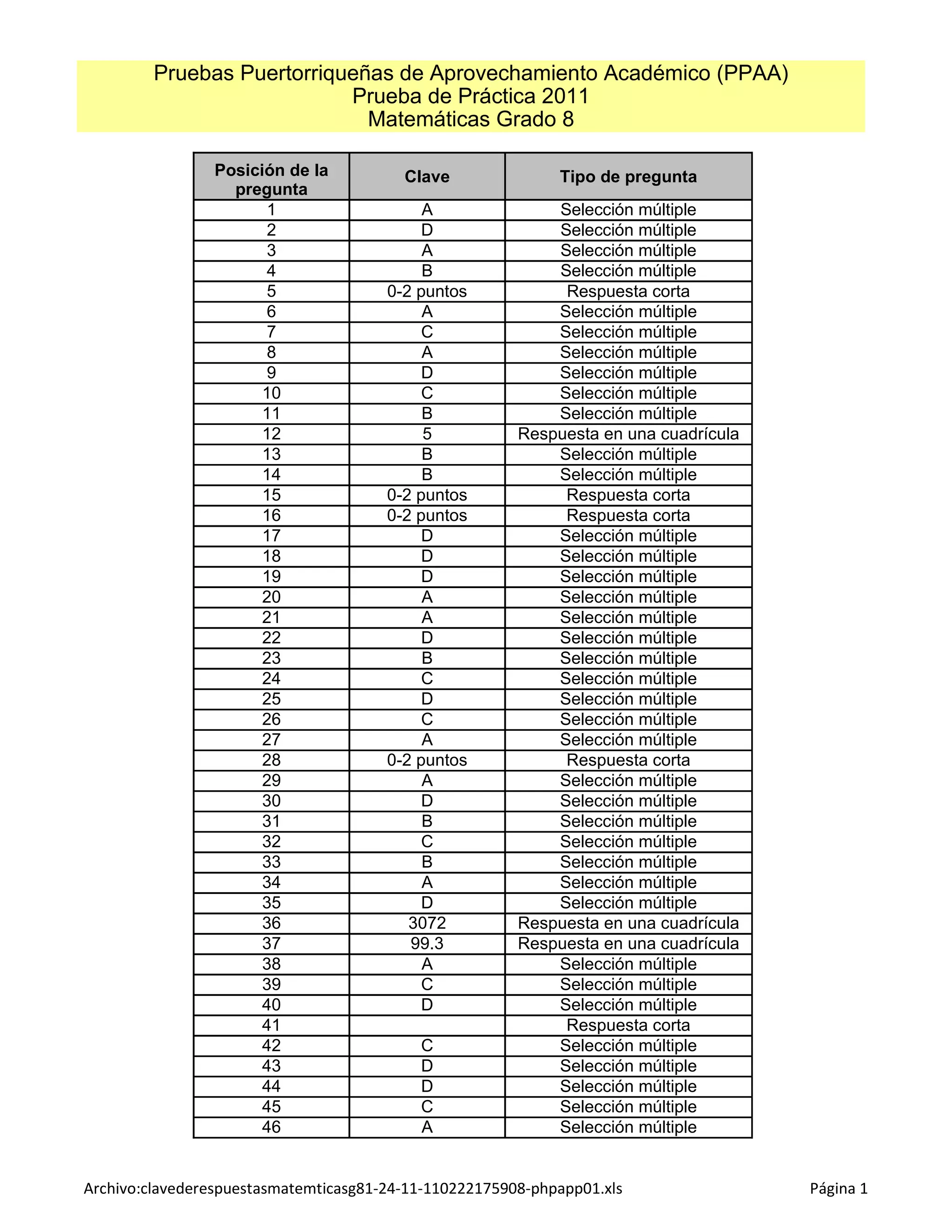
Pruebas Puertorriqueñas de Aprovechamiento Académico (PPAA)
                            Prueba de Práctica 2011
                              Matemáticas Grado 8

