CIPIO DE AGUAZUL
ACUERDO No. _____
“POR EL CUAL SE ADOPTA LA REVISIÓN GENERAL DEL ESQUEMA DE ORDENAMIENTO TERRITORIAL DEL
MUNICIPIO DE SUBACHOQUE” EOT
1
EL CONCEJO MUNICIPAL DE SUBACHOQUE - CUNDINAMARCA
En uso de sus facultades, especialmente las conferidas por la Constitución Política, la Ley 99 de
1993, la Ley 388 de 1997, la Ley 507 de 1999, la Ley 810 de 2003, el decreto 879 de 1998, la Ley
902 de 2004, el Decreto Reglamentario 4002 de 2004, el Decreto 097 de 2006, el Decreto 3600
de 2007, 4066 de 2008, 1069 de 2009, decreto único reglamentario 1076 de 2015 y demás
normas concordantes
CONSIDERANDO
1. Que mediante el Acuerdo 015 del 20 de septiembre de 2000, el Concejo Municipal adoptó el
Esquema de Ordenamiento Territorial del Municipio, en cumplimiento de lo dispuesto por
la Ley 388 de 1997 y su Decreto Reglamentario No. 879 de 1998.
2. Que el Acuerdo 015/00 fue modificado mediante el Acuerdo 029 de 2000 en cumplimiento
de la concertación respecto de los asuntos ambientales contenida en la Resolución No. 1512
del 14 de septiembre de 2000.
3. Que los acuerdos 015 y 029 de 2000 fueron modificados y compilados mediante el Acuerdo
041 del 17 de diciembre de 2001.
4. Que de acuerdo a la Ley 388 de 1997, ya se cumplieron las tres (3) vigencias administrativas
por lo cual procede llevar a cabo un proceso de revisión general o estructural.
5. Que según el artículo 7 del Decreto 4002 de 2004, “Todo proyecto de revisión y
modificación del Plan de Ordenamiento Territorial o de alguno de sus contenidos se
someterá a los mismos trámites de concertación, consulta y aprobación previstas en los
artículos 24 y 25 de la Ley 388 de 1997”.
6. Que según el Artículo 24 de la Ley 388 de 1997 “El alcalde municipal, a través de la oficina de
planeación, será responsable de coordinar la formulación oportuna del proyecto del plan de
Ordenamiento Territorial, y de someterlo a consideración del Consejo de Gobierno.
7. En todo caso, antes de la presentación del proyecto de plan de ordenamiento territorial a
consideración del Concejo municipal, se surtirán los trámites de concertación interinstitucional
y consulta ciudadana, de acuerdo con el siguiente procedimiento:
1. El proyecto de plan se someterá a consideración de la Corporación Autónoma Regional o
autoridad ambiental correspondiente, para su aprobación en lo concerniente a los asuntos
exclusivamente ambientales, dentro del ámbito de su
competencia de acuerdo con lo dispuesto por la Ley 99 de 1993 y en especial por su artículo
66, para lo cual dispondrá de treinta (30) días; sólo podrá ser objetado por razones técnicas
y fundadas en los estudios previos. Esta decisión será, en todo caso, apelable ante el
Ministerio del Medio Ambiente.
CIPIO DE AGUAZUL
ACUERDO No. _____
“POR EL CUAL SE ADOPTA LA REVISIÓN GENERAL DEL ESQUEMA DE ORDENAMIENTO TERRITORIAL DEL
MUNICIPIO DE SUBACHOQUE” EOT
2
2. Una vez revisado el proyecto por las respectivas autoridades ambientales, en los asuntos de
su competencia, se someterá a consideración del Consejo Territorial de Planeación, instancia
que deberá rendir concepto y formular recomendaciones dentro de los treinta (30) días
hábiles siguientes.
3. Durante el período de revisión del plan por la Corporación Autónoma Regional, o la
autoridad ambiental correspondiente y el Consejo Territorial de Planeación, la
administración municipal solicitará opiniones a los gremios económicos y agremiaciones
profesionales y realizará convocatorias públicas para la discusión del plan, expondrá los
documentos básicos del mismo en sitios accesibles a todos los interesados y recogerá las
recomendaciones y observaciones formuladas por las distintas entidades gremiales,
ecológicas, cívicas y comunitarias del municipio, debiendo proceder a su evaluación, de
acuerdo con la factibilidad, conveniencia y concordancia con los objetivos del plan.
Igualmente pondrán en marcha los mecanismos de participación comunal previstos en el
artículo 22 de esta ley.
Las administraciones municipales establecerán los mecanismos de publicidad y difusión del
proyecto de plan de ordenamiento territorial que garanticen su conocimiento masivo, de
acuerdo con las condiciones y recursos de cada entidad territorial.
Parágrafo. La consulta democrática deberá garantizarse en todas las fases del plan de
ordenamiento, incluyendo el diagnóstico, las bases para su formulación, el seguimiento y la
evaluación”.
8. Que según el Artículo 25 de la Ley 388 de 1997, en cuanto a la aprobación de los planes de
ordenamiento, “El proyecto de plan de ordenamiento territorial, como documento
consolidado después de surtir la etapa de la participación democrática y de la concertación
interinstitucional de que trata el artículo precedente, será presentado por el alcalde a
consideración del concejo municipal, dentro de los treinta (30) días siguientes al recibo del
concepto del Consejo Territorial de Planeación. En el evento de que el concejo estuviere en
receso, el alcalde deberá convocarlo a sesiones extraordinarias. Toda modificación propuesta
por el concejo deberá contar con la aceptación de la administración”.
9. Que según el artículo 8 del Decreto 4002 de 2004, “Transcurridos noventa (90) días desde
la presentación del proyecto de revisión del Plan de Ordenamiento Territorial o de alguno
de sus contenidos al Concejo Municipal o Distrital sin que este la adopte, el Alcalde podrá
adoptarla por decreto”.
10. Que mediante el Decreto 097 de 2006 el Presidente de la República reglamentó la
expedición de licencias urbanísticas en suelo rural y expidió otras disposiciones.
CIDETER
11. Que mediante el Decreto 3600 de 2007, el Presidente de la República reglamentó
disposiciones de la Ley 99 de 1993 y la Ley 388 de 1997 relativas a las determinantes de
ordenamiento del suelo rural y al desarrollo de actuaciones urbanísticas de parcelaciones y
edificaciones en suelo rural.
CIPIO DE AGUAZUL
ACUERDO No. _____
“POR EL CUAL SE ADOPTA LA REVISIÓN GENERAL DEL ESQUEMA DE ORDENAMIENTO TERRITORIAL DEL
MUNICIPIO DE SUBACHOQUE” EOT
3
12. Que mediante el Decreto 4065 de 2008, el Presidente de la República reglamentó
disposiciones de la Ley 388 de 1997 relativas a las actuaciones y procedimientos para la
urbanización e incorporación al desarrollo de predios y zonas comprendidas en suelo
urbano y de expansión urbana y se dictan otras disposiciones aplicables a la estimación
y liquidación de la participación en plusvalía en los procesos de urbanización y edificación
de inmuebles.
13. Que mediante el Decreto 4066 de 2008, el Presidente de la República modificó el Decreto
3600 de 2007, relativas a las determinantes de ordenamiento del suelo rural y al desarrollo
de actuaciones urbanísticas de parcelaciones y edificaciones en suelo rural.
14. Que la Administración Municipal realizó el estudio técnico a través del cual se hizo
seguimiento y evaluación a la ejecución del Esquema de Ordenamiento Territorial adoptado
mediante los Acuerdos Municipales No. 015 y 029 de 2000 y 041 de 2001, aplicando para ello
la Metodología elaborada por el Ministerio de Ambiente Vivienda y Desarrollo Territorial
para el seguimiento y evaluación de planes de ordenamiento y la construcción de
expedientes municipales.
15. Que la Administración Municipal realizó el diagnóstico del estado actual de la situación del
territorio municipal, con miras a la revisión y ajuste del Esquema de Ordenamiento
Territorial, adoptado mediante los Acuerdos Municipales No. 015 y 029 de 2000 y 041 de
2001.
16. Que los estudios técnicos de seguimiento y evaluación de la ejecución del Esquema de
Ordenamiento Territorial y de diagnóstico del estado actual del territorio permitieron
concluir a la Administración Municipal que existen razones, ampliamente sustentadas en el
contenido de estos dos documentos técnicos, que justifican el ajuste del EOT, por la vía de
la revisión estructural o general.
17. Que el Alcalde Municipal presentó ante la Corporación Autónoma Regional de
Cundinamarca – CAR, el proyecto de adopción de los ajustes del EOT, respaldado por los
siguientes documentos:
a. Documento de seguimiento y evaluación con las matrices del expediente municipal
b. Memoria justificativa
c. DTS – Documento de diagnóstico con su respectiva cartografía con sistema de
coordenadas Magna – Sirgas origen Bogotá - Magna
d. DTS – Documento de formulación con su respectiva cartografía con sistema de
coordenadas Magna – Sirgas origen Bogotá - Magna
e. Proyecto de Acuerdo
f. Programa de ejecución
18. Que la CAR aprobó el contenido ambiental del proyecto de acuerdo de ajuste del EOT del
municipio de Subachoque, mediante Acta de Concertación suscrita el día de 2015,
CIPIO DE AGUAZUL
ACUERDO No. _____
“POR EL CUAL SE ADOPTA LA REVISIÓN GENERAL DEL ESQUEMA DE ORDENAMIENTO TERRITORIAL DEL
MUNICIPIO DE SUBACHOQUE” EOT
4
ratificada mediante la Resolución No. , fechada el día del mes de del año 2015,
conforme a lo previsto en los artículos 10 y 24 de la Ley 388 de 1997.
19. Que el Consejo Territorial de Planeación conoció y estudió el contenido del proyecto de
acuerdo de ajuste del EOT y emitió concepto y recomendaciones, conforme a lo previsto en
el artículo 24, numeral 3 de la Ley 388 de 1997, mediante documento fechado el día
del mes de de 2015.
20. Que la consulta democrática fue incluida en todas las etapas del proceso de planificación
del ordenamiento territorial, como consta en los soportes respectivos que hacen parte del
presente proyecto de acuerdo, conforme a lo previsto en el artículo 24, numeral 4 de la Ley
388 de 1997.
En mérito de lo expuesto,
ACUERDA
Artículo 1. Adóptense el Esquema de Ordenamiento Territorial del municipio de
Subachoque, para la vigencia 2014-2027.
Artículo 2. Del presente Acuerdo forman parte los documentos y cartografía que se
relacionan a continuación:
DOCUMENTOS INTEGRANTES DEL ACUERDO DE FORMULACIÓN DEL EOT
No. Nombre
1
Documento de Seguimiento y Evaluación (Matrices
del Expediente Municipal)
2 Memoria Justificativa
3 DTS - Documento de Diagnóstico
4 DTS - Documento de Formulación
5 Documento Resumen
CARTOGRAFÍA DE DIAGNÓSTICO
DR - 01 RED HÍDRICA
DR - 02 GEOLOGIA
DR - 03 USO ACTUAL SUELO RURAL
DR - 04 DIVISIÓN POLÍTICA RUAL
DR - 05 ESTRUCTURA ECOLÓGICA PRINCIPAL
DR - 06 SISTEMA VIAL
DR - 07 CLASES AGROLÓGICAS
DR - 08 GEOMORFOLOGÍA
DR - 09 CONFLICTOS DE USO EN SUELO RURAL
DR - 10 SUELOS
DR - 11 EQUIPAMIENTOS COLECTIVOS RURALES
DR - 12 ÁREAS CON CONDICIÓN DE AMENAZAS
DR - 13 CENTROS POBLADOS RURALES
DR - 14 ÁREAS CON CONDICIÓN DE AMENAZA ZONA URBANA CENTRAL Y CP GALDAMEZ
DU - 01 USOS DEL SUELO URBANO
CIPIO DE AGUAZUL
ACUERDO No. _____
“POR EL CUAL SE ADOPTA LA REVISIÓN GENERAL DEL ESQUEMA DE ORDENAMIENTO TERRITORIAL DEL
MUNICIPIO DE SUBACHOQUE” EOT
5
CARTOGRAFÍA DE DIAGNÓSTICO
DU - 02 EQUIPAMIENTOS COLECTIVOS URBANOS
DU - 03 ESPACIOS PUBLICOS URBANOS
DU - 04 SISTEMA VIAL URBANO
DU - 05 ALTURA DE EDIFICACIONES
DU - 06 ESTRUCTURA ECOLOGICA PRINCIPAL URBANA
DU - 07 RED DE ACUEDUCTO
DU - 08 RED DE ALCANTARILLADO
DU - 09 ELEMENTOS PATRIMONIALES URBANOS
CARTOGRAFÍA DE FORMULACIÓN
CG - 01 MODELO DE OCUPACIÓN DEL TERRITORIO
CG - 02 CLASIFICACIÓN GENERAL DEL TERRITORIO
CG - 03 ESTRUCTURA ECOLÓGICA PRINCIPAL
CG - 04 DIVISIÓN POLÍTICA RURAL
CG - 05 SISTEMA DE ARTICULACIÓN REGIONAL
CG - 06 CATEGORIAS DE PROTECCIÓN Y DESARROLLO RESTRINGIDO EN SUELO RURAL
CG - 07 ZONIFICACIÓN CONDICIÓN DE RIESGO
CR - 01 ÁREAS DE ACTIVIDAD EN SUELO RURAL
CR - 02 SISTEMA VIAL Y PERFILES VIALES RURALES
CR - 03 EQUIPAMIENTOS COLECTIVOS RURALES
CR - 04 CENTROS POBLADOS RURALES
CU - 01 AREA URBANA Y DE EXPANSIÓN URBANA
CU - 02 SISTEMA VIAL URBANO
CU - 03 PERFILES VIALES URBANOS
CU - 04 AREAS DE ACTIVIDAD URBANAS
CU - 05 SISTEMA DE EQUIPAMIENTOS URBANOS
CU - 06 ESPACIO PÚBLICO EN SUELO URBANO
CU - 07 ZONAS DE TRATAMIENTOS URBANISTICO
CU - 08 ESTRUCTURA ECOLOGICA PRINCIPAL URBANA
CU - 09 RIESGOS CENTROS POBLADOS
Artículo 3. APLICACIÓN. Las disposiciones contenidas en el presente Esquema de
Ordenamiento Territorial y los instrumentos que lo desarrollan, se aplica a todo el territorio
del Municipio de Subachoque.
Artículo 4. CONCEPTO DE ORDENAMIENTO. El Esquema de Ordenamiento Territorial del
municipio de Subachoque, es el instrumento legal por medio del cual se establecen las
políticas, objetivos, estrategias y acciones orientados a regular la utilización, ocupación y
transformación del espacio físico en el corto, mediano y largo plazo, en forma tal que se
logre un equilibrio entre la atención de las necesidades sociales y económicas de protección
del medio ambiente y los recursos y tradiciones históricas y culturales del municipio.
Artículo 5. VIGENCIA. De conformidad con lo establecido en la Ley 388 de 1997 y sus
Decretos Reglamentarios, la totalidad de los contenidos del presente Esquema de
Ordenamiento, tendrá una vigencia de 12 años, hasta el 31 de Diciembre de 2027. Sin
embargo si a esa fecha no se ha realizado otro proceso de revisión general o estructural,
CIPIO DE AGUAZUL
ACUERDO No. _____
“POR EL CUAL SE ADOPTA LA REVISIÓN GENERAL DEL ESQUEMA DE ORDENAMIENTO TERRITORIAL DEL
MUNICIPIO DE SUBACHOQUE” EOT
6
este continuará vigente hasta que no se lleve a cabo otro proceso de este tipo establecido
por la Ley 388 de 1997 o norma que lo derogue, modifique o sustituya.
TÍTULO I
COMPONENTE GENERAL
CAPÍTULO I
MARCO ESTRATÉGICO
Artículo 6. PRINCIPIOS GENERALES DEL ORDENAMIENTO TERRITORIAL. El logro de los
objetivos de ordenamiento acordados en el EOT y la ejecución de las acciones previstas en
procura de dichos objetivos, se rige por los siguientes principios:
1. La propiedad es una función social que implica obligaciones. Como tal, le es inherente
una función ecológica.
2. Los bienes de uso público, el patrimonio ecológico de la Nación y los demás bienes que
determine la ley, son inalienables, imprescriptibles e inembargables.
3. El interés privado está supeditado al interés público o social.
4. Las cargas y beneficios que resulten de la ejecución de las acciones del EOT, serán
distribuidas en forma equitativa entre los diferentes intereses sociales y económicos
partícipes.
5. El ordenamiento del territorio constituye una función pública orientada a garantizar a
los habitantes el acceso y disfrute del espacio público, el derecho a la vivienda y a los
servicios públicos domiciliarios, el uso racional del suelo, la defensa contra los riesgos
naturales y la preservación del patrimonio natural y cultural, entre otros aspectos.
6. Se garantizará la intervención de los ciudadanos y las organizaciones comunitarias en
los procesos de desarrollo y reglamentación del EOT, en los procesos de otorgamiento,
modificación, suspensión o revocatoria de las licencias urbanísticas y de uso del suelo
en general, en los términos de ley.
7. La Administración Municipal adoptará procedimientos y mecanismos que aseguren la
eficiencia y eficacia administrativa en el trámite de solicitudes de uso del suelo y en la
adecuada información a la comunidad sobre los correspondientes procesos
administrativos.
8. El EOT constituye la dimensión territorial del Plan de Desarrollo Económico y Social del
Municipio. Las acciones de este deberán estar enmarcadas por la estructura estratégica
del EOT, representada por los objetivos, estrategias y metas sobre uso y ocupación del
suelo, así como por las normas mediante las cuales el EOT sea desarrollado y
reglamentado.
Artículo 7. MARCO ESTRATÉGICO. El municipio de Subachoque está situado en el
Departamento de Cundinamarca en la Sabana Occidente, al occidente de la ciudad de
Bogotá, D.C. La dinámica económica se encuentra determinada en gran medida por la
CIPIO DE AGUAZUL
ACUERDO No. _____
“POR EL CUAL SE ADOPTA LA REVISIÓN GENERAL DEL ESQUEMA DE ORDENAMIENTO TERRITORIAL DEL
MUNICIPIO DE SUBACHOQUE” EOT
7
amplia actividad industrial, comercial y de servicios que se origina en Bogotá la cual
condiciona en un alto grado el desarrollo económico del departamento de Cundinamarca.
La economía del municipio de Subachoque se soporta sobre la actividad agropecuaria, el
turismo de carácter ecológico y la prestación de servicios, especialmente relacionados con el
turismo aunque este sector no se encuentra muy desarrollado. Estos sectores son los que más
aportan a los ingresos del Municipio y los que generan el mayor número de puestos de trabajo.
En el municipio se destaca la cultura campesina que hoy día ya no es común en los municipios
cercanos a Bogotá, y a su vez la ruralidad en su territorio donde se desarrollan diferentes
actividades que son compatibles con el respeto al ambiente natural, y a su vez la jerarquía de
las áreas urbanas (Centro y La Pradera), especialmente en el centro de actividades comerciales
y de servicios que sirven a la población.
Artículo 8. VISIÓN DEL TERRITORIO. “Consolidar al Municipio de Subachoque como un
municipio verde y ecológico, que maneja con criterio de sostenibilidad sus recursos
naturales y el desarrollo de actividades agrícolas, pecuarias y agroindustriales compatibles
generadoras de valor agregado en su jurisdicción donde la ocupación segura del territorio
se consolide teniendo la gestión del riesgo de desastres como un territorio de
oportunidades, competitivo y productivo”
Artículo 9. VOCACIÓN FUNCIONAL DEL TERRITORIO. Las formulaciones de ordenamiento
territorial de Subachoque definidas en el presente documento, buscan concretar en el
territorio dicha vocación funcional, enfatizando la consolidación de las siguientes funciones
para su desarrollo socioeconómico y cultural:
1. Centro local de Producción y servicios, potenciando los sectores de las actividades
agrícolas, ganaderas, agroindustriales, el comercio y servicios; como principales actividades
de su desarrollo económico propendiendo por la generación de empleo y riqueza de la
población municipal del área rural.
2. Centro turístico, artístico, cultural y artesanal, promocionando sus fortalezas de servicios
gastronómicos, de recreación y esparcimiento, agroturismo y ecoturismo de importancia,
intensificando su desarrollo y equipamiento.
3. Territorio con fortalezas para la localización segura de asentamientos de carácter urbano y
centro poblado, en condiciones urbanísticas reguladas dentro de un marco de
sostenibilidad ambiental orientada a la gestión del riesgo de desastres donde se desarrollen
principalmente actividades de residencia, comercio y servicios.
Artículo 10. POLÍTICAS, OBJETIVOS Y ESTRATÉGIAS.
POLÍTICAS OBJETIVOS
ESTRATEGIAS CORTO
PLAZO
ESTRATEGIAS
MEDIANO PLAZO
ESTRATEGIAS
LARGO PLAZO
CIPIO DE AGUAZUL
ACUERDO No. _____
“POR EL CUAL SE ADOPTA LA REVISIÓN GENERAL DEL ESQUEMA DE ORDENAMIENTO TERRITORIAL DEL
MUNICIPIO DE SUBACHOQUE” EOT
8
POLÍTICAS OBJETIVOS
ESTRATEGIAS CORTO
PLAZO
ESTRATEGIAS
MEDIANO PLAZO
ESTRATEGIAS
LARGO PLAZO
Preservación y
recuperación
ambiental
Proteger, preservar y
recuperar los
ecosistemas estratégicos
en la jurisdicción
Dar cumplimiento a la
resolución 138 de 2014
Formulación, actualización
y cumplimiento de los
planes de manejo de los
DMI y las demás áreas de
protección del sistema
orográfico
Conservar, preservar y
recuperar el sistema
hídrico municipal
Recuperación y reforestación de las áreas de ronda de los cuerpos de
agua
Conservación de las áreas de ronda que no han sido intervenidas
Implementación proyectos
POMCA Rio Bogotá (Res.
3194 de 2006)
Hacer Inventario de
nacimientos de cuerpos de
agua en la jurisdicción,
para su protección y
recuperación
Promover el adecuado
uso, ocupación y
aprovechamiento del
suelo
Alternativas de generación de servicios
ambientales
Hacer respetar los cuerpos de agua por parte de las actividades
agropecuarias
Controlar y mitigar
impactos ambientales
que se generen
Reglamentar todas aquellas actividades que degraden los recursos
naturales
Articulación con proyectos que se articulen con el Plan Nacional de
Adaptación al Cambio Climático
Trabajar articuladamente con la CAR para informar acerca de las
diferentes actividades económicas en la jurisdicción que causan
deterioro al medio ambiente
Protección al paisaje
Reglamentar la
edificabilidad en el área
rural con el fin que el
paisaje no presente
mayores alteraciones
Competitividad
y desarrollo
sostenible
Garantizar la seguridad
alimentaria
Fomento a las actividades agropecuarias en la jurisdicción
Generar alternativas de
valor agregado en la
producción agropecuaria
Fomento a las cadenas productivas con la finalidad de dar valor
agregado y esquemas de asociatividad a la producción agrícola y
pecuaria
Promover desarrollo
ecoturístico y
agroturístico
Promover que fincas y pequeñas parcelas
se enfoquen hacia el agroturísmo
Programas de caminatas ecológicas y
otros deportes que no alteren el
ambiente
Regular el desarrollo
comercial y de servicios
Reglamentación de las
actividades comerciales y
de servicios
CIPIO DE AGUAZUL
ACUERDO No. _____
“POR EL CUAL SE ADOPTA LA REVISIÓN GENERAL DEL ESQUEMA DE ORDENAMIENTO TERRITORIAL DEL
MUNICIPIO DE SUBACHOQUE” EOT
9
POLÍTICAS OBJETIVOS
ESTRATEGIAS CORTO
PLAZO
ESTRATEGIAS
MEDIANO PLAZO
ESTRATEGIAS
LARGO PLAZO
Infraestructura
para el
desarrollo
Asegurar el acceso a
servicios públicos
domiciliarios
Cobertura 100% en
servicios públicos
de acueducto,
alcantarillado y
tratamiento de
aguas residuales
Generar condiciones de
movilidad
Formulación y ejecución
del plan de movilidad
Construir y mantener
espacio público
Formulación e
implementación del
plan de espacio
público
Garantizar el acceso a
vivienda para los
Subachoqueños
Programas de vivienda
VIP/VIS para cubrir el
déficit de los
subachoqueños
Programas de mejoramiento de vivienda y construcción en sitio propio
Construir y mantener los
equipamientos
municipales
Mantenimiento y/o construcción de equipamientos en la jurisdicción
Articulación
regional
Articular con
lineamientos
internacionales,
nacionales y
departamentales
Articulación con Plan Nacional de Desarrollo, para presentación de
proyectos a las entidades del orden nacional
Articulación con Plan Departamental de Desarrollo, para presentación
de proyectos a las entidades del orden departamental
Presentación de proyectos al OCAD (Regalías)
Formulación y gestión de proyectos a organismos de cooperación
internacional
Proteger y proyectar la
identidad cultural y las
áreas de interés
patrimonial
Promover la
preservación de los
sitios de interés
patrimonial del
municipio con
estrategias
tributarias y apoyo
por parte del
Ministerio de
Cultura
Planeación
participativa
Implementar el sistema
de información municipal
Mantener actualizado cada cuatro años del Sistema de Información
Geográfico
Actualización anual del Expediente Municipal dentro del seguimiento y
evaluación del EOT
Realizar consulta
democrática a todos los
procesos relacionados
con ordenación del
territorio de acuerdo a
los grupos de interés
relacionados
Realización de talleres de
consulta democrática
necesarios durante todo
proceso relacionado con la
ordenación del territorio y
difusión por los diferentes
medios de comunicación
CIPIO DE AGUAZUL
ACUERDO No. _____
“POR EL CUAL SE ADOPTA LA REVISIÓN GENERAL DEL ESQUEMA DE ORDENAMIENTO TERRITORIAL DEL
MUNICIPIO DE SUBACHOQUE” EOT
10
POLÍTICAS OBJETIVOS
ESTRATEGIAS CORTO
PLAZO
ESTRATEGIAS
MEDIANO PLAZO
ESTRATEGIAS
LARGO PLAZO
municipales
Cimentar una
base
institucional y
administrativa
apropiada que
ante
situaciones de
Riesgo y
desastre
natural o
antrópico,
permita evitar o
reducir la
pérdida de
vidas y los
efectos
adversos que
puedan afectar
los bienes
naturales,
ambientales y
de patrimonio
de los
habitantes del
municipio de
Subachoque.
Proteger la vida y el
patrimonio de los
habitantes de
Subachoque frente a la
ocurrencia de un evento
de origen antrópico y
natural.
Implementar instrumentos de gestión, que
permitan a la administración municipal contar
con herramientas legales y técnicas, para
prevenir el riesgo.
Consolidar un marco
institucional y
administrativo que
permita ante situaciones
de riesgo y desastre
natural o antrópico evitar
o reducir la pérdida de
vidas y los efectos que
puedan ocasionar sobre
los bienes naturales,
ambientales, la vida y los
bienes de los habitantes
del municipio de
Subachoque.
Adelantar acciones de prevención, vigilancia y control ante riesgos por
inundación, y remoción en masa, señalización de áreas de retiro a
fuentes hídricas, reubicación de viviendas en zonas de alto riesgo no
mitigable.
Fortalecer las
capacidades
institucionales y de
gestión que permitan la
implementación de
acciones estructurales
para la reducción del
riesgo por inundaciones
y remoción en masa.
Formulación e
Implementación un
programa de protección y
manejo para las áreas
forestales protectoras de
ronda de protección
hídrica y relictos boscosos
existentes en el área
urbana y rural del
municipio de Subachoque.
Respetar y hacer cumplir la
normativa de uso del suelo
que se establezca para los
suelos de protección por
riesgo.
Orientar los
procesos de
uso y ocupación
y
transformación
del territorio
del municipio
de Subachoque.
Adoptar e incorporar la
zonificación de las áreas
de amenaza y riesgo por
movimientos en masa e
inundación para la zona
urbana y rural del
municipio de
Subachoque.
Definir los
condicionamientos y
restricciones al uso del
suelo, con base en los
mapas adoptados para
localizar los
asentamientos, la
infraestructura física, los
equipamientos colectivos y
las actividades socio-
económicas de acuerdo
con la aptitud del
territorio.
CIPIO DE AGUAZUL
ACUERDO No. _____
“POR EL CUAL SE ADOPTA LA REVISIÓN GENERAL DEL ESQUEMA DE ORDENAMIENTO TERRITORIAL DEL
MUNICIPIO DE SUBACHOQUE” EOT
11
POLÍTICAS OBJETIVOS
ESTRATEGIAS CORTO
PLAZO
ESTRATEGIAS
MEDIANO PLAZO
ESTRATEGIAS
LARGO PLAZO
Reglamentar las
actividades rurales para no
incrementar las
situaciones de riesgo por
remoción en masa.
Ajustar los tratamientos
urbanísticos, usos del
suelo y normas conforme a
los resultados de
zonificación de áreas con
condición de amenaza y
riesgo definidos en los
estudios básicos de
zonificación de amenaza
por movimientos en masa
e inundaciones para el
municipio de Subachoque.
La armonización del PBOT
con el Plan Municipal de
Gestión de Riesgo de
Desastres según lo
establece el Decreto 1807
de 2014.
Priorizar la
localización
segura y los
procesos de
reasentamiento
de las familias
localizadas en
zonas de
amenaza alta
en el área rural.
Garantizar el
reasentamiento de las
familias localizadas en
zonas alto riesgo por
inundación y remoción
en masa en la zona rural
del municipio de
Subachoque. (posterior a
los estudios detallados)
Desarrollar programas de
VIS en zonas urbanas o de
expansión que incluya los
mecanismos de
reubicación para las zonas
declaradas en alto riesgo
por inundación y remoción
en masa para el área rural
del municipio de
Subachoque que deben
ser reasentados en las
zonas identificadas como
aptas para este fin.
(posterior a los estudios
detallados)
Orientar la reducción de
la vulnerabilidad de las
construcciones frente al
riesgo de amenazas
sísmica, mediante la
aplicación estricta del
código nacional de sismo
resistencia y el
establecimiento de los
mecanismos de control
urbano a las
edificaciones.
Impulsar el control urbano para velar por el
cumplimiento de la norma sismo resistente, con
el fin de reducir la vulnerabilidad de las
construcciones frente al riesgo sísmico.
Consolidar,
proteger,
conservar,
Definir las estrategias de
recuperación y
rehabilitación de las
Formular y desarrollar acciones para la
recuperación de zonas desalojadas por procesos
de reasentamiento para evitar su posterior
CIPIO DE AGUAZUL
ACUERDO No. _____
“POR EL CUAL SE ADOPTA LA REVISIÓN GENERAL DEL ESQUEMA DE ORDENAMIENTO TERRITORIAL DEL
MUNICIPIO DE SUBACHOQUE” EOT
12
POLÍTICAS OBJETIVOS
ESTRATEGIAS CORTO
PLAZO
ESTRATEGIAS
MEDIANO PLAZO
ESTRATEGIAS
LARGO PLAZO
recuperar y
rehabilitar los
suelos de
protección por
riesgo.
zonas desalojadas, para
evitar una nueva
reocupación.
ocupación. (posterior a los estudios detallados)
Declarar e incorporar a
los suelos de protección
por riesgo las zonas de
alta amenaza y áreas con
condición de riesgo del
municipio de
Subachoque.
Gestionar
recursos y
enfocar
acciones para la
implementación
de programas
de manejo y
mitigación del
riesgo en los
asentamientos
que se
encuentran en
zonas de riesgo
en el área
urbana y en
zonas de
amenaza alta
en el área rural.
Implementar las medidas
estructurales y no
estructurales definidas
las zonas expuestas a
riesgos categorizados
como alto y medio,
priorizando las medidas
de corto plazo para
garantizar la integridad
de la población que se
encuentra localizada en
amenaza alta y riesgo
alto.
Gestionar los recursos necesarios para la
implementación de las medidas priorizadas ante
las entidades del orden nacional: Fondo de
Adaptación y la Unidad Nacional para la Gestión
del Riesgo-UNGRD, Regionales: Fondo
Departamental para la Gestión del Riesgo, CAR-
Cundinamarca y Plan de Desarrollo Municipal y
Fondo municipal de Gestión del Riesgo.
Artículo 11. MODELO DE OCUPACIÓN DEL TERRITORIO. El modelo de ocupación del
territorio en el municipio de Subachoque se compone de cuatro estructuras así:
Estructura de protección: Está conformada por el DMI de la Cuenca Alta del Rio Subachoque y
Pantano de Arce, Por la Reserva Forestal Protectora Productora de la Cuenca Alta del Rio
Bogotá (Resolución 138 de 2014), Reserva Forestal Protectora de las Quebradas Paramillo y
Queseras (Acuerdo 17 de 1993), el embalse del Pantano de Arce, El Rio Subachoque, las demás
quebradas, nacimientos, humedales y demás cuerpos de agua en el área urbana y rural de la
jurisdicción del municipio.
Estructura de producción: Está conformada por el área agropecuaria intensiva y el área
agropecuaria tradicional en la jurisdicción del municipio.
Estructura de asentamientos humanos: Está conformada principalmente por el área urbana
central, el área urbana de La Pradera, los centros poblados rurales Galdámez, Llanitos y Cascajal
y otros sectores poblados en el área rural que a pesar de no cumplir la connotación de centros
poblados rurales poseen viviendas donde se reside población.
CIPIO DE AGUAZUL
ACUERDO No. _____
“POR EL CUAL SE ADOPTA LA REVISIÓN GENERAL DEL ESQUEMA DE ORDENAMIENTO TERRITORIAL DEL
MUNICIPIO DE SUBACHOQUE” EOT
13
Estructura funcional: Está conformada por las vías vehiculares, peatonales, ciclorutas, el
espacio público, los diferentes sistemas, componentes y redes de servicios públicos, los
equipamientos que se encuentran tanto en el área urbana como en el área rural del municipio y
que a su vez es la que permite que las otras tres estructuras precedentes interactúen entre sí.
Parágrafo: Al interior de la estructura de protección se encuentran las áreas con condición de
amenaza y las áreas con condición de riesgo que fueron evaluadas en los estudios básicos (ver
documento Estudios Básicos de Gestión del Riesgo – documento anexo) y en la cartografía
asociada (mapas GR-06, GR-07, GR-08, GR-09) y que se encuentran además como parte de las
categorías de protección en suelo rural según lo dispuesto en el artículo 4 del decreto nacional
3600 de 2007.
CAPÍTULO II
DE LA CLASIFICACIÓN DEL SUELO EN EL TERRITORIO MUNICIPAL
Artículo 12. CLASIFICACIÓN. El Esquema de Ordenamiento Territorial clasifica el suelo del
municipio de Subachoque, así:
1. Suelo Urbano
Área urbana Central
Área urbana La Pradera
2. Suelo De Expansión Urbana
Área de Expansión Urbana Santa Rita
3. Suelo Rural
Agropecuario Tradicional
Agropecuario Intensivo
Centros poblados
4. Suelo De Protección
Corresponde a las áreas del territorio municipal localizadas dentro de cualquiera de las
anteriores clases, que por sus características geográficas, paisajísticas o ambientales, o por
formar parte de las zonas de utilidad pública para la ubicación de infraestructuras para la
provisión de servicios públicos domiciliarios o de las áreas de amenazas y riesgo no mitigable
para la localización de asentamientos humanos, tienen restringida totalmente la posibilidad de
cualquier proceso de urbanización.
Artículo 13. DELIMITACIÓN DEL SUELO URBANO. En el municipio de Subachoque, el
perímetro del suelo urbano se delimita por las siguientes coordenadas:
CIPIO DE AGUAZUL
ACUERDO No. _____
“POR EL CUAL SE ADOPTA LA REVISIÓN GENERAL DEL ESQUEMA DE ORDENAMIENTO TERRITORIAL DEL
MUNICIPIO DE SUBACHOQUE” EOT
14
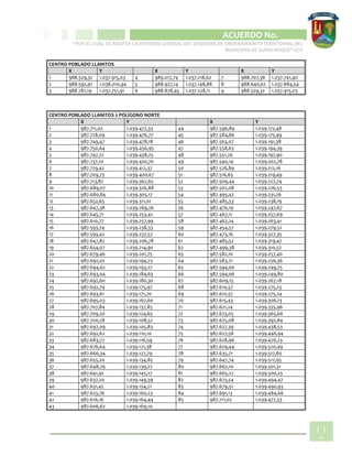
ÁREA URBANA CENTRO
X Y X Y X Y
31 988.941,72 1.036.870,07 39 989.795,61 1.036.996,61 47 989.467,56 1.036.254,73
32 988.800,31 1.037.016,08 40 990.096,82 1.036.786,37 48 989.422,54 1.036.335,74
33 989.042,34 1.037.178,77 41 989.965,72 1.036.748,46 49 989.324,28 1.036.349,14
34 989.281,49 1.037.079,44 42 989.780,10 1.036.572,84 50 989.229,80 1.036.298,86
35 989.451,10 1.037.229,27 43 989.635,17 1.036.414,52 51 989.072,07 1.036.416,36
36 989.409,80 1.037.270,40 44 989.660,02 1.036.347,16 52 989.136,61 1.036.486,02
37 989.523,13 1.037.421,42 45 989.542,27 1.036.191,88 53 989.107,83 1.036.697,61
38 989.677,07 1.037.225,69 46 989.455,07 1.036.165,59 54 988.941,72 1.036.870,07
ÁREA URBANA LA PRADERA
X Y X Y X Y
1 994.231,05 1.045.395,69 11 994.168,91 1.044.864,57 21 993.830,55 1.044.683,20
2 994.203,74 1.045.297,79 12 994.274,34 1.044.795,95 22 993.806,58 1.044.494,68
3 994.249,52 1.045.264,93 13 994.234,28 1.044.766,14 23 993.598,34 1.044.681,58
4 994.062,98 1.045.211,16 14 994.115,19 1.044.797,16 24 993.784,43 1.045.072,84
5 994.047,93 1.045.181,17 15 994.131,51 1.044.859,00 25 993.746,52 1.045.194,66
6 994.099,26 1.045.176,42 16 994.023,23 1.044.975,27 26 993.799,99 1.045.294,70
7 994.134,07 1.045.048,93 17 993.924,84 1.044.908,16 27 993.864,21 1.045.295,10
8 994.115,26 1.045.033,06 18 993.950,51 1.044.802,83 28 993.879,42 1.045.352,65
9 994.152,60 1.045.025,24 19 993.900,29 1.044.719,85 29 993.964,01 1.045.422,19
10 994.195,58 1.044.955,59 20 993.932,92 1.044.683,21 30 994.231,05 1.045.395,69
Artículo 14. DELIMITACIÓN DEL SUELO DE EXPANSIÓN URBANA. En el municipio de
Subachoque, el perímetro del suelo de expansión urbana se delimita por las siguientes
coordenadas:
ÁREA DE EXPANSIÓN URBANA
X Y X Y X Y
1 989.112,94 1.036.460,02 5 988.724,49 1.036.674,64 9 989.107,83 1.036.697,61
2 989.072,07 1.036.416,36 6 988.744,38 1.036.692,40 10 989.136,61 1.036.486,02
3 988.940,86 1.036.456,55 7 988.720,82 1.036.719,04 11 989.112,94 1.036.460,02
4 988.779,71 1.036.583,26 8 988.912,39 1.036.900,37
Artículo 15. DELIMITACIÓN DEL PERÍMETRO DEL SUELO RURAL
El perímetro del suelo rural se encuentra definido y delimitado en el plano CR-01, Áreas de
actividad en suelo rural.
