UNIVERSIDAD NACIONAL DE
EDUCACIÓN A DISTANCIA
PROBLEMAS RESUELTOS
.
ANALISIS DE ESTRUCTURAS
--«:..l fJ. -= ¡J." ~12tr... -
-o,tJJ.(
'tb.6~
- c.ssv~ (:l.'/{;
n.
-/.9/:;8 63.b(
l.gz1 -'t~.o{
- 0.,10" o
-¡.troj, 4S; o I
1. ~().r~ - ~r.r>f

I -.3'2.01

.
-t101¡3 3..r. 3c.
- /.$0/'.' .2~:-
. ~.~.. ~'.'
~~!'F~~;~~S~E~~I~A~~~~~~RDri;~~~~~~O~ ~R~~~~;~;;.~~'k j; I
-. I
I
r8,$4/2L)
.,;/- 2
"t-~
-Z-:$
-2 1
2.-G:
3-4
?-.4
lt-3.
v-S-
J-:C
Al:'t.
2.t?
o
()
1.3. $3
-2lt.on
o
t>
o
- /c.có'
1tf6 = o - -zCt.o,3-:J - ¡¿ (),';f()~ -)
1,
i
1,
I
I
d.
ti
/2= -
2ft.o:!;-:-
- 32.c>/'1
t;'.fr~ 
('
.
'.
-.
~I,
3
~RQBLgNB--~.-Toda~ las harra$ de la e$t"'J~ t pr..;o"'I"I-
t..da en la-~igur.. tlenen-~l. misma lOI'Qltud---L ey.cepto_l,,~;L-_----
ba~"as BG Y FD de 1o':'Qitud L/2. Como con-¡ecuen::iD ~e
errores
de ~abricaclen. t~das I~s barras pueden ser 2.0.mm ~'as targ.~
o ~.s cortas de la IOl'gitud deoida.
Det€:rmil'03r QU,," barras son ml.t5 larQas y -;r...3!~5 son mas
cort~s. para CU~ ~l punto e ~Icanc~ 1. ~~xi~& ~!IJ~~ r~~pecto
O':, 50,.1 posici6n CI.~rf'ec ta d~bldo u~icamente a ~st~~ Q~~Orp~
,j:
,.(
ejecuCión.
~-
4_~-
. --. .~ _.'
- . _. . ..
1;
. . :.
,~~;.:~._,:'.~~:.."i~:{:"
,
.ti J~?..
"
;:
. ;'~ .
.
I I I I I l' I i.
~
I I U~J-1_iiJ-L
~I I I I ,1 I I
I i ¡ ! !..J..D-"':~-"': J-
I I 1I i ¡.~~ I
~
~_.L.¡ I t . "
--L1 :~~o:__:"":.~o~--L
o~ i..! iéV''-, ; ¡:ttl : ;-; !~ q+-i.~._:-"-~-1-. .:..
! : , !~--1 ~~ /L1...,1-.. !-~ 
LJ_LLLL~J_¡-+-J ;_o~_.;~ .1.~.~--
. i : ~ I I]1W~,:- .,.-Ti1 I . .: ..~ I
, ; i i : ¡ ~~~! -1 ~~ ~,~jJ-J=-i-~~.j~~~j1i:~1I1a~~i.t
T t ¡ í' ,,~¡ ;
~Li¡(o'! "'-.!
a' '1-1. . l
.
! .~.._~~~ :'
111 ; a.IÜ.C.Ui¡:-('.rt"".""~"''''1 "-
. ¡l'.!"#' ., ~
, ,..J 1': tí' "f.'{I-i_I_"", 1-.¡~'(u--i.#
z:g <'{"'</~ ,
; : t! ~ i
~. 'V," !T'-¡ .. ; t ~. i , :--, ! : . : ~ :::
--+++-+-r-=~~
¡ ! ¡ 1 T ¡l' C~j-i~;:;:~-~':.If~.i:='~~
-t-t+--+. : (!i) 1 ; : ; ~¡,:~-;H.i
~j-1f¿~"-~-'-
~~-- ,. - -;-' 1-
=q
L-..--"---"I--'/:-"Có, --..
I i I I i. ~ 1 I :-! i
~- 1''''';-~';'';i-~
~'-'''''; '-4-.""': -..---
11~~-~
; : .. ¡ :...,:_l--U-J-~j.~-+~~~!. .. .,_:._c_~.~-_.,--,
. ., 111.1 I ,.
I
I ~ I
1 ! ~ ! . 1
¡ ..
'."
I
. . : /u! . j ;
---i---Z.--i- ~._.l-.i---J~'; ..~ ~ -_o... .. _..~... ....-
I . I
,T
r i I ¡ ., I . , . '
. I
' ! ! : :.'
. '.,
.. 1:., I . '. "
.
.. ::-.~
1
"H (-,--""1
/
',-~"1'-'-':' --T ,-'--1-:' ~ . . ,
. - . . ..; ---: '-.-'
--Llt8--"--' v. I~-' -,~.~ ,- ;, J-~-¡ ' ' '---
~ i ;
.
;
: ~ . I i i
.
: : . .
. i . i : ,:
--~
,: .
'-¡-
Ó
-c;,:-':: ;," ,'T l'7'--:-:, :-"-;-:--: :-'
. :"
: ,. v~ 6 TI. I t . .'
-' .. .-.~ I. --,.¡, -- ~. :-.~_. . .
t ¡: I . '..:;: i .. i ~.
;
,
'~ ,
: . ':~- ¡J:-:-i-u' f'-¡"1/i-¡--:' .- ~ ~
.'-':--l
.--;-:o
-:-.~ o_-,u-:-- _'0'_" o
.
.
~J;.1i-..~ ¡ ~O..l.! ~ .." - -.. ,¡,.,,-"¡¡--~--'--.'--" .. ..- .. .. .-_.
; .
i : . ; I ~:':., t: t ! ! ! . . : :.. :
~ '
I
~""""~- ,
---, ~ ~.
, 0-- -.. oO-
, "..
"li/ ' I : . :
¡ . I ¡ . : , I
¡ o
,.!'II~'O O,"
:~I.I~"':'.
.
~ . . -. , -
.._..---
1 Ó
. I i ¡
: ; : i ,; : I I . ¡ . . : . : ! ,: .: ,.'
: '..-I !~_.! !--l l :~~~ J J~.-,- - ~1 ;--
j r; i ; ¡
m
;~. '-,&..-U ¡..;4tJ
i ; .J !~-1$..~~eP' ..1J~r' &r1~ ' ! -
i I;! ! I I I I ¡ : , !~
¡
-1 .
. j: j ¡ i I I j o 1 ; ¡ . . . :
'
?~ ¡ i-¡: 'O. ;;rI~T~~L~_.:~r~~r~~1:7. .L..L ---?A7Á2.J11i';~;:';.
I I I I I I I : ~ U.L.: : !-0i : 'i ! I i~_J~
Ir.: A: I 1- ()t.['/~(, '¡ !!:lit !~ ¡ I ! ; ! ! : : ¡ I , !_j .
.A..l.¡ I ~~ ..~ ,~---
I
-¡ I , 1
I
l ' I ,
I I ! i I I ! 1
.
"
1: i : I I :!
¡
I o.:
. l'
I
-..l--J I ~.
, . . '.-.1.--
t.:(>;' ¡"t!,o:J~ : I(D:': .'i
I ! '-,-: i: I I .
I I ;' ! i ! : ¡
I I I I! I I I : . i: ! ¡ i j ! I i.
r-11<1 -? 1~2.1'~I
: ¡ o,,
. I I! I I I : I
. : ! ~
i I ! ' !
I
,1 -.; ;-'::--,-,--, -. i--!-~-¡-oo!~_.-
~ I 01 iU ¡ i
. ~ :~ : :
! i : ~
: !! ,:
IFII'"" I f, J I .C'FITl ! : ; I
'. "
. i! 1; ;
I ¡!I liT"T"í,-lT¡I¡I' I
." i I I !¡I;
¡ :-
!: I 1,; I 1 ! I
'...,
1 . I I i ¡ : ¡: iL- "
, -'1..';..1 ' , ~b n;"~
:': ~ '
i ¡ ! , I :
;
I I l.; ; ! I I
lh~ Jj' Id ~_L' 1/ I,,~ ~ Fili"':~'-:~.
I ~: r i ¡ I i : '1 : '
íí t I ~
! .~. ¡, l. I I i!'
'IM ¿:p.. j ,,: i r,""" ,~ &,41~d4..ed:!~i..~i ;~.:,.~;tL"t
-
~ '¡
I
t':5~ .j~~ji~L; pl';f;6'_~.~~~~~~C~.~.a~~---i::Jilil.
1;;lj'¡!' : i
I 'iI ~31 "'°" ¡ I 1 Jj,-L '; IIIJ74.3",:!- D~iZa~~"¿!2...!)S.. .-
r~~i-f¡::6f--rl--h:{ ~¡I~~0.~-f'~~~~c.;;_~'I~ :~~:: - ~ .
I~~
-.;
, ;:-. ~ fo!t. .
}-1. - ~, ,e.? t..
,
~'1!
JJ l. 1 P;'G4I.~
..
.
I
~L
8
-I
f! .
,
.
:
¡
...;
;;
i-
ro.'
-.
i,
"
,
? dI;
ít,~ L.. ,4; z 1(.'Zl-
~<'"', N."ot' i . :-r--
. ,
,¿f¡ 4.ó ~. I/:¡f" I.J 1,;¡c3
SCo M' ,"D 11.1[' 1,(' D.;.oJ
,
~E 1.J' l[ -SI.zr D.f.!.J! -.t.";
~E ¡.r Ir ."jL1f -P.I!]! L¿D'
T
-M'p(
PROBLEMA
0"
Calcularl.'componente horizontal del corrimiento en el nudo'.
de 1. estructura representada en 1. figura.
,,-
D.tosl las áreas de las secciones de la. barras s. indican entre pa.án-
'tesis en l. figuraCcm2).
E.2.1xlO T/cm'l.
r~#)
&",
.
-.¡- f.f
'"
~$"'--t-w~-
(J)¿avE./Z2o~ at,~r .::::~ ~
,.,,,,-1 : ~o{. c.,
lO. c,(' 0.8
'1:~r
1zr t5t> '1.(
("'V¿:"""'~2"'1 ~6;[;o:;" C", t'uu tWr~ /foait...,rJ.I.. EIJ (i
!
{. 4_i
¿ .! II;Eá
f. /lb
" - -
l¡i - -",4 '~ - ,
J=J
-
~ '
0$
-l.l>.&(1'.r t".1(1 Dti.:
t1.<'/","-, H1 ". .,. ""' ..,,.,. ",": v."~ ~(VIr.
':./ <ID~ U-,'I.
.
-
~:.
!
I
!
i
I
I
'---'."''''-='-- ,,<'" -"
-UNIVERSIDADNACIONALDE EDUCACiONA DISTA",CIA '1
""
,
ESCUElA TECNICA SUPERIOR DE INGENIEROS INDUSTRIALES
------~--~-"---,~
"
--~---"-" "-"-----" "--"-----~-------~"" "- ------ ------
"f
"
PROBLEMA <.L Calcular loa esfuerzos en las barra. a,b,e de la 8structur~ de
1. figura,indicando claramente si son de tracci6n o comprssi6n.
VT
...
j~r =1:
'U,~
:
Ir""
--L:.
4TJ
(Ti
~
Ú,"
t
Fz.
! ;Z 21 = iD 1- lb - % "
Jrh
I
i 1~oMjt
I
~¡: iII. #f
11
( ¿, - ;.ox
Z - ¡Le¡
..,
I~'
",) 4'
f: IJo..
,f{ -;e; /1'.,,-~g ~1[Z¡.C'C<.'o¡J",
í
'"" ~,) J~i{i01i: -'-
I¡tJi: z/i
2
'"
l
í
¡JL ¡fz -J, $,~:: &°'[ ~7 V~:; 51: úi B( ~Ji ~ ~5,Q~ Ae~(Q'r-
~ ~ ,
"
el jlc
~i -1 &Vz
~
: !8IFZt=-) JfC: ¡fi (1~.8 ~~): -/~1f r.ho"{1,§(r/'/iÁr,~)
r, J .'
'"-'
,C- -t.,,,,- tic !i -L ;4Y 10 ~ 141i!-tí ~7 ¡Je:; - f1ljiJÍ'-A:b~
"~ J.-
UNIVERSIDAD NACIONAL DE EOUCACION A DISTANCIA 6J2)é1~ L 9
. ESCijElA_JECHICA SUPERIOLDLIH_6ERIEROLIHDUSIR!AlEL -;J;.-cie-Z;;--- ~
PRDBLEMA ..-Dete~minar 10$ esfuerzo. en todas las barras
de la estructura representada en la fiQura.
A ~~H "
..c.
<t
~
€!
t -- f ~~
,
;t.:q .0 b;l 1 -J o
.,t= V
'. ,'.:::J ~TJr~~cJ.c...
1';", C"':1
~ é ..y"'7~ .../e - ~~ I /''''' ..r,/-~ I'--':;''.:/I'r- 4. -~ .4 ..;.a:.;".Ui lf..-4..y M
7~ I~~ ~rTc= Q'~ b ~,,¿'<:c.<.u~;I' b ";ec¡U.T;"-' (/¿),{~)'¿~/4.. ,,;;,: / ~D
.
a,.
- "'"'
~ I I
I id 0-
;-
;
~'
o,
to.
' --o tI"
&..
. ¡.
..,
!
,¡ ....
,
¡ l.
Ir.
:' "d: ~o( - 5,- :z- 6'2.
1"
: - -
"Vi
~
vr
f ~= ¡:-~~: 0 Js.:~
ti? o¡- dj&."- .
../,:$1:- é: Ir It...c ~ .
--ó ~ .s-
'.
~
!r!
2-.r'/'}u ¿¡t1.~.. ...o r se¿ r ,-;a.
I.'L" ,.Z<.
v4t:. - - ..J80~ - w :=-oS' ~ T
!2~S~
".
II
..
.. -
,.
~.D
-
~tY'" a~S6D
z ¡t)~:. ~ <:fAc
/1<:. ,5';" ~tt. .o.
S - <;Y Q
~'.
..3~ - ,"'. ti/) : ('o
¿
{1
J.: - .$61'" J
 Ji" '" f' ~c:. 1: :.til
.MC -11 ~c' ,"o ;1k>f f
..;-
~--_.-_.
'-' """-'"
. __m . -_o .
o", .'
"
t'
l¡
,,.
",.--
¡
]) r
.. . -
~:1::;:~~~~:';:[~~~AD
NACIONAL DE EDUCACION A DISTANCIA -t~f(dzjjIJL I
/~::>.ESCUElA TECHICÁ SUPERiOR DE iKBERiERüS iHüü5TRIAlES' 1..1,- 'Z.
;
;WPo,{: ~6
~ "
I(~
.ft;:~ r.> 4 -A.;.. ;:0
" l~-~~
~
. .-,- =0 -, f" ."
, .: , ":
r,.,
'*4 r "'>' ¡¡ -= - , !,-~8--¿J

i----...---
ZrHoo.;!l ,lIt. =Z . 14,. ~/? '
ff ' ~
I.t'~.s: :2
115'"
~/~
¡t"t>~e :
~
l~JGD
f/Fr.. ;;11
.
I --- f
,.~
If =
/¡
i ~:: 4vf i
t§= - 4tK ~= 3fF;¡ ~o ~
eL
¡{fve.. lJ .. ~ l'
¡> 1
t2z ,,,,? ~?"
o'
'.. 
'Z. 4~:v
,
..( ,'- .
,.,--,' '--'--' ".
.n' -.. .
'. , . "
'i:~::.:~. =:.: .. Ir:;.. ... : ,.;~.;..
.' J:"..
~ ",:.
PRACTICA ~---
e las estructuras repres~ntadas en las ~iguras siguientes.
, "'<tl<>'ko.~,,-n
determinar)~ESTABILIDAD y GRADO HIP~RESTATICO~
. ---/--'" ' --'- '.
'},
--_o
( fi.g» (fig @
--
,
.- -
.'
.
?
.
~..._.... ?r.r
-(!ig "4f- -.--
,
( ti g '.2,)
---..'. -- .-----...
l.
l'I --..-..-- - -. .. - . ........-..-... .. -.-"., . ~
(t1-g 5) !
.. -., '
..
"
.'
..°
n=51
"tia;
I
r..:!.
J
F
10=1
La estructura cumple la condición nece-
sarla de isoetaticidad pero esta Condi-
ción no ee suficiente.
.
-.~.
~>i~".~.::'.
-
.
-
"
v
r ,
16l
C:-..,_'7-L",""". ,-,/'
~=--~-. "'''''':'~~.:=oF.~----
( fi g 1 J Desde el punto de vis!a analitico la --
reeolución de esta estructura nos lleva a un sistema de 10 eCunciones
con 10 incognitas que para que tenga eolución ea nece~a~io qUe el dis-
criminante de las incognitas sea dietinto de cero
~n este caso la estructura es estable externsnente,pero la --
disposición de barras y nudQ~ nos hace sos~echar que la estructura es
. .
'"CRITICA dado qUe lae barras 2-' y '-4~jon colineales,de ma~era que el
más pequefio cambio en sus longitudes o un ligero juego en sus articula
. -.
ciones puede "traducirse en un desplazamiento apreciable del nUdo, con"
.
respecto a los otros.
Si sobre el nudo, actuaee una fuerza vertical las barras
fisicamente imposible. Lo que sucede en realidad es qu~
l'.
" rfUerza vertical tods!! laa barras del sistema se defo=an.!
t
'1igera..mente,permitiendo al nudo_, Ocupar una posición apreciablemente,
2-:5 ,. 3-~
fuerUa,lo que es
I1
al aplicar la
deben soportar esfuerzos infinitos para equilibrar dicha
E.
.'
mas baja dependiendo estos alargamientos de las deformaciones elesticas
de las b~rras que deberan tenerse en "cuenta al analizar el reticulado.
La estructura ea ESTATIC~¡EHTE INDETEID!INADA.
o.
-,
En general 10 dificil es determinar el discriminante por 10
qUe se recurre al m&todo lla..madopor Timoschenko aENSAYO DE CARGAS IIU-
-¡
"
LASa que consiste en ver si en la estructura sin c~rgas puede obtenerse..
1
una solución que satisfaga las condiciones de equilibrio en cada nudo.
El discrinlnante solo depende de la torma de la estructura
,. de ningun modo de como esta cargada.Por lo tanto una torma ~ritica
aera siempre estatlcamente indeterminada independiente de su ~stado de
..
-.----------- "
. -.----
..'
13
.
. , '..
ca.rga.GI
Realizando el ensayo de carcas nulas en la estructura que
nos ocupa,ain que actuen c~rgas exteriores en loa nudos,supongamo3 que
la ~arra 2-' esta solicitada por un esfuerzo B de tracci6n.~esolviendo
el equilibrio de cada nudo tendremos
..
N2-, = H,-4 a N4-5 ... N2-1 =Nl-5 - + 8
N2-5
...
Nl-4 --6 s
Por tanto con cargas nulas podemos tener esfuerzos distintos
de cero en las barras .10 que indica forma CRITICL y por tanto = O;
~ )
fig 1
J
E:I:TER1U : Estable ,Isostat1ca
1
INTERNA: Critica.
;
-_..
3
, na
5)
..~:-~
1
f- 1 J
5 :z: 2 > 6 + 2%:1 + 1 - 9 t:
{';
t:
",
La estructura es INESTL3LE 1 f
s
-
por tanto inutilizable.
.'..'_.- --- . _. Oo'_Oo'-". ..-
-----...---.---.-
No conviene quedarse solo ccn
la aplicaci6n da la fornula -
sino tratar da ver al movimie
to del mecanismo.
( 1'1 g 2 )
o.
!!
!
íig 2
¡
EXTERHA :
.
IHTERUA.-:
Estable, Isoetatic
Kecan1emo.
-:=
---- -_o . -- ..
G1
lo
-- -'"'---' '.'-'" ..---..--... . -- ."- u '-
,
3
""'
n=5
b=8i
~:~J
. . .-
00"
5:.:2 {8 ... 2:.:2 = 12
00
'2
GR = 8 ~ 2:.:2
_o
5x2 - 2
En principio la estructura es hiper-
5 estatica de gradO 2.
{rÚ-jf
_o_o,
La estabilidad interna esta aeegu=~
"
da' dado 'que b ~2n-:5 6" 2x5 - :5 .. 7 es decir existe una barra super-
abundante.
Un estudio de la estructura nos lleva a que la barra 1-5 al
unir los nudos 1 y 5 rijos no trabaja es decir Nl -
.. O . Por ta~to
-,
una vez determinada la reacci6n hiperestatica conoceremos los esruer-
:05 en todas las barras.
ti g :;
{EXTERNA :Estable,Hip~restatica grado 1
)INTERNA : Estable,Isostatica.
. ..
.3
n.. 6
J
b!
.
" 9
rl 1
rm- 1:
6x2- 9 ~ 1:.:2 ~ 1 .. 12
.
.
.
1.
;:
La estructura satisface la condició-n ~":~
- -. - -" .- .. necesaria de isostatis~o pero no es -
{ti g 4} suficiente.
La observaci6n detenida de lÁ estruc-
tura nos poñe de canifiesto que las -.
,"'--, ~--"-----. °barras,aunque suficientes para la estl
bilidad,estan mal distribuidas de ror-
mI'.que la zona i:quierda{12:;ó} es un
-
mecanismo mientras que la derecha{:;451
tiene exceso de barras.
-_o La estructura es internamente inesta-
ble como puede apreciarse en la !i~~r
..
"
, ~, N " 1'1 2J
.~ .
.
22.
""-19 ..~
(ZXT~R~Á : ~gt~ule.lsos~a~ica.
lINTERNA: Inestablé.
1$¡¡j~':
_..:_g..
.""
':':'~ie; '.
( ti g 5)
,
.
-
-
n=22
j
b=43
111=2
r..1
22x2 ~ 43 ~ 2xl + 1x2
GR e 47 - 44 . 3
En principio la estructura es biperestatica de gra-
do :5. .
,
..
. :" ~ .
=-
~;.
La observaci6n de la estructura nos permite afirmar;dado
BU triangulaci6n,que no existe ninguna barra critica,ni un defecto
de barras en una determinada %ona por lo qUe podemos afi:r:;¡.arBU e~ :,
"
.,..-
"
,
f
tab111da.d interna sobrada.
.0.":""::
!1g5
¡
EXTERNA: Estab1e,Riperestatica de Grado 1
INTERNA: Estable,Hiperestatica de Grado 2
¡,
--,-I{
'.
'"
! !
'1
!
I
PROBLEMA ~.-Calcular los esfuerzos en todas las barras de la estructura 11-
representada en la figura cuandola barra BE sufre un aumento de tempera-
tura de 20 .C.
DATOS:Para todas las barras E = 2*10' kg/cm'
L/A = 2 m/cm'
O( = lO" .C'L
13 e
A
/¡m
L3171 t3m -r 3111 -~
-. . -- ~ . . . .. - -- -; : i'"
.. . ~ . .. . .. -:-- .-
::: ~ ~ 7'(' ¡.1.. 'i:,t.;"'.:.:~' r~::':: :~~':~J-~r;¿¿~(>;~~':.:'
AS..'l. :~:
. . ... . ., . - :'. :~ ~ ~':o;r; .
.¿,: "Z -q,~.ñz..o,~" "...~C;;" ... . . . . - .
C.J¡.2 D .. ...--
OE. '2. o
€1 'Z -~&'~ '1-.3'
FA t D
E"
'% -0,1 ~¡Ji
c: é t - i>,l O.,~
(!i= '1 Á
.
Bé ~
!
I
.
.
)to:
.
~LO.'~
t.o,'v
t,
Z.DC>
:z.-
-.t ro "..6.lf.r +.:~('~ .b.1~c
. . . . . 9l.LllI
.
.
.1 . ..(.
!2'2. /VI.. oT' lO <5".. 0.=:>.
2.I.oc
.:tH},
}
, ..~-" -fDi"... - - .10 ~10't)
.2..I-(c/~"
-
JY ..r-
fJa: -:..-J.'t (o .. .!o..'f In> ;: -Zft> 10:
. .f:. . f
II
!
I
1
~Ift-
f
JHI
t
/
e
3m q/11
.4
.
~/'
PROBLEMA -
.- Calcular el valor de la fuerza R, aplicada horizon-
talmente en el nudo A de la estructura representada en la figura, de I
c
forma que el desplazamiento horizontal de dicho nudo A sea cero. As! /
mismo, obteneroeLodesplazamiento vertical en ese mismo nudo A.
Datos: Barras AB y CD, Area--';'-lS-CiDz
. Barra BC , Area :: 20 cmZ
Barras AC y CE, Area ::2S cm3
Para todas las barras E = 2 *
105 kg/cm2
~'.
(rL) tIJ.. :i~;
.. 10.>
D lfF
--1 -í"'"
10
-1 ( C>-

,
o 10
'
(O)
(., a'
tJt Ni
o 3/4
t>
-51jC{
o
"
I
~
1
u",VERSIDAD NACIONAL DE EDUCACION A DISTANCIA
..~ ESCUELA lECNICA SUPERIOR DE 1P,6H!EROS 1::DUSif.¡~LES
-
. --. ~ ...--
~ ck tIXNJ:~c..d.:ol:
J~"
¡ .j.¡-C - /0:: I
:;~ -1
e '~e..?
,
& klc) .,t'J" ,1"..4:l2é(";í..oT/~~ r!)C G!?..6{)n1.
-{6-
~
6
~
b
=
A-a
~
+Q,
 ¡ZIlA
A8
A~
Se
c..JJ ;t~,f,ro! -'JS/I'
e E -1.íd07> t IfH~
.,e.'-
t;l
(Ir)(~ )
rJI -+t..f1!¡z +
JJ"1!!z
,-
J ;
~
/ "> /.; ¡;.) /J ('.r) . ¡k» t:/.:Z¿I
)~ : D = L -(/"Í r ~ A{ -r X M ,1 r~ é~,
1:" = Z 0'~~d~' al;g ('A?21)(:vr~
¿"
)
s.~~53
[c/'
l
-
- ~.'íY.II>? ~ - t."f'X
¡OI IS"
+ e.
(~ + ~ 2r:L C>
llo ló~) IC:.J
101- 'r.S",:/ll + ~ (z0,j .¡"&
,~
J:~
!zl.¡'1c.s~
fl:~ 1(
y-:.~.IC¡ K
'2"1 sR
-s /. /! .! )
_J 6. tJ/d'b
1../0 -{P+
"r
+-fJ.,I tI/) ;~
S.~~53
~rz. t ~%. K -=- l<tDt;?(,.:?
~'l{6
f1. 1- 1. ~ :::. 4(tTh:- ,
1{ =
l 6/~/J ~1(.1~:KíJi&t!:Jj
~. .1/:.. A. UNIVERSIDAD NACIONAL DE EDUCACION A DISTANCIA .
~t>.
ESCUELA TECHICA. SUPERIOR DE m6EHIEROS.I~DUSTRIAlES .
. , '"S...Je ~_.
(1) ~H~ ~:> -"') /f¿~q~ /.. g .,.::) ~..~"
Z f"" "o
.,;> fl€ i .r =~ ~=~
.r - ¡¡ lIS
zJ; ~.. -;? 127) -:. I +
,r .;l=1...:L - 25'
- {'6
,.
J 11.
- -1(.
¡J 3 =..1 -, IJI..c: ~1'13
.l.t:.. ~.!"
COl -¿
F" =.. :i:) r<.r:; J : e rJlW ."...,
.r.
¿- r,., :.:>::;> kf ~ :- IIJ) ~7
J
n ""'.. ,r::I ., - ~
.t'<:€:.,r :: -r,ó)<../O
1/
'1
f{b ~ § ].(~ID= 4-..fK lO]
s-
.
?'
e
I
I
~
r:~jJ4kll¡J I !.~III¡; r' iit
CJ L -/ -1 -X-
I -x
AlJ L -/ f)
r-
LJ2.. tfi Ii VI x..
~c
43 t. -/ o' -~
Be L -/ -/ -Y-
¡J21-
8!J in y'2 {)
t!3
PROBLEMA' o Calcuhr---eldespliumiMnte horizontal del nudo B
'1 1010 ",sfultrzoll
en todas 18s barrss de la estructura representada "n 18 figura .si 1. barril
'ZA.25 cm
~¡g 8ufre un aumente de temperatura de 20 re.
o' 6
Dates:E.2.1xlO kg/cm~
f"<.
-S" -1
<>(..l.2xlO re
.D
1
1
-:L
1
!.l
//á r::<:1
(I)
(x)
.JI ~
-"
-
c;:- ¡/Rr(¡¡)í~
-(" 4$ -L.- t! -
~ff"J
¿ M0d~,e
= !¡(;r¿fi) x:~ + r/ L 4t (1) =-0
J'a"r95 b ,..
~(Íln )x:::: AE ex'.Jt := 2~¡L '2.1 "/0"
¡, '2 )</()'"20
4.,
~:= /3o&; 113
/
-I-'2t1Z ¡: f / ) L- /-ziZtfi.) /Jo(¡Jf
i;>cJ
j=C;ozY'o
{ x:
¡fE
- l
¿ 'Z62,j,/f-
c.
().
-"
= 4!
-
~~t'
,~
bo.~ ¡f~ ÓLrw N .rtrto.l N{. 6~~
"-
1<,
I eJ- !l
2 J:-
i 6~
Al!
I
i~,+It)~ ~~v..) .f-
;,
b. - -t- e
.'
AE b~,
~~(:,..
e).e..
("<::.2)-
~-.
c. -1 + 'K.
~:
.
I
Al!:
"
el 'f2(H~) f1.tl-g)'l} -(L
. ¡¡~le.l) -h
e.. - {í 12. .{Ze {fi -~ 2fi R.
Z ~;M~ B.(,.b ¡z. -l.{,~
b
l
e:. :i,B~ : 0,5'
8.'&.
., 1..
!
.
-'"'1:::> ~.
..',.,
!.
! -
,
1-
~
b
i
x~
--4.1..
!
..
o. óó;Zit,... -
......
ó.liLleZA
. - L ,.. pOi
i
-.--
fJ.
I
fL I
L fu<
?!2-4 %, 'f
! }o-~
,43 --( "-'l:
~¡dC .¡ I 'L 0. k:¡-I¡
¡1ZJ i -( 'L ID-'
.¿ -c -1 'L 10-'1
,3 -D
lJYi
di 1.113I
¡)t,
<:
C-J) -1 'L- 10-4
PROBLEMA .'.- Calcular el corrimiento relativo entre los nudos A y
C de la estructura de la figura, si la barra AB sufre un aumento de~
tE~pEratura de 60 .C, la barra BD es 0.5 cm mas corta de 10 proyectado
y la barra AC es 0.4 cm mas Jerga de 10 proyectado.
Datos: - Barras AB, BC, CD y
- Barra AC, secci6n A
- Barra BD, s'ecci6n A
1:: :: IZ ..IOc
~ !c--~
0<: 10-5' "t:.-t
1Z
,
¿/ C5rr1-''-"-,/Í; (&.!l-l-;¿;¡;~-1-e 4¡c
g
.D
C'IJ
}~ (,u)
-'--
11. <
(o 'u--<-
-4
40" 10 ,LA
o
o
I
-1r
-So l"ID -éM..
o


I

I
e
~
.dÉ:- t>! I¿JT =
=- .2'D
-s:
'Z -.t 60 =
== le y lo~4 UA.. -
S-
[L -=- (¿~?F i'1/ (;;íZ f),)
-/D-4 fZ
'
-ID' ~(¡L-;(i
0, ID~ re ID- 4(~o+)' S'~)
-IO-~ /¿ Ib'4 1'2..
-IO-'fQ JD-~ ¡L
'l/oY/l ID1(-WS:'+2~
-ID-~ /e ID-4 rL
"
~
.: ,
té/ ,-.
2;. IO-~ (rZó-rDÚ2. )-i-t2.{l¡,P 20;,)=
- '~--- -,-.. ', J
j 12=, 1.0J! }
j
j/ .¡.,
jC~rrl q/...'r~cfe Q-' L .
~ '.
o~I~~-f¡
.-----
(~;
cJ:: ~
i!
/te
-
~,
y/O-~ (VbftJ.S'!€)~ O'YJpr~,,-
A-
!
II
!
I
11-
PROBLEMA. .~ Calcular el- valor de la car-ga-P queactÍja--verficalmente
sobre el nudo C de la estructura de la figura, para que dicho nudo
descienda 5 mm. Además de dicha carga, la barra DE sufre un aumento de
temperatura de SO.C y la DB tiene un error de e~ecución s~endo 1 mm mas
corta de lo debido. f ..:1", ".....
Datos:Para todas las barras
~ ~
E = 2*10' kg/cm2 'o
A = 10 cm2
a = 10.5 .C'I
Constantes elásticas de los resortes:
sobre nudo B: k. = 500 t/m
sobre nudo C: k< = 2000 t/m ,
~"
,-
J jp"c.. t-
fi;/ J
'Y
't ,,---"1 "-
., , (oí
..?~

. ¡P. A;¡'.i.r~ ,/ ~a "i<eDI'" -.~ fs, = .,. lo3T~.
:r..» k¡!/.! '1" ,¡ ~.:Ik ~he t!. d.;'o?C~A<" 4r .~Q,.
~
la. ~ k ~ l¡/~
e/ ~.uu~-6 c:vb C' ~ .J~"1 ~c.b..
a &¡
~
~ -:: K: 2>:: ~ 1< Ié
~
"yK'"
1..ov-O I
=
I 01
~
!
':'
I
1L6. ~
r,~/r)-']= Z[ifI (1-/0) e 1 tJ ~+ -z (¿~ 7 ID-.rr. fo
En J 0i ú1
".
-- ---...
V= ID.'
'2.n "
(
- --. -
H---- - - -
-1~ m/T .-
.,
~fiI,
"
pROBLEMA' ":.- Ca1¡:ul&r el esfuerzo aKil en la barra AC de
19
la e5tructur~ representada en la figura, así como
!!1 movimien-
te relativo etre los nudos E
y B de la misma, si la barra AS
es 3 m/n mas corta de 10 debido.
"
Para todas las barras
..
-J)
-r-f,tt. ~1It..
s
l.
1: ~:.-'.
.1
~.~..
"--.
" ~~~~;~A-';~~;I~~ ';~~'~;~:~:~~;E~~~;~~ ~N~;S~~~~~;
.'
~ -.u - --_u_..----------.-----
J~t (
(i-=-~
I
J'",:r-;:(O~ (f -t~ = (/
.' ~~~~ R/)~~ .
I~ ~kIt7~/'b<-~"l~ O:ho.
/.
.
~~~. ~;fk~
7.'~
?/ev'7::/4A"J
'f'l'-
.."j,'..
"
.' ..~,.
C[:-bt(Ó (f'. .
.
~/í f.o r,,;r
)/Yr ~ ~-¡L {IV,
,
--
.
A . !JdOD ,6; .
'r~ .
tNiJ!
~
L , ~ / "
tJt¡¿ ~..:: I -") I'-'.4E -=-
lj
.
( Ca''lf'
/
M - IV¡¡E~ '] --1:' :) _:? (~Py,)
'}g - J "
4' f"
-4' /
(
/~ .f{1 J3J-
1JJ$b
. f
'1
. ..~
/¡Je~ :: NE,4 ::
j (' 0w.lf.~ /(¿fF 11lf~'i1.-:;y;;
.
9 / I ~I
.
AhD:: ~ír ::: 2 (~¡¡r)1
e ~~ t..2 :: i ~) I~~ ='
Vii (;7"{,C<.~
t¡ /.: .
tIii-
I¡ -, 11
ÁtEZ)-= ~l?~:- [h::rn~)
/t&--J~!- !L: ~L::-.l (&w/Y.)
. t/f:! /1!Jf{ :s
B.
:
e-)
, .
¡ /
fh- eA p?dÍ/ f{ :,
aJ;(,~:
F ¿ - ¿Al" IJ~ ~~;:F1¿ -fd
}/V--L:::2 ¡- (J)! -t S}Jt~::
€ I!CA. f ~/I '. u" -
~~1'{~~. (-3 >ID" )¡~) ~ f'5,1DS?, ID
,4
f
~
~
I¿-'" - F 10'
f :: -
o}
{O-,3
.
,
-=- -3,~04 T
:-_-;//1 4 6.~DGt~
?=11J?c ::(-3: 3S'~) ,
;t/ii
z.
l ¡f
E~
~
1'.""
~
,í J 3.. ID'¡VA
,_ l,.
~,
- /M
J'~ÓA-'¡
c.
/ IJ "(.,,{?
--r('l:> '/r..l../&)r.-( . 1
-, - --------.....
..
- ."" 0..;.-/ X. -.---
31
. PROBLEMA: ~.- Determinar los esfuerzos en todas las
estructura representada en - la figura,-- cuando el-- nudo--
descenso de 0.5 cm y simultaneamente se produce un
temperatura de 50 2C. -
Para todas las barras:
La longitud es L = 1. m
El area A g S. cmZ
El m6dulo de elasticidad E = 2 * 106 kg/cmz
El coeficiente de dilataci6n a = 10-6 2C-&
barras de la
5 sufre U11
aumento de
~
~
~ /./ J. . J -"
DrCZcV:> dE' /1;éX<?:/~"-'
¡¡c,c.-o.o- ,:
/1=;
Ó= IL---
4~g
f:¡-;: / )
6'1-;: /21-1-12 - 2'11 " í :=? #¡;d~,,-T/.?TI¿-1 re:
i &441>0 1,¡
I
"("
e
,-
/
dCc-drcfD /1Íú"()¡) <S.,: &;ICczC-ue.-ri /CWa?..4«.- ~d>~:W¡f,
~ 4 ¿..r;{tIC¡0~ ¿h=o ¡/""~ ""é'/90~
/
//a, Q/r¿;dcCh7 ck/ Ú«~ -6, flr6-<0
/(t; ;/iloPvCE //¡;'.Jr5z.;;j EJT¿/~-2b E IV //.J-S"@1?.1',o.r
~~,
! (~.
I
{111 ).
?~ffé'
¡J. ¡)J¿¿
r, o/( - ..... -1 o
1-l. -( o f
í .ir - /
f:J V
1J _! v iJ
)." -/ (J rJ
1- ? - I ..
¿.s o (J
::?-! f
() o
3 - Y / o D
I
-2
1-[ $Y/D o
,f-i
;
o'
("'1 1
t>
'
1
~ UNIVERSIDAD NACIONAL DE EDUCACION A DISTANCIA I ,._~
..
ESCUELA TECN1CA SUPERIOR DE IH6ENIEROS INDUSTRIALES ~I - I -
, .0--- .
.
,J(;?- c;/.¿Ar", /o-J~ íDb v -50= }><-/0-20<...
-
~ - '.'
/D-7)::(-(
.EA
-- S"x Z/iót: O
'Z
-;,..
J
", /
z (/(~~ /~r,z) 7-:; Al
jrJ',( :o
l/e/..!
ÓM
+X+
I .1.
J
(Dj (J)
 ,¡t
¡J. / "au..I
((.LL 1- I
'E A- l. 'l
'
10"
,
ID
fO-(
l/ - L,,)r)
/t.{' -f 2C/V(
.f ~ .GG
/'
.
I ~t
/<>
~
.,
I O~r
10
-(
lO /
,
! O
.j r,f'.Gw
- ~r' .&~
",i)
/
,
!)
/
.
ti) /
Iv" -'i1'.(6
~',
Z IU/O Ú' (/.I¿"J.; X Al?' I.¡- !j-'-:: ~
,
'
e,'(kf)~ ~J 7
<' [á,' / ¿:t:o-¡. J
.J --7.
1C 1f~ ló -í-, S y lo = ~
~' '--'7

"<:7 - ,J_n
/'1/'/~ - - /i.,.f,,-r:
.., ~be>
33
PROBLEMA." .'- Con "objeto de reparar la barra" 3';'4" déli",Ú;tructura
de la figura es preciso dejarla con tensión nula, para lo Que se amarra
un cable en la parte superior del pilar 5-6 y se tira de él hasta Que la
citada barra no trabaje. .
si además de las cargas indicadas en la figura, la barra 2-4 sufre.
un aumento de temperatura de sV3 GC, calcular en estas condiciones, el
esfuerzo en el cable y los movimientos del nudo S.
Datos: - Barras 1-2, 1-3, 2-3, 2-4, 3-4 Y 4-S: EA
- Barra 3-S : EA - 3 105 T
- Barra 5-6 : EA =13 105 'I': EI .. 4000. J!I''I'c( = 10.S GC.l
:2ST 2.
=f3105T
1
z
.$'!5í
~'JI=
6
z
~"
L.;.L.:
8/11
-3/71
~tr2..
"1
~ .
~;~~~SI~~;I~t~~~~~~:~:D~~~~:; ~N~;S;;A~; -
'( el «-
,4/ réav 4- ~Jc.. ~/ d:¿4tk
7 ~
t«> /=7; d:- ~n'Q $-t
.El í~jkb /A. ¿/ ~a-c> Y
.
".-t..c4é= l~ ;k.-/<>oo ;/f"i:</;;/~
/~r P-t¡
7 .4 ~;'J r .Lb
~ ~ ¿~/N,~k ~ ~
+:Y=>:
.
'if<{ Ó)
.¿
i~~
;-¿i---¡

1(
0E-I 
, 
- .- .0-'
~ ~-~-~-_.
'
I~ c06e Jev /r
ir '2,  ZD
-- lo
/11-
12í~
"
Lé2.
1-
"
/LS;D~ ~¿ -
~,"--'L
v
Q.
~
1-5.
~T
')
!.2
1
l:Ij
i
I~ p~
1,
...:J
(JJ3 € +
Q -=- ¡- /-:: Q+
I.¡j
-z.. L
I~'fi" ~ -'- == "-.)
'-
/::-
"2
=-
I.'S-
.
dO-V"'tj I
/, :;51 ,/0' .y
N-=- lfV3
'-
~de tk- /'{'!YvC ~A- /
&~>2-2A
s
Nill 1,: SNi .:,; E:A.
/
-2(' - '2/.(' '1.if3 ¡!ff
~.
a1-2 : í t ID
/-:s "¡-ID
+ b(f' L~. '1 ".
ir
z-? +2(" +Ü'( '2.B '1
(7
2-l,- o -2/) -z.Ji " 3t1óV
6-1/ o + 2(( -Z03 '
CY
'5-;-
t~.'~+1flif b 3,,: ""lO} (J
q-í o - 2/[ 43 ff;,¡l él
:
l--' ,S--§'
,/
+- +ít 1. :l -( IIY (;)
?. j
UNIVERSIDAD NACIONAL DE EDUCACION A DISTANCIA
ESCUElA lECNICA SUPERIOR DE INGEN!EROS INDUSTRIALES
35
3d<=-
rD ¿I-( CY
.
6.
(,I('
11
.3
.
1 ~
)
-
...
-- -
._u .
((
--'-
-_o
'{3
?
@)
('ir)
Rv"~. -J
:3 =
)(v ~If.i
~~, ~ ~ ~~ -- ~SJ3 ~~:s-.
:,
:S"1B.
h
A f! ~ y 0Vc~
¡:,
-f
S-
)
N.1T= C;A!//i0,l1 ¿.
1- J~.z;::-
If
~ (1'
EA L '
E4~'
'3
-
I{)-~
( f
.
(¡,o( - 3" 3-)
1 :: 11.[:; 'f. léYu... -=.
6.. 1-
'2
..) ~... L¡D1J1)
1'2= 1.'73 t -) 1::; Q.¡ (IJ-=- /.1JrVJ-_2I.f.V2T
'"L L
--------
,
II
!
I
PROBLEMA . .-Determinar los esfuerzos en todas las barras de la 31
. .
estructura representada en la figura. sabiendo que todas ellas tienen el
.
mismo m6dulo de elasicidad E=2*10'kgfcm' y la misma sección A~20 cm!.
t
~m
t
~/7L
r~t
11>T 1()T
fll1
2.'
l¡tr¡
2112.
{
fm q/1t.
{
/? = 1DI
IJ: /t I,
f;rz.
q~~f:::= 1i r~<2 -1D"'2.= -Z
-. 7 /1 S.-1.,.",
::~;{>1'4J"&Ó:. ~ ;~ 2.
/1 ~~
,
S/n.?m.:z:
0/.~:-.E?/~; ~/ /)U~ $" :
$.
~
~f
/" H~I-Á;} Jl.t=Nñ,
110 :
ÑJS'
fh-- 'úL'¡J/",~ ~/ ~.Io-=D AI~ =AJ-J'::t> .
.& IluN;~ ./~(k~.J , ~ I!/,:#ov&.tfJ¿Ú J-&-¡;I#h~-1'
~~ ~11=o.
4- 1- itü
..
(01 101
1T 1í
'1.'
+
/1
(!) (:Ij
{t' {j cu,
0
V .
X)
I "
- 1ol{ '1/('J .}) ,O)f
J3/J(¿{H) N/ N¿"r %A -.i- Ni + re ¡J; //1" ~,-""",- L I
¿ f:.A .
. !
1-2 - 10 o' -1 /'
¡Dr; -10 + 10 - b' 673
1-3 o '
-!tr/~/' o.~:¡'1; o + 1.4/4 t 4,~3
.t.s -:f.D"I-' -o. :;¡)t-o' P<1D:t,/ó' -3. ~j4 + o,3S3~& y.pJ
2~~ --;¡'.o::¡" ¡JclO? t'1
,.l¡
- 3S3 C¡+- D (~f3,l e.. -4 Zu¡P.o (iD
3-.6 -1,01'/ -0,107/ (J.tD'1t1iQ ~,s34.-o,ZHI{ IL '-"),u,'1
3-3' 1D, -/ o' !O'(¡ -ID t íL C.r¡3
L¡-{; - ?o?- / -t?i~ / o.M,/i~ 3. S-M{ 1- 'D. 3.)3(. R. -1. ZG
~u.¡) o ,¡ , /ól(
-------_._.~ J?:-._----_u~
3.ID-1
-
"'Z' -lo / lO
-1{
-lo + Q.
/' ,3' CJ,folff/f + /, !.¡I~ fZ-
--
D - /.tf ¡r¡ O
.2'.3' :U::¡. -(},10'1 ¡J.(Di. f('-/¡ -3,By + O,Z'nl1 jL
~p'
.f.l¡' .1.ot
I
¡J,101 (1, 107t1i'l ~3n6Y ./- D, 3S3y fL
I
6'-e' 1-7,01 -¡).9,9-
&
3,í:S~ -1 D,'?;SlyfL
O. f01¡!ó'
1_(;
I -;
'1 t:¡ .(í - -..,~ + 0,3¡~11/L
;
, - 1, D:¡ ¡-o, 1D . (), () ,1,., .:".)~,
~.
--. - .-
Li)lIÚ¡;'l~ kLuhlilk )Un:nIUh Ua;: ,,ULhILIIUI:i iltUUÚ IIIIILL"
'7 ~ .h:>"i'Jr,;'" "V hULi:" Co~
~!~'._':.- o' ..~-.
1~3 -:: /lkJ, ::- N;;~ = 4:://
, . .
MT4:: /f/eóar ~ 4, ~1':/~~
/~~/ h> de c/Jk.
.dt~y- l,v~ 4.-1"1>~k A<-~¿hce. ~Cq</¿-",~-Ie. ~
~/ r 4¿ ~~. ~A rJe /~//'B.q
~~/ C". r¿~. /-Ú/ l?€<ch ~¿;¡~~/~ó ~ ~ ~4:->
ID1  .
ID"(
t
(
,
(- !r'i
l'
~
!
b 0f
-¡;a;:
s
r
"-,'-'''''''-~
. .,-
..' -,._,:';;".::...~;~', .
."
.'.-..' -.".' -.-.. 'OO' .'_.'" -'-.".~--,,,,'''''--."'-''''- -.,-'-. ..,....~.. .
3~.r¡';::'t
!c,;-;:-":"" UN,!VERSIDAD NACIONAL DEEDUCAC¡ON A DISTANCIA
r~ ~:
'- '. '
. , . ..,"-". !-! o.. .. '. - i
..
ESCUElATECHIGA SUPERIOR DE lH6EHlEROS INDUSTRIALES
.
. ".. -' "....
ttf$~~~~
V
~~~2
.r:'>I:"'..'
;::'-
-.
-;;c
:J
! g¿I Ni"; ¡¿IJ/ ).AIi;I... o.
, E.~ L
-30 ¡ C¡.b[JZ.:.lb = "
I€ = & lo:"
-'.
.
.
~-
~
."
.'ff '-'.
--. '
~i§~.I. UN(VERSI.DA~ .NACi~~¿~_5~ ~~.~.~~~)~N ~ ~i~rAN(;J'A
;~1'~ I 1=<:1'111=1A T!=I'!J!". ('flDi:Dlhi> ni: !!l~pni:p.r!1:' !!lr!!!C1TPL"~I:"
i
'~ ¡
."~'''¿''~'' "-'-"""" "'" '="",;n -'= ...~_..,-,,-- ".www."'~~~...
.. ".'--. -,"1-
.q~.y .~.
I
(1') 10í' '.
.'
'2
0'0
1
.2~ N;~.c...f{J= 10 ~ ~~:;-1.07 t -= A{~ = ~,
~ = lo:;
1tz =-.2", ';;'0f '" ~ (r[=--10 1
~"'~G1" -= o -') ¡),-¡-=,o
Ala,!, = z ~.o -:;F-.Je.u"r =10.
(:1)
'~~~ -
/"¿~f ': - rJ{t 4
~,/:: ..!..d ~ -= -Po ';0':(
'f
lo .Je<... ~
Á/v6 = :.- 0.909 ::
~6 = ~.3
1/¡z = e.. o, :)e>=¡ x ~ "f -:: .i-t:
I
i
#13 =-!Z"o,1~f-kV["=.-1.4)4 i.
r.Jk"J' I .
....
. /I/.s:.'-=-ft.t¡Il¡,. ';;""~r .¡. o, {.o~-U.t¡r - q~k~J1~~1..
~
L .
~.~ --o
j
-.!/.
i/ 4.,
- .n-_U'.--'-"---
é
8 ~1.2T.
l 4tm { 1'.-/11 t
PROBLEMA" '.- La estructura ABCDE representada en la figura se apoya,
además de en los puntos A .y B, en el punto medio D de una viga
simplement~e apoyada. Calcular la reacción en D y el descenso de di'cho
punto;'~~='
.c~c..,."=,,,~~,--,,=.~,~,~---~,~_u . n u_~~=~= ~~~-,_u_-~".==-- -'-
~ ""_M._m ~
~1
Datos: E = 2*106 kg/cm2
Para todas las barras de la
transversal es 3.2 cm2.
La viga sobre la que apoya la
metros y una inercia de 320 cm4.
celosía, el area de la sección
estructura tiene una longitud de 2
(J
';/11
1
I
I
"'-'k,
..
'
~
ui¡V"";o¡¡v,,,v ""'~¡(..¡¡Ú"": iJE EDUCÁ~IUI'¡ A D!ST~h(;¡,A. H --"- '.
~~'
.' .1SCUElA TEéHicA. SU'PERIORDE i~6EHIER¡jS¡NDUSTRiÁlES :~' ,
-.,.--.-----.--..- ..- -.,.-- ~__n'_.--
N. L/€A (c,.../ ')
o '2.rlllf)-
-~ 1!.IZ-r ~
lO-&:
o ió. /1f.. 1.0.'"
l> 46.g ~í" lO-'
.
..
'
--'- 3Zoo:,
 % 67. ('. I/:>
"-/6,..,. i o

