Inecuaciones
                     Trabajo 1
HALLAR LOS VALORES PARA X Y ESCRIBIR LOS
INTERVALOS CON SUS GRAFICAS RESPECTIVAS
DE:
   4x -20 > 0

   14x+7 < 0

   - 6x +9 ≥ 0

   3x+5 >2(x-1)

   6x +9 ≤ 5x-2

   -6x +5 ≥ 0

   2x ≤ 4x- 4




                     Trabajo 2
HALLAR LOS LÍMITES DE LAS SIGUIENTES
FUNCIONES
APLICACIONES DE LÍMITES

 1. Una piscina se vacía según la función              donde v
   es volumen expresado en m3, y t el tiempo en minutos ¿A qué
   valor se aproxima el volumen cuando el tiempo se aproxima a
   7minutos?



 2. El área de un terreno rectangular esta dado según la función
                donde a esel ancho del terreno expresado en
   metros ¿A qué valor se aproxima el área del terreno cuandosu
   ancho se aproxima a 0 metros?

Un corredor de autos pregunta:

 3. la aceleración de un automóvil se da según la función
donde t es el tiempo en minutos ¿A qué valor se aproxima la
aceleración cuando el tiempo se aproxima a 2 minutos?

 4. La potencia de un motor se da según la función
   donde w es el trabajo que realiza el motor expresado en joules
   (J) ¿A qué valor se aproxima la potencia del motor sabiendo
   que el trabajo que realiza es de 2 J?



 5. El tiempo que demora una motocicleta expresada en horas
   está dada según la función                , donde e es el espacio
   en metros ¿A qué valor se aproxima el tiempo según la
   formula cuando hipotéticamente el espacio se aproxima al

Un Ingeniero pregunta:

 6. El trabajo que realiza un ascensor esta dado según la función
              , donde h es la altura que recorre el ascensor
   expresado en m ¿A qué valor se aproxima el trabajo que
   realiza el ascensor cuando la altura se aproxima a 30m?

Un geofísicopregunta:

 7. la presión atmosférica está dada según la función
      donde t es la temperatura expresada en grados centígrados
    (°) ¿A qué valor se aproxima la presión atmosférica cuando la
    temperatura se aproxima a -2°?

 8. la presión en un fondo marino se expresa según la función

               , donde h es la densidad ¿A qué valor se aproxima
la presión cuando la densidad se aproxima a 0?

Un inventor pregunta:

 9. El trabajo que realiza una balanza está dada según la función

          , donde f es la fuerza que se ejerce sobre la balanza
expresado en newton (N) ¿A qué valor se aproxima el trabajo de
la balanza cuando la fuerza ejercida sobre ella se aproxima a 1N?



                             Trabajo 3

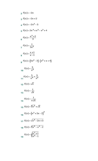
      Calcula las derivadas de las funciones:

      1
2


3


4


5



6



7



8


9



10



11


12



13



14


15


16


17


18



19
Bloque 1

Bloque 1

  • 1.
    Inecuaciones Trabajo 1 HALLAR LOS VALORES PARA X Y ESCRIBIR LOS INTERVALOS CON SUS GRAFICAS RESPECTIVAS DE: 4x -20 > 0 14x+7 < 0 - 6x +9 ≥ 0 3x+5 >2(x-1) 6x +9 ≤ 5x-2 -6x +5 ≥ 0 2x ≤ 4x- 4 Trabajo 2 HALLAR LOS LÍMITES DE LAS SIGUIENTES FUNCIONES
  • 2.
    APLICACIONES DE LÍMITES 1. Una piscina se vacía según la función donde v es volumen expresado en m3, y t el tiempo en minutos ¿A qué valor se aproxima el volumen cuando el tiempo se aproxima a 7minutos? 2. El área de un terreno rectangular esta dado según la función donde a esel ancho del terreno expresado en metros ¿A qué valor se aproxima el área del terreno cuandosu ancho se aproxima a 0 metros? Un corredor de autos pregunta: 3. la aceleración de un automóvil se da según la función
  • 3.
    donde t esel tiempo en minutos ¿A qué valor se aproxima la aceleración cuando el tiempo se aproxima a 2 minutos? 4. La potencia de un motor se da según la función donde w es el trabajo que realiza el motor expresado en joules (J) ¿A qué valor se aproxima la potencia del motor sabiendo que el trabajo que realiza es de 2 J? 5. El tiempo que demora una motocicleta expresada en horas está dada según la función , donde e es el espacio en metros ¿A qué valor se aproxima el tiempo según la formula cuando hipotéticamente el espacio se aproxima al Un Ingeniero pregunta: 6. El trabajo que realiza un ascensor esta dado según la función , donde h es la altura que recorre el ascensor expresado en m ¿A qué valor se aproxima el trabajo que realiza el ascensor cuando la altura se aproxima a 30m? Un geofísicopregunta: 7. la presión atmosférica está dada según la función donde t es la temperatura expresada en grados centígrados (°) ¿A qué valor se aproxima la presión atmosférica cuando la temperatura se aproxima a -2°? 8. la presión en un fondo marino se expresa según la función , donde h es la densidad ¿A qué valor se aproxima la presión cuando la densidad se aproxima a 0? Un inventor pregunta: 9. El trabajo que realiza una balanza está dada según la función , donde f es la fuerza que se ejerce sobre la balanza expresado en newton (N) ¿A qué valor se aproxima el trabajo de la balanza cuando la fuerza ejercida sobre ella se aproxima a 1N? Trabajo 3 Calcula las derivadas de las funciones: 1
  • 4.