RELACION DE SOPORTE DEL SUELO EN LABORATORIO

             (CBR DE LABORATORIO)




                  Presentado por:



         Andrés Leonado Acero 40082116

         Erick Santiago Cubillos 40091032

      Oscar Mauricio Ortega García   40091033




           UNIVERSIDAD DE LA SALLE

         FACULTAD DE INGENIERÍA CIVIL

          BOGOTA, AGOSTO 28 DE 2012

                                                1
RELACION DE SOPORTE DEL SUELO EN LABORATORIO

             (CBR DE LABORATORIO)




                  Presentado por:



         Andrés Leonado Acero 40082116

         Erick Santiago Cubillos 40091032

      Oscar Mauricio Ortega García   40091033




                   Presentado a:

                        Ing.

                Jhon Wilson Correa




           UNIVERSIDAD DE LA SALLE

         FACULTAD DE INGENIERÍA CIVIL

          BOGOTA, AGOSTO 28 DE 2012

                                                2
INDICE


                                               Pagina

   Objetivos………………………………………………………………………           4
   Marco teórico…………………………………………………………………         5
   Equipos y materiales…………………………………………………………     8
   Procedimiento………………………………………………………………...       13
   Formulas y cálculos…………………………………………………………      18
   Análisis de resultados ………………………………………………………   31
   Conclusiones…………………………………………………………………          32
   Anexos…………………………………………………………………………             33
   Bibliografía…………………………………………………………………….        34




                                                   3
OBJETIVOS

GENERAL

     Determinar el índice de resistencia de los suelos denominado Relación de
      soporte de california (CBR) evaluando la resistencia potencial del material
      ya sea subrasante, base, subbase empleados en el diseño de pavimentos.
     Establecer una relación entre el comportamiento de los suelos
      principalmente utilizados como bases y sub. rasantes bajo el pavimento de
      carreteras y aeropistas, determinando la relación entre el valor de CBR y la
      densidad seca que se alcanza en el campo.



ESPECIFICO

     Determinar un índice CBR, que nos permita expresar las características de
      resistencia y deformación del suelo extraído (arena y afirmado).

     Obtener un resultado lo más exacto posible para realizar correctamente una
      expresión gráfica Fuerza v/s Penetración del ensayo de la muestra de
      suelo.



     Determinar los valores de humedad, densidad seca, y CBR para cada punto
      de las diferentes energías de compactación.



     Analizar el valor obtenido en el ensayo de CBR y dar un criterio sobre su
      calidad y utilización en obra.




                                                                             4
MARCO TEORICO



Definición de CBR

El CBR de un suelo es la carga unitaria correspondiente a 0.1” ó 0.2” de
penetración, expresada en por ciento en su respectivo valor estándar. También se
dice que mide la resistencia al corte de un suelo bajo condiciones de humedad y
densidad controlada. El ensayo permite obtener un número de la relación de
soporte, que no es constante para un suelo dado sino que se aplica solo al estado
en el cual se encontraba el suelo durante el ensayo.




                                                           Fig. 1. El asumido
                                                           mecanismo de falla del
                                                           suelo generado por el
                                                           pistón de 19.4 cm² en
                                                           el Ensayo C.B.R. La
                                                           condición de frontera
                                                           es un problema.




      Definición de número CBR:

El experimento de suelos gravosos y arenosos se realiza inmediatamente, en
cambio en suelos cohesivos poco o nada plásticos y suelos cohesivos plásticos se
realiza mediante expansión se efectuará con agua en 4 días saturación más
desfavorable y la medida de expansión se realizar cada 24 horas.

El ensayo CBR (ensayo de Relación de Soporte de California), mide la resistencia
al corte de un suelo bajo condiciones de humedad y densidad controladas. El
ensayo permite obtener un número de la relación de soporte pero, de la
aseveración anterior, es evidente que éste número no es constante para un suelo
dado, sino que se aplica al estado en el cuál se encontraba el suelo durante el
ensayo. De paso, es interesante comentar que el experimento puede hacerse en
el terreno o en un suelo compactado. El número CBR (o simplemente CBR) se
obtiene como la relación de la carga unitaria (en lbs. /plg²) necesaria para lograr
una cierta profundidad de penetración del pistón (con un área de 19.4 cm²) dentro
de la muestra compactada de suelo a un contenido de humedad y densidad dadas
con respecto a la carga unitaria patrón requerida para obtener la misma
profundidad de penetración en una muestra estándar de material triturado.

                                                                              5
El C.B.R. varía de acuerdo a la compactación del suelo su contenido de humedad
al compactar y cuando se realiza el ensayo. Los ensayos del
C.B.R. pueden ser realizados “In Sito” usando el equipo correspondiente al
laboratorio tanto en muestras inalteradas como en compactadas. Los ensayos “In
sito” se realizan solamente en el suelo con el contenido de humedad existente.
Han sido pensados procedimientos para preparar la muestra de laboratorio de
diferentes clases de suelos con el fin de reproducir las condiciones que
verdaderamente se producirán durante y después de la construcción. Estos
procedimientos se aplican cuando le         contenido de humedad durante la
construcción va a ser el óptimo para tener la máxima densidad, además el suelo
va a ser compactado al menos al 95%.

El CBR usualmente se basa en la relación de carga para una penetración de 2.5
mm. Sin embargo, si el valor de CBR a una penetración de 5.0 mm. Es mayor el
ensayo debería repetirse. Si un segundo ensayo, produce nuevamente un valor de
CBR mayor de 5.0 mm. De penetración, dicho valor debe aceptarse como valor
final del ensayo. Los ensayos de CBR se hacen usualmente sobre muestras
compactadas al contenido de humedad óptima para el suelo específico
determinado. Utilizando el ensayo de compactación.


Los ensayos de CBR se hacen usualmente sobre muestras compactadas al
contenido de humedad óptimo para un suelo específico, determinado utilizando el
ensayo de compactación estándar o modificada del experimento.


      PENETRÓMETRO DINÁMICO DE CONO.

El operador dirige la punta del PDC dentro del suelo, levantando el martillo
deslizante hasta la manija y soltándolo para que caiga libremente hasta golpear el
yunque. La penetración total para un determinado número de golpes es medida y
registrada en términos de milímetros por golpe, valor que es utilizado para
describir la rigidez, para estimar una resistencia CBR in-situ a través de una
correlación apropiada o para establecer otras características del material.

Este método de ensayo se usa para evaluar la resistencia in-situ de suelos
inalterados y/o materiales compactados. La rata de penetración del PDC de 8
kilogramos puede ser utilizada para estimar el CBR in-situ; para identificar los
espesores de las capas; así como para estimar la resistencia al corte de las capas
y otras características de los materiales que las constituyen.

El PDC de 8 kilogramos debe ser sostenido verticalmente durante su empleo y,
por lo tanto, es utilizado fundamentalmente en aplicaciones de construcciones
horizontales, tales como pavimentos y losas de piso.



                                                                             6
El instrumento es típicamente empleado para evaluar propiedades de los
materiales a una profundidad hasta de 1.000 milímetros bajo la superficie.




                                                    Fig. 2. Esquema del
                                                    dispositivo       del
                                                    penetrometro dinámico
                                                    de cono.




                                                                      7
EQUIPOS Y MATERIALES



Prensa: Similar a las usadas en ensayos de compresión,
utilizada para forzar la penetración de un pistón en el
espécimen. Debe tener una capacidad suficiente para penetrar
el pistón en el espécimen a una velocidad de 1.27 mm/min
(0.05”/min) y hasta una profundidad de 12.7 mm (0.5”).

El desplazamiento entre la base y el cabezal se debe poder
regular a una velocidad uniforme de 1.27 mm (0.05") por
minuto. La capacidad de la prensa y su sistema para la medida
de carga deben ser de 44.5 kN (10000lbf) ó más y la precisión
mínima en la medida debe ser de 44N ó menos.

Martillo de compactación: de 10 libras

Aparato medidor de expansión: compuesto por:

         Una placa de metal perforada, por cada molde, de 149.2 + 1.6 mm (5
          7/8 ±1/16”) de diámetro, cuyas perforaciones no excedan de 1,6 mm
          (1/16") de diámetro. Estará provista de un vástago en el centro con un
          sistema de tornillo que permita regular su altura.


         Un trípode cuyas patas puedan apoyarse en el borde del molde, que
          lleve montado y bien sujeto en el centro un dial (deformímetro), cuyo
          vástago coincida con el de la placa, de forma que permita controlar la
          posición de éste y medir la expansión, con aproximación de 0.025
          mm(0.001").




                                                                           8
Moldes: De metal, cilíndricos, de 152,4 mm ± 0.66 mm (6
±0.026") de diámetro interior y de 177,8 ± 0.46 mm ( 7 ±
0.018") de altura, provisto de un collar suplementario de
51 mm (2.0") de altura y una placa de base perforada de
9.53 mm (3/8") de espesor. Las perforaciones de la base
deberán ser por lo menos 20 uniformemente espaciadas
dentro de la circunferencia del molde, no excederán de
1,6 mm (1/16”) de diámetro. La base se deberá poder
ajustar a cualquier extremo del molde.

