 Jennifer López, no.18
 Curso 4to A, Informática
 Instructor, Sandy Cabrera
Base de datos
Santo Domingo 14/12/2017
 En este trabajo le voy a presentar todo
relacionado sobre base de datos, historia,
evolución, tipos y modelos.
 Espero su debida comprensión ya que el
trabajo fue elaborado con mucha dedicación.
1. ¿Que es una base de datos?
2. Historia de base de datos
3. Tipos de bases de datos
4. ¿Que es el Access?
5. Historia de Access
6. ¿Que es un formulario y componente de base de datos?
7. ¿Que es una tabla?
8. ¿Qué son los registros?
9. ¿Qué son los campos?
10. Tipo de tabla My SQL
11. ¿Que es el modelo entidad relación?
12. ¿Qué es el modelo relacional?
13. ¿Qué son las consultas?
14. ¿Qué es la indexación?
15. ¿Qué son las bases de datos distribuidas?
16. ¿Qué son las bases de datos SQL?
17. Historia de My SQL
18. Evolución de My SQL
Una base de datos o banco de datos es un conjunto de datos
pertenecientes a un mismo contexto y almacenados
sistemáticamente para su posterior uso. En este sentido; una
biblioteca puede considerarse una base de datos compuesta en
su mayoría por documentos y textos impresos en papel e
indexados para su consulta. Actualmente, y debido al desarrollo
tecnológico de campos como la informática y la electrónica, la
mayoría de las bases de datos están en formato digital, siendo
este un componente electrónico, por tanto se ha desarrollado y
se ofrece un amplio rango de soluciones al problema del
almacenamiento de datos.
Existen programas denominados sistemas gestores de bases de
datos, abreviado SGBD (del inglés database management system
o DBMS), que permiten almacenar y posteriormente acceder a
los datos de forma rápida y estructurada. Las propiedades de
estos DBMS, así como su utilización y administración, se
estudian dentro del ámbito de la informática.
Las aplicaciones más usuales son para la gestión de empresas e
 El término bases de datos fue escuchado por primera vez en un simposio celebrado
en California en 1963.
 En una primera aproximación, se puede decir que una base de datos es un conjunto
de información relacionada que se encuentra agrupada o estructurada.
 Desde el punto de vista informático, una base de datos es un sistema formado por
un conjunto de datos almacenados en discos que permiten el acceso directo a ellos
y un conjunto de programas que manipulen ese conjunto de datos.
 Por su parte, un sistema de Gestión de Bases de datos es un tipo de software muy
especifico dedicado a servir de interfaz entre la base de datos, el usuario y las
aplicaciones que la utilizan; o lo que es lo mismo, una agrupación de programas que
sirven para definir, construir y manipular una base de datos, permitiendo así
almacenar y posteriormente acceder a los datos de forma rápida y estructurada.
 Actualmente, las bases de datos están teniendo un impacto decisivo sobre el
creciente uso de las computadoras.
 Pero para poder entender más profundamente una base de datos cabe entender su
historia.
 Los orígenes de las bases de datos se remontan a la Antigüedad
donde ya existían bibliotecas y toda clase de registros. Además
también se utilizaban para recoger información sobre las
cosechas y censos. Sin embargo, su búsqueda era lenta y poco
eficaz y no se contaba con la ayuda de máquinas que pudiesen
reemplazar el trabajo manual.
 Posteriormente, el uso de las bases de datos se desarrolló a partir
de las necesidades de almacenar grandes cantidades de
información o datos. Sobre todo, desde la aparición de las
primeras computadoras, el concepto de bases de datos ha estado
siempre ligado a la informática.
 En 1884 Herman Hollerith creó la máquina automática de tarjetas
perforadas, siendo nombrado así el primer ingeniero estadístico
de la historia. En esta época, los censos se realizaban de forma
manual.
Las bases de datos jerárquicas: construyen una estructura de jerarquía con
los datos que permite una estructuración muy estable cuando gestionamos una
gran cantidad de datos muy interrelacionados.
Las bases de datos en red: derivan de las jerárquicas pero mejoran la gestión
de datos redundantes manteniendo su rendimiento en consultas de datos.
Las bases de datos transaccionales : están diseñadas para el envío y recepción
de datos a grandes velocidades y de forma continua. Su único fin es la
recepción y envío de información pero la gestión de almacenamiento o
redundancia están fuera de su propósito.
Las bases de datos relacionales: son las más utilizadas en aplicaciones reales.
La información se almacena siempre haciendo referencia a otra por lo que se
facilita la gestión y su uso por personal no especialista. En este modelo el
lugar y la forma donde se guarde la información es secundario.
Las bases de datos orientadas a objetos: han surgido como concepto tras la
aparición de los sistemas de programación orientada a objetos.
Las bases de datos documentales :están especializadas en el almacenamiento
de textos completos, por lo que facilitan el tratamiento informatizado de
grandes cadenas de caracteres.
 Entre los diferentes tipos de base de datos, podemos
encontrar los siguientes:
 MySQL: es una base de datos con licencia GPL basada en un
servidor. Se caracteriza por su rapidez. No es
recomendable usar para grandes volúmenes de datos.
 PostgreSql y Oracle: Son sistemas de base de datos
poderosos. Administra muy bien grandes cantidades de
datos, y suelen ser utilizadas en intranets y sistemas de
gran calibre.
 Access: Es una base de datos desarrollada por Microsoft.
Esta base de datos, debe ser creada bajo el programa
access, el cual crea un archivo .mdb con la estructura ya
explicada.
 Microsoft SQL Server: es una base de datos más potente
que Access desarrollada por Microsoft. Se utiliza para
manejar grandes volúmenes de informaciones.
Las bases de datos se han constituido como una de las herramientas más
ampliamente difundidas en la actual sociedad de la información, utilizadas
como fuentes secundarias en cuanto recuperación y almacenamiento de
información en todos los campos ha nivel científico, social, económico,
político y cultural. A partir de este trabajo queremos llegar a presentar una
panorámica histórica de las bases de datos sistematizadas y su evolución a
través de las décadas, las cuales han sido utilizadas especialmente como
fuentes de consulta y de producción de conocimiento por investigadores,
científicos y académicos de todas las áreas, que han encontrado en estas,
una herramienta importante para el desarrollo del conocimiento. De esta
manera la Ciencia de la Información, ha desarrollado una producción
científica importante a nivel mundial, la cual ha utilizado las bases de
datos, como repositorio de almacenamiento y difusión de información. Por
lo anterior haremos un énfasis en mostrar una vista histórica de las bases
de datos y los principales distribuidores en nuestra área del saber, de tal
manera que sirva como referente de consulta de estudiantes, profesores e
interesados en el tema, que conozcan en contexto y el desarrollo de estás
fuentes, para concienciar acerca de las herramientas que se encuentran
disponibles para el uso y aportes que podemos hacer en nuestra área del
saber.
 Década de 1960
 El uso de los discos en ese momento fue un adelanto
muy efectivo, ya que por medio de este soporte se
podía consultar la información directamente, esto
ayudo a ahorrar tiempo. No era necesario saber
exactamente donde estaban los datos en los discos,
ya que en milisegundos era recuperable la
información. A diferencia de las cintas magnéticas, ya
no era necesaria la secuencialidad, y este tipo de
soporte empieza a ser ambiguo.
 Los discos dieron inicio a las Bases de Datos, de red y
jerárquicas, pues los programadores con su habilidad
de manipulación de estructuras junto con las
ventajas de los discos era posible guardar estructuras
de datos como listas y árboles.
 década de 1970
 Edgar Frank Codd (23 de agosto de 1923 – 18 de abril de 2003), en un
artículo "Un modelo relacional de datos para grandes bancos de datos
compartidos" ("A Relacional Modelo of Data foro Large Shared Data
Banks") en 1970, definió el modelo relacional y publicó una serie de
reglas para la evaluación de administradores de sistemas de datos
relacionales y así nacieron las bases de datos relacionales.
 A partir de los aportes de Codd el multimillonario Larry Ellison desarrollo
la base de datos Oracle, el cual es un sistema de administración de base
de datos, que se destaca por sus transacciones, estabilidad, escalabilidad
y multiplataforma.
 Inicialmente no se uso el modelo relacional debido a que tenía
inconvenientes por el rendimiento, ya que no podían ser competitivas
con las bases de datos jerárquicas y de red. Ésta tendencia cambio por un
proyecto de IBM el cual desarrolló técnicas para la construcción de un
sistema de bases de datos relacionales eficientes, llamado System R.
 Década de 1980
 Las bases de datos relacionales con su sistema de tablas, filas y
columnas, pudieron competir con las bases de datos jerárquicas y de red,
ya que su nivel de programación era bajo y su uso muy sencillo.
 En esta década el modelo relacional ha conseguido posicionarse del
mercado de las bases de datos. Y también en este tiempo se iniciaron
grandes investigaciones paralelas y distribuidas, como las bases de datos
orientadas a objetos.
 Principios década de los 90
 Para la toma de decisiones se crea el lenguaje SQL, que es un lenguaje
programado para consultas. El programa de alto nivel SQL es un lenguaje
de consulta estructurado que analiza grandes cantidades de información
el cual permite especificar diversos tipos de operaciones frente a la
misma información, a diferencia de las bases de datos de los 80 que eran
diseñadas para las aplicaciones de procesamiento de transacciones. Los
grandes distribuidores de bases de datos incursionaron con la venta de
bases de datos orientada a objetos.
 Finales de la década de los 90
 El boom de esta década fue la aparición de la WWW “Word Wide Web” ya que por éste medio se
facilitaba la consulta de las bases de datos. Actualmente tienen una amplia capacidad de
almacenamiento de información, también una de las ventajas es el servicio de siete días a la
semana las veinticuatro horas del día, sin interrupciones a menos que haya planificaciones de
mantenimiento de las plataformas o el software.
 Siglo XXI
 En la actualidad existe gran cantidad de alternativas en línea que permiten hacer búsquedas
orientadas a necesidades especificas de los usuarios, una de las tendencias más amplias son las
bases de datos que cumplan con el protocolo Open Archives Initiative – Protocol for Metadata
Harvesting (OAI-PMH) los cuales permiten el almacenamiento de gran cantidad de artículos que
permiten una mayor visibilidad y acceso en el ámbito científico y general.
 Cuatro generaciones han manejado datos de computación: Sistema de Administración de Archivos,
Sistemas de administración de Bases de Datos Jerárquicos, Sistemas de Administración de Bases de
Datos por Relación, Sistemas de Administración Orientada a Objetos de Bases de Datos. Al
principio los lenguajes y las instrucciones de ´máquina eren similares, lo que producía un modelo
de programación orientada a procesos. En un principio los programas ejecutaban las tareas y
nunca las escribían en un dispositivo de almacenamiento. Sin embargo, los programadores se
dieron cuenta del valor de registrar los resultados. La grabación aumentó con la aparición del
almacenamiento en discos magnéticos rotatorios.
 Sistemas de Archivos
 Con el tiempo la mayoría de los programas utilizaron este nuevo tipo de
almacenamiento en disco. Pero los datos en el medio rotatorio eran difíciles de
organizar y administrar. Entonces se crearon paquetes de programas para facilitar el
manejo en disco, así nacieron los sistemas de administración de archivos.
 Aunque estos primeros sistemas de archivos ayudaban al programador, los métodos
para el acceso a datos todavía eran primitivos. El acceso aleatorio requería que la
aplicación conociese la colocación física de los datos en el disco. El cálculo de esta
única dirección requería algoritmos de dispersión (hashing). El desarrollo de un
algoritmo de dispersión con una buena distribución uniforme resultó ser un recurso
muy importante, en particular, si las diferentes unidades de disco necesitaban varios
algoritmos. Esto impulsó la creación de la primera ayuda principal
independientemente de la implantación: el archivo indexado. En lugar de solicitarle
a una aplicación que proporcionara la localización exacta de una parte de los datos
registrados, sólo se requería una clave simbólica. De este modo el sistema de
archivos mejorado por la indexación era necesario para calcular y asignar la
localización física de los datos. Entre los sistemas más utilizados estaban el ISAM
(Siglas en inglés: método de acceso secuencial indexado) y el VSAM (Siglas en inglés:
método de acceso secuencial virtual) que se ejecutaban en las primeras
microcomputadoras (mainframe) de IBM.
Tablas
Dentro de una base de datos, la información se almacena y se organiza en tablas; la figura 1.1
muestra un ejemplo. En cada tabla encontraremos una serie de filas y columnas. A las filas de una
tabla de una base de datos se les llama registros y a las columnas, campos. Todos los datos que
aparecen en un mismo registro se refieren a un mismo individuo y todos los datos que aparecen en
un campo se refieren a un mismo tipo de información sobre el individuo. A la intersección de un
registro con un campo se le llama dato. Sobre todos estos conceptos seguiremos trabajando pero
es importante que empieces a familiarizarte con ellos.
Registro
En informática, o concretamente en el contexto de una base de datos relacional, un registro
(también llamado fila o tupla) representa un objeto único de datos implícitamente estructurados en
una tabla. En términos simples, una tabla de una base de datos puede imaginarse formada de filas y
columnas o campos. Cada fila de una tabla representa un conjunto de datos relacionados, y todas
las filas de la misma tabla tienen la misma estructura.
Un registro es un conjunto de campos que contienen los datos que pertenecen a una misma
repetición de entidad. Se le asigna automáticamente un número consecutivo (número de registro)
que en ocasiones es usado como índice aunque lo normal y práctico es asignarle a cada registro un
campo clave para su búsqueda.
s cada una de las columnas que forman la tabla. Contienen datos de tipo diferente a los de otros
campos. En el ejemplo anterior, un campo contendrá un tipo de datos único, como una dirección, o
un número de teléfono, un nombre, etc.
Canpos
A los campos se les puede asignar, además, propiedades especiales que afectan a los registros
insertados. El campo puede ser definido como índice o autoincrementable, lo cual permite que los
datos de ese campo cambien solos o sean el principal a la hora de ordenar los datos contenidos.
