APELLIDOS Y NOMBRES_:SAEZ YUQUILEMA JENNY PILAR
CÉDULA:0605483262
Función SI (IF)
Discrimine la información de acuerdo a:
Si la Nota Total es mayor igual a 15 por valor verdadero Aprobado caso contrario Reprobado
Apellido Nombre Género Escuela Valor Matrícula Edad
Tiempo
Estudios
Zurita Alejandra Femenino Informática 1468 24 3
Andrews Frances Femenino Comercio 1141 19 5
Bach Shirley Femenino Hotelería 721 20 2
Davidson Paul Masculino Turismo 1197 27 3
Edelhart Catherine Femenino Informática 1190 19 3
Falconer Charles Masculino Comercio 1150 25 5
Ford Hunter Masculino Hotelería 1198 19 4
Guevara Hector Masculino Turismo 1108 23 3
Aguirre Tatiana Femenino Turismo 1352 28 2
Gandet Debbie Femenino Hotelería 1083 19 2
Gay Michael Masculino Comercio 1411 26 4
Endara Cristina Femenino Informática 1232 22 1
Halvorson Mónica Femenino Comercio 1454 20 5
Gonzaga Gabriel Masculino Informática 947 26 4
Jacks Kris Masculino Comercio 880 26 3
Funciones lógicas anidadas
Usando las funciones lógicas determine lo siguiente:
Si la Nota total es mayor o igual a 15 entonces aprobado
Si la Nota total es mayor o igual a 10 y menor que 15 entonces suspenso
Si la Nota total es menor que 10 entonces reprobado
Apellido Nombre Género Escuela Valor Matrícula Edad
Tiempo
Estudios
Zurita Alejandra Femenino Informática 1468 24 3
Andrews Frances Femenino Comercio 1141 19 5
Bach Shirley Femenino Hotelería 721 20 2
Davidson Paul Masculino Turismo 1197 27 3
Edelhart Catherine Femenino Informática 1190 19 3
Falconer Charles Masculino Comercio 1150 25 5
Ford Hunter Masculino Hotelería 1198 19 4
Guevara Hector Masculino Turismo 1108 23 3
PRÁCTICA DE EXCEL
Aguirre Tatiana Femenino Turismo 1352 28 2
Gandet Debbie Femenino Hotelería 1083 19 2
Gay Michael Masculino Comercio 1411 26 4
Endara Cristina Femenino Informática 1232 22 1
Halvorson Mónica Femenino Comercio 1454 20 5
Gonzaga Gabriel Masculino Informática 947 26 4
Jacks Kris Masculino Comercio 880 26 3
Función Estadística Contar (Count)
Usando la siguiente tabla, determine cuantos alumnos existen:
Apellido Nombre Género Escuela Valor Matrícula No. Alumnos
Zurita Alejandra Femenino Informática 1468 15
Andrews Frances Femenino Comercio 1141 14
Bach Shirley Femenino Hotelería 721 13
Davidson Paul Masculino Turismo 1197 12
Edelhart Catherine Femenino Informática 1190 11
Falconer Charles Masculino Comercio 1150 10
Ford Hunter Masculino Hotelería 1198 9
Guevara Hector Masculino Turismo 1108 8
Aguirre Tatiana Femenino Turismo 1352 7
Gandet Debbie Femenino Hotelería 1083 6
Gay Michael Masculino Comercio 1411 6
Endara Cristina Femenino Informática 1232 6
Halvorson Mónica Femenino Comercio 1454 6
Gonzaga Gabriel Masculino Informática 947 6
Jacks Kris Masculino Comercio 880 6
Función Estadística Contar.si (Countif)
Contar los alumnos que pertenecen a la Escuela de Informática
Contar los alumnos que pertenecen a la Escuela de Comercio
Contar los alumnos que pertenecen a la Escuela de Hotelería
Contar los alumnos que pertenecen a la Escuela de Turismo
