Estudio del Consumo de la Quinua en la Ciudad de Potosí
Estudio del Consumo de la Quinua en la Ciudad de Potosí
Estudio del Consumo de la Quinua en
la Ciudad de Potosí
Autores: Raquel Borja M. y David Soraide L.
Fotografías: Mirko Carvajal
Primera edición: Noviembre, 2006
Segunda edición: Octubre, 2007
Diseño y producción: Martha Méndez I.
Depósito Legal: 4-1-1994-07
Editores: Fundación AUTAPO
Prohibida la reproducción total o parcial de esta obra sin la
autorización escrita de los autores.
Estudio del Consumo de la Quinua en la Ciudad de Potosí
PRESENTACIÓN
El consumo de quinua a nivel nacional durante estos últimos
años, está empezando a posicionarse en la mente de los
consumidores por su alto valor nutricional y propiedades
alimenticias que presenta este cultivo. Por estas consideraciones
se vio la necesidad de llevar adelante un estudio del consumo
de quinua en la ciudad de Potosí, apoyado por el Programa
Quinua conducido por la Fundación AUTAPO; lo cual permitirá
tener referencia sobre la importancia que se le da a este
alimento, determinando las cantidades de consumo por familia
con relación a otros alimentos del mercado y de esta manera
contar con información que coadyuvará a tomar decisiones
para mejorar los niveles de consumo; tomando en cuenta el
segmento del mercado local.
Es así que tengo el agrado de presentar a ustedes el Estudio
del Consumo de la Quinua en la Ciudad de Potosí, como fuente
de información a instituciones públicas y privadas, para así
tomar estrategias que puedan mejorar el hábito de consumo
interno de este grano extraordinario que supera todas las
propiedades de otros cereales
Finalmente, aprovecho la oportunidad para agradecer a la Lic.
Raquel Borja M. y al Ing. David Soraide L.
Un reconocimiento a los estudiantes de la Carrera de Estadística
de la Universidad Autónoma “Tomás Frías” por haber
participado en la realización de la Encuesta.
Una ponderación especial por el trabajo de Supervisión de
Encuesta y transcripción de boletas a los estudiantes del Equipo
de Investigación de la Carrera de Estadística que trabajan bajo
la dirección de la Lic. Raquel Borja M.
Ing. Andreas Preisig
GERENTE GENERAL
FUNDACIÓN AUTAPO
3
Estudio del Consumo de la Quinua en la Ciudad de Potosí
RESUMEN
La quinua es un cultivo de cualidades alimenticias excepcionales,
Bolivia se caracteriza por ser uno de los mayores productores.
Existen diversas variedades de quinua, la variedad que más se
destaca es la Quinua Real originaria del Altiplano Sur de Bolivia.
El propósito principal del trabajo es determinar los índices de
consumo de quinua en el mercado de la ciudad de Potosí.
Se ha ejecutado una encuesta que concentra datos sobre: el
consumo de la quinua, el grado de información que la población
posee sobre este alimento y la relación de consumo de otros
alimentos sustitutos.
Para garantizar la identificación de una muestra representativa
se han distribuido las boletas de encuesta en los doce distritos
de la ciudad de Potosí.
Los resultados obtenidos nos muestran que el consumo per
cápita de arroz alcanza a 19222.07 gr más de 19 kilos, el fideo
alcanza 12845.62 gr casi 13 kilos y la quinua 2362.93 gr menos
de los dos kilos y medio.
En consecuencia podemos concluir que el consumo de la quinua
es muy bajo, por tanto se recomienda a la población concientizar
sobre las bondades nutritivas que tiene la quinua y por otro
lado motivar la inversión sobre puntos de venta para
incrementar la actividad comercial y de mercadeo.
4
Estudio del Consumo de la Quinua en la Ciudad de Potosí
INTRODUCCIÓN
La quinua es un cereal privilegiado por su concentrado de
proteínas, vitaminas y minerales entre otras cualidades.
Las cualidades de la quinua han originado que se realicen
acciones de apoyo a la producción con la colaboración de
diferentes instituciones.
Actualmente se ha determinado la Cadena Productiva de la
Quinua para mejorar el proceso productivo, comercialización
y exportación.
En Bolivia existen zonas productoras por excelencia, la demanda
externa es creciente, en cambio en el mercado interno no
parece cobrar mucha expectativa. El propósito fundamental
del trabajo de investigación es el de establecer los niveles de
consumo de quinua en la ciudad de Potosí.
En ese marco se describen los siguientes objetivos concretos:
Objetivo general
Analizar las características del consumo de quinua en
la ciudad de Potosí.
Objetivos específicos
Determinar el nivel de información que la población
posee sobre las cualidades alimenticias de la quinua.
Identificar cuáles son las proporciones de consumo de
este alimento en los hogares potosinos.
Identificar los centros de abastecimiento que comercializan
el producto dentro la ciudad.
Comparar el consumo per cápita de la quinua frente a
otros alimentos.
5
Estudio del Consumo de la Quinua en la Ciudad de Potosí
El trabajo surge bajo el supuesto hipotético que el consumo
de quinua tiene proporciones reducidas en la ciudad de Potosí.
El trabajo de investigación es importante y se justifica por la
imperiosa necesidad de contar con información de primera
línea sobre la temática planteada que permita evaluar la
situación actual del mercado interno; la información enriquecerá
los puntos de vista para proponer estrategias de difusión,
capacitación y comercialización de este alimento.
En ese marco se ha ejecutado una encuesta dirigida a los
hogares de la ciudad, que en esencia son los consumidores o
en su defecto los potenciales consumidores de la quinua. En
principio se realizó una encuesta piloto que permitió la
identificación del tamaño muestral apropiado.
Es importante precisar que los resultados que se exponen son
de carácter descriptivo, implicando que con los datos
recolectados se pueden todavía enriquecer aún más las
conclusiones a las que se convergen en este primer documento.
6
Estudio del Consumo de la Quinua en la Ciudad de Potosí
Capítulo I
CONTEXTO GENERAL DE LA QUINUA
1.1 La quinua
La quinua recibe el nombre genérico de Chenopodium Quinoa
Willd, es una planta alimenticia producida mucho antes de la
época colonial, se estima que pueda haberse cultivado hace
más de 5000 años.
El cultivo de quinua es de cosecha anual, su tamaño oscila
desde un metro hasta incluso 3.5 metros dependiendo de la
semilla; existen muchas variedades de quinua así como también
existe una diversidad de semillas: blancas, negras, grises, cafés,
amarillas, rosadas y rojas. El cultivo de la quinua presenta un
fruto seco comestible de aproximadamente 2mm de diámetro
(en función a las variedades pueden ser: un poco más grandes
o más pequeños), las hojas que presenta también son
comestibles.
Según PROINPA (2006) la quinua es un cultivo con importante
variabilidad genética muy específica a las diferentes condiciones
ecológicas de los Andes que se manifiesta por la existencia de
más de 1000 ecotipos repartidos en cinco grandes grupos:
Se entiende por ecotipo a variedades de una misma especie
determinada, que han desarrollado adaptaciones morfológicas
y fisiológicas particulares al ecosistema donde viven sin que
haya cambios del material genético (PROINPA, 2006), los cuales
se transmiten a su descendencia. Por la presencia de estas
adaptaciones, los ecotipos son particulares a las condiciones
edafoclimática de los ecotipos del grupo al que pertenecen y
pueden difícilmente adaptarse a otro. Para una especie
determinada, los diferentes ecotipos tienen el mismo material
cromosómico y difieren por sus adaptaciones morfológicas y
fisiológicas.
Grupo 1. Denominado Sureño o Costero. Crece a baja altitud,
cerca del mar en la región de Concepción, al Sur de Chile, en
un clima lluvioso (1.000 – 1.500 mm de precipitación pluvial).
7
Estudio del Consumo de la Quinua en la Ciudad de Potosí
Soporta temperaturas mínimas de 5ºC. Se caracteriza por tener
un fotoperiodo más largo. Su grano es pequeño, aplanado y
traslúcido.
Grupo 2. Yungueño. Es de grano pequeño y crece en los valles
húmedos de la vertiente amazónica (altitud 1.500 – 2.000
m.s.n.m.) con un rango de precipitación pluvial entre 1.000 –
2.000 mm.
Grupo 3. Valle. Agrupa ecotipos que crecen en los valles del
Sur de Colombia, Ecuador, Perú y Bolivia, entre los 2.000 y
3.500 m.s.n.m. y con precipitaciones que fluctúan entre 500 y
1.500 mm. Soporta temperaturas mínimas de hasta 3ºC. Su
grano es pequeño y posee un bajo contenido de saponina.
Grupo 4. Altiplano. Crece en el Altiplano Norte y Central de
Bolivia, preferentemente a orillas del Lago Titicaca, en un
rango altitudinal de 3.800 – 4.100 m.s.n.m., con precipitaciones
que fluctúan entre 400 – 800 mm. Soporta hasta -5ºC. Sus
granos son de tamaño medio, con bajos niveles de saponina.
Grupo 5. Denominado “Salar”. Crece en el área circundante
a los salares del altiplano boliviano, de la puna del Norte
Grande de Chile (fronterizo a Bolivia) y del Nor Este de
Argentina. Agrupa a ecotipos que se caracterizan por
desarrollarse en suelos salinos con un ph próximo a 8; con
bajas precipitaciones medias anuales que varían de 212 mm
al Norte del Salar de Uyuni y 110 mm al Sur Este de este salar,
concentradas en los meses de diciembre a abril y en pisos
altitudinales de 3.600 a 3.800 m.s.n.m. en un clima frío con
temperaturas medias mensuales que varían entre 8 y 20ºC,
con 200 a 250 días de heladas al año y que llega a soportar
hasta -5ºC, con altos niveles de saponina.
De acuerdo a su sabor se clasifican en quinuas amargas y
dulces. Los principales ecotipos comerciales de quinua en el
altiplano sur de Bolivia son:
8
Estudio del Consumo de la Quinua en la Ciudad de Potosí
1.2 Cualidades que hacen de la quinua un alimento de
excelencia
La quinua hasta ahora no ha cobrado grandes demandas en
el mercado interno boliviano y en particular en el mercado
potosino, sin embargo a nivel internacional genera cada día
mayor expectativa.
Los reportes de estudios sobre la composición de la quinua la
jerarquizan como un alimento noble de insuperables bondades
nutricionales para el ser humano. La quinua es un alimento
que presenta proteínas de alta calidad (así se identifica a
aquellos alimentos que presentan aminoácidos balanceados
y ricos en lisina).
La quinua, concentra proteínas, vitaminas, minerales, hidratos
de carbono y no presenta porcentajes de grasa o colesterol
considerables; la fibra incorporada en este alimento coadyuva
a los procesos digestivos.
Se han registrado tablas comparativas de cualidades de la
quinua en relación a otros cereales los que se expresan en los
cuadros siguientes:
9
ECOTIPO/CONSUMO TRADICIONAL
Real Blanca (quinua para sopa)
Toledo (quinua para phisara, mukuna y harina)
Pandela Rosada (quinua para phisara, mukuna y sopa)
Pisankalla (quinua para tostado, pipocas)
Achachino (quinua para sopa y pito)
Mok’o (quinua para sopa, phisara y mukuna)
Hilo (quinua para sopa y phisara)
Mañiqueña (quinua para sopa)
Kosuña ( (quinua para phisara y sopa)
Fuente: Ecotipos y variedades comerciales de quinua del altiplano
sur (PROINPA, 2006)
Estudio del Consumo de la Quinua en la Ciudad de Potosí
La información más relevante del cuadro, muestra que la
quinua posee mayor concentrado de proteínas y menor
cantidad de grasas en relación al trigo, arroz y maíz.
Con el cuadro informativo presentado, se confirma las
aseveraciones formuladas sobre las cualidades especiales de
la quinua; precisamente la FAO (Organización para la
Agricultura y la Alimentación de las Naciones Unidas) considera
que sus beneficios son excepcionales y la catalogan como “el
mejor alimento para la humanidad”.
Los aminoácidos son compuestos químico-orgánicos básicos
para conformar las proteínas; los seres humanos utilizan 20
variedades de aminoácidos, algunos de estos pueden ser
formados mediante la digestión de otras substancias, sin
embargo 10 de ellos denominados “aminoácidos esenciales o
imprescindibles” no pueden ser originados por el mismo
organismo, lo que implica que deben ingerirse de forma
directa; los aminoácidos esenciales se encuentran en: cereales,
carne, leche, huevo y en la quinua (en esta última en
proporciones muy favorables).
La lisina es uno de los aminoácidos de mayor importancia
puesto que se le confiere la capacidad de mejorar el desarrollo
de las células del cerebro y por ende mejorar en el desarrollo
de la inteligencia, aprendizaje y reflejos; la quinua presenta
mayores proporciones de este componente en relación a otros
alimentos que contienen aminoácidos.
COMPONENTE gr/100gr
Proteínas
Grasas
Hidratos de carbono
Humedad
Valor energético Kcal
QUINUA
13.81
0.01
59.10
12.65
350.00
TRIGO
11.50
2.00
59.10
13.20
309.00
ARROZ
7.40
2.20
74.60
13.10
353.00
MAIZ
9.20
3.80
65.20
12.50
338.00
Cuadro comparativo de la composición de la quinua
Las fuentes para los cuadros presentados en esta sección corresponden a:
Tellería 1976. Velásquez 1959, White, 1955, Durigan 1985, Van Etten et. al.
1963, Janssen et al 1979.
10
Estudio del Consumo de la Quinua en la Ciudad de Potosí
Los aminoácidos del cuadro son considerados como los 10
aminoácidos más esenciales para el ser humano; no obstante
la quinua en su composición también presenta otros como:
ácido aspártico, ácido glutamínico, cisteina, serina, tirosina,
prolina, alanina y glicina.
aminoácidos
esenciales gr/100gr
Histidina
Isoleucina
Leucina
Lisina
Metionina
Fenilalanina
Treonina
Triptofano
Valina
Arginina
QUINUA (a)
4.6
7.0
7.3
8.4
5.5
5.3
5.7
1.2
7.6
7.4
TRIGO (b)
1.7
3.3
5.8
2.2
2.1
4.2
2.7
1.0
3.6
3.6
LECHE (b)
1.7
4.8
7.3
5.6
2.1
3.7
3.1
1.0
4.7
2.8
Cuadro comparativo de los aminoácidos
Las fuentes para los cuadros presentados en esta sección corresponden
a: Tellería 1976. Velásquez 1959, White, 1955, Durigan 1985, Van Etten
et al 1963, Janssen et. al. 1979.
11
Las fuentes para los cuadros presentados en esta sección corresponden
a: Tellería 1976. Velásquez 1959, White, 1955, Durigan 1985, Van Etten
et al 1963, Janssen et. al. 1979.
ELEMENTOS
Ca
P
Mg
K
Fe
Mn
Zn
QUINUA
66.00
408.00
204.20
1040.00
10.90
2.21
7.47
TRIGO
43.70
406.00
147.00
502.00
3.30
3.40
4.10
ARROZ
23.00
325.00
157.00
150.00
2.60
1.10
-
MAÍZ
150.00
256.00
120.00
330.00
-
0.48
2.50
Cuadro comparativo de la composición mineral de
la quinua orgánica con otros alimentos
mg/gr MATERIA SECA
Estudio del Consumo de la Quinua en la Ciudad de Potosí
En cuanto a los minerales que posee la quinua se cita al calcio
(necesario para la formación ósea y sistema nervioso), hierro
(fortalece el sistema inmunológico), zinc (previene el cáncer
y fortalece el sistema inmunológico).
La saponina
El término “Saponina” se considera aplicable a dos grupos de
glucósidos vegetales uno de ellos compuestos por los glucósidos
triterpenoides de reacción ligeramente ácida, y el otro por los
esteroides derivados del perhidro 1,2 ciclopentanofenantreno,
tienen como propiedad la de formar una abundante espuma
en solución acuosa y son tambien solubles en alcohol absoluto
y otros solventes orgánicos. En la quinua habría tanto saponinas
como ácido neutros y por ser espumantes se emplean en la
fabricación de cerveza, extinguidores de incendios y cosméticos.
1.3 La Quinua Real
La diversidad de ecotipos y variedades es una característica de
esta especie. Las quinuas que se cultivan en el Altiplano Sur
de Bolivia, circundantes a los salares de Uyuni y Coipasa
departamentos de Potosí y Oruro, se caracterizan por tener el
grano grande y amargo; el tamaño varía de 2.3 a 2.6 mm de
diámetro, siendo uno de los aspecto que le permite tener
mercados importantes a nivel nacional e internacional.
Los resultados de investigaciones realizadas durante los años
1996 y 1997 por personeros de la NASA, concluyen que la
Quinua Real posee una composición con mayores beneficios
que las otras variedades en cuanto a proteínas, vitaminas,
minerales y aminoácidos, situándola como un alimento de
primera línea para el consumo de astronautas en los viajes
espaciales de amplia duración.
La Quinua Real no pertenece a las variedades dulces; puesto
que su peculiaridad radica en la elevada presencia de saponina
en su composición. Se asevera que la existencia de saponina
y la riqueza en proteínas de la planta se relacionan de forma
directa, lo que equivale a decir que a mayor contenido de
saponina existiría mayor riqueza en proteínas; la planta se
caracteriza también por la elevada proporción de germen
(30%).
12
Estudio del Consumo de la Quinua en la Ciudad de Potosí
Existe mucho aún por investigar sobre la Quinua Real, puesto
que su beneficios no sólo se limitan al aspecto enteramente
alimenticio, sino también sus cualidades la delimitan como
eficiente en la prevención de algunas enfermedades tales
como: osteoporosis, cáncer de mama, enfermedades del
corazón, diabetes, artritis, así también puede ser usada como
anti inflamatorio y cicatrizante.
Se hace necesario patentizarla por las vías legales y así evitar
el riesgo a perder los derechos de departamento y/o país
productor de esta preciada joya alimenticia.
La Quinua Real o el alimento del Siglo XXI (como la denominan
en algunas bibliografías) es un alimento de alta calidad, en
ese marco es imprescindible incentivar en primera instancia el
consumo regional, puesto que el Departamento de Potosí es
caracterizado como región de máxima pobreza con serias
deficiencias alimenticias en su población, es prioritario crear
conciencia sobre la importancia del consumo de la Quinua
Real que es propia de la región Potosina.
1.4 Programa de Apoyo a la Cadena Quinua Altiplano
Sur
El Programa de Apoyo a la Cadena Quinua Altiplano Sur,
funciona a partir de junio de 2005, tiene por objeto asesorar
y hacer seguimiento en la gestión de las actividades de
fortalecimiento de la cadena productiva, con el fin de
incrementar las exportaciones de modo que posicionen a
Bolivia como el mayor productor de quinua.
El Programa financiado por la Embajada Real de los Países
Bajos, es conducido por la Fundación AUTAPO y un Comité
Técnico conformado por representantes de los actores de la
Cadena Productiva de la Quinua, productores, transformadores
y exportadores entre ellos CONACOPROQ (Comité Nacional
de Competitividad y Productividad de la Quinua), Cámaras:
nacional y departamentales de Potosí y Oruro, asociaciones
como ANAPQUI, CECAOT; Prefecturas y Universidades de los
departamentos de Potosí y Oruro; Direcciones Distritales de
Educación de Uyuni, LLica y Colcha K de Potosí y Salinas del
departamento de Oruro.
13
Estudio del Consumo de la Quinua en la Ciudad de Potosí
Los componentes de acción del Programa comprenden:
Financiamiento, que tiene como objetivo “ampliar las
oportunidades de acceso a capital y crédito de los
actores de la Cadena como instrumento para mejorar
la Productividad y Competitividad”.
Capacitación, con objeto de preparar a los actores de
los diferentes eslabones de la cadena.
Desarrollo tecnológico, con el objetivo de “adoptar y
promover tecnología existente en la Cadena de Quinua”.
Promoción-exportación, orientado a “mejorar la
comercialización nacional e incrementar la exportación
de quinua”.
Coordinación, el último componente tiene como objetivo
generar un espacio donde exista coordinación entre los
ejecutores de los distintos componentes del Programa.
De esta forma se cuenta con instrumentos legales que impulsan
el fortalecimiento de la productividad, así como entidades que
apoyan la gestión de las actividades necesarias para cumplir
con los objetivos trazados.
En esta última temporada se ha podido advertir el avance en
cuanto a la transformación del producto, puesto que aunque
aún no son de consumo masivo se puede notar la presencia
del producto quinua en diferentes presentaciones.
1.5 Demanda y oferta de la quinua en el mercado
externo
En el mercado externo (Estados Unidos, Europa), el consumo
de quinua ha subido en los últimos años, así como su precio
puesto que se ha reportado que su valor supera al valor de la
soya aproximadamente cinco veces más. En Europa, Francia
adquiere el producto y comercializa luego con otros países y
así como también ocurre con EEUU. La quinua llega hasta Asia,
Corea del Sur, Japón. En América Latina se provee a Brasil y
14
Estudio del Consumo de la Quinua en la Ciudad de Potosí
Chile. Otra forma de comercio es el contrabando a países
vecinos para su venta o exportación a partir de ellos.
Actualmente existen más de 20 exportadoras de quinua, según
estudios de la Cooperación Andina de Fomento (CAF et. al.
2001), se demostró que la demanda de quinua crece de forma
vertiginosa (alcanzando para el año 2001, la cifra de 5 millones
de dólares); la oferta de la región no podría abastecer al
mercado extranjero.
1.6 Presentaciones de la quinua en el mercado interno
La mayor parte de la población potosina, habitualmente
adquiere la quinua en su forma primaria, es decir, el grano
común, sin embargo ahora tendrá la oportunidad de elegir
una diversidad de presentaciones, como: quinua perlada,
hojuela, quinua para graneado, pito de quinua, barritas
energéticas, insuflados, harina, api, jugos, galletas, sopas
(preelaboradas) y otros.
Las presentaciones nuevas posibilitan incrementar también las
formas de consumo, pues independientemente de los usos
tradicionales de la región, se ha podido apreciar la creatividad
gastronómica en diferentes actividades culinarias y recetarios
(como se puede observar en el recetario Quinua, El grano de
oro de la Andes” de Rita del Solar que propone 59 formas de
preparaciones diferentes a base de quinua, que incluye
entradas, bocaditos, sopas, platos de fondo, postres, repostería
e incluso bebidas).
En la inquietud de establecer el grado de consumo de quinua
en el área citadina de Potosí, se ha recurrido a métodos
estadísticos que permiten caracterizar científicamente el
comportamiento de consumo del ciudadano; en los próximos
capítulos se presentan los resultados obtenidos del trabajo de
investigación.
15
Estudio del Consumo de la Quinua en la Ciudad de Potosí
Capítulo II
PROCESO DE RECOLECCIÓN DE DATOS
Para identificar los indicadores que describen al
comportamiento del consumo de quinua en la ciudad de
Potosí, se ha recurrido a métodos estadísticos tanto para
el levantamiento de información mediante encuestas y
entrevistas, así como para el análisis de los resultados.
2.1 La encuesta como método de recolección de
información en el estudio de consumo y
comercialización de la quinua
En el proceso de recolección de información, se utiliza una
serie de métodos como la observación, entrevistas, encuestas
y talleres con grupos focales
En el caso del estudio del consumo de quinua no se cuenta
con datos previos y estructurados, lo que equivale a decir que
no existen referencias de estudios que cuenten con un respaldo
científico, por ello el uso de entrevistas y observaciones por
si solas no representarían ser consistentes y no podrían
constituirse en cimientos estables que permitan generar
discusiones y/o toma de decisiones; por esta razón, en la
investigación los datos han sido recolectados utilizando el
Método de la Encuesta que posee cualidades apropiadas de
planificación y organización,
La encuesta, como método estadístico proporciona una
importante estructura de conocimiento científico basado en
datos, se caracteriza por la recolección de información con
encuestadores que se comunican directamente con los
informantes, a quienes se les formulan interrogantes existentes
en plantillas denominadas boletas de encuestas; las boletas
son prediseñadas con anterioridad durante la planificación
del trabajo.
La encuesta comienza con el trabajo de planificación, se puede
describir las siguientes fases:
16
Estudio del Consumo de la Quinua en la Ciudad de Potosí
Se define la temática de estudio, el área de acción, los
actores que intervienen, el tipo de información que se
requiere y la terminología que se hará uso.
Se precisó diseñar la boleta de encuesta.
Se aplica una prueba piloto, con escasas observaciones
para validar el trabajo.
Se define el tamaño muestral óptimo.
Se ejecuta la encuesta, con encuestadores correctamente
adiestrados y que sigan reglas apropiadas de trabajo.
La información debe ser tabulada, es decir, dispuesta
de forma adecuada en tablas que permitan analizar la
información con el menor grado de dificultad.
Se procesa la información y emiten los informes.
2.2 Tipo de muestreo utilizado, definición de tamaño
muestral
El tipo de muestreo utilizado para la ejecución de la encuesta
es el aleatorio simple (o muestreo aleatorizado irrestricto);
cuya característica se fundamenta en que los elementos del
universo poblacional pueden ser elegidos sin restricciones,
contando todos ellos con la misma probabilidad de ser elegidos.
La encuesta ha sido aplicada a la población general de la
ciudad, entendiendo como población general a todos los
habitantes agrupados en hogares; asumiendo la definición de
hogar propuesta por el Instituto Nacional de Estadística (INE),
que expresa que es el conjunto de personas (una familia o
más) que comparten la misma olla.
La encuesta general, tiene por objeto registrar la información
que los ciudadanos tienen sobre las cualidades de la quinua,
así como la percepción de importancia del consumo de este
alimento, por otra parte tiene como objetivo fundamental
registrar los niveles de consumo de la quinua frente a otros
alimentos.
17
Estudio del Consumo de la Quinua en la Ciudad de Potosí
Para la ejecución de la recolección de datos se distribuyeron
las encuestas en los diferentes distritos de la ciudad en forma
proporcional al tamaño poblacional, utilizando los registros
del INE en función a los reportes del último Censo Nacional
de Población y Vivienda del año 2001.
Al interior de cada distrito se procedió a la elección aleatoria
de manzanos, viviendas y hogares.
La unidad muestral en la encuesta general está representada
por el Hogar.
Identificado el hogar se aplicó la encuesta a uno de sus
integrantes (varones o mujeres con capacidad plena para poder
responder a las interrogantes).
2.3 Tamaño muestral
Una de las variables fundamentales en las encuestas es el nivel
de consumo de quinua; esta variable se constituye en el
cimiento que ha permitido establecer el tamaño muestral en
este estrato poblacional.
Inicialmente se ha realizado una encuesta piloto que permitió
estimar el tamaño muestral apropiado.
La encuesta piloto consideró 20 hogares en diferentes distritos.
