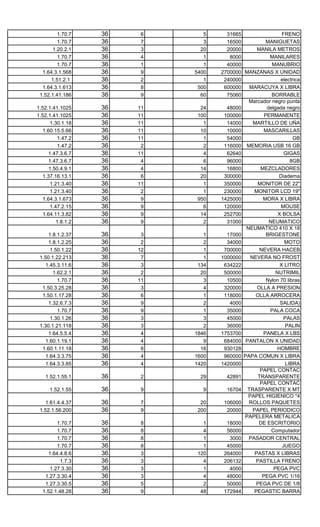
v4                           PLAN DE COMPRAS (Ver hoja 'Ayudas y códigos necesarios')
Importante: De
conformidad con el artículo
1 del Acuerdo 0004 de
2005, se define Plan de
Compras como: Plan de
adquisiciones de bienes,
servicios y obra pública de
las entidades y particulares
que manejan recursos
públicos,
independientemente del
rubro presupuestal que se
afecte, ya sea de
funcionamiento o de
inversión”
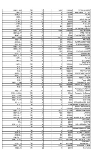
                                                                       Identificacio
                                                Tipo                         n
                                            Identificacio              Funcionario                        Valor Total [Maximo
                              Nit de la           n                    Responsabl                         20 digitos]No utilice
 Nombre de la Entidad        Entidad [3 -   Funcionario                 e [Maximo        Año Fiscal        comas, puntos ni
[Maximo 100 caracteres]      15 digitos]    Responsable                 15 digitos]       [AAAA]                signo $

MUNICIPIO DE SANLUIS
ANTIOQUIA            890984376              CC                         70351221         2013                     554.799.756,00

       Columna1               Columna2       Columna3       Columna4    Columna5         Columna6              Columna7
                                                Mes                                    Valor
                             Modalidad de   Proyectado                            Presupuesta
                                                              Cantidad [Maximo 10 digitos]
                             Contratacion   de Compra                              do incluido               Descripcion del
     Codigo CUBS             [Ver ayudas]     [1 - 12]                                  IVA                      Elemento
                                                                                                             ABONO ORGANICO
                 1.62.2.1              36              4                          144          1296000      COMPOST X BULTO
              11.62.2.1.8              36             11                           50           700000   ABONO VIGOR BULTO
              1.27.3.31.1              36             11                            2             1200             ABRAZADERA
                                                                                                                   ACCESORIOS
              1.25.1.24.2              36              2                           2            25800        ACEITE SANITARIO
                                                                                                                      2 TIEMPOS
              1.25.1.24.2              36             11                           7           140000                    CUARTO
               1.65.1.4.3              36              8                           2            20000            ACEITE 2T X 1/8
               1.65.1.4.3              36             10                          20           200000            ACEITE 4T X 1/4
                                                                                                                 Aceite bach para
                  1.56.3.1             36              2                          3           60000          Limpiar instrumentos
                                                                                                         ACEITE HAVOLINE #50
                1.65.1.4.3             36             12                          1           20000                      CUARTO
                1.65.1.4.3             36              4                          1           12000        ACEITE HIDRAULICO
                1.65.1.4.3             36              3                          1           20000              ACEITE MOTOR
                                                                                                           ACEITE OLEOLLANO
              1.64.9.1.26              36              6                        600         2520000                       X LITRO
                                                                                                             ACEITE VALVULINA
                1.65.1.4.3             36              4                          2           20000                      CUARTO
                1.65.1.4.3             36              8                          2           40000                 ACEITE X 1/4
             1.27.3.25.26              36              3                          1            3000         ACOPLE SANITARIO
                1.65.2.1.1             36             11                       2450        20090000              ACPM X GALON
                1.57.3.2.1             36             11                       3288         9864000         ACRONAL BOTELLA
                                                                                                          ADAPTADOR MACHO
             1.27.3.12.27              36               2                          4             1600           DE 1/2 PRESION
                                                                                                          ADAPTADOR MACHO
             1.27.3.12.27              36              3                        120             240000           PF+UAD DE 1/2"
              1.35.2.3.61              36              2                       5000            4750000         adobe de 10*20*40
                1.64.1.1.4             36              6                         33             132000        AGUA POR PACAS
              1.64.3.2.17              36             12                       1500             900000        AHUYAMA X LIBRA
                                                                                                                    ALAMBRE DE
                1.68.1.3.1             36              3                         10              45000           AMARRE KILOS
                                                                                                              ALAMBRE DUPLEX
                 1.39.11.6             36             12                        100             150000   ALAMBRE#12 METROS
                                                                                                                     DUPLEX No.
                 1.39.11.6             36              2                        200             260000                     16 Mts.
                                                                                                                        ALAMBRE
                1.68.1.2.6             36              2                         20             120000      GALVANIZADO KILO
                                                                                                         ALAMBRE RIGIDO N* 8
              1.39.1.12.4              36               3                         100          300000                  X METROS
                                                                                                          ALAMBRE RIGIDO No.
             1.39.11.12.3              36               6                          50          105000                       10 Mts
             1.30.2.17.10              36               2                           1            7000                   ALICATES
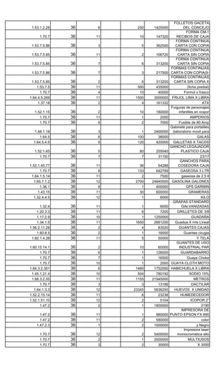
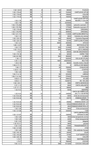
ALMOHADILLAS PARA
  1.52.2.2.68    36    3     1        5000 ALMOHADILLAS PARASELLO
  1.52.2.2.68    36    7     6       12528                  SELLO
                                                 AMARRAS PARA
       1.70.7    36    8   600      120000                ETERNIT
                                                AMBIENTADOR X
  1.56.3.30.4    36    8    16      120000                  TARRO
       1.70.7    36   12     8      130000  ANGULOS 11/2 X 1/8
  1.47.4.7.13    36   10     2      249200     ANTIVIRUS Mcaffe
     1.48.1.1    36   11     1      480000          ARCHIVADOR
                                                ARCHIVADOR DE
 1.48.1.1.163    36   11     1      258999 MADERA 4 GAVETAS
                                                Archivador en L de
      1.48.1.1   36    3      1     980000    madera 320*087 cm
                                                ARENA DE PEGA
  1.35.1.14.3    36   11     32    1232000               METROS3
                                                AROMATICAS EN
  1.64.1.1.10    36    8     24      19200            BOLSA CAJA
                                                AROMATICAS EN
  1.64.1.1.10    36   12     19      60800           CUBO CAJAS
  1.64.4.11.4    36    8   7800   10140000        ARROZ X LIBRA
    1.64.4.5.5   36    1   1500    1800000       ARVEJA X LIBRA
                                                ASPIRADORA DE
      1.56.1.3   36   12      1     200000                   MANO
    1.64.1.4.1   36   12    840    1764840      ATUN ESPAÑOLA
                                             ATUN ESPAÑOLA X
    1.64.1.4.1   36    2   5000   10500000                    LATA
  1.64.4.3.31    36    3    630     472500           AVENA X LBS
 1.56.3.33.20    36   12      8      24000       AXION X TARRO
    1.30.1.1.1   36   10      3      60000                AZADON
    1.30.1.1.1   36    2      1      21400            AZADONETA
                                                        AZUCAR X
  1.64.5.1.77    36    3     37     125800           SOBRECITOS
  1.64.5.1.78    36   12   3900    3900000      AZUCAR X LIBRA
        1.70.7   36   10      2      18000             BALINERAS
                                                       BALINERAS
        1.70.7   36    8      2      24000              CIGUEÑAL
                                             BALINERAS LLANTA
        1.70.7   36   10      5      35000               TRACERA
  1.55.1.4.12    36    6     21    1019340 BALON BALONCESTO
                                           BALON BALONCESTO
  1.55.1.4.12    36   3      3      324000 GOLTY PROFESIONAL
                                           BALON BALONCESTO
  1.55.1.4.12    36   9      3      327000 GOLTY PROFESIONAL
                                           BALON BALONCESTO
  1.55.1.4.12    36   2     10      322560         GOLTY SUPER
                                            BALON BALONCSTO
  1.55.1.4.12    36   12      8     810240 GOLTY PROFESIONAL
  1.55.1.1.11    36   11     19     585200    BALON DE FUTBOL
                                              BALON DE FUTBOL
  1.55.1.1.11    36    9     15                            MIKASA
                                    937260 BALON DE VOLEYBOL
        1.55.1   36    8     15     696000                  GOLTY
                                                  BALON FUTBOL
     1.55.1.1    36    7      2     343252                  GOLTY
                                                   BALON GOLTY
  1.55.1.2.12    36    5     18    1148400         COMPETITION
                                                   BALON MICRO
  1.55.1.2.12    36    8     19    1019920        FUTBOL GOLTY
                                                   BALON MICRO
  1.55.1.2.11    36   11     20     812000                 IMPACT
  1.64.3.1.71    36   12   5400    1080000    BANANO X UNIDAD
                                            BANDAS TRASERAS
     1.7.3.4.1   36   12      3      45000                     PAR
        1.70.7   36   12      1      55000          BASE FAROLA
        1.70.7   36   12      1       7000     BASE MANIGUETA
     1.48.3.1    36    9      1      20000             BASURERA
     1.48.3.1    36    2     30     450000               Basureros
  1.39.1.12.4    36    7      3     215700   BATERIA 6V12 V DT
                                                BATERIA YUASA
  1.39.1.12.4    36   12      2      90000         BATERIA PARA DT
 1.39.1.14.31    36   10      1     275000             VEHICULOS
     1.62.1.3    36   10     20    1200000          BAVISTIN LTS
                                              BISTURI GRANDRE
 1.52.1.14.18    36    4     10      22000      ENCAUCHETADO
      1.56.3.8   36   11      9      54000             Blanqueador
1.52.1.56.158    36    8     20      46000    BLOCK IRIS CARTA
        1.70.7   36   12   2000    3000000            Bloque de 15
      1.60.2.1   36   10     42    2016000         BLUSAS DAMA