('l, S'.. lO.
.' '. ..,""--'" /"'Lr"1"
.Z<O,~,. i.: ~
,
.. - --. .. .. .." '.. . ."
... ~.
'o,"~1'
'..'f :'
"f*
"
--!~1i,
o,
~~
'1 i4.''¡-'
t!~
t
8'¿JZI2A
AC
A.!J
aE
:l'H".-
T 201>1>('
C:J> - 12,00.-
J3D
Ib~
,!i),r ..'0'..
T." "".
- - --------
,
32",..,:,' . -.:e' 'i/3 - " '
,
"z:'~l~,'~ .;:~
~
. ,
t>
-b2~'~' 11 '
(i) en)
-
~. '9. ¡:
f -, -- ~ft.r.-
~ ",,'!'-) - ' -
~'
~ ,
"7"'~
..
'
:3 .!: ~ Zor.
~ o.-z.coC( .. lo e
..
~f"-2J<lol;,,a20 j "
I
,
.;
i
I
N.r
/( n,-
¡
¡
, .
;
.4'-'
~ J2. 'E:..,N.?'L.~ Z- ¡J~ JJ¡¡'1{[4 ,
". ".ffé4. .. .
'.
~- .:,'
,
"
',.:_;:
-
z~~o t{) w .7.f;Iz{...i~' - 5Z->o~J G"l.r "IÓ~
(l) ~t 11S"If
io,:,l
'~ (~y &'1, (. IO~
4'.
"
e :.3
~ J2t.f't.{ló~ - 521'O (3.33 1.°.:= "':'~ :
p,2~DY)( 10-
.-" .
'~ .: t1f. b ~, ,
...
0 oIH"~~ cok ~ p.e A Lhj~
apt ,.
1:; ~ e ': 181&¡;;- '"!ti
.
l>. u:oc,... loI :: ~.%~ ~
~r€~
.-."' ._'-'-'-~';.
".
. -. -.
8' ,bz¡¿lJ Wx 1/. LA/:. (O¡ft/~ '
- .- -
le;,:- o 2 ~-~~c , l. 11 10
...
A..!J .:lo O~.- -~ 1!. /Z'í ~10';;
~eJE y2ovo" I :U, 11r~ lo
-..o
C.J:> -Il Oo~
()
i f.{6.g~L. lO.'
13D -3'200;- 1t/,3 6"/.(. IO'~
0é - IG,.o" o (2,r" co"
'0f @
J '2.Co. 4t /0'
b
~""~ -'/Vi:l~~I:N;j,uAu -NAL:!UNAL DE EDUCACIONA DISTANCIA
I~ff;i"-'i;,;;:;/":W- ESCUElA TECN/CA SUPER!OR DE IHGEHlEROS I~DUSTR!AlES
~.,- ,"o'
,..- "7dl4tiEV ~ A€tJ~ /t4V16/Ji¿
32= ¿
e - ~13
-
z::'1~
I~
~ :'C;SJ~-~~ -'- -~-4u .~ t>
L10"'d
-
1,
(:l) (ti)
"'~~
1l' "'.,
1í2,
~
h~--t l/,
t
43
-- ~
{ r.1:~
~?t.I.-
~ ~ ZOt>3. 3 /~
=. o -z.c:ol( K lo c /~.
~f~ ¿KICG" .320
.
- ~
¿ P.Jp¡¡ L/u.
~ : - - -
Z "-!%"- I.IE~
'Z.<>o{-!)~:¡g,/Z{",c5' - S~f~'
)' ,"Z.rKló~¡
'-z-.. o
':.
(lf".h.I'2)dO-. ~
(~? 61,{ ~ IO-~((;(o.~-i
--.. .. -5210(3.33 - ti)".(; L-C',,)
SP'.fZ.f ~-
0
,.
cv'a-~?<-f e.k c{:, ~ ~ j?j-:.. apr ,. "
/": ? e -:: m.b
'"
D. '2(;0C,.. lO::! :: D. 233 ~
~f€.:r
"
s
!
I
I
.;
.0. -
!!
f
?/Tl
t
Vm
i
.,
PROBLEMA ~CalcYl~F el movimiento relativo entre los
la e$tructur~ representada en l~ figura si las barras 2-4 V
un aumento de temperatura de 40 2C.
DATOS: Barra 1-2-3 ineKtensible con El - 5000. T ¡¡f
Para el resto de las barras EA - 15000. T
c(
- 10'ac"
~ 5 6
45'
nudos 1 V :s de
2-6 lOufren-
:;t1l..
~-,
/V'¿r
JL
&RI2IJ
.
Al,'.
.2-t.¡ _Z.!' 'l.
--~.3
L...t:: _r.r - 'l.í
:I .3
CI_!"" Z;'3 ,/.3
" 'f-c 'Z1 'Z./~//
-1- 4 D,!"" o.
~o.) -g-c 0.
r-r- o - t,-r-J
g'-f" c> - z..r
I
~o'.,
-- -"
___n__._-.~----_._--_.- -
l ~ 1.~~~(J~~~.I~~~yrt"~{.~~~-~f~':~~~:iI~:~n~ ~~~~ss~i~~~~.1 ~~1~.~. ~".A/ I ~ ~~ 11=_0 -=. =~.'=.II == -
.~ ..
-- -- -
¡ --,,-:..
- -
-. .
I ~-I
u
- --
_n
I '- <;ie J
i
.-
...re
~ ~
~ ~~ÚoL
-4/~~,
-
g ~~~ ¿/ ú«o1:J Z .k tYr2c.. .IO~
& --/2l.C7tJ t2A .RE:TlC,.jr..A~! ¿:::r [.1
- F~ "J
~J'GI rJ'~J30o:-
c4~ rde.1' l' ..lz /i:.u~ A ~~
(UAoO¡),~...:,-1.. c:./.e Z rd ~ Á ~
- ¿/d4JJ~&L6.
¿.J'172UC70!2tJ J<112.7ic<.JW [)l) :
..1:9
/)~(;"
'1-('l:~,-y)= / "';< tU'/,
~
f
(!.,,(¡
! j
1m ~
n?'1~~ +I~.~
i
.
-
. --- . ".'
Q~::-. ..~ :uNi~E~g¡dl~'N'Ab;'o~~t Ó'~:E'~~bAC16N:~ ¡:m;TA.NCIf I ..." i-l.-
..- EscÚÚA.iÉ'CH-íC¡" SUPERIOR- 'DE iH6E~íEROS iHO'U'STRÚÚS. .tJ~~ ".,,'
f ;r
(: ¿ -t{.
¡(f¿.!"
(~~ -/ Z Ni (2 oé IJt)¿ ::
'..
.
-¿ir N¿I.¡x 1./;:) ~..z-~~1¿ .¡ z4 (¿ Dl 4t),: ::
- F !¿{- ~.í):. .r.,l z(J)~q.f 2(o..)t~il-
Ir /}Vl)-
i
-,l >( Z z{- Z:{ )2.j-f 2 /2
J~ -f ~(o.r)~J7.¡. z(. z.nr-oO(/D-~fo=
IJW'b / C3 J . I.J
-= F~ 1S'.3
~8~:r~
~~~ x + !96 ¡= = vS""c (
-1 "
i
~;; -< /,IJl..¡. ;(. Ni.IL
)
' N¿:iIí..f.
) . ..L ¿ Al: (¿ ~ ~t)¿ ~
dz-' ¿
t ' . l6'~ (,.
:: X L
~
J1i:}If'''¡' + /06 F ::. l¡f"c
]
~k/~ at. JúL :
~
X = ¡,7rt1l ¡-
íí r ~ o,6'oS- T ....
~:
M-!"; r!i-: -r%-IJ;'-:;(lrbor(6)J.!.9{V{-?f)<;-/~ai:
-- .
1
~
~r ~ M
.
;::r
. .
¿ 1-["
::
.
/. en IL r =
~
¡;t¡I1"IO-lf M
.
J~" (JcoV
- - - - --- -- - ~--.'
.
--- ----
,
1
!,
I
!
F..800..I...EHA -~ o".~C:alcyl<!t... l<ili 1 ¡ "ea;; dI!! influent"i<! del o;;>@-
41f"yer:o aoxil en las bar.-.;,. DF f DE de !o: estructura ,"e.:presen--
- -
tada Qn la figu.-;¡ cuando una carga vertical unidao recorre el
cor"dQO lcare,-iD"..
F
.e
.j) QSh1
1.m
t./'II
A.
8m
l'
09HJ ¡.
"':
.im
-t{
,3/1>
,1
A
l'
-~
_O~.~~. F' I - I
=
J._~ !_"';' -.- -oo..-.
o
_.--- . -
--.
: ,.
o.r~
.
11<{
:"'.l.J
, , ¡
. 00';- -.- °_- .";--",,;_. ...
i , i ¡" ¡; I
¡ i,-- "- 4 ~ ---~--- -
-..-.
,
?I><.
~ (oí
v,
(
J
3,.;
é
,.
~
,,'
13/1'1
I
I,,
3m
.,,-
00--:--.
NlF 'i
'~
tJr, T~"¿. ~ :
-
Z¡f ~
=- ~'f }frD~~"
~D:- ~ (;
J¿:-~X ':
~ .t~r.
.,
~:.3.f..~: 3.'s-
I - I
I"~- ---l' "..L. r-
.- ;..-: , . G..:~.,",.~
-- --- -- ..~- . .;.. .- ---.--I I !.. . --.~-..-.
.. -.. -...--- . -----.---¡ -.--o
-
L~~~".o
. --
~:~o' .:1-14 .;. ~ ;)-:
, .
: Ff}~-:f/J:. :"/.~i~ "--IV> -"
.
i ; . ;'1 .
.. -- ..-- ... .. ... I i..... ~-- ~-
: . .
._0----
: ~ ! I
---.: I
, j
-- -
I
"
o
----: ¡
! I ;
: I I I
o.. Io ":' l .. .-...-...
I
-. "
L-"- ""
, .....,
._-~_._--
<- °e t...
+1Jr
-,
.
.~ --~--.-
, .( , -,.-'.., ------
--- Ir;-
.
'... :..- ': ,..---.-.--
I
;, . I
," I '
¡
I '
: ti:. .. ..: 1 t . : .,. .' -! '
3
rlti.. :..--
-- ---~--:---:-- t
T '- ---! ¡l.
i.J--Í...;~-1.J-L~.~..~. i . _.:--L~ h ~ ~.-:_-~-~_.
. . ~ .' I ~ I . i ; . ~ . . i : .-
~... I . .
i "7"-'--5-"""--;-"-":'--~"ri"-" - ,-' -:.-. ~-,---:--:-;--.~ lo ::.-:~~ -=-.!.._~€E ; ":', .!~I.n. .~..,Z,fl¡;:~.9 ,-~-~._-
. 3 - I~: ¡ , . f . D,r r :: '. .. ~
. .
."---T . 'j
J.J_.LL ¡=: -~ ri!_>~l..e;Tz{.T.~_~/~ij~~--,
: ¡".ff,.,
~E ;= -~ Úz¡¿~ (
,
"
~~ ¡ct'
,.l-';~ -.:.,
.'.
.
.
.
z/o{¡( ~
-'
,,eA'" (21-i) ; I~t: )C t~,?J
j,~i~
.
~
~ ;;~4.4:
.
~
R.,¡
.
"
~ ~ ~ ...
~ -'-
i t :
~- -----_. .. -----
-... .. '- .. -- -!-.- _1I
1 '-.'---" ...".- .-.. .- .--
¡
.----.
--_o
. ,.i : . .
---'--r--o:--.
"'~-1- - ---_J..~I,
--_.- '.
'~¡;
---
" o, U'l.
.
j ,
~-----.!
;
¡
... - -.... - ..------ -..-.- -.......-. ....
"
... ._. ..
i
~
.~,..,
.I.i<..,¡
~
...-....
_o- --. '"
__"0- -. '.o- 0.0.' --.o- .'.0._- .o. --
- --- 0-- 4- - ..o..'....--.-..
,,-
g
-1. _..IL'
.s~.o".,
"".~.; '1.'."
f
.3-S01r! 3.~o /1
f
o.S"'o a-
{ 3.$01>'
f
3.S0f/
f;'''
PROBLEMA
S1
'.-Calcular las lineas de influencia del e~fuerzo axil de las
- bar~"s _A13'_13.C ,AC. ,LB!)_~é!_J._~~s~Z:1.Iet:uI"aureprl:sentada_en..lIi_fi¡¡ur~_cuando un&-.-
carga unidad recorre el cordón superior.
..c e
~ ~
,
.g ~ 77ZZI
3,)0/'1 J./"o
"'"
.? ro ".. 3. r""", 5 ¡-OM
...-.....
- NAB'"
'- "-- i
I,
-.------L---- 1,11..-
~-........,
N"
.~B§
'G)' .oj" ; .
o.L/]
-'----"---.--
."~ : 1,: l
:

lf(~~
.
- I -"ff
-.
-'o
:11.
'. -- ~,
r~..." !
: i "
.
Í~
rf-
?r
o...¡
. :l
-=..!-.
;,,:..;
--"t.:'-
:'Sh .
~¿:~:.~§~~~:¡~~~~t~~~t:~~f~AI!
; ~
I
~:f~
n
'~: A
I
"~:D
n
'l
J
'S
I
;:
T
A
R
' 'N
¡
IC
t
-'
E
IA
S
";: ,::,¿':)~~fi~J~.
~:
~.~
,--'"
I ,."UdflIW ifi.hEE..o,( clll1!HIUli LJ
r- rK :' I"i: ;' ~
.
~ .'
~ I '. -w n
. ~."'~~"'~"--
i (~~ ¡:.'
t..X Nac. :
...) ~ :¡>... ~~ ".. '""- ~.."'"<;' c-é e =
A 1Joe..F . "2~= o: .
'1c. ; ..L + ~/-= o
~
1p-1
/;) ;;;n-f~
~.
& ¡Jct.
)
~<.-
i-<-l
&;="
/'.. ~t:L.:<: "- ¡¿r.{R7'~.,.a
¡.)~ . ~~.
- .
11. ~ ~7..
('~ .
;¡;:r.l..-
, Pt€
J
~
ti-
~~
~.!~ . ~
I
~
.
e, ; -. 1,,
:: ,.",
~~ .
¡"""""- ~
.
'.~ .
~
- --- - -
,L,5. ~~ 7 ~LJ :
::("}.-13 ::.::>.
(;¡-7'<'~ a-.~: )
-" 1.1 - el 12
"
.~~--
V)-
Q,.1<¡c:: - "/B'"'~ h::o .-:-) rJ. ::-
e, '< It:...
v 3t h
.a. &.. ~,,~:er~ de. A': ~r a ..é"H- )
~ h f- 127.." '2..E ~ o S IJ,l;c:.= - e'Z-2iI
h
N$'" v, - r2.c..:<."ii '"= 1;) " ) .Je~ ';. ~'t..
~ ~
:...
h
(2I "
1i+ IJÁc.. ')( 1-, -= o
0.) b<ui!c... ~o!.::¡d- .. .&.. ~ a~ c-e ~ :
-ztVh=.::>
6í)'&r~~
¿ Mv. -; o
'Z He- -=-~
l~
"
~~A ',
I
L
A~
¡:r 'O
~~N1
FROBLEMA ,- Calcular la linea de influencia de la reacci6n en_-
el extremo B ~é la viga representada en la figura cuando la recorretL
una carga P. El valor.de la rigidez El es constante.
;r1: l
=">
0I?
-.EJ J:: ~
cJ,r.
"Z.
..E..r el" = -
~ -+ C?'
(
J(: ¿=-'>
d..,
- o
01", -z... d;,.
-
~ -
¿?
..- ,~l
I-
'Z.
.EJ -..r -- .!!-.~ -
Q/¡J: -:z 'Z..
~ ¿l
.E.:r 7 :::
- 2:-..~ - "
~
r7 .t;; 'Z
----- --
I
I
7'-=
¿ =) 7'~D
::>; - e.,L
~5 ..¡c'Z..
b z.
~_es
~
/J:t.::: -
~~
-+
~Z';i. -
¿r
''1 4 z. "5
Jll
=~~[-IJ-r:J =- ~1Z j5
/.Z :=
rp..:;¡
-0(.1
;;1.-
~f-.3
)
2 -1- [- .!! ~ L?
~ - ~7-
l.ez p b 'Z-
.3
J.-
~
J !(¡j-3(l)fY
-.
¿- Á '"
=-cYr. ./...;..k .4:
'.
~~
PxZ (~.,~ ~)
¿/T
!
I
55
A)Deterroinar la linea de influencia del esfuerzQ axil en la barra en dE
111.estructura representada en la fi1ura cuando unllc~rga~_"l!r_Hcal urlidad
--------.--
recorre el cordón inferior AS.
B)Suponiendo que la barra CD tiene un error de ejecución de forma que
es 5 = mas corta de su longitud y la barra a sufre un aUJ:lento de
temperatura de 60RC,hallar el descenso del nudo C.
C!Suponiendo que las barras DE y CE sufriesen una variación dE
temperatura de -SORC,calcular el movimiento horizontal del nudo B.
L/EA=10.' m/T
:J)
0(=10.' RC.'Datos:Para todas las barras
"
'un.
8 I
.
1
91f2.
.{
q/fl.
t
{-''TI..
t
1m
t
1...:..
I
.~ ,."U.~I.vFR~tRARNAC'9NALDEEDucAclo.N.,~.PH~I~NCIA. ,11/
o -" !:$~UElA~'TEC!tICA' SUPERIOR DE INGENIEROS INDÜSTRIAlES,
'~-I--
.
'"
,"'P--
_n---un , : ~
¡_O ~
."
,----..
;'0; -! r".
"
--:7 i
. .
~:).
- .
/" ! ~.
-,." - .
?,,~1t, .~_: ;:f":()'r./~f-;V~:~~O= <>~N~;:
~-:-=a """
, '
. .. .--' - - -".
,'o,f
.. .."._.~",-
'> . - . ._,:1 ..: i,.~-~.~;-_.: .' . -( ..
1",:.: .
..?~h><J
...:
.
. :. Á ,;;;t ~>rO D ~,{, ,-;:~'
,
~i ¡,'t¡.
=-(),Q~G
.,
o. >'~¡;
".'~
~Ot'"
~J "
. ,
-, '-
A
~.
[212J2- J J D'T'"'/ "
,!A--1~_'
'.
A,
Y
~-.-
I
~/~ ~ u. .. o. ,
,~ -
,- o '
h-
. <1 lo . G ') .'
,
.
.~~,
-, ,¡./O J:.;J: y1t./,71
IV ¿ <- /v¿ -1 1 IYI -1-
/ .
N¿
,- ::c L JV!-
L e
tJt -/- IT Né + ?JJ::! ),6 +~[)J
'
Je.D -= q,_':J =---f 1'>""-.
~~~ ~-t=~ATL",,'/b.z66YVDo6~2.~¡1-¡M
'-.,.-
.
{I
d'fJRJ2A'
/-2
;-.3
f-t¡
.2-~
8-V
3-s
4-f
-
'1'-
~(
"
5"'-6
s-}
G-;¡'
6.2
:¡. g
:(, I
f-¡
!
c- le>
I
1- !Ol
o e
"'""
e
O C), o
C' D Q:;>
I':J b O
() O :)
c,- 6 O
O c:> el
(') 6 - v2-A '1
:..:>
'1
o ,) - V'2/i- 11 ,/ /
: ~ -~(,; ,"1
::> 1:>
-J2ft., 1/
'" l '
-1" ~'-4 e ZC?~"t N/~I4+~);,,+};!f:;)
- Ig /;,," ~ [ (;*-;:/; A' ,/;;;4;' ¡?J¿~#¡;¡'r J<+/i::)
/nr ?k... 1) , ;/=l~ "-.:> ~1(~ I ~.ht, ,p 7«.7" 4.
,ahvc~ C~¡f (j~l{Cq.) .
(
UNIV~RSI~~~,NA~I()~AL DE EDUCACION A ~1~T~~~!~""c '"
5J '
ESCUELA TECNICASUPERIORDE INGENIEROS INDUSTRIALES~"t"'~(~'C'3'
~--~-~-~-, u -- '- ~
J.~---'----
¡;'Nt N( A'~ 6{M')~CS(f'1'
.-:Jíic. o I()~ q , ,;,0o
.
,~.:~f2?-~<-:,'#.,:i~g:~~11~~:.:..~:--,'
C)
~,';.t':-lfi;í' ,Q,
() '::...v;f"'o
o '., ,-;-,Úl/r c>
,9,/ o .. ,---
11. (;>
()
1,)
o
,
?J
DI( )
é)l., ) ,
1I o'
Q
1I
""
1
~
1I D G
"
c¿,
-OooS, ,:c,,?~-:r1- f)
C~V -oDOI
-a~o7...
b
1,
°, Oé>Z t¡
~
~
/-~,
/~// (?r>k /...¿eCe-n~~ /LfE ~ JJ¡;;-l' '/ /j,D =- IJ¡;.::¡-.
--
/
,/
7C?-A.~,'
C>') iJl
LJ ~/~~'~ 'I>N
T fo'~-1
c~
/f'-
L¡ I
'-! '
<--o
iFv~o'NC0 = O. J -- 0,+0)(/ ,-/-- ,
~~~ ~
.
~
I
J /P,
J'" ? ~ o, .Jo~/ ,'(1 y
c;"" J -i !/CE
é¡
'2 -,~
-:.~
/
AJC'¿- :: b, J /
< /"1? r¿ -, S" (,
'( =-
¿ .1; 0- c7, :(D)' ,'/-o,oJ;-. ,,: 0,5, ,~oD2v -=- - (), OD253,:~ /c;~,
' ' '
l-i~@i!r:~fA~1J~~.~:~~~~¡~rs A¡N~;S~~~~
- W
,",.,~,-"",,,,,,,,.,, ,.......-......-. .. "~,,,,,,,,,,,,
~,,"'. .
,
"
3D - ,s;¿ 3J;J,hio~",~¿; á; "'''''''
.
-Y-Hl";r~i~~~%~~~¡*IT11'¿¡5¡;; ' -
0 o
...
"
-_o
,
-.- , - _dyI'LJ
,
---':-
,
1
,
'-
",
'
'<::?
,
-
'
-V
"
"' A",f'<c"
íu.,
-
,
-
"
P
,
;:m,
-
,
--;'
,
'
,
:i-'M
"
x?-vr¿/i:;~.J'-¿
,
- ,-V1/ A;, ,:0~ ~
:=::_-~..-
,-
~--~-
-
-_~_2~Lcf'Ct1, ~~WLJ_c_L_C-::~L!-;-:-~,:~__r~c,7°IJt
.'-..,-..-_l~
-
4?-,o.~í~~.~+~r~1d¿f~~-'~4i fAl,~)
-- "l'
,,'.' .,' rz'
¡
: . . . .'.' '-
- 7JlL¡~-'D, = ~_Ij~~:i~IJ¡'-
í-
2.
~,LL ¡¡
-
,-
... _.~.,-_..
,
7jj-~-
"~Ái/~-J;'-
¡;:¿
C:>,DOL
- -
"2. :: -3..-5'36
4J,)-/D+2A{/¡~ (ó"'+/d <t/I.¡.J /;J. ¡-J.
),
(7. -z. 'Z--' "Z-
- . ~ . ..
~~1au7'.3 -
de ~ /
..,
_~_L)_='¿:-
",,_u
~ !0.,,~jJh;";1{? é A?-ID:: I
A
I
1~.~~. ,
1;14
J.t
II
¿:
~.
e
,
'
(, E:; C;R¡J..JL
-
;;;.-;>~ ,
-
-",-
L J:72-X,-
h ¿ Iv, ¿;¡,(dt.., "
/w" I
- -- ,
'
,
'
~(f! (-MsSI5VY60:~:;')~ -PJ?'1M.
-.' - -.-,
.
- . .--
'Q! ''7-"~~
-- '--.",,-
S'1
PJWBLF:I1A .- Obtener la linea de influencia del esfuerzo ..xi! en la
barr~CD d~ estructura representada .en la figura. cuando uña carga--
un)dad d)Tj9)da hacia ab~jo recorre la barra AS.
Datos:
- ~arra AB: Infinitr~ene rígida
E "2 10' T/'lfI' : 1 ==
- P.~!fto de las blrras: .
LIEA .. :2 10.' mI'!
- s~ recuerda que:
J =
,-0L%" (/ -
~()(.Z
)/6.EI Jj'~
.
,4
(;P ;[)
-.
) ~.
I ¿'.SIf'I t ~ 1.!.2.s;1
I
::'
frente? esfuerzos axiles.
0.026 :In
}-L1
*
~
1'R
¡/ftr
t
~i:.
8
~1!¡?1
E
~~,--
'.
~.
I
~..
,
~
.
UNIVERSIDAD NACIONAL DE EDUCACION A DISTANCIA 1
'./?~.
l
.
. .
. ESCUELA TECNICA SUPERIOR DE IN6ENIEROS I~UUSTRIALES ~! --=-- I -
0._'
,-.-
- - - ~
,
J ~
~
- '
.
¡{.U4:>$" <2 ¿é../Pu~""
.~~ .au L.
l>-"J.' ..~ . . ~.'
-
fiW
!"<,"
é"//C~ ~ ~ /~ ~ ~4 ~~
.!'
l'
- . , .. f iZ. "
'
.,
,.,' .
.'
,
.
';ft: ','.E ,;k-::': '.""'.:
'.
.
¡SE 1
-
¡?¿?
- (Í-;2)L~
¿ r.~; ~¡Ü
-
¿/fE.:r-:- '
- (Í-/2) lo:J
-
I-/(
~J:.2.ltl~(), Q2{, Z t'f'1.t:
~ --.". -.-
'- "
J;¿ ; 
I
~(oS'lÁ :
j ~ ~ ['" r~ /*0 a..1~G.n: dI'
/f;,
I
r
"'-
e 'D
[~)dr.
~
Ideó
2«~
-)
+ ."'/
o~ I '?l> b,
i'3 '
:)
(X) (tl')
-
4 ~ ~ 12:{,eM"N¡Ji,u~. A->,zj
- 4, = -A3.!- -f L NCJ)
---{J
/13
'u,
~IVCD~
d~
~-1
~
(5)
""'w.
."~:s .".
'.
- ~~
UNIVERSIDAD NACIONAL DE EDUCACION A DISTANCIA
ESCUElA TECNICA SUPERIOR, DE INGENIEROS INDUSTRIALES
{;'
--3
z; .J2a~~ .-el dor;h,<-.~~¡;/.w¡;(x{
c¡):2 E :
!J;:L~Q~ "¿_é~~II;~,_f;,~N-lí)II$=¿ E¿ (,12~~~ ~/)/)
. .
"
;
."
.." .:. --'''':,,;-( ,-- '-- _0.-" -. . .
..
-~'" 1~/t5:t¡
.
.//Z ":='&:'~
.
4-;]~-T
).
~
""
.
'
.
'
':;-'
.,,"
..~'
(', 'V,
"',
., I-¡;g"
o-o --
,
'. -.-' ,-- . - -
; .~~ ID-"~
11',- ;¡1?!~~~~-'f~/~
".'
-V
A
,/J/.¡ -¡ 1'7 I
)i,,/o /C. - - - IV-
-1 3¡!J ~
(2)
.
--
...
- ~
'C
4/ di:;f'¡{~:r d4 r;):"
1-)2 -
z~~c
R.. .'
i,
- ',' :::)
1'oC¡¡
,
1:eo ¡¡
'~> ~
":ÓDf)
f(°7/
.-. .- ~_.--
-----.-----------
~ ~~ el ckrz~t:.'lovW¡f~1~ E t#
1~ (7)/--'
I
P;2~( - ~;; o
~fF
,U/l- (oq
'" i('
"-~-.. . n_--' -- --. u" --_o
';
,
I ~/ ~ ~/ ,4x,,'1 ~ ".~',
.,~
¿(;¡ 8«¡{au.c6 ~¿s):
,
'
(A6:.
~
,,¿¡
;2 e P.(Ifrr l?- 4 ¿/
"'~ "" .d ~w.~
"
~ /,;/d:e.a..6. ~ ¿//~,8 ,E,
, ,
J/( !Ml?í
=-'d'
g@-r
C~
~ k c.{, "',,~ t<;....
;¿;c,'-.
'-
"-..'..,:...<.p...l"t-le..
<-',
u
.-
18 
UNIVERSIDAD NACIDNAL DE EDUCACIDN A DISTANCIA
I
i ~ ¡
ESCUEtA TECM!GA,.SUPERIOR DE IN6ENIEROS_J~O(lSIR'-~kES i
L¡
..4i?¿"'-.. ,de rÑ ~/,. tJ=<. A.. tb.."P '*'
~:.. ><:
r l'
I.
-
I
)
iX ti ,€
~">I,,
.
'1[0'
< .
~ re(rsRdol)+~
/ii- I'R?~~ >Á d el 1- 7, "'.. ,1. ,Q'~:';r - .
..
.
..
/~1 . ' -!!1+
.
. ...'-_.
("1' (5.,')' eN"
-) (;Jet>y-= (1t (,j,;: J"
-~.:.....
..'-_.----"~--
'- (f:xy~
'~ Q..
~ ~~) ~.~
}..je-
'!::>
:::
"
¡
!
( . . ... ..--.--.-.--
,
< ,
1
I
0'__-0 - --''''.-
--
~_..__.----
J:; a./~k.
- 0/~ '('
~
"
i:.)
(iJ:
1"J -/"
-=- L ~'/4~.r r 1vj:Jl)!/r"O i (¡Q AI,-';z>,-A/,..t"Al b "
...,v<r/>~ éJJ
~~, ,eA"
'
'
,
" /!.( 10.4 L!Z 1. - J..
)
. ~.'
.3 ~,
'
~~/.hdo~ ¿~*A#lf/~~~~ IÓvij~ .:.'
-,',
E- :=' 2,-/(/( ...L ¡¿ -
Z,,'O'Y ;:> /!~.-~¡;¡/f~.=:
2~'6
., ., 3 .' '
, ,t/i
'
'.'
,
"," " "
...~-'-'
¡(:JórI~~'
'
{ }l
-t ~
R--=~:g,: (¡;y
~~ ÁZ ~'l)C
( 1- l¡ xl.
)
.. ,.. ",.-
'
6:'
'fO~
l( )
/66:;: 2 .L'l
Je~(&D);
(c(t ~ ¿ é~
(¡¿ IV?.¡ ¡(,.JL) Ij,!i
.. .. -.,"'-'-' -.- -
,....-.
C3
~ ~ ~
..
...~
PROBLEMA. .- Indicar. razonándo10 debidamente. cual es el grado de
tras1acionalidad de las estructuras de la figura en los supuestos de
estar sometidas a:
a.- Carga simétrica (cuando esto tenga algún significado)
b.- Cu"quier ti o de c.rg..
'~
-
...
.k
--
I
1
1
~ t... I
la.
t
~
1-
.-
t'r 'jl t
@@
.
6
---
b
-----
~'.
~.
.'. _."'."'1",,",,'_"-
.",,,,,,,,,,,,,,,""""'u' 1... i.Ja..:.
"'--"""",",""""IV'"
¡.,.
DaSrAt'f.';II-~-- ,0'.'
'"--'" '.
','" "', ".-. "-,-, -' ".".","" ".-,' """':'0"'-""''''''-''-:,' -
-;.,,:.,..,-,'-"'"
-""""-'0,''';''-''''''' '- '.- "-
-, . ,-"',_:"-"-~-.
~"
~
~,arctrÉi¡~~~[Af~ERíóR3!fJ!f6'ENiE~I-NDUSTlnALfl! ;;F:;:~.'~~<:~~c:
,"','
,
""
,~:~~~~~,..,:";,.~,;...",-,:,..,,,..
~
1'";
,,------ '~ ,--~ ~.
i
--,
I
~:__. _.
-
'""
,. ,
~ J -
. .,0'.' ,'O
"."-'..- '0'
v---
!,'::-->~:.~
--~ ,,"-
'-.""'-'
-~
"
';.-'.'~-:--~-~--:;: ~7.
j:;tr'Ibr~'~Bit[~[':' ~
'. '.'
;,
'..0
. ",,-, t ~-, , ,.~.-
- 7::>-':'.
"
..' r'~.{ ,~,,;'?-'"7 ~--" ..'..._--
~..-
¡
- _.,--'.
éL ... ,¿.
a.
b
:':Llh.~
Za.
..0 0-'.-
.0._0.,
v
"
"
b'
,5 '
"r¡,~)'Jj,,",;:-' t.
I
/ .,{ /;' ':/' I
~o
e.(Ir~~ u:~ ~~o /IM.¡7(A y
//. '1
~ 7'~= ~6do f:(¡Av"/'a:..'i"'-/J~.7ía:...
,S, ~ -11"NZ'"p',,¿,.tn<- -=:>' -Im,e';. ['¿¿~Úr'¡¿ 1-
--,.:-" /;+.¡~ I'2.+b=¡f:L'c;'
,~~~:":::,--¡_IiI_.,,'2."'5 '=-"K::Li-.'~; -'-'~"'''~'~''!'~'''-' ",.--;-', ..
{
,
~o.
, ~ -.
-
.
~',,-'
-t
t<..,
'," "2."'-
. .., .- -w.-.,. '. .-'
,'i~~~~'i:~L'i" :'~~7'*1!,'2,
/ / ( /~ l'
;, ," /. 1 Ir
.-1-;Jj¡,"'a::Ic..~.Ao..
- f.' ó J<..4+ ín-c--c.
/u" '"'o ~-;'~!;&~a-
",;-7r4'd"",Cru'" I (!) (J:to,
1'7 ¡-=, c.t'a:=.---- "lf-<'r),
t-/Y~9f8~1'" t '
,
','"
" "
, /
'2t:~1..t$-=r61 , .:
A c.
"
,;
/"
~"o
>
-..,........----
""T!'- ,.í,
b
,..-.
u_-
-,'
,
11 z -o ,- --...- . ,-_o
, ,
u
--";-,":'f.-'-i-
--~"'}:
, .,
;3c..
fe.
--:'
.~,
v:--
,.' . :.
"
,--'---~,---~-., ,-.----,
"
' ---"-
"
11
..
..~L.._;
H
t
'.
l' ¡ "r
'=JS:~':: ',':C::~.~:':;~~-~-,,-=-'~"~-= ~'~~i.~~1~¡'4~~'.i~--
~
-@
,
. ~Z-'~~.~_.-:
,...::;::;
'''-''
u , ,/I
,
'~'~ ,,
': ,Y.,
" 9
~' 7.
-'=
c' _
'~
,
:
,', ,
'
.
C
,
"
,
""
"
"
,::
.
,
<. ": , '"
",-'-' -"'-<-:-:'~~:"-:'-_: /-"" t. o o,
"
//// ,
"
' ::,¡',',' '
l1M"~a: rG) 'L)
/~ fr,,!"L.;;"~;¡'¿~'2.;re ¿,d
,
,
/-
11a-¡-I-7-2rk¡,.-=&:Jq J '¿~{. (¡,,!o)c40 ,KZ-í'{f óG,)
<:::,
b' fH '1.'
(,
//C1d) '2 ')
,
k-
;..-::
, ' ,
~' i
( '
', , ,./ .,
1. VI > 1.
(
t
o~¡ '-r "
{- -:-;-'-,
'7;-
.-,.
.',
"''''.'~'':-:''-
," ~
-........-.
.
,
c:. '
~".-
1- .-~¡... -p-"
-
t,-iM
~
UNIVERSIDAD NACIONAL DE EDUCACION A DISTANCIA
ESCUElA TECHICA SUPERIOR DE mGE~!EROS mDUSTRlAlES
GS
~: ~.,.~InCc.-
Z c!e '2.
é. :k.!:",,¡ ;
í
A 't
" .,
'''''1
.......
" ~(
,
,<1'
~ =+: ~~l{,
/. ~
~
_-/
,
- ,!"
/,.,:;r..",,-t:.~<pjJ
f' J,'
.
IÍt= /;~,
¡le:1 )6
0~l?~ -
11'.,/'/Z'-Ye'
~'.
. , .
Y.,p a,:.o:~..:t:~~.~:.; ó-I',". ::J..." ".'
1
!
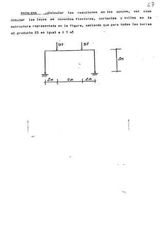
PROBLEMA =Ca1cu1ar las reacciones
n
- "" --
las leyes de momentos flectores,dibyjar
en los apoyos, asi
,+
como
en 1..cor tantes y aKi les
estryctur. representada en la figura, sabiendo que par. todas las barras
el producto El e5 igual. 1 T m~
--
rt'117
101
{
(,t¡n
'[Dí
°.
~.tm r
..JJf1
~-~.-
.r.~;:~S;~I;AA~~~:~:~:~~~~~:;~:o;;;~~~I.~~-'.I!~I 1-
I ..~.
"'1 .' -- --., "'-"" I
I
I
.I
.--'- --'/5
e .
~
~
. -.
..".. -,. ,.
. -~--?' '-';-'-:"~
~ .~
0.'-
," 1 -. "'.
. .
.
- '.
.
. u :.."- -- ." ~-'
-,
. Á ."
/, . /
.-
-¡12/Ckeec 7' E-f
d. 7a/b.
/CR. :::.! </G'I l- Y - .i;ce 2L
-
L T - t¡
~A =
.
~ tío- ~. 3 .!L - 7
7 h 7'3-
)
!',:
/
/
fe¡ .
e - -  . 0 '"
(Jc - -- - - ,L
1-1 Yt¡ f
C84
::
I
~ - ,':L ::o, Ó
1-+J<¡-S-
- ÓO~k =le
.
(L/ti}.
~(~ i~
r
/ . /
2u./v07,rar< (- "« ,1:);
} (../¡; ;
l., , "-
1,
- -"
J4
"L-=--:~
.
f { .~ ::~ri' y
.h . ~ ¿;,
/
,
)r 1-1, f -Ií
(
~ +~ . J?
", { 4
r~ fI1¡" /f/ -:
Pa6?
-;d'
-/-
a':: 11
ó' :: C.-
~'';'~ ;";.6(
cl1- -
<-.J'-
lo y:? ><.(; ,c-
:::/J
g ::=
'- /2 ]
73
~tJ
JMl¡
at
o
fl'2.
'-
T-tI2.l.
v
"
.
;';'!~..,;" .~'4~'~',:~' ~': : ..';' '~'~'.. ~~.¡-;.;,-",~~,,~~~: ;..:~.';.' ..."" .
UNIVERSIDAD NACiof'JAL DE EDUCA'~lqN A plST ANClA
.'
.~ ,
'. :-'.~~'~ '/',; ::,?:,:;,~~.:..:::;..-;~:!:.;;:.'~ .' "~':..""::'.':~:'::;,:';~~~."-" '''.
..
.
ESCUElA TECN/CA SUPERIOR DE IH6EHIEROS [HOUSTRIAlES
)
¡
m ¿7-
/I
.
~.
1
~
l. -!J- ,..
I
6
. tI.
,
'-
t-
I
J
,_..
'
'o'
.!¡
¡
1L:'Ll . ~
i
!.~
I
i
II
i ,
~
i~; JH
L-~-
-"{{
"',;.
.
.-. -_o ...u ._a
'"
--- .~-~. ,~ '"
.:~.:..(;;'1::'.~. ~
2.
.
~
"
,
¡
.,
i
!
I
I
0_--
--
u u_o
-
u- ~
- - - 0---
-
U.O-_UU- O ~ 'O--_U '.'
-'-"-'-~-=.-~~,~
"
--
+/ ..~
PROBLEMA .- Calcular las leyes da momentos flectores, reacciones en
apoyos y.movimientos del nudo C de la estructura de la figura, si las
barras AB y ED sufren un aumento uniforme de temperatura de 60.C y 40.C
respectivamente, Y en la barras BC y CD los aumentos en sus caras
superior e inferior son los indicados en la figura.
Datos: Las barras son de sección consta~ de canto h = 50 cm.
El = 10) Tm2
a. = 10.4 .C'l lJ
A
.n;O.c
.¡.2o'C
b'P1
e: +4-0"C ./)
f20.C
6177
E .,
L.~
.~~:.,to.
.
UNIVERSIDAD NACIONAL DE EDUCACION A DISTANCIA
ESCUELA TECNICA SUPERIOR DE iHGE~IEROS mOUSTRIAlES 2deL'
'---
"
.J~ ¿ ~ J,..,,2,..4 C! I
b ~
Ñt/
- 3.'¡ó...? -~ ~ (¡o.¡.70
-'::z" c..- - 10 ..:>.
V~ Ef '2..
l ~or c; 1
.¡Z-o'c- (ij
~
.f¡;' :-ilo'c
A '
J
c.. .(Ót:. :v
}( 'ipt
V
~"C .¡ f~ 't
-, )~YII'¡~~S:J
I¿'c,: - /Ve:!
- t::r.ó..r f /0 ~ 6. 60-1'"10
..?éf éf -z.
/r 4. cb ~. v~ d? C! :
J~, = ,; ( d s. ¡.";.
:3 -1- 8 v.b.J) -~ fi 6.e;¡¡.:s)- Id
vb.fo ~
3
J
'
1-
¡ x: ><(~o- le)
01.
., I¡
~
1ft = - ~ (~6' 6' V,
:¡ <:~616.6) - é~ a. b' 6N. b)- /O-~b. 60r-
rC ~;.
/0
)( d~ (Cr> -z.o)
7;,
) !III;¡ I/¡-V-~~r¡ l.M..r
...
.-re¡¿./;6.. .
~f¡tJ+c¡J-;f,
2
ti N i Ili v=-:s8 (
-";)
- o. 9Z1 U<.T
ti:: "'lIt¡ r &1.'l1~.J
...
V;b.r¡)-:;T
~ 2.n.ct<í
tI.1IYT
I
'-
tO. lO:¡ í 1
.
~
Al/vi
o. ~D~7
J¿qlit: /'
..,1." :
2Z ~
Q Ilv. 6.:1 fl¡~o. Ic4
- e¡ .io-I:;. - r:¡,c,¡t (Ó-~ 12..,
)-
se 10:1 ID~ (:J't'
I
~ ;; CJ Yto.~:r-.JI¡ ><o. lit¡ r I() -~ - '7 '0- , -~
~,
.
~ c..
/03.
- - t> w
- -t,lo'J '"
oQ,.l , 1
I
. __0_- ...,
' '
.. . ~., -----------...-----.
1-3PROBLEMA ,- Calcular las reacciones en los apoyos y d"iagrama de
momentos flectores de la estructura representada en la figura.
Las ter.;peratursse indican en la figura el! las caras donde se
producen, debiéndose considerar variación lineal con la-altura de 1a-
secci6n del elemento. En la barra BC el incremento de temperatura es
uniforme.
Datos: Altura ~e ~a secci6n de (as rigas h .. 0.5 m
El lO 10 Tm : «.. 2 10. IC' .
,
.
~;/ ,~
"}/ ~O."
/ ~O
X
A
qs.
" 1C>O.C: e ~~~
t
3172.
,
'.
,
"
'/
r
1
I
!
'. .
. .-.
18 ~;:ilisl;E~;';:~~~~~:_~:~~~E~¡;~~~~;~icil
..
.'~..
- j. - ,
. - - - -- - -- °_-
- -
-.
#~~C"J:'"~~
- /%
~ ?,>,"""A-~'-, - ""kA~r
- JJ4?cIn~ =::> 77'"0
¿Z¿¿ L/ ~/t A"<<"'Z-Q. ~/ cr1;.,,,j0.¿..
,¿- ~
H
c. .
.,
~
~
~. . , ti!
'." .' t(.-",~~
~'."
".Z.
,
. .~~f,.
~
LI/ = CY' ¿r!; t" .2~ le>-<='" 100.. I.,J= J"oo ~ 10-
G
u... ( o.4?ec4c.. )
<te' - t72 a - t/l o( Aé ¿ ~ tI2 ¿... 10',(; I/C(D~60
) ..3'= É/2lf.3 ID-"'ta, ..6' ,
7 -:z '2 -
z !
.
z.
. ! L !
C'~
yfA.,
~' - n ¿¿ :- ~/~'c./ 4t di, :=
~ t( 4/ i!;: (01 f.' )",@
-c;'z¿¿
~"U,.
ri.A~ - '.1 2 'J~
11 z;; '- .
(-,
i h,¡
..7'
~ "-;-. ( f/l
t "¡o-~ (t~()-hO ) :J.. }
"A
1-
.
2.- !- .'
c::IlAJ '" 1""
,/
:JL =- (a""" + rztf - /Oíd' ) ID 1;-;. - ¿''ir¡. /O.C8-l ( ie~cl-'<.. ') .
. ¿V17/:...uá.,IÍ>k/;- k /:
". /)
-Gé~ ~.q. '«"J1 =- d~:= E;
[fll([)33 VI + C~
~(.r- ><s.1~3o:
:3 ...
~ ~
= //,.t',í olio '3""
RII - :t.'1(¡.; /0- b'
~'.
,¡;z.ú -:: 2c'13 >!
IO-~ I = C'C:: 1 g I,,~'
'r' J'
,-<
.
--.'
_1_,. r;: ~Z'
. '
dq qb
~""M ¡-f1cIV'1
PROBLEMA :.- Calcular las leyes de momentos flectores en todas
las barras de la estructura representada en la figura, sabiendo quet5
la inercia de la barra BC se puede considerar infinita y las de las
otras barras es igual y de valor 1. El módulo de elasticidad para
todas las barras es el mismo y su valor E.
"F 8 t!
fl17
()
-1-
~'"
~
~,."
f
"
:;lo
-",., ,.':
-.""-0... ,.,.","
. ,~-.:.'
,,"':':;:'¡~~~':
;
-";." ./~:~~~~~:
. .-",;.
~..'
.
:".
"
,
,.!-" ,
,':
.
F'
't'
L;, eslwclur..;¡ €'S fr~bCJonal d", 9rcldo 1. b l:..".:lTrclde r¡";jÍd,;-2 (~/;",'
"
,
ta no ~~ de. h>r1)'d. :
~~~~ ~~c I
~Bh = BB' = 4rzG
1< K [  ¿CD::: CC' -= 4e
K.aA:. ~E!.. '1 f.
(;El4íze -=
g 9 + 6EJIt
""
s.E19
te. B M.. Vi 4íz '1.'12
ti,~o::: ~~IfB+ bEI4í29 - ~e t GEIGI:: 'lEI9
h~ 2.~l> 212 tdz rz
'-',, ,
I-ICD - "El p, GEI 4e.,: suS,
"
-
4 c..+ 42: "Q,':
..
,.",
Mt.:. =.!!!.. 'i'"T
f.tI4'e :; iUS'
,4 42
1- . " " ,- ,
,LaS ~(""~,CJor,t'.s .?bs I'CDS d2 !e:¡ b":,,re,) Be. 0(0 r"demos rl¡;lI..t~r ¡a~ (;J
,$11r I~ MN'A de 'l"icJ;dei, 'lnfinít~.
~;.~,
...~;{tl~~:~~~t~~'~ff~:~"'"
.:~ é':"
5019
. ~.-:;.~tfBI>- ~ - ¡¿
. ,~
~ "'..0:-, .
.'
"..'< .'. ". - <:',~,
. :
'..r:
.;'¡'.
u~w~::bj:'to~5~~j$~~t1~'_~~f:~~Jq:::;:";'<,::::~::;:'.,
<?'1uiilbrlO de; cork.ks!; "'--
¡ . . '- ,
.
.' ,]
.L
F MBiI
/
,/'
0-/4 /
/
4
x¡JBb He,ó +HAB
40.
~ Hc..D
~
L~~HK1
JDI~odo momentos r¿sp<cf.o a I.
'Zti!)¿ + 11M + '2l1cD t H De =L¡ F
SEIS
Vi
.¡.
2EI$
'2.
T' SE.I9 +2EI9 ~ 4;=
&=
4'2 F = 1?33ln F
i-(¡+ 1!2)EI' El
'L
UI3.. :t~2.. Gekrrnlna¿jo e CLnOC¿I))cS .tcc1C_<; Ic-s" .1";("1-'les y yuj".
-Lh ,1',;," b Lv. --j
} de 4:::CbN,
t1I,2, :: 0473 ¡: HC8 -= - o 837 F
He", o OS/2 ¡:
NC!) = og37 F
/1& - -05 <J2F
~IDc O.be e¡ F- , ,
==
n-../
o9~ F
oGl F I
'ft-
C.31,~
1
I
f9
PROBL~~ -'.- Determinar el giro en el nudo e de la estructura