Los datos de la variable cantidad consumida de quinua fue
tomada en libras, la razón para asumir esta medida es que la
libra se constituye en la unidad base que generalmente se
usa para la venta del producto en cuestión, en los mercados
y ferias.
Los resultados de la encuesta piloto fueron los siguientes:
(6, 4, 0, 0, 0, 0, 0, 0, 1, 2, 12, 0, 0, 0, 0, 2, 1, 0, 1, 0, 0, 8 libras).
Los datos anteriores permiten calcular la varianza muestral
denotada por S
2
; como consecuencia es posible conocer la
desviación muestral estándar cuya simbología es representada
por S.
18
Estudio del Consumo de la Quinua en la Ciudad de Potosí
donde:
n, representa el tamaño de la muestra
N, es el tamaño de la población (31885 en líneas
posteriores se explica la razón para usa este valor).
S, la desviación estándar (3.27)
d, es el error de muestreo (se ha estimado un valor de
0.2)
Z(1 - a /2), representa el valor crítico de la confiabilidad de
los valores que se estiman.
Para un nivel de confianza del 95% de la veracidad de los
estimadores, empleando la distribución normal el valor crítico
es 1.96 (este valor viene en diferentes tablas estadísticas de
la distribución normal).
Los valores determinados tanto para la varianza como para la
desviación típica muestral son: S
2
=10.66 y S=3.27
respectivamente.
Para estimar el tamaño muestral utilizando el muestreo
irrestricto aleatorio, se procedió de la forma siguiente:
Cálculo del tamaño muestral apropiado simbolizado por n,
utilizando las propiedades Estadístico-matemáticas acorde al
tipo de muestreo elegido; es decir:
19
Estudio del Consumo de la Quinua en la Ciudad de Potosí
El tamaño muestral toma el valor de 995 aproximadamente
por ello se emplearon 1000 boletas.
Según los reportes del Censo 2001 del INE, la sección capital
de Potosí (no el departamento) registró 145057 habitantes;
sin embargo en el tema de la quinua cada uno de estos
habitantes "NO" concurren a comprar quinua por si solos para
el consumo; más bien son las unidades familiares o los hogares
que cuentan con una cantidad específica de quinua al mes;
por esta razón, en lugar de tomar número de habitantes como
tamaño poblacional se utilizó el número de hogares N=31.885
(fuente reportes del Censo Nacional de Población y Vivienda
del INE), recuérdese que el concepto de hogar según el INE,
está referido al conjunto de personas que comparten una olla
que pueden ser más de una familia.
Obsérvese que el promedio de integrantes por hogar resultaría
ser 4.55 habitantes; obviamente que el número de integrantes
por familia es mucho menor. El volumen I de los resultados
Nacionales del Censo 2001 titulado “Distribución de la población
por municipios” registra la sección capital de Potosí con 4.1
integrantes por familia.
Las boletas de encuesta fueron distribuidas en distritos
proporcionalmente a la cantidad de habitantes.
Distrito
1
2
3
4
5
6
7
8
9
10
11
12
Nombre
San Gerardo
San Martín
San Juan
San Cristóbal
San Roque
Central
San Pedro
San Benito
Las Delicias
Ciudad Satélite
San Clemente
Villa Copacabana
No. de
boletas
89
80
52
64
150
83
69
107
95
96
63
52
20
Estudio del Consumo de la Quinua en la Ciudad de Potosí
2.4 La ejecución de las encuestas
La encuesta ha sido realizada durante los meses de julio y
agosto del año 2006; ha contado con la participación de
supervisores y encuestadores (estudiantes de la Carrera de
Estadística de la UATF), las boletas fueron distribuidas de forma
proporcional al tamaño poblacional en cada distrito.
Los entrevistados corresponden tanto al sexo masculino como
al sexo femenino.
Se ha podido advertir de forma general, la existencia de
desinformación en ciertas categorías del grupo poblacional
encuestado existiendo como consecuencia el registro de datos
atípicos, las boletas con cualidades muy extremas alcanzan a
52, para la presentación de los resultados descriptivos, estos
datos han sido marginados con el fin de evitar un excesivo
sesgo, lo que implica que los reportes que serán presentados
y discutidos corresponden a 948 encuestas.
2.5 Los resultados del trabajo
Concluidas las encuestas, se procedió al correspondiente vaciado
de datos; las bases de datos han sido inicialmente diseñadas
en el paquete estadístico SPSS, para ciertas aplicaciones también
se ha usado Dyanne, para presentar ilustraciones se ha recurrido
a la hoja electrónica EXCEL.
21
Estudio del Consumo de la Quinua en la Ciudad de Potosí
Capítulo III
DESCRIPCIÓN DE RESULTADOS DE ENCUESTA
En este capítulo se exponen resultados obtenidos de cada una
de las preguntas contenidas en la boleta de encuesta; respecto
a las interrogantes se han considerado tanto preguntas abiertas
como cerradas.
3.1 Resultados descriptivos de la encuesta sobre consumo
de quinua aplicada en los diferentes distritos de la
ciudad de Potosí
Los resultados obtenidos en la Encuesta, proporcionan
información sustancial sobre el consumo y el grado de
conocimiento sobre las bondades de la quinua.
Inicialmente se procede a la descripción de la información
recolectada con cada pregunta de la boleta.
3.1.1 Primera pregunta ¿Cuáles son los alimentos que
usualmente adquiere para el consumo?
Las respuestas a esta interrogante han sido clasificadas en
grupos, las alternativas utilizadas fueron:
a) Lácteos: leche, crema, mantequilla, queso, combinación
de lácteos.
b) Proteínas (menos lácteos), carne roja, huevo, pollo,
pescado, combinación de proteínas.
c) Hidratos de Carbono: arroz, quinua, otros cereales,
legumbres, papa, fideo, pan, azúcares, combinación
de hidratos de carbono.
d) Frutas, verduras y hortalizas: frutas, verduras, hortalizas,
combinación de estas.
e) Lípidos: aceite, margarina, manteca, embutidos, derivados
de cerdo, combinación de lípidos.
22
Estudio del Consumo de la Quinua en la Ciudad de Potosí
Los resultados obtenidos sobre la priorización de alimentos,
desde la perspectiva de la población general, son descritos a
continuación:
Aproximadamente el 85% de la población encuestada
no prioriza los productos lácteos dentro su alimentación,
sólo el 5 % indica que usualmente compra leche y el
11% adquiere una combinación de lácteos. (ilustración
2, Anexo).
Por otra parte, otros alimentos ricos en proteínas
(menos lácteos), son consumidos en proporciones
mínimas, se ha podido determinar que sólo entre 14
y 15 % de la población responde que el consumo de
carne es usual en su alimentación, el 1% prioriza el
consumo de huevo, el 19% consume una combinación
de estos alimentos y sin embargo la mayoría del 65%
no priorizan este grupo de alimentos para su consumo
(ilustración 3, Anexo).
Es sobresaliente la preferencia de los hidratos de
carbono en la alimentación poblacional, puesto que:
el 73 % de la población adquiere una combinación de
estos alimentos; el 6% aproximadamente otorga
preferencia exclusiva al consumo de arroz, el 5% otorga
preferencia exclusiva a cereales que no son arroz ni
quinua. Se debe tomar atención que la priorización
de la quinua es insignificante sólo alcanza a un 0.63%
(ilustración 4, Anexo).
Respecto al grupo de alimentos frutas, verduras, y
hortalizas; los resultados más importantes indican que
entre el 41 a 42% de la población adquiere verduras
para su alimentación, aproximadamente el 21%
adquiere la combinación de alimentos considerados
en esta categoría, el 2% de los encuestados tienen
preferencia por la fruta para su alimentación, casi el
30% no adquiere frutas, verduras ni hortalizas
(ilustración 5, Anexo).
23
Estudio del Consumo de la Quinua en la Ciudad de Potosí
En cuanto al grupo de lípidos, el 88% no adquiere
usualmente este grupo de alimentos, el 10% utiliza la
combinación de lípidos (ilustración 6, Anexo).
Como síntesis a esta interrogante se puede expresar que la
población tiene mayor preferencia por los alimentos que
corresponden a la categoría de hidratos de carbono, en menor
proporción frutas, verduras y hortalizas.
La alimentación de la población potosina presenta carencias
en lo que respecta al consumo de proteínas.
La adquisición de la quinua actualmente no ocupa niveles
importantes dentro las preferencias de los encuestados, no
significa que no se la use pero es evidente que no está en un
lugar preferencial.
3.1.2 Segunda pregunta ¿Utiliza quinua para la
alimentación de su familia?
Las respuestas a esta interrogante muestran que el 65% de
los hogares encuestados consumen quinua en alguna o varias
de sus presentaciones, por otra parte un 35% no consume
este alimento (ilustración 7, Anexo).
Las razones para el consumo o no de quinua en los hogares
encuestados son diversas, las más importantes son sintetizadas
en las siguientes líneas.
¿Por qué consume quinua?
Las respuestas que se han registrado son: porque es
un buen alimento, nutritiva, vitamínica, contiene
minerales, proteínas, porque ayuda al crecimiento de
los niños, porque le agrada y es deliciosa.
La ilustración 8 del Anexo, sintetiza lo siguiente: 75%
de los consumidores compran quinua porque es
nutritiva, 15% la consumen porque les agrada y es
deliciosa, estas respuestas son las más relevantes, el
resto de las alternativas tiene porcentajes mínimos.
24
Estudio del Consumo de la Quinua en la Ciudad de Potosí
¿Por qué no consume quinua?
Las respuestas de las razones del por qué otro grupo
poblacional no consume quinua expresan que el 36%,
no sabe responder a la interrogante, al 32% de los no
consumidores no les agrada este alimento,
aproximadamente el 6%, indica que es costoso, el 7%
se ha limitado a decir que no consume (ilustración 9,
Anexo).
Se han registrado también otras respuestas con menores
porcentajes por ejemplo: le hace daño, es bilioso, no
sabe y/o no es fácil prepararla , no tiene vitaminas,
no es buena, no hay difusión, nunca comió, etc.
Se aprecia que existe desinformación en la población que no
consume quinua sobre las cualidades benéficas del alimento.
3.1.3 Tercera pregunta ¿En caso de consumir quinua,
cuales son las presentaciones de su preferencia
y qué cantidad aproximada utiliza al mes?
Las variables utilizadas en la boleta inicialmente fueron: quinua
perlada, hojuela de quinua, quinua para graneado, pito de
quinua, barritas energéticas de quinua, insuflados y otros esta
última categoría ha sido útil en la medida que también se ha
podido identificar otras presentaciones como el api de quinua
y la lagua preelaborada, hamburguesas y otros.
Es preciso destacar que existe desconocimiento sobre la
existencia actual de diversos productos; por ejemplo un buen
número de personas confunde la quinua perlada con la quinua
para graneado (preelaborada).
Consumo quinua perlada, es la presentación más consumida
por las amas de casa aunque en niveles no muy altos, los
principales resultados determinados son:
La cantidad más consumida es una libra por mes y
por hogar lo que representa el 13.4% de los hogares
encuestados, otra cantidad muy utilizada es un kilo
25
Estudio del Consumo de la Quinua en la Ciudad de Potosí
por mes y por hogar con un porcentaje de 10.5% de
los hogares. Existen otras medidas utilizadas que
presentan porcentajes menores (ilustración 10, Anexo).
Los resultados clasificados en intervalos de medida
sobresale que: (ilustración11, Anexo).
· Aproximadamente el 44% de la población encuestada
no consume quinua perlada.
· Cerca al 33%, de los hogares consumen entre 0.1gr
hasta 1000gr por mes.
· Por otra parte el 13% de los hogares consumen entre
1000.1gr hasta 2000 gr por mes.
· Otro resultado que resalta, aunque menos frecuente,
es que el 8% de los hogares consumen entre 2000.1gr
hasta 3000gr por mes.
El resto de las respuestas no son muy sustanciales.
Es evidente que se consume quinua perlada en la ciudad, pero
también se puede apreciar que las cantidades no son elevadas.
Consumo hojuela de quinua, sólo el 16.2% de los hogares
encuestados informaron consumir este producto; el resto de
la población no consume. Los principales resultados de consumo
son:
La cantidad más consumida es una libra (453.6gr) por
mes y por hogar, lo que representa el 6.5% de los
hogares encuestados, otras cantidades como: dos libras
(907.2gr), 1000gr y 3 libras (1360.8gr) tienen
proporciones de 2%, 1.8% y 1.9% respectivamente
del total de encuestados (ilustración12, Anexo).
Por otra parte se han establecido intervalos de consumo
que agrupan la información (Ilustración13, Anexo),
algunos datos sobresalientes indican que:
26
Estudio del Consumo de la Quinua en la Ciudad de Potosí
· La mayor parte de los hogares encuestados, 83.8%,
no consumen hojuela de quinua.
· El 12.2% de la población consume hojuela de quinua
en cantidades entre 0.1gr hasta 1000gr por mes.
· Asimismo el 2.6%, es decir aproximadamente el 3%
de los hogares consumen entre 1000.1gr hasta 2000gr
de hojuela de quinua por mes.
· Sólo el 1.4% consume hojuelas en el intervalo de
2000.1gr hasta 3000gr.
El consumo de hojuela de quinua es muy inferior al consumo
de quinua perlada; durante la encuesta se pudo advertir que
en muchos de los hogares no conocen la existencia de la
hojuela.
Consumo pito de quinua, sólo un 9.2% de los hogares
encuestados consumen pito de quinua, es decir, que lo usual
es que en los hogares no consuman este producto. Revisando
las (ilustraciones 14 y 15 del Anexo), se resume que:
La cantidad consumida más destacada es una libra
(453.6 gr) por mes y por hogar, lo que significa el
4.9% del total de hogares encuestados (ilustración 14
del anexo).
Del reporte según intervalos, se aprecia que
aproximadamente el 91% de la población no consume
pito de quinua.
Respecto al grupo consumidor las cantidades más
frecuentes se registran desde 0.1gr hasta 1000gr
aunque solo representa aproximadamente el 7% de
los hogares encuestados (ilustración 15 del anexo).
El consumo de pito de quinua es todavía mucho más reducido
en comparación a la hojuela y la quinua perlada.
27
Estudio del Consumo de la Quinua en la Ciudad de Potosí
Consumo de barras energéticas, se ha establecido que la
población consumidora es sólo el 4.5% de los hogares; las
cantidades consumidas de barras energéticas son mínimas, se
ha registrado que se consume desde una barra a 30 unidades
por mes y por hogar (ilustración 16, Anexo).
Otras cantidades sobresalientes son:
El 95.5% de los hogares no consumen y no conocen
barras energéticas.
Del grupo consumidor, que es un grupo muy reducido,
lo más frecuente es que consuman entre 1 a 10
unidades por mes y por hogar (ilustración 17, Anexo).
Es necesario recalcar que actualmente la población no cuenta
con información de este producto; aún algunos encuestados
que respondieron consumir el producto indicaron que la unidad
de medida de la barra energética era la libra, lo que hace
suponer que en realidad no conocen la presentación y en este
caso los resultados estuvieran sobrevaluados y sean mucho
menos del 4.5% de hogares consumidores de barras energéticas.
Consumo de insuflados, es aún mucho menor que los productos
descritos anteriormente (ilustración 18, Anexo); los hogares
consumidores sólo son el 0.6%. Otros resultados indican que:
El 99.4% no consumen este producto.
El 0.2% de hogares consumen 200gr por mes y por
hogar.
El 0.1% de hogares consumen 250gr por mes y por
hogar.
Finalmente el 0.3% de hogares consumen 453.gr (una
libra) por mes y por hogar.
Los reportes del último censo expresan que aproximadamente
las familias tienen como promedio 5 miembros; si se dividen
las cantidades de insuflado por el promedio de integrantes
28
Estudio del Consumo de la Quinua en la Ciudad de Potosí
por familia entonces el consumo individual sería realmente
mínimo. También es importante recalcar que el 99.4% de
encuestados no conocen esta presentación.
Consumo de galletas de quinua (palitos de quinua), se ha
registrado que el 0.5% de hogares consume este producto
(ilustración19, Anexo).
Entre otros resultados se describe:
El 0.1% de hogares consumen 2 unidades por mes y
por hogar.
El 0.1% de hogares consumen 5 unidades por mes y
por hogar; el mismo porcentaje se repite para 10, 15
y 20 unidades.
Las galletas de quinua normalmente son comercializadas en
puestos de venta que se encuentran en lugares próximos a
escuelas y colegios; es decir, que los consumidores son niños
y jóvenes en edad escolar. A tiempo de realizar la encuesta
los informantes normalmente han sido jóvenes o personas
mayores y no así niños, lo que se quiere expresar es que las
galletas de quinua tal vez se consuman con mayor preferencia
que lo que expresan las tablas puesto que no se ha registrado
la opinión de un sector importante de sus consumidores (niños).
Sólo el 1.5% de hogares consumen jugos de quinua (ilustración
20, Anexo).
Otros resultados describen que:
El 98% de hogares no consumen jugos de quinua.
El 0.8% de hogares consumen 1lit por mes y por hogar.
El 0.3% de hogares consumen 2lit por mes y por hogar.
El 0.2% de hogares consumen 3lit por mes y por hogar.
El 0.1% de hogares consumen 4lit por mes y por hogar.
29
Estudio del Consumo de la Quinua en la Ciudad de Potosí
La información revela un mínimo consumo de esta presentación.
Consumo de otras presentaciones de quinua; según la
información recolectada, se ha registrado que existe a la venta
otras formas de presentación de productos a base de quinua
como api, lagua, hamburguesa (preelaborada), la población
accede mínimamente a estas alternativas representando un
1.3% del total de hogares (Ilustración 21 y 22, Anexo).
3.1.4 Cuarta pregunta ¿De dónde adquiere usualmente
los productos de quinua?
Los resultados de la interrogante corresponden sólo a los
hogares que consumen quinua; quienes se abastecen del
producto en sus diferentes presentaciones en uno o varios
centros comerciales siguientes:
Ferias de la ciudad, aproximadamente el 61% del
total de hogares consumidores.
Mercados de la ciudad 43% de hogares consumidores.
Tiendas de venta exclusiva del producto 6.13% de
hogares consumidores.
Por otra parte el 1.29% de hogares consumidores
reciben quinua como parte de dotación de lactancia.
El 5.48% (aproximadamente el 6%) de hogares
consumidores, recibe productos de quinua como envío
de parientes o amigos (en su generalidad provenientes
de regiones productoras).
Finalmente el 13.39% (aproximadamente 13%)de
hogares consumidores, accede al producto de otras
formas no expresadas explícitamente en el estudio
(ilustraciones 23, 24, 25, 26, 27, 28, Anexo).
Los resultados muestran que el lugar de preferencia para
adquirir quinua son las ferias de la ciudad, las más concurridas
son la Feria Popular de sábado y domingo, otras ferias menos
30
Estudio del Consumo de la Quinua en la Ciudad de Potosí
concurridas son las ferias de los días miércoles y jueves así
como la feria del día viernes, estas últimas se sitúan cerca del
mercado Uyuni.
3.1.5 Quinta pregunta ¿Conoce Ud. las bondades
nutritivas de la quinua?
La interrogante ha sido formulada tanto a los hogares
consumidores como a los hogares no consumidores de quinua.
Los principales resultados son:
Del total de hogares consultados en la encuesta sólo
el 39% indica conocer las cualidades proteínicas de
la quinua.
Por otra parte el 39.24% del total de hogares conocen
sobre el contenido de minerales que posee la quinua.
Aproximadamente un 44% de hogares consultados
conoce sobre el contenido vitamínico de la quinua.
Asímismo sólo un 28% de hogares conocen sobre el
bajo contenido de colesterol.
El 8.12% de hogares expresan que conocen otras
cualidades de la quinua, como curativas, coadyuvantes
del desenvolvimiento intelectual y otros (ilustraciones
29, 30, 31, 33, Anexo).
Los porcentajes establecidos sobre el conocimiento de las
cualidades puede ser un factor para el consumo escaso del
producto.
Se ha verificado que la población no está muy informada sobre
la quinua y sus atributos; en consecuencia se hace importante
gestionar mecanismos para informar e incluso capacitar,
partiendo desde los conceptos esenciales, como definir con
claridad y en términos entendibles para la población general
¿qué son y para qué sirven? las proteínas, los minerales, las
vitaminas, los hidratos de carbono, fibra, así también la
importancia del bajo contenido de colesterol.
31
Estudio del Consumo de la Quinua en la Ciudad de Potosí
Un buen sector de la población conoce que la quinua es un
alimento noble, no obstante ignora la magnitud de sus
benéficas propiedades.
3.1.6 Sexta pregunta ¿En cuanto a otros alimentos
como fideo, arroz, trigo, qué cantidades consume
su familia al mes?
La población, tiene preferencia por alimentos como fideo y
arroz; en referencia a este último incluso los consumidores
utilizan arroz: entero, partido y popular (ilustraciones 34 a 39,
Anexo), las ilustraciones muestran cantidades muy superiores
a las referidas en la quinua. La explicación sobre el consumo
de arroz en esta sección se realizará tomando en cuenta a la
totalidad de arroz consumido, vale decir las categorías: entero,
partido y popular.
Consumo total de arroz; la mayor parte de la población
consume arroz 96% de hogares encuestados, es decir solo el
4% de los hogares encuestados informaron no adquirirlo. Los
datos más sobresalientes de las cantidades adquiridas expresan
que:
Una arroba (medida de venta equivalente a 11340gr)
es la cantidad más preferida por la población
representando el 14.3%.
Luego otra cantidad frecuente es media arroba (medida
de venta en la ciudad equivalente a 5443.2 gr)
representando el 13.1%.
También la cuartilla (medida de venta en la ciudad
equivalente a 2721.6 gr) es otra cantidad usual y
representa el 13%.
Otras cantidades sobresalientes con menor frecuencia
son dos arrobas (equivalente a 22680gr) con 8.6%,
así como arroba y media (equivalente a 16783.2gr)
con 3.8%. (ilustración 40, 41, Anexo).
El consumo de arroz es ampliamente elevado respecto al
consumo de quinua.
32
Estudio del Consumo de la Quinua en la Ciudad de Potosí
Consumo de fideo; se observa también que el fideo es un
alimento preferido de la población, una mayoría consume
fideo representando el 91.4% de hogares encuestados. La
información expresa que:
Los hogares consumen preferentemente una arroba
al mes (equivalente a 11340gr) cuyo magnitud
representa al 21.7 % de hogares.
Otro resultado indica que la cuartilla es también
una medida usual de consumo mes por hogar
(equivalente a 2721.6gr) con 19.6%.
Otra medida que se destaca es media arroba (equivalente
a 5443.2gr) representando el 17.4%.
Otras medidas son menos frecuentes, pero llegan
hasta las 2 arrobas (22680gr) por mes y por hogar
(ilustraciones 42 y 43. Anexo).
Se observa que el fideo también es un alimento que alcanza
niveles de adquisición altos respecto a la quinua.
En el siguiente capítulo se presentan comparaciones de consumo
entre diferentes alimentos.
Consumo de trigo, maíz, lenteja y otros ¿cereales y
carbohidratos no especificados?; el consumo de estos alimentos
no alcanza las cifras de consumo similares al arroz o fideo,
más bien se puede afirmar que se relacionan a los niveles del
consumo de quinua, para mejor apreciación se presentan
cuadros y gráficos en las (ilustraciones 44 a 53 del Anexo).
3.1.7 Séptima pregunta ¿En su familia, cuántas
personas comparten la mesa?
Los hogares tienen en su mayoría a 4 ó 5 personas compartiendo
la mesa, representando el 19.9 y el 18.4% respectivamente.
Este resultado guarda relación con los indicadores que registra
el INE para el número de hogares (4.55 integrantes por hogar).
33
Estudio del Consumo de la Quinua en la Ciudad de Potosí
Esta es otra forma de corroborar la fiabilidad de los resultados
de la encuesta, el tamaño muestral en función con la selección
del tamaño muestral.
Existen hogares que tienen desde una persona hasta incluso
15 personas compartiendo la mesa (ilustración 54 y 55, Anexo).
La información del número de integrantes es sustancial para
establecer la cantidad consumida por cada integrante de la
familia como promedio, tanto mensual como anual, estas
relaciones son presentadas en el siguiente capítulo.
34
Estudio del Consumo de la Quinua en la Ciudad de Potosí
Capítulo IV
COMPARACIÓN DEL CONSUMO PROMEDIO Y
CONSUMO PER CÁPITA DE LA QUINUA FRENTE A
OTROS ALIMENTOS
En el capítulo anterior se ha descrito las características del
consumo de quinua y otros alimentos sustitutos.
En esta sección se presenta la comparación de cantidades
consumidas de los alimentos cuantificados en la encuesta.
4.1 Consumo promedio mes de quinua en presentaciones
diferentes por hogar encuestado
La relación de consumo promedio de quinua en los hogares
es muy diferenciado en cuanto a las presentaciones actuales,
la más usual es la quinua perlada, en menor proporción la
hojuela y el pito; por otra parte como se registró en el capítulo
anterior, las presentaciones: insuflados, galletas, barras
energéticas y otras recientemente producidas no son consumidas
de forma significativa, principalmente por la ausencia de
información sobre cualidades, puntos de venta y precios de
estos productos particulares. La siguiente tabla y los gráficos
visualizan las cantidades de consumo promedio.
consumo en gramos promedio
quinua perlada (gr) 775,53
hojuela de quinua (gr) 149,50
pito de quinua (gr) 79,13
barras energéticas (unid) 0,30
insuflado (gr) 2,12
galletas de quinua (unid) 0,05
Jugos (lit.) 0,03
otros prod. de quinua (gr) 23,55
Consumo promedio mes de quinua
en presentaciones diferentes por
hogar encuestado
35
Estudio del Consumo de la Quinua en la Ciudad de Potosí
Se establece como se muestra en el cuadro y en las gráficas de
esta sección que:
La quinua perlada es la que mayormente se consume en los
hogares; con un promedio mensual por hogar de 775.53 gr
que equivale a algo más de medio kilo. Normalmente la quinua
es comercializada en libras, para el trabajo se utiliza la
transformación de 453.6gr equivalente1 a una libra; utilizando
esta relación la cantidad de dos libras representa 907.2 gr lo
cual implica que en promedio en los hogares, la quinua perlada
es consumida en cantidades muy inferiores a las dos libras.
La hojuela y el pito son consumidas en cantidades muy inferiores
a la media libra (226.8gr) o inferiores al • kilo.
El consumo de insuflados y otras formas de presentación de
quinua cuantificadas en gramos es mínima las cantidades son
casi despreciables.