CIPIO DE AGUAZUL
ACUERDO No. _____
“POR EL CUAL SE ADOPTA LA REVISIÓN GENERAL DEL ESQUEMA DE ORDENAMIENTO TERRITORIAL DEL
MUNICIPIO DE SUBACHOQUE” EOT
15
Artículo 16. DELIMITACIÓN DEL SUELO DE PROTECCIÓN
La delimitación del suelo de protección es la siguiente:
RESOLUCIÓN 138 DE 2014
X Y X Y X Y
1 996.111,35 1.050.943,49 46 996.700,39 1.048.569,87 91 998.010,38 1.047.989,85
2 996.489,27 1.050.831,54 47 996.537,18 1.048.129,22 92 998.591,85 1.048.130,82
3 995.997,21 1.050.295,63 48 996.027,03 1.049.178,25 93 996.147,19 1.044.790,01
4 996.042,37 1.050.817,24 49 996.424,32 1.050.026,26 94 996.169,12 1.043.701,08
5 995.862,19 1.050.550,89 50 997.001,10 1.050.113,85 95 995.104,74 1.043.700,83
6 995.718,03 1.051.175,86 51 994.844,32 1.050.101,60 96 995.285,82 1.044.397,05
7 996.070,42 1.051.289,87 52 994.870,29 1.049.542,40 97 995.789,96 1.044.179,90
8 996.111,35 1.050.943,49 53 994.500,70 1.050.137,37 98 995.354,13 1.044.516,90
9 995.637,30 1.050.959,85 54 994.844,32 1.050.101,60 99 995.382,52 1.044.967,03
10 995.414,47 1.051.077,66 55 994.871,76 1.049.453,22 100 996.147,19 1.044.790,01
11 995.658,34 1.051.156,55 56 995.137,41 1.048.912,15 101 991.284,75 1.044.371,97
12 995.637,30 1.050.959,85 57 994.707,46 1.048.905,53 102 991.274,65 1.044.355,73
13 995.849,41 1.050.487,06 58 994.760,38 1.048.693,87 103 991.317,07 1.044.434,67
14 996.122,54 1.049.568,51 59 994.331,46 1.049.333,22 104 991.284,75 1.044.371,97
15 996.028,13 1.049.382,52 60 994.476,21 1.050.032,70 105 991.005,32 1.044.193,70
16 995.655,63 1.050.019,74 61 994.871,76 1.049.453,22 106 990.878,79 1.043.667,38
17 995.989,04 1.049.239,31 62 994.555,18 1.048.905,56 107 990.516,39 1.043.901,03
18 995.678,26 1.048.666,79 63 994.316,07 1.049.269,58 108 990.442,29 1.044.161,56
19 995.791,06 1.049.272,54 64 994.509,80 1.049.212,34 109 991.005,32 1.044.193,70
20 995.568,84 1.049.386,80 65 994.555,18 1.048.905,56 110 990.400,52 1.044.130,07
21 995.642,98 1.048.586,47 66 994.375,75 1.048.185,62 111 990.861,81 1.043.609,77
22 995.385,82 1.048.438,53 67 994.120,39 1.048.459,89 112 990.560,11 1.043.223,59
23 994.916,93 1.049.493,10 68 994.266,99 1.049.066,46 113 990.911,47 1.042.946,27
24 994.936,29 1.050.556,10 69 994.669,08 1.048.579,31 114 990.583,61 1.042.771,74
25 995.369,77 1.051.036,17 70 994.375,75 1.048.185,62 115 989.690,38 1.043.341,21
26 995.849,41 1.050.487,06 71 998.591,85 1.048.130,82 116 990.381,51 1.042.747,34
27 996.545,94 1.050.808,40 72 998.989,13 1.047.616,77 117 990.046,89 1.042.176,78
28 996.671,18 1.050.524,26 73 998.889,70 1.045.905,37 118 988.894,32 1.042.795,40
29 996.155,53 1.049.619,17 74 997.896,97 1.046.282,05 119 989.184,92 1.043.049,79
30 996.034,05 1.050.239,02 75 998.651,77 1.048.038,31 120 988.842,09 1.042.861,48
31 996.545,94 1.050.808,40 76 997.845,41 1.046.314,28 121 989.925,11 1.041.834,53
32 996.747,29 1.050.222,71 77 997.222,49 1.047.443,77 122 989.446,66 1.041.816,86
33 996.553,65 1.050.192,69 78 997.215,16 1.047.041,67 123 989.315,83 1.042.301,23
34 996.721,46 1.050.490,48 79 997.559,82 1.046.372,08 124 989.269,04 1.041.773,77
CIPIO DE AGUAZUL
ACUERDO No. _____
“POR EL CUAL SE ADOPTA LA REVISIÓN GENERAL DEL ESQUEMA DE ORDENAMIENTO TERRITORIAL DEL
MUNICIPIO DE SUBACHOQUE” EOT
16
RESOLUCIÓN 138 DE 2014
X Y X Y X Y
35 996.747,29 1.050.222,71 80 998.942,20 1.045.636,71 125 987.643,07 1.041.437,65
36 994.953,86 1.050.360,35 81 997.807,75 1.045.273,13 126 986.948,54 1.042.066,04
37 995.000,21 1.049.959,06 82 997.259,43 1.045.564,87 127 987.810,75 1.043.289,34
38 994.799,82 1.050.366,80 83 997.202,71 1.046.062,96 128 988.637,76 1.043.848,18
39 994.953,86 1.050.360,35 84 996.503,78 1.045.934,76 129 989.137,33 1.043.970,86
40 994.778,05 1.050.291,25 85 996.831,34 1.046.633,94 130 989.792,24 1.043.525,10
41 994.852,37 1.050.161,82 86 996.809,79 1.047.178,85 131 989.065,25 1.044.033,50
42 994.710,79 1.050.289,48 87 996.319,21 1.047.175,80 132 985.989,42 1.042.211,56
43 994.778,05 1.050.291,25 88 996.480,17 1.047.959,65 133 985.404,99 1.041.296,10
44 997.001,10 1.050.113,85 89 997.330,38 1.047.509,86 134 986.004,61 1.042.429,73
45 996.907,57 1.048.461,00 90 998.080,38 1.047.649,85 135 987.466,02 1.043.717,41
RESOLUCIÓN 138 DE 2014
X Y X Y X Y
136 988.567,63 1.044.109,80 181 989.288,58 1.030.190,61 226 993.111,13 1.036.302,13
137 990.400,52 1.044.130,07 182 988.728,06 1.030.426,51 227 993.392,85 1.036.615,25
138 988.700,45 1.042.350,45 183 988.483,49 1.030.864,14 228 994.596,35 1.035.813,47
139 988.717,43 1.042.469,29 184 988.648,57 1.031.585,51 229 993.739,97 1.036.501,40
140 988.649,08 1.042.398,53 185 988.920,90 1.031.185,13 230 993.898,97 1.036.934,90
141 988.700,45 1.042.350,45 186 989.841,99 1.031.182,32 231 994.957,71 1.035.809,67
142 996.849,61 1.043.869,21 187 988.922,74 1.031.249,47 232 993.947,67 1.036.971,31
143 996.500,71 1.041.315,00 188 988.660,44 1.031.688,78 233 994.358,42 1.037.302,57
144 994.837,31 1.041.460,55 189 988.980,44 1.031.685,36 234 994.892,10 1.036.239,69
145 994.892,27 1.041.963,60 190 988.811,89 1.032.069,79 235 994.412,06 1.037.372,54
146 996.481,87 1.041.710,39 191 989.278,50 1.032.646,56 236 994.734,57 1.037.666,22
147 995.787,14 1.041.962,81 192 990.212,59 1.032.405,65 237 994.990,29 1.037.479,06
148 996.302,04 1.042.590,56 193 989.302,36 1.032.702,35 238 994.707,74 1.037.721,94
149 995.709,39 1.041.961,16 194 989.471,50 1.032.899,29 239 995.133,54 1.038.278,88
150 995.208,44 1.041.956,09 195 989.758,76 1.033.150,17 240 994.988,11 1.038.570,15
151 995.312,51 1.042.619,12 196 990.614,93 1.032.162,84 241 995.455,67 1.038.946,64
152 995.160,31 1.041.992,10 197 989.841,78 1.033.038,43 242 994.907,21 1.039.188,61
153 994.804,54 1.042.166,29 198 989.955,96 1.033.361,32 243 994.745,15 1.040.488,27
154 994.895,20 1.042.781,78 199 990.193,42 1.033.548,31 244 995.133,45 1.040.708,07
155 996.160,37 1.042.702,64 200 990.533,61 1.032.929,74 245 996.413,92 1.040.383,77
156 994.961,53 1.042.802,50 201 990.241,31 1.033.590,23 246 996.087,01 1.040.677,49
157 995.052,65 1.043.110,90 202 990.558,03 1.033.761,40 247 994.807,96 1.040.689,36
158 995.592,58 1.043.114,54 203 990.814,38 1.032.611,35 248 994.844,01 1.041.394,81
CIPIO DE AGUAZUL
ACUERDO No. _____
“POR EL CUAL SE ADOPTA LA REVISIÓN GENERAL DEL ESQUEMA DE ORDENAMIENTO TERRITORIAL DEL
MUNICIPIO DE SUBACHOQUE” EOT
17
RESOLUCIÓN 138 DE 2014
X Y X Y X Y
159 995.052,55 1.043.171,38 204 990.750,77 1.033.150,04 249 995.538,08 1.041.399,70
160 995.110,95 1.043.560,94 205 991.350,01 1.032.880,62 250 993.654,50 1.036.646,81
161 995.961,77 1.043.422,08 206 991.777,43 1.033.103,36 251 993.597,20 1.036.661,63
162 996.570,12 1.042.779,65 207 991.118,40 1.032.959,11 252 993.637,70 1.036.678,94
163 996.035,71 1.043.441,70 208 990.709,26 1.033.264,32 253 993.654,50 1.036.646,81
164 996.671,28 1.043.338,29 209 990.587,69 1.033.823,20 254 989.373,97 1.032.991,62
165 995.971,25 1.043.483,07 210 991.078,56 1.034.468,88 255 989.142,16 1.032.801,58
166 996.398,95 1.043.948,57 211 991.388,11 1.034.620,73 256 989.220,10 1.033.143,65
167 996.849,61 1.043.869,21 212 992.246,06 1.033.274,64 257 989.373,97 1.032.991,62
168 995.538,08 1.041.399,70 213 992.664,95 1.033.263,00 258 988.412,44 1.030.825,10
169 996.495,30 1.041.255,21 214 991.504,56 1.034.428,84 259 989.242,78 1.030.145,11
170 996.587,98 1.040.684,19 215 991.428,68 1.034.686,85 260 988.553,90 1.029.024,53
171 996.059,68 1.039.096,81 216 991.726,21 1.034.612,02 261 987.864,71 1.028.864,06
172 996.267,32 1.038.002,00 217 991.492,87 1.034.802,33 262 988.322,52 1.029.230,59
173 995.567,43 1.037.299,04 218 991.890,94 1.034.704,37 263 987.999,38 1.029.362,82
174 995.493,66 1.036.140,99 219 991.522,35 1.034.858,57 264 987.881,78 1.030.161,32
175 994.235,25 1.035.127,50 220 991.909,83 1.035.455,66 265 988.412,44 1.030.825,10
176 994.302,89 1.034.180,83 221 992.658,16 1.035.783,97
177 992.693,89 1.032.672,39 222 993.267,42 1.034.826,00
178 991.232,80 1.032.249,73 223 992.710,70 1.035.815,17
179 990.282,49 1.031.508,10 224 992.977,63 1.036.303,19
180 989.782,37 1.030.417,84 225 993.419,37 1.035.902,19
RESERVA FORESTAL PARAMILLO QUESERAS
X Y X Y X Y
1 985.936,34 1.044.041,87 49 989.390,72 1.043.951,43 97 992.788,21 1.045.743,16
2 985.933,27 1.044.167,62 50 988.567,63 1.044.109,80 98 992.351,12 1.046.028,41
3 985.972,70 1.044.130,52 51 987.430,36 1.043.709,97 99 992.858,09 1.047.142,35
4 985.936,34 1.044.041,87 52 986.903,71 1.043.871,36 100 992.528,97 1.048.021,12
5 991.225,19 1.044.193,33 53 988.567,50 1.044.818,68 101 992.798,39 1.047.150,40
6 991.237,97 1.044.105,02 54 989.273,88 1.044.797,23 102 992.408,26 1.046.338,45
7 991.073,69 1.044.167,36 55 988.958,39 1.044.323,88 103 992.298,46 1.047.746,82
8 991.225,19 1.044.193,33 56 989.436,23 1.044.834,13 104 992.344,06 1.046.415,95
9 991.050,60 1.044.187,74 57 989.817,49 1.044.169,66 105 991.718,29 1.046.619,93
10 991.021,09 1.044.177,90 58 989.140,54 1.045.046,14 106 991.246,43 1.047.378,55
11 990.995,99 1.044.200,70 59 989.752,22 1.045.378,36 107 992.075,37 1.047.712,67
12 991.050,60 1.044.187,74 60 990.406,19 1.045.210,09 108 991.475,74 1.047.912,64
CIPIO DE AGUAZUL
ACUERDO No. _____
“POR EL CUAL SE ADOPTA LA REVISIÓN GENERAL DEL ESQUEMA DE ORDENAMIENTO TERRITORIAL DEL
MUNICIPIO DE SUBACHOQUE” EOT
18
RESERVA FORESTAL PARAMILLO QUESERAS
X Y X Y X Y
13 991.602,27 1.044.948,90 61 990.765,38 1.044.563,84 109 992.037,60 1.049.063,06
14 991.650,36 1.044.919,92 62 990.273,59 1.045.331,62 110 992.482,11 1.048.902,53
15 991.541,51 1.044.942,02 63 989.767,87 1.045.445,81 111 991.612,86 1.049.240,82
16 991.602,27 1.044.948,90 64 989.098,73 1.045.093,08 112 991.979,29 1.049.084,12
17 986.150,61 1.045.120,84 65 988.471,83 1.046.351,86 113 991.684,61 1.048.314,47
18 986.221,25 1.044.620,83 66 989.068,91 1.045.215,14 114 991.754,27 1.048.850,62
19 985.829,92 1.045.079,69 67 988.455,61 1.045.074,37 115 991.543,52 1.048.634,49
20 986.174,25 1.044.579,73 68 987.830,96 1.046.336,58 116 991.642,24 1.048.024,32
21 986.006,71 1.044.370,57 69 988.384,15 1.044.842,52 117 991.233,31 1.047.510,92
22 985.736,85 1.044.989,94 70 987.810,87 1.044.544,27 118 991.428,41 1.048.383,66
23 985.924,83 1.045.444,09 71 987.282,58 1.045.457,98 119 991.181,20 1.047.851,71
24 986.150,61 1.045.120,84 72 987.775,20 1.044.728,12 120 991.170,98 1.049.235,64
25 990.677,07 1.046.286,07 73 987.633,24 1.044.406,48 121 990.959,97 1.048.469,62
26 990.671,02 1.046.291,06 74 986.827,63 1.043.894,68 122 991.539,41 1.046.637,01
27 990.680,74 1.046.292,21 75 986.343,05 1.044.030,07 123 990.978,92 1.046.921,71
28 990.677,07 1.046.286,07 76 986.820,70 1.044.784,26 124 991.118,74 1.046.614,95
29 990.763,41 1.046.319,56 77 986.001,06 1.044.045,27 125 990.603,35 1.046.352,82
30 990.742,00 1.046.343,93 78 987.064,82 1.045.921,03 126 990.139,99 1.046.964,17
31 990.760,86 1.046.344,94 79 986.339,20 1.044.724,79 127 990.754,92 1.047.532,73
32 990.763,41 1.046.319,56 80 985.783,65 1.045.965,66 128 990.246,97 1.047.102,66
33 992.294,35 1.046.121,26 81 987.276,66 1.046.213,82 129 990.134,59 1.047.775,86
34 992.270,37 1.046.139,91 82 988.563,62 1.046.975,82 130 990.218,19 1.047.274,23
35 992.348,20 1.046.350,05 83 992.482,11 1.048.902,53 131 989.788,47 1.047.617,34
36 992.294,35 1.046.121,26 84 992.463,37 1.048.504,13 132 990.183,87 1.047.088,14
37 988.563,62 1.046.975,82 85 992.961,65 1.048.591,34 133 989.884,82 1.047.136,53
38 990.034,13 1.045.935,21 86 994.275,12 1.047.817,82 134 990.519,57 1.046.374,46
39 991.182,34 1.046.589,72 87 993.874,60 1.047.518,69 135 989.442,42 1.047.266,93
40 991.839,09 1.046.557,90 88 993.230,87 1.047.757,02 136 989.419,33 1.047.064,05
41 991.880,37 1.045.729,92 89 993.829,85 1.047.478,42 137 990.581,39 1.046.281,95
42 991.400,37 1.045.309,92 90 993.123,63 1.047.385,95 138 990.035,85 1.045.995,93
43 991.591,00 1.045.012,53 91 992.729,02 1.048.184,28 139 989.054,12 1.046.473,24
44 991.195,12 1.044.952,54 92 992.982,49 1.047.405,19 140 988.631,91 1.046.987,42
45 991.497,80 1.044.932,53 93 993.600,55 1.047.272,05 141 989.784,88 1.047.697,88
46 991.267,54 1.044.256,83 94 993.568,41 1.046.507,83 142 989.058,09 1.047.647,71
47 990.605,20 1.044.364,09 95 993.123,05 1.046.872,33 143 990.108,88 1.048.055,75
48 990.977,67 1.044.203,61 96 993.547,55 1.046.431,14 144 991.130,67 1.049.524,91
CIPIO DE AGUAZUL
ACUERDO No. _____
“POR EL CUAL SE ADOPTA LA REVISIÓN GENERAL DEL ESQUEMA DE ORDENAMIENTO TERRITORIAL DEL
MUNICIPIO DE SUBACHOQUE” EOT
19
DMI RIO SUBACHOQUE Y PANTANO DE ARCE
X Y X Y X Y
145 991.612,86 1.049.240,82 193 996.907,57 1.048.461,00 241 995.564,29 1.052.271,11
146 994.185,72 1.050.525,93 194 996.810,39 1.049.299,86 242 995.789,20 1.051.402,97
147 994.742,91 1.050.312,73 195 997.122,32 1.049.452,93 243 995.182,47 1.052.186,77
148 994.454,55 1.050.331,71 196 996.958,10 1.050.264,61 244 995.745,54 1.051.361,27
149 994.185,72 1.050.525,93 197 998.240,58 1.050.444,52 245 995.414,47 1.051.077,66
150 994.636,09 1.050.556,29 198 996.721,46 1.050.490,48 246 995.092,58 1.052.205,00
151 994.636,27 1.050.555,50 199 998.162,26 1.050.795,20 247 995.151,32 1.051.589,81
152 994.635,06 1.050.559,25 200 997.520,70 1.050.855,57 248 994.756,91 1.052.188,66
153 994.636,09 1.050.556,29 201 997.963,62 1.051.419,57 249 994.786,72 1.051.658,60
154 997.589,46 1.051.393,60 202 997.358,95 1.050.780,04 250 994.612,95 1.051.888,48
155 997.579,16 1.051.382,19 203 996.673,29 1.050.530,87 251 994.727,38 1.051.640,65
156 997.580,68 1.051.384,16 204 996.548,82 1.050.839,13 252 994.369,13 1.051.692,15
157 997.589,46 1.051.393,60 205 998.152,44 1.051.547,32 253 994.892,88 1.051.433,05
158 994.761,79 1.051.420,99 206 995.869,72 1.051.584,38 254 994.426,99 1.051.347,04
159 994.960,67 1.051.334,72 207 995.865,74 1.051.576,21 255 995.353,64 1.051.033,10
160 994.603,17 1.051.398,36 208 995.874,50 1.051.614,97 256 994.936,29 1.050.556,10
161 994.761,79 1.051.420,99 209 995.869,72 1.051.584,38 257 994.780,64 1.051.065,36
162 996.709,16 1.051.460,85 210 995.102,29 1.051.549,45 258 994.290,25 1.051.175,62
163 996.692,18 1.051.459,78 211 995.205,54 1.051.203,02 259 994.743,92 1.051.016,22
164 996.745,67 1.051.500,70 212 994.752,99 1.051.966,50 260 994.799,82 1.050.366,80
165 996.709,16 1.051.460,85 213 995.102,29 1.051.549,45 261 994.272,77 1.051.080,74
166 998.152,44 1.051.547,32 214 996.502,06 1.052.512,78 262 993.654,69 1.051.099,17
167 998.352,30 1.050.507,72 215 997.789,54 1.052.436,68 263 994.246,15 1.051.026,21
168 999.779,41 1.049.083,88 216 998.063,61 1.052.685,73 264 994.596,09 1.050.483,26
169 998.989,13 1.047.616,77 217 998.191,99 1.051.604,68 265 993.367,05 1.050.495,99
170 998.403,11 1.048.184,78 218 997.592,79 1.051.397,13 266 994.657,96 1.050.260,84
171 998.010,38 1.047.989,85 219 998.123,71 1.051.984,33 267 994.073,26 1.050.028,99
172 998.080,38 1.047.649,85 220 997.889,98 1.052.015,67 268 994.500,35 1.049.965,49
173 996.770,38 1.047.659,87 221 997.252,63 1.051.031,93 269 994.273,50 1.049.321,11
174 996.511,37 1.048.014,81 222 996.530,40 1.050.897,80 270 993.602,69 1.050.388,24
175 997.375,06 1.047.728,42 223 996.633,49 1.051.405,43 271 993.861,97 1.049.944,29
176 997.800,61 1.048.300,71 224 997.284,05 1.051.568,31 272 993.536,51 1.049.983,55
177 998.982,04 1.048.434,86 225 996.821,94 1.051.646,55 273 994.281,21 1.049.125,34
178 999.543,11 1.048.989,53 226 997.446,47 1.051.750,96 274 993.056,68 1.049.955,31
179 998.508,11 1.049.727,58 227 996.807,66 1.051.710,99 275 994.266,99 1.049.066,46
180 999.487,83 1.049.070,14 228 996.860,94 1.051.922,82 276 994.365,52 1.047.948,75
181 999.208,10 1.048.593,91 229 997.832,60 1.052.069,15 277 993.019,52 1.048.632,41
CIPIO DE AGUAZUL
ACUERDO No. _____
“POR EL CUAL SE ADOPTA LA REVISIÓN GENERAL DEL ESQUEMA DE ORDENAMIENTO TERRITORIAL DEL
MUNICIPIO DE SUBACHOQUE” EOT
20
DMI RIO SUBACHOQUE Y PANTANO DE ARCE
X Y X Y X Y
182 998.499,31 1.048.609,09 230 997.410,79 1.052.248,22 278 993.578,67 1.049.001,84
183 998.261,01 1.049.369,02 231 996.844,18 1.051.981,49 279 992.866,22 1.049.306,79
184 998.440,21 1.048.595,92 232 996.950,30 1.052.330,24 280 992.844,57 1.050.021,29
185 998.078,34 1.048.209,58 233 996.434,52 1.050.965,31 281 993.352,82 1.050.126,27
186 997.557,08 1.048.675,05 234 996.111,35 1.050.943,49 282 993.564,31 1.051.440,58
187 997.656,36 1.048.271,17 235 996.070,42 1.051.289,87 283 994.060,07 1.051.510,96
188 997.420,70 1.048.803,93 236 995.716,91 1.051.245,27 284 994.952,97 1.052.340,32
189 997.664,06 1.048.179,11 237 996.612,11 1.052.309,53 285 996.097,58 1.052.752,93
190 997.373,52 1.047.799,48 238 995.892,30 1.051.653,26 286 996.502,06 1.052.512,78
191 996.517,52 1.048.076,13 239 995.924,76 1.052.492,45
192 996.700,39 1.048.569,87 240 995.797,74 1.051.857,65
Artículo 17. UMBRAL MÁXIMO DE SUB-URBANIZACIÓN. En los términos del Art. 1 del
Decreto 3600 de 2007, el umbral máximo de suburbanización es el porcentaje máximo de
suelo que puede ser clasificado como suburbano. Esta es una norma de carácter
estructurante y, por consiguiente, no podrá ser modificada sino con ocasión de la revisión
del largo plazo del presente EOT. El umbral máximo de suburbanización para el municipio
de Subachoque es del 0%.
Artículo 18. ÁREAS DEL MODELO DE OCUPACIÓN DEL TERRITORIO
AREAS SUBACHOQUE
CATEGORÍA AREA (Ha) %
ÁREA URBANA
Área de Expansión 11,88 0,06%
Área urbana 100,00 0,47%
PRODUCCIÓN
Agropecuario intensivo 2.556,00 12,12%
Agropecuario tradicional 8.050,00 38,17%
ÁREA DE PROTECCIÓN
Rondas Hídricas 1.983,00 9,40%
Resolución 138 4.502,00 21,35%
DMI 3.648,00 17,30%
Quebrada Paramillo y Quesero 210,00 1,00%
CENTRO POBLADOS CP Total 25,00 0,12%
DOTACIONAL Dotacional 3,82 0,02%
MUNICIPIO Área Total 21.089,00 100,00%
CAPÍTULO III
DE LAS ÁREAS DE PROTECCIÓN
CIPIO DE AGUAZUL
ACUERDO No. _____
“POR EL CUAL SE ADOPTA LA REVISIÓN GENERAL DEL ESQUEMA DE ORDENAMIENTO TERRITORIAL DEL
MUNICIPIO DE SUBACHOQUE” EOT
21
Artículo 19. CATEGORÍAS DE PROTECCIÓN EN SUELO RURAL. Las categorías del suelo rural
que se constituyen suelo de protección en los términos del artículo 35 de la Ley 388 de 1997
y son normas urbanísticas de carácter estructural de conformidad con lo establecido 15 de
la misma ley.
CATEGORÍAS DE PROTECCIÓN EN SUELO RURAL. (Decreto 3600 de 2008)
1 Áreas de conservación y protección ambiental
1.1 Las áreas del sistema nacional de áreas protegidas
1.2 Áreas de reserva forestal
1.2.1.
Reserva forestal protectora productora de la cuenca alta del Rio Bogotá (Res. 138 de 2014 Ministerio
de Ambiente y Desarrollo Sostenible)
1.2.2. Reserva forestal protectora de las quebradas Paramillo y Queseras
1.3 Áreas de manejo especial
1.3.1. Distrito de manejo integrado DMI de la Cuenca del Rio Subachoque y Región del Pantano de Arce
1.4 Áreas de especial importancia eco sistémica
2 Áreas para la producción agrícola y ganadera y de explotación de recursos naturales.
3 Áreas e inmuebles considerados como patrimonio cultural
4 Áreas del sistema de servicios públicos domiciliarios.
5 Áreas con condición de amenaza y con condición de riesgo
Artículo 20. ÁREAS DE CONSERVACIÓN Y PROTECCIÓN AMBIENTAL (ESTRUCTURA
ECOLÓGICA PRINCIPAL - EEP). La Estructura Ecológica Principal es el conjunto de
elementos bióticos y abióticos que dan sustento a los procesos ecológicos esenciales del
territorio, cuya finalidad es la preservación, conservación, restauración, uso y manejo
sostenible de los recursos naturales renovables, los cuales brindan la capacidad de soporte
para el adecuado desarrollo socioeconómico de las poblaciones. La Estructura Ecológica
Principal es aquella porción de territorio seleccionada y delimitada para su protección y
apropiación sostenible, ya que ella posee elementos tanto naturales como construidos de
carácter principal, que determinan la oferta ambiental del territorio, conformando un
elemento estructurante a partir del cual se organiza el espacio urbano y rural.
Incluye las áreas que deben ser objeto de especial protección ambiental de acuerdo con la
legislación vigente y las que hacen parte de la Estructura Ecológica Principal.
Artículo 21. OBJETIVOS DE LA EEP. Son objetivos específicos de la Estructura Ecológica
Principal, los siguientes:
 Sostener y conducir procesos ecológicos esenciales, garantizando la conexión biológica y la
disponibilidad de servicios ambientales en todo el territorio.
 Elevar la calidad ambiental y balancear su oferta a través del territorio en correspondencia
con la demanda de la población.
 Restaurar y/o preservar los ecosistemas que brindan beneficios ambientales vitales para el
desarrollo sostenible del Municipio.
 Conservar los elementos representativos y valores singulares del patrimonio natural y
paisajístico contribuyendo a la formación de la malla ambiental.
 Promover la apropiación y garantizar el libre acceso al disfrute público de la oferta
ambiental por parte de la población.
CIPIO DE AGUAZUL
ACUERDO No. _____
“POR EL CUAL SE ADOPTA LA REVISIÓN GENERAL DEL ESQUEMA DE ORDENAMIENTO TERRITORIAL DEL
MUNICIPIO DE SUBACHOQUE” EOT
22
 Recuperar y proteger las fuentes hídricas.
 Implementar un régimen de usos que permita la apropiación pública sostenible como
estrategia tanto de educación ambiental como de socialización de responsabilidades para su
conservación.
 Establecer y adecuar las áreas verdes en la categoría de parques urbanos, para el desarrollo
de actividades recreacionales de forma tal que generen beneficios paisajísticos para estas
áreas.
 Establecer interconexión espacial y funcional con elementos del sistema de áreas protegidas
de forma tal que se aumente cualitativa y cuantitativamente la oferta ambiental urbana
conformando la malla ambiental.
Artículo 22. COMPONENTES DE LA EEP. La Estructura Ecológica Principal está conformada
por el sistema de áreas protegidas, y el sistema de parques, conforme al detalle que se
presenta a continuación.
COMPONENTES DE LA ESTRUCTURA ECOLÓGICA PRINCIPAL
SISTEMA DE ÁREAS PROTEGIDAS
1 Áreas de conservación y protección ambiental (EEP)
1.1 Áreas de protección del sistema orográfico
1.1.1
Reserva forestal protectora productora de la cuenca alta del Rio Bogotá (Res. 138 de 2014
Ministerio de Ambiente y Desarrollo Sostenible)
1.1.2 Reserva forestal protectora de las quebradas Paramillo y Queseras
1.1.3
Distrito de manejo integrado DMI de la Cuenca del Rio Subachoque y Región del Pantano de
Arce
1.2 Áreas de especial importancia eco sistémica
1.2.1 Rondas de protección hídrica
1.2.2 Áreas de Infiltración y Recarga de Acuíferos
Artículo 23. SISTEMA DE ÁREAS PROTEGIDAS. El Sistema de Áreas Protegidas, es el
conjunto de espacios con valores para el patrimonio natural, cuya conservación resulta
imprescindible para el funcionamiento de los ecosistemas y la conservación de la
biodiversidad. Este sistema está compuesto en el Municipio por las Áreas de Protección del
Sistema Hídrico y las Áreas de Protección del Sistema Orográfico, todas estas del orden
municipal. Con miras a la conformación de una malla ambiental a través de la cual se
contribuya al mantenimiento y/o reconstrucción de la continuidad ecológica, el Municipio
propenderá por la generación de corredores de comunicación entre las diferentes áreas
que hacen parte del sistema de áreas protegidas. Estos corresponden a las áreas de
protección de las quebradas o rondas hídricas que discurren desde los cerros orientales y
occidentales hasta el rio Subachoque y que forman el corredor ecológico.
Parágrafo. Las áreas protegidas deben dedicarse a la preservación y/o recuperación de su
vegetación natural, en cumplimiento de los objetivos acordados en el numeral anterior. No
obstante, las autoridades municipales y/o las autoridades ambientales competentes, podrán
declararlas y manejarlas como áreas de reserva forestal del orden municipal, regional o nacional u
otras figuras que prevea la legislación vigente.
CIPIO DE AGUAZUL
ACUERDO No. _____
“POR EL CUAL SE ADOPTA LA REVISIÓN GENERAL DEL ESQUEMA DE ORDENAMIENTO TERRITORIAL DEL
MUNICIPIO DE SUBACHOQUE” EOT
23
Artículo 24. ÁREAS DE PROTECCIÓN DEL SISTEMA HÍDRICO. Son el conjunto de áreas de
preservación ambiental y restauración periférica a nacimientos y cauces de ríos, quebradas,
arroyos, embalses, humedales y vallados, así como a las zonas de recarga de acuíferos.
Entiéndase la zona de preservación y los cuerpos de agua como una unidad ecológica.
Artículo 25. ÁREAS PERIFÉRICAS A NACIMIENTOS, CAUCES DE AGUA, EMBALSES,
HUMEDALES Y VALLADOS. Son franjas de suelo paralelas al nivel máximo de agua y
ubicadas a lado y lado de los nacimientos, cauces de ríos, quebradas, arroyos, embalses,
humedales, vallados y demás cuerpos de aguas, sean permanentes o no. En el Municipio de
Subachoque, hacen parte de este sistema como componentes del sistema hídrico los
siguientes, en el marco del acuerdo 17 de 2009 de la CAR:
ÁREAS PERIFÉRICAS A NACIMIENTOS, CAUCES DE AGUA, EMBALSES, HUMEDALES Y VALLADOS
Elemento del Sistema Hídrico Ancho de Ronda
Nacimientos 100 ML a la redonda, medidos a partir de la periferia de los nacimientos.
Río Subachoque
30 ML de ancho, paralelo al nivel máximo de aguas a cada lado del cauce. Y
60 Ml de ancho paralelo “La Cuesta”
Demás quebradas y cuerpos de agua
permanentes e intermitentes
30 ML a lado y lado en el área urbana y rural, paralelo al nivel máximo de las
aguas.
Humedales y Embalses naturales 30 ML a la redonda, paralelo al nivel máximo de las aguas.
Red de vallados, canales de drenaje y
reservorios
10 ML a lado y lado en el área rural y centros poblados rurales y 5 ML a lado
y lado en el área urbana o de expansión urbana.
Artículo 26. ÁREAS DE INFILTRACIÓN Y RECARGA DE ACUÍFEROS. Son aquellas que
permiten la infiltración, circulación o tránsito de aguas entre la superficie y el subsuelo. En
el municipio de Subachoque corresponden, principalmente, a las áreas montañosas más
altas y a las laderas más escarpadas, cubiertas de bosque nativo, primario o secundario o
matorrales y pajonales, así como los valles aluviales del río Subachoque. No obstante, es
importante destacar que esta misma función es cumplida, de manera natural por áreas
montañosas como las descritas, aun cuando en la actualidad se encuentren cubiertas de
pastos o de plantaciones forestales artificiales, caso en el cual es de particular importancia
desarrollar sobre ellas proyectos y acciones tendientes a la recuperación de su condición
natural, dada la importancia ambiental de las mismas dentro de la estructura ecológica
principal.
Parágrafo primero. Dada la importancia estratégica ambiental de las áreas de recarga de los
acuíferos de la subcuenca del río Subachoque, la Administración Municipal adelantará las
gestiones pertinentes para que, en el corto plazo, se realicen los estudios técnicos tendientes a
la determinación de estas áreas de infiltración y recarga de acuíferos, para lo cual tendrá un
plazo de dos (2) años a partir de la aprobación del acuerdo municipal.
Parágrafo segundo. El municipio adelantará el Estudio de cotas máximas de inundación Rio
Subachoque y quebradas tributarias. Una vez realizado este estudio la Administración
Municipal ajustará la ronda de las quebradas al resultado del mismo, previo análisis y
aceptación por parte de la autoridad ambiental CAR.
CIPIO DE AGUAZUL
ACUERDO No. _____
“POR EL CUAL SE ADOPTA LA REVISIÓN GENERAL DEL ESQUEMA DE ORDENAMIENTO TERRITORIAL DEL
MUNICIPIO DE SUBACHOQUE” EOT
24
Artículo 27. ÁREAS FORESTALES. Corresponden al conjunto de áreas protegidas
conformadas por elementos del relieve natural del territorio municipal.
1. Reserva forestal protectora productora de la cuenca alta del Rio Bogotá (Res. 138 de
2014 Ministerio de Ambiente y Desarrollo Sostenible
El artículo 206 del Decreto - Ley 2811 de 1974 denomina área de reserva forestal la zona de
propiedad pública o privada reservada para destinarla exclusivamente al establecimiento o
mantenimiento y utilización racional de áreas forestales productoras, protectoras o
productoras y protectoras. De acuerdo con la RESOLUCION 0076 DE 1977 (Marzo 31) Por la
cual se aprueba un acuerdo de la Junta Directiva del Instituto Nacional de los Recursos
Naturales Renovables y del Ambiente -INDERENA-, El cual es el acuerdo 030 del 30 de
Septiembre de 1976, Por el cual se declaran y alindan unas áreas de reserva forestal y se
delegan unas funciones. Y al respecto en este acuerdo se consideró:
“Que la vegetación de las montañas situadas alrededor de la Sabana de Bogotá debe ser protegida
para conservar su efecto regulador de la cantidad y calidad de las aguas que son utilizadas por los
habitantes de ella;
Que el paisaje constituido por dichas montañas merece protección por su contribución al bienestar
físico y espiritual de los habitantes del Distrito Especial de Bogotá y Municipios aledaños;……
entre otros”
Y este acuerdo acordó:
“Artículo1: Declarar como Área de Reserva Forestal Protectora a la zona denominada Bosque
Oriental de Bogotá, ubicada en jurisdicción del Distrito Especial de Bogotá, y comprendida por los
siguientes linderos generales:
"Por el Oriente: Partiendo del Boquerón de Chipaque en la intersección con la Carretera del
Oriente; continúa en línea recta hasta el punto geodésico Cax 352, y siguiendo en dirección noreste
por la divisoria de aguas hasta el Alto de las Mirlas; de allí por la Cuchilla hasta el Alto de la
Horqueta; siguiendo la misma divisoria en dirección noreste, pasando por el Alto de la Cruz Verde,
Alto del Buitre, el Cerro de Plazuelas y el Alto de los Tunjos. Siguiendo la misma divisoria al Sur de
la Laguna de Vergón, en dirección Oriente, hasta el Morro de Matarredonda; de allí, siguiendo en
dirección Norte, por la divisoria de aguas a través del Alto de la Bolsa, Alto del Rejo, Alto de la Cruz,
hasta el Alto de Sarnoso. Desde este punto, en dirección Occidente, en línea recta hasta el
nacimiento de la Quebrada Turín, y por ésta aguas abajo hasta la confluencia de la Quebrada
Carrizal, siguiendo ésta aguas arriba hasta su nacimiento, de donde se sigue en línea recta, en
dirección noreste, hasta el Alto de Piedra Ballena; siguiendo la divisoria hacia el Norte, hasta el
punto geodésico "Piedras", y de allí por la misma divisoria hasta el nacimiento de la Quebrada El
Chicó, luego a la cumbre del Cerro La Moya, y en línea recta hasta el sitio Los Patios (intersección
con la carretera Bogotá - La Calera); luego sigue por la misma divisoria de aguas, en dirección
Norte; hasta la Estación La Cuchilla, del cable aéreo de Cemento Samper, de allí se sigue al Norte
hasta el Alto de Serrezuela, continuando a los Cerros de Cañada, Moreno, los Cerros de La Cumbre,
CIPIO DE AGUAZUL
ACUERDO No. _____
“POR EL CUAL SE ADOPTA LA REVISIÓN GENERAL DEL ESQUEMA DE ORDENAMIENTO TERRITORIAL DEL
MUNICIPIO DE SUBACHOQUE” EOT
25
y siguiendo hacia el Norte por la divisoria hasta el Alto de Pan de Azúcar en el punto geodésico
"Pan".
Por el Norte: Partiendo del punto geodésico "Pan", tomando en dirección noreste, hacia la cima de
la Lomita de Torca, hasta interceptar la Carretera Central del Norte (Alto de Torca).
Por el Occidente: Partiendo del punto Alto de Torca, en la Carretera Central del Norte, se continúa
por esta vía hacia el Sur, hasta la calle 193, se sigue por la prolongación de esta calle en dirección
Este hasta encontrar el perímetro sanitario en la cota 2.700 metros se continúa por esta cota en
dirección general Sur hasta el límite Norte del Barrio El Paraíso (corresponde a los planos 223/4-1 y
223/4-2, regularizado por el Departamento Administrativo de Planeación Distrital), bordeando este
Barrio por el Oriente; se continúa por la misma curva de nivel (2.700 metros) hasta encontrar el
Paseo Bolívar (Carretera de Circunvalación ); se sigue por dicho Paseo en dirección Este hasta
encontrar la calle 9 Sur; por esta vía se continúa hasta la curva de nivel 2.750 metros; se sigue por
esta cota, en dirección Sur, hasta la calle 15 Sur, por esta vía hacia el sureste, hasta encontrar la
curva de nivel 2.850; se sigue por esta cota hasta encontrar la Quebrada Ramajal; por esta
Quebrada, aguas arriba, hasta encontrar la curva de nivel 2.920 metros en el Barrio Los Alpes, se
continúa por esta curva hasta encontrar el lindero Norte de la propiedad de la Empresa de
Acueducto y Alcantarillado en dicho Barrio; por este lindero hasta donde la curva de nivel 2.900
metros la corta; se sigue en línea recta hasta el punto de intersección de la curva de nivel 3.100
metros con la prolongación del lindero Sur de la mencionada propiedad (Tanque de Los Alpes); se
continúa por dicha curva de nivel hacia el Sur hasta encontrar el divorcio de aguas del Boquerón de
Chipaque, se sigue por esta divisoria de aguas, en dirección Oeste, hasta su intersección con la
Carretera de Oriente, punto de partida".
Artículo 2: Declarar como Área de Reserva Forestal Protectora - Productora la Cuenca Alta del Río
Bogotá, aguas arriba de la cota superior del Salto de Tequendama, con excepción de las tierras que
están por debajo de la cota 2.650 y tengan una pendiente inferior al 100%, y de las definidas por el
artículo 1 de este Acuerdo y por el perímetro urbano y sanitario de la ciudad de Bogotá……”
A raíz de que en el área de la reserva forestal delimitada, incluso desde antes del año 1977, ya
existían algunas intervenciones que no guardaban relación con el objetivo de la reserva, como
lo son áreas urbanas, áreas de expansión urbana, centros poblados, áreas industriales, áreas
comerciales y de servicios, áreas agropecuarias, ente otras, después de varios planteamientos y
demás, el Ministerio de Ambiente y Desarrollo Sostenible – MADS, realizó en conjunto con
otras entidades el proceso de realinderación de la reserva, el cual dio como resultado lo que se
materializó en la resolución 138 de 2014 del MADS, la cual realinderó el área de reserva forestal
protectora productora de la cuenca alta del Rio Bogotá, la cual quedó constituida con 94.161
Has, aproximadamente distribuidas en 16 sectores o polígonos, dentro de los cuales el
Municipio de Subachoque tiene jurisdicción en los sectores 4 y 5. En el artículo 2 de esta
resolución dice: Efecto protector. En el marco de lo dispuesto en el acuerdo 030 de 1976,
aprobada por la resolución 076 de 1977, en concordancia con el artículo 61 de la ley 99 de 1993,
al efecto protector de la reserva forestal protectora productora de la cuenca alta del Rio
Bogotá, se define como aquel que permite conservar las coberturas naturales, el paisaje
CIPIO DE AGUAZUL
ACUERDO No. _____
“POR EL CUAL SE ADOPTA LA REVISIÓN GENERAL DEL ESQUEMA DE ORDENAMIENTO TERRITORIAL DEL
MUNICIPIO DE SUBACHOQUE” EOT
26
agropecuario y forestal característico de la sabana de Bogotá y el recurso hídrico superficial o
subterráneo así como establecer y mantener la conectividad de los mismos.
Hacen parte del área de reserva forestal de la cuenca alta del Rio Bogotá, los suelos ubicados
en los Cerros orientales y occidentales. De acuerdo al plano CG-01. Estructura Ecológica
Principal.
2. Distrito de manejo integrado nacimiento del Rio Subachoque y Pantano de Arce y RFP
Quebradas Paramillo y Queseros
Son áreas de protección y reserva que, con base en criterios de desarrollo sostenible, permiten
ordenar, planificar y regular el uso y manejo de los recursos naturales renovables y las
actividades económicas que allí se desarrollan.
 Zona de Preservación (Área de reserva forestal protectora). Con fines de preservar la
riqueza florística y los recursos hídricos.
 Zona de Recuperación para la Preservación. Con el fin de implantar acciones encaminadas a
establecer condiciones primigenias de la zona para asegurar la calidad y cantidad del
recurso hídrico.
 Zona de Producción (Zona de amortiguación). La cual cumple la función de franja
amortiguadora del área de reserva forestal protectora y la zona de recuperación para la
preservación.
 Zona de Protección (Área de reserva forestal protectora productora). Con el fin de
mantener y conservar plantaciones establecidas desde hace más de diez (10) años
Con el fin de garantizar la conservación y protección de ecosistemas importantes por su
potencial hídrico en el Pantano de Arce y en la parte alta de la Cuenca del Río Subachoque, este
esquema acoge lo establecido por el Decreto No. 2372 de 2010, el Sistema Nacional de Áreas
Protegidas.
En cuanto a la delimitación del área correspondiente al D.M.I. y su correspondiente zonificación
y asignación de usos, este esquema acoge el Acuerdo 17 del 17 de septiembre de 1993 de la CAR
para las quebradas Paramillo y Queseros (La Pradera) y el Acuerdo 17 de 1997 de la CAR para el
Nacimiento del Río Subachoque y el Pantano de Arce. (Ver plano CG-03 Estructura Ecológica
Principal). En esta área se localiza el predio con número catastral 000100110051000, de
propiedad de la CAR, destinado a protección de recursos naturales.
Artículo 28. SISTEMA DE PARQUES. Está conformado por las áreas de recreación pública
donde el predio y sus recursos sólo pueden ser aprovechados con fines científicos y
paisajísticos de recreación pública, dadas sus características. Las áreas comprendidas por
estos parques constituyen suelo de protección. Dentro del sistema de parques se
encuentran los parques de valor natural que son el conjunto de áreas protegidas que por
sus condiciones de localización y accesibilidad se destinan a la preservación, restauración y
aprovechamiento sostenible de sus elementos biofísicos para la educación ambiental y la
recreación pasiva. Igualmente hacen parte del sistema de parques, los parques urbanos, las
áreas de recreación eco turísticas y las áreas histórico - culturales.