 Los formularios nos ayudarán principalmente en
tareas de introducción de información. Cuando
se trata de incluir pocos datos podemos hacerlo
directamente sobre las tablas pero cuando el
volumen es importante, este método se vuelve
poco eficaz. Para resolver este problema
tenemos los formularios donde la inclusión de
datos se hace de forma mucho más intuitiva y
sencilla. En la figura 1.3 podemos ver un
ejemplo de formulario. Además, y al igual que
ocurre con las consultas, los formularios también
permiten trabajar simultáneamente sobre varias
de las tablas de una base de datos.
 Para ver, escribir y cambiar datos de manera
sencilla directamente en una tabla, cree un
formulario. Al abrir un formulario, Microsoft
Access recupera los datos de una o más tablas, y
los muestra en la pantalla con el diseño elegido
en el Asistente para formularios, o con un diseño
que haya creado en la vista Diseño (vista Diseño:
ventana que muestra el diseño de estos objetos
de base de datos: tablas, consultas, formularios,
informes, macros y páginas de acceso a datos. En
la vista Diseño, puede crear objetos de base de
datos nuevos y modificar el diseño de otros
existentes.)
 Los informes tienen como objetivo proporcionar las
herramientas necesarias para obtener una copia impresa
de los datos existentes en una base de datos aunque
existen otras posibilidades tan interesantes como la
generación de archivos en formato PDF. Habitualmente, los
informes se suelen construir a partir de los resultados
obtenidos de la ejecución de consultas. De esta forma
combinamos la posibilidad de seleccionar sólo los datos
que deseemos que nos ofrecen las consultas con la ventaja
de imprimirlos que aportan los informes.
 La figura 1.4 muestra la apariencia típica de un informe
creado con OpenOffice Base. Como puedes comprobar su
aspecto es muy similar a los archivos de texto creados con
Writer. Esta característica permitirá aprovechar nuestros
conocimientos con esta herramienta y aplicarlos en el
diseño de formularios con Base
 El concepto de informe, como derivado del
verbo informar, consiste en un texto o una
declaración que describe las cualidades de
un hecho y de los eventos que lo rodean. El
informe, por lo tanto, es el resultado o la
consecuencia de la acción de informar
(difundir, anoticiar).
 Las consultas tienen como propósito recuperar la
información almacenada en las tablas. Con esta breve
descripción podríamos pensar… ¿y por qué no la miramos
directamente en ellas? Pues bien, la ventaja se encuentra
en la posibilidad que ofrecen las consultas de filtrar la
información y mostrar sólo aquellos datos que interesen en
cada caso. Por ejemplo, imagina que tenemos una enorme
base de datos con cientos de recetas de cocina y resulta
que hoy nos apetece hacer arroz. En este caso, crearíamos
una consulta para obtener sólo aquellas recetas que hablen
de arroz. Otra de las características importantes de las
consultas es que puedes utilizar más de una tabla para
mostrar datos relacionados. Esto es así gracias a que Base
es un sistema de bases de datos relacional.
 La figura 1.2 muestra el aspecto que tendría una consulta
sencilla en OpenOffice Base.
Indexación (también conocido como indexación web u indexación en
Internet) se refiere a diversos métodos para incluir en el índice de
internet el contenido de un sitio web. Determinados sitios web o
intranet pueden utilizar un índice de back-of-the-book, mientras
que los motores de búsqueda suelen utilizar palabras clave y
metadatos (metaetiquetas) para proporcionar un vocabulario más
útil para Internet o la búsqueda en el sitio. Con el aumento en el
número de publicaciones periódicas que tienen artículos en línea, la
indexación web también está adquiriendo importancia para los
sitios web de periódicos o revistas con contenido actualizado .
La información de indexación web implica la asignación de palabras
clave o frases a páginas web o sitios web dentro de un campo de
meta-etiquetas, por lo que los sitios web pueden ser recuperados
con un motor de búsqueda que se personaliza para buscar el campo
de palabras clave. Para mejorar la indexación de un sitio web
específico existen varios métodos conocidos en el entorno de SEO
(Search Engine Optimization), utilizando diferentes técnicas para
que la posición del sitio web aumente de acuerdo a las palabras que
el usuario ingresa para hacer una búsqueda.
 Fue llamado EB ("Embedded Basic") que se utilizaría en la mayoría de software
Microsoft hasta la llegada de VBA. También se buscaba que Omega funcionara como
front-end para Microsoft SQL Server. Omega requería una enorme cantidad de
recursos de los procesadores 386 disponibles en la época para usos comerciales,
retrasando su llegada desde el primer cuatrimestre de 1990 hasta enero de 1991.
Más tarde partes del proyecto fueron utilizados para otros proyectos de Microsoft.
Cirrus (nombre clave para Access) y Thunder (nombre clave para Visual Basic, en el
que se utilizó el motor Embedded Basic). Tras el adelanto de Access, Omega fue
demostrado ante varios periodistas en 1992 y Access presentaba funciones que no
tenía.
 Después de la cancelación de Omega, algunos de sus desarrolladores fueron
reasignados al proyecto Cirrus (la mayoría fue a parar al equipo creador de Visual
Basic). Su meta era crear un competidor de productos como dBase y Paradox en el
entorno Windows. El proyecto pareció condenado con la compra de FoxPro (una app
de base de datos completamente diferente a Access) por parte de Microsoft, pero la
compañía decidió continuar con el desarrollo de Cirrus. Al principio se asumió que el
producto usaría el motor Extensible Storage Engine (Jet Blue) pero al final fue
reemplazado por otro motor llamado Microsoft Jet Database Engine (Jet Red). El
proyecto usó partes del código escrito para Omega y una versión pre-publicada de
Visual Basic. En julio de 1992, llegó la versión final con el nombre de Access que
continua hasta el momento unicultural 2017.
 Originalmente, el software funcionó bien con bases de datos relativamente
pequeños, pero las pruebas mostraron algunas circunstancias que causaban la
corrupción de los datos. Por ejemplo, el tamaño de los archivos de más de 10 MB
eran problemáticos (tenga en cuenta que la mayoría de los discos duros eran más
pequeños que 500 MB en ese entonces), y el manual de Cómo empezar advierte
sobre una serie de circunstancias en las que los controladores de dispositivo
obsoletos o configuraciones incorrectas puede causar la pérdida de datos. Con la
eliminación gradual de Windows 95, 98 y ME, la mejora de la confiabilidad de la
red, y el lanzamiento de Microsoft de 8 Service Pack para el Jet Database Engine, la
fiabilidad de las bases de datos de Access se ha mejorado enormemente tanto en
tamaño como en número de usuarios.
 Con Office 95, Microsoft Access 95 se convirtió en parte de Microsoft Office
Professional Suite junto con Microsoft Excel, Word y PowerPoint y la transformación
de Access Basic a Visual Basic para Aplicaciones (VBA). Desde entonces, ha habido
liberaciones de Microsoft Access con cada versión de Office. Esto incluye el Access
97 (versión 8.0), Access 2000 (versión 9.0), Access 2002 (versión 10.0), Access 2003
(versión 11.0) y Access 2007 (versión 12.0). El formato de base de datos nativa de
Access (la base de datos Jet MDB) también ha evolucionado a lo largo de los años.
Incluyen los formatos de acceso 1.0, 1.1, 2.0, 95, 97, 2000, y 2002-2007. La más
significativa fue la transición de Access 97 a Access 2000, formato que no era
compatible antes, y Access 2000 requirió el nuevo formato. Desde Access 2000,
todas las nuevas versiones de Access soportan este formato. Se añadieron nuevas
características a Access 2002, que pudieron ser usadas por Access 2002, 2003 y
2007.
 Fue fundada por los MVP en Access Juan Soto
y Ben Clothier con el fn de fomentar los
grupos de usuarios Access en todo el país.
Este mes la reunión de SQL server con Access
incluirá la entrevista con Luke Chung de FSM
software. Luke es un popular orador popular
de conferencias en los Estados unidos,
Australia y Europa, y ha publicado muchos
artículos en las revistas de la industria
Microsoft Developer Network (MSDN).
Microsoft lo reconoció como un MVP de
Microsoft por su experiencia e influencia en
la comunidad.
 Bases de datos en Access
 Una base de datos es una colección de datos organizada de tal
manera que se facilite el acceso y la consulta de la información. Por
ejemplo, una biblioteca es una base de datos compuesta de
material impreso en papel y donde podemos encontrar el libro que
necesitamos al consultar el catálogo de la biblioteca.
 Debido al desarrollo de los sistemas computacionales la mayoría de
las bases de datos se han ido migrando a un formato electrónico ya
que se obtienen diversas ventajas como son la rapidez en las
búsquedas y consultas de información.
 Los programas que nos permiten interactuar con las bases de datos
electrónicas son conocidos como sistemas gestores de bases de
datos o DBMS por sus siglas en inglés. Microsoft Access es uno de
esos sistemas gestores de bases de datos porque nos permite crear
una base de datos así como insertar información y realizar
actualizaciones a la misma.
MySQL surgió alrededor de la década del 90, Michael Windenis comenzó a
usa
mSQL para conectar tablas usando sus propias rutinas de bajo nivel (ISAM).
Tras
unas primeras pruebas, llegó a la conclusión de que mSQL no era lo bastante
flexible ni rápido para lo que necesitaba, por lo que tuvo que desarrollar
nuevas
funciones. Esto resulto en una interfaz SQL a su base de datos, totalmente
compatible a mSQL.
El origen del nombre MySQL no se sabe con certeza de donde proviene, por
una
lado se dice que en sus librerías han llevado el prefijo “my” durante los diez
últimos años, por otra parte, la hija de uno de los desarrolladores se llama
My. Así
que no está claramente definido cual de estas dos causas han dado lugar al
nombre de este conocido gestor de bases de datos.
 MySQL fue inicialmente desarrollado por MySQL AB (empresa fundada por David
Axmark, Allan Larsson y Michael Widenius). MySQL A.B. fue adquirida por Sun
Microsystems en 2008, y ésta a su vez fue comprada por Oracle Corporation en
2010, la cual ya era dueña desde 2005 de Innobase Oy, empresa finlandesa
desarrolladora del motor InnoDB para MySQL.
 Al contrario de proyectos como Apache, donde el software es desarrollado por una
comunidad pública y los derechos de autordel código están en poder del autor
individual, MySQL es patrocinado por una empresa privada, que posee el copyright
de la mayor parte del código. Esto es lo que posibilita el esquema de doble
licenciamiento anteriormente mencionado. La base de datos se distribuye en varias
versiones, una Community, distribuida bajo la Licencia pública general de GNU,
versión 2, y varias versiones Enterprise, para aquellas empresas que quieran
incorporarlo en productos privativos. Las versiones Enterpriseincluyen productos o
servicios addicionales tales como herramientas de monitorización y soporte oficial.
En 2009 se creó un forkdenominado MariaDB por algunos desarrolladores (incluido
algunos desarolladores originales de MySQL) descontentos con el modelo de
desarrollo y el hecho de que una misma empresa controle a la vez los productos
MySQL y Oracle Database.
 Está desarrollado en su mayor parte en ANSI C y C++. Tradicionalmente se considera
uno de los cuatro componentes de la pila de desarrollo LAMP y WAMP.
 MySQL es usado por muchos sitios web grandes y populares, como Wikipedia, Google
(aunque no para búsquedas),Facebook, Twitter, Flickr, y YouTube.
Evolución
La evolución de MySQL se produce con las sugerencias de los usuarios, canalizadas
por la empresa MySQL AB, que contrata a programadores de todo el mundo para
que, a través de Internet, vayan ampliando y mejorando el producto. Las versiones,
como es costumbre en este tipo de software libre, se van colgando en Internet para
que los usuarios puedan disponer de ellas.
Sin embargo, también como es habitual, hay que distinguir entre versiones deprueba o
beta y versiones estables o de producción. Las versiones de prueba
 beta están a disposición de los usuarios para ser testadas en busca de posibles
 mejoras. Por su parte, las versiones estables o de producción son las que ya están
 preparadas para ser utilizadas a pleno rendimiento.
 En la actualidad, 4.1. 14 es la última versión estable. Esta versión dispone de
 características como gestión de transacciones, integridad referencial (bajo ciertas
 MySQL es un sistema de gestión de bases de datos relacional desarrollado bajo
licencia dual GPL/Licencia comercial por Oracle Corporation y está considerada
como la base datos open source más popular del mundo, y una de las más populares
en general junto a Oracle y Microsoft SQL Server, sobre todo para entornos de
desarrollo web.
 MySQL fue inicialmente desarrollado por MySQL AB (empresa fundada por David
Axmark, Allan Larsson y Michael Widenius). MySQL A.B. fue adquirida por Sun
Microsystems en 2008, y ésta a su vez fue comprada por Oracle Corporation en
2010, la cual ya era dueña desde 2005 de Innobase Oy, empresa finlandesa
desarrolladora del motor InnoDB para MySQL.
 Al contrario de proyectos como Apache, donde el software es desarrollado por una
comunidad pública y los derechos de autor del código están en poder del autor
individual, MySQL es patrocinado por una empresa privada, que posee el copyright
de la mayor parte del código. Esto es lo que posibilita el esquema de doble
licenciamiento anteriormente mencionado. La base de datos se distribuye en varias
versiones, una Community, distribuida bajo la Licencia pública general de GNU,
versión , y varias versiones Enterprise, para aquellas empresas que quieran
incorporarlo en productos privativos. Las versiones Enterprise incluyen productos o
servicios adicionales tales como herramientas de monitorización y soporte oficial.
En 2009 se creó un fork denominado MariaDB por algunos desarrolladores (incluido
algunos desarrolladores originales de MySQL) descontentos con el modelo de
 Historia de SQL Server
 Windows 10 el mejor SO
 Ver mas….