(1) Utilizando la referencia del libro: “Aritmética” de A. Baldor
Diccionario: “Aristos” de la lengua española
36
Estudio del Consumo de la Quinua en la Ciudad de Potosí
El consumo de barras energéticas es insignificante, alcanza
a 0.3 unidades por mes y por hogar, lo que equivale a decir
que en el lapso de tres meses y medio aproximadamente toda
la familia consume una sola barra energética de quinua
(obsérvese que no quiere decir que cada integrante de la
familia consuma una barra). Respecto a las galletas de quinua
se estima que la demanda sea mayor a los resultados registrados
(no se ha encuestado a la población en edad escolar que son
los consumidores mayores del producto).
El consumo promedio de jugos de quinua es de 0.03lts mensual;
la cifra expresa que aproximadamente cada 3 años se consume
en los hogares un litro de jugo de quinua.
37
Estudio del Consumo de la Quinua en la Ciudad de Potosí
La suma total de las presentaciones cuantificadas en gramos
(quinua perlada, hojuela, insuflados comercializados en kilos
o libras) otorgan un promedio de 1029.84 gr/mes por hogar,
significando que como promedio total de consumo de quinua
en gramos, los hogares consumen cantidades próximas al
kilogramo o equivalentemente próximas a las dos libras y
cuarto.
4.2 Consumo de arroz en variedades diferentes,
promedio mes por hogar encuestado
El consumo de arroz es apreciablemente mayor al consumo
de quinua, la población consume este producto
preferentemente en tres presentaciones: entero, partido,
popular (este último en menor escala en relación a los
anteriores).
Los resultados de la encuesta emiten que el arroz entero es
consumido en promedio/mes por hogar la cantidad de 5668.23gr
algo más de media arroba y/o menos de seis kilos. El arroz
partido tiene un promedio de 2575.66 gr algo menos que una
cuartilla y/o más que dos kilos y medio; por otra parte el arroz
popular tiene un consumo promedio de 133.18gr. Revisando
los promedios se establece que el arroz entero es preferido
en los hogares y que la población utiliza el arroz popular en
pequeña escala.
En la siguiente ilustración, se verifica las cantidades promedio
adquiridas.
consumo en gramos promedio
arroz entero (gr) 5668,23
arroz partido (gr) 2575,66
arroz popular (gr) 133,18
El consumo promedio de arroz
por hogar encuestado
38
Estudio del Consumo de la Quinua en la Ciudad de Potosí
El consumo de arroz en las tres variedades es presentado en
el siguiente cuadro comparativo.
El consumo promedio total de arroz (vale decir entero, partido
y popular) alcanza a 8377.55 gr/mes por hogar, representa más
de ocho kilos y cuarto.
4.3 Comparación de la cantidad promedio de consumo
por hogares al mes: quinua, arroz, fideo y otros
cereales
Esta sección toma en cuenta el consumo promedio de diferentes
alimentos, en el caso de la quinua se considera el consumo
conjunto de quinua perlada, hojuela, pito, insuflado y otros
medidos en gr. En el caso de arroz la tabla toma en cuenta el
consumo conjunto de arroz entero, partido y popular.
Se destaca que los hogares tienen preferencia por el arroz
8377.55gr mes, sigue la preferencia el consumo de fideo con
5602.43 gr (menos de 6 kilos), posteriormente se sitúa el
consumo de quinua, con bastante diferencia del resto de los
productos.
Las relaciones correspondientes son presentadas en la ilustración
siguiente.
39
Estudio del Consumo de la Quinua en la Ciudad de Potosí
4.4 Comparación del consumo promedio mes por
persona de: quinua, arroz, fideo y otros cereales
Los cuadros presentados en las secciones 4.1, 4.2 y 4.3 muestran
el consumo promedio/mes por hogar, utilizando los resultados
de la encuesta se ha podido establecer una estimación para
definir el consumo mensual por persona de los diferentes
alimentos, el cuadro ha sido el siguiente:
Cuadro comparativo del consumo
de alimentos por hogar (gr/mes)
consumo en gramos promedio
total quinua(gr) 1029,84
total arroz (gr) 8377,55
fideo (gr) 5602,43
trigo (gr) 421,88
maíz (gr) 187,84
lenteja (gr) 138,82
otros (gr) 249,83
40
Estudio del Consumo de la Quinua en la Ciudad de Potosí
Se observa que el consumo de arroz es mayor al kilo y medio,
el consumo de fideo es algo mayor al kilo, en cambio el
consumo de quinua no alcanza a los 200gr.
A consecuencia de estos datos se han realizado cálculos para
definir la razón o relación existente entre el consumo de
quinua frente al consumo de arroz y fideo; los resultados
expresan que la razón del consumo de arroz y quina es 8.135,
que significa que por cada gramo consumido de quinua se
consumen 8.135 gramos de arroz. Por otra parte por cada
gramo consumido de quinua la persona consume
aproximadamente 5.44 gramos de fideo. Estos datos se registran
en la siguiente tabla.
consumo en gramos Gramos
quinua(gr) 196,91
arroz (gr) 1601,84
fideo (gr) 1071,22
trigo (gr) 80,67
maíz (gr) 35,92
lenteja (gr) 26,54
otros (gr) 47,77
Cuadro comparativo de consumo de
alimentos por persona(gr/mes)
41
Estudio del Consumo de la Quinua en la Ciudad de Potosí
4.5 Comparación del consumo per cápita de: quinua,
arroz, fideo y otros cereales
Utilizando el consumo promedio mensual por persona de los
alimentos cuantificados en la encuesta, es posible estimar el
consumo per cápita, que es expresado en la siguiente ilustración.
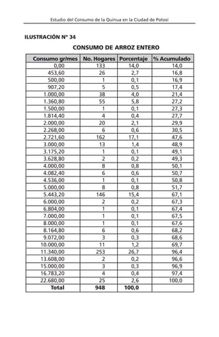
Se puede apreciar que el consumo per cápita de arroz alcanza
a 19222.07 gr, es decir, más de 19 kilos, del fideo alcanza
12854.62gr casi 13 kilos, la quinua 2362.93gr menos de los dos
kilos y medio, respecto al trigo, maíz, lenteja y otros, las cifras
son reducidas.
Una vez más se concluye que el consumo de quinua es muy
bajo gráficamente esto se aprecia a continuación.
Razones de consumo
variables razón
arroz/quinua 8,134883957
fideo/quinua 5,440150322
Cuadro comparativo de consumo per
cápita de alimentos
consumo en gramos gr/año
total quinua(gr) 2362,93
total arroz (gr) 19222,07
fideo (gr) 12854,62
trigo (gr) 967,98
maíz (gr) 431,00
lenteja (gr) 318,52
otros (gr) 573,24
42
Estudio del Consumo de la Quinua en la Ciudad de Potosí
Es importante generar mecanismos que incentiven al consumo
de este alimento; Potosí es uno de los máximos productores
de quinua y sin embargo su población no la consume en
cantidades apropiadas.
Aditamentándose una serie de causas que se originan
fundamentalmente en la escasa información, capacitación y
concientización de la importancia del consumo de este alimento
precioso.
43
Estudio del Consumo de la Quinua en la Ciudad de Potosí
CONCLUSIONES:
No existe información suficiente sobre las diversas
presentaciones actuales de la quinua (perlada, graneado,
pito, hojuelas, barras, insuflados y galletas).
No existe información sobre los lugares de comercialización
de estos productos.
El consumo per cápita de la quinua es mínimo en relación
a los alimentos arroz y fideo.
La población concurre a ferias para abastecerse.
Gran parte de la población no está informada de forma
adecuada sobre las cualidades nutritivas de la quinua.
RECOMENDACIONES:
Proponer estrategias que conduzcan a incrementar el consumo
per cápita de la quinua en los próximos años.
Motivar la inversión sobre puntos de venta para incrementar
la actividad comercial y de mercadeo.
Concientizar a la población sobre las bondades nutritivas
que tiene la quinua, generando espacios publicitarios y
ferias.
44
Estudio del Consumo de la Quinua en la Ciudad de Potosí
BIBLIOGRAFÍA
Calero V. Arístides. “Teoría de Muestreo”, Facultad de Economía,
La habana, 1976.
Cochran G. William. “Técnicas de Muestreo”, Continental S.A.
México, 1981.
Enciclopedia virtual Wikipedia, http//es.wikipedia. licencia de
documentación libre GNU. org, 03/08/2006
Instituto Nacional de Estadística. “Distribución de la población
por municipios: resultados nacionales del Censo 2001"(volumen
I), La Paz, Bolivia INE. Octubre, 2002
López P., Cesar. “Técnicas Estadísticas con SPSS”, Prentice Hall,
Madrid, 2001.
Naciones Unidas, FAO (Organización para la Agricultura y la
Alimentación). "Aprovechamiento de los cultivos prehispánicos",
Washington, 1990.
PROINPA. "Ecotipos y Variedades Comerciales de Quinua del
Altiplano Sur", La Paz, Bolivia, 2006.
PROINPA, FAUTAPO. Formación de Promotores en Sistemas de
Producción Sostenible en el Cultivo de la Quinua: "Manejo
Agronómico de la Quinua Orgánica" (Módulo 2), Potosi, Bolivia,
2006.
Schlick, Greg y D.L. Bubenheim. "Quinoa: Crop for NASA's
Controlled Ecological Life Support Systems", p. 632-640 en: J.
Janick (ed.), Progress in new crops. ASHS Press, Arlington, VA.
1996, 1997.
Santesmases M. Miguel. “DYANE Diseño y Análisis de Encuestas
en Investigación Social y de Mercados”, Ediciones Pirámide
S.A., Madrid, 1997.
Tapia, Mario; H: Gandarillas; S. Alandia; A. Cardozo; A. Mujica;
R. Ortiz; V. Otazu; J. Rea; B. Salas y E. Zanabria. "Quinua y
Kañawa cutivos andinos", CIID, editorial IICA, Bogotá, 1979.
Wood, Rebecca et. al.. "Quinoa the Supergrain: ancient food
for today, Japan Pubs",P. 202, 1989.
45
Estudio del Consumo de la Quinua en la Ciudad de Potosí
Estudio del Consumo de la Quinua en la Ciudad de Potosí
Estudio del Consumo de la Quinua en la Ciudad de Potosí
ENCUESTA A FAMILIAS POR DISTRITO
Buenos días / buenas tardes. Esta es una encuesta de la UATF,
para establecer la magnitud del consumo de quinua en la
población potosina. Solicitamos su cooperación
1) ¿Cuáles son los alimentos que usualmente adquiere para el
consumo de su hogar?
..............................................................................................................
..............................................................................................................
..............................................................................................................
..............................................................................................................
2) ¿Ud. utiliza la quinua para la alimentación de su familia?
Si...........¿por qué?................................................................................
No.........¿por qué?.................................................................................
3) ¿En caso de consumir quinua, cuales son las presentaciones
de su preferencia y qué cantidad aproximada utiliza al mes?
PRESENTACIÓN CANTIDAD/MES
Quinua Perlada
Hojuelas de Quinua
Quinua p/graneado
Pito de quinua
Barritas energéticas
Insuflados (estruzados )
Otros especifiquen..................
Estudio del Consumo de la Quinua en la Ciudad de Potosí
4) ¿De dónde adquiere usualmente, los productos de quinua?
Ferias
Mercados
Tiendas con productos exclusivos de quinua
Otros (especifique)
5) ¿Conoce Ud. las bondades nutritivas de la quinua?
CUALIDADES DE LA QUÍNUA Si / No
Contenido proteínico
Contenido de minerales (Hierro/Calcio)
Contenido de Vitaminas (A, E)
Bajo contenido de colesterol
Otros especifique............................
6) ¿En cuanto al consumo de otros alimentos como, fideo,
arroz, trigo, en qué cantidades consume su familia al mes?
PRESENTACIÓN CANTIDAD/MES
Arroz entero
Arroz partido
Fideo
Trigo
Otros (especifique)
7) ¿En su familia, cuántas personas comparten la mesa?
.............................................................................................
8) ¿Aproximadamente cuál es su ingreso familiar mensual?
......................................................................................................
Nombre Encuestador.......................................................................
Fecha...........................................................................
Distrito........................................................................
Estudio del Consumo de la Quinua en la Ciudad de Potosí
COBERTURA MUESTRAL DE HOGARES
Distritos No. Hogares Porcentaje % Acumulado
distrito 1 81 8,54 8,54
distrito 2 78 8,23 16,77
distrito 3 51 5,38 22,15
distrito 4 57 6,01 28,16
distrito 5 144 15,19 43,35
distrito 6 78 8,23 51,58
distrito7 69 7,28 58,86
distrito 8 100 10,55 69,41
distrito 9 95 10,02 79,43
distrito 10 83 8,76 88,19
distrito 11 62 6,54 94,73
distrito 12 50 5,27 100,00
Total 948 100,00
ILUSTRACIÓN Nº 1
Estudio del Consumo de la Quinua en la Ciudad de Potosí
Productos No. Hogares Porcentaje %Acumulado
leche 47 4,96 4,96
crema 1 0,11 5,06
combinación 108 11,39 16,46
lácteos
no se ha 792 83,54 100,00
priorizado
Total 948 100,00
PRIORIZACIÓN DE PRODUCTOS LÁCTEOS
ILUSTRACIÓN Nº 2
Estudio del Consumo de la Quinua en la Ciudad de Potosí
Productos No.Hogares Porcentaje % Acumulado
arroz 54 5,70 5,70
quinua 6 0,63 6,33
otros cereales 44 4,64 10,97
legumbres 7 0,74 11,71
patatas 61 6,43 18,14
pastas 2 0,21 18,35
pan 2 0,21 18,57
azúcares 1 0,11 18,67
comb. hid. 692 73,00 91,67
carbono
no se ha 79 8,33 100,00
priorizado
Total 948 100,00
PRIORIZACIÓN DE HIDRATOS DE CARBONO
ILUSTRACIÓN Nº 3
Estudio del Consumo de la Quinua en la Ciudad de Potosí
Estudio del Consumo de la Quinua en la Ciudad de Potosí
PRIORIZACIÓN DE PROTEINAS (menos lacteos)
ILUSTRACIÓN Nº 4
Productos No. Hogares Porcentaje %Acumulado
carne roja 137 14,45 14,45
Huevo 9 0,95 15,40
Pollo 2 0,21 15,61
Pescado 4 0,42 16,03
combinación 178 18,78 34,81
de proteínas
no se ha 618 65,19 100,00
priorizado
Total 948 100,00
Estudio del Consumo de la Quinua en la Ciudad de Potosí
PRIORIZACIÓN DE FRUTAS, VERDURAS Y HORTALIZAS
ILUSTRACIÓN Nº 5
Productos No. Hogares Porcentaje %Acumulado
frutas 17 1,79 1,79
verduras 390 41,14 42,93
hortalizas 51 5,38 48,31
combinación 203 21,41 69,73
frut_ver_hort
no se ha 287 30,27 100,00
priorizado
Total 948 100,00
Estudio del Consumo de la Quinua en la Ciudad de Potosí
PRIORIZACIÓN LÍPIDOS
ILUSTRACIÓN Nº 6
Productos No. Hogares Porcentaje %Acumulado
aceite 21 2 2
margarina 1 0 2
embutidos 2 0 3
derivados 2 0 3
de cerdo
combinación 90 10 12
lípidos
no se ha 832 88 100
priorizado
Total 948 100,00
Estudio del Consumo de la Quinua en la Ciudad de Potosí
Consume No. Porcentaje % Acumulado
Quinua Hogares
si 620 65,40 65,40
no 328 34,60 100,00
Total 948 100,00
HOGARES QUE UTILIZAN LA
QUINUA PARA SU ALIMENTACIÓN
ILUSTRACIÓN Nº 7
Estudio del Consumo de la Quinua en la Ciudad de Potosí
Por qué Consume No. Hogares Porcentaje % Acumulado
Quinua
comercializa 1 0,16 0,16
crec_niños 5 0,81 0,97
deliciosa, 98 15,81 16,77
agradable
es natural 3 0,48 17,26
no engorda 1 0,16 17,42
nutritiva 465 75,00 92,42
primordial 1 0,16 92,58
productor 2 0,32 92,90
saludable 2 0,32 93,23
variar menú 9 1,45 94,68
ns/nr 33 5,32 100,00
Total 620 100,00
RAZONES POR LAS CUALES SE UTILIZA LA
QUINUA EN LA ALIMENTACIÓN
ILUSTRACIÓN Nº 8
Estudio del Consumo de la Quinua en la Ciudad de Potosí
RAZONES POR LAS CUALES NO SE UTILIZA LA
QUINUA EN LA ALIMENTACIÓN
ILUSTRACIÓN Nº 9
Por qué no No. Hogares Porcentaje % Acumulado
Consume Quinua
hace daño 23 7,01 7,01
caro 19 5,79 12,80
es seco 1 0,30 13,11
familia 4 1,22 14,33
pensionada
no acostumbra 3 0,91 15,24
no compra 30 9,15 24,39
no conoce 11 3,35 27,74
no sabe cocinar 4 1,22 28,96
no hay difusión 2 0,61 29,57
no le agrada 107 32,62 62,20
no vitamínica 1 0,30 62,50
innecesaria 2 0,61 63,11
nunca comió 2 0,61 63,72
ns/nr 119 36,28 100,00
Total 328 100,00
Estudio del Consumo de la Quinua en la Ciudad de Potosí
Estudio del Consumo de la Quinua en la Ciudad de Potosí
Consumo gr/mes No. Hogares Porcentaje % Acumulado
0,0 gr 415 43,8 43,8
113,4 gr 1 0,1 43,9
200,0 gr 1 0,1 44,0
226,8 gr 4 0,4 44,4
453,6 gr 127 13,4 57,8
500,0 gr 9 0,9 58,8
600,0 gr 1 0,1 58,9
680,4 gr 6 0,6 59,5
700,0 gr 1 0,1 59,6
907,2 gr 60 6,3 65,9
1000,0 gr 100 10,5 76,5
1134,0 gr 1 0,1 76,6
1250,0 gr 1 0,1 76,7
1360,8 gr 72 7,6 84,3
1453,6 gr 3 0,3 84,6
1500,0 gr 7 0,7 85,3
1814,4 gr 13 1,4 86,7
1907,2 gr 2 0,2 86,9
2000,0 gr 23 2,4 89,3
2268,0 gr 4 0,4 89,8
2453,6 gr 1 0,1 89,9
2721,6 gr 67 5,8 96,9
2948,4 gr 1 0,1 97,0
3000,0 gr 6 0,6 97,7
3175,2 gr 3 0,2 98,0
3453,6 gr 1 0,1 98,1
3628,8 gr 1 0,1 98,2
3721,6 gr 2 0,2 98,4
4000,0 gr 3 0,3 98,7
4082,4 gr 1 0,1 98,8
5443,2 gr 9 0,3 99,8
8164,2 gr 1 0,1 99,9
11340,0 gr 1 0,1 100,0
Total 948 100,0
CONSUMO DE QUINUA PERLADA
ILUSTRACIÓN Nº 10
Estudio del Consumo de la Quinua en la Ciudad de Potosí
CONSUMO DE QUINUA PERLADA
(CLASIFICACIÓN POR INTERVELOS)
ILUSTRACIÓN Nº 11
Consumo gr/mes No. Hogares Porcentaje % Acumulado
0 gr 415 43,8 43,8
0 < gr<= 1000 310 32,7 76,5
1000 < gr<= 2000 122 12,9 89,3
2000 < gr<= 3000 79 8,3 97,7
3000 < gr<= 4000 10 1,1 98,7
4000 < gr<= 5000 1 0,1 43,9
5000 < gr<= 6000 9 0,9 77,4
gr>6000 2 0,2 89,6
Total 948 100,0 64,7
Estudio del Consumo de la Quinua en la Ciudad de Potosí
Estudio del Consumo de la Quinua en la Ciudad de Potosí
CONSUMO HOJUELA DE QUINUA
ILUSTRACIÓN Nº 12
Consumo gr/mes No. Hogares Porcentaje % Acumulado
0,0 gr 794 83,8 83,8
100,0 gr 1 0,1 83,9
226,8 gr 7 0,7 84,6
300,0 gr 1 0,1 84,7
453,6 gr 62 6,5 91,2
500,0 gr 9 0,9 92,2
907,2 gr 19 2,0 94,2
1000,0 gr 17 1,8 96,0
1360,8 gr 18 1,9 97,9
1500,0 gr 1 0,1 98,0
1600,0 gr 1 0,1 98,1
1814,4 gr 2 0,2 98,3
2000,0 gr 3 0,3 98,6
2721,6 gr 12 1,3 99,9
3000,0 gr 1 0,1 100,0
Total 948 100,0
Estudio del Consumo de la Quinua en la Ciudad de Potosí
Consumo gr/mes No. Hogares Porcentaje % Acumulado
0 gr 794 83,8 83,8
0 < gr<= 1000 116 12,2 96,0
1000 < gr<= 2000 25 2,6 98,6
2000 < gr<= 3000 13 1,4 100,0
Total 948 100,0
CONSUMO HOJUELA DE QUINUA
(CLASIFICACIÓN POR INTERVALOS)
ILUSTRACIÓN Nº 13
Estudio del Consumo de la Quinua en la Ciudad de Potosí
Consumo gr/mes No.Hogares Porcentaje % Acumulado
0,0 gr 861 90,8 90,8
100,0 gr 1 0,1 90,9
226,8 gr 3 0,3 91,2
453,6 gr 46 4,9 96,1
500,0 gr 2 0,2 96,3
907,2 gr 7 0,7 97,0
1000,0 gr 10 1,1 98,1
1360,8 gr 9 0,9 99,1
2000,0 gr 1 0,1 99,2
2721,6 gr 8 0,8 100,0
Total 948 100,0
CONSUMO PITO DE QUINUA
ILUSTRACIÓN Nº 14
Estudio del Consumo de la Quinua en la Ciudad de Potosí
CONSUMO PITO DE QUINUA
(CLASIFICACIÓN POR INTERVALOS)
ILUSTRACIÓN Nº 15
Consumo gr/mes No. Hogares Porcentaje % Acumulado
0 gr 861 90,8 90,8
0 < gr<= 1000 69 7,3 98,1
1000 < gr<= 2000 10 1,1 99,2
2000 < gr<= 3000 8 0,8 100,0
Total 948 100,0
Estudio del Consumo de la Quinua en la Ciudad de Potosí
Consumo No. Hogares Porcentaje % Acumulado
unid/mes
0 u 905 95,5 95,5
1 u 7 0,7 96,2
2 u 8 0,8 97,0
3 u 5 0,5 97,6
4 u 2 0,2 97,8
5 u 4 0,4 98,2
6 u 2 0,2 98,4
8 u 1 0,1 98,5
10 u 9 0,9 99,5
16 u 1 0,1 99,6
20 u 2 0,2 99,8
25 u 1 0,1 99,9
30 u 1 0,1 100,0
Total 948 100,0
CONSUMO BARRAS ENERGÉTICAS DE QUINUA
ILUSTRACIÓN Nº 16
Estudio del Consumo de la Quinua en la Ciudad de Potosí
Consumo u/mes No. Hogares Porcentaje % Acumulado
0 u 905 95,5 95,5
0 < u <= 10 38 4,0 99,5
10 < u<= 20 3 0,3 99,8
20 < u<= 30 2 0,2 100,0
Total 948 100,0
CONSUMO BARRAS ENERGÉTICAS DE QUINUA
(CLASIFICACIÓN POR INTERVALOS)
ILUSTRACIÓN Nº 17
Estudio del Consumo de la Quinua en la Ciudad de Potosí
Consumo No. Hogares Porcentaje % Acumulado
gr/mes
0,0 gr 942 99,4 99,4
200,0 gr 2 0,2 99,6
250,0 gr 1 0,1 99,7
453,0 gr 3 0,3 100,0