Disco espaciador: De forma circular, metálico, de 150.8 ± 0.8mm (5
15/16”±1/32”) de diámetro y de 61.37 ± 0.25 mm
(2.416 ± 0.01") de espesor, para insertarlo como falso fondo en el molde cilíndrico
durante la compactación.

Sobrecargas metálicas: Unas diez por cada molde, una anular y las restantes
ranuradas, con una masa de 2,27 ± 0.04 Kg (5 ± 0.10 lb) cada una, 149.2 + 1.6
mm (5 7/8 ± 1/16”) de diámetro exterior y la anular con 54 mm de diámetro en el
orificio centra


Pistón de penetración: Cilíndrico, metálico de 49.63 ± 0.13 mm de diámetro
(1.954 ± 0.005"), área de 1935 mm² (3 pulg²) y con longitud necesaria para realizar
el ensayo de penetración con las sobrecargas precisas de acuerdo con la Sección
3.6, pero nunca menor de 101.6 mm (4").


Dos diales (deformímetros): Con recorrido mínimo de 25 mm (1") y divisiones en
0.025 mm (0.001"), uno de ellos provisto de una pieza que permita su
acoplamiento en la prensa para medir la penetración del pistón en la muestra.


Tanque: Con capacidad suficiente para la inmersión de los moldes en agua.


Horno: Termostáticamente controlado, regulable a 110 ± 5°C (230 ± 9°F)


Balanzas: Una de 20 kg de capacidad, y otra de 1000 g con sensibilidades de 5 g
y 0.1 g respectivamente.

                                                                                9
Herramientas y accesorios. Pala, platón o bandeja metálica de mezclado,
machete, baldes y espátula.

Tamices: De 4.75 mm (No.4) y de 19.0 mm (3/4").




.




                                                                          10
PROCEDIMIENTO


1. Preparar tres muestras de material cada una con pesos de 6000 gr y a partir
   de ello se realiza un cuarteo para que éste tenga diferentes tamaños en su
   composición granular.
2. Luego, debemos tamizarla con el propósito de que el 75% del material pase
   el tamiz, de lo contrario resultaría necesario hacer reemplazo de material
   con el que pasa por dicho tamiz, pero queda retenido en el Número 4.
3. Para cada molde ajustar el molde a la base, insertar el disco espaciador en
   el molde y cubrirlo con un disco de papel filtro.
4. Después, de haber determinado la humedad óptima y natural del terreno,
   7% y 1% (por medio del ensayo de laboratorio de proctor modificado),
   respectivamente. Con estos valores se procede a calcular la cantidad de
   agua que se debe suministrar a la muestra para alcanzar la humedad
   óptima.
5. Fabricar 3 probetas de 5 capas cada una: 1 de 12 golpes por capa, 1 de 25
   golpes por capa y 1 de 56 golpes por capa, se compacta el suelo con las
   energías necesarias para este caso se utilizó proctor modificado..
6. Para cada molde retirar la base, el collar y el disco espaciador, se da vuelta
   a la muestra se enrasa con el machete y se pesa el molde con el suelo
   compactado.
7. Colocar un disco de papel filtro sobre la base, invertir la muestra y asegurar
   el molde a la base de forma que el suelo quede en contacto con el papel
   filtro.
8. Colocar dos pesas ranuradas (aprox. 5 libras cada una) sobre la muestra de
   suelo compactado para simular la presión de sobrecarga requerida.
9. Sumergir en un tanque de inmersión durante un lapso de 96 horas las
   probetas con la muestra dentro. A partir del momento de la inmersión y cada
   24 horas se lee la expansión o contracción de las muestras, con un
   deformímetro ubicado en un trípode que se ubica sobre el molde
   directamente.
10. Pasadas las 96 horas se extrae la muestra del tanque de inmersión y se

                                                                           11
deja escurriendo durante 15 minutos luego se lleva a una prensa, la cual
   imparte una fuerza de penetración a una velocidad de deformación de 1.27
   mm por minuto.
11. Colocar la muestra en la máquina de compresión y sentar el pistón sobre la
   superficie de suelo utilizando una carga inicial no mayor de 4.5 kg. Fijar el
   cero en los deformímetros de medida de carga y de penetración (o
   deformación).
12. Hacer lecturas de deformación o penetración y tomar las respectivas
    lecturas del deformímetro de carga.




                                                                          12
CALCULOS Y RESULTADOS
PARA LAS MUESTRAS SECAS

     12 golpes

                                                   Datos iniciales: molde 15
                  Diámetro promedio (mm)                                                 151,77
                  Altura del molde (mm)                                                    179
                  Volumen del molde (mm3)                                           3238140,612
                  Masa del molde (g)                                                      7181
                  Masa del molde + muestra (g)                                           11775
                  Peso de las pesas (g)                                                   5000
                  Masa muestra (g)                                                        4594
                  Numero de golpes por cada capa                                            12
                  Numero de capas                                                            5
                  Humedad natural (%)                                                      13,6
                  Volumen del molde (cm3)                                           3238,140612
                  Densidad húmeda de la muestra (g/cm3)                             1,418715414
                  Densidad seca de la muestra (g/cm3)                               1,248869203




                                                                               13
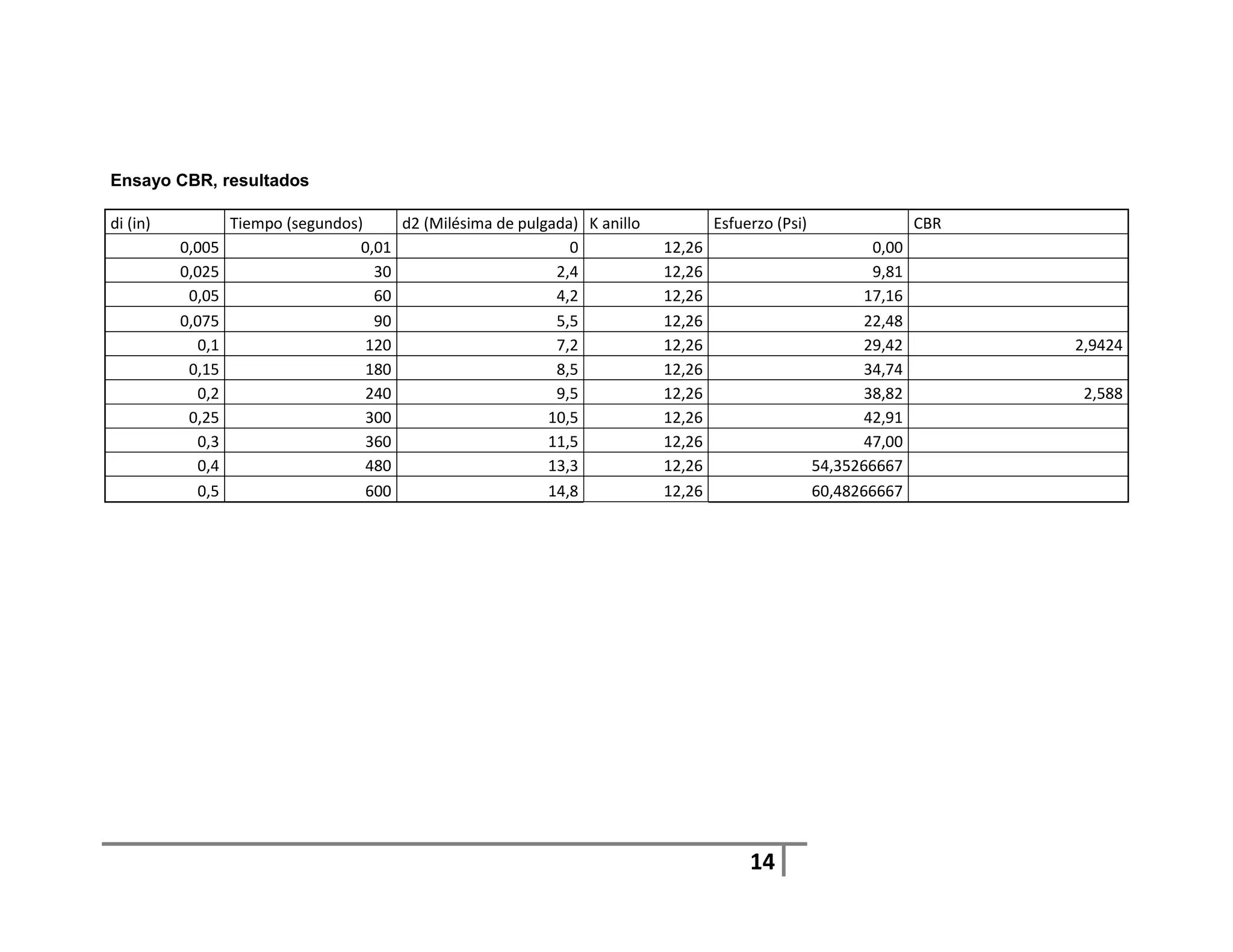
Ensayo CBR, resultados

di (in)            Tiempo (segundos)     d2 (Milésima de pulgada) K anillo           Esfuerzo (Psi)                  CBR
          0,005                     0,01                        0            12,26                            0,00
          0,025                       30                      2,4            12,26                            9,81
           0,05                       60                      4,2            12,26                           17,16
          0,075                       90                      5,5            12,26                           22,48
             0,1                     120                      7,2            12,26                           29,42         2,9424
           0,15                      180                      8,5            12,26                           34,74
             0,2                     240                      9,5            12,26                           38,82          2,588
           0,25                      300                     10,5            12,26                           42,91
             0,3                     360                     11,5            12,26                           47,00
             0,4                     480                     13,3            12,26                    54,35266667
             0,5                     600                     14,8            12,26                    60,48266667




