Ejercicios de aplicaciones de las derivadas
1
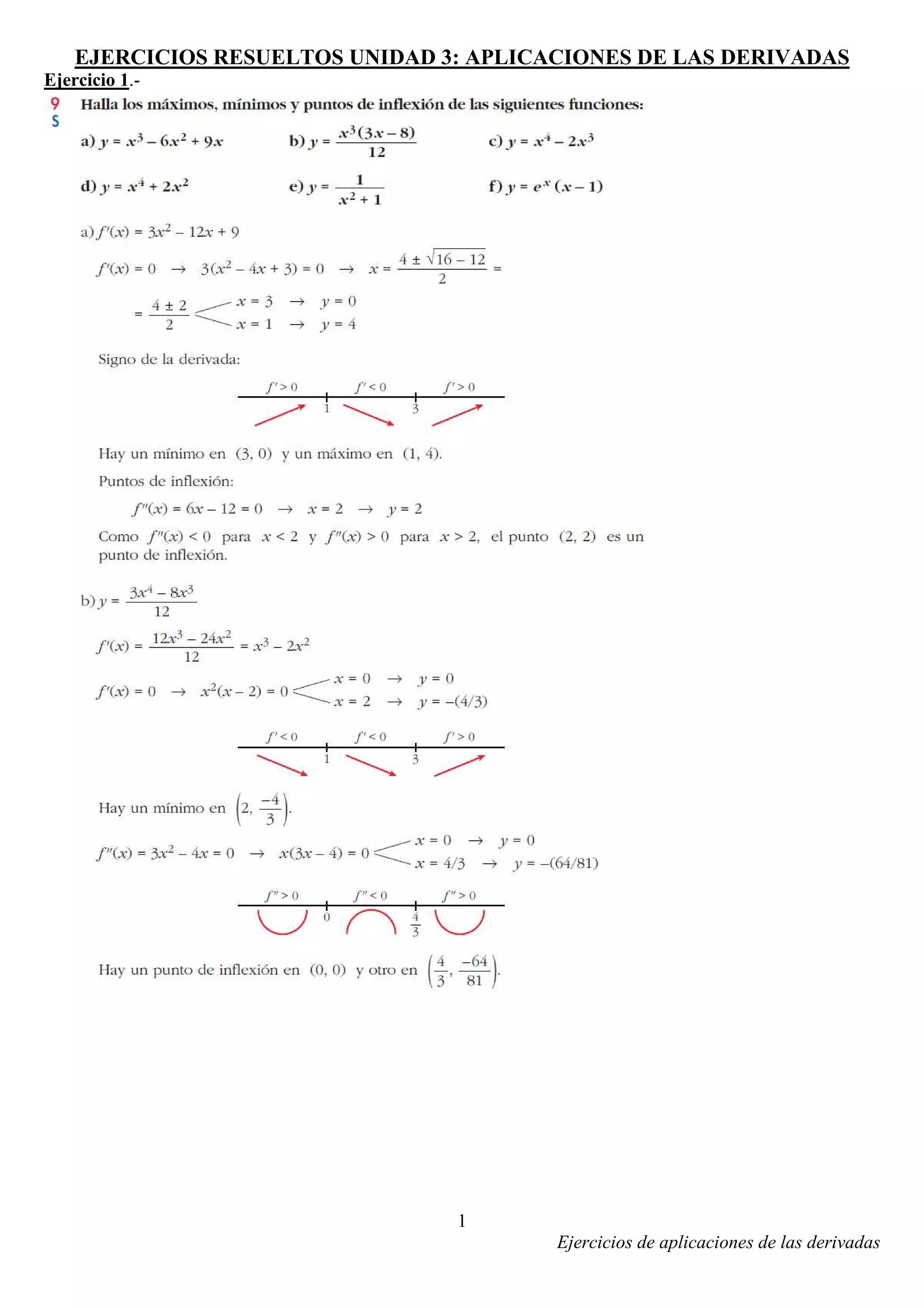
EJERCICIOS RESUELTOS UNIDAD 3: APLICACIONES DE LAS DERIVADAS
Ejercicio 1.-
Ejercicios de aplicaciones de las derivadas
2
Ejercicios de aplicaciones de las derivadas
3
Ejercicio 2.-
Ejercicios de aplicaciones de las derivadas
4
Ejercicio 3.-
Ejercicios de aplicaciones de las derivadas
5
Ejercicios de aplicaciones de las derivadas
6
Ejercicios de aplicaciones de las derivadas
7
Ejercicio 4.-
Ejercicios de aplicaciones de las derivadas
8
Ejercicios de aplicaciones de las derivadas
9
Ejercicio 5.-
Ejercicios de aplicaciones de las derivadas
10
Ejercicio 6.-
Ejercicios de aplicaciones de las derivadas
11
Ejercicio 7.-
Ejercicio 8.-
Ejercicios de aplicaciones de las derivadas
12
Ejercicio 9.-
Ejercicio 10.-
Ejercicios de aplicaciones de las derivadas
13
Ejercicio 11.-
Ejercicio 12.-
Ejercicios de aplicaciones de las derivadas
14
Ejercicio 13.-
Ejercicio 14.-
Ejercicios de aplicaciones de las derivadas
15
Ejercicio 15.-
Ejercicio 16.-
Ejercicio 17.-
Ejercicios de aplicaciones de las derivadas
16
Ejercicio 18.-
Ejercicios de aplicaciones de las derivadas
17
Ejercicio 19.-
Ejercicios de aplicaciones de las derivadas
18
Ejercicio 20.-
Ejercicio 21.-
Ejercicios de aplicaciones de las derivadas
19
Ejercicio 22.-
Ejercicio 23.-
Ejercicios de aplicaciones de las derivadas
20
Ejercicio 24.-
Ejercicio 25.-
Ejercicios de aplicaciones de las derivadas
21
Ejercicio 26.-
Ejercicio 27.-
Ejercicios de aplicaciones de las derivadas
22
Ejercicio 28.-
Ejercicios de aplicaciones de las derivadas
23
Ejercicio 29.-
Ejercicio 30.-
Ejercicios de aplicaciones de las derivadas
24
Ejercicio 31.-
Ejercicios de aplicaciones de las derivadas
25
Ejercicios de aplicaciones de las derivadas
26
Ejercicio 31.-
Ejercicio 32.-
Ejercicios de aplicaciones de las derivadas
27
Ejercicios de aplicaciones de las derivadas
28
Ejercicio 33.-
Ejercicios de aplicaciones de las derivadas
29
Ejercicios de aplicaciones de las derivadas
30
Ejercicio 34.-
Ejercicio 35.-
Ejercicios de aplicaciones de las derivadas
31
Ejercicio 36.-
Ejercicios de aplicaciones de las derivadas
32
Ejercicio 37.-

Maximos y minimos