Total 948 100,0
CONSUMO DE INSUFLADOS DE QUINUA
ILUSTRACIÓN Nº 18
Estudio del Consumo de la Quinua en la Ciudad de Potosí
Consumo No. Hogares Porcentaje % Acumulado
u/mes
0 u 943 99,5 99,5
2 u 1 0,1 99,6
5 u 1 0,1 99,7
10 u 1 0,1 99,8
15 u 1 0,1 99,9
20 u 1 0,1 100,0
Total 948 100,0
CONSUMO DE GALLETAS DE QUINUA
ILUSTRACIÓN Nº 19
Estudio del Consumo de la Quinua en la Ciudad de Potosí
Consumo No. Hogares Porcentaje % Acumulado
Lit./mes
0 lit. 934 98,5 98,5
1 lit. 8 0,8 99,4
2 lit 3 0,3 99,7
3 lit 2 0,2 99,9
4 lit 1 0,1 100,0
Total 948 100,0
CONSUMO DE JUGOS DE QUINUA
ILUSTRACIÓN Nº 20
Estudio del Consumo de la Quinua en la Ciudad de Potosí
Consumo No. Hogares Porcentaje % Acumulado
gr/mes
0,0 gr 936 98,7 98,7
226,8 gr 1 0,1 98,8
453,6 gr 3 0,3 99,2
500,0 gr 1 0,1 99,3
1000,0 gr 3 0,3 99,6
1360,8 gr 1 0,1 99,7
1814,4 gr 1 0,1 99,8
2721,0 gr 1 0,1 99,9
11340,0 gr 1 0,1 100,0
Total 948 100,0
CONSUMO DE QUINUA EN OTRAS PRESENTACIONES
ILUSTRACIÓN Nº 21
Estudio del Consumo de la Quinua en la Ciudad de Potosí
Consumo gr/mes No. Hogares Porcentaje % Acumulado
0 gr 936 98,7 98,7
0 < gr<= 1000 8 0,8 99,6
1000 < gr<= 2000 2 0,2 99,8
gr > 2000 2 0,2 100,0
Total 948 100,0
CONSUMO DE QUINUA EN OTRAS PRESENTACIONES
(CLASIFICACIÓN DE CONSUMO POR INTERVALOS)
ILUSTRACIÓN Nº 22
Estudio del Consumo de la Quinua en la Ciudad de Potosí
Compra en Ferias No. Hogares Porcentaje % Acumulado
si 381 61,45 61,45
no 239 38,55 100,00
Total 620 100
HOGARES QUE COMPRAN QUINUA
EN FERIAS CITADINAS
ILUSTRACIÓN Nº 23
Estudio del Consumo de la Quinua en la Ciudad de Potosí
Compra en Mercados No. Hogares Porcentaje % Acumulado
si 267 43,06 43,06
no 353 56,94 100,00
Total 620 100
HOGARES QUE COMPRAN QUINUA EN MERCADOS
ILUSTRACIÓN Nº 24
Estudio del Consumo de la Quinua en la Ciudad de Potosí
Tiendas exclusivas No. Hogares Porcentaje %Acumulado
si 38 6,13 6,13
no 582 93,87 100,00
Total 620 100
HOGARES QUE COMPRAN QUINUA EN TIENDAS
DE VENTA EXCLUSIVA DEL PRODUCTO
ILUSTRACIÓN Nº 25
Estudio del Consumo de la Quinua en la Ciudad de Potosí
Dotación No. Hogares Porcentaje % Acumulado
de Lactancia
si 8 1,29 1,29
no 612 98,71 100,00
Total 620 100
HOGARES QUE RECIBEN QUINUA COMO
DOTACIÓN DE LACTANCIA
ILUSTRACIÓN Nº 26
Estudio del Consumo de la Quinua en la Ciudad de Potosí
Envío No. Hogares Porcentaje % Acumulado
si 34 5,48 5,48
no 586 94,52 100,00
Total 620 100
HOGARES QUE RECIBEN QUINUA COMO ENVIO
DE PARIENTES Y OTROS
ILUSTRACIÓN Nº 27
Estudio del Consumo de la Quinua en la Ciudad de Potosí
Otras formas No. Hogares Porcentaje % Acumulado
si 83 13,39 13,39
no 537 86,61 100,00
Total 620 100
HOGARES QUE ADQUIEREN QUINUA POR OTROS
MEDIOS NO CONSIDERADOS EN EL ESTUDIO
ILUSTRACIÓN Nº 28
Estudio del Consumo de la Quinua en la Ciudad de Potosí
Hogar informado No. Hogares Porcentaje % Acumulado
si 370 39,03 39,03
no 578 60,97 100,00
Total 948 100
HOGARES DONDE CONOCEN SOBRE EL CONTENIDO
PROTEÍNICO DE LA QUINUA
ILUSTRACIÓN Nº 29
Estudio del Consumo de la Quinua en la Ciudad de Potosí
Hogar informado No. Hogares Porcentaje % Acumulado
si 372 39,24 39,24
no 576 60,76 100,00
Total 948 100
HOGARES QUE CONOCEN SOBRE EL CONTENIDO DE
MINERALES EN LA QUINUA
ILUSTRACIÓN Nº 30
Estudio del Consumo de la Quinua en la Ciudad de Potosí
Hogar informado No. Hogares Porcentaje % Acumulado
si 413 43,57 43,57
no 535 56,43 100,00
Total 948 100
HOGARES QUE CONOCEN SOBRE EL CONTENIDO DE
VITAMINAS EN LA QUINUA
ILUSTRACIÓN Nº 31
Estudio del Consumo de la Quinua en la Ciudad de Potosí
Hogar informado No. Hogares Porcentaje % Acumulado
si 263 27,74 27,74
no 685 72,26 100,00
Total 948 100
HOGARES QUE CONOCEN SOBRE EL BAJO
COLESTEROL DEL PRODUCTO
ILUSTRACIÓN Nº 32
Estudio del Consumo de la Quinua en la Ciudad de Potosí
Hogar informado No. Hogares Porcentaje % Acumulado
si 77 8,12 8,12
no 871 91,88 100,00
Total 948 100
HOGARES QUE CONOCEN OTRAS CUALIDADES NO
CONSIDERADAS EN LA INVESTIGACIÓN
ILUSTRACIÓN Nº 33
Estudio del Consumo de la Quinua en la Ciudad de Potosí
Consumo gr/mes No. Hogares Porcentaje % Acumulado
CONSUMO DE ARROZ ENTERO
ILUSTRACIÓN Nº 34
0,00
453,60
500,00
907,20
1.000,00
1.360,80
1.500,00
1.814,40
2.000,00
2.268,00
2.721,60
3.000,00
3.175,20
3.628,80
4.000,00
4.082,40
4.536,00
5.000,00
5.443,20
6.000,00
6.804,00
7.000,00
8.000,00
8.164,80
9.072,00
10.000,00
11.340,00
13.608,00
15.000,00
16.783,20
22.680,00
Total
14,0
16,8
16,9
17,4
21,4
27,2
27,3
27,7
29,9
30,5
47,6
48,9
49,1
49,3
50,1
50,7
50,8
51,7
67,1
67,3
67,4
67,5
67,6
68,2
68,6
69,7
96,4
96,6
96,9
97,4
100,0
133
26
1
5
38
55
1
4
20
6
162
13
1
2
8
6
1
8
146
2
1
1
1
6
3
11
253
2
3
4
25
948
14,0
2,7
0,1
0,5
4,0
5,8
0,1
0,4
2,1
0,6
17,1
1,4
0,1
0,2
0,8
0,6
0,1
0,8
15,4
0,2
0,1
0,1
0,1
0,6
0,3
1,2
26,7
0,2
0,3
0,4
2,6
100,0
Estudio del Consumo de la Quinua en la Ciudad de Potosí
CONSUMO DE ARROZ ENTERO
(CLASIFICACIÓN POR INTERVALOS)
ILUSTRACIÓN Nº 35
Consumo gr/mes No. Hogares Porcentaje % Acumulado
0 gr 133 14,0 14,0
0 < gr<= 3000 331 34,9 48,9
3000 < gr<= 6000 174 18,4 67,3
6000 < gr<= 9000 9 0,9 68,2
9000 < gr<=12000 267 28,2 96,4
12000 < gr<= 15000 5 0,5 96,9
15000 < gr<= 18000 4 0,4 97,4
18000 < gr<= 21000 0 0,0 97,4
21000 < gr<= 24000 25 2,6 100,0
Total 948 100,0
Estudio del Consumo de la Quinua en la Ciudad de Potosí
Estudio del Consumo de la Quinua en la Ciudad de Potosí
Consumo gr/mes No. Hogares Porcentaje % Acumulado
0,00 438 46,2 46,2
30,00 1 0,1 46,3
226,80 3 0,3 46,6
453,60 28 3,0 49,6
500,00 3 0,3 49,9
543,60 2 0,2 50,1
680,40 1 0,1 50,2
907,20 5 0,5 50,7
1.000,00 32 3,4 54,1
1.134,00 1 0,1 54,2
1.360,80 63 6,6 60,9
1.814,40 7 0,7 61,6
2.000,00 20 2,1 63,7
2.041,20 1 0,1 63,8
2.268,00 5 0,5 64,3
2.721,60 107 11,3 75,6
3.000,00 9 0,9 76,6
4.000,00 2 0,2 76,8
4.536,00 2 0,2 77,0
5.000,00 2 0,2 77,2
5.443,20 109 11,5 88,7
6.350,40 1 0,1 88,8
8.164,80 3 0,3 89,1
9.072,00 1 0,1 89,2
9.340,00 1 0,1 89,3
10.000,00 1 0,1 89,5
11.340,00 89 9,4 98,8
13.260,80 1 0,1 98,9
15.000,00 1 0,1 99,1
16.783,20 1 0,1 99,2
22.680,00 8 0,8 100,0
Total 948 100,0
CONSUMO DE ARROZ PARTIDO
ILUSTRACIÓN Nº 36
Estudio del Consumo de la Quinua en la Ciudad de Potosí
Consumo gr/mes No. Hogares Porcentaje % Acumulado
0 gr 438 46,2 46,2
0 < gr<= 3000 288 30,4 76,6
3000 < gr<= 6000 115 12,1 88,7
6000 < gr<= 9000 4 0,4 89,1
9000 < gr<=12000 92 9,7 98,8
12000 < gr<= 15000 2 0,2 99,1
15000 < gr<= 18000 1 0,1 99,2
18000 < gr<= 21000 0 0,0 99,2
21000 < gr<= 24000 8 0,8 100,0
Total 948 100,0
CONSUMO DE ARROZ PARTIDO
(CLASIFICACIÓN DE CONSUMO POR INTERVALOS)
ILUSTRACIÓN Nº 37
Estudio del Consumo de la Quinua en la Ciudad de Potosí
Consumo gr/mes No. Hogares Porcentaje % Acumulado
0,0 gr 915 96,5 96,5
453,6 gr 2 0,2 96,7
1000,0 gr 4 0,4 97,2
1360,8 gr 2 0,2 97,4
2000,0 gr 3 0,3 97,7
2721,6 gr 13 1,4 99,1
3000,0 gr 1 0,1 99,2
5000,0 gr 2 0,2 99,4
5443,2 gr 2 0,2 99,6
8000,0 gr 1 0,1 99,7
11340,0 gr 2 0,2 99,9
22680,0 gr 1 0,1 100,0
Total 948 100,0
CONSUMO DE ARROZ POPULAR
ILUSTRACIÓN Nº 38
Estudio del Consumo de la Quinua en la Ciudad de Potosí
Consumo gr/mes No. Hogares Porcentaje % Acumulado
0 gr 915 96,5 96,5
0 < gr<= 3000 25 2,6 99,2
3000 < gr<= 6000 4 0,4 99,6
6000 < gr<= 9000 1 0,1 99,7
9000 < gr<=12000 2 0,2 99,9
12000 < gr<= 15000 0 0,0 99,9
15000 < gr<= 18000 0 0,0 99,9
18000 < gr<= 21000 0 0,0 99,9
21000 < gr<= 24000 1 0,1 100,0
Total 948 100,0
CONSUMO DE ARROZ POPULAR
(CLASIFICACIÓN DE CONSUMO POR INTERVALOS)
ILUSTRACIÓN Nº 39
Estudio del Consumo de la Quinua en la Ciudad de Potosí
CONSUMO TOTAL DE ARROZ
Consumo gr/mes No. Hogares Porcentaje % Acumulado
0,00 38 4,0 4,0
226,80 1 0,1 4,1
453,60 11 1,2 5,3
530,00 1 0,1 5,4
907,20 12 1,3 6,6
1.000,00 18 1,9 8,5
1.360,80 37 3,9 12,4
1.453,60 2 0,2 12,7
1.500,00 2 0,2 12,9
1.587,60 1 0,1 13,0
1.814,40 7 0,7 13,7
1.907,20 1 0,1 13,8
2.000,00 25 2,6 16,5
2.268,00 4 0,4 16,9
2.360,80 5 0,5 17,4
2.453,60 1 0,1 17,5
2.494,80 1 0,1 17,6
2.721,60 123 13,0 30,6
2.948,40 1 0,1 30,7
3.000,00 15 1,6 32,3
3.175,20 9 0,9 33,2
3.360,80 2 0,2 33,4
3.402,00 1 0,1 33,5
3.628,80 3 0,3 33,9
4.000,00 10 1,1 34,9
4.082,40 10 1,1 36,0
4.536,00 7 0,7 36,7
4.721,60 2 0,2 36,9
4.989,60 1 0,1 37,0
5.000,00 14 1,5 38,5
5.443,20 124 13,1 51,6
5.896,80 1 0,1 51,7
5.943,20 1 0,1 51,8
ILUSTRACIÓN Nº 40
Estudio del Consumo de la Quinua en la Ciudad de Potosí
6.000,00 2 0,2 52,0
6.123,60 1 0,1 52,1
6.350,40 3 0,3 52,4
6.443,20 2 0,2 52,6
6.804,00 14 1,5 54,1
7.000,00 3 0,3 54,4
7.257,60 1 0,1 54,5
7.443,20 1 0,1 54,6
8.000,00 1 0,1 54,7
8.164,80 46 4,9 59,6
8.442,60 1 0,1 59,7
8.804,00 2 0,2 59,9
9.000,00 2 0,2 60,1
9.072,00 1 0,1 60,2
9.164,20 1 0,1 60,3
9.500,00 1 0,1 60,4
9.525,60 1 0,1 60,5
10.000,00 10 1,1 61,6
10.886,40 37 3,9 65,5
11.340,00 136 14,3 79,9
11.793,60 4 0,4 80,3
11.883,60 2 0,2 80,5
12.340,00 1 0,1 80,6
12.700,80 14 1,5 82,1
13.000,00 1 0,1 82,2
13.154,40 2 0,2 82,4
13.340,00 2 0,2 82,6
13.608,00 4 0,4 83,0
14.061,60 15 1,6 84,6
14.340,00 2 0,2 84,8
14.621,60 1 0,1 84,9
15.000,00 3 0,3 85,2
15.061,00 1 0,1 85,3
15.443,20 1 0,1 85,4
15.453,60 1 0,1 85,5
CONSUMO TOTAL DE ARROZ (CONTINUACIÓN)
Estudio del Consumo de la Quinua en la Ciudad de Potosí
15.886,40 1 0,1 85,7
16.783,20 36 3,8 89,5
18.144,00 1 0,1 89,6
18.783,20 1 0,1 89,7
19.051,20 1 0,1 89,8
20.000,00 1 0,1 89,9
22.226,40 1 0,1 90,0
22.680,00 82 8,6 98,6
28.123,20 2 0,2 98,8
34.020,00 9 0,9 99,8
39.463,20 1 0,1 99,9
45.360,00 1 0,1 100,0
Total 948 100,0
CONSUMO TOTAL DE ARROZ (CONTINUACIÓN)
Estudio del Consumo de la Quinua en la Ciudad de Potosí
Consumo gr/mes No. Hogares Porcentaje % Acumulado
0 gr 38 4,0 4,0
0 < gr<= 3000 268 28,3 32,3
3000 < gr<= 6000 187 19,7 52,0
6000 < gr<= 9000 77 8,1 60,1
9000 < gr<=12000 193 20,4 80,5
12000 < gr<= 15000 45 4,7 85,2
15000 < gr<= 18000 40 4,2 89,5
18000 < gr<= 21000 4 0,4 89,9
gr > 21000 96 10,1 100,0
Total 948 100,0
CONSUMO DE ARROZ POPULAR
(CLASIFICACIÓN DE CONSUMO POR INTERVALOS)
ILUSTRACIÓN Nº 41
Estudio del Consumo de la Quinua en la Ciudad de Potosí
Consumo gr/mes No. Hogares Porcentaje % Acumulado
0,00 82 8,6 8,6
226,80 4 0,4 9,1
453,60 24 2,5 11,6
500,00 2 0,2 11,8
680,40 1 0,1 11,9
907,20 5 0,5 12,4
1.000,00 43 4,5 17,0
1.360,80 87 9,2 26,2
1.500,00 1 0,1 26,3
1.814,40 2 0,2 26,5
2.000,00 16 1,7 28,2
2.268,00 6 0,6 28,8
2.500,00 1 0,1 28,9
2.721,60 186 19,6 48,5
3.000,00 18 1,9 50,4
4.000,00 5 0,5 50,9
4.082,40 3 0,3 51,3
4.536,00 3 0,3 51,6
5.000,00 11 1,2 52,7
5.443,00 2 0,2 53,0
5.443,20 165 17,4 70,4
6.804,00 3 0,3 70,7
7.000,00 3 0,3 71,0
8.164,80 14 1,5 72,5
8.618,40 1 0,1 72,6
9.000,00 1 0,1 72,7
10.000,00 10 1,1 73,7
11.340,00 206 21,7 95,5
11.430,00 2 0,2 95,7
12.000,00 1 0,1 95,8
15.000,00 1 0,1 95,9
16.783,00 2 0,2 96,1
16.783,20 4 0,4 96,5
22.680,00 33 3,5 100,0
Total 948 100,0
CONSUMO DE FIDEO
ILUSTRACIÓN Nº 42
Estudio del Consumo de la Quinua en la Ciudad de Potosí
Consumo gr/mes No.Hogares Porcentaje % Acumulado
0 gr 82 8,6 8,6
0 < gr<= 3000 396 41,8 50,4
3000 < gr<= 6000 189 19,9 70,4
6000 < gr<= 9000 22 2,3 72,7
9000 < gr<=12000 219 23,1 95,8
12000 < gr<= 15000 1 0,1 95,9
15000 < gr<= 18000 6 0,6 96,5
18000 < gr<= 21000 0 0,0 96,5
gr > 21000 33 3,5 100,0
Total 948 100,0
CONSUMO DE FIDEO
(CLASIFICACIÓN DE CONSUMO POR INTERVALOS )
ILUSTRACIÓN Nº 43
Estudio del Consumo de la Quinua en la Ciudad de Potosí
Estudio del Consumo de la Quinua en la Ciudad de Potosí
Consumo gr/mes No. Hogares Porcentaje % Acumulado
0,0 gr 693 73,1 73,1
100,0 gr 1 0,1 73,2
200,0 gr 1 0,1 73,3
226,8 gr 6 0,6 73,9
453,6 gr 63 6,6 80,6
500,0 gr 5 0,5 81,1
907,2 gr 9 0,9 82,1
1000,0 gr 48 5,1 87,1
1360,8 gr 19 2,0 89,1
1814,4 gr 5 0,5 89,7
2000,0 gr 9 0,9 90,6
2721,6 gr 83 8,8 99,4
4000,0 gr 1 0,1 99,5
5443,2 gr 5 0,5 100,0
Total 948 100,0
CONSUMO DE TRIGO
ILUSTRACIÓN Nº 44
Estudio del Consumo de la Quinua en la Ciudad de Potosí
Consumo gr/mes No. Hogares Porcentaje % Acumulado
0 gr 693 73,1 73,1
0 < gr<= 1000 133 14,0 87,1
1000 < gr<= 2000 33 3,5 90,6
2000 < gr<= 3000 83 8,8 99,4
3000 < gr<=4000 1 0,1 99,5
4000 < gr<= 5000 0 0,0 99,5
5000 < gr<= 6000 5 0,5 100,0
Total 948 100,0
CONSUMO DE TRIGO
(CLASIFICACIÓN DE CONSUMO POR INTERVALOS)
ILUSTRACIÓN Nº 45
Estudio del Consumo de la Quinua en la Ciudad de Potosí
Consumo gr/mes No. Hogares Porcentaje % Acumulado
0,0 gr 866 91,4 91,4
226,8 gr 1 0,1 91,5
453,6 gr 22 2,3 93,8
500,0 gr 3 0,3 94,1
907,2 gr 1 0,1 94,2
1000,0 gr 20 2,1 96,3
1360,8 gr 6 0,6 96,9
2000,0 gr 4 0,4 97,4
2721,6 gr 13 1,4 98,7
5000,0 gr 2 0,2 98,9
5443,2 gr 5 0,5 99,5
11340,0 gr 5 0,5 100,0
Total 948 100,0
CONSUMO DE MAIZ
ILUSTRACIÓN Nº 46
Estudio del Consumo de la Quinua en la Ciudad de Potosí
Consumo gr/mes No. Hogares Porcentaje % Acumulado
0 gr 866 91,4 91,4
0 < gr<= 1000 47 5,0 96,3
1000 < gr<= 2000 10 1,1 97,4
2000 < gr<= 3000 13 1,4 98,7
gr >3000 12 1,3 100,0
Total 948 100,0
CONSUMO DE MAIZ
(CLASIFICACIÓN DE CONSUMO POR INTERVALOS)
ILUSTRACIÓN Nº 47
Estudio del Consumo de la Quinua en la Ciudad de Potosí
Consumo gr/mes No. Hogares Porcentaje % Acumulado
0,0 gr 855 90,2 90,2
100,0 gr 2 0,2 90,4
200,0 gr 1 0,1 90,5
230,0 gr 1 0,1 90,6
453,6 gr 23 2,4 93,0
500,0 gr 1 0,1 93,1
907,2 gr 13 1,4 94,5
1000,0 gr 13 1,4 95,9
1360,8 gr 15 1,6 97,5
2000,0 gr 10 1,1 98,5
2721,6 gr 9 0,9 99,5
4000,0 gr 1 0,1 99,6
5000,0 gr 3 0,3 99,9
11340,0 gr 1 0,1 100,0
Total 948 100,0
CONSUMO DE LENTEJA
ILUSTRACIÓN Nº 48
Estudio del Consumo de la Quinua en la Ciudad de Potosí
Consumo gr/mes No. Hogares Porcentaje % Acumulado
0 gr 855 90,2 90,2
0 < gr<= 1000 54 5,7 95,9
1000 < gr<= 2000 25 2,6 98,5
2000 < gr<= 3000 9 0,9 99,5
gr >3000 5 0,5 100,0
Total 948 100,0
CONSUMO DE LENTEJA
(CLASIFICACIÓN DE CONSUMO POR INTERVALOS)
ILUSTRACIÓN Nº 49
Estudio del Consumo de la Quinua en la Ciudad de Potosí
CONSUMO DE CHUÑO
ILUSTRACIÓN Nº 50
Consumo gr/mes No. Hogares Porcentaje % Acumulado
0,0 gr 903 95,3 95,3
100,0 gr 1 0,1 95,4
453,6 gr 18 1,9 97,3
907,2 gr 1 0,1 97,4
1000,0 gr 10 1,1 98,4
1360,8 gr 5 0,5 98,9
1814,4 gr 2 0,2 99,2
2000,0 gr 2 0,2 99,4
2721,6 gr 2 0,2 99,6
4000,0 gr 1 0,1 99,7
5000,2 gr 1 0,1 99,8
5443,2 gr 2 0,2 100,0
Total 948 100,0
Estudio del Consumo de la Quinua en la Ciudad de Potosí
Consumo gr/mes No. Hogares Porcentaje % Acumulado
0 gr 903 95,3 95,3
0 < gr<= 1000 30 3,2 98,4
1000 < gr<= 2000 9 0,9 99,4
2000 < gr<= 3000 2 0,2 99,6
gr >3000 4 0,4 100,0
Total 948 100,0
CONSUMO DE CHUÑO
(CLASIFICACIÓN DE CONSUMO POR INTERVALOS)
ILUSTRACIÓN Nº 51
Estudio del Consumo de la Quinua en la Ciudad de Potosí
Consumo gr/mes No. Hogares Porcentaje % Acumulado
0,0 gr 895 94,4 94,4
113,4 gr 1 0,1 94,5
226,8 gr 1 0,1 94,6
453,6 gr 7 0,7 95,4
907,2 gr 2 0,2 95,6
1000,0 gr 7 0,7 96,3
1360,8 gr 6 0,6 96,9
1814,4 gr 1 0,1 97,0
2000,0 gr 3 0,3 97,4
2721,6 gr 6 0,6 98,0
3000,0 gr 2 0,2 98,2
4000,0 gr 4 0,4 98,6
5443,2 gr 1 0,1 98,7
6000,0 gr 1 0,1 98,8
11340,0 gr 8 0,8 99,7
22680,0 gr 3 0,3 100,0
Total 948 100,0
CONSUMO DE OTROS CARBOHIDRATOS
NO ESPECÍFICADOS
ILUSTRACIÓN Nº 52
Estudio del Consumo de la Quinua en la Ciudad de Potosí
CONSUMO DE OTROS CARBOHIDRATOS
NO ESPECÍFICADOS
(CLASIFICACIÓN DE CONSUMO POR INTERVALOS)
ILUSTRACIÓN Nº 53
Consumo gr/mes No. Hogares Porcentaje % Acumulado
0 gr 895 94,4 94,4
0 < gr<= 3000 36 3,8 98,2
3000 < gr<= 6000 6 0,6 98,8
gr > 6000 11 1,2 100,0
Total 948 100,0
Estudio del Consumo de la Quinua en la Ciudad de Potosí
No. De personas No.Hogares Porcentaje % Acumulado
1 persona 19 2,0 2,0
2 personas 62 6,5 8,5
3 personas 125 13,2 21,7
4 personas 189 19,9 41,7
5 personas 174 18,4 60,0
6 personas 139 14,7 74,7
7 personas 91 9,6 84,3
8 personas 79 8,3 92,6
9 personas 25 2,6 95,3
10 personas 27 2,8 98,1
11 personas 6 0,6 98,7
12 personas 10 1,1 99,8
15 personas 2 0,2 100,0
Total 948 100,0
INTEGRANTES DEL HOGAR COMPARTEN LA MESA
ILUSTRACIÓN Nº 54
Estudio del Consumo de la Quinua en la Ciudad de Potosí
INTEGRANTES DEL HOGAR COMPARTEN LA MESA
(CLASIFICACIÓN POR INTERVALOS)
ILUSTRACIÓN Nº 55
No. De personas No. Hogares Porcentaje % Acumulado
1 <= pers<= 3 206 21,7 21,7
4 <= pers<= 6 502 53,0 74,7
7 <= pers<= 9 195 20,6 95,3
10<= pers<=12 43 4,5 99,8
13 <= pers<=15 2 0,2 100,0
Total 948 100,0
Estudio del Consumo de la Quinua en la Ciudad de Potosí
cantidad gramos
una libra 453,60
3 libras 1360,80
media cuartilla 1360,80
5 libras 2268,00
6 libras 2721,60
cuartilla 2721,60
8 libras 3628,80
9 libras 4082,40
10 libras 4536,00
media arroba 5443,20
15 libras 6804,00
18 libras 8164,80
24 libras 10886,40
arroba 11340,00
28 libras 12700,80
30 libras 13608,00
31 libras 14061,60
37 libras 16783,20
2 arrobas 22680,00
3 arrobas 34020,00
1 quintal 45360,00
TABLAS DE EQUIVALENCIA LIBRAS/GRAMOS
Estudio del Consumo de la Quinua en la Ciudad de Potosí
ÍNDICE
Presentación 3
Resumen 4
introducción 5
Objetivo general 5
Objetivos específicos 5
Capítulo I
Contexto General de la Quinua
1.1 La quinua 7
1.2 Cualidades que hacen de la quinua un
alimento de excelencia 9
1.3 La Quinua Real 12
1.4 Programa de Apoyo a la
Cadena Quinua Altiplano Sur 13
1.5 Demanda y oferta de la quinua
en el mercado externo 14
1.6 Presentaciones de la quinua en el
mercado interno 15
Capítulo II
Proceso de recolección de datos
2.1 La encuesta como método de recolección de
información en el estudio de consumo y
comercialización de la quinua 16
2.2 Tipo de muestreo utilizando, definiciones
de tamaño muestral 17
2.3 Tamaño muestral 18
2.4 La ejecución de las encuestas 21
2.5 Los resultados del trabajo 21
Capítulo III
Descripción de Resultados de Encuesta
3.1 Resultados descriptivos de la encuesta sobre
consumo de quinua aplicada en los diferentes
distritos de la ciudad de Potosí 22
3.1.1 Primera pregunta ¿Cuáles son los alimentos
que usualmente adquiere para el consumo? 22
3.1.2 Segunda pregunta ¿Utiliza quinua para
la alimentación de su familia? 24
Estudio del Consumo de la Quinua en la Ciudad de Potosí
3.1.3 Tercera pregunta ¿En caso de consumir quinua,
cuáles son las presentaciones de su preferencia
y qué cantidad aproximada utiliza al mes? 25
3.1.4 Cuarta pregunta ¿De dónde adquiere
usualmente los productos de quinua? 30
3.1.5 Quinta pregunta ¿Conoce Ud. las bondades
nutritivas de la quinua? 31
3.1.6 Sexta pregunta ¿En cuanto a otros
alimentos como fideo, arroz, trigo
que cantidades consume su familia al mes? 32
3.1.7 Séptima pregunta ¿En su familia, cuántas
personas comparten la mesa? 33
Capítulo IV
Comparación del Consumo Promedio y Consumo
Per Cápita de la Quinua Frente a Otros Alimentos
4.1 Consumo promedio mes de quinua en
presentaciones diferentes por hogar encuestado 35
4.2 Consumo de arroz en variadades diferentes
promedio mes por hogar encuestado 38
4.3 Comparación de la cantidad promedio de
consumo por hogar al mes: quinua, arroz,
fideo y otros cereales 39
4.4 Comparación del consumo promedio mes por
persona de: quinua, arroz, fideo y otros cereales 40
4.5 Comparación del consumo per cápita de: quinua,
arroz, fideo y otros cereales 42
Conclusiones 44
Recomendaciones 44
Bibliografía 45
Anexos 47 - 114

Estudio consumo potosi

  • 2.
