Incrustar presentación
Descargar para leer sin conexión






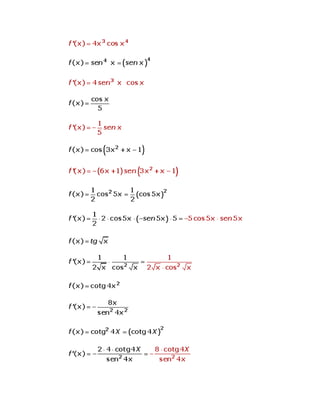
El documento presenta las derivadas de las funciones trigonométricas seno, coseno, tangente, cotangente, secante y cosecante. Luego propone seis actividades para calcular derivadas trigonométricas de funciones dadas como ejercicio de práctica.