representada en la figura suponiendo que "en el apoyo A se produce un
descenso de 6 cm.-_n - -- -
_H
- - ---- ---- --------
Datos: ICD .. 1
IBe .. IDI!!:
IAe ..
ID"
El módulo
8 e
--
~'"
A
.~rv~~
.. 0.8 1
.. lA. .. lE" .. 0.5 I
de elasticidad es E para todas las barras.
t
10M 10,"",
G
.-
<-',
. . .
UNIVERSIDAD NACIONAL DE EDUCACION A DISTANCIA
ESCUElA TEC~ICA SUPERIOR DE mSEtHEROS IIm"!:TRI!1 F~ .~--
m
. .
. . u HH
."..~ ~~
I
~
G...¡~ I 't
I
,.,-'í"."" ~ ~ PJ~... -.¿'j. - A~':f,~
~Ii~i
~ e#r~ P<-
7
C>~ a ,{~ m'-o
~
..~~
e e
C{?
~1:.1: ..,,;..
;4
~+;..: J, ;4.: ¡
'}fr
~á/~
~ '¡;/HE~éo;" /014~~Ot -',¿~
D E
~0~F
=:>ANr¡R.:'T/2,~.
~" :
~
~:~=Y;
3)
~. 6",(/4.lrO ec 7~~C?t;"..~c'¿~;¡
0: t5 úkfo :
¡-
?
rfi -; d thh .. J. d I'2-'
'?OA'él>"~."
~~ r-w
~t-/~1¡~í*J. ~ 1!>¡~'J;.
:
--
''}1. "-"'do-01..
~.~~~
.
,. f¡
~A::'
QEJ,u
~ - G"~.:r.-~ ¿; == .:lE
! ~.f
~ -
&'Vr.
r?:Jr~'u't- s
~4 .¿~ tY
c: cv ~J- ¿;y
a€..Tk., t.O bE ~ r - .IE!.e =!./) e ~ F
/.
- .7lJ.!- rt- r ; 1~c~
4 ~ - ~ - r & - 6y - L J' e ~
~ : - S~.:Ir -::-.EI'" sY¿ b :-G.:z ~~.
"$ ~ ~v /2!
1J?:..!j= ~é~''fe - Cé~ '-J3S-:.ay ~~o.~ fr - b~().g~'&il.~j~23t-D.O~iJ
<'4
c.. ~1. {if.~ e ;-$.86
¿
I
f. ~
(¡
,r~~ UNIVERSIDAD NACIONAL DE EDUCACJON A DISTANCIA .' . ,571
':~~:";"'.::;"'.7. Io
..- .
-K"'''.
ESCUELA TECNIGA I
#)~. v.
SUPERIOR DE mSERIEROS INDUSTRIALES -
...
-
~.;~.' - ..
'?.,,[~
4.
i
N - "~Jct;)...tJ 4- ~€Ic.b
e - G"E.r¿(.f..1;)-~c -
~ le. ¿ I!. A't. -l)
~ ,..Kc..o
=-
EJ!L¿ 't.¡
.2~ t4 - c:fff;r~¡~ ~IJo. gl!To.PZf1rf.~~:
l¿4 c~
~~)
"c,s (/ J ~D
1':.
H.C4
~Z5>1-().OfJ3Fr o. ~;% f4b¡5'l¡~oJ4T-~?r~
-~ cfo
') a;>,y i~ °.pcr2-b-P.o31; .. 1- . _.. --
r, .-. .
.¡ ¿~ re>
.
B
'~~
.
.~
"'J~
4&
e
~~~.. ",..,~~ -
~ I~
p
~CJ)
4~~ '-,-, ~/Jí//-IG/?I<:.
/.ICb't J{D~ ,
~ i
I
(


. '<Ñ..oc
""
~~ ~
. A~.,.
.
f U{).,I' MD~
/Bc - ~ ~~ r"'~6
..r...r.
. AD "'Z..
~ "-c -
~
~ ~oC>
r~~ ~.#;;¡~.4 ~/.~~;.
4~ 4~ - A4t!- ~~ = o
4.0
A'''o .,..
.Jt7.3 .¿ i-P.t?Z'Sq~t:J.Ms7(l+ 13..r~)- [/ ~ - g
tf
d} S J.:T>..- "',. ~(."zo Gf¡ /I{"'.."'.
..0'."
.
. J;~¡t?t .+ ,? l/U.. F. ~ '"'s>lJ;,:~-~ -
-' ~
~ I
UNl;ER~IDAD NACIONAL DE ~D~C¡~ION A DISTANCIA
I1t .
E?GUElA TEGHIGA SUPERIOR DE _1H6EHIÉ_~~~IKD~S~I~~_~_- nl{ - .J,..~ - -
I - I
. -.
J~'¡; - b. vz Ó - $ J; :: Q
1
. fe.
,f"Z~~f/I.I¡~J -.f~?~=o
. .:Z1/(;, ~z ~ - .ztr[. d'lit F - //(¡,dl- ~ ~o
¿
- 27'!b'CZ.l/c. - !7/. 5'1 Ó -I-.37,b;2V ¿; -= o /
- .1/31. g('¡¿.;. .2ól. 3+ ~:/.> :;::; J;a ~yTY' ¡;
F:: tJ.f)$"&1$ ¡;
I
-
. :~~-, ..
,r-
>,
j
.
L-.-,.
-- -_.-
03
PROBLEMA .-Calcular el giro en el nudo B de la estructura representada
en la figura ,sabiendo que la barra AB es inextensible y tiene EI~lOOO;T.m~
y para el resto de las barras EA=lOOOO~ T.
~
-..(~I
~ .. .A
~
'2A'l-
-~
~m..
1
<'-.,-
~
..:
~. UNIVERSID"AD NACIONAL DE EDUCACION A DISTANCIA. .' .' ?~".
:;ESCUELATECUiCA SUPERIOR DE m6.ERIEROS~RDUSTRIAlES ~'.-
.,", ,
E! --- 5 . ~~ =
~
.
' I
'.
í'1z0$Cék6: ~d".:.r ¡t/l'n ~ e/ t:u<.a:o B ~ A ¿.$c-e:k-R..
r~ .ü.- k /y-c~ / A~~ l~ 4 ~. 48
~ Itu~1&r.~ l' &~ €I-::1oooT/cd 7 al' -r~,j7~ o-'~
4 ~ EIJ=lo~ 17.
,1)
.1f1"1
._0'.
f
tF B
c- &
L-
-r
I
~I{
C- .~
.A"Pí'A:
~
j);-
,
7.:
t
*...
j¡; ,GeP¿/Zt. tJJ t)b ~ esrf2c.JI!. Ueo.s:>
~A- ..
',-"
~~~,..; tle7"~&<./ ¿. t:!,:
.. . _.~ .. -
.l
~
1F Ri
kc..
.f
2111
t. . .. . . ..
¿
F J ,¡--.
~=~r ~~=
1
I tr'-
1: ~.Lllt1!::!.LQ =
I-1l
(e. bt:;!. f.! 1.1.l 31: 15
3E.:T
-
t
"F :)
::'.¡. ~to.c.T
J. ~ ""
~. ~ ~G ~ i~ ~0112./G"~a. AA.
/~ i~7"ko<.A.:7 '.
~. ~.~
~ ~~~
of? ~/.Dtt.:
..-&~o~ Jla 1:"&dv ~. 41~<.u.o""y4~ .
..áu.a¡lfJ vV7 .co~ ~ <! . .
.-
FL'--/{,Er
,
f
3 - -1. -1.!
íí
.fe.;: ~. L - I:...!11.f .1 L - 'Ft.:. - ~,,2. - . 1/
- t.., ~
,6Q. '1. c;...¡.~ 2. ""Z:J"Z- 4eE.3.- b-t.!ntr> /a>g.qi ~('!,;)Oó
''''----.
-1= IÓ3-
F !
¡SO i
I
~Ñt j;:¿J:~~~~~'iU~¡~~Rq~:¡~iÉt~i~i iK~Us~i~iii .. i~~'!)
J< &/<n>~:
e. 1JA~){ ~,:~o --=.":F=IJJ¿b"!'{j)~'~-~
~~:".o
<i lo! D
.
..
L= '2/Cc110
1>
lI~D ~ 1:1 -::.-.b. F -:.::: F z.
BDj fA ..
/t?ooc>" '= ~
~t:etl1ZIJM~.¡¡),
1. - . ..,
~
¿=
440 ~
-¡; 2
=
Jbu ~ .!.~k-=D " Cinh.
"Z.
" t i
L-= t r ~¿:
:: ~¡=
+
~.. o . '0. .Lowv"~~
l I¡., I
¡ ,J.e, =- 05-' ':J? ~ ,: F f
I I()~ i
: I
-. .1
!yF
!()()Oo" th (-o
A'F:: !!F -1-
~ '¡CJo r::
t.J.
IóTJ7)~ V?h
.
/ rftXJT)
~
'4 ~ ..':; '.,
~J7~-<~cú ~~~ e 7..A':'if7.::.a', .
ID-3 - ~ -(JO
r;i-iLc F
)í
o
~ -= °, S-Z'5l{ í
tt:n;() ()
1
// ~.-7z¡ k it h!
/.
~= HL
3~.I
rL'Z.. 1~/, t),r2'gV><.<} ~ (- 't
- - ;:;'~71dÓ~
/6 ~ .:?~ IC?U'J. 1> ~ /o;7t)
,
fí
..
J
I
1.5"l
.g c:>
t
J'm
j
1m
l'
1m
+
Dt
PRJ;lDJ.,J;:t1EL< .' "- Ca 1 cu 1 a,.- --e L (~¡.iJ'''D
_e! F l.__1J~dc--e._~ ?-~-~---~~Q.0'"~:;:'------
~] cSTucr-:o B;' i! e:"i 1.:. t;.arra EF ce la E~tructu¡-a recrES~~-
t2G¿ E~ la f¡gL;ra. saLi~njo qUE 15 b,;ríil AD e °:: inc:>,tens~blC'
CC'l LJn '/a~ c.r de E*¡= 4000" T*me '. '1 par.3 el. resto dE :a.s
t3C-?; E*A= 10000. T.
E F
~-'.
B
,__h.".."
UNIVERSIDAD NACIONAL DE EDUCACION A DISTANCIA
i -IES~UElA TECHICA $UPJ~JIIID! 11t6!11IER"oSiND~IAlES.~:",,--. -
. ." .' '
. .
'V~ ,€~k-', ~,," <l'u'a~.
' 04 ~ ¡f4~ Q/Vl8:rz./c.c. t'
,
'
,
"
,
-'..'
.
, A~Ti I-l E-N ~~,.: ,:-:'-; .'--~'::,7.i;1:;' +2:-_;. > -,--
"
,
-~~,,,.' .'
.. ;,.-.;
" ",-:-..
.-.".'-~
"', ..: o"~. :. . .
. . . . .;_"":__L - ". .
-':~'_:L'_,',-:tht:'tLL"" >', ":,'..'
. . .. .. . "'.
..,
, ,
'. -.- . . . . .
n.-, ~. . .. .. ... -
. .-." "',-' d" -:'~"":-" -"
,-.." -.. n. ',"
..., ' n.- .
. ~
- '".-
.
'
61>1
,
rr. /1.. ..LS~f~F+ .52&
F ",'k<", "-k"",,
~T
=c
.EST k.-.:>o .AJJ '¡["-te..  ILt' C-<;:) ~ ,
"5h~ ~~ I;~ i2~~ ~10~ =")¿j ó.!'Ji o(Q
,/f. /~e-ad~
¿{~ .e~~ Fft:/tDS'.
í6r ~~ l~;
"
Sf'(A ~mT,
t '
.!i:., ,
~ ~
~ ¿curo/) d¿
J
I
IDA::'
NI.).::. '
5"' -,' ~
" =-
,/2S -,c(-g r:z::<d
IG b~ -, 6...ltoo-,
,
,
L..'
, ,G:
'-.i2f"'e~VIoJ~ -d,.~J~:".
,
k~::', J-~~ ,boe., ,
,
/Í?4 - a: ME '
~ -cJ"J" ~ '
--
,~Er (1-(1;)
tV¡1:;
-x V I
- f,zr-
'"
10 '.3:,"1.
1., !¡000 /:¡.o /- ()-'
L'-
,:J ot( ,,)
J
.
b '
~ :"-
@
~,..
07
UNIVERSIDAD NACIONAL DE EDUCACION A DISTANCIA
ESC~~LA--T~~~l~!J~P_ERI9RJtl~~_E"I~ROS_JNDlI~IRIALES m
3~----
. I ,
~E3Tt:. ~ --b,j"'I1~c.o t
¿;. .fe Leo.
E "F
""~
) ~/..
Srr>T,
~D'~f~
~- 0
(A)
Á)==f.- .-Ec;.~0 ~." U% Á '.
)
AG ~F ; ~/ J<tú,!k~ ~/ ~ ¿ k¡;
 ~(i:O ,t.2ó r= => ,II~:: If:rF
1 Afe:O -o. ?J"F
"
')
N¡::(!.. '" -o.'+n=
'-,
,
. ;
o,~i1= '~~f~ '
{', ~,S/l1í
A"C- =-
3)'
.tí ~
r
Ú.~n:
(íS)
f t-
C;¡,;
~ ~Ó', e<:
r,;p /.6 ~vi'
,L4 :3'M,1A' ,JZ)
."
, pE. .;zm;1<7E".!~'CL
Co>-..~Cl<'"()0 'DE:. =u..~¡''B~;;o.t..o fm-¡2E.J.V,:~S' ~,xnU(2~S: E.S éD~
d"-l.- Cd<2-2...;/-AtEAD JS'!21"(c:,o,1 OS ~ .B.; ~l.- I-.-l's;~ l¡--
I] ,
'
,
'
"
?'- ~~ ~ jZrF ~ k-c¡-t4 :( ,Le"Le...¿
a. h ;~ J r~ 'u-o rcY~ r~-
~~fd--';J. "
,
'
""TI2A os LI:>C'''
'"
~
"- '1=>E. 6-2 A.1>0 LJ¡,).o:
- I
~"
,
ft:~ ~ ~=6ccoT~
~
't4g:::. '; ~~'t;
,
=
"
,
60
,
16,
"'
,
~o;
,
<>G>o
,
'~ t;':l
l~.er '~,~
~"
~
' "'.,
~:o '- ~t,,1>"D
1", 'E-g~: D-<>-O.=. O. ~ '. ,
L
"
'
, ,
,~<>t-l"eo.o,
""',.
,', ,
~'t?--~z.'T~r
MIJ-, ',*~~TQ¡'~~'J~ ~Q~~~ .
It-I.-I ,
f.. ~:g
~
e.s-~,
6.G
r
<?-
~ o.1'SF o,~T"
".é t '
~
,~¡ ¡
.:¡::"..n¡¿~¡¡:L .
.r_~,--
5"''1: ',' . ,.
'
r-" ~IJtT
~ '
~,
'
~ I~~: o--1
~ 3T
.7- l.',' L.
~"
-===P
l
.
~ -;'~;~E~~'~¡~~A;;;ONAL~~~~~~~~;~~~;;;;;¡~~;¡T
m
'...'1
.-; ESCUELA TECNICASUPERlURDJJN6ENIEROS INDUSTRIALES - -
--'--<- 1 - -.
;- ~ I i
c~~-
í
%- '-7a-<--,{. -.P-«- ¿ / -T~ &=-7h./ g e -
IÚÍ
¡o,~
~1", -
- L-g,--
t
~~
~
O,~~
;j ~~'í
~3
i~
2:TI/=~ ') i~+.c =-~~O.t0=-
,
J'RD~ 0."1 S-1= -3 "
)<W.csTA~DNA -
)
---~ ~
""1
.
~
,
~f.; d-: 7
e
/JI." o~S
S-
::.
.~
]s-
-
-~:7~~
. .4 I
-12<>D
.~
, "':1 'l-Uo)
? ~ 400-0
-
::. "bE>o-D ~I
z.'-
~
IZD"~T
10 -
fJA - -
W~~ 1200
= 6<S:>-ÓT
~ 1."",,-
-,¡¿
"-
. ~ -;1a ~ ~ d-j.-~ ~~~..
,
1~V.t~
.~t
- ,tlt-¡-
7~2&0 .L<A-T
-
j6~
,:'-<'"--:-;'== ~nÍ) --()",~':::..c>
l' - -, é.. - '-.'J-'-.
.- ~ l.-t:..,
(..
~Q
. -
, 1cgl:=- -60-= 1 .
CotJ~ó),~:
- -
QvE p. .t:oL-
l2.0 + ~12.1 ~ D ~ D,i-~1=- S; + ~G-60>-c):::o
"
.
D
{)o o"+~::" ~
Co'j2J'2., 1M~NT6 ~b)C.."1iQ.A
'-
""P2L ~ 1;
- - ~--- --oo.- '.'.0_0-
~..
"o_--, ,--' '---~'-'~-~'--
~~
-~;~;~:~E~~I;A~~~~~~:~:~~~~~;~~~N;~~~~~; "'~-
.
~A 'S ~ !w- ~'G' ("6')
l
1::,~t;8-- rJ"f,E l:- ~ -Ol~ F 1.
!:t:, ,
10000
~ ~r -Vt = VE + o,''1'~-:¡:: /.)
(oe..-o;-
(}j
j6-UU>7 "'-
c:;:Jl.a.k J4:
)
,
fir r:!.'~/n~
, ,
eL~.
.0 -¡:
",--,
'
,
u L 1-'2
~ = el. LJ4", = .!.. IVf:F
- " - +- o=lé
?- "Z- E..6 '-- lcOOc;-
<)
ifa,:fY'';'' ,Kt2 : ,/
ue;);
~,'
.~
¿; U~D, IS
~
()
-c::J-0..<- CoL -0,(;'
-o- ,
AL/:¡t::' - ~ D,~ +V~ D,G.. ,
1."
,'"',,
I 2~
,
4t:::' tJAE ~ =.1:2SF~,
A'E. LO<5>oO. . . (
!
I
II
,'1 - L16~ D
-L
Ve. - ')t. {¡-
'"
.s, '
,~ ~~-Ji au-<k,~, 60' rfl2-'"~~:'
J=-
/.~zr.>o(Os F f- 6.:t-~ '¡,r,
3 " "
"¡,uou
, . . .,~--.N-- -
.-L0~G= ~zLt:>: CcIJ~Qlci0,~ CDMP1STlÚu!~])
~ ~ ~ á:-
~ y.J ~,d
''''r!
~L~¡;~J
4 q.~cu,",.'
o,:::¡n= -.5 '::.
1,'1'bZr-;c,1¡)3t- T c),-=tT'''Ft s-
b=-= 3 '
, l~
~~ F=_'t~4t-~ T~ QlkE-2~ ¿( V6LD'i2.J€. fJEl='
r."
~~~~~RASI~~~I~A~:~~~~:~:~~~E~~;;; ~~~;S;~~!~~~ ,.
I
~ I
an -~- _n.,n
-
i
6 ~
fk:-.~¿ 7~
.
<k 4::
.
. .
:51111 un' '~~;;.
1+ Il-Co~:: 1+.12-:, l-1.ChD~)=- -1.2n
r-; .'.
-
.
- .
k
. ~.
-,'.
..
7!7Tf:: 0,"::tT~-3=-.I"ID~~,
.
-J-'
~ .
. . ~,. .' .
IJA.
t()- ;:
'4 -
s - oS (-l.zf2) -0-- l.~1 X lD.5.-r=!.
.
~U{I-o.J"O.JJ'
~ ~-- 'C---"---
g,~;:;:;;-~/;~ j luJ<-/~ ~1f~~-e;:7'~
~ .
~ ~ - /~_5
- C" ---~'-_.:"'--~'
)
~,T~~ -e.l i~
bu.
w~ "'- ():J~
1t:>l:>1.--
'lz,1~ ~ . .~ Q,C "
!
I
-LI.K -
-~. _:r
I
-!
-+ /J(J.).. - l. (/ "-
10 -¡ I.w- ID :=- 5.y k ID ~¿
-
D-
- -
'-'
"c ¡
- - '-<
0' .
_d
- -.---
15
PROBLEMA ..- Calcular cual debe ser el valor de la fuerza horizontal
P- aplicada en el nudo A de la estructura de la figura para que el
movimiento horizontal del dintel ABC ~ea nulo; además d1bujar las
leyes.de-mómeritós.-fleCtóres.
. . ..- n
- -
.
-
..n -~- -
Para todas las barras El = 5000.- m2T.
l'
.157/171
¡ e
.A ~
..
~t/m.
E
&/11 t-J
i tI
.f..J /71 .Poém
"
~-.
~~~~...
'..
~~UNIVERSIDAD NACIONAL DE EDUCACION A.DISTANCIA ltf?.' 6~V~
~ ESGUElATECHICA 'SUPERIOR DE IH6EtUEROS UmÚSTRIAlES-
I
,.~ui
-<~~.
.
.' .
. : . .. . : i.
'.
:
'-'~-~$&.~~~::;,.cd~f~ '1./ r ;laut{.o' .
- . ... ." 01(. . ~.
. .h ~~ ~_.~_.~.
.
.. '.", .
. . . -. ~
- ~.
-t ~.
o~
~..! H'¿
~'l-. o
0_'
I
.
0--.
.. . .._- ~ , ....
~ = -.
'0; ----
s>
. - .."- ~...~
~. :--
--f8''' ..
.. . : ~..... - ...' ..
00' o.
1,
:~: -1...1> )
~
- . ~~J:)
.' + o o .
.M ~ ~~ A--4:',:w/.:.
~F-
.
~
~rir. c.=- ~
clré¿ r ~/ ~~z~&..~
~~;{4 ¿r CefO.
o: x:: -+ ~ ~
.-
J
~t:;A. ~ o :
~
.
G:"":'"'"
~l>::
óE.S"
-;. ~ ': Booo..,k.
L. .
l~...:: C¡~- ~OOoP.",T
O'J 1..-
o
o
. .
~
:: e:¡S
r ~
~/;"í:,-~oj.~.z."'7~ ~~.o.5
1
o
- -' ~ 1< Q.V
~;r1~
&"':
.d;
A/"
~'u...,r, .
'0
f-~.¡;¡n ~~
í" D~'( ~-¡¡;:;¡;(
-,,(.r~r o
. 0,'31 i'::i
--
~ = - ~?: --
(¡".S:;.!" ..-~.
'o
, o
~Jlc.:¡r
fF!!)
.G1
-<t o
-l
<:-
c.
'Ti)
1/
"
-1/. U'-( ¡;. /afl.~
~ lo
M~= _o~~ J,,~ift/'~ JIII ~ '
""'~
~~~
@
'
. :
,
'
i?"
~
.'. -
~~
'r
UN¡~ER.~}DÁb~AC.io.NAL 'b~ 'EDÚ9Á.S;'9~:~¡"~~TA~gi';:. :~;:-.~' 5~
ES~~ELA TECHICA SUPERIOR DE lH6E~IEROS I!{DUSTR1ALE~ -3.
trfJ~
:~:~--~¡, . ..'"
. ~ "., ;.:.. ,: ". :.. -$2.~llr "'Cl.~ ... <!....
y ..
~ . .' .,
A.-'.
... ~ .
.. %-., --, ','" ".-
-.
.':;~ ~
:.; -..".;i{
oJ .'
~ '? :.'
i 1"
~
GLge =- 1~.O57!" ~-2. ~/?r-¡¡c.. '~
r.
.
~' I¡~
.-.;.~ :
. -- ....-_.
..~ ~:""' .co. .. -.- ...:,.~ ;.- .
,
.~., (D'
'+'7.3.1( :.'
-'
. . '<..!..~ ~
... -.-... .
1 .
'2 J.<-.::> ~-o ) ~ . '
.,
1
"'-''!'"--~-'' -
O".
_.
"... '.'
.
.'
f'~ 1--. . .
.. .. . ,0'-. - o"
'f't/~.
'?.. s03 + 5"
,
l.~.s!.)~,.,.. t.,P1.S"'¡f.' ~"C-i'1:~=ir- 11.~19;.o
"2. r '- 1
fr~.-~' ~12" t
1
I.t..
I
I
PROBLEMA. -Calcular los movimientos (desplazamientos vertical, horizon-
":
tal y giro) del nudo 2 de la estructura representada en la figura ,si se
.
considera que las barres son inextensibles y para todas ellas EI=5000~Tmt.
.3 ~._.
~-b171 { B/12, t
I .
.~- . 0-
~1
I
I +
. 
S Iv.1:;.m.>~~ .
'/fl
~.
?-p¡
f/l1
4J1L
. . . .
'2.T
-
1:>~'¡lJ.tThCh..
6;';7Éí/2/cA :
/k .4/>'''~;' Rr- ,;,;tf.~J:"",o,,d.. tÁY--- k ¡~ff"'" k 7~.
¡~,L..Ptj&
../cN/e~ 'J-~~ ~ ~<2 -Z
'!
7.' ~ ~~. Ih-;L ~ JL.
~c:(.Q /~~~~
~ .,;.-k 4/:..s:Io
.1"'- .~ m/o _r~ /~<=- a..u/e,
;7 ~ cl~y-k ~u<.L-A,( /'1010 k /".-o.x.u.C4-~ ~/tit:~ y &r~~~,-
;1 m¡/.féí¡¿(~J :
:J:..J. ¡Jt!2L~ ~~~
-
,
'1 1
l1Z = 12.1
1
I
!
I
I !
I
i
I
I
(
e
:-:~.
$ ,~
"
.~~I~tLi~-¡iEt~I;:i~~?~~t~¡-~~~t~Wo~-'~~~~~~~~~~¡
'.g':,~~"3+:::-
.. oiG¡o
(1mí
:~ '1.
b( b= 4.:SJ'2" (0-3"",
UL
~ '"
1/8"J:= n3d..rf2,dO-~
::q/lJI
-J 4
~
¿:é,,"'~o.e
=~7"C 1~ - "=;:>
-1-:.-"--- .6 ~ J4<e( 0.(
-4'z-; tf" ..Qu.¡,¿": ,;. b C,C "-(C>-:~
m
~ r .--zZ!i'=
C1 th I:i ":. Z,?II "- lo /I?
~- /J?-¿ ~ --¿-
~
-T-
q 1.t..rO'Z-c.ró:l
=
I¡./?,,/o-V.,e<d.
:s-fJ" 5000
.s-
"tt
..
.,
. u.o. _...---
A B C' .J) E F
E~,
/'11.".,.
.:'1;;,..
t
.
{
t t t-.::5./f1 í .ts,/lZ. 5&>-1'1 9./1 P$.J'7
..'.!.
ID
-~...__._--_.._--_._.-------,~----.
.-si el nudo 1 de la estructura representada en la -;~.Q'u7:'a__-
--~-----------_._-------_.._-_.------_.--
PROBLEMA
sufre un descenso vertical (sin giro) de "d ~metros,calcular la ley de
momentos flectores para todas las barras en función del producto~EId~
El valor del m6dulo de elasticidad es' E" ('l'/m') igual para todas las.
barras:l~.inercia de todas las barras horizontales es deA2I~(m') ,siendo
". t
)su valor de 1 (m) para el resto de las barras (barras inclinadas.
k/¡;f.: -
.
~.¡~(
(?-)
I
r~~J,.,.../' i
..
A
! ' .
a~C.~
(:ttJ
)2: + d; ~~~
"..,{!
~
~-.
.~ .'~f.f~~~rgt.;i~~~~~:~:~~1F:~:~~;~t!i~~;I'~":';;;"I~
'~, I '--,'''~''
,-, ,- -~ '--'-:""i
V'~
__m
¡ m
a4<,{. ck ~"á'~~ Y d; éof~izu&.J ok r,t,/
I
0'0
/l/v /'q¡) €
f> '.1
1/$ l3 NUB-o e N l/ 'l7o .])
1:::<:6 = 4 é(2I ~~o¡
U"
: ¡.C,._-= 4 E(21)- o.I{;E
I -v ~....
I
~o
(6C':. ~=o.3!E..!' ~-:: !¡.~Qo.z.~x :
1r ~ -
¿"c.?H. 2~o.'Yi.
&¡= O.~I' ~:: o.~';,
~:: g;~tl:c>zc.Ei
r - I(EJ:' O "",r
-'&0-- -¡:;; =
. <''''-'"
;
'IX;.
~ o, V>3. Cc:1>'" ~nr
,--.
(:) i l.A E. i K- 1:':2)~
:&:..=D.~11 Ccli :: 0,1'4 -
/l. T"-' (.:r)
/ T". :"!.~~.¿~--'-' )
I
IVID,JfÚ.lr~~ ?c u'i?I'P7;2&M/~ .:: ". 1-- ~
I
~E -= /1t-D::
6E&r) ¡- - - 1".'2
(;zr)'1- j
~ -= 110) =
. f€' {2.r)F ~ 1, f 1<..10-:3EX r /l1..T
(]é:)'-
~~;
ta~ a~
'"
,tÍ~
E.:I.. 6' ()T
. .-;:,.
~
¡')?0/17¿'''7/).'' ~ E/HP.1'M,M:l41D. ~
'71) /7fitt'/acJr¡...¿).
~4 = ,...v,7ép'::: ~E.CU) 'J3 - IG, 6'31< :o.3E.:i: p..",T
('U)"2..
,/1ff,J:' H~:= Me 1'{
: ~...': b ~
I 'l.
= 30.. lo'SE~ M:í
I{' l"l.<.)~
tf - M - ~e,Ü~)!1.(3- 16'.'03 ,,¡~3 E.I ",.-;
.
Oe - c.1)- ¡oS0 )1.- - .
-..: ,
"""~~""c"...M
J.I¡ -
'E('Z~'~'2.¡fi -t;C,S'll'ló3&"T':u..;r
""'" "'"
Ac8 ~ ,&c.-- (1.s-) 'L =
~ --..
~',
-- --.,. ,
-
ti.:.::'.;.,;,';;.-:~~i'1!,;~:~~~.;:~~.:, :.. '., "
, '. ..".
EDUCACION
" ..
"
..¡~~ (;UNIVERSIDAD NACIONAL DE A DI?TANCIA .::-') él..
$'~
~"':~.'" -.:."...r .. . .. . ." . -':-0'.-
ESCUElA TEC~!GA SUPERIOR DE mSEmEROS mOUSTRIAlES, 0--
u.n
.
u . ,.. ....
-- ...-- ....- ,,-' u .
---'----
m
,
__.~_m'_-
'--'-'-
..
r-wJf'fJ
8li
[o.lb):;, ~.IJI(
- - 1..2 p.lJl ...E:L--D,lJr !:!i ~ J().D'f
~ D,"'" -o.ltf
"'Il
6,q o.2~ ~
D." ~ -=¡;¡ ¡f~i~.J¡r b
J I~~ -111 :zü -L!3
-¡p' -¡;- o' ~.t
"1OT<i! .,i¡'[" '.~I .1!.f
..L&!» o. t,¡,
6:> t>
-;D.~O -/.41
-;- --;;-
~." -o.!s"
T b
-tP."1 o,or
@ ~
-",or
,-1,'1/]
')
/iL..~f} r:JL~. @ ¡;» )
- ~ '"-A"/.J( -¿, fL
-I,a'-,~I 1, !1. ~:.
, f - ~
- ','V ."r? 0.4 t
a r-r -1.53 - "r¡v -o.:¡:
" - ----f.fl -l. ~ -r...:¡ -I.SJ.
"
~.!T rul' '2,B
- ,-- --~tt J.~~ 1.3; 4.61
II..~ -a,n -¡t.f( I'.'~
--"'. -")---.j c. l/, DH1!! Don) (
~
J:t3
-¡;-
-1,13
#
,.(,
~t14
80
j; &'r
o
-1,",
- ~
p,rl
-r-- Al:"
~fY.Zn
-
ti
-t:','/
./í
¡i?(zf)
.,
'.
0iV&.1dl L-1.f~ P.I~]
----0,°' ~ -
L.8.!l- .Jt)~ .
- o;~
-H,~3 ~~ '--...-
~ ~J~
~Pt6
-r.,~.:;:u I~~~.14 ;3.3'~ -.
o
--tc:a +l.bt ~¡;...~
-1'1.'2.;:tl'~ -_.~
c.~1j1 :D:.~Jjí".~I" 1
o.oz,'-! ? ,-
~ o
.¡ 4.'1.3 .f.~r
-¡;- o
-',01
-D.n
- D"1J,2~ t,n
-, D
-MIC -0.0'
1ó.47.1 b.~1'
1~ l~@-t.f2 -::m; -",:¡ [2;.~rl
t.I~ ..t'... ~r.1 -:::¡---
,.-- - -- -1./;)
1,41 M1. o.'~ ~
-~~ ~ -J!J
,.r.(
- ~ ~. -¡- t>
-1.SJ. 4',f
-l.,:} -Hf
?,~~ .-:- J:.n. -
~J~ "l.!' !'.$~ W
/l4J -CUt -~'.r, I"e"
o?3S' ~,(I~I D,~'1. :o~i¿
D,7 ~
80
;;r'f
-¡;-
-rlfr
-;;-
~,
-D.lf
~
,.
'D"~
ao
". z.z
-..-:!:!1-
t>
D,l(
t>
.4'.'
13(,1.2't:..¡. ..
-
~"
I
;,.á¡'¡í;¡~~-'¡¡i;"Á'; NACioNA~';;U¡'ü6AcioÑ A 'biS!ANClA
I
'
.;,;' ',e.
'T
~iESC¡¡Eí:';'T@CÁ SUPiRiOR"DE IH6ENIEROS1HODSTRlAtEs.
~c'
..'.'
"'L
.
.
)
I,~( !.cj.r 3.~í lL~ v'%o ~ I~ ú'fl¡{¡-
r~1 <!r-
c..~ <
-o --e-¡ ~
D.tlt.
~
!./'
",. E~
~- .n -=. .r.tl, "-
~
z;'
.'1''+ "2,~~
~ . -?.
-
.
~ e~k':"':o cP.le ir, r~I!S -- k vRa..Abr.. / ¡¡L~<. -.{~rL
!~7Í1., Nét= = s.?>r'2. T
16- ~~ ~r 3 I
F
= oS; 35"2 "-
IÓ E.::r ~
(
~
p
~ 45.'~
% /12' 1" 7 '2.1,1-6
'Zr~"/
lIZ.~ I/J¡).. ~ C¡j.~ ~ ~ ~
. ,.71" -.r ~... ~t "'2.
>
W t-- +-1~C.J -- <-
J) - .
~
1 .~-._.
~ {,.f/r~-¿ {(. ~ .
l!-6.41
.e"
' , I",}
l" I
/{..~~
1
::...
~ ¡
~
"
/"~ = 63.+7... T
a J." /)2
2
- -3--
"f17"...~.'Z',' ~F
-; ~3.;t ):../0 é...:.
~ ~. a..:c~*;z:.. .-kb.Q./
~I.¡ cr; ,.(',r.;z;o
-3 r' - -1 
..);..3$2 lo E:I.:> ~b5,-f2x¡::> LJ6;-=c..::>.~. .
t ~ = - O, D tg~ f)
L
ftdlfri:'ú..do (ll) /11t'J: /' f~ &r..(I) J€ cJ~ ¿J'
/,t('~ J,g 1E>s ,
. "~ . . "
.>'1" 111 -{
.
'1 ..,.,:"
,.tí!: b.< /:. ~
~..{ r- ~
-,,,,,,,:>~'7~..'<;¿.' -=. -,.,:}...' .
, -.
~~#U'..
. ~'. J." ,;,...::>,
,.
t'I
- .
--_o
1DI1I7
10lfl.T
f;
./)
~4't1Z.
8
F
~M,..
-
. G
1 ,4
-:
/
~4'/11
"
qlJ7
1
Iv(
PROBLEMA -.~ b"lcular el gire en ..1 nu"c E ae la e~-
-
~ ._~------------ --..-
trur.:tura Eimetrlr.:B represe~tadt en la flQyra. S1 5~ EtIPOn~ Que
tocas leE carras SOn Ine~ten$1bleE V con E61B 4000. l~m
~-.
. .. .
.
~ UNIVE~'SÚ)AÓ"rt~610NA( DE EDUCAC!ÓN A DISTANCIA:
: ~~::.::~:~f:~::':::~tj~; ',
i
." ESCUELATECHICrSUPERiofóE -IH6EKiERo('iHotisTRIAIES
I
;¿-"'::~
':",
,
,
..E 'ST~ "tX) o : .:5j.."TtZ.t:.S:L..t>~"~l.. .::1l-6'j<Qi€J.1't» "'-t. M~~lJb lrt:R1icA<...
-'
~1... lJ1.¡Vo ~..'
=
-.-
rr :;)
j--
/o ~ " I
~ '¡5Z7.1:)I: L.d~ g"R/2()~:
G~~~;-'>
~ h/oIr~~~
T-6:t(~ T
-o.UZ
~
o-
"
~ ¡~ ".rt7€I -; {/,. bO<:>o
= t:OaT>
.¿ el -
,.  '
L+
t 1¡6J¡{{
-0.Sl2
o.zr
-,
o
.~
~b's ~
,
f-
!
-7.~
-tl.t"-
o C;
.u. l.!'" D
á [lO.. 1-'.~~1
~ ",,.
..:v 1.eJ
" -. ,(¡tU -p"-.
t! -. . .' . -. .. --'-...
- l'l~
l'~:o- tZP..'~: o.~6~1
0
"
c- ).:~?
/
~t:'.l
~)..{j{° ~ lo.¡.1.'r'~1.2rt.4b8gIr-4 :"~"

12. o U1o' T 
~
..
~--
'."".'
i,
--
@' ~~lf~1~r~~~~~W~~Rg~:~~~E~~~~ ~~~~~:~; r: ';:1
~..
..z:~~ :r:
.f"'
b
.
'"TI2t:.S~C4~ L
"..J
f
-
¿E~ r; e ~ ~... 1= :l.2tO,,'(,I¿"Í
L.
z.
I~
"
4:
~-~)-[f1,-~)-y'
K, (~-;;Á)
./
/'/I:~ -TI;(X-,4~:
:f.Z[.~! fiV0.6z(-ZZfD): - 27r; .,.~
!! 1.
:
I
r
/~~tt.t¡ ~)
--=
0.?Q,Q
-
-r!%n. '5
~~~~
~ I(!:¡,~
/7i1{'~J
ú}'CJ>,r-
-
~ ,a:¡,$+ l'i.c.t~¡ ~ 7¡f¡.06..]
o/
.
~
.  ~~i:
,-
,.1.
II
"'..
-~
/161. ~:r
- --7Z~ "
+1%("" t)
-¡,.re.
~fZZ(b
.
.. +"ZHb
"
-/1Zf"
-'r~t:)
t::>
o
Z
fíat,f'1-
~ : 4'~ 1;¡M -/.1~) =
.
: -zz~ :fla:¡.r-(zzr,,)) = -/7'C~.:~J
ztJ.g= 1t;Jv'bt! ~ ",n.S- -+-f.¡~'l/~,()6:¡ ~f~:.
./2, = - 8/7¡' '2/[
..
-..' .
"
. I. -
l.:. : . -" . ~ . .
o",.
. -~ . UNI~~hSíDAD
- ~ACIO~A:L 'DEEDUQA910N A DISTANCIA -
.
; :_-':~:~ :--/.
'. ESCUElÁTECHICA
SUPER¡'OR DElHSEHIEROS müUSTRIAlES
. v.
- -.
.'
1<,0 ~ ~ VZ, -=- O
f. nO' ~ ~( - 31.77, Z{():.o
b -=- Lo V6b. *' J~"J. {n.
..~.
G:flo €,,);E;. =
,.01"111
s;.
~ ~ ;¡ - 01"11
:/,f¡(b"¡°t-{J;. -
---{
4
J'
i 'i f' , ,
11
1'7~ = - 'Z,{.('b -f-L.f¡CC ..
ID-"I~ir'... !oSl/. 'l = -o, ()r~:¡ ,¿¡.í
/J? lE ~ -s. lIt .¡ L,CtC& l'
lo-'! ~ f¡r¡{).~zr}:.-J:cr8~ ;l-k r
t0.c =
.~~ -~/J7.!) -~;J.bng- ,!f(-o.o.n~'- -
T (¡-IiJe) 1- 6a<S"D ((-o,t"~o.S)
= - /.8' 7h
lO:!:r..J.
~
-~
'Z. q'b)' lo -
~
-
ti.
i!
..
.1
¡.
.'
"
J
i.
'.
.,
-. - . _..
-.
lo'
~:t:;,~¿,¿~,,,,,,~~~~~'~~~~f-~~~~~~~.~~~:~. b
-~-::i~~*,. ~ ""~
.
~-~~~~ ~
,tn't~~~~~~~~%_~~~'~~)--"~"~~~'x~
~06I:.EI1A 1
PSTEN P"'l
:7 L"'l
JINTS
X..O.
X=O.
X=O.
X=4.
X=8.
X=8.
X=8.
::STRA1NS
..7.1
~AME
1=1
.
A=1.E15
1 2
2 3
3 4
4 S
5 6
6 "7
2 4
4 6
)ADS
L=l
L=l
)RCES
C=l.
l.
I
, .
y",o.
Y=4.
Y=8.
Y=8.
Y=8.
Y=4.
Y=O.
z=o.
Z=O.
2=0.
2>=0.
2=0.
2=0.
2=0.'
.'
,,'1
R=O,O,l,l,l,O l. JD
R=l,l,l,l.l,l , ;~
~~~R=1,1,1.1,1,1 rk ¡"'f IZ¡u
4.- eo"
" ~ ~
~ ;¡Ji. ¡«lO
1=3. E=2.1E"7
M=1 LP=l,O
M=1 LP=l,O
M=1 LP=1,Q
M=1 LP=1.0
M=1 LP=1.0
M=1 LP=1,Q
11=1 LP=l,O
11=1 LP=1.O
¡
.
¡
Li~t. 1
,
LR=1.11
t-
,j
I
F:...,,.,lo.
F:.,.. ,-10..
..
~
Fi F"".L
¡...::. }
0.1;1
.,.. .'
"-..." ..
. ......~
~:J)
"...
"',
"
.c.
"
/"
,,'
./
,,"
/
..'"
....
./~,
/=d
./,-,,' ,
.'...' 1-
K-
/"
FE; " F5...
-..1 ."JJ .:..
'-
"
I
,"
';
I
b)
D
-u
ro
o
_"F1 LE .- PP.[]Hi '-
IJ/'IDEFDP.t'lED uED"ETR1
t-
:x
.
.0.110 CONOITION 1 - FDRCES "F" ANO MOMENTS "M"
¡OINT F(X) F(Y) M(Z)
1 -1. 8370 -.0557 4..4.023
2" -.0319 -.0319 .0000 !
;5 .OZ02 .0000 10.0000
I4 .0670 .1205 .0000 ~.
S .0017 .0000 -10.0DqD i
6 -.0670 .004.5 .0000
7 1. 7981 -.0210 -4..30"70
rOTAL -.1883E-Ol .16Z2E-01 .9530E-01
-,.,,.~~,~.,~~"-"'~PROBLEMA 1
SAf"80 V85.02
. ~ . . a a * * t n a a * a - a * . a Ra - . - a - . . . . . .
a .. JIi: a .J O 1 N T o 1 S P L A C E M E N T S . . .. *
. . *ft. . . . . . . . . a - . . . *. . . . *. . . . . . . .
~
LOAO CONDITION 1-
.jOINT U(X)
1 .OOOOE+OO
2 .24.80E-06
;5 .2760E-08
"-
.2760E-08
S .2760E-08
6 -.24.25E-06
7 .OOOOE+OO
DISPLACEMENTS "U" AND
U(V) R(Z)
.OOOOE+OO .OOOOE+OO
.1060E-22"-.4.625E-07
-.2603E-21 .1829E-06
.24.52E-06 -.7961E-10
-.2662E-21 -.1826E-06
.3991E-23 .4.513E-07
.ODOOE+OO .ODDOE+OO
ROTATIONS "R"
R E A C T ION S A N O A P P L 1 E O FORCES
,
.
'"I
..
-.-
- -_o.__n. --_...
, , .
~~~¡;':§:;!1&~~~&m~"'W~~~~~ 'Ji¡~ §§§:,"'~~~~~~~
~)JfI~!~~~l.~'~)~~~JM~~~'~~'~"'.~i
EMA 1
I V85.02
¡ . . F R A M E
¡ . . . . . . . . . . . . ~. . . . . . . ... . *. . . . .
. .8:".M E M B E R F O R e E s
t . . . . . . . . . . . *. . . . . . . . . . *. . . «. .
COMBINATION MULTIPLIERS
.OAD
)M6.
1
OLD LOAD CONDITION
1
1.000
~RS ~ITH NUMBERS BET~EEN
LOAD
1
AXIAL
FORCE
DIST
1
1 & 32000
1-2 PLANE
SHEAR MOMENT
1 .06
~-------------------
.0
1:..0
1.81:.
1. 81:.
-1:..1:.0
2.95
1 -1.1:.2
------------------------------------------
.0
1:..0
.33
.33
2.95
1:..27
1 .00
------------------------------------------
.0
1:..0
1.l.2
1.l.2
-5.73
-.Ol.
1 .00
----------------------
.0
1:..0
-1.l.2
-1.1:.2
-.01:.
-5.71
1 -1.1:.2
------------------------------------------
.0
1:..0
-.35
-.35
1:..29
2.69
1 .02
------------------------------------------
..
11
.0
1:..0
-1. 80
-1. 80
2.89
-t..31
1 50126569.56
------------------------------------------
~
.0
5.7
.00
.DO
.00
.DO
1 21:.t.SOt.17.69
------------------------------------------
.0
5.7
.00
.00
.00
.00
..
1-3 PLANE
SHEAR MOMENT
AXIAL
TOROUE
{
,..~-:
~
{
",
..
"
8
°. ..,:",....:-.~!.......;:~~...;_..:rt:.~.,;..;.¡;.::~", ..:....". .'¡=:....,~, o:. ."..'~. .'." .'. - '.;~
.fE~.;i,,;ljNIVÉRSI!»),O-'NACIÓNAL DEEDUCACION A DISTANCIA
"-ESCÚ€lA;:TEé"N"{CA
'..
SU'PERIOR' "ÓÉ INGENIEROS IHDUSTRIAlÉS -----
".m._._"
""
t1.~
"
81>1
,
~oIJ...
I
~L~-
12M.
.
1
!/IJ.I.. ,t ~~.
f
.-
113
""
-~.d3.EJ.{~ ~ -
&f., ~.- ~ ~;'IJ;U i .)oa2cJa-e. c,é(¿ ¡u¿.do A d.02..
~ PJva~ -rr~~ ~ t../~A.1 dt" j{"b~
A 8e /Pule. ~ ~Ú¿JI¡Ee~.«.tf;~ - Tk~ ~ ~o~..
1)[}~: .lE. ~ "2 lof;; T/~1..
...:r ~ I.b 1fle:» ~
.") e;.¿-=- IO-~ "'C..-
C-
1
i
!
,;
II
-
,
--_o --, n .--
.ta'~SN~~:l~s'~tEi~!~~~~~~~~Rri~::~~:~f~~D~~~~:~{~%~~~' ~
-'
~"
::/.;t .
j '~i r¿. ~./>
.
;:S"t!2.ú~~r,. ~!? 1IC!"os...~~ ~ G-fU,e,../1:
.
.;r.&.)T~'i:.A~:...n.~ ~
4o;d',.
t:'-
.
~-Qo(¡
fC.2/6 r -o,tcL
-DoZ o.tlf .
o .:El!.
o.{q'!.. -Ql,n
~ t.I5'~
- o~!U y
t>.~ .~
--=
)02~3
o..S6~
#
~.st.,
iI
Mft
()
-o.~
f ,:r-,lO ~
o..
AL
1:¡ .1 .
~
t>!IO""
,-
l. 1
-D.001
".Zti
-D. SIr
-/.0"
{.tSZ
~al
~
-o.ZI{
t
v
~.(
o
-o.~.z =:>
¡~"'O~ ~
J
.
'.-- -.. -
-DL::L ti ~T;: 5" 't IQ:" 40= 2.dÓ'3'((..
,. -2~.IO ..
"" !.~ ./0 .....
o:c
. ..
o
z 1~1 ''
~~ -:o.31!"~
;
¡
r
--:r
: .
zt=: ::o:::=;¡ t>,r"t,i o.ooS'-f20-=.-=-
~
11Z0-:' o.14C¡r
1
¡
-
-- . . ~-.
fj
-:,'''':.:. '~'."":'J:;."!"~; ~..--;';;.:......';..~:::::.i,::;'~.;.¡'J...-':. ~.~. --
~:~."':~j~;¡~~'",,:,;)~' o".
'! "
,,-
UNIVERSIDAD' NÁCloNAL DE EDUCACION 'A. DISTANCIA. "
{¡.s
.'."' '". ':' ".." ".'," o. .~".. .. .':
'. o," :".' ...:~
"
ESCUElA TECHICA SUPERIOR DE IH6EtilEROS IIWUSTRIAlES ,b~
. ~-,~~--I
.
. ..
;¡a,~~~ ~ ~ F q/ ~~/ 'Jk~kh..t0 /
~t¿~ c::4 ¡4-tJ-Lo.. ~{H':-&5"'''
.'
..
~~Wc:..~O~L~
~ ~idfoll(T
A'"
':
'¡;a:1 ~
~: ;<.t""
'/ ,5'1-
~ . (;
-'
¿=r-~ >0.0 ='
~
t
.
f¡
?ZftL i-A tJ ~ :
20 + "?)Qe. o
o. 14~ l' b (-2.((1) ~~
~:::7
1.1'
'~ :!-1.1 .(~
~ . I{~
-' -.13 I'l
o -rl
- -ll¡ ,-¡''''
..!!-
(t"P
-r,I
-o
"ro
3
-t>
~~
:¡6~
-n"l
-o
,..
-o
-,..
-D
.IE?6~
,
,
~
l.
o'
"..
í
'2'-1 r ,g+ 12.~ ~ ~~= -2~~
t
..o'") 0..::: o. 61S.::¡~ !
ó:t IÑ
Of/-
-I..3
~ =
-z x IÓ:!;.- O.6/S-1- "1C.(o:= I.tg~~" 10 I.L<.
o.~
_.. .---......-.----
" .-
. - -
-_o .
1