                                                                                          14
Ensayo cono dinámico, resultados:



      Determinación de la humedad molde No 286
Peso recipiente (g)                            38
Recipiente + muestra húmeda (g)                96
Recipiente + muestra seca (g)                  91
Humedad (%)                                    9,43


                              Penetració    Penetración    Penetració   Factor    Índice      CB
Nume Penetraci Penet Penetr n               entre          n por        del       PDC         R
ro de ón (Valor ración ación acumulada      lecturas       golpe        martill   (mm)/go     (%
golpe leído)    (cm)    (mm) (mm)           (mm)           (mm)         o         lpe         )
   0      92          0     0           0              0            0         1           0     0
   1      90          2    20         20               7           20         1          20    10
   2      89          3    30         50              30           10         1          10    22
   3      88          4    40         70              20           10         1          10    22
   4     87,5       4,5    45         85              15            5         1           5    48
   5      87          5    50         95              10            5         1           5    48
   6      86          6    60        110              15           10         1          10    22
   7      85          7    70        130              20           10         1          10    22
   8     84,5       7,5    75        145              15            5         1           5    48
   9     83,5       8,5    85        160              15           10         1          10    22
  10      83          9    90        175              15            5         1           5    48
  11      82        10    100        190              15           10         1          10    22
  12     81,5     10,5    105        205              15            5         1           5    48
  13     80,5     11,5    115        220              15           10         1          10    22



                                                                                        15
    26 Golpes


                                        Datos iniciales: Molde No 1
Diámetro promedio (mm)                                                         151,99
Altura del molde (mm)                                                            178
Volumen del molde (mm3)                                                    3229534,39
Masa del molde (g)                                                              7273
Masa del molde + muestra (g)                                                   12188
Peso de las pesas (g)                                                           5000
Masa muestra (g)                                                                4915
Numero de golpes por cada capa                                                    26
Numero de capas                                                                    5
Humedad natural (%)                                                              13,6
Volumen del molde (cm3)                                                    3229,53439
Densidad húmeda de la muestra (g/cm3)                                      1,52189121

Densidad seca de la muestra (G/cm3)                                        1,33969297




                                                                      16
Ensayo CBR, cálculos:

di (in) Tiempo (segundos) d2 (Milésima de pulgada) K anillo      Esfuerzo (Psi) CBR
0,005                0,01                        0         12,26          0,00
0,025                  30                      3,3         12,26        13,49
 0,05                  60                      6,8         12,26        27,79
0,075                  90                     10,1         12,26        41,28
   0,1               120                      12,6         12,26        51,49         5,1492
 0,15                180                      15,5         12,26        63,34
   0,2               240                        18         12,26        73,56          4,904
 0,25                300                      20,2         12,26        82,55
   0,3               360                      22,4         12,26        91,54
   0,4               480
   0,5               600




Ensayo cono dinámico, resultados:

Determinación de la humedad molde No 224
Peso del recipiente (g)                               38
Peso muestra húmeda + recipiente (g)                108
Peso muestra seca + recipiente (g)                  101
Humedad (%)                                        11,11




                                                                                      17
Penetració Penetración    Penetració   Factor    Índice      CB
Nume Penetraci Penetr Penetr n            entre         n por        del       PDC         R
ro de ón (Valor ación ación acumulada lecturas          golpe        martill   mm/gol      (%
golpe leído)     (cm)   (mm) (mm)         (mm)          (mm)         o         pe          )
     0      92,5      0     0           0           0            0         1           0     0
     1      91,8    0,7     7           7           7            7         1           7    33
     2      90,6    1,9    19         26           19           12         1          12    18
     3       90     2,5    25         44           18            6         1           6    39
                                                                                            10
    4      89,8    2,7     27         52           8            2         1           2      0
    5      89,4    3,1     31         58           6            4         1           4     62
    6       89     3,5     35         66           8            4         1           4     62
    7      88,4    4,1     41         76          10            6         1           6     39
    8       88     4,5     45         86          10            4         1           4     62
    9      87,2    5,3     53         98          12            8         1           8     28
   10      86,8    5,7     57        110          12            4         1           4     62
   11      86,4    6,1     61        118           8            4         1           4     62
   12      85,9    6,6     66        127           9            5         1           5     48
   13      85,5      7     70        136           9            4         1           4     62
   14       85     7,5     75        145           9            5         1           5     48




                                                                                     18
   56 Golpes


                              Datos iniciales: Molde No 4

                 Diámetro promedio (mm)                       151,20

                   Altura del molde (mm)                       178

                 Volumen del molde (mm3)                    3196049,272

                    Masa del molde (g)                         7184

                Masa del molde + muestra (g)                  12549

                    Peso de las pesas (g)                      5000

                     Masa muestra (g)                          5365

            Numero de golpes por cada capa                      56

                     Numero de capas                            5

                   Humedad natural (%)                         13,6

                 Volumen del molde (cm3)                    3196,049272

         Densidad húmeda de la muestra (g/cm3)              1,678634947

          Densidad seca de la muestra (g/cm3)               1,477671608




                                                                 19
Ensayo CBR, resultados

di (in) Tiempo (segundos) d2 (Milesima de pulgada) K anillo Esfuerzo (Psi) CBR
 0,005               0,01                      3,5 12,26              14,30
 0,025                 30                      8,1 12,26              33,10
   0,05                60                     11,6 12,26              47,41
 0,075                 90                       17 12,26              69,47
     0,1             120                      21,8 12,26              89,09                 8,9089
   0,15              180                      29,2 12,26            119,33
     0,2             240                      35,3 12,26            144,26                   9,617
   0,25              300                      40,6 12,26            165,92
     0,3             360                      43,4 12,26            177,36
     0,4             480
     0,5             600




Ensayo cono dinámico, resultados

                                  Penetració    Penetración    Penetració   Factor    Índice  CB
Nume Penetraci Penetr Penetr      n             entre          n por        del       PDC     R
ro de ón (Valor ación ación       acumulada     lecturas       golpe        martill   mm/gol  (%
golpe leido)     (cm)   (mm)      (mm)          (mm)           (mm)         o         pe      )
     0       93       0      0              0              0            0         1           0 0
     1      91,8    1,2    12             12               7           12         1          1218
     2      91,3    1,7    17             29              17            5         1           548
     3      90,5    2,5    25             42              13            8         1           828
                                                                                               10
     4      90,2     2,8     28           53             11            3         1           3 0



                                                                                            20
10
 5    90      3   30   58     5   2   1   2     0
 6   89,7   3,3   33   63     5   3   1   3    85
 7    89      4   40   73    10   7   1   7    33
                                               10
 8   88,8   4,2   42    82    9   2   1   2     0
 9   88,5   4,5   45    87    5   3   1   3    85
10   88,2   4,8   48    93    6   3   1   3    85
11   87,9   5,1   51    99    6   3   1   3    85
12   87,5   5,5   55   106    7   4   1   4    62
13   87,2   5,8   58   113    7   3   1   3    85
14   86,8   6,2   62   120    7   4   1   4    62
15   86,4   6,6   66   128    8   4   1   4    62
16    86      7   70   136    8   4   1   4    62
                                               10
17   85,9   7,1   71   141    5   1   1   1     0
18   85,6   7,4   74   145    4   3   1   3    85
19   85,1   7,9   79   153    8   5   1   5    48
                                               10
20   84,9   8,1   81   160    7   2   1   2     0
                                               10
21   84,7   8,3   83   164    4   2   1   2     0
22   84,3   8,7   87   170    6   4   1   4    62
                                               10
23   84,2   8,8   88   175    5   1   1   1     0




                                          21
Esfuerzo vs Deformacion
                                               Muestra seca
                 200,00
                 180,00
                 160,00
                 140,00
Esfuerzo (psi)




                 120,00
                 100,00
                  80,00
                  60,00
                  40,00
                  20,00
                   0,00
                          0         0,1        0,2         0,3          0,4            0,5             0,6
                                                     deformacion (in)

                      26 GOLPES MUESTRA SECA   56 GOLPES MUESTRA SECA         12 GOLPES MUESTRA SECA




                                                                                              22
Peso especifico Seco Vs CBR
12



10



 8


                                                       26 golpes
 6
                                                       56 golpes
                                                       12 golpes
 4



