Interpretación de experimentos
de ciencias naturales
Versión del 30.Sep.2013 22:45H
Escuela de Educación Técnica Número 31
Centro Cultural
Teatro Roma
Chimeneas del Titanic
Leonardo DiCaprio y Kate Winslet en Titanic (James Cameron, 1997)
Britannic
Olympic
Titanic
Flujo laminar en un vaso de
vodka
водка
agüitа
Sir George
Gabriel Stokes
(1819–1903)
RvF πη6=
Seis pájaros no
remontan vuelo
Geoide de revolución
Corridas cromatográficas
Paseo al
azar
Quinientos borrachos
George Gamow
(1904–1968)
Uno, dos tres...
infinito (1948)
10 MM = 500: DIM A(MM)
20 SCREEN 9: CLS : KEY OFF: WINDOW (0, -1)-(1, 1):
RANDOMIZE TIMER: NN = 10000
30 FOR X = 0 TO 1 STEP .0001: PSET (X, SQR(X)), 10: PSET
(X, -SQR(X)), 10: NEXT X
40 LINE (0, 0)-(1, 0), 10: LINE (0, -1)-(1, 1), 10, B
42 LOCATE 4, 3: PRINT "Nuevo: n"
43 LOCATE 5, 3: PRINT "Salir: s"
50 FOR X = 0 TO 1 STEP 1 / NN: FOR J = 1 TO MM: CO = 1 +
J * 14 / MM
60 A(J) = A(J) + (RND - .5) / SQR(NN)
62 IF INKEY$ = "N" OR INKEY$ = "n" THEN RUN
64 IF INKEY$ = "S" OR INKEY$ = "s" THEN SYSTEM
70 PSET (X, A(J)), CO: NEXT J
100 NEXT X: REM AMR 2004.SEP.27, FIVE HUNDRED
DRUNKARDS.
Tiempo
Longitud
Figuras de Chladni
Ernst Chladni
1756 – 1827
Interferencia de sonido
boca a boca
El gran trompetista Louis Armstrong (1901–1971),
apodado Satchmo y Pops.
Los megáfonos adaptan
la impedancia del órgano
vocal a la del espacio
abierto, y mejoran, con
eso, la transferencia de
energía.
El antiguo teatro griego y
romano, anterior a los
micrófonos, usaba
megáfonos, disimulados
en las máscaras de los
actores que interpretaban
los personajes.
Persona, en latín,
significa sonar mucho, es
decir, megáfono.
Ming el Despiadado, de la serie Flash Gordon.
Presión sanguínea
?
Medición de la presión
arterial como el
cociente entre el peso
de los libros y el área
de contacto de los
dedos. Los latidos se
comienzan a sentir con
la presión baja, a la
que la circulación se
obstruye parcialmente
en el lugar que se
aprieta, y se dejan de
percibir con la presión
alta, cuando cesapor
completo.
Convección
Circulación
atmosférica
por
convección
natural. (El
espesor de
la capa de
aire está
muy
exagerado
en el dibujo.)
Convección natural
Molinillo de papel que gira impulsado por
las corrientes de convección que genera la
mano más caliente que el aire que la
rodea.
Lámpara de filamento de carbón
inventada por Edison. El zócalo de
bayoneta resiste sin aflojarse las
vibraciones en los vagones de tren.
Walt Disney (1901–1966) quizá se inspiró en Edison
para crear sus personajes Giro Sin Tornillo (Gyro
Gearloose), el inventor, y su lamparita ayudante.
El intento de capturar las partículas de carbón
condujo a la invención del primer diodo rectificador.
Convección en el gas inerte (nitrógeno, argón) que
se puso después en las lámparas incandescentes.
Hacen que el filamento dure más, sin evaporarse
como cuando está al vacío.)
Polaroides
Placas de vidrio
Filtro vertical
Molécula cristalina
Filtro horizontal
Filtro de color
¡TAP, TAP!
ZAPATEO YO.
ZAPATEA
MI HIJO.
ES CIERTO.
oxígeno
carbono
hidrógeno
glucosa fructosa
SACAROSA
Analogía mecánica de la polarización de la luz
d
Barómetro de agua
Medición casera de la presión
atmosférica, con un tubo de plástico
transparente y una bolita de tapón.