1
PROBLEMA .-Calculu' las leyes de ll>omentQs flectorelil .
111
e¡;xuerzos------
co:i:titn-fes-:r- a:dles eñ--fáestiuctura -representada-en- 1a- figura -queCn=--==
encuentra sometida a las cargas que se indican.
T
2% ~:r
. .
I .:r 0-
2.I :tI
t
Q.-
{
q
t
~-
'.
I
11 ¡:
oro.
¡;r
.~p
tPI1 ,
- oo
r I1P
1
tI¡
,
(.)
Plz
¡tI¡ p
!
+ I
I
!

Pn
1
tI:
1~
lVI¡.
lPIz
r.
"~
--
¡t~
a,tr.tJ, T¡::CNICl>
suPERIOR r:t ,N(;EI.JIIóRoS t.~ Cl>HINOS.
("..AI,Jt.Lf~ ~ ?1.JEk.TOS
- e
e ~
--_c_--" ---
-
. ------------- '9Dk"'t:t.;jN~
i't!t.C:TI~ n! 20
Cl>tLULO bE ESi~UC"T)RAS
("'SO ':1':1-.8
.
~e a rniS~ for~ qi:: en la prcíd,cc; Ci"kÚor.
halsr..,,""ClhOS 101~I-r..ctvl
U un c..1I~dro. '.1
~plicatnO!: ~u...ehia 'i a h,,~l-ria ~mie"d.o que t>",.skncrm~"~e eo'"
pahbi¡1.)r ~~~r~c.Lones
~
lPE El ukul.. d. red",o~ rs in",~dJ.:Jio
o :1 /;anrf-rn-':'ITIM 1:a
~1-.-ur.Iv,a en un cuadro .:;~I-."'~"do
las CGQCCCOIr ¡.a..
Su oCL'Ó" .!::>hr: le. e.s¡¡'l.lc!-Jra
,. ,
;
1
~~
;
~.
.'
l'ir.
El ~1"dD
(~)
cOn"?1fSc:n. de 1'/%.
11
El tslc-tlo U es
~,md,..~ ck ~""'"
)1 sunel-riu> dt ca,o;a T~p:'(JI>"'
~p ~QI'
hrr-d<-ILI> eSeQT~ l.sfo-'C.f-oel CJe
hori'ZQ;'~o.l."fo.r. lO,",resolIJc,';n ~upo."c":IS
f.Jo~ I"s ¡:.u,,~.".so
1 ror b.r.~ poskr",r",e l~ "AbrA 9ue
cDl'I~hbilaur deforrr.i)uo;:¿ d::,d.~'9u~
"bQjo ~I-o. ':
b2s1~ ¿I pu,.lo B rrue~oe ':/
4Znte.aic:bd ''°
.e~ ¿sto
.
*
¡
e¿J '
proci"'c¡ IJIA I<"c.<..ó" ~"
¿B de 'P/z. )1 h e!> do. P. EI EF i>~U
t.
1,
e
t'¡'
IP
Esl-rudvrOl oue es h'p"re::'t..¡.,~
g'''c!o'' 'Y
que. V~ TlOS
Q r..~=!
re' CQ1l-igliOlIO.
'p

. VI¡
1
.-..-
o'
Jí'I!:
~
or.
~-
..¡.. . ..
..~ :¡
<1
1: ,~
.0.11' I 'o
~
~"'''-?~U_!x ~--
~"",.. 'i z
.
.
ef
b~ ,. O" I
.)<:. ~
óH "'cd. oH
c:ls ..
J
AIzH:i~~ i-
J
A(H~-.fX)~ ~
e:I "
El ,,¡ 2. Z E. 2I
.!! [':';itá'j -+-~
J
CI{I-t.:t-'Px)dx =0
¡? .. 8~t'...
ti
[::J + ~
[H~X-~]: .. O
H
~:
+ ; (H~1- ~;~) ,. O 4 H,t!- p~~o
.24 "
3H=- r~
.!... ./. ~
1r~I:t
1&
. . t ¿
.'r
..
'Q.~I.c,:' ~ c.:.Cea..:::,¡r Ó fC"l' ec..C:CL"n~ &~~h~
11l~ =-r", l.E21..;-
!
el.
.H~, ~+1"4=
~ l.
, e/z;,
,= 2:.r: illt - !ill r
ft.
- Ct : Q.1.
i - ill °t~'
I
a o
!-,
.aH:- ~":'t"
0.'
411 = ~EIi
~.
"'M ':
;a, E:r Ó
Q.2
Se. E'r<f
a~
-,..-,.
I
«""
.'
f'= ~
36EI
,
.6unque eft esle C'a::o "'0 e$ I'I:"cl'S.:1r(o d (&1='0 ~l't:I;l::W~ d codo 9ue /'le~
.se i'.at & corrLmL~nto de nLl'lgul ?u...~o, heno$ 1"I:1a(,~" d u/c.ulo U>n'I" I!ft 1:. pr..c/.'
':'nlcr<=1'
,
.! ~rhr ~ lo ~cl.l~CI podemos dLbllj¿)r la ley de ~ .. ~nle"do en Utt'r
la ~~ "i~ )f lb ¿nHI'"donQ. vo1"(e,,do ~bre /o.!: f...r~ ruh-:bó"r. .! I¡ visto r:;":Ic.d
~~ 'Y c.: oc..'-IOd" & scnl-d" .k d podl~""'o. dibJjck 1;;.dri:,r",~dQ (c. rsh 1d...
cJ.OId.ro °-.,
.
o'
...
.
,I¡"
'~_.
- . .. . .
jj
.
i 11 U IJ
'
.
3,..
-¡¡
1.::1 ~E Xf
~
/u
! I
f~
~
.
, !
I i
I
;¡
1-
I 1
1
..
.
.
-¡-
I
I
I
I
I
!
.1 ~.
.
í
'/
1:
1I
,
y;
.a
x
--
~
i
x
,
I
- -- --1;-.
J>
% ,,
'!'.¡r4~nCon"'..r 101d:("rm,;,do rul. c..6.: 0.l:
9"'''' B':I b .so... hjcs :t ".dQn"bdo.s e... la tTisma hor':tont.1 par.. /0 qu: p 1:.,,,,,,
"3Lr o.s 101ó;;r ",.::!a cngulo
!d~.rrninac1o por "~al 'R"¿.. .t O b.~" reb.,,,'IOs e.cto de~do Q Q c..s¡"'..dvrd Cot>:;.
01 -"LlidCl Q J>Qr ti.. ~ B
>' b. (l'Me¡ dL }>Ll...JCIS). .,.{
.
.
Nota: La resolución se ir' realizando mediaGtII la .ucesiva superposición d.
estados .imltrico y antisimltrico.
" "'
.' .
r
I
Jr 6 .... .z b,F
$T,"
.,'
 E
-+.-- ~.¡¡ e l) I
/(
} .&t :.t! ~,d -t
-z¿
1)
lO)
i '
(~)~"
f/g> Vr
~,
'ti', JJ Ff.¡'
,
'
a UNIVERSIDAD NACIONAL DE EDUCACION A DISTANCIA ,/ :-r'~1 21
"., ESCUELA' TECNICA SUPERIOR DE INGENIEROS INDUSTRIALES, '~j~ =?,
,
PROBLEMA -L Calcular la fuerza r a que est' sometida la estructura de la fi-
gura para que el gira en el nudo G .ea d. e radianea.
Datas: Inercia de las barra. horizontalea .1
Inercia de la. barras Af yEJ .1
Inercia del rasto de la. barra. verticalesa2I
rY,
I
TI,.
I
11 r(./)
.4 ~ '?á1~$
!
.
I,
' '
)" j, ¡
'F/Í
,---b
+
FA
-1
'I'/Í.
(0')-::--1
(
,E(1) Irace';",,- /«
d", ¡/'ibr '/í.
(~)
"~
 , .1
'~3)
l
F(t¡) T""CC1"~ ú< fr I W ele ¡.t7..hrfi
f/z.
~t~/~
F/2
---"
I~~
;tt
1'fl
f(¡:
~ tÍ'
tá..-:
d-- f/,
~! 1'/').
l
.~
I
I..
UNIVERSIDAD NACIONAL DE EDUCACION A DISTANCIA
. 1 .f,-'-
i ~ i.
ESCUELA' TECtUtA SUPERlOR DE INGENIEROS INDUSTRIALES, ? dI! 3
~~ e¡'j::i0}.:"
&w,dif~ ~. /.44 tb I/~ ti aoJl<><Ve/F 7 &T/ ~
~., '!:'~"~
.
(~~;~~.
.~;':'-"T .', .~...;c.:;:~
"",'w'=~!1:IIf:-~-'n-G-'" il:~;'~ o-~~
,:_é{~ ) :L",~tr-H~¡~_~j+:2z:.~--,~,-~,_,'_L_"'.'"
'
.,'
.," ' ;.~n..~ :!~_.:~ .> tj.2-~ "'"
;.~L..'.:'.' ,,-~:~:.~i~_..~_.~.~_. .'
. ."
..: '--,. ._;__j.~L.:.; ".--Í~~;'._'
.'", .:. .
. '."'.~
-;j~[~3-j:i0F{C ..L1{.".
... "'}Lrf+ .1
dUY,
'
11
',*t;,
. ,--_u-O" ....-.
1...> ~T
..;:-'
'J~.~~~_-:-_:'~'~~-- ~:-:~~
(~
,
(¿» ,
E{t)- r~ ~~/f~ el-~ .&<.
A 6arr~ rG 1611
1"á '1',I¡ '7'
,
'P
n1 G
---"O '

x::J:
¡
"
-S.'.
,
'
liD)
l' .
Fh Q
17'(;
.~n-,' [11)' é/rJ -" ff~"" p-<,,- /4h.-<'~:"" el, 1)¿ ÚL rG-
r~t
t (,{ .
~I~)
.
=')
'fiF F F(
0,'1%
4 r;
~%, "
f%'
-
Fj{
r:~'
~ -
. ..';.1
.r<>f rL;
~
iJ
p7
i
_'n'
-" ,'~'
'.,.
-.-'" "-~"
.
.
-- "
flf"Ft" - /{ ~
3E.:t tA
TW
/'1FT"= fi( ~ 3.éJ: f,¡ 4 87r-
S'
,
}J
.
,hl-~ 3EI ¿,
~'
2.
'Fe :. gEé:: Ó
g {"
r--- - A2-
ó~ ~,
/2FJ
7
t u r/" l-
f'e- ~ ~-I - - -=;> I1 r.
-r- ~
'
h i7¡:~ J.I
.f
- - -< ( t - ,",
, ,- "2'1[:::
'eI)
UNIVERSIDAD NACIONAL DE EDUCACIONA DiSTANCIA --S ( 23
ESCUELA TECNICA SUPERIOR DE IN6ENIEROS !NDUSTRIALES, '
.
r
'
~4 c/e~' ~
.
rS::2f
, #t,- , ' 'tt;..
b
.
',1) , F-lc¿
% ::c
',~
':;-
[{ '::
1.4E.L'
F~ '2[IEI & '
el-
 e
I

I
('
1
E-2xlOC T/rtt'1
iooT
~E F .
.2I
~ZI
r ~",
.B e
,-'l.
"
!
6/11 f";"¡
f
JJ1Z.
.f
I fa I
JD So .1'o
,
I
lÓ) -
1'1
U)
(,-y
[Si le.1)0 él):
J)
--
PROBLEMA
/'
121
!H.bujar la. leyasde momentclj flectore8 para todas 181 bar::a8.L
n - ----...------- ----------..----.---
de la estructura repnunhda en la figura. si tol l1íllsile
-con-sidÚIÍ¡"- irÚij(;.n
~.nBibl.s exclpto la BE.
-1 lt
natol:La. ina::cia. ae indican an la figura,.ienda 1-10 =.
El area da la sacci6n transveraal de la barra BE es A -0.04
m~
Nota: El momento de empotramiento perfecto para la barra de la figura ea
~
I'IL~lE
Y ,J= ~(.t-~)-~).a .l ~ J
D
J
Q~
f
La flacha en E de la estructura da la figura a. ~ t! é?[l
':;;. ~~tE ~M ¡f-:: ;":X(3f~!¡~)- f;EJ - éEI
if<t~~~
ftl
F' 0ca.,~'c.:-~
Ii '"
F t13é
E /Jt~F
f) '.1
~'-
" ;P.!?T
C.
l/A--<
11>
i.~:~~~sl;~~J;A~~~~70:~:~~:~~;;~~~~¡~:_~-
ltou_Jo <>ibu~k.~ /,,# ~ ¿)n ~'
4" =" .roff (d - f-) ,:-, FZ~- I~D f' -:,'F{;-¡¡Z,S .:. ¡,ff,
'
?-t",2
,
<é-:: ':- :&;:;,<v ' , "
"
, ,, , ,
, ,
-.
A[)~:: l~-r
,,2 da)
y;, '" Aj.' EI
~
'
~ ,
1> '
"DF,
'J ,
,11!JA'-=
T ~o
::
,~~ ~o
'
"
'1'.u<¡'k~ <lei ~ .B.'
t? ; 17.J-'¡; + 'LE :r..,o
=<=> =::>
110F ,.3 lJ) ;3 Iv '
JJ :.-ÚD F
rp-- t:I
~
7
1> : "1'1/)1"= P;F - MoF &:: '2 4F'
]'E,J;. s.3 ,
I1/)A =j 8. ~'F -=- -
'Z MrJF-
! -3 D' SI,
,Jc 11 ~ E A
¡
.
':'-3 -l
~=
fo~3 '
(3 Til.-I.¡.3'i.)- FI'I t1Dfr2--
2HX'
4& E:l
-
, ?tI
-
24i-f' - 3~ r - ti !Jw=
'V EJ EJ
(

- '2~1-~ sCr 17.~ _'2Hf" -
-g,F
- '11:-CIf'2,~-'H)=-
- a - w
-
-E.J.
- --0:-', U E'I
- 11Q.~ ,le F
- F ~ f;'r,
lO' 'b'
-
;-! r
- 71:
-
E fq,~
-=
,:g' ¡.. " '
l/Ir" - /!~ r " F fr. )JF~5f. bi ~
Pov- /C«A!u ÁJr =
l(~( f "'1
'-.'
!41)F ~
/1.31 w.í
/ ~,..f
,1, :