 2



 0
     1,2   1,25    1,3    1,35    1,4     1,45   1,5




                                                        23
PARA LAS MUESTRAS HUMEDAS

            12 Golpes


                                      Datos iniciales: Molde No 5

Diámetro promedio (mm)                                                    133,40

Altura del molde (mm)                                                       178

Volumen del molde (mm3)                                             2487834,825

Masa del molde (g)                                                         7191

Masa del molde + muestra (g)                                              11856

Peso de las pesas (g)                                                      5000

Masa muestra (g)                                                           4665

Numero de golpes por cada capa                                               12

Numero de capas                                                               5

Humedad natural (%)                                                         13,6

Volumen del molde (cm3)                                             2487,834825

Densidad húmeda de la muestra (g/cm3)                               1,875124487

Densidad seca de la muestra (g/cm3)                                 1,650637753




                                                                     24
Ensayo cono dinámico, resultados:

                                     Penetració Penetración            Penetració   Factor    Índice  CB
       Nume Penetraci Penetr Penetr n            entre                 n por        del       PDC     R
       ro de ón (Valor ación ación acumulada lecturas                  golpe        martill   mm/gol  (%
       golpe leído)     (cm)   (mm) (mm)         (mm)                  (mm)         o         pe      )
            0       92       0     0           0           0                    0         1           0 0
            1       88       4    40         40            7                   40         1          40 5
            2      85,5    6,5    65        105           65                   25         1          25 8
            3       82      10   100        165           60                   35         1          35 5
                                                                                                       10
               4       80,5    11,5   115        215            50            15         1          15 0


                  26 Golpes

                                        Datos iniciales: Molde No 11
Diámetro promedio (mm)                                                                                     153,00
Altura del molde (mm)                                                                                       171,1
Volumen del molde (mm3)                                                                               3145739,477
Masa del molde (g)                                                                                           8598
Masa del molde + muestra (g)                                                                                13464
W de las pesas (g)                                                                                           5000
Masa muestra (g)                                                                                             4866
Numero de golpes por cada capa                                                                                 26
Numero de capas                                                                                                  5
Humedad natural (%)                                                                                           13,6
Volumen del molde (cm3)                                                                               3145,739477
Densidad húmeda de la muestra (g/cm3)                                                                 1,546854097


                                                                                                    25
Densidad seca de la muestra (g/cm3)                                                                 1,361667339




        Ensayo CBR, resultados:

                                                        d2 (Milésima de
        di (in)              Tiempo (segundos)          pulgada)          K anillo           Esfuerzo (Psi)                 CBR
                    0,005                        0,01                 1,5            12,26                           6,13
                    0,025                          30                   7            12,26                          28,61
                     0,05                          60                 14             12,26                          57,21
                    0,075                          90                 26             12,26                         106,25
                       0,1                       120                  44             12,26                         179,81         17,9813
                     0,15                        180                  86             12,26                         351,45
                       0,2                       240                 150             12,26                         613,00          40,867
                     0,25                        300                 175             12,26                         715,17
                       0,3                       360                 218             12,26                         890,89
                       0,4                       480                 300             12,26                        1226,00
                       0,5                       600                 380             12,26                        1552,93




                                                                                                 26
Ensayo cono dinámico, resultados:

                             Penetració Penetración    Penetració   Factor    Índice      CB
Nume Penetraci Penetr Penetr n           entre         n por        del       PDC         R
ro de ón (Valor ación ación acumulada lecturas         golpe        martill   mm/gol      (%
golpe leído)    (cm)   (mm) (mm)         (mm)          (mm)         o         pe          )
     0       92      0     0           0           0            0         1           0     0
     1       90      2    20         20            7           20         1          20    10
     2       89      3    30         50           30           10         1          10    22
     3       88      4    40         70           20           10         1          10    22
                                                                                           10
    4        87     5      50        90          20           10         1          10      0
    5        86     6      60       110          20           10         1          10     22
    6        85     7      70       130          20           10         1          10     22
    7        83     9      90       160          30           20         1          20     10
    8        80    12     120       210          50           30         1          30      6




                                                                                    27
   56 Golpes




                                             Datos iniciales: Molde No NA

     Diámetro promedio (mm)                                                           152,42

     Altura del molde (mm)                                                              176

     Volumen del molde (mm3)                                                     3211341,293

     Masa del molde (g)                                                                7285

     Masa del molde + muestra (g)                                                     12459

     Peso de las pesas (g)                                                             5000

     Masa muestra (g)                                                                  5174

     Numero de golpes por cada capa                                                      56

     Numero de capas                                                                      5

     Humedad natural (%)                                                                13,6

     Volumen del molde (cm3)                                                     3211,341293

     Densidad húmeda de la muestra (g/cm3)                                       1,611164784

     Densidad seca de la muestra (g/cm3)                                         1,418278859




                                                                            28
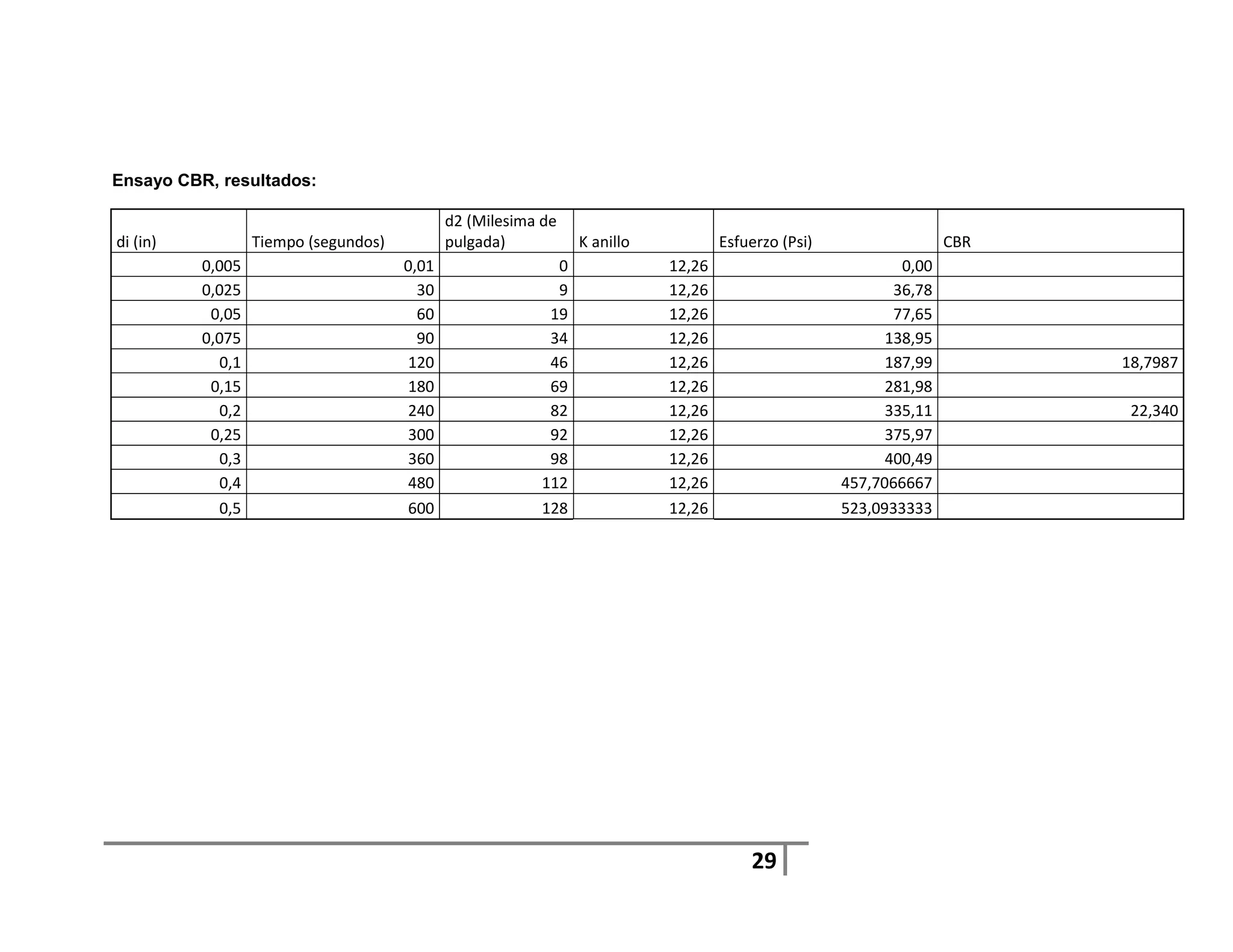
Ensayo CBR, resultados:

                                              d2 (Milesima de
di (in)            Tiempo (segundos)          pulgada)           K anillo           Esfuerzo (Psi)                  CBR
          0,005                        0,01                  0              12,26                            0,00
          0,025                          30                  9              12,26                           36,78
           0,05                          60                 19              12,26                           77,65
          0,075                          90                 34              12,26                          138,95
             0,1                       120                  46              12,26                          187,99         18,7987
           0,15                        180                  69              12,26                          281,98
             0,2                       240                  82              12,26                          335,11          22,340
           0,25                        300                  92              12,26                          375,97
             0,3                       360                  98              12,26                          400,49
             0,4                       480                 112              12,26                    457,7066667
             0,5                       600                 128              12,26                    523,0933333