 En 1988 Microsoft se unió a Ashton-Tate y Sybase para
crear una variante de Sybase SQL Server para IBM OS / 2
(entonces desarrollado conjuntamente con Microsoft), que
fue lanzado el año siguiente. Esta fue la primera versión
de Microsoft SQL Server, y sirvió como la entrada de
Microsoft en el mercado de bases de datos a nivel de
empresa, compitiendo contra Oracle, IBM, y más tarde,
Sybase. SQL Server 4.2 fue enviado en 1992, incluido con
OS / 2 versión 1.3, seguido de la versión 4.21 para
Windows NT, lanzado junto con Windows NT 3.1. SQL
Server 6.0 fue la primera versión diseñada para NT, y no
incluyó ninguna dirección de Sybase.
 Durante muchos años la empresa Microsoft ha creado grandes aplicaciones de software que han sido, y son, muy populares a nivel mundial. La fama
mundial de la empresa de Bill Gates y Paul Allen vino de la mano de un sistema operativo llamado MS-DOS… pero Microsoft desarrolla software muy
variado, no solo sistemas operativos.
 En el año 1989 Microsoft lanzó la primera versión de un servidor enfocado a la gestión de bases de datos basado en el lenguaje SQL ¿Qué es
exactamente un gestor de bases de datos? Es un software para gestionar datos basados en un modelo relacional.
 Originalmente aquel producto fue basado en una versión adquirida a Sybase, que en versiones sucesivas fue mejorada. Para ser justos con la
historia de los inicios del producto también hay que afirmar que fue más compleja de lo que aquí se habla, porque también participaron en su
nacimiento una sociedad colaborativa que incluyó a Ashton-Tate e IBM.
 Posiblemente el punto de inflexión, donde rápidamente emerge el Microsoft SQL Server como uno de los productos estrella de bases de datos a
nivel mundial, se dio con la versión lanzada en el año 2000. En el año 2005 Microsoft lanza el SQL Server 2005 que fue completamente reescrito de
nuevo y adaptado a las nuevas tecnologías existentes en ese momento.
 En la actualidad el SQL Server es un software servidor presente en muchas empresas, pero también muy utilizado en asuntos domésticos y en
aplicaciones personales gracias a la creación por parte del equipo de Microsoft de la línea «Express» que permite la libre descarga y el uso gratuito,
pero con algunas limitaciones en capacidades sobre las versiones de pago.
 El software SQL Server únicamente opera bajo el sistema operativo Windows, aunque las primeras versiones fueron desarrolladas para el antiguo
«OS/2», y otra versión fue desarrollada para Windows NT. Incorpora una gran potencia, e incluye muchas herramientas de apoyo como el «SQL
Server Management» que permite gestionar de forma sencilla e intuitiva las bases de datos gestionadas por nuestro servidor, o la herramienta «SQL
Server Profiler» que permite gestionar las trazas de ejecución en el servidor para la depuración de errores, por ejemplo. Incorpora otras muchas
herramientas de gran utilidad.
 Si la versión del año 2000 situó al software SQL Server entre los grandes gestores a nivel mundial, la versión del año 2005 rompió moldes logrando
colocar en la cima de los gestores de bases de datos al software protagonista de este artículo. Hoy en día la experiencia en la gestión y
administración de las bases de datos SQL Server es vital para una gran mayoría de los profesionales de informática, y su popularidad y calidad logra
que muchos Centros de Procesos de Datos basen su gestión de datos en este producto de Micros
 SQL Server es un sistema de gestión de bases de datos
relacionales (RDBMS) de Microsoft que está diseñado para
el entorno empresarial. SQL Server se ejecuta en T-SQL
(Transact -SQL), un conjunto de extensiones de
programación de Sybase y Microsoft que añaden varias
características a SQL estándar, incluyendo control de
transacciones, excepción y manejo de errores,
procesamiento fila, así como variables
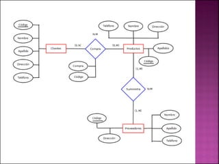
 un Modelo entidad relación es un modelo de datos que consiste en
un conjunto de objetos básicos llamados Entidades y sus
respectivas relaciones entre sí, sirve para diseñar el esquema de la
base de datos antes de desarrollarla.
 Para construir un modelo entidad relación debemos identificar las
entidades que harán parte de nuestro diagrama o modelo, con el
fin de establecer los tipos de datos y las relaciones existentes
entre ellas.
 Modelo relacional: modelo de organización y
gestión de bases de datos consistente en el
almacenamiento de datos en tablas
compuestas por filas, o tuplas, y columnas o
campos. Se distingue de otros modelos, como
el jerárquico, por ser más comprensible para
el usuario inexperto, y por basarse en la
lógica de predicados para establecer
relaciones entre distintos datos. Surge como
solución a la creciente variedad de los datos
que integran las data warehouses y podemos
resumir el concepto como una colección de
tablas (relaciones).
 Las consultas son una forma de buscar y
recopilar información de una o más tablas
para conseguir información detallada de una
base de datos. Al crear una consulta en
Access 2010, defines condiciones específicas
de búsqueda para encontrar, exactamente, la
información que deseas.
 Una Base de Datos Distribuida (BDD) es, una base de datos
construida sobre una red de computadores. La información
que estructura la base de datos esta almacenada en
diferentes sitios en la red, y los diferentes sistemas de
información que las utilizan accesan datos en distintas
posiciones geográficas.

 Por ende una Base de Datos Distribuida es una colección de datos que pertenecen lógicamente a un solo sistema,
pero se encuentra físicamente distribuido en varios computadores o servidores de datos en una red de computadoras.
Un sistema de bases de datos distribuidas se compone de un conjunto de sitios lógicos, conectados entre sí, mediante
algún tipo de red de comunicaciones, en el cual:
 Cada sitio lógico puede tener un sistema de base de datos.
 Los sitios han sido diseñados para trabajar en conjunto, con el fin de que un usuario de cualquier posición geográfica
pueda obtener acceso a los datos desde cualquier punto de la red tal como si todos los datos estuvieran almacenados
en la posición propia del usuario. Entonces, la llamada "Base de Datos Distribuida" es en realidad una especie de
“objeto virtual”, cuyos componentes se almacenan físicamente en varias “bases de datos reales” ubicadas en
diferentes sitios. En esencia es la unión lógica de esas diferentes bases de datos.
 En otras palabras, cada sitio tiene sus propias “bases de datos reales" locales, sus propios usuarios locales, sus propios
SGBD y programas para la administración de transacciones y su propio administrador de comunicación de datos. Así
pues, el sistema de bases de datos distribuidas puede considerarse como una especie de sociedad entre los diferentes
SGBD individuales locales. Un nuevo componente de software en cada sitio realiza las funciones de sociedad
necesarias; y es la combinación de este nuevo componente y el SGBD ya existente constituyen el llamado Sistema de
Administración o Gestión de Bases de Datos Distribuidas - SGBDD. (En ingles DDBMS, Distributed DataBase Management
System).
 Desde el punto de vista del usuario final, un sistema distribuido deberá ser idéntico a un sistema no distribuido. Los
usuarios de un sistema distribuido se comportan en su manipulación de información exactamente como si el sistema
no estuviera distribuido. Todos los problemas de los sistemas distribuidos son de tipo interno o a nivel de realización,
no pueden existir problemas de tipo externo o a nivel del usuario final.
 Los datos que se encuentran distribuidos en varios sitios y que están interconectados por una red de comunicaciones
tienen capacidad de procesamiento autónomo de transacciones y hacer procesos locales. Cada sitio realiza la
ejecución de al menos una transacción global, la cual requiere accesos a datos en diversos sitios.
 Los principios fundamentales de un sistema de datos distribuido son:
 1. Autonomía local.
 2. No dependencia de un sitio central.
 3. Operación continúa.
 4. Independencia con respecto a la localización.
 5. Independencia con respecto a la fragmentación.
 6. Independencia de réplica.
 7. Procesamiento distribuido de consultas.
 8. Manejo distribuido de transacciones.
 9. Independencia con respecto al equipo.
 10. Independencia con respecto al sistema operativo.
 11. Independencia con respecto a la red.
 12. Independencia con respecto al SGBD.
 Estos doce postulados no son todas independientes entre sí, ni tienen todos la
misma importancia que cada usuario le otorgue. Sin embargo, sí son útiles como
fundamento para entender la tecnología distribuida y como marco de referencia
para caracterizar la funcionalidad de sistemas distribuidos específicos.
 1. Autonomía local: Los sitios o posiciones de un sistema distribuido deben ser autónomos. La autonomía local significa
que todas las operaciones en un sitio determinado se controlan en ese sitio; ningún sitio A deberá depender de algún
otro sitio B para su buen funcionamiento (pues de otra manera el sitio A podría ser incapaz de trabajar, aunque no tenga
en sí problema alguno, si cae el sitio B). La autonomía local significa que existe un propietario y un administrador local
de los datos, con responsabilidad local: todos los datos pertenecen a una base de datos local, aunque los datos sean
accesibles desde algún sitio distante. Todo el manejo de la seguridad y la integridad de los datos se efectúan con control
de la instalación y administración local.
 2. No dependencia de un sitio central: La no dependencia de un sitio central, sería lo ideal pero si esto no se logra la
autonomía local completa se vería comprometida. La dependencia de un sitio central no es práctica al menos por las
siguientes razones: en primer lugar, estos sitios podrían generar un cuello de botella, y en segundo lugar, el sistema
sería vulnerable; si el sitio central sufriera un desperfecto, todo el sistema dejaría de funcionar.
 3. Operación continúa: En un sistema distribuido, lo mismo que en uno no distribuido, nunca debería haber necesidad de
apagar o dejar de funcionar. Es decir, el sistema nunca debería necesitar apagarse para que se pueda realizar alguna
operación, como añadirse un nuevo sitio o instalar una versión mejorada del SGBD en un sitio ya existente.
 4. Independencia con respecto a la localización: La independencia con respecto a la localización, permite que los
usuarios finales no sepan donde están almacenados físicamente los datos, sino que trabajen como si todos los datos
estuvieran almacenados en su propio sitio local. La independencia con respecto a la localización es deseable porque
simplifica los sistemas de información de los usuarios y sus actividades en la terminal. Esto hace posible la migración de
datos de un sitio a otro sin anular la validez de ninguno de esos sistemas o actividades. Esta función de migración
permite modificar la distribución de los datos dentro de la red, en respuesta a cambios en los requerimientos de
desempeño.
 5. Independencia con respecto a la fragmentación: Un sistema tiene fragmentación de datos solo si es posible dividir una
relación en partes o "fragmentos" para propósitos de almacenamiento físico. La fragmentación es deseable por razones
de desempeño: los datos pueden almacenarse en la localidad donde se utilizan con mayor frecuencia, de manera que la
mayor parte de las operaciones sean solo locales y se reduzca el tráfico en la red de cómputo. Existen en esencia dos
clases de fragmentación, la fragmentación horizontal y la fragmentación vertical; estos tipos de fragmentación son
correspondientes a las operaciones relacionales de restricción y proyección, respectivamente. Un fragmento puede ser
cualquier sub relación que pueda derivarse de la relación original mediante operaciones de restricción y proyección; la
reconstrucción de la relación originada a partir de los fragmentos se hace mediante operaciones de reunión y unión
(reunión en el caso de fragmentación vertical, y la unión en casos de fragmentación horizontal).
 6. Independencia de réplica: Un sistema maneja réplica de datos si una relación dada se puede representar en el nivel físico mediante varias copias
réplicas, en muchos sitios distintos. La réplica es deseable al menos por dos razones: en primer lugar, puede producir un mejor desempeño (las
aplicaciones pueden operar sobre copias locales en vez de tener que comunicarse con sitios remotos); en segundo lugar, también puede significar
una mejor disponibilidad (un objeto estará disponible para su procesamiento en tanto esté disponible por lo menos una copia, al menos para
propósitos de recuperación). La desventaja principal de las réplicas es cuando se pone al día un cierto objeto copiado, deben ponerse al día todas
las réplicas de ese objeto. La réplica debe ser "transparente para el usuario final", un sistema que maneja la réplica de los datos deberá ofrecer
también una independencia de réplica (conocida también como transparencia de réplica); es decir, los usuarios deberán comportarse como si sólo
existiera una copia de los datos.
 7. Procesamiento distribuido de consultas: Este manejo de datos en las consultas permite las consultas eficientes desde diferentes usuarios con las
características que determine el sistema; la consulta de datos es más importante en un sistema distribuido que en uno centralizado. Lo esencial es
que, en una consulta donde están implicados varios sitios, habrá muchas maneras de trasladar los datos en la red de cómputo para satisfacer la
solicitud, y es crucial encontrar una estrategia suficiente. Por ejemplo, una solicitud de unión de una relación Rx almacenada en el sitio X y una
relación Ry almacenada en el sitio Y podría llevarse a cabo trasladando Rx a Y o trasladando Ry a X, o trasladando las dos a un tercer sitio Z.
 8. Manejo distribuido de transacciones: Este manejo tiene dos aspectos principales, el control de recuperación y el control de concurrencia, cada
uno de los cuales requiere un tratamiento más amplio en el ambiente distribuido. En un sistema distribuido, una sola transacción puede implicar la
ejecución de programas o procesos en varios sitios (en particular puede implicar actualizaciones en varios sitios). Por esto, cada transacción está
compuesta de varios agentes, donde un agente es el proceso ejecutado en nombre de una transacción dada en determinado sitio. Y el sistema
necesita saber cuándo dos agentes son parte de la misma transacción. Es importante aclarar que no puede haber un bloqueo mutuo entre dos
agentes que sean parte de la misma transacción.
 9. Independencia con respecto al equipo: Las instalaciones de cómputo en el mundo real por lo regular incluyen varias máquinas de diferentes
marcas comerciales como IBM, DELL, HP, SUN, entre otras; por esta razón existe una verdadera necesidad de poder integrar los datos en todos esos
sistemas y presentar al usuario "una sola imagen del sistema". Por tanto conviene ejecutar el mismo SGBD en diferentes equipos, y además lograr
que esos diferentes equipos se integren en un sistema distribuido.
 10. Independencia con respecto al sistema operativo: Es necesario y conveniente no sólo de poder ejecutar el mismo SGBD en diferentes equipos,
sino también poder ejecutarlo en diferentes sistemas operativos y lograr que una versión LINUX y una WINDOWS participen todas en el mismo
sistema distribuido.