      1.10.3.2   36    3      1      44000                 BOBINA
      1.52.1.9   36    3     12                boligrafos X 12 UNI
                                     72000 BOLSA PARA BASURA
    1.56.2.2.3   36    3      3       6000               PAQUETE
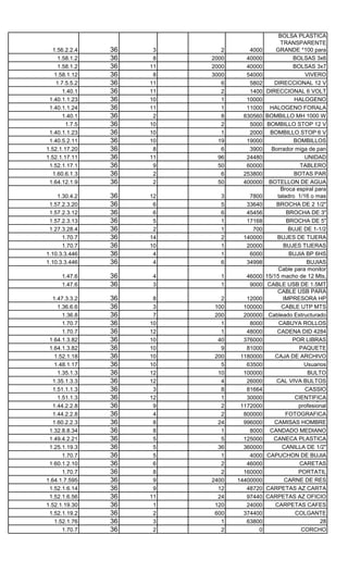
BOLSA PLASTICA
                                                   TRANSPARENTE
   1.56.2.2.4    36    3      2      4000        GRANDE *100 para
     1.58.1.2    36    8   2000     40000               BOLSAS 3x6
     1.58.1.2    36   11   2000     40000               BOLSAS 3x7
                                                      BOLSAS PARA
    1.58.1.12    36    8   3000     54000                    VIVERO
                                                          BOMBILLO
     1.7.5.5.2   36   11      6      5802       DIRECCIONAL 12 V
                                                          BOMBILLO
        1.40.1   36   11      2      1400    DIRECCIONAL 6 VOLT
                                                          BOMBILLO
 1.40.1.1.23     36   10      1     10000                HALOGENO
                                                          BOMBILLO
 1.40.1.1.24     36   11      1     11000      HALOGENO FORALA
        1.40.1   36    2      8    830560    BOMBILLO MH 1000 W
         1.7.5   36   10      2      5000     BOMBILLO STOP 12 V
 1.40.1.1.23     36   10      1      2000      BOMBILLO STOP 6 V
 1.40.5.2.11     36   10     19     19000                BOMBILLOS
1.52.1.17.20     36    8      6      3900      Borrador miga de pan
                                               BORRADOR NATA X
1.52.1.17.11     36   11     96     24480                    UNIDAD
                                                 BORRADOR PARA
 1.52.1.17.1     36    9     50     60000                  TABLERO
   1.60.6.1.3    36    2      6    253800                BOTAS PAR
 1.64.12.1.9     36    2     50    400000     BOTELLON DE AGUA
                                                   Broca espiral para
    1.30.4.2     36   12     3       7800         taladro 1/16 o mas
 1.57.2.3.20     36    6     5      33640        BROCHA DE 2 1/2"
 1.57.2.3.12     36    6     6      45456             BROCHA DE 3"
 1.57.2.3.13     36    5     1      17168             BROCHA DE 5"
 1.27.3.28.4     36    2     1        700              BUJE DE 1-1/2
      1.70.7     36   14     2     140000         BUJES DE TIJERA
      1.70.7     36   10     1      20000            BUJES TIJERAS
1.10.3.3.446     36    4     1       6000              BUJIA BP 6HS
1.10.3.3.446     36    4     6      34998                     BUJIAS
                                                  Cable para monitor
      1.47.6     36   4      1      46000    15/15 macho de 12 Mts,
      1.47.6     36   3      1       9000     CABLE USB DE 1.5MT
                                                  CABLE USB PARA
   1.47.3.3.2    36    8      2      12000          IMPRESORA HP
     1.36.6.6    36    3    100     100000          CABLE UTP MTS
       1.36.8    36    7    200     200000    Cableado Estructurado
       1.70.7    36   10      1       8000         CABUYA ROLLOS
       1.70.7    36   12      1      48000        CADENA DID 4284
                                                CAFE SELLO ROJO
 1.64.1.3.82     36   10     40     376000       CAFE POR LIBRAS
                                                        X 250 GRMS
 1.64.1.3.82     36   10      9      81000                 PAQUETE
    1.52.1.18    36   10    200    1180000       CAJA DE ARCHIVO
                                                Cajas para fichas de
    1.48.1.17    36   10      5      63500                   Usuarios
                                                   CAL AGRICOLA X
     1.35.1.3    36   12     10     100000                    BULTO
   1.35.1.3.3    36   12      4      26000       CAL VIVA BULTOS
                                                     CALCULADORA
   1.51.1.1.3    36    3      8      81664                   CASSIO
                                                     CALCULADORA
     1.51.1.3    36   12      1      30000               CIENTIFICA
                                                       Cámara digital
   1.44.2.2.8    36    9      2    1172000                 profesional
                                                            CAMARA
   1.44.2.2.8    36    4      2     800000            FOTOGRAFICA
   1.60.2.2.3    36    8     24     996000      CAMISAS HOMBRE
 1.32.8.8.34     36    8      1       8000     CANDADO MEDIANO
 1.49.4.2.21     36    5      5     125000      CANECA PLASTICA
 1.25.1.19.3     36    5     36     360000          CANILLA DE 1/2"
       1.70.7    36    5      1       4000   CAPUCHON DE BUJIA
 1.60.1.2.10     36    6      2      46000                 CARETAS
                                                         CARGADOR
       1.70.7    36    8      2     160000                 PORTATIL
1.64.1.7.595     36    9   2400   14400000           CARNE DE RES
 1.52.1.6.14     36    9     12      48720   CARPETAS AZ CARTA
 1.52.1.6.56     36   11     24      97440   CARPETAS AZ OFICIO
1.52.1.19.30     36    1    120      24000       CARPETAS CAFES
                                                          CARPETAS
 1.52.1.19.2     36    2    600     374400               COLGANTE
                                               CARTCHO TINTA HP
    1.52.1.76    36    3      1      63800         CARTELERAS DE   28
       1.70.7    36    2      2          0                  CORCHO
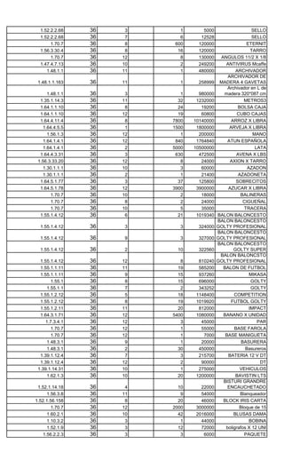
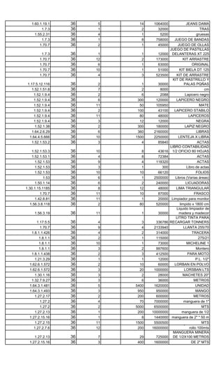
CARTON PAJA
  1.52.1.20.5    36    9    40      80000                      PLIEGO
 1.52.1.76.42    36    5    20     722000         CARTUCHO HP 60
                                                 CARTUCHO HP 675
 1.52.1.76.42    36   11     5     190000        CARTUCHO COLOR HP 675
 1.52.1.76.42    36   10     5     190000                      NEGRO
                                                 CARTUCHO HP 675
     1.52.1.76   36   11      8     304000         NEGRO Y COLOR
                                              Cartucho impresora HP
     1.52.1.76   36   12     15    2325000                          85A
1.52.1.75.458    36    4      3     155994      cartucho Lexmark 17
1.52.1.75.759    36   11      3     177000      Cartucho Lexmark 27
                                                CARTUCHOS HP 21
 1.52.1.76.49    36    8     12     484320                  ORIGINAL
                                                CARTUCHOS HP 22
1.52.1.76.978    36   11     12     569844                  ORIGINAL
1.52.1.21.113    36   11    200     114000    CARTULINA BRISTOL
     1.52.1.12   36   11     10       8000        Cartulina de colores
 1.52.1.20.10    36    6    100      80000          Cartulina Degrade
 1.52.1.20.10    36    6    150      52350       CARTULINA PLANA
                                              CARTULINA TAMAÑO
     1.52.1.21   36    3   6000     450000                      OFICIO
                                                        CASCO PARA
   1.60.1.3.57   36    8      2      58000            MOTOCICLETA
     1.52.1.73   36    3    200     131600               CD DVD TDK
   1.52.1.72.2   36    6    300     203400              CD X UNIDAD
        1.70.7   36    3      1      28000      CDI DE ENCENDIDO
 1.52.1.72.18    36    8     30      34530     CEBOLLA CDRW TDK
                                                           DE HUEVO
 1.64.3.8.169    36    3    500     350000                     X LIBRA
      1.36.1.1   36    7      2     500000          CELULAR (PLAN)
                                                     CEMENTO GRIS
    1.35.1.1.3   36    2   1800   43920000                    BULTOS
     1.35.3.18   36    1      3      96000      Cenefa motivo infantil
 1.56.2.17.11    36    9     20          0       CEPILLO DE MANO
      1.60.1.7   36    8     20     700000                CHALECOS
   1.32.8.1.10   36   12      2      72000                    CHAPAS
                                                  Chinche plastico de
     1.52.1.22   36    2      5      13500                      colores
                                                      CHOCOLATE X
 1.64.11.4.14    36    3     68     224400                     LIBRAS
1.64.11.4.144    36    8    120     276000                   Chocolisto
                                              CILINDRO DE GAS DE
    1.65.6.1.1   36   12      8     299432    CILINDROS CON GAS 40 LBS
    1.65.6.1.1   36    6     11    1040875                DE 100 LBS
   1.52.1.25.1   36    2     12       6960         CINTA ADHESIVA
    1.37.1.1.3   36   12      4       8000          CINTA AISLANTE
                                                 CINTA AISLANTE 3
   1.37.17.1.3   36   12      6      90864         CINTA ANCHAMM     DE
     1.32.10.4   36    6      2       6048                    AMARRE
                                              CINTA DE EMBALAJE
    1.32.10.4    36   12    24     144000         DE 2" X 100 MTRS
 1.32.10.8.34    36    9     2       6000        Cinta de enmascarar
                                                             CINTA DE
 1.32.10.8.34    36    3    15      22575           ENMASCARAR 1"
                                                             CINTA DE
 1.32.10.8.34    36    2    66      85866         ENMASCARAR DE
                                                             CINTA 3/4
 1.32.10.8.34    36    6    14      10542    ENMASCARAR DE 1/2"
                                                             CINTA DE
 1.32.10.8.34    36    2     1       2853    ENMASCARAR ROLLO
    1.52.1.25    36    2     6       6600           Cinta enmascarar
                                                 CINTA IMPRESORA
 1.52.1.31.66    36   10    20     330000                          1180
                                                 CINTA IMPRESORA
 1.52.1.31.67    36    3     4     104000              EPSON FX 890
     1.52.1.25   36    3     3       3000    Cinta tansparente ancha
     1.52.1.25   36    6     6       4200           Cinta transparente
                                                    Cinta transparente
    1.32.1.3.5   36    6     2       1400                      delgada
                                                    Cinta transparente
  1.32.10.3.1    36    8     2       5600                        gruesa
                                                                 CINTA
    1.32.1.3.5   36    8    24      13560        TRANSPARENTE X
                                              CINTAS IMPRESORA
 1.52.1.31.80    36    4    12     300000                          2190
     1.52.1.45   36    2    10       5000        Clic estándar forrado
                                                  CLIP ESTANDAR X
 1.52.1.45.19    36    3    60      24000                         CAJA
 1.52.1.45.28    36   12    24      37584            CLIP MARIPOSA
                                                 CLIP PEQUEÑO DE
 1.52.1.45.19    36    9    12       7440                      COLOR
                                                             COCA DE
        1.70.7   36    2     1      18000             DISTRIBUCION
        1.70.7   36    9     6     780000                      COCHE
    1.64.1.5.1   36    2   596    1013200           COCOA X BOLSA
1.27.3.1.86    36    2     1       1200      CODO PRESION 1"
  1.27.3.1.84    36    2    77      46200 CODOCODO PVC 1/2"
                                                   SANITARIO DE
 1.27.3.1.104    36    2     7      28000                         3"
        1.70.7   36   11   100     150000    COLBON 125 gramos
                                             Colbon x X FRASCO
 1.52.1.48.14    36    9    24      60000        COLCHONES EN  250g
    1.49.1.1.2   36    9     3     270000                ALGODON
     1.52.1.32   36    9    50     500000                   Colores
        1.70.7   36    9     4    6400000    computador escritorio
                                               Computador Portatil
     1.47.1.4    36   5      5    7500000 capacidad y rendimiento
                                          CONCENTRADOR 24P
  1.36.4.2.13    36   11     1     850000             BASE 10/100
                                              CONDENSADOR 24
  1.37.2.1.19    36   4      8     372904       MICROFARIADOS
                                           CONJUNTOS DEPOR.