Apellido Nombre Género Escuela Valor Matrícula
Zurita Alejandra Femenino Informática 1468
Andrews Frances Femenino Comercio 1141
Bach Shirley Femenino Hotelería 721
Davidson Paul Masculino Turismo 1197
Edelhart Catherine Femenino Informática 1190
Falconer Charles Masculino Comercio 1150
Ford Hunter Masculino Hotelería 1198
Guevara Hector Masculino Turismo 1108
Aguirre Tatiana Femenino Turismo 1352
Gandet Debbie Femenino Hotelería 1083
Gay Michael Masculino Comercio 1411
Endara Cristina Femenino Informática 1232
Halvorson Mónica Femenino Comercio 1454
Gonzaga Gabriel Masculino Informática 947
Jacks Kris Masculino Comercio 880
Contar los alumnos de Informática 4
Contar los alumnos de Comercio 5
Contar los alumnos de Hotelería 3
Contar los alumnos de Turismo 1
Función Estadística Promedio (Average)
Determine el promedio de la columna Valor matrícula
Apellido Nombre Género Escuela Valor Matrícula Promedio
Zurita Alejandra Femenino Informática 1468 1168,8
Andrews Frances Femenino Comercio 1141
Bach Shirley Femenino Hotelería 721
Davidson Paul Masculino Turismo 1197
Edelhart Catherine Femenino Informática 1190
Falconer Charles Masculino Comercio 1150
Ford Hunter Masculino Hotelería 1198
Guevara Hector Masculino Turismo 1108
Aguirre Tatiana Femenino Turismo 1352
Gandet Debbie Femenino Hotelería 1083
Gay Michael Masculino Comercio 1411
Endara Cristina Femenino Informática 1232
Halvorson Mónica Femenino Comercio 1454
Gonzaga Gabriel Masculino Informática 947
Jacks Kris Masculino Comercio 880
Función Estadística Desvest (Stdev)
Determine la desviación standard de la columna Valor matrícula
Apellido Nombre Género Escuela Valor Matrícula
Desviación
Standard
Zurita Alejandra Femenino Informática 1468 209,5035629
Andrews Frances Femenino Comercio 1141
Bach Shirley Femenino Hotelería 721
Davidson Paul Masculino Turismo 1197
Edelhart Catherine Femenino Informática 1190
Falconer Charles Masculino Comercio 1150
Ford Hunter Masculino Hotelería 1198
Guevara Hector Masculino Turismo 1108
Aguirre Tatiana Femenino Turismo 1352
Gandet Debbie Femenino Hotelería 1083
Gay Michael Masculino Comercio 1411
Endara Cristina Femenino Informática 1232
Halvorson Mónica Femenino Comercio 1454
Gonzaga Gabriel Masculino Informática 947
Jacks Kris Masculino Comercio 880
Función Estadística Max (Max)
Determine el valor más alto de la columna Valor matrícula
Apellido Nombre Género Escuela Valor Matrícula Valor Máximo
Zurita Alejandra Femenino Informática 1468 1468
Andrews Frances Femenino Comercio 1141
Bach Shirley Femenino Hotelería 721
Davidson Paul Masculino Turismo 1197
Edelhart Catherine Femenino Informática 1190
Falconer Charles Masculino Comercio 1150
Ford Hunter Masculino Hotelería 1198
Guevara Hector Masculino Turismo 1108
Aguirre Tatiana Femenino Turismo 1352
Gandet Debbie Femenino Hotelería 1083
Gay Michael Masculino Comercio 1411
Endara Cristina Femenino Informática 1232
Halvorson Mónica Femenino Comercio 1454
Gonzaga Gabriel Masculino Informática 947
Jacks Kris Masculino Comercio 880
