Incrustar presentación
Descargar para leer sin conexión






































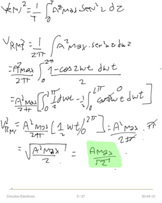
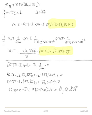
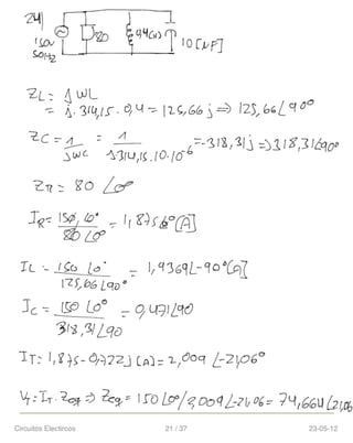
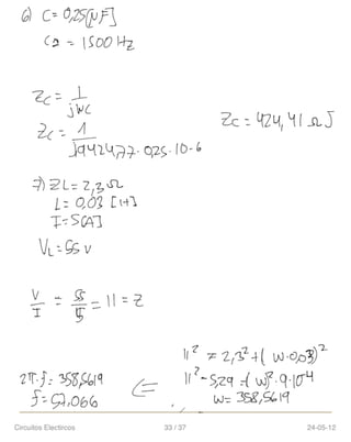
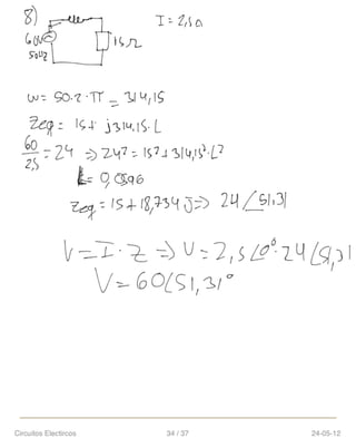
Este documento trata sobre señales periódicas, inductancia, capacitancia y desfase de voltaje en corriente alterna. Explica el uso de fasores para dividir ángulos y restar amplitudes. También discute cómo maximizar la potencia activa minimizando el ángulo phi para lograr la máxima transferencia de potencia. Finalmente, realizará cálculos usando un valor medido de resistencia de 10.8 ohmios.




