                                                                                        29
Ensayo cono dinámico, resultados:

                              Penetracio Penetracion    Penetracio   Factor    Indice     CB
Nume Penetraci Penetr Penetr n            entre         n por        del       PDC        R
ro de on (Valor acion acion acumulada lecturas          golpe        martill   mm/gol     (%
golpe leido)     (cm)   (mm) (mm)         (mm)          (mm)         o         pe         )
     0       93       1     0           0           0            0         1          0      0
     1      91,5    0,5     5           5           7            5         1          5    48
     2       91       1    10         15           10            5         1          5    48
     3      90,5    1,5    15         25           10            5         1          5    48
                                                                                           10
    4       90       2     20         35          10            5         1          5       0
    5      89,5    2,5     25         45          10            5         1          5     48
    6       89       3     30         55          10            5         1          5     48
    7      88,5    3,5     35         65          10            5         1          5     48
    8       88       4     40         75          10            5         1          5     48
    9      87,5    4,5     45         85          10            5         1          5     48
   10       87       5     50         95          10            5         1          5     48
   11       87       5     50        100           5            0         1          0      0
   12      86,5    5,5     55        105           5            5         1          5     48
   13       86       6     60        115          10            5         1          5     48
   14      85,5    6,5     65        125          10            5         1          5     48
   15       85       7     70        135          10            5         1          5     48
   16      84,5    7,5     75        145          10            5         1          5     48
   17       84       8     80        155          10            5         1          5     48
   18       84       8     80        160           5            0         1          0      0
   19      83,5    8,5     85        165           5            5         1          5     48
   20      82,5    9,5     95        180          15           10         1         10     22


                                                                                    30
21          82         10         100         195           15         5        1       5 48




                                      Esfuerzo vs Deformacion
                                         muestra sumergida
1800,00

1600,00

1400,00

1200,00

1000,00                                                                      56 GOLPES MUESTRA
                                                                             SUMERGIDA
 800,00
                                                                             26 GOLPES PRUEBA SUMERGIDA
 600,00

 400,00

 200,00

   0,00
          0        0,1        0,2         0,3     0,4   0,5        0,6




                                                                                          31
ANALISIS DE RESULTADOS


     Observando la tabla que incluye distintos valores de CBR y da una
      clasificación del suelo.



                        Clasificación Cualitativa del
               CBR                 Suelo                   Uso

           2      -5             Muy Mala               Sub-rasante

           5      -8                Mala                Sub-rasante

               8 - 20         Regular - Buena           Sub-rasante

          20 - 30                Excelente              Sub-rasante

          30 - 60                  Buena                 Sub-base

          60 - 80                  Buena                   Base

           80 - 100              Excelente                 Base



Según los resultados obtenidos tras la realización de los cálculos y
basándonos en la tabla anterior se puede afirmar que es para uso de sub-
rasante según su CBR aunque los resultados no concuerdan debido a
muchos factores humanos principalmente en los equipos usados, debido a
que son muy antiguos y no cumplen con las especificaciones mínimas de la
norma




                                                                          32
CONCLUSIONES

   En el ensayo Cbr la muestra es sumergida para prever la hipotética
    acumulación de humedad en el suelo después de la construcción.

   En los resultados se observa claramente que la muestra que fue
    compactada con 56 golpes es el que mejor resultado arroja ya que se
    redujo la relación de vacíos que existe en la muestra, aumento de densidad,
    y por lo tanto el suelo se comporta de una manera más homogénea y
    resistente.

   A la hora de comparar el % Cbr obtenido por la prensa y por el cono
    dinámico hubieron grandísimas discrepancias debido principalmente a la
    calidad y calibración adecuada de los equipos del laboratorio

   Es evidente que la compactación en el diseño de una estructura de
    pavimento asegura su vida útil y su correcto funcionamiento; así como el
    agua sigue siendo un factor determinante en el comportamiento de los
    materiales en la ingeniería.


   El CBR generalmente se obtiene para condiciones de material compactado
    y saturado, pero en la mayor de casos los cambios climáticos, los sistemas
    de drenaje, y otros factores no permiten que el suelo llegue a las
    condiciones de saturación, es por esto que si existe la posibilidad de
    realizar el ensayo CBR en las condiciones ms similares al lugar en donde
    se esta realizando nuestra construcción.

   En el caso nuestro debido a que la curva de deformación no presento
    puntos de inflexión por lo tanto no hubo la necesidad de realizar la
    respectiva corrección.

   Una de las principales dificultades en la realización del ensayo es el
    momento de girar la muestra para colocar la pesa ya que en el caso de la
    muestra que recibió 12 golpes por capa el material se disgregaba y
    lógicamente se alteraban los resultados motivo por el cual se puede repetir
    el ensayo.




                                                                         33
BIBLIOGRAFIA


   Instituto nacional de vías, Normas técnicas ``INVIAS E 172 de 2007``.

   Instituto nacional de vías, Normas técnicas ``INVIAS E 148 de 2007``.

   BADILLO, J Mecánica de suelos Tomo I. Editorial Limusa México 2005.