CIPIO DE AGUAZUL
ACUERDO No. _____
“POR EL CUAL SE ADOPTA LA REVISIÓN GENERAL DEL ESQUEMA DE ORDENAMIENTO TERRITORIAL DEL
MUNICIPIO DE SUBACHOQUE” EOT
27
Componentes del sistema de parques
El sistema de parques está conformado por parques del orden municipal. Los parques del
orden municipal corresponden al área de recreación ecoturística localizada en la zona rural y los
parques urbanos que contengan elementos naturales de importancia ecológica y paisajística.
Áreas de recreación ecoturística
Son áreas especiales que por factores ambientales y sociales deben constituir modelos de
aprovechamiento racional destinados a la recreación pasiva y a las actividades deportivas. Los
cuales son: Embalse Pantano De Arce, Cerro o Cuchilla El Tablazo, Cerro La Soldadesca O El Carare,
Nacimiento Del Río Subachoque, Cascada El Guamal, Cerro El Juaica, Piedra Miranda, El Pozo De
Mosquera, Meseta De Guines, Piedras De Cascajal, Laguna Del Vejeron o Del Salitre, Cerro Carrasposo,
Laguna Negra, Cerro Pedregoso.
Artículo 29. ÁREAS PARA LA PRODUCCIÓN AGRÍCOLA Y GANADERA Y DE EXPLOTACIÓN DE
LOS RECURSOS NATURALES. Incluye los terrenos que deban ser mantenidos y preservados
por su destinación a usos agrícolas, ganaderos, forestales o de explotación de recursos
naturales.
ÁREAS PARA LA PRODUCCIÓN AGRÍCOLA Y GANADERA Y DE EXPLOTACIÓN DE RECURSOS NATURALES.
1 Áreas de Suelos con Clase Agrologica I, II y III
1.1 Área Agropecuaria Intensiva
Áreas de suelos con clase agrológica I, II y III
Las propiedades físico, químicas y mecánicas de los suelos de estas clases agrologicas, los hace
fértiles y aptos para el establecimiento de cultivos y forraje para ganado mediante labores
intensivas e intensivas.
1. Área Agropecuaria Intensiva: localizada en terrenos con relieve ligeramente a levemente
ondulado en abanicos de valle aluvial, en pendiente compleja entre 10% y 15%,
moderadamente permeables a permeables, sin piedras en la superficie o en el perfil, con
profundidad efectiva moderada a profunda, alta a media acidez, mecanizables, no
inundables, fertilidad alta a moderada. Clase agrologica II.
Artículo 30. ÁREAS DE RESTAURACIÓN MORFOLÓGICA Y DE REHABILITACIÓN DE SUELOS.
Son aquellas que se pueden dar en áreas de antiguas explotaciones minero–extractivas que
han sufrido un proceso de deterioro por la explotación no técnica a que se han visto
sometidas, corresponden a la adecuación de suelos con fines exclusivos de restauración
morfológica y rehabilitación.
CIPIO DE AGUAZUL
ACUERDO No. _____
“POR EL CUAL SE ADOPTA LA REVISIÓN GENERAL DEL ESQUEMA DE ORDENAMIENTO TERRITORIAL DEL
MUNICIPIO DE SUBACHOQUE” EOT
28
Artículo 31. ÁREAS E INMUEBLES CONSIDERADOS COMO PATRIMONIO CULTURAL.
Corresponde al Área Histórica y Cultural y es aquella que debe manejarse en forma especial
por ser digna de conservación, en razón a los valores históricos y culturales que representa
para el Municipio y su población. Corresponde a: Centro Histórico De Subachoque, Parroquia
San Miguel Arcángel, Casa Cural, Casa De Gobierno, Teatro Municipal, Biblioteca Municipal, La
Casa De La Fundación Amigos De Subachoque, Casa De La Cultura, Parque Principal, La Casa
Antiguo Hospital San Antonio, Cementerio Municipal, La Ferrería De La Pradera, Capilla De La
Pradera. Casas De Antiguas Haciendas.
Artículo 32. ÁREAS DEL SISTEMA DE SERVICIOS PÚBLICOS DOMICILIARIOS. Corresponde a
las áreas de protección de infraestructura de servicios públicos y son las unidades
territoriales existentes y previstas para la instalación de obras de infraestructura y
prestación de servicios públicos: En el Municipio, a estas áreas corresponden la planta de
tratamiento de aguas residuales, los sistemas de tratamiento de vertimientos de otros
sectores rurales, Planta de tratamiento del acueducto municipal y de los acueductos
veredales. Las infraestructuras del sistema de acueducto, alcantarillado y saneamiento,
tendrán una franja de aislamiento de acuerdo a la reglamentación de la RAS 2000, el
aislamiento es de 500 metros a la redonda.
Parágrafo Primero. La PTAR del municipio se localiza en el predio 25769000100070522, de
propiedad de la CAR.
Parágrafo Segundo. Las coordenadas de la PTAR y la PTAP se encuentran en los cuadros de
coordenadas a continuación
COORDENADAS PTAP
ID NOBRE X Y
1 PTAP SUBACHOQUE CASCO URBANO 988875,53 1037828,29
2 PETAP EMBLASE PANTANO DE ARCE 1 988443,62 1044769,78
COORDENADAS PTAR
ID NOMBRE X Y
1 PTAR SUBACHOQUE CASCO URBANO 989979,1 1035744,18
2 PETAR CENTRO POLBADO GALDAMEZ 991100,78 10356554,2
3 PETAR INSPECCION DE LA PRADERA 993912,43 1044761,19
CAPÍTULO IV
DE LA ARTICULACIÓN REGIONAL
Artículo 33. SISTEMAS DE COMUNICACIÓN Y ENLACE URBANO – RURAL Y URBANO –
REGIONAL. La comunicación y enlace entre las áreas urbana y rural del Municipio y el
entorno regional y nacional, se da a través del sistema vial que integra y articula los
CIPIO DE AGUAZUL
ACUERDO No. _____
“POR EL CUAL SE ADOPTA LA REVISIÓN GENERAL DEL ESQUEMA DE ORDENAMIENTO TERRITORIAL DEL
MUNICIPIO DE SUBACHOQUE” EOT
29
contextos espaciales territoriales al interior y exterior del Municipio. Las vías son el
principal sistema estructurante del desarrollo físico. El sistema de comunicación y enlace de
Subachoque está conformado por el sistema vial local, regional y nacional, del cual hacen
parte los siguientes ejes viales:
1. Vías de primer orden:
 No existen vías de primer orden actualmente en la jurisdicción municipal.
En caso de llegar a existir para estas vías y de acuerdo a la Ley 1228 de 2008, no se podrán
permitir construcciones permanentes dentro de los 20 metros a partir del eje de la calzada de
cada lado. En el caso que siga siendo de una sola calzada no se podrán permitir construcciones
permanentes dentro de los 30 metros a partir del eje de la vía.
2. Vías de Segundo Orden:
 Vía a Puente de Piedra - Madrid
 Vía a La Pradera – Zipaquirá
 Vía a El Rosal
 Vía a Tabio
 Vía a Pacho
Para estas vías y de acuerdo a la Ley 1228 de 2008, no se podrán permitir construcciones
permanentes dentro de los 22,5 metros a partir del eje de la vía a lado y lado de la misma.
3. Vías de Tercer Orden:
 Las demás vías rurales que existen en el municipio que conectan a dos o más veredas o
a una vereda con municipio vecino.
 Para estas vías y de acuerdo a la Ley 1228 de 2008, no se podrán permitir
construcciones permanentes dentro de los 15 metros a partir del eje de la vía a lado y
lado de la misma.
4. Vías de Cuarto Orden:
 Vías de acceso a predios, Las demás vías rurales que existen en el municipio que no
conectan veredas sino fincas dentro de una misma vereda.
Para estas vías y de acuerdo a la Ley 1228 de 2008, no se podrán permitir construcciones
permanentes dentro de los 10 metros a partir del eje de la vía a lado y lado de la misma.
CAPÍTULO V
DE LA INCORPORACIÓN DE LA GESTIÓN DEL RIESGO DE DESASTRES EN EL EOT
Artículo 34. INCORPORACIÓN DE LA GESTIÓN DEL RIESGO DE DESASTRES EN EL EOT. La
metodología para la incorporación de procesos amenazantes de origen natural en el
CIPIO DE AGUAZUL
ACUERDO No. _____
“POR EL CUAL SE ADOPTA LA REVISIÓN GENERAL DEL ESQUEMA DE ORDENAMIENTO TERRITORIAL DEL
MUNICIPIO DE SUBACHOQUE” EOT
30
ordenamiento territorial, partió de la identificación de los procesos amenazantes presentes
en el territorio, utilizando la información secundaria disponible (estudios de amenaza,
vulnerabilidad y riesgo por movimientos en masa, inundación, avenida torrencial e
incendios forestales en los municipios priorizados en jurisdicción de la corporación
autónoma regional de Cundinamarca CAR, contrato de consultoría 1185-2013 CAR).
Artículo 35. ZONIFICACIÓN Y DELIMITACIÓN DE AMENAZA Son áreas que por su ubicación o
por sus características geomorfológicas y geotécnicas, son susceptibles de sufrir eventos,
como:
 Movimientos en masa
 Inundaciones
Estas áreas se precisan para el Municipio de Subachoque según el estudio de la consultoría UT
AVR-CAR, 2014, en las que dan cuenta de los fenómenos que a continuación se enuncian y sobre
los cuales se toman medidas no estructurales en el EOT:
 Movimientos en masa.
 Inundaciones
Artículo 36. ZONAS O ÁREAS EN AMENAZA POR FENÓMENOS DE REMOCIÓN EN MASA. Las
áreas en amenaza por fenómenos de remoción en masa corresponden a las zonas
potenciales de riesgo para la ubicación de asentamientos humanos, donde la intervención
humana se considera un factor que puede alterar las condiciones de riesgo.
Parágrafo Primero: Las zonas o áreas del área rural a que hace referencia el presente artículo
se encuentran espacializadas en los Mapas GR-01 "Amenaza por Remoción en Masa Rural”
Parágrafo Segundo: Las zonas o áreas del área urbana a que hace referencia el presente
artículo se encuentran espacializadas en los Mapas GR-0 "Amenaza por Remoción en Masa
Urbana”
Parágrafo Tercero. La tabla de coordenadas correspondiente a las áreas o zonas en amenaza
alta por fenómenos de movimiento en masa se puede encontrar en el Anexo B. Coordenadas
de áreas en amenaza alta por remoción rural, del documento denominado Estudio Básico de
Gestión del riesgo.
Artículo 37. ZONIFICACIÓN DE AMENAZA POR FENÓMENOS DE INUNDACIÓN. Corresponde
a las zonas o áreas donde existe una probabilidad de ocurrencia de inundaciones por
desbordamiento de cauces naturales y/o cuerpos de agua intervenidos asociados a periodo
de retorno, a la altura de la lámina de agua con efectos potencialmente dañinos.
Parágrafo Primero. Las zonas o áreas del área rural a que hace referencia el presente artículo
se encuentran espacializadas en los Mapas GR-03 "Amenaza por Inundación Rural”
CIPIO DE AGUAZUL
ACUERDO No. _____
“POR EL CUAL SE ADOPTA LA REVISIÓN GENERAL DEL ESQUEMA DE ORDENAMIENTO TERRITORIAL DEL
MUNICIPIO DE SUBACHOQUE” EOT
31
Parágrafo Segundo. Las zonas o áreas del área urbana a que hace referencia el presente
artículo se encuentran espacializadas en los Mapas GR-04 "Amenaza por Inundación Urbana”
Parágrafo Tercero. La tabla de coordenadas correspondiente a las áreas o zonas en amenaza
alta por inundación se pueden encontrar para el área rural en el Anexo C. Coordenadas de áreas
en amenaza alta por remoción rural y para el área urbana en el Anexo D. Coordenadas de áreas
en amenaza alta por inundación urbana del documento denominado Estudio Básico de Gestión del
riesgo.
Artículo 38. ZONAS O ÁREAS EN AMENAZA POR INCENDIOS FORESTALES: Los incendios y
conatos de incendios son temas muy comunes debido al aumento de los registros dados
por su incremento en frecuencia y área afectada, así como en los impactos generados
(Parra, 2011) evaluado. Según lo desarrollado por la consultora AVR (2015) para el análisis de
la amenaza se tuvo en cuenta los factores climáticos, de relieve, históricos (Conforme a la
existencia y disponibilidad de reportes históricos de incendios en el municipio, la
información obtenida para el análisis de este factor es considerada como elemento de
corroboración dentro del análisis de amenaza), de accesibilidad y la susceptibilidad de las
coberturas vegetales a incendios
Parágrafo primero: Las zonas o áreas a las que hace referencia el presente artículo, se
encuentran espacializadas en el Mapa GR-05 "Amenaza por incendios forestales".
Artículo 39. ZONIFICACIÓN Y DELIMITACIÓN DE ÁREAS CON CONDICIÓN DE AMENAZA POR
INUNDACIÓN: Corresponden a las zonas de catalogadas como de amenaza, media y alta
que se consideren como objeto de desarrollo en el suelo rural del Municipio de
Subachoque.
Parágrafo. Las zonas o áreas a las que hace referencia el presente artículo, se encuentran
espacializadas en el Mapa GR-06 "Áreas con condición de amenaza por fenómeno de
inundación".
Artículo 40. ZONIFICACIÓN Y DELIMITACIÓN DE ÁREAS CON CONDICIÓN DE AMENAZA POR
FENOMENO DE MOVIMIENTOS EN MASA. Corresponden a las zonas de catalogadas como
de amenaza, media y alta que se consideren como objeto de desarrollo en el suelo rural
del Municipio de Subachoque.
Parágrafo. Dado que no existen áreas con condición de amenaza por movimientos en masa en
el área urbana ni en el área rural, no se presentan planos asociados a esta temática.
Artículo 41. ZONIFICACIÓN Y DELIMITACIÓN DE ÁREAS CON CONDICIÓN DE AMENAZA POR
INCENDIOS FORESTALES: Corresponden a las zonas de catalogadas como de amenaza,
media y alta que se consideren como objeto de desarrollo en el suelo rural del Municipio de
Subachoque.
CIPIO DE AGUAZUL
ACUERDO No. _____
“POR EL CUAL SE ADOPTA LA REVISIÓN GENERAL DEL ESQUEMA DE ORDENAMIENTO TERRITORIAL DEL
MUNICIPIO DE SUBACHOQUE” EOT
32
Parágrafo. Dado que no existen áreas con condición de amenaza por incendios forestales en el
área urbana ni en el área rural, no se presentan planos asociados a esta temática.
Artículo 42. ÁREAS CON CONDICIÓN DE RIESGO POR FENÓMENOS DE REMOCIÓN EN
MASA. Son las zonas que fueron determinadas en amenaza alta que actualmente se
encuentran ocupadas y corresponden al sector denominado Llanitos ,en las cuales deben
desarrollarse estudios de riesgo detallados que determinen cuales son las medidas de
intervención estructurales y no estructurales que deben desarrollarse en las mismas.
Parágrafo Primero. Las zonas o áreas a las que hace referencia el presente artículo, se
encuentran espacializadas en el Mapa GR-07 "Áreas con condición de riesgo por fenómeno de
remoción en masa".
Artículo 43. ÁREAS CON CONDICIÓN DE RIESGO POR INUNDACIÓN. Corresponden a las
áreas de amenaza alta por inundación que se encuentran ocupadas con viviendas e
infraestructura en la zona rural, se encuentra en esta condición el sector del centro poblado
rural Galdamez.
Parágrafo primero: Las zonas del área rural a las que hace referencia el presente artículo, se
encuentran espacializadas en el Mapa GR-08 "Áreas con condición de riesgo por inundación".
Artículo 44. ÁREAS CON CONDICIÓN DE RIESGO POR INCENDIOS FORESTALES.
Corresponden a las áreas de amenaza alta por Incendios Forestales que se encuentran
ocupadas con viviendas e infraestructura en la zona rural, en esta condición se encuentran
los sectores rurales de Llanitos.
Parágrafo primero: Las zonas del área rural a las que hace referencia el presente artículo, se
encuentran espacializadas en el Mapa GR-09 "Áreas con condición de riesgo por incendios
Forestales".
Artículo 45. REQUISITOS PARA LA ELABORACIÓN DE ESTUDIOS DETALLADOS DE RIESGOS
PARA MOVIMIENTOS EN MASA
Insumos para determinar la amenaza por movimientos en masa
A continuación se presentan los Insumos requeridos para la determinar la amenaza por
movimientos en masa. Que corresponden a los estudios de aquellos factores intrínsecos y
detonantes que intervienen en la estabilidad de las laderas. Estos son:
 Topografía: La topografía es imprescindible para la realización de cualquier estudio, es
necesaria entre otras para establecer el espacio geográfico en donde se realizará el estudio
e implica contar con mapas topográficos a la escala adecuada. Para el mapa topográfico se
recomienda que contenga información planimetría y altimetría de acuerdo a la escala a
trabajar en el estudio (1:2.000 o mayor detalle) y que incluya viviendas, infraestructura,
equipamientos, redes de drenaje y en general todo detalle que sea de interés para el
estudio. Así mismo, y con el objeto de unificar un marco geográfico de referencia, es
CIPIO DE AGUAZUL
ACUERDO No. _____
“POR EL CUAL SE ADOPTA LA REVISIÓN GENERAL DEL ESQUEMA DE ORDENAMIENTO TERRITORIAL DEL
MUNICIPIO DE SUBACHOQUE” EOT
33
importante, que el mapa topográfico siga los lineamientos que para su elaboración
establezca el Instituto Geográfico Agustín Codazzi - IGAC, en especial la información debe
estar referida al Dátum oficial de Colombia MAGNA–SIRGAS y con amarre a placas
certificadas por el IGAC.
 Geología para Ingeniería: el objetivo del estudio geológico es la caracterización de las
unidades litológicas, dado que dependiendo del tipo de estas, se favorecen en mayor o
menor grado a los movimientos en masa. En ese sentido, el levantamiento geológico se
debe realizar al mismo nivel o escala del estudio y debe integrar la geología regional, local y
de detalle, teniendo en cuenta aspectos de génesis, litología, estratigrafía y geología
estructural (fallas y pliegues), unidades de superficie y procesos de erosión. Así mismo, la
evaluación geológica debe estar orientada hacia la obtención de un modelo geológico y
estratigráfico que permita optimizar la exploración geotécnica e interpretar las condiciones
regionales y locales de estabilidad.
 Geomorfología: El objetivo de la geomorfología es realizar la identificación y
caracterización de las geoformas y de los procesos morfodinámicos, para lo cual se debe
considerar su génesis y evolución. Para el levantamiento de los procesos morfodinámicos
regionales y locales (o inventario de procesos) que se presenten en la zona en la que se
adelanta el estudio, se recomienda utilizar la metodología propuesta por el Servicio
Geológico Colombiano (antes Ingeominas) dentro del marco del Proyecto Multinacional
Andino – PMA, en el cual se incluyen aspectos necesarios tales como la localización,
clasificación del movimiento, actividad del movimiento, mecanismo de falla, morfometría,
causas del movimiento y efectos.
 Climatología, Hidrología y Evaluación del Drenaje superficial: el estudio climatológico
busca realizar una caracterización de los elementos climáticos del sector en el que se
adelanta el estudio: precipitación (principalmente), viento, brillo solar y temperatura, entre
otros. El objetivo del estudio hidrológico es realizar la evaluación hidrológica del drenaje
superficial natural del sector en el que se adelanta el estudio. Dentro de estos es
importante que se realicen correlaciones de la precipitación con la ocurrencia de
movimientos en masa.
 Hidrogeología: El estudio busca determinar y evaluar las condiciones del agua
subsuperficial en condiciones normales y extremas probables que puedan influir en las
condiciones de estabilidad del sector de estudio.
 Cobertura y Uso del Suelo: El objetivo del estudio es realizar un mapa de cobertura y uso
del suelo que se presente al momento de realizarlo, en el que se muestre los diferentes
tipos de cobertura y usos del suelo como factor contribuyen o resistente a los procesos de
inestabilidad, especialmente los procesos de minería.
 Análisis Sismológico: busca determinar la influencia del factor sismo con relación a la
generación de movimientos en masa, para lo cual es necesario analizar el efecto de los
sismos en la zona de estudio teniendo en cuenta las magnitudes de las aceleraciones
estimadas más probables a partir de la sismicidad en la región. Para estos análisis se
CIPIO DE AGUAZUL
ACUERDO No. _____
“POR EL CUAL SE ADOPTA LA REVISIÓN GENERAL DEL ESQUEMA DE ORDENAMIENTO TERRITORIAL DEL
MUNICIPIO DE SUBACHOQUE” EOT
34
recomienda consultar la normatividad vigente (Reglamento Colombiano de Construcción
Sismo Resistente- NSR-10 y/o microzonificaciones sísmica) y estudios locales. Sin embargo,
la adopción de los valores utilizados para los análisis deberán ser debidamente justificados
y soportados.
 Exploración o Investigación del Subsuelo: Según el Titulo H - Estudios Geotécnicos del NSR-
10 corresponden al estudio y conocimiento del origen geológico, la exploración del
subsuelo (apiques, trincheras, perforación y sondeo y otros) y los ensayos y pruebas de
campo y laboratorio necesarios para identificar y clasificar los diferentes suelos y rocas y
cuantificar las características físico-mecánicas e hidráulicas del subsuelo. Es importante que
la investigación se realice con base en los estudios de geología y geomorfología del área de
estudio, así como de las condiciones generales observadas durante el reconocimiento
geotécnico. Para la definición de la cantidad de investigación se pueden utilizar los criterios
definidos en el Título H - Estudios Geotécnicos del Reglamento Colombiano de
Construcción Sismo Resistente – NSR-10.
 Zonificación Geotécnica y Modelo Geológico y Geotécnico: El estudio busca realizar la
identificación y caracterización de zonas homogéneas en términos de su comportamiento
geotécnico. Es importante que en cada una de las zonas se determine entre otros aspectos
los mecanismos actuales y potenciales de inestabilidad, composición y distribución
estratigráfica de los materiales y su relación con las condiciones geológicas,
geomorfológicos e hidráulicas, así como la identificación de comportamientos típicos ante
diferentes solicitaciones y la evaluación de parámetros representativos de resistencia,
compresibilidad y relaciones esfuerzo-deformación. La zonificación que se elabore permite
orientar entre otros aspectos, la selección de los sitios puntuales y las secciones
transversales sobre los cuales se realicen los análisis detallados de estabilidad, en las que
establecer y describir el respectivo modelo geológico y geotécnico.
a. Evaluación de la amenaza
El método o métodos que se utilicen para evaluar la amenaza por movimientos en masa (se
recomienda utilizar método determinísticos) deben considerar los mecanismos de falla de los
diferentes procesos de inestabilidad identificados, así mismo conviene que éstos sean
coherentes con la información primaria y secundaria obtenida previamente.Para los análisis que
se realicen se recomienda considerar diferentes escenarios (actual, futuro y con medidas de
mitigación) para condiciones normales y extremas (agua, procesos antrópicos y sismo), a
partir de los cuales se determinan los factores de seguridad o probabilidad de falla para cada
uno de estos escenarios. Para cada escenario se recomienda que se realice la evaluación y
zonificación de la amenaza, categorizándola en niveles de amenaza alta, media y baja con sus
respectivas características de la amenaza.
b. Evaluación de la vulnerabilidad y exposición
En los análisis de la vulnerabilidad, se deben tener en cuenta el nivel de exposición,
susceptibilidad o predisposición y resistencia de todos los elementos de la zona de estudio ante
CIPIO DE AGUAZUL
ACUERDO No. _____
“POR EL CUAL SE ADOPTA LA REVISIÓN GENERAL DEL ESQUEMA DE ORDENAMIENTO TERRITORIAL DEL
MUNICIPIO DE SUBACHOQUE” EOT
35
los eventos amenazantes (movimientos en masa). Así mismo y dado que se trata de evaluar los
asentamientos vulnerables antes los movimientos en masa, se recomienda que se realice el
análisis de la vulnerabilidad física (vivienda e infraestructura) y social para cada uno de los
escenarios considerados en los análisis de amenaza. Así mismo, es importante que se realice la
zonificación de la vulnerabilidad y que se categorice en alta, media y baja.
c. Análisis y evaluación del riesgo
La evaluación de riesgo es el resultado de relacionar la amenaza y la vulnerabilidad. Los análisis
y evaluación del riesgo deben ser para los mismos escenarios considerados en las evaluaciones
de amenaza y vulnerabilidad y en los que se determine los efectos o consecuencias físicas,
sociales y económicas en términos de pérdidas. Esta zonificación debe categorizar el riesgo en
alto, medio y bajo.
Profesionales que realizan los estudios
De acuerdo con los diferentes estudios considerados se recomienda:
 Estudios de geología y geomorfología: el profesional que realice estos estudios debe ser
un geólogo o ingeniero geólogo con experiencia profesional mayor o igual a 5 años.
 Estudios de Cobertura y Uso del Suelo: los profesionales que realicen estos estudios deben
ser ingeniero civil y/o ingeniero ambiental y/o ingeniero catastral y/o ingeniero forestal y/o
ingeniero agrónomo y/o agrónomo y/o ecólogo con experiencia profesional mayor o igual a
5 años.
 Estudios de Hidrología: el profesional que los realice debe ser ingeniero civil o ingeniero
ambiental o ingeniero hidrólogo con experiencia profesional mayor o igual a 5 años y
acreditar estudios de postgrado o experiencia mayor a 2 años en el área de hidrología. Los
estudios del clima los podrá realizar meteorólogos.
 Estudios de hidráulica: El profesional que los realice debe ser ingeniero civil con experiencia
profesional mayor o igual a 5 años, con experiencia en el área hidráulica y en modelos
hidráulicos y delimitación de zonas de inundación.
 Análisis Sismológico, Investigación del Subsuelo, Zonificación Geotécnica y Análisis de
Estabilidad: el profesional que los realice debe ser ingeniero civil con experiencia
profesional mayor o igual a 5 años y acreditar estudios de postgrado o experiencia mayor a
2 años en el área de geotecnia.
 Estudios de Evaluación de Amenaza, Vulnerabilidad y Riesgo por Movimientos en Masa: el
profesional que realice estos estudios debe ser geólogo o ingeniero geólogo o ingeniero
civil con experiencia profesional mayor o igual a 5 años, experiencia especifica en
evaluación de riesgos mayor a 2 años y estudios de postgrado en geotecnia o evaluación de
riesgos.
 Evaluación de Amenaza, Vulnerabilidad y Riesgo por Inundación: el profesional que realice
estos estudios deberá ser ingeniero civil con experiencia profesional mayor o igual a 5 años,
acreditar estudios de postgrado en hidrología o hidráulica y experiencia específica en
CIPIO DE AGUAZUL
ACUERDO No. _____
“POR EL CUAL SE ADOPTA LA REVISIÓN GENERAL DEL ESQUEMA DE ORDENAMIENTO TERRITORIAL DEL
MUNICIPIO DE SUBACHOQUE” EOT
36
evaluación de riesgos mayor a 2 años o tener estudio de postgrado en evaluación de
riesgos.
Artículo 46. REQUISITOS PARA LA ELABORACIÓN DE ESTUDIOS DETALLADOS DE RIESGOS
POR INUNDACIÓN
Los estudios requeridos para determinar la amenaza por inundación corresponden a:
topografía, geología, geomorfología, geotecnia, cobertura y usos del suelo, hidrología e
hidráulica. A continuación se presenta recomendaciones de lo que deben desarrollar los
estudios:
 Topografía: En la topografía se requiere la planimetría y la altimetría para establecer la
forma del valle en la zona que se quiere evaluar, así mismo se requiere tener una serie de
cortes o secciones transversales y longitudinales que sirven para conocer la forma exacta
del canal (incluye profundidad – Batimetría) y las zonas inundables sobre todo el trayecto
del río en el área a evaluar. Además por tratarse de un estudio de riesgos, la topografía
también contemplará incluir elementos de interés como viviendas, infraestructura, y todo
detalle de interés para el estudio. Así mismo, que los estudios topográficos deben seguir los
lineamientos que para su elaboración establezca el Instituto Geográfico Agustín Codazzi -
IGAG, en especial la información debe estar referida al Dátum oficial de Colombia MAGNA–
SIRGAS y con amarre a placas certificadas por el IGAC.
 Geología: es útil para determinar tipos de formaciones geológicas, fuentes sísmicas a partir
de la geología estructural (sistemas de fallas) y procesos de erosión que pueden tener la
cuenca o el cauce del río o quebrada. La orientación del estudio geológico, es que debe
tener una interpretación desde el punto de vista de la ingeniería geológica que tenga en
cuenta las características de la zona a estudiar.
 Geomorfología: Se deberá usar para determinar la variabilidad en la forma del cauce, la
llanura de inundación, las terrazas aluviales y la migración del cauce. Los resultados se
emplean para determinar la extensión potencial de la inundación y zonas de inundación
históricas. Se recomienda analizar de manera multitemporal la dinámica de los cauces y
conformar en detalle la cartografía de la evolución histórica del curso de agua.
 Geotecnia: En los cauces pueden presentarse movimientos en masa que pueden ocasionar
taponamientos o represamientos del cauce. Por lo tanto, se requiere estudiar la estabilidad
de laderas en las zonas susceptibles a sufrir movimientos en masa a lo largo del cauce del
río o quebrada, determinando los volúmenes aproximados que pueden caer al río y crear
una presa natural, que con el tiempo colapsa, generando una creciente aguas abajo que
puede causar afectaciones a las personas y a sus propiedades.
Por otra parte, en caso de existir obras o estructuras como por ejemplo jarillones, muros,
diques, etc., se recomienda hacer el análisis de estabilidad a estas estructuras, tanto para
condiciones normales como extremas.
CIPIO DE AGUAZUL
ACUERDO No. _____
“POR EL CUAL SE ADOPTA LA REVISIÓN GENERAL DEL ESQUEMA DE ORDENAMIENTO TERRITORIAL DEL
MUNICIPIO DE SUBACHOQUE” EOT
37
 Cobertura y usos del suelo: la cobertura vegetal corresponde a los atributos biofísicos de la
superficie terrestre, y los usos del suelo son los distintos propósitos humanos con los que
se aprovechan estos atributos. Ellos determinan el funcionamiento de los ecosistemas
terrestres: afectan directamente a su biodiversidad, contribuyen a los cambios climáticos
locales, regionales y globales y son las fuentes primarias de la degradación de los suelos. Es
una herramienta para caracterizar una región y es un elemento básico del diagnóstico para
el ordenamiento territorial. Para su realización, se recomienda utilizar imágenes de satélite,
fotografías aéreas, mapas de cobertura, exploraciones de campo, u otro sistema, para que
a través de su interpretación realizar el respectivo mapa de cobertura.
 Hidrología: utilizada para determinar el régimen de crecientes o caudales que pueden
afectar a una región específica. A partir de la caracterización climatológica y la evaluación
hidrológica detallada de la cuenca es posible determinar crecientes para diferentes
periodos de retorno como se sugieren en el siguiente ítem. Un estudio hidrológico para
determinar caudales requiere de información básica como datos de precipitación, caudales,
áreas y perímetro de la cuenca, elevación media, longitud, pendiente del cauce a través de
la cuenca, tiempo de concentración y demás parámetros relevantes de la cuenca.
Dependiendo de la calidad y tipo de la información y del tamaño de cuenca, se recomienda
aplicar cualquiera de siguientes metodologías para la estimación de eventos extremos:
análisis de frecuencias, modelos lluvia-escorrentía, método racional o método de
regionalización.
 Hidráulicos: utilizado para obtener propiedades características del cauce del río o
quebrada. Con las propiedades físicas del cauce como forma del canal, sección transversal,
pendiente, sinuosidad1
, pendiente de orillas, rugosidad del cauce, entre otros, y con los
caudales de creciente para diferentes periodos de retorno (se recomiendan que los análisis
se realicen mínimo para periodos de retorno de 10, 50 y 100 años), se obtienen las
propiedades hidráulicas del cauce del rio o quebrada como, capacidad hidráulica (capacidad
de transporte de un determinado volumen de agua a través del cauce, de un punto a otro,
en un tiempo determinado), velocidad de la corriente y profundidad en un determinado
instante y lugar.
Existen en la literatura diversos modelos hidráulicos que se distinguen por el conjunto de
ecuaciones que los gobiernan y por las simplificaciones asumidas. Pueden considerar flujo
permanente o flujo transitorio (no permanente); pueden permitir la modelación de flujo
rápidamente variado, pueden además ser modelos unidireccionales o considerar dos y tres
dimensiones. La escogencia del tipo de modelo depende de los objetivos del estudio, de la
zona donde se va a aplicar y de la información disponible. Es importante considerar cuanta
precisión se gana realmente al incrementar la complejidad del modelo utilizado, cuando se
aplica a condiciones de campo donde no se tiene la información con el nivel de detalle
requerido.
a. Evaluación de la amenaza
1 La sinuosidad se define como la relación entre la longitud del canal y la longitud del valle.
CIPIO DE AGUAZUL
ACUERDO No. _____
“POR EL CUAL SE ADOPTA LA REVISIÓN GENERAL DEL ESQUEMA DE ORDENAMIENTO TERRITORIAL DEL
MUNICIPIO DE SUBACHOQUE” EOT
38
En general se recomienda que los métodos utilizados para la evaluación de la amenaza sean de
reconocida validez y que los requerimientos de información sean coherentes con la
información primaria y secundaria obtenida y con los análisis hidrológicos e hidráulicos
realizados previamente. Así mismo, es recomendable que la evaluación de amenaza se realice
para condiciones actuales, condiciones futuras y condiciones con obras de mitigación, para lo
cual se debe tener en cuenta los periodos de retorno establecidos (se recomiendan que los
análisis se realicen mínimo para periodos de retorno de 10, 50 y 100 años). Producto de la
evaluación, se recomienda la generación de un mapa de zonificación de amenaza, con
categorías o niveles alta, media y baja de acuerdo con criterios de calificación en cuanto a
intensidad, frecuencia y altura del nivel de agua de la inundación. La profundidad de la lámina
de agua, depende de las características de la zona afectada por la inundación. Respecto a los
periodos de retorno, Colombia en sus diferentes estudios realizados de riesgo por inundación,
utiliza como criterios de calificación el periodo de retorno, la profundidad (H) y Velocidad
(V)*H.
b. Evaluación de la vulnerabilidad y exposición
Se recomienda que para cada escenario de amenaza se evalúe la exposición y vulnerabilidad y
que se realice su zonificación, categorizando la vulnerabilidad en niveles de alta, media y baja
de los elementos expuestos frente a la condición de amenaza (altura de lámina de agua,
intensidad de la inundación, velocidad, impacto). Es importante que dentro de los aspectos a
considerar en la evaluación de la vulnerabilidad se encuentren los indicados en el Formato
“ficha de caracterización de asentamiento en alto riesgo” y que se muestran en el numeral 5.2.1
de la presente Guía. Para evaluar la vulnerabilidad y riesgo se pueden aplicar modelos
cuantitativos o cualitativos para estimar las pérdidas y daños producidos por la ocurrencia de
un evento desastroso. La selección de estos modelos depende de las mediciones que se
pretenden evaluar y de la información disponible. Tales como:
Las que consideran diversas variables o factores físicos y funcionalidad de cada uno de los
sistemas expuestos relacionándolos con las intensidades y magnitudes de los respectivos
fenómeno naturales a partir de una función de vulnerabilidad. Las que identifican inicialmente
los elementos potencialmente vulnerables, identifican los tipos de vulnerabilidad que puedan
tener, identifica, evalúa y analiza los diversos indicadores que reflejan el nivel de
susceptibilidad, fragilidad y capacidades y por último pondera y estratifica la vulnerabilidad
total. Las que tienen en cuenta el grado de exposición y nivel de fragilidad frente a un
fenómeno natural potencialmente dañino.
c. Evaluación del riesgo
Dado que el riesgo es el resultado de relacionar la amenaza y la vulnerabilidad, la evaluación de
éste debe considerar los mismos escenarios contemplados en las evaluaciones de amenaza y
vulnerabilidad, en el cual se determine las pérdidas físicas, sociales y económicas. Esta
zonificación debe categorizar el riesgo en alto, medio y bajo. Para evaluar el riesgo, se pueden
aplicar modelos cuantitativos o cualitativos para estimar las pérdidas y daños producidos por la
ocurrencia de un evento desastroso. La selección de estos modelos depende de las mediciones
que se pretenden evaluar y de la información disponible.
CIPIO DE AGUAZUL
ACUERDO No. _____
“POR EL CUAL SE ADOPTA LA REVISIÓN GENERAL DEL ESQUEMA DE ORDENAMIENTO TERRITORIAL DEL
MUNICIPIO DE SUBACHOQUE” EOT
39
CAPÍTULO VI
DE LA ADAPTACIÓN AL CAMBIO CLIMÁTICO
Artículo 47. Los efectos de la variabilidad y el cambio climático se han hecho evidentes en
todo el mundo, y en Colombia hay claros ejemplos de los impactos que una anomalía
climática (El Niño y la Niña) pueden generar en los ecosistemas y en el sistema
socioeconómico regional.
Como una alternativa para enfrentar esta situación, la Ley 1450 de 2011 definió la necesidad de
formular el Plan Nacional de Adaptación al Cambio Climático, en los siguientes términos:
“ARTÍCULO 217º. FORMULACIÓN DEL PLAN NACIONAL DE ADAPTACIÓN AL CAMBIO
CLIMÁTICO. El Plan Nacional de Adaptación al Cambio Climático será coordinado por
el Departamento Nacional de Planeación con el apoyo del Ministerio de Ambiente,
Vivienda y Desarrollo Territorial o quien haga sus veces.
Las entidades públicas del orden nacional deberán incorporar en sus Planes
Sectoriales una estrategia de adaptación al Cambio Climático conforme a la
metodología definida por el DNP, el Ministerio de Ambiente, Vivienda y Desarrollo
Territorial y el IDEAM y revisado por los mismos previo a la autorización final por
parte del CONPES. El Ministerio de Ambiente, Vivienda y Desarrollo Territorial
deberá apoyar a las entidades del orden territorial que así lo requieran, a desarrollar
sus planes territoriales de adaptación”.
Concordante con este lineamiento, el documento CONPES 3700 de 2011, Estrategia institucional
para la articulación de políticas y acciones en materia de cambio climático, estipula que “el Plan
Nacional de Adaptación al Cambio Climático busca incidir en los procesos de planificación
ambiental, territorial y sectorial, de tal manera que se tomen decisiones de manera informada,
teniendo en cuenta las determinantes y proyecciones climáticas, reduciendo así efectivamente la
vulnerabilidad tanto en poblaciones, ecosistemas y sectores productivos a este fenómeno, y
aumentando la capacidad social, económica y ecosistémica para responder ante eventos y
desastres climáticos”.
La CAR, consciente de las condiciones históricas que pueden cambiar a futuro, y teniendo en
cuenta la Primera Comunicación Nacional y la Segunda, presentada por el IDEAM ante la
Convención Marco de las Naciones Unidas sobre Cambio Climático, que señalan la alta
vulnerabilidad del país a los efectos del cambio climático, decide realizar un estudio de
investigación con la Universidad Nacional de Colombia, sobre modelamiento del clima regional
para elaborar escenarios futuros de las condiciones climáticas, que permita vislumbrar las
tendencias del clima en periodos 2011 – 2040, 2041- 2070 y 2071 – 2100, comparados con el clima
de referencia de 1971-2000.2
2 Los registros para el clima de referencia se obtuvieron de las estaciones climatológicas localizadas en la región.
CIPIO DE AGUAZUL
ACUERDO No. _____
“POR EL CUAL SE ADOPTA LA REVISIÓN GENERAL DEL ESQUEMA DE ORDENAMIENTO TERRITORIAL DEL
MUNICIPIO DE SUBACHOQUE” EOT
40
Este estudio identifica a futuro amenazas por alteración de los factores climáticos3
(temperatura del aire, humedad relativa, evapotranspiración y precipitación), que
probablemente ocasionarían impactos potenciales en áreas de mayor vulnerabilidad, afectando
la relación clima – ecosistemas, clima – sociedad, en el territorio CAR.
En relación con el tema de amenazas climáticas4
, los resultados del estudio para el periodo 2011
– 2040, comparado con el de referencia 1971 - 20005
, permiten conocer en el área CAR las
probables variaciones del clima, e identificar posibles amenazas climáticas. En general indica:
 En el territorio CAR, habría un incremento generalizado de 1ºC y de hasta 2ºC de la
temperatura del aire para los dos escenarios de cambio climático estudiados (A2 y B26
),
siendo más marcado desde noviembre a abril, en comparación con las temperaturas
observadas en el periodo de referencia 1971 – 2000.
 La humedad relativa tendría un aumento del orden del 3% en el sector oriental, y
disminuciones hasta del 5% en el sur de la región CAR, comparada con el resto de la región,
que presenta cambios de menor magnitud (entre -1 y +1%), por lo cual se puede considerar
que para este periodo se mantendrían los valores observados en el periodo de referencia
(1971-2000).
 El comportamiento de la precipitación tendrá cambios variados a lo largo de la región CAR,
pero tanto en el escenario A2 como B2 domina un aumento marcado del 10%,
especialmente en el sector oriental y sur, así como en el noroccidente (provincia del Bajo
Magdalena) sobre lo que anualmente se acumula en el periodo de referencia (1971-2000).
 Disminuciones entre el 30 y 50% de los volúmenes anuales del periodo de referencia se
presentarían en el suroccidente (entre el alto y el medio Magdalena) y sobre el sector
occidental del altiplano (Sabana central y occidental y en la provincia de Rionegro). El
análisis del comportamiento de estos cambios durante el año mostró que la disminución
de la precipitación dominaría en gran parte de la región y solo en una gran franja oriental
permanece a lo largo del año.
 La evapotranspiración durante este período tendría aumento del orden de hasta el 30% en
gran parte de la zona del Valle del río Magdalena y un sector al oriente hacia el piedemonte
llanero. En gran parte del altiplano, la evapotranspiración tendría disminuciones que en
casos podría ser de más del 30%.
En términos generales, el clima de la región para el periodo 2011 – 2040 en el territorio de la
CAR, en comparación con las condiciones observadas en 1971-2000, sería más cálido en por lo
3 Pabón Daniel. 2011. El Cambio climático En el territorio de la Corporación Autónoma Regional de Cundinamarca.
4 La amenaza se define como la probabilidad de ocurrencia del evento adverso, operada en forma multiplicativa por
las pérdidas (impacto) o vulnerabilidad, que determina el riesgo de pérdida de bienes, servicios o funcionalidad, es
decir: Riesgo = (amenaza x vulnerabilidad), Segunda Comunicación Nacional de cambio climático, 2010.