' ',
,""
1 ",.
/..~~.," .1 ,
- .
UNIVERSIDAD NACIONAL DE EDUCACION A DISTANCIA. ¡l"1.
'
ESCUELA TECNICA SUPERIOR DE INGENIEROS INDUSTRIALES
<3J e.. 3.' .
Esn 1» ('2-)': "/;'o'tia¿jf,~ ~.
ur~ ku;;f"'¡ ~ *~i;" ~ a-~/~.
10
-P e
1:(
e
'"
M.)E =- -
Só,c
:: -3lJfI< I
l'
~ - !¡SI' t/1 - 2GJ' ¡4.
1
(34-
¿ lfd -3 u
/IN ~
,,;'" + 2
~"")'Io < -31.0-- ~;r
~
~f4;¿,k¡,o cI~ v : -JLJ - 4EJ: ~::()
<3
, j)
- 1/2,)
/ Ú)--Tw
! '
I l1~t¡ ~ - 2íiI 1/2,) -::: - If, '1T /J.lT
! -3 ~e.:r
ft ,-C-
(
,
1,~:} II,){ 'j;.3:¡
~7A¿ p "'- d~ A. J". h- d", p1~.cb-:;,
,1
II
PROBLEMA' -<.-Calcul;H' 10lá
todas las
si todas
--------..----
constante con
leyes de momentos
n ~- u_-----
flectores en
--- ---
._~---_.---_.._--
representada en labarras de la estructura
ellas son del mismo matErial y
de
su sección
el mismo momento inercia,
r= f y"
indica en la figura.
. ~'
.%
f
trm
.J: .J: r
:I' r '7'
t~T~-t-~J
I
I
i
tal Y
.. ~111
figura,
recta es
como
_. ._~.
Il4
se
i
,
/' ,'-
)
i
)
, .~ ¡' .
I Z /.:.:. -'>'
;,..:~;;-
'"
J)
"
e ,."., !""Y1e~ s
--' ,-' ~
!-
JILU
A
-, o",,._'
,--.-..---
~ !;,- ,L~ """
.h"k,.(' ,,'Ir,.:-.;1
-"'-
A'
l-T,
A
._"- 4 I
~
'J'--L'
a;"
~
A
~)
r} l.
rífPW
A(
"~¿ r'f"'o..
I-<-r
;;
5->'r"-.. l-A
.Lt
;.;""'/;<o c<.:
'"
.1) B'
B
e vi e'
~5' , j",.
8 D a'
@ ,
e
e ])'
+
l?S' 7/t..J-
8
I
])
,
' 8'
t j ~ ~ f t
oS' T ~
/'
l '
~,
e
@ ,
-e.1)'
.L/
?61" k-. i. ,
~.J rfw-
1;,', TT: cn-=:o: ¡ T..-:J;
A-
ti
.j)
,,. ,.c-
A'
t !LL~"1'
.(oA
f;{
L '1
r'~'
c.<L-oS
"--~<:--
.
--
, .
' 1'
,/
. .-, . - , . .""~, -,-,"'",'
)v
C C o.-t /.:;.
<
.L
~L.;;>
/
-('¿~~
-
.., <..~.'.J -
/
.J;:..;., ,--fr,'C(J--~-~-~~--
,
.J.f;"/.~'I
.J,'<-A~/.;ta
.c.../'j ...¡ I
,-':'{,;o./fa ~ "a.fJ.
Mfa2c,
]) - ~.
/i-
"
..¡- ~607 .....7
- tJ '1 $'1
~T
,
o '101
u..< T
,
---~-
M
:z ",--- '?:.!.-!-
-
(:z.f~'¡ O) +
,
:iD '-1 "
~J-.>(
(v)'!..
==
/2
E:Ifo'"
,) ~;,:'; r
~
/
.
-
I
,'1 eA
0'1
'-1
8
q.f".
{I/J1-
~
g
o,7J- é-Z- fa
j
~
/1 iJIC. ' == '
'1".E (-¡ <fa -tO) -r o
1/
::
E I 'fa
r
¿ /l{a ~. o -:: 2, f.r- tI 't, - t;3 33
nfa:: ~/2/
?U-<¡,.""~.,¿,.¿, 1I:
I;,.lco~.
~¡J«;¿a .
1". c.""'-/
k"; (.. ...
'
dj
, ~8
l.r,;¿..,J.-t d.P
(",
..L, /;i¡~ ck :
" )
.r-
o? 8'8', "-IT
'¡I(I ::
f'0
".,T
¡vI;A :: - ~
<') 0"1
.
r
¡'-f o
i]c.
O, I Z/
tu T
r .flce
~
I
~=
'2.
0.06/
!
I '
1
'
t1p8
;
l.
/4I;S' ::
1~ () t- tfa) "..
'-/
..
a
,j I
f'1
i!' J>
=
r
/"'f I I =
84
""T
r - - 0/2/
M a'c'
- J
<-( T.
r - 0061
fAc'S'- - I
b) ?;frk..,
~'~L
~--~.t,';h "-
.
2 ,~. ,.~. Lo--<'t,
Ar'(~¡ J~
""T
"-
./7.
v, j
~
y
c ::
¡Z
(; &-<
""
~ i.u-!
- L?"'?
I
~ T
¡) ¡J.¿--r ~~.D J
:: fe, -.
1-
f
1
/
<'-1
.:/.~-</
/ -
,
-,J:"-, l<.~!:
~~/31
o
v.O crh
¡ C'-U'
f;-
1'"-(
.,J
M vi
iI 23f(2~~'fa)-
~.r~1/2.
fI.bB
:::
E.Z <1;,... q.r 'E l fs
- -=
- OtG::¡
/2
'
.
MU
=
7.
E/ (2. fj) 1- fa) tJ,.FxI/Z Ex ~<f
-oujl
va'
-=-
t- ¿¡~- Er. ri '
IZ
-
"1Jl -",
=0:
~-E f
"
d
o,L!:
~
c:: ~ 15[1 fa - {
3: ----.---.
u
Hac :: ~
~
Z (7- ~ +0) +
~
2,?S" E r fa .' +- ~.J n ~ -o, 333 +óJ,3tr;; ~SJ
GEIJ
,,' "'"
EI'ts ;- q 3?F e T J 
~e. "
.
ir
¿Mi .00 -=
-,
M~, :: 2,!-::- (z r.fp+-(/) +- b ET 3
v y>-
)
¿ ¡V¡/ = D ::.
:: >;I~ -t-~3i.rE1:S
e1. E T <f, + 3 ET f,,+
o, 37'; ET S~. 1.
".'J
.~.d ¡,;,J,'CQ cu-<t ~.),.Cc 1
J.. "'f¿u;"'~J
/04
". 1',,1
,1
'
0."'¡
..¿j'.'..n"'-''''7 '" 1"-1 ~CJ tUl W>'&.<~ ..) ¡.,"''''~ 8
.<-..eS
..t..l,-",~4.;a ,-d ~(." "".u .</i>'
(q !'T¡"",~A. '¿t-<A"c..:...:.. ¡./aL¡ '::~""
;vi +~u.-r
~J .l <i, :1..;~ ~ <-,>,fo...<-<t:,.J? L,. -¿~
l' k"
.. /
- ,
7
w M>
lo'..
.,.-4 o{ ¡.¿...u"'-'-"S 0<-u..'
T
..
= ".-_0;.
PF'
(~':"" ~
,,"J
~c +- Tb!>' -r TB,c' ~ o () .5:.(", : ./ 1
-
J jJ TI
f1ac t Mcs
+
4
jf JJ
M.., +- /-f P'!)
T
;r íI
f'! a'c' -f- f1 /C'8'
'" o
..¡</
--~.~_._--
Ir
¡o1e,'c' ::
TI
/1sc
'.'
<.{i1
MI[
I ('8':: e 6 f
J:",
. . I ~'
,
~7'~"
t:I.-
iJ ..
f1cs -
2EX ( ~) +
óET8
;¡- 1O + B ---¡¡- -' o,.f'¡;:rfa": ~3~J
nd"-
...
/-1::> -= ~~,I (o + ~) + ~~{{
.
-:. o,S-
¡;:L fe. ~:; d.J"cr J '
...,
/6
' 1Lj.,>1M-u&:
r
---
~
:3 E J; '18 + _(_J~_T- fv
;. 7,1J e' I .:'- c:: o
~
... + --. ':::.~'~_. :..:.:...:;:---, '-
-:.u..u-
--_o
/'
.--
( ~
7<
A . -;-- .
- .") - e e ::; /)
/
1'18'-4'
~-o.C;1'7 ú<í.
, ¡.{
a' e'
'"
-f) /1 ""T.
,
f1e'8' '"
-1) n'g /.I..<T
I
. .1 }
i)
,"':..
..-'
J
.- "{ :
"'"
.->
,_.,)
E. I
10
78
¡;j.-t
ET$
u= ¡;;O'fG2
;::
(, <1(,7<),
== - 01./ 3<¡¡r',
.l'~; j,' !¡ -<-<do,
iI
/-'1 d.;> == ~7
q G"l ;T
.<liJ
I .d.4
- - i..'
,,2 f'"
- "
I
,/..L<T
,<.¡%c==
,-,;; 06 8''1-
IM.T
TI
If ea
:: - t; ¡16.? <+(l
f1 iI ::' - O /.llt"
.Da '
'~'T.
ir¡'..{
Da'
:: - o, /.J/.J
l.<.<T.
"IJ - 111J::
J"'a'j)
- 8L>'
D,
¿¡qbe¡
,j
¡t.J1(3'A'
el
'"
f1
BÁ
-= -°,
q L 1-'i ""
T
jf - if '7
f-r;,'c'
- fl'Bc =
_qo(;lT
U"
f1 .' ::
, 6
ir
Mee.
::: - O /1 6 iJ.
iI
f-1
D'P
::
i!
f1h'
o ". ~1?,
c..uT
::
0302,J
.
LLlT
.~
J~~ ,~ c:lo
"tAo.[
~¡.~
...tn ¡,..,w""""""'J.r..
/A,
51> == ~"1'lr t« T
.Mj>,4 ::--1.'$31
w.T
M8C'
::: D. o,rz' Ul r
!1<6'::
_o;., ~b: (,u.'¡
;11>2> == - C;tI'" w, r.
.
¡¡ I -I '~3 -
j vJ'b, w.T
,...1 ,.'3
j)
{) :;tJLf
.,
c.u.T.
"
~/""'.'( - ,.. .. .'..J ~
¿",d",:
",T.
v.<T.
.
w.T
I
,
/
l'
../ .;
,.
:
~~t-. (A"'"
L, ~
L~,..q ,
;<1pi,b'"
O,O(,?? ""T
, .vi ,- P'302'J ~T.
. ("lb!)'
_. t
.
/33
"
v ,.1
'--".-'.-- -
J
i
I
ct I ~
jt,~~ S'
"
!
I
("
-
PROBLEMA _.-Calcular la5 leyes,
de momentos ~l~ctores en
--
_..,,- -. ------------
todas-lalo barrás--de fa -estruc{urT:;:eprésentaciá~en-f¡¡i figura;---'
- está sometida a unsi la barra ES'
30 IIIC.
DATOS: Todas la5 barras tienen
el valor E-I- 10000. Tn/'. eKc:epto
tiene rigidez infinita.
0<.=2 . 10" IIIC.I.
(J
A 8
E
aumento de temperatura de
la misma inerc:ia, siendo
las barras Aa
-y A'S' que
..p
r-~_i'" +-~..t-_.
J
I
i..;.<,
l3(
,
.,
- ::"'~7, 1~1i') PC';:IJD Lo!: lA E.s7RUclil!'6
..
l- ~' i -
~,
-- --~ ~L
- - I!'-r_,-..;.-'... ",. -
Q es"uct;;rd ~s :;UT'..?n;.cc C2'C ~,"n~ y ~ ",,_-,;¡.~ lO-~ .,.". .- '-<..JHY ..-.
.$r,:J,...7.:>¡:~:., .L,"'!.;, 1,)IIQ::bc/o/)~J c-'11t:/ :-:~;ndo !'.:;rt=o:J)!cl/. C{J'¡ ,o/ o:¡):~z YJ c..-:';"~J:';.~
.JJ
-- 11l/¡.::dJ.cl.;I,J/,dad cUdndQ /11/r!r:/lcne ,¿; !eff.[ rcll:lTc~.~:s cJrir los I'>ud;.':; .--
:; .5 'J c '.- 1 ~. J' . l' '...1.
..''- ~;.:..í:' .1c.;::2n ;~;r:~Ol#.'¿;IIi;-:/~rc: ~rO LJ,~é:J rnc:yr:lílJJ ".=>,,",.o,:J-::J.
d4=d8=
- ~81l' el AT."::; $,< .2~ IO.r)' k = 11..15" (Le.
2 -
$,,., ~",b"'1(3° el <¡ho J,;;/ nLl.do B hCi~ C¡Y<! .:111'.Jd~ A :c! _1-",,'._.CJ'o.-r l :.
ver!-J o frn-t:»k . lo '1u~ c.bf'ga dI /)!ld~ e CI C"~~
p ,~.,-., '. I') I ..,'-"..~ ,.I t. / ~':'
J: VJ. -'-" - _1''''. -0 ,
, ...
~
Ic':l L"<:lrra AB f,ene rt';¡,dez l"f;/,¡,/Q. .da n;J ~ d¿jór",.:J
,;:.-
/or~ c¡ue ~=-'~ ::~)tslo /!eva CO~/'7J ~ue ~4=-d~
6, !fe 'i I~L
.
.
(0:)-.0
9ue 9/rd pero de
:: tpJ3 9.
c. b
r-:::.:::;:.;o-
1(=°-
I
:J 1::.s ecu~l..nt~ ";''''.uKlks- h~r~ .eIJJ .-
I
!'
tll';.rlas ,
i rquiltbrao ;',,:'~:'$ C::J.D
,-
r-
11,-
~
I .,'"L...~. =¡"l';.O
C. .~
L
.
o
.}b
o -- ..:-
~JI I -fa,) (.:~ ;ü['~I:t.".s ,-
"
E
11.
I
,,, I(~ ~~~Ic>r".-:: (en 5 InCc9nd:.;:~ - '
-
~~:-;) ~cu~:..:. . .-,- .
"
"'":- : o.c-- h~....
fl '-"'1,.1.(.r.o d~ fo~ n"ó.:>i! <1./ E.
.'
10 k-:; rd :.:,. ,::.,.J r r.'troJ I J...(-r .
.
1-1 "¡ K' ,:---Lar .." la l.", tr.) d:, rt9'd l. ".r.T"la.
~.
l.
I¡,
..
'-0.__'. -"-_.,,,-'~'--'--'--
-- --- ------------..
..::oo:.~. :oo..
.
""".0
,
-"~~'~:'~':~~~ll~~¡~
~n~-
.,'
,--=---...
.'7~. - I,~TM~ 21<[ /" .
.¡. GEI.d .:' ~
Z[ iD 1- O,!:"'<:) G, T "',5 10-1,
]~r' - r;,/" ~
'/¿
'3 t¡- ~'C
~ --,
'C-.-¡iCt;:: ~'.~! 'Pc. + & V'D -:Cf::I~l¡G) ,.
aL 'c tO.!:t;,o ~ - I.S 9]'<t> 1, D' (C4
131-.
-',
Z(..{c -: ° =::2'fe - e +O.S'r",cd- 4.510-4;: o e,) '.
2.2.- EOJltlEt2/0 NUI>o.D
..-.)
Htc ":: -1cr 'f. '.¡. 2 ~:r
~ - 6Er ("g) ::
tcb
J)
leo
~
e¿
hl>D' .:: 2.¡=.r
'fo- == o. s E:r Ifl)
-
eDl>'
H,M =
l¡eI
fJ) T
2.EI
$... bEI ('2"':6T)
~!J8 .e~8
tcls
EJ.1:D° -= 2.50 !f.o + 0.50 'fe -9 ...4.5 ~o-I¡=o (ll
EI[If[)to.~o'Pc - 1.5 9J
= €l ['f,D+ 0.5 9 + 4.5 10-'J
2.3 - ~c.I<IO ~ CCI.:TLI-J'TES
c:
¡
I1~O~HPc.
[1 H,.. He.
" i Ij
~
hCb::: n [if'c +0-5 1f.D-~. 5 9]
~
1"''' '<><-- [ 1D~",-lib E 1 (.),~'i5 'fe: .,.0.315 rJ) -O, ,-;
J -.~
I'1cc: EI (C/'t)~O.S ~ - ¡.S 9] 4
~-
>jt
.
MLE:-H¿c. = -E![ o. 5 ~ + e .¡.4.5 '1ó4 ]
~M.B¿:- hrn} - ~Qt)-:-kl>E ':: -Er [.:>.5'f'b+'2.1619 + 2.5 '::)~J
(C(j ?(1)~'~hc' - ~Er
'
"-B
: 0.5 E.I G
~
Tr;;- & ,- .. -
~ba'
MSJ)= l:l-[O.S'f.t>ofS;-t..'ii.'O''']
"5;:-: L;Er f, - I>U(~4i)
'"
U (o.!:q ~ - L ~:.-"J
T~'E 9 elt:
1
('
¡
e
,
 r'!~6l.¡tMeA
= - :;I [0.11:: .¡:. i O,(~.:;,'!ID+o.i~2;.. l. :. ::f'
1
- ::- - ..... --
'~~JJ'; ~"~~~3~ -:~
'
/;~J;:}}/;'¿/Ji~ .:¡
11¿~=-0 . :'
. .
~"~.-
- . .
FI Cp;+ o. S"'fj)-{-?~ + P; i-o.~f, - I.5'S - o..5~ - &-4.5 :..,-:.- c.~ ~ -o:i't'l) .'
-l{._~ 1o-~'- 0,'~7 S:~ -2. 1o-:-~J::o .,'. ,.',
"
:'. .:, '.- -';,;;' ':-.
. ~ :.
'PC ~ lfi> :.. 6.1€:1 g - '-q: '10-'4 =- C;;: (3)'
:", :""
'. -
.' .
"
I?e!.c.lv'lné-o el $1.~J:r~ ob~::n::í.OS:
e:: -(,900 10-"
In -4
T.D::- 2.021 10
)
'Pc:, -2.694 10-4
.! {-:~!, '1)-; 9'1: 1.1'¡:ID-~ 1.G v
IOI.l
Por +an ~ los n,oro..¿"h>.s::
HCA:: 10.000 , 10-4 (-'2,694 - 0:950 +4.500J = O.-gSG. """T
Hc..!)= 1~ 000 -10-lc(-2.6'1:" -1.011 + ~. g50 1 :: - c>.SS5 r :T
NDc ":. (-'2.o21-f.~4t+ 2.850J:: -0.518 ,.,>:T
~
tlD.!)'==- f.011 rrlcT
Hn!.:: (-1.021- O.GSo +4. 500J = !1.529 rn.c T
116B:: -[- l. ~L¡1-1.900 ;. l.¡.500] :: ~I. '253 ,.,,,T
..
'.
~,
!.("-
I-i.t,;: -:: 1. 2~3 I'r:>(T
o
Ne.¡:.' ::-o.Cj50 M>tT
I":?ib:: (-~.011-1.C¡oo~4.5001:: I.Sqo rn"T
NE.!:: (- l.'Zq - 2, oo~J = - 3. 2E.1-
MOL=- (-~.O11-4.111 -+'2.5J :: 2.628 f'rI1<.
f
l.,." - - '26 "''' ii,..:.w- .-~
? '-
..
u- - u_u -'--------
.__h_--'-.-----.-.----..-...---
'"
-;'';-';''
~..' o.
-,.J.. .:,-.: ,.~ ~.~
'-:~~~'.j:':' ;';~;.~~~~:~'~-"., '.: . ':.:~"~:"~~.;.~'..:: :
~-. ..'
:':'~;~~':.?;:;'" "~'; .;.~ J~".!,:-!~( .0.: ~" '~4-!:'..,
.
~~~ -.:. .,
O'
-.°.
.. .,~
i3'Y'
.
~~ ~~.,.;... w~~. "~ - '.'
:.:-,.,~.:; :,¡~..::.:~.}.~-;;~~,~:,,:~~::;¡..2~:;~,,;~¿~;;'~~~~~:;~k::..~t~~i."¡;ii~~~~~i~~~~~~~~~~:tJ.~~;g~~~--
)i~;:';.o ...:.; -.;.=:0. : .:.~.- ! "
.", .'.: ~::~-(~Ji..":.' - ~ .:~. .~. . '.. .':z;..:;'..:'.t :lo..
"
,',.. _: .:>
. O ;"-0
. .", ".0
r
I
e 111 D
---"'.0.
.
,
1 I
I
I
¡
'I/
O
j'i:
,111
;:.'
I
-'-'
f}
1
c-
i
..
f.
-
..
.:. ~~o . '. -.
.00
-_o _0._'_._'- --.--------

Prob res

  • 1.
    UNIVERSIDAD NACIONAL DE EDUCACIÓNA DISTANCIA PROBLEMAS RESUELTOS . ANALISIS DE ESTRUCTURAS
  • 3.
    --«:..l fJ. -=¡J." ~12tr... - -o,tJJ.( 'tb.6~ - c.ssv~ (:l.'/{; n. -/.9/:;8 63.b( l.gz1 -'t~.o{ - 0.,10" o -¡.troj, 4S; o I 1. ~().r~ - ~r.r>f I -.3'2.01 . -t101¡3 3..r. 3c. - /.$0/'.' .2~:- . ~.~.. ~'.' ~~!'F~~;~~S~E~~I~A~~~~~~RDri;~~~~~~O~ ~R~~~~;~;;.~~'k j; I -. I I r8,$4/2L) .,;/- 2 "t-~ -Z-:$ -2 1 2.-G: 3-4 ?-.4 lt-3. v-S- J-:C Al:'t. 2.t? o () 1.3. $3 -2lt.on o t> o - /c.có' 1tf6 = o - -zCt.o,3-:J - ¡¿ (),';f()~ -) 1, i 1, I I d. ti /2= - 2ft.o:!;-:- - 32.c>/'1 t;'.fr~ (' . '. -. ~I,
  • 4.
    3 ~RQBLgNB--~.-Toda~ las harra$de la e$t"'J~ t pr..;o"'I"I- t..da en la-~igur.. tlenen-~l. misma lOI'Qltud---L ey.cepto_l,,~;L-_---- ba~"as BG Y FD de 1o':'Qitud L/2. Como con-¡ecuen::iD ~e errores de ~abricaclen. t~das I~s barras pueden ser 2.0.mm ~'as targ.~ o ~.s cortas de la IOl'gitud deoida. Det€:rmil'03r QU,," barras son ml.t5 larQas y -;r...3!~5 son mas cort~s. para CU~ ~l punto e ~Icanc~ 1. ~~xi~& ~!IJ~~ r~~pecto O':, 50,.1 posici6n CI.~rf'ec ta d~bldo u~icamente a ~st~~ Q~~Orp~ ,j: ,.( ejecuCión. ~- 4_~-
  • 5.
    . --. .~_.' - . _. . .. 1; . . :. ,~~;.:~._,:'.~~:.."i~:{:" , .ti J~?.. " ;: . ;'~ . . I I I I I l' I i. ~ I I U~J-1_iiJ-L ~I I I I ,1 I I I i ¡ ! !..J..D-"':~-"': J- I I 1I i ¡.~~ I ~ ~_.L.¡ I t . " --L1 :~~o:__:"":.~o~--L o~ i..! iéV''-, ; ¡:ttl : ;-; !~ q+-i.~._:-"-~-1-. .:.. ! : , !~--1 ~~ /L1...,1-.. !-~ LJ_LLLL~J_¡-+-J ;_o~_.;~ .1.~.~-- . i : ~ I I]1W~,:- .,.-Ti1 I . .: ..~ I , ; i i : ¡ ~~~! -1 ~~ ~,~jJ-J=-i-~~.j~~~j1i:~1I1a~~i.t T t ¡ í' ,,~¡ ; ~Li¡(o'! "'-.! a' '1-1. . l . ! .~.._~~~ :' 111 ; a.IÜ.C.Ui¡:-('.rt"".""~"''''1 "- . ¡l'.!"#' ., ~ , ,..J 1': tí' "f.'{I-i_I_"", 1-.¡~'(u--i.# z:g <'{"'</~ , ; : t! ~ i ~. 'V," !T'-¡ .. ; t ~. i , :--, ! : . : ~ ::: --+++-+-r-=~~ ¡ ! ¡ 1 T ¡l' C~j-i~;:;:~-~':.If~.i:='~~ -t-t+--+. : (!i) 1 ; : ; ~¡,:~-;H.i ~j-1f¿~"-~-'- ~~-- ,. - -;-' 1- =q L-..--"---"I--'/:-"Có, --.. I i I I i. ~ 1 I :-! i ~- 1''''';-~';'';i-~ ~'-'''''; '-4-.""': -..--- 11~~-~ ; : .. ¡ :...,:_l--U-J-~j.~-+~~~!. .. .,_:._c_~.~-_.,--, . ., 111.1 I ,. I I ~ I 1 ! ~ ! . 1 ¡ .. '." I . . : /u! . j ; ---i---Z.--i- ~._.l-.i---J~'; ..~ ~ -_o... .. _..~... ....- I . I ,T r i I ¡ ., I . , . ' . I ' ! ! : :.' . '., .. 1:., I . '. " . .. ::-.~ 1 "H (-,--""1 / ',-~"1'-'-':' --T ,-'--1-:' ~ . . , . - . . ..; ---: '-.-' --Llt8--"--' v. I~-' -,~.~ ,- ;, J-~-¡ ' ' '--- ~ i ; . ; : ~ . I i i . : : . . . i . i : ,: --~ ,: . '-¡- Ó -c;,:-':: ;," ,'T l'7'--:-:, :-"-;-:--: :-' . :" : ,. v~ 6 TI. I t . .' -' .. .-.~ I. --,.¡, -- ~. :-.~_. . . t ¡: I . '..:;: i .. i ~. ; , '~ , : . ':~- ¡J:-:-i-u' f'-¡"1/i-¡--:' .- ~ ~ .'-':--l .--;-:o -:-.~ o_-,u-:-- _'0'_" o . . ~J;.1i-..~ ¡ ~O..l.! ~ .." - -.. ,¡,.,,-"¡¡--~--'--.'--" .. ..- .. .. .-_. ; . i : . ; I ~:':., t: t ! ! ! . . : :.. : ~ ' I ~""""~- , ---, ~ ~. , 0-- -.. oO- , ".. "li/ ' I : . : ¡ . I ¡ . : , I ¡ o ,.!'II~'O O," :~I.I~"':'. . ~ . . -. , - .._..--- 1 Ó . I i ¡ : ; : i ,; : I I . ¡ . . : . : ! ,: .: ,.' : '..-I !~_.! !--l l :~~~ J J~.-,- - ~1 ;-- j r; i ; ¡ m ;~. '-,&..-U ¡..;4tJ i ; .J !~-1$..~~eP' ..1J~r' &r1~ ' ! - i I;! ! I I I I ¡ : , !~ ¡ -1 . . j: j ¡ i I I j o 1 ; ¡ . . . : ' ?~ ¡ i-¡: 'O. ;;rI~T~~L~_.:~r~~r~~1:7. .L..L ---?A7Á2.J11i';~;:';. I I I I I I I : ~ U.L.: : !-0i : 'i ! I i~_J~ Ir.: A: I 1- ()t.['/~(, '¡ !!:lit !~ ¡ I ! ; ! ! : : ¡ I , !_j . .A..l.¡ I ~~ ..~ ,~--- I -¡ I , 1 I l ' I , I I ! i I I ! 1 . " 1: i : I I :! ¡ I o.: . l' I -..l--J I ~. , . . '.-.1.-- t.:(>;' ¡"t!,o:J~ : I(D:': .'i I ! '-,-: i: I I . I I ;' ! i ! : ¡ I I I I! I I I : . i: ! ¡ i j ! I i. r-11<1 -? 1~2.1'~I : ¡ o,, . I I! I I I : I . : ! ~ i I ! ' ! I ,1 -.; ;-'::--,-,--, -. i--!-~-¡-oo!~_.- ~ I 01 iU ¡ i . ~ :~ : : ! i : ~ : !! ,: IFII'"" I f, J I .C'FITl ! : ; I '. " . i! 1; ; I ¡!I liT"T"í,-lT¡I¡I' I ." i I I !¡I; ¡ :- !: I 1,; I 1 ! I '..., 1 . I I i ¡ : ¡: iL- " , -'1..';..1 ' , ~b n;"~ :': ~ ' i ¡ ! , I : ; I I l.; ; ! I I lh~ Jj' Id ~_L' 1/ I,,~ ~ Fili"':~'-:~. I ~: r i ¡ I i : '1 : ' íí t I ~ ! .~. ¡, l. I I i!' 'IM ¿:p.. j ,,: i r,""" ,~ &,41~d4..ed:!~i..~i ;~.:,.~;tL"t - ~ '¡ I t':5~ .j~~ji~L; pl';f;6'_~.~~~~~~C~.~.a~~---i::Jilil. 1;;lj'¡!' : i I 'iI ~31 "'°" ¡ I 1 Jj,-L '; IIIJ74.3",:!- D~iZa~~"¿!2...!)S.. .- r~~i-f¡::6f--rl--h:{ ~¡I~~0.~-f'~~~~c.;;_~'I~ :~~:: - ~ . I~~ -.; , ;:-. ~ fo!t. . }-1. - ~, ,e.? t.. , ~'1! JJ l. 1 P;'G4I.~ .. . I ~L 8 -I f! . , . : ¡ ...; ;; i- ro.' -. i, "
  • 6.
    , ? dI; ít,~ L..,4; z 1(.'Zl- ~<'"', N."ot' i . :-r-- . , ,¿f¡ 4.ó ~. I/:¡f" I.J 1,;¡c3 SCo M' ,"D 11.1[' 1,(' D.;.oJ , ~E 1.J' l[ -SI.zr D.f.!.J! -.t."; ~E ¡.r Ir ."jL1f -P.I!]! L¿D' T -M'p( PROBLEMA 0" Calcularl.'componente horizontal del corrimiento en el nudo'. de 1. estructura representada en 1. figura. ,,- D.tosl las áreas de las secciones de la. barras s. indican entre pa.án- 'tesis en l. figuraCcm2). E.2.1xlO T/cm'l. r~#) &", . -.¡- f.f '" ~$"'--t-w~- (J)¿avE./Z2o~ at,~r .::::~ ~ ,.,,,,-1 : ~o{. c., lO. c,(' 0.8 '1:~r 1zr t5t> '1.( ("'V¿:"""'~2"'1 ~6;[;o:;" C", t'uu tWr~ /foait...,rJ.I.. EIJ (i ! {. 4_i ¿ .! II;Eá f. /lb " - - l¡i - -",4 '~ - , J=J - ~ ' 0$ -l.l>.&(1'.r t".1(1 Dti.: t1.<'/","-, H1 ". .,. ""' ..,,.,. ",": v."~ ~(VIr. ':./ <ID~ U-,'I. . - ~:.
  • 7.
  • 8.
    '---'."''''-='-- ,,<'" -" -UNIVERSIDADNACIONALDEEDUCACiONA DISTA",CIA '1 "" , ESCUElA TECNICA SUPERIOR DE INGENIEROS INDUSTRIALES ------~--~-"---,~ " --~---"-" "-"-----" "--"-----~-------~"" "- ------ ------ "f " PROBLEMA <.L Calcular loa esfuerzos en las barra. a,b,e de la 8structur~ de 1. figura,indicando claramente si son de tracci6n o comprssi6n. VT ... j~r =1: 'U,~ : Ir"" --L:. 4TJ (Ti ~ Ú," t Fz. ! ;Z 21 = iD 1- lb - % " Jrh I i 1~oMjt I ~¡: iII. #f 11 ( ¿, - ;.ox Z - ¡Le¡ .., I~' ",) 4' f: IJo.. ,f{ -;e; /1'.,,-~g ~1[Z¡.C'C<.'o¡J", í '"" ~,) J~i{i01i: -'- I¡tJi: z/i 2 '" l í ¡JL ¡fz -J, $,~:: &°'[ ~7 V~:; 51: úi B( ~Ji ~ ~5,Q~ Ae~(Q'r- ~ ~ , " el jlc ~i -1 &Vz ~ : !8IFZt=-) JfC: ¡fi (1~.8 ~~): -/~1f r.ho"{1,§(r/'/iÁr,~) r, J .' '"-' ,C- -t.,,,,- tic !i -L ;4Y 10 ~ 141i!-tí ~7 ¡Je:; - f1ljiJÍ'-A:b~ "~ J.-
  • 10.
    UNIVERSIDAD NACIONAL DEEOUCACION A DISTANCIA 6J2)é1~ L 9 . ESCijElA_JECHICA SUPERIOLDLIH_6ERIEROLIHDUSIR!AlEL -;J;.-cie-Z;;--- ~ PRDBLEMA ..-Dete~minar 10$ esfuerzo. en todas las barras de la estructura representada en la fiQura. A ~~H " ..c. <t ~ €! t -- f ~~ , ;t.:q .0 b;l 1 -J o .,t= V '. ,'.:::J ~TJr~~cJ.c... 1';", C"':1 ~ é ..y"'7~ .../e - ~~ I /''''' ..r,/-~ I'--':;''.:/I'r- 4. -~ .4 ..;.a:.;".Ui lf..-4..y M 7~ I~~ ~rTc= Q'~ b ~,,¿'<:c.<.u~;I' b ";ec¡U.T;"-' (/¿),{~)'¿~/4.. ,,;;,: / ~D . a,. - "'"' ~ I I I id 0- ;- ; ~' o, to. ' --o tI" &.. . ¡. .., ! ,¡ .... , ¡ l. Ir. :' "d: ~o( - 5,- :z- 6'2. 1" : - - "Vi ~ vr f ~= ¡:-~~: 0 Js.:~ ti? o¡- dj&."- . ../,:$1:- é: Ir It...c ~ . --ó ~ .s- '. ~ !r! 2-.r'/'}u ¿¡t1.~.. ...o r se¿ r ,-;a. I.'L" ,.Z<. v4t:. - - ..J80~ - w :=-oS' ~ T !2~S~ ". II .. .. - ,. ~.D - ~tY'" a~S6D z ¡t)~:. ~ <:fAc /1<:. ,5';" ~tt. .o. S - <;Y Q ~'. ..3~ - ,"'. ti/) : ('o ¿ {1 J.: - .$61'" J Ji" '" f' ~c:. 1: :.til .MC -11 ~c' ,"o ;1k>f f ..;- ~--_.-_. '-' """-'" . __m . -_o . o", .'
  • 11.
    " t' l¡ ,,. ",.-- ¡ ]) r .. .- ~:1::;:~~~~:';:[~~~AD NACIONAL DE EDUCACION A DISTANCIA -t~f(dzjjIJL I /~::>.ESCUElA TECHICÁ SUPERiOR DE iKBERiERüS iHüü5TRIAlES' 1..1,- 'Z. ; ;WPo,{: ~6 ~ " I(~ .ft;:~ r.> 4 -A.;.. ;:0 " l~-~~ ~ . .-,- =0 -, f" ." , .: , ": r,., '*4 r "'>' ¡¡ -= - , !,-~8--¿J i----...--- ZrHoo.;!l ,lIt. =Z . 14,. ~/? ' ff ' ~ I.t'~.s: :2 115'" ~/~ ¡t"t>~e : ~ l~JGD f/Fr.. ;;11 . I --- f ,.~ If = /¡ i ~:: 4vf i t§= - 4tK ~= 3fF;¡ ~o ~ eL ¡{fve.. lJ .. ~ l' ¡> 1 t2z ,,,,? ~?" o' '.. 'Z. 4~:v , ..( ,'- . ,.,--,' '--'--' ". .n' -.. .
  • 12.
    '. , ." 'i:~::.:~. =:.: .. Ir:;.. ... : ,.;~.;.. .' J:".. ~ ",:. PRACTICA ~--- e las estructuras repres~ntadas en las ~iguras siguientes. , "'<tl<>'ko.~,,-n determinar)~ESTABILIDAD y GRADO HIP~RESTATICO~ . ---/--'" ' --'- '. '}, --_o ( fi.g» (fig @ -- , .- - .' . ? . ~..._.... ?r.r -(!ig "4f- -.-- , ( ti g '.2,) ---..'. -- .-----... l. l'I --..-..-- - -. .. - . ........-..-... .. -.-"., . ~ (t1-g 5) ! .. -., ' ..
  • 13.
    " .' ..° n=51 "tia; I r..:!. J F 10=1 La estructura cumplela condición nece- sarla de isoetaticidad pero esta Condi- ción no ee suficiente. . -.~. ~>i~".~.::'. - . - " v r , 16l C:-..,_'7-L",""". ,-,/' ~=--~-. "'''''':'~~.:=oF.~---- ( fi g 1 J Desde el punto de vis!a analitico la -- reeolución de esta estructura nos lleva a un sistema de 10 eCunciones con 10 incognitas que para que tenga eolución ea nece~a~io qUe el dis- criminante de las incognitas sea dietinto de cero ~n este caso la estructura es estable externsnente,pero la -- disposición de barras y nudQ~ nos hace sos~echar que la estructura es . . '"CRITICA dado qUe lae barras 2-' y '-4~jon colineales,de ma~era que el más pequefio cambio en sus longitudes o un ligero juego en sus articula . -. ciones puede "traducirse en un desplazamiento apreciable del nUdo, con" . respecto a los otros. Si sobre el nudo, actuaee una fuerza vertical las barras fisicamente imposible. Lo que sucede en realidad es qu~ l'. " rfUerza vertical tods!! laa barras del sistema se defo=an.! t '1igera..mente,permitiendo al nudo_, Ocupar una posición apreciablemente, 2-:5 ,. 3-~ fuerUa,lo que es I1 al aplicar la deben soportar esfuerzos infinitos para equilibrar dicha E. .' mas baja dependiendo estos alargamientos de las deformaciones elesticas de las b~rras que deberan tenerse en "cuenta al analizar el reticulado. La estructura ea ESTATIC~¡EHTE INDETEID!INADA. o. -, En general 10 dificil es determinar el discriminante por 10 qUe se recurre al m&todo lla..madopor Timoschenko aENSAYO DE CARGAS IIU- -¡ " LASa que consiste en ver si en la estructura sin c~rgas puede obtenerse.. 1 una solución que satisfaga las condiciones de equilibrio en cada nudo. El discrinlnante solo depende de la torma de la estructura ,. de ningun modo de como esta cargada.Por lo tanto una torma ~ritica aera siempre estatlcamente indeterminada independiente de su ~stado de .. -.----------- " . -.----
  • 14.
    ..' 13 . . , '.. ca.rga.GI Realizandoel ensayo de carcas nulas en la estructura que nos ocupa,ain que actuen c~rgas exteriores en loa nudos,supongamo3 que la ~arra 2-' esta solicitada por un esfuerzo B de tracci6n.~esolviendo el equilibrio de cada nudo tendremos .. N2-, = H,-4 a N4-5 ... N2-1 =Nl-5 - + 8 N2-5 ... Nl-4 --6 s Por tanto con cargas nulas podemos tener esfuerzos distintos de cero en las barras .10 que indica forma CRITICL y por tanto = O; ~ ) fig 1 J E:I:TER1U : Estable ,Isostat1ca 1 INTERNA: Critica. ; -_.. 3 , na 5) ..~:-~ 1 f- 1 J 5 :z: 2 > 6 + 2%:1 + 1 - 9 t: {'; t: ", La estructura es INESTL3LE 1 f s - por tanto inutilizable. .'..'_.- --- . _. Oo'_Oo'-". ..- -----...---.---.- No conviene quedarse solo ccn la aplicaci6n da la fornula - sino tratar da ver al movimie to del mecanismo. ( 1'1 g 2 ) o. !! ! íig 2 ¡ EXTERHA : . IHTERUA.-: Estable, Isoetatic Kecan1emo. -:= ---- -_o . -- .. G1 lo -- -'"'---' '.'-'" ..---..--... . -- ."- u '-
  • 15.
    , 3 ""' n=5 b=8i ~:~J . . .- 00" 5:.:2{8 ... 2:.:2 = 12 00 '2 GR = 8 ~ 2:.:2 _o 5x2 - 2 En principio la estructura es hiper- 5 estatica de gradO 2. {rÚ-jf _o_o, La estabilidad interna esta aeegu=~ " da' dado 'que b ~2n-:5 6" 2x5 - :5 .. 7 es decir existe una barra super- abundante. Un estudio de la estructura nos lleva a que la barra 1-5 al unir los nudos 1 y 5 rijos no trabaja es decir Nl - .. O . Por ta~to -, una vez determinada la reacci6n hiperestatica conoceremos los esruer- :05 en todas las barras. ti g :; {EXTERNA :Estable,Hip~restatica grado 1 )INTERNA : Estable,Isostatica. . .. .3 n.. 6 J b! . " 9 rl 1 rm- 1: 6x2- 9 ~ 1:.:2 ~ 1 .. 12 . . . 1. ;: La estructura satisface la condició-n ~":~ - -. - -" .- .. necesaria de isostatis~o pero no es - {ti g 4} suficiente. La observaci6n detenida de lÁ estruc- tura nos poñe de canifiesto que las -. ,"'--, ~--"-----. °barras,aunque suficientes para la estl bilidad,estan mal distribuidas de ror- mI'.que la zona i:quierda{12:;ó} es un - mecanismo mientras que la derecha{:;451 tiene exceso de barras. -_o La estructura es internamente inesta- ble como puede apreciarse en la !i~~r ..
  • 16.
    " , ~, N" 1'1 2J .~ . . 22. ""-19 ..~ (ZXT~R~Á : ~gt~ule.lsos~a~ica. lINTERNA: Inestablé. 1$¡¡j~': _..:_g.. ."" ':':'~ie; '. ( ti g 5) , . - - n=22 j b=43 111=2 r..1 22x2 ~ 43 ~ 2xl + 1x2 GR e 47 - 44 . 3 En principio la estructura es biperestatica de gra- do :5. . , .. . :" ~ . =- ~;. La observaci6n de la estructura nos permite afirmar;dado BU triangulaci6n,que no existe ninguna barra critica,ni un defecto de barras en una determinada %ona por lo qUe podemos afi:r:;¡.arBU e~ :, " .,..- " , f tab111da.d interna sobrada. .0.":"":: !1g5 ¡ EXTERNA: Estab1e,Riperestatica de Grado 1 INTERNA: Estable,Hiperestatica de Grado 2 ¡, --,-I{ '. '"
  • 17.
  • 18.
    PROBLEMA ~.-Calcular losesfuerzos en todas las barras de la estructura 11- representada en la figura cuandola barra BE sufre un aumento de tempera- tura de 20 .C. DATOS:Para todas las barras E = 2*10' kg/cm' L/A = 2 m/cm' O( = lO" .C'L 13 e A /¡m L3171 t3m -r 3111 -~ -. . -- ~ . . . .. - -- -; : i'" .. . ~ . .. . .. -:-- .- ::: ~ ~ 7'(' ¡.1.. 'i:,t.;"'.:.:~' r~::':: :~~':~J-~r;¿¿~(>;~~':.:' AS..'l. :~: . . ... . ., . - :'. :~ ~ ~':o;r; . .¿,: "Z -q,~.ñz..o,~" "...~C;;" ... . . . . - . C.J¡.2 D .. ...-- OE. '2. o €1 'Z -~&'~ '1-.3' FA t D E" '% -0,1 ~¡Ji c: é t - i>,l O.,~ (!i= '1 Á . Bé ~ ! I . . )to: . ~LO.'~ t.o,'v t, Z.DC> :z.- -.t ro "..6.lf.r +.:~('~ .b.1~c . . . . . 9l.LllI . . .1 . ..(. !2'2. /VI.. oT' lO <5".. 0.=:>. 2.I.oc .:tH}, } , ..~-" -fDi"... - - .10 ~10't) .2..I-(c/~" - JY ..r- fJa: -:..-J.'t (o .. .!o..'f In> ;: -Zft> 10: . .f:. . f
  • 19.
  • 20.
    1 ~Ift- f JHI t / e 3m q/11 .4 . ~/' PROBLEMA - .-Calcular el valor de la fuerza R, aplicada horizon- talmente en el nudo A de la estructura representada en la figura, de I c forma que el desplazamiento horizontal de dicho nudo A sea cero. As! / mismo, obteneroeLodesplazamiento vertical en ese mismo nudo A. Datos: Barras AB y CD, Area--';'-lS-CiDz . Barra BC , Area :: 20 cmZ Barras AC y CE, Area ::2S cm3 Para todas las barras E = 2 * 105 kg/cm2 ~'.
  • 21.
    (rL) tIJ.. :i~; ..10.> D lfF --1 -í"'" 10 -1 ( C>- , o 10 ' (O) (., a' tJt Ni o 3/4 t> -51jC{ o " I ~ 1 u",VERSIDAD NACIONAL DE EDUCACION A DISTANCIA ..~ ESCUELA lECNICA SUPERIOR DE 1P,6H!EROS 1::DUSif.¡~LES - . --. ~ ...-- ~ ck tIXNJ:~c..d.:ol: J~" ¡ .j.¡-C - /0:: I :;~ -1 e '~e..? , & klc) .,t'J" ,1"..4:l2é(";í..oT/~~ r!)C G!?..6{)n1. -{6- ~ 6 ~ b = A-a ~ +Q, ¡ZIlA A8 A~ Se c..JJ ;t~,f,ro! -'JS/I' e E -1.íd07> t IfH~ .,e.'- t;l (Ir)(~ ) rJI -+t..f1!¡z + JJ"1!!z ,- J ; ~ / "> /.; ¡;.) /J ('.r) . ¡k» t:/.:Z¿I )~ : D = L -(/"Í r ~ A{ -r X M ,1 r~ é~, 1:" = Z 0'~~d~' al;g ('A?21)(:vr~ ¿" ) s.~~53 [c/' l - - ~.'íY.II>? ~ - t."f'X ¡OI IS" + e. (~ + ~ 2r:L C> llo ló~) IC:.J 101- 'r.S",:/ll + ~ (z0,j .¡"& ,~ J:~ !zl.¡'1c.s~ fl:~ 1( y-:.~.IC¡ K '2"1 sR -s /. /! .! ) _J 6. tJ/d'b 1../0 -{P+ "r +-fJ.,I tI/) ;~ S.~~53 ~rz. t ~%. K -=- l<tDt;?(,.:? ~'l{6 f1. 1- 1. ~ :::. 4(tTh:- , 1{ = l 6/~/J ~1(.1~:KíJi&t!:Jj
  • 22.
    ~. .1/:.. A.UNIVERSIDAD NACIONAL DE EDUCACION A DISTANCIA . ~t>. ESCUELA TECHICA. SUPERIOR DE m6EHIEROS.I~DUSTRIAlES . . , '"S...Je ~_. (1) ~H~ ~:> -"') /f¿~q~ /.. g .,.::) ~..~" Z f"" "o .,;> fl€ i .r =~ ~=~ .r - ¡¡ lIS zJ; ~.. -;? 127) -:. I + ,r .;l=1...:L - 25' - {'6 ,. J 11. - -1(. ¡J 3 =..1 -, IJI..c: ~1'13 .l.t:.. ~.!" COl -¿ F" =.. :i:) r<.r:; J : e rJlW ."..., .r. ¿- r,., :.:>::;> kf ~ :- IIJ) ~7 J n ""'.. ,r::I ., - ~ .t'<:€:.,r :: -r,ó)<../O 1/ '1 f{b ~ § ].(~ID= 4-..fK lO] s- . ?' e
  • 23.
  • 24.
    r:~jJ4kll¡J I !.~III¡;r' iit CJ L -/ -1 -X- I -x AlJ L -/ f) r- LJ2.. tfi Ii VI x.. ~c 43 t. -/ o' -~ Be L -/ -/ -Y- ¡J21- 8!J in y'2 {) t!3 PROBLEMA' o Calcuhr---eldespliumiMnte horizontal del nudo B '1 1010 ",sfultrzoll en todas 18s barrss de la estructura representada "n 18 figura .si 1. barril 'ZA.25 cm ~¡g 8ufre un aumente de temperatura de 20 re. o' 6 Dates:E.2.1xlO kg/cm~ f"<. -S" -1 <>(..l.2xlO re .D 1 1 -:L 1 !.l //á r::<:1 (I) (x) .JI ~ -" - c;:- ¡/Rr(¡¡)í~ -(" 4$ -L.- t! - ~ff"J ¿ M0d~,e = !¡(;r¿fi) x:~ + r/ L 4t (1) =-0 J'a"r95 b ,.. ~(Íln )x:::: AE ex'.Jt := 2~¡L '2.1 "/0" ¡, '2 )</()'"20 4., ~:= /3o&; 113 / -I-'2t1Z ¡: f / ) L- /-ziZtfi.) /Jo(¡Jf i;>cJ j=C;ozY'o { x: ¡fE - l ¿ 'Z62,j,/f-