 11. Independencia con respecto a la red: Si el sistema puede manejar múltiples sitios, con equipos distintos y diferentes sistemas operativos,
resulta obvia la conveniencia de manejar también varios tipos de redes de comunicación distintas.
 12. Independencia con respecto al SGBD: En la independencia con respecto a su manejo, se requiere que los SGBD en los diferentes sitios manejen
todos la misma interfaz; no necesitan ser por fuerza copias del mismo sistema.
 En informática, NoSQL (a veces llamado "no sólo SQL") es una amplia clase de sistemas de gestión
de bases de datos que difieren del modelo clásico de SGBDR (Sistema de Gestión de Relacionales
en aspectos importantes, siendo el más destacado que no usan SQL como lenguaje principal de
consultas. Los datos almacenados no requieren estructuras fijas como tablas, normalmente no
soportan operaciones JOIN, ni garantizan completamente ACID(atomicidad, consistencia,
aislamiento y durabilidad), y habitualmente escalan bien horizontalmente Los sistemas NoSQL se
denominan a veces "no sólo SQL" para subrayar el hecho de que también pueden soportar
lenguajes de consulta de tipo SQL.
 Por lo general, los investigadores académicos se refieren a este tipo de bases de datos
como almacenamiento estructurado, término que abarca también las bases de datos relacionales
clásicas. A menudo, las bases de datos NoSQL se clasifican según su forma de almacenar los datos,
y comprenden categorías como clave-valor, las implementaciones de BigTablE, bases de datos
documentales, y bases de datos orientadas a grafos.
 Los sistemas de bases de datos NoSQL crecieron con las principales redes sociales, como Google,
Amazon, Twitter y Facebook. Estas tenían que enfrentarse a desafíos con el tratamiento de datos
que las tradicionales SGBDR no solucionaban . Con el crecimiento de la web en tiempo real existía
una necesidad de proporcionar información procesada a partir de grandes volúmenes de datos que
tenían unas estructuras horizontales más o menos similares. Estas compañías se dieron cuenta de
que el rendimiento y sus propiedades de tiempo real eran más importantes que la coherencia, en
la que las bases de datos relacionales tradicionales dedicaban una gran cantidad de tiempo de
proceso.
 En ese sentido, a menudo, las bases de datos NoSQL están altamente optimizadas para las
operaciones recuperar y agregar, y normalmente no ofrecen mucho más que la funcionalidad de
almacenar los registros (p.ej. almacenamiento clave-valor). La pérdida de flexibilidad en tiempo
de ejecución, comparado con los sistemas SQL clásicos, se ve compensada por ganancias
significativas en escalabilidad y rendimiento cuando se trata con ciertos modelos de datos.
 MongoDB (de la palabra en inglés “humongous” que significa
enorme) es un sistema de base de datos NoSQL orientado a
documentos, desarrollado bajo el concepto de código abierto.
 MongoDB forma parte de la nueva familia de sistemas de base de
datos NoSQL. En lugar de guardar los datos en tablas como se
hace en las base de datos relacionales, MongoDB guarda
estructuras de datos en documentos similares a JSON con un
esquema dinámico (MongoDB utiliza una especificación
llamada BSON), haciendo que la integración de los datos en
ciertas aplicaciones sea más fácil y rápida.
 El desarrollo de MongoDB empezó en octubre de 2007 por la
compañía de software 10gen.1 Ahora MongoDB es una base de
datos lista para su uso en producción y con muchas
características (features). Esta base de datos se utiliza mucho en
la industria,2 contando con implantaciones en empresas como
MTV Network,3 Craiglist4, BCI o Foursquare.5
 El código binario está disponible para los sistemas
operativos Windows, Linux, OS X y Solaris.
 Bases de datos documentales. En este último grupo,
cada registro se corresponde con un documento, sea
éste de cualquier tipo: una publicación impresa, un
documento audiovisual, gráfico o sonoro, un
documento de archivo, un documento electrónico,...
Una base de datos se crea y mantiene de forma
continuada con el objetivo de resolver necesidades
de información concretas de un colectivo, una
empresa o el conjunto de la sociedad.
 Estos recursos electrónicos pueden ser consultables
directamente en formato electrónico o ser utilizados
para elaborar productos impresos: bibliografías,
directorios, informes. Los registros de las bases de
datos documentales pueden incluir o no el contenido
completo de los documentos que describen.
 En una base de datos orientada a objetos, la información se representa mediante
objetos como los presentes en la programación orientada a objetos. Cuando se
integra las características de una base de datos con las de un lenguaje de
programación orientado a objetos, el resultado es un sistema gestor de base de
datos orientada a objetos (ODBMS, object database management system). Un ODBMS
hace que los objetos de la base de datos aparezcan como objetos de un lenguaje de
programación en uno o más lenguajes de programación a los que dé soporte. Un
ODBMS extiende los lenguajes con datos persistentes de forma transparente, control
de concurrencia, recuperación de datos, consultas asociativas y otras capacidades.
 Las bases de datos orientadas a objetos se diseñan para trabajar bien en conjunción
con lenguajes de programación orientados a objetos como Java, C#, Visual
Basic.NET y C++. Los ODBMS usan exactamente el mismo modelo que estos lenguajes
de programación.
 Los ODBMS son una buena elección para aquellos sistemas que necesitan un buen
rendimiento en la manipulación de tipos de dato complejos.
 Los ODBMS proporcionan los costes de desarrollo más bajos y el mejor rendimiento
cuando se usan objetos gracias a que almacenan objetos en disco y tienen una
integración transparente con el programa escrito en un lenguaje de programación
orientado a objetos, al almacenar exactamente el modelo de objeto usado a nivel
aplicativo, lo que reduce los costes de desarrollo y mantenimiento.
 los orígenes del término orientados a objetos (abreviado OO) se remontan a los lenguajes de programación orientadas
a objetos. Los lenguajes de programación OO tienen sus raíces en el lenguaje SIMULA 67, propuesto a finales de la
década de 1960. En Simula, el concepto de clase agrupa la estructura de datos interna de un objeto en una
declaración de clase, es decir, introduce en el lenguaje ALGOL los conceptos de objeto y de clase. Como Algol,
Simula es un lenguaje fuertemente tipado para entornos compilados. Sin embargo, el primer lenguaje que popularizó
la aproximación a objetos fue Smalltalk (1976); este puede considerarse una síntesis de años del lenguaje Lisp, que
ofrece una gran flexibilidad gracias a la interpretación, y de Simula, añadiendo el concepto de metaclase. Smalltalk
ha podido responder a las necesidades de flexibilidad presentadas por el desarrollo de entornos de programación
gráficos, favoreciendo la rápida creación de prototipos de interfaces de usuarios amigables. Fue utilizado con éxito
en la primera estación gráfica de Xerox.
 Con la llegada de las estaciones de trabajo en los años 80, han crecido numerosos lenguajes orientados a objetos
inspirados en Simula o Smalltalk. Entre los lenguajes compilados, los más célebres son C++, Objective C y Eiffel,
debido a la compatibilidad del lenguaje o del código producido con el lenguaje de programación C. La mayor parte de
los lenguajes interpretados son extensiones del Lisp; por ejemplo, Loops y CLOS. Es interesante notar que la mayor
parte de los lenguajes populares existentes se encuentran en curso de ampliación para convertirse en orientados a
objetos, incluyendo al COBOL y Ada (más exactamente Ada 9X, que aporta la herencia).
 En años recientes, han aparecido muchos prototipos experimentales y sistemas de bases de datos comerciales
orientados a objetos. Entre los primeros se encuentran los sistemas ORION, OpenOODB, IRIS, ODE y el proyecto
ENCORE/ObServer. Y entre los sistemas disponibles en el mercado están: GEMSTONE/OPAL de ServicLogic, ONTOS de
Ontologic, Objectivity de Objectivity Inc., Versant de Versant Technologies, ObjecStore de Object Design y O2 de O2
Technology. Esta es solo una lista parcial de los prototipos experimentales y de los sistemas de bases de datos
comerciales orientados a objetos. Desafortunadamente, es aún demasiado pronto para saber cuáles sistemas se
instalarán como líderes en este campo.
 Las bases de datos orientadas a objetos han adoptado muchos de los objetos creados para los lenguajes de
programación orientados a objetos.
 Un sistema de bases de datos que tenga la capacidad de definir reglas con las cuales deducir o
inferir información adicional a partir de los hechos almacenados en las bases de datos se llama
Sistema de Bases de Datos Deductivas. Puesto que parte de los fundamentos teóricos de algunos
sistemas de ésta especie es la lógica matemática, a menudo se les denomina Bases de Datos
Lógicas. Una base de datos deductiva es, en esencia, un programa lógico; mapeo de relaciones
base hacia hechos, y reglas que son usadas para definir nuevas relaciones en términos de las
relaciones base y el procesamiento de consultas.
 Los sistemas Bases de Datos Deductivas intentan modificar el hecho de que los datos requeridos
residan en la memoria principal (por lo que la gestión de almacenamiento secundario no viene al
caso) de modo que un SGBD se amplíe para manejar datos que residen en almacenamiento
secundario.
 En un sistema de Bases de Datos Deductivas por lo regular se usa un lenguaje declarativo para
especificar reglas. Con lenguaje declarativo se quiere decir un lenguaje que define lo que un
programa desea lograr, en vez de especificar los detalles de cómo lograrlo. Una máquina de
inferencia (o mecanismo de deducción) dentro del sistema puede deducir hechos nuevos a partir
de la base de datos interpretando dichas reglas. El modelo empleado en las Bases de Datos
Deductivas está íntimamente relacionado con el modelo de datos relacional, y sobre todo con el
formalismo del cálculo relacional. También esta relacionado con el campo de la programación
lógica y el lenguaje Prolog. Los trabajos sobre Bases de Datos Deductivas basados en lógica han
utilizado Prolog como punto de partida. Con un subconjunto de Prolog llamado Datalog se definen
reglas declarativamente junto con un conjunto de relaciones existentes que se tratan como
literales en el lenguaje. Aunque la estructura gramatical se parece a la de Prolog, su semántica
operativa (esto es, la forma como debe ejecutarse un programa en Datalog) queda abierta.
 Son bases de datos ideadas para desarrollar aplicaciones muy
concretas, como creación deCubos OLAP. Básicamente no se
diferencian demasiado de las bases de datos relacionales(una
tabla en una base de datos relacional podría serlo también en
una base de datosmultidimensional), la diferencia está más bien
a nivel conceptual; en las bases de datosmultidimensionales los
campos o atributos de una tabla pueden ser de dos tipos, o
bienrepresentan dimensiones de la tabla, o bien representan
métricas que se desean estudiar.
 Base de datosmultidimensional Las bases de datos
multidimensionales se utilizan principalmente para crear
aplicaciones OLAP y pueden verse como bases de datos de una
sola tabla, su peculiaridad es que por cada dimensión tienen un
campo (o columna), y otro campo por cada métrica o hecho, es
decir estas tablas almacenan registros cuyos campos son de la
forma: (d1,d2,d3,...,f1,f2,f3,...) Donde los campos 'di' hacen
referencia a las dimensiones de la tabla, y los campos 'fi' a las
métricas o hechos que se quiere almacenar, estudiar o analizar.
 Es básicamente un conjunto de tablas,
similares a las tablas de una hoja de cálculo,
formadas por filas (registros) y columnas
(campos). Los registros representan cada uno
de los objetos descritos en la tabla y los
campos los atributos (variables de cualquier
tipo) de los objetos. En el modelo relacional
de base de datos, las tablas comparten algún
campo entre ellas. Estos campos compartidos
van a servir para establecer relaciones entre
las tablas que permitan consultas complejas
 Son bases de datos cuyo único fin es el envío y recepción de datos a
grandes velocidades, estas bases son muy poco comunes y están dirigidas
por lo general al entorno de análisis de calidad, datos de producción e
industrial, es importante entender que su fin único es recolectar y
recuperar los datos a la mayor velocidad posible, por lo tanto la
redundancia y duplicación de información no es un problema como con
las demás bases de datos, por lo general para poderlas aprovechar al
máximo permiten algún tipo de conectividad a bases de datos
relacionales.
 Un ejemplo habitual de transacción es el traspaso de una cantidad de
dinero entre cuentas bancarias. Normalmente se realiza mediante dos
operaciones distintas, una en la que se decrementa el saldo de la cuenta
origen y otra en la que incrementamos el saldo de la cuenta destino. Para
garantizar la atomicidad del sistema (es decir, para que no aparezca o
desaparezca dinero), las dos operaciones deben ser atómicas, es decir, el
sistema debe garantizar que, bajo cualquier circunstancia (incluso una
caída del sistema), el resultado final es que, o bien se han realizado las
dos operaciones, o bien no se ha realizado ninguna.
 Una base de datos de red es una base de datos conformada por
una colección o set de registros, los cuales están conectados
entre sí por medio de enlaces en una red. El registro es similar al
de una entidad como las empleadas en el modelo relacional.
 Un registro es una colección o conjunto de campos (atributos),
donde cada uno de ellos contiene solamente un único valor
almacenado.
 El enlace es exclusivamente la asociación entre dos registros, así
que podemos verla como una relación estrictamente binaria.
 Una estructura de base de datos de red, llamada algunas veces
estructura de plex, abarca más que la estructura de árbol: un
nodo hijo en la estructura red puede tener más de un nodo
padre. En otras palabras, la restricción de que en un árbol
jerárquico cada hijo puede tener sólo un padre, se hace menos
severa.
 base de datos de red, llamada algunas veces
estructura de plex, abarca más que la
estructura de árbol: un nodo hijo en la
estructura red puede tener más de un nodo
padre. En otras palabras, la restricción de
que en un árbol jerárquico cada hijo puede
tener sólo un padre, se hace menos severa.
 Así, la estructura de árbol se puede
considerar como un caso especial de la
estructura de red.
