Incrustar presentación
Descargar para leer sin conexión





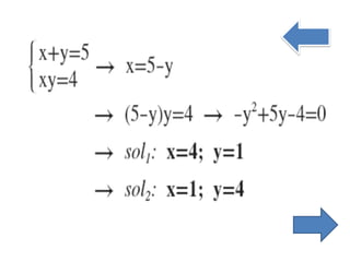
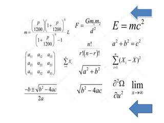
Este documento trata sobre la historia y definición de las matemáticas. Define las matemáticas como la ciencia formal y exacta que estudia las propiedades y relaciones entre entes abstractos como números, símbolos y figuras geométricas. Explica que las matemáticas tienen una estrecha relación con otras ciencias como la lógica, y que solo pueden ser modificadas al demostrarse errores matemáticos formales.