                                                       (CAMISETA,
       1.60.1    36   2    150    5250000       PANTALONETA Y
    1.52.1.55    36   8      3      63000           Contac x10Mts
                                            CORRECTOR LIQUID
 1.52.1.35.16    36    7    24      80760       PAPER X UNIDAD
 1.52.2.7.100    36    5    10     220000              COSEDORA
 1.52.2.7.100    36    8     1       7672 COSEDORA MANUAL
  1.58.1.19.2    36    9   460     276000 COSTALES DE FIBRA
       1.70.7    36   12     1      75000              CRANCK DT
       1.64.5    36    6    20      12000              CROASANS
       1.70.7    36    7   100     100000 CUCHARAS SOPERAS
    1.52.1.36    36    9     1        400            Cuchilla bisturí
                                           CUCHILLO EN ACERO
1.30.1.10.120    36   10     12     42000             INOXIDABLE
        1.70.7   36   10     24    144000    Cuerda para Guitarra
        1.70.7   36    2      2               CUNAS DIRECCION
                                   253000 DESLIZADOR CADENA
        1.70.7   36    6      1                          (TENSOR)
                                    25000 Detergente Ariel x 1000
     1.56.3.36   36    3     13     81250                        Gm
     1.56.3.17   36    8     50    300000        detergente grande
        1.70.7   36   12      5    140000        DIRECCIONALES
    1.47.3.5.1   36   11      2                      DISCO DURO
                                   330000 Disco Duro Externo Mini
      1.47.3.5   36    6      5   1102500                       1TB
    1.7.5.12.5   36    7      1     15000           EJE CAMBIOS
        1.70.7   36    5      1      3444                EMPAQUE
                                                 EMPAQUE TAPA
        1.70.7   36    5      1      3000                 VOLANTE
        1.70.7   36   11      2      6000                   Enchufe
                                                      ESCALERA 3
        1.70.7   36   11      1    300000               PELDAÑOS
        1.70.7   36   11      1   2100000      ESCANER HP 7000
        1.70.7   36    3      1    500000    ESCANNER HP 5590
1.56.2.27.109    36    9    140             ESCOBAS X UNIDAD
                                   602000 ESPAGUETIS DORIA X
    1.64.4.8.4   36    8   2925   3802500                  250 GMS
        1.70.7   36    6      5     86625 ESPEJO RETROVISOR
      1.66.4.5   36    7      2     38000                 ESPEJOS
 1.56.2.10.34    36   11      2      7000         ESTOPA BOLSA
 1.56.2.10.62    36    8      1      7000           ESTOPA KILO
                                              Extensión electrica 2
        1.70.7   36    6      1     17500              tomasx 8Mts
                                                         Extinguidor
      1.22.1.1   36    8      2    140000    multiproposito 10 Lbs
    1.56.3.6.3   36    2     24     96000 FABULOSO X 1000 CM
                                                     FACTURA DE
     1.53.7.5    36   12   7500    810000 IMPUESTO PREDIAL
                                                     FACTURA DE
     1.53.7.5    36    7   7500    810000            INDUSTRIA Y
  1.52.2.12.1    36    3      2      3450 FECHADOR MANUAL
   1.10.7.1.2    36   11      1     52000         FILTRO ACEITE
   1.10.7.1.2    36   11      2     78000             FILTRO AIRE
   1.10.1.1.1    36   11      3     18000      FILTRO GASOLINA
                                                          FLASHER
       1.70.7    36    7      3     37500           DIRECCIONAL
    1.52.1.42    36    2      9     62172      Folder 105 de 1 1/2"
    1.52.1.42    36    6      6     45240           FOLDER DE 2"
FOLLETOS GACETA
 1.53.1.2.28    36   6     250    1425000              DEL CONCEJO
                                                          FORMA CM-1
      1.70.7    36   11     10     147320         RECIBOS DE CAJA
                                                  FORMA CONTINUA
 1.53.7.5.86    36   3       5     362500         CARTA CON COPIA
                                                  FORMA CONTINUA
 1.53.7.5.85    36   11      2     106720          CARTA SIN COPIA
                                                  FORMA CONTINUA
 1.53.7.5.85    36   7       6     313200          CARTA SIN COPIA
                                              FORMAS CONTINUAS
 1.53.7.5.86    36   7       3     217500    CARTA CON COPIA(9-
                                              FORMAS CONTINUAS
 1.53.7.5.85    36    2      6     313200        CARTA SIN FD 03 09
                                                 FORMATO COPIA X
    1.53.7.5    36   11    500     435000                 (ficha predial)
      1.70.7    36    4     10      40000               Formol x frasco
1.64.4.5.269    36   11   1500    3000000      FRIJOL LIMA X LIBRA
                                                 FUENTE DE PODER
     1.37.18    36    2      4     161332                           ATX
                                              Fuiguras de personajes
   1.52.1.15    36    2     10     180000           infantiles en icopor
                                                         FUSIBLE DE 3
      1.70.7    36   11      1       2000                    AMPERIOS
      1.70.7    36    6      2       7000           Fusible de 80 Amp
                                             Gabinete para portatiles
   1.48.1.18    36   3       1    2400000      (laboratorio movil para
      1.64.5    36   6     100      38000                        GALAS
  1.64.5.4.5    36   8     120     420000       GALLETAS X TACOS
                                             GANCHO LEGAJADOR
   1.52.1.45    36   5      80     255040             PLASTICO CAJA
                                               gancho para cosedora
      1.70.7    36   7       7      31150                          23/17
                                                     GANCHOS PARA
1.52.1.45.77    36   11     36       54288         COSEDORA CAJA
       1.70.7   36    8    133      642789           GASEOSA 3 LTR
 1.64.1.5.14    36   11      2        7500            gaseosa de 2.5 lt
   1.65.7.1.2   36   12   2700    24840000     GASOLINA GALONES
       1.36.1   36    8      1      400000               GPS GARMIN
      1.43.15   36   11     30      600000                  GRAMERAS
                                                   GRAPA ALAMBRE
   1.32.4.4.5   36   12      1        6000                         KILO
                                               GRAPAS STANDARD
      1.32.4    36   11      1       6000             GALVANIZADAS
    1.20.3.3    36   11      6       7200          GRILLETES DE 3/8
    1.17.2.9    36   10      1    1250000                     GUADAÑA
    1.34.1.5    36   11   1650    2681250        Guadua X mts Lineal
1.56.2.11.28    36    2      4      83520           GUANTES CAJAS
    1.60.8.5    36    2      1      16000              Guantes cirugia
                                              GUANTES DE CUERO
 1.60.1.4.28    36   11      5      50000                        Y TELA
                                                  GUANTES DE USO
1.60.15.14.1    36    2      10      60000          INDUSTRIAL PAR
       1.70.7   36    6       1     126000           GUARDABARRO
       1.70.7   36    7       1      16500                Guaya Choke
       1.70.7   36   10       1       2000    GUAYA CLOTH MOTO
1.64.3.2.301    36    6    1460    1752000    HABICHUELA X LIBRA
                                                   HIPOCLORITO DE
 1.45.1.21.4    36   10     504     780192                  SODIO 15%
                                               HOJAS DE ZINC DE 3
 1.68.3.2.55    36   11    1155   21945000                     METROS
                                                          HUELLEROS
       1.70.7   36    3       3      13188                    DACTILAR
   1.64.1.3.3   36   12   23345    5836250       HUEVOS X UNIDAD
1.52.2.15.14    36   11       6      23238           HUMEDECEDOR
1.52.1.51.10    36   12       2       5104     impresora de punto 2"
                                                             ICOPOR fx
       1.47.2   36    2       1    1800000                          2190
                                                      IMPRESORA DE
      1.47.2    36   11      1     980000    PUNTO EPSON FX 890
                                                Impresora Inyección a
      1.47.2    36   11      2     580000    Impresora Laser Blanco color
    1.47.2.3    36    1      2    1000000                       y Negro
                                                        Impresora laser
      1.70.7    36   12      2    5400000          monocromatica alto
                                                           IMPRESORA
      1.70.7    36    2      1    2000000                   MULTIUSOS
                                              JABON DETERGENTE
      1.70.7    36    3      2      30000                        X 3000
1.60.1.19.1     36   5     14                         JEANS DAMA
                                     1064000 JUEGO BANDAS DEL-
         1.7.3     36   1      2       32000                      TRAS
                                                       Juego de agujas
     1.55.2.31     36   4      1        5200                    gruesas
         1.7.3     36   1      8      758000    JUEGO DE BANDAS
        1.70.7     36   2      1       45000       JUEGO DE OLLAS
                                             JUEGO DE PASTILLAS
         1.7.3     36    1     1       12000 DELANTERAS XT 225
        1.70.7     36   12     2                       KIT ARRASTRE
                                      173000 KIT ARRASTRE DT 125
        1.70.7     36    6     1       63000                 ORIGINAL
        1.70.7     36   10     1       51000        KIT BIELA DT 125
        1.70.7     36    4     3      523500      KIT DE ARRASTRE
                                               KIT DE RASTRILLO Y
 1.17.5.12.116     36    2      1                       PALAS PQÑAS
                                       30000 Lámina de icopor de 2
    1.52.1.51.8    36    7      2       8000                          cm
     1.52.1.9.4    36    2      6       2088            Lapicero negro
     1.52.1.9.4    36    6    300     120000      LAPICERO NEGRO
                                                   LAPICERO PAPER
     1.52.1.9.4    36   11     50     105950                      MATE
     1.52.1.9.4    36    2    100      43100    LAPICERO STABILO
     1.52.1.9.4    36   11     80                          LAPICEROS
                                       48000 LAPICEROS DE TINTA
     1.52.1.9.4    36    3     12      12000                    NEGRA
      1.52.1.38    36    2    300     180000            LAPIZ NEGRO
                                                LECHE EN POLVO X
    1.64.2.6.29    36    6    360    2160000                    LIBRAS
  1.64.4.5.666     36   10   1500    2250000       LENTEJA X LIBRA
                                                  LIBRO 400 FOLIOS
    1.52.1.53.2    36    3      4      85840                     ACTAS
                                             LIBRO CONTABILIDAD
    1.52.1.53.3    36   10     8              1/2 OFICIO 80 HOJAS
                                       43616 LIBRO DE 200 FOLIOS
    1.52.1.53.1    36    4     8       72384 LIBRO DE 600 FOLIOS ACTAS
      1.52.1.53    36    9     4      118320                     ACTAS
      1.52.1.53    36    3     1                         Libro de actas
                                         300 LIBRO DE ACTAS 100
      1.52.1.53    36   10    10       66120                    FOLIOS
           1.53    36    6     1     2500000     Libros (Varias áreas)
      1.50.1.14    36    6     2      240000             LICUADORAS
1.30.1.15.1185     36    8    12       48000     LIMA TRIANGULAR
                                                      LIMPIA VIDRIOS
         1.70.7    36   11    10       87000                   FRASCO
      1.42.8.81    36   11     1       20000 Limpiador para monitor
   1.56.3.8.118    36    2    80      520000        limpido x 1800 cm
                                                  Liquido limpiador de
     1.56.3.19     36   11     1       30000        madera y madecor
                                                 LITRO TINTA PARA
       1.17.5.5    36    4      3     336786 RECARGAR TONNERS
          1.70.7   36    9      4    2133940           LLANTA 255/70
                                                    LLANTA 410 X 18
   1.8.1.1.426     36    4      2     314000 LLANTA PARA MOTOTRACERA
         1.8.1.1   36    2      1     115000                     275/21
                                                  LLANTAS 275 X 21
         1.8.1.1   36   10      1      73000             MICHELINE 1
                                                 LLANTAS 235/75-15
         1.8.1.1   36    3      2     997600    LLANTAS TRACERA Montero
   1.8.1.1.438     36    2      3                         PARA MOTO
                                      412500 LLAVE CONTENCION
      1.21.3.29    36    1      1      12000                    P.L. 1/2"
  1.62.6.1.572     36    2     10      60000    LORBAN EN POLVO
  1.62.6.1.572     36    3     20    1000000            LORSBAN LTS
      1.30.1.16    36    3      2      28000           MACHETES 20"
                                                    MALLA ZARANDA
   1.32.7.9.27     36    3      6      36000                  METROS
                                                        MANDARINA X
  1.64.3.1.481     36    5   5400    1620000                    UNIDAD
  1.64.3.1.493     36    3    950     950000 MANGUERA DE 1 1/2  MANGO
      1.27.2.17    36    2    200     600000                  METROS
          1.27.2   36    4     70    7000000       MANGUERA de 1"
                                                        mangueraDE 1"
          1.27.2   36    2   5000    6500000                        MTS
      1.27.2.13    36    1    200   10000000          manguera de 1/2
  1.27.2.15.16     36    1      8    1440000 manguera de 2" *DE 3"
                                                   MANGUERA 50 m
      1.27.2.15    36   11   1500    5500500     manguera de 3/4 Xx MTS
     1.27.2.7.6    36   12    200   16000000               rollo 100mts
                                               MANGUERA MINERA
     1.27.2.13     36   7     29      725000 DE 1/2X100 METROS
                                               MANGUERA MINERA
  1.27.2.15.16     36   3    400     1600000                DE 2" MTS
MANIGUETA CLOSS-
         1.70.7     36   6       5     31665                  FRENO
         1.70.7     36   7       3     16500          MANIGUETAS
       1.20.2.1     36   3      20     20000       MANILA METROS
         1.70.7     36   4       1      8000            MANILARES
         1.70.7     36   1       1     40000             MANUBRIO
  1.64.3.1.568      36   9    5400   2700000 MANZANAS X UNIDAD
                                                  Maquina de escribir
      1.51.2.1      36   2       1    240000                 electrica
  1.64.3.1.613      36   8     500    600000   MARACUYA X LIBRA
                                                        MARCADOR
 1.52.1.41.186      36   9      60     75060             BORRABLE
                                               Marcador negro punta
1.52.1.41.1025      36   11    24      48000           delgada negro
                                                        MARCADOR
1.52.1.41.1025      36   11   100     100000          PERMANENTE
       1.30.1.18    36   11     1      14000     MARTILLO DE UÑA
   1.60.15.5.66     36   11    10      10000          MASCARILLAS
                                                Memoraia USB de 32
           1.47.2   36   11     1      54000                       GB
           1.47.2   36    2     2     116000 MEMORIA USB 16 GB
                                                MEMORIA USB DE 4
      1.47.3.6.7    36   11     4      62640                   GIGAS
                                                  MEMORIA USB DE
      1.47.3.6.7    36    4     6      96000                      8GB
      1.50.4.9.1    36    4    14      16800        MEZCLADORES
                                                 Microfono/ Audifono
   1.37.16.13.1     36    6    20     300000                Diadema
       1.21.3.40    36   11     1     350000       MONITOR DE 22"
       1.21.3.40    36    2     1     230000      MONITOR LCD 19"
   1.64.3.1.673     36    9   950    1425000         MORA X LIBRA
       1.47.2.15    36    9     6     120000 NESCAFE CONMOUSE LECHE
   1.64.11.3.82     36    9    14     252700                X BOLSA
          1.8.1.2   36    9     2      31000            NEUMATICO
                                              NEUMATICO 410 X 18
     1.8.1.2.37     36    3      1     17000           BRIGESTONE
                                                 NEUMATICO PARA
     1.8.1.2.25     36    2      2     34000                   MOTO
      1.50.1.22     36   12      1    700000        NEVERA HACEB
 1.50.1.22.213      36    7      1              NEVERA NO FROST
                                     1000000 NITROGENO LIQUIDO
    1.45.3.11.6     36    3    134    634222                 X LITRO
       1.62.2.1     36    2     20    500000               NUTRIMIL
         1.70.7     36   11      3     10500           Nylon 70 libras
  1.50.3.25.28      36    3      4    320000       OLLA A PRESION
  1.50.1.17.28      36    6      1    118000      OLLA ARROCERA
                                                 ORIN (CIGUEÑAL -
     1.32.6.7.3     36    9      2      4000                 SALIDA)
         1.70.7     36    9      1     35000            PALA COCA
      1.30.1.26     36    3      3     45000                   PALAS
 1.30.1.21.118      36    3      2     36000                   PALIN
     1.64.5.5.4     36    4   1846   1753700         PANELA X LBS
    1.60.1.19.1     36    4      9    684000 PANTALON X UNIDAD
                                                      PANTALONES
  1.60.1.11.18      36    8     16    930128               HOMBRE