Función Estadística Min (Min)
Determine el menor valor de la columna Valor matrícula
Apellido Nombre Género Escuela Valor Matrícula Valor Mínimo
Zurita Alejandra Femenino Informática 1468 721
Andrews Frances Femenino Comercio 1141
Bach Shirley Femenino Hotelería 721
Davidson Paul Masculino Turismo 1197
Edelhart Catherine Femenino Informática 1190
Falconer Charles Masculino Comercio 1150
Ford Hunter Masculino Hotelería 1198
Guevara Hector Masculino Turismo 1108
Aguirre Tatiana Femenino Turismo 1352
Gandet Debbie Femenino Hotelería 1083
Gay Michael Masculino Comercio 1411
Endara Cristina Femenino Informática 1232
Halvorson Mónica Femenino Comercio 1454
Gonzaga Gabriel Masculino Informática 947
Jacks Kris Masculino Comercio 880
Función Estadística Mediana (Mediana)
Determine la mediana de la columna Valor matrícula
Apellido Nombre Género Escuela Valor Matrícula Mediana
Zurita Alejandra Femenino Informática 1468 1190
Andrews Frances Femenino Comercio 1141
Bach Shirley Femenino Hotelería 721
Davidson Paul Masculino Turismo 1197
Edelhart Catherine Femenino Informática 1190
Falconer Charles Masculino Comercio 1150
Ford Hunter Masculino Hotelería 1198
Guevara Hector Masculino Turismo 1108
Aguirre Tatiana Femenino Turismo 1352
Gandet Debbie Femenino Hotelería 1083
Gay Michael Masculino Comercio 1411
Endara Cristina Femenino Informática 1232
Halvorson Mónica Femenino Comercio 1454
Gonzaga Gabriel Masculino Informática 947
Jacks Kris Masculino Comercio 880
Función Estadística Moda (Mode)
Determine la moda de la columna Valor matrícula
Apellido Nombre Género Escuela Valor Matrícula Moda
Zurita Alejandra Femenino Informática 1468 721
Andrews Frances Femenino Comercio 721
Bach Shirley Femenino Hotelería 721
Davidson Paul Masculino Turismo 1197
Edelhart Catherine Femenino Informática 1190
Falconer Charles Masculino Comercio 1150
Ford Hunter Masculino Hotelería 1198
Guevara Hector Masculino Turismo 1108
Aguirre Tatiana Femenino Turismo 1352
Gandet Debbie Femenino Hotelería 1083
Gay Michael Masculino Comercio 1411
Endara Cristina Femenino Informática 1232
Halvorson Mónica Femenino Comercio 1454
Gonzaga Gabriel Masculino Informática 947
Jacks Kris Masculino Comercio 880
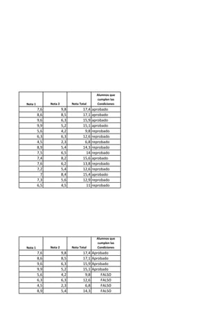
Nota 1 Nota 2 Nota Total
Alumnos que
cumplen las
Condiciones
7,6 9,8 17,4 aprobado
8,6 8,5 17,1 aprobado
9,6 6,3 15,9 aprobado
9,9 5,2 15,1 aprobado
5,6 4,2 9,8 reprobado
6,3 6,3 12,6 reprobado
4,5 2,3 6,8 reprobado
8,9 5,4 14,3 reprobado
7,5 6,5 14 reprobado
7,4 8,2 15,6 aprobado
7,6 6,2 13,8 reprobado
7,2 5,4 12,6 reprobado
7 8,4 15,4 aprobado
7,3 5,6 12,9 reprobado
6,5 4,5 11 reprobado
Nota 1 Nota 2 Nota Total
Alumnos que
cumplen las
Condiciones
7,6 9,8 17,4 Aprobado
8,6 8,5 17,1 Aprobado
9,6 6,3 15,9 Aprobado
9,9 5,2 15,1 Aprobado
5,6 4,2 9,8 FALSO
6,3 6,3 12,6 FALSO
4,5 2,3 6,8 FALSO
8,9 5,4 14,3 FALSO
XCEL
7,5 6,5 14 FALSO
7,4 8,2 15,6 Aprobado
7,6 6,2 13,8 FALSO
7,2 5,4 12,6 FALSO
7 8,4 15,4 Aprobado
7,3 5,6 12,9 FALSO
6,5 4,5 11 FALSO

Practica con funciones

  • 1.