    Estudio del Consumode la Quinua en la Ciudad de Potosí
  • 3.
    Estudio del Consumode la Quinua en la Ciudad de Potosí Estudio del Consumo de la Quinua en la Ciudad de Potosí Autores: Raquel Borja M. y David Soraide L. Fotografías: Mirko Carvajal Primera edición: Noviembre, 2006 Segunda edición: Octubre, 2007 Diseño y producción: Martha Méndez I. Depósito Legal: 4-1-1994-07 Editores: Fundación AUTAPO Prohibida la reproducción total o parcial de esta obra sin la autorización escrita de los autores.
  • 4.
    Estudio del Consumode la Quinua en la Ciudad de Potosí PRESENTACIÓN El consumo de quinua a nivel nacional durante estos últimos años, está empezando a posicionarse en la mente de los consumidores por su alto valor nutricional y propiedades alimenticias que presenta este cultivo. Por estas consideraciones se vio la necesidad de llevar adelante un estudio del consumo de quinua en la ciudad de Potosí, apoyado por el Programa Quinua conducido por la Fundación AUTAPO; lo cual permitirá tener referencia sobre la importancia que se le da a este alimento, determinando las cantidades de consumo por familia con relación a otros alimentos del mercado y de esta manera contar con información que coadyuvará a tomar decisiones para mejorar los niveles de consumo; tomando en cuenta el segmento del mercado local. Es así que tengo el agrado de presentar a ustedes el Estudio del Consumo de la Quinua en la Ciudad de Potosí, como fuente de información a instituciones públicas y privadas, para así tomar estrategias que puedan mejorar el hábito de consumo interno de este grano extraordinario que supera todas las propiedades de otros cereales Finalmente, aprovecho la oportunidad para agradecer a la Lic. Raquel Borja M. y al Ing. David Soraide L. Un reconocimiento a los estudiantes de la Carrera de Estadística de la Universidad Autónoma “Tomás Frías” por haber participado en la realización de la Encuesta. Una ponderación especial por el trabajo de Supervisión de Encuesta y transcripción de boletas a los estudiantes del Equipo de Investigación de la Carrera de Estadística que trabajan bajo la dirección de la Lic. Raquel Borja M. Ing. Andreas Preisig GERENTE GENERAL FUNDACIÓN AUTAPO 3
  • 5.
    Estudio del Consumode la Quinua en la Ciudad de Potosí RESUMEN La quinua es un cultivo de cualidades alimenticias excepcionales, Bolivia se caracteriza por ser uno de los mayores productores. Existen diversas variedades de quinua, la variedad que más se destaca es la Quinua Real originaria del Altiplano Sur de Bolivia. El propósito principal del trabajo es determinar los índices de consumo de quinua en el mercado de la ciudad de Potosí. Se ha ejecutado una encuesta que concentra datos sobre: el consumo de la quinua, el grado de información que la población posee sobre este alimento y la relación de consumo de otros alimentos sustitutos. Para garantizar la identificación de una muestra representativa se han distribuido las boletas de encuesta en los doce distritos de la ciudad de Potosí. Los resultados obtenidos nos muestran que el consumo per cápita de arroz alcanza a 19222.07 gr más de 19 kilos, el fideo alcanza 12845.62 gr casi 13 kilos y la quinua 2362.93 gr menos de los dos kilos y medio. En consecuencia podemos concluir que el consumo de la quinua es muy bajo, por tanto se recomienda a la población concientizar sobre las bondades nutritivas que tiene la quinua y por otro lado motivar la inversión sobre puntos de venta para incrementar la actividad comercial y de mercadeo. 4
  • 6.
    Estudio del Consumode la Quinua en la Ciudad de Potosí INTRODUCCIÓN La quinua es un cereal privilegiado por su concentrado de proteínas, vitaminas y minerales entre otras cualidades. Las cualidades de la quinua han originado que se realicen acciones de apoyo a la producción con la colaboración de diferentes instituciones. Actualmente se ha determinado la Cadena Productiva de la Quinua para mejorar el proceso productivo, comercialización y exportación. En Bolivia existen zonas productoras por excelencia, la demanda externa es creciente, en cambio en el mercado interno no parece cobrar mucha expectativa. El propósito fundamental del trabajo de investigación es el de establecer los niveles de consumo de quinua en la ciudad de Potosí. En ese marco se describen los siguientes objetivos concretos: Objetivo general Analizar las características del consumo de quinua en la ciudad de Potosí. Objetivos específicos Determinar el nivel de información que la población posee sobre las cualidades alimenticias de la quinua. Identificar cuáles son las proporciones de consumo de este alimento en los hogares potosinos. Identificar los centros de abastecimiento que comercializan el producto dentro la ciudad. Comparar el consumo per cápita de la quinua frente a otros alimentos. 5
  • 7.
    Estudio del Consumode la Quinua en la Ciudad de Potosí El trabajo surge bajo el supuesto hipotético que el consumo de quinua tiene proporciones reducidas en la ciudad de Potosí. El trabajo de investigación es importante y se justifica por la imperiosa necesidad de contar con información de primera línea sobre la temática planteada que permita evaluar la situación actual del mercado interno; la información enriquecerá los puntos de vista para proponer estrategias de difusión, capacitación y comercialización de este alimento. En ese marco se ha ejecutado una encuesta dirigida a los hogares de la ciudad, que en esencia son los consumidores o en su defecto los potenciales consumidores de la quinua. En principio se realizó una encuesta piloto que permitió la identificación del tamaño muestral apropiado. Es importante precisar que los resultados que se exponen son de carácter descriptivo, implicando que con los datos recolectados se pueden todavía enriquecer aún más las conclusiones a las que se convergen en este primer documento. 6
  • 8.
    Estudio del Consumode la Quinua en la Ciudad de Potosí Capítulo I CONTEXTO GENERAL DE LA QUINUA 1.1 La quinua La quinua recibe el nombre genérico de Chenopodium Quinoa Willd, es una planta alimenticia producida mucho antes de la época colonial, se estima que pueda haberse cultivado hace más de 5000 años. El cultivo de quinua es de cosecha anual, su tamaño oscila desde un metro hasta incluso 3.5 metros dependiendo de la semilla; existen muchas variedades de quinua así como también existe una diversidad de semillas: blancas, negras, grises, cafés, amarillas, rosadas y rojas. El cultivo de la quinua presenta un fruto seco comestible de aproximadamente 2mm de diámetro (en función a las variedades pueden ser: un poco más grandes o más pequeños), las hojas que presenta también son comestibles. Según PROINPA (2006) la quinua es un cultivo con importante variabilidad genética muy específica a las diferentes condiciones ecológicas de los Andes que se manifiesta por la existencia de más de 1000 ecotipos repartidos en cinco grandes grupos: Se entiende por ecotipo a variedades de una misma especie determinada, que han desarrollado adaptaciones morfológicas y fisiológicas particulares al ecosistema donde viven sin que haya cambios del material genético (PROINPA, 2006), los cuales se transmiten a su descendencia. Por la presencia de estas adaptaciones, los ecotipos son particulares a las condiciones edafoclimática de los ecotipos del grupo al que pertenecen y pueden difícilmente adaptarse a otro. Para una especie determinada, los diferentes ecotipos tienen el mismo material cromosómico y difieren por sus adaptaciones morfológicas y fisiológicas. Grupo 1. Denominado Sureño o Costero. Crece a baja altitud, cerca del mar en la región de Concepción, al Sur de Chile, en un clima lluvioso (1.000 – 1.500 mm de precipitación pluvial). 7
  • 9.
    Estudio del Consumode la Quinua en la Ciudad de Potosí Soporta temperaturas mínimas de 5ºC. Se caracteriza por tener un fotoperiodo más largo. Su grano es pequeño, aplanado y traslúcido. Grupo 2. Yungueño. Es de grano pequeño y crece en los valles húmedos de la vertiente amazónica (altitud 1.500 – 2.000 m.s.n.m.) con un rango de precipitación pluvial entre 1.000 – 2.000 mm. Grupo 3. Valle. Agrupa ecotipos que crecen en los valles del Sur de Colombia, Ecuador, Perú y Bolivia, entre los 2.000 y 3.500 m.s.n.m. y con precipitaciones que fluctúan entre 500 y 1.500 mm. Soporta temperaturas mínimas de hasta 3ºC. Su grano es pequeño y posee un bajo contenido de saponina. Grupo 4. Altiplano. Crece en el Altiplano Norte y Central de Bolivia, preferentemente a orillas del Lago Titicaca, en un rango altitudinal de 3.800 – 4.100 m.s.n.m., con precipitaciones que fluctúan entre 400 – 800 mm. Soporta hasta -5ºC. Sus granos son de tamaño medio, con bajos niveles de saponina. Grupo 5. Denominado “Salar”. Crece en el área circundante a los salares del altiplano boliviano, de la puna del Norte Grande de Chile (fronterizo a Bolivia) y del Nor Este de Argentina. Agrupa a ecotipos que se caracterizan por desarrollarse en suelos salinos con un ph próximo a 8; con bajas precipitaciones medias anuales que varían de 212 mm al Norte del Salar de Uyuni y 110 mm al Sur Este de este salar, concentradas en los meses de diciembre a abril y en pisos altitudinales de 3.600 a 3.800 m.s.n.m. en un clima frío con temperaturas medias mensuales que varían entre 8 y 20ºC, con 200 a 250 días de heladas al año y que llega a soportar hasta -5ºC, con altos niveles de saponina. De acuerdo a su sabor se clasifican en quinuas amargas y dulces. Los principales ecotipos comerciales de quinua en el altiplano sur de Bolivia son: 8
  • 10.
    Estudio del Consumode la Quinua en la Ciudad de Potosí 1.2 Cualidades que hacen de la quinua un alimento de excelencia La quinua hasta ahora no ha cobrado grandes demandas en el mercado interno boliviano y en particular en el mercado potosino, sin embargo a nivel internacional genera cada día mayor expectativa. Los reportes de estudios sobre la composición de la quinua la jerarquizan como un alimento noble de insuperables bondades nutricionales para el ser humano. La quinua es un alimento que presenta proteínas de alta calidad (así se identifica a aquellos alimentos que presentan aminoácidos balanceados y ricos en lisina). La quinua, concentra proteínas, vitaminas, minerales, hidratos de carbono y no presenta porcentajes de grasa o colesterol considerables; la fibra incorporada en este alimento coadyuva a los procesos digestivos. Se han registrado tablas comparativas de cualidades de la quinua en relación a otros cereales los que se expresan en los cuadros siguientes: 9 ECOTIPO/CONSUMO TRADICIONAL Real Blanca (quinua para sopa) Toledo (quinua para phisara, mukuna y harina) Pandela Rosada (quinua para phisara, mukuna y sopa) Pisankalla (quinua para tostado, pipocas) Achachino (quinua para sopa y pito) Mok’o (quinua para sopa, phisara y mukuna) Hilo (quinua para sopa y phisara) Mañiqueña (quinua para sopa) Kosuña ( (quinua para phisara y sopa) Fuente: Ecotipos y variedades comerciales de quinua del altiplano sur (PROINPA, 2006)
  • 11.
    Estudio del Consumode la Quinua en la Ciudad de Potosí La información más relevante del cuadro, muestra que la quinua posee mayor concentrado de proteínas y menor cantidad de grasas en relación al trigo, arroz y maíz. Con el cuadro informativo presentado, se confirma las aseveraciones formuladas sobre las cualidades especiales de la quinua; precisamente la FAO (Organización para la Agricultura y la Alimentación de las Naciones Unidas) considera que sus beneficios son excepcionales y la catalogan como “el mejor alimento para la humanidad”. Los aminoácidos son compuestos químico-orgánicos básicos para conformar las proteínas; los seres humanos utilizan 20 variedades de aminoácidos, algunos de estos pueden ser formados mediante la digestión de otras substancias, sin embargo 10 de ellos denominados “aminoácidos esenciales o imprescindibles” no pueden ser originados por el mismo organismo, lo que implica que deben ingerirse de forma directa; los aminoácidos esenciales se encuentran en: cereales, carne, leche, huevo y en la quinua (en esta última en proporciones muy favorables). La lisina es uno de los aminoácidos de mayor importancia puesto que se le confiere la capacidad de mejorar el desarrollo de las células del cerebro y por ende mejorar en el desarrollo de la inteligencia, aprendizaje y reflejos; la quinua presenta mayores proporciones de este componente en relación a otros alimentos que contienen aminoácidos. COMPONENTE gr/100gr Proteínas Grasas Hidratos de carbono Humedad Valor energético Kcal QUINUA 13.81 0.01 59.10 12.65 350.00 TRIGO 11.50 2.00 59.10 13.20 309.00 ARROZ 7.40 2.20 74.60 13.10 353.00 MAIZ 9.20 3.80 65.20 12.50 338.00 Cuadro comparativo de la composición de la quinua Las fuentes para los cuadros presentados en esta sección corresponden a: Tellería 1976. Velásquez 1959, White, 1955, Durigan 1985, Van Etten et. al. 1963, Janssen et al 1979. 10
  • 12.
    Estudio del Consumode la Quinua en la Ciudad de Potosí Los aminoácidos del cuadro son considerados como los 10 aminoácidos más esenciales para el ser humano; no obstante la quinua en su composición también presenta otros como: ácido aspártico, ácido glutamínico, cisteina, serina, tirosina, prolina, alanina y glicina. aminoácidos esenciales gr/100gr Histidina Isoleucina Leucina Lisina Metionina Fenilalanina Treonina Triptofano Valina Arginina QUINUA (a) 4.6 7.0 7.3 8.4 5.5 5.3 5.7 1.2 7.6 7.4 TRIGO (b) 1.7 3.3 5.8 2.2 2.1 4.2 2.7 1.0 3.6 3.6 LECHE (b) 1.7 4.8 7.3 5.6 2.1 3.7 3.1 1.0 4.7 2.8 Cuadro comparativo de los aminoácidos Las fuentes para los cuadros presentados en esta sección corresponden a: Tellería 1976. Velásquez 1959, White, 1955, Durigan 1985, Van Etten et al 1963, Janssen et. al. 1979. 11 Las fuentes para los cuadros presentados en esta sección corresponden a: Tellería 1976. Velásquez 1959, White, 1955, Durigan 1985, Van Etten et al 1963, Janssen et. al. 1979. ELEMENTOS Ca P Mg K Fe Mn Zn QUINUA 66.00 408.00 204.20 1040.00 10.90 2.21 7.47 TRIGO 43.70 406.00 147.00 502.00 3.30 3.40 4.10 ARROZ 23.00 325.00 157.00 150.00 2.60 1.10 - MAÍZ 150.00 256.00 120.00 330.00 - 0.48 2.50 Cuadro comparativo de la composición mineral de la quinua orgánica con otros alimentos mg/gr MATERIA SECA
  • 13.
    Estudio del Consumode la Quinua en la Ciudad de Potosí En cuanto a los minerales que posee la quinua se cita al calcio (necesario para la formación ósea y sistema nervioso), hierro (fortalece el sistema inmunológico), zinc (previene el cáncer y fortalece el sistema inmunológico). La saponina El término “Saponina” se considera aplicable a dos grupos de glucósidos vegetales uno de ellos compuestos por los glucósidos triterpenoides de reacción ligeramente ácida, y el otro por los esteroides derivados del perhidro 1,2 ciclopentanofenantreno, tienen como propiedad la de formar una abundante espuma en solución acuosa y son tambien solubles en alcohol absoluto y otros solventes orgánicos. En la quinua habría tanto saponinas como ácido neutros y por ser espumantes se emplean en la fabricación de cerveza, extinguidores de incendios y cosméticos. 1.3 La Quinua Real La diversidad de ecotipos y variedades es una característica de esta especie. Las quinuas que se cultivan en el Altiplano Sur de Bolivia, circundantes a los salares de Uyuni y Coipasa departamentos de Potosí y Oruro, se caracterizan por tener el grano grande y amargo; el tamaño varía de 2.3 a 2.6 mm de diámetro, siendo uno de los aspecto que le permite tener mercados importantes a nivel nacional e internacional. Los resultados de investigaciones realizadas durante los años 1996 y 1997 por personeros de la NASA, concluyen que la Quinua Real posee una composición con mayores beneficios que las otras variedades en cuanto a proteínas, vitaminas, minerales y aminoácidos, situándola como un alimento de primera línea para el consumo de astronautas en los viajes espaciales de amplia duración. La Quinua Real no pertenece a las variedades dulces; puesto que su peculiaridad radica en la elevada presencia de saponina en su composición. Se asevera que la existencia de saponina y la riqueza en proteínas de la planta se relacionan de forma directa, lo que equivale a decir que a mayor contenido de saponina existiría mayor riqueza en proteínas; la planta se caracteriza también por la elevada proporción de germen (30%). 12
  • 14.
    Estudio del Consumode la Quinua en la Ciudad de Potosí Existe mucho aún por investigar sobre la Quinua Real, puesto que su beneficios no sólo se limitan al aspecto enteramente alimenticio, sino también sus cualidades la delimitan como eficiente en la prevención de algunas enfermedades tales como: osteoporosis, cáncer de mama, enfermedades del corazón, diabetes, artritis, así también puede ser usada como anti inflamatorio y cicatrizante. Se hace necesario patentizarla por las vías legales y así evitar el riesgo a perder los derechos de departamento y/o país productor de esta preciada joya alimenticia. La Quinua Real o el alimento del Siglo XXI (como la denominan en algunas bibliografías) es un alimento de alta calidad, en ese marco es imprescindible incentivar en primera instancia el consumo regional, puesto que el Departamento de Potosí es caracterizado como región de máxima pobreza con serias deficiencias alimenticias en su población, es prioritario crear conciencia sobre la importancia del consumo de la Quinua Real que es propia de la región Potosina. 1.4 Programa de Apoyo a la Cadena Quinua Altiplano Sur El Programa de Apoyo a la Cadena Quinua Altiplano Sur, funciona a partir de junio de 2005, tiene por objeto asesorar y hacer seguimiento en la gestión de las actividades de fortalecimiento de la cadena productiva, con el fin de incrementar las exportaciones de modo que posicionen a Bolivia como el mayor productor de quinua. El Programa financiado por la Embajada Real de los Países Bajos, es conducido por la Fundación AUTAPO y un Comité Técnico conformado por representantes de los actores de la Cadena Productiva de la Quinua, productores, transformadores y exportadores entre ellos CONACOPROQ (Comité Nacional de Competitividad y Productividad de la Quinua), Cámaras: nacional y departamentales de Potosí y Oruro, asociaciones como ANAPQUI, CECAOT; Prefecturas y Universidades de los departamentos de Potosí y Oruro; Direcciones Distritales de Educación de Uyuni, LLica y Colcha K de Potosí y Salinas del departamento de Oruro. 13
  • 15.
    Estudio del Consumode la Quinua en la Ciudad de Potosí Los componentes de acción del Programa comprenden: Financiamiento, que tiene como objetivo “ampliar las oportunidades de acceso a capital y crédito de los actores de la Cadena como instrumento para mejorar la Productividad y Competitividad”. Capacitación, con objeto de preparar a los actores de los diferentes eslabones de la cadena. Desarrollo tecnológico, con el objetivo de “adoptar y promover tecnología existente en la Cadena de Quinua”. Promoción-exportación, orientado a “mejorar la comercialización nacional e incrementar la exportación de quinua”. Coordinación, el último componente tiene como objetivo generar un espacio donde exista coordinación entre los ejecutores de los distintos componentes del Programa. De esta forma se cuenta con instrumentos legales que impulsan el fortalecimiento de la productividad, así como entidades que apoyan la gestión de las actividades necesarias para cumplir con los objetivos trazados. En esta última temporada se ha podido advertir el avance en cuanto a la transformación del producto, puesto que aunque aún no son de consumo masivo se puede notar la presencia del producto quinua en diferentes presentaciones. 1.5 Demanda y oferta de la quinua en el mercado externo En el mercado externo (Estados Unidos, Europa), el consumo de quinua ha subido en los últimos años, así como su precio puesto que se ha reportado que su valor supera al valor de la soya aproximadamente cinco veces más. En Europa, Francia adquiere el producto y comercializa luego con otros países y así como también ocurre con EEUU. La quinua llega hasta Asia, Corea del Sur, Japón. En América Latina se provee a Brasil y 14
  • 16.
    Estudio del Consumode la Quinua en la Ciudad de Potosí Chile. Otra forma de comercio es el contrabando a países vecinos para su venta o exportación a partir de ellos. Actualmente existen más de 20 exportadoras de quinua, según estudios de la Cooperación Andina de Fomento (CAF et. al. 2001), se demostró que la demanda de quinua crece de forma vertiginosa (alcanzando para el año 2001, la cifra de 5 millones de dólares); la oferta de la región no podría abastecer al mercado extranjero. 1.6 Presentaciones de la quinua en el mercado interno La mayor parte de la población potosina, habitualmente adquiere la quinua en su forma primaria, es decir, el grano común, sin embargo ahora tendrá la oportunidad de elegir una diversidad de presentaciones, como: quinua perlada, hojuela, quinua para graneado, pito de quinua, barritas energéticas, insuflados, harina, api, jugos, galletas, sopas (preelaboradas) y otros. Las presentaciones nuevas posibilitan incrementar también las formas de consumo, pues independientemente de los usos tradicionales de la región, se ha podido apreciar la creatividad gastronómica en diferentes actividades culinarias y recetarios (como se puede observar en el recetario Quinua, El grano de oro de la Andes” de Rita del Solar que propone 59 formas de preparaciones diferentes a base de quinua, que incluye entradas, bocaditos, sopas, platos de fondo, postres, repostería e incluso bebidas). En la inquietud de establecer el grado de consumo de quinua en el área citadina de Potosí, se ha recurrido a métodos estadísticos que permiten caracterizar científicamente el comportamiento de consumo del ciudadano; en los próximos capítulos se presentan los resultados obtenidos del trabajo de investigación. 15
  • 17.
    Estudio del Consumode la Quinua en la Ciudad de Potosí Capítulo II PROCESO DE RECOLECCIÓN DE DATOS Para identificar los indicadores que describen al comportamiento del consumo de quinua en la ciudad de Potosí, se ha recurrido a métodos estadísticos tanto para el levantamiento de información mediante encuestas y entrevistas, así como para el análisis de los resultados. 2.1 La encuesta como método de recolección de información en el estudio de consumo y comercialización de la quinua En el proceso de recolección de información, se utiliza una serie de métodos como la observación, entrevistas, encuestas y talleres con grupos focales En el caso del estudio del consumo de quinua no se cuenta con datos previos y estructurados, lo que equivale a decir que no existen referencias de estudios que cuenten con un respaldo científico, por ello el uso de entrevistas y observaciones por si solas no representarían ser consistentes y no podrían constituirse en cimientos estables que permitan generar discusiones y/o toma de decisiones; por esta razón, en la investigación los datos han sido recolectados utilizando el Método de la Encuesta que posee cualidades apropiadas de planificación y organización, La encuesta, como método estadístico proporciona una importante estructura de conocimiento científico basado en datos, se caracteriza por la recolección de información con encuestadores que se comunican directamente con los informantes, a quienes se les formulan interrogantes existentes en plantillas denominadas boletas de encuestas; las boletas son prediseñadas con anterioridad durante la planificación del trabajo. La encuesta comienza con el trabajo de planificación, se puede describir las siguientes fases: 16
  • 18.
    Estudio del Consumode la Quinua en la Ciudad de Potosí Se define la temática de estudio, el área de acción, los actores que intervienen, el tipo de información que se requiere y la terminología que se hará uso. Se precisó diseñar la boleta de encuesta. Se aplica una prueba piloto, con escasas observaciones para validar el trabajo. Se define el tamaño muestral óptimo. Se ejecuta la encuesta, con encuestadores correctamente adiestrados y que sigan reglas apropiadas de trabajo. La información debe ser tabulada, es decir, dispuesta de forma adecuada en tablas que permitan analizar la información con el menor grado de dificultad. Se procesa la información y emiten los informes. 2.2 Tipo de muestreo utilizado, definición de tamaño muestral El tipo de muestreo utilizado para la ejecución de la encuesta es el aleatorio simple (o muestreo aleatorizado irrestricto); cuya característica se fundamenta en que los elementos del universo poblacional pueden ser elegidos sin restricciones, contando todos ellos con la misma probabilidad de ser elegidos. La encuesta ha sido aplicada a la población general de la ciudad, entendiendo como población general a todos los habitantes agrupados en hogares; asumiendo la definición de hogar propuesta por el Instituto Nacional de Estadística (INE), que expresa que es el conjunto de personas (una familia o más) que comparten la misma olla. La encuesta general, tiene por objeto registrar la información que los ciudadanos tienen sobre las cualidades de la quinua, así como la percepción de importancia del consumo de este alimento, por otra parte tiene como objetivo fundamental registrar los niveles de consumo de la quinua frente a otros alimentos. 17
  • 19.
    Estudio del Consumode la Quinua en la Ciudad de Potosí Para la ejecución de la recolección de datos se distribuyeron las encuestas en los diferentes distritos de la ciudad en forma proporcional al tamaño poblacional, utilizando los registros del INE en función a los reportes del último Censo Nacional de Población y Vivienda del año 2001. Al interior de cada distrito se procedió a la elección aleatoria de manzanos, viviendas y hogares. La unidad muestral en la encuesta general está representada por el Hogar. Identificado el hogar se aplicó la encuesta a uno de sus integrantes (varones o mujeres con capacidad plena para poder responder a las interrogantes). 2.3 Tamaño muestral Una de las variables fundamentales en las encuestas es el nivel de consumo de quinua; esta variable se constituye en el cimiento que ha permitido establecer el tamaño muestral en este estrato poblacional. Inicialmente se ha realizado una encuesta piloto que permitió estimar el tamaño muestral apropiado. La encuesta piloto consideró 20 hogares en diferentes distritos. Los datos de la variable cantidad consumida de quinua fue tomada en libras, la razón para asumir esta medida es que la libra se constituye en la unidad base que generalmente se usa para la venta del producto en cuestión, en los mercados y ferias. Los resultados de la encuesta piloto fueron los siguientes: (6, 4, 0, 0, 0, 0, 0, 0, 1, 2, 12, 0, 0, 0, 0, 2, 1, 0, 1, 0, 0, 8 libras). Los datos anteriores permiten calcular la varianza muestral denotada por S 2 ; como consecuencia es posible conocer la desviación muestral estándar cuya simbología es representada por S. 18
  • 20.