 La abstracción de datos y la separación de
componentes lógicos y conceptuales son
propiedades importantes en las Bases de
Datos permitiendo la representación de la
realidad a modo de espejo.
 Cuidadosamente se ha establecido esta
practica adquiriendo los conocimientos
necesarios para realizar de nuevo esta
practica sin fallos de errores.
 Al finalizar esta practica hemos aprendido
con éxito la complejidad de esta tecnología
que tiene muchos parámetros que son tan
importante para la comunicación.
 Por lo general estos temas son fáciles de
aprender, y también adquirir conocimientos
que varían en la comunicación controlando e
impulsando el deseo de aprender lo que
mañana será inútil.
Libro Base de Datos

Libro Base de Datos

  • 2.
     Jennifer López,no.18  Curso 4to A, Informática  Instructor, Sandy Cabrera Base de datos Santo Domingo 14/12/2017
  • 3.
     En estetrabajo le voy a presentar todo relacionado sobre base de datos, historia, evolución, tipos y modelos.  Espero su debida comprensión ya que el trabajo fue elaborado con mucha dedicación.
  • 4.
    1. ¿Que esuna base de datos? 2. Historia de base de datos 3. Tipos de bases de datos 4. ¿Que es el Access? 5. Historia de Access 6. ¿Que es un formulario y componente de base de datos? 7. ¿Que es una tabla? 8. ¿Qué son los registros? 9. ¿Qué son los campos? 10. Tipo de tabla My SQL 11. ¿Que es el modelo entidad relación? 12. ¿Qué es el modelo relacional? 13. ¿Qué son las consultas? 14. ¿Qué es la indexación? 15. ¿Qué son las bases de datos distribuidas? 16. ¿Qué son las bases de datos SQL? 17. Historia de My SQL 18. Evolución de My SQL
  • 5.
    Una base dedatos o banco de datos es un conjunto de datos pertenecientes a un mismo contexto y almacenados sistemáticamente para su posterior uso. En este sentido; una biblioteca puede considerarse una base de datos compuesta en su mayoría por documentos y textos impresos en papel e indexados para su consulta. Actualmente, y debido al desarrollo tecnológico de campos como la informática y la electrónica, la mayoría de las bases de datos están en formato digital, siendo este un componente electrónico, por tanto se ha desarrollado y se ofrece un amplio rango de soluciones al problema del almacenamiento de datos. Existen programas denominados sistemas gestores de bases de datos, abreviado SGBD (del inglés database management system o DBMS), que permiten almacenar y posteriormente acceder a los datos de forma rápida y estructurada. Las propiedades de estos DBMS, así como su utilización y administración, se estudian dentro del ámbito de la informática. Las aplicaciones más usuales son para la gestión de empresas e
  • 6.
     El términobases de datos fue escuchado por primera vez en un simposio celebrado en California en 1963.  En una primera aproximación, se puede decir que una base de datos es un conjunto de información relacionada que se encuentra agrupada o estructurada.  Desde el punto de vista informático, una base de datos es un sistema formado por un conjunto de datos almacenados en discos que permiten el acceso directo a ellos y un conjunto de programas que manipulen ese conjunto de datos.  Por su parte, un sistema de Gestión de Bases de datos es un tipo de software muy especifico dedicado a servir de interfaz entre la base de datos, el usuario y las aplicaciones que la utilizan; o lo que es lo mismo, una agrupación de programas que sirven para definir, construir y manipular una base de datos, permitiendo así almacenar y posteriormente acceder a los datos de forma rápida y estructurada.  Actualmente, las bases de datos están teniendo un impacto decisivo sobre el creciente uso de las computadoras.  Pero para poder entender más profundamente una base de datos cabe entender su historia.
  • 7.
     Los orígenesde las bases de datos se remontan a la Antigüedad donde ya existían bibliotecas y toda clase de registros. Además también se utilizaban para recoger información sobre las cosechas y censos. Sin embargo, su búsqueda era lenta y poco eficaz y no se contaba con la ayuda de máquinas que pudiesen reemplazar el trabajo manual.  Posteriormente, el uso de las bases de datos se desarrolló a partir de las necesidades de almacenar grandes cantidades de información o datos. Sobre todo, desde la aparición de las primeras computadoras, el concepto de bases de datos ha estado siempre ligado a la informática.  En 1884 Herman Hollerith creó la máquina automática de tarjetas perforadas, siendo nombrado así el primer ingeniero estadístico de la historia. En esta época, los censos se realizaban de forma manual.
  • 10.
    Las bases dedatos jerárquicas: construyen una estructura de jerarquía con los datos que permite una estructuración muy estable cuando gestionamos una gran cantidad de datos muy interrelacionados. Las bases de datos en red: derivan de las jerárquicas pero mejoran la gestión de datos redundantes manteniendo su rendimiento en consultas de datos. Las bases de datos transaccionales : están diseñadas para el envío y recepción de datos a grandes velocidades y de forma continua. Su único fin es la recepción y envío de información pero la gestión de almacenamiento o redundancia están fuera de su propósito. Las bases de datos relacionales: son las más utilizadas en aplicaciones reales. La información se almacena siempre haciendo referencia a otra por lo que se facilita la gestión y su uso por personal no especialista. En este modelo el lugar y la forma donde se guarde la información es secundario. Las bases de datos orientadas a objetos: han surgido como concepto tras la aparición de los sistemas de programación orientada a objetos. Las bases de datos documentales :están especializadas en el almacenamiento de textos completos, por lo que facilitan el tratamiento informatizado de grandes cadenas de caracteres.
  • 11.
     Entre losdiferentes tipos de base de datos, podemos encontrar los siguientes:  MySQL: es una base de datos con licencia GPL basada en un servidor. Se caracteriza por su rapidez. No es recomendable usar para grandes volúmenes de datos.  PostgreSql y Oracle: Son sistemas de base de datos poderosos. Administra muy bien grandes cantidades de datos, y suelen ser utilizadas en intranets y sistemas de gran calibre.  Access: Es una base de datos desarrollada por Microsoft. Esta base de datos, debe ser creada bajo el programa access, el cual crea un archivo .mdb con la estructura ya explicada.  Microsoft SQL Server: es una base de datos más potente que Access desarrollada por Microsoft. Se utiliza para manejar grandes volúmenes de informaciones.
  • 13.
    Las bases dedatos se han constituido como una de las herramientas más ampliamente difundidas en la actual sociedad de la información, utilizadas como fuentes secundarias en cuanto recuperación y almacenamiento de información en todos los campos ha nivel científico, social, económico, político y cultural. A partir de este trabajo queremos llegar a presentar una panorámica histórica de las bases de datos sistematizadas y su evolución a través de las décadas, las cuales han sido utilizadas especialmente como fuentes de consulta y de producción de conocimiento por investigadores, científicos y académicos de todas las áreas, que han encontrado en estas, una herramienta importante para el desarrollo del conocimiento. De esta manera la Ciencia de la Información, ha desarrollado una producción científica importante a nivel mundial, la cual ha utilizado las bases de datos, como repositorio de almacenamiento y difusión de información. Por lo anterior haremos un énfasis en mostrar una vista histórica de las bases de datos y los principales distribuidores en nuestra área del saber, de tal manera que sirva como referente de consulta de estudiantes, profesores e interesados en el tema, que conozcan en contexto y el desarrollo de estás fuentes, para concienciar acerca de las herramientas que se encuentran disponibles para el uso y aportes que podemos hacer en nuestra área del saber.
  • 15.
     Década de1960  El uso de los discos en ese momento fue un adelanto muy efectivo, ya que por medio de este soporte se podía consultar la información directamente, esto ayudo a ahorrar tiempo. No era necesario saber exactamente donde estaban los datos en los discos, ya que en milisegundos era recuperable la información. A diferencia de las cintas magnéticas, ya no era necesaria la secuencialidad, y este tipo de soporte empieza a ser ambiguo.  Los discos dieron inicio a las Bases de Datos, de red y jerárquicas, pues los programadores con su habilidad de manipulación de estructuras junto con las ventajas de los discos era posible guardar estructuras de datos como listas y árboles.
  • 16.
     década de1970  Edgar Frank Codd (23 de agosto de 1923 – 18 de abril de 2003), en un artículo "Un modelo relacional de datos para grandes bancos de datos compartidos" ("A Relacional Modelo of Data foro Large Shared Data Banks") en 1970, definió el modelo relacional y publicó una serie de reglas para la evaluación de administradores de sistemas de datos relacionales y así nacieron las bases de datos relacionales.  A partir de los aportes de Codd el multimillonario Larry Ellison desarrollo la base de datos Oracle, el cual es un sistema de administración de base de datos, que se destaca por sus transacciones, estabilidad, escalabilidad y multiplataforma.  Inicialmente no se uso el modelo relacional debido a que tenía inconvenientes por el rendimiento, ya que no podían ser competitivas con las bases de datos jerárquicas y de red. Ésta tendencia cambio por un proyecto de IBM el cual desarrolló técnicas para la construcción de un sistema de bases de datos relacionales eficientes, llamado System R.
  • 17.
     Década de1980  Las bases de datos relacionales con su sistema de tablas, filas y columnas, pudieron competir con las bases de datos jerárquicas y de red, ya que su nivel de programación era bajo y su uso muy sencillo.  En esta década el modelo relacional ha conseguido posicionarse del mercado de las bases de datos. Y también en este tiempo se iniciaron grandes investigaciones paralelas y distribuidas, como las bases de datos orientadas a objetos.  Principios década de los 90  Para la toma de decisiones se crea el lenguaje SQL, que es un lenguaje programado para consultas. El programa de alto nivel SQL es un lenguaje de consulta estructurado que analiza grandes cantidades de información el cual permite especificar diversos tipos de operaciones frente a la misma información, a diferencia de las bases de datos de los 80 que eran diseñadas para las aplicaciones de procesamiento de transacciones. Los grandes distribuidores de bases de datos incursionaron con la venta de bases de datos orientada a objetos.
  • 18.
     Finales dela década de los 90  El boom de esta década fue la aparición de la WWW “Word Wide Web” ya que por éste medio se facilitaba la consulta de las bases de datos. Actualmente tienen una amplia capacidad de almacenamiento de información, también una de las ventajas es el servicio de siete días a la semana las veinticuatro horas del día, sin interrupciones a menos que haya planificaciones de mantenimiento de las plataformas o el software.  Siglo XXI  En la actualidad existe gran cantidad de alternativas en línea que permiten hacer búsquedas orientadas a necesidades especificas de los usuarios, una de las tendencias más amplias son las bases de datos que cumplan con el protocolo Open Archives Initiative – Protocol for Metadata Harvesting (OAI-PMH) los cuales permiten el almacenamiento de gran cantidad de artículos que permiten una mayor visibilidad y acceso en el ámbito científico y general.  Cuatro generaciones han manejado datos de computación: Sistema de Administración de Archivos, Sistemas de administración de Bases de Datos Jerárquicos, Sistemas de Administración de Bases de Datos por Relación, Sistemas de Administración Orientada a Objetos de Bases de Datos. Al principio los lenguajes y las instrucciones de ´máquina eren similares, lo que producía un modelo de programación orientada a procesos. En un principio los programas ejecutaban las tareas y nunca las escribían en un dispositivo de almacenamiento. Sin embargo, los programadores se dieron cuenta del valor de registrar los resultados. La grabación aumentó con la aparición del almacenamiento en discos magnéticos rotatorios.
  • 19.
     Sistemas deArchivos  Con el tiempo la mayoría de los programas utilizaron este nuevo tipo de almacenamiento en disco. Pero los datos en el medio rotatorio eran difíciles de organizar y administrar. Entonces se crearon paquetes de programas para facilitar el manejo en disco, así nacieron los sistemas de administración de archivos.  Aunque estos primeros sistemas de archivos ayudaban al programador, los métodos para el acceso a datos todavía eran primitivos. El acceso aleatorio requería que la aplicación conociese la colocación física de los datos en el disco. El cálculo de esta única dirección requería algoritmos de dispersión (hashing). El desarrollo de un algoritmo de dispersión con una buena distribución uniforme resultó ser un recurso muy importante, en particular, si las diferentes unidades de disco necesitaban varios algoritmos. Esto impulsó la creación de la primera ayuda principal independientemente de la implantación: el archivo indexado. En lugar de solicitarle a una aplicación que proporcionara la localización exacta de una parte de los datos registrados, sólo se requería una clave simbólica. De este modo el sistema de archivos mejorado por la indexación era necesario para calcular y asignar la localización física de los datos. Entre los sistemas más utilizados estaban el ISAM (Siglas en inglés: método de acceso secuencial indexado) y el VSAM (Siglas en inglés: método de acceso secuencial virtual) que se ejecutaban en las primeras microcomputadoras (mainframe) de IBM.
  • 20.
    Tablas Dentro de unabase de datos, la información se almacena y se organiza en tablas; la figura 1.1 muestra un ejemplo. En cada tabla encontraremos una serie de filas y columnas. A las filas de una tabla de una base de datos se les llama registros y a las columnas, campos. Todos los datos que aparecen en un mismo registro se refieren a un mismo individuo y todos los datos que aparecen en un campo se refieren a un mismo tipo de información sobre el individuo. A la intersección de un registro con un campo se le llama dato. Sobre todos estos conceptos seguiremos trabajando pero es importante que empieces a familiarizarte con ellos. Registro En informática, o concretamente en el contexto de una base de datos relacional, un registro (también llamado fila o tupla) representa un objeto único de datos implícitamente estructurados en una tabla. En términos simples, una tabla de una base de datos puede imaginarse formada de filas y columnas o campos. Cada fila de una tabla representa un conjunto de datos relacionados, y todas las filas de la misma tabla tienen la misma estructura. Un registro es un conjunto de campos que contienen los datos que pertenecen a una misma repetición de entidad. Se le asigna automáticamente un número consecutivo (número de registro) que en ocasiones es usado como índice aunque lo normal y práctico es asignarle a cada registro un campo clave para su búsqueda. s cada una de las columnas que forman la tabla. Contienen datos de tipo diferente a los de otros campos. En el ejemplo anterior, un campo contendrá un tipo de datos único, como una dirección, o un número de teléfono, un nombre, etc. Canpos A los campos se les puede asignar, además, propiedades especiales que afectan a los registros insertados. El campo puede ser definido como índice o autoincrementable, lo cual permite que los datos de ese campo cambien solos o sean el principal a la hora de ordenar los datos contenidos.