    APELLIDOS Y NOMBRES_:SAEZYUQUILEMA JENNY PILAR CÉDULA:0605483262 Función SI (IF) Discrimine la información de acuerdo a: Si la Nota Total es mayor igual a 15 por valor verdadero Aprobado caso contrario Reprobado Apellido Nombre Género Escuela Valor Matrícula Edad Tiempo Estudios Zurita Alejandra Femenino Informática 1468 24 3 Andrews Frances Femenino Comercio 1141 19 5 Bach Shirley Femenino Hotelería 721 20 2 Davidson Paul Masculino Turismo 1197 27 3 Edelhart Catherine Femenino Informática 1190 19 3 Falconer Charles Masculino Comercio 1150 25 5 Ford Hunter Masculino Hotelería 1198 19 4 Guevara Hector Masculino Turismo 1108 23 3 Aguirre Tatiana Femenino Turismo 1352 28 2 Gandet Debbie Femenino Hotelería 1083 19 2 Gay Michael Masculino Comercio 1411 26 4 Endara Cristina Femenino Informática 1232 22 1 Halvorson Mónica Femenino Comercio 1454 20 5 Gonzaga Gabriel Masculino Informática 947 26 4 Jacks Kris Masculino Comercio 880 26 3 Funciones lógicas anidadas Usando las funciones lógicas determine lo siguiente: Si la Nota total es mayor o igual a 15 entonces aprobado Si la Nota total es mayor o igual a 10 y menor que 15 entonces suspenso Si la Nota total es menor que 10 entonces reprobado Apellido Nombre Género Escuela Valor Matrícula Edad Tiempo Estudios Zurita Alejandra Femenino Informática 1468 24 3 Andrews Frances Femenino Comercio 1141 19 5 Bach Shirley Femenino Hotelería 721 20 2 Davidson Paul Masculino Turismo 1197 27 3 Edelhart Catherine Femenino Informática 1190 19 3 Falconer Charles Masculino Comercio 1150 25 5 Ford Hunter Masculino Hotelería 1198 19 4 Guevara Hector Masculino Turismo 1108 23 3 PRÁCTICA DE EXCEL
  • 2.
    Aguirre Tatiana FemeninoTurismo 1352 28 2 Gandet Debbie Femenino Hotelería 1083 19 2 Gay Michael Masculino Comercio 1411 26 4 Endara Cristina Femenino Informática 1232 22 1 Halvorson Mónica Femenino Comercio 1454 20 5 Gonzaga Gabriel Masculino Informática 947 26 4 Jacks Kris Masculino Comercio 880 26 3 Función Estadística Contar (Count) Usando la siguiente tabla, determine cuantos alumnos existen: Apellido Nombre Género Escuela Valor Matrícula No. Alumnos Zurita Alejandra Femenino Informática 1468 15 Andrews Frances Femenino Comercio 1141 14 Bach Shirley Femenino Hotelería 721 13 Davidson Paul Masculino Turismo 1197 12 Edelhart Catherine Femenino Informática 1190 11 Falconer Charles Masculino Comercio 1150 10 Ford Hunter Masculino Hotelería 1198 9 Guevara Hector Masculino Turismo 1108 8 Aguirre Tatiana Femenino Turismo 1352 7 Gandet Debbie Femenino Hotelería 1083 6 Gay Michael Masculino Comercio 1411 6 Endara Cristina Femenino Informática 1232 6 Halvorson Mónica Femenino Comercio 1454 6 Gonzaga Gabriel Masculino Informática 947 6 Jacks Kris Masculino Comercio 880 6 Función Estadística Contar.si (Countif) Contar los alumnos que pertenecen a la Escuela de Informática Contar los alumnos que pertenecen a la Escuela de Comercio Contar los alumnos que pertenecen a la Escuela de Hotelería Contar los alumnos que pertenecen a la Escuela de Turismo Apellido Nombre Género Escuela Valor Matrícula Zurita Alejandra Femenino Informática 1468 Andrews Frances Femenino Comercio 1141 Bach Shirley Femenino Hotelería 721 Davidson Paul Masculino Turismo 1197 Edelhart Catherine Femenino Informática 1190 Falconer Charles Masculino Comercio 1150 Ford Hunter Masculino Hotelería 1198 Guevara Hector Masculino Turismo 1108 Aguirre Tatiana Femenino Turismo 1352 Gandet Debbie Femenino Hotelería 1083 Gay Michael Masculino Comercio 1411 Endara Cristina Femenino Informática 1232
  • 3.