    Estudio del Consumode la Quinua en la Ciudad de Potosí donde: n, representa el tamaño de la muestra N, es el tamaño de la población (31885 en líneas posteriores se explica la razón para usa este valor). S, la desviación estándar (3.27) d, es el error de muestreo (se ha estimado un valor de 0.2) Z(1 - a /2), representa el valor crítico de la confiabilidad de los valores que se estiman. Para un nivel de confianza del 95% de la veracidad de los estimadores, empleando la distribución normal el valor crítico es 1.96 (este valor viene en diferentes tablas estadísticas de la distribución normal). Los valores determinados tanto para la varianza como para la desviación típica muestral son: S 2 =10.66 y S=3.27 respectivamente. Para estimar el tamaño muestral utilizando el muestreo irrestricto aleatorio, se procedió de la forma siguiente: Cálculo del tamaño muestral apropiado simbolizado por n, utilizando las propiedades Estadístico-matemáticas acorde al tipo de muestreo elegido; es decir: 19
  • 21.
    Estudio del Consumode la Quinua en la Ciudad de Potosí El tamaño muestral toma el valor de 995 aproximadamente por ello se emplearon 1000 boletas. Según los reportes del Censo 2001 del INE, la sección capital de Potosí (no el departamento) registró 145057 habitantes; sin embargo en el tema de la quinua cada uno de estos habitantes "NO" concurren a comprar quinua por si solos para el consumo; más bien son las unidades familiares o los hogares que cuentan con una cantidad específica de quinua al mes; por esta razón, en lugar de tomar número de habitantes como tamaño poblacional se utilizó el número de hogares N=31.885 (fuente reportes del Censo Nacional de Población y Vivienda del INE), recuérdese que el concepto de hogar según el INE, está referido al conjunto de personas que comparten una olla que pueden ser más de una familia. Obsérvese que el promedio de integrantes por hogar resultaría ser 4.55 habitantes; obviamente que el número de integrantes por familia es mucho menor. El volumen I de los resultados Nacionales del Censo 2001 titulado “Distribución de la población por municipios” registra la sección capital de Potosí con 4.1 integrantes por familia. Las boletas de encuesta fueron distribuidas en distritos proporcionalmente a la cantidad de habitantes. Distrito 1 2 3 4 5 6 7 8 9 10 11 12 Nombre San Gerardo San Martín San Juan San Cristóbal San Roque Central San Pedro San Benito Las Delicias Ciudad Satélite San Clemente Villa Copacabana No. de boletas 89 80 52 64 150 83 69 107 95 96 63 52 20
  • 22.
    Estudio del Consumode la Quinua en la Ciudad de Potosí 2.4 La ejecución de las encuestas La encuesta ha sido realizada durante los meses de julio y agosto del año 2006; ha contado con la participación de supervisores y encuestadores (estudiantes de la Carrera de Estadística de la UATF), las boletas fueron distribuidas de forma proporcional al tamaño poblacional en cada distrito. Los entrevistados corresponden tanto al sexo masculino como al sexo femenino. Se ha podido advertir de forma general, la existencia de desinformación en ciertas categorías del grupo poblacional encuestado existiendo como consecuencia el registro de datos atípicos, las boletas con cualidades muy extremas alcanzan a 52, para la presentación de los resultados descriptivos, estos datos han sido marginados con el fin de evitar un excesivo sesgo, lo que implica que los reportes que serán presentados y discutidos corresponden a 948 encuestas. 2.5 Los resultados del trabajo Concluidas las encuestas, se procedió al correspondiente vaciado de datos; las bases de datos han sido inicialmente diseñadas en el paquete estadístico SPSS, para ciertas aplicaciones también se ha usado Dyanne, para presentar ilustraciones se ha recurrido a la hoja electrónica EXCEL. 21
  • 23.
    Estudio del Consumode la Quinua en la Ciudad de Potosí Capítulo III DESCRIPCIÓN DE RESULTADOS DE ENCUESTA En este capítulo se exponen resultados obtenidos de cada una de las preguntas contenidas en la boleta de encuesta; respecto a las interrogantes se han considerado tanto preguntas abiertas como cerradas. 3.1 Resultados descriptivos de la encuesta sobre consumo de quinua aplicada en los diferentes distritos de la ciudad de Potosí Los resultados obtenidos en la Encuesta, proporcionan información sustancial sobre el consumo y el grado de conocimiento sobre las bondades de la quinua. Inicialmente se procede a la descripción de la información recolectada con cada pregunta de la boleta. 3.1.1 Primera pregunta ¿Cuáles son los alimentos que usualmente adquiere para el consumo? Las respuestas a esta interrogante han sido clasificadas en grupos, las alternativas utilizadas fueron: a) Lácteos: leche, crema, mantequilla, queso, combinación de lácteos. b) Proteínas (menos lácteos), carne roja, huevo, pollo, pescado, combinación de proteínas. c) Hidratos de Carbono: arroz, quinua, otros cereales, legumbres, papa, fideo, pan, azúcares, combinación de hidratos de carbono. d) Frutas, verduras y hortalizas: frutas, verduras, hortalizas, combinación de estas. e) Lípidos: aceite, margarina, manteca, embutidos, derivados de cerdo, combinación de lípidos. 22
  • 24.
    Estudio del Consumode la Quinua en la Ciudad de Potosí Los resultados obtenidos sobre la priorización de alimentos, desde la perspectiva de la población general, son descritos a continuación: Aproximadamente el 85% de la población encuestada no prioriza los productos lácteos dentro su alimentación, sólo el 5 % indica que usualmente compra leche y el 11% adquiere una combinación de lácteos. (ilustración 2, Anexo). Por otra parte, otros alimentos ricos en proteínas (menos lácteos), son consumidos en proporciones mínimas, se ha podido determinar que sólo entre 14 y 15 % de la población responde que el consumo de carne es usual en su alimentación, el 1% prioriza el consumo de huevo, el 19% consume una combinación de estos alimentos y sin embargo la mayoría del 65% no priorizan este grupo de alimentos para su consumo (ilustración 3, Anexo). Es sobresaliente la preferencia de los hidratos de carbono en la alimentación poblacional, puesto que: el 73 % de la población adquiere una combinación de estos alimentos; el 6% aproximadamente otorga preferencia exclusiva al consumo de arroz, el 5% otorga preferencia exclusiva a cereales que no son arroz ni quinua. Se debe tomar atención que la priorización de la quinua es insignificante sólo alcanza a un 0.63% (ilustración 4, Anexo). Respecto al grupo de alimentos frutas, verduras, y hortalizas; los resultados más importantes indican que entre el 41 a 42% de la población adquiere verduras para su alimentación, aproximadamente el 21% adquiere la combinación de alimentos considerados en esta categoría, el 2% de los encuestados tienen preferencia por la fruta para su alimentación, casi el 30% no adquiere frutas, verduras ni hortalizas (ilustración 5, Anexo). 23
  • 25.
    Estudio del Consumode la Quinua en la Ciudad de Potosí En cuanto al grupo de lípidos, el 88% no adquiere usualmente este grupo de alimentos, el 10% utiliza la combinación de lípidos (ilustración 6, Anexo). Como síntesis a esta interrogante se puede expresar que la población tiene mayor preferencia por los alimentos que corresponden a la categoría de hidratos de carbono, en menor proporción frutas, verduras y hortalizas. La alimentación de la población potosina presenta carencias en lo que respecta al consumo de proteínas. La adquisición de la quinua actualmente no ocupa niveles importantes dentro las preferencias de los encuestados, no significa que no se la use pero es evidente que no está en un lugar preferencial. 3.1.2 Segunda pregunta ¿Utiliza quinua para la alimentación de su familia? Las respuestas a esta interrogante muestran que el 65% de los hogares encuestados consumen quinua en alguna o varias de sus presentaciones, por otra parte un 35% no consume este alimento (ilustración 7, Anexo). Las razones para el consumo o no de quinua en los hogares encuestados son diversas, las más importantes son sintetizadas en las siguientes líneas. ¿Por qué consume quinua? Las respuestas que se han registrado son: porque es un buen alimento, nutritiva, vitamínica, contiene minerales, proteínas, porque ayuda al crecimiento de los niños, porque le agrada y es deliciosa. La ilustración 8 del Anexo, sintetiza lo siguiente: 75% de los consumidores compran quinua porque es nutritiva, 15% la consumen porque les agrada y es deliciosa, estas respuestas son las más relevantes, el resto de las alternativas tiene porcentajes mínimos. 24
  • 26.
    Estudio del Consumode la Quinua en la Ciudad de Potosí ¿Por qué no consume quinua? Las respuestas de las razones del por qué otro grupo poblacional no consume quinua expresan que el 36%, no sabe responder a la interrogante, al 32% de los no consumidores no les agrada este alimento, aproximadamente el 6%, indica que es costoso, el 7% se ha limitado a decir que no consume (ilustración 9, Anexo). Se han registrado también otras respuestas con menores porcentajes por ejemplo: le hace daño, es bilioso, no sabe y/o no es fácil prepararla , no tiene vitaminas, no es buena, no hay difusión, nunca comió, etc. Se aprecia que existe desinformación en la población que no consume quinua sobre las cualidades benéficas del alimento. 3.1.3 Tercera pregunta ¿En caso de consumir quinua, cuales son las presentaciones de su preferencia y qué cantidad aproximada utiliza al mes? Las variables utilizadas en la boleta inicialmente fueron: quinua perlada, hojuela de quinua, quinua para graneado, pito de quinua, barritas energéticas de quinua, insuflados y otros esta última categoría ha sido útil en la medida que también se ha podido identificar otras presentaciones como el api de quinua y la lagua preelaborada, hamburguesas y otros. Es preciso destacar que existe desconocimiento sobre la existencia actual de diversos productos; por ejemplo un buen número de personas confunde la quinua perlada con la quinua para graneado (preelaborada). Consumo quinua perlada, es la presentación más consumida por las amas de casa aunque en niveles no muy altos, los principales resultados determinados son: La cantidad más consumida es una libra por mes y por hogar lo que representa el 13.4% de los hogares encuestados, otra cantidad muy utilizada es un kilo 25
  • 27.
    Estudio del Consumode la Quinua en la Ciudad de Potosí por mes y por hogar con un porcentaje de 10.5% de los hogares. Existen otras medidas utilizadas que presentan porcentajes menores (ilustración 10, Anexo). Los resultados clasificados en intervalos de medida sobresale que: (ilustración11, Anexo). · Aproximadamente el 44% de la población encuestada no consume quinua perlada. · Cerca al 33%, de los hogares consumen entre 0.1gr hasta 1000gr por mes. · Por otra parte el 13% de los hogares consumen entre 1000.1gr hasta 2000 gr por mes. · Otro resultado que resalta, aunque menos frecuente, es que el 8% de los hogares consumen entre 2000.1gr hasta 3000gr por mes. El resto de las respuestas no son muy sustanciales. Es evidente que se consume quinua perlada en la ciudad, pero también se puede apreciar que las cantidades no son elevadas. Consumo hojuela de quinua, sólo el 16.2% de los hogares encuestados informaron consumir este producto; el resto de la población no consume. Los principales resultados de consumo son: La cantidad más consumida es una libra (453.6gr) por mes y por hogar, lo que representa el 6.5% de los hogares encuestados, otras cantidades como: dos libras (907.2gr), 1000gr y 3 libras (1360.8gr) tienen proporciones de 2%, 1.8% y 1.9% respectivamente del total de encuestados (ilustración12, Anexo). Por otra parte se han establecido intervalos de consumo que agrupan la información (Ilustración13, Anexo), algunos datos sobresalientes indican que: 26
  • 28.
    Estudio del Consumode la Quinua en la Ciudad de Potosí · La mayor parte de los hogares encuestados, 83.8%, no consumen hojuela de quinua. · El 12.2% de la población consume hojuela de quinua en cantidades entre 0.1gr hasta 1000gr por mes. · Asimismo el 2.6%, es decir aproximadamente el 3% de los hogares consumen entre 1000.1gr hasta 2000gr de hojuela de quinua por mes. · Sólo el 1.4% consume hojuelas en el intervalo de 2000.1gr hasta 3000gr. El consumo de hojuela de quinua es muy inferior al consumo de quinua perlada; durante la encuesta se pudo advertir que en muchos de los hogares no conocen la existencia de la hojuela. Consumo pito de quinua, sólo un 9.2% de los hogares encuestados consumen pito de quinua, es decir, que lo usual es que en los hogares no consuman este producto. Revisando las (ilustraciones 14 y 15 del Anexo), se resume que: La cantidad consumida más destacada es una libra (453.6 gr) por mes y por hogar, lo que significa el 4.9% del total de hogares encuestados (ilustración 14 del anexo). Del reporte según intervalos, se aprecia que aproximadamente el 91% de la población no consume pito de quinua. Respecto al grupo consumidor las cantidades más frecuentes se registran desde 0.1gr hasta 1000gr aunque solo representa aproximadamente el 7% de los hogares encuestados (ilustración 15 del anexo). El consumo de pito de quinua es todavía mucho más reducido en comparación a la hojuela y la quinua perlada. 27
  • 29.
    Estudio del Consumode la Quinua en la Ciudad de Potosí Consumo de barras energéticas, se ha establecido que la población consumidora es sólo el 4.5% de los hogares; las cantidades consumidas de barras energéticas son mínimas, se ha registrado que se consume desde una barra a 30 unidades por mes y por hogar (ilustración 16, Anexo). Otras cantidades sobresalientes son: El 95.5% de los hogares no consumen y no conocen barras energéticas. Del grupo consumidor, que es un grupo muy reducido, lo más frecuente es que consuman entre 1 a 10 unidades por mes y por hogar (ilustración 17, Anexo). Es necesario recalcar que actualmente la población no cuenta con información de este producto; aún algunos encuestados que respondieron consumir el producto indicaron que la unidad de medida de la barra energética era la libra, lo que hace suponer que en realidad no conocen la presentación y en este caso los resultados estuvieran sobrevaluados y sean mucho menos del 4.5% de hogares consumidores de barras energéticas. Consumo de insuflados, es aún mucho menor que los productos descritos anteriormente (ilustración 18, Anexo); los hogares consumidores sólo son el 0.6%. Otros resultados indican que: El 99.4% no consumen este producto. El 0.2% de hogares consumen 200gr por mes y por hogar. El 0.1% de hogares consumen 250gr por mes y por hogar. Finalmente el 0.3% de hogares consumen 453.gr (una libra) por mes y por hogar. Los reportes del último censo expresan que aproximadamente las familias tienen como promedio 5 miembros; si se dividen las cantidades de insuflado por el promedio de integrantes 28
  • 30.
    Estudio del Consumode la Quinua en la Ciudad de Potosí por familia entonces el consumo individual sería realmente mínimo. También es importante recalcar que el 99.4% de encuestados no conocen esta presentación. Consumo de galletas de quinua (palitos de quinua), se ha registrado que el 0.5% de hogares consume este producto (ilustración19, Anexo). Entre otros resultados se describe: El 0.1% de hogares consumen 2 unidades por mes y por hogar. El 0.1% de hogares consumen 5 unidades por mes y por hogar; el mismo porcentaje se repite para 10, 15 y 20 unidades. Las galletas de quinua normalmente son comercializadas en puestos de venta que se encuentran en lugares próximos a escuelas y colegios; es decir, que los consumidores son niños y jóvenes en edad escolar. A tiempo de realizar la encuesta los informantes normalmente han sido jóvenes o personas mayores y no así niños, lo que se quiere expresar es que las galletas de quinua tal vez se consuman con mayor preferencia que lo que expresan las tablas puesto que no se ha registrado la opinión de un sector importante de sus consumidores (niños). Sólo el 1.5% de hogares consumen jugos de quinua (ilustración 20, Anexo). Otros resultados describen que: El 98% de hogares no consumen jugos de quinua. El 0.8% de hogares consumen 1lit por mes y por hogar. El 0.3% de hogares consumen 2lit por mes y por hogar. El 0.2% de hogares consumen 3lit por mes y por hogar. El 0.1% de hogares consumen 4lit por mes y por hogar. 29
  • 31.
    Estudio del Consumode la Quinua en la Ciudad de Potosí La información revela un mínimo consumo de esta presentación. Consumo de otras presentaciones de quinua; según la información recolectada, se ha registrado que existe a la venta otras formas de presentación de productos a base de quinua como api, lagua, hamburguesa (preelaborada), la población accede mínimamente a estas alternativas representando un 1.3% del total de hogares (Ilustración 21 y 22, Anexo). 3.1.4 Cuarta pregunta ¿De dónde adquiere usualmente los productos de quinua? Los resultados de la interrogante corresponden sólo a los hogares que consumen quinua; quienes se abastecen del producto en sus diferentes presentaciones en uno o varios centros comerciales siguientes: Ferias de la ciudad, aproximadamente el 61% del total de hogares consumidores. Mercados de la ciudad 43% de hogares consumidores. Tiendas de venta exclusiva del producto 6.13% de hogares consumidores. Por otra parte el 1.29% de hogares consumidores reciben quinua como parte de dotación de lactancia. El 5.48% (aproximadamente el 6%) de hogares consumidores, recibe productos de quinua como envío de parientes o amigos (en su generalidad provenientes de regiones productoras). Finalmente el 13.39% (aproximadamente 13%)de hogares consumidores, accede al producto de otras formas no expresadas explícitamente en el estudio (ilustraciones 23, 24, 25, 26, 27, 28, Anexo). Los resultados muestran que el lugar de preferencia para adquirir quinua son las ferias de la ciudad, las más concurridas son la Feria Popular de sábado y domingo, otras ferias menos 30
  • 32.
    Estudio del Consumode la Quinua en la Ciudad de Potosí concurridas son las ferias de los días miércoles y jueves así como la feria del día viernes, estas últimas se sitúan cerca del mercado Uyuni. 3.1.5 Quinta pregunta ¿Conoce Ud. las bondades nutritivas de la quinua? La interrogante ha sido formulada tanto a los hogares consumidores como a los hogares no consumidores de quinua. Los principales resultados son: Del total de hogares consultados en la encuesta sólo el 39% indica conocer las cualidades proteínicas de la quinua. Por otra parte el 39.24% del total de hogares conocen sobre el contenido de minerales que posee la quinua. Aproximadamente un 44% de hogares consultados conoce sobre el contenido vitamínico de la quinua. Asímismo sólo un 28% de hogares conocen sobre el bajo contenido de colesterol. El 8.12% de hogares expresan que conocen otras cualidades de la quinua, como curativas, coadyuvantes del desenvolvimiento intelectual y otros (ilustraciones 29, 30, 31, 33, Anexo). Los porcentajes establecidos sobre el conocimiento de las cualidades puede ser un factor para el consumo escaso del producto. Se ha verificado que la población no está muy informada sobre la quinua y sus atributos; en consecuencia se hace importante gestionar mecanismos para informar e incluso capacitar, partiendo desde los conceptos esenciales, como definir con claridad y en términos entendibles para la población general ¿qué son y para qué sirven? las proteínas, los minerales, las vitaminas, los hidratos de carbono, fibra, así también la importancia del bajo contenido de colesterol. 31
  • 33.
    Estudio del Consumode la Quinua en la Ciudad de Potosí Un buen sector de la población conoce que la quinua es un alimento noble, no obstante ignora la magnitud de sus benéficas propiedades. 3.1.6 Sexta pregunta ¿En cuanto a otros alimentos como fideo, arroz, trigo, qué cantidades consume su familia al mes? La población, tiene preferencia por alimentos como fideo y arroz; en referencia a este último incluso los consumidores utilizan arroz: entero, partido y popular (ilustraciones 34 a 39, Anexo), las ilustraciones muestran cantidades muy superiores a las referidas en la quinua. La explicación sobre el consumo de arroz en esta sección se realizará tomando en cuenta a la totalidad de arroz consumido, vale decir las categorías: entero, partido y popular. Consumo total de arroz; la mayor parte de la población consume arroz 96% de hogares encuestados, es decir solo el 4% de los hogares encuestados informaron no adquirirlo. Los datos más sobresalientes de las cantidades adquiridas expresan que: Una arroba (medida de venta equivalente a 11340gr) es la cantidad más preferida por la población representando el 14.3%. Luego otra cantidad frecuente es media arroba (medida de venta en la ciudad equivalente a 5443.2 gr) representando el 13.1%. También la cuartilla (medida de venta en la ciudad equivalente a 2721.6 gr) es otra cantidad usual y representa el 13%. Otras cantidades sobresalientes con menor frecuencia son dos arrobas (equivalente a 22680gr) con 8.6%, así como arroba y media (equivalente a 16783.2gr) con 3.8%. (ilustración 40, 41, Anexo). El consumo de arroz es ampliamente elevado respecto al consumo de quinua. 32
  • 34.
    Estudio del Consumode la Quinua en la Ciudad de Potosí Consumo de fideo; se observa también que el fideo es un alimento preferido de la población, una mayoría consume fideo representando el 91.4% de hogares encuestados. La información expresa que: Los hogares consumen preferentemente una arroba al mes (equivalente a 11340gr) cuyo magnitud representa al 21.7 % de hogares. Otro resultado indica que la cuartilla es también una medida usual de consumo mes por hogar (equivalente a 2721.6gr) con 19.6%. Otra medida que se destaca es media arroba (equivalente a 5443.2gr) representando el 17.4%. Otras medidas son menos frecuentes, pero llegan hasta las 2 arrobas (22680gr) por mes y por hogar (ilustraciones 42 y 43. Anexo). Se observa que el fideo también es un alimento que alcanza niveles de adquisición altos respecto a la quinua. En el siguiente capítulo se presentan comparaciones de consumo entre diferentes alimentos. Consumo de trigo, maíz, lenteja y otros ¿cereales y carbohidratos no especificados?; el consumo de estos alimentos no alcanza las cifras de consumo similares al arroz o fideo, más bien se puede afirmar que se relacionan a los niveles del consumo de quinua, para mejor apreciación se presentan cuadros y gráficos en las (ilustraciones 44 a 53 del Anexo). 3.1.7 Séptima pregunta ¿En su familia, cuántas personas comparten la mesa? Los hogares tienen en su mayoría a 4 ó 5 personas compartiendo la mesa, representando el 19.9 y el 18.4% respectivamente. Este resultado guarda relación con los indicadores que registra el INE para el número de hogares (4.55 integrantes por hogar). 33
  • 35.
    Estudio del Consumode la Quinua en la Ciudad de Potosí Esta es otra forma de corroborar la fiabilidad de los resultados de la encuesta, el tamaño muestral en función con la selección del tamaño muestral. Existen hogares que tienen desde una persona hasta incluso 15 personas compartiendo la mesa (ilustración 54 y 55, Anexo). La información del número de integrantes es sustancial para establecer la cantidad consumida por cada integrante de la familia como promedio, tanto mensual como anual, estas relaciones son presentadas en el siguiente capítulo. 34
  • 36.
    Estudio del Consumode la Quinua en la Ciudad de Potosí Capítulo IV COMPARACIÓN DEL CONSUMO PROMEDIO Y CONSUMO PER CÁPITA DE LA QUINUA FRENTE A OTROS ALIMENTOS En el capítulo anterior se ha descrito las características del consumo de quinua y otros alimentos sustitutos. En esta sección se presenta la comparación de cantidades consumidas de los alimentos cuantificados en la encuesta. 4.1 Consumo promedio mes de quinua en presentaciones diferentes por hogar encuestado La relación de consumo promedio de quinua en los hogares es muy diferenciado en cuanto a las presentaciones actuales, la más usual es la quinua perlada, en menor proporción la hojuela y el pito; por otra parte como se registró en el capítulo anterior, las presentaciones: insuflados, galletas, barras energéticas y otras recientemente producidas no son consumidas de forma significativa, principalmente por la ausencia de información sobre cualidades, puntos de venta y precios de estos productos particulares. La siguiente tabla y los gráficos visualizan las cantidades de consumo promedio. consumo en gramos promedio quinua perlada (gr) 775,53 hojuela de quinua (gr) 149,50 pito de quinua (gr) 79,13 barras energéticas (unid) 0,30 insuflado (gr) 2,12 galletas de quinua (unid) 0,05 Jugos (lit.) 0,03 otros prod. de quinua (gr) 23,55 Consumo promedio mes de quinua en presentaciones diferentes por hogar encuestado 35
  • 37.
    Estudio del Consumode la Quinua en la Ciudad de Potosí Se establece como se muestra en el cuadro y en las gráficas de esta sección que: La quinua perlada es la que mayormente se consume en los hogares; con un promedio mensual por hogar de 775.53 gr que equivale a algo más de medio kilo. Normalmente la quinua es comercializada en libras, para el trabajo se utiliza la transformación de 453.6gr equivalente1 a una libra; utilizando esta relación la cantidad de dos libras representa 907.2 gr lo cual implica que en promedio en los hogares, la quinua perlada es consumida en cantidades muy inferiores a las dos libras. La hojuela y el pito son consumidas en cantidades muy inferiores a la media libra (226.8gr) o inferiores al • kilo. El consumo de insuflados y otras formas de presentación de quinua cuantificadas en gramos es mínima las cantidades son casi despreciables. (1) Utilizando la referencia del libro: “Aritmética” de A. Baldor Diccionario: “Aristos” de la lengua española 36
  • 38.
    Estudio del Consumode la Quinua en la Ciudad de Potosí El consumo de barras energéticas es insignificante, alcanza a 0.3 unidades por mes y por hogar, lo que equivale a decir que en el lapso de tres meses y medio aproximadamente toda la familia consume una sola barra energética de quinua (obsérvese que no quiere decir que cada integrante de la familia consuma una barra). Respecto a las galletas de quinua se estima que la demanda sea mayor a los resultados registrados (no se ha encuestado a la población en edad escolar que son los consumidores mayores del producto). El consumo promedio de jugos de quinua es de 0.03lts mensual; la cifra expresa que aproximadamente cada 3 años se consume en los hogares un litro de jugo de quinua. 37
  • 39.