    1.64.3.3.75     36    4   1600    960000 PAPAPAPA CRIOLLA X
                                                   COMUN X LIBRA
    1.64.3.3.85     36    4   1420   1420000                   LIBRA
                                                    PAPEL CONTAC
    1.52.1.55.1     36   2     29      42891       TRANSPARENTE
                                                    PAPEL CONTAC
      1.52.1.55     36   9      9      16704 TRASPARENTE X MT
                                               PAPEL HIGIENICO *4
    1.61.4.4.37     36   7     20     106000 ROLLOS PAQUETES
 1.52.1.56.200      36   9    200      20000     PAPEL PERIODICO
                                             PAPELERA METALICA
         1.70.7     36   8      1      18000       DE ESCRITORIO
                                                         Parlantes de
         1.70.7     36   8      4      56000             Computador
         1.70.7     36   8      1       3000 PASADOR CENTRAL
                                                PASTAS DE FRENO
         1.70.7     36   8      1      45000                  JUEGO
     1.64.4.8.6     36   3    120     264000      PASTAS X LIBRAS
          1.7.3     36   3      4     206132      PASTILLA FRENO
      1.27.3.30     36   3      1       4000              PEGA PVC
   1.27.3.30.4      36   3      4      48000         PEGA PVC 1/16
   1.27.3.30.5      36   5      2      50000      PEGA PVC DE 1/8
  1.52.1.48.28      36   9     48     172944     PEGASTIC BARRA
1.64.3.2.385    36   11    1460   1168000        PEPINO X LIBRA
       1.49.3.5   36    2       6   1165998    PERSIANA 110 x160
    1.30.1.24.1   36   11       1     20000                    PICAS
                                               Pintura Aerosol color
       1.58.5.4   36   11       2     18000     PINTURA BASE DE negro
     1.57.1.1.2   36    5       4    259840          AGUA GALON
                                                PINTURA BASE DE
     1.57.1.1.2   36   12       1                        AGUA X 1/4
                                      16240 PINTURA DOMESTICO
     1.57.1.1.2   36    5       4    260000                X GALON
                                               PINTURA ESMALTE
       1.57.1.1   36    8      28   1343272                  GALON
       1.57.1.1   36    4       3    862656   PINTURA X CUÑETE
  1.64.3.1.865    36    7    1948   3116800           PIÑA X LIBRA
  1.55.1.32.27    36   11       1      9328            PITO FOX 40
    1.40.4.7.16   36    2      10     20000 PLAFONES DE LOZA
                                                    PLANTULAS DE
 1.62.3.2.2209    36   11   10000                         CACAO kg
                                     350000 PLASTICO CALIBRE 6
      1.52.1.60   36   12      20    140000                 METROS
    1.52.1.60.4   36   11      30    570000   PLASTICO METROS
    1.66.3.38.6   36   11      20               PLASTICO NEGRO
                                     120000 PLATANO GUINEO X
  1.64.3.2.421    36    4   23345   2334500                  UNIDAD
                                               PLATANO VERDE X
  1.64.3.2.433    36    4    2921   1752600                    LIBRA
         1.70.7   36    6     100    250000      PLATOS HONDOS
    1.57.2.7.37   36    9       2     13000              PLUMILLAS
                                                          POCILLOS
  1.50.4.15.10    36    1     100    200000             PLASTICOS
       1.47.1.4   36    9       1   1300000      Portatil acerPortatil
                                                               Aspire
       1.47.1.4   36   12       1    902000              4749 corei3
                                                          PORTATIL
       1.47.1.4   36    8      1                     CAPACIDAD Y
                                    1500000 POSTES DE 4 MTS X
         1.70.7   36    6     38     836000 POSTES DE 4 X 4 X6"      3
         1.70.7   36    9     56    1680000                    MTRS
         1.70.7   36    9      1    1500000           PROYECTOR
    1.35.7.2.73   36    3      4    1120000    PUERTA METALICA
                                               PUERTA METALICA
    1.35.7.2.73   36   11      5    1500000                   90X200
         1.70.7   36   10      1     400000          PUERTA REJA
         1.70.7   36   10      1      20000              Puerto USB
 1.47.2.12.100    36    8      1      80000       QUEMADOR DVD
       1.64.2.9   36   11    596    1668800 QUESITOS X UNIDAD
         1.70.7   36    2     16      10400                  RADIOS
                                              Recarga para Tonner
      1.52.1.50   36   11      9     146160       impresora SHARP
1.56.2.19.1000    36    2      6              Recogedor de Basura
                                      36000 REGLA PLASTICA DE
 1.52.1.79.144    36   10      1                           0.30 CMS
                                        500 REGLA PLASTICA DE
 1.52.1.79.144    36    4      2                           0.30 CMS
                                       1000 REGLA PLASTICA DE
 1.52.1.79.172    36    8     12       4872                0.30 CMS
      3.3.14.13   36    4      1      13500 REGULADOR DE GAS
         1.70.7   36    3      1      20000 RELAY DE ARRANQUE
                                              RELOJ RADICADOR
         1.70.7   36    1      1    1325000 CORRESPONDENCIA
  1.64.3.2.517    36    2   1500     900000     REPOLLO X LIBRA
                                                   RESALTADOR X
  1.52.1.62.59    36    3    132     158400                  UNIDAD
                                                  RESMA BOND 75
  1.52.1.56.17    36   11     62     603880                   OFICIO
  1.52.1.56.15    36    3    200    1800000 RESMA BOND CARTA
                                                      RETENEDOR
         1.70.7   36    3      2      12000               CIGUEÑAL
                                               RETENEDORES DE
          1.7.5   36    1      2      20000                 BARRAS
 1.52.1.81.117    36    4     18      54000    ROLLOS PARA FAX
                                                  Rotulos de colores
         1.70.7   36    8     17     360400                    xmillar
                                            Router inalambrico para
         1.70.7   36   10      1     160000            internet 300M
    1.30.1.16.7   36   11      4      46200      RULAS X UNIDAD
                                                     SACAPUNTAS
    1.52.2.32.8   36    3     66      29634             METALICOS
  1.64.10.4.11    36    5    128      32000               SAL X LBS
 1.64.1.10.514    36    1   1500    4800000   SALCHICHON X LBS
                                                         SANITARIO
   1.52.1.2.10    36   3      40    6000000           ECONOMICO
  1.64.1.4.288    36   2    1720    3784000       SARDINA X LATA
                                                    Sello Automatico
     1.52.2.28    36   2       1      25000                 Fechador
Sello entintable de la
     1.52.2.28   36   11     1      28000                 Biblioteca
     1.52.2.28   36   11     1       5800 SEMILLASello multiuso
                                                     DE ABARCO
   1.62.3.2.10   36    8     1     600000 SEMILLA DE ACEITE X  X KG
        1.62.3   36   11    40    1600000                        KG
      1.52.1.7   36    1    20    3200000   SEMILLA DE BALSO
                                                      SEMILLA DE
1.62.3.2.2809    36    8     3     600000         MAJAGUA X KG
1.62.3.2.7463    36    2    25    1500000 SEMILLA DE PERILLO
                                            SEMILLA DE SACHA
1.62.3.2.7464    36    3     2     180000           SEMILLAS KG
                                                       INCHI X DE
 1.64.4.5.269    36   11   100     200000    CEBOLLA (SOBRE)
                                                    SEMILLAS DE
 1.64.4.5.269    36   12   100     200000   CILANTRO (SOBRE)
                                             SEMILLAS DE MAIZ
 1.64.4.5.269    36   12   100     200000                 (SOBRE)
                                                    SEMILLAS DE
 1.64.4.5.269    36    3   100     200000      TOMATE (SOBRE)
                                                    SEMILLAS DE
 1.64.4.5.269    36   3     100    200000 ZANAHORIA (SOBRE)
                                               SEMILLAS FRIJOL
 1.64.4.5.269    36   3     100    200000                 (SOBRE)
                                                    SERVILLETAS
 1.61.4.6.389    36   3      13     18200              PAQUETES
                                            Silicona Liquida x 250
        1.70.7   36   3      30    180000                          ml
    1.48.1.14    36   3       6   1500000                      sillas
    1.48.1.31    36   3      20    600000    SILLAS PLASTICAS
                                                     SIPEGA 1000
    1.52.1.48    36   3       4     30000                GRAMOS
 1.52.1.48.14    36   3      12     24000    SOBRE DE250 GRS
                                                 SIPEGA MANILA
1.52.3.8.1216    36   3    1200    132000    SOBRE DE MANILACARTA
1.52.3.8.1197    36   3     200     26000           EXTRAOFICIO
                                             SOBRE DE MANILA
1.52.3.8.1230    36   3    1100    108900          SOBRE OFICIO
                                                            OFICIO
1.52.3.8.1002    36   7     800     29600                 BLANCO
1.52.3.8.1290    36   3     100     13300 Sobres de manila carta
        1.70.7   36   7       8     26912           SOCKET E-40
        1.47.4   36   3      15   2700000             SOFTWARE
                                                  SOFTWARE DE
      1.47.4.1   36   7      15   6000000 Soporte APLICACION
                                                     metalico para
      1.48.3.7   36   3       1     97800               Video Bean
        1.70.7   36   3       2      1200 SOPORTES CORTINA
        1.70.7   36   3       2    238000   SWICH ENCENDIDO
                                             SWICHE SENCILLO
        1.70.7   36   4      12     26400               LEVINTON
                                                  SWITCHE PARA
        1.70.7   36   3       2     16000   TABLA DE MADERA LUCES
      1.34.2.5   36   6      60    600000                  COMUN
 1.52.1.59.66    36   6       8     32000        Tabla Porta Papel
        1.70.7   36   3       1      4000    TACO PARA MOTO
        1.70.7   36   6      11     17083           TACOS BOND
        1.70.7   36   6       1    300000        TALADRO DE 1/2
                                           TALONARIO RECIBO
   1.52.3.3.2    36   3      2       2600           CAJA MENOR
                                           TALONARIO RECIBO
   1.52.3.3.2    36   3      6       5220           CAJA MENOR
    1.56.2.20    36   3      4      80000   TAPABOCAS x DE 4"
                                               TAPON PVC cajas
  1.27.3.17.9    36   3      1       2000                    SANIT
     1.47.6.5    36   3      4      80000      TARJETA DE RED
     1.47.3.8    36   3      1      32000        TarjetaTECLADO
                                                         de Sonido
       1.70.7    36   3      4      78880     TEE PVC DE 1USB
                                               MULTIMEDIA 1/2"
  1.27.3.2.42    36   3      9       2250          TEESANITARIA
                                                        PVC DE 1"
  1.27.3.2.32    36   3      2       4000                PRESION
                                                   TEE PVC DE 3"
  1.27.3.2.44    36   3     12      60000              SANITARIA
  1.66.3.27.1    36   3      2       6000 TEFLON INDUSTRIAL
  1.35.5.2.14    36   3    200    6000000    TEJA ETERNIT # 10
  1.35.5.2.12    36   7    300    7800000     TEJA ETERNIT # 8
  1.35.5.2.10    36   3    100    1950000    TEJA ETERNIT N° 4
  1.35.5.2.11    36   7    100    2000000    TEJA ETERNIT Nº 6
       1.70.7    36   3    100     850000 Tela Polisombra x mts
                                              TENSO-AC X 20Kg
 1.56.3.58.15    36   7     12     400800 (JABON INDUSTRIAL)
  1.52.2.33.7    36   3     12      33600   TIJERAS MEDIANAS
    1.52.1.76    36   3      6     587118    TINTA LEXMARK 34
    1.52.1.76    36   3      3     326769    TINTA LEXMARK 35
TINTA PARA
         1.70.7   36   4     12     73776     MARCADOR FRASCO
      1.52.1.70   36   3      6     19200            Tinta para HP 27
                                                       TINTAS sellos
      1.52.1.76   36   6      2    101520                   ORIGINAL
1.52.1.71.1550    36   6    100   1000000    TIZA A COLOR CAJAS
 1.52.1.71.101    36   3    100    800000     TIZA BLANCA CAJAS
    1.56.2.13.1   36   6      8     30504   TOALLA PARA MANOS
         1.70.7   36   6     24     60000          TOMA LEVINTON
                                              TOMATE DE ALIÑO X
         1.70.7   36   3   1508   1508000    TOMATE DE ARBOL X  LIBRA
         1.70.7   36   3   1820    910000                       LIBRA
      1.52.1.75   36   3      2    300000     Toner Laser Jet P1505
         1.70.7   36   3     20   3200000         TONNER HP 285A
         1.70.7   36   3     12   2088000         TONNER HP 435A
         1.70.7   36   3     12   2296800         TONNER HP 436A
                                                TONNER hp laser jet
      1.52.1.76   36   3      5    800000       TONNER LASER HP P1005
         1.70.7   36   3      1    189000                      C7515A
                                                      tonner Laser Hp
         1.70.7   36   3      1    520000               CE255X negro
      1.56.2.21   36   3    140    728000       tubo novafor traperas
                                                               de 10" x
         1.70.7   36   3     15   3750000                           6m
                                                tubo novafor de 12" x
         1.70.7   36   3     20   6400000                           6m
         1.70.7   36   7     20   2400000   tubo novafor de 6" x 6 m
         1.70.7   36   3     20   3500000   tubo novafor de 8" x 6 m
                                                     TUBO PVC 2"X6
    1.27.1.1.2    36   7    30     900000     METROS SANITARIO
                                               TUBO PVC DE 1 1/2"
    1.27.1.1.1    36   3    82    2558400    TUBO PVCSANITARIO
                                                           DE 1" RDE
    1.27.1.4.6    36   7    24     480000   TUBO PVC DE 1/2 RDE    13.5
    1.27.1.4.1    36   3    62     372000         TUBO PVC DE 13.5 1/2"
    1.27.1.4.1    36   3   150    1800000                   PRESION
                                                    TUBO PVC DE 3"
    1.27.1.1.3    36   3     3     15000       SANITARIA METROS
                                               TUBO PVC DE 4" X 6
    1.27.1.1.4    36   4    14    980000      METROS SANITARIO
                                            TUBO PVC SANITARIO
     1.27.1.1.4   36   3      4     48000                DE 4" X MTS
                                              TUBO SANITARIO DE
     1.27.1.1.3   36   6     45   2124135                  3" X 6 MTS
                                              TUBO SANITARIO DE
     1.27.1.1.4   36   6     30   1410000                 4" X 6 MTS
                                                       UNIDADES DE
      1.47.2.12   36   3    200    200000               CD/DVD/CDR
  1.27.3.9.126    36   6     50     50000          UNION PVC DE 1"
  1.27.3.9.124    36   6    100     50000        UNION PVC DE 1/2"
                                                   UNION PVC DE 2"
  1.27.3.9.134    36   3     30     45000                 SANITARIA
                                             UNION SANITARIA DE
  1.27.3.9.128    36   3     20     26000                        1 1/2"
         1.70.7   36   3      1      5000         UNIVERSAL DE 1"
  1.52.2.27.20    36   3     15     13200     UÑA SACAGANCHOS
         1.70.7   36   3      2    600000                         UPS
           1.39   36   3      1    230000               UPS 8 salidas
         1.70.7   36   3      1    300000            UPS DE 1300VA
         1.70.7   36   3      3    360000                ups de 650w
   1.39.12.3.9    36   3      1    145000            UPS DE 850 VA
       1.34.2.3   36   3   8500   1020000                     VARETA
     1.68.2.1.5   36   3    500   7000000    Varilla corrgada de 1/2"
                                                 VARILLA ROSCADA
  1.32.2.11.13    36   3    100    500000                      DE 1/2"
                                                               VASOS
        1.70.7    36   7    72    118080             DESECHABLES
                                                               VASOS
        1.70.7    36   3    18     21600      DESECHABLES X 3.5
                                                               VASOS
        1.70.7    36   7     6      7800         DESECHABLES X 7
        1.70.7    36   3   100    200000        VASOS PLASTICOS
                                                        VENTILADOR
      1.21.4.5    36   7     3    390000                    SAMURAI
                                                        VENTILADOR
  1.21.4.5.109    36   3     2     230000                  SAMURAY
         1.21.4   36   3     2     300000                   Ventilador,
     1.41.6.3.6   36   3     1    1155000               VIDEO BEAM
      1.52.1.57   36   4    20      20000                Vinilo grande
1.52.1.57.12   36   3    150     225000        VINILO GRANDE
1.64.3.3.218   36   6   1460     876000          YUCA X LIBRA
1.64.3.2.578   36   6   3895    3895000    ZANAHORIA X IBRA
      1.60.6   36   3     21    1772085        ZAPATOS DAMA
    1.60.6.3   36   6      6     515112    ZAPATOS HOMBRE
 1.68.3.2.54   36   4    500   10000000             Zinc 2,05 mt
    1.68.3.2   36   4    800   19200000   zinc canalado por 3 m
Plan compras 2013 municipio de san luis

Plan compras 2013 municipio de san luis

  • 1.
