Incrustar presentación
Descargar para leer sin conexión





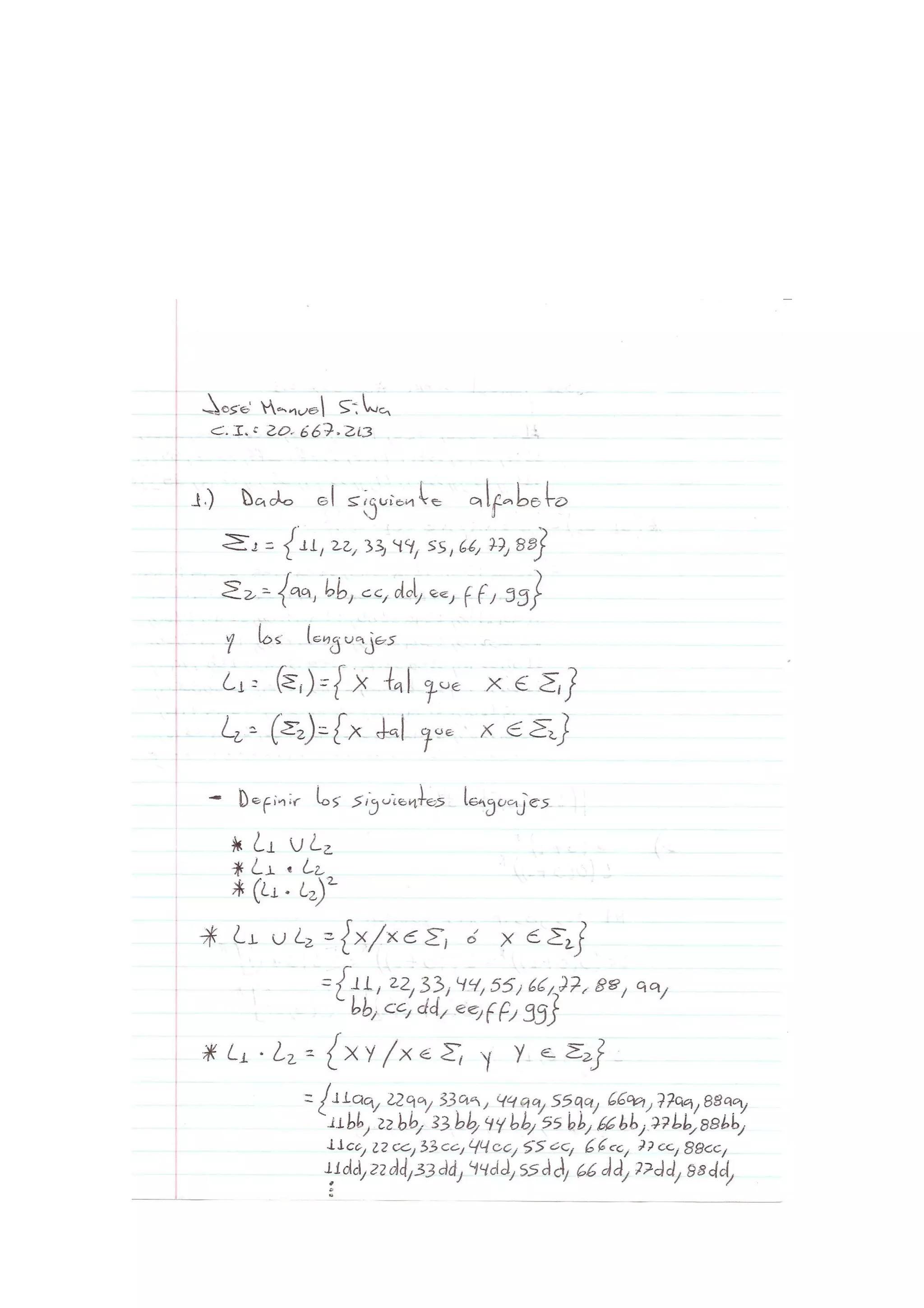
El documento presenta tres ejercicios sobre teoría de autómatas y lenguajes formales para una clase universitaria. El primer ejercicio pide definir lenguajes regulares dados alfabetos y lenguajes iniciales. El segundo ejercicio pide obtener el lenguaje regular asociado a una expresión regular especificada. El tercer ejercicio pide obtener cuatro cadenas del lenguaje de palabras palíndromas.