10,5 metros,
ó 18 codos,
al nivel del mar
Barómetro de agua
Porotos que revientan una lata
Porotos
Arvejas
Arroz
Presión parcial del
soluto
Presión parcial del
agua interior
Presión parcial del
soluto
Presión parcial del
agua exterior
Membrana celular
semipermeable
Lado interior de la
semilla
Lado exterior de la
semilla
Agua
Solución de
azúcar
Cuero
Modelo de ósmosis
(O la murga de invierno)
Germinación Ingrávida
Germinación en microgravedad simulada
http://ciencia.astroseti.org/nasa/articulo.php?num=719
Llama de una vela
con gravedad
terrestre normal, y
a bordo
de una nave
espacial
(fotos de la Nasa)
Ingravidez
ingravidez real, ingravidez aparente, microgravedad
Infrarrojo cercano
El encendido de un diodo emisor de rayos
infrarrojos de un control remoto no se ve
directamente, pero sí en el visor de una
cámara fotográfica digital.
1
2
La venas traslucen mejor con rayos infrarrojos
cercanos, que con luz visible ordinaria.
Foto: Dean W. Armstrong
3
Infrarrojo lejano
?
Arnold Schwarzenegger en Predator, John McTiernan, 1987.
Interferómetro de Jamin
Jules Célestin Jamin (1818–1886)
Tensión superficial
El calor de vaporización de un
líquido es igual al trabajo
necesario para dividir el líquido
en gotas del tamaño de una de
sus moléculas.
NA = (ρ LV /6 σ)3
V
(Personaje que huye despavorido al ver una fórmula.)
NA: Constante de Avogadro (partículas/mol).
ρ: Densidad (kg/m3
).
LV: Calor de vaporización (J/kg).
σ: Tensión superficial (N/m).
V: Volumen molar del líquido (m3
/mol).
1 mol: Cantidad de átomos que hay en 12 gramos
de carbono (6,02 × 1023
partículas).
Una aplicación de la tensión
superficial: Lentes de aceite
flotante
Agua
Detalle
Aceite
Luz
Jugo de repollo colorado como
indicador de pH
Absorción de agua por parte de
algunos plásticos
Enlace amida,
también
designado con la
secuencia de
letras CONH.
N
O
C
H
Podemos imaginar una cadena de amidas y radicales algo plegada como un
acordeón. Las moléculas de agua, atraídas por fuerzas eléctricas, se
intercalan entre los pliegues y aumentan la longitud de la cadena.
Plegamientos y fallas
geológicos
Simulación de efectos geológicos. Se forman
sedimentos con barros de colores, y se los pliega o
fractura.
La analema, o el analema
Reloj de sol hecho con un plato con divisiones, y un
lápiz perpendicular que apunta al sur. Indica las
catorce y diez, hora solar local.
El Sol visto desde la cueva, a través de un agujero.
Están las marcas de todos los días de
cada mes, como si todos los días hubieran
sido soleados a la hora de la observación.
(El náufrago pudo haber interpolado; ese
detalle no aparece en la película.)
Ese dibujo está errado. El sentido del trazo es
el correcto para el hemisferio norte: en el cielo,
el de la escritura a mano del ocho, pero en la
proyección sobre la pared, el opuesto.
Enero aparece abajo en la caverna; eso
corresponde a arriba en el cielo, lo que ocurre
cuando se observa el Sol desde el sur. Pero
Chuck naufragó cerca de Hawaii, a unos 25
grados de latitud norte.
Además, el cruce tiene que ser en abril y
setiembre, y a él le da en marzo y octubre.
Trópico de
Capricornio
Trópico de
Cáncer
15.Abr1.Sep
1.Ago
22.Sep21.Mar
1.Feb
21.Dic
20.Jun
14.May27.Jul
26.Dic
14.Jun21.Jun
El Sol
adelanta
El Sol
atrasa
16.Abr
21.Dic
12.Feb 4.Nov
21.Mar 21.Sep
2.Sep
12.Feb4.Nov
14.Jun
26.Dic21.Dic
El Sol
atrasa
El Sol
adelanta
21.Sep 21.Mar
21.Jun
14.May 27.Jul
16.Abr 2.Sep
Si la órbita de la Tierra fuera circular, y si su
eje de rotación fuera perpendicular a ella,
en vez de un ocho se obtendría un punto.
Analema obtenida con
una foto por semana
en el hemisferio norte,
superpuesta con las
otras en la misma
toma.
La falta de regularidad
obedece, quizás, a
días nublados, o a
ausencias de quien
tomaba las fotos.