5 Para este documento, se tomará como referencia únicamente el primer periodo 2011-2040 analizado.
6 Escenarios de cambio climático: Representación del clima que se observaría bajo una concentración determinada
de gases efecto invernadero y aerosoles en la atmósfera
CIPIO DE AGUAZUL
ACUERDO No. _____
“POR EL CUAL SE ADOPTA LA REVISIÓN GENERAL DEL ESQUEMA DE ORDENAMIENTO TERRITORIAL DEL
MUNICIPIO DE SUBACHOQUE” EOT
41
menos 1ºC; la humedad del aire estaría mayor en 1-3%; la precipitación anual sería mayor en el
Valle del Magdalena y en todo el sector oriental, y menor en el sector del altiplano.
En relación con la vulnerabilidad y medidas de adaptación y mitigación frente al cambio
climático7
en el territorio CAR, a nivel global el Panel de Expertos Intergubernamental de
Cambio Climático (IPCC, 2007) ha pronosticado, a consecuencia del cambio climático, un
aumento en la frecuencia y la intensidad de eventos extremos asociados al clima. Resultados
de estudios académicos de la modelación de los factores ambientales indican cambios
importantes que impactarán en el ambiente, por ejemplo, en la disponibilidad de la oferta y
demanda hídrica, de hábitats, de coberturas vegetales y bosques, y de reservas de especies
tanto animales como vegetales, entre otros.
En la jurisdicción CAR, hay claros ejemplos de los impactos que una anomalía climática (La Niña
o El Niño) pueden generar en los ecosistemas y en el sistema socioeconómico regional. Existen
sectores de esta jurisdicción caracterizados por una alta vulnerabilidad a las amenazas que se
desprenden de las nuevas condiciones climáticas.
Para abordar de manera concreta el tema de vulnerabilidad a los efectos del cambio climático
en el área regional o local, se citan a continuación algunos ejemplos para diagnosticar el estado
y presión sobre los recursos por variaciones climáticas, además se presentan algunas medidas
de adaptación y/o mitigación a las nuevas condiciones climáticas.
Ejemplos para identificar medidas de adaptación y mitigación al cambio climático
RECURSOS DIAGNOSTICAR MEDIDAS DE ADAPTACIÓN
MEDIDAS DE
MITIGACIÓN[1]
Agua
Oferta y
demanda (incluye
cantidad y calidad
del agua)
Técnicas de almacenamiento de agua para atenuar
las fluctuaciones en la disponibilidad de agua.
Monitoreo de calidad de agua para decidir los
sistemas alternativos de distribución según su
demanda.
Capacidad
reguladora
(sequía o
inundaciones)
Construcción de obras civiles como estrategias para
la regulación hídrica (por ej. sistema de captación y
almacenamiento de aguas lluvias)
Reservorios y conexiones hídricas en espacios
inundables.
Programas de uso eficiente de ahorro del agua.
Biodiversidad
y áreas de
conservación
Nivel de
resiliencia (2) de
los ecosistemas
Monitoreo de flora y fauna del territorio.
Proyectos de captura de
carbono para reducción
de GEI.
Conectividad de fragmentos de parches boscosos
(ecosistemas).
Aprovechamientos forestales regulados.
7 Vulnerabilidad: La probabilidad que una comunidad expuesta a una amenaza natural, según el grado de fragilidad
de sus elementos (usos del suelo, infraestructura, vivienda, actividades productivas, grado de organización, sistemas
de alerta, desarrollo político e institucional, etc.), pueda sufrir daños humanos y materiales, es decir: Vulnerabilidad =
f(Exposición, Sensibilidad, Capacidad Adaptativa).
CIPIO DE AGUAZUL
ACUERDO No. _____
“POR EL CUAL SE ADOPTA LA REVISIÓN GENERAL DEL ESQUEMA DE ORDENAMIENTO TERRITORIAL DEL
MUNICIPIO DE SUBACHOQUE” EOT
42
RECURSOS DIAGNOSTICAR MEDIDAS DE ADAPTACIÓN
MEDIDAS DE
MITIGACIÓN[1]
Impulsar banco de semillas de especies nativas para
recuperación de áreas degradadas.
Impulsar la diversificación de sistemas
agrosilvopastoriles o agroforestales.
Suelo
Tenencia, grado
de contaminación
y uso del suelo
con participación
activa de la
comunidad
(mapeo)
Técnicas agropecuarias sostenibles para la
conservación de suelos (labranza sostenible,
construcción de trinchos y zanjas de infiltración,
ganadería estabulada, piscicultura entre otras).
El uso racional de los
fertilizantes químicos,
prácticas sostenibles
agrícolas y pecuarias
contribuyen a la
reducción de GEI.
Construcción de drenajes y desagües para evitar la
erosión del suelo.
Establecimiento de bancos forrajeros, cercos vivos.
Aire
El control de
disposición de
residuos sólidos.
Impulsar estrategias de reducción, reutilización y reciclaje de los residuos
sólidos.
Los sectores
productivos en su
territorio.
Apoyo al control de emisiones en sectores productivos.
Otros.
(1)Se refiere a reducción de gases de efectos de invernadero-GEI
(2)La resiliencia de los ecosistemas es la capacidad de un ecosistema de recuperarse de un disturbio o de resistir
presiones en curso.
Por otro lado, la información completa del estudio científico, producto del convenio celebrado
por la Corporación Autónoma Regional de Cundinamarca – CAR con la Universidad Nacional,
anteriormente reseñado, está disponible para su consulta en el Centro de Documentación de la
sede central de la CAR.
En este contexto, los municipios deben fortalecer la participación y organización social, manejo
de la información en cambio climático y gestión del riesgo, para el reconocimiento de
vulnerabilidades y planes de manejo adaptativo en su territorio. En la educación formal, se
debe propiciar la incorporación del tema cambio climático y gestión del riesgo a través de los
CIDEAS, PRAES y PROCEDAS.
De conformidad con lo expuesto, además, en virtud de las obligaciones de los municipios en el
tema de cambio climático, se recomienda incorporar en sus instrumentos de planificación y
gestión las apropiaciones destinadas a dar cumplimiento a las responsabilidades relacionadas
con esta materia.
TÍTULO II
COMPONENTE URBANO
CAPÍTULO I
Artículo 48. DE LOS SISTEMAS ESTRUCTURANTES EN SUELO URBANO. Los Sistemas
Estructurantes del Suelo Urbano del Municipio de Subachoque, son los siguientes:
1. La Estructura Ecológica Principal, con influencia urbana.
CIPIO DE AGUAZUL
ACUERDO No. _____
“POR EL CUAL SE ADOPTA LA REVISIÓN GENERAL DEL ESQUEMA DE ORDENAMIENTO TERRITORIAL DEL
MUNICIPIO DE SUBACHOQUE” EOT
43
2. El Sistema de Servicios Públicos domiciliarios.
3. El Sistema Vial y de Transporte.
4. El Sistema de Equipamientos Comunales.
5. El Sistema de Espacio Público.
SUBCAPÍTULO I
ESTRUCTURA ECOLÓGICA PRINCIPAL URBANA EEP
Artículo 49. DE LA ESTRUCTURA ECOLÓGICA PRINCIPAL URBANA. Son Componentes de la
estructura ecológica principal con influencia urbana
Son elementos que componen la estructura ecológica principal urbana, los siguientes y se
presentan en el plano CU – 08. Estructura Ecológica Urbana:
1. Áreas del sistema de parques urbanos
2. Quebrada El Molino
3. Quebrada Cementerio
Artículo 46. PLAN DE RECUPERACIÓN DE LA ESTRUCTURA ECOLÓGICA PRINCIPAL CON
INFLUENCIA URBANA. El plan de recuperación y conservación de la estructura ecológica
urbana, contempla la ejecución de las siguientes acciones:
1. Formular el SIGAM, Sistema de Gestión Ambiental Municipal
2. Proyectos enmarcados en el POMCA del Rio Bogotá
3. Proyectos que se articulen con el PAT y el PGAR que esté vigente en la CAR.
SUBCAPÍTULO II
SERVICIOS PÚBLICOS DOMICILIARIOS URBANOS
Artículo 50. DEL SISTEMA DE SERVICIOS PÚBLICOS DOMICILIARIOS URBANOS. Los
componentes del sistema primario de abastecimiento y disposición final de servicios
públicos domiciliarios están conformado por las grandes infraestructuras que permiten la
provisión de dichos servicios, las cuales son:
1. Sistema de tratamiento de agua
2. Redes de acueducto urbano
3. Red de alcantarillado de aguas negras y lluvias.
4. Planta de tratamiento de aguas residuales.
5. Redes de Energía Eléctrica, con su sistema de líneas de conducción de alta, media y baja
tensión, postes, torres, conducciones subterráneas, y sub- estaciones eléctricas en
jurisdicción del municipio.
6. Redes de teléfono, con su sistema de cableado, casetas para servicio público, Sub-
estaciones y centros de control.
CIPIO DE AGUAZUL
ACUERDO No. _____
“POR EL CUAL SE ADOPTA LA REVISIÓN GENERAL DEL ESQUEMA DE ORDENAMIENTO TERRITORIAL DEL
MUNICIPIO DE SUBACHOQUE” EOT
44
7. Sistema de aseo y recolección de residuos sólidos y áreas destinadas al mobiliario de
recolección y almacenamiento temporal de basura.
8. Red de Gas Natural.
Parágrafo. El detalle del manejo de servicios públicos de acueducto y alcantarillado se
encuentra en el Documento Técnico en el PSMV y PGIRS, en el marco del Decreto 1713 de 2002 y
decreto 838 de 2005.
Artículo 51. PLANES Y PROYECTOS. Mediante estos planes y proyectos se buscará mejorar
las condiciones de prestación de los servicios actuales, así como prever las infraestructuras
requeridas para la dotación de servicios de las nuevas áreas de expansión.
 Implementar y gestionar los recursos para la ejecución del plan maestro de acueducto
Municipal
 Optimización y renovación del sistema de acueducto, incluida planta de potabilización
para el área urbana central del Municipio de Subachoque.
 Ejecución del Plan Maestro de Alcantarillado, en articulación con los objetivos y metas
de calidad para las corrientes hídricas y el PSMV.
 Construcción, Implementación y gestión de los recursos para la ejecución del plan
maestro de alcantarillado de aguas residuales Municipal.
 Construcción, Implementar y gestión de los recursos para la ejecución plan maestro
Plan Maestro de Alcantarillado Pluvial municipal.
 Realizar e Implementar el plan de gestión integral de residuos sólidos PGIRS,
especialmente en la recolección en la fuente.
 Disposición de residuos sólidos no aprovechables en los sitios donde determine el
PGIRS.
 Cumplimiento decreto 4741 de 2005 y numeral 3.4. del documento Gestión Integral de
Residuos o Desechos Peligrosos – Bases Conceptuales, elaborado por el Ministerio de
Ambiente, Vivienda y Desarrollo Territorial relacionado con residuos peligrosos
Parágrafo primero. La disposición final de residuos sólidos ordinarios no aprovechables se
deberá realizar en el relleno sanitario más próximo al municipio y que esté debidamente
autorizado por la CAR.
Parágrafo segundo. Las entidades o particulares que manejen residuos sólidos peligrosos
deben contratar con una empresa especializada y autorizada por la autoridad ambiental la
disposición de los mismos.
SUBCAPÍTULO III
DEL SISTEMA VIAL Y DE TRANSPORTE URBANO
Artículo 52. COMPONENTES DEL SISTEMA VIAL. El sistema vial de Subachoque está
conformado por el conjunto de vías que integran la red o malla que permite la
CIPIO DE AGUAZUL
ACUERDO No. _____
“POR EL CUAL SE ADOPTA LA REVISIÓN GENERAL DEL ESQUEMA DE ORDENAMIENTO TERRITORIAL DEL
MUNICIPIO DE SUBACHOQUE” EOT
45
intercomunicación vial al interior y al exterior del municipio. Hacen parte de este sistema
las vías nacionales, departamentales y municipales y el sistema de ciclorutas.
Artículo 53. DEFINICIÓN DEL SISTEMA VIAL. Se entiende por Sistema Vial el conjunto de vías
junto con sus elementos complementarios que garantizan la conexión funcional de los
diferentes sectores del Municipio, así como su conexión con las áreas rurales de la región.
Este conjunto constituye una estructura jerarquizada, determinada por la función vial y por
el carácter urbano de sus componentes, el cual se refleja en el tratamiento específico que
se establece para los perfiles viales que además de definir el ancho de las calzadas para la
circulación vehicular, determina como parte de la vía los componentes básicos de espacio
público: andenes, arborización, el espacio para circulación de bicicletas y estacionamientos
o áreas de parqueo, con el fin de caracterizar las vías dentro de la estructura urbana, del
Municipio.
Artículo 54. CLASIFICACIÓN DE LAS FUNCIONES VIALES Y PERFILES VIALES. Las funciones
viales están determinadas por las jerarquías de conexión que realizan las vías. Dichas
funciones viales son las siguientes:
Vía Perimetral: Corresponde a la vía que será un circuito sobre todo el perímetro del área
urbana centro en el municipio.
Vías Arteriales. Corresponden a vías que realizan conexiones funcionales a escala urbana e
interconectan con sistemas viales rurales y regionales.
Vías Zonales. Corresponden a vías que realizan conexiones funcionales a escala zonal,
interconectando sectores del Municipio.
Vías Locales. Corresponden a vías que realizan conexiones funcionales a escala local de un
barrio, asegurando el acceso a los diferentes inmuebles que conforman dicho barrio.
Vías peatonales públicas. Corresponden a las vías destinadas únicamente a la circulación
peatonal conformando circuitos zonales.
Servidumbres: Reglamentadas por el Código Civil Articulo 879 y subsiguientes.
Perfiles Viales: De acuerdo a su perfil, el cual incluye calzadas, separadores, sardineles, andenes,
espacio para ciclorutas y franja de control ambiental, en los casos en que aplique, las vías urbanas
del Municipio se clasifican así:
PERFILES VIALES URBANOS (Dimensiones en ML)
Tipo
de Vía
Clasificación
Vial
Anden
Z. Verde
Mobiliario
Semi-
calzada
Separador
Semi-
calzada
Z. Verde
Mobiliario
Anden Cicloruta Total
de la
secciónIZQUIERDA DERECHA
VU - 0
Vía
Perimetral
3 1,5 7 2 7 2,5 2 25
VU - 1 Vía arterial 2 1 4 4 1 2 14
VU - 2 Vías zonales 2 4 4 2 12
CIPIO DE AGUAZUL
ACUERDO No. _____
“POR EL CUAL SE ADOPTA LA REVISIÓN GENERAL DEL ESQUEMA DE ORDENAMIENTO TERRITORIAL DEL
MUNICIPIO DE SUBACHOQUE” EOT
46
VU - 3 Vías locales 2 3,5 3,5 2 11
VU - 4 Vías locales 1,5 2,75 2,75 1,5 8,5
VU - 5
Vías
Peatonales
2,5 2,5 5
La expresión gráfica de los perfiles indicados en este artículo se presenta en el Plano CU – 04.
Sistema Vial Urbano y será utilizada para la determinación de las áreas de cesión siempre que sea
del caso. Las vías del sistema vial principal podrán tener una franja de control ambiental
conformada por áreas verdes arborizadas.
TIPO DE VÍA VÍAS
CABECERA MUNICIPAL
VU-0 Perimetral del área urbana centro
VU-1
La carrera 2 , Carrera 3 y Carrera 4 en sentido longitudinal y la Calle 1 al occidente de la carrera 4, calle
2, calle 3 , calle 4 y calle 5 en sentido transversal
VU-2
Carrera 1, carrera 2 este, carera 3 este, carrera 5 este, carrera 5 y carrera 7 en sentido longitudinal y las
calles 1 al oriente y occidente de la carrera 1, calle 1ª , calle 2, calle 2ª , calle 3 entre carrera 1 y carrera
5 este, calle 5 entre carrera 1 y carrera 2, calle 6 al occidente de la carrera 4 en sentido transversal.
VU-3
Carrera 1 este al sur de la calle 3, carrera 3ª al sur de la calle 2, carrera 4ª al norte de la calle 5 en
sentido longitudinal y las calle 1 entre carrera 2 y 4, calle 4 al oriente de la carrera 1, calle 5ª , calle 5b,
calle 6ª , calle 6b y calle 7 al occidente de la carrera 3
LA PRADERA
VU-1
Carrera 4ª, vía de acceso, vía al salitre (parte urbana); calle 3ª, calle 4ª y carrera 3ª (alrededor del
parque); diagonal 1ª, calle 4ª (hacia la Conejera), carrera 3ª (desde el parque hacia la vía a la vereda El
Guamal).
VU-2
Calle 5ª entre carrera 3ª y diagonal 1ª, calle 6ª entre carrera 3ª y 1ª, carrera 1ª, carrera 4ª entre calles 7ª y
5ª.
VU-3
Calle 8ª, calle 7ª, calle 6ª entre carreras 4ª y 3ª, carrera 2ªA, carrera 2ª entre calles 5ª y 6ª, calle 5ªA, calle
5ª, entre carreras 3ª y 4ª.
VP: Calle 5ªA entre carrera 1ª y carrera 2ª.
Parágrafo primero. Las vías locales son de obligatoria construcción, por tanto, todo
urbanizador en suelo urbano o de expansión, deberá prever un sistema vial local que se integre
a la malla actual y la proyectada, asegurando el acceso a todos los lotes previstos y siguiendo
las normas sobre anchos, materiales y tratamientos paisajísticos, que se prevén en los
respectivos perfiles determinados.
Las vías producto de estos desarrollos, deberán ser cedidas gratuitamente por el urbanizador al
municipio, de conformidad con el procedimiento previsto en el artículo 117 de la Ley 388 de
1997 y en las normas que lo modifiquen o complementen.
Parágrafo segundo. Las vías urbanas no podrán ser utilizadas como zonas de parqueo
permanente, y en caso de requerirse parqueo transitorio debe hacerse sobre el costado
izquierdo de la vía. Para vehículos de servicio público deben estacionarse transitoriamente
sobre el costado derecho de la vía.
CIPIO DE AGUAZUL
ACUERDO No. _____
“POR EL CUAL SE ADOPTA LA REVISIÓN GENERAL DEL ESQUEMA DE ORDENAMIENTO TERRITORIAL DEL
MUNICIPIO DE SUBACHOQUE” EOT
47
Parágrafo tercero. Las empresas de transporte Municipal tales como taxis y busetas, deberán
establecer una zona de terminal y parqueadero propia, localizada en el área de actividad
comercial de alto impacto de acuerdo con el plano CU-08 Área de Actividad Urbana, para lo
cual tendrán un plazo máximo de reubicación de un año a partir de la aprobación del presente
acuerdo.
Parágrafo cuarto. Los empates en las vías urbanas deberán ser realizados de tal manera que se
eviten cortes o cambios de paramento en las construcciones de cada manzana. Los
ensanchamientos viales proyectados se realizaran a partir de manzanas de los nuevos
desarrollos urbanos; en todo caso se buscará mejorar de forma adecuada los perfiles de las
vías existentes.
Artículo 55. DE LA ACCESIBILIDAD A LAS VÍAS PÚBLICAS. En los términos previstos en el
Decreto 1538 de 2005, reglamentario la Ley 361 de 1997 o en las normas que lo modifiquen,
adicionen o sustituyan, las vías públicas nuevas al interior del perímetro urbano y las vías
existentes deberán construirse, las primeras, y adecuarse, las segundas, en términos de
accesibilidad, conforme a lo previsto en el Art. 7 del Decreto 1538 de 2005 y de acuerdo con
el Plan de Adaptación del Espacio Público que adopte el Municipio, en cumplimiento de lo
establecido en el Art. 55 del presente Acuerdo.
Artículo 56. DETERMINACIÓN DEL SISTEMA VIAL ARTERIAL Y ZONAL SEGÚN SU
JERARQUÍA DENTRO DE LA ESTRUCTURA URBANA. El sistema Vial Arterial y Zonal están
determinados de acuerdo con la jerarquía de las vías dentro de la estructura urbana del
municipio, la cual se refleja en las características urbanísticas que poseen los elementos que
las conforman. Dicho Sistema se encuentra señalado en el plano CU – 03. Sistema Vial
Urbano.
Artículo 57. PROYECTOS DEL SISTEMA VIAL. Los proyectos viales y de transporte buscan
minimizar la congestión vial existente en el centro del Municipio de Subachoque, así como
mejorar las condiciones de accesibilidad para todos los habitantes. Los proyectos a
desarrollar en esta materia deberán tener en cuenta como mínimo:
 Elaboración del Plan Municipal de Movilidad y ejecución de las etapas correspondientes
al corto plazo.
 La rehabilitación y construcción de vías, de acuerdo con los perfiles viales adoptados en
el presente documento, de acuerdo al plan Municipal de Movilidad.
 Ampliación y mantenimiento de vías urbanas, de acuerdo al plan Municipal de
Movilidad.
 Apertura de vías proyectadas.
 Realizar la instalación de mobiliario urbano y arborización en las zonas de mobiliario y
andenes según perfiles viales.
Artículo 58. DEFINICIÓN DEL SISTEMA DE TRANSPORTE. Se entiende por Sistema de
Transporte el conjunto de medios vehiculares que permiten la movilización colectiva de
pasajeros dentro de contextos intermunicipales, regionales y urbanos, para la realización y
CIPIO DE AGUAZUL
ACUERDO No. _____
“POR EL CUAL SE ADOPTA LA REVISIÓN GENERAL DEL ESQUEMA DE ORDENAMIENTO TERRITORIAL DEL
MUNICIPIO DE SUBACHOQUE” EOT
48
desempeño de las diferentes actividades urbanas. Estos sistemas exigen infraestructuras
viales apropiadas y facilitan la interrelación funcional de la del Municipio al interior y
exterior de su contexto.
Artículo 59. COMPONENTES DEL SISTEMA DE TRANSPORTE. El sistema de transporte de
Subachoque está conformado por el terminal de transporte local, la red de paraderos, de
estacionamientos y las rutas de transporte público que en conjunto con el sistema vial
permiten la intercomunicación vial al interior y al exterior del municipio.
Artículo 60. PROYECTOS DEL SISTEMA DE TRANSPORTE. Son proyectos a través de los
cuales se desarrollará el sistema de transporte, los siguientes:
1. Promoción y gestión para la construcción del terminal local de transportes.
SUBCAPÍTULO IV
DEL SISTEMA DE EQUIPAMIENTOS COLECTIVOS URBANOS
Artículo 61. DEFINICIÓN. Se entiende por Sistema de Equipamientos el conjunto de espacios
y construcciones de uso público, cuya función es la prestación de servicios que atienden y
satisfacen las necesidades recreativas, culturales, de salud, de educación, de
abastecimiento, administrativas y demás afines requeridas por la comunidad de
Subachoque.
Artículo 62. CLASIFICACIÓN DE LOS EQUIPAMIENTOS POR SECTORES DE DESEMPEÑO. De
acuerdo con los sectores de desempeño y el tipo de servicio prestado, los equipamientos se
clasifican de la siguiente manera y corresponden a equipamientos comunales públicos, de
propiedad pública, o propiedad privada:
CLASIFICACIÓN DEFINICIÓN
Equipamientos
Educativos:
Destinados a satisfacer las necesidades básicas de escolaridad de la población:
- Jardines Infantiles, escuelas, colegios, centros de educación superior, Institutos de capacitación
técnica, universidades entre otros.
Equipamientos
culturales:
Destinados a satisfacer las necesidades básicas del intelecto y actividades artísticas de los
habitantes: Museos, Teatro, bibliotecas, centros culturales, auditorios, galerías, entre otros.
Equipamientos
Administrativos
y de Seguridad:
Destinados a satisfacer las necesidades básicas en prestación de servicios relacionados con la
administración, gobierno y seguridad ciudadana y son:
- Entidades gubernamentales, estación, Juzgados, notarias, registraduría, instalaciones militares,
estaciones de bomberos, entre otros.
Equipamientos
Recreativos y
Deportivos:
Destinados a satisfacer las necesidades básicas práctica de ejercicio físico como actividad de
recreo u ocio: Coliseo Cubierto, Canchas cubiertas, Polideportivo, cancha acústica, entre otros.
Equipamientos
Asistenciales:
Destinados a satisfacer las necesidades básicas sociales de:
- Salud. Puestos de Salud, clínicas, guarderías, centros de atención adulto mayor entre otros.
Equipamientos
religiosos y de
culto:
Destinados a satisfacer las necesidades básicas para prestación de servicios religiosos y de
culto:
- Iglesia, capillas, conventos, seminarios, sedes de diferentes cultos, entre otros.
Equipamientos
Servicios
especiales:
Destinados a la prestación y dotaciones urbanas que satisfacen necesidades especiales como:
- Cementerios, terminales de transporte, entre otros.
CIPIO DE AGUAZUL
ACUERDO No. _____
“POR EL CUAL SE ADOPTA LA REVISIÓN GENERAL DEL ESQUEMA DE ORDENAMIENTO TERRITORIAL DEL
MUNICIPIO DE SUBACHOQUE” EOT
49
CLASIFICACIÓN DEFINICIÓN
Equipamientos
Abastecimiento:
Destinados a satisfacer las necesidades restando servicios de soporte a la economía tales como:
- Plaza de comidas, mercado, centros de abasto, centros de acopio, entre otros
Artículo 63. DETERMINACIÓN DE LOS NIVELES DE COBERTURA DE LOS EQUIPAMIENTOS.
De acuerdo con la cobertura o ámbito de prestación de los servicios, los equipamientos se
organizan en los siguientes cuatro niveles:
Regionales. Pertenecen a este nivel las edificaciones con cobertura regional, que atienden y
satisfacen las necesidades colectivas de varios municipios.
Urbanos. Pertenecen a este nivel las edificaciones cuyas coberturas cubren la totalidad del
Municipio y atienden y satisfacen las necesidades colectivas de la población que ella habita.
Zonales. Pertenecen a este nivel las edificaciones cuyas coberturas cubren varios sectores del
Municipio y atienden y satisfacen las necesidades requeridas por una colectividad zonal.
Barriales. Pertenecen a este nivel las edificaciones cuyas coberturas cubren a un barrio y
atienden y satisfacen los requerimientos de primera necesidad de la comunidad residente y
trabajadora en dicho barrio del Municipio.
Parágrafo. La Administración Municipal promoverá la reubicación del comando de policía local
a un predio localizado dentro del perímetro urbano, a las entradas o salidas a éste.
Artículo 64. DE LA ACCESIBILIDAD A LOS EDIFICIOS ABIERTOS AL PÚBLICO. En los términos
previstos en el Decreto 1538 de 2005, reglamentario de la Ley 361 de 1997 o en las normas
que lo modifiquen, adicionen o sustituyan, para el diseño, construcción o adecuación de los
edificios de uso público en general, se dará cumplimiento a los parámetros relativos a:
a) Acceso a las edificaciones
b) Entorno de las edificaciones
c) Acceso al interior de las edificaciones de uso público
d) Espacios de recepción o vestíbulo
Artículo 65. PROYECTOS DEL SISTEMA DE EQUIPAMIENTOS. Son proyectos del sistema de
equipamientos, los siguientes:
1. Construcción del equipamiento cultural Ludoteca
2. Construcción del equipamiento cultural Plaza de la Cultura
3. Adecuación de equipamientos de educación
4. Construcción y adecuación de equipamientos deportivos
5. Construcción y adecuación de equipamientos asistenciales
6. Reubicación del comando de policía local
7. Mantenimiento y Mejoramiento de la estructura física y dotación de los equipamientos
públicos existentes garantizando el cumplimiento de la norma NSR-10 de sismo resistencia,
y la ley 361 de 1997 y 1287 de 2009 de accesibilidad, y demás normas aplicables a cada uno
de los equipamientos existentes y proyectados.
Parágrafo primero. Dado que el cementerio actualmente se encuentra dentro del área urbana,
este debe dar cumplimiento a la resolución No. 5194 de 2010, del Ministerio de Protección Social, a
CIPIO DE AGUAZUL
ACUERDO No. _____
“POR EL CUAL SE ADOPTA LA REVISIÓN GENERAL DEL ESQUEMA DE ORDENAMIENTO TERRITORIAL DEL
MUNICIPIO DE SUBACHOQUE” EOT
50
su vez este debe reubicarse en las áreas rurales agropecuarias para lo cual se contará con un plazo,
hasta el 31 de Diciembre de 2018.
Parágrafo segundo. Retiro perimetral de escenarios deportivos: En la construcción de
equipamientos deportivos debe mantenerse un retiro perimetral como zona verde arborizada
de mínimo 5 ML, respecto de las construcciones colindantes.
SUBCAPÍTULO V
DEL SISTEMA DE ESPACIO PÚBLICO
Artículo 66. DEFINICIÓN. De conformidad con el Decreto 1504 de 1998, se entiende por
espacio público “el conjunto de inmuebles públicos y elementos arquitectónicos y naturales
de los inmuebles privados, destinados por su naturaleza, por uso o afectación, a la
satisfacción de necesidades urbanas colectivas que trascienden, por lo tanto, los límites de
los intereses individuales de los habitantes".
Constituyen el espacio público las áreas requeridas para la circulación tanto peatonal como
vehicular, las áreas para la recreación pública activa o pasiva, para la seguridad y tranquilidad
ciudadana, las franjas de retiro de las edificaciones sobre las vías, fuentes de agua, parques,
plazas, zonas verdes y similares, las necesarias para la instalación y mantenimiento de los
servicios públicos básicos, para la instalación y uso de los elementos constitutivos del
amoblamiento urbano en todas sus expresiones, para la preservación de obras de interés
público y de los elementos históricos, culturales, religiosos, recreativos y artísticos, para la
conservación y preservación del paisaje y los elementos naturales del entorno de la ciudad y, en
general, por todas las zonas existentes o debidamente proyectadas en las que el interés
colectivo sea manifiesto y conveniente y que constituyan por consiguiente zonas para el uso o
disfrute colectivo.
Artículo 67. COMPONENTES DEL SISTEMA DE ESPACIO PÚBLICO URBANO. El sistema del
espacio público en el suelo clasificado como urbano y de expansión urbana está constituido
por los siguientes componentes:
Elementos constitutivos naturales:
 Áreas para la conservación y preservación del sistema orográfico o de montañas.
 Áreas para la conservación y preservación del sistema hídrico
Áreas artificiales o construidas:
 Sistemas de circulación peatonal y vehicular.
 Áreas de articulación parques y espacios públicos, plazas y plazoletas.
CIPIO DE AGUAZUL
ACUERDO No. _____
“POR EL CUAL SE ADOPTA LA REVISIÓN GENERAL DEL ESQUEMA DE ORDENAMIENTO TERRITORIAL DEL
MUNICIPIO DE SUBACHOQUE” EOT
51
Elementos Complementarios:
 Mobiliario Urbano.
 Señalización.
 Sistema Vial.
 Sistema de Equipamientos.
 Ciclo rutas.
Artículo 68. PROYECTOS DEL SISTEMA DE ESPACIO PÚBLICO. Son proyectos del sistema de
espacio público, los siguientes:
1. Formulación y estudios del Plan Maestro de Espacio Público.
2. Ejecución del Plan Maestro de Espacio Público.
3. Incorporación al Sistema de Espacio Público de las áreas de cesión de los desarrollos
urbanísticos. (La mayor parte de los espacios públicos proyectados pueden construirse
bajo la figura de la cesión a título gratuito por parte de los urbanizadores)
4. Inclusión y construcción del área actual del cementerio como parque de escala urbana en
el área urbana central del municipio.
5. Mejoramiento y mantenimiento del mobiliario urbano y de los parques existentes.
6. Dotación de mobiliario Urbano.
7. Regularización en tamaños y materiales de andenes según lo establecido en los perfiles
viales propuestos.
8. Formulación y ejecución del Plan para la adaptación de los espacios públicos, edificios,
servicios e instalaciones dependientes.
Artículo 69. DE LA ADAPTACIÓN DE LOS ESPACIOS PÚBLICOS. La Administración Municipal
adoptará el “Plan para la adaptación de los espacios públicos, edificios, servicios e
instalaciones dependientes”, en cumplimiento de lo dispuesto en el Art. 57 de la Ley 361 de
1997.
De la accesibilidad al sistema de espacio público
En los términos previstos en el Decreto 1538 de 2005, reglamentario de la Ley 361 de 1997 o en
las normas que lo modifiquen, adicionen o sustituyan, los elementos del espacio público
deberán ser diseñados y construidos dando cumplimiento a los parámetros relativos a:
a) Vías de circulación peatonal
b) Mobiliario urbano
c) Cruces a desnivel: Puentes y túneles peatonales
d) Parques, plazas y plazoletas
e) Accesos peatonales para el tránsito de minusválidos
SUBCAPÍTULO VI
DE LA VIVIENDA
CIPIO DE AGUAZUL
ACUERDO No. _____
“POR EL CUAL SE ADOPTA LA REVISIÓN GENERAL DEL ESQUEMA DE ORDENAMIENTO TERRITORIAL DEL
MUNICIPIO DE SUBACHOQUE” EOT
52
Artículo 70. ESTRATEGIAS DE CORTO, MEDIANO Y LARGO PLAZO PARA EL DESARROLLO
DE PROGRAMAS DE VIVIENDA. Son estrategias para la vivienda de interés social las
siguientes:
 Focalizar a la población pobre y vulnerable del sector rural con el fin de apoyar y gestionar
recursos ante las entidades competentes con el objeto de desarrollar programas de
mejoramiento de vivienda rural.
 Gestionar programas de construcción de vivienda nueva, mejoramiento de vivienda,
construcción en sitio propio, bolsa saludable urbana y rural.
 Gestionar ante las entidades respectivas la consecución de subsidios para otorgar vivienda
digna a más familias de escasos recursos.
Artículo 71. POLÍTICAS DE CORTO, MEDIANO Y LARGO PLAZO PARA EL DESARROLLO DE
PROGRAMAS DE VIVIENDA DE INTERÉS SOCIAL. Son políticas para la vivienda de interés
social las siguientes:
1. La construcción de vivienda de interés social sólo para cubrir las necesidades del
crecimiento vegetativo de la población del municipio de acuerdo con el censo DANE
2. Desarrollo de programas, planes y proyectos de vivienda para los estratos 1 y 2.
Artículo 72. PROYECTOS DE VIVIENDA. Son proyectos de vivienda, los siguientes:
1. Promoción y construcción del proyecto de VIS en el Área Urbana de La Pradera de
teniendo en cuenta el Acuerdo Municipal N° 06 de 2014 “Por medio del cual se ajusta el
Esquema de Ordenamiento Territorial del municipio de Subachoque adoptado por el Acuerdo
N° 15 de 2000 mediante la incorporación de un predio al perímetro urbano de la inspección de
La Pradera para el desarrollo de Vivienda de Interés Social e Interés Prioritario”.
2. Caracterización detallada de la demanda de posibles usuarios al programa de Vivienda de
Interés Social – perfil socio económico, tanto a nivel urbano, como a nivel rural.
3. Mejoramiento de vivienda urbana y rural
4. Programa de construcción en sitio propio
Parágrafo primero. Localización de la vivienda de interés social y prioritaria. Los proyectos de
vivienda de interés social a través de los cuales se dé cumplimiento a los objetivos de desarrollo
y ordenamiento territorial, en los términos previstos en el presente acuerdo, deberán
localizarse en los suelos destinados para actividad de VIS en el plano CU – 06 Áreas de Actividad
Urbana.
Parágrafo segundo. Mejoramiento de vivienda. La Administración Municipal adelantará las
acciones necesarias para el mejoramiento integral de viviendas que se prioricen según
diagnóstico, de acuerdo con el programa de vivienda de la administración municipal.
CAPÍTULO II
DE LOS USOS DEL SUELO URBANO
CIPIO DE AGUAZUL
ACUERDO No. _____
“POR EL CUAL SE ADOPTA LA REVISIÓN GENERAL DEL ESQUEMA DE ORDENAMIENTO TERRITORIAL DEL
MUNICIPIO DE SUBACHOQUE” EOT
53
Artículo 73. CATEGORÍAS DE USOS DEL SUELO. Para los fines de la asignación de usos y
definición de prioridades y compatibilidades, se distinguen las siguientes cuatro categorías de
usos, entendiéndose que la asignación de usos se hace respecto de las áreas de actividad en
las que ha sido zonificado el suelo urbano.
Uso Principal: Uso deseable que coincide con la función específica de la zona y que ofrece las
mayores ventajas para el desarrollo sustentable.
Usos Compatibles: Son aquellos que no se oponen al principal y concuerdan con la potencialidad,
productividad y protección del suelo y demás recursos naturales conexos.
Usos Condicionados o Restringidos: Son aquellos que presentan algún grado de incompatibilidad
urbanística y/o ambiental que se puede controlar de acuerdo con las condiciones que impongan
las normas urbanísticas y ambientales correspondientes.
Usos Prohibidos: Son aquellos incompatibles con el uso principal de una zona, con los objetivos de
conservación ambiental y de planificación ambiental y territorial y, por consiguiente, implica graves
riesgos de tipo ecológico y social.
Parágrafo: Las categorías de usos definidas en el presente artículo aplican igualmente para el
suelo rural.
Artículo 74. USO RESIDENCIAL. Comprende las viviendas o lugares de habitación de los
residentes urbanos. El uso residencial puede darse de manera exclusiva dentro de una
edificación o puede compartir esta con otros usos, siempre que estos correspondan a las
categorías compatible o condicionada, en cuyo caso, el uso condicionado deberá garantizar
la adecuada mitigación de los impactos generados. De acuerdo con las características e
intensidad de uso, pueden distinguirse cuatro tipos de vivienda:
1. Vivienda Unifamiliar: Corresponde a aquella diseñada y construida como una unidad
arquitectónica para albergar a un único grupo familiar, dotada de manera autónoma de
espacios aptos para la preparación de alimentos, el aseo personal, el descanso y el
intercambio social. No es susceptible de dividirse total o parcialmente para generar otra
unidad habitacional adicional.
2. Vivienda Bifamiliar: Corresponde a aquella diseñada y construida como una unidad
arquitectónica y estructural para albergar a dos grupos familiares, dotada de manera
autónoma e independiente, de espacios aptos para la preparación de alimentos, el aseo
personal, el descanso, el intercambio social y áreas de parqueo.
3. Vivienda Multifamiliar: Corresponde a aquella diseñada y construida como una unidad
arquitectónica donde existe una división material que independiza tres o más unidades
habitacionales con un área mínima por unidad habitacional, donde además existen espacios
comunales como escaleras de acceso, pasillos, área de acceso y recibo y áreas de parqueo
privados y de visitantes. Los bienes de uso público y de dominio privado están
subordinados a un reglamento de propiedad horizontal.
 Vivienda en conjuntos o agrupada: Corresponde a la agrupación dentro de un predio de
unidades unifamiliares, bifamiliares y/o multifamiliares al interior del mismo. Los desarrollos
de vivienda agrupada son considerados desarrollos por urbanización en cuyo caso deberán
acatar las normas para dicha modalidad como cesiones a título gratuito y cesiones
CIPIO DE AGUAZUL
ACUERDO No. _____
“POR EL CUAL SE ADOPTA LA REVISIÓN GENERAL DEL ESQUEMA DE ORDENAMIENTO TERRITORIAL DEL
MUNICIPIO DE SUBACHOQUE” EOT
54
comunales. Los bienes de uso público y de dominio privado están subordinados a un
reglamento de propiedad horizontal.
Artículo 75. USO COMERCIAL Y DE SERVICIOS. Corresponde al intercambio de bienes y
servicios. De acuerdo con las características y cubrimiento del establecimiento comercial y
para los fines de asignación de espacios territoriales, se pueden distinguir los siguientes tipos
de establecimientos comerciales:
1. Comercio y Servicios Grupo I. Comercio y Servicios de Cobertura Local: Corresponde a la
venta de bienes o servicios de consumo doméstico requeridos por la comunidad de un
sector dado. Se trata en general de locales abiertos en edificaciones residenciales sin
adecuaciones físicas importantes ni afectación del resto de la vivienda, o destinados para
tal fin pero como parte de la edificación. Se considera compatible con la actividad
residencial por su bajo impacto ambiental, urbanístico y social. Para que sean considerados
como tales, estos establecimientos deben, además, cumplir las siguientes condiciones:
a. No requieren zonas especiales de exhibición y bodegaje, ni especialización de las
edificaciones; como mínimo deberá desarrollarse en un área mínima de 10 m2 y de
máximo 20 m2 para la atención del público, las áreas de servicio tales como baños,
cocinas, cocinetas y demás, se consideran como áreas adicionales.
b. Los espacios adicionales necesarios para el desarrollo de la actividad (por ejemplo:
baños, cocinas y/o cocinetas) deberán ser independientes al área residencial.
c. No requieren usos complementarios.
d. No requieren zonas especializadas de descargue o cargue, por realizarse el
abastecimiento mediante vehículos pequeños y el acceso se puede realizar por vías
locales.
e. No requieren zonas de estacionamiento para vehículos automotores, por permanencia
corta de los clientes.
f. En el caso de establecimientos cuyo objeto sea la venta de alimentos y bebidas no
alcohólicas para consumo directo, es decir, dentro del propio establecimiento, sí se
requiere de adecuaciones locativas tendientes a la dotación de servicio sanitario para
los clientes, independiente al de la vivienda, así como la adecuación de superficies en
pared y piso, aptas para el lavado en las áreas de trabajo.
g. En este tipo de establecimientos no está permitida la venta y/o exposición de bebidas
alcohólicas.
h. Para renovación de establecimientos se debe contar con dos baños.
Pertenecen al Comercio y Servicios Grupo I, las siguientes actividades.
 Venta de alimentos y bebidas no alcohólicas al detal, para consumo diario: comidas
rápidas, fruterías, entre otros.
 Venta de bienes: Papelerías, librerías, jugueterías, almacenes de ropa, almacenes de
calzado, almacenes de adornos, floristerías, misceláneas.
 Venta de servicios profesionales: Consultorios u oficinas para el ejercicio de profesiones
liberales.
CIPIO DE AGUAZUL
ACUERDO No. _____
“POR EL CUAL SE ADOPTA LA REVISIÓN GENERAL DEL ESQUEMA DE ORDENAMIENTO TERRITORIAL DEL
MUNICIPIO DE SUBACHOQUE” EOT
55
 Venta de servicios técnicos: Sastrerías, modisterías, zapaterías, reparación de aparatos
eléctricos y electrónicos, peluquería, salas de belleza.