  • 25.
    c. (). -" = 4! - ~~t' ,~ bo.~ ¡f~ÓLrw N .rtrto.l N{. 6~~ "- 1<, I eJ- !l 2 J:- i 6~ Al! I i~,+It)~ ~~v..) .f- ;, b. - -t- e .' AE b~, ~~(:,.. e).e.. ("<::.2)- ~-. c. -1 + 'K. ~: . I Al!: " el 'f2(H~) f1.tl-g)'l} -(L . ¡¡~le.l) -h e.. - {í 12. .{Ze {fi -~ 2fi R. Z ~;M~ B.(,.b ¡z. -l.{,~ b l e:. :i,B~ : 0,5' 8.'&. ., 1.. ! . -'"'1:::> ~. ..',., !. ! - , 1- ~ b i x~ --4.1.. ! .. o. óó;Zit,... - ...... ó.liLleZA . - L ,.. pOi i -.--
  • 26.
    fJ. I fL I L fu< ?!2-4%, 'f ! }o-~ ,43 --( "-'l: ~¡dC .¡ I 'L 0. k:¡-I¡ ¡1ZJ i -( 'L ID-' .¿ -c -1 'L 10-'1 ,3 -D lJYi di 1.113I ¡)t, <: C-J) -1 'L- 10-4 PROBLEMA .'.- Calcular el corrimiento relativo entre los nudos A y C de la estructura de la figura, si la barra AB sufre un aumento de~ tE~pEratura de 60 .C, la barra BD es 0.5 cm mas corta de 10 proyectado y la barra AC es 0.4 cm mas Jerga de 10 proyectado. Datos: - Barras AB, BC, CD y - Barra AC, secci6n A - Barra BD, s'ecci6n A 1:: :: IZ ..IOc ~ !c--~ 0<: 10-5' "t:.-t 1Z , ¿/ C5rr1-''-"-,/Í; (&.!l-l-;¿;¡;~-1-e 4¡c g .D C'IJ }~ (,u) -'-- 11. < (o 'u--<- -4 40" 10 ,LA o o I -1r -So l"ID -éM.. o I I e ~ .dÉ:- t>! I¿JT = =- .2'D -s: 'Z -.t 60 = == le y lo~4 UA.. - S- [L -=- (¿~?F i'1/ (;;íZ f),) -/D-4 fZ ' -ID' ~(¡L-;(i 0, ID~ re ID- 4(~o+)' S'~) -IO-~ /¿ Ib'4 1'2.. -IO-'fQ JD-~ ¡L 'l/oY/l ID1(-WS:'+2~ -ID-~ /e ID-4 rL " ~ .: , té/ ,-. 2;. IO-~ (rZó-rDÚ2. )-i-t2.{l¡,P 20;,)= - '~--- -,-.. ', J j 12=, 1.0J! } j j/ .¡., jC~rrl q/...'r~cfe Q-' L . ~ '. o~I~~-f¡ .----- (~; cJ:: ~ i! /te - ~, y/O-~ (VbftJ.S'!€)~ O'YJpr~,,- A-
  • 27.
  • 28.
    11- PROBLEMA. .~ Calcularel- valor de la car-ga-P queactÍja--verficalmente sobre el nudo C de la estructura de la figura, para que dicho nudo descienda 5 mm. Además de dicha carga, la barra DE sufre un aumento de temperatura de SO.C y la DB tiene un error de e~ecución s~endo 1 mm mas corta de lo debido. f ..:1", "..... Datos:Para todas las barras ~ ~ E = 2*10' kg/cm2 'o A = 10 cm2 a = 10.5 .C'I Constantes elásticas de los resortes: sobre nudo B: k. = 500 t/m sobre nudo C: k< = 2000 t/m , ~"
  • 29.
    ,- J jp"c.. t- fi;/J 'Y 't ,,---"1 "- ., , (oí ..?~ . ¡P. A;¡'.i.r~ ,/ ~a "i<eDI'" -.~ fs, = .,. lo3T~. :r..» k¡!/.! '1" ,¡ ~.:Ik ~he t!. d.;'o?C~A<" 4r .~Q,. ~ la. ~ k ~ l¡/~ e/ ~.uu~-6 c:vb C' ~ .J~"1 ~c.b.. a &¡ ~ ~ -:: K: 2>:: ~ 1< Ié ~ "yK'" 1..ov-O I = I 01 ~ ! ':' I 1L6. ~ r,~/r)-']= Z[ifI (1-/0) e 1 tJ ~+ -z (¿~ 7 ID-.rr. fo En J 0i ú1 ". -- ---... V= ID.' '2.n " ( - --. - H---- - - -
  • 30.
    -1~ m/T .- ., ~fiI, " pROBLEMA'":.- Ca1¡:ul&r el esfuerzo aKil en la barra AC de 19 la e5tructur~ representada en la figura, así como !!1 movimien- te relativo etre los nudos E y B de la misma, si la barra AS es 3 m/n mas corta de 10 debido. " Para todas las barras .. -J) -r-f,tt. ~1It.. s l. 1: ~:.-'. .1 ~.~.. "--.
  • 31.
    " ~~~~;~A-';~~;I~~ ';~~'~;~:~:~~;E~~~;~~~N~;S~~~~~; .' ~ -.u - --_u_..----------.----- J~t ( (i-=-~ I J'",:r-;:(O~ (f -t~ = (/ .' ~~~~ R/)~~ . I~ ~kIt7~/'b<-~"l~ O:ho. /. . ~~~. ~;fk~ 7.'~ ?/ev'7::/4A"J 'f'l'- .."j,'.. " .' ..~,. C[:-bt(Ó (f'. . . ~/í f.o r,,;r )/Yr ~ ~-¡L {IV, , -- . A . !JdOD ,6; . 'r~ . tNiJ! ~ L , ~ / " tJt¡¿ ~..:: I -") I'-'.4E -=- lj . ( Ca''lf' / M - IV¡¡E~ '] --1:' :) _:? (~Py,) '}g - J " 4' f" -4' / ( /~ .f{1 J3J- 1JJ$b . f '1 . ..~ /¡Je~ :: NE,4 :: j (' 0w.lf.~ /(¿fF 11lf~'i1.-:;y;; . 9 / I ~I . AhD:: ~ír ::: 2 (~¡¡r)1 e ~~ t..2 :: i ~) I~~ =' Vii (;7"{,C<.~ t¡ /.: . tIii- I¡ -, 11 ÁtEZ)-= ~l?~:- [h::rn~) /t&--J~!- !L: ~L::-.l (&w/Y.) . t/f:! /1!Jf{ :s B. : e-) , . ¡ / fh- eA p?dÍ/ f{ :, aJ;(,~: F ¿ - ¿Al" IJ~ ~~;:F1¿ -fd }/V--L:::2 ¡- (J)! -t S}Jt~:: € I!CA. f ~/I '. u" - ~~1'{~~. (-3 >ID" )¡~) ~ f'5,1DS?, ID ,4 f ~ ~ I¿-'" - F 10' f :: - o} {O-,3 . , -=- -3,~04 T :-_-;//1 4 6.~DGt~ ?=11J?c ::(-3: 3S'~) , ;t/ii z. l ¡f E~ ~ 1'."" ~ ,í J 3.. ID'¡VA ,_ l,. ~, - /M J'~ÓA-'¡ c. / IJ "(.,,{? --r('l:> '/r..l../&)r.-( . 1 -, - --------..... .. - ."" 0..;.-/ X. -.---
  • 32.
    31 . PROBLEMA: ~.-Determinar los esfuerzos en todas las estructura representada en - la figura,-- cuando el-- nudo-- descenso de 0.5 cm y simultaneamente se produce un temperatura de 50 2C. - Para todas las barras: La longitud es L = 1. m El area A g S. cmZ El m6dulo de elasticidad E = 2 * 106 kg/cmz El coeficiente de dilataci6n a = 10-6 2C-& barras de la 5 sufre U11 aumento de ~ ~ ~ /./ J. . J -" DrCZcV:> dE' /1;éX<?:/~"-' ¡¡c,c.-o.o- ,: /1=; Ó= IL--- 4~g f:¡-;: / ) 6'1-;: /21-1-12 - 2'11 " í :=? #¡;d~,,-T/.?TI¿-1 re: i &441>0 1,¡ I "(" e ,- / dCc-drcfD /1Íú"()¡) <S.,: &;ICczC-ue.-ri /CWa?..4«.- ~d>~:W¡f, ~ 4 ¿..r;{tIC¡0~ ¿h=o ¡/""~ ""é'/90~ / //a, Q/r¿;dcCh7 ck/ Ú«~ -6, flr6-<0 /(t; ;/iloPvCE //¡;'.Jr5z.;;j EJT¿/~-2b E IV //.J-S"@1?.1',o.r ~~,
  • 33.
    ! (~. I {111 ). ?~ffé' ¡J.¡)J¿¿ r, o/( - ..... -1 o 1-l. -( o f í .ir - / f:J V 1J _! v iJ )." -/ (J rJ 1- ? - I .. ¿.s o (J ::?-! f () o 3 - Y / o D I -2 1-[ $Y/D o ,f-i ; o' ("'1 1 t> ' 1 ~ UNIVERSIDAD NACIONAL DE EDUCACION A DISTANCIA I ,._~ .. ESCUELA TECN1CA SUPERIOR DE IH6ENIEROS INDUSTRIALES ~I - I - , .0--- . . ,J(;?- c;/.¿Ar", /o-J~ íDb v -50= }><-/0-20<... - ~ - '.' /D-7)::(-( .EA -- S"x Z/iót: O 'Z -;,.. J ", / z (/(~~ /~r,z) 7-:; Al jrJ',( :o l/e/..! ÓM +X+ I .1. J (Dj (J) ,¡t ¡J. / "au..I ((.LL 1- I 'E A- l. 'l ' 10" , ID fO-( l/ - L,,)r) /t.{' -f 2C/V( .f ~ .GG /' . I ~t /<> ~ ., I O~r 10 -( lO / , ! O .j r,f'.Gw - ~r' .&~ ",i) / , !) / . ti) / Iv" -'i1'.(6 ~', Z IU/O Ú' (/.I¿"J.; X Al?' I.¡- !j-'-:: ~ , ' e,'(kf)~ ~J 7 <' [á,' / ¿:t:o-¡. J .J --7. 1C 1f~ ló -í-, S y lo = ~ ~' '--'7 "<:7 - ,J_n /'1/'/~ - - /i.,.f,,-r: .., ~be>
  • 34.
    33 PROBLEMA." .'- Con"objeto de reparar la barra" 3';'4" déli",Ú;tructura de la figura es preciso dejarla con tensión nula, para lo Que se amarra un cable en la parte superior del pilar 5-6 y se tira de él hasta Que la citada barra no trabaje. . si además de las cargas indicadas en la figura, la barra 2-4 sufre. un aumento de temperatura de sV3 GC, calcular en estas condiciones, el esfuerzo en el cable y los movimientos del nudo S. Datos: - Barras 1-2, 1-3, 2-3, 2-4, 3-4 Y 4-S: EA - Barra 3-S : EA - 3 105 T - Barra 5-6 : EA =13 105 'I': EI .. 4000. J!I''I'c( = 10.S GC.l :2ST 2. =f3105T 1 z .$'!5í ~'JI= 6 z ~" L.;.L.: 8/11 -3/71 ~tr2.. "1
  • 35.
    ~ . ~;~~~SI~~;I~t~~~~~~:~:D~~~~:; ~N~;S;;A~;- '( el «- ,4/ réav 4- ~Jc.. ~/ d:¿4tk 7 ~ t«> /=7; d:- ~n'Q $-t .El í~jkb /A. ¿/ ~a-c> Y . ".-t..c4é= l~ ;k.-/<>oo ;/f"i:</;;/~ /~r P-t¡ 7 .4 ~;'J r .Lb ~ ~ ¿~/N,~k ~ ~ +:Y=>: . 'if<{ Ó) .¿ i~~ ;-¿i---¡ 1( 0E-I , - .- .0-' ~ ~-~-~-_. ' I~ c06e Jev /r ir '2, ZD -- lo /11- 12í~ " Lé2. 1- " /LS;D~ ~¿ - ~,"--'L v Q. ~ 1-5. ~T ') !.2 1 l:Ij i I~ p~ 1, ...:J (JJ3 € + Q -=- ¡- /-:: Q+ I.¡j -z.. L I~'fi" ~ -'- == "-.) '- /::- "2 =- I.'S- . dO-V"'tj I /, :;51 ,/0' .y N-=- lfV3 '- ~de tk- /'{'!YvC ~A- /
  • 36.
    &~>2-2A s Nill 1,: SNi.:,; E:A. / -2(' - '2/.(' '1.if3 ¡!ff ~. a1-2 : í t ID /-:s "¡-ID + b(f' L~. '1 ". ir z-? +2(" +Ü'( '2.B '1 (7 2-l,- o -2/) -z.Ji " 3t1óV 6-1/ o + 2(( -Z03 ' CY '5-;- t~.'~+1flif b 3,,: ""lO} (J q-í o - 2/[ 43 ff;,¡l él : l--' ,S--§' ,/ +- +ít 1. :l -( IIY (;) ?. j UNIVERSIDAD NACIONAL DE EDUCACION A DISTANCIA ESCUElA lECNICA SUPERIOR DE INGEN!EROS INDUSTRIALES 35 3d<=- rD ¿I-( CY . 6. (,I(' 11 .3 . 1 ~ ) - ... -- - ._u . (( --'- -_o '{3 ? @) ('ir) Rv"~. -J :3 = )(v ~If.i ~~, ~ ~ ~~ -- ~SJ3 ~~:s-. :, :S"1B. h A f! ~ y 0Vc~ ¡:, -f S- ) N.1T= C;A!//i0,l1 ¿. 1- J~.z;::- If ~ (1' EA L ' E4~' '3 - I{)-~ ( f . (¡,o( - 3" 3-) 1 :: 11.[:; 'f. léYu... -=. 6.. 1- '2 ..) ~... L¡D1J1) 1'2= 1.'73 t -) 1::; Q.¡ (IJ-=- /.1JrVJ-_2I.f.V2T '"L L --------
  • 37.
  • 38.
    PROBLEMA . .-Determinarlos esfuerzos en todas las barras de la 31 . . estructura representada en la figura. sabiendo que todas ellas tienen el . mismo m6dulo de elasicidad E=2*10'kgfcm' y la misma sección A~20 cm!. t ~m t ~/7L r~t 11>T 1()T fll1 2.' l¡tr¡ 2112. { fm q/1t. { /? = 1DI IJ: /t I, f;rz. q~~f:::= 1i r~<2 -1D"'2.= -Z -. 7 /1 S.-1.,.", ::~;{>1'4J"&Ó:. ~ ;~ 2. /1 ~~ , S/n.?m.:z: 0/.~:-.E?/~; ~/ /)U~ $" : $. ~ ~f /" H~I-Á;} Jl.t=Nñ, 110 : ÑJS' fh-- 'úL'¡J/",~ ~/ ~.Io-=D AI~ =AJ-J'::t> . .& IluN;~ ./~(k~.J , ~ I!/,:#ov&.tfJ¿Ú J-&-¡;I#h~-1' ~~ ~11=o. 4- 1- itü ..
  • 39.
    (01 101 1T 1í '1.' + /1 (!)(:Ij {t' {j cu, 0 V . X) I " - 1ol{ '1/('J .}) ,O)f J3/J(¿{H) N/ N¿"r %A -.i- Ni + re ¡J; //1" ~,-""",- L I ¿ f:.A . . ! 1-2 - 10 o' -1 /' ¡Dr; -10 + 10 - b' 673 1-3 o ' -!tr/~/' o.~:¡'1; o + 1.4/4 t 4,~3 .t.s -:f.D"I-' -o. :;¡)t-o' P<1D:t,/ó' -3. ~j4 + o,3S3~& y.pJ 2~~ --;¡'.o::¡" ¡JclO? t'1 ,.l¡ - 3S3 C¡+- D (~f3,l e.. -4 Zu¡P.o (iD 3-.6 -1,01'/ -0,107/ (J.tD'1t1iQ ~,s34.-o,ZHI{ IL '-"),u,'1 3-3' 1D, -/ o' !O'(¡ -ID t íL C.r¡3 L¡-{; - ?o?- / -t?i~ / o.M,/i~ 3. S-M{ 1- 'D. 3.)3(. R. -1. ZG ~u.¡) o ,¡ , /ól( -------_._.~ J?:-._----_u~ 3.ID-1 - "'Z' -lo / lO -1{ -lo + Q. /' ,3' CJ,folff/f + /, !.¡I~ fZ- -- D - /.tf ¡r¡ O .2'.3' :U::¡. -(},10'1 ¡J.(Di. f('-/¡ -3,By + O,Z'nl1 jL ~p' .f.l¡' .1.ot I ¡J,101 (1, 107t1i'l ~3n6Y ./- D, 3S3y fL I 6'-e' 1-7,01 -¡).9,9- & 3,í:S~ -1 D,'?;SlyfL O. f01¡!ó' 1_(; I -; '1 t:¡ .(í - -..,~ + 0,3¡~11/L ; , - 1, D:¡ ¡-o, 1D . (), () ,1,., .:".)~, ~. --. - .- Li)lIÚ¡;'l~ kLuhlilk )Un:nIUh Ua;: ,,ULhILIIUI:i iltUUÚ IIIIILL" '7 ~ .h:>"i'Jr,;'" "V hULi:" Co~ ~!~'._':.- o' ..~-. 1~3 -:: /lkJ, ::- N;;~ = 4::// , . . MT4:: /f/eóar ~ 4, ~1':/~~ /~~/ h> de c/Jk. .dt~y- l,v~ 4.-1"1>~k A<-~¿hce. ~Cq</¿-",~-Ie. ~ ~/ r 4¿ ~~. ~A rJe /~//'B.q ~~/ C". r¿~. /-Ú/ l?€<ch ~¿;¡~~/~ó ~ ~ ~4:-> ID1 . ID"( t ( , (- !r'i l' ~ ! b 0f -¡;a;: s r
  • 40.
    "-,'-'''''''-~ . .,- ..' -,._,:';;".::...~;~',. ." .'.-..' -.".' -.-.. 'OO' .'_.'" -'-.".~--,,,,'''''--."'-''''- -.,-'-. ..,....~.. . 3~.r¡';::'t !c,;-;:-":"" UN,!VERSIDAD NACIONAL DEEDUCAC¡ON A DISTANCIA r~ ~: '- '. ' . , . ..,"-". !-! o.. .. '. - i .. ESCUElATECHIGA SUPERIOR DE lH6EHlEROS INDUSTRIALES . . ".. -' ".... ttf$~~~~ V ~~~2 .r:'>I:"'..' ;::'- -. -;;c :J ! g¿I Ni"; ¡¿IJ/ ).AIi;I... o. , E.~ L -30 ¡ C¡.b[JZ.:.lb = " I€ = & lo:" -'. . . ~- ~ ." .'ff '-'. --. '
  • 41.
    ~i§~.I. UN(VERSI.DA~ .NACi~~¿~_5~~~.~.~~~)~N ~ ~i~rAN(;J'A ;~1'~ I 1=<:1'111=1A T!=I'!J!". ('flDi:Dlhi> ni: !!l~pni:p.r!1:' !!lr!!!C1TPL"~I:" i '~ ¡ ."~'''¿''~'' "-'-"""" "'" '="",;n -'= ...~_..,-,,-- ".www."'~~~... .. ".'--. -,"1- .q~.y .~. I (1') 10í' '. .' '2 0'0 1 .2~ N;~.c...f{J= 10 ~ ~~:;-1.07 t -= A{~ = ~, ~ = lo:; 1tz =-.2", ';;'0f '" ~ (r[=--10 1 ~"'~G1" -= o -') ¡),-¡-=,o Ala,!, = z ~.o -:;F-.Je.u"r =10. (:1) '~~~ - /"¿~f ': - rJ{t 4 ~,/:: ..!..d ~ -= -Po ';0':( 'f lo .Je<... ~ Á/v6 = :.- 0.909 :: ~6 = ~.3 1/¡z = e.. o, :)e>=¡ x ~ "f -:: .i-t: I i #13 =-!Z"o,1~f-kV["=.-1.4)4 i. r.Jk"J' I . .... . /I/.s:.'-=-ft.t¡Il¡,. ';;""~r .¡. o, {.o~-U.t¡r - q~k~J1~~1.. ~ L . ~.~ --o j -.!/. i/ 4., - .n-_U'.--'-"---
  • 42.
    é 8 ~1.2T. l 4tm{ 1'.-/11 t PROBLEMA" '.- La estructura ABCDE representada en la figura se apoya, además de en los puntos A .y B, en el punto medio D de una viga simplement~e apoyada. Calcular la reacción en D y el descenso de di'cho punto;'~~=' .c~c..,."=,,,~~,--,,=.~,~,~---~,~_u . n u_~~=~= ~~~-,_u_-~".==-- -'- ~ ""_M._m ~ ~1 Datos: E = 2*106 kg/cm2 Para todas las barras de la transversal es 3.2 cm2. La viga sobre la que apoya la metros y una inercia de 320 cm4. celosía, el area de la sección estructura tiene una longitud de 2 (J ';/11 1 I I "'-'k,
  • 43.
    .. ' ~ ui¡V"";o¡¡v,,,v ""'~¡(..¡¡Ú"": iJEEDUCÁ~IUI'¡ A D!ST~h(;¡,A. H --"- '. ~~' .' .1SCUElA TEéHicA. SU'PERIORDE i~6EHIER¡jS¡NDUSTRiÁlES :~' , -.,.--.-----.--..- ..- -.,.-- ~__n'_.-- N. L/€A (c,.../ ') o '2.rlllf)- -~ 1!.IZ-r ~ lO-&: o ió. /1f.. 1.0.'" l> 46.g ~í" lO-' . .. ' --'- 3Zoo:, % 67. ('. I/:> "-/6,..,. i o ('l, S'.. lO. .' '. ..,""--'" /"'Lr"1" .Z<O,~,. i.: ~ , .. - --. .. .. .." '.. . ." ... ~. 'o,"~1' '..'f :' "f* " --!~1i, o, ~~ '1 i4.''¡-' t!~ t 8'¿JZI2A AC A.!J aE :l'H".- T 201>1>(' C:J> - 12,00.- J3D Ib~ ,!i),r ..'0'.. T." "". - - -------- , 32",..,:,' . -.:e' 'i/3 - " ' , "z:'~l~,'~ .;:~ ~ . , t> -b2~'~' 11 ' (i) en) - ~. '9. ¡: f -, -- ~ft.r.- ~ ",,'!'-) - ' - ~' ~ , "7"'~ .. ' :3 .!: ~ Zor. ~ o.-z.coC( .. lo e .. ~f"-2J<lol;,,a20 j " I , .; i I N.r /( n,- ¡ ¡ , . ; .4'-' ~ J2. 'E:..,N.?'L.~ Z- ¡J~ JJ¡¡'1{[4 , ". ".ffé4. .. . '. ~- .:,' , " ',.:_;: - z~~o t{) w .7.f;Iz{...i~' - 5Z->o~J G"l.r "IÓ~ (l) ~t 11S"If io,:,l '~ (~y &'1, (. IO~ 4'. " e :.3 ~ J2t.f't.{ló~ - 521'O (3.33 1.°.:= "':'~ : p,2~DY)( 10- .-" . '~ .: t1f. b ~, , ... 0 oIH"~~ cok ~ p.e A Lhj~ apt ,. 1:; ~ e ': 181&¡;;- '"!ti . l>. u:oc,... loI :: ~.%~ ~ ~r€~ .-."' ._'-'-'-~';. ". . -. -.
  • 44.
    8' ,bz¡¿lJ Wx1/. LA/:. (O¡ft/~ ' - .- - le;,:- o 2 ~-~~c , l. 11 10 ... A..!J .:lo O~.- -~ 1!. /Z'í ~10';; ~eJE y2ovo" I :U, 11r~ lo -..o C.J:> -Il Oo~ () i f.{6.g~L. lO.' 13D -3'200;- 1t/,3 6"/.(. IO'~ 0é - IG,.o" o (2,r" co" '0f @ J '2.Co. 4t /0' b ~""~ -'/Vi:l~~I:N;j,uAu -NAL:!UNAL DE EDUCACIONA DISTANCIA I~ff;i"-'i;,;;:;/":W- ESCUElA TECN/CA SUPER!OR DE IHGEHlEROS I~DUSTR!AlES ~.,- ,"o' ,..- "7dl4tiEV ~ A€tJ~ /t4V16/Ji¿ 32= ¿ e - ~13 - z::'1~ I~ ~ :'C;SJ~-~~ -'- -~-4u .~ t> L10"'d - 1, (:l) (ti) "'~~ 1l' "'., 1í2, ~ h~--t l/, t 43 -- ~ { r.1:~ ~?t.I.- ~ ~ ZOt>3. 3 /~ =. o -z.c:ol( K lo c /~. ~f~ ¿KICG" .320 . - ~ ¿ P.Jp¡¡ L/u. ~ : - - - Z "-!%"- I.IE~ 'Z.<>o{-!)~:¡g,/Z{",c5' - S~f~' )' ,"Z.rKló~¡ '-z-.. o ':. (lf".h.I'2)dO-. ~ (~? 61,{ ~ IO-~((;(o.~-i --.. .. -5210(3.33 - ti)".(; L-C',,) SP'.fZ.f ~- 0 ,. cv'a-~?<-f e.k c{:, ~ ~ j?j-:.. apr ,. " /": ? e -:: m.b '" D. '2(;0C,.. lO::! :: D. 233 ~ ~f€.:r
  • 45.
  • 46.
    .; .0. - !! f ?/Tl t Vm i ., PROBLEMA ~CalcYl~Fel movimiento relativo entre los la e$tructur~ representada en l~ figura si las barras 2-4 V un aumento de temperatura de 40 2C. DATOS: Barra 1-2-3 ineKtensible con El - 5000. T ¡¡f Para el resto de las barras EA - 15000. T c( - 10'ac" ~ 5 6 45' nudos 1 V :s de 2-6 lOufren- :;t1l.. ~-,
  • 47.
    /V'¿r JL &RI2IJ . Al,'. .2-t.¡ _Z.!' 'l. --~.3 L...t::_r.r - 'l.í :I .3 CI_!"" Z;'3 ,/.3 " 'f-c 'Z1 'Z./~// -1- 4 D,!"" o. ~o.) -g-c 0. r-r- o - t,-r-J g'-f" c> - z..r I ~o'., -- -" ___n__._-.~----_._--_.- - l ~ 1.~~~(J~~~.I~~~yrt"~{.~~~-~f~':~~~:iI~:~n~ ~~~~ss~i~~~~.1 ~~1~.~. ~".A/ I ~ ~~ 11=_0 -=. =~.'=.II == - .~ .. -- -- - ¡ --,,-:.. - - -. . I ~-I u - -- _n I '- <;ie J i .- ...re ~ ~ ~ ~~ÚoL -4/~~, - g ~~~ ¿/ ú«o1:J Z .k tYr2c.. .IO~ & --/2l.C7tJ t2A .RE:TlC,.jr..A~! ¿:::r [.1 - F~ "J ~J'GI rJ'~J30o:- c4~ rde.1' l' ..lz /i:.u~ A ~~ (UAoO¡),~...:,-1.. c:./.e Z rd ~ Á ~ - ¿/d4JJ~&L6. ¿.J'172UC70!2tJ J<112.7ic<.JW [)l) : ..1:9 /)~(;" '1-('l:~,-y)= / "';< tU'/, ~ f (!.,,(¡ ! j 1m ~ n?'1~~ +I~.~ i . - . --- . ".'
  • 48.
    Q~::-. ..~ :uNi~E~g¡dl~'N'Ab;'o~~tÓ'~:E'~~bAC16N:~ ¡:m;TA.NCIf I ..." i-l.- ..- EscÚÚA.iÉ'CH-íC¡" SUPERIOR- 'DE iH6E~íEROS iHO'U'STRÚÚS. .tJ~~ ".,,' f ;r (: ¿ -t{. ¡(f¿.!" (~~ -/ Z Ni (2 oé IJt)¿ :: '.. . -¿ir N¿I.¡x 1./;:) ~..z-~~1¿ .¡ z4 (¿ Dl 4t),: :: - F !¿{- ~.í):. .r.,l z(J)~q.f 2(o..)t~il- Ir /}Vl)- i -,l >( Z z{- Z:{ )2.j-f 2 /2 J~ -f ~(o.r)~J7.¡. z(. z.nr-oO(/D-~fo= IJW'b / C3 J . I.J -= F~ 1S'.3 ~8~:r~ ~~~ x + !96 ¡= = vS""c ( -1 " i ~;; -< /,IJl..¡. ;(. Ni.IL ) ' N¿:iIí..f. ) . ..L ¿ Al: (¿ ~ ~t)¿ ~ dz-' ¿ t ' . l6'~ (,. :: X L ~ J1i:}If'''¡' + /06 F ::. l¡f"c ] ~k/~ at. JúL : ~ X = ¡,7rt1l ¡- íí r ~ o,6'oS- T .... ~: M-!"; r!i-: -r%-IJ;'-:;(lrbor(6)J.!.9{V{-?f)<;-/~ai: -- . 1 ~ ~r ~ M . ;::r . . ¿ 1-[" :: . /. en IL r = ~ ¡;t¡I1"IO-lf M . J~" (JcoV - - - - --- -- - ~--.' . --- ----
  • 49.
  • 50.
    F..800..I...EHA -~ o".~C:alcyl<!t...l<ili 1 ¡ "ea;; dI!! influent"i<! del o;;>@- 41f"yer:o aoxil en las bar.-.;,. DF f DE de !o: estructura ,"e.:presen-- - - tada Qn la figu.-;¡ cuando una carga vertical unidao recorre el cor"dQO lcare,-iD".. F .e .j) QSh1 1.m t./'II A. 8m l' 09HJ ¡. "': .im -t{ ,3/1> ,1 A l' -~ _O~.~~. F' I - I = J._~ !_"';' -.- -oo..-. o _.--- . - --. : ,. o.r~ . 11<{ :"'.l.J , , ¡ . 00';- -.- °_- .";--",,;_. ... i , i ¡" ¡; I ¡ i,-- "- 4 ~ ---~--- - -..-. , ?I><. ~ (oí v, ( J 3,.; é ,. ~ ,,' 13/1'1 I I,, 3m .,,- 00--:--. NlF 'i '~ tJr, T~"¿. ~ : - Z¡f ~ =- ~'f }frD~~" ~D:- ~ (; J¿:-~X ': ~ .t~r. ., ~:.3.f..~: 3.'s- I - I I"~- ---l' "..L. r- .- ;..-: , . G..:~.,",.~ -- --- -- ..~- . .;.. .- ---.--I I !.. . --.~-..-. .. -.. -...--- . -----.---¡ -.--o - L~~~".o . -- ~:~o' .:1-14 .;. ~ ;)-: , . : Ff}~-:f/J:. :"/.~i~ "--IV> -" . i ; . ;'1 . .. -- ..-- ... .. ... I i..... ~-- ~- : . . ._0---- : ~ ! I ---.: I , j -- - I " o ----: ¡ ! I ; : I I I o.. Io ":' l .. .-...-...
  • 51.
    I -. " L-"- "" ,....., ._-~_._-- <- °e t... +1Jr -, . .~ --~--.- , .( , -,.-'.., ------ --- Ir;- . '... :..- ': ,..---.-.-- I ;, . I ," I ' ¡ I ' : ti:. .. ..: 1 t . : .,. .' -! ' 3 rlti.. :..-- -- ---~--:---:-- t T '- ---! ¡l. i.J--Í...;~-1.J-L~.~..~. i . _.:--L~ h ~ ~.-:_-~-~_. . . ~ .' I ~ I . i ; . ~ . . i : .- ~... I . . i "7"-'--5-"""--;-"-":'--~"ri"-" - ,-' -:.-. ~-,---:--:-;--.~ lo ::.-:~~ -=-.!.._~€E ; ":', .!~I.n. .~..,Z,fl¡;:~.9 ,-~-~._- . 3 - I~: ¡ , . f . D,r r :: '. .. ~ . . ."---T . 'j J.J_.LL ¡=: -~ ri!_>~l..e;Tz{.T.~_~/~ij~~--, : ¡".ff,., ~E ;= -~ Úz¡¿~ ( , " ~~ ¡ct' ,.l-';~ -.:., .'. . . . z/o{¡( ~ -' ,,eA'" (21-i) ; I~t: )C t~,?J j,~i~ . ~ ~ ;;~4.4: . ~ R.,¡ . " ~ ~ ~ ... ~ -'- i t : ~- -----_. .. ----- -... .. '- .. -- -!-.- _1I 1 '-.'---" ...".- .-.. .- .-- ¡ .----. --_o . ,.i : . . ---'--r--o:--. "'~-1- - ---_J..~I, --_.- '. '~¡; --- " o, U'l. . j , ~-----.! ; ¡ ... - -.... - ..------ -..-.- -.......-. .... " ... ._. .. i ~ .~,.., .I.i<..,¡ ~ ...-.... _o- --. '" __"0- -. '.o- 0.0.' --.o- .'.0._- .o. -- - --- 0-- 4- - ..o..'....--.-.. ,,- g -1. _..IL'
  • 52.
    .s~.o"., "".~.; '1.'." f .3-S01r! 3.~o/1 f o.S"'o a- { 3.$01>' f 3.S0f/ f;''' PROBLEMA S1 '.-Calcular las lineas de influencia del e~fuerzo axil de las - bar~"s _A13'_13.C ,AC. ,LB!)_~é!_J._~~s~Z:1.Iet:uI"aureprl:sentada_en..lIi_fi¡¡ur~_cuando un&-.- carga unidad recorre el cordón superior. ..c e ~ ~ , .g ~ 77ZZI 3,)0/'1 J./"o "'" .? ro ".. 3. r""", 5 ¡-OM ...-..... - NAB'" '- "-- i I, -.------L---- 1,11..- ~-........, N" .~B§ 'G)' .oj" ; . o.L/] -'----"---.-- ."~ : 1,: l : lf(~~ . - I -"ff -. -'o :11. '. -- ~, r~..." ! : i " . Í~ rf- ?r o...¡ . :l -=..!-. ;,,:..; --"t.:'-
  • 53.
    :'Sh . ~¿:~:.~§~~~:¡~~~~t~~~t:~~f~AI! ; ~ I ~:f~ n '~:A I "~:D n 'l J 'S I ;: T A R ' 'N ¡ IC t -' E IA S ";: ,::,¿':)~~fi~J~. ~: ~.~ ,--'" I ,."UdflIW ifi.hEE..o,( clll1!HIUli LJ r- rK :' I"i: ;' ~ . ~ .' ~ I '. -w n . ~."'~~"'~"-- i (~~ ¡:.' t..X Nac. : ...) ~ :¡>... ~~ ".. '""- ~.."'"<;' c-é e = A 1Joe..F . "2~= o: . '1c. ; ..L + ~/-= o ~ 1p-1 /;) ;;;n-f~ ~. & ¡Jct. ) ~<.- i-<-l &;=" /'.. ~t:L.:<: "- ¡¿r.{R7'~.,.a ¡.)~ . ~~. - . 11. ~ ~7.. ('~ . ;¡;:r.l..- , Pt€ J ~ ti- ~~ ~.!~ . ~ I ~ . e, ; -. 1,, :: ,.", ~~ . ¡"""""- ~ . '.~ . ~ - --- - - ,L,5. ~~ 7 ~LJ : ::("}.-13 ::.::>. (;¡-7'<'~ a-.~: ) -" 1.1 - el 12 " .~~-- V)- Q,.1<¡c:: - "/B'"'~ h::o .-:-) rJ. ::- e, '< It:... v 3t h .a. &.. ~,,~:er~ de. A': ~r a ..é"H- ) ~ h f- 127.." '2..E ~ o S IJ,l;c:.= - e'Z-2iI h N$'" v, - r2.c..:<."ii '"= 1;) " ) .Je~ ';. ~'t.. ~ ~ :... h (2I " 1i+ IJÁc.. ')( 1-, -= o 0.) b<ui!c... ~o!.::¡d- .. .&.. ~ a~ c-e ~ : -ztVh=.::> 6í)'&r~~ ¿ Mv. -; o 'Z He- -=-~
  • 54.
    l~ " ~~A ', I L A~ ¡:r 'O ~~N1 FROBLEMA,- Calcular la linea de influencia de la reacci6n en_- el extremo B ~é la viga representada en la figura cuando la recorretL una carga P. El valor.de la rigidez El es constante. ;r1: l ="> 0I? -.EJ J:: ~ cJ,r. "Z. ..E..r el" = - ~ -+ C?' ( J(: ¿=-'> d.., - o 01", -z... d;,. - ~ - ¿? ..- ,~l I- 'Z. .EJ -..r -- .!!-.~ - Q/¡J: -:z 'Z.. ~ ¿l .E.:r 7 ::: - 2:-..~ - " ~ r7 .t;; 'Z ----- -- I I 7'-= ¿ =) 7'~D ::>; - e.,L ~5 ..¡c'Z.. b z. ~_es ~ /J:t.::: - ~~ -+ ~Z';i. - ¿r ''1 4 z. "5 Jll =~~[-IJ-r:J =- ~1Z j5 /.Z := rp..:;¡ -0(.1 ;;1.- ~f-.3 ) 2 -1- [- .!! ~ L? ~ - ~7- l.ez p b 'Z- .3 J.- ~ J !(¡j-3(l)fY -. ¿- Á '" =-cYr. ./...;..k .4: '. ~~ PxZ (~.,~ ~) ¿/T
  • 55.
  • 56.
    55 A)Deterroinar la lineade influencia del esfuerzQ axil en la barra en dE 111.estructura representada en la fi1ura cuando unllc~rga~_"l!r_Hcal urlidad --------.-- recorre el cordón inferior AS. B)Suponiendo que la barra CD tiene un error de ejecución de forma que es 5 = mas corta de su longitud y la barra a sufre un aUJ:lento de temperatura de 60RC,hallar el descenso del nudo C. C!Suponiendo que las barras DE y CE sufriesen una variación dE temperatura de -SORC,calcular el movimiento horizontal del nudo B. L/EA=10.' m/T :J) 0(=10.' RC.'Datos:Para todas las barras " 'un. 8 I . 1 91f2. .{ q/fl. t {-''TI.. t 1m t 1...:..
  • 57.
    I .~ ,."U.~I.vFR~tRARNAC'9NALDEEDucAclo.N.,~.PH~I~NCIA. ,11/ o-" !:$~UElA~'TEC!tICA' SUPERIOR DE INGENIEROS INDÜSTRIAlES, '~-I-- . '" ,"'P-- _n---un , : ~ ¡_O ~ ." ,----.. ;'0; -! r". " --:7 i . . ~:). - . /" ! ~. -,." - . ?,,~1t, .~_: ;:f":()'r./~f-;V~:~~O= <>~N~;: ~-:-=a """ , ' . .. .--' - - -". ,'o,f .. .."._.~",- '> . - . ._,:1 ..: i,.~-~.~;-_.: .' . -( .. 1",:.: . ..?~h><J ...: . . :. Á ,;;;t ~>rO D ~,{, ,-;:~' , ~i ¡,'t¡. =-(),Q~G ., o. >'~¡; ".'~ ~Ot'" ~J " . , -, '- A ~. [212J2- J J D'T'"'/ " ,!A--1~_' '. A, Y ~-.- I ~/~ ~ u. .. o. , ,~ - ,- o ' h- . <1 lo . G ') .' , . .~~, -, ,¡./O J:.;J: y1t./,71 IV ¿ <- /v¿ -1 1 IYI -1- / . N¿ ,- ::c L JV!- L e tJt -/- IT Né + ?JJ::! ),6 +~[)J ' Je.D -= q,_':J =---f 1'>""-. ~~~ ~-t=~ATL",,'/b.z66YVDo6~2.~¡1-¡M '-.,.-
  • 58.
    . {I d'fJRJ2A' /-2 ;-.3 f-t¡ .2-~ 8-V 3-s 4-f - '1'- ~( " 5"'-6 s-} G-;¡' 6.2 :¡. g :(, I f-¡ ! c-le> I 1- !Ol o e "'"" e O C), o C' D Q:;> I':J b O () O :) c,- 6 O O c:> el (') 6 - v2-A '1 :..:> '1 o ,) - V'2/i- 11 ,/ / : ~ -~(,; ,"1 ::> 1:> -J2ft., 1/ '" l ' -1" ~'-4 e ZC?~"t N/~I4+~);,,+};!f:;) - Ig /;,," ~ [ (;*-;:/; A' ,/;;;4;' ¡?J¿~#¡;¡'r J<+/i::) /nr ?k... 1) , ;/=l~ "-.:> ~1(~ I ~.ht, ,p 7«.7" 4. ,ahvc~ C~¡f (j~l{Cq.) . ( UNIV~RSI~~~,NA~I()~AL DE EDUCACION A ~1~T~~~!~""c '" 5J ' ESCUELA TECNICASUPERIORDE INGENIEROS INDUSTRIALES~"t"'~(~'C'3' ~--~-~-~-, u -- '- ~ J.~---'---- ¡;'Nt N( A'~ 6{M')~CS(f'1' .-:Jíic. o I()~ q , ,;,0o . ,~.:~f2?-~<-:,'#.,:i~g:~~11~~:.:..~:--,' C) ~,';.t':-lfi;í' ,Q, () '::...v;f"'o o '., ,-;-,Úl/r c> ,9,/ o .. ,--- 11. (;> () 1,) o , ?J DI( ) é)l., ) , 1I o' Q 1I "" 1 ~ 1I D G " c¿, -OooS, ,:c,,?~-:r1- f) C~V -oDOI -a~o7... b 1, °, Oé>Z t¡ ~ ~ /-~, /~// (?r>k /...¿eCe-n~~ /LfE ~ JJ¡;;-l' '/ /j,D =- IJ¡;.::¡-. -- / ,/ 7C?-A.~,' C>') iJl LJ ~/~~'~ 'I>N T fo'~-1 c~ /f'- L¡ I '-! ' <--o iFv~o'NC0 = O. J -- 0,+0)(/ ,-/-- , ~~~ ~ . ~ I J /P, J'" ? ~ o, .Jo~/ ,'(1 y c;"" J -i !/CE é¡ '2 -,~ -:.~ / AJC'¿- :: b, J / < /"1? r¿ -, S" (, '( =- ¿ .1; 0- c7, :(D)' ,'/-o,oJ;-. ,,: 0,5, ,~oD2v -=- - (), OD253,:~ /c;~, ' ' '
  • 59.
    l-i~@i!r:~fA~1J~~.~:~~~~¡~rs A¡N~;S~~~~ - W ,",.,~,-"",,,,,,,,.,,,.......-......-. .. "~,,,,,,,,,,,, ~,,"'. . , " 3D - ,s;¿ 3J;J,hio~",~¿; á; "''''''' . -Y-Hl";r~i~~~%~~~¡*IT11'¿¡5¡;; ' - 0 o ... " -_o , -.- , - _dyI'LJ , ---':- , 1 , '- ", ' '<::? , - ' -V " "' A",f'<c" íu., - , - " P , ;:m, - , --;' , ' , :i-'M " x?-vr¿/i:;~.J'-¿ , - ,-V1/ A;, ,:0~ ~ :=::_-~..- ,- ~--~- - -_~_2~Lcf'Ct1, ~~WLJ_c_L_C-::~L!-;-:-~,:~__r~c,7°IJt .'-..,-..-_l~ - 4?-,o.~í~~.~+~r~1d¿f~~-'~4i fAl,~) -- "l' ,,'.' .,' rz' ¡ : . . . .'.' '- - 7JlL¡~-'D, = ~_Ij~~:i~IJ¡'- í- 2. ~,LL ¡¡ - ,- ... _.~.,-_.. , 7jj-~- "~Ái/~-J;'- ¡;:¿ C:>,DOL - - "2. :: -3..-5'36 4J,)-/D+2A{/¡~ (ó"'+/d <t/I.¡.J /;J. ¡-J. ), (7. -z. 'Z--' "Z- - . ~ . .. ~~1au7'.3 - de ~ / .., _~_L)_='¿:- ",,_u ~ !0.,,~jJh;";1{? é A?-ID:: I A I 1~.~~. , 1;14 J.t II ¿: ~. e , ' (, E:; C;R¡J..JL - ;;;.-;>~ , - -",- L J:72-X,- h ¿ Iv, ¿;¡,(dt.., " /w" I - -- , ' , ' ~(f! (-MsSI5VY60:~:;')~ -PJ?'1M. -.' - -.-, . - . .-- 'Q! ''7-"~~ -- '--.",,-
  • 60.
    S'1 PJWBLF:I1A .- Obtenerla linea de influencia del esfuerzo ..xi! en la barr~CD d~ estructura representada .en la figura. cuando uña carga-- un)dad d)Tj9)da hacia ab~jo recorre la barra AS. Datos: - ~arra AB: Infinitr~ene rígida E "2 10' T/'lfI' : 1 == - P.~!fto de las blrras: . LIEA .. :2 10.' mI'! - s~ recuerda que: J = ,-0L%" (/ - ~()(.Z )/6.EI Jj'~ . ,4 (;P ;[) -. ) ~. I ¿'.SIf'I t ~ 1.!.2.s;1 I ::' frente? esfuerzos axiles. 0.026 :In }-L1 * ~ 1'R ¡/ftr t ~i:. 8 ~1!¡?1 E ~~,--
  • 61.
    '. ~. I ~.. , ~ . UNIVERSIDAD NACIONAL DEEDUCACION A DISTANCIA 1 './?~. l . . . . ESCUELA TECNICA SUPERIOR DE IN6ENIEROS I~UUSTRIALES ~! --=-- I - 0._' ,-.- - - - ~ , J ~ ~ - ' . ¡{.U4:>$" <2 ¿é../Pu~"" .~~ .au L. l>-"J.' ..~ . . ~.' - fiW !"<," é"//C~ ~ ~ /~ ~ ~4 ~~ .!' l' - . , .. f iZ. " ' ., ,.,' . .' , . ';ft: ','.E ,;k-::': '.""'.: '. . ¡SE 1 - ¡?¿? - (Í-;2)L~ ¿ r.~; ~¡Ü - ¿/fE.:r-:- ' - (Í-/2) lo:J - I-/( ~J:.2.ltl~(), Q2{, Z t'f'1.t: ~ --.". -.- '- " J;¿ ; I ~(oS'lÁ : j ~ ~ ['" r~ /*0 a..1~G.n: dI' /f;, I r "'- e 'D [~)dr. ~ Ideó 2«~ -) + ."'/ o~ I '?l> b, i'3 ' :) (X) (tl') - 4 ~ ~ 12:{,eM"N¡Ji,u~. A->,zj - 4, = -A3.!- -f L NCJ) ---{J /13 'u, ~IVCD~ d~ ~-1 ~ (5)
  • 62.
    ""'w. ."~:s .". '. - ~~ UNIVERSIDADNACIONAL DE EDUCACION A DISTANCIA ESCUElA TECNICA SUPERIOR, DE INGENIEROS INDUSTRIALES {;' --3 z; .J2a~~ .-el dor;h,<-.~~¡;/.w¡;(x{ c¡):2 E : !J;:L~Q~ "¿_é~~II;~,_f;,~N-lí)II$=¿ E¿ (,12~~~ ~/)/) . . " ; ." .." .:. --'''':,,;-( ,-- '-- _0.-" -. . . .. -~'" 1~/t5:t¡ . .//Z ":='&:'~ . 4-;]~-T ). ~ "" . ' . ' ':;-' .,," ..~' (', 'V, "', ., I-¡;g" o-o -- , '. -.-' ,-- . - - ; .~~ ID-"~ 11',- ;¡1?!~~~~-'f~/~ ".' -V A ,/J/.¡ -¡ 1'7 I )i,,/o /C. - - - IV- -1 3¡!J ~ (2) . -- ... - ~ 'C 4/ di:;f'¡{~:r d4 r;):" 1-)2 - z~~c R.. .' i, - ',' :::) 1'oC¡¡ , 1:eo ¡¡ '~> ~ ":ÓDf) f(°7/ .-. .- ~_.-- -----.----------- ~ ~~ el ckrz~t:.'lovW¡f~1~ E t# 1~ (7)/--' I P;2~( - ~;; o ~fF ,U/l- (oq '" i(' "-~-.. . n_--' -- --. u" --_o '; , I ~/ ~ ~/ ,4x,,'1 ~ ".~', .,~ ¿(;¡ 8«¡{au.c6 ~¿s): , ' (A6:. ~ ,,¿¡ ;2 e P.(Ifrr l?- 4 ¿/ "'~ "" .d ~w.~ " ~ /,;/d:e.a..6. ~ ¿//~,8 ,E, , , J/( !Ml?í =-'d' g@-r C~ ~ k c.{, "',,~ t<;.... ;¿;c,'-. '- "-..'..,:...<.p...l"t-le.. <-',
  • 63.