  • 21.
     Los formulariosnos ayudarán principalmente en tareas de introducción de información. Cuando se trata de incluir pocos datos podemos hacerlo directamente sobre las tablas pero cuando el volumen es importante, este método se vuelve poco eficaz. Para resolver este problema tenemos los formularios donde la inclusión de datos se hace de forma mucho más intuitiva y sencilla. En la figura 1.3 podemos ver un ejemplo de formulario. Además, y al igual que ocurre con las consultas, los formularios también permiten trabajar simultáneamente sobre varias de las tablas de una base de datos.
  • 22.
     Para ver,escribir y cambiar datos de manera sencilla directamente en una tabla, cree un formulario. Al abrir un formulario, Microsoft Access recupera los datos de una o más tablas, y los muestra en la pantalla con el diseño elegido en el Asistente para formularios, o con un diseño que haya creado en la vista Diseño (vista Diseño: ventana que muestra el diseño de estos objetos de base de datos: tablas, consultas, formularios, informes, macros y páginas de acceso a datos. En la vista Diseño, puede crear objetos de base de datos nuevos y modificar el diseño de otros existentes.)
  • 24.
     Los informestienen como objetivo proporcionar las herramientas necesarias para obtener una copia impresa de los datos existentes en una base de datos aunque existen otras posibilidades tan interesantes como la generación de archivos en formato PDF. Habitualmente, los informes se suelen construir a partir de los resultados obtenidos de la ejecución de consultas. De esta forma combinamos la posibilidad de seleccionar sólo los datos que deseemos que nos ofrecen las consultas con la ventaja de imprimirlos que aportan los informes.  La figura 1.4 muestra la apariencia típica de un informe creado con OpenOffice Base. Como puedes comprobar su aspecto es muy similar a los archivos de texto creados con Writer. Esta característica permitirá aprovechar nuestros conocimientos con esta herramienta y aplicarlos en el diseño de formularios con Base
  • 25.
     El conceptode informe, como derivado del verbo informar, consiste en un texto o una declaración que describe las cualidades de un hecho y de los eventos que lo rodean. El informe, por lo tanto, es el resultado o la consecuencia de la acción de informar (difundir, anoticiar).
  • 27.
     Las consultastienen como propósito recuperar la información almacenada en las tablas. Con esta breve descripción podríamos pensar… ¿y por qué no la miramos directamente en ellas? Pues bien, la ventaja se encuentra en la posibilidad que ofrecen las consultas de filtrar la información y mostrar sólo aquellos datos que interesen en cada caso. Por ejemplo, imagina que tenemos una enorme base de datos con cientos de recetas de cocina y resulta que hoy nos apetece hacer arroz. En este caso, crearíamos una consulta para obtener sólo aquellas recetas que hablen de arroz. Otra de las características importantes de las consultas es que puedes utilizar más de una tabla para mostrar datos relacionados. Esto es así gracias a que Base es un sistema de bases de datos relacional.  La figura 1.2 muestra el aspecto que tendría una consulta sencilla en OpenOffice Base.
  • 29.
    Indexación (también conocidocomo indexación web u indexación en Internet) se refiere a diversos métodos para incluir en el índice de internet el contenido de un sitio web. Determinados sitios web o intranet pueden utilizar un índice de back-of-the-book, mientras que los motores de búsqueda suelen utilizar palabras clave y metadatos (metaetiquetas) para proporcionar un vocabulario más útil para Internet o la búsqueda en el sitio. Con el aumento en el número de publicaciones periódicas que tienen artículos en línea, la indexación web también está adquiriendo importancia para los sitios web de periódicos o revistas con contenido actualizado . La información de indexación web implica la asignación de palabras clave o frases a páginas web o sitios web dentro de un campo de meta-etiquetas, por lo que los sitios web pueden ser recuperados con un motor de búsqueda que se personaliza para buscar el campo de palabras clave. Para mejorar la indexación de un sitio web específico existen varios métodos conocidos en el entorno de SEO (Search Engine Optimization), utilizando diferentes técnicas para que la posición del sitio web aumente de acuerdo a las palabras que el usuario ingresa para hacer una búsqueda.
  • 32.
     Fue llamadoEB ("Embedded Basic") que se utilizaría en la mayoría de software Microsoft hasta la llegada de VBA. También se buscaba que Omega funcionara como front-end para Microsoft SQL Server. Omega requería una enorme cantidad de recursos de los procesadores 386 disponibles en la época para usos comerciales, retrasando su llegada desde el primer cuatrimestre de 1990 hasta enero de 1991. Más tarde partes del proyecto fueron utilizados para otros proyectos de Microsoft. Cirrus (nombre clave para Access) y Thunder (nombre clave para Visual Basic, en el que se utilizó el motor Embedded Basic). Tras el adelanto de Access, Omega fue demostrado ante varios periodistas en 1992 y Access presentaba funciones que no tenía.  Después de la cancelación de Omega, algunos de sus desarrolladores fueron reasignados al proyecto Cirrus (la mayoría fue a parar al equipo creador de Visual Basic). Su meta era crear un competidor de productos como dBase y Paradox en el entorno Windows. El proyecto pareció condenado con la compra de FoxPro (una app de base de datos completamente diferente a Access) por parte de Microsoft, pero la compañía decidió continuar con el desarrollo de Cirrus. Al principio se asumió que el producto usaría el motor Extensible Storage Engine (Jet Blue) pero al final fue reemplazado por otro motor llamado Microsoft Jet Database Engine (Jet Red). El proyecto usó partes del código escrito para Omega y una versión pre-publicada de Visual Basic. En julio de 1992, llegó la versión final con el nombre de Access que continua hasta el momento unicultural 2017.
  • 33.
     Originalmente, elsoftware funcionó bien con bases de datos relativamente pequeños, pero las pruebas mostraron algunas circunstancias que causaban la corrupción de los datos. Por ejemplo, el tamaño de los archivos de más de 10 MB eran problemáticos (tenga en cuenta que la mayoría de los discos duros eran más pequeños que 500 MB en ese entonces), y el manual de Cómo empezar advierte sobre una serie de circunstancias en las que los controladores de dispositivo obsoletos o configuraciones incorrectas puede causar la pérdida de datos. Con la eliminación gradual de Windows 95, 98 y ME, la mejora de la confiabilidad de la red, y el lanzamiento de Microsoft de 8 Service Pack para el Jet Database Engine, la fiabilidad de las bases de datos de Access se ha mejorado enormemente tanto en tamaño como en número de usuarios.  Con Office 95, Microsoft Access 95 se convirtió en parte de Microsoft Office Professional Suite junto con Microsoft Excel, Word y PowerPoint y la transformación de Access Basic a Visual Basic para Aplicaciones (VBA). Desde entonces, ha habido liberaciones de Microsoft Access con cada versión de Office. Esto incluye el Access 97 (versión 8.0), Access 2000 (versión 9.0), Access 2002 (versión 10.0), Access 2003 (versión 11.0) y Access 2007 (versión 12.0). El formato de base de datos nativa de Access (la base de datos Jet MDB) también ha evolucionado a lo largo de los años. Incluyen los formatos de acceso 1.0, 1.1, 2.0, 95, 97, 2000, y 2002-2007. La más significativa fue la transición de Access 97 a Access 2000, formato que no era compatible antes, y Access 2000 requirió el nuevo formato. Desde Access 2000, todas las nuevas versiones de Access soportan este formato. Se añadieron nuevas características a Access 2002, que pudieron ser usadas por Access 2002, 2003 y 2007.
  • 34.
     Fue fundadapor los MVP en Access Juan Soto y Ben Clothier con el fn de fomentar los grupos de usuarios Access en todo el país. Este mes la reunión de SQL server con Access incluirá la entrevista con Luke Chung de FSM software. Luke es un popular orador popular de conferencias en los Estados unidos, Australia y Europa, y ha publicado muchos artículos en las revistas de la industria Microsoft Developer Network (MSDN). Microsoft lo reconoció como un MVP de Microsoft por su experiencia e influencia en la comunidad.
  • 35.
     Bases dedatos en Access  Una base de datos es una colección de datos organizada de tal manera que se facilite el acceso y la consulta de la información. Por ejemplo, una biblioteca es una base de datos compuesta de material impreso en papel y donde podemos encontrar el libro que necesitamos al consultar el catálogo de la biblioteca.  Debido al desarrollo de los sistemas computacionales la mayoría de las bases de datos se han ido migrando a un formato electrónico ya que se obtienen diversas ventajas como son la rapidez en las búsquedas y consultas de información.  Los programas que nos permiten interactuar con las bases de datos electrónicas son conocidos como sistemas gestores de bases de datos o DBMS por sus siglas en inglés. Microsoft Access es uno de esos sistemas gestores de bases de datos porque nos permite crear una base de datos así como insertar información y realizar actualizaciones a la misma.
  • 36.
    MySQL surgió alrededorde la década del 90, Michael Windenis comenzó a usa mSQL para conectar tablas usando sus propias rutinas de bajo nivel (ISAM). Tras unas primeras pruebas, llegó a la conclusión de que mSQL no era lo bastante flexible ni rápido para lo que necesitaba, por lo que tuvo que desarrollar nuevas funciones. Esto resulto en una interfaz SQL a su base de datos, totalmente compatible a mSQL. El origen del nombre MySQL no se sabe con certeza de donde proviene, por una lado se dice que en sus librerías han llevado el prefijo “my” durante los diez últimos años, por otra parte, la hija de uno de los desarrolladores se llama My. Así que no está claramente definido cual de estas dos causas han dado lugar al nombre de este conocido gestor de bases de datos.
  • 38.
     MySQL fueinicialmente desarrollado por MySQL AB (empresa fundada por David Axmark, Allan Larsson y Michael Widenius). MySQL A.B. fue adquirida por Sun Microsystems en 2008, y ésta a su vez fue comprada por Oracle Corporation en 2010, la cual ya era dueña desde 2005 de Innobase Oy, empresa finlandesa desarrolladora del motor InnoDB para MySQL.  Al contrario de proyectos como Apache, donde el software es desarrollado por una comunidad pública y los derechos de autordel código están en poder del autor individual, MySQL es patrocinado por una empresa privada, que posee el copyright de la mayor parte del código. Esto es lo que posibilita el esquema de doble licenciamiento anteriormente mencionado. La base de datos se distribuye en varias versiones, una Community, distribuida bajo la Licencia pública general de GNU, versión 2, y varias versiones Enterprise, para aquellas empresas que quieran incorporarlo en productos privativos. Las versiones Enterpriseincluyen productos o servicios addicionales tales como herramientas de monitorización y soporte oficial. En 2009 se creó un forkdenominado MariaDB por algunos desarrolladores (incluido algunos desarolladores originales de MySQL) descontentos con el modelo de desarrollo y el hecho de que una misma empresa controle a la vez los productos MySQL y Oracle Database.  Está desarrollado en su mayor parte en ANSI C y C++. Tradicionalmente se considera uno de los cuatro componentes de la pila de desarrollo LAMP y WAMP.  MySQL es usado por muchos sitios web grandes y populares, como Wikipedia, Google (aunque no para búsquedas),Facebook, Twitter, Flickr, y YouTube.
  • 39.
    Evolución La evolución deMySQL se produce con las sugerencias de los usuarios, canalizadas por la empresa MySQL AB, que contrata a programadores de todo el mundo para que, a través de Internet, vayan ampliando y mejorando el producto. Las versiones, como es costumbre en este tipo de software libre, se van colgando en Internet para que los usuarios puedan disponer de ellas. Sin embargo, también como es habitual, hay que distinguir entre versiones deprueba o beta y versiones estables o de producción. Las versiones de prueba  beta están a disposición de los usuarios para ser testadas en busca de posibles  mejoras. Por su parte, las versiones estables o de producción son las que ya están  preparadas para ser utilizadas a pleno rendimiento.  En la actualidad, 4.1. 14 es la última versión estable. Esta versión dispone de  características como gestión de transacciones, integridad referencial (bajo ciertas
  • 41.
     MySQL esun sistema de gestión de bases de datos relacional desarrollado bajo licencia dual GPL/Licencia comercial por Oracle Corporation y está considerada como la base datos open source más popular del mundo, y una de las más populares en general junto a Oracle y Microsoft SQL Server, sobre todo para entornos de desarrollo web.  MySQL fue inicialmente desarrollado por MySQL AB (empresa fundada por David Axmark, Allan Larsson y Michael Widenius). MySQL A.B. fue adquirida por Sun Microsystems en 2008, y ésta a su vez fue comprada por Oracle Corporation en 2010, la cual ya era dueña desde 2005 de Innobase Oy, empresa finlandesa desarrolladora del motor InnoDB para MySQL.  Al contrario de proyectos como Apache, donde el software es desarrollado por una comunidad pública y los derechos de autor del código están en poder del autor individual, MySQL es patrocinado por una empresa privada, que posee el copyright de la mayor parte del código. Esto es lo que posibilita el esquema de doble licenciamiento anteriormente mencionado. La base de datos se distribuye en varias versiones, una Community, distribuida bajo la Licencia pública general de GNU, versión , y varias versiones Enterprise, para aquellas empresas que quieran incorporarlo en productos privativos. Las versiones Enterprise incluyen productos o servicios adicionales tales como herramientas de monitorización y soporte oficial. En 2009 se creó un fork denominado MariaDB por algunos desarrolladores (incluido algunos desarrolladores originales de MySQL) descontentos con el modelo de
  • 43.