                                                                            34

Cbr final

  • 1.
    RELACION DE SOPORTEDEL SUELO EN LABORATORIO (CBR DE LABORATORIO) Presentado por: Andrés Leonado Acero 40082116 Erick Santiago Cubillos 40091032 Oscar Mauricio Ortega García 40091033 UNIVERSIDAD DE LA SALLE FACULTAD DE INGENIERÍA CIVIL BOGOTA, AGOSTO 28 DE 2012 1
  • 2.
    RELACION DE SOPORTEDEL SUELO EN LABORATORIO (CBR DE LABORATORIO) Presentado por: Andrés Leonado Acero 40082116 Erick Santiago Cubillos 40091032 Oscar Mauricio Ortega García 40091033 Presentado a: Ing. Jhon Wilson Correa UNIVERSIDAD DE LA SALLE FACULTAD DE INGENIERÍA CIVIL BOGOTA, AGOSTO 28 DE 2012 2
  • 3.
    INDICE Pagina  Objetivos……………………………………………………………………… 4  Marco teórico………………………………………………………………… 5  Equipos y materiales………………………………………………………… 8  Procedimiento………………………………………………………………... 13  Formulas y cálculos………………………………………………………… 18  Análisis de resultados ……………………………………………………… 31  Conclusiones………………………………………………………………… 32  Anexos………………………………………………………………………… 33  Bibliografía……………………………………………………………………. 34 3
  • 4.
    OBJETIVOS GENERAL  Determinar el índice de resistencia de los suelos denominado Relación de soporte de california (CBR) evaluando la resistencia potencial del material ya sea subrasante, base, subbase empleados en el diseño de pavimentos.  Establecer una relación entre el comportamiento de los suelos principalmente utilizados como bases y sub. rasantes bajo el pavimento de carreteras y aeropistas, determinando la relación entre el valor de CBR y la densidad seca que se alcanza en el campo. ESPECIFICO  Determinar un índice CBR, que nos permita expresar las características de resistencia y deformación del suelo extraído (arena y afirmado).  Obtener un resultado lo más exacto posible para realizar correctamente una expresión gráfica Fuerza v/s Penetración del ensayo de la muestra de suelo.  Determinar los valores de humedad, densidad seca, y CBR para cada punto de las diferentes energías de compactación.  Analizar el valor obtenido en el ensayo de CBR y dar un criterio sobre su calidad y utilización en obra. 4
  • 5.
    MARCO TEORICO Definición deCBR El CBR de un suelo es la carga unitaria correspondiente a 0.1” ó 0.2” de penetración, expresada en por ciento en su respectivo valor estándar. También se dice que mide la resistencia al corte de un suelo bajo condiciones de humedad y densidad controlada. El ensayo permite obtener un número de la relación de soporte, que no es constante para un suelo dado sino que se aplica solo al estado en el cual se encontraba el suelo durante el ensayo. Fig. 1. El asumido mecanismo de falla del suelo generado por el pistón de 19.4 cm² en el Ensayo C.B.R. La condición de frontera es un problema.  Definición de número CBR: El experimento de suelos gravosos y arenosos se realiza inmediatamente, en cambio en suelos cohesivos poco o nada plásticos y suelos cohesivos plásticos se realiza mediante expansión se efectuará con agua en 4 días saturación más desfavorable y la medida de expansión se realizar cada 24 horas. El ensayo CBR (ensayo de Relación de Soporte de California), mide la resistencia al corte de un suelo bajo condiciones de humedad y densidad controladas. El ensayo permite obtener un número de la relación de soporte pero, de la aseveración anterior, es evidente que éste número no es constante para un suelo dado, sino que se aplica al estado en el cuál se encontraba el suelo durante el ensayo. De paso, es interesante comentar que el experimento puede hacerse en el terreno o en un suelo compactado. El número CBR (o simplemente CBR) se obtiene como la relación de la carga unitaria (en lbs. /plg²) necesaria para lograr una cierta profundidad de penetración del pistón (con un área de 19.4 cm²) dentro de la muestra compactada de suelo a un contenido de humedad y densidad dadas con respecto a la carga unitaria patrón requerida para obtener la misma profundidad de penetración en una muestra estándar de material triturado. 5
  • 6.
    El C.B.R. varíade acuerdo a la compactación del suelo su contenido de humedad al compactar y cuando se realiza el ensayo. Los ensayos del C.B.R. pueden ser realizados “In Sito” usando el equipo correspondiente al laboratorio tanto en muestras inalteradas como en compactadas. Los ensayos “In sito” se realizan solamente en el suelo con el contenido de humedad existente. Han sido pensados procedimientos para preparar la muestra de laboratorio de diferentes clases de suelos con el fin de reproducir las condiciones que verdaderamente se producirán durante y después de la construcción. Estos procedimientos se aplican cuando le contenido de humedad durante la construcción va a ser el óptimo para tener la máxima densidad, además el suelo va a ser compactado al menos al 95%. El CBR usualmente se basa en la relación de carga para una penetración de 2.5 mm. Sin embargo, si el valor de CBR a una penetración de 5.0 mm. Es mayor el ensayo debería repetirse. Si un segundo ensayo, produce nuevamente un valor de CBR mayor de 5.0 mm. De penetración, dicho valor debe aceptarse como valor final del ensayo. Los ensayos de CBR se hacen usualmente sobre muestras compactadas al contenido de humedad óptima para el suelo específico determinado. Utilizando el ensayo de compactación. Los ensayos de CBR se hacen usualmente sobre muestras compactadas al contenido de humedad óptimo para un suelo específico, determinado utilizando el ensayo de compactación estándar o modificada del experimento.  PENETRÓMETRO DINÁMICO DE CONO. El operador dirige la punta del PDC dentro del suelo, levantando el martillo deslizante hasta la manija y soltándolo para que caiga libremente hasta golpear el yunque. La penetración total para un determinado número de golpes es medida y registrada en términos de milímetros por golpe, valor que es utilizado para describir la rigidez, para estimar una resistencia CBR in-situ a través de una correlación apropiada o para establecer otras características del material. Este método de ensayo se usa para evaluar la resistencia in-situ de suelos inalterados y/o materiales compactados. La rata de penetración del PDC de 8 kilogramos puede ser utilizada para estimar el CBR in-situ; para identificar los espesores de las capas; así como para estimar la resistencia al corte de las capas y otras características de los materiales que las constituyen. El PDC de 8 kilogramos debe ser sostenido verticalmente durante su empleo y, por lo tanto, es utilizado fundamentalmente en aplicaciones de construcciones horizontales, tales como pavimentos y losas de piso. 6
  • 7.
    El instrumento estípicamente empleado para evaluar propiedades de los materiales a una profundidad hasta de 1.000 milímetros bajo la superficie. Fig. 2. Esquema del dispositivo del penetrometro dinámico de cono. 7
  • 8.
    EQUIPOS Y MATERIALES Prensa:Similar a las usadas en ensayos de compresión, utilizada para forzar la penetración de un pistón en el espécimen. Debe tener una capacidad suficiente para penetrar el pistón en el espécimen a una velocidad de 1.27 mm/min (0.05”/min) y hasta una profundidad de 12.7 mm (0.5”). El desplazamiento entre la base y el cabezal se debe poder regular a una velocidad uniforme de 1.27 mm (0.05") por minuto. La capacidad de la prensa y su sistema para la medida de carga deben ser de 44.5 kN (10000lbf) ó más y la precisión mínima en la medida debe ser de 44N ó menos. Martillo de compactación: de 10 libras Aparato medidor de expansión: compuesto por:  Una placa de metal perforada, por cada molde, de 149.2 + 1.6 mm (5 7/8 ±1/16”) de diámetro, cuyas perforaciones no excedan de 1,6 mm (1/16") de diámetro. Estará provista de un vástago en el centro con un sistema de tornillo que permita regular su altura.  Un trípode cuyas patas puedan apoyarse en el borde del molde, que lleve montado y bien sujeto en el centro un dial (deformímetro), cuyo vástago coincida con el de la placa, de forma que permita controlar la posición de éste y medir la expansión, con aproximación de 0.025 mm(0.001"). 8
  • 9.