 Venta de servicios recreativos: Alquiler de películas de video, los cuales no podrán ser
alquilados para uso dentro del establecimiento.
 Venta de servicios de telecomunicaciones.
Parágrafo primero. Los locales cuya actividad sea la venta de servicios técnicos, no pueden
realizar ningún tipo de actividad en el espacio público.
Parágrafo segundo. El plan de gestión integral de residuos sólidos debe dar las directrices de
aquellos establecimientos comerciales que generan y como se deben recolectar y tratar y/o
disponer los residuos sólidos que sean catalogados como hospitalarios, peligrosos, industriales
de acuerdo a la normatividad vigente en la materia. (Decreto 351 de 2014 para atención en salud
y otras actividades y Decreto 4741 de 2005 por el cual se reglamenta parcialmente la
prevención y el manejo de los residuos o desechos peligrosos generados en el marco de la
gestión integral)
2. Comercio y Servicios Grupo II. Comercio y Servicios de Cobertura Municipal o Zonal:
Comprende usos comerciales de intercambio de bienes o servicios de consumo que
satisfacen demandas especializadas y generales de la comunidad de toda la zona. Se trata,
en general, de establecimientos abiertos en edificaciones originalmente residenciales,
total o parcialmente adecuadas para tal fin; o que cubren todo el primer piso de
edificaciones residenciales o en edificaciones especializadas para el uso comercial y de
servicios; o en manzanas o centros comerciales de urbanizaciones y en edificaciones
especializadas para el uso comercial con venta de bienes en los primeros pisos y venta de
servicios en pisos superiores. En general se consideran de bajo impacto ambiental y social,
pero de impacto urbanístico, a causa del tránsito y congestión vehicular que pueden
generar. Estos establecimientos cumplen, entre otras, las siguientes condiciones:
a. Puede requerir de vitrinas o medios de exhibición, así como áreas de bodegaje.
b. Requiere de áreas de parqueo para vehículos automotores, motocicletas y bicicletas.
c. Generación mediana de empleo.
d. Funcionan en horarios diurnos y nocturnos, con posible afluencia concentrada de
usuarios en horas, días y temporadas determinadas.
e. Requiere de acceso vehicular para cargue y descargue de mercancía, así como de otros
tipos de infraestructuras específicas según el tipo de bien o servicio comercializado.
f. En el caso de comercios que necesiten amplias áreas de bodegaje y que los productos
comerciados necesiten ser evacuados por los clientes con vehículos, será necesario
adecuar las instalaciones privadas con áreas de cargue y descargue y áreas de parqueos
para clientes sin afectar las vías ni el espacio público.
g. Pueden generar usos complementarios, con formación paulatina de ejes o sectores
comerciales.
h. En el caso de establecimientos cuyo objeto sea la venta de alimentos y bebidas no
alcohólicas para consumo directo, es decir, dentro del propio establecimiento, sí se
requiere de adecuaciones locativas tendientes a la dotación de servicio sanitario para
CIPIO DE AGUAZUL
ACUERDO No. _____
“POR EL CUAL SE ADOPTA LA REVISIÓN GENERAL DEL ESQUEMA DE ORDENAMIENTO TERRITORIAL DEL
MUNICIPIO DE SUBACHOQUE” EOT
56
los clientes (1 baño para mujeres, 1 baño para hombres y 1 baño de personas con algún
grado de condición de discapacidad), independiente al de la vivienda, así como la
adecuación de superficies en pared y piso, aptas para el lavado en las áreas de trabajo.
i. Estos establecimientos requerirán un área mayor de 20 m2, para la atención del público,
las áreas de servicio tales como baños, cocinas, cocinetas y demás, se consideran como
áreas adicionales.
Pertenecen al Comercio y Servicios Grupo II, las siguientes actividades.
 Venta de alimentos y bebidas al detal: Restaurantes, cafeterías, fuentes de soda,
panaderías, comidas preparadas.
 Venta de alimentos y bebidas al detal y al por mayor: Graneros, cigarrerías, productos
cárnicos, leche y sus derivados y otros alimentos perecederos, procesados o sin
procesar, supermercados.
 Venta de productos farmacéuticos y cosméticos para consumo humano y animal, al
detal y al por mayor: Droguerías, almacenes veterinarios.
 Venta de productos y/o artículos para el hogar: Almacenes de muebles,
electrodomésticos y similares.
 Venta de repuestos, partes y herramientas: almacenes de repuestos y partes.
 Venta de productos utilitarios: venta de equipos.
 Venta de servicios recreativos y personales: Juegos localizados, en los términos de la
Ley 641 de 2001, billares, clubes sociales y deportivos, alquiler de películas y afines,
saunas, baños turcos, salas y/o centros de estética, gimnasios.
 Venta de servicios de lavado: Lavanderías y tintorerías.
 Venta de servicios profesionales: Consultorios, oficinas y laboratorios para el ejercicio
de profesiones liberales.
 Venta de servicios técnicos: marqueterías, vidrierías, talabarterías, bicicleterías (solo
venta).
 Servicios con pacto de retroventa y/o consignación de bienes.
 En el caso de restaurantes u otro tipo de establecimiento en el cual se vendan bebidas
alcohólicas para consumo directo dentro del propio establecimiento, se requiere de
adecuaciones locativas tendientes a la dotación de servicio sanitario para los clientes,
este debe ser independiente tanto para hombres como para mujeres (es decir 2 baños).
 Venta de servicios de telecomunicación, café internet.
 Venta de servicios de parqueo de vehículos hasta de 3.5 toneladas.
 Venta se servicios financieros y de seguros: oficinas inmobiliarias,
 Venta de servicios de hospedaje: Hoteles.
Parágrafo tercero. En el caso de restaurantes con venta de bebidas alcohólicas para consumo
directo, es decir, dentro del propio establecimiento, se requiere de adecuaciones locativas
tendientes a la dotación de servicio sanitario para los clientes, mínimo dos unidades sanitarias
por establecimiento.
Uso comercial y de servicios – Bares, Tabernas, Discotecas y similares. Corresponde los
establecimientos dedicados al expendio de bebidas alcohólicas donde se puede pasar un rato de
CIPIO DE AGUAZUL
ACUERDO No. _____
“POR EL CUAL SE ADOPTA LA REVISIÓN GENERAL DEL ESQUEMA DE ORDENAMIENTO TERRITORIAL DEL
MUNICIPIO DE SUBACHOQUE” EOT
57
sano esparcimiento. Dentro de estos se encuentran: bares, billares, tabernas, discotecas, rockolas,
karaokes, café bar, bar de tertulia, Taberna de Tertulia, campos de tejo. Los establecimientos que
sean catalogados como de “Alto impacto”, solo se podrán desarrollar en la jurisdicción del
municipio en el área de comercio de impacto.
Uso comercial y de servicios – Talleres mecánicos, eléctricos y de latonería tanto para vehículos,
motos y maquinaria. Corresponde los establecimientos dedicados a la reparación de vehículos,
motos y maquinaria en general que presenta daños mecánicos, eléctricos o de carrocería y/o
estructura. Los establecimientos que sean catalogados como de “Alto impacto”, solo se podrán
desarrollar en la jurisdicción del municipio en las áreas denominadas corredores viales de servicios
rurales.
Parágrafo cuarto. Estudio de establecimientos comerciales catalogados como de “Alto impacto”
(aplica para los dos usos precedentes).
La Secretaría de Gobierno o quien haga sus veces deberá realizar un estudio para determinar
cuáles son los establecimientos comerciales de “Alto impacto en el área urbana y rural” el cual
tiene plazo de dos (2) años posterior a la aprobación del acuerdo y se deberá realizar el control y
seguimiento cada vez que se considere pertinente. Los establecimientos que se encuentren
catalogados como de alto impacto y que actualmente están ubicados en el área urbana, centros
poblados o área rural, tendrán un plazo máximo de traslado hasta el 31 de Diciembre de 2017 para
el área definida para estos usos dentro del EOT.
Las variables que analiza el estudio de alto impacto son:
1. Incumplimiento a los niveles de ruido permitido para área urbana de acuerdo a la
normatividad ambiental vigente.
2. Recurrencia de los problemas de orden público que se presenten en el establecimiento o
por clientela que forme problemas de orden público a la salida del mismo.
3. Recurrencia en la ocupación de espacio público o invasión de vía pública por parte de la
clientela del establecimiento, cuando este no cuente con áreas para parqueo de sus
clientes.
Los establecimientos comerciales que serán analizados por el estudio de alto impacto son:
 Tiendas
 Bares
 Tabernas
 Discotecas
 Rockolas
 Café Bar
 Billares
 Estanco
 Licorera
 Galleras
 Fuente de soda
CIPIO DE AGUAZUL
ACUERDO No. _____
“POR EL CUAL SE ADOPTA LA REVISIÓN GENERAL DEL ESQUEMA DE ORDENAMIENTO TERRITORIAL DEL
MUNICIPIO DE SUBACHOQUE” EOT
58
 Campos de Tejo
 Cantinas
 Expendios de licor
 Karaoke´s
 Talleres eléctricos de vehículos, maquinaria y motocicletas
 Talleres mecánicos de vehículos, maquinaria y motocicletas
 Talleres de Latonería y Pintura de vehículos, maquinaria y motocicleta
 Talleres de ornamentación
 Carpinterías
 Talleres de Electrodomésticos
 Fábricas pequeñas que generen ruido o emisiones o vertimientos industriales
Los establecimientos comerciales que sean catalogados por el estudio que va a realizar la
Secretaría de Gobierno como de “Alto impacto” se deberán establecer solamente en las áreas que
establezca el EOT.
Parágrafo quinto. Los nuevos expendios cárnicos y/o lácteos y/o pescado no procesados que se
localicen en el área urbana deberán presentar el respectivo concepto y/o viabilidad (Que
contemple el manejo de residuos sólidos y líquidos) de sus actividades a la Secretaría de Medio
Ambiente o quien haga sus veces, y a la Autoridad Ambiental CAR en caso de requerirse.
Parágrafo sexto. Los establecimientos comerciales que realizan venta de minutos a teléfonos
móviles y fijos deberán poseer en su interior cabina o cabinas telefónicas especiales para tal fin.
Lo anterior para que no se congestione el espacio público.
Parágrafo séptimo. No se permitirá el establecimiento de dos actividades simultáneas no
compatibles por cada establecimiento comercial.
Parágrafo octavo. Dentro de las urbanizaciones de Vivienda de Interés Social y/o prioritario, NO
se podrá dar ningún tipo de desarrollo comercial al interior de las viviendas.
Parágrafo noveno. Se prohíbe la construcción de Moteles, Hostales, Residencias, Centros de
Lenocinio y Similares.
Parágrafo décimo. No se podrá realizar ningún tipo de desarrollo de construcciones de
viviendas prefabricadas en el área urbana.
Parágrafo décimo primero. Cierre de establecimientos: Todo establecimiento que no cumpla
con el respectivo uso conforme con la presente norma estará contraviniendo el Esquema de
Ordenamiento Territorial del Municipio, por lo cual se deberá proceder al cierre del
establecimiento por parte de la Administración Municipal en cabeza de la Secretaría de
Gobierno y la Inspección de Policía, siguiendo el conducto regular legalmente establecido para
tal fin.
CIPIO DE AGUAZUL
ACUERDO No. _____
“POR EL CUAL SE ADOPTA LA REVISIÓN GENERAL DEL ESQUEMA DE ORDENAMIENTO TERRITORIAL DEL
MUNICIPIO DE SUBACHOQUE” EOT
59
Parágrafo décimo segundo. Norma de emisión de ruido y ruido ambiental: Todas las
actividades que se desarrollen en el municipio deben dar cumplimiento a la resolución 627 de
2007 del Ministerio de Ambiente Vivienda y Desarrollo Territorial (hoy Ministerio de Ambiente y
desarrollo Sostenible) y las demás normas que lo modifiquen, deroguen o complementen, ,
sobre emisiones de ruido y ruido ambiental. Para establecimientos de tipo comercial lo niveles
permitidos son de 70dB en el día y 60dB en la noche. En caso de exceder los niveles mínimos de
ruido los establecimientos deberán realizar adecuaciones de tipo arquitectónicas (aislantes
acústicos, dobles muros. etc) que permitan el cumplimiento de los niveles máximos de ruido
permitidos.
Parágrafo décimo tercero. En el caso cuando el área de actividad de comercio y servicios
colinde lateralmente con predios que se encuentren en área de actividad residencial sin mediar
de por medio ninguna vía pública, las actividades comerciales que se podrán desarrollar en
estos predios serán las del comercio Grupo I, definidos en este mismo numeral.
Parágrafo décimo cuarto. Dentro de los usos principales, compatibles y condicionados dentro
del comercio Grupo I y II en el área de actividad comercial y de servicios no se podrán realizar
actividades donde exista manipulación de agentes químicos que puedan llegar a convertirse en
potencialmente tóxicos para la comunidad.
Parágrafo décimo quinto. Controles: Corresponde a la Secretaría de Gobierno a través de la
inspección de Policía deberá ejercer el control respecto al cumplimiento de la normatividad por
parte de los establecimientos comerciales, industriales y de servicios, en cuanto al concepto
favorable de uso del suelo conforme a la norma la Secretaría de Planeación tramitará este
documento. Corresponde a la Inspección de Policía o la entidad que haga sus veces, ejercer el
control por impacto urbano con vehículos sobre el espacio público; corresponde al Organismo
de Control Ambiental o quien haga sus veces ejercer los controles por los impactos ambientales
generados (ruido, olores, contaminación visual, etc.); y demás formas que alteren el medio
ambiente. Corresponde a la Secretaría de Gobierno, ejercer los controles sobre los impactos y
escándalo público y actuar para los casos de quejas o malestar de vecinos originados por el mal
funcionamiento de establecimientos públicos.
Artículo 76. USO DOTACIONAL. Corresponde a la prestación de ciertos tipos de servicios
sociales de carácter formativo, cultural, de salud, deportivo, de bienestar social,
recreacional y religioso, así como a prestar apoyo funcional a los particulares y a la
administración pública. De acuerdo con su cobertura e intensidad, los usos dotacionales se
clasifican de la siguiente manera:
1. Dotacional Grupo I. Dotacional Local: Corresponde a servicios de primera necesidad y
cobertura local, que se desarrollan en establecimientos de magnitud reducida y pueden
generar en menor escala, tráfico vehicular, congestión eventual de peatones, ruidos,
emisiones o efluentes contaminantes, por lo cual, aunque se consideran de bajo impacto
arquitectónico, urbanístico y ambiental, se deberán prestar en instalaciones adecuadas
para mitigar tales impactos. Se trata de actividades que funcionan en locales adaptados o
parcialmente adaptados en una edificación residencial u ocupando la totalidad del primer
CIPIO DE AGUAZUL
ACUERDO No. _____
“POR EL CUAL SE ADOPTA LA REVISIÓN GENERAL DEL ESQUEMA DE ORDENAMIENTO TERRITORIAL DEL
MUNICIPIO DE SUBACHOQUE” EOT
60
piso de la edificación residencial, como también en edificaciones construidas
específicamente para dicho uso, siendo por tanto compatibles con el uso residencial.
Se consideran actividades dotacionales del Grupo I, las siguientes:
 Servicios culturales: bibliotecas, salones culturales o comunales.
 Servicios educacionales: jardines infantiles, guarderías.
2. Dotacional Grupo II. Dotacional Municipal: Son aquellas de mediano impacto ambiental
urbanístico y social, con restricciones diferenciales de localización según su impacto
urbanístico derivado. Se desarrollan en edificaciones construidas especialmente o
adaptadas en su totalidad; generan afluencia de usuarios concentrada en ciertos días u
horas y durante horarios especiales y requieren zonas de estacionamiento; pueden generar
tráfico y congestión y propician la aparición o desarrollo de actividades complementarias
en el área de influencia inmediata; pueden generar ruidos, emisiones o efluentes
contaminantes, por lo que deberán construir las instalaciones para mitigar estos impactos y
cumplir con la normatividad vigente (PGIRH) y demás permisos ambientales necesarios
para su operación, los cuales deben ser presentados ante las autoridades municipales de
planeación.
En general, estos establecimientos cumplen, entre otras, las siguientes condiciones:
a. Requiere edificaciones, individuales o agrupadas especialmente diseñadas para el
desarrollo de la actividad.
b. Funciona en horarios especiales, con afluencia concentrada de público en horas, días y
temporadas determinadas.
c. Genera afluencia y permanencia elevada de personas.
d. Requiere vías de acceso de tipo estructural primario o secundario, así como áreas de
parqueo y carga.
e. Por sus características físicas y funcionales genera alto impacto urbanístico que
requiere soluciones particulares para cada caso.
f. Los centros de culto deben garantizar la inclusión, en la edificación, de medidas de
mitigación del impacto auditivo de manera tal que se dé cumplimiento a lo previsto en
la Resolución No. 8321 de 1983, del Ministerio de Salud, por la cual se dictan normas
sobre Protección y Conservación de la Audición de la Salud y el bienestar de las
personas, por causa de la producción y emisión de ruidos.
g. Para las instituciones educativas las establecidas por el Ministerio de Educación.
Se consideran actividades dotacionales del Grupo II, las siguientes:
 Servicios culturales: bibliotecas, salones culturales o comunales.
 Centros educativos: Colegios, Universidades, Centros de formación técnica y tecnológica
dando cumplimiento a los correspondientes parámetros de ley.
 Servicios asistenciales: Instituciones para permanencia del adulto mayor, casas y centros
de rehabilitación, centros de paso, hogares de bienestar, Clínicas.
 Centros de culto, conventos, seminarios.
CIPIO DE AGUAZUL
ACUERDO No. _____
“POR EL CUAL SE ADOPTA LA REVISIÓN GENERAL DEL ESQUEMA DE ORDENAMIENTO TERRITORIAL DEL
MUNICIPIO DE SUBACHOQUE” EOT
61
 Administrativos públicos: instalaciones para la administración pública, judicial o similar.
 IPS, Clínicas
Artículo 77. USOS RECREACIONALES. Corresponden a aquellos dedicados a prestar servicios
deportivos o de esparcimiento a la comunidad. La actividad recreativa puede ser de tipo
activo o de tipo pasivo.
1. Recreación Activa. Conjunto de actividades dirigidas al esparcimiento y el ejercicio de
disciplinas lúdicas, artísticas o deportivas que tienen como fin la salud física y mental, para
las cuales se requiere de infraestructura destinada a alojar concentraciones de público.
2. Recreación pasiva. Conjunto de acciones y medidas dirigidas al ejercicio de actividades
contemplativas que tienen como fin el disfrute escénico y la salud física y mental, para las
cuales tan solo se requiere equipamientos mínimos de muy bajo impacto ambiental, tales
como senderos peatonales, miradores paisajísticos y mobiliario propio de las actividades
contemplativas.
Artículo 78. USOS INDUSTRIALES. Implican el desarrollo de actividades relativas al uso
comercial o de transformación de materias primas o a la elaboración, ensamblaje y
manufactura de productos. En el suelo urbano el único uso industrial es el siguiente:
1. Industria Grupo I. Corresponde a la industria artesanal y se desarrolla en pequeñas fábricas
o industrias de bajo impacto ambiental y urbanístico, por lo cual se consideran compatibles
con otros usos. En general, se ubican en espacios que forman parte de edificaciones
comerciales o de vivienda unifamiliar, o en locales independientes. Sus características
principales son:
a. Manufactura artesanal de productos, con métodos manuales o equipos caseros y baja
generación de empleo.
b. Abastecimiento de materias primas y transporte de productos terminados mediante
vehículos livianos.
c. Horarios laborales por lo general diurnos.
d. No requiere infraestructuras especiales ni genera olores ofensivos, ruidos que incumplen la
norma, emisiones ni efluentes contaminantes.
Parágrafo primero. Todo establecimiento que no cumpla con el respectivo uso conforme con
la presente norma estará contraviniendo el Esquema de Ordenamiento Territorial de
Subachoque, procediéndose al cierre del establecimiento por parte de la Secretaría de
Gobierno o quien haga sus veces.
Parágrafo segundo. Corresponde a la Secretaría de Planeación y a la inspección de Policía
ejercer el control posterior respecto al cumplimiento de la normatividad por parte de los
establecimientos comerciales y de servicios en cuanto al concepto favorable de uso del suelo
conforme a la norma. Corresponde a la Inspección de Policía o la entidad que haga sus veces,
ejercer el control por impacto urbano con vehículos sobre el espacio público; corresponde al
Organismo de Control Ambiental o quien haga sus veces ejercer los controles por los impactos
CIPIO DE AGUAZUL
ACUERDO No. _____
“POR EL CUAL SE ADOPTA LA REVISIÓN GENERAL DEL ESQUEMA DE ORDENAMIENTO TERRITORIAL DEL
MUNICIPIO DE SUBACHOQUE” EOT
62
ambientales generados (ruido, olores, trepidaciones, contaminación luminosa, etc.); y de más
formas que alteren el medio ambiente. Corresponde a la Secretaría de Gobierno, ejercer los
controles sobre los impactos y escándalo público y actuar para los casos de quejas o malestar
de vecinos originados por el mal funcionamiento de establecimientos públicos.
Parágrafo tercero. Las autoridades encargadas de la administración del cementerio local darán
estricto cumplimiento a la Resolución 1447 de 2009, expedida por el Ministerio de Protección
Social. Para el caso del cementerio
Parágrafo cuarto. El municipio dará estricto cumplimiento a la Resolución 627 de 2008, en
cuanto a los niveles de ruido y ruido ambiental.
CAPÍTULO III
DE LAS ÁREAS DE ACTIVIDAD EN SUELO URBANO
Artículo 79. DEFINICIÓN. Las áreas de actividad corresponden al segundo nivel de
zonificación del suelo del Municipio, después de la gran clasificación del territorio en suelos
urbano, rural, de expansión urbana y de protección. Respecto de las áreas de actividad se
asignan los tratamientos a que haya lugar y, por consiguiente, se establecen las normas
urbanísticas generales aplicables al desarrollo de usos dentro de las categorías principal,
complementaria y condicionada que, junto con la categoría de uso prohibido, también son
asignadas respecto de las áreas de actividad.
Artículo 80. ÁREAS DE ACTIVIDAD EN SUELO URBANO. El suelo urbano del Municipio se
encuentra zonificado en las siguientes áreas de actividad, como puede observarse en el
plano CU – 04. Áreas de Actividad en Suelo Urbano:
ÁREA DE ACTIVIDAD EN SUELO URBANO CONVENCIÓN CARTOGRÁFICA
Actividad Residencial U - R
Actividad Comercial y de Servicios U - CS
Actividad Dotacional U - D
Actividad Recreacional U - R
Comercio de impacto U - CI
Artículo 81. ASIGNACIÓN DE USOS POR ÁREAS DE ACTIVIDAD EN SUELO URBANO. Para
cada una de las Áreas de Actividad se asignan los usos como se indica a continuación:
ÁREA URBANA - ÁREAS DE ACTIVIDAD Ficha
ACTIVIDAD RESIDENCIAL NUG - U - 01
USOS
Uso Principal Residencial Unifamiliar, Bifamiliar, Multifamiliar, Conjuntos o Agrupada.
Usos Compatibles Dotacional Grupo I, Comercial Grupo I. (excepto los centros de culto)
Usos Condicionados Ninguno.
Usos Prohibidos Los demás. Venta de servicios recreativos de videojuegos y máquinas tragamonedas.
ÁREA URBANA - ÁREAS DE ACTIVIDAD Ficha
CIPIO DE AGUAZUL
ACUERDO No. _____
“POR EL CUAL SE ADOPTA LA REVISIÓN GENERAL DEL ESQUEMA DE ORDENAMIENTO TERRITORIAL DEL
MUNICIPIO DE SUBACHOQUE” EOT
63
ACTIVIDAD COMERCIAL Y DE SERVICIOS NUG - U - 02
USOS
Uso Principal Comercio Grupo I, Comercio Grupo II.
Usos Compatibles
Dotacional Grupo I, Vivienda unifamiliar, Vivienda bifamiliar, Multifamiliar. Industrial Grupo I
(Exclusivamente de tipo artesanal, sin generación de vertimientos líquidos, ni emisiones
atmosféricas).
Usos Condicionados
Centros de culto, Bares, Café Bar, Billares, Campos de Tejo, Cantinas, Expendios de licor,
Karaoke´s (Que NO sean catalogados como de alto impacto)
Usos Prohibidos Los demás.
ÁREA URBANA - ÁREAS DE ACTIVIDAD Ficha
ACTIVIDAD DOTACIONAL NUG - U - 03
USOS
Uso Principal Dotacional Grupo 1, Dotacional Grupo II
Usos Compatibles Recreacional
Usos Condicionados Ninguno
Usos Prohibidos Los demás.
ÁREA URBANA - ÁREAS DE ACTIVIDAD Ficha
ACTIVIDAD RECREACIONAL (ESPACIO PÚBLICO) NUG - U - 04
USOS
Uso Principal Recreación activa, recreación pasiva
Usos Compatibles Dotacional I
Usos Condicionados Ninguno
Usos Prohibidos Los demás.
ÁREA URBANA - ÁREAS DE ACTIVIDAD Ficha
ACTIVIDAD COMERCIAL DE IMPACTO NUG - U - 05
USOS
Uso Principal
Talleres eléctricos de vehículos, maquinaria y motocicletas, Talleres mecánicos de
vehículos, maquinaria y motocicletas, Talleres de Latonería y Pintura de vehículos,
maquinaria y motocicleta, Talleres de ornamentación, Carpinterías, Talleres de
Electrodomésticos, Centros de culto, Bares, Tabernas, Discotecas, Rockolas, Café Bar,
Billares, Galleras, Campos de Tejo, Cantinas, Expendios de licor, Karaoke´s (Que sean
catalogados como de alto impacto)
Usos Compatibles
Comercio Grupo I. Industrial Grupo I (Exclusivamente de tipo artesanal, sin
generación de vertimientos líquidos, ni emisiones atmosféricas).
Usos
Condicionados
Centros de culto
Usos Prohibidos Dotacionales, Los demás.
CAPÍTULO IV
DE LOS TRATAMIENTOS EN SUELO URBANO
CIPIO DE AGUAZUL
ACUERDO No. _____
“POR EL CUAL SE ADOPTA LA REVISIÓN GENERAL DEL ESQUEMA DE ORDENAMIENTO TERRITORIAL DEL
MUNICIPIO DE SUBACHOQUE” EOT
64
Artículo 82. DEFINICIONES. El tratamiento corresponde a un tercer nivel de zonificación del
suelo, después de la gran clasificación y de las áreas de actividad. Contiene las
determinaciones del Esquema de Ordenamiento Territorial, que atendiendo las
características físicas de cada zona considerada, establecen normas urbanísticas que
definen un manejo diferenciado para los distintos sectores. En especial, los tratamientos
involucran medidas de gradación, restricción, bonificación, incentivos y, en general, diversas
formas de regulación sectorizada.
Por su carácter, los tratamientos, junto con la gran clasificación del territorio y la zonificación
en términos de áreas de actividad, son normas estructurales dentro del presente Acuerdo.
Los tratamientos que aplican dentro del área urbana del municipio de Subachoque, son los que
se enuncian a continuación:
1. Tratamiento de Desarrollo
2. Tratamiento de Consolidación
3. Tratamiento de Conservación
4. Tratamiento de Mejoramiento Integral
Para los fines del presente documento, en su Componente Urbano, adóptense las siguientes
definiciones complementarias:
a. Área bruta: Es el área total del predio o predios a construir o urbanizar, o sujetos a plan
parcial.
b. Área Neta Urbanizable: Es el área resultante de descontar del área bruta, las áreas para la
localización de la infraestructura para el sistema vial principal y de transporte, las redes
primarias de servicios públicos.
c. Área Útil: Es el área resultante de restarle al área neta urbanizable, el área correspondiente
a las zonas de cesión obligatoria para vías locales, espacio público y equipamientos propios
de la urbanización.
d. Índice de Ocupación: Es la proporción del área de suelo que puede ser ocupada por
edificación en primer piso bajo cubierta, y se expresa por el cociente que resulta de dividir
el área que puede ser ocupada por edificación en primer piso bajo cubierta por el área neta
urbanizable del predio.
e. Índice de Construcción: Es el número máximo de veces que la superficie de un terreno
puede convertirse por definición normativa en área construida, y se expresa por el cociente
que resulta de dividir el área permitida de construcción por el área neta urbanizable de un
predio.
f. Cesiones Obligatorias a título gratuito: Es la proporción del área neta urbanizable o
construible de todo terreno en proceso de urbanización y/o edificación, que genere cinco o
más unidades inmobiliarias, que se deberá ceder al Municipio, a título gratuito, con destino
a dotar a la comunidad de zonas recreativas de uso público, zonas de equipamiento
comunal público, zonas de servicios sociales o institucionales y zonas del sistema vial local
público.
CIPIO DE AGUAZUL
ACUERDO No. _____
“POR EL CUAL SE ADOPTA LA REVISIÓN GENERAL DEL ESQUEMA DE ORDENAMIENTO TERRITORIAL DEL
MUNICIPIO DE SUBACHOQUE” EOT
65
g. Cesión Comunal: Es la proporción del área neta urbanizable de todo terreno en proceso de
urbanización que se deberá destinar al equipamiento comunal privado. Son componentes
de las Cesiones Tipo B, los siguientes: Los usos recreativos, representados por parques,
zonas verdes, jardines, plazoletas, juegos cubiertos, piscinas y/o zonas húmedas y otros
similares; los servicios comunales y administrativos, representados por salones múltiples,
lavanderías, cafeterías y/o restaurantes, depósitos, guarderías, oficinas de administración,
puestos de celaduría, enfermería y otros similares; y las vías internas, los estacionamientos
de los propietarios y los estacionamientos para visitantes, adicionales a los que hacen parte
de las Cesiones Obligatorias, siempre que estén ubicados dentro del predio. Las cesiones
tipo B no aplican para los proyectos de urbanización.
Artículo 83. TRATAMIENTO DE DESARROLLO. El tratamiento de desarrollo es aplicable a
terrenos urbanizables no urbanizados y a lotes edificables no edificados. En el primer caso se
trata de desarrollo por urbanización y en el segundo de desarrollo por construcción.
El desarrollo por urbanización se aplica a los predios localizados al interior del perímetro urbano o
de la zona de expansión urbana donde no existen aún condiciones para el uso urbano, o a terrenos
que no hayan realizado las cesiones de espacio público o que no hayan construido las
infraestructuras, aunque sean objeto de otros tratamientos. Una vez que el urbanizador entrega
los terrenos de cesión y los correspondientes a las afectaciones impuestas y construye las obras
necesarias y los equipamientos comunales exigidos, los predios pasan a ser “urbanizados” y se
convierten en predios edificables a los que aplica el tratamiento de desarrollo por construcción.
El desarrollo por construcción se aplica entonces a lotes edificables no edificados y consiste en el
levantamiento de las edificaciones para los diferentes usos permitidos en el área, para lo cual se
deben tener en cuenta normas sobre volumetría, equipamiento, estacionamientos, elementos
arquitectónicos, redes y equipos, especificaciones técnicas, regímenes de copropiedad y trámites.
Parágrafo primero. Las zonas y predios de desarrollo que limiten con fuentes hídricas (ríos,
quebradas), deberán previo a la solicitud de las licencias urbanísticas, realizar el estudio de cotas
máximas de inundación, en un período de retorno de 100 años, el cual será presentado a la CAR.
Igualmente estas zonas deben garantizar el espacio público efectivo que les corresponda en el
marco del Decreto 1504 de 1998. Adicionalmente no se permite el desarrollo de predios que se
encuentren en suelos clasificas por el IGAC, con clase agrologico I,II y III, de conformidad con el
numeral 2 del artículo 4 del Decreto 3600 del 2007.
Desarrollo por urbanización
La urbanización es el proceso por el cual un terreno no ocupado situado al interior del perímetro
urbano o de la zona de expansión urbana es dotado de servicios, de infraestructura vial, dividido
en áreas destinadas al uso privado y comunal y a los demás servicios necesarios, en forma tal que
quede apto para construir edificaciones idóneas para los usos y actividades permitidos.
Para adelantar procesos de urbanización se requiere licencia expedida por la Secretaría de
Planeación, en los términos y condiciones contempladas en el Decreto 1469 de 2010,
reglamentario de la Ley 388 de 1997 o las normas que lo modifiquen o sustituyan.
CIPIO DE AGUAZUL
ACUERDO No. _____
“POR EL CUAL SE ADOPTA LA REVISIÓN GENERAL DEL ESQUEMA DE ORDENAMIENTO TERRITORIAL DEL
MUNICIPIO DE SUBACHOQUE” EOT
66
Todo proyecto urbanístico, y por consiguiente, su respectiva licencia, debe contemplar los
siguientes aspectos:
1. Modalidad de urbanización.
2. Conformación del espacio público en lo relativo a: Red vial principal, Red vial local, Áreas
recreativas de uso público y de equipamiento comunal y servicios públicos, tanto en sus redes
locales como maestras.
3. Segregación del espacio privado en lo relativo a dimensiones de manzanas y lotes.
4. Ubicación y magnitud de las zonas de reserva vial, de servicios públicos, zonas recreativas de
uso público u otras. La definición del espacio público debe ser realizada en función del uso o
usos permitidos, los cuales, en consecuencia, deben ser definidos antes de iniciar el
proceso de urbanización.
Modalidades de urbanización
Los proyectos urbanísticos en el área urbana podrán adelantarse bajo las modalidades de
desarrollo completo y desarrollo por etapas.
Desarrollo Completo: Es aquel que resulta cuando para un proyecto urbanístico se tramita de
manera simultánea la licencia de urbanismo y la licencia de construcción y en el proyecto y su
respectiva licencia no se contempla el desarrollo por etapas. En este caso la vigencia de la licencia
se regirá por lo establecido en el Art. 41 del Decreto 1069 de 2010.
Desarrollo por etapas: Es aquel que resulta cuando respecto de un proyecto urbanístico se
pretende su ejecución por etapas, a través del tiempo. En este caso será necesario tramitar
licencias por separado para cada etapa, previa la obtención de una licencia inicial correspondiente
al proyecto urbanístico general, en los términos establecidos en el inciso primero del Artículo 42
del Decreto 1069 de 2010.
Para cada etapa se debe obtener la respectiva licencia, que como en el caso del desarrollo
completo, puede incluir la de urbanismo y la de construcción en un mismo acto, siempre que se
garantice, para cada etapa, la prestación de los servicios públicos domiciliarios, los accesos y el
cumplimiento autónomo de los porcentajes de cesión. En este caso, las expensas generadas
deben corresponder a la etapa objeto de licencia.
En la licencia se deberá exigir al urbanizador o interesados la constitución de una garantía a favor
del Municipio y de las empresas de servicios, para amparar el cumplimiento de las obligaciones
contraídas, sin perjuicio de las obligaciones contractuales con los adquirentes de lotes o sus
representantes.
Conformación de la red vial principal en desarrollos por urbanización
CIPIO DE AGUAZUL
ACUERDO No. _____
“POR EL CUAL SE ADOPTA LA REVISIÓN GENERAL DEL ESQUEMA DE ORDENAMIENTO TERRITORIAL DEL
MUNICIPIO DE SUBACHOQUE” EOT
67
La determinación de las áreas de reserva y cesión correspondientes a la red vial principal, se
hará a partir de los perfiles del presente documento y que hacen parte del plano CU – 02.
Sistema Vial Urbano.
Los predios ubicados dentro del perímetro urbano o de la zona de expansión urbana para cuyo
desarrollo sea aplicable el tratamiento de desarrollo por urbanización, deberán segregar y
entregar a título gratuito al Municipio o a la entidad competente, los terrenos de reserva para las
vías de la red vial principal, una vez que las obras viales hayan sido realizadas, conforme al
proyecto aprobado.
Conformación de la red vial local en desarrollos por urbanización
Las áreas requeridas para la conformación de la red vial local de uso público deberán ser
cedidas a título gratuito por el urbanizador, teniendo en cuenta las siguientes condiciones,
entre otras:
 Malla vehicular continua
 Accesos de las vías locales a las zonas verdes y comunales
 Soluciones integradas para el tráfico (vehicular, peatonal, ciclovias, alamedas u otros).
El urbanizador presentará, junto con la solicitud de licencia y los planos de la urbanización, la
propuesta de sección transversal de las vías locales, la cual deberá contener todos los aspectos
de estructura y adecuación, dotación, equipamiento, arborización y ornamentación.
Todas las vías, principales o locales, deben ser diseñadas y construidas de acuerdo con las
normas municipales o, en su defecto, departamentales.
Las vías públicas no podrán ser encerradas en forma tal que se prive a la ciudadanía de su uso y
libre tránsito, salvo para fines de control y seguridad y siempre de forma temporal, por parte de
las autoridades municipales, debidamente autorizados por la Secretaría de Gobierno o quien
haga sus veces.
Conformación del sistema de áreas recreativas de uso público en desarrollos por urbanización
Las áreas recreativas de uso público están constituidas por los parques, plazas y plazoletas, las
cuales conforman el espacio público efectivo de la urbanización. Deberán formar parte de ellas los
campos deportivos abiertos.
Los parques y zonas verdes de uso público no podrán ser encerrados en forma tal que se prive a la
ciudadanía de su uso y/o disfrute visual, salvo por razones de mantenimiento, mejoramiento
paisajístico, ordenamiento de distintas formas de recreación activa y/o seguridad. En cualquier
caso, la transparencia del cerramiento será de un 90% como mínimo.
Conformación del sistema de equipamientos colectivos en desarrollos por urbanización
CIPIO DE AGUAZUL
ACUERDO No. _____
“POR EL CUAL SE ADOPTA LA REVISIÓN GENERAL DEL ESQUEMA DE ORDENAMIENTO TERRITORIAL DEL
MUNICIPIO DE SUBACHOQUE” EOT
68
De acuerdo a las características del proyecto y al área de actividad en donde este se localice, los
equipamientos comunales podrán corresponder a los usos dotacionales de los Grupos I y II
definidas en este documento.
Distribución y localización de las cesiones obligatorias
En desarrollos por urbanización y/o edificación y/o subdivisión, en suelo urbano o de expansión
urbana, que generen cinco o más unidades inmobiliarias, con destino a usos residenciales,
institucionales, comerciales y de servicios, se deberá ceder a favor del Municipio, a título gratuito y
mediante escritura pública, las áreas de cesión obligatoria de acuerdo con la siguiente distribución:
CESIÓN OBLIGATORIAS EN
SUELO URBANO Y DE
EXPANSIÓN URBANA
AA Residencial % del Área
Neta Urbanizable
AA Residencial (VIS)
% del Área Neta
Urbanizable
AA Comercial % del Área
Neta Urbanizable
Vías Locales Mínimo 10% Mínimo 10% Mínimo 10%
Espacio Público Mínimo 20% Mínimo 20% Mínimo 20%
Equipamientos Mínimo 5% Mínimo 5% Mínimo 5%
La localización de las áreas de Cesión obligatoria deberá figurar en los planos oficiales de la
urbanización y cumplirá los siguientes requisitos:
a. Que se integren a los demás elementos del espacio público, de tal forma que constituyan un
conjunto armónico y continuo.
b. Que se ubiquen sobre vías vehiculares
c. Que no coincidan con zonas de reserva vial, de servicios públicos u otras reservas.
d. Que no correspondan a zonas de riesgo o terrenos que por su pendiente, inundabilidad u
otros limitantes no permitan el desarrollo de las infraestructuras de uso público. No se
aceptará en particular su localización sobre chucuas y rondas de quebradas y/o vallados.
Parágrafo segundo. La cesión obligatoria en predios que se urbanicen, edifiquen y/o subdividan
en cinco o más unidades inmobiliarias, en los procesos de desarrollo por etapas, entregarán en
forma anticipada el porcentaje de cesión establecido en el proyecto urbanístico, como requisito
previo a la expedición de la licencia respectiva.
Parágrafo tercero. La cesión obligatoria correspondiente a predios que se urbanicen, edifiquen
y/o subdividan en cinco o más unidades inmobiliarias, podrá ser localizada en otra zona del área
urbana o de expansión urbana del Municipio.
Parágrafo cuarto. Cuando el área de la cesión obligatoria en predios que se urbanicen,
edifiquen y/o subdividan en cinco o más unidades inmobiliarias sea inferior a 2000 M2, deberá
ser compensada en dinero, previo avalúo comercial del predio objeto del proyecto, elaborado
por el Instituto Geográfico Agustín Codazzi, la entidad que haga sus veces o las personas
naturales o jurídicas de carácter privado registradas y autorizadas por las lonjas de propiedad
raíz del lugar donde se ubiquen los bienes objeto de la valoración. El avalúo será contratado por
el Municipio y su valor cancelado por el titular del proyecto responsable de hacer la cesión, los
dineros podrán ser utilizados en: compra de predios para espacio público, adecuación y
CIPIO DE AGUAZUL
ACUERDO No. _____
“POR EL CUAL SE ADOPTA LA REVISIÓN GENERAL DEL ESQUEMA DE ORDENAMIENTO TERRITORIAL DEL
MUNICIPIO DE SUBACHOQUE” EOT
69
construcción de alamedas, construcción de equipamientos comunales públicos entre otros
relacionados con el espacio público y de servicios.
Parágrafo quinto. Los proyectos de edificación de inmuebles, bajo régimen de propiedad
horizontal, deberán realizar las Cesiones obligatorias, a que se refiere el presente artículo.
Parágrafo sexto. La cesión obligatoria no aplica en subdivisiones prediales resultado de
sentencias judiciales mediante las cuales se resuelvan procesos de sucesión.
Parágrafo séptimo. La cesión obligatoria no aplica en predios menores a 1000 M2, siempre y
cuando en ellos se pretenda realizar proyectos de edificación individual de inmuebles urbanos o
de expansión urbana con destino a usos residenciales.
Parágrafo octavo. Las cesiones obligatoria deberán entregarse al Municipio construidas y
dotadas con mobiliario recreativo y o deportivo, conforme a lo aprobado en el respectivo
proyecto
Proporción de las cesiones comunales
Las Cesiones comunales se exigirán en todos los proyectos urbanísticos cobijados por el régimen
de propiedad horizontal, independientemente del uso, en las siguientes proporciones:
CESIÓN COMUNALES EN SUELO
URBANO Y DE EXPANSIÓN
URBANA
AA Residencial %
del Área Neta Urbanizable
AA Residencial (VIS)
% del Área Neta
Urbanizable
AA Comercial %
del Área Neta
Urbanizable
Mínimo 5% Mínimo 3% Mínimo 5%
Estacionamientos
Los estacionamientos pueden ser, a su vez, de dos clases, a saber:
1. Los estacionamientos privados de las unidades residenciales y establecimientos comerciales
destinados al uso exclusivo de los propietarios o usuarios.