    Halvorson Mónica FemeninoComercio 1454 Gonzaga Gabriel Masculino Informática 947 Jacks Kris Masculino Comercio 880 Contar los alumnos de Informática 4 Contar los alumnos de Comercio 5 Contar los alumnos de Hotelería 3 Contar los alumnos de Turismo 1 Función Estadística Promedio (Average) Determine el promedio de la columna Valor matrícula Apellido Nombre Género Escuela Valor Matrícula Promedio Zurita Alejandra Femenino Informática 1468 1168,8 Andrews Frances Femenino Comercio 1141 Bach Shirley Femenino Hotelería 721 Davidson Paul Masculino Turismo 1197 Edelhart Catherine Femenino Informática 1190 Falconer Charles Masculino Comercio 1150 Ford Hunter Masculino Hotelería 1198 Guevara Hector Masculino Turismo 1108 Aguirre Tatiana Femenino Turismo 1352 Gandet Debbie Femenino Hotelería 1083 Gay Michael Masculino Comercio 1411 Endara Cristina Femenino Informática 1232 Halvorson Mónica Femenino Comercio 1454 Gonzaga Gabriel Masculino Informática 947 Jacks Kris Masculino Comercio 880 Función Estadística Desvest (Stdev) Determine la desviación standard de la columna Valor matrícula Apellido Nombre Género Escuela Valor Matrícula Desviación Standard Zurita Alejandra Femenino Informática 1468 209,5035629 Andrews Frances Femenino Comercio 1141 Bach Shirley Femenino Hotelería 721 Davidson Paul Masculino Turismo 1197 Edelhart Catherine Femenino Informática 1190 Falconer Charles Masculino Comercio 1150 Ford Hunter Masculino Hotelería 1198 Guevara Hector Masculino Turismo 1108 Aguirre Tatiana Femenino Turismo 1352 Gandet Debbie Femenino Hotelería 1083 Gay Michael Masculino Comercio 1411 Endara Cristina Femenino Informática 1232 Halvorson Mónica Femenino Comercio 1454 Gonzaga Gabriel Masculino Informática 947 Jacks Kris Masculino Comercio 880
  • 4.
    Función Estadística Max(Max) Determine el valor más alto de la columna Valor matrícula Apellido Nombre Género Escuela Valor Matrícula Valor Máximo Zurita Alejandra Femenino Informática 1468 1468 Andrews Frances Femenino Comercio 1141 Bach Shirley Femenino Hotelería 721 Davidson Paul Masculino Turismo 1197 Edelhart Catherine Femenino Informática 1190 Falconer Charles Masculino Comercio 1150 Ford Hunter Masculino Hotelería 1198 Guevara Hector Masculino Turismo 1108 Aguirre Tatiana Femenino Turismo 1352 Gandet Debbie Femenino Hotelería 1083 Gay Michael Masculino Comercio 1411 Endara Cristina Femenino Informática 1232 Halvorson Mónica Femenino Comercio 1454 Gonzaga Gabriel Masculino Informática 947 Jacks Kris Masculino Comercio 880 Función Estadística Min (Min) Determine el menor valor de la columna Valor matrícula Apellido Nombre Género Escuela Valor Matrícula Valor Mínimo Zurita Alejandra Femenino Informática 1468 721 Andrews Frances Femenino Comercio 1141 Bach Shirley Femenino Hotelería 721 Davidson Paul Masculino Turismo 1197 Edelhart Catherine Femenino Informática 1190 Falconer Charles Masculino Comercio 1150 Ford Hunter Masculino Hotelería 1198 Guevara Hector Masculino Turismo 1108 Aguirre Tatiana Femenino Turismo 1352 Gandet Debbie Femenino Hotelería 1083 Gay Michael Masculino Comercio 1411 Endara Cristina Femenino Informática 1232 Halvorson Mónica Femenino Comercio 1454 Gonzaga Gabriel Masculino Informática 947 Jacks Kris Masculino Comercio 880 Función Estadística Mediana (Mediana) Determine la mediana de la columna Valor matrícula
  • 5.