     Historia deSQL Server  Windows 10 el mejor SO  Ver mas….  En 1988 Microsoft se unió a Ashton-Tate y Sybase para crear una variante de Sybase SQL Server para IBM OS / 2 (entonces desarrollado conjuntamente con Microsoft), que fue lanzado el año siguiente. Esta fue la primera versión de Microsoft SQL Server, y sirvió como la entrada de Microsoft en el mercado de bases de datos a nivel de empresa, compitiendo contra Oracle, IBM, y más tarde, Sybase. SQL Server 4.2 fue enviado en 1992, incluido con OS / 2 versión 1.3, seguido de la versión 4.21 para Windows NT, lanzado junto con Windows NT 3.1. SQL Server 6.0 fue la primera versión diseñada para NT, y no incluyó ninguna dirección de Sybase.
  • 45.
     Durante muchosaños la empresa Microsoft ha creado grandes aplicaciones de software que han sido, y son, muy populares a nivel mundial. La fama mundial de la empresa de Bill Gates y Paul Allen vino de la mano de un sistema operativo llamado MS-DOS… pero Microsoft desarrolla software muy variado, no solo sistemas operativos.  En el año 1989 Microsoft lanzó la primera versión de un servidor enfocado a la gestión de bases de datos basado en el lenguaje SQL ¿Qué es exactamente un gestor de bases de datos? Es un software para gestionar datos basados en un modelo relacional.  Originalmente aquel producto fue basado en una versión adquirida a Sybase, que en versiones sucesivas fue mejorada. Para ser justos con la historia de los inicios del producto también hay que afirmar que fue más compleja de lo que aquí se habla, porque también participaron en su nacimiento una sociedad colaborativa que incluyó a Ashton-Tate e IBM.  Posiblemente el punto de inflexión, donde rápidamente emerge el Microsoft SQL Server como uno de los productos estrella de bases de datos a nivel mundial, se dio con la versión lanzada en el año 2000. En el año 2005 Microsoft lanza el SQL Server 2005 que fue completamente reescrito de nuevo y adaptado a las nuevas tecnologías existentes en ese momento.  En la actualidad el SQL Server es un software servidor presente en muchas empresas, pero también muy utilizado en asuntos domésticos y en aplicaciones personales gracias a la creación por parte del equipo de Microsoft de la línea «Express» que permite la libre descarga y el uso gratuito, pero con algunas limitaciones en capacidades sobre las versiones de pago.  El software SQL Server únicamente opera bajo el sistema operativo Windows, aunque las primeras versiones fueron desarrolladas para el antiguo «OS/2», y otra versión fue desarrollada para Windows NT. Incorpora una gran potencia, e incluye muchas herramientas de apoyo como el «SQL Server Management» que permite gestionar de forma sencilla e intuitiva las bases de datos gestionadas por nuestro servidor, o la herramienta «SQL Server Profiler» que permite gestionar las trazas de ejecución en el servidor para la depuración de errores, por ejemplo. Incorpora otras muchas herramientas de gran utilidad.  Si la versión del año 2000 situó al software SQL Server entre los grandes gestores a nivel mundial, la versión del año 2005 rompió moldes logrando colocar en la cima de los gestores de bases de datos al software protagonista de este artículo. Hoy en día la experiencia en la gestión y administración de las bases de datos SQL Server es vital para una gran mayoría de los profesionales de informática, y su popularidad y calidad logra que muchos Centros de Procesos de Datos basen su gestión de datos en este producto de Micros
  • 46.
     SQL Serveres un sistema de gestión de bases de datos relacionales (RDBMS) de Microsoft que está diseñado para el entorno empresarial. SQL Server se ejecuta en T-SQL (Transact -SQL), un conjunto de extensiones de programación de Sybase y Microsoft que añaden varias características a SQL estándar, incluyendo control de transacciones, excepción y manejo de errores, procesamiento fila, así como variables
  • 47.
     un Modeloentidad relación es un modelo de datos que consiste en un conjunto de objetos básicos llamados Entidades y sus respectivas relaciones entre sí, sirve para diseñar el esquema de la base de datos antes de desarrollarla.  Para construir un modelo entidad relación debemos identificar las entidades que harán parte de nuestro diagrama o modelo, con el fin de establecer los tipos de datos y las relaciones existentes entre ellas.
  • 49.
     Modelo relacional:modelo de organización y gestión de bases de datos consistente en el almacenamiento de datos en tablas compuestas por filas, o tuplas, y columnas o campos. Se distingue de otros modelos, como el jerárquico, por ser más comprensible para el usuario inexperto, y por basarse en la lógica de predicados para establecer relaciones entre distintos datos. Surge como solución a la creciente variedad de los datos que integran las data warehouses y podemos resumir el concepto como una colección de tablas (relaciones).
  • 51.
     Las consultasson una forma de buscar y recopilar información de una o más tablas para conseguir información detallada de una base de datos. Al crear una consulta en Access 2010, defines condiciones específicas de búsqueda para encontrar, exactamente, la información que deseas.
  • 53.
     Una Basede Datos Distribuida (BDD) es, una base de datos construida sobre una red de computadores. La información que estructura la base de datos esta almacenada en diferentes sitios en la red, y los diferentes sistemas de información que las utilizan accesan datos en distintas posiciones geográficas.
  • 55.
      Por endeuna Base de Datos Distribuida es una colección de datos que pertenecen lógicamente a un solo sistema, pero se encuentra físicamente distribuido en varios computadores o servidores de datos en una red de computadoras. Un sistema de bases de datos distribuidas se compone de un conjunto de sitios lógicos, conectados entre sí, mediante algún tipo de red de comunicaciones, en el cual:  Cada sitio lógico puede tener un sistema de base de datos.  Los sitios han sido diseñados para trabajar en conjunto, con el fin de que un usuario de cualquier posición geográfica pueda obtener acceso a los datos desde cualquier punto de la red tal como si todos los datos estuvieran almacenados en la posición propia del usuario. Entonces, la llamada "Base de Datos Distribuida" es en realidad una especie de “objeto virtual”, cuyos componentes se almacenan físicamente en varias “bases de datos reales” ubicadas en diferentes sitios. En esencia es la unión lógica de esas diferentes bases de datos.  En otras palabras, cada sitio tiene sus propias “bases de datos reales" locales, sus propios usuarios locales, sus propios SGBD y programas para la administración de transacciones y su propio administrador de comunicación de datos. Así pues, el sistema de bases de datos distribuidas puede considerarse como una especie de sociedad entre los diferentes SGBD individuales locales. Un nuevo componente de software en cada sitio realiza las funciones de sociedad necesarias; y es la combinación de este nuevo componente y el SGBD ya existente constituyen el llamado Sistema de Administración o Gestión de Bases de Datos Distribuidas - SGBDD. (En ingles DDBMS, Distributed DataBase Management System).  Desde el punto de vista del usuario final, un sistema distribuido deberá ser idéntico a un sistema no distribuido. Los usuarios de un sistema distribuido se comportan en su manipulación de información exactamente como si el sistema no estuviera distribuido. Todos los problemas de los sistemas distribuidos son de tipo interno o a nivel de realización, no pueden existir problemas de tipo externo o a nivel del usuario final.  Los datos que se encuentran distribuidos en varios sitios y que están interconectados por una red de comunicaciones tienen capacidad de procesamiento autónomo de transacciones y hacer procesos locales. Cada sitio realiza la ejecución de al menos una transacción global, la cual requiere accesos a datos en diversos sitios.
  • 56.
     Los principiosfundamentales de un sistema de datos distribuido son:  1. Autonomía local.  2. No dependencia de un sitio central.  3. Operación continúa.  4. Independencia con respecto a la localización.  5. Independencia con respecto a la fragmentación.  6. Independencia de réplica.  7. Procesamiento distribuido de consultas.  8. Manejo distribuido de transacciones.  9. Independencia con respecto al equipo.  10. Independencia con respecto al sistema operativo.  11. Independencia con respecto a la red.  12. Independencia con respecto al SGBD.  Estos doce postulados no son todas independientes entre sí, ni tienen todos la misma importancia que cada usuario le otorgue. Sin embargo, sí son útiles como fundamento para entender la tecnología distribuida y como marco de referencia para caracterizar la funcionalidad de sistemas distribuidos específicos.
  • 57.
     1. Autonomíalocal: Los sitios o posiciones de un sistema distribuido deben ser autónomos. La autonomía local significa que todas las operaciones en un sitio determinado se controlan en ese sitio; ningún sitio A deberá depender de algún otro sitio B para su buen funcionamiento (pues de otra manera el sitio A podría ser incapaz de trabajar, aunque no tenga en sí problema alguno, si cae el sitio B). La autonomía local significa que existe un propietario y un administrador local de los datos, con responsabilidad local: todos los datos pertenecen a una base de datos local, aunque los datos sean accesibles desde algún sitio distante. Todo el manejo de la seguridad y la integridad de los datos se efectúan con control de la instalación y administración local.  2. No dependencia de un sitio central: La no dependencia de un sitio central, sería lo ideal pero si esto no se logra la autonomía local completa se vería comprometida. La dependencia de un sitio central no es práctica al menos por las siguientes razones: en primer lugar, estos sitios podrían generar un cuello de botella, y en segundo lugar, el sistema sería vulnerable; si el sitio central sufriera un desperfecto, todo el sistema dejaría de funcionar.  3. Operación continúa: En un sistema distribuido, lo mismo que en uno no distribuido, nunca debería haber necesidad de apagar o dejar de funcionar. Es decir, el sistema nunca debería necesitar apagarse para que se pueda realizar alguna operación, como añadirse un nuevo sitio o instalar una versión mejorada del SGBD en un sitio ya existente.  4. Independencia con respecto a la localización: La independencia con respecto a la localización, permite que los usuarios finales no sepan donde están almacenados físicamente los datos, sino que trabajen como si todos los datos estuvieran almacenados en su propio sitio local. La independencia con respecto a la localización es deseable porque simplifica los sistemas de información de los usuarios y sus actividades en la terminal. Esto hace posible la migración de datos de un sitio a otro sin anular la validez de ninguno de esos sistemas o actividades. Esta función de migración permite modificar la distribución de los datos dentro de la red, en respuesta a cambios en los requerimientos de desempeño.  5. Independencia con respecto a la fragmentación: Un sistema tiene fragmentación de datos solo si es posible dividir una relación en partes o "fragmentos" para propósitos de almacenamiento físico. La fragmentación es deseable por razones de desempeño: los datos pueden almacenarse en la localidad donde se utilizan con mayor frecuencia, de manera que la mayor parte de las operaciones sean solo locales y se reduzca el tráfico en la red de cómputo. Existen en esencia dos clases de fragmentación, la fragmentación horizontal y la fragmentación vertical; estos tipos de fragmentación son correspondientes a las operaciones relacionales de restricción y proyección, respectivamente. Un fragmento puede ser cualquier sub relación que pueda derivarse de la relación original mediante operaciones de restricción y proyección; la reconstrucción de la relación originada a partir de los fragmentos se hace mediante operaciones de reunión y unión (reunión en el caso de fragmentación vertical, y la unión en casos de fragmentación horizontal).
  • 58.
     6. Independenciade réplica: Un sistema maneja réplica de datos si una relación dada se puede representar en el nivel físico mediante varias copias réplicas, en muchos sitios distintos. La réplica es deseable al menos por dos razones: en primer lugar, puede producir un mejor desempeño (las aplicaciones pueden operar sobre copias locales en vez de tener que comunicarse con sitios remotos); en segundo lugar, también puede significar una mejor disponibilidad (un objeto estará disponible para su procesamiento en tanto esté disponible por lo menos una copia, al menos para propósitos de recuperación). La desventaja principal de las réplicas es cuando se pone al día un cierto objeto copiado, deben ponerse al día todas las réplicas de ese objeto. La réplica debe ser "transparente para el usuario final", un sistema que maneja la réplica de los datos deberá ofrecer también una independencia de réplica (conocida también como transparencia de réplica); es decir, los usuarios deberán comportarse como si sólo existiera una copia de los datos.  7. Procesamiento distribuido de consultas: Este manejo de datos en las consultas permite las consultas eficientes desde diferentes usuarios con las características que determine el sistema; la consulta de datos es más importante en un sistema distribuido que en uno centralizado. Lo esencial es que, en una consulta donde están implicados varios sitios, habrá muchas maneras de trasladar los datos en la red de cómputo para satisfacer la solicitud, y es crucial encontrar una estrategia suficiente. Por ejemplo, una solicitud de unión de una relación Rx almacenada en el sitio X y una relación Ry almacenada en el sitio Y podría llevarse a cabo trasladando Rx a Y o trasladando Ry a X, o trasladando las dos a un tercer sitio Z.  8. Manejo distribuido de transacciones: Este manejo tiene dos aspectos principales, el control de recuperación y el control de concurrencia, cada uno de los cuales requiere un tratamiento más amplio en el ambiente distribuido. En un sistema distribuido, una sola transacción puede implicar la ejecución de programas o procesos en varios sitios (en particular puede implicar actualizaciones en varios sitios). Por esto, cada transacción está compuesta de varios agentes, donde un agente es el proceso ejecutado en nombre de una transacción dada en determinado sitio. Y el sistema necesita saber cuándo dos agentes son parte de la misma transacción. Es importante aclarar que no puede haber un bloqueo mutuo entre dos agentes que sean parte de la misma transacción.  9. Independencia con respecto al equipo: Las instalaciones de cómputo en el mundo real por lo regular incluyen varias máquinas de diferentes marcas comerciales como IBM, DELL, HP, SUN, entre otras; por esta razón existe una verdadera necesidad de poder integrar los datos en todos esos sistemas y presentar al usuario "una sola imagen del sistema". Por tanto conviene ejecutar el mismo SGBD en diferentes equipos, y además lograr que esos diferentes equipos se integren en un sistema distribuido.  10. Independencia con respecto al sistema operativo: Es necesario y conveniente no sólo de poder ejecutar el mismo SGBD en diferentes equipos, sino también poder ejecutarlo en diferentes sistemas operativos y lograr que una versión LINUX y una WINDOWS participen todas en el mismo sistema distribuido.  11. Independencia con respecto a la red: Si el sistema puede manejar múltiples sitios, con equipos distintos y diferentes sistemas operativos, resulta obvia la conveniencia de manejar también varios tipos de redes de comunicación distintas.  12. Independencia con respecto al SGBD: En la independencia con respecto a su manejo, se requiere que los SGBD en los diferentes sitios manejen todos la misma interfaz; no necesitan ser por fuerza copias del mismo sistema.