2. Los estacionamientos de servicio al público, destinados al uso de los visitantes de las unidades
residenciales o los clientes de los establecimientos comerciales.
En proyectos urbanísticos a los que aplica el tratamiento de desarrollo por urbanización, se tendrá
en cuenta la proporción de área para estacionamientos que se presenta en el siguiente cuadro:
Área de Actividad Estacionamientos Privados Estacionamientos de Visitantes
Residencial
Según Tratamiento en el Área de Actividad en
donde el uso residencial se permita.
1 por cada 5 viviendas
Comercial y de Servicios
Según Tratamiento en el Área de Actividad en
donde el uso comercial se permita.
1 por cada 100 M2 de construcción
CIPIO DE AGUAZUL
ACUERDO No. _____
“POR EL CUAL SE ADOPTA LA REVISIÓN GENERAL DEL ESQUEMA DE ORDENAMIENTO TERRITORIAL DEL
MUNICIPIO DE SUBACHOQUE” EOT
70
Parágrafo noveno. Los parqueaderos privados y de visitantes no pueden ser utilizados para el
parqueo de vehículos de servicio público, ni de vehículos de carga.
Reserva de estacionamientos accesibles en áreas de parqueo
Conforme a lo establecido en el Art. 11 del Decreto 1538 de 2005, en todos los sitios abiertos al
público como edificios de uso público, centros comerciales, nuevas urbanizaciones y unidades
residenciales y en general en todo sitio donde existan parqueaderos habilitados para visitantes,
se dispondrá de sitios de parqueo para personas con movilidad reducida, debidamente
señalizados y con las dimensiones internacionales.
En estos espacios se garantizará como mínimo un porcentaje equivalente al dos por ciento (2%)
del total de parqueaderos habilitados. En ningún caso, podrá haber menos de un (1) espacio
habilitado, debidamente señalizado con el símbolo gráfico de accesibilidad.
Las características de los estacionamientos para personas con movilidad reducida deberán
ajustarse a lo establecido en el Art. 12 del citado Decreto 1538 de 2005.
Especificaciones técnicas para infraestructuras y servicios públicos en desarrollos por urbanización
La Secretaría de Planeación establecerá las especificaciones técnicas que deben cumplir las obras
de infraestructura vial, los servicios públicos y las obras de desarrollo de las áreas de recreación y
equipamiento comunal público.
No se otorgará licencia de urbanización sin el concepto previo de la empresa de servicios públicos
o quien haga sus veces, sobre la factibilidad de extensión de las redes maestras de acueducto y
alcantarillado al área propuesta. En este concepto se deberá contemplar la responsabilidad de la
empresa y/o el municipio y la del urbanizador en el costo de las obras correspondientes. Las redes
locales siempre estarán a cargo del urbanizador. Toda urbanización deberá contar con un área
para el manejo de los residuos sólidos.
Segregación del espacio privado en urbanizaciones
La segregación consiste en la subdivisión del espacio privado o área útil de una urbanización en
manzanas y lotes. Las manzanas tendrán una dimensión máxima de 6.400 M2
, delimitadas
totalmente por vías locales vehiculares de uso público, o parcialmente por otros bienes de uso
público, salvo en circunstancias especiales en que, por razones de riesgo geotécnico o hidrológico
o por limitar con zonas de preservación del sistema orográfico o hídrico, no sea posible la
delimitación por vías vehiculares por alguno de los costados, a juicio de la Secretaría de
Planeación. En desarrollos de vivienda de interés social y en sectores de consolidación, las
manzanas podrán estar delimitadas en uno o dos de sus costados por vías peatonales.
La subdivisión de las manzanas en lotes se hará teniendo en cuenta los siguientes criterios:
1. El loteo no debe interferir con las especificaciones, diseños y trazados de las redes de servicios
públicos aprobados por la empresa correspondiente.
CIPIO DE AGUAZUL
ACUERDO No. _____
“POR EL CUAL SE ADOPTA LA REVISIÓN GENERAL DEL ESQUEMA DE ORDENAMIENTO TERRITORIAL DEL
MUNICIPIO DE SUBACHOQUE” EOT
71
2. Los lotes tendrán acceso inmediato a una o más vías de uso público.
3. Los lotes deben ser claramente deslindables de los lotes o predios vecinos y de las áreas de
uso público.
Reglas para la subdivisión
Los predios objeto de desarrollo por urbanización podrán subdividirse en la medida en que se
cumplan las siguientes reglas:
1. La subdivisión predial y venta de lotes no se podrá realizar si previamente el urbanizador no ha
cumplido las obligaciones estipuladas en la licencia de urbanización. La licencia de
urbanización conlleva la licencia de subdivisión predial en los términos aprobados.
2. Los lotes resultantes podrán ser objeto de subdivisión posterior, siempre que ello esté
permitido en la licencia o en la norma para el sector y que los lotes nuevos tengan acceso a la
red vial pública y puedan ser edificados de acuerdo con las normas vigentes para el área, salvo
en los casos en que el terreno segregado sea destinado a espacio público.
3. En los casos de desarrollos progresivos, la subdivisión podrá hacerse en la medida en que
avancen las obras de urbanización.
4. La división predial no podrá autorizarse si alguna de las partes resultantes de ella no fuere apta
para el desarrollo por construcción, bien por tratarse de un área no edificable, o por estar total
o parcialmente afectada por reserva viales, de servicios públicos u otras causas.
5. La Tesorería Municipal, una vez la Secretaría de Planeación haya recibido las obras de la
urbanización, expedirá un Paz y Salvo Predial para fines de urbanización, el cual será un
requisito para que los notarios puedan otorgar escrituras públicas, o las autoridades judiciales
o administrativas efectuar adjudicaciones, cuando tales escrituras o adjudicaciones involucren
venta de lotes resultantes de la subdivisión, loteo, segregación de inmuebles o constitución de
comunidad en los mismos, de acuerdo con el proyecto de urbanización.
6. Los inmuebles que han sido subdivididos o urbanizados sin licencia podrán ser objeto de
programas de legalización y regularización urbanística de asentamientos
desarrollados por la Administración Municipal, siempre que se ajusten a las
regulaciones específicas del programa y a lo previsto en el presente Acuerdo.
Los inmuebles no urbanizables ni edificables por haber sido subdivididos o parcelados sin licencia y
que no puedan ser objeto de Programas de Legalización y Regularización Urbanística de
asentamientos, podrán ser incluidos en los programas de compra de tierras para destinación a
espacio público que adelante la Administración Municipal.
Desarrollo por construcción
El desarrollo por construcción es el proceso por el cual un lote o predio es objeto de licencia
construcción, ampliación, adecuación, reforzamiento estructural, modificación, demolición de
edificaciones existentes, con destino a vivienda, comercio, industria, establecimientos
institucionales y recreativos u otros, según el uso permitido en el área de actividad en donde este
se localiza. En consecuencia, el desarrollo por construcción busca completar el proceso de
CIPIO DE AGUAZUL
ACUERDO No. _____
“POR EL CUAL SE ADOPTA LA REVISIÓN GENERAL DEL ESQUEMA DE ORDENAMIENTO TERRITORIAL DEL
MUNICIPIO DE SUBACHOQUE” EOT
72
desarrollo en áreas urbanizadas no edificadas, actualizar la estructura urbana de sectores ya
desarrollados o conservarla.
Para adelantar el proceso de construcción se requiere licencia expedida por la Secretaría de
Planeación, en los términos reglamentados en el Decreto 1069 de 2010 o las normas que lo
modifiquen, sustituyan o deroguen.
Cesiones obligatorias en desarrollos por construcción bajo propiedad horizontal
El porcentaje de las Cesiones Obligatorias, en desarrollos por construcción bajo propiedad
horizontal, corresponde al 20 % del Área Neta, en cualquier tipo de tratamiento. Cuando el área a
desarrollar sea menor a 2.000 M2, podrá ser compensado en dinero o canjeado por predios
localizados en lugar diferente al proyecto. La estimación de dicha compensación se realizará sobre
el valor del avalúo comercial del predio objeto del proyecto, elaborado por el Instituto Geográfico
Agustín Codazzi, la entidad que haga sus veces o las personas naturales o jurídicas de carácter
privado registradas y autorizadas por las lonjas de propiedad raíz del lugar donde se ubiquen
los bienes objeto de la valoración.
Cerramiento de predios
Los propietarios de predios urbanizables no urbanizados y urbanizados no construidos deberán
hacer su respectivo cerramiento en un término no superior a un (1) año a parir de la entrada en
vigencia del presente acuerdo.
Los muros deben tener una altura máxima de 2 metros y de materiales lisos propendiendo por un
buen aspecto y por la seguridad de la comunidad.
Artículo 84. TRATAMIENTO DE CONSOLIDACIÓN. El tratamiento de consolidación regula la
transformación de las estructuras urbanas, garantizando coherencia entre la intensidad de
uso del suelo y el sistema de espacio público existente o planeado, es aplicable a las áreas
con desarrollo urbano incompleto o incipiente incluidas dentro del perímetro urbano a través
del acuerdo. Estas áreas se caracterizan por requerir la ejecución de programas de habilitación
o mejoramiento urbano, en especial dotación de espacios requeridos para el uso público y el
equipamiento comunal, construcción o mejoramiento de infraestructura vial y de servicios
públicos apropiada, control de riesgos y, en general, de obras que garanticen la aptitud de las
estructuras para las actividades urbanas permitidas. En los predios objeto de desarrollo por
urbanización seguirá lo establecido para el tratamiento de desarrollo.
Artículo 85. TRATAMIENTO DE CONSERVACIÓN. El tratamiento de conservación tiene como
objeto proteger y valorar el patrimonio urbano, histórico arquitectónico y cultural del
Municipio, conservando estructuras arquitectónicas y urbanísticas de gran valor,
involucrándolas a la dinámica del Territorio.
Para la protección de los conjuntos urbanos se aplicarán tratamientos de conservación así:
1. Conservación Arquitectónica: Está compuesta por las edificaciones identificadas con mayor
valor arquitectónico por conservar las características volumétricas, de fachada, cubiertas y
CIPIO DE AGUAZUL
ACUERDO No. _____
“POR EL CUAL SE ADOPTA LA REVISIÓN GENERAL DEL ESQUEMA DE ORDENAMIENTO TERRITORIAL DEL
MUNICIPIO DE SUBACHOQUE” EOT
73
patios centrales que hacen parte del estilo arquitectónico del periodo colonial, y antes del
periodo republicano.
2. Conservación Contextual: Aplicable a las construcciones que colindan con las edificaciones
de conservación arquitectónica que cuentan con elementos arquitectónicos y
mayoritariamente de fachada similares a las edificaciones de conservación arquitectónica
pero que ya han venido modificándose a través del tiempo “adaptándose” a los
requerimientos comerciales y los cambios paulatinos que ha sufrido el modo de ocupación
de la vivienda con el tiempo. Estas edificaciones deberán generar empates en fachadas,
cubiertas, aleros, y patios posteriores.
Se deben mantener las fachadas, el volumen, la cubierta y los materiales. Se permite cambio
parcial de la estructura.
Parágrafo primero. La Administración Municipal adelantará un estudio detallado sobre las
áreas de conservación y protección, las clasificará y reglamentará a partir de los parámetros
establecidos en el Esquema de Ordenamiento Territorial. Una vez realizado dicho estudio las
áreas de Conservación y Protección podrán ser modificadas o incluir elementos no
comprendidos dentro de ellas.
Parágrafo segundo. Autorizase al Alcalde Municipal para constituir por decreto la Junta de
Patrimonio Municipal, la cual estará conformada por el jefe de la Secretaría de Planeación, quien la
presidirá; un arquitecto titulado residente en el municipio, designado por el Alcalde de terna
conformada por los profesionales de la arquitectura igualmente residentes, previa convocatoria
realizada por la Secretaría de Planeación; un representante de la Sociedad Colombiana de
Arquitectos y un representante del Consejo Nacional de Monumentos o la entidad que haga sus
veces.
El primer acto de la Junta Municipal de Patrimonio será darse su propio reglamento, dentro del
marco de lo previsto en materia de conservación urbanística y arquitectónica por la Ley 397 de
1997 y demás normas que la modifiquen, adicionen o sustituyan.
Parágrafo tercero. En la ejecución de proyectos urbanísticos deberá contemplar un área
específica para el manejo de residuos sólidos de los residentes.
CAPÍTULO V
DE LA NORMA URBANÍSTICA
Artículo 86. NORMA URBANÍSTICA GENERAL PARA EL SUELO URBANO. La norma
urbanística general aplicable en suelo urbano, conforme a los diferentes tratamientos posibles
dentro de las áreas de actividad delimitadas, es la que se presenta en los siguientes cuadros:
CIPIO DE AGUAZUL
ACUERDO No. _____
“POR EL CUAL SE ADOPTA LA REVISIÓN GENERAL DEL ESQUEMA DE ORDENAMIENTO TERRITORIAL DEL
MUNICIPIO DE SUBACHOQUE” EOT
74
Tratamiento de Conservación
a. Tratamiento Conservación Arquitectónica
Tratamiento de Conservación Arquitectónica Ficha NU-01A
Área de Actividad Comercio Y Servicios
Área de Actividad
Dotacional
Uso Principal Uso Compatible Uso Principal
Comercio, G 1 Y
G2
Vivienda
Unifamiliar
Industrial G1 Dotacional G1
Dotacional G1 y
G2
Área mínima de
Lote
150 M2 150 M2 150 M2 200 250 M2
Frente mínimo de
lote
7,5ML 7,5ML 7,5ML 10 ML 10 ML
Índice máximo de
Ocupación
0,8 0,8 0,8 0,8 0,8
Índice máximo de
Construcción
1,6 1,6 1,6 1,6 1,6
Retroceso
(Antejardín)
mínimo
N.A N.A N.A N.A N.A
Aislamiento
Lateral mínimo
N.A N.A N.A N.A N.A
Área mínima de
patio central,
patio interior o
aislamiento
posterior.
30 M2 30 M2 30 M2 40 M2 50 M2
Aislamiento
Posterior
4 ML 4 ML 4 ML 4 ML 5 ML
Aleros (Cubierta) Mantener según construcciones contiguas
Paramento Mantener según construcciones contiguas
Altura Máxima
hasta cumbrera
Altura Existente
Las edificaciones en tratamiento de conservación arquitectónica deberán mantener la volumetría general de la
edificación incluyendo fachada, cubierta, aleros, patios interiores y materiales. La normativa expuesta en el presente
cuadro de norma servirá de base para construcciones futuras y modificaciones advirtiendo en todo caso que los
elementos de fachada, cubiertas, aleros, patios interiores y materiales no son susceptibles de modificar.
CIPIO DE AGUAZUL
ACUERDO No. _____
“POR EL CUAL SE ADOPTA LA REVISIÓN GENERAL DEL ESQUEMA DE ORDENAMIENTO TERRITORIAL DEL
MUNICIPIO DE SUBACHOQUE” EOT
75
b. Tratamiento Conservación Contextual
Tratamiento de Conservación Contextual Ficha NU-01B
Área De Actividad Comercio Y Servicios
Área De
Actividad
Dotacional
Uso Principal Uso Compatible Uso Principal
Comercio, G1 Y
G2
Industrial G1
Vivienda
Unifamiliar
Dotacional G1
Dotacional G1 y
G2
Área mínima de Lote 150 M2 150 M2 150 M2 250 M2 300 M2
Frente mínimo de lote 7,5ML 7,5ML 7,5ML 10 ML 10 ML
Índice máximo de
Ocupación
0,8 0,8 0,8 0,7 0,8
*Índice máximo de
Construcción
2 2 2 1,8 2,4
Retroceso
(Antejardín) mínimo
N.A N.A N.A N.A N.A
Aislamiento Lateral
mínimo
N.A N.A N.A N.A N.A
Aislamiento Posterior 4 ML 4 ML 4 ML 5 ML 6 Ml
Área mínima de
unidad habitacional
N.A N.A 100 M2 N.A. N.A.
Aleros (Cubierta) Mantener según construcciones contiguas
Paramento Mantener según construcciones contiguas
Altura Máxima hasta
cumbrera (2 pisos y
Altillo excepto
Actividad Dotacional)
10 ML 10 ML 10 ML 10 ML 10 ML
Estacionamientos
Privados
N.A N.A 1/Vivienda N.A 1/150 M2
Estacionamientos
visitantes
!/100 M2 !/100 M2 N.A N.A 1/100 M2
Reglamento de
propiedad horizontal
N.A N.A N.A N.A N.A
*El altillo deberá ocupar máximo hasta el 50% del piso inmediatamente inferior bajo cubierta inclinada a manera de
lucarna
En los casos donde un predio en este tratamiento colinde con una o más construcciones del tratamiento
conservación arquitectónica, la altura de la edificación deberá mantener la altura en fachada y cubierta de la
construcción de conservación arquitectónica, de manera que mantenga el perfil urbano y no rompa la volumetría
existente.
Tratamiento de Consolidación
CIPIO DE AGUAZUL
ACUERDO No. _____
“POR EL CUAL SE ADOPTA LA REVISIÓN GENERAL DEL ESQUEMA DE ORDENAMIENTO TERRITORIAL DEL
MUNICIPIO DE SUBACHOQUE” EOT
76
Tratamiento de Consolidación Ficha NU-2A
Área De Actividad Residencial
Área De Actividad Residencial Vivienda De
Interés Social (V.I.S) Y/O Prioritario (V.I.P)
Uso Principal
Uso
Compatible
Uso Principal
Uso
Compatible
Viviend
a
Unifam
iliar
Viviend
a
Bifamili
ar
Vivienda
Multifa
miliar
**Vivie
nda
Agrupa
ción
Comer
cio G1
Dotaci
onal G1
Viviend
a
Unifam
iliar
Viviend
a
Bifamili
ar
**Vivie
nda
Agrupa
ción
Comer
cio G1
Dotaci
onal G1
Área
mínima de
Lote
72 M2 96 M2 250 M2
1000
M2
120
M2
200 M2 72 M2 96 M2
1000
M2
120
M2
120 M2
Frente
mínimo de
lote
6 ML 8 ML 10 ML 20 ML 8 ML 10 ML 6 ML 8 ML 10 M2 6 ML 6 ML
Índice
máximo de
Ocupación
0,75 0,75 0,7 0,6 0.80 0.80 0,75 0,75 0.7 0.80 0.80
Índice
máximo de
Construcció
n
1,875 1,875 1,75 1,5 2 2 1,875 1,875 2 2 2
Retroceso
(Antejardín)
N.A. N.A.
3 ML a
lo largo
de la
Fachada
3 ML a
lo largo
de la
Fachad
a
N.A. N.A. N.A. N.A.
3 Ml a
lo largo
de la
fachada
posteri
or
N.A. N.A.
Aislamiento
Lateral
N.A. N.A. N.A. 3 ML N.A. N.A. N.A. N.A. 3 ML N.A. N.A.
Aislamiento
Posterior
3 Ml a
lo largo
de la
fachad
a
posteri
or
3 Ml a
lo largo
de la
fachad
a
posteri
or
5 Ml a
lo largo
de la
fachada
posterio
r
5 Ml a
lo largo
de la
fachada
posteri
or
3 Ml a
lo
largo
de la
facha
da
poster
ior
4 Ml a
lo
largo
de la
fachad
a
posteri
or
3 Ml a
lo largo
de la
fachad
a
posteri
or
3 Ml a
lo largo
de la
fachad
a
posteri
or
3 Ml a
lo largo
de la
fachada
posteri
or
4 Ml a
lo
largo
de la
facha
da
poster
ior
4 Ml a
lo
largo
de la
fachad
a
posteri
or
Área
mínima de
unidad de
habitacional
N.A. 60 M2 60 M2 60 M2 N.A. N.A. N.A. 50 M2 50 M2 N.A. N.A.
Área
mínima de
unidad
Comercial
N.A. N.A. N.A. N.A.
10 - 20
M2
N.A. N.A. N.A. N.A.
10 - 20
M2
N.A.
Área
mínima de
unidad de
habitacional
Apartaestu
dios
N.A. 40 M2 40 M2 40 M2 N.A. N.A. N.A. N.A. N.A. N.A. N.A.
CIPIO DE AGUAZUL
ACUERDO No. _____
“POR EL CUAL SE ADOPTA LA REVISIÓN GENERAL DEL ESQUEMA DE ORDENAMIENTO TERRITORIAL DEL
MUNICIPIO DE SUBACHOQUE” EOT
77
Tratamiento de Consolidación Ficha NU-2A
Área De Actividad Residencial
Área De Actividad Residencial Vivienda De
Interés Social (V.I.S) Y/O Prioritario (V.I.P)
Uso Principal
Uso
Compatible
Uso Principal
Uso
Compatible
Viviend
a
Unifam
iliar
Viviend
a
Bifamili
ar
Vivienda
Multifa
miliar
**Vivie
nda
Agrupa
ción
Comer
cio G1
Dotaci
onal G1
Viviend
a
Unifam
iliar
Viviend
a
Bifamili
ar
**Vivie
nda
Agrupa
ción
Comer
cio G1
Dotaci
onal G1
Altura
Máxima
hasta
cumbrera
(*2 pisos y
Altillo
excepto
Actividad
Dotacional)
10 ML 10 ML 10 ML 10 ML 10 ML 10 ML 10 ML 10 ML 10 ML 10 ML 10 ML
Paramento Mantener según construcciones contiguas
Estacionami
entos
Privados
1/Vivien
da
1/Vivien
da
1/Unidad
de
Vivienda
1/Unida
d de
Viviend
a
N.A. N.A.
1/Vivien
da
1/Vivien
da
1/Vivien
da
N.A.
1/50
M2
Estacionami
entos
visitantes
N.A. N.A.
1 / 4
unidade
s de
vivienda
1 / 4
unidad
es de
viviend
a
N.A. N.A. N.A. N.A.
1 / 4
unidad
es de
viviend
a
1/50
M2
1/100
M2
Reglamento
de
propiedad
horizontal
N.A.
Obligat
orio
Obligato
rio
Obligat
orio
N.A. N.A. N.A.
Obligat
orio
Obligat
orio
N.A. N.A.
*El altillo deberá ocupar máximo hasta el 50% del piso inmediatamente inferior bajo cubierta inclinada a manera de
lucarna
** La norma para cada uno de los desarrollos al interior de la vivienda en agrupación y agrupación VIS y/o VIP se
aplicará con la norma de unifamiliar o bifamiliar según sea el caso. En este tratamiento no aplica los desarrollos
multifamiliares en agrupación
Tratamiento de Consolidación Ficha NU-2B
Área De Actividad Comercio Y Servicios
Área De Actividad Comercio Y
Servicios de Impacto
Área De
Actividad
CIPIO DE AGUAZUL
ACUERDO No. _____
“POR EL CUAL SE ADOPTA LA REVISIÓN GENERAL DEL ESQUEMA DE ORDENAMIENTO TERRITORIAL DEL
MUNICIPIO DE SUBACHOQUE” EOT
78
Dotacional
Uso Principal Uso Compatible Uso Principal
Uso
Compatible
Uso
Principal
Comercio G1 y
G2
Vivienda
Unifamiliar
Dotacional G1 Comercio G3
Comercio G1 y
G2
Dotacional
G1 y G2
Área mínima de
Lote
120 M2 120 M2 250 M2 200 M2 120 M2 300 M2
Frente mínimo de
lote
6 ML 6 ML 10 ML 8 ML 6 ML 10 ML
Índice máximo de
Ocupación
0.7 0.7 0.8 0.7 0.7 0,7
Índice máximo de
Construcción
1,75 1,75 2 1,75 1,75 2,1
Retroceso
(Antejardín)
3 ML a lo largo
de la Fachada
3 ML a lo largo
de la Fachada
3 ML a lo largo
de la Fachada
3 Ml a lo
largo de la
fachada
posterior
3 ML a lo largo
de la Fachada
3 ML a lo
largo de la
Fachada
Aislamiento
Lateral
N.A. N.A. N.A. N.A. N.A. N.A
Aislamiento
Posterior
3 Ml a lo largo
de la fachada
posterior
3 Ml a lo largo
de la fachada
posterior
4,5 Ml a lo
largo de la
fachada
posterior
4,5 Ml a lo
largo de la
fachada
posterior
3 Ml a lo largo
de la fachada
posterior
6 Ml a lo
largo de la
fachada
posterior
Área mínima de
unidad Comercial
20 M2 N.A. N.A. 60 M2 20 M2 N.A.
Altura Máxima
hasta cumbrera (2
pisos y Altillo
excepto Actividad
Dotacional)
10 ML 10 ML 10 ML 10 ML 10 ML 10 ML
Paramento Mantener según construcciones contiguas
Estacionamientos
Privados
N.A. 1/Vivienda N.A. 1/50 M2 N.A. 1/50 M2
Estacionamientos
visitantes
1/50 M2 N.A. N.A. 1/100 M2 1/50 M2 1/100 M2
Reglamento de
propiedad
horizontal
N.A. N.A. N.A. N.A. N.A. N.A.
*El altillo deberá ocupar máximo hasta el 50% del piso inmediatamente inferior bajo cubierta inclinada a manera de
lucarna
Tratamiento de Desarrollo
CIPIO DE AGUAZUL
ACUERDO No. _____
“POR EL CUAL SE ADOPTA LA REVISIÓN GENERAL DEL ESQUEMA DE ORDENAMIENTO TERRITORIAL DEL
MUNICIPIO DE SUBACHOQUE” EOT
79
Tratamiento De Desarrollo
Ficha
NU-3A
Área De Actividad Residencial
Área De Actividad Residencial Vivienda De
Interés Social (V.I.S) Y/O Prioritario (V.I.P)
Uso Principal Uso Compatible Uso Principal Uso Compatible
Viviend
a
Unifam
iliar
Viviend
a
Bifamili
ar
Viviend
a
Multifa
miliar
*Vivien
da
Agrupa
da
Comer
cio G1
Dotacio
nal G1
Viviend
a
Unifam
iliar
Viviend
a
Bifamili
ar
**Vivie
nda
Agrupa
da
Comer
cio G1
Dotaci
onal G1
Área
mínima de
Lote
72 M2 96 M2 300 M2
2000
M2
200 M2 250 M2 72 M2 96 M2
2000
M2
120 M2 120 M2
Frente
mínimo de
lote
6 ML 8 ML 10 ML 25 M2 8 ML 8 ML 6 ML 8 ML 20 M2 6 ML 6 ML
Índice
máximo
de
Ocupación
0,75 0,75 0.7 0.6 0.7 0.70 0,75 0,75 0.7 0.80 0.80
Índice
máximo
de
Construcci
ón
2,25 2,25 2,1 1,8 2,1 2,1 2,25 2,25 2,1 2 2
Retroceso
(Antejardí
n)
N.A. N.A.
3 Ml a
lo largo
de la
fachada
posterio
r
3 Ml a
lo largo
de la
fachad
a
posteri
or
3 Ml a
lo largo
de la
fachad
a
posteri
or
3 Ml a
lo largo
de la
fachad
a
posteri
or
N.A. N.A.
3 Ml a
lo largo
de la
fachad
a
posteri
or
3 Ml a
lo
largo
de la
fachad
a
posteri
or
3 Ml a
lo
largo
de la
fachad
a
posteri
or
Aislamient
o Lateral
N.A. N.A. N.A. 3 ML N.A. N.A. N.A. N.A. 3 ML N.A. N.A.
Aislamient
o
Posterior
3 Ml a
lo largo
de la
fachad
a
posteri
or
3 Ml a
lo largo
de la
fachad
a
posteri
or
6 Ml a
lo largo
de la
fachada
posterio
r
6 Ml a
lo largo
de la
fachad
a
posteri
or
4,5 Ml
a lo
largo
de la
fachad
a
posteri
or
5 Ml a
lo largo
de la
fachad
a
posteri
or
3 Ml a
lo largo
de la
fachad
a
posteri
or
3 Ml a
lo largo
de la
fachad
a
posteri
or
3 Ml a
lo largo
de la
fachad
a
posteri
or
4 Ml a
lo
largo
de la
fachad
a
posteri
or
4 Ml a
lo
largo
de la
fachad
a
posteri
or
Área
mínima de
unidad de
habitacion
al
N.A. 60 M2 60 M2 60 M2 N.A. N.A. N.A. 60 M2 60 M2 N.A. N.A.
Área
mínima de
unidad
Comercial
N.A. N.A. N.A. N.A.
10 - 20
M2
N.A. N.A. N.A. N.A.
10 - 20
M2
N.A.
Área
mínima de
unidad de
N.A. 40 M2 40 M2 40 M2 N.A. N.A. N.A. 40 M2 N.A. N.A. N.A.
CIPIO DE AGUAZUL
ACUERDO No. _____
“POR EL CUAL SE ADOPTA LA REVISIÓN GENERAL DEL ESQUEMA DE ORDENAMIENTO TERRITORIAL DEL
MUNICIPIO DE SUBACHOQUE” EOT
80
Tratamiento De Desarrollo
Ficha
NU-3A
Área De Actividad Residencial
Área De Actividad Residencial Vivienda De
Interés Social (V.I.S) Y/O Prioritario (V.I.P)
Uso Principal Uso Compatible Uso Principal Uso Compatible
Viviend
a
Unifam
iliar
Viviend
a
Bifamili
ar
Viviend
a
Multifa
miliar
*Vivien
da
Agrupa
da
Comer
cio G1
Dotacio
nal G1
Viviend
a
Unifam
iliar
Viviend
a
Bifamili
ar
**Vivie
nda
Agrupa
da
Comer
cio G1
Dotaci
onal G1
habitacion
al Aparta-
estudios
Altura
Máxima
hasta
cumbrera
10 ML 10 ML 10 ML 10 ML 10 ML 10 ML 10 ML 10 ML 10 ML 10 ML 10 ML
Parament
o
Mantener según construcciones contiguas
Estaciona
mientos
Privados
1/Vivien
da
1/Vivien
da
1/Unida
d de
Viviend
a
1/Unida
d de
Viviend
a
N.A. 1/50 M2
1/Vivien
da
1/Vivien
da
1/Vivien
da
N.A.
1/50
M2
Estaciona
mientos
visitantes
N.A. N.A.
1 /3
unidade
s de
vivienda
1 / 3
unidad
es de
viviend
a
1/100
M2
1/100
M2
N.A. N.A.
1 / 4
unidad
es de
viviend
a
1/100
M2
1/100
M2
Reglament
o de
propiedad
horizontal
N.A.
Obligat
orio
Obligat
orio
Obligat
orio
N.A. N.A. N.A.
Obligat
orio
Obligat
orio
N.A. N.A.
* La norma para cada uno de los desarrollos al interior de la vivienda agrupada y agrupación de VIS y/o VIP se aplicará
con la norma de unifamiliar, bifamiliar y/o multifamiliar según sea el caso.
El uso compatible de comercio y dotacional se podrá conceder solo si existe un espacio diseñado específicamente
para tal fin, de manera independiente al uso residencial. Para los desarrollos de vivienda agrupada el usos comercial
y dotacional deberán contar con un espacio arquitectónico independiente de las áreas residenciales
CIPIO DE AGUAZUL
ACUERDO No. _____
“POR EL CUAL SE ADOPTA LA REVISIÓN GENERAL DEL ESQUEMA DE ORDENAMIENTO TERRITORIAL DEL
MUNICIPIO DE SUBACHOQUE” EOT
81
Parágrafo. La vivienda agrupada en el área de actividad residencial, con tratamiento de
conservación, solo se permitirá para vivienda unifamiliar y bifamiliar.
Artículo 87. NORMAS URBANÍSTICAS GENERALES, DISPOSICIONES GENERALES
Alturas. El manejo de las alturas en desarrollo por construcción en el suelo urbano y de
expansión urbana, se hará conforme a los siguientes parámetros:
1. Altura de fachada: Es la distancia máxima en el plano de fachada de la edificación, entre el
nivel oficial de la calzada y el nivel de terminación de la fachada del último piso que posea
servidumbre visual (Ventanas, ocultos, lucarnas, etc).
2. Altura de Edificación: Es la distancia vertical entre el nivel oficial de la calzada y el nivel
máximo de la cumbrera de cubierta del último piso. Esto indica que para la zona urbana no se
permiten las cubiertas planas en último piso (o terrazas), es decir que todas las cubiertas
deberán ser inclinadas e involucrar al interior de ellas los tanques de reserva de agua
potable.
3. Las remodelaciones en el área en donde aplique el tratamiento de conservación, deberán
empatar con las alturas de las edificaciones vecinas en fachada y cubierta.
4. Alturas para construcciones en uso residencial, comercial y de servicios Grupo 1 y
Dotacional Grupo 1:
 Altura mínima de entre pisos: Dos metros cincuenta centímetros (2.5 ML) incluyendo
placa de entrepiso.
 Altura mínima del último piso de la edificación hasta cumbrera. (o altillo en caso de
presentarse) Cuatro metros (4 ML)
 El área del altillo no podrá superar el equivalente al 50 % del segundo piso.
 Todas las edificaciones residenciales deben utilizar cubiertas inclinadas.
 Las edificaciones residenciales que hagan uso del altillo deberán insertarse dentro de
la cubierta inclinada a manera de mansarda o buhardilla. En ningún caso el altillo
ocupará la totalidad del ancho de fachada, ya que se constituiría en un tercer piso.
5. Alturas para construcciones en uso Comercial y de Servicios Grupo 2 y Dotacional Grupo 2:
 Altura mínima de entre pisos: Tres metros cincuenta centímetros (3.5 ML)
incluyendo placa de entrepiso.
 Altura máxima en el uso comercial Grupo 2 y Dotacional Grupo 2 será el de diez
metros hasta cumbrera, en caso de requerirlo.
 Altura mínima del último piso de la edificación hasta cumbrera. (o altillo en caso de
presentarse) Cuatro metros (4 ML)
 El área del altillo no podrá superar el equivalente al 50 % del segundo piso.
 Todas las edificaciones comerciales y dotacionales deben utilizar cubiertas
inclinadas.
 Las edificaciones comerciales y dotacionales que hagan uso del altillo deberán
insertarse dentro de la cubierta inclinada a manera de mansarda o buhardilla. En
CIPIO DE AGUAZUL
ACUERDO No. _____
“POR EL CUAL SE ADOPTA LA REVISIÓN GENERAL DEL ESQUEMA DE ORDENAMIENTO TERRITORIAL DEL
MUNICIPIO DE SUBACHOQUE” EOT
82
ningún caso el altillo ocupará la totalidad del ancho de fachada, ya que se constituiría
en un tercer piso.
Parágrafo. Para las construcciones de tres pisos, el tercer piso debe terminar con cubierta a dos
aguas.
Empate. Se aplica a construcciones que deben coordinar su paramento con construcciones
vecinas, sea manteniendo el existente, o en el caso de que los lotes vecinos presenten
diferentes paramentos, buscando un escalonamiento de este paramento para empatar
debidamente con las edificaciones vecinas. Deberá mantenerse rigurosamente el empate de
paramentos en la zona en donde aplique el tratamiento de conservación arquitectónica y
contextual, en aras de mantener la calidad y fluidez de su espacio urbano.
Voladizos. Los voladizos del primer piso deberán localizarse a una altura mínima de 2.2 ML
sobre el nivel oficial del predio, o la misma de los voladizos ya existentes en las construcciones
vecinas, proponiendo empates, si fuera necesario, sin sobrepasar la altura de 2.50 ML, la
profundidad del voladizo será de 0.6 ML en todas las vías del municipio, con las siguientes
excepciones:
a. En caso de existir voladizos en las edificaciones vecinas con otras dimensiones, en cuyo caso
la Secretaría de Planeación establecerá la dimensión y el tipo de empate con que se debe
desarrollar el voladizo, a fin de lograr una homogeneidad en la vía.
b. En la zona en donde aplique el tratamiento de conservación arquitectónica no se permitirán
voladizos, pero se autorizarán aleros, los cuales deberán mantener la tipología existente del
sector. En estos casos se deberá buscar el empate con aleros de edificaciones vecinas, si los
hay, y/o mantener la dimensión de alero y la altura predominante en los tramos de vías
correspondientes.
Uso de antejardines. El antejardín, como elemento natural y ambiental constitutivo del espacio
público, no puede ser edificable, ni cubierto en ningún caso. Debe ser empradizado y arborizado al
menos en un cuarenta por ciento (40%), sobre el cual podrán aceptarse los accesos peatonal y
vehicular a las edificaciones. El cerramiento tendrá una altura máxima de 0.60 metros de
antepecho y hasta 2.50 metros en material que permita transparencia del 90%. Nunca podrá ser en
muro lleno.
El sesenta por ciento (60%) restante del antejardín podrá ser utilizado para el estacionamiento de
vehículos, siempre y cuando tenga como mínimo cinco (5) metros de profundidad. En estos casos
se deberá prever un área o cordón de protección contra la edificación de cincuenta centímetros
(0.50 metros). En antejardines de dimensiones menores no se permitirán ubicar estacionamientos
de vehículos.
Cerramientos. La construcción de cerramientos de tipo permanente deberá estar precedida del
trámite de la respectiva licencia de construcción, en los términos regulados por el Decreto 1469 de
2010 y demás normas que lo modifiquen o deroguen. Estos cerramientos no podrán hacerse en
materiales provisionales.
Los cerramientos provisionales solo se podrán hacer como parte del desarrollo de una
construcción, debidamente licenciada, en los términos establecidos para este fin por el citado
Decreto 1469 de 2010 y demás normas que lo modifiquen o deroguen. Solo se permitirá el uso de
CIPIO DE AGUAZUL
ACUERDO No. _____
“POR EL CUAL SE ADOPTA LA REVISIÓN GENERAL DEL ESQUEMA DE ORDENAMIENTO TERRITORIAL DEL
MUNICIPIO DE SUBACHOQUE” EOT
83
polisombra, láminas de zinc y materiales equivalentes, en el caso de cerramientos provisionales,
debida y formalmente autorizados, con carácter estrictamente provisional por un término no
mayor al término de la licencia respectiva,.
Lo dispuesto en este literal es aplicable en suelo rural.
Licencias de construcción y de reconocimiento de construcciones en predios urbanos cuya área
es menor a la mínima permitida
Los predios localizados en suelo urbano cuya área sea menor de la mínima permitida, podrán
tramitar licencia de construcción, únicamente, en los siguientes casos:
 Los predios que dispongan de cédula catastral, matrícula inmobiliaria, se encuentren
debidamente desenglobados y hayan sido formados catastralmente hasta del 31 de
diciembre de 2014, siempre que su área sea mayor a 50 M2
.
 Los predios producto de sentencia judicial, siempre que su área no sea menor de 50 M2
.
 Los predios adquiridos mediante promesas de compraventa de derechos y acciones u otra
modalidad, con anterioridad a la aprobación de este acuerdo y cuyo contrato sea verificado
por la Secretaria de Planeación.
Las densidades habitacionales en desarrollos por construcción se regirán por la siguiente tabla:
DENSIDADES HABITACIONALES MÍNIMAS EN DESARROLLOS POR CONSTRUCCIÓN
Área mínima
permisible por
unidad de
vivienda
(AMPV=AMB x
NA x K)
AMB = Área mínima básica
interior del perímetro urbano >= 23 m2
zonas de expansión >= 23 m2
zonas de vivienda popular o de interés social y/o
prioritario
>= 23 m2
NA = Número de alcobas Número de alcobas Mínimo 2
K= Constante según uso
vivienda unifamiliar y bifamiliar por loteo individual 1
vivienda unifamiliar y bifamiliar en agrupación 1
vivienda multifamiliar por loteo individual 1
En vivienda multifamiliar en agrupación 1
El Índice Mínimo de Habitabilidad (IMH) no podrá ser menor a 12 mts cuadrados por persona,
dicho índice se obtiene de dividir el área construida por el número de habitantes que la van a
ocupar, en el caso de Subachoque se tomará el núcleo de 5 (cinco) personas por núcleo familiar,
es decir, sesenta metros cuadrados (60m2) construidos y mínimo treinta metros cuadrados
(30M2) de ocupación. La administración municipal dará estricto cumplimiento a esta norma con
el objeto de eliminar los inquilinatos y por ende el posible hacinamiento en toda el área del
municipio.
CAPÍTULO VI
DE LA GESTIÓN DEL RIESGO EN EÑ ÁREA URBANA
Artículo 88. Las condiciones que se incorporan en este Plan en materia de gestión de riesgo
buscan modificar y disminuir las condiciones de amenaza, y riesgo, al igual que planificar las
acciones de reducción del riesgo.
CIPIO DE AGUAZUL
ACUERDO No. _____
“POR EL CUAL SE ADOPTA LA REVISIÓN GENERAL DEL ESQUEMA DE ORDENAMIENTO TERRITORIAL DEL
MUNICIPIO DE SUBACHOQUE” EOT
84
Artículo 89. INCORPORACIÓN DE LA GESTIÓN DEL RIESGO: La metodología para la
incorporación de procesos amenazantes de origen natural en el ordenamiento territorial,
partió de la identificación de los procesos amenazantes presentes en el territorio,
utilizando la información secundaria disponible y recorridos de verificación en campo, así
como, teniendo en cuenta la directrices y resultados de los estudios básicos de gestión del
riesgo, que fueron elaborados para dar cumplimiento a lo establecido por el Decreto 1807
de 2014.
DEFINICIÓN DE ÁREAS CON CONDICIÓN DE AMENAZAS Y DE ÁREAS CON CONDICIÓN DE
RIESGO. A través de la metodología usada en conformidad con el Decreto 1807 de 2014, para el
área urbana del municipio de Subachoque NO existen áreas con condición de amenaza ni áreas
con condición de riesgo por fenómenos de avenida torrencial, inundación y remoción en masa.
(Ver Anexo técnico No. 1 Estudios Básicos de Gestión del Riesgo).
Parágrafo Segundo. Dado que no existen áreas con condición de amenazas, ni áreas con
condición de riesgo por remoción en masa e inundación en el área urbana, no se presentan
planos asociados a esta temática.
Se proponen las siguientes acciones para la reducción del riesgo:
Artículo 90. ACCIONES PARA LA REDUCCIÓN DEL RIESGO.
 Realizar monitoreo constante sobre las riberas de la Quebrada el Cementerio y Molino a su
paso por la zona urbana, las cuales no se encuentran urbanizadas y hacen parte de suelos
de protección por ronda.
 Ejercer control urbanístico en las áreas de ronda de la Quebrada el Cementerio y Molino,
para que no sean ocupadas por construcciones ilegales.
CAPÍTULO VII
DE LA NORMA PARA EL DESARROLLO DEL SUELO DE EXPANSIÓN – INSTRUMENTOS DE
GESTIÓN
Artículo 91. NORMAS PARA EL DESARROLLO DEL SUELO DE EXPANSIÓN URBANA.
Adóptense las normas estructurales para el desarrollo del suelo de expansión urbana de
que habla el presente Esquema de Ordenamiento Territorial y que se desarrollan en los
siguientes artículos.