    u .- 18 UNIVERSIDAD NACIDNALDE EDUCACIDN A DISTANCIA I i ~ ¡ ESCUEtA TECM!GA,.SUPERIOR DE IN6ENIEROS_J~O(lSIR'-~kES i L¡ ..4i?¿"'-.. ,de rÑ ~/,. tJ=<. A.. tb.."P '*' ~:.. ><: r l' I. - I ) iX ti ,€ ~">I,, . '1[0' < . ~ re(rsRdol)+~ /ii- I'R?~~ >Á d el 1- 7, "'.. ,1. ,Q'~:';r - . .. . .. /~1 . ' -!!1+ . . ...'-_. ("1' (5.,')' eN" -) (;Jet>y-= (1t (,j,;: J" -~.:..... ..'-_.----"~-- '- (f:xy~ '~ Q.. ~ ~~) ~.~ }..je- '!::> ::: " ¡ ! ( . . ... ..--.--.-.-- , < , 1 I 0'__-0 - --''''.- -- ~_..__.---- J:; a./~k. - 0/~ '(' ~ " i:.) (iJ: 1"J -/" -=- L ~'/4~.r r 1vj:Jl)!/r"O i (¡Q AI,-';z>,-A/,..t"Al b " ...,v<r/>~ éJJ ~~, ,eA" ' ' , " /!.( 10.4 L!Z 1. - J.. ) . ~.' .3 ~, ' ~~/.hdo~ ¿~*A#lf/~~~~ IÓvij~ .:.' -,', E- :=' 2,-/(/( ...L ¡¿ - Z,,'O'Y ;:> /!~.-~¡;¡/f~.=: 2~'6 ., ., 3 .' ' , ,t/i ' '.' , "," " " ...~-'-' ¡(:JórI~~' ' { }l -t ~ R--=~:g,: (¡;y ~~ ÁZ ~'l)C ( 1- l¡ xl. ) .. ,.. ",.- ' 6:' 'fO~ l( ) /66:;: 2 .L'l Je~(&D); (c(t ~ ¿ é~ (¡¿ IV?.¡ ¡(,.JL) Ij,!i .. .. -.,"'-'-' -.- - ,....-.
  • 64.
    C3 ~ ~ ~ .. ...~ PROBLEMA..- Indicar. razonándo10 debidamente. cual es el grado de tras1acionalidad de las estructuras de la figura en los supuestos de estar sometidas a: a.- Carga simétrica (cuando esto tenga algún significado) b.- Cu"quier ti o de c.rg.. '~ - ... .k -- I 1 1 ~ t... I la. t ~ 1- .- t'r 'jl t @@ . 6 --- b ----- ~'.
  • 65.
    ~. .'. _."'."'1",,",,'_"- .",,,,,,,,,,,,,,,""""'u' 1...i.Ja..:. "'--"""",",""""IV'" ¡.,. DaSrAt'f.';II-~-- ,0'.' '"--'" '. ','" "', ".-. "-,-, -' ".".","" ".-,' """':'0"'-""''''''-''-:,' - -;.,,:.,..,-,'-"'" -""""-'0,''';''-''''''' '- '.- "- -, . ,-"',_:"-"-~-. ~" ~ ~,arctrÉi¡~~~[Af~ERíóR3!fJ!f6'ENiE~I-NDUSTlnALfl! ;;F:;:~.'~~<:~~c: ,"',' , "" ,~:~~~~~,..,:";,.~,;...",-,:,..,,,.. ~ 1'"; ,,------ '~ ,--~ ~. i --, I ~:__. _. - '"" ,. , ~ J - . .,0'.' ,'O "."-'..- '0' v--- !,'::-->~:.~ --~ ,,"- '-.""'-' -~ " ';.-'.'~-:--~-~--:;: ~7. j:;tr'Ibr~'~Bit[~[':' ~ '. '.' ;, '..0 . ",,-, t ~-, , ,.~.- - 7::>-':'. " ..' r'~.{ ,~,,;'?-'"7 ~--" ..'..._-- ~..- ¡ - _.,--'. éL ... ,¿. a. b :':Llh.~ Za. ..0 0-'.- .0._0., v " " b' ,5 ' "r¡,~)'Jj,,",;:-' t. I / .,{ /;' ':/' I ~o e.(Ir~~ u:~ ~~o /IM.¡7(A y //. '1 ~ 7'~= ~6do f:(¡Av"/'a:..'i"'-/J~.7ía:... ,S, ~ -11"NZ'"p',,¿,.tn<- -=:>' -Im,e';. ['¿¿~Úr'¡¿ 1- --,.:-" /;+.¡~ I'2.+b=¡f:L'c;' ,~~~:":::,--¡_IiI_.,,'2."'5 '=-"K::Li-.'~; -'-'~"'''~'~''!'~'''-' ",.--;-', .. { , ~o. , ~ -. - . ~',,-' -t t<.., '," "2."'- . .., .- -w.-.,. '. .-' ,'i~~~~'i:~L'i" :'~~7'*1!,'2, / / ( /~ l' ;, ," /. 1 Ir .-1-;Jj¡,"'a::Ic..~.Ao.. - f.' ó J<..4+ ín-c--c. /u" '"'o ~-;'~!;&~a- ",;-7r4'd"",Cru'" I (!) (J:to, 1'7 ¡-=, c.t'a:=.---- "lf-<'r), t-/Y~9f8~1'" t ' , ','" " " , / '2t:~1..t$-=r61 , .: A c. " ,; /" ~"o > -..,........---- ""T!'- ,.í, b ,..-. u_- -,' , 11 z -o ,- --...- . ,-_o , , u --";-,":'f.-'-i- --~"'}: , ., ;3c.. fe. --:' .~, v:-- ,.' . :. " ,--'---~,---~-., ,-.----, " ' ---"- " 11 .. ..~L.._; H t '. l' ¡ "r '=JS:~':: ',':C::~.~:':;~~-~-,,-=-'~"~-= ~'~~i.~~1~¡'4~~'.i~-- ~ -@ , . ~Z-'~~.~_.-: ,...::;::; '''-'' u , ,/I , '~'~ ,, ': ,Y., " 9 ~' 7. -'= c' _ '~ , : ,', , ' . C , " , "" " " ,:: . , <. ": , '" ",-'-' -"'-<-:-:'~~:"-:'-_: /-"" t. o o, " //// , " ' ::,¡',',' ' l1M"~a: rG) 'L) /~ fr,,!"L.;;"~;¡'¿~'2.;re ¿,d , , /- 11a-¡-I-7-2rk¡,.-=&:Jq J '¿~{. (¡,,!o)c40 ,KZ-í'{f óG,) <:::, b' fH '1.' (, //C1d) '2 ') , k- ;..-:: , ' , ~' i ( ' ', , ,./ ., 1. VI > 1. ( t o~¡ '-r " {- -:-;-'-, '7;- .-,. .', "''''.'~'':-:''- ," ~
  • 66.
    -........-. . , c:. ' ~".- 1- .-~¡...-p-" - t,-iM ~ UNIVERSIDAD NACIONAL DE EDUCACION A DISTANCIA ESCUElA TECHICA SUPERIOR DE mGE~!EROS mDUSTRlAlES GS ~: ~.,.~InCc.- Z c!e '2. é. :k.!:",,¡ ; í A 't " ., '''''1 ....... " ~( , ,<1' ~ =+: ~~l{, /. ~ ~ _-/ , - ,!" /,.,:;r..",,-t:.~<pjJ f' J,' . IÍt= /;~, ¡le:1 )6 0~l?~ - 11'.,/'/Z'-Ye' ~'. . , . Y.,p a,:.o:~..:t:~~.~:.; ó-I',". ::J..." ".'
  • 67.
  • 68.
    PROBLEMA =Ca1cu1ar lasreacciones n - "" -- las leyes de momentos flectores,dibyjar en los apoyos, asi ,+ como en 1..cor tantes y aKi les estryctur. representada en la figura, sabiendo que par. todas las barras el producto El e5 igual. 1 T m~ -- rt'117 101 { (,t¡n '[Dí °. ~.tm r ..JJf1 ~-~.-
  • 69.
    .r.~;:~S;~I;AA~~~:~:~:~~~~~:;~:o;;;~~~I.~~-'.I!~I 1- I ..~. "'1.' -- --., "'-"" I I I .I .--'- --'/5 e . ~ ~ . -. ..".. -,. ,. . -~--?' '-';-'-:"~ ~ .~ 0.'- ," 1 -. "'. . . . - '. . . u :.."- -- ." ~-' -, . Á ." /, . / .- -¡12/Ckeec 7' E-f d. 7a/b. /CR. :::.! </G'I l- Y - .i;ce 2L - L T - t¡ ~A = . ~ tío- ~. 3 .!L - 7 7 h 7'3- ) !',: / / fe¡ . e - - . 0 '" (Jc - -- - - ,L 1-1 Yt¡ f C84 :: I ~ - ,':L ::o, Ó 1-+J<¡-S- - ÓO~k =le . (L/ti}. ~(~ i~ r / . / 2u./v07,rar< (- "« ,1:); } (../¡; ; l., , "- 1, - -" J4 "L-=--:~ . f { .~ ::~ri' y .h . ~ ¿;, / , )r 1-1, f -Ií ( ~ +~ . J? ", { 4 r~ fI1¡" /f/ -: Pa6? -;d' -/- a':: 11 ó' :: C.- ~'';'~ ;";.6( cl1- - <-.J'- lo y:? ><.(; ,c- :::/J g ::= '- /2 ] 73 ~tJ JMl¡ at o fl'2. '- T-tI2.l. v
  • 70.
    " . ;';'!~..,;" .~'4~'~',:~' ~':: ..';' '~'~'.. ~~.¡-;.;,-",~~,,~~~: ;..:~.';.' ..."" . UNIVERSIDAD NACiof'JAL DE EDUCA'~lqN A plST ANClA .' .~ , '. :-'.~~'~ '/',; ::,?:,:;,~~.:..:::;..-;~:!:.;;:.'~ .' "~':..""::'.':~:'::;,:';~~~."-" '''. .. . ESCUElA TECN/CA SUPERIOR DE IH6EHIEROS [HOUSTRIAlES ) ¡ m ¿7- /I . ~. 1 ~ l. -!J- ,.. I 6 . tI. , '- t- I J ,_.. ' 'o' .!¡ ¡ 1L:'Ll . ~ i !.~ I i II i , ~ i~; JH L-~- -"{{ "',;. . .-. -_o ...u ._a '" --- .~-~. ,~ '" .:~.:..(;;'1::'.~. ~ 2. . ~ " , ¡ ., i
  • 71.
  • 72.
    0_-- -- u u_o - u- ~ -- - 0--- - U.O-_UU- O ~ 'O--_U '.' -'-"-'-~-=.-~~,~ " -- +/ ..~ PROBLEMA .- Calcular las leyes da momentos flectores, reacciones en apoyos y.movimientos del nudo C de la estructura de la figura, si las barras AB y ED sufren un aumento uniforme de temperatura de 60.C y 40.C respectivamente, Y en la barras BC y CD los aumentos en sus caras superior e inferior son los indicados en la figura. Datos: Las barras son de sección consta~ de canto h = 50 cm. El = 10) Tm2 a. = 10.4 .C'l lJ A .n;O.c .¡.2o'C b'P1 e: +4-0"C ./) f20.C 6177 E ., L.~
  • 73.
    .~~:.,to. . UNIVERSIDAD NACIONAL DEEDUCACION A DISTANCIA ESCUELA TECNICA SUPERIOR DE iHGE~IEROS mOUSTRIAlES 2deL' '--- " .J~ ¿ ~ J,..,,2,..4 C! I b ~ Ñt/ - 3.'¡ó...? -~ ~ (¡o.¡.70 -'::z" c..- - 10 ..:>. V~ Ef '2.. l ~or c; 1 .¡Z-o'c- (ij ~ .f¡;' :-ilo'c A ' J c.. .(Ót:. :v }( 'ipt V ~"C .¡ f~ 't -, )~YII'¡~~S:J I¿'c,: - /Ve:! - t::r.ó..r f /0 ~ 6. 60-1'"10 ..?éf éf -z. /r 4. cb ~. v~ d? C! : J~, = ,; ( d s. ¡.";. :3 -1- 8 v.b.J) -~ fi 6.e;¡¡.:s)- Id vb.fo ~ 3 J ' 1- ¡ x: ><(~o- le) 01. ., I¡ ~ 1ft = - ~ (~6' 6' V, :¡ <:~616.6) - é~ a. b' 6N. b)- /O-~b. 60r- rC ~;. /0 )( d~ (Cr> -z.o) 7;, ) !III;¡ I/¡-V-~~r¡ l.M..r ... .-re¡¿./;6.. . ~f¡tJ+c¡J-;f, 2 ti N i Ili v=-:s8 ( -";) - o. 9Z1 U<.T ti:: "'lIt¡ r &1.'l1~.J ... V;b.r¡)-:;T ~ 2.n.ct<í tI.1IYT I '- tO. lO:¡ í 1 . ~ Al/vi o. ~D~7 J¿qlit: /' ..,1." : 2Z ~ Q Ilv. 6.:1 fl¡~o. Ic4 - e¡ .io-I:;. - r:¡,c,¡t (Ó-~ 12.., )- se 10:1 ID~ (:J't' I ~ ;; CJ Yto.~:r-.JI¡ ><o. lit¡ r I() -~ - '7 '0- , -~ ~, . ~ c.. /03. - - t> w - -t,lo'J '" oQ,.l , 1 I . __0_- ..., ' ' .. . ~., -----------...-----.
  • 74.
    1-3PROBLEMA ,- Calcularlas reacciones en los apoyos y d"iagrama de momentos flectores de la estructura representada en la figura. Las ter.;peratursse indican en la figura el! las caras donde se producen, debiéndose considerar variación lineal con la-altura de 1a- secci6n del elemento. En la barra BC el incremento de temperatura es uniforme. Datos: Altura ~e ~a secci6n de (as rigas h .. 0.5 m El lO 10 Tm : «.. 2 10. IC' . , . ~;/ ,~ "}/ ~O." / ~O X A qs. " 1C>O.C: e ~~~ t 3172. , '. , " '/ r 1 I ! '. .
  • 75.
    . .-. 18 ~;:ilisl;E~;';:~~~~~:_~:~~~E~¡;~~~~;~icil .. .'~.. -j. - , . - - - -- - -- °_- - - -. #~~C"J:'"~~ - /% ~ ?,>,"""A-~'-, - ""kA~r - JJ4?cIn~ =::> 77'"0 ¿Z¿¿ L/ ~/t A"<<"'Z-Q. ~/ cr1;.,,,j0.¿.. ,¿- ~ H c. . ., ~ ~ ~. . , ti! '." .' t(.-",~~ ~'." ".Z. , . .~~f,. ~ LI/ = CY' ¿r!; t" .2~ le>-<='" 100.. I.,J= J"oo ~ 10- G u... ( o.4?ec4c.. ) <te' - t72 a - t/l o( Aé ¿ ~ tI2 ¿... 10',(; I/C(D~60 ) ..3'= É/2lf.3 ID-"'ta, ..6' , 7 -:z '2 - z ! . z. . ! L ! C'~ yfA., ~' - n ¿¿ :- ~/~'c./ 4t di, := ~ t( 4/ i!;: (01 f.' )",@ -c;'z¿¿ ~"U,. ri.A~ - '.1 2 'J~ 11 z;; '- . (-, i h,¡ ..7' ~ "-;-. ( f/l t "¡o-~ (t~()-hO ) :J.. } "A 1- . 2.- !- .' c::IlAJ '" 1"" ,/ :JL =- (a""" + rztf - /Oíd' ) ID 1;-;. - ¿''ir¡. /O.C8-l ( ie~cl-'<.. ') . . ¿V17/:...uá.,IÍ>k/;- k /: ". /) -Gé~ ~.q. '«"J1 =- d~:= E; [fll([)33 VI + C~ ~(.r- ><s.1~3o: :3 ... ~ ~ = //,.t',í olio '3"" RII - :t.'1(¡.; /0- b' ~'. ,¡;z.ú -:: 2c'13 >! IO-~ I = C'C:: 1 g I,,~' 'r' J' ,-< . --.' _1_,. r;: ~Z' . ' dq qb ~""M ¡-f1cIV'1
  • 76.
    PROBLEMA :.- Calcularlas leyes de momentos flectores en todas las barras de la estructura representada en la figura, sabiendo quet5 la inercia de la barra BC se puede considerar infinita y las de las otras barras es igual y de valor 1. El módulo de elasticidad para todas las barras es el mismo y su valor E. "F 8 t! fl17 () -1- ~'" ~ ~,." f " :;lo -",., ,.': -.""-0... ,.,."," . ,~-.:.' ,,"':':;:'¡~~~': ; -";." ./~:~~~~~: . .-",;. ~..' . :". " , ,.!-" , ,': . F' 't' L;, eslwclur..;¡ €'S fr~bCJonal d", 9rcldo 1. b l:..".:lTrclde r¡";jÍd,;-2 (~/;",' " , ta no ~~ de. h>r1)'d. : ~~~~ ~~c I ~Bh = BB' = 4rzG 1< K [ ¿CD::: CC' -= 4e K.aA:. ~E!.. '1 f. (;El4íze -= g 9 + 6EJIt "" s.E19 te. B M.. Vi 4íz '1.'12 ti,~o::: ~~IfB+ bEI4í29 - ~e t GEIGI:: 'lEI9 h~ 2.~l> 212 tdz rz '-',, , I-ICD - "El p, GEI 4e.,: suS, " - 4 c..+ 42: "Q,': .. ,.", Mt.:. =.!!!.. 'i'"T f.tI4'e :; iUS' ,4 42 1- . " " ,- , ,LaS ~(""~,CJor,t'.s .?bs I'CDS d2 !e:¡ b":,,re,) Be. 0(0 r"demos rl¡;lI..t~r ¡a~ (;J ,$11r I~ MN'A de 'l"icJ;dei, 'lnfinít~.
  • 77.
    ~;.~, ...~;{tl~~:~~~t~~'~ff~:~"'" .:~ é':" 5019 . ~.-:;.~tfBI>-~ - ¡¿ . ,~ ~ "'..0:-, . .' "..'< .'. ". - <:',~, . : '..r: .;'¡'. u~w~::bj:'to~5~~j$~~t1~'_~~f:~~Jq:::;:";'<,::::~::;:'., <?'1uiilbrlO de; cork.ks!; "'-- ¡ . . '- , . .' ,] .L F MBiI / ,/' 0-/4 / / 4 x¡JBb He,ó +HAB 40. ~ Hc..D ~ L~~HK1 JDI~odo momentos r¿sp<cf.o a I. 'Zti!)¿ + 11M + '2l1cD t H De =L¡ F SEIS Vi .¡. 2EI$ '2. T' SE.I9 +2EI9 ~ 4;= &= 4'2 F = 1?33ln F i-(¡+ 1!2)EI' El 'L UI3.. :t~2.. Gekrrnlna¿jo e CLnOC¿I))cS .tcc1C_<; Ic-s" .1";("1-'les y yuj". -Lh ,1',;," b Lv. --j } de 4:::CbN,
  • 78.
    t1I,2, :: 0473¡: HC8 -= - o 837 F He", o OS/2 ¡: NC!) = og37 F /1& - -05 <J2F ~IDc O.be e¡ F- , , == n-../ o9~ F oGl F I 'ft- C.31,~
  • 79.
  • 80.
    f9 PROBL~~ -'.- Determinarel giro en el nudo e de la estructura representada en la figura suponiendo que "en el apoyo A se produce un descenso de 6 cm.-_n - -- - _H - - ---- ---- -------- Datos: ICD .. 1 IBe .. IDI!!: IAe .. ID" El módulo 8 e -- ~'" A .~rv~~ .. 0.8 1 .. lA. .. lE" .. 0.5 I de elasticidad es E para todas las barras. t 10M 10,"", G .- <-',
  • 81.
    . . . UNIVERSIDADNACIONAL DE EDUCACION A DISTANCIA ESCUElA TEC~ICA SUPERIOR DE mSEtHEROS IIm"!:TRI!1 F~ .~-- m . . . . u HH ."..~ ~~ I ~ G...¡~ I 't I ,.,-'í"."" ~ ~ PJ~... -.¿'j. - A~':f,~ ~Ii~i ~ e#r~ P<- 7 C>~ a ,{~ m'-o ~ ..~~ e e C{? ~1:.1: ..,,;.. ;4 ~+;..: J, ;4.: ¡ '}fr ~á/~ ~ '¡;/HE~éo;" /014~~Ot -',¿~ D E ~0~F =:>ANr¡R.:'T/2,~. ~" : ~ ~:~=Y; 3) ~. 6",(/4.lrO ec 7~~C?t;"..~c'¿~;¡ 0: t5 úkfo : ¡- ? rfi -; d thh .. J. d I'2-' '?OA'él>"~." ~~ r-w ~t-/~1¡~í*J. ~ 1!>¡~'J;. : -- ''}1. "-"'do-01.. ~.~~~ . ,. f¡ ~A::' QEJ,u ~ - G"~.:r.-~ ¿; == .:lE ! ~.f ~ - &'Vr. r?:Jr~'u't- s ~4 .¿~ tY c: cv ~J- ¿;y a€..Tk., t.O bE ~ r - .IE!.e =!./) e ~ F /. - .7lJ.!- rt- r ; 1~c~ 4 ~ - ~ - r & - 6y - L J' e ~ ~ : - S~.:Ir -::-.EI'" sY¿ b :-G.:z ~~. "$ ~ ~v /2! 1J?:..!j= ~é~''fe - Cé~ '-J3S-:.ay ~~o.~ fr - b~().g~'&il.~j~23t-D.O~iJ <'4 c.. ~1. {if.~ e ;-$.86 ¿ I f. ~ (¡
  • 82.
    ,r~~ UNIVERSIDAD NACIONALDE EDUCACJON A DISTANCIA .' . ,571 ':~~:";"'.::;"'.7. Io ..- . -K"'''. ESCUELA TECNIGA I #)~. v. SUPERIOR DE mSERIEROS INDUSTRIALES - ... - ~.;~.' - .. '?.,,[~ 4. i N - "~Jct;)...tJ 4- ~€Ic.b e - G"E.r¿(.f..1;)-~c - ~ le. ¿ I!. A't. -l) ~ ,..Kc..o =- EJ!L¿ 't.¡ .2~ t4 - c:fff;r~¡~ ~IJo. gl!To.PZf1rf.~~: l¿4 c~ ~~) "c,s (/ J ~D 1':. H.C4 ~Z5>1-().OfJ3Fr o. ~;% f4b¡5'l¡~oJ4T-~?r~ -~ cfo ') a;>,y i~ °.pcr2-b-P.o31; .. 1- . _.. -- r, .-. . .¡ ¿~ re> . B '~~ . .~ "'J~ 4& e ~~~.. ",..,~~ - ~ I~ p ~CJ) 4~~ '-,-, ~/Jí//-IG/?I<:. /.ICb't J{D~ , ~ i I ( . '<Ñ..oc "" ~~ ~ . A~.,. . f U{).,I' MD~ /Bc - ~ ~~ r"'~6 ..r...r. . AD "'Z.. ~ "-c - ~ ~ ~oC> r~~ ~.#;;¡~.4 ~/.~~;. 4~ 4~ - A4t!- ~~ = o 4.0 A'''o .,.. .Jt7.3 .¿ i-P.t?Z'Sq~t:J.Ms7(l+ 13..r~)- [/ ~ - g tf d} S J.:T>..- "',. ~(."zo Gf¡ /I{"'.."'. ..0'." . . J;~¡t?t .+ ,? l/U.. F. ~ '"'s>lJ;,:~-~ - -' ~
  • 83.
    ~ I UNl;ER~IDAD NACIONALDE ~D~C¡~ION A DISTANCIA I1t . E?GUElA TEGHIGA SUPERIOR DE _1H6EHIÉ_~~~IKD~S~I~~_~_- nl{ - .J,..~ - - I - I . -. J~'¡; - b. vz Ó - $ J; :: Q 1 . fe. ,f"Z~~f/I.I¡~J -.f~?~=o . .:Z1/(;, ~z ~ - .ztr[. d'lit F - //(¡,dl- ~ ~o ¿ - 27'!b'CZ.l/c. - !7/. 5'1 Ó -I-.37,b;2V ¿; -= o / - .1/31. g('¡¿.;. .2ól. 3+ ~:/.> :;::; J;a ~yTY' ¡; F:: tJ.f)$"&1$ ¡; I - . :~~-, .. ,r- >, j . L-.-,. -- -_.-
  • 84.
    03 PROBLEMA .-Calcular elgiro en el nudo B de la estructura representada en la figura ,sabiendo que la barra AB es inextensible y tiene EI~lOOO;T.m~ y para el resto de las barras EA=lOOOO~ T. ~ -..(~I ~ .. .A ~ '2A'l- -~ ~m.. 1 <'-.,-
  • 85.
    ~ ..: ~. UNIVERSID"AD NACIONALDE EDUCACION A DISTANCIA. .' .' ?~". :;ESCUELATECUiCA SUPERIOR DE m6.ERIEROS~RDUSTRIAlES ~'.- .,", , E! --- 5 . ~~ = ~ . ' I '. í'1z0$Cék6: ~d".:.r ¡t/l'n ~ e/ t:u<.a:o B ~ A ¿.$c-e:k-R.. r~ .ü.- k /y-c~ / A~~ l~ 4 ~. 48 ~ Itu~1&r.~ l' &~ €I-::1oooT/cd 7 al' -r~,j7~ o-'~ 4 ~ EIJ=lo~ 17. ,1) .1f1"1 ._0'. f tF B c- & L- -r I ~I{ C- .~ .A"Pí'A: ~ j);- , 7.: t *... j¡; ,GeP¿/Zt. tJJ t)b ~ esrf2c.JI!. Ueo.s:> ~A- .. ',-" ~~~,..; tle7"~&<./ ¿. t:!,: .. . _.~ .. - .l ~ 1F Ri kc.. .f 2111 t. . .. . . .. ¿ F J ,¡--. ~=~r ~~= 1 I tr'- 1: ~.Lllt1!::!.LQ = I-1l (e. bt:;!. f.! 1.1.l 31: 15 3E.:T - t "F :) ::'.¡. ~to.c.T J. ~ "" ~. ~ ~G ~ i~ ~0112./G"~a. AA. /~ i~7"ko<.A.:7 '. ~. ~.~ ~ ~~~ of? ~/.Dtt.: ..-&~o~ Jla 1:"&dv ~. 41~<.u.o""y4~ . ..áu.a¡lfJ vV7 .co~ ~ <! . . .- FL'--/{,Er , f 3 - -1. -1.! íí .fe.;: ~. L - I:...!11.f .1 L - 'Ft.:. - ~,,2. - . 1/ - t.., ~ ,6Q. '1. c;...¡.~ 2. ""Z:J"Z- 4eE.3.- b-t.!ntr> /a>g.qi ~('!,;)Oó ''''----. -1= IÓ3- F ! ¡SO i I
  • 86.
    ~Ñt j;:¿J:~~~~~'iU~¡~~Rq~:¡~iÉt~i~i iK~Us~i~iii.. i~~'!) J< &/<n>~: e. 1JA~){ ~,:~o --=.":F=IJJ¿b"!'{j)~'~-~ ~~:".o <i lo! D . .. L= '2/Cc110 1> lI~D ~ 1:1 -::.-.b. F -:.::: F z. BDj fA .. /t?ooc>" '= ~ ~t:etl1ZIJM~.¡¡), 1. - . .., ~ ¿= 440 ~ -¡; 2 = Jbu ~ .!.~k-=D " Cinh. "Z. " t i L-= t r ~¿: :: ~¡= + ~.. o . '0. .Lowv"~~ l I¡., I ¡ ,J.e, =- 05-' ':J? ~ ,: F f I I()~ i : I -. .1 !yF !()()Oo" th (-o A'F:: !!F -1- ~ '¡CJo r:: t.J. IóTJ7)~ V?h . / rftXJT) ~ '4 ~ ..':; '., ~J7~-<~cú ~~~ e 7..A':'if7.::.a', . ID-3 - ~ -(JO r;i-iLc F )í o ~ -= °, S-Z'5l{ í tt:n;() () 1 // ~.-7z¡ k it h! /. ~= HL 3~.I rL'Z.. 1~/, t),r2'gV><.<} ~ (- 't - - ;:;'~71dÓ~ /6 ~ .:?~ IC?U'J. 1> ~ /o;7t) , fí ..
  • 87.
  • 88.
    1.5"l .g c:> t J'm j 1m l' 1m + Dt PRJ;lDJ.,J;:t1EL< .'"- Ca 1 cu 1 a,.- --e L (~¡.iJ'''D _e! F l.__1J~dc--e._~ ?-~-~---~~Q.0'"~:;:'------ ~] cSTucr-:o B;' i! e:"i 1.:. t;.arra EF ce la E~tructu¡-a recrES~~- t2G¿ E~ la f¡gL;ra. saLi~njo qUE 15 b,;ríil AD e °:: inc:>,tens~blC' CC'l LJn '/a~ c.r de E*¡= 4000" T*me '. '1 par.3 el. resto dE :a.s t3C-?; E*A= 10000. T. E F ~-'.
  • 89.
    B ,__h.".." UNIVERSIDAD NACIONAL DEEDUCACION A DISTANCIA i -IES~UElA TECHICA $UPJ~JIIID! 11t6!11IER"oSiND~IAlES.~:",,--. - . ." .' ' . . 'V~ ,€~k-', ~,," <l'u'a~. ' 04 ~ ¡f4~ Q/Vl8:rz./c.c. t' , ' , " , -'..' . , A~Ti I-l E-N ~~,.: ,:-:'-; .'--~'::,7.i;1:;' +2:-_;. > -,-- " , -~~,,,.' .' .. ;,.-.; " ",-:-.. .-.".'-~ "', ..: o"~. :. . . . . . . .;_"":__L - ". . -':~'_:L'_,',-:tht:'tLL"" >', ":,'..' . . .. .. . "'. .., , , '. -.- . . . . . n.-, ~. . .. .. ... - . .-." "',-' d" -:'~"":-" -" ,-.." -.. n. '," ..., ' n.- . . ~ - '".- . ' 61>1 , rr. /1.. ..LS~f~F+ .52& F ",'k<", "-k"",, ~T =c .EST k.-.:>o .AJJ '¡["-te.. ILt' C-<;:) ~ , "5h~ ~~ I;~ i2~~ ~10~ =")¿j ó.!'Ji o(Q ,/f. /~e-ad~ ¿{~ .e~~ Fft:/tDS'. í6r ~~ l~; " Sf'(A ~mT, t ' .!i:., , ~ ~ ~ ¿curo/) d¿ J I IDA::' NI.).::. ' 5"' -,' ~ " =- ,/2S -,c(-g r:z::<d IG b~ -, 6...ltoo-, , , L..' , ,G: '-.i2f"'e~VIoJ~ -d,.~J~:". , k~::', J-~~ ,boe., , , /Í?4 - a: ME ' ~ -cJ"J" ~ ' -- ,~Er (1-(1;) tV¡1:; -x V I - f,zr- '" 10 '.3:,"1. 1., !¡000 /:¡.o /- ()-' L'- ,:J ot( ,,) J . b ' ~ :"-
  • 90.
    @ ~,.. 07 UNIVERSIDAD NACIONAL DEEDUCACION A DISTANCIA ESC~~LA--T~~~l~!J~P_ERI9RJtl~~_E"I~ROS_JNDlI~IRIALES m 3~---- . I , ~E3Tt:. ~ --b,j"'I1~c.o t ¿;. .fe Leo. E "F ""~ ) ~/.. Srr>T, ~D'~f~ ~- 0 (A) Á)==f.- .-Ec;.~0 ~." U% Á '. ) AG ~F ; ~/ J<tú,!k~ ~/ ~ ¿ k¡; ~(i:O ,t.2ó r= => ,II~:: If:rF 1 Afe:O -o. ?J"F " ') N¡::(!.. '" -o.'+n= '-, , . ; o,~i1= '~~f~ ' {', ~,S/l1í A"C- =- 3)' .tí ~ r Ú.~n: (íS) f t- C;¡,; ~ ~Ó', e<: r,;p /.6 ~vi' ,L4 :3'M,1A' ,JZ) ." , pE. .;zm;1<7E".!~'CL Co>-..~Cl<'"()0 'DE:. =u..~¡''B~;;o.t..o fm-¡2E.J.V,:~S' ~,xnU(2~S: E.S éD~ d"-l.- Cd<2-2...;/-AtEAD JS'!21"(c:,o,1 OS ~ .B.; ~l.- I-.-l's;~ l¡-- I] , ' , ' " ?'- ~~ ~ jZrF ~ k-c¡-t4 :( ,Le"Le...¿ a. h ;~ J r~ 'u-o rcY~ r~- ~~fd--';J. " , ' ""TI2A os LI:>C''' '" ~ "- '1=>E. 6-2 A.1>0 LJ¡,).o: - I ~" , ft:~ ~ ~=6ccoT~ ~ 't4g:::. '; ~~'t; , = " , 60 , 16, "' , ~o; , <>G>o , '~ t;':l l~.er '~,~ ~" ~ ' "'., ~:o '- ~t,,1>"D 1", 'E-g~: D-<>-O.=. O. ~ '. , L " ' , , ,~<>t-l"eo.o, ""',. ,', , ~'t?--~z.'T~r MIJ-, ',*~~TQ¡'~~'J~ ~Q~~~ . It-I.-I , f.. ~:g ~ e.s-~, 6.G r <?- ~ o.1'SF o,~T" ".é t ' ~ ,~¡ ¡ .:¡::"..n¡¿~¡¡:L . .r_~,-- 5"''1: ',' . ,. ' r-" ~IJtT ~ ' ~, ' ~ I~~: o--1 ~ 3T .7- l.',' L. ~" -===P
  • 91.
    l . ~ -;'~;~E~~'~¡~~A;;;ONAL~~~~~~~~;~~~;;;;;¡~~;¡T m '...'1 .-; ESCUELATECNICASUPERlURDJJN6ENIEROS INDUSTRIALES - - --'--<- 1 - -. ;- ~ I i c~~- í %- '-7a-<--,{. -.P-«- ¿ / -T~ &=-7h./ g e - IÚÍ ¡o,~ ~1", - - L-g,-- t ~~ ~ O,~~ ;j ~~'í ~3 i~ 2:TI/=~ ') i~+.c =-~~O.t0=- , J'RD~ 0."1 S-1= -3 " )<W.csTA~DNA - ) ---~ ~ ""1 . ~ , ~f.; d-: 7 e /JI." o~S S- ::. .~ ]s- - -~:7~~ . .4 I -12<>D .~ , "':1 'l-Uo) ? ~ 400-0 - ::. "bE>o-D ~I z.'- ~ IZD"~T 10 - fJA - - W~~ 1200 = 6<S:>-ÓT ~ 1."",,- -,¡¿ "- . ~ -;1a ~ ~ d-j.-~ ~~~.. , 1~V.t~ .~t - ,tlt-¡- 7~2&0 .L<A-T - j6~ ,:'-<'"--:-;'== ~nÍ) --()",~':::..c> l' - -, é.. - '-.'J-'-. .- ~ l.-t:.., (.. ~Q . - , 1cgl:=- -60-= 1 . CotJ~ó),~: - - QvE p. .t:oL- l2.0 + ~12.1 ~ D ~ D,i-~1=- S; + ~G-60>-c):::o " . D {)o o"+~::" ~ Co'j2J'2., 1M~NT6 ~b)C.."1iQ.A '- ""P2L ~ 1;
  • 92.
    - - ~-----oo.- '.'.0_0- ~.. "o_--, ,--' '---~'-'~-~'-- ~~ -~;~;~:~E~~I;A~~~~~~:~:~~~~~;~~~N;~~~~~; "'~- . ~A 'S ~ !w- ~'G' ("6') l 1::,~t;8-- rJ"f,E l:- ~ -Ol~ F 1. !:t:, , 10000 ~ ~r -Vt = VE + o,''1'~-:¡:: /.) (oe..-o;- (}j j6-UU>7 "'- c:;:Jl.a.k J4: ) , fir r:!.'~/n~ , , eL~. .0 -¡: ",--, ' , u L 1-'2 ~ = el. LJ4", = .!.. IVf:F - " - +- o=lé ?- "Z- E..6 '-- lcOOc;- <) ifa,:fY'';'' ,Kt2 : ,/ ue;); ~,' .~ ¿; U~D, IS ~ () -c::J-0..<- CoL -0,(;' -o- , AL/:¡t::' - ~ D,~ +V~ D,G.. , 1." ,'"',, I 2~ , 4t:::' tJAE ~ =.1:2SF~, A'E. LO<5>oO. . . ( ! I II ,'1 - L16~ D -L Ve. - ')t. {¡- '" .s, ' ,~ ~~-Ji au-<k,~, 60' rfl2-'"~~:' J=- /.~zr.>o(Os F f- 6.:t-~ '¡,r, 3 " " "¡,uou , . . .,~--.N-- - .-L0~G= ~zLt:>: CcIJ~Qlci0,~ CDMP1STlÚu!~]) ~ ~ ~ á:- ~ y.J ~,d ''''r! ~L~¡;~J 4 q.~cu,",.' o,:::¡n= -.5 '::. 1,'1'bZr-;c,1¡)3t- T c),-=tT'''Ft s- b=-= 3 ' , l~ ~~ F=_'t~4t-~ T~ QlkE-2~ ¿( V6LD'i2.J€. fJEl='
  • 93.
    r." ~~~~~RASI~~~I~A~:~~~~:~:~~~E~~;;; ~~~;S;~~!~~~ ,. I ~I an -~- _n.,n - i 6 ~ fk:-.~¿ 7~ . <k 4:: . . . :51111 un' '~~;;. 1+ Il-Co~:: 1+.12-:, l-1.ChD~)=- -1.2n r-; .'. - . - . k . ~. -,'. .. 7!7Tf:: 0,"::tT~-3=-.I"ID~~, . -J-' ~ . . . ~,. .' . IJA. t()- ;: '4 - s - oS (-l.zf2) -0-- l.~1 X lD.5.-r=!. . ~U{I-o.J"O.JJ' ~ ~-- 'C---"--- g,~;:;:;;-~/;~ j luJ<-/~ ~1f~~-e;:7'~ ~ . ~ ~ - /~_5 - C" ---~'-_.:"'--~' ) ~,T~~ -e.l i~ bu. w~ "'- ():J~ 1t:>l:>1.-- 'lz,1~ ~ . .~ Q,C " ! I -LI.K - -~. _:r I -! -+ /J(J.).. - l. (/ "- 10 -¡ I.w- ID :=- 5.y k ID ~¿ - D- - - '-' "c ¡ - - '-< 0' .
  • 94.
    _d - -.--- 15 PROBLEMA ..-Calcular cual debe ser el valor de la fuerza horizontal P- aplicada en el nudo A de la estructura de la figura para que el movimiento horizontal del dintel ABC ~ea nulo; además d1bujar las leyes.de-mómeritós.-fleCtóres. . . ..- n - - . - ..n -~- - Para todas las barras El = 5000.- m2T. l' .157/171 ¡ e .A ~ .. ~t/m. E &/11 t-J i tI .f..J /71 .Poém " ~-.
  • 95.
    ~~~~... '.. ~~UNIVERSIDAD NACIONAL DEEDUCACION A.DISTANCIA ltf?.' 6~V~ ~ ESGUElATECHICA 'SUPERIOR DE IH6EtUEROS UmÚSTRIAlES- I ,.~ui -<~~. . .' . . : . .. . : i. '. : '-'~-~$&.~~~::;,.cd~f~ '1./ r ;laut{.o' . - . ... ." 01(. . ~. . .h ~~ ~_.~_.~. . .. '.", . . . . -. ~ - ~. -t ~. o~ ~..! H'¿ ~'l-. o 0_' I . 0--. .. . .._- ~ , .... ~ = -. '0; ---- s> . - .."- ~...~ ~. :-- --f8''' .. .. . : ~..... - ...' .. 00' o. 1, :~: -1...1> ) ~ - . ~~J:) .' + o o . .M ~ ~~ A--4:',:w/.:. ~F- . ~ ~rir. c.=- ~ clré¿ r ~/ ~~z~&..~ ~~;{4 ¿r CefO. o: x:: -+ ~ ~ .- J ~t:;A. ~ o : ~ . G:"":'"'" ~l>:: óE.S" -;. ~ ': Booo..,k. L. . l~...:: C¡~- ~OOoP.",T O'J 1..- o o . . ~ :: e:¡S r ~ ~/;"í:,-~oj.~.z."'7~ ~~.o.5 1 o - -' ~ 1< Q.V ~;r1~ &"': .d; A/" ~'u...,r, . '0 f-~.¡;¡n ~~ í" D~'( ~-¡¡;:;¡;( -,,(.r~r o . 0,'31 i'::i -- ~ = - ~?: -- (¡".S:;.!" ..-~. 'o , o ~Jlc.:¡r fF!!) .G1 -<t o -l <:- c. 'Ti) 1/ " -1/. U'-( ¡;. /afl.~ ~ lo M~= _o~~ J,,~ift/'~ JIII ~ '
  • 96.
    ""'~ ~~~ @ ' . : , ' i?" ~ .'. - ~~ 'r UN¡~ER.~}DÁb~AC.io.NAL'b~ 'EDÚ9Á.S;'9~:~¡"~~TA~gi';:. :~;:-.~' 5~ ES~~ELA TECHICA SUPERIOR DE lH6E~IEROS I!{DUSTR1ALE~ -3. trfJ~ :~:~--~¡, . ..'" . ~ "., ;.:.. ,: ". :.. -$2.~llr "'Cl.~ ... <!.... y .. ~ . .' ., A.-'. ... ~ . .. %-., --, ','" ".- -. .':;~ ~ :.; -..".;i{ oJ .' ~ '? :.' i 1" ~ GLge =- 1~.O57!" ~-2. ~/?r-¡¡c.. '~ r. . ~' I¡~ .-.;.~ : . -- ....-_. ..~ ~:""' .co. .. -.- ...:,.~ ;.- . , .~., (D' '+'7.3.1( :.' -' . . '<..!..~ ~ ... -.-... . 1 . '2 J.<-.::> ~-o ) ~ . ' ., 1 "'-''!'"--~-'' - O". _. "... '.' . .' f'~ 1--. . . .. .. . ,0'-. - o" 'f't/~. '?.. s03 + 5" , l.~.s!.)~,.,.. t.,P1.S"'¡f.' ~"C-i'1:~=ir- 11.~19;.o "2. r '- 1 fr~.-~' ~12" t 1 I.t..
  • 97.
  • 98.
    PROBLEMA. -Calcular losmovimientos (desplazamientos vertical, horizon- ": tal y giro) del nudo 2 de la estructura representada en la figura ,si se . considera que las barres son inextensibles y para todas ellas EI=5000~Tmt. .3 ~._. ~-b171 { B/12, t I . .~- . 0- ~1 I I + . S Iv.1:;.m.>~~ . '/fl ~. ?-p¡ f/l1 4J1L . . . . '2.T - 1:>~'¡lJ.tThCh.. 6;';7Éí/2/cA : /k .4/>'''~;' Rr- ,;,;tf.~J:"",o,,d.. tÁY--- k ¡~ff"'" k 7~. ¡~,L..Ptj& ../cN/e~ 'J-~~ ~ ~<2 -Z '! 7.' ~ ~~. Ih-;L ~ JL. ~c:(.Q /~~~~ ~ .,;.-k 4/:..s:Io .1"'- .~ m/o _r~ /~<=- a..u/e, ;7 ~ cl~y-k ~u<.L-A,( /'1010 k /".-o.x.u.C4-~ ~/tit:~ y &r~~~,- ;1 m¡/.féí¡¿(~J : :J:..J. ¡Jt!2L~ ~~~ - , '1 1 l1Z = 12.1
  • 99.
  • 100.
    I ! I i I I ( e :-:~. $ ,~ " .~~I~tLi~-¡iEt~I;:i~~?~~t~¡-~~~t~Wo~-'~~~~~~~~~~¡ '.g':,~~"3+:::- ..oiG¡o (1mí :~ '1. b( b= 4.:SJ'2" (0-3"", UL ~ '" 1/8"J:= n3d..rf2,dO-~ ::q/lJI -J 4 ~ ¿:é,,"'~o.e =~7"C 1~ - "=;:> -1-:.-"--- .6 ~ J4<e( 0.( -4'z-; tf" ..Qu.¡,¿": ,;. b C,C "-(C>-:~ m ~ r .--zZ!i'= C1 th I:i ":. Z,?II "- lo /I? ~- /J?-¿ ~ --¿- ~ -T- q 1.t..rO'Z-c.ró:l = I¡./?,,/o-V.,e<d. :s-fJ" 5000 .s- "tt .. ., . u.o. _...---
  • 102.
    A B C'.J) E F E~, /'11.".,. .:'1;;,.. t . { t t t-.::5./f1 í .ts,/lZ. 5&>-1'1 9./1 P$.J'7 ..'.!. ID -~...__._--_.._--_._.-------,~----. .-si el nudo 1 de la estructura representada en la -;~.Q'u7:'a__- --~-----------_._-------_.._-_.------_.-- PROBLEMA sufre un descenso vertical (sin giro) de "d ~metros,calcular la ley de momentos flectores para todas las barras en función del producto~EId~ El valor del m6dulo de elasticidad es' E" ('l'/m') igual para todas las. barras:l~.inercia de todas las barras horizontales es deA2I~(m') ,siendo ". t )su valor de 1 (m) para el resto de las barras (barras inclinadas. k/¡;f.: - . ~.¡~( (?-) I r~~J,.,.../' i .. A ! ' . a~C.~ (:ttJ )2: + d; ~~~ "..,{! ~ ~-.
  • 103.
    .~ .'~f.f~~~rgt.;i~~~~~:~:~~1F:~:~~;~t!i~~;I'~":';;;"I~ '~, I'--,'''~'' ,-, ,- -~ '--'-:""i V'~ __m ¡ m a4<,{. ck ~"á'~~ Y d; éof~izu&.J ok r,t,/ I 0'0 /l/v /'q¡) € f> '.1 1/$ l3 NUB-o e N l/ 'l7o .]) 1:::<:6 = 4 é(2I ~~o¡ U" : ¡.C,._-= 4 E(21)- o.I{;E I -v ~.... I ~o (6C':. ~=o.3!E..!' ~-:: !¡.~Qo.z.~x : 1r ~ - ¿"c.?H. 2~o.'Yi. &¡= O.~I' ~:: o.~';, ~:: g;~tl:c>zc.Ei r - I(EJ:' O "",r -'&0-- -¡:;; = . <''''-'" ; 'IX;. ~ o, V>3. Cc:1>'" ~nr ,--. (:) i l.A E. i K- 1:':2)~ :&:..=D.~11 Ccli :: 0,1'4 - /l. T"-' (.:r) / T". :"!.~~.¿~--'-' ) I IVID,JfÚ.lr~~ ?c u'i?I'P7;2&M/~ .:: ". 1-- ~ I ~E -= /1t-D:: 6E&r) ¡- - - 1".'2 (;zr)'1- j ~ -= 110) = . f€' {2.r)F ~ 1, f 1<..10-:3EX r /l1..T (]é:)'- ~~; ta~ a~ '" ,tÍ~ E.:I.. 6' ()T . .-;:,. ~ ¡')?0/17¿'''7/).'' ~ E/HP.1'M,M:l41D. ~ '71) /7fitt'/acJr¡...¿). ~4 = ,...v,7ép'::: ~E.CU) 'J3 - IG, 6'31< :o.3E.:i: p..",T ('U)"2.. ,/1ff,J:' H~:= Me 1'{ : ~...': b ~ I 'l. = 30.. lo'SE~ M:í I{' l"l.<.)~ tf - M - ~e,Ü~)!1.(3- 16'.'03 ,,¡~3 E.I ",.-; . Oe - c.1)- ¡oS0 )1.- - . -..: , """~~""c"...M J.I¡ - 'E('Z~'~'2.¡fi -t;C,S'll'ló3&"T':u..;r ""'" "'" Ac8 ~ ,&c.-- (1.s-) 'L = ~ --.. ~',
  • 104.
    -- --.,. , - ti.:.::'.;.,;,';;.-:~~i'1!,;~:~~~.;:~~.:,:.. '., " , '. ..". EDUCACION " .. " ..¡~~ (;UNIVERSIDAD NACIONAL DE A DI?TANCIA .::-') él.. $'~ ~"':~.'" -.:."...r .. . .. . ." . -':-0'.- ESCUElA TEC~!GA SUPERIOR DE mSEmEROS mOUSTRIAlES, 0-- u.n . u . ,.. .... -- ...-- ....- ,,-' u . ---'---- m , __.~_m'_- '--'-'- .. r-wJf'fJ 8li [o.lb):;, ~.IJI( - - 1..2 p.lJl ...E:L--D,lJr !:!i ~ J().D'f ~ D,"'" -o.ltf "'Il 6,q o.2~ ~ D." ~ -=¡;¡ ¡f~i~.J¡r b J I~~ -111 :zü -L!3 -¡p' -¡;- o' ~.t "1OT<i! .,i¡'[" '.~I .1!.f ..L&!» o. t,¡, 6:> t> -;D.~O -/.41 -;- --;;- ~." -o.!s" T b -tP."1 o,or @ ~ -",or ,-1,'1/] ') /iL..~f} r:JL~. @ ¡;» ) - ~ '"-A"/.J( -¿, fL -I,a'-,~I 1, !1. ~:. , f - ~ - ','V ."r? 0.4 t a r-r -1.53 - "r¡v -o.:¡: " - ----f.fl -l. ~ -r...:¡ -I.SJ. " ~.!T rul' '2,B - ,-- --~tt J.~~ 1.3; 4.61 II..~ -a,n -¡t.f( I'.'~ --"'. -")---.j c. l/, DH1!! Don) ( ~ J:t3 -¡;- -1,13 # ,.(, ~t14 80 j; &'r o -1,", - ~ p,rl -r-- Al:" ~fY.Zn - ti -t:','/ ./í ¡i?(zf) ., '. 0iV&.1dl L-1.f~ P.I~] ----0,°' ~ - L.8.!l- .Jt)~ . - o;~ -H,~3 ~~ '--...- ~ ~J~ ~Pt6 -r.,~.:;:u I~~~.14 ;3.3'~ -. o --tc:a +l.bt ~¡;...~ -1'1.'2.;:tl'~ -_.~ c.~1j1 :D:.~Jjí".~I" 1 o.oz,'-! ? ,- ~ o .¡ 4.'1.3 .f.~r -¡;- o -',01 -D.n - D"1J,2~ t,n -, D -MIC -0.0' 1ó.47.1 b.~1' 1~ l~@-t.f2 -::m; -",:¡ [2;.~rl t.I~ ..t'... ~r.1 -:::¡--- ,.-- - -- -1./;) 1,41 M1. o.'~ ~ -~~ ~ -J!J ,.r.( - ~ ~. -¡- t> -1.SJ. 4',f -l.,:} -Hf ?,~~ .-:- J:.n. - ~J~ "l.!' !'.$~ W /l4J -CUt -~'.r, I"e" o?3S' ~,(I~I D,~'1. :o~i¿ D,7 ~ 80 ;;r'f -¡;- -rlfr -;;- ~, -D.lf ~ ,. 'D"~ ao ". z.z -..-:!:!1- t> D,l( t> .4'.' 13(,1.2't:..¡. ..