    v4 PLAN DE COMPRAS (Ver hoja 'Ayudas y códigos necesarios') Importante: De conformidad con el artículo 1 del Acuerdo 0004 de 2005, se define Plan de Compras como: Plan de adquisiciones de bienes, servicios y obra pública de las entidades y particulares que manejan recursos públicos, independientemente del rubro presupuestal que se afecte, ya sea de funcionamiento o de inversión” Identificacio Tipo n Identificacio Funcionario Valor Total [Maximo Nit de la n Responsabl 20 digitos]No utilice Nombre de la Entidad Entidad [3 - Funcionario e [Maximo Año Fiscal comas, puntos ni [Maximo 100 caracteres] 15 digitos] Responsable 15 digitos] [AAAA] signo $ MUNICIPIO DE SANLUIS ANTIOQUIA 890984376 CC 70351221 2013 554.799.756,00 Columna1 Columna2 Columna3 Columna4 Columna5 Columna6 Columna7 Mes Valor Modalidad de Proyectado Presupuesta Cantidad [Maximo 10 digitos] Contratacion de Compra do incluido Descripcion del Codigo CUBS [Ver ayudas] [1 - 12] IVA Elemento ABONO ORGANICO 1.62.2.1 36 4 144 1296000 COMPOST X BULTO 11.62.2.1.8 36 11 50 700000 ABONO VIGOR BULTO 1.27.3.31.1 36 11 2 1200 ABRAZADERA ACCESORIOS 1.25.1.24.2 36 2 2 25800 ACEITE SANITARIO 2 TIEMPOS 1.25.1.24.2 36 11 7 140000 CUARTO 1.65.1.4.3 36 8 2 20000 ACEITE 2T X 1/8 1.65.1.4.3 36 10 20 200000 ACEITE 4T X 1/4 Aceite bach para 1.56.3.1 36 2 3 60000 Limpiar instrumentos ACEITE HAVOLINE #50 1.65.1.4.3 36 12 1 20000 CUARTO 1.65.1.4.3 36 4 1 12000 ACEITE HIDRAULICO 1.65.1.4.3 36 3 1 20000 ACEITE MOTOR ACEITE OLEOLLANO 1.64.9.1.26 36 6 600 2520000 X LITRO ACEITE VALVULINA 1.65.1.4.3 36 4 2 20000 CUARTO 1.65.1.4.3 36 8 2 40000 ACEITE X 1/4 1.27.3.25.26 36 3 1 3000 ACOPLE SANITARIO 1.65.2.1.1 36 11 2450 20090000 ACPM X GALON 1.57.3.2.1 36 11 3288 9864000 ACRONAL BOTELLA ADAPTADOR MACHO 1.27.3.12.27 36 2 4 1600 DE 1/2 PRESION ADAPTADOR MACHO 1.27.3.12.27 36 3 120 240000 PF+UAD DE 1/2" 1.35.2.3.61 36 2 5000 4750000 adobe de 10*20*40 1.64.1.1.4 36 6 33 132000 AGUA POR PACAS 1.64.3.2.17 36 12 1500 900000 AHUYAMA X LIBRA ALAMBRE DE 1.68.1.3.1 36 3 10 45000 AMARRE KILOS ALAMBRE DUPLEX 1.39.11.6 36 12 100 150000 ALAMBRE#12 METROS DUPLEX No. 1.39.11.6 36 2 200 260000 16 Mts. ALAMBRE 1.68.1.2.6 36 2 20 120000 GALVANIZADO KILO ALAMBRE RIGIDO N* 8 1.39.1.12.4 36 3 100 300000 X METROS ALAMBRE RIGIDO No. 1.39.11.12.3 36 6 50 105000 10 Mts 1.30.2.17.10 36 2 1 7000 ALICATES
  • 2.
    ALMOHADILLAS PARA 1.52.2.2.68 36 3 1 5000 ALMOHADILLAS PARASELLO 1.52.2.2.68 36 7 6 12528 SELLO AMARRAS PARA 1.70.7 36 8 600 120000 ETERNIT AMBIENTADOR X 1.56.3.30.4 36 8 16 120000 TARRO 1.70.7 36 12 8 130000 ANGULOS 11/2 X 1/8 1.47.4.7.13 36 10 2 249200 ANTIVIRUS Mcaffe 1.48.1.1 36 11 1 480000 ARCHIVADOR ARCHIVADOR DE 1.48.1.1.163 36 11 1 258999 MADERA 4 GAVETAS Archivador en L de 1.48.1.1 36 3 1 980000 madera 320*087 cm ARENA DE PEGA 1.35.1.14.3 36 11 32 1232000 METROS3 AROMATICAS EN 1.64.1.1.10 36 8 24 19200 BOLSA CAJA AROMATICAS EN 1.64.1.1.10 36 12 19 60800 CUBO CAJAS 1.64.4.11.4 36 8 7800 10140000 ARROZ X LIBRA 1.64.4.5.5 36 1 1500 1800000 ARVEJA X LIBRA ASPIRADORA DE 1.56.1.3 36 12 1 200000 MANO 1.64.1.4.1 36 12 840 1764840 ATUN ESPAÑOLA ATUN ESPAÑOLA X 1.64.1.4.1 36 2 5000 10500000 LATA 1.64.4.3.31 36 3 630 472500 AVENA X LBS 1.56.3.33.20 36 12 8 24000 AXION X TARRO 1.30.1.1.1 36 10 3 60000 AZADON 1.30.1.1.1 36 2 1 21400 AZADONETA AZUCAR X 1.64.5.1.77 36 3 37 125800 SOBRECITOS 1.64.5.1.78 36 12 3900 3900000 AZUCAR X LIBRA 1.70.7 36 10 2 18000 BALINERAS BALINERAS 1.70.7 36 8 2 24000 CIGUEÑAL BALINERAS LLANTA 1.70.7 36 10 5 35000 TRACERA 1.55.1.4.12 36 6 21 1019340 BALON BALONCESTO BALON BALONCESTO 1.55.1.4.12 36 3 3 324000 GOLTY PROFESIONAL BALON BALONCESTO 1.55.1.4.12 36 9 3 327000 GOLTY PROFESIONAL BALON BALONCESTO 1.55.1.4.12 36 2 10 322560 GOLTY SUPER BALON BALONCSTO 1.55.1.4.12 36 12 8 810240 GOLTY PROFESIONAL 1.55.1.1.11 36 11 19 585200 BALON DE FUTBOL BALON DE FUTBOL 1.55.1.1.11 36 9 15 MIKASA 937260 BALON DE VOLEYBOL 1.55.1 36 8 15 696000 GOLTY BALON FUTBOL 1.55.1.1 36 7 2 343252 GOLTY BALON GOLTY 1.55.1.2.12 36 5 18 1148400 COMPETITION BALON MICRO 1.55.1.2.12 36 8 19 1019920 FUTBOL GOLTY BALON MICRO 1.55.1.2.11 36 11 20 812000 IMPACT 1.64.3.1.71 36 12 5400 1080000 BANANO X UNIDAD BANDAS TRASERAS 1.7.3.4.1 36 12 3 45000 PAR 1.70.7 36 12 1 55000 BASE FAROLA 1.70.7 36 12 1 7000 BASE MANIGUETA 1.48.3.1 36 9 1 20000 BASURERA 1.48.3.1 36 2 30 450000 Basureros 1.39.1.12.4 36 7 3 215700 BATERIA 6V12 V DT BATERIA YUASA 1.39.1.12.4 36 12 2 90000 BATERIA PARA DT 1.39.1.14.31 36 10 1 275000 VEHICULOS 1.62.1.3 36 10 20 1200000 BAVISTIN LTS BISTURI GRANDRE 1.52.1.14.18 36 4 10 22000 ENCAUCHETADO 1.56.3.8 36 11 9 54000 Blanqueador 1.52.1.56.158 36 8 20 46000 BLOCK IRIS CARTA 1.70.7 36 12 2000 3000000 Bloque de 15 1.60.2.1 36 10 42 2016000 BLUSAS DAMA 1.10.3.2 36 3 1 44000 BOBINA 1.52.1.9 36 3 12 boligrafos X 12 UNI 72000 BOLSA PARA BASURA 1.56.2.2.3 36 3 3 6000 PAQUETE
  • 3.