‘Experimentación’ numérica
Sobrefusión del hielo
20 K
250 MPa
Temperatura (K)
Curva de fusión
Líquido
Sólido
MPa
K
MPa
K
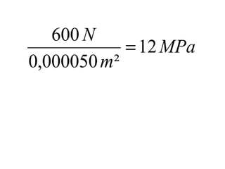
08,0
250
20
=
²000050,0 m
0,5 mm
100 mm
MPa
m
N
12
²000050,0
600
=
K
MPA
K
MPa 96,008,012 =×
Conclusiones sobre la fusión del hielo
La escasa resistencia al deslizamiento no
se explicaría solamente por la
sobrefusión, o disminución de la
temperatura de fusión con el aumento de
la presión.
Sin embargo, ese efecto contribuye al
buen deslizamiento.
En el experimento interviene la
conducción del calor por parte del metal.
El vaso y la vela; el
experimento más famoso de
las revistas escolares.
Una de las tantas explicaciones erradas del efecto: Rising of the
water level to mark 1 in the tumbler shows that 1/5th of the air in
the tumbler has been used up for burning. La elevación del nivel
de agua hasta al marca 1 de la escala muestra que en la
combustión se usó la quinta parte del aire.
buddingscientistkit.com/grade5.html
Vaso y vela.El agujero se
mantiene
abierto
mientras se
pone la jarra.
Se tapa el
orificio con
cinta
adhesiva.
Viruta de acero
Con la formación de un óxido sólido sí hay una disminución
importante de volumen de gas, aunque las temperaturas inicial y
final coincidan.
Conclusiones
sobre el ascenso del agua en el vaso
El consumo de oxígeno no explica el
ascenso, más que en una muy pequeña
medida parcial, y según cuál sea el
combustible.
Muchos textos omiten mencionar la
dilatación térmica de los gases, que es en
este caso la causa de mayor influencia.
Hierro combustible
Lana de acero encendida y revoleada por un
especialista en fuegos artificiales. (¡No lo hagan
ustedes! ¡O, si lo hacen, protéjanse los ojos!)
Foto, Mauro Montenegro.
4 Fe + 3 O2  2 Fe2O3
Pesar el aire
Percha y
globos.
http://www.cientec.or
.cr/ciencias/
experimentos/
fisica.html
elblogdelcole.wor
dpress.com/.../
http://evidenciascristianas.blogspot.com/
Job 28:25 (1500 a.C.) Al dar peso al viento, y
poner las aguas por medida…
Pr 11:29 El que turba su casa heredará viento.
En ese contexto viento significa aire; y aire, la
nada. (En cambio, según los Libros, los justos
heredan la tierra.)
Se supone que el aire pesa, entonces como el
globo verde tiene más aire que el anaranjado,
desequilibra la balanza.
Pero olvidan el empuje de Arquímedes.
Hay que considerar, también, la variación
de la densidad por la presión de inflado.
Tres litros de aire pesan cuatro gramos a la
presión normal, y un diez por ciento más a
la presión de un globo, de menos de una
décima de atmósfera.
La diferencia es de un tercio de gramo.
Conclusiones sobre la percha y los globos
La presión adicional de la goma comprime el
aire, cuya densidad aumenta, aunque no tanto
como para dar cuenta fácilmente del desbalance.
Éste se debe mayormente a efectos de reacción
de chorro, y hasta a la pérdida de fragmentos de
goma del globo.
Con una varilla recta y de un metro
delicadamente equilibrada, sin embargo, el
efecto se puede notar.
Pero de ninguna manera con una percha.
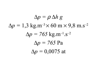
Globo en ascensor
?
∆p = ρ ∆h g
∆p = 1,3 kg.m–3
× 60 m × 9,8 m.s–2
∆p = 765 kg.m–1
.s–2
∆p = 765 Pa
∆p = 0,0075 at
Hay menos del uno por ciento de
disminución de volumen, y sólo el dos
por mil en el perímetro.
El perímetro de un
globo de 40 cm de
diámetro disminuye
unos tres milímetros, y
la cinta se aparta un
milímetro del globo.
Conclusiones sobre el globo en
ascensor
Para que el experimento resulte, hace
falta una variación de altura importante.
Sencilla máquina térmica
Péndulo cónico
α
Si m1 = 2 m2, entonces α vale 60 grados.
m1
m2
Péndulo de Foucault
Huracán Sandy,
Estados Unidos de
América, 2012.
Huracán Catarina,
Estados Unidos del
Brasil, 2004.
Leon Foucault
(1819–1868)
Michel Foucault
(1926–1984)
Valencia,
España.
Buenos Aires,
Argentina.