    Moldes: De metal,cilíndricos, de 152,4 mm ± 0.66 mm (6 ±0.026") de diámetro interior y de 177,8 ± 0.46 mm ( 7 ± 0.018") de altura, provisto de un collar suplementario de 51 mm (2.0") de altura y una placa de base perforada de 9.53 mm (3/8") de espesor. Las perforaciones de la base deberán ser por lo menos 20 uniformemente espaciadas dentro de la circunferencia del molde, no excederán de 1,6 mm (1/16”) de diámetro. La base se deberá poder ajustar a cualquier extremo del molde. Disco espaciador: De forma circular, metálico, de 150.8 ± 0.8mm (5 15/16”±1/32”) de diámetro y de 61.37 ± 0.25 mm (2.416 ± 0.01") de espesor, para insertarlo como falso fondo en el molde cilíndrico durante la compactación. Sobrecargas metálicas: Unas diez por cada molde, una anular y las restantes ranuradas, con una masa de 2,27 ± 0.04 Kg (5 ± 0.10 lb) cada una, 149.2 + 1.6 mm (5 7/8 ± 1/16”) de diámetro exterior y la anular con 54 mm de diámetro en el orificio centra Pistón de penetración: Cilíndrico, metálico de 49.63 ± 0.13 mm de diámetro (1.954 ± 0.005"), área de 1935 mm² (3 pulg²) y con longitud necesaria para realizar el ensayo de penetración con las sobrecargas precisas de acuerdo con la Sección 3.6, pero nunca menor de 101.6 mm (4"). Dos diales (deformímetros): Con recorrido mínimo de 25 mm (1") y divisiones en 0.025 mm (0.001"), uno de ellos provisto de una pieza que permita su acoplamiento en la prensa para medir la penetración del pistón en la muestra. Tanque: Con capacidad suficiente para la inmersión de los moldes en agua. Horno: Termostáticamente controlado, regulable a 110 ± 5°C (230 ± 9°F) Balanzas: Una de 20 kg de capacidad, y otra de 1000 g con sensibilidades de 5 g y 0.1 g respectivamente. 9
  • 10.
    Herramientas y accesorios.Pala, platón o bandeja metálica de mezclado, machete, baldes y espátula. Tamices: De 4.75 mm (No.4) y de 19.0 mm (3/4"). . 10
  • 11.
    PROCEDIMIENTO 1. Preparar tresmuestras de material cada una con pesos de 6000 gr y a partir de ello se realiza un cuarteo para que éste tenga diferentes tamaños en su composición granular. 2. Luego, debemos tamizarla con el propósito de que el 75% del material pase el tamiz, de lo contrario resultaría necesario hacer reemplazo de material con el que pasa por dicho tamiz, pero queda retenido en el Número 4. 3. Para cada molde ajustar el molde a la base, insertar el disco espaciador en el molde y cubrirlo con un disco de papel filtro. 4. Después, de haber determinado la humedad óptima y natural del terreno, 7% y 1% (por medio del ensayo de laboratorio de proctor modificado), respectivamente. Con estos valores se procede a calcular la cantidad de agua que se debe suministrar a la muestra para alcanzar la humedad óptima. 5. Fabricar 3 probetas de 5 capas cada una: 1 de 12 golpes por capa, 1 de 25 golpes por capa y 1 de 56 golpes por capa, se compacta el suelo con las energías necesarias para este caso se utilizó proctor modificado.. 6. Para cada molde retirar la base, el collar y el disco espaciador, se da vuelta a la muestra se enrasa con el machete y se pesa el molde con el suelo compactado. 7. Colocar un disco de papel filtro sobre la base, invertir la muestra y asegurar el molde a la base de forma que el suelo quede en contacto con el papel filtro. 8. Colocar dos pesas ranuradas (aprox. 5 libras cada una) sobre la muestra de suelo compactado para simular la presión de sobrecarga requerida. 9. Sumergir en un tanque de inmersión durante un lapso de 96 horas las probetas con la muestra dentro. A partir del momento de la inmersión y cada 24 horas se lee la expansión o contracción de las muestras, con un deformímetro ubicado en un trípode que se ubica sobre el molde directamente. 10. Pasadas las 96 horas se extrae la muestra del tanque de inmersión y se 11
  • 12.
    deja escurriendo durante15 minutos luego se lleva a una prensa, la cual imparte una fuerza de penetración a una velocidad de deformación de 1.27 mm por minuto. 11. Colocar la muestra en la máquina de compresión y sentar el pistón sobre la superficie de suelo utilizando una carga inicial no mayor de 4.5 kg. Fijar el cero en los deformímetros de medida de carga y de penetración (o deformación). 12. Hacer lecturas de deformación o penetración y tomar las respectivas lecturas del deformímetro de carga. 12
  • 13.
    CALCULOS Y RESULTADOS PARALAS MUESTRAS SECAS  12 golpes Datos iniciales: molde 15 Diámetro promedio (mm) 151,77 Altura del molde (mm) 179 Volumen del molde (mm3) 3238140,612 Masa del molde (g) 7181 Masa del molde + muestra (g) 11775 Peso de las pesas (g) 5000 Masa muestra (g) 4594 Numero de golpes por cada capa 12 Numero de capas 5 Humedad natural (%) 13,6 Volumen del molde (cm3) 3238,140612 Densidad húmeda de la muestra (g/cm3) 1,418715414 Densidad seca de la muestra (g/cm3) 1,248869203 13
  • 14.
    Ensayo CBR, resultados di(in) Tiempo (segundos) d2 (Milésima de pulgada) K anillo Esfuerzo (Psi) CBR 0,005 0,01 0 12,26 0,00 0,025 30 2,4 12,26 9,81 0,05 60 4,2 12,26 17,16 0,075 90 5,5 12,26 22,48 0,1 120 7,2 12,26 29,42 2,9424 0,15 180 8,5 12,26 34,74 0,2 240 9,5 12,26 38,82 2,588 0,25 300 10,5 12,26 42,91 0,3 360 11,5 12,26 47,00 0,4 480 13,3 12,26 54,35266667 0,5 600 14,8 12,26 60,48266667 14
  • 15.
    Ensayo cono dinámico,resultados: Determinación de la humedad molde No 286 Peso recipiente (g) 38 Recipiente + muestra húmeda (g) 96 Recipiente + muestra seca (g) 91 Humedad (%) 9,43 Penetració Penetración Penetració Factor Índice CB Nume Penetraci Penet Penetr n entre n por del PDC R ro de ón (Valor ración ación acumulada lecturas golpe martill (mm)/go (% golpe leído) (cm) (mm) (mm) (mm) (mm) o lpe ) 0 92 0 0 0 0 0 1 0 0 1 90 2 20 20 7 20 1 20 10 2 89 3 30 50 30 10 1 10 22 3 88 4 40 70 20 10 1 10 22 4 87,5 4,5 45 85 15 5 1 5 48 5 87 5 50 95 10 5 1 5 48 6 86 6 60 110 15 10 1 10 22 7 85 7 70 130 20 10 1 10 22 8 84,5 7,5 75 145 15 5 1 5 48 9 83,5 8,5 85 160 15 10 1 10 22 10 83 9 90 175 15 5 1 5 48 11 82 10 100 190 15 10 1 10 22 12 81,5 10,5 105 205 15 5 1 5 48 13 80,5 11,5 115 220 15 10 1 10 22 15
  • 16.
    26 Golpes Datos iniciales: Molde No 1 Diámetro promedio (mm) 151,99 Altura del molde (mm) 178 Volumen del molde (mm3) 3229534,39 Masa del molde (g) 7273 Masa del molde + muestra (g) 12188 Peso de las pesas (g) 5000 Masa muestra (g) 4915 Numero de golpes por cada capa 26 Numero de capas 5 Humedad natural (%) 13,6 Volumen del molde (cm3) 3229,53439 Densidad húmeda de la muestra (g/cm3) 1,52189121 Densidad seca de la muestra (G/cm3) 1,33969297 16
  • 17.
    Ensayo CBR, cálculos: di(in) Tiempo (segundos) d2 (Milésima de pulgada) K anillo Esfuerzo (Psi) CBR 0,005 0,01 0 12,26 0,00 0,025 30 3,3 12,26 13,49 0,05 60 6,8 12,26 27,79 0,075 90 10,1 12,26 41,28 0,1 120 12,6 12,26 51,49 5,1492 0,15 180 15,5 12,26 63,34 0,2 240 18 12,26 73,56 4,904 0,25 300 20,2 12,26 82,55 0,3 360 22,4 12,26 91,54 0,4 480 0,5 600 Ensayo cono dinámico, resultados: Determinación de la humedad molde No 224 Peso del recipiente (g) 38 Peso muestra húmeda + recipiente (g) 108 Peso muestra seca + recipiente (g) 101 Humedad (%) 11,11 17
  • 18.
    Penetració Penetración Penetració Factor Índice CB Nume Penetraci Penetr Penetr n entre n por del PDC R ro de ón (Valor ación ación acumulada lecturas golpe martill mm/gol (% golpe leído) (cm) (mm) (mm) (mm) (mm) o pe ) 0 92,5 0 0 0 0 0 1 0 0 1 91,8 0,7 7 7 7 7 1 7 33 2 90,6 1,9 19 26 19 12 1 12 18 3 90 2,5 25 44 18 6 1 6 39 10 4 89,8 2,7 27 52 8 2 1 2 0 5 89,4 3,1 31 58 6 4 1 4 62 6 89 3,5 35 66 8 4 1 4 62 7 88,4 4,1 41 76 10 6 1 6 39 8 88 4,5 45 86 10 4 1 4 62 9 87,2 5,3 53 98 12 8 1 8 28 10 86,8 5,7 57 110 12 4 1 4 62 11 86,4 6,1 61 118 8 4 1 4 62 12 85,9 6,6 66 127 9 5 1 5 48 13 85,5 7 70 136 9 4 1 4 62 14 85 7,5 75 145 9 5 1 5 48 18
  • 19.
    56 Golpes Datos iniciales: Molde No 4 Diámetro promedio (mm) 151,20 Altura del molde (mm) 178 Volumen del molde (mm3) 3196049,272 Masa del molde (g) 7184 Masa del molde + muestra (g) 12549 Peso de las pesas (g) 5000 Masa muestra (g) 5365 Numero de golpes por cada capa 56 Numero de capas 5 Humedad natural (%) 13,6 Volumen del molde (cm3) 3196,049272 Densidad húmeda de la muestra (g/cm3) 1,678634947 Densidad seca de la muestra (g/cm3) 1,477671608 19
  • 20.
