encuesta realizada para conocer informacion referente a la estatura de un grupo de estudiantes del gimnasio del saber




estaturas      Xi                fi             Fi             hi              Hi             hi%
[1,40-1,45]             1.425              19             19             9.5           9.5           950
[1,45-1,50]                2.2             21             40            10.5           20           1050
[1,50-1,55]             2.275              16             56               8           28            800
[1,55-1,60]              2.35              38             94             19            47           1900
[1,60-1,65]             2.425              21            115            10.5          57.5          1050
[1,65-1,70]                2.5             40            155             20           77.5          2000
[1,70-1,75]             2.575              11            166             5.5           83            550
[1,75-1,80]              2.65               9            175             4.5          87.5           450
                                          175                           87.5                        8750


diagrama de ojiva

fi


      3

     2.5

      2

     1.5
                                                                                    Series1

      1

     0.5

      0
           1        2     3           4   5      6   7         8    9


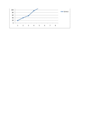
Fi


     200
     180
     160
     140
     120
     100
100
                                      Series1
 80
 60
 40
 20
  0
      1   2   3   4   5   6   7   8
diantes del gimnasio del saber




           Hi%
                     950
                    2000
                    2800
                    4700
                    5750
                    7750
                    8300
                    8750




                                 diagrama circular

                                 fi




                                 hi
1
2
3
4
5
6
7
8




1
2
3
4
5
6
7
8

Estadistica

  • 1.
    encuesta realizada paraconocer informacion referente a la estatura de un grupo de estudiantes del gimnasio del saber estaturas Xi fi Fi hi Hi hi% [1,40-1,45] 1.425 19 19 9.5 9.5 950 [1,45-1,50] 2.2 21 40 10.5 20 1050 [1,50-1,55] 2.275 16 56 8 28 800 [1,55-1,60] 2.35 38 94 19 47 1900 [1,60-1,65] 2.425 21 115 10.5 57.5 1050 [1,65-1,70] 2.5 40 155 20 77.5 2000 [1,70-1,75] 2.575 11 166 5.5 83 550 [1,75-1,80] 2.65 9 175 4.5 87.5 450 175 87.5 8750 diagrama de ojiva fi 3 2.5 2 1.5 Series1 1 0.5 0 1 2 3 4 5 6 7 8 9 Fi 200 180 160 140 120 100
  • 2.
    100 Series1 80 60 40 20 0 1 2 3 4 5 6 7 8
  • 3.
    diantes del gimnasiodel saber Hi% 950 2000 2800 4700 5750 7750 8300 8750 diagrama circular fi hi
  • 5.
  • 6.