    BOLSA PLASTICA TRANSPARENTE 1.56.2.2.4 36 3 2 4000 GRANDE *100 para 1.58.1.2 36 8 2000 40000 BOLSAS 3x6 1.58.1.2 36 11 2000 40000 BOLSAS 3x7 BOLSAS PARA 1.58.1.12 36 8 3000 54000 VIVERO BOMBILLO 1.7.5.5.2 36 11 6 5802 DIRECCIONAL 12 V BOMBILLO 1.40.1 36 11 2 1400 DIRECCIONAL 6 VOLT BOMBILLO 1.40.1.1.23 36 10 1 10000 HALOGENO BOMBILLO 1.40.1.1.24 36 11 1 11000 HALOGENO FORALA 1.40.1 36 2 8 830560 BOMBILLO MH 1000 W 1.7.5 36 10 2 5000 BOMBILLO STOP 12 V 1.40.1.1.23 36 10 1 2000 BOMBILLO STOP 6 V 1.40.5.2.11 36 10 19 19000 BOMBILLOS 1.52.1.17.20 36 8 6 3900 Borrador miga de pan BORRADOR NATA X 1.52.1.17.11 36 11 96 24480 UNIDAD BORRADOR PARA 1.52.1.17.1 36 9 50 60000 TABLERO 1.60.6.1.3 36 2 6 253800 BOTAS PAR 1.64.12.1.9 36 2 50 400000 BOTELLON DE AGUA Broca espiral para 1.30.4.2 36 12 3 7800 taladro 1/16 o mas 1.57.2.3.20 36 6 5 33640 BROCHA DE 2 1/2" 1.57.2.3.12 36 6 6 45456 BROCHA DE 3" 1.57.2.3.13 36 5 1 17168 BROCHA DE 5" 1.27.3.28.4 36 2 1 700 BUJE DE 1-1/2 1.70.7 36 14 2 140000 BUJES DE TIJERA 1.70.7 36 10 1 20000 BUJES TIJERAS 1.10.3.3.446 36 4 1 6000 BUJIA BP 6HS 1.10.3.3.446 36 4 6 34998 BUJIAS Cable para monitor 1.47.6 36 4 1 46000 15/15 macho de 12 Mts, 1.47.6 36 3 1 9000 CABLE USB DE 1.5MT CABLE USB PARA 1.47.3.3.2 36 8 2 12000 IMPRESORA HP 1.36.6.6 36 3 100 100000 CABLE UTP MTS 1.36.8 36 7 200 200000 Cableado Estructurado 1.70.7 36 10 1 8000 CABUYA ROLLOS 1.70.7 36 12 1 48000 CADENA DID 4284 CAFE SELLO ROJO 1.64.1.3.82 36 10 40 376000 CAFE POR LIBRAS X 250 GRMS 1.64.1.3.82 36 10 9 81000 PAQUETE 1.52.1.18 36 10 200 1180000 CAJA DE ARCHIVO Cajas para fichas de 1.48.1.17 36 10 5 63500 Usuarios CAL AGRICOLA X 1.35.1.3 36 12 10 100000 BULTO 1.35.1.3.3 36 12 4 26000 CAL VIVA BULTOS CALCULADORA 1.51.1.1.3 36 3 8 81664 CASSIO CALCULADORA 1.51.1.3 36 12 1 30000 CIENTIFICA Cámara digital 1.44.2.2.8 36 9 2 1172000 profesional CAMARA 1.44.2.2.8 36 4 2 800000 FOTOGRAFICA 1.60.2.2.3 36 8 24 996000 CAMISAS HOMBRE 1.32.8.8.34 36 8 1 8000 CANDADO MEDIANO 1.49.4.2.21 36 5 5 125000 CANECA PLASTICA 1.25.1.19.3 36 5 36 360000 CANILLA DE 1/2" 1.70.7 36 5 1 4000 CAPUCHON DE BUJIA 1.60.1.2.10 36 6 2 46000 CARETAS CARGADOR 1.70.7 36 8 2 160000 PORTATIL 1.64.1.7.595 36 9 2400 14400000 CARNE DE RES 1.52.1.6.14 36 9 12 48720 CARPETAS AZ CARTA 1.52.1.6.56 36 11 24 97440 CARPETAS AZ OFICIO 1.52.1.19.30 36 1 120 24000 CARPETAS CAFES CARPETAS 1.52.1.19.2 36 2 600 374400 COLGANTE CARTCHO TINTA HP 1.52.1.76 36 3 1 63800 CARTELERAS DE 28 1.70.7 36 2 2 0 CORCHO
  • 4.
    CARTON PAJA 1.52.1.20.5 36 9 40 80000 PLIEGO 1.52.1.76.42 36 5 20 722000 CARTUCHO HP 60 CARTUCHO HP 675 1.52.1.76.42 36 11 5 190000 CARTUCHO COLOR HP 675 1.52.1.76.42 36 10 5 190000 NEGRO CARTUCHO HP 675 1.52.1.76 36 11 8 304000 NEGRO Y COLOR Cartucho impresora HP 1.52.1.76 36 12 15 2325000 85A 1.52.1.75.458 36 4 3 155994 cartucho Lexmark 17 1.52.1.75.759 36 11 3 177000 Cartucho Lexmark 27 CARTUCHOS HP 21 1.52.1.76.49 36 8 12 484320 ORIGINAL CARTUCHOS HP 22 1.52.1.76.978 36 11 12 569844 ORIGINAL 1.52.1.21.113 36 11 200 114000 CARTULINA BRISTOL 1.52.1.12 36 11 10 8000 Cartulina de colores 1.52.1.20.10 36 6 100 80000 Cartulina Degrade 1.52.1.20.10 36 6 150 52350 CARTULINA PLANA CARTULINA TAMAÑO 1.52.1.21 36 3 6000 450000 OFICIO CASCO PARA 1.60.1.3.57 36 8 2 58000 MOTOCICLETA 1.52.1.73 36 3 200 131600 CD DVD TDK 1.52.1.72.2 36 6 300 203400 CD X UNIDAD 1.70.7 36 3 1 28000 CDI DE ENCENDIDO 1.52.1.72.18 36 8 30 34530 CEBOLLA CDRW TDK DE HUEVO 1.64.3.8.169 36 3 500 350000 X LIBRA 1.36.1.1 36 7 2 500000 CELULAR (PLAN) CEMENTO GRIS 1.35.1.1.3 36 2 1800 43920000 BULTOS 1.35.3.18 36 1 3 96000 Cenefa motivo infantil 1.56.2.17.11 36 9 20 0 CEPILLO DE MANO 1.60.1.7 36 8 20 700000 CHALECOS 1.32.8.1.10 36 12 2 72000 CHAPAS Chinche plastico de 1.52.1.22 36 2 5 13500 colores CHOCOLATE X 1.64.11.4.14 36 3 68 224400 LIBRAS 1.64.11.4.144 36 8 120 276000 Chocolisto CILINDRO DE GAS DE 1.65.6.1.1 36 12 8 299432 CILINDROS CON GAS 40 LBS 1.65.6.1.1 36 6 11 1040875 DE 100 LBS 1.52.1.25.1 36 2 12 6960 CINTA ADHESIVA 1.37.1.1.3 36 12 4 8000 CINTA AISLANTE CINTA AISLANTE 3 1.37.17.1.3 36 12 6 90864 CINTA ANCHAMM DE 1.32.10.4 36 6 2 6048 AMARRE CINTA DE EMBALAJE 1.32.10.4 36 12 24 144000 DE 2" X 100 MTRS 1.32.10.8.34 36 9 2 6000 Cinta de enmascarar CINTA DE 1.32.10.8.34 36 3 15 22575 ENMASCARAR 1" CINTA DE 1.32.10.8.34 36 2 66 85866 ENMASCARAR DE CINTA 3/4 1.32.10.8.34 36 6 14 10542 ENMASCARAR DE 1/2" CINTA DE 1.32.10.8.34 36 2 1 2853 ENMASCARAR ROLLO 1.52.1.25 36 2 6 6600 Cinta enmascarar CINTA IMPRESORA 1.52.1.31.66 36 10 20 330000 1180 CINTA IMPRESORA 1.52.1.31.67 36 3 4 104000 EPSON FX 890 1.52.1.25 36 3 3 3000 Cinta tansparente ancha 1.52.1.25 36 6 6 4200 Cinta transparente Cinta transparente 1.32.1.3.5 36 6 2 1400 delgada Cinta transparente 1.32.10.3.1 36 8 2 5600 gruesa CINTA 1.32.1.3.5 36 8 24 13560 TRANSPARENTE X CINTAS IMPRESORA 1.52.1.31.80 36 4 12 300000 2190 1.52.1.45 36 2 10 5000 Clic estándar forrado CLIP ESTANDAR X 1.52.1.45.19 36 3 60 24000 CAJA 1.52.1.45.28 36 12 24 37584 CLIP MARIPOSA CLIP PEQUEÑO DE 1.52.1.45.19 36 9 12 7440 COLOR COCA DE 1.70.7 36 2 1 18000 DISTRIBUCION 1.70.7 36 9 6 780000 COCHE 1.64.1.5.1 36 2 596 1013200 COCOA X BOLSA
  • 5.
    1.27.3.1.86 36 2 1 1200 CODO PRESION 1" 1.27.3.1.84 36 2 77 46200 CODOCODO PVC 1/2" SANITARIO DE 1.27.3.1.104 36 2 7 28000 3" 1.70.7 36 11 100 150000 COLBON 125 gramos Colbon x X FRASCO 1.52.1.48.14 36 9 24 60000 COLCHONES EN 250g 1.49.1.1.2 36 9 3 270000 ALGODON 1.52.1.32 36 9 50 500000 Colores 1.70.7 36 9 4 6400000 computador escritorio Computador Portatil 1.47.1.4 36 5 5 7500000 capacidad y rendimiento CONCENTRADOR 24P 1.36.4.2.13 36 11 1 850000 BASE 10/100 CONDENSADOR 24 1.37.2.1.19 36 4 8 372904 MICROFARIADOS CONJUNTOS DEPOR. (CAMISETA, 1.60.1 36 2 150 5250000 PANTALONETA Y 1.52.1.55 36 8 3 63000 Contac x10Mts CORRECTOR LIQUID 1.52.1.35.16 36 7 24 80760 PAPER X UNIDAD 1.52.2.7.100 36 5 10 220000 COSEDORA 1.52.2.7.100 36 8 1 7672 COSEDORA MANUAL 1.58.1.19.2 36 9 460 276000 COSTALES DE FIBRA 1.70.7 36 12 1 75000 CRANCK DT 1.64.5 36 6 20 12000 CROASANS 1.70.7 36 7 100 100000 CUCHARAS SOPERAS 1.52.1.36 36 9 1 400 Cuchilla bisturí CUCHILLO EN ACERO 1.30.1.10.120 36 10 12 42000 INOXIDABLE 1.70.7 36 10 24 144000 Cuerda para Guitarra 1.70.7 36 2 2 CUNAS DIRECCION 253000 DESLIZADOR CADENA 1.70.7 36 6 1 (TENSOR) 25000 Detergente Ariel x 1000 1.56.3.36 36 3 13 81250 Gm 1.56.3.17 36 8 50 300000 detergente grande 1.70.7 36 12 5 140000 DIRECCIONALES 1.47.3.5.1 36 11 2 DISCO DURO 330000 Disco Duro Externo Mini 1.47.3.5 36 6 5 1102500 1TB 1.7.5.12.5 36 7 1 15000 EJE CAMBIOS 1.70.7 36 5 1 3444 EMPAQUE EMPAQUE TAPA 1.70.7 36 5 1 3000 VOLANTE 1.70.7 36 11 2 6000 Enchufe ESCALERA 3 1.70.7 36 11 1 300000 PELDAÑOS 1.70.7 36 11 1 2100000 ESCANER HP 7000 1.70.7 36 3 1 500000 ESCANNER HP 5590 1.56.2.27.109 36 9 140 ESCOBAS X UNIDAD 602000 ESPAGUETIS DORIA X 1.64.4.8.4 36 8 2925 3802500 250 GMS 1.70.7 36 6 5 86625 ESPEJO RETROVISOR 1.66.4.5 36 7 2 38000 ESPEJOS 1.56.2.10.34 36 11 2 7000 ESTOPA BOLSA 1.56.2.10.62 36 8 1 7000 ESTOPA KILO Extensión electrica 2 1.70.7 36 6 1 17500 tomasx 8Mts Extinguidor 1.22.1.1 36 8 2 140000 multiproposito 10 Lbs 1.56.3.6.3 36 2 24 96000 FABULOSO X 1000 CM FACTURA DE 1.53.7.5 36 12 7500 810000 IMPUESTO PREDIAL FACTURA DE 1.53.7.5 36 7 7500 810000 INDUSTRIA Y 1.52.2.12.1 36 3 2 3450 FECHADOR MANUAL 1.10.7.1.2 36 11 1 52000 FILTRO ACEITE 1.10.7.1.2 36 11 2 78000 FILTRO AIRE 1.10.1.1.1 36 11 3 18000 FILTRO GASOLINA FLASHER 1.70.7 36 7 3 37500 DIRECCIONAL 1.52.1.42 36 2 9 62172 Folder 105 de 1 1/2" 1.52.1.42 36 6 6 45240 FOLDER DE 2"
  • 6.