  • 105.
    - ~" I ;,.á¡'¡í;¡~~-'¡¡i;"Á'; NACioNA~';;U¡'ü6AcioÑ A'biS!ANClA I ' .;,;' ',e. 'T ~iESC¡¡Eí:';'T@CÁ SUPiRiOR"DE IH6ENIEROS1HODSTRlAtEs. ~c' ..'.' "'L . . ) I,~( !.cj.r 3.~í lL~ v'%o ~ I~ ú'fl¡{¡- r~1 <!r- c..~ < -o --e-¡ ~ D.tlt. ~ !./' ",. E~ ~- .n -=. .r.tl, "- ~ z;' .'1''+ "2,~~ ~ . -?. - . ~ e~k':"':o cP.le ir, r~I!S -- k vRa..Abr.. / ¡¡L~<. -.{~rL !~7Í1., Nét= = s.?>r'2. T 16- ~~ ~r 3 I F = oS; 35"2 "- IÓ E.::r ~ ( ~ p ~ 45.'~ % /12' 1" 7 '2.1,1-6 'Zr~"/ lIZ.~ I/J¡).. ~ C¡j.~ ~ ~ ~ . ,.71" -.r ~... ~t "'2. > W t-- +-1~C.J -- <- J) - . ~ 1 .~-._. ~ {,.f/r~-¿ {(. ~ . l!-6.41 .e" ' , I",} l" I /{..~~ 1 ::... ~ ¡ ~ " /"~ = 63.+7... T a J." /)2 2 - -3-- "f17"...~.'Z',' ~F -; ~3.;t ):../0 é...:. ~ ~. a..:c~*;z:.. .-kb.Q./ ~I.¡ cr; ,.(',r.;z;o -3 r' - -1 ..);..3$2 lo E:I.:> ~b5,-f2x¡::> LJ6;-=c..::>.~. . t ~ = - O, D tg~ f) L ftdlfri:'ú..do (ll) /11t'J: /' f~ &r..(I) J€ cJ~ ¿J' /,t('~ J,g 1E>s , . "~ . . " .>'1" 111 -{ . '1 ..,.,:" ,.tí!: b.< /:. ~ ~..{ r- ~ -,,,,,,,:>~'7~..'<;¿.' -=. -,.,:}...' . , -. ~~#U'.. . ~'. J." ,;,...::>, ,. t'I - . --_o
  • 106.
    1DI1I7 10lfl.T f; ./) ~4't1Z. 8 F ~M,.. - . G 1 ,4 -: / ~4'/11 " qlJ7 1 Iv( PROBLEMA-.~ b"lcular el gire en ..1 nu"c E ae la e~- - ~ ._~------------ --..- trur.:tura Eimetrlr.:B represe~tadt en la flQyra. S1 5~ EtIPOn~ Que tocas leE carras SOn Ine~ten$1bleE V con E61B 4000. l~m ~-.
  • 107.
    . .. . . ~UNIVE~'SÚ)AÓ"rt~610NA( DE EDUCAC!ÓN A DISTANCIA: : ~~::.::~:~f:~::':::~tj~; ', i ." ESCUELATECHICrSUPERiofóE -IH6EKiERo('iHotisTRIAIES I ;¿-"'::~ ':", , , ..E 'ST~ "tX) o : .:5j.."TtZ.t:.S:L..t>~"~l.. .::1l-6'j<Qi€J.1't» "'-t. M~~lJb lrt:R1icA<... -' ~1... lJ1.¡Vo ~..' = -.- rr :;) j-- /o ~ " I ~ '¡5Z7.1:)I: L.d~ g"R/2()~: G~~~;-'> ~ h/oIr~~~ T-6:t(~ T -o.UZ ~ o- " ~ ¡~ ".rt7€I -; {/,. bO<:>o = t:OaT> .¿ el - ,. ' L+ t 1¡6J¡{{ -0.Sl2 o.zr -, o .~ ~b's ~ , f- ! -7.~ -tl.t"- o C; .u. l.!'" D á [lO.. 1-'.~~1 ~ ",,. ..:v 1.eJ " -. ,(¡tU -p"-. t! -. . .' . -. .. --'-... - l'l~ l'~:o- tZP..'~: o.~6~1 0 " c- ).:~? / ~t:'.l ~)..{j{° ~ lo.¡.1.'r'~1.2rt.4b8gIr-4 :"~" 12. o U1o' T ~ .. ~-- '."".' i, --
  • 108.
    @' ~~lf~1~r~~~~~W~~Rg~:~~~E~~~~ ~~~~~:~;r: ';:1 ~.. ..z:~~ :r: .f"' b . '"TI2t:.S~C4~ L "..J f - ¿E~ r; e ~ ~... 1= :l.2tO,,'(,I¿"Í L. z. I~ " 4: ~-~)-[f1,-~)-y' K, (~-;;Á) ./ /'/I:~ -TI;(X-,4~: :f.Z[.~! fiV0.6z(-ZZfD): - 27r; .,.~ !! 1. : I r /~~tt.t¡ ~) --= 0.?Q,Q - -r!%n. '5 ~~~~ ~ I(!:¡,~ /7i1{'~J ú}'CJ>,r- - ~ ,a:¡,$+ l'i.c.t~¡ ~ 7¡f¡.06..] o/ . ~ . ~~i: ,- ,.1. II "'.. -~ /161. ~:r - --7Z~ " +1%("" t) -¡,.re. ~fZZ(b . .. +"ZHb " -/1Zf" -'r~t:) t::> o Z fíat,f'1- ~ : 4'~ 1;¡M -/.1~) = . : -zz~ :fla:¡.r-(zzr,,)) = -/7'C~.:~J ztJ.g= 1t;Jv'bt! ~ ",n.S- -+-f.¡~'l/~,()6:¡ ~f~:. ./2, = - 8/7¡' '2/[ ..
  • 109.
    -..' . " . I.- l.:. : . -" . ~ . . o",. . -~ . UNI~~hSíDAD - ~ACIO~A:L 'DEEDUQA910N A DISTANCIA - . ; :_-':~:~ :--/. '. ESCUElÁTECHICA SUPER¡'OR DElHSEHIEROS müUSTRIAlES . v. - -. .' 1<,0 ~ ~ VZ, -=- O f. nO' ~ ~( - 31.77, Z{():.o b -=- Lo V6b. *' J~"J. {n. ..~. G:flo €,,);E;. = ,.01"111 s;. ~ ~ ;¡ - 01"11 :/,f¡(b"¡°t-{J;. - ---{ 4 J' i 'i f' , , 11 1'7~ = - 'Z,{.('b -f-L.f¡CC .. ID-"I~ir'... !oSl/. 'l = -o, ()r~:¡ ,¿¡.í /J? lE ~ -s. lIt .¡ L,CtC& l' lo-'! ~ f¡r¡{).~zr}:.-J:cr8~ ;l-k r t0.c = .~~ -~/J7.!) -~;J.bng- ,!f(-o.o.n~'- - T (¡-IiJe) 1- 6a<S"D ((-o,t"~o.S) = - /.8' 7h lO:!:r..J. ~ -~ 'Z. q'b)' lo - ~ - ti. i! .. .1 ¡. .' " J i. '. .,
  • 110.
    -. - ._.. -. lo' ~:t:;,~¿,¿~,,,,,,~~~~~'~~~~f-~~~~~~~.~~~:~. b -~-::i~~*,. ~ ""~ . ~-~~~~ ~ ,tn't~~~~~~~~%_~~~'~~)--"~"~~~'x~ ~06I:.EI1A 1 PSTEN P"'l :7 L"'l JINTS X..O. X=O. X=O. X=4. X=8. X=8. X=8. ::STRA1NS ..7.1 ~AME 1=1 . A=1.E15 1 2 2 3 3 4 4 S 5 6 6 "7 2 4 4 6 )ADS L=l L=l )RCES C=l. l. I , . y",o. Y=4. Y=8. Y=8. Y=8. Y=4. Y=O. z=o. Z=O. 2=0. 2>=0. 2=0. 2=0. 2=0.' .' ,,'1 R=O,O,l,l,l,O l. JD R=l,l,l,l.l,l , ;~ ~~~R=1,1,1.1,1,1 rk ¡"'f IZ¡u 4.- eo" " ~ ~ ~ ;¡Ji. ¡«lO 1=3. E=2.1E"7 M=1 LP=l,O M=1 LP=l,O M=1 LP=1,Q M=1 LP=1.0 M=1 LP=1.0 M=1 LP=1,Q 11=1 LP=l,O 11=1 LP=1.O ¡ . ¡ Li~t. 1 , LR=1.11 t- ,j I F:...,,.,lo. F:.,.. ,-10.. .. ~
  • 111.
    Fi F"".L ¡...::. } 0.1;1 .,...' "-..." .. . ......~ ~:J) "... "', " .c. " /" ,,' ./ ,," / ..'" .... ./~, /=d ./,-,,' , .'...' 1- K- /" FE; " F5... -..1 ."JJ .:.. '- " I ," '; I b) D -u ro o _"F1 LE .- PP.[]Hi '- IJ/'IDEFDP.t'lED uED"ETR1 t- :x .
  • 112.
    .0.110 CONOITION 1- FDRCES "F" ANO MOMENTS "M" ¡OINT F(X) F(Y) M(Z) 1 -1. 8370 -.0557 4..4.023 2" -.0319 -.0319 .0000 ! ;5 .OZ02 .0000 10.0000 I4 .0670 .1205 .0000 ~. S .0017 .0000 -10.0DqD i 6 -.0670 .004.5 .0000 7 1. 7981 -.0210 -4..30"70 rOTAL -.1883E-Ol .16Z2E-01 .9530E-01 -,.,,.~~,~.,~~"-"'~PROBLEMA 1 SAf"80 V85.02 . ~ . . a a * * t n a a * a - a * . a Ra - . - a - . . . . . . a .. JIi: a .J O 1 N T o 1 S P L A C E M E N T S . . .. * . . *ft. . . . . . . . . a - . . . *. . . . *. . . . . . . . ~ LOAO CONDITION 1- .jOINT U(X) 1 .OOOOE+OO 2 .24.80E-06 ;5 .2760E-08 "- .2760E-08 S .2760E-08 6 -.24.25E-06 7 .OOOOE+OO DISPLACEMENTS "U" AND U(V) R(Z) .OOOOE+OO .OOOOE+OO .1060E-22"-.4.625E-07 -.2603E-21 .1829E-06 .24.52E-06 -.7961E-10 -.2662E-21 -.1826E-06 .3991E-23 .4.513E-07 .ODOOE+OO .ODDOE+OO ROTATIONS "R" R E A C T ION S A N O A P P L 1 E O FORCES , . '"I .. -.- - -_o.__n. --_...
  • 113.
    , , . ~~~¡;':§:;!1&~~~&m~"'W~~~~~'Ji¡~ §§§:,"'~~~~~~~ ~)JfI~!~~~l.~'~)~~~JM~~~'~~'~"'.~i EMA 1 I V85.02 ¡ . . F R A M E ¡ . . . . . . . . . . . . ~. . . . . . . ... . *. . . . . . .8:".M E M B E R F O R e E s t . . . . . . . . . . . *. . . . . . . . . . *. . . «. . COMBINATION MULTIPLIERS .OAD )M6. 1 OLD LOAD CONDITION 1 1.000 ~RS ~ITH NUMBERS BET~EEN LOAD 1 AXIAL FORCE DIST 1 1 & 32000 1-2 PLANE SHEAR MOMENT 1 .06 ~------------------- .0 1:..0 1.81:. 1. 81:. -1:..1:.0 2.95 1 -1.1:.2 ------------------------------------------ .0 1:..0 .33 .33 2.95 1:..27 1 .00 ------------------------------------------ .0 1:..0 1.l.2 1.l.2 -5.73 -.Ol. 1 .00 ---------------------- .0 1:..0 -1.l.2 -1.1:.2 -.01:. -5.71 1 -1.1:.2 ------------------------------------------ .0 1:..0 -.35 -.35 1:..29 2.69 1 .02 ------------------------------------------ .. 11 .0 1:..0 -1. 80 -1. 80 2.89 -t..31 1 50126569.56 ------------------------------------------ ~ .0 5.7 .00 .DO .00 .DO 1 21:.t.SOt.17.69 ------------------------------------------ .0 5.7 .00 .00 .00 .00 .. 1-3 PLANE SHEAR MOMENT AXIAL TOROUE { ,..~-: ~ { ", .. "
  • 114.
    8 °. ..,:",....:-.~!.......;:~~...;_..:rt:.~.,;..;.¡;.::~", ..:...."..'¡=:....,~, o:. ."..'~. .'." .'. - '.;~ .fE~.;i,,;ljNIVÉRSI!»),O-'NACIÓNAL DEEDUCACION A DISTANCIA "-ESCÚ€lA;:TEé"N"{CA '.. SU'PERIOR' "ÓÉ INGENIEROS IHDUSTRIAlÉS ----- ".m._._" "" t1.~ " 81>1 , ~oIJ... I ~L~- 12M. . 1 !/IJ.I.. ,t ~~. f .- 113 "" -~.d3.EJ.{~ ~ - &f., ~.- ~ ~;'IJ;U i .)oa2cJa-e. c,é(¿ ¡u¿.do A d.02.. ~ PJva~ -rr~~ ~ t../~A.1 dt" j{"b~ A 8e /Pule. ~ ~Ú¿JI¡Ee~.«.tf;~ - Tk~ ~ ~o~.. 1)[}~: .lE. ~ "2 lof;; T/~1.. ...:r ~ I.b 1fle:» ~ .") e;.¿-=- IO-~ "'C..- C- 1 i ! ,; II - , --_o --, n .--
  • 115.
    .ta'~SN~~:l~s'~tEi~!~~~~~~~~Rri~::~~:~f~~D~~~~:~{~%~~~' ~ -' ~" ::/.;t . j'~i r¿. ~./> . ;:S"t!2.ú~~r,. ~!? 1IC!"os...~~ ~ G-fU,e,../1: . .;r.&.)T~'i:.A~:...n.~ ~ 4o;d',. t:'- . ~-Qo(¡ fC.2/6 r -o,tcL -DoZ o.tlf . o .:El!. o.{q'!.. -Ql,n ~ t.I5'~ - o~!U y t>.~ .~ --= )02~3 o..S6~ # ~.st., iI Mft () -o.~ f ,:r-,lO ~ o.. AL 1:¡ .1 . ~ t>!IO"" ,- l. 1 -D.001 ".Zti -D. SIr -/.0" {.tSZ ~al ~ -o.ZI{ t v ~.( o -o.~.z =:> ¡~"'O~ ~ J . '.-- -.. - -DL::L ti ~T;: 5" 't IQ:" 40= 2.dÓ'3'((.. ,. -2~.IO .. "" !.~ ./0 ..... o:c . .. o z 1~1 '' ~~ -:o.31!"~ ; ¡ r --:r : . zt=: ::o:::=;¡ t>,r"t,i o.ooS'-f20-=.-=- ~ 11Z0-:' o.14C¡r 1 ¡ - -- . . ~-.
  • 116.
    fj -:,'''':.:. '~'."":'J:;."!"~; ~..--;';;.:......';..~:::::.i,::;'~.;.¡'J...-':.~.~. -- ~:~."':~j~;¡~~'",,:,;)~' o". '! " ,,- UNIVERSIDAD' NÁCloNAL DE EDUCACION 'A. DISTANCIA. " {¡.s .'."' '". ':' ".." ".'," o. .~".. .. .': '. o," :".' ...:~ " ESCUElA TECHICA SUPERIOR DE IH6EtilEROS IIWUSTRIAlES ,b~ . ~-,~~--I . . .. ;¡a,~~~ ~ ~ F q/ ~~/ 'Jk~kh..t0 / ~t¿~ c::4 ¡4-tJ-Lo.. ~{H':-&5"''' .' .. ~~Wc:..~O~L~ ~ ~idfoll(T A'" ': '¡;a:1 ~ ~: ;<.t"" '/ ,5'1- ~ . (; -' ¿=r-~ >0.0 =' ~ t . f¡ ?ZftL i-A tJ ~ : 20 + "?)Qe. o o. 14~ l' b (-2.((1) ~~ ~:::7 1.1' '~ :!-1.1 .(~ ~ . I{~ -' -.13 I'l o -rl - -ll¡ ,-¡'''' ..!!- (t"P -r,I -o "ro 3 -t> ~~ :¡6~ -n"l -o ,.. -o -,.. -D .IE?6~ , , ~ l. o' ".. í '2'-1 r ,g+ 12.~ ~ ~~= -2~~ t ..o'") 0..::: o. 61S.::¡~ ! ó:t IÑ Of/- -I..3 ~ = -z x IÓ:!;.- O.6/S-1- "1C.(o:= I.tg~~" 10 I.L<. o.~ _.. .---......-.---- " .- . - - -_o .
  • 117.
  • 118.
    PROBLEMA .-Calculu' lasleyes de ll>omentQs flectorelil . 111 e¡;xuerzos------ co:i:titn-fes-:r- a:dles eñ--fáestiuctura -representada-en- 1a- figura -queCn=--== encuentra sometida a las cargas que se indican. T 2% ~:r . . I .:r 0- 2.I :tI t Q.- { q t ~- '.
  • 119.
    I 11 ¡: oro. ¡;r .~p tPI1 , -oo r I1P 1 tI¡ , (.) Plz ¡tI¡ p ! + I I ! Pn 1 tI: 1~ lVI¡. lPIz r. "~ -- ¡t~ a,tr.tJ, T¡::CNICl> suPERIOR r:t ,N(;EI.JIIóRoS t.~ Cl>HINOS. ("..AI,Jt.Lf~ ~ ?1.JEk.TOS - e e ~ --_c_--" --- - . ------------- '9Dk"'t:t.;jN~ i't!t.C:TI~ n! 20 Cl>tLULO bE ESi~UC"T)RAS ("'SO ':1':1-.8 . ~e a rniS~ for~ qi:: en la prcíd,cc; Ci"kÚor. halsr..,,""ClhOS 101~I-r..ctvl U un c..1I~dro. '.1 ~plicatnO!: ~u...ehia 'i a h,,~l-ria ~mie"d.o que t>",.skncrm~"~e eo'" pahbi¡1.)r ~~~r~c.Lones ~ lPE El ukul.. d. red",o~ rs in",~dJ.:Jio o :1 /;anrf-rn-':'ITIM 1:a ~1-.-ur.Iv,a en un cuadro .:;~I-."'~"do las CGQCCCOIr ¡.a.. Su oCL'Ó" .!::>hr: le. e.s¡¡'l.lc!-Jra ,. , ; 1 ~~ ; ~. .' l'ir. El ~1"dD (~) cOn"?1fSc:n. de 1'/%. 11 El tslc-tlo U es ~,md,..~ ck ~""'" )1 sunel-riu> dt ca,o;a T~p:'(JI>"' ~p ~QI' hrr-d<-ILI> eSeQT~ l.sfo-'C.f-oel CJe hori'ZQ;'~o.l."fo.r. lO,",resolIJc,';n ~upo."c":IS f.Jo~ I"s ¡:.u,,~.".so 1 ror b.r.~ poskr",r",e l~ "AbrA 9ue cDl'I~hbilaur deforrr.i)uo;:¿ d::,d.~'9u~ "bQjo ~I-o. ': b2s1~ ¿I pu,.lo B rrue~oe ':/ 4Znte.aic:bd ''° .e~ ¿sto . * ¡ e¿J ' proci"'c¡ IJIA I<"c.<..ó" ~" ¿B de 'P/z. )1 h e!> do. P. EI EF i>~U t. 1, e t'¡' IP Esl-rudvrOl oue es h'p"re::'t..¡.,~ g'''c!o'' 'Y que. V~ TlOS Q r..~=! re' CQ1l-igliOlIO. 'p . VI¡ 1 .-..-
  • 120.
    o' Jí'I!: ~ or. ~- ..¡.. . .. ..~:¡ <1 1: ,~ .0.11' I 'o ~ ~"'''-?~U_!x ~-- ~"",.. 'i z . . ef b~ ,. O" I .)<:. ~ óH "'cd. oH c:ls .. J AIzH:i~~ i- J A(H~-.fX)~ ~ e:I " El ,,¡ 2. Z E. 2I .!! [':';itá'j -+-~ J CI{I-t.:t-'Px)dx =0 ¡? .. 8~t'... ti [::J + ~ [H~X-~]: .. O H ~: + ; (H~1- ~;~) ,. O 4 H,t!- p~~o .24 " 3H=- r~ .!... ./. ~ 1r~I:t 1& . . t ¿ .'r .. 'Q.~I.c,:' ~ c.:.Cea..:::,¡r Ó fC"l' ec..C:CL"n~ &~~h~ 11l~ =-r", l.E21..;- ! el. .H~, ~+1"4= ~ l. , e/z;, ,= 2:.r: illt - !ill r ft. - Ct : Q.1. i - ill °t~' I a o !-, .aH:- ~":'t" 0.' 411 = ~EIi ~. "'M ': ;a, E:r Ó Q.2 Se. E'r<f a~ -,..-,. I «"" .' f'= ~ 36EI , .6unque eft esle C'a::o "'0 e$ I'I:"cl'S.:1r(o d (&1='0 ~l't:I;l::W~ d codo 9ue /'le~ .se i'.at & corrLmL~nto de nLl'lgul ?u...~o, heno$ 1"I:1a(,~" d u/c.ulo U>n'I" I!ft 1:. pr..c/.' ':'nlcr<=1' , .! ~rhr ~ lo ~cl.l~CI podemos dLbllj¿)r la ley de ~ .. ~nle"do en Utt'r la ~~ "i~ )f lb ¿nHI'"donQ. vo1"(e,,do ~bre /o.!: f...r~ ruh-:bó"r. .! I¡ visto r:;":Ic.d ~~ 'Y c.: oc..'-IOd" & scnl-d" .k d podl~""'o. dibJjck 1;;.dri:,r",~dQ (c. rsh 1d... cJ.OId.ro °-., .
  • 121.
    o' ... . ,I¡" '~_. - . ... . jj . i 11 U IJ ' . 3,.. -¡¡ 1.::1 ~E Xf ~ /u ! I f~ ~ . , ! I i I ;¡ 1- I 1 1 .. . . -¡- I I I I I ! .1 ~. . í '/ 1: 1I , y; .a x -- ~ i x , I - -- --1;-. J> % ,, '!'.¡r4~nCon"'..r 101d:("rm,;,do rul. c..6.: 0.l: 9"'''' B':I b .so... hjcs :t ".dQn"bdo.s e... la tTisma hor':tont.1 par.. /0 qu: p 1:.,,,,,, "3Lr o.s 101ó;;r ",.::!a cngulo !d~.rrninac1o por "~al 'R"¿.. .t O b.~" reb.,,,'IOs e.cto de~do Q Q c..s¡"'..dvrd Cot>:;. 01 -"LlidCl Q J>Qr ti.. ~ B >' b. (l'Me¡ dL }>Ll...JCIS). .,.{ . .
  • 122.
    Nota: La resoluciónse ir' realizando mediaGtII la .ucesiva superposición d. estados .imltrico y antisimltrico. " "' .' . r I Jr 6 .... .z b,F $T," .,' E -+.-- ~.¡¡ e l) I /( } .&t :.t! ~,d -t -z¿ 1) lO) i ' (~)~" f/g> Vr ~, 'ti', JJ Ff.¡' , ' a UNIVERSIDAD NACIONAL DE EDUCACION A DISTANCIA ,/ :-r'~1 21 "., ESCUELA' TECNICA SUPERIOR DE INGENIEROS INDUSTRIALES, '~j~ =?, , PROBLEMA -L Calcular la fuerza r a que est' sometida la estructura de la fi- gura para que el gira en el nudo G .ea d. e radianea. Datas: Inercia de las barra. horizontalea .1 Inercia de la. barras Af yEJ .1 Inercia del rasto de la. barra. verticalesa2I rY, I TI,. I 11 r(./) .4 ~ '?á1~$ ! . I, ' ' )" j, ¡ 'F/Í ,---b + FA -1 'I'/Í. (0')-::--1 ( ,E(1) Irace';",,- /« d", ¡/'ibr '/í. (~) "~ , .1 '~3) l F(t¡) T""CC1"~ ú< fr I W ele ¡.t7..hrfi f/z. ~t~/~ F/2 ---" I~~ ;tt 1'fl f(¡: ~ tÍ' tá..-: d-- f/, ~! 1'/'). l
  • 123.
    .~ I I.. UNIVERSIDAD NACIONAL DEEDUCACION A DISTANCIA . 1 .f,-'- i ~ i. ESCUELA' TECtUtA SUPERlOR DE INGENIEROS INDUSTRIALES, ? dI! 3 ~~ e¡'j::i0}.:" &w,dif~ ~. /.44 tb I/~ ti aoJl<><Ve/F 7 &T/ ~ ~., '!:'~"~ . (~~;~~. .~;':'-"T .', .~...;c.:;:~ "",'w'=~!1:IIf:-~-'n-G-'" il:~;'~ o-~~ ,:_é{~ ) :L",~tr-H~¡~_~j+:2z:.~--,~,-~,_,'_L_"'.'" ' .,' .," ' ;.~n..~ :!~_.:~ .> tj.2-~ "'" ;.~L..'.:'.' ,,-~:~:.~i~_..~_.~.~_. .' . ." ..: '--,. ._;__j.~L.:.; ".--Í~~;'._' .'", .:. . . '."'.~ -;j~[~3-j:i0F{C ..L1{.". ... "'}Lrf+ .1 dUY, ' 11 ',*t;, . ,--_u-O" ....-. 1...> ~T ..;:-' 'J~.~~~_-:-_:'~'~~-- ~:-:~~ (~ , (¿» , E{t)- r~ ~~/f~ el-~ .&<. A 6arr~ rG 1611 1"á '1',I¡ '7' , 'P n1 G ---"O ' x::J: ¡ " -S.'. , ' liD) l' . Fh Q 17'(; .~n-,' [11)' é/rJ -" ff~"" p-<,,- /4h.-<'~:"" el, 1)¿ ÚL rG- r~t t (,{ . ~I~) . =') 'fiF F F( 0,'1% 4 r; ~%, " f%' - Fj{ r:~' ~ - . ..';.1 .r<>f rL; ~ iJ p7 i _'n' -" ,'~' '.,. -.-'" "-~" . . -- " flf"Ft" - /{ ~ 3E.:t tA TW /'1FT"= fi( ~ 3.éJ: f,¡ 4 87r- S' , }J . ,hl-~ 3EI ¿, ~' 2. 'Fe :. gEé:: Ó g {" r--- - A2- ó~ ~, /2FJ 7 t u r/" l- f'e- ~ ~-I - - -=;> I1 r. -r- ~ ' h i7¡:~ J.I .f - - -< ( t - ,", , ,- "2'1[:::
  • 124.
    'eI) UNIVERSIDAD NACIONAL DEEDUCACIONA DiSTANCIA --S ( 23 ESCUELA TECNICA SUPERIOR DE IN6ENIEROS !NDUSTRIALES, ' . r ' ~4 c/e~' ~ . rS::2f , #t,- , ' 'tt;.. b . ',1) , F-lc¿ % ::c ',~ ':;- [{ ':: 1.4E.L' F~ '2[IEI & ' el- e I I ('
  • 125.
  • 126.
    E-2xlOC T/rtt'1 iooT ~E F. .2I ~ZI r ~", .B e ,-'l. " ! 6/11 f";"¡ f JJ1Z. .f I fa I JD So .1'o , I lÓ) - 1'1 U) (,-y [Si le.1)0 él): J) -- PROBLEMA /' 121 !H.bujar la. leyasde momentclj flectore8 para todas 181 bar::a8.L n - ----...------- ----------..----.--- de la estructura repnunhda en la figura. si tol l1íllsile -con-sidÚIÍ¡"- irÚij(;.n ~.nBibl.s exclpto la BE. -1 lt natol:La. ina::cia. ae indican an la figura,.ienda 1-10 =. El area da la sacci6n transveraal de la barra BE es A -0.04 m~ Nota: El momento de empotramiento perfecto para la barra de la figura ea ~ I'IL~lE Y ,J= ~(.t-~)-~).a .l ~ J D J Q~ f La flacha en E de la estructura da la figura a. ~ t! é?[l ':;;. ~~tE ~M ¡f-:: ;":X(3f~!¡~)- f;EJ - éEI if<t~~~ ftl F' 0ca.,~'c.:-~ Ii '" F t13é E /Jt~F f) '.1 ~'- " ;P.!?T C. l/A--<
  • 127.
    11> i.~:~~~sl;~~J;A~~~~70:~:~~:~~;;~~~~¡~:_~- ltou_Jo <>ibu~k.~ /,,#~ ¿)n ~' 4" =" .roff (d - f-) ,:-, FZ~- I~D f' -:,'F{;-¡¡Z,S .:. ¡,ff, ' ?-t",2 , <é-:: ':- :&;:;,<v ' , " " , ,, , , , , -. A[)~:: l~-r ,,2 da) y;, '" Aj.' EI ~ ' ~ , 1> ' "DF, 'J , ,11!JA'-= T ~o :: ,~~ ~o ' " '1'.u<¡'k~ <lei ~ .B.' t? ; 17.J-'¡; + 'LE :r..,o =<=> =::> 110F ,.3 lJ) ;3 Iv ' JJ :.-ÚD F rp-- t:I ~ 7 1> : "1'1/)1"= P;F - MoF &:: '2 4F' ]'E,J;. s.3 , I1/)A =j 8. ~'F -=- - 'Z MrJF- ! -3 D' SI, ,Jc 11 ~ E A ¡ . ':'-3 -l ~= fo~3 ' (3 Til.-I.¡.3'i.)- FI'I t1Dfr2-- 2HX' 4& E:l - , ?tI - 24i-f' - 3~ r - ti !Jw= 'V EJ EJ ( - '2~1-~ sCr 17.~ _'2Hf" - -g,F - '11:-CIf'2,~-'H)=- - a - w - -E.J. - --0:-', U E'I - 11Q.~ ,le F - F ~ f;'r, lO' 'b' - ;-! r - 71: - E fq,~ -= ,:g' ¡.. " ' l/Ir" - /!~ r " F fr. )JF~5f. bi ~ Pov- /C«A!u ÁJr = l(~( f "'1 '-.' !41)F ~ /1.31 w.í / ~,..f ,1, : ' ', ,"" 1 ",. /..~~.," .1 ,
  • 128.
    - . UNIVERSIDAD NACIONALDE EDUCACION A DISTANCIA. ¡l"1. ' ESCUELA TECNICA SUPERIOR DE INGENIEROS INDUSTRIALES <3J e.. 3.' . Esn 1» ('2-)': "/;'o'tia¿jf,~ ~. ur~ ku;;f"'¡ ~ *~i;" ~ a-~/~. 10 -P e 1:( e '" M.)E =- - Só,c :: -3lJfI< I l' ~ - !¡SI' t/1 - 2GJ' ¡4. 1 (34- ¿ lfd -3 u /IN ~ ,,;'" + 2 ~"")'Io < -31.0-- ~;r ~ ~f4;¿,k¡,o cI~ v : -JLJ - 4EJ: ~::() <3 , j) - 1/2,) / Ú)--Tw ! ' I l1~t¡ ~ - 2íiI 1/2,) -::: - If, '1T /J.lT ! -3 ~e.:r ft ,-C- ( , 1,~:} II,){ 'j;.3:¡ ~7A¿ p "'- d~ A. J". h- d", p1~.cb-:;,
  • 129.
  • 130.
    PROBLEMA' -<.-Calcul;H' 10lá todaslas si todas --------..---- constante con leyes de momentos n ~- u_----- flectores en --- --- ._~---_.---_.._-- representada en labarras de la estructura ellas son del mismo matErial y de su sección el mismo momento inercia, r= f y" indica en la figura. . ~' .% f trm .J: .J: r :I' r '7' t~T~-t-~J I I i tal Y .. ~111 figura, recta es como _. ._~. Il4 se i
  • 131.
    , /' ,'- ) i ) , .~¡' . I Z /.:.:. -'>' ;,..:~;;- '" J) " e ,."., !""Y1e~ s --' ,-' ~ !- JILU A -, o",,._' ,--.-..--- ~ !;,- ,L~ """ .h"k,.(' ,,'Ir,.:-.;1 -"'- A' l-T, A ._"- 4 I ~ 'J'--L' a;" ~ A ~) r} l. rífPW A( "~¿ r'f"'o.. I-<-r ;; 5->'r"-.. l-A .Lt ;.;""'/;<o c<.: '" .1) B' B e vi e' ~5' , j",. 8 D a' @ , e e ])' + l?S' 7/t..J- 8 I ]) , ' 8' t j ~ ~ f t oS' T ~ /' l ' ~, e @ , -e.1)' .L/ ?61" k-. i. , ~.J rfw- 1;,', TT: cn-=:o: ¡ T..-:J; A- ti .j) ,,. ,.c- A' t !LL~"1' .(oA f;{ L '1 r'~' c.<L-oS "--~<:-- . -- , . ' 1' ,/ . .-, . - , . .""~, -,-,"'",' )v C C o.-t /.:;. < .L ~L.;;> / -('¿~~ - .., <..~.'.J - / .J;:..;., ,--fr,'C(J--~-~-~~-- , .J.f;"/.~'I .J,'<-A~/.;ta .c.../'j ...¡ I ,-':'{,;o./fa ~ "a.fJ. Mfa2c, ]) - ~. /i- "
  • 132.
    ..¡- ~607 .....7 -tJ '1 $'1 ~T , o '101 u..< T , ---~- M :z ",--- '?:.!.-!- - (:z.f~'¡ O) + , :iD '-1 " ~J-.>( (v)'!.. == /2 E:Ifo'" ,) ~;,:'; r ~ / . - I ,'1 eA 0'1 '-1 8 q.f". {I/J1- ~ g o,7J- é-Z- fa j ~ /1 iJIC. ' == ' '1".E (-¡ <fa -tO) -r o 1/ :: E I 'fa r ¿ /l{a ~. o -:: 2, f.r- tI 't, - t;3 33 nfa:: ~/2/ ?U-<¡,.""~.,¿,.¿, 1I: I;,.lco~. ~¡J«;¿a . 1". c.""'-/ k"; (.. ... ' dj , ~8 l.r,;¿..,J.-t d.P (", ..L, /;i¡~ ck : " ) .r- o? 8'8', "-IT '¡I(I :: f'0 ".,T ¡vI;A :: - ~ <') 0"1 . r ¡'-f o i]c. O, I Z/ tu T r .flce ~ I ~= '2. 0.06/ ! I ' 1 ' t1p8 ; l. /4I;S' :: 1~ () t- tfa) ".. '-/ .. a ,j I f'1 i!' J> = r /"'f I I = 84 ""T r - - 0/2/ M a'c' - J <-( T. r - 0061 fAc'S'- - I b) ?;frk.., ~'~L ~--~.t,';h "- . 2 ,~. ,.~. Lo--<'t, Ar'(~¡ J~ ""T "- ./7. v, j ~ y c :: ¡Z (; &-< "" ~ i.u-! - L?"'? I ~ T ¡) ¡J.¿--r ~~.D J :: fe, -. 1- f 1 / <'-1 .:/.~-</ / - , -,J:"-, l<.~!: ~~/31 o v.O crh ¡ C'-U' f;- 1'"-( .,J M vi
  • 133.
    iI 23f(2~~'fa)- ~.r~1/2. fI.bB ::: E.Z <1;,...q.r 'E l fs - -= - OtG::¡ /2 ' . MU = 7. E/ (2. fj) 1- fa) tJ,.FxI/Z Ex ~<f -oujl va' -=- t- ¿¡~- Er. ri ' IZ - "1Jl -", =0: ~-E f " d o,L!: ~ c:: ~ 15[1 fa - { 3: ----.---. u Hac :: ~ ~ Z (7- ~ +0) + ~ 2,?S" E r fa .' +- ~.J n ~ -o, 333 +óJ,3tr;; ~SJ GEIJ ,,' "'" EI'ts ;- q 3?F e T J ~e. " . ir ¿Mi .00 -= -, M~, :: 2,!-::- (z r.fp+-(/) +- b ET 3 v y>- ) ¿ ¡V¡/ = D ::. :: >;I~ -t-~3i.rE1:S e1. E T <f, + 3 ET f,,+ o, 37'; ET S~. 1. ".'J .~.d ¡,;,J,'CQ cu-<t ~.),.Cc 1 J.. "'f¿u;"'~J /04 ". 1',,1 ,1 ' 0."'¡ ..¿j'.'..n"'-''''7 '" 1"-1 ~CJ tUl W>'&.<~ ..) ¡.,"''''~ 8 .<-..eS ..t..l,-",~4.;a ,-d ~(." "".u .</i>' (q !'T¡"",~A. '¿t-<A"c..:...:.. ¡./aL¡ '::~"" ;vi +~u.-r ~J .l <i, :1..;~ ~ <-,>,fo...<-<t:,.J? L,. -¿~ l' k" .. / - , 7 w M> lo'.. .,.-4 o{ ¡.¿...u"'-'-"S 0<-u..' T .. = ".-_0;. PF' (~':"" ~ ,,"J ~c +- Tb!>' -r TB,c' ~ o () .5:.(", : ./ 1 - J jJ TI f1ac t Mcs + 4 jf JJ M.., +- /-f P'!) T ;r íI f'! a'c' -f- f1 /C'8' '" o ..¡</ --~.~_._-- Ir ¡o1e,'c' :: TI /1sc '.' <.{i1 MI[ I ('8':: e 6 f J:", . . I ~' , ~7'~" t:I.- iJ .. f1cs - 2EX ( ~) + óET8 ;¡- 1O + B ---¡¡- -' o,.f'¡;:rfa": ~3~J nd"- ... /-1::> -= ~~,I (o + ~) + ~~{{ . -:. o,S- ¡;:L fe. ~:; d.J"cr J ' ..., /6 ' 1Lj.,>1M-u&: r --- ~ :3 E J; '18 + _(_J~_T- fv ;. 7,1J e' I .:'- c:: o ~ ... + --. ':::.~'~_. :..:.:...:;:---, '- -:.u..u- --_o /' .-- ( ~ 7< A . -;-- . - .") - e e ::; /) /
  • 134.
    1'18'-4' ~-o.C;1'7 ú<í. , ¡.{ a'e' '" -f) /1 ""T. , f1e'8' '" -1) n'g /.I..<T I . .1 } i) ,"':.. ..-' J .- "{ : "'" .-> ,_.,) E. I 10 78 ¡;j.-t ET$ u= ¡;;O'fG2 ;:: (, <1(,7<), == - 01./ 3<¡¡r', .l'~; j,' !¡ -<-<do, iI /-'1 d.;> == ~7 q G"l ;T .<liJ I .d.4 - - i..' ,,2 f'" - " I ,/..L<T ,<.¡%c== ,-,;; 06 8''1- IM.T TI If ea :: - t; ¡16.? <+(l f1 iI ::' - O /.llt" .Da ' '~'T. ir¡'..{ Da' :: - o, /.J/.J l.<.<T. "IJ - 111J:: J"'a'j) - 8L>' D, ¿¡qbe¡ ,j ¡t.J1(3'A' el '" f1 BÁ -= -°, q L 1-'i "" T jf - if '7 f-r;,'c' - fl'Bc = _qo(;lT U" f1 .' :: , 6 ir Mee. ::: - O /1 6 iJ. iI f-1 D'P :: i! f1h' o ". ~1?, c..uT :: 0302,J . LLlT .~ J~~ ,~ c:lo "tAo.[ ~¡.~ ...tn ¡,..,w""""""'J.r.. /A, 51> == ~"1'lr t« T .Mj>,4 ::--1.'$31 w.T M8C' ::: D. o,rz' Ul r !1<6':: _o;., ~b: (,u.'¡ ;11>2> == - C;tI'" w, r. . ¡¡ I -I '~3 - j vJ'b, w.T ,...1 ,.'3 j) {) :;tJLf ., c.u.T. " ~/""'.'( - ,.. .. .'..J ~ ¿",d",: ",T. v.<T. . w.T I , / l' ../ .; ,. : ~~t-. (A"'" L, ~ L~,..q , ;<1pi,b'" O,O(,?? ""T , .vi ,- P'302'J ~T. . ("lb!)' _. t . /33 " v ,.1 '--".-'.-- - J i I ct I ~ jt,~~ S' "
  • 135.
  • 136.
    PROBLEMA _.-Calcular la5leyes, de momentos ~l~ctores en -- _..,,- -. ------------ todas-lalo barrás--de fa -estruc{urT:;:eprésentaciá~en-f¡¡i figura;---' - está sometida a unsi la barra ES' 30 IIIC. DATOS: Todas la5 barras tienen el valor E-I- 10000. Tn/'. eKc:epto tiene rigidez infinita. 0<.=2 . 10" IIIC.I. (J A 8 E aumento de temperatura de la misma inerc:ia, siendo las barras Aa -y A'S' que ..p r-~_i'" +-~..t-_. J I i..;.<, l3( ,
  • 137.
    ., - ::"'~7, 1~1i')PC';:IJD Lo!: lA E.s7RUclil!'6 .. l- ~' i - ~, -- --~ ~L - - I!'-r_,-..;.-'... ",. - Q es"uct;;rd ~s :;UT'..?n;.cc C2'C ~,"n~ y ~ ",,_-,;¡.~ lO-~ .,.". .- '-<..JHY ..-. .$r,:J,...7.:>¡:~:., .L,"'!.;, 1,)IIQ::bc/o/)~J c-'11t:/ :-:~;ndo !'.:;rt=o:J)!cl/. C{J'¡ ,o/ o:¡):~z YJ c..-:';"~J:';.~ .JJ -- 11l/¡.::dJ.cl.;I,J/,dad cUdndQ /11/r!r:/lcne ,¿; !eff.[ rcll:lTc~.~:s cJrir los I'>ud;.':; .-- :; .5 'J c '.- 1 ~. J' . l' '...1. ..''- ~;.:..í:' .1c.;::2n ;~;r:~Ol#.'¿;IIi;-:/~rc: ~rO LJ,~é:J rnc:yr:lílJJ ".=>,,",.o,:J-::J. d4=d8= - ~81l' el AT."::; $,< .2~ IO.r)' k = 11..15" (Le. 2 - $,,., ~",b"'1(3° el <¡ho J,;;/ nLl.do B hCi~ C¡Y<! .:111'.Jd~ A :c! _1-",,'._.CJ'o.-r l :. ver!-J o frn-t:»k . lo '1u~ c.bf'ga dI /)!ld~ e CI C"~~ p ,~.,-., '. I') I ..,'-"..~ ,.I t. / ~':' J: VJ. -'-" - _1''''. -0 , , ... ~ Ic':l L"<:lrra AB f,ene rt';¡,dez l"f;/,¡,/Q. .da n;J ~ d¿jór",.:J ,;:.- /or~ c¡ue ~=-'~ ::~)tslo /!eva CO~/'7J ~ue ~4=-d~ 6, !fe 'i I~L . . (0:)-.0 9ue 9/rd pero de :: tpJ3 9. c. b r-:::.:::;:.;o- 1(=°- I :J 1::.s ecu~l..nt~ ";''''.uKlks- h~r~ .eIJJ .- I !' tll';.rlas , i rquiltbrao ;',,:'~:'$ C::J.D ,- r- 11,- ~ I .,'"L...~. =¡"l';.O C. .~ L . o .}b o -- ..:- ~JI I -fa,) (.:~ ;ü['~I:t.".s ,- " E 11. I ,,, I(~ ~~~Ic>r".-:: (en 5 InCc9nd:.;:~ - ' - ~~:-;) ~cu~:..:. . .-,- . " "'":- : o.c-- h~.... fl '-"'1,.1.(.r.o d~ fo~ n"ó.:>i! <1./ E. .' 10 k-:; rd :.:,. ,::.,.J r r.'troJ I J...(-r . . 1-1 "¡ K' ,:---Lar .." la l.", tr.) d:, rt9'd l. ".r.T"la. ~. l. I¡, .. '-0.__'. -"-_.,,,-'~'--'--'-- -- --- ------------..
  • 138.
    ..::oo:.~. :oo.. . """.0 , -"~~'~:'~':~~~ll~~¡~ ~n~- .,' ,--=---... .'7~. -I,~TM~ 21<[ /" . .¡. GEI.d .:' ~ Z[ iD 1- O,!:"'<:) G, T "',5 10-1, ]~r' - r;,/" ~ '/¿ '3 t¡- ~'C ~ --, 'C-.-¡iCt;:: ~'.~! 'Pc. + & V'D -:Cf::I~l¡G) ,. aL 'c tO.!:t;,o ~ - I.S 9]'<t> 1, D' (C4 131-. -', Z(..{c -: ° =::2'fe - e +O.S'r",cd- 4.510-4;: o e,) '. 2.2.- EOJltlEt2/0 NUI>o.D ..-.) Htc ":: -1cr 'f. '.¡. 2 ~:r ~ - 6Er ("g) :: tcb J) leo ~ e¿ hl>D' .:: 2.¡=.r 'fo- == o. s E:r Ifl) - eDl>' H,M = l¡eI fJ) T 2.EI $... bEI ('2"':6T) ~!J8 .e~8 tcls EJ.1:D° -= 2.50 !f.o + 0.50 'fe -9 ...4.5 ~o-I¡=o (ll EI[If[)to.~o'Pc - 1.5 9J = €l ['f,D+ 0.5 9 + 4.5 10-'J 2.3 - ~c.I<IO ~ CCI.:TLI-J'TES c: ¡ I1~O~HPc. [1 H,.. He. " i Ij ~ hCb::: n [if'c +0-5 1f.D-~. 5 9] ~ 1"''' '<><-- [ 1D~",-lib E 1 (.),~'i5 'fe: .,.0.315 rJ) -O, ,-; J -.~ I'1cc: EI (C/'t)~O.S ~ - ¡.S 9] 4 ~- >jt . MLE:-H¿c. = -E![ o. 5 ~ + e .¡.4.5 '1ó4 ] ~M.B¿:- hrn} - ~Qt)-:-kl>E ':: -Er [.:>.5'f'b+'2.1619 + 2.5 '::)~J (C(j ?(1)~'~hc' - ~Er ' "-B : 0.5 E.I G ~ Tr;;- & ,- .. - ~ba' MSJ)= l:l-[O.S'f.t>ofS;-t..'ii.'O'''] "5;:-: L;Er f, - I>U(~4i) '" U (o.!:q ~ - L ~:.-"J T~'E 9 elt: 1 (' ¡ e , r'!~6l.¡tMeA = - :;I [0.11:: .¡:. i O,(~.:;,'!ID+o.i~2;.. l. :. ::f' 1
  • 139.
    - ::- -..... -- '~~JJ'; ~"~~~3~ -:~ ' /;~J;:}}/;'¿/Ji~ .:¡ 11¿~=-0 . :' . . ~"~.- - . . FI Cp;+ o. S"'fj)-{-?~ + P; i-o.~f, - I.5'S - o..5~ - &-4.5 :..,-:.- c.~ ~ -o:i't'l) .' -l{._~ 1o-~'- 0,'~7 S:~ -2. 1o-:-~J::o .,'. ,.', " :'. .:, '.- -';,;;' ':-. . ~ :. 'PC ~ lfi> :.. 6.1€:1 g - '-q: '10-'4 =- C;;: (3)' :", :"" '. - .' . " I?e!.c.lv'lné-o el $1.~J:r~ ob~::n::í.OS: e:: -(,900 10-" In -4 T.D::- 2.021 10 ) 'Pc:, -2.694 10-4 .! {-:~!, '1)-; 9'1: 1.1'¡:ID-~ 1.G v IOI.l Por +an ~ los n,oro..¿"h>.s:: HCA:: 10.000 , 10-4 (-'2,694 - 0:950 +4.500J = O.-gSG. """T Hc..!)= 1~ 000 -10-lc(-2.6'1:" -1.011 + ~. g50 1 :: - c>.SS5 r :T NDc ":. (-'2.o21-f.~4t+ 2.850J:: -0.518 ,.,>:T ~ tlD.!)'==- f.011 rrlcT Hn!.:: (-1.021- O.GSo +4. 500J = !1.529 rn.c T 116B:: -[- l. ~L¡1-1.900 ;. l.¡.500] :: ~I. '253 ,.,,,T .. '. ~, !.("- I-i.t,;: -:: 1. 2~3 I'r:>(T o Ne.¡:.' ::-o.Cj50 M>tT I":?ib:: (-~.011-1.C¡oo~4.5001:: I.Sqo rn"T NE.!:: (- l.'Zq - 2, oo~J = - 3. 2E.1- MOL=- (-~.O11-4.111 -+'2.5J :: 2.628 f'rI1<. f l.,." - - '26 "''' ii,..:.w- .-~ ? '- .. u- - u_u -'-------- .__h_--'-.-----.-.----..-...---
  • 140.
    '" -;'';-';'' ~..' o. -,.J.. .:,-.:,.~ ~.~ '-:~~~'.j:':' ;';~;.~~~~:~'~-"., '.: . ':.:~"~:"~~.;.~'..:: : ~-. ..' :':'~;~~':.?;:;'" "~'; .;.~ J~".!,:-!~( .0.: ~" '~4-!:'.., . ~~~ -.:. ., O' -.°. .. .,~ i3'Y' . ~~ ~~.,.;... w~~. "~ - '.' :.:-,.,~.:; :,¡~..::.:~.}.~-;;~~,~:,,:~~::;¡..2~:;~,,;~¿~;;'~~~~~:;~k::..~t~~i."¡;ii~~~~~i~~~~~~~~~~:tJ.~~;g~~~-- )i~;:';.o ...:.; -.;.=:0. : .:.~.- ! " .", .'.: ~::~-(~Ji..":.' - ~ .:~. .~. . '.. .':z;..:;'..:'.t :lo.. " ,',.. _: .:> . O ;"-0 . .", ".0 r I e 111 D ---"'.0. . , 1 I I I ¡ 'I/ O j'i: ,111 ;:.' I -'-' f} 1 c- i .. f. - .. .:. ~~o . '. -. .00 -_o _0._'_._'- --.--------