Alberto Soto
Tarea N°1: vocabulario ilustrativo de los conceptos básicos de las computadoras
por
nathalymartinez1892
PPT I Asistencia tecnica ORIENTACIONES GENERALES PARA EL BUEN INICIO DEL AÑO...
por
npastrana1
Probabilidad y Estadistica para Ingenieria y Ciencias Ccesa007.pdf
por
Demetrio Ccesa Rayme
Las fuerzas extrañas de Leopoldo Lugones
por
Yanina Gallardo
Técnicas de estudio eficaces con Notebook LM
por
AndinaVirtual
PRESENTACIÓN SOBRE LA SOCIEDAD EN LA HÉLADE Y LA EDUCACIÓN
por
profeRafa7
Bajo este sol tremendo de Carlos Busqued
por
Yanina Gallardo
Enseñar a Investigar - Ricardo Sanchez Ccesa007.pdf
por
Demetrio Ccesa Rayme
Problemas Resueltos de Probabilidades Ccesa007.pdf
por
Demetrio Ccesa Rayme
MODULO - 3 - CLASE - 3 - TAC EN LA EDUCACION - I PARTE.ppt
por
OscarRodrguez943873
Registro de materias en Curso de Inducción 2026A - CUValles
por
veganet
El Conflicto en el Aula de Educación Básica Ccesa007.pdf
por
Demetrio Ccesa Rayme
Como Lideran los Mejores Lideres - Brian Tracy Ccesa007.pdf
por
Demetrio Ccesa Rayme
Liderazgo Consciente - Daniel Gabarro Ccesa007.pdf
por
Demetrio Ccesa Rayme
Serie Inteligencia Emocional - Proposito , Sentido y Pasion HBR Ccesa007.pdf
por
Demetrio Ccesa Rayme
Orden de Pago en Curso de Inducción 2026A de CUValles
por
veganet
Portafolio corporativo 2026 Centro de Educación Continua EPN
por
jmorales40
Aulas y Laboratorios para las materias de CUValles - 2026a
por
veganet
Propuesta_Cursos_IA_Aplicada_IIAA 2026 SIRIUS IA
por
Ramiro Aduviri Velasco
La-normalizacion-del-endeudamiento-juvenil-en-la-publicidad-de-servicios-fina...
por
Alberto Soto
Descargar