    FOLLETOS GACETA 1.53.1.2.28 36 6 250 1425000 DEL CONCEJO FORMA CM-1 1.70.7 36 11 10 147320 RECIBOS DE CAJA FORMA CONTINUA 1.53.7.5.86 36 3 5 362500 CARTA CON COPIA FORMA CONTINUA 1.53.7.5.85 36 11 2 106720 CARTA SIN COPIA FORMA CONTINUA 1.53.7.5.85 36 7 6 313200 CARTA SIN COPIA FORMAS CONTINUAS 1.53.7.5.86 36 7 3 217500 CARTA CON COPIA(9- FORMAS CONTINUAS 1.53.7.5.85 36 2 6 313200 CARTA SIN FD 03 09 FORMATO COPIA X 1.53.7.5 36 11 500 435000 (ficha predial) 1.70.7 36 4 10 40000 Formol x frasco 1.64.4.5.269 36 11 1500 3000000 FRIJOL LIMA X LIBRA FUENTE DE PODER 1.37.18 36 2 4 161332 ATX Fuiguras de personajes 1.52.1.15 36 2 10 180000 infantiles en icopor FUSIBLE DE 3 1.70.7 36 11 1 2000 AMPERIOS 1.70.7 36 6 2 7000 Fusible de 80 Amp Gabinete para portatiles 1.48.1.18 36 3 1 2400000 (laboratorio movil para 1.64.5 36 6 100 38000 GALAS 1.64.5.4.5 36 8 120 420000 GALLETAS X TACOS GANCHO LEGAJADOR 1.52.1.45 36 5 80 255040 PLASTICO CAJA gancho para cosedora 1.70.7 36 7 7 31150 23/17 GANCHOS PARA 1.52.1.45.77 36 11 36 54288 COSEDORA CAJA 1.70.7 36 8 133 642789 GASEOSA 3 LTR 1.64.1.5.14 36 11 2 7500 gaseosa de 2.5 lt 1.65.7.1.2 36 12 2700 24840000 GASOLINA GALONES 1.36.1 36 8 1 400000 GPS GARMIN 1.43.15 36 11 30 600000 GRAMERAS GRAPA ALAMBRE 1.32.4.4.5 36 12 1 6000 KILO GRAPAS STANDARD 1.32.4 36 11 1 6000 GALVANIZADAS 1.20.3.3 36 11 6 7200 GRILLETES DE 3/8 1.17.2.9 36 10 1 1250000 GUADAÑA 1.34.1.5 36 11 1650 2681250 Guadua X mts Lineal 1.56.2.11.28 36 2 4 83520 GUANTES CAJAS 1.60.8.5 36 2 1 16000 Guantes cirugia GUANTES DE CUERO 1.60.1.4.28 36 11 5 50000 Y TELA GUANTES DE USO 1.60.15.14.1 36 2 10 60000 INDUSTRIAL PAR 1.70.7 36 6 1 126000 GUARDABARRO 1.70.7 36 7 1 16500 Guaya Choke 1.70.7 36 10 1 2000 GUAYA CLOTH MOTO 1.64.3.2.301 36 6 1460 1752000 HABICHUELA X LIBRA HIPOCLORITO DE 1.45.1.21.4 36 10 504 780192 SODIO 15% HOJAS DE ZINC DE 3 1.68.3.2.55 36 11 1155 21945000 METROS HUELLEROS 1.70.7 36 3 3 13188 DACTILAR 1.64.1.3.3 36 12 23345 5836250 HUEVOS X UNIDAD 1.52.2.15.14 36 11 6 23238 HUMEDECEDOR 1.52.1.51.10 36 12 2 5104 impresora de punto 2" ICOPOR fx 1.47.2 36 2 1 1800000 2190 IMPRESORA DE 1.47.2 36 11 1 980000 PUNTO EPSON FX 890 Impresora Inyección a 1.47.2 36 11 2 580000 Impresora Laser Blanco color 1.47.2.3 36 1 2 1000000 y Negro Impresora laser 1.70.7 36 12 2 5400000 monocromatica alto IMPRESORA 1.70.7 36 2 1 2000000 MULTIUSOS JABON DETERGENTE 1.70.7 36 3 2 30000 X 3000
  • 7.
    1.60.1.19.1 36 5 14 JEANS DAMA 1064000 JUEGO BANDAS DEL- 1.7.3 36 1 2 32000 TRAS Juego de agujas 1.55.2.31 36 4 1 5200 gruesas 1.7.3 36 1 8 758000 JUEGO DE BANDAS 1.70.7 36 2 1 45000 JUEGO DE OLLAS JUEGO DE PASTILLAS 1.7.3 36 1 1 12000 DELANTERAS XT 225 1.70.7 36 12 2 KIT ARRASTRE 173000 KIT ARRASTRE DT 125 1.70.7 36 6 1 63000 ORIGINAL 1.70.7 36 10 1 51000 KIT BIELA DT 125 1.70.7 36 4 3 523500 KIT DE ARRASTRE KIT DE RASTRILLO Y 1.17.5.12.116 36 2 1 PALAS PQÑAS 30000 Lámina de icopor de 2 1.52.1.51.8 36 7 2 8000 cm 1.52.1.9.4 36 2 6 2088 Lapicero negro 1.52.1.9.4 36 6 300 120000 LAPICERO NEGRO LAPICERO PAPER 1.52.1.9.4 36 11 50 105950 MATE 1.52.1.9.4 36 2 100 43100 LAPICERO STABILO 1.52.1.9.4 36 11 80 LAPICEROS 48000 LAPICEROS DE TINTA 1.52.1.9.4 36 3 12 12000 NEGRA 1.52.1.38 36 2 300 180000 LAPIZ NEGRO LECHE EN POLVO X 1.64.2.6.29 36 6 360 2160000 LIBRAS 1.64.4.5.666 36 10 1500 2250000 LENTEJA X LIBRA LIBRO 400 FOLIOS 1.52.1.53.2 36 3 4 85840 ACTAS LIBRO CONTABILIDAD 1.52.1.53.3 36 10 8 1/2 OFICIO 80 HOJAS 43616 LIBRO DE 200 FOLIOS 1.52.1.53.1 36 4 8 72384 LIBRO DE 600 FOLIOS ACTAS 1.52.1.53 36 9 4 118320 ACTAS 1.52.1.53 36 3 1 Libro de actas 300 LIBRO DE ACTAS 100 1.52.1.53 36 10 10 66120 FOLIOS 1.53 36 6 1 2500000 Libros (Varias áreas) 1.50.1.14 36 6 2 240000 LICUADORAS 1.30.1.15.1185 36 8 12 48000 LIMA TRIANGULAR LIMPIA VIDRIOS 1.70.7 36 11 10 87000 FRASCO 1.42.8.81 36 11 1 20000 Limpiador para monitor 1.56.3.8.118 36 2 80 520000 limpido x 1800 cm Liquido limpiador de 1.56.3.19 36 11 1 30000 madera y madecor LITRO TINTA PARA 1.17.5.5 36 4 3 336786 RECARGAR TONNERS 1.70.7 36 9 4 2133940 LLANTA 255/70 LLANTA 410 X 18 1.8.1.1.426 36 4 2 314000 LLANTA PARA MOTOTRACERA 1.8.1.1 36 2 1 115000 275/21 LLANTAS 275 X 21 1.8.1.1 36 10 1 73000 MICHELINE 1 LLANTAS 235/75-15 1.8.1.1 36 3 2 997600 LLANTAS TRACERA Montero 1.8.1.1.438 36 2 3 PARA MOTO 412500 LLAVE CONTENCION 1.21.3.29 36 1 1 12000 P.L. 1/2" 1.62.6.1.572 36 2 10 60000 LORBAN EN POLVO 1.62.6.1.572 36 3 20 1000000 LORSBAN LTS 1.30.1.16 36 3 2 28000 MACHETES 20" MALLA ZARANDA 1.32.7.9.27 36 3 6 36000 METROS MANDARINA X 1.64.3.1.481 36 5 5400 1620000 UNIDAD 1.64.3.1.493 36 3 950 950000 MANGUERA DE 1 1/2 MANGO 1.27.2.17 36 2 200 600000 METROS 1.27.2 36 4 70 7000000 MANGUERA de 1" mangueraDE 1" 1.27.2 36 2 5000 6500000 MTS 1.27.2.13 36 1 200 10000000 manguera de 1/2 1.27.2.15.16 36 1 8 1440000 manguera de 2" *DE 3" MANGUERA 50 m 1.27.2.15 36 11 1500 5500500 manguera de 3/4 Xx MTS 1.27.2.7.6 36 12 200 16000000 rollo 100mts MANGUERA MINERA 1.27.2.13 36 7 29 725000 DE 1/2X100 METROS MANGUERA MINERA 1.27.2.15.16 36 3 400 1600000 DE 2" MTS
  • 8.
    MANIGUETA CLOSS- 1.70.7 36 6 5 31665 FRENO 1.70.7 36 7 3 16500 MANIGUETAS 1.20.2.1 36 3 20 20000 MANILA METROS 1.70.7 36 4 1 8000 MANILARES 1.70.7 36 1 1 40000 MANUBRIO 1.64.3.1.568 36 9 5400 2700000 MANZANAS X UNIDAD Maquina de escribir 1.51.2.1 36 2 1 240000 electrica 1.64.3.1.613 36 8 500 600000 MARACUYA X LIBRA MARCADOR 1.52.1.41.186 36 9 60 75060 BORRABLE Marcador negro punta 1.52.1.41.1025 36 11 24 48000 delgada negro MARCADOR 1.52.1.41.1025 36 11 100 100000 PERMANENTE 1.30.1.18 36 11 1 14000 MARTILLO DE UÑA 1.60.15.5.66 36 11 10 10000 MASCARILLAS Memoraia USB de 32 1.47.2 36 11 1 54000 GB 1.47.2 36 2 2 116000 MEMORIA USB 16 GB MEMORIA USB DE 4 1.47.3.6.7 36 11 4 62640 GIGAS MEMORIA USB DE 1.47.3.6.7 36 4 6 96000 8GB 1.50.4.9.1 36 4 14 16800 MEZCLADORES Microfono/ Audifono 1.37.16.13.1 36 6 20 300000 Diadema 1.21.3.40 36 11 1 350000 MONITOR DE 22" 1.21.3.40 36 2 1 230000 MONITOR LCD 19" 1.64.3.1.673 36 9 950 1425000 MORA X LIBRA 1.47.2.15 36 9 6 120000 NESCAFE CONMOUSE LECHE 1.64.11.3.82 36 9 14 252700 X BOLSA 1.8.1.2 36 9 2 31000 NEUMATICO NEUMATICO 410 X 18 1.8.1.2.37 36 3 1 17000 BRIGESTONE NEUMATICO PARA 1.8.1.2.25 36 2 2 34000 MOTO 1.50.1.22 36 12 1 700000 NEVERA HACEB 1.50.1.22.213 36 7 1 NEVERA NO FROST 1000000 NITROGENO LIQUIDO 1.45.3.11.6 36 3 134 634222 X LITRO 1.62.2.1 36 2 20 500000 NUTRIMIL 1.70.7 36 11 3 10500 Nylon 70 libras 1.50.3.25.28 36 3 4 320000 OLLA A PRESION 1.50.1.17.28 36 6 1 118000 OLLA ARROCERA ORIN (CIGUEÑAL - 1.32.6.7.3 36 9 2 4000 SALIDA) 1.70.7 36 9 1 35000 PALA COCA 1.30.1.26 36 3 3 45000 PALAS 1.30.1.21.118 36 3 2 36000 PALIN 1.64.5.5.4 36 4 1846 1753700 PANELA X LBS 1.60.1.19.1 36 4 9 684000 PANTALON X UNIDAD PANTALONES 1.60.1.11.18 36 8 16 930128 HOMBRE 1.64.3.3.75 36 4 1600 960000 PAPAPAPA CRIOLLA X COMUN X LIBRA 1.64.3.3.85 36 4 1420 1420000 LIBRA PAPEL CONTAC 1.52.1.55.1 36 2 29 42891 TRANSPARENTE PAPEL CONTAC 1.52.1.55 36 9 9 16704 TRASPARENTE X MT PAPEL HIGIENICO *4 1.61.4.4.37 36 7 20 106000 ROLLOS PAQUETES 1.52.1.56.200 36 9 200 20000 PAPEL PERIODICO PAPELERA METALICA 1.70.7 36 8 1 18000 DE ESCRITORIO Parlantes de 1.70.7 36 8 4 56000 Computador 1.70.7 36 8 1 3000 PASADOR CENTRAL PASTAS DE FRENO 1.70.7 36 8 1 45000 JUEGO 1.64.4.8.6 36 3 120 264000 PASTAS X LIBRAS 1.7.3 36 3 4 206132 PASTILLA FRENO 1.27.3.30 36 3 1 4000 PEGA PVC 1.27.3.30.4 36 3 4 48000 PEGA PVC 1/16 1.27.3.30.5 36 5 2 50000 PEGA PVC DE 1/8 1.52.1.48.28 36 9 48 172944 PEGASTIC BARRA
  • 9.