    Ensayo CBR, resultados di(in) Tiempo (segundos) d2 (Milesima de pulgada) K anillo Esfuerzo (Psi) CBR 0,005 0,01 3,5 12,26 14,30 0,025 30 8,1 12,26 33,10 0,05 60 11,6 12,26 47,41 0,075 90 17 12,26 69,47 0,1 120 21,8 12,26 89,09 8,9089 0,15 180 29,2 12,26 119,33 0,2 240 35,3 12,26 144,26 9,617 0,25 300 40,6 12,26 165,92 0,3 360 43,4 12,26 177,36 0,4 480 0,5 600 Ensayo cono dinámico, resultados Penetració Penetración Penetració Factor Índice CB Nume Penetraci Penetr Penetr n entre n por del PDC R ro de ón (Valor ación ación acumulada lecturas golpe martill mm/gol (% golpe leido) (cm) (mm) (mm) (mm) (mm) o pe ) 0 93 0 0 0 0 0 1 0 0 1 91,8 1,2 12 12 7 12 1 1218 2 91,3 1,7 17 29 17 5 1 548 3 90,5 2,5 25 42 13 8 1 828 10 4 90,2 2,8 28 53 11 3 1 3 0 20
  • 21.
    10 5 90 3 30 58 5 2 1 2 0 6 89,7 3,3 33 63 5 3 1 3 85 7 89 4 40 73 10 7 1 7 33 10 8 88,8 4,2 42 82 9 2 1 2 0 9 88,5 4,5 45 87 5 3 1 3 85 10 88,2 4,8 48 93 6 3 1 3 85 11 87,9 5,1 51 99 6 3 1 3 85 12 87,5 5,5 55 106 7 4 1 4 62 13 87,2 5,8 58 113 7 3 1 3 85 14 86,8 6,2 62 120 7 4 1 4 62 15 86,4 6,6 66 128 8 4 1 4 62 16 86 7 70 136 8 4 1 4 62 10 17 85,9 7,1 71 141 5 1 1 1 0 18 85,6 7,4 74 145 4 3 1 3 85 19 85,1 7,9 79 153 8 5 1 5 48 10 20 84,9 8,1 81 160 7 2 1 2 0 10 21 84,7 8,3 83 164 4 2 1 2 0 22 84,3 8,7 87 170 6 4 1 4 62 10 23 84,2 8,8 88 175 5 1 1 1 0 21
  • 22.
    Esfuerzo vs Deformacion Muestra seca 200,00 180,00 160,00 140,00 Esfuerzo (psi) 120,00 100,00 80,00 60,00 40,00 20,00 0,00 0 0,1 0,2 0,3 0,4 0,5 0,6 deformacion (in) 26 GOLPES MUESTRA SECA 56 GOLPES MUESTRA SECA 12 GOLPES MUESTRA SECA 22
  • 23.
    Peso especifico SecoVs CBR 12 10 8 26 golpes 6 56 golpes 12 golpes 4 2 0 1,2 1,25 1,3 1,35 1,4 1,45 1,5 23
  • 24.
    PARA LAS MUESTRASHUMEDAS  12 Golpes Datos iniciales: Molde No 5 Diámetro promedio (mm) 133,40 Altura del molde (mm) 178 Volumen del molde (mm3) 2487834,825 Masa del molde (g) 7191 Masa del molde + muestra (g) 11856 Peso de las pesas (g) 5000 Masa muestra (g) 4665 Numero de golpes por cada capa 12 Numero de capas 5 Humedad natural (%) 13,6 Volumen del molde (cm3) 2487,834825 Densidad húmeda de la muestra (g/cm3) 1,875124487 Densidad seca de la muestra (g/cm3) 1,650637753 24
  • 25.
    Ensayo cono dinámico,resultados: Penetració Penetración Penetració Factor Índice CB Nume Penetraci Penetr Penetr n entre n por del PDC R ro de ón (Valor ación ación acumulada lecturas golpe martill mm/gol (% golpe leído) (cm) (mm) (mm) (mm) (mm) o pe ) 0 92 0 0 0 0 0 1 0 0 1 88 4 40 40 7 40 1 40 5 2 85,5 6,5 65 105 65 25 1 25 8 3 82 10 100 165 60 35 1 35 5 10 4 80,5 11,5 115 215 50 15 1 15 0  26 Golpes Datos iniciales: Molde No 11 Diámetro promedio (mm) 153,00 Altura del molde (mm) 171,1 Volumen del molde (mm3) 3145739,477 Masa del molde (g) 8598 Masa del molde + muestra (g) 13464 W de las pesas (g) 5000 Masa muestra (g) 4866 Numero de golpes por cada capa 26 Numero de capas 5 Humedad natural (%) 13,6 Volumen del molde (cm3) 3145,739477 Densidad húmeda de la muestra (g/cm3) 1,546854097 25
  • 26.
    Densidad seca dela muestra (g/cm3) 1,361667339 Ensayo CBR, resultados: d2 (Milésima de di (in) Tiempo (segundos) pulgada) K anillo Esfuerzo (Psi) CBR 0,005 0,01 1,5 12,26 6,13 0,025 30 7 12,26 28,61 0,05 60 14 12,26 57,21 0,075 90 26 12,26 106,25 0,1 120 44 12,26 179,81 17,9813 0,15 180 86 12,26 351,45 0,2 240 150 12,26 613,00 40,867 0,25 300 175 12,26 715,17 0,3 360 218 12,26 890,89 0,4 480 300 12,26 1226,00 0,5 600 380 12,26 1552,93 26
  • 27.
    Ensayo cono dinámico,resultados: Penetració Penetración Penetració Factor Índice CB Nume Penetraci Penetr Penetr n entre n por del PDC R ro de ón (Valor ación ación acumulada lecturas golpe martill mm/gol (% golpe leído) (cm) (mm) (mm) (mm) (mm) o pe ) 0 92 0 0 0 0 0 1 0 0 1 90 2 20 20 7 20 1 20 10 2 89 3 30 50 30 10 1 10 22 3 88 4 40 70 20 10 1 10 22 10 4 87 5 50 90 20 10 1 10 0 5 86 6 60 110 20 10 1 10 22 6 85 7 70 130 20 10 1 10 22 7 83 9 90 160 30 20 1 20 10 8 80 12 120 210 50 30 1 30 6 27
  • 28.
    56 Golpes Datos iniciales: Molde No NA Diámetro promedio (mm) 152,42 Altura del molde (mm) 176 Volumen del molde (mm3) 3211341,293 Masa del molde (g) 7285 Masa del molde + muestra (g) 12459 Peso de las pesas (g) 5000 Masa muestra (g) 5174 Numero de golpes por cada capa 56 Numero de capas 5 Humedad natural (%) 13,6 Volumen del molde (cm3) 3211,341293 Densidad húmeda de la muestra (g/cm3) 1,611164784 Densidad seca de la muestra (g/cm3) 1,418278859 28
  • 29.
    Ensayo CBR, resultados: d2 (Milesima de di (in) Tiempo (segundos) pulgada) K anillo Esfuerzo (Psi) CBR 0,005 0,01 0 12,26 0,00 0,025 30 9 12,26 36,78 0,05 60 19 12,26 77,65 0,075 90 34 12,26 138,95 0,1 120 46 12,26 187,99 18,7987 0,15 180 69 12,26 281,98 0,2 240 82 12,26 335,11 22,340 0,25 300 92 12,26 375,97 0,3 360 98 12,26 400,49 0,4 480 112 12,26 457,7066667 0,5 600 128 12,26 523,0933333 29
  • 30.
    Ensayo cono dinámico,resultados: Penetracio Penetracion Penetracio Factor Indice CB Nume Penetraci Penetr Penetr n entre n por del PDC R ro de on (Valor acion acion acumulada lecturas golpe martill mm/gol (% golpe leido) (cm) (mm) (mm) (mm) (mm) o pe ) 0 93 1 0 0 0 0 1 0 0 1 91,5 0,5 5 5 7 5 1 5 48 2 91 1 10 15 10 5 1 5 48 3 90,5 1,5 15 25 10 5 1 5 48 10 4 90 2 20 35 10 5 1 5 0 5 89,5 2,5 25 45 10 5 1 5 48 6 89 3 30 55 10 5 1 5 48 7 88,5 3,5 35 65 10 5 1 5 48 8 88 4 40 75 10 5 1 5 48 9 87,5 4,5 45 85 10 5 1 5 48 10 87 5 50 95 10 5 1 5 48 11 87 5 50 100 5 0 1 0 0 12 86,5 5,5 55 105 5 5 1 5 48 13 86 6 60 115 10 5 1 5 48 14 85,5 6,5 65 125 10 5 1 5 48 15 85 7 70 135 10 5 1 5 48 16 84,5 7,5 75 145 10 5 1 5 48 17 84 8 80 155 10 5 1 5 48 18 84 8 80 160 5 0 1 0 0 19 83,5 8,5 85 165 5 5 1 5 48 20 82,5 9,5 95 180 15 10 1 10 22 30
  • 31.
    21 82 10 100 195 15 5 1 5 48 Esfuerzo vs Deformacion muestra sumergida 1800,00 1600,00 1400,00 1200,00 1000,00 56 GOLPES MUESTRA SUMERGIDA 800,00 26 GOLPES PRUEBA SUMERGIDA 600,00 400,00 200,00 0,00 0 0,1 0,2 0,3 0,4 0,5 0,6 31
  • 32.
    ANALISIS DE RESULTADOS  Observando la tabla que incluye distintos valores de CBR y da una clasificación del suelo. Clasificación Cualitativa del CBR Suelo Uso 2 -5 Muy Mala Sub-rasante 5 -8 Mala Sub-rasante 8 - 20 Regular - Buena Sub-rasante 20 - 30 Excelente Sub-rasante 30 - 60 Buena Sub-base 60 - 80 Buena Base 80 - 100 Excelente Base Según los resultados obtenidos tras la realización de los cálculos y basándonos en la tabla anterior se puede afirmar que es para uso de sub- rasante según su CBR aunque los resultados no concuerdan debido a muchos factores humanos principalmente en los equipos usados, debido a que son muy antiguos y no cumplen con las especificaciones mínimas de la norma 32
  • 33.
    CONCLUSIONES  En el ensayo Cbr la muestra es sumergida para prever la hipotética acumulación de humedad en el suelo después de la construcción.  En los resultados se observa claramente que la muestra que fue compactada con 56 golpes es el que mejor resultado arroja ya que se redujo la relación de vacíos que existe en la muestra, aumento de densidad, y por lo tanto el suelo se comporta de una manera más homogénea y resistente.  A la hora de comparar el % Cbr obtenido por la prensa y por el cono dinámico hubieron grandísimas discrepancias debido principalmente a la calidad y calibración adecuada de los equipos del laboratorio  Es evidente que la compactación en el diseño de una estructura de pavimento asegura su vida útil y su correcto funcionamiento; así como el agua sigue siendo un factor determinante en el comportamiento de los materiales en la ingeniería.  El CBR generalmente se obtiene para condiciones de material compactado y saturado, pero en la mayor de casos los cambios climáticos, los sistemas de drenaje, y otros factores no permiten que el suelo llegue a las condiciones de saturación, es por esto que si existe la posibilidad de realizar el ensayo CBR en las condiciones ms similares al lugar en donde se esta realizando nuestra construcción.  En el caso nuestro debido a que la curva de deformación no presento puntos de inflexión por lo tanto no hubo la necesidad de realizar la respectiva corrección.  Una de las principales dificultades en la realización del ensayo es el momento de girar la muestra para colocar la pesa ya que en el caso de la muestra que recibió 12 golpes por capa el material se disgregaba y lógicamente se alteraban los resultados motivo por el cual se puede repetir el ensayo. 33
  • 34.
    BIBLIOGRAFIA  Instituto nacional de vías, Normas técnicas ``INVIAS E 172 de 2007``.  Instituto nacional de vías, Normas técnicas ``INVIAS E 148 de 2007``.  BADILLO, J Mecánica de suelos Tomo I. Editorial Limusa México 2005. 34