Parágrafo. Para el desarrollo del plan parcial de expansión urbana es indispensable realizar el
estudio detallado de las áreas con condición de amenaza por inundación de la quebrada El
Molino, siguiendo los requisitos mínimos para la elaboración de estudios detallados de riesgos por
inundación, que se encuentran en el artículo 46 del presente acuerdo. Este estudio detallado es
el condicionante principal para el desarrollo del plan parcial, el resultado de dicho estudio
CIPIO DE AGUAZUL
ACUERDO No. _____
“POR EL CUAL SE ADOPTA LA REVISIÓN GENERAL DEL ESQUEMA DE ORDENAMIENTO TERRITORIAL DEL
MUNICIPIO DE SUBACHOQUE” EOT
85
delimitará las áreas que no podrán ser objeto de desarrollo y se convertirán directamente en
áreas de protección al interior del plan parcial.
Artículo 92. PLAN PARCIAL EN SUELO DE EXPANSIÓN URBANA. El desarrollo de las áreas de
expansión urbana se llevará a cabo por iniciativa pública o privada, mediante la
formulación y ejecución de planes parciales, acorde con lo establecido en el presente
Esquema de Ordenamiento y los decretos nacionales Nos. 2181 de 2006 y 4300 de 2007 y
1478 de 2013. La zona de expansión se podrá desarrollar una vez se haya desarrollado al
menos un 60% del área urbanizable no urbanizada dentro del área urbana central. La
normativa para desarrollar las zonas de expansión corresponderá a la normativa aplicada
para el tratamiento de desarrollo en el área urbana.
Artículo 93. SERVICIOS PUBLICOS EN ZONAS DE EXPANSION URBANA. Para obtener
Licencia de Urbanismo destinada a cualquier tipo de urbanización residencial, o agrupación
en el suelo de expansión urbana debe tener factibilidad de servicio y viabilidad, los terrenos
a desarrollar deberán estar provistos de la infraestructura necesaria de servicios públicos y
conectados a las redes existentes en el Municipio, de acuerdo con las siguientes exigencias
mínimas de acueducto, alcantarillado, alumbrado público, energía eléctrica y tener acceso a
las redes generales de gas, teléfonos, aseo, vías y nomenclatura así:
 Tener viabilidad y factibilidad de los servicios públicos.
 Acueducto y alcantarillado domiciliario conectado a las redes matrices municipales y
sistemas de tratamiento para aguas residuales cuando sea necesario, de acuerdo con las
especificaciones y exigencias que para cada caso particular fijen las Empresas Prestadoras
del Servicio y la autoridad ambiental competente.
 Redes de energía eléctrica pública y privada en canalización subterránea o aérea,
alumbrado público en postes metálicos o de ferro-concreto y transformadores y otros
elementos, conectados a las redes existentes de acuerdo con las especificaciones fijadas
por la Administración Municipal y/o las Empresas Prestadoras del Servicio.
 Redes para servicio telefónico en canalización subterránea o aérea, conectados a las redes
existentes según especificaciones fijadas por las Empresas Prestadoras del Servicio.
 Vías en asfalto o concreto, sardineles, andenes en todas las vías, conectadas a la red vial
existente de conformidad con las especificaciones establecidas por la Secretaría de
Planeación o quien haga sus veces.
 Arborización, empradizado de las zonas verdes de los andenes y separadores viales y de
todas las zonas verdes perimetrales e interiores; unidades de basura localizadas para el fácil
desalojo de las basuras y de su recolección de acuerdo con las especificaciones que para tal
fin, fije la autoridad ambiental competente o la entidad prestadora del servicio.
 Nomenclatura, vial y domiciliaria y placas de control de coordenadas si las hay, de acuerdo
con las normas que para tal efecto fije la Secretaría de Planeación o la dependencia que
haga sus veces.
CIPIO DE AGUAZUL
ACUERDO No. _____
“POR EL CUAL SE ADOPTA LA REVISIÓN GENERAL DEL ESQUEMA DE ORDENAMIENTO TERRITORIAL DEL
MUNICIPIO DE SUBACHOQUE” EOT
86
Artículo 94. PLAN PARCIAL DEL ÁREA DE EXPANSIÓN URBANA. El plan parcial del área de
expansión urbana se debe desarrollar únicamente para poder desarrollar al interior de su
área:
 Área de protección de 30 mts lineales paralelos a la cota máxima de inundación de la
quebrada El Molino,
 Áreas de protección como resultado del estudio detallado de las áreas con condición de
amenaza por inundación.
 Proyectos de vivienda en desarrollo por urbanización o conjuntos cerrados
 Espacio público requerido para la población que resida en el área y/o para la demás
población del municipio
 Vías necesarias incluyendo la vía perimetral
 Equipamientos de carácter público requeridos por la población
Parágrafo primero. Las normas del plan parcial por ningún motivo deben contradecir ni
exceder lo establecido en el componente urbano del presente documento del EOT vigente.
TÍTULO III
COMPONENTE RURAL
CAPÍTULO I
COMPONENTES DE LOS SISTEMAS ESTRUCTURANTES DEL SUELO RURAL
Artículo 95. COMPONENTES DE LOS SISTEMAS ESTRUCTURANTES DEL SUELO RURAL. Los
sistemas que estructuran el territorio del Municipio, a nivel rural, son los siguientes:
1. Áreas de protección en suelo rural
2. El Sistema de Servicios Públicos
3. El Sistema Vial y de Transporte
4. El Sistema de Equipamientos Colectivos
5. El Sistema de Centros Poblados Rurales
SUBCAPÍTULO I
ÁREAS DE PROTECCIÓN EN SUELO RURAL
DE LA ESTRUCTURA ECOLÓGICA PRINCIPAL CON INFLUENCIA RURAL
Artículo 96. PLAN DE PROTECCIÓN, RECUPERACIÓN Y CONSERVACIÓN DE LA ESTRUCTURA
ECOLÓGICA PRINCIPAL CON INFLUENCIA RURAL. El plan de protección, recuperación y
conservación de la Estructura Ecológica Principal con influencia rural es el conjunto de
acciones, organizadas en programas y proyectos, a través de las cuales se garantizará el logro
de los objetivos planteados, con especial énfasis en el suelo rural. Los grandes programas
CIPIO DE AGUAZUL
ACUERDO No. _____
“POR EL CUAL SE ADOPTA LA REVISIÓN GENERAL DEL ESQUEMA DE ORDENAMIENTO TERRITORIAL DEL
MUNICIPIO DE SUBACHOQUE” EOT
87
previstos con miras al desarrollo y consolidación de la estructura ecológica de influencia rural,
son los siguientes:
1. Protección y conservación de la vocación protectora y productora de las áreas forestales
protectoras productoras, en busca de una relación equilibrada entre las dos actividades, la
protección y la producción forestal, evitando que, particularmente la actividad productora,
prepondere sobre la protectora, comprometiendo la función ecológica de dichas áreas,
Especialmente sobre la cuenca del Rio Balsillas.
2. Protección, recuperación y conservación de áreas periféricas de nacimientos y áreas de ronda
hídrica.
3. Realización de estudio para la delimitación y protección de áreas de recarga de acuíferos.
4. Elaboración de estudios técnicos para la zonificación de amenazas, la evaluación de la
vulnerabilidad y la zonificación de riesgos en el Municipio.
5. Elaborar estudio de cotas máximas de inundación Rio Subachoque y Quebradas. (Proyecto
definido en POMCA)
6. Adquisición de áreas de interés para acueductos municipales y regionales, mantenimiento
de estas zonas, o financiación de esquemas de pago por servicios ambientales.
(Cumplimiento al Art. 210 Ley 1450 de 2011)
7. Realizar e implementar el plan de gestión integral de residuos sólidos PGIRS.
8. Compra de predios en áreas de interés hídrico
9. Proyectos que se articulen con el PAT y el PGAR que esté vigente en la CAR.
10. Proyectos que se articulen con el Plan Nacional de Adaptación al Cambio Climático.
Parágrafo: La estructura ecológica principal a que se hace referencia en este artículo es la misma
que se desarrolla en el Componente General del presente documento y se encuentra cartografiada
en el plano CG – 03. Estructura Ecológica Principal.
Artículo 97. ASIGNACIÓN DE USOS EN LA ESTRUCTURA ECOLÓGICA PRINCIPAL. Asígnense
los siguientes usos a las diferentes áreas que conforman la estructura ecológica principal:
ÁREAS DE CONSERVACIÓN Y PROTECCIÓN AMBIENTAL (EEP)
Ficha No. NUG - R - 01EEP – ÁREAS DE RESERVA FORESTAL DE LA CUENCA ALTA DEL RIO
BOGOTÁ
USOS
Uso Principal
De acuerdo a lo que defina el Plan de manejo establecido en el Art 8 de la Resolución 138 de
2014.
Usos Compatibles
De acuerdo a lo que defina el Plan de manejo establecido en el Art 8 de la Resolución 138 de
2014.
Usos Condicionados
De acuerdo a lo que defina el Plan de manejo establecido en el Art 8 de la Resolución 138 de
2014. Captación de Aguas, potabilización e infraestructura necesaria para tal fin
Usos Prohibidos
De acuerdo a lo que defina el Plan de manejo establecido en el Art 8 de la Resolución 138 de
2014.
ÁREA RURAL - SISTEMA DE AREAS PROTEGIDAS - SISTEMA HIDRICO Ficha NUG - R - 02
CIPIO DE AGUAZUL
ACUERDO No. _____
“POR EL CUAL SE ADOPTA LA REVISIÓN GENERAL DEL ESQUEMA DE ORDENAMIENTO TERRITORIAL DEL
MUNICIPIO DE SUBACHOQUE” EOT
88
ÁREAS PERIFERICAS A CUERPOS DE AGUA, CAUCES DE AGUA, EMBALSES, HUMEDALES
USOS
Uso Principal
Conservación de suelos y restauración de la vegetación adecuada para la protección de los
mismo, conformar la malla ambiental.
Usos Compatibles Recreación pasiva. Captación de Aguas, potabilización e infraestructura necesaria para tal fin
Usos Condicionados
Captación de aguas o incorporación de vertimientos, siempre y cuando no afecten el cuerpo
de agua ni se realicen sobre los nacimientos. Construcción de infraestructura de apoyo para
actividades de recreación, embarcaderos, puentes y obras de adecuación y desagüe de
instalaciones de acuicultura.
Usos Prohibidos Todos los demás.
Parágrafo: Todas aquellas viviendas o construcciones que a la fecha se encuentran dentro de
áreas periféricas a cuerpos de agua, cauces de agua, embalses y humedales, podrán solicitar
licencia de reforzamiento estructural en caso de requerirse de acuerdo al numeral 6 del Art. 7 del
decreto 1469 de 2010.
ÁREA RURAL - SISTEMA DE AREAS PROTEGIDAS - SISTEMA OROGRAFICO
Ficha No. NUG - R - 03
ÁREAS DE RECARGA DE ACUÍFEROS (R – RA)
USOS
Uso Principal Forestal Protector con especies nativas.
Usos Compatibles
Actividades agrosilviculturales y recreación contemplativa y vivienda del propietario con
máximo de ocupación de 60m2.
Usos Condicionados Infraestructura vial, aprovechamiento forestal de especies exóticas.
Usos Prohibidos
Plantación de bosques con especies foráneas, explotaciones agropecuarias bajo
invernadero, parcelaciones con fines de construcción de vivienda, zonas de expansión
urbana, extracción de materiales, aprovechamiento forestal de especies nativas, y todos los
demás.
ÁREA RURAL - SISTEMA DE AREAS PROTEGIDAS - SISTEMA OROGRAFICO
Ficha No. NUG - R - 04
ÁREA FORESTAL PROTECTORA (R – FP) QUEBRADAS PARAMILLO Y QUESERAS
USOS
Uso Principal Conservación forestal y de recursos conexos.
Usos Compatibles Áreas de recreación ecoturística, rehabilitación ecológica e investigación controlada
Usos Condicionados
Infraestructura básica para el establecimiento de usos compatibles; aprovechamiento
persistente de especies foráneas y productos forestales secundarios
Usos Prohibidos Todos los demás.
ÁREA RURAL - SISTEMA DE AREAS PROTEGIDAS
Ficha No. NUG - R - 05
DISTRITO DE MANEJO INTEGRADO DMI RIO SUBACHOQUE Y PANTANO DE ARCE
USOS
Uso Principal Protección y preservación de los recursos naturales.
Usos Compatibles Investigación, Áreas de recreación ecoturística y restauración ecológica.
CIPIO DE AGUAZUL
ACUERDO No. _____
“POR EL CUAL SE ADOPTA LA REVISIÓN GENERAL DEL ESQUEMA DE ORDENAMIENTO TERRITORIAL DEL
MUNICIPIO DE SUBACHOQUE” EOT
89
ÁREA RURAL - SISTEMA DE AREAS PROTEGIDAS
Ficha No. NUG - R - 05
DISTRITO DE MANEJO INTEGRADO DMI RIO SUBACHOQUE Y PANTANO DE ARCE
USOS
Usos Condicionados
Agropecuarios tradicionales, aprovechamiento forestal de especies foráneas, y
captación de aguas.
Usos Prohibidos
Agropecuario mecanizado, recreación masiva, parcelaciones con fines de construcción de
vivienda campestre, minería y extracción de materiales de construcción.
Artículo 98. ASIGNACIÓN DE USOS RURALES POR ÁREAS PARA LA PRODUCCIÓN
AGRÍCOLA Y GANADERA Y DE EXPLOTACIÓN DE RECURSOS NATURALES. Asígnense los
siguientes usos a las diferentes áreas para la producción agrícola y ganadera y de
explotación de recursos naturales.
SUELO RURAL - PRODUCCIÓN AGRÍCOLA Y GANADERA Y DE EXPLOTACIÓN DE
RECURSOS NATURALES Ficha No. NUG - R - 06
ÁREA AGROPECURIA INTENSIVA (Suelos clase agrológica I, II o III)
USOS
Uso Principal
Agropecuario mecanizado o tecnificado y forestal. Se debe dedicar como mínimo el 10% del
predio para uso forestal protector, para promover la malla ambiental.
Usos Compatibles
Infraestructura para construcción de distritos de adecuación de tierras, Pecuario confinado
de baja intensidad. Vivienda del propietario y trabajadores, Aprovechamiento de Residuos
orgánicos menores a 100 ton/año, Comercio Grupo I, Dotacional Grupo I, Usos
Recreacionales y Áreas de recreación ecoturística
Usos Condicionados
Pecuario confinado intensivo, Agricultura intensiva bajo invernadero, vías de comunicación,
Aprovechamiento de Residuos orgánicos mayores a 100 ton/año, Usos Agroindustriales.
Usos Prohibidos
Usos urbanos y suburbanos, loteos y condominios con fines de construcción de vivienda y
los demás usos que no se encuentren previstos en este cuadro
Artículo 99. ASIGNACIÓN DE USOS RURALES A LAS AREAS DEL SISTEMA DE SERVICIOS
PÚBLICOS DOMICILIARIOS. Asígnense los siguientes usos a las Áreas de Protección de
infraestructura de servicios Públicos.
ÁREA RURAL - AREAS DEL SISTEMA DE SERVICIOS PÚBLICOS DOMICILIARIOS
Ficha No. NUG - R - 07
AREAS DE PROTECCION DE INFRAESTRUCTURA DE SERVICIOS PUBLICOS (R – SP)
USOS
Uso Principal Sistemas de tratamiento de agua potable.
Usos Compatibles Infraestructura necesaria para el establecimiento del uso principal.
Usos Condicionados
Embalses, infraestructura de saneamiento y sistemas de disposición y tratamiento de
residuos sólidos y líquidos.
Usos Prohibidos Los demás.
Localización PTAP: Urbana Predio 000100070276000
Localización PTAR:
La Pradera Predio 000300010315000, GALDAMEZ 000100060475000,
Centro Urbano 000100070522000
CIPIO DE AGUAZUL
ACUERDO No. _____
“POR EL CUAL SE ADOPTA LA REVISIÓN GENERAL DEL ESQUEMA DE ORDENAMIENTO TERRITORIAL DEL
MUNICIPIO DE SUBACHOQUE” EOT
90
SUBCAPÍTULO II
DEL SISTEMA DE SERVICIOS PÚBLICOS RURALES
Artículo 100. COMPONENTES DEL SISTEMA DE SERVICIOS PÚBLICOS RURALES. Son
componentes del Sistema de Servicios Públicos rurales los siguientes:
1. Redes de acueducto de la zona rural.
2. Redes de alcantarillado de la zona rural.
3. Planta de tratamiento de aguas residuales.
4. Redes de energía eléctrica, con su sistema de líneas de conducción de alta, media y baja
tensión, postes, torres, conducciones subterráneas y subestaciones eléctricas de las zonas
rurales del municipio.
5. Redes de teléfono, con su sistema de cableado, casetas para servicio público, subestaciones y
centros de control, en las zonas rurales del municipio.
6. Redes de gas.
Artículo 101. PLAN DE SERVICIOS PÚBLICOS DOMICILIARIOS RURALES. El plan de servicios
públicos municipales rurales es el conjunto de acciones a través de las cuales se pretende dar
cumplimiento a los objetivos acordados respecto de los servicios públicos como sistema
estructurante, está compuesto por los grandes programas que se consignan a continuación:
1. Construcción de sistemas de tratamiento de agua
2. Construcción y mejoramiento de acueductos rurales.
3. Construcción y mejoramiento de alcantarillados rurales.
4. Control a los sistemas de disposición de residuos sólidos.
5. Mejoramiento infraestructura de servicios públicos de acueducto y alcantarillado Centro
poblado Galdámez.
6. Disposición de residuos sólidos no aprovechables en los sitios donde determine el PGIRS.
7. Cumplimiento decreto 4741 de 2005 y numeral 3.4. del documento Gestión Integral de
Residuos o Desechos Peligrosos – Bases Conceptuales, elaborado por el Ministerio de
Ambiente, Vivienda y Desarrollo Territorial relacionado con residuos peligrosos
Parágrafo primero: La disposición final de residuos sólidos ordinarios no aprovechables se
deberá realizar en el relleno sanitario más próximo al municipio y que esté debidamente
autorizado por la CAR.
Parágrafo segundo: Las entidades o particulares que manejen residuos sólidos peligrosos
deben contratar con una empresa especializada y autorizada por la autoridad ambiental la
disposición de los mismos.
Artículo 102. ÁREAS DE RESERVA PARA SERVICIOS PÚBLICOS EN EL SUELO RURAL. La
Secretaría de Planeación, a solicitud de las empresas prestadoras de los servicios públicos,
realizará las acciones tendientes a establecer las reservas de suelos para servicios públicos y
las afectaciones prediales correspondientes. En los suelos afectados, la autoridad competente
no podrá autorizar construcciones de ningún tipo, salvo las necesarias para la prestación del
servicio o servicios respectivos. No se permitirá la construcción de viviendas, o usos
dotacionales, comerciales o recreativos a distancias menores de las mínimas establecidas en el
CIPIO DE AGUAZUL
ACUERDO No. _____
“POR EL CUAL SE ADOPTA LA REVISIÓN GENERAL DEL ESQUEMA DE ORDENAMIENTO TERRITORIAL DEL
MUNICIPIO DE SUBACHOQUE” EOT
91
RAS 2000 para Sistemas de Tratamiento de Vertimientos, de acuerdo al sistema en
consideración.
Parágrafo primero: No se permitirá la construcción de viviendas, o usos dotacionales, comerciales
o recreativos a distancias menores 20 ML de las redes de conducción de gas natural. Igualmente
para las líneas de trasmisión de energía, las zonas de servidumbre se establecen de conformidad
con el art. 24 de la resolución No. 18-1294 de 2008.
Parágrafo segundo: Para la disposición de escombros se tendrá en cuenta una alternativa
regional ubicada en los Predios denominados Finca El Paraíso y Valle de las Mercedes, ubicados
en la Vereda Puente Piedra del Municipio de Madrid. Cumpliendo con la resolución 541 de 1994
de Ministerio de Ambiente o la norma que la derogue, sustituya o modifique.
Parágrafo tercero: Las antenas de telecomunicaciones no deben establecerse a menos de 200
mts de comunidades, viviendas, colegios, equipamientos colectivos y en general concentración
de población. (Sentencia T-107 de 2012 Corte Constitucional).
Parágrafo cuarto: No se podrán instalar ningún tipo de subestaciones para prestación del
servicio de energía eléctrica en el área rural a menos de 2.000 mts de cualquier vivienda
existente a su vez es requisito previo y necesario a la solicitud de expedición cualquier licencia
urbanística para el desarrollo de la subestación y sus líneas de conducción, por parte de la
Alcaldía Municipal, lo siguiente:
1. Estudios específicos de riesgo, según lo establece el artículo 42 de la Ley 1523 de 2012.
2. Licencia ambiental aprobada según lo establecen los artículos 5, 8, 9 del Decreto 2810 de 2010
y la Ley 99 de 1993.
La licencia sólo se podría expedir si los análisis de riesgo de la operación de la estación y sus
líneas de conducción no afectan a las personas y bienes localizados en las zonas aledañas o su
área de influencia, así como si se afectan con su implantación bienes ambientales. En el caso de
existir riesgos mitigables, deberá la empresa prestadora del servicio y dueña de la
infraestructura establecer las acciones de reducción del riesgo e implementar su Plan de
Contingencia.
El municipio por su parte deberá estar atento al trámite que sobre el particular realicen las
autoridades ambientales, para hacer observaciones y oposiciones si hay lugar a ello, y a
conocer los resultados de los estudios específicos de riesgo.
SUBCAPÍTULO III
DEL SISTEMA VIAL RURAL
Artículo 103. COMPONENTES DEL SISTEMA VIAL RURAL. El sistema vial rural está conformado
por vías intermunicipales o de segundo orden y vías veredales o de tercer orden.
El Sistema Vial Rural se presenta cartografiado en el plano CR – 02. Sistema Vial Rural y perfiles
viales, de acuerdo a su perfil, el cual incluye calzadas, bermas, cunetas y franjas de aislamiento
ambiental respecto de los linderos prediales, las vías rurales del Municipio se clasifican así:
CIPIO DE AGUAZUL
ACUERDO No. _____
“POR EL CUAL SE ADOPTA LA REVISIÓN GENERAL DEL ESQUEMA DE ORDENAMIENTO TERRITORIAL DEL
MUNICIPIO DE SUBACHOQUE” EOT
92
PERFILES VIALES RURALES
Tipo
de Vía
Clasificación
Vial
Aislamiento
Ambiental 1
Berma
y
Cuneta
Semi-
calzada
Separador
Semi-
calzada
Berma
y
Cuneta
Ciclo
Ruta
Aislamiento
Ambiental 1
Total
de la
secció
nIZQUIERDA DERECHA
VR - 2
Vía
Intermunicip
al o de
segundo
orden
16 2 4.5 4.5 2 16 45
VR - 3
Vías
Veredales o
de tercer
orden
10 1 4 4 1 10 30
VR - 4
Caminos
intraveredale
s
3 1 3 3 1 3 14
Las vías de segundo y tercer orden deberán estar dotadas de sistema de drenaje acorde con las
condiciones pluviométricas e hidrológicas locales.
La expresión gráfica de los perfiles indicados en este artículo se presenta en el plano CR – 02
Sistema Vial Rural y será utilizada para la determinación de las áreas de cesión siempre que sea del
caso.
Artículo 104. PLAN VIAL RURAL. El plan vial rural es el conjunto de acciones a través de las
cuales se pretende dar cumplimiento a los objetivos acordados respecto de las vías rurales
como sistema estructurante, está compuesto por los grandes programas que se consignan a
continuación:
1. Ampliación vías veredales o de tercer orden.
2. Mantenimiento y mejoramiento de la red vial rural o de tercer orden.
Artículo 105. ÁREAS DE RESERVA VIAL. La Secretaría de Planeación, realizará las acciones
tendientes a establecer las reservas de suelos y las afectaciones prediales correspondientes,
necesarias para el desarrollo de proyectos previstos en el plan vial rural, una vez disponga de
los estudios y diseños respectivos. En los suelos afectados, la autoridad competente no podrá
autorizar parcelaciones ni construcciones de ningún tipo.
SUBCAPÍTULO IV
DEL SISTEMA DE EQUIPAMIENTOS COLECTIVOS RURALES
Artículo 106. PLAN DE EQUIPAMIENTOS COLECTIVOS RURALES. El plan para el desarrollo del
sistema de equipamientos rurales es el conjunto de acciones a través de las cuales se pretende
dar cumplimiento a los objetivos acordados respecto de los equipamientos como sistema
estructurante, está compuesto por los grandes programas que se consignan a continuación:
CIPIO DE AGUAZUL
ACUERDO No. _____
“POR EL CUAL SE ADOPTA LA REVISIÓN GENERAL DEL ESQUEMA DE ORDENAMIENTO TERRITORIAL DEL
MUNICIPIO DE SUBACHOQUE” EOT
93
1. Formulación del Plan de Equipamientos Rurales
2. Construcción del Campus Educativo
3. Construcción de nuevos equipamientos rurales
4. Adecuación equipamientos rurales.
5. Mantenimiento general equipamientos rurales.
CAPÍTULO II
DE LOS USOS DEL SUELO RURAL
Artículo 107. USOS AGROPECUARIOS. Son aquellos que implican el aprovechamiento
productivo de los suelos, mediante el desarrollo de actividades agrícolas y pecuarias, de
acuerdo a sus características, los usos agropecuarios pueden clasificarse de la siguiente
manera:
1. Agricultura Tradicional: Aquellas áreas de mediana capacidad agrológica, caracterizadas
por un relieve ondulado, con sensibilidad a la erosión, pero que pueden permitir una
mecanización controlada, con pendientes superiores al 30%.
2. Agricultura Intensiva: Aquellas áreas de alta capacidad agrológica, caracterizadas por un
relieve de plano o moderadamente ondulado, profundidad efectiva de superficial a
moderadamente profunda, con sensibilidad a la erosión, pero que pueden permitir una
mecanización intensiva, con pendientes entre el 5% y el 30%.
3. Agricultura Intensiva bajo invernadero: Es aquella que implica la construcción de
estructuras temporales para la generación de condiciones climáticas controladas con el
objeto de desarrollar cultivos altamente tecnificados que requieren uso intensivo de mano
de obra, sistemas automatizados, mecánicos y/o manuales de fertilización, riego y control
de plagas con elevados niveles de utilización de productos químicos. Se caracterizan por
generar cantidades significativas de residuos vegetales y desechos tóxicos, por lo cual
presentan un alto impacto ambiental y paisajístico. El desarrollo de este tipo de usos requiere
el cumplimiento de las siguientes condiciones:
a. Cumplimiento de las exigencias establecidas por la autoridad ambiental y la Guía del
Ambiental del Sector Floricultor (en el caso de floricultura). En términos de ocupación,
los cultivos bajo invernadero con fines de floricultura existentes y nuevos deben
ajustarse a los siguientes índices:
 Área cubierta por invernaderos y usos complementarios: 15%.
 Áreas en barreras perimetrales forestales y reforestación: 20%.
 Áreas de manejo ambiental y zonas verdes en un solo globo: 65%.
 Deben tener un área destinada para producción de material forestal para
programas de reforestación de las cuencas hidrográficas del municipio.
En todo caso el área bajo invernadero no debe sobrepasar los 150 metros cuadrados.
CIPIO DE AGUAZUL
ACUERDO No. _____
“POR EL CUAL SE ADOPTA LA REVISIÓN GENERAL DEL ESQUEMA DE ORDENAMIENTO TERRITORIAL DEL
MUNICIPIO DE SUBACHOQUE” EOT
94
b. Siempre que la explotación se realice en predios independientes de más de una (1)
hectárea, deberá contar con plan de manejo, que integre sistemas adecuados de
manejo, tratamiento y disposición de desechos vegetales, envases y otros residuos de
plaguicidas. Están obligadas a aplicar sistemas equivalentes de manejo de desechos
sólidos y líquidos.
b. En el caso de invernaderos para producción de aromáticas u otros fines diferentes a
floricultura, estos deben ajustarse a los siguientes índices:
 Área cubierta por invernaderos y usos complementarios: 15%.
 Áreas en barreras perimetrales forestales y reforestación:- 20%.
 Áreas de manejo ambiental y zonas verdes en un solo globo: 65%.
En todo caso el área bajo invernadero no debe sobrepasar los 150 metros cuadrados.
c. Para la localización de las áreas de agricultura intensiva bajo cubierta bajo invernadero
se deberá tener una planta de tratamiento de aguas residuales teniendo en cuenta
que estos usos específicos utilizan gran cantidad de productos químicos. El o los
sistemas de tratamiento deberán contar con la aprobación de la autoridad ambiental
(CAR) y de la oficina de planeación municipal o quien haga sus veces.
4. Pecuario Confinado Intensivo: Corresponde a aquellas actividades pecuarias que implican
el confinamiento de animales con fines intensivos de producción, mediante la utilización de
sistemas tecnificados de control de condiciones ambientales, de suministro de
alimentación, lavado de instalaciones y demás actividades propias, como es el caso de los
galpones avícolas, porcícolas, cunículas, establos, y similares. El desarrollo de este tipo de
usos requiere el cumplimiento de las siguientes condiciones:
a. Cumplimiento de las exigencias ambientales y sanitarias establecidas por las
autoridades competentes.
b. La construcción de las instalaciones de confinamiento deberá respetar aislamientos de
mínimo 200 metros respecto de viviendas.
c. La instalación de cercas eléctricas en los linderos de la propiedad en donde este tipo de
uso se desarrolle, solo podrá hacerse a una distancia mínima de tres metros respecto
del lindero debidamente encerrado.
d. El área cubierta por galpones y construcciones permanentes será máximo del veinte
por ciento (20%) del predio; el área restante estará dedicada a otros usos
agropecuarios, forestales y de protección, con un mínimo de diez por ciento (10%) para
manejo ambiental (barreras perimetrales de aislamiento forestal y otros).
e. La explotación deberá integrar sistemas adecuados de tratamiento, manejo y
disposición de desechos sólidos orgánicos (porcinaza, gallinaza), en tal forma que los
olores no causen malestar a las viviendas vecinas. Para porquerizas y avícolas medianas
y grandes, de más de 10 cerdos o 100 aves, se debe presentar proyecto de tratamiento
de aguas residuales para aprobación de la CAR y del Municipio, que contemple
tratamiento primario, secundario y avanzado. Las porquerizas menores deben contar
CIPIO DE AGUAZUL
ACUERDO No. _____
“POR EL CUAL SE ADOPTA LA REVISIÓN GENERAL DEL ESQUEMA DE ORDENAMIENTO TERRITORIAL DEL
MUNICIPIO DE SUBACHOQUE” EOT
95
con un sistema de tratamiento de efluentes compuesto como mínimo por una
combinación de pozo séptico y filtro anaerobio de flujo ascendente, filtro percolador o
similar, más desinfección.
f. En caso de ganadería estabulada se debe contemplar la recolección y recirculación de
estiércol del ganado como fertilizante de potreros.
5. Pecuario Confinado de baja intensidad: Corresponde a aquellas actividades pecuarias que
requieren el uso parcial o temporal de instalaciones para el confinamiento de animales, sin
implicar producción intensiva, aunque si niveles de tecnificación de los procesos.
Pertenecen a este tipo de uso, las caballerizas, las perreras, guarderías caninas y similares.
El desarrollo de este tipo de usos requiere el cumplimiento de las siguientes condiciones:
a. Cumplimiento de las exigencias ambientales y sanitarias establecidas por las
autoridades competentes de mínimo 100 metros respecto de viviendas.
b. El área cubierta (construcciones permanentes) para el desarrollo de la actividad y será
máximo del diez por ciento (10%) del predio; el área restante estará dedicada a otros
usos agropecuarios, forestales y de protección, con un mínimo de diez por ciento (10%)
para manejo ambiental (barreras perimetrales de aislamiento forestal y otros).
Parágrafo primero: A partir de la aprobación del presente Esquema y hasta doce (12) meses
siguientes, como máximo, todos los cultivos bajo invernadero que estén afectando la zona de
ronda de fuentes y corrientes de agua, deberán despejar, recuperar y proteger la zona de
ronda, conforme a lo establecido en el Código Nacional de los Recursos Naturales Renovables,
el Decreto 1449 de 1977, el Acuerdo 16 de 1998 de la CAR y este Acuerdo so pena de las
sanciones de ley por el incumplimiento a estas disposiciones.
Parágrafo segundo: Las áreas destinadas en barreras perimetrales de aislamientos forestales y
las áreas de manejo ambiental y zonas verdes definidas en este artículo deben mantenerse en
el mismo predio objeto de la explotación bajo invernadero.
Parágrafo tercero: Todos los propietarios de fincas, haciendas o predios en el área rural deben
procurar por la limpieza de cunetas al frente de sus predios, limpieza en general, rocería, o
poda de las áreas entre las vías públicas o privadas y la cerca de cada predio, con la finalidad de
embellecer el entorno.
Parágrafo cuarto: Todas las explotaciones porcícolas en la jurisdicción del municipio deben dar
cumplimiento estricto a Resolución 2640 DE 2007 (septiembre 28) del INSTITUTO
COLOMBIANO AGROPECUARIO - ICA, por la cual se reglamentan las condiciones sanitarias y de
inocuidad en la producción primaria de ganado porcino destinado al sacrificio para consumo
humano. O la norma que la modifique, complemente, derogue o sustituya.
Parágrafo quinto: Las perreras o centros de entrenamiento canino o similares, únicamente se
pueden establecer en el área agropecuaria intensiva o agropecuaria tradicional, a su vez deben
tener realizar sus actividades a no menos de 200 mts de cualquier vivienda vecina, y deberán
contar con sistema de tratamiento de aguas residuales de los caninos con la finalidad de no
contaminar el suelo ni los cuerpos de agua.
CIPIO DE AGUAZUL
ACUERDO No. _____
“POR EL CUAL SE ADOPTA LA REVISIÓN GENERAL DEL ESQUEMA DE ORDENAMIENTO TERRITORIAL DEL
MUNICIPIO DE SUBACHOQUE” EOT
96
Parágrafo sexto: Únicamente en las áreas clasificadas como Área Agropecuaria Tradicional y
Área Agropecuaria intensiva, es compatible con el uso principal el aprovechamiento de los
residuos orgánicos y actividades de compostaje con un máximo de 100 toneladas al año. Este
aprovechamiento se podrá ejecutar sin que para ello sean necesarias edificaciones
especializadas para dicho propósito.
Parágrafo septimo: Únicamente en el área clasificada como Área Agropecuaria intensiva, es
compatible con el uso principal el aprovechamiento de los residuos orgánicos y actividades de
compostaje mayores a 100 toneladas al año. Para el establecimiento de este tipo de
aprovechamiento es necesario habilitar instalaciones especializadas y adecuadas para este tipo
de usos sin superar el 5% del área del predio (área del predio mínimo 20.000 m2) y en todo caso
un área cubierta menor a 1000 m2. El establecimiento de este tipo de aprovechamiento de
residuos orgánicos deberá obtener la aprobación de la autoridad ambiental (CAR), la oficina de
planeación y la oficina de ambiente y competitividad o quien haga sus veces.
Artículo 108. USOS DE RESTAURACIÓN MORFOLÓGICA Y REHABILITACIÓN DE SUELOS. Son
aquellos que se pueden dar en áreas de antiguas explotaciones minero–extractivas que han
sufrido un proceso de deterioro por la explotación no técnica a que se han visto sometidas,
corresponden a la adecuación de suelos con fines exclusivos de restauración morfológica y
rehabilitación.
Parágrafo primero: Las áreas que se encuentren en áreas de restauración morfológica y
rehabilitación de suelos, que hayan realizado y cumplido con su Plan de Manejo y Recuperación
y Restauración Morfológica, de acuerdo a la normativa vigente y a la autoridad ambiental
competente, se podrán utilizar como áreas dotacionales cumpliendo con la normativa
contenida en el presente acuerdo para dicha área de actividad.
Artículo 109. USOS AGROINDUSTRIALES. Corresponde a la actividad de transformación de
materias primas de origen agropecuario o forestal, en producto terminado. Sus principales
características son las siguientes:
a. Procesos de manufactura o transformación mediante técnicas, equipos y laboratorios
especializados, con demandas específicas de infraestructuras y servicios públicos.
b. Abastecimiento de materias primas y transporte de productos terminados mediante
vehículos medianos o pesados que pueden requerir estructuras de cargue y descargue
y accesos adecuados.
c. Generación alta de empleo y mano de obra especializada, con exigencia de sitios de
estacionamiento para vehículos particulares y acceso de transporte público.
Para efectos del EOT únicamente es agroindustria en Subachoque:
 Fábricas de derivados lácteos
 Despulpadoras de frutas
 Manejo de hortalizas y tubérculos con valor agregado
 Aserraderos de madera
CIPIO DE AGUAZUL
ACUERDO No. _____
“POR EL CUAL SE ADOPTA LA REVISIÓN GENERAL DEL ESQUEMA DE ORDENAMIENTO TERRITORIAL DEL
MUNICIPIO DE SUBACHOQUE” EOT
97
 Producción alimentaria
Artículo 110. USOS RESIDENCIALES. Corresponden a los inmuebles o parte de ellos
destinados al uso de vivienda. El uso residencial puede darse de manera exclusiva dentro de
una edificación o puede compartir esta con otros usos, siempre que estos correspondan a
las categorías compatible o condicionada, en cuyo caso, el uso condicionado deberá
garantizar la adecuada mitigación de los impactos generados. De acuerdo con las
características e intensidad de uso, pueden distinguirse los siguientes tipos de vivienda:
1. Vivienda del Propietario: Es la construida para habitación del propietario de predio rural,
unifamiliar, con los índices de ocupación del área de actividad agropecuaria tradicional,
dotada de manera básica y autónoma de espacios aptos para la preparación de alimentos,
el aseo personal, el descanso y el intercambio social. Esta vivienda se construye para
habitación de la familia que explota una unidad agrícola familiar, o la que se construye en
predios formados como resultado de la aplicación de la excepción contemplada la Ley 160
de 1994. El área máxima de ocupación para vivienda del propietario será de 1.000 M2 y de
construcción de 2.000 M2.
2. Vivienda del trabajador: Corresponde a las unidades habitacionales dotadas de manera
autónoma de espacios aptos para la preparación de alimentos, el aseo personal, el
descanso y el intercambio social, de un núcleo familiar y localizadas en suelo rural, en
aquellas áreas de actividad en donde este uso tenga la categoría de principal,
complementario o condicionado. La vivienda del trabajador corresponde a un área distinta
y separada pero en el mismo predio donde se encuentra la vivienda del propietario. El área
máxima de ocupación para vivienda del trabajador será de 120 M2 y de construcción de 180
M2.
Parágrafo: Toda vivienda que se construya a partir de la aprobación del acuerdo, en el área
rural del Municipio deberá ser con cubierta inclinada con teja a la vista y voladizo, en aras de la
tradición y protección al paisaje.
Artículo 111. USOS COMERCIALES Y DE SERVICIOS. Corresponden al intercambio de bienes y
servicios. De acuerdo a las características y cubrimiento del establecimiento, en el suelo rural
en las áreas donde el comercio tiene la categoría de uso principal, complementario o
condicionado, se pueden desarrollar los siguientes tipos de establecimientos de comercio y
servicios:
1. Comercio Grupo I. Comercio y Servicios de Cobertura Local: Corresponde a la venta de
bienes o servicios de consumo doméstico requeridos por la comunidad de un sector dado.
Se trata en general de locales abiertos en edificaciones residenciales sin adecuaciones
físicas importantes ni afectación del resto de la vivienda, o destinados para tal fin pero
como parte de la edificación. Se considera compatible con el uso residencial por su bajo
impacto ambiental y social. Para que sean considerados como tales, estos establecimientos
deben, además, cumplir las siguientes condiciones:
a. No requieren zonas especiales de exhibición y bodegaje, ni especialización de las
edificaciones.
CIPIO DE AGUAZUL
ACUERDO No. _____
“POR EL CUAL SE ADOPTA LA REVISIÓN GENERAL DEL ESQUEMA DE ORDENAMIENTO TERRITORIAL DEL
MUNICIPIO DE SUBACHOQUE” EOT
98
b. No requieren usos complementarios.
c. No requieren zonas especializadas de descargue o cargue, por realizarse el
abastecimiento mediante vehículos pequeños y el acceso se puede realizar por vías
locales.
d. No requieren zonas de estacionamiento para vehículos automotores, por permanencia
corta de los clientes.
e. En el caso de establecimientos cuyo objeto sea la venta de alimentos y bebidas para
consumo directo, es decir, dentro del propio establecimiento, sí se requiere de
adecuaciones locativas tendientes a la dotación de servicio sanitario para los clientes,
independiente al de la vivienda, así como la adecuación de superficies en pared y piso,
aptas para el lavado en las áreas de trabajo.
f. Se acogen a la normativa relacionada con el estudio de alto impacto que se presentó en
el componente urbano del presente documento para aquellos establecimientos
comerciales que se requiera.
Pertenecen al Comercio Grupo I, las siguientes actividades.
 Venta de alimentos y bebidas al detal, para consumo diario: Cafeterías, panaderías,
comidas rápidas y fruterías, restaurantes.
 Venta de productos farmacéuticos y cosméticos al detal: Droguerías.
 Venta de misceláneos: Papelerías, víveres perecederos, graneros y misceláneas.
 Venta de servicios técnicos: Sastrerías, modisterías, zapaterías, reparación de aparatos
eléctricos y electrónicos y peluquerías.
 Tiendas veredales.
2. Comercio Grupo II: Comprende usos comerciales de intercambio de bienes o servicios de
consumo que satisfacen demandas especializadas y generales de la comunidad de toda la
zona. Se trata, en general, de establecimientos abiertos en edificaciones especializadas
para el uso comercial y de servicios. En general se consideran de bajo impacto ambiental y
social, pero de impacto urbanístico, a causa del tránsito y congestión vehicular que pueden
generar. Estos establecimientos cumplen, entre otras, las siguientes condiciones:
a. Puede requerir de medios de exhibición, así como áreas de bodegaje.
b. Requiere de áreas de parqueo para vehículos automotores, motocicletas y bicicletas.
c. Generación mediana de empleo.
d. Funcionan en horarios diurnos y nocturnos, con posible afluencia concentrada de
usuarios en horas, días y temporadas determinadas.
e. Requiere de formas variadas de acceso vehicular para cargue y descargue de
mercancía, así como de otros tipos de infraestructuras específicas según el tipo de bien
o servicio comercializado.
f. Pueden generar usos complementarios, con formación paulatina de ejes o sectores
comerciales.
g. Los campos de tejo podrán funcionar, siempre y cuando la localización de las canchas
se realice a una distancia no menor de 15 ML respecto de los linderos del predio y 30 ML
respecto de las viviendas y el establecimiento debe estar dotado de unidad sanitaria y
debe cumplir con la norma de niveles sonoros establecidos en la normativa vigente. El
CIPIO DE AGUAZUL
ACUERDO No. _____
“POR EL CUAL SE ADOPTA LA REVISIÓN GENERAL DEL ESQUEMA DE ORDENAMIENTO TERRITORIAL DEL
MUNICIPIO DE SUBACHOQUE” EOT
99
funcionamiento de este uso debe ajustarse a los horarios establecidos por la autoridad
competente a nivel municipal.