    1.64.3.2.385 36 11 1460 1168000 PEPINO X LIBRA 1.49.3.5 36 2 6 1165998 PERSIANA 110 x160 1.30.1.24.1 36 11 1 20000 PICAS Pintura Aerosol color 1.58.5.4 36 11 2 18000 PINTURA BASE DE negro 1.57.1.1.2 36 5 4 259840 AGUA GALON PINTURA BASE DE 1.57.1.1.2 36 12 1 AGUA X 1/4 16240 PINTURA DOMESTICO 1.57.1.1.2 36 5 4 260000 X GALON PINTURA ESMALTE 1.57.1.1 36 8 28 1343272 GALON 1.57.1.1 36 4 3 862656 PINTURA X CUÑETE 1.64.3.1.865 36 7 1948 3116800 PIÑA X LIBRA 1.55.1.32.27 36 11 1 9328 PITO FOX 40 1.40.4.7.16 36 2 10 20000 PLAFONES DE LOZA PLANTULAS DE 1.62.3.2.2209 36 11 10000 CACAO kg 350000 PLASTICO CALIBRE 6 1.52.1.60 36 12 20 140000 METROS 1.52.1.60.4 36 11 30 570000 PLASTICO METROS 1.66.3.38.6 36 11 20 PLASTICO NEGRO 120000 PLATANO GUINEO X 1.64.3.2.421 36 4 23345 2334500 UNIDAD PLATANO VERDE X 1.64.3.2.433 36 4 2921 1752600 LIBRA 1.70.7 36 6 100 250000 PLATOS HONDOS 1.57.2.7.37 36 9 2 13000 PLUMILLAS POCILLOS 1.50.4.15.10 36 1 100 200000 PLASTICOS 1.47.1.4 36 9 1 1300000 Portatil acerPortatil Aspire 1.47.1.4 36 12 1 902000 4749 corei3 PORTATIL 1.47.1.4 36 8 1 CAPACIDAD Y 1500000 POSTES DE 4 MTS X 1.70.7 36 6 38 836000 POSTES DE 4 X 4 X6" 3 1.70.7 36 9 56 1680000 MTRS 1.70.7 36 9 1 1500000 PROYECTOR 1.35.7.2.73 36 3 4 1120000 PUERTA METALICA PUERTA METALICA 1.35.7.2.73 36 11 5 1500000 90X200 1.70.7 36 10 1 400000 PUERTA REJA 1.70.7 36 10 1 20000 Puerto USB 1.47.2.12.100 36 8 1 80000 QUEMADOR DVD 1.64.2.9 36 11 596 1668800 QUESITOS X UNIDAD 1.70.7 36 2 16 10400 RADIOS Recarga para Tonner 1.52.1.50 36 11 9 146160 impresora SHARP 1.56.2.19.1000 36 2 6 Recogedor de Basura 36000 REGLA PLASTICA DE 1.52.1.79.144 36 10 1 0.30 CMS 500 REGLA PLASTICA DE 1.52.1.79.144 36 4 2 0.30 CMS 1000 REGLA PLASTICA DE 1.52.1.79.172 36 8 12 4872 0.30 CMS 3.3.14.13 36 4 1 13500 REGULADOR DE GAS 1.70.7 36 3 1 20000 RELAY DE ARRANQUE RELOJ RADICADOR 1.70.7 36 1 1 1325000 CORRESPONDENCIA 1.64.3.2.517 36 2 1500 900000 REPOLLO X LIBRA RESALTADOR X 1.52.1.62.59 36 3 132 158400 UNIDAD RESMA BOND 75 1.52.1.56.17 36 11 62 603880 OFICIO 1.52.1.56.15 36 3 200 1800000 RESMA BOND CARTA RETENEDOR 1.70.7 36 3 2 12000 CIGUEÑAL RETENEDORES DE 1.7.5 36 1 2 20000 BARRAS 1.52.1.81.117 36 4 18 54000 ROLLOS PARA FAX Rotulos de colores 1.70.7 36 8 17 360400 xmillar Router inalambrico para 1.70.7 36 10 1 160000 internet 300M 1.30.1.16.7 36 11 4 46200 RULAS X UNIDAD SACAPUNTAS 1.52.2.32.8 36 3 66 29634 METALICOS 1.64.10.4.11 36 5 128 32000 SAL X LBS 1.64.1.10.514 36 1 1500 4800000 SALCHICHON X LBS SANITARIO 1.52.1.2.10 36 3 40 6000000 ECONOMICO 1.64.1.4.288 36 2 1720 3784000 SARDINA X LATA Sello Automatico 1.52.2.28 36 2 1 25000 Fechador
  • 10.
    Sello entintable dela 1.52.2.28 36 11 1 28000 Biblioteca 1.52.2.28 36 11 1 5800 SEMILLASello multiuso DE ABARCO 1.62.3.2.10 36 8 1 600000 SEMILLA DE ACEITE X X KG 1.62.3 36 11 40 1600000 KG 1.52.1.7 36 1 20 3200000 SEMILLA DE BALSO SEMILLA DE 1.62.3.2.2809 36 8 3 600000 MAJAGUA X KG 1.62.3.2.7463 36 2 25 1500000 SEMILLA DE PERILLO SEMILLA DE SACHA 1.62.3.2.7464 36 3 2 180000 SEMILLAS KG INCHI X DE 1.64.4.5.269 36 11 100 200000 CEBOLLA (SOBRE) SEMILLAS DE 1.64.4.5.269 36 12 100 200000 CILANTRO (SOBRE) SEMILLAS DE MAIZ 1.64.4.5.269 36 12 100 200000 (SOBRE) SEMILLAS DE 1.64.4.5.269 36 3 100 200000 TOMATE (SOBRE) SEMILLAS DE 1.64.4.5.269 36 3 100 200000 ZANAHORIA (SOBRE) SEMILLAS FRIJOL 1.64.4.5.269 36 3 100 200000 (SOBRE) SERVILLETAS 1.61.4.6.389 36 3 13 18200 PAQUETES Silicona Liquida x 250 1.70.7 36 3 30 180000 ml 1.48.1.14 36 3 6 1500000 sillas 1.48.1.31 36 3 20 600000 SILLAS PLASTICAS SIPEGA 1000 1.52.1.48 36 3 4 30000 GRAMOS 1.52.1.48.14 36 3 12 24000 SOBRE DE250 GRS SIPEGA MANILA 1.52.3.8.1216 36 3 1200 132000 SOBRE DE MANILACARTA 1.52.3.8.1197 36 3 200 26000 EXTRAOFICIO SOBRE DE MANILA 1.52.3.8.1230 36 3 1100 108900 SOBRE OFICIO OFICIO 1.52.3.8.1002 36 7 800 29600 BLANCO 1.52.3.8.1290 36 3 100 13300 Sobres de manila carta 1.70.7 36 7 8 26912 SOCKET E-40 1.47.4 36 3 15 2700000 SOFTWARE SOFTWARE DE 1.47.4.1 36 7 15 6000000 Soporte APLICACION metalico para 1.48.3.7 36 3 1 97800 Video Bean 1.70.7 36 3 2 1200 SOPORTES CORTINA 1.70.7 36 3 2 238000 SWICH ENCENDIDO SWICHE SENCILLO 1.70.7 36 4 12 26400 LEVINTON SWITCHE PARA 1.70.7 36 3 2 16000 TABLA DE MADERA LUCES 1.34.2.5 36 6 60 600000 COMUN 1.52.1.59.66 36 6 8 32000 Tabla Porta Papel 1.70.7 36 3 1 4000 TACO PARA MOTO 1.70.7 36 6 11 17083 TACOS BOND 1.70.7 36 6 1 300000 TALADRO DE 1/2 TALONARIO RECIBO 1.52.3.3.2 36 3 2 2600 CAJA MENOR TALONARIO RECIBO 1.52.3.3.2 36 3 6 5220 CAJA MENOR 1.56.2.20 36 3 4 80000 TAPABOCAS x DE 4" TAPON PVC cajas 1.27.3.17.9 36 3 1 2000 SANIT 1.47.6.5 36 3 4 80000 TARJETA DE RED 1.47.3.8 36 3 1 32000 TarjetaTECLADO de Sonido 1.70.7 36 3 4 78880 TEE PVC DE 1USB MULTIMEDIA 1/2" 1.27.3.2.42 36 3 9 2250 TEESANITARIA PVC DE 1" 1.27.3.2.32 36 3 2 4000 PRESION TEE PVC DE 3" 1.27.3.2.44 36 3 12 60000 SANITARIA 1.66.3.27.1 36 3 2 6000 TEFLON INDUSTRIAL 1.35.5.2.14 36 3 200 6000000 TEJA ETERNIT # 10 1.35.5.2.12 36 7 300 7800000 TEJA ETERNIT # 8 1.35.5.2.10 36 3 100 1950000 TEJA ETERNIT N° 4 1.35.5.2.11 36 7 100 2000000 TEJA ETERNIT Nº 6 1.70.7 36 3 100 850000 Tela Polisombra x mts TENSO-AC X 20Kg 1.56.3.58.15 36 7 12 400800 (JABON INDUSTRIAL) 1.52.2.33.7 36 3 12 33600 TIJERAS MEDIANAS 1.52.1.76 36 3 6 587118 TINTA LEXMARK 34 1.52.1.76 36 3 3 326769 TINTA LEXMARK 35
  • 11.
    TINTA PARA 1.70.7 36 4 12 73776 MARCADOR FRASCO 1.52.1.70 36 3 6 19200 Tinta para HP 27 TINTAS sellos 1.52.1.76 36 6 2 101520 ORIGINAL 1.52.1.71.1550 36 6 100 1000000 TIZA A COLOR CAJAS 1.52.1.71.101 36 3 100 800000 TIZA BLANCA CAJAS 1.56.2.13.1 36 6 8 30504 TOALLA PARA MANOS 1.70.7 36 6 24 60000 TOMA LEVINTON TOMATE DE ALIÑO X 1.70.7 36 3 1508 1508000 TOMATE DE ARBOL X LIBRA 1.70.7 36 3 1820 910000 LIBRA 1.52.1.75 36 3 2 300000 Toner Laser Jet P1505 1.70.7 36 3 20 3200000 TONNER HP 285A 1.70.7 36 3 12 2088000 TONNER HP 435A 1.70.7 36 3 12 2296800 TONNER HP 436A TONNER hp laser jet 1.52.1.76 36 3 5 800000 TONNER LASER HP P1005 1.70.7 36 3 1 189000 C7515A tonner Laser Hp 1.70.7 36 3 1 520000 CE255X negro 1.56.2.21 36 3 140 728000 tubo novafor traperas de 10" x 1.70.7 36 3 15 3750000 6m tubo novafor de 12" x 1.70.7 36 3 20 6400000 6m 1.70.7 36 7 20 2400000 tubo novafor de 6" x 6 m 1.70.7 36 3 20 3500000 tubo novafor de 8" x 6 m TUBO PVC 2"X6 1.27.1.1.2 36 7 30 900000 METROS SANITARIO TUBO PVC DE 1 1/2" 1.27.1.1.1 36 3 82 2558400 TUBO PVCSANITARIO DE 1" RDE 1.27.1.4.6 36 7 24 480000 TUBO PVC DE 1/2 RDE 13.5 1.27.1.4.1 36 3 62 372000 TUBO PVC DE 13.5 1/2" 1.27.1.4.1 36 3 150 1800000 PRESION TUBO PVC DE 3" 1.27.1.1.3 36 3 3 15000 SANITARIA METROS TUBO PVC DE 4" X 6 1.27.1.1.4 36 4 14 980000 METROS SANITARIO TUBO PVC SANITARIO 1.27.1.1.4 36 3 4 48000 DE 4" X MTS TUBO SANITARIO DE 1.27.1.1.3 36 6 45 2124135 3" X 6 MTS TUBO SANITARIO DE 1.27.1.1.4 36 6 30 1410000 4" X 6 MTS UNIDADES DE 1.47.2.12 36 3 200 200000 CD/DVD/CDR 1.27.3.9.126 36 6 50 50000 UNION PVC DE 1" 1.27.3.9.124 36 6 100 50000 UNION PVC DE 1/2" UNION PVC DE 2" 1.27.3.9.134 36 3 30 45000 SANITARIA UNION SANITARIA DE 1.27.3.9.128 36 3 20 26000 1 1/2" 1.70.7 36 3 1 5000 UNIVERSAL DE 1" 1.52.2.27.20 36 3 15 13200 UÑA SACAGANCHOS 1.70.7 36 3 2 600000 UPS 1.39 36 3 1 230000 UPS 8 salidas 1.70.7 36 3 1 300000 UPS DE 1300VA 1.70.7 36 3 3 360000 ups de 650w 1.39.12.3.9 36 3 1 145000 UPS DE 850 VA 1.34.2.3 36 3 8500 1020000 VARETA 1.68.2.1.5 36 3 500 7000000 Varilla corrgada de 1/2" VARILLA ROSCADA 1.32.2.11.13 36 3 100 500000 DE 1/2" VASOS 1.70.7 36 7 72 118080 DESECHABLES VASOS 1.70.7 36 3 18 21600 DESECHABLES X 3.5 VASOS 1.70.7 36 7 6 7800 DESECHABLES X 7 1.70.7 36 3 100 200000 VASOS PLASTICOS VENTILADOR 1.21.4.5 36 7 3 390000 SAMURAI VENTILADOR 1.21.4.5.109 36 3 2 230000 SAMURAY 1.21.4 36 3 2 300000 Ventilador, 1.41.6.3.6 36 3 1 1155000 VIDEO BEAM 1.52.1.57 36 4 20 20000 Vinilo grande
  • 12.
    1.52.1.57.12 36 3 150 225000 VINILO GRANDE 1.64.3.3.218 36 6 1460 876000 YUCA X LIBRA 1.64.3.2.578 36 6 3895 3895000 ZANAHORIA X IBRA 1.60.6 36 3 21 1772085 ZAPATOS DAMA 1.60.6.3 36 6 6 515112 ZAPATOS HOMBRE 1.68.3.2.54 36 4 500 10000000 Zinc 2,05 mt 1.68.3.2 36 4 800 19200000 zinc canalado por 3 m