    Estudio del Consumode la Quinua en la Ciudad de Potosí La suma total de las presentaciones cuantificadas en gramos (quinua perlada, hojuela, insuflados comercializados en kilos o libras) otorgan un promedio de 1029.84 gr/mes por hogar, significando que como promedio total de consumo de quinua en gramos, los hogares consumen cantidades próximas al kilogramo o equivalentemente próximas a las dos libras y cuarto. 4.2 Consumo de arroz en variedades diferentes, promedio mes por hogar encuestado El consumo de arroz es apreciablemente mayor al consumo de quinua, la población consume este producto preferentemente en tres presentaciones: entero, partido, popular (este último en menor escala en relación a los anteriores). Los resultados de la encuesta emiten que el arroz entero es consumido en promedio/mes por hogar la cantidad de 5668.23gr algo más de media arroba y/o menos de seis kilos. El arroz partido tiene un promedio de 2575.66 gr algo menos que una cuartilla y/o más que dos kilos y medio; por otra parte el arroz popular tiene un consumo promedio de 133.18gr. Revisando los promedios se establece que el arroz entero es preferido en los hogares y que la población utiliza el arroz popular en pequeña escala. En la siguiente ilustración, se verifica las cantidades promedio adquiridas. consumo en gramos promedio arroz entero (gr) 5668,23 arroz partido (gr) 2575,66 arroz popular (gr) 133,18 El consumo promedio de arroz por hogar encuestado 38
  • 40.
    Estudio del Consumode la Quinua en la Ciudad de Potosí El consumo de arroz en las tres variedades es presentado en el siguiente cuadro comparativo. El consumo promedio total de arroz (vale decir entero, partido y popular) alcanza a 8377.55 gr/mes por hogar, representa más de ocho kilos y cuarto. 4.3 Comparación de la cantidad promedio de consumo por hogares al mes: quinua, arroz, fideo y otros cereales Esta sección toma en cuenta el consumo promedio de diferentes alimentos, en el caso de la quinua se considera el consumo conjunto de quinua perlada, hojuela, pito, insuflado y otros medidos en gr. En el caso de arroz la tabla toma en cuenta el consumo conjunto de arroz entero, partido y popular. Se destaca que los hogares tienen preferencia por el arroz 8377.55gr mes, sigue la preferencia el consumo de fideo con 5602.43 gr (menos de 6 kilos), posteriormente se sitúa el consumo de quinua, con bastante diferencia del resto de los productos. Las relaciones correspondientes son presentadas en la ilustración siguiente. 39
  • 41.
    Estudio del Consumode la Quinua en la Ciudad de Potosí 4.4 Comparación del consumo promedio mes por persona de: quinua, arroz, fideo y otros cereales Los cuadros presentados en las secciones 4.1, 4.2 y 4.3 muestran el consumo promedio/mes por hogar, utilizando los resultados de la encuesta se ha podido establecer una estimación para definir el consumo mensual por persona de los diferentes alimentos, el cuadro ha sido el siguiente: Cuadro comparativo del consumo de alimentos por hogar (gr/mes) consumo en gramos promedio total quinua(gr) 1029,84 total arroz (gr) 8377,55 fideo (gr) 5602,43 trigo (gr) 421,88 maíz (gr) 187,84 lenteja (gr) 138,82 otros (gr) 249,83 40
  • 42.
    Estudio del Consumode la Quinua en la Ciudad de Potosí Se observa que el consumo de arroz es mayor al kilo y medio, el consumo de fideo es algo mayor al kilo, en cambio el consumo de quinua no alcanza a los 200gr. A consecuencia de estos datos se han realizado cálculos para definir la razón o relación existente entre el consumo de quinua frente al consumo de arroz y fideo; los resultados expresan que la razón del consumo de arroz y quina es 8.135, que significa que por cada gramo consumido de quinua se consumen 8.135 gramos de arroz. Por otra parte por cada gramo consumido de quinua la persona consume aproximadamente 5.44 gramos de fideo. Estos datos se registran en la siguiente tabla. consumo en gramos Gramos quinua(gr) 196,91 arroz (gr) 1601,84 fideo (gr) 1071,22 trigo (gr) 80,67 maíz (gr) 35,92 lenteja (gr) 26,54 otros (gr) 47,77 Cuadro comparativo de consumo de alimentos por persona(gr/mes) 41
  • 43.
    Estudio del Consumode la Quinua en la Ciudad de Potosí 4.5 Comparación del consumo per cápita de: quinua, arroz, fideo y otros cereales Utilizando el consumo promedio mensual por persona de los alimentos cuantificados en la encuesta, es posible estimar el consumo per cápita, que es expresado en la siguiente ilustración. Se puede apreciar que el consumo per cápita de arroz alcanza a 19222.07 gr, es decir, más de 19 kilos, del fideo alcanza 12854.62gr casi 13 kilos, la quinua 2362.93gr menos de los dos kilos y medio, respecto al trigo, maíz, lenteja y otros, las cifras son reducidas. Una vez más se concluye que el consumo de quinua es muy bajo gráficamente esto se aprecia a continuación. Razones de consumo variables razón arroz/quinua 8,134883957 fideo/quinua 5,440150322 Cuadro comparativo de consumo per cápita de alimentos consumo en gramos gr/año total quinua(gr) 2362,93 total arroz (gr) 19222,07 fideo (gr) 12854,62 trigo (gr) 967,98 maíz (gr) 431,00 lenteja (gr) 318,52 otros (gr) 573,24 42
  • 44.
    Estudio del Consumode la Quinua en la Ciudad de Potosí Es importante generar mecanismos que incentiven al consumo de este alimento; Potosí es uno de los máximos productores de quinua y sin embargo su población no la consume en cantidades apropiadas. Aditamentándose una serie de causas que se originan fundamentalmente en la escasa información, capacitación y concientización de la importancia del consumo de este alimento precioso. 43
  • 45.
    Estudio del Consumode la Quinua en la Ciudad de Potosí CONCLUSIONES: No existe información suficiente sobre las diversas presentaciones actuales de la quinua (perlada, graneado, pito, hojuelas, barras, insuflados y galletas). No existe información sobre los lugares de comercialización de estos productos. El consumo per cápita de la quinua es mínimo en relación a los alimentos arroz y fideo. La población concurre a ferias para abastecerse. Gran parte de la población no está informada de forma adecuada sobre las cualidades nutritivas de la quinua. RECOMENDACIONES: Proponer estrategias que conduzcan a incrementar el consumo per cápita de la quinua en los próximos años. Motivar la inversión sobre puntos de venta para incrementar la actividad comercial y de mercadeo. Concientizar a la población sobre las bondades nutritivas que tiene la quinua, generando espacios publicitarios y ferias. 44
  • 46.
    Estudio del Consumode la Quinua en la Ciudad de Potosí BIBLIOGRAFÍA Calero V. Arístides. “Teoría de Muestreo”, Facultad de Economía, La habana, 1976. Cochran G. William. “Técnicas de Muestreo”, Continental S.A. México, 1981. Enciclopedia virtual Wikipedia, http//es.wikipedia. licencia de documentación libre GNU. org, 03/08/2006 Instituto Nacional de Estadística. “Distribución de la población por municipios: resultados nacionales del Censo 2001"(volumen I), La Paz, Bolivia INE. Octubre, 2002 López P., Cesar. “Técnicas Estadísticas con SPSS”, Prentice Hall, Madrid, 2001. Naciones Unidas, FAO (Organización para la Agricultura y la Alimentación). "Aprovechamiento de los cultivos prehispánicos", Washington, 1990. PROINPA. "Ecotipos y Variedades Comerciales de Quinua del Altiplano Sur", La Paz, Bolivia, 2006. PROINPA, FAUTAPO. Formación de Promotores en Sistemas de Producción Sostenible en el Cultivo de la Quinua: "Manejo Agronómico de la Quinua Orgánica" (Módulo 2), Potosi, Bolivia, 2006. Schlick, Greg y D.L. Bubenheim. "Quinoa: Crop for NASA's Controlled Ecological Life Support Systems", p. 632-640 en: J. Janick (ed.), Progress in new crops. ASHS Press, Arlington, VA. 1996, 1997. Santesmases M. Miguel. “DYANE Diseño y Análisis de Encuestas en Investigación Social y de Mercados”, Ediciones Pirámide S.A., Madrid, 1997. Tapia, Mario; H: Gandarillas; S. Alandia; A. Cardozo; A. Mujica; R. Ortiz; V. Otazu; J. Rea; B. Salas y E. Zanabria. "Quinua y Kañawa cutivos andinos", CIID, editorial IICA, Bogotá, 1979. Wood, Rebecca et. al.. "Quinoa the Supergrain: ancient food for today, Japan Pubs",P. 202, 1989. 45
  • 47.
    Estudio del Consumode la Quinua en la Ciudad de Potosí
  • 48.
    Estudio del Consumode la Quinua en la Ciudad de Potosí
  • 49.
    Estudio del Consumode la Quinua en la Ciudad de Potosí ENCUESTA A FAMILIAS POR DISTRITO Buenos días / buenas tardes. Esta es una encuesta de la UATF, para establecer la magnitud del consumo de quinua en la población potosina. Solicitamos su cooperación 1) ¿Cuáles son los alimentos que usualmente adquiere para el consumo de su hogar? .............................................................................................................. .............................................................................................................. .............................................................................................................. .............................................................................................................. 2) ¿Ud. utiliza la quinua para la alimentación de su familia? Si...........¿por qué?................................................................................ No.........¿por qué?................................................................................. 3) ¿En caso de consumir quinua, cuales son las presentaciones de su preferencia y qué cantidad aproximada utiliza al mes? PRESENTACIÓN CANTIDAD/MES Quinua Perlada Hojuelas de Quinua Quinua p/graneado Pito de quinua Barritas energéticas Insuflados (estruzados ) Otros especifiquen..................
  • 50.
    Estudio del Consumode la Quinua en la Ciudad de Potosí 4) ¿De dónde adquiere usualmente, los productos de quinua? Ferias Mercados Tiendas con productos exclusivos de quinua Otros (especifique) 5) ¿Conoce Ud. las bondades nutritivas de la quinua? CUALIDADES DE LA QUÍNUA Si / No Contenido proteínico Contenido de minerales (Hierro/Calcio) Contenido de Vitaminas (A, E) Bajo contenido de colesterol Otros especifique............................ 6) ¿En cuanto al consumo de otros alimentos como, fideo, arroz, trigo, en qué cantidades consume su familia al mes? PRESENTACIÓN CANTIDAD/MES Arroz entero Arroz partido Fideo Trigo Otros (especifique) 7) ¿En su familia, cuántas personas comparten la mesa? ............................................................................................. 8) ¿Aproximadamente cuál es su ingreso familiar mensual? ...................................................................................................... Nombre Encuestador....................................................................... Fecha........................................................................... Distrito........................................................................
  • 51.
    Estudio del Consumode la Quinua en la Ciudad de Potosí COBERTURA MUESTRAL DE HOGARES Distritos No. Hogares Porcentaje % Acumulado distrito 1 81 8,54 8,54 distrito 2 78 8,23 16,77 distrito 3 51 5,38 22,15 distrito 4 57 6,01 28,16 distrito 5 144 15,19 43,35 distrito 6 78 8,23 51,58 distrito7 69 7,28 58,86 distrito 8 100 10,55 69,41 distrito 9 95 10,02 79,43 distrito 10 83 8,76 88,19 distrito 11 62 6,54 94,73 distrito 12 50 5,27 100,00 Total 948 100,00 ILUSTRACIÓN Nº 1
  • 52.
    Estudio del Consumode la Quinua en la Ciudad de Potosí Productos No. Hogares Porcentaje %Acumulado leche 47 4,96 4,96 crema 1 0,11 5,06 combinación 108 11,39 16,46 lácteos no se ha 792 83,54 100,00 priorizado Total 948 100,00 PRIORIZACIÓN DE PRODUCTOS LÁCTEOS ILUSTRACIÓN Nº 2
  • 53.
    Estudio del Consumode la Quinua en la Ciudad de Potosí Productos No.Hogares Porcentaje % Acumulado arroz 54 5,70 5,70 quinua 6 0,63 6,33 otros cereales 44 4,64 10,97 legumbres 7 0,74 11,71 patatas 61 6,43 18,14 pastas 2 0,21 18,35 pan 2 0,21 18,57 azúcares 1 0,11 18,67 comb. hid. 692 73,00 91,67 carbono no se ha 79 8,33 100,00 priorizado Total 948 100,00 PRIORIZACIÓN DE HIDRATOS DE CARBONO ILUSTRACIÓN Nº 3
  • 54.
    Estudio del Consumode la Quinua en la Ciudad de Potosí
  • 55.
    Estudio del Consumode la Quinua en la Ciudad de Potosí PRIORIZACIÓN DE PROTEINAS (menos lacteos) ILUSTRACIÓN Nº 4 Productos No. Hogares Porcentaje %Acumulado carne roja 137 14,45 14,45 Huevo 9 0,95 15,40 Pollo 2 0,21 15,61 Pescado 4 0,42 16,03 combinación 178 18,78 34,81 de proteínas no se ha 618 65,19 100,00 priorizado Total 948 100,00
  • 56.
    Estudio del Consumode la Quinua en la Ciudad de Potosí PRIORIZACIÓN DE FRUTAS, VERDURAS Y HORTALIZAS ILUSTRACIÓN Nº 5 Productos No. Hogares Porcentaje %Acumulado frutas 17 1,79 1,79 verduras 390 41,14 42,93 hortalizas 51 5,38 48,31 combinación 203 21,41 69,73 frut_ver_hort no se ha 287 30,27 100,00 priorizado Total 948 100,00
  • 57.
    Estudio del Consumode la Quinua en la Ciudad de Potosí PRIORIZACIÓN LÍPIDOS ILUSTRACIÓN Nº 6 Productos No. Hogares Porcentaje %Acumulado aceite 21 2 2 margarina 1 0 2 embutidos 2 0 3 derivados 2 0 3 de cerdo combinación 90 10 12 lípidos no se ha 832 88 100 priorizado Total 948 100,00
  • 58.
    Estudio del Consumode la Quinua en la Ciudad de Potosí Consume No. Porcentaje % Acumulado Quinua Hogares si 620 65,40 65,40 no 328 34,60 100,00 Total 948 100,00 HOGARES QUE UTILIZAN LA QUINUA PARA SU ALIMENTACIÓN ILUSTRACIÓN Nº 7
  • 59.
    Estudio del Consumode la Quinua en la Ciudad de Potosí Por qué Consume No. Hogares Porcentaje % Acumulado Quinua comercializa 1 0,16 0,16 crec_niños 5 0,81 0,97 deliciosa, 98 15,81 16,77 agradable es natural 3 0,48 17,26 no engorda 1 0,16 17,42 nutritiva 465 75,00 92,42 primordial 1 0,16 92,58 productor 2 0,32 92,90 saludable 2 0,32 93,23 variar menú 9 1,45 94,68 ns/nr 33 5,32 100,00 Total 620 100,00 RAZONES POR LAS CUALES SE UTILIZA LA QUINUA EN LA ALIMENTACIÓN ILUSTRACIÓN Nº 8
  • 60.
    Estudio del Consumode la Quinua en la Ciudad de Potosí RAZONES POR LAS CUALES NO SE UTILIZA LA QUINUA EN LA ALIMENTACIÓN ILUSTRACIÓN Nº 9 Por qué no No. Hogares Porcentaje % Acumulado Consume Quinua hace daño 23 7,01 7,01 caro 19 5,79 12,80 es seco 1 0,30 13,11 familia 4 1,22 14,33 pensionada no acostumbra 3 0,91 15,24 no compra 30 9,15 24,39 no conoce 11 3,35 27,74 no sabe cocinar 4 1,22 28,96 no hay difusión 2 0,61 29,57 no le agrada 107 32,62 62,20 no vitamínica 1 0,30 62,50 innecesaria 2 0,61 63,11 nunca comió 2 0,61 63,72 ns/nr 119 36,28 100,00 Total 328 100,00
  • 61.
    Estudio del Consumode la Quinua en la Ciudad de Potosí
  • 62.
    Estudio del Consumode la Quinua en la Ciudad de Potosí Consumo gr/mes No. Hogares Porcentaje % Acumulado 0,0 gr 415 43,8 43,8 113,4 gr 1 0,1 43,9 200,0 gr 1 0,1 44,0 226,8 gr 4 0,4 44,4 453,6 gr 127 13,4 57,8 500,0 gr 9 0,9 58,8 600,0 gr 1 0,1 58,9 680,4 gr 6 0,6 59,5 700,0 gr 1 0,1 59,6 907,2 gr 60 6,3 65,9 1000,0 gr 100 10,5 76,5 1134,0 gr 1 0,1 76,6 1250,0 gr 1 0,1 76,7 1360,8 gr 72 7,6 84,3 1453,6 gr 3 0,3 84,6 1500,0 gr 7 0,7 85,3 1814,4 gr 13 1,4 86,7 1907,2 gr 2 0,2 86,9 2000,0 gr 23 2,4 89,3 2268,0 gr 4 0,4 89,8 2453,6 gr 1 0,1 89,9 2721,6 gr 67 5,8 96,9 2948,4 gr 1 0,1 97,0 3000,0 gr 6 0,6 97,7 3175,2 gr 3 0,2 98,0 3453,6 gr 1 0,1 98,1 3628,8 gr 1 0,1 98,2 3721,6 gr 2 0,2 98,4 4000,0 gr 3 0,3 98,7 4082,4 gr 1 0,1 98,8 5443,2 gr 9 0,3 99,8 8164,2 gr 1 0,1 99,9 11340,0 gr 1 0,1 100,0 Total 948 100,0 CONSUMO DE QUINUA PERLADA ILUSTRACIÓN Nº 10
  • 63.
    Estudio del Consumode la Quinua en la Ciudad de Potosí CONSUMO DE QUINUA PERLADA (CLASIFICACIÓN POR INTERVELOS) ILUSTRACIÓN Nº 11 Consumo gr/mes No. Hogares Porcentaje % Acumulado 0 gr 415 43,8 43,8 0 < gr<= 1000 310 32,7 76,5 1000 < gr<= 2000 122 12,9 89,3 2000 < gr<= 3000 79 8,3 97,7 3000 < gr<= 4000 10 1,1 98,7 4000 < gr<= 5000 1 0,1 43,9 5000 < gr<= 6000 9 0,9 77,4 gr>6000 2 0,2 89,6 Total 948 100,0 64,7
  • 64.
    Estudio del Consumode la Quinua en la Ciudad de Potosí
  • 65.
    Estudio del Consumode la Quinua en la Ciudad de Potosí CONSUMO HOJUELA DE QUINUA ILUSTRACIÓN Nº 12 Consumo gr/mes No. Hogares Porcentaje % Acumulado 0,0 gr 794 83,8 83,8 100,0 gr 1 0,1 83,9 226,8 gr 7 0,7 84,6 300,0 gr 1 0,1 84,7 453,6 gr 62 6,5 91,2 500,0 gr 9 0,9 92,2 907,2 gr 19 2,0 94,2 1000,0 gr 17 1,8 96,0 1360,8 gr 18 1,9 97,9 1500,0 gr 1 0,1 98,0 1600,0 gr 1 0,1 98,1 1814,4 gr 2 0,2 98,3 2000,0 gr 3 0,3 98,6 2721,6 gr 12 1,3 99,9 3000,0 gr 1 0,1 100,0 Total 948 100,0
  • 66.
    Estudio del Consumode la Quinua en la Ciudad de Potosí Consumo gr/mes No. Hogares Porcentaje % Acumulado 0 gr 794 83,8 83,8 0 < gr<= 1000 116 12,2 96,0 1000 < gr<= 2000 25 2,6 98,6 2000 < gr<= 3000 13 1,4 100,0 Total 948 100,0 CONSUMO HOJUELA DE QUINUA (CLASIFICACIÓN POR INTERVALOS) ILUSTRACIÓN Nº 13
  • 67.
    Estudio del Consumode la Quinua en la Ciudad de Potosí Consumo gr/mes No.Hogares Porcentaje % Acumulado 0,0 gr 861 90,8 90,8 100,0 gr 1 0,1 90,9 226,8 gr 3 0,3 91,2 453,6 gr 46 4,9 96,1 500,0 gr 2 0,2 96,3 907,2 gr 7 0,7 97,0 1000,0 gr 10 1,1 98,1 1360,8 gr 9 0,9 99,1 2000,0 gr 1 0,1 99,2 2721,6 gr 8 0,8 100,0 Total 948 100,0 CONSUMO PITO DE QUINUA ILUSTRACIÓN Nº 14
  • 68.
    Estudio del Consumode la Quinua en la Ciudad de Potosí CONSUMO PITO DE QUINUA (CLASIFICACIÓN POR INTERVALOS) ILUSTRACIÓN Nº 15 Consumo gr/mes No. Hogares Porcentaje % Acumulado 0 gr 861 90,8 90,8 0 < gr<= 1000 69 7,3 98,1 1000 < gr<= 2000 10 1,1 99,2 2000 < gr<= 3000 8 0,8 100,0 Total 948 100,0
  • 69.
    Estudio del Consumode la Quinua en la Ciudad de Potosí Consumo No. Hogares Porcentaje % Acumulado unid/mes 0 u 905 95,5 95,5 1 u 7 0,7 96,2 2 u 8 0,8 97,0 3 u 5 0,5 97,6 4 u 2 0,2 97,8 5 u 4 0,4 98,2 6 u 2 0,2 98,4 8 u 1 0,1 98,5 10 u 9 0,9 99,5 16 u 1 0,1 99,6 20 u 2 0,2 99,8 25 u 1 0,1 99,9 30 u 1 0,1 100,0 Total 948 100,0 CONSUMO BARRAS ENERGÉTICAS DE QUINUA ILUSTRACIÓN Nº 16
  • 70.
    Estudio del Consumode la Quinua en la Ciudad de Potosí Consumo u/mes No. Hogares Porcentaje % Acumulado 0 u 905 95,5 95,5 0 < u <= 10 38 4,0 99,5 10 < u<= 20 3 0,3 99,8 20 < u<= 30 2 0,2 100,0 Total 948 100,0 CONSUMO BARRAS ENERGÉTICAS DE QUINUA (CLASIFICACIÓN POR INTERVALOS) ILUSTRACIÓN Nº 17
  • 71.
    Estudio del Consumode la Quinua en la Ciudad de Potosí Consumo No. Hogares Porcentaje % Acumulado gr/mes 0,0 gr 942 99,4 99,4 200,0 gr 2 0,2 99,6 250,0 gr 1 0,1 99,7 453,0 gr 3 0,3 100,0 Total 948 100,0 CONSUMO DE INSUFLADOS DE QUINUA ILUSTRACIÓN Nº 18
  • 72.
    Estudio del Consumode la Quinua en la Ciudad de Potosí Consumo No. Hogares Porcentaje % Acumulado u/mes 0 u 943 99,5 99,5 2 u 1 0,1 99,6 5 u 1 0,1 99,7 10 u 1 0,1 99,8 15 u 1 0,1 99,9 20 u 1 0,1 100,0 Total 948 100,0 CONSUMO DE GALLETAS DE QUINUA ILUSTRACIÓN Nº 19
  • 73.
    Estudio del Consumode la Quinua en la Ciudad de Potosí Consumo No. Hogares Porcentaje % Acumulado Lit./mes 0 lit. 934 98,5 98,5 1 lit. 8 0,8 99,4 2 lit 3 0,3 99,7 3 lit 2 0,2 99,9 4 lit 1 0,1 100,0 Total 948 100,0 CONSUMO DE JUGOS DE QUINUA ILUSTRACIÓN Nº 20
  • 74.
    Estudio del Consumode la Quinua en la Ciudad de Potosí Consumo No. Hogares Porcentaje % Acumulado gr/mes 0,0 gr 936 98,7 98,7 226,8 gr 1 0,1 98,8 453,6 gr 3 0,3 99,2 500,0 gr 1 0,1 99,3 1000,0 gr 3 0,3 99,6 1360,8 gr 1 0,1 99,7 1814,4 gr 1 0,1 99,8 2721,0 gr 1 0,1 99,9 11340,0 gr 1 0,1 100,0 Total 948 100,0 CONSUMO DE QUINUA EN OTRAS PRESENTACIONES ILUSTRACIÓN Nº 21
  • 75.
    Estudio del Consumode la Quinua en la Ciudad de Potosí Consumo gr/mes No. Hogares Porcentaje % Acumulado 0 gr 936 98,7 98,7 0 < gr<= 1000 8 0,8 99,6 1000 < gr<= 2000 2 0,2 99,8 gr > 2000 2 0,2 100,0 Total 948 100,0 CONSUMO DE QUINUA EN OTRAS PRESENTACIONES (CLASIFICACIÓN DE CONSUMO POR INTERVALOS) ILUSTRACIÓN Nº 22
  • 76.
    Estudio del Consumode la Quinua en la Ciudad de Potosí Compra en Ferias No. Hogares Porcentaje % Acumulado si 381 61,45 61,45 no 239 38,55 100,00 Total 620 100 HOGARES QUE COMPRAN QUINUA EN FERIAS CITADINAS ILUSTRACIÓN Nº 23
  • 77.
    Estudio del Consumode la Quinua en la Ciudad de Potosí Compra en Mercados No. Hogares Porcentaje % Acumulado si 267 43,06 43,06 no 353 56,94 100,00 Total 620 100 HOGARES QUE COMPRAN QUINUA EN MERCADOS ILUSTRACIÓN Nº 24
  • 78.
    Estudio del Consumode la Quinua en la Ciudad de Potosí Tiendas exclusivas No. Hogares Porcentaje %Acumulado si 38 6,13 6,13 no 582 93,87 100,00 Total 620 100 HOGARES QUE COMPRAN QUINUA EN TIENDAS DE VENTA EXCLUSIVA DEL PRODUCTO ILUSTRACIÓN Nº 25
  • 79.
    Estudio del Consumode la Quinua en la Ciudad de Potosí Dotación No. Hogares Porcentaje % Acumulado de Lactancia si 8 1,29 1,29 no 612 98,71 100,00 Total 620 100 HOGARES QUE RECIBEN QUINUA COMO DOTACIÓN DE LACTANCIA ILUSTRACIÓN Nº 26
  • 80.
    Estudio del Consumode la Quinua en la Ciudad de Potosí Envío No. Hogares Porcentaje % Acumulado si 34 5,48 5,48 no 586 94,52 100,00 Total 620 100 HOGARES QUE RECIBEN QUINUA COMO ENVIO DE PARIENTES Y OTROS ILUSTRACIÓN Nº 27
  • 81.