  • 59.
     En informática,NoSQL (a veces llamado "no sólo SQL") es una amplia clase de sistemas de gestión de bases de datos que difieren del modelo clásico de SGBDR (Sistema de Gestión de Relacionales en aspectos importantes, siendo el más destacado que no usan SQL como lenguaje principal de consultas. Los datos almacenados no requieren estructuras fijas como tablas, normalmente no soportan operaciones JOIN, ni garantizan completamente ACID(atomicidad, consistencia, aislamiento y durabilidad), y habitualmente escalan bien horizontalmente Los sistemas NoSQL se denominan a veces "no sólo SQL" para subrayar el hecho de que también pueden soportar lenguajes de consulta de tipo SQL.  Por lo general, los investigadores académicos se refieren a este tipo de bases de datos como almacenamiento estructurado, término que abarca también las bases de datos relacionales clásicas. A menudo, las bases de datos NoSQL se clasifican según su forma de almacenar los datos, y comprenden categorías como clave-valor, las implementaciones de BigTablE, bases de datos documentales, y bases de datos orientadas a grafos.  Los sistemas de bases de datos NoSQL crecieron con las principales redes sociales, como Google, Amazon, Twitter y Facebook. Estas tenían que enfrentarse a desafíos con el tratamiento de datos que las tradicionales SGBDR no solucionaban . Con el crecimiento de la web en tiempo real existía una necesidad de proporcionar información procesada a partir de grandes volúmenes de datos que tenían unas estructuras horizontales más o menos similares. Estas compañías se dieron cuenta de que el rendimiento y sus propiedades de tiempo real eran más importantes que la coherencia, en la que las bases de datos relacionales tradicionales dedicaban una gran cantidad de tiempo de proceso.  En ese sentido, a menudo, las bases de datos NoSQL están altamente optimizadas para las operaciones recuperar y agregar, y normalmente no ofrecen mucho más que la funcionalidad de almacenar los registros (p.ej. almacenamiento clave-valor). La pérdida de flexibilidad en tiempo de ejecución, comparado con los sistemas SQL clásicos, se ve compensada por ganancias significativas en escalabilidad y rendimiento cuando se trata con ciertos modelos de datos.
  • 61.
     MongoDB (dela palabra en inglés “humongous” que significa enorme) es un sistema de base de datos NoSQL orientado a documentos, desarrollado bajo el concepto de código abierto.  MongoDB forma parte de la nueva familia de sistemas de base de datos NoSQL. En lugar de guardar los datos en tablas como se hace en las base de datos relacionales, MongoDB guarda estructuras de datos en documentos similares a JSON con un esquema dinámico (MongoDB utiliza una especificación llamada BSON), haciendo que la integración de los datos en ciertas aplicaciones sea más fácil y rápida.  El desarrollo de MongoDB empezó en octubre de 2007 por la compañía de software 10gen.1 Ahora MongoDB es una base de datos lista para su uso en producción y con muchas características (features). Esta base de datos se utiliza mucho en la industria,2 contando con implantaciones en empresas como MTV Network,3 Craiglist4, BCI o Foursquare.5  El código binario está disponible para los sistemas operativos Windows, Linux, OS X y Solaris.
  • 62.
     Bases dedatos documentales. En este último grupo, cada registro se corresponde con un documento, sea éste de cualquier tipo: una publicación impresa, un documento audiovisual, gráfico o sonoro, un documento de archivo, un documento electrónico,... Una base de datos se crea y mantiene de forma continuada con el objetivo de resolver necesidades de información concretas de un colectivo, una empresa o el conjunto de la sociedad.  Estos recursos electrónicos pueden ser consultables directamente en formato electrónico o ser utilizados para elaborar productos impresos: bibliografías, directorios, informes. Los registros de las bases de datos documentales pueden incluir o no el contenido completo de los documentos que describen.
  • 64.
     En unabase de datos orientada a objetos, la información se representa mediante objetos como los presentes en la programación orientada a objetos. Cuando se integra las características de una base de datos con las de un lenguaje de programación orientado a objetos, el resultado es un sistema gestor de base de datos orientada a objetos (ODBMS, object database management system). Un ODBMS hace que los objetos de la base de datos aparezcan como objetos de un lenguaje de programación en uno o más lenguajes de programación a los que dé soporte. Un ODBMS extiende los lenguajes con datos persistentes de forma transparente, control de concurrencia, recuperación de datos, consultas asociativas y otras capacidades.  Las bases de datos orientadas a objetos se diseñan para trabajar bien en conjunción con lenguajes de programación orientados a objetos como Java, C#, Visual Basic.NET y C++. Los ODBMS usan exactamente el mismo modelo que estos lenguajes de programación.  Los ODBMS son una buena elección para aquellos sistemas que necesitan un buen rendimiento en la manipulación de tipos de dato complejos.  Los ODBMS proporcionan los costes de desarrollo más bajos y el mejor rendimiento cuando se usan objetos gracias a que almacenan objetos en disco y tienen una integración transparente con el programa escrito en un lenguaje de programación orientado a objetos, al almacenar exactamente el modelo de objeto usado a nivel aplicativo, lo que reduce los costes de desarrollo y mantenimiento.
  • 66.
     los orígenesdel término orientados a objetos (abreviado OO) se remontan a los lenguajes de programación orientadas a objetos. Los lenguajes de programación OO tienen sus raíces en el lenguaje SIMULA 67, propuesto a finales de la década de 1960. En Simula, el concepto de clase agrupa la estructura de datos interna de un objeto en una declaración de clase, es decir, introduce en el lenguaje ALGOL los conceptos de objeto y de clase. Como Algol, Simula es un lenguaje fuertemente tipado para entornos compilados. Sin embargo, el primer lenguaje que popularizó la aproximación a objetos fue Smalltalk (1976); este puede considerarse una síntesis de años del lenguaje Lisp, que ofrece una gran flexibilidad gracias a la interpretación, y de Simula, añadiendo el concepto de metaclase. Smalltalk ha podido responder a las necesidades de flexibilidad presentadas por el desarrollo de entornos de programación gráficos, favoreciendo la rápida creación de prototipos de interfaces de usuarios amigables. Fue utilizado con éxito en la primera estación gráfica de Xerox.  Con la llegada de las estaciones de trabajo en los años 80, han crecido numerosos lenguajes orientados a objetos inspirados en Simula o Smalltalk. Entre los lenguajes compilados, los más célebres son C++, Objective C y Eiffel, debido a la compatibilidad del lenguaje o del código producido con el lenguaje de programación C. La mayor parte de los lenguajes interpretados son extensiones del Lisp; por ejemplo, Loops y CLOS. Es interesante notar que la mayor parte de los lenguajes populares existentes se encuentran en curso de ampliación para convertirse en orientados a objetos, incluyendo al COBOL y Ada (más exactamente Ada 9X, que aporta la herencia).  En años recientes, han aparecido muchos prototipos experimentales y sistemas de bases de datos comerciales orientados a objetos. Entre los primeros se encuentran los sistemas ORION, OpenOODB, IRIS, ODE y el proyecto ENCORE/ObServer. Y entre los sistemas disponibles en el mercado están: GEMSTONE/OPAL de ServicLogic, ONTOS de Ontologic, Objectivity de Objectivity Inc., Versant de Versant Technologies, ObjecStore de Object Design y O2 de O2 Technology. Esta es solo una lista parcial de los prototipos experimentales y de los sistemas de bases de datos comerciales orientados a objetos. Desafortunadamente, es aún demasiado pronto para saber cuáles sistemas se instalarán como líderes en este campo.  Las bases de datos orientadas a objetos han adoptado muchos de los objetos creados para los lenguajes de programación orientados a objetos.
  • 67.
     Un sistemade bases de datos que tenga la capacidad de definir reglas con las cuales deducir o inferir información adicional a partir de los hechos almacenados en las bases de datos se llama Sistema de Bases de Datos Deductivas. Puesto que parte de los fundamentos teóricos de algunos sistemas de ésta especie es la lógica matemática, a menudo se les denomina Bases de Datos Lógicas. Una base de datos deductiva es, en esencia, un programa lógico; mapeo de relaciones base hacia hechos, y reglas que son usadas para definir nuevas relaciones en términos de las relaciones base y el procesamiento de consultas.  Los sistemas Bases de Datos Deductivas intentan modificar el hecho de que los datos requeridos residan en la memoria principal (por lo que la gestión de almacenamiento secundario no viene al caso) de modo que un SGBD se amplíe para manejar datos que residen en almacenamiento secundario.  En un sistema de Bases de Datos Deductivas por lo regular se usa un lenguaje declarativo para especificar reglas. Con lenguaje declarativo se quiere decir un lenguaje que define lo que un programa desea lograr, en vez de especificar los detalles de cómo lograrlo. Una máquina de inferencia (o mecanismo de deducción) dentro del sistema puede deducir hechos nuevos a partir de la base de datos interpretando dichas reglas. El modelo empleado en las Bases de Datos Deductivas está íntimamente relacionado con el modelo de datos relacional, y sobre todo con el formalismo del cálculo relacional. También esta relacionado con el campo de la programación lógica y el lenguaje Prolog. Los trabajos sobre Bases de Datos Deductivas basados en lógica han utilizado Prolog como punto de partida. Con un subconjunto de Prolog llamado Datalog se definen reglas declarativamente junto con un conjunto de relaciones existentes que se tratan como literales en el lenguaje. Aunque la estructura gramatical se parece a la de Prolog, su semántica operativa (esto es, la forma como debe ejecutarse un programa en Datalog) queda abierta.
  • 69.
     Son basesde datos ideadas para desarrollar aplicaciones muy concretas, como creación deCubos OLAP. Básicamente no se diferencian demasiado de las bases de datos relacionales(una tabla en una base de datos relacional podría serlo también en una base de datosmultidimensional), la diferencia está más bien a nivel conceptual; en las bases de datosmultidimensionales los campos o atributos de una tabla pueden ser de dos tipos, o bienrepresentan dimensiones de la tabla, o bien representan métricas que se desean estudiar.  Base de datosmultidimensional Las bases de datos multidimensionales se utilizan principalmente para crear aplicaciones OLAP y pueden verse como bases de datos de una sola tabla, su peculiaridad es que por cada dimensión tienen un campo (o columna), y otro campo por cada métrica o hecho, es decir estas tablas almacenan registros cuyos campos son de la forma: (d1,d2,d3,...,f1,f2,f3,...) Donde los campos 'di' hacen referencia a las dimensiones de la tabla, y los campos 'fi' a las métricas o hechos que se quiere almacenar, estudiar o analizar.
  • 71.
     Es básicamenteun conjunto de tablas, similares a las tablas de una hoja de cálculo, formadas por filas (registros) y columnas (campos). Los registros representan cada uno de los objetos descritos en la tabla y los campos los atributos (variables de cualquier tipo) de los objetos. En el modelo relacional de base de datos, las tablas comparten algún campo entre ellas. Estos campos compartidos van a servir para establecer relaciones entre las tablas que permitan consultas complejas
  • 73.
     Son basesde datos cuyo único fin es el envío y recepción de datos a grandes velocidades, estas bases son muy poco comunes y están dirigidas por lo general al entorno de análisis de calidad, datos de producción e industrial, es importante entender que su fin único es recolectar y recuperar los datos a la mayor velocidad posible, por lo tanto la redundancia y duplicación de información no es un problema como con las demás bases de datos, por lo general para poderlas aprovechar al máximo permiten algún tipo de conectividad a bases de datos relacionales.  Un ejemplo habitual de transacción es el traspaso de una cantidad de dinero entre cuentas bancarias. Normalmente se realiza mediante dos operaciones distintas, una en la que se decrementa el saldo de la cuenta origen y otra en la que incrementamos el saldo de la cuenta destino. Para garantizar la atomicidad del sistema (es decir, para que no aparezca o desaparezca dinero), las dos operaciones deben ser atómicas, es decir, el sistema debe garantizar que, bajo cualquier circunstancia (incluso una caída del sistema), el resultado final es que, o bien se han realizado las dos operaciones, o bien no se ha realizado ninguna.
  • 75.
     Una basede datos de red es una base de datos conformada por una colección o set de registros, los cuales están conectados entre sí por medio de enlaces en una red. El registro es similar al de una entidad como las empleadas en el modelo relacional.  Un registro es una colección o conjunto de campos (atributos), donde cada uno de ellos contiene solamente un único valor almacenado.  El enlace es exclusivamente la asociación entre dos registros, así que podemos verla como una relación estrictamente binaria.  Una estructura de base de datos de red, llamada algunas veces estructura de plex, abarca más que la estructura de árbol: un nodo hijo en la estructura red puede tener más de un nodo padre. En otras palabras, la restricción de que en un árbol jerárquico cada hijo puede tener sólo un padre, se hace menos severa.
  • 76.
     base dedatos de red, llamada algunas veces estructura de plex, abarca más que la estructura de árbol: un nodo hijo en la estructura red puede tener más de un nodo padre. En otras palabras, la restricción de que en un árbol jerárquico cada hijo puede tener sólo un padre, se hace menos severa.  Así, la estructura de árbol se puede considerar como un caso especial de la estructura de red.
  • 78.
     La abstracciónde datos y la separación de componentes lógicos y conceptuales son propiedades importantes en las Bases de Datos permitiendo la representación de la realidad a modo de espejo.  Cuidadosamente se ha establecido esta practica adquiriendo los conocimientos necesarios para realizar de nuevo esta practica sin fallos de errores.
  • 79.
     Al finalizaresta practica hemos aprendido con éxito la complejidad de esta tecnología que tiene muchos parámetros que son tan importante para la comunicación.  Por lo general estos temas son fáciles de aprender, y también adquirir conocimientos que varían en la comunicación controlando e impulsando el deseo de aprender lo que mañana será inútil.