    Apellido Nombre GéneroEscuela Valor Matrícula Mediana Zurita Alejandra Femenino Informática 1468 1190 Andrews Frances Femenino Comercio 1141 Bach Shirley Femenino Hotelería 721 Davidson Paul Masculino Turismo 1197 Edelhart Catherine Femenino Informática 1190 Falconer Charles Masculino Comercio 1150 Ford Hunter Masculino Hotelería 1198 Guevara Hector Masculino Turismo 1108 Aguirre Tatiana Femenino Turismo 1352 Gandet Debbie Femenino Hotelería 1083 Gay Michael Masculino Comercio 1411 Endara Cristina Femenino Informática 1232 Halvorson Mónica Femenino Comercio 1454 Gonzaga Gabriel Masculino Informática 947 Jacks Kris Masculino Comercio 880 Función Estadística Moda (Mode) Determine la moda de la columna Valor matrícula Apellido Nombre Género Escuela Valor Matrícula Moda Zurita Alejandra Femenino Informática 1468 721 Andrews Frances Femenino Comercio 721 Bach Shirley Femenino Hotelería 721 Davidson Paul Masculino Turismo 1197 Edelhart Catherine Femenino Informática 1190 Falconer Charles Masculino Comercio 1150 Ford Hunter Masculino Hotelería 1198 Guevara Hector Masculino Turismo 1108 Aguirre Tatiana Femenino Turismo 1352 Gandet Debbie Femenino Hotelería 1083 Gay Michael Masculino Comercio 1411 Endara Cristina Femenino Informática 1232 Halvorson Mónica Femenino Comercio 1454 Gonzaga Gabriel Masculino Informática 947 Jacks Kris Masculino Comercio 880
  • 6.
    Nota 1 Nota2 Nota Total Alumnos que cumplen las Condiciones 7,6 9,8 17,4 aprobado 8,6 8,5 17,1 aprobado 9,6 6,3 15,9 aprobado 9,9 5,2 15,1 aprobado 5,6 4,2 9,8 reprobado 6,3 6,3 12,6 reprobado 4,5 2,3 6,8 reprobado 8,9 5,4 14,3 reprobado 7,5 6,5 14 reprobado 7,4 8,2 15,6 aprobado 7,6 6,2 13,8 reprobado 7,2 5,4 12,6 reprobado 7 8,4 15,4 aprobado 7,3 5,6 12,9 reprobado 6,5 4,5 11 reprobado Nota 1 Nota 2 Nota Total Alumnos que cumplen las Condiciones 7,6 9,8 17,4 Aprobado 8,6 8,5 17,1 Aprobado 9,6 6,3 15,9 Aprobado 9,9 5,2 15,1 Aprobado 5,6 4,2 9,8 FALSO 6,3 6,3 12,6 FALSO 4,5 2,3 6,8 FALSO 8,9 5,4 14,3 FALSO XCEL
  • 7.
    7,5 6,5 14FALSO 7,4 8,2 15,6 Aprobado 7,6 6,2 13,8 FALSO 7,2 5,4 12,6 FALSO 7 8,4 15,4 Aprobado 7,3 5,6 12,9 FALSO 6,5 4,5 11 FALSO