    Estudio del Consumode la Quinua en la Ciudad de Potosí Otras formas No. Hogares Porcentaje % Acumulado si 83 13,39 13,39 no 537 86,61 100,00 Total 620 100 HOGARES QUE ADQUIEREN QUINUA POR OTROS MEDIOS NO CONSIDERADOS EN EL ESTUDIO ILUSTRACIÓN Nº 28
  • 82.
    Estudio del Consumode la Quinua en la Ciudad de Potosí Hogar informado No. Hogares Porcentaje % Acumulado si 370 39,03 39,03 no 578 60,97 100,00 Total 948 100 HOGARES DONDE CONOCEN SOBRE EL CONTENIDO PROTEÍNICO DE LA QUINUA ILUSTRACIÓN Nº 29
  • 83.
    Estudio del Consumode la Quinua en la Ciudad de Potosí Hogar informado No. Hogares Porcentaje % Acumulado si 372 39,24 39,24 no 576 60,76 100,00 Total 948 100 HOGARES QUE CONOCEN SOBRE EL CONTENIDO DE MINERALES EN LA QUINUA ILUSTRACIÓN Nº 30
  • 84.
    Estudio del Consumode la Quinua en la Ciudad de Potosí Hogar informado No. Hogares Porcentaje % Acumulado si 413 43,57 43,57 no 535 56,43 100,00 Total 948 100 HOGARES QUE CONOCEN SOBRE EL CONTENIDO DE VITAMINAS EN LA QUINUA ILUSTRACIÓN Nº 31
  • 85.
    Estudio del Consumode la Quinua en la Ciudad de Potosí Hogar informado No. Hogares Porcentaje % Acumulado si 263 27,74 27,74 no 685 72,26 100,00 Total 948 100 HOGARES QUE CONOCEN SOBRE EL BAJO COLESTEROL DEL PRODUCTO ILUSTRACIÓN Nº 32
  • 86.
    Estudio del Consumode la Quinua en la Ciudad de Potosí Hogar informado No. Hogares Porcentaje % Acumulado si 77 8,12 8,12 no 871 91,88 100,00 Total 948 100 HOGARES QUE CONOCEN OTRAS CUALIDADES NO CONSIDERADAS EN LA INVESTIGACIÓN ILUSTRACIÓN Nº 33
  • 87.
    Estudio del Consumode la Quinua en la Ciudad de Potosí Consumo gr/mes No. Hogares Porcentaje % Acumulado CONSUMO DE ARROZ ENTERO ILUSTRACIÓN Nº 34 0,00 453,60 500,00 907,20 1.000,00 1.360,80 1.500,00 1.814,40 2.000,00 2.268,00 2.721,60 3.000,00 3.175,20 3.628,80 4.000,00 4.082,40 4.536,00 5.000,00 5.443,20 6.000,00 6.804,00 7.000,00 8.000,00 8.164,80 9.072,00 10.000,00 11.340,00 13.608,00 15.000,00 16.783,20 22.680,00 Total 14,0 16,8 16,9 17,4 21,4 27,2 27,3 27,7 29,9 30,5 47,6 48,9 49,1 49,3 50,1 50,7 50,8 51,7 67,1 67,3 67,4 67,5 67,6 68,2 68,6 69,7 96,4 96,6 96,9 97,4 100,0 133 26 1 5 38 55 1 4 20 6 162 13 1 2 8 6 1 8 146 2 1 1 1 6 3 11 253 2 3 4 25 948 14,0 2,7 0,1 0,5 4,0 5,8 0,1 0,4 2,1 0,6 17,1 1,4 0,1 0,2 0,8 0,6 0,1 0,8 15,4 0,2 0,1 0,1 0,1 0,6 0,3 1,2 26,7 0,2 0,3 0,4 2,6 100,0
  • 88.
    Estudio del Consumode la Quinua en la Ciudad de Potosí CONSUMO DE ARROZ ENTERO (CLASIFICACIÓN POR INTERVALOS) ILUSTRACIÓN Nº 35 Consumo gr/mes No. Hogares Porcentaje % Acumulado 0 gr 133 14,0 14,0 0 < gr<= 3000 331 34,9 48,9 3000 < gr<= 6000 174 18,4 67,3 6000 < gr<= 9000 9 0,9 68,2 9000 < gr<=12000 267 28,2 96,4 12000 < gr<= 15000 5 0,5 96,9 15000 < gr<= 18000 4 0,4 97,4 18000 < gr<= 21000 0 0,0 97,4 21000 < gr<= 24000 25 2,6 100,0 Total 948 100,0
  • 89.
    Estudio del Consumode la Quinua en la Ciudad de Potosí
  • 90.
    Estudio del Consumode la Quinua en la Ciudad de Potosí Consumo gr/mes No. Hogares Porcentaje % Acumulado 0,00 438 46,2 46,2 30,00 1 0,1 46,3 226,80 3 0,3 46,6 453,60 28 3,0 49,6 500,00 3 0,3 49,9 543,60 2 0,2 50,1 680,40 1 0,1 50,2 907,20 5 0,5 50,7 1.000,00 32 3,4 54,1 1.134,00 1 0,1 54,2 1.360,80 63 6,6 60,9 1.814,40 7 0,7 61,6 2.000,00 20 2,1 63,7 2.041,20 1 0,1 63,8 2.268,00 5 0,5 64,3 2.721,60 107 11,3 75,6 3.000,00 9 0,9 76,6 4.000,00 2 0,2 76,8 4.536,00 2 0,2 77,0 5.000,00 2 0,2 77,2 5.443,20 109 11,5 88,7 6.350,40 1 0,1 88,8 8.164,80 3 0,3 89,1 9.072,00 1 0,1 89,2 9.340,00 1 0,1 89,3 10.000,00 1 0,1 89,5 11.340,00 89 9,4 98,8 13.260,80 1 0,1 98,9 15.000,00 1 0,1 99,1 16.783,20 1 0,1 99,2 22.680,00 8 0,8 100,0 Total 948 100,0 CONSUMO DE ARROZ PARTIDO ILUSTRACIÓN Nº 36
  • 91.
    Estudio del Consumode la Quinua en la Ciudad de Potosí Consumo gr/mes No. Hogares Porcentaje % Acumulado 0 gr 438 46,2 46,2 0 < gr<= 3000 288 30,4 76,6 3000 < gr<= 6000 115 12,1 88,7 6000 < gr<= 9000 4 0,4 89,1 9000 < gr<=12000 92 9,7 98,8 12000 < gr<= 15000 2 0,2 99,1 15000 < gr<= 18000 1 0,1 99,2 18000 < gr<= 21000 0 0,0 99,2 21000 < gr<= 24000 8 0,8 100,0 Total 948 100,0 CONSUMO DE ARROZ PARTIDO (CLASIFICACIÓN DE CONSUMO POR INTERVALOS) ILUSTRACIÓN Nº 37
  • 92.
    Estudio del Consumode la Quinua en la Ciudad de Potosí Consumo gr/mes No. Hogares Porcentaje % Acumulado 0,0 gr 915 96,5 96,5 453,6 gr 2 0,2 96,7 1000,0 gr 4 0,4 97,2 1360,8 gr 2 0,2 97,4 2000,0 gr 3 0,3 97,7 2721,6 gr 13 1,4 99,1 3000,0 gr 1 0,1 99,2 5000,0 gr 2 0,2 99,4 5443,2 gr 2 0,2 99,6 8000,0 gr 1 0,1 99,7 11340,0 gr 2 0,2 99,9 22680,0 gr 1 0,1 100,0 Total 948 100,0 CONSUMO DE ARROZ POPULAR ILUSTRACIÓN Nº 38
  • 93.
    Estudio del Consumode la Quinua en la Ciudad de Potosí Consumo gr/mes No. Hogares Porcentaje % Acumulado 0 gr 915 96,5 96,5 0 < gr<= 3000 25 2,6 99,2 3000 < gr<= 6000 4 0,4 99,6 6000 < gr<= 9000 1 0,1 99,7 9000 < gr<=12000 2 0,2 99,9 12000 < gr<= 15000 0 0,0 99,9 15000 < gr<= 18000 0 0,0 99,9 18000 < gr<= 21000 0 0,0 99,9 21000 < gr<= 24000 1 0,1 100,0 Total 948 100,0 CONSUMO DE ARROZ POPULAR (CLASIFICACIÓN DE CONSUMO POR INTERVALOS) ILUSTRACIÓN Nº 39
  • 94.
    Estudio del Consumode la Quinua en la Ciudad de Potosí CONSUMO TOTAL DE ARROZ Consumo gr/mes No. Hogares Porcentaje % Acumulado 0,00 38 4,0 4,0 226,80 1 0,1 4,1 453,60 11 1,2 5,3 530,00 1 0,1 5,4 907,20 12 1,3 6,6 1.000,00 18 1,9 8,5 1.360,80 37 3,9 12,4 1.453,60 2 0,2 12,7 1.500,00 2 0,2 12,9 1.587,60 1 0,1 13,0 1.814,40 7 0,7 13,7 1.907,20 1 0,1 13,8 2.000,00 25 2,6 16,5 2.268,00 4 0,4 16,9 2.360,80 5 0,5 17,4 2.453,60 1 0,1 17,5 2.494,80 1 0,1 17,6 2.721,60 123 13,0 30,6 2.948,40 1 0,1 30,7 3.000,00 15 1,6 32,3 3.175,20 9 0,9 33,2 3.360,80 2 0,2 33,4 3.402,00 1 0,1 33,5 3.628,80 3 0,3 33,9 4.000,00 10 1,1 34,9 4.082,40 10 1,1 36,0 4.536,00 7 0,7 36,7 4.721,60 2 0,2 36,9 4.989,60 1 0,1 37,0 5.000,00 14 1,5 38,5 5.443,20 124 13,1 51,6 5.896,80 1 0,1 51,7 5.943,20 1 0,1 51,8 ILUSTRACIÓN Nº 40
  • 95.
    Estudio del Consumode la Quinua en la Ciudad de Potosí 6.000,00 2 0,2 52,0 6.123,60 1 0,1 52,1 6.350,40 3 0,3 52,4 6.443,20 2 0,2 52,6 6.804,00 14 1,5 54,1 7.000,00 3 0,3 54,4 7.257,60 1 0,1 54,5 7.443,20 1 0,1 54,6 8.000,00 1 0,1 54,7 8.164,80 46 4,9 59,6 8.442,60 1 0,1 59,7 8.804,00 2 0,2 59,9 9.000,00 2 0,2 60,1 9.072,00 1 0,1 60,2 9.164,20 1 0,1 60,3 9.500,00 1 0,1 60,4 9.525,60 1 0,1 60,5 10.000,00 10 1,1 61,6 10.886,40 37 3,9 65,5 11.340,00 136 14,3 79,9 11.793,60 4 0,4 80,3 11.883,60 2 0,2 80,5 12.340,00 1 0,1 80,6 12.700,80 14 1,5 82,1 13.000,00 1 0,1 82,2 13.154,40 2 0,2 82,4 13.340,00 2 0,2 82,6 13.608,00 4 0,4 83,0 14.061,60 15 1,6 84,6 14.340,00 2 0,2 84,8 14.621,60 1 0,1 84,9 15.000,00 3 0,3 85,2 15.061,00 1 0,1 85,3 15.443,20 1 0,1 85,4 15.453,60 1 0,1 85,5 CONSUMO TOTAL DE ARROZ (CONTINUACIÓN)
  • 96.
    Estudio del Consumode la Quinua en la Ciudad de Potosí 15.886,40 1 0,1 85,7 16.783,20 36 3,8 89,5 18.144,00 1 0,1 89,6 18.783,20 1 0,1 89,7 19.051,20 1 0,1 89,8 20.000,00 1 0,1 89,9 22.226,40 1 0,1 90,0 22.680,00 82 8,6 98,6 28.123,20 2 0,2 98,8 34.020,00 9 0,9 99,8 39.463,20 1 0,1 99,9 45.360,00 1 0,1 100,0 Total 948 100,0 CONSUMO TOTAL DE ARROZ (CONTINUACIÓN)
  • 97.
    Estudio del Consumode la Quinua en la Ciudad de Potosí Consumo gr/mes No. Hogares Porcentaje % Acumulado 0 gr 38 4,0 4,0 0 < gr<= 3000 268 28,3 32,3 3000 < gr<= 6000 187 19,7 52,0 6000 < gr<= 9000 77 8,1 60,1 9000 < gr<=12000 193 20,4 80,5 12000 < gr<= 15000 45 4,7 85,2 15000 < gr<= 18000 40 4,2 89,5 18000 < gr<= 21000 4 0,4 89,9 gr > 21000 96 10,1 100,0 Total 948 100,0 CONSUMO DE ARROZ POPULAR (CLASIFICACIÓN DE CONSUMO POR INTERVALOS) ILUSTRACIÓN Nº 41
  • 98.
    Estudio del Consumode la Quinua en la Ciudad de Potosí Consumo gr/mes No. Hogares Porcentaje % Acumulado 0,00 82 8,6 8,6 226,80 4 0,4 9,1 453,60 24 2,5 11,6 500,00 2 0,2 11,8 680,40 1 0,1 11,9 907,20 5 0,5 12,4 1.000,00 43 4,5 17,0 1.360,80 87 9,2 26,2 1.500,00 1 0,1 26,3 1.814,40 2 0,2 26,5 2.000,00 16 1,7 28,2 2.268,00 6 0,6 28,8 2.500,00 1 0,1 28,9 2.721,60 186 19,6 48,5 3.000,00 18 1,9 50,4 4.000,00 5 0,5 50,9 4.082,40 3 0,3 51,3 4.536,00 3 0,3 51,6 5.000,00 11 1,2 52,7 5.443,00 2 0,2 53,0 5.443,20 165 17,4 70,4 6.804,00 3 0,3 70,7 7.000,00 3 0,3 71,0 8.164,80 14 1,5 72,5 8.618,40 1 0,1 72,6 9.000,00 1 0,1 72,7 10.000,00 10 1,1 73,7 11.340,00 206 21,7 95,5 11.430,00 2 0,2 95,7 12.000,00 1 0,1 95,8 15.000,00 1 0,1 95,9 16.783,00 2 0,2 96,1 16.783,20 4 0,4 96,5 22.680,00 33 3,5 100,0 Total 948 100,0 CONSUMO DE FIDEO ILUSTRACIÓN Nº 42
  • 99.
    Estudio del Consumode la Quinua en la Ciudad de Potosí Consumo gr/mes No.Hogares Porcentaje % Acumulado 0 gr 82 8,6 8,6 0 < gr<= 3000 396 41,8 50,4 3000 < gr<= 6000 189 19,9 70,4 6000 < gr<= 9000 22 2,3 72,7 9000 < gr<=12000 219 23,1 95,8 12000 < gr<= 15000 1 0,1 95,9 15000 < gr<= 18000 6 0,6 96,5 18000 < gr<= 21000 0 0,0 96,5 gr > 21000 33 3,5 100,0 Total 948 100,0 CONSUMO DE FIDEO (CLASIFICACIÓN DE CONSUMO POR INTERVALOS ) ILUSTRACIÓN Nº 43
  • 100.
    Estudio del Consumode la Quinua en la Ciudad de Potosí
  • 101.
    Estudio del Consumode la Quinua en la Ciudad de Potosí Consumo gr/mes No. Hogares Porcentaje % Acumulado 0,0 gr 693 73,1 73,1 100,0 gr 1 0,1 73,2 200,0 gr 1 0,1 73,3 226,8 gr 6 0,6 73,9 453,6 gr 63 6,6 80,6 500,0 gr 5 0,5 81,1 907,2 gr 9 0,9 82,1 1000,0 gr 48 5,1 87,1 1360,8 gr 19 2,0 89,1 1814,4 gr 5 0,5 89,7 2000,0 gr 9 0,9 90,6 2721,6 gr 83 8,8 99,4 4000,0 gr 1 0,1 99,5 5443,2 gr 5 0,5 100,0 Total 948 100,0 CONSUMO DE TRIGO ILUSTRACIÓN Nº 44
  • 102.
    Estudio del Consumode la Quinua en la Ciudad de Potosí Consumo gr/mes No. Hogares Porcentaje % Acumulado 0 gr 693 73,1 73,1 0 < gr<= 1000 133 14,0 87,1 1000 < gr<= 2000 33 3,5 90,6 2000 < gr<= 3000 83 8,8 99,4 3000 < gr<=4000 1 0,1 99,5 4000 < gr<= 5000 0 0,0 99,5 5000 < gr<= 6000 5 0,5 100,0 Total 948 100,0 CONSUMO DE TRIGO (CLASIFICACIÓN DE CONSUMO POR INTERVALOS) ILUSTRACIÓN Nº 45
  • 103.
    Estudio del Consumode la Quinua en la Ciudad de Potosí Consumo gr/mes No. Hogares Porcentaje % Acumulado 0,0 gr 866 91,4 91,4 226,8 gr 1 0,1 91,5 453,6 gr 22 2,3 93,8 500,0 gr 3 0,3 94,1 907,2 gr 1 0,1 94,2 1000,0 gr 20 2,1 96,3 1360,8 gr 6 0,6 96,9 2000,0 gr 4 0,4 97,4 2721,6 gr 13 1,4 98,7 5000,0 gr 2 0,2 98,9 5443,2 gr 5 0,5 99,5 11340,0 gr 5 0,5 100,0 Total 948 100,0 CONSUMO DE MAIZ ILUSTRACIÓN Nº 46
  • 104.
    Estudio del Consumode la Quinua en la Ciudad de Potosí Consumo gr/mes No. Hogares Porcentaje % Acumulado 0 gr 866 91,4 91,4 0 < gr<= 1000 47 5,0 96,3 1000 < gr<= 2000 10 1,1 97,4 2000 < gr<= 3000 13 1,4 98,7 gr >3000 12 1,3 100,0 Total 948 100,0 CONSUMO DE MAIZ (CLASIFICACIÓN DE CONSUMO POR INTERVALOS) ILUSTRACIÓN Nº 47
  • 105.
    Estudio del Consumode la Quinua en la Ciudad de Potosí Consumo gr/mes No. Hogares Porcentaje % Acumulado 0,0 gr 855 90,2 90,2 100,0 gr 2 0,2 90,4 200,0 gr 1 0,1 90,5 230,0 gr 1 0,1 90,6 453,6 gr 23 2,4 93,0 500,0 gr 1 0,1 93,1 907,2 gr 13 1,4 94,5 1000,0 gr 13 1,4 95,9 1360,8 gr 15 1,6 97,5 2000,0 gr 10 1,1 98,5 2721,6 gr 9 0,9 99,5 4000,0 gr 1 0,1 99,6 5000,0 gr 3 0,3 99,9 11340,0 gr 1 0,1 100,0 Total 948 100,0 CONSUMO DE LENTEJA ILUSTRACIÓN Nº 48
  • 106.
    Estudio del Consumode la Quinua en la Ciudad de Potosí Consumo gr/mes No. Hogares Porcentaje % Acumulado 0 gr 855 90,2 90,2 0 < gr<= 1000 54 5,7 95,9 1000 < gr<= 2000 25 2,6 98,5 2000 < gr<= 3000 9 0,9 99,5 gr >3000 5 0,5 100,0 Total 948 100,0 CONSUMO DE LENTEJA (CLASIFICACIÓN DE CONSUMO POR INTERVALOS) ILUSTRACIÓN Nº 49
  • 107.
    Estudio del Consumode la Quinua en la Ciudad de Potosí CONSUMO DE CHUÑO ILUSTRACIÓN Nº 50 Consumo gr/mes No. Hogares Porcentaje % Acumulado 0,0 gr 903 95,3 95,3 100,0 gr 1 0,1 95,4 453,6 gr 18 1,9 97,3 907,2 gr 1 0,1 97,4 1000,0 gr 10 1,1 98,4 1360,8 gr 5 0,5 98,9 1814,4 gr 2 0,2 99,2 2000,0 gr 2 0,2 99,4 2721,6 gr 2 0,2 99,6 4000,0 gr 1 0,1 99,7 5000,2 gr 1 0,1 99,8 5443,2 gr 2 0,2 100,0 Total 948 100,0
  • 108.
    Estudio del Consumode la Quinua en la Ciudad de Potosí Consumo gr/mes No. Hogares Porcentaje % Acumulado 0 gr 903 95,3 95,3 0 < gr<= 1000 30 3,2 98,4 1000 < gr<= 2000 9 0,9 99,4 2000 < gr<= 3000 2 0,2 99,6 gr >3000 4 0,4 100,0 Total 948 100,0 CONSUMO DE CHUÑO (CLASIFICACIÓN DE CONSUMO POR INTERVALOS) ILUSTRACIÓN Nº 51
  • 109.
    Estudio del Consumode la Quinua en la Ciudad de Potosí Consumo gr/mes No. Hogares Porcentaje % Acumulado 0,0 gr 895 94,4 94,4 113,4 gr 1 0,1 94,5 226,8 gr 1 0,1 94,6 453,6 gr 7 0,7 95,4 907,2 gr 2 0,2 95,6 1000,0 gr 7 0,7 96,3 1360,8 gr 6 0,6 96,9 1814,4 gr 1 0,1 97,0 2000,0 gr 3 0,3 97,4 2721,6 gr 6 0,6 98,0 3000,0 gr 2 0,2 98,2 4000,0 gr 4 0,4 98,6 5443,2 gr 1 0,1 98,7 6000,0 gr 1 0,1 98,8 11340,0 gr 8 0,8 99,7 22680,0 gr 3 0,3 100,0 Total 948 100,0 CONSUMO DE OTROS CARBOHIDRATOS NO ESPECÍFICADOS ILUSTRACIÓN Nº 52
  • 110.
    Estudio del Consumode la Quinua en la Ciudad de Potosí CONSUMO DE OTROS CARBOHIDRATOS NO ESPECÍFICADOS (CLASIFICACIÓN DE CONSUMO POR INTERVALOS) ILUSTRACIÓN Nº 53 Consumo gr/mes No. Hogares Porcentaje % Acumulado 0 gr 895 94,4 94,4 0 < gr<= 3000 36 3,8 98,2 3000 < gr<= 6000 6 0,6 98,8 gr > 6000 11 1,2 100,0 Total 948 100,0
  • 111.
    Estudio del Consumode la Quinua en la Ciudad de Potosí No. De personas No.Hogares Porcentaje % Acumulado 1 persona 19 2,0 2,0 2 personas 62 6,5 8,5 3 personas 125 13,2 21,7 4 personas 189 19,9 41,7 5 personas 174 18,4 60,0 6 personas 139 14,7 74,7 7 personas 91 9,6 84,3 8 personas 79 8,3 92,6 9 personas 25 2,6 95,3 10 personas 27 2,8 98,1 11 personas 6 0,6 98,7 12 personas 10 1,1 99,8 15 personas 2 0,2 100,0 Total 948 100,0 INTEGRANTES DEL HOGAR COMPARTEN LA MESA ILUSTRACIÓN Nº 54
  • 112.
    Estudio del Consumode la Quinua en la Ciudad de Potosí INTEGRANTES DEL HOGAR COMPARTEN LA MESA (CLASIFICACIÓN POR INTERVALOS) ILUSTRACIÓN Nº 55 No. De personas No. Hogares Porcentaje % Acumulado 1 <= pers<= 3 206 21,7 21,7 4 <= pers<= 6 502 53,0 74,7 7 <= pers<= 9 195 20,6 95,3 10<= pers<=12 43 4,5 99,8 13 <= pers<=15 2 0,2 100,0 Total 948 100,0
  • 113.
    Estudio del Consumode la Quinua en la Ciudad de Potosí cantidad gramos una libra 453,60 3 libras 1360,80 media cuartilla 1360,80 5 libras 2268,00 6 libras 2721,60 cuartilla 2721,60 8 libras 3628,80 9 libras 4082,40 10 libras 4536,00 media arroba 5443,20 15 libras 6804,00 18 libras 8164,80 24 libras 10886,40 arroba 11340,00 28 libras 12700,80 30 libras 13608,00 31 libras 14061,60 37 libras 16783,20 2 arrobas 22680,00 3 arrobas 34020,00 1 quintal 45360,00 TABLAS DE EQUIVALENCIA LIBRAS/GRAMOS
  • 114.
    Estudio del Consumode la Quinua en la Ciudad de Potosí ÍNDICE Presentación 3 Resumen 4 introducción 5 Objetivo general 5 Objetivos específicos 5 Capítulo I Contexto General de la Quinua 1.1 La quinua 7 1.2 Cualidades que hacen de la quinua un alimento de excelencia 9 1.3 La Quinua Real 12 1.4 Programa de Apoyo a la Cadena Quinua Altiplano Sur 13 1.5 Demanda y oferta de la quinua en el mercado externo 14 1.6 Presentaciones de la quinua en el mercado interno 15 Capítulo II Proceso de recolección de datos 2.1 La encuesta como método de recolección de información en el estudio de consumo y comercialización de la quinua 16 2.2 Tipo de muestreo utilizando, definiciones de tamaño muestral 17 2.3 Tamaño muestral 18 2.4 La ejecución de las encuestas 21 2.5 Los resultados del trabajo 21 Capítulo III Descripción de Resultados de Encuesta 3.1 Resultados descriptivos de la encuesta sobre consumo de quinua aplicada en los diferentes distritos de la ciudad de Potosí 22 3.1.1 Primera pregunta ¿Cuáles son los alimentos que usualmente adquiere para el consumo? 22 3.1.2 Segunda pregunta ¿Utiliza quinua para la alimentación de su familia? 24
  • 115.
    Estudio del Consumode la Quinua en la Ciudad de Potosí 3.1.3 Tercera pregunta ¿En caso de consumir quinua, cuáles son las presentaciones de su preferencia y qué cantidad aproximada utiliza al mes? 25 3.1.4 Cuarta pregunta ¿De dónde adquiere usualmente los productos de quinua? 30 3.1.5 Quinta pregunta ¿Conoce Ud. las bondades nutritivas de la quinua? 31 3.1.6 Sexta pregunta ¿En cuanto a otros alimentos como fideo, arroz, trigo que cantidades consume su familia al mes? 32 3.1.7 Séptima pregunta ¿En su familia, cuántas personas comparten la mesa? 33 Capítulo IV Comparación del Consumo Promedio y Consumo Per Cápita de la Quinua Frente a Otros Alimentos 4.1 Consumo promedio mes de quinua en presentaciones diferentes por hogar encuestado 35 4.2 Consumo de arroz en variadades diferentes promedio mes por hogar encuestado 38 4.3 Comparación de la cantidad promedio de consumo por hogar al mes: quinua, arroz, fideo y otros cereales 39 4.4 Comparación del consumo promedio mes por persona de: quinua, arroz, fideo y otros cereales 40 4.5 Comparación del consumo per cápita de: quinua, arroz, fideo y otros cereales 42 Conclusiones 44 Recomendaciones 44 Bibliografía 45 Anexos 47 - 114