                Posición de la           Clave               Tipo de pregunta
                  pregunta
                      1                     A               Selección múltiple
                      2                     D               Selección múltiple
                      3                     A               Selección múltiple
                      4                     B               Selección múltiple
                      5                0-2 puntos            Respuesta corta
                      6                     A               Selección múltiple
                      7                     C               Selección múltiple
                      8                     A               Selección múltiple
                      9                     D               Selección múltiple
                      10                    C               Selección múltiple
                      11                    B               Selección múltiple
                      12                    5           Respuesta en una cuadrícula
                      13                    B               Selección múltiple
                      14                    B               Selección múltiple
                      15               0-2 puntos            Respuesta corta
                      16               0-2 puntos            Respuesta corta
                      17                    D               Selección múltiple
                      18                    D               Selección múltiple
                      19                    D               Selección múltiple
                      20                    A               Selección múltiple
                      21                    A               Selección múltiple
                      22                    D               Selección múltiple
                      23                    B               Selección múltiple
                      24                    C               Selección múltiple
                      25                    D               Selección múltiple
                      26                    C               Selección múltiple
                      27                    A               Selección múltiple
                      28               0-2 puntos            Respuesta corta
                      29                    A               Selección múltiple
                      30                    D               Selección múltiple
                      31                    B               Selección múltiple
                      32                    C               Selección múltiple
                      33                    B               Selección múltiple
                      34                    A               Selección múltiple
                      35                    D               Selección múltiple
                      36                  3072          Respuesta en una cuadrícula
                      37                  99.3          Respuesta en una cuadrícula
                      38                    A               Selección múltiple
                      39                    C               Selección múltiple
                      40                    D               Selección múltiple
                      41                                     Respuesta corta
                      42                   C                Selección múltiple
                      43                   D                Selección múltiple
                      44                   D                Selección múltiple
                      45                   C                Selección múltiple
                      46                   A                Selección múltiple


Archivo:clavederespuestasmatemticasg81-24-11-110222175908-phpapp01.xls                Página 1
Posición de la           Clave               Tipo de pregunta
                  pregunta
                      47               0-2 puntos             Respuesta corta
                      48               0-2 puntos             Respuesta corta
                      49                    A                Selección múltiple
                      50                    B                Selección múltiple
                      51                    B                Selección múltiple
                      52                    A                Selección múltiple
                      53                    B                Selección múltiple
                      54                    C                Selección múltiple
                      55                    B                Selección múltiple
                      56               0-2 puntos             Respuesta corta
                      57                    C                Selección múltiple
                      58                    C                Selección múltiple
                      59                    C                Selección múltiple
                      60                    B                Selección múltiple
                      61                    D                Selección múltiple
                      62                    B                Selección múltiple
                      63                    C                Selección múltiple
                      64                    B                Selección múltiple




Archivo:clavederespuestasmatemticasg81-24-11-110222175908-phpapp01.xls            Página 2

Clave de respuestas matemáticas g8 1-24-11

  • 1.
    Pruebas Puertorriqueñas deAprovechamiento Académico (PPAA) Prueba de Práctica 2011 Matemáticas Grado 8 Posición de la Clave Tipo de pregunta pregunta 1 A Selección múltiple 2 D Selección múltiple 3 A Selección múltiple 4 B Selección múltiple 5 0-2 puntos Respuesta corta 6 A Selección múltiple 7 C Selección múltiple 8 A Selección múltiple 9 D Selección múltiple 10 C Selección múltiple 11 B Selección múltiple 12 5 Respuesta en una cuadrícula 13 B Selección múltiple 14 B Selección múltiple 15 0-2 puntos Respuesta corta 16 0-2 puntos Respuesta corta 17 D Selección múltiple 18 D Selección múltiple 19 D Selección múltiple 20 A Selección múltiple 21 A Selección múltiple 22 D Selección múltiple 23 B Selección múltiple 24 C Selección múltiple 25 D Selección múltiple 26 C Selección múltiple 27 A Selección múltiple 28 0-2 puntos Respuesta corta 29 A Selección múltiple 30 D Selección múltiple 31 B Selección múltiple 32 C Selección múltiple 33 B Selección múltiple 34 A Selección múltiple 35 D Selección múltiple 36 3072 Respuesta en una cuadrícula 37 99.3 Respuesta en una cuadrícula 38 A Selección múltiple 39 C Selección múltiple 40 D Selección múltiple 41 Respuesta corta 42 C Selección múltiple 43 D Selección múltiple 44 D Selección múltiple 45 C Selección múltiple 46 A Selección múltiple Archivo:clavederespuestasmatemticasg81-24-11-110222175908-phpapp01.xls Página 1
  • 2.
    Posición de la Clave Tipo de pregunta pregunta 47 0-2 puntos Respuesta corta 48 0-2 puntos Respuesta corta 49 A Selección múltiple 50 B Selección múltiple 51 B Selección múltiple 52 A Selección múltiple 53 B Selección múltiple 54 C Selección múltiple 55 B Selección múltiple 56 0-2 puntos Respuesta corta 57 C Selección múltiple 58 C Selección múltiple 59 C Selección múltiple 60 B Selección múltiple 61 D Selección múltiple 62 B Selección múltiple 63 C Selección múltiple 64 B Selección múltiple Archivo:clavederespuestasmatemticasg81-24-11-110222175908-phpapp01.xls Página 2