Echa hacia
la izquierda
Pelota que salta más
de lo que uno espera
Choque extraño
A
B
A
B
A
2121 pppp ′+′=+

211 ppp ′+′=

2
2
2
1
2
1 ppp ′+′=
CCM
CE
CCM
Choques
Hongos en patas de
hormigas
Magnetismo terrestre
¡TAP, TAP, TAP!
N
S
N
S
N
S
N
COMA EN LO DE PEPE
5555-5555
Empanadas, tartas, pizzas.
Anuncios para poner en muebles de hierro, con muchos polos sur y norte
alternados. Los polos se pueden revelar con polvo de hierro. Si se desliza un
anuncio sobre otro, se atraen y se rechazan, y tabletean.
Acción y reacción en
destrezas de
equilibrio
Destreza de equilibrio y coordinación de movimientos que pone de
manifiesto el principio de acción y reacción. Es difícil girar sin una
buena base de apoyo.De La science amusante, de Tom Tit, seudónimo de Arthur Good.
Cortar vidrio con
una brasa
Jöns Jacob Berzelius
(1779-1848)
Carbones de Berzelius
Negro de humo, 180 gramos
Goma arábiga, 56 gramos
Goma tragacanto, 23 gramos
Benjuí, 23 gramos
Agua, cantidad necesaria
Jhosep Estalella Graels
(1879-1938)
Fibra óptica y fibra
acústica
Refracción de la luz en un prisma. El rayo entrante se
acerca a la perpendicular; el saliente se aleja. (El conjunto
musical Pink Floyd usa ese diagrama como emblema.)
Velocidad
de la luz
Velocidad
de la luz
Fin
delicious.com/agusrela
slideshare.net/agusrela
elistas.net/lista/divagaciones
asuntos.com.nu
agusrela@yahoo.com
Charla
(exposición informal con participación del público).
Título:
Interpretación de experimentos de ciencias naturales
Resumen:
Cuando las observaciones contradicen la teoría que tenemos
por válida ¿abandonamos acaso nuestras ideas, o repetimos el
trabajo con empecinamiento hasta que la acumulación de
errores parezca corroborar nuestras creencias? Ambos
comportamientos fueron útiles en la historia de la ciencia. Se
expondrán algunas decenas de experimentos de ciencias
naturales (todos de realización sencilla en el aula) y sus
interpretaciones, algunas de ellas quizás erradas.
Detalles:
Vaso y vela, murga de invierno (modelo mecánico de la ósmosis),
globos en percha, hongos en patas de hormigas, absorción de
agua en plásticos, figuras de Chladni, carga por inducción,
ósmosis en cuero de panceta, papas o zanahorias, sobrefusión,
polos magnéticos en avisos adhesivos, péndulo de Foucault,
campo magnético terrestre, indicadores de acidez y basicidad, flujo
laminar y turbulento en un vaso de vodka, fuegos de artificio con
viruta de acero, fluidos magnéticos, la analema y el movimiento del
Sol, osciloscopio gratuito de computadora aplicado al análisis de la
voz humana, porotos y arroz que revientan una lata, vacío en
jeringa, modelos astronómicos en escala, atractor de abejas y
picaflores, germinación ingrávida, vaivén de cabezas de aves
cuando marchan, espectros de líneas en discos ópticos,
interferencia sonora boca a boca, corte de botella con espiral para
mosquitos, interferómetro de Jamin, tormenta en una botella,
destrezas físicas de equilibrio y coordinación, etcétera.
Duración:
40 minutos y 20 para preguntas, observaciones o comentarios.
(A pedido de los organizadores u organizadoras, el tiempo se
podría extender a una hora de exposición, más media para la
participación del público.)
Público: Docentes, estudiantes de todo nivel, personas de
cualquier especialidad, o ninguna, con interés general en las
ciencias.
Expositor: Agustín Rela.
Currículum sintético: Electrotécnico, licenciado en física, autor
de libros de física y su enseñanza, profesor invitado en la
enseñanza primaria, y efectivo en los demás niveles en diversas
escuelas, institutos y universidades. De 1964 a 1966, ayudante
e instructor en la Universidad de Buenos Aires. De 1984 a 2008,
profesor en esa Casa, e investigador en didáctica de la física en
un equipo dirigido por Jorge Sztrajman. Actualmente, profesor
en el Instituto Capacyt de Caseros y asesor técnico y comercial
en las industrias eléctricas Epoxiformas y Nöllmann. Sigo
escribiendo libros, y me interesan los lazos entre las artes, la
ciencia y la cultura.
Fondo blanco para experimentar con filtros polaroides
0 1 2 3 4 5 6 7

Intexp