Pertenecen al Comercio Grupo II, en el suelo rural del Municipio, las siguientes actividades.
 Venta de servicios recreativos y personales: Clubes sociales y deportivos, saunas, baños
turcos, centros de estética o gimnasios. Spa.
 Venta de servicios de hospedaje: Hoteles, Hosterías, Hoteles Agro-turísticos.
 Parqueaderos de vehículos.
 Lavadoras de zanahoria y/u otro tipo de legumbre o verduras.
Parágrafo primero. Los clubes no pueden albergar unidades de vivienda permanente al
interior.
Parágrafo segundo: No se permitirá el expendio de productos cárnicos en la zona rural a
excepción de los centros poblados rurales Galdámez, Cascajal y Llanitos.
Condicionamiento para los clubes:
 No pueden tener áreas de vivienda permanente, sólo áreas de recreación con sus
servicios relacionados
 Deben presentar un plan de ahorro y uso eficiente de agua a la secretaria de
ambiente o quien haga sus veces
 Deben en la medida de lo posible contratar personal del municipio
 Respetar la normativa urbanística para establecimientos de comercio grupo II.
Dentro de las actividades recreativas que hacen parte de los usos inherentes a los clubes y
que se podrán desarrollar dentro del uso comercial grupo II, se encuentran las siguientes
actividades.
 Campos deportivos de futbol, futbol 5, futbol 7, rugby, baloncesto, voleibol, tenis,
volei-playa, patinaje sobre ruedas, beisbol, minigolf entre otros deportes y
actividades deportivas al aire libre.
 Campos para la práctica de paintball, muros de escalada y demás actividades
asociadas que no requieran construcciones permanentes.
Los paintball sólo podrán realizar los respectivos cerramientos en cerca viva o cerramiento
transparente, no con polisombras de colores encendidos.
Condicionamiento general para el comercio grupo II:
El comercio grupo II en el área rural es un uso condicionado para el área de actividad
agropecuario tradicional, el área mínima para el uso debe ser igual o superior a la UAF
establecida en la resolución 1132 de 2013 del INCODER, que para el municipio de Subachoque es
de 8 ha como unidad mínima ponderada.
 El uso condicionado para comercio grupo II no se podrá realizar en suelos de alta
capacidad agrológica I, II y III
CIPIO DE AGUAZUL
ACUERDO No. _____
“POR EL CUAL SE ADOPTA LA REVISIÓN GENERAL DEL ESQUEMA DE ORDENAMIENTO TERRITORIAL DEL
MUNICIPIO DE SUBACHOQUE” EOT
10
0
 Las áreas construidas ´para el uso comercio grupo II, en todo caso no deberán superar
los 2000 metros cuadrados en edificaciones no mayores a dos pisos.
 Los cerramientos se realizarán en cerca viva con arborización nativa.
 La prestación de servicios públicos deberá ser garantizada de forma autónoma y
cumpliendo con los requerimientos técnicos y ambientales de la autoridad ambiental
CAR, la empresa de servicios públicos y la oficina de planeación municipal o quien haga
sus veces.
 El acceso deberá contar con una calzada interna de desaceleración que se ubicará
posterior a la faja de retiro vial para vías de segundo orden o tercer orden según la ley
1228 de 2008
 Cuando el uso implique utilización de recursos naturales, están sujetos al cumplimiento
de los requisitos específicos fijados por la autoridad ambiental competente (CAR).
Artículo 112. USOS RECREACIONALES. Corresponden a aquellos dedicados a prestar servicios
deportivos o de esparcimiento a la comunidad. La actividad recreativa puede ser de tipo
pasivo o de tipo activo.
1. Recreación Activa. Conjunto de actividades dirigidas al esparcimiento y el ejercicio de
disciplinas lúdicas, artísticas o deportivas que tienen como fin la salud física y mental, para
las cuales se requiere de infraestructura destinada a alojar concentraciones de público.
2. Recreación pasiva. Conjunto de acciones y medidas dirigidas al ejercicio de actividades
contemplativas que tienen como fin el disfrute escénico y la salud física y mental, para las
cuales tan solo se requiere equipamientos mínimos de muy bajo impacto ambiental, tales
como senderos peatonales, miradores paisajísticos, observatorios de avifauna y mobiliario
propio de las actividades contemplativas.
a. Los usos de recreación activa y pasiva se podrán realizar en el área rural del municipio,
siempre y cuando las actividades que se realicen se hagan a cielo abierto y con áreas
complementarias cubiertas hasta del 5% del área recreacional y en todo caso no
superior a 1000 metros cuadrados.
Artículo 113. USOS DOTACIONALES. Corresponden a la prestación de servicios sociales de
carácter formativo, cultural, de salud, deportivo, de bienestar social, recreacional y
religioso, tanto activo como contemplativo, así como a prestar apoyo funcional a los
particulares y a la administración pública. De acuerdo con su cobertura e intensidad, los
usos dotacionales se clasifican de la siguiente manera:
1. Dotacional Grupo I: Corresponde a servicios de primera necesidad y cobertura local, que se
desarrollan en establecimientos de magnitud reducida y pueden generar en menor escala,
tráfico vehicular, congestión eventual de peatones, ruidos, emisiones o efluentes
contaminantes, por lo cual, aunque se consideran de bajo impacto arquitectónico,
urbanístico y ambiental, se deberán prestar en instalaciones adecuadas para mitigar tales
impactos. Se trata de actividades que funcionan en locales adaptados o parcialmente
adaptados en una edificación residencial u ocupando la totalidad del primer piso de la
edificación residencial, como también en edificaciones construidas específicamente para
dicho uso, siendo por tanto compatibles con el uso residencial.
CIPIO DE AGUAZUL
ACUERDO No. _____
“POR EL CUAL SE ADOPTA LA REVISIÓN GENERAL DEL ESQUEMA DE ORDENAMIENTO TERRITORIAL DEL
MUNICIPIO DE SUBACHOQUE” EOT
10
1
Se consideran actividades dotacionales del Grupo I, las siguientes:
 Servicios culturales: bibliotecas, salones culturales o comunales.
 Servicios educacionales: jardines infantiles y guarderías con menos de 30 estudiantes.
2. Dotacional Grupo II: Corresponde a servicios cívicos o dotacionales que atienden la
demanda de la comunidad de todo el Municipio, se desarrollan por lo general en
edificaciones especializadas, generan afluencia de usuarios concentrada en ciertos días y
horas, requieren zonas de estacionamiento y pueden generar tráfico y congestión y
propiciar la aparición de usos complementarios en sus alrededores. Por estas razones,
estos usos tienen un impacto social y urbanístico mediano, aunque su impacto ambiental es
bajo. A esta clase corresponden, entre otros, los siguientes usos:
Pertenecen al uso dotacional Grupo II, en el suelo rural del Municipio, las siguientes
actividades:
 Educativos: Jardines Infantiles, Escuelas, colegios o campus educativo de enseñanza
básica, centros de educación superior, institutos de capacitación técnica, conventos,
centros de culto y similares.
 De fomento a actividades agropecuarias: Plaza de ferias.
 Asistenciales: Clínicas.
3. Dotacional Grupo III: Comprende servicios cívicos o institucionales que atienden la
demanda generada más allá de los límites municipales, es decir, en otros municipios de la
región. Ellos se desarrollan en edificaciones especializadas, generan alta afluencia de
usuarios, requieren zonas de estacionamiento para empleados y visitantes, son
generadores de tráfico y congestión y propician la aparición de usos complementarios en
sus alrededores. Por estas razones, estos usos tienen un impacto social y urbanístico alto,
aunque su impacto ambiental es bajo a medio. A esta clase corresponden, entre otros, los
siguientes usos:
Pertenecen al uso dotacional Grupo III, en el suelo rural del Municipio, las siguientes
actividades: Educativos: Colegios y establecimientos de educación superior con más de 500
estudiantes.
Parágrafo primero: Otras actividades dotacionales diferentes a lo mencionado en dotacional I,
II y III están prohibidas en la jurisdicción del municipio.
Parágrafo segundo: Corresponde a la Secretaría de Planeación y a la inspección de Policía
ejercer el control posterior respecto al cumplimiento de la normatividad por parte de los
establecimientos comerciales y de servicios en cuanto al concepto favorable de uso del suelo
conforme a la norma. Corresponde a la Inspección de Policía o la entidad que haga sus veces,
ejercer el control por impacto urbano con vehículos sobre el espacio público; corresponde al
Organismo de Control Ambiental o quien haga sus veces ejercer los controles por los impactos
ambientales generados (ruido, olores, trepidaciones, contaminación luminosa, etc.); y de más
formas que alteren el medio ambiente. Corresponde a la Secretaría de Gobierno, ejercer los
CIPIO DE AGUAZUL
ACUERDO No. _____
“POR EL CUAL SE ADOPTA LA REVISIÓN GENERAL DEL ESQUEMA DE ORDENAMIENTO TERRITORIAL DEL
MUNICIPIO DE SUBACHOQUE” EOT
10
2
controles sobre los impactos y escándalo público y actuar para los casos de quejas o malestar
de vecinos originados por el mal funcionamiento de establecimientos públicos acorde al
estudio de alto impacto.
Parágrafo tercero: todos los dotacionales de carácter público en la jurisdicción del municipio
deberán ser de color blanco y verde oliva (zócalo de mínimo 60 cms de altura), si la
ornamentación es de madera se debe mantener en madera y si es metálica debe ser pintada del
mismo color del zócalo, para homogenizar todos los equipamientos.
CAPÍTULO III
CATEGORÍAS DE DESARROLLO RESTRINGIDO EN SUELO RURAL.
Artículo 114. CATEGORÍAS DE DESARROLLO RESTRINGIDO EN SUELO RURAL. Incluye los
suelos rurales que no hacen parte de alguna de las categorías de protección del suelo rural,
cuando reúnan condiciones para el desarrollo de núcleos de población rural, para la
localización de actividades económicas y para la dotación de equipamientos comunitarios.
CATEGORÍAS DE DESARROLLO RESTRINGIDO EN SUELO RURAL CONVENCIÓN CARTOGRÁFICA
Área de Centros Poblados R - CP
Área Dotacional R - DO
CAPÍTULO IV
DE LAS ÁREAS DE ACTIVIDAD EN SUELO RURAL
Artículo 115. DEFINICIÓN. Las áreas de actividad en el suelo rural corresponden a la definición
consignada en el Art. 117 del presente Acuerdo.
Artículo 116. ÁREAS DE ACTIVIDAD EN SUELO RURAL. El suelo rural del Municipio se
encuentra zonificado en las siguientes áreas de actividad, como puede observarse en el
plano CR – 01. Áreas de Actividad en Suelo Rural.
ÁREA DE ACTIVIDAD EN SUELO RURAL CONVENCIÓN CARTOGRÁFICA
CIPIO DE AGUAZUL
ACUERDO No. _____
“POR EL CUAL SE ADOPTA LA REVISIÓN GENERAL DEL ESQUEMA DE ORDENAMIENTO TERRITORIAL DEL
MUNICIPIO DE SUBACHOQUE” EOT
10
3
ÁREA DE ACTIVIDAD EN SUELO RURAL CONVENCIÓN CARTOGRÁFICA
Actividad Agropecuaria Tradicional R - AT
Actividad Agropecuaria Intensiva R - AI
Áreas de Restauración Morfológica y Rehabilitación de Suelos R - RM
CAPÍTULO V
DE LA ASIGNACIÓN DE USOS POR ÁREAS DE ACTIVIDAD EN SUELO RURAL
Artículo 117. ASIGNACIÓN DE USOS RURALES POR ÁREAS DE ACTIVIDAD. Para cada una de
las Áreas de Actividad definidas en las que ha sido zonificado el suelo rural, se asignan los
usos del suelo conforme a las categorías definidas como se indica a continuación:
1. Suelo Rural
SUELO RURAL - ÁREAS DE ACTIVIDADES PRODUCTIVAS
Ficha No. NUG - R - 07
ÁREA AGROPECUARIA TRADICIONAL
USOS
Uso Principal
Actividad agrícola y pecuaria tradicional, sistemas agrosilvopastoriles y forestal protector-
productor, cercas vivas y barreras rompevientos. Se debe dedicar como mínimo el 20% del
predio a uso forestal protector-productor para promover la formación de la malla
ambiental.
Usos Compatibles
Infraestructura para construcción de distritos de adecuación de tierras, Pecuario
confinado de baja intensidad. Vivienda del propietario y trabajadores, Aprovechamiento
de Residuos orgánicos menores a 100 ton/año, Comercio Grupo I, Dotacional Grupo I,
Usos Recreacionales. Y Áreas de recreación ecoturística
Usos Condicionados Pecuario confinado Intensivo, vías de comunicación, Usos Agroindustriales. Comercio II.
Usos Prohibidos
Usos urbanos y suburbanos, industriales y loteo con fines de construcción de vivienda,
agricultura intensiva bajo invernadero, minería y los demás usos que no se encuentren
previstos en este cuadro
SUELO RURAL - ÁREAS DE ACTIVIDADES PRODUCTIVAS
Ficha No. NUG - R - 08
ÁREA AGROPECUARIA INTENSIVA
USOS
Uso Principal
Agropecuario mecanizado o tecnificado y forestal. Se debe dedicar como mínimo el 10%
del predio para uso forestal protector, para promover la malla ambiental.
Usos Compatibles
Infraestructura para construcción de distritos de adecuación de tierras, Pecuario
confinado de baja intensidad. Vivienda del propietario y trabajadores, Aprovechamiento
de Residuos orgánicos menores a 100 ton/año, Comercio Grupo I, Dotacional Grupo I,
Usos Recreacionales y Áreas de recreación ecoturística
Usos Condicionados
Pecuario confinado intensivo, Agricultura intensiva bajo invernadero, vías de
comunicación, Aprovechamiento de Residuos orgánicos mayores a 100 ton/año, Usos
Agroindustriales.
Usos Prohibidos Usos urbanos y suburbanos, loteos y condominios con fines de construcción de vivienda y
CIPIO DE AGUAZUL
ACUERDO No. _____
“POR EL CUAL SE ADOPTA LA REVISIÓN GENERAL DEL ESQUEMA DE ORDENAMIENTO TERRITORIAL DEL
MUNICIPIO DE SUBACHOQUE” EOT
10
4
SUELO RURAL - ÁREAS DE ACTIVIDADES PRODUCTIVAS
Ficha No. NUG - R - 08
ÁREA AGROPECUARIA INTENSIVA
USOS
los demás usos que no se encuentren previstos en este cuadro
SUELO RURAL - ÁREAS DE ACTIVIDADES PRODUCTIVAS
Ficha No. NUG - R - 09
ÁREAS DE RESTAURACION MORFOLOGICA Y REHABILITACION DE SUELOS
USOS
Uso Principal Adecuación de suelos con fines exclusivos de restauración morfológica y rehabilitación.
Usos Compatibles Otros usos que tengan como finalidad la rehabilitación morfológica o restauración.
Usos Condicionados Escombreras.
Usos Prohibidos Los demás usos que no se encuentren previstos en este cuadro
ÁREA RURAL - ÁREAS DE ACTIVIDAD Ficha
NUG - R - 10ACTIVIDAD DOTACIONAL
USOS
Uso Principal Dotacional Grupo I, II y III (Plaza de Ferias y Campus educativo)
Usos Compatibles Recreacional Pasivo
Usos Condicionados Ninguno
Usos Prohibidos Los demás usos que no se encuentren previstos en este cuadro
Parágrafo primero: No se permitirán construcciones en general en predios con pendientes
mayores al 30%.
CAPÍTULO VI
DE LOS DESARROLLOS EN SUELO RURAL
Artículo 118. TIPOS DE DESARROLLO. Para los fines del documento se consideran desarrollos
aplicables a las áreas de actividad en suelo rural, el:
1. Desarrollo por construcción.
Artículo 119. DEFINICIÓN. El desarrollo por construcción es el proceso por el cual un lote o
predio es objeto de licencia construcción, ampliación, adecuación, reforzamiento
estructural, modificación, demolición de edificaciones existentes, con destino a vivienda,
comercio, establecimientos dotacionales y recreativos u otros, según el uso permitido en el
área de actividad en donde este se localiza.
El dimensionamiento y las características de los desarrollos por construcción, así como las
licencias correspondientes, deben tener en cuenta, entre otros aspectos, la capacidad de la red
vial existente, tanto en tamaño como en calidad, la capacidad de las redes de servicios públicos
y las limitaciones para su ampliación, en los casos en que se prevean conexiones a sistemas
colectivos. No se podrá otorgar licencia de construcción para proyectos que sobrepasen alguno
CIPIO DE AGUAZUL
ACUERDO No. _____
“POR EL CUAL SE ADOPTA LA REVISIÓN GENERAL DEL ESQUEMA DE ORDENAMIENTO TERRITORIAL DEL
MUNICIPIO DE SUBACHOQUE” EOT
10
5
de estos tipos de capacidad, o que no hayan contemplado en el proyecto las soluciones
correspondientes, tales como ampliación de vías, ampliación de redes de acueducto y
alcantarillado, construcción de acueducto o sistema propio de recolección y disposición de
aguas residuales.
Parágrafo: Para la aprobación de licencia de construcción se requerirá la disponibilidad y
viabilidad del servicio de acueducto por parte del acueducto veredal correspondiente.
Artículo 120. ÁREAS DE CESIÓN OBLIGATORIA O ÁREAS PÚBLICAS OBJETO DE CESIÓN
(CESIÓN TIPO A) EN DESARROLLOS POR EDIFICACIÓN CON DESTINO A USOS
RESIDENCIALES, DOTACIONALES Y RECREACIONALES. Los propietarios de inmuebles
objeto de desarrollo por edificación con destino a usos residenciales, dotacionales,
recreacionales deberán ceder de manera obligatoria y a título gratuito a favor del
Municipio, las áreas correspondientes a las Cesiones Obligatorias (Cesiones Tipo A), es
decir, con destino a vías locales, equipamiento comunal público y espacio público, en una
proporción equivalente al 20%, como mínimo, del área neta. La cesión tipo A para usos
residenciales se cobrará cuando se hagan más de 4 subdivisiones del mismo predio, de
acuerdo a la base catastral de 2011, y sólo se podrá subdividir una única vez durante 5 años.
Se excluye la subdivisión objeto de sentencia judicial.
Artículo 121. LICENCIAS DE CONSTRUCCIÓN Y DE RECONOCIMIENTO DE CONSTRUCCIONES
EN PREDIOS RURALES CUYA ÁREA ES MENOR A LA MÍNIMA PERMITIDA. ·La UAF
establecida en la resolución 1132 de 2013 del INCODER, para el municipio de Subachoque es
de 8 ha como unidad mínima ponderada, teniendo en cuenta lo anterior, los predios
localizados en suelo rural y sobre áreas de actividad en donde la vivienda del propietario y/o
la vivienda del trabajador corresponden a uso principal, complementario y/o condicionado,
cuya área sea menor de la mínima permitida en la respectiva área, podrán tramitar licencia
de construcción, únicamente, en los siguientes casos:
 Cuando el predio se haya formado en virtud de alguna de las excepciones contempladas en
el Artículo 45 de la Ley 160 de 1994 y las demás normas que la adicionen, modifiquen o
sustituyan, siempre que su área no sea menor de 2.000 M2
.
 Los predios que dispongan de cédula catastral, matrícula inmobiliaria, se encuentren
debidamente desenglobados y hayan sido formados catastralmente hasta del 31 de
diciembre de 2013, siempre que cumplan las siguientes condiciones: El uso de la
construcción será para vivienda del propietario y el índice de ocupación, área máxima de
construcción y número de viviendas sean los que se incluyen en el cuadro que hace parte
del presente documento, dentro de los rangos de área indicados en el mismo.
 Los predios producto de sentencia judicial, siempre que su área no sea menor de 2.000 M2
y cumplan con las siguientes condiciones:
En Áreas Agropecuarias
Rango de área Índice de ocupación Área máxima de Construcción No. Viviendas
Entre 2001 y 5000 M2 100 M2 250 M2 1
CIPIO DE AGUAZUL
ACUERDO No. _____
“POR EL CUAL SE ADOPTA LA REVISIÓN GENERAL DEL ESQUEMA DE ORDENAMIENTO TERRITORIAL DEL
MUNICIPIO DE SUBACHOQUE” EOT
10
6
Entre 5001 y 10000 M2 150 M2 300 M2 1
Entre 10001 y 20000 M2 200 M2 400 M2 1
En Áreas Forestales Productoras (Depende de plan de manejo CAR “Res. 138 de 2014”)
Rango de área Índice de ocupación
Área máxima de
Construcción
No. Viviendas
Entre 2001 y 5000 M2 50 M2
100 M2 1
Entre 5001 y 10000 M2 50 M2 100 M2
1
CAPÍTULO VII
DE LA NORMA URBANÍSTICA GENERAL EN EL SUELO RURAL
Artículo 122. NORMA URBANÍSTICA GENERAL PARA SUELO RURAL. Adóptese la norma
urbanística general aplicable a las diferentes áreas de actividad en las que se encuentra
zonificado el suelo rural del Municipio, tal y como se presenta en los siguientes cuadros:
1. Suelo Rural
SUELO RURAL - AREA DE ACTIVIDAD AGROPECUARIA TRADICIONAL
Ficha
NUG - R - 11
NORMAS URBANÍSTICAS GENERALES
Vivienda del
Propietario
Agro-Industria Comercio II
Área mínima de Lote UAF 80.000 M2 UAF 80.000 M2 UAF 80.000 M2
Frente mínimo de lote sobre vía pública (no aplica en
ningún casos a servidumbres)
50 ML 100 ML 50 ML
Densidad por hectárea 1 vivienda 1 Agroindustria 1 Comercio
Índice Máximo de Ocupación
Vivienda del
propietario 1.000
m2 y vivienda del
trabajador 120 m2
Agroindustria con
un máximo de
2000 m2
construidos en
primer piso
Establecimiento
de Comercio tipo
II, de máximo
1.000 m2
construidos en
primer piso
Índice Máximo de Construcción)
Vivienda del
propietario
máximo 2.000 m2
y vivienda del
trabajador
máximo 180 m2
Agroindustria con
un máximo de
2000 m2
construidos
Establecimiento
de Comercio tipo
II, de máximo
2.000 m2
construidos
Aislamiento Lateral Mínimo 15 ML 25 ML 15 ML
Ancho mínimo del Aislamiento Posterior N.A. 10 ML 30 ML
Aislamiento contra vías S/Plan Vial S/Plan Vial S/Plan Vial
Número de Pisos 2
1 Piso a doble
altura
2
Altillos NO NO NO
NORMAS URBANÍSTICAS COMPLEMENTARIAS CRITERIOS
Reforestación Especies nativas
Cerramientos
Antepecho de 0.6 Ml y máximo 1.90 Ml de malla o reja, o
cerca viva.
CIPIO DE AGUAZUL
ACUERDO No. _____
“POR EL CUAL SE ADOPTA LA REVISIÓN GENERAL DEL ESQUEMA DE ORDENAMIENTO TERRITORIAL DEL
MUNICIPIO DE SUBACHOQUE” EOT
10
7
SUELO RURAL - AREA DE ACTIVIDAD AGROPECUARIA TRADICIONAL
Ficha
NUG - R - 11
NORMAS URBANÍSTICAS GENERALES
Vivienda del
Propietario
Agro-Industria Comercio II
CONDICIONAMIENTO DE USOS
Los usos que impliquen utilización de recursos naturales, están sujetos al cumplimiento de los requisitos específicos
fijados por la autoridad ambiental.
Cuando el desarrollo de los usos principales, complementarios y condicionados implique el establecimiento de
construcciones, estas deberán realizarse previa obtención de las respectivas licencias otorgadas por la autoridad de
planeación competente.
Las construcciones destinadas a la producción pecuaria en condiciones de estabulación, independientemente de si
corresponden a usos complementarios o condicionados deberán disponer de acabados que permitan la adecuada
realización de labores de aseo y demás requerimientos de la Secretaría de Desarrollo.
Las explotaciones de animales deberán presentar un Plan de Manejo Ambiental para el control de la contaminación
ambiental.
El área Máxima de ocupación para vivienda del propietario será de 1.000 M2 y de construcción de 2.000 M2.
La vivienda del trabajador tendrá un área máxima de 120 M2 de ocupación y 180 M2 de construcción.
En los predios colindantes con vallados, el cerramiento se levantará a 2.5 Ml a cada lado del cauce, y se deberá dejar
un aislamiento, libre de construcciones, en los 2.5 Ml siguientes al cerramiento. (En lotes menores de 15 Ml de fondo,
la Secretaría de Planeación evaluará lo relativo a la aplicación de esta disposición).
SUELO RURAL - AREA DE ACTIVIDAD AGROPECUARIA INTENSIVA
Ficha
NUG - R - 12
NORMAS URBANÍSTICAS GENERALES Vivienda del Propietario Agro-Industria
Área mínima de Lote UAF 80.000 M2 UAF 80.000 M2
Frente mínimo de lote sobre vía pública (no aplica
en ningún casos a servidumbres)
50 ML 100 ML
Densidad por hectárea 1 vivienda 1 Agroindustria
Índice Máximo de Ocupación
Vivienda del propietario 1.000 m2
y vivienda del trabajador 120 m2
Agroindustria con un
máximo de 2000 m2
construidos en primer piso
Índice Máximo de Construcción
Vivienda del propietario máximo
2.000 m2 y vivienda del trabajador
máximo 180 m2
Agroindustria con un
máximo de 2000 m2
construidos
Aislamiento Lateral Mínimo 15 ML 25 ML
Ancho mínimo del Aislamiento Posterior N.A. 10 ML
Aislamiento contra vías S/Plan Vial S/Plan Vial
Número de Pisos 2 1 Piso a doble altura
Altillos NO NO
NORMAS URBANÍSTICAS COMPLEMENTARIAS CRITERIOS
Reforestación Especies nativas
Cerramientos
Antepecho de 0.6 Ml y máximo 1.90 Ml de malla o reja, o cerca
viva.
CONDICIONAMIENTO DE USOS
Los usos que impliquen utilización de recursos naturales, están sujetos al cumplimiento de los requisitos específicos
fijados por la autoridad ambiental.
CIPIO DE AGUAZUL
ACUERDO No. _____
“POR EL CUAL SE ADOPTA LA REVISIÓN GENERAL DEL ESQUEMA DE ORDENAMIENTO TERRITORIAL DEL
MUNICIPIO DE SUBACHOQUE” EOT
10
8
SUELO RURAL - AREA DE ACTIVIDAD AGROPECUARIA INTENSIVA
Ficha
NUG - R - 12
NORMAS URBANÍSTICAS GENERALES Vivienda del Propietario Agro-Industria
Cuando el desarrollo de los usos principales, complementarios y condicionados implique el establecimiento de
construcciones, estas deberán realizarse previa obtención de las respectivas licencias otorgadas por la autoridad de
planeación competente.
Las construcciones destinadas a la producción pecuaria en condiciones de estabulación, independientemente de si
corresponden a usos complementarios o condicionados deberán disponer de acabados que permitan la adecuada
realización de labores de aseo y demás requerimientos de la Secretaría de Desarrollo.
El área Máxima de ocupación para vivienda del propietario será de 1.000 M2 y de construcción de 2.000 M2.
La vivienda del trabajador tendrá un área máxima de 120 M2 de ocupación y 180 M2 de construcción.
En los predios colindantes con vallados, el cerramiento se levantará a 2.5 Ml a cada lado del cauce, y se deberá dejar un
aislamiento, libre de construcciones, en los 2.5 Ml siguientes al cerramiento. (En lotes menores de 15 Ml de fondo, la
Secretaría de Planeación evaluará lo relativo a la aplicación de esta disposición).
Parágrafo primero: Las construcciones temporales de vivienda o relacionadas con actividades
agropecuarias, que estén por más de 6 meses ya se entenderá que son como permanentes, y
deberán someterse a licencia de reconocimiento.
Parágrafo segundo: En las Áreas de Actividad Agropecuaria intensiva y tradicional, que cuenten
como mínimo con ocho (8) hectáreas se permite adicionalmente a la vivienda principal, la Vivienda
del Trabajador y construcciones anexas relacionadas con el sector agropecuario como establos,
bodegas de almacenamiento y demás cumpliendo con:
 Trámite de licencia para estas construcciones permanentes
 Índice de ocupación máximo permitido para estas construcciones del 2% del predio.
 La altura depende de la actividad agropecuaria realizada
 Se debe procurar con que las construcciones sean compatibles con el entorno
 Los cerramientos deben realizarse con malla y cerca viva.
Parágrafo tercero: Los predios rurales que en razón a su área no cumplan con las disposiciones
normativas requeridas para su edificación o construcción o el desarrollo de los usos permitidos
acogerán mecanismos de englobe predial, o restringe su funcionamiento a lo existente sin
ampliaciones o mejoras.
Parágrafo cuarto: No podrán localizarse construcciones en áreas cuyas pendientes sean
superiores a 30 grados, tampoco en áreas de conservación y protección del medio ambiente y los
recursos naturales, ni en suelos agrologicos clase I, II y III (a excepción de la vivienda del
propietario, vivienda del trabajador y construcciones anexas para el uso agropecuario), ni en los
suelos de categoría de protección de suelo rural.
Normativa urbanística para dotacional grupo II y III en área agropecuaria dotacional (Centros
educativos y relacionados con equipamientos de salud):
SUELO RURAL – NORMATIVA PARA DOTACIONAL GRUPO II Y III EN AREA DE ACTIVIDAD Ficha
CIPIO DE AGUAZUL
ACUERDO No. _____
“POR EL CUAL SE ADOPTA LA REVISIÓN GENERAL DEL ESQUEMA DE ORDENAMIENTO TERRITORIAL DEL
MUNICIPIO DE SUBACHOQUE” EOT
10
9
DOTACIONAL NUG - R - 13
NORMAS URBANÍSTICAS GENERALES Dotacional II Dotacional III
Área mínima de Lote 20.000 M2 60.000 M2
Frente mínimo de lote sobre vía pública (no
aplica en ningún casos a servidumbres)
100 ML 200 ML
Densidad por hectárea 1 volumen por hectárea
1 volumen
por hectárea
Índice Máximo de Ocupación 30% 20%
Índice Máximo de Construcción 60% 40%
Aislamiento Lateral Mínimo que debe dejar
contra lindero de predios vecinos
20 ML 50 ML
Ancho mínimo del Aislamiento Posterior 20 ML 50 ML
Aislamiento contra el borde de cualquier vía
pública
40 ML 100 ML
Número de Pisos 2 2
Altillos NO NO
NORMAS URBANÍSTICAS COMPLEMENTARIAS CRITERIOS
Reforestación Especies nativas
Cerramientos
Antepecho de 0.6 Ml y máximo 1.90 Ml de malla o reja, o cerca
viva.
CONDICIONAMIENTO DE USOS
Los usos que impliquen utilización de recursos naturales, están sujetos al cumplimiento de los requisitos específicos
fijados por la autoridad ambiental.
Cuando el desarrollo de los usos principales, complementarios y condicionados implique el establecimiento de
construcciones, estas deberán realizarse previa obtención de las respectivas licencias otorgadas por la autoridad de
planeación competente.
En los predios colindantes con vallados, el cerramiento se levantará a 2.5 Ml a cada lado del cauce, y se deberá dejar
un aislamiento, libre de construcciones, en los 2.5 Ml siguientes al cerramiento.
Normativa urbanística para dotacional grupo I en área agropecuaria tradicional e intensiva
(Centros educativos y relacionados con equipamientos de salud de pequeña escala):
SUELO RURAL – NORMATIVA PARA DOTACIONAL GRUPO I EN AREA DE ACTIVIDAD
AGROPECUARIA TRADICIONAL Y INTENSIVA
Ficha
NUG - R - 14
NORMAS URBANÍSTICAS GENERALES Dotacional I
Área mínima de Lote 5.000 M2
CIPIO DE AGUAZUL
ACUERDO No. _____
“POR EL CUAL SE ADOPTA LA REVISIÓN GENERAL DEL ESQUEMA DE ORDENAMIENTO TERRITORIAL DEL
MUNICIPIO DE SUBACHOQUE” EOT
11
0
Frente mínimo de lote sobre vía pública (no aplica en ningún casos a servidumbres) 20 ML
Densidad por hectárea
1 volumen por
hectárea
Índice Máximo de Ocupación 40%
Índice Máximo de Construcción 80%
Aislamiento Lateral Mínimo que debe dejar contra lindero de predios vecinos 50 ML
Ancho mínimo del Aislamiento Posterior 50 ML
Aislamiento contra el borde de cualquier vía pública 100 ML
Número de Pisos 2
Altillos NO
NORMAS URBANÍSTICAS COMPLEMENTARIAS
Reforestación
Cerramientos
CONDICIONAMIENTO DE USOS
Los usos que impliquen utilización de recursos naturales, están sujetos al cumplimiento de los requisitos específicos
fijados por la autoridad ambiental.
Cuando el desarrollo de los usos principales, complementarios y condicionados implique el establecimiento de
construcciones, estas deberán realizarse previa obtención de las respectivas licencias otorgadas por la autoridad de
planeación competente.
En los predios colindantes con vallados, el cerramiento se levantará a 2.5 Ml a cada lado del cauce, y se deberá dejar
un aislamiento, libre de construcciones, en los 2.5 Ml siguientes al cerramiento.
Normativa urbanística para Comercio en área agropecuaria tradicional e intensiva.
SUELO RURAL – NORMATIVA PARA COMERCIO II EN AREA DE ACTIVIDAD AGROPECUARIA
TRADICIONAL
Ficha
NUG - R - 15
NORMAS URBANÍSTICAS GENERALES Hoteles pequeños Hoteles Grandes Clubes
Demás
Comercio II
Características
Hasta 20
habitaciones
Más de 20
habitaciones
Sociales y
deportivos
Saunas, baños
turcos, centros
de estética o
gimnasios. Spa.
Área mínima de Lote 80.000 M2 80.000 M2 150.000 M2 80.000 M2
Frente mínimo de lote sobre vía
pública (no aplica en ningún casos a
servidumbres)
80 ML 80 ML 200 ML 80 ML
Densidad por hectárea
1 volumen por
hectárea
1 volumen por
hectárea
1 volumen por
hectárea
1 volumen por
hectárea
Índice Máximo de Ocupación (Área
construida primer piso)
500 M2 1000 M2 1000 M2 500 M2
Índice Máximo de Construcción( Área
construida total)
1000 M2 2000 M2 2000 M2 1000 M2
CIPIO DE AGUAZUL
ACUERDO No. _____
“POR EL CUAL SE ADOPTA LA REVISIÓN GENERAL DEL ESQUEMA DE ORDENAMIENTO TERRITORIAL DEL
MUNICIPIO DE SUBACHOQUE” EOT
11
1
SUELO RURAL – NORMATIVA PARA COMERCIO II EN AREA DE ACTIVIDAD AGROPECUARIA
TRADICIONAL
Ficha
NUG - R - 15
NORMAS URBANÍSTICAS GENERALES Hoteles pequeños Hoteles Grandes Clubes
Demás
Comercio II
Aislamiento Lateral Mínimo que debe
dejar contra lindero de predios
vecinos
15 ML 15 ML 15 ML 15 ML
Ancho mínimo del Aislamiento
Posterior
30 ML 30 ML 30 ML 30 ML
Aislamiento contra el borde de
cualquier vía pública
30 ML 30 ML 30 ML 30 ML
Número mínimo de parqueaderos al
interior del predio
25 60 150 30
Número de Pisos 2 2 2 2
Altillos NO NO NO NO
NORMAS URBANÍSTICAS
COMPLEMENTARIAS
CRITERIOS
Reforestación Se debe reforestar mínimo el 10% del predio con especies nativas
Cerramientos Antepecho de 0.6 Ml y máximo 1.90 Ml de malla o reja, o cerca viva.
CONDICIONAMIENTO DE USOS
Los usos que impliquen utilización de recursos naturales, están sujetos al cumplimiento de los requisitos específicos
fijados por la autoridad ambiental.
Cuando el desarrollo de los usos principales, complementarios y condicionados implique el establecimiento de
construcciones, estas deberán realizarse previa obtención de las respectivas licencias otorgadas por la autoridad de
planeación competente.
Los clubes y hoteles de mas de 20 habitaciones, deben contar para la licencia con el respectivo plan de manejo de
tráfico y dar cumplimiento al mismo.
Los clubes, hoteles de mas de 20 habitaciones deben tener una calzada de desaceleración de por lo menos 8 mts de
calzada debidamente pavimentada.
En los predios colindantes con vallados, el cerramiento se levantará a 2.5 Ml a cada lado del cauce, y se deberá dejar
un aislamiento, libre de construcciones, en los 2.5 Ml siguientes al cerramiento.
Artículo 123. MANEJO SANITARIO EN CONSTRUCCIONES INDIVIDUALES EN SUELO RURAL.
Las viviendas rurales que se construyan en forma individual o dispersa, independientemente
del área de actividad, siempre que el uso residencial corresponda a las categorías principal,
complementaria o condicionada, deberán contar con disponibilidad inmediata para el manejo
de vertimientos y la conexión al sistema de acueductos operados por empresas de servicios
públicos legalmente constituidas. La Secretaría de Planeación promoverá una campaña para la
conexión al sistema de alcantarillado y manejo de vertimientos, de las viviendas individuales en
suelo rural que utilicen pozo séptico, salvo en aquellos casos en que las viviendas se
encuentren por fuera del perímetro de servicios y localizadas en predios mayores, en donde
sea posible garantizar el adecuado funcionamiento de los respectivos campos de infiltración.
CIPIO DE AGUAZUL
ACUERDO No. _____
“POR EL CUAL SE ADOPTA LA REVISIÓN GENERAL DEL ESQUEMA DE ORDENAMIENTO TERRITORIAL DEL
MUNICIPIO DE SUBACHOQUE” EOT
11
2
En estos casos, ningún pozo séptico podrá ubicarse a menos de 50 metros de un cuerpo o
fuente de agua.
Por estar ubicados, por lo general, en la vivienda del propietario o del trabajador, los
establecimientos comerciales del Grupo I o II y los Dotacionales del Grupo I, podrán utilizar los
mismos servicios de suministro de agua y saneamiento ambiental de la vivienda en donde
funcionan.
No obstante, los establecimientos de venta de licores, canchas de tejo, y cafeterías, deberán
disponer de servicio sanitario independiente para los clientes, conectado a un sistema de
tratamiento de aguas residuales.
En todas las viviendas y establecimientos comerciales, dotacionales, Agroindustriales,
recreativos y de otros tipos, se deberá garantizar la recolección de basuras domésticas y su
transporte a los sitios de recolección, disposición o incineración. Además, el tratamiento de las
aguas residuales deberá cumplir con la norma vigente para vertimientos.
CAPÍTULO VIII
ORDENAMIENTO DE LOS CENTROS POBLADOS RURALES
Artículo 124. DELIMITACIÓN DEL CENTRO POBLADO RURAL GALDAMEZ. La delimitación del
Centro Poblado Rural Galdámez, es la siguiente:
a. Polígono del Centro Poblado Rural Galdámez
CENTRO POBLADO GALDAMEZ
X Y X Y X Y
1 991.498,75 1.035.095,65 10 991.571,07 1.035.303,08 19 991.625,91 1.035.335,97
2 991.477,15 1.035.058,98 11 991.550,95 1.035.278,35 20 991.592,39 1.035.381,12
3 991.429,27 1.035.097,75 12 991.560,32 1.035.269,48 21 991.562,71 1.035.394,33
4 991.427,47 1.035.143,70 13 991.528,83 1.035.253,30 22 991.433,49 1.035.394,17
5 991.444,98 1.035.179,77 14 991.486,01 1.035.328,14 23 991.386,59 1.035.447,29
6 991.469,89 1.035.177,62 15 991.553,06 1.035.330,85 24 991.572,85 1.035.580,69
7 991.506,12 1.035.124,54 16 991.669,88 1.035.404,45 25 991.650,28 1.035.471,21
8 991.498,75 1.035.095,65 17 991.675,92 1.035.326,50 26 991.669,88 1.035.404,45
9 991.553,06 1.035.330,85 18 991.660,97 1.035.324,19
Artículo 125. DELIMITACIÓN DEL CENTRO POBLADO RURAL LLANITOS. La delimitación del
Centro Poblado Rural Llanitos, es la siguiente:
a. Polígono del Centro Poblado Rural Llanitos
CENTRO POBLADO LLANITOS
X Y X Y X Y
CIPIO DE AGUAZUL
ACUERDO No. _____
“POR EL CUAL SE ADOPTA LA REVISIÓN GENERAL DEL ESQUEMA DE ORDENAMIENTO TERRITORIAL DEL
MUNICIPIO DE SUBACHOQUE” EOT
11
3
CENTRO POBLADO LLANITOS
X Y X Y X Y
1 988.529,32 1.037.915,03 4 989.017,74 1.037.218,62 7 988.707,38 1.037.741,40
2 988.592,91 1.038.010,94 5 988.927,14 1.037.148,88 8 988.640,62 1.037.884,54
3 988.781,19 1.037.751,91 6 988.878,45 1.037.228,11 9 988.529,32 1.037.915,03
CENTRO POBLADO LLANITOS 2 POLÍGONO NORTE
X Y X Y
1 987.711,02 1.039.477,33 44 987.596,89 1.039.172,48
2 987.728,09 1.039.476,77 45 987.584,86 1.039.175,99
3 987.749,47 1.039.478,18 46 987.563,07 1.039.191,38
4 987.750,64 1.039.456,95 47 987.558,63 1.039.194,39
5 987.747,72 1.039.438,25 48 987.551,26 1.039.197,90
6 987.737,10 1.039.420,70 49 987.540,14 1.039.202,78
7 987.729,42 1.039.412,37 50 987.526,89 1.039.212,16
8 987.709,73 1.039.400,67 51 987.516,65 1.039.219,49
9 987.713,82 1.039.362,65 52 987.509,44 1.039.222,74
10 987.689,07 1.039.326,88 53 987.502,08 1.039.226,53
11 987.680,84 1.039.305,17 54 987.495,42 1.039.231,26
12 987.652,65 1.039.311,01 55 987.485,53 1.039.238,19
13 987.647,38 1.039.269,26 56 987.476,19 1.039.247,67
14 987.645,71 1.039.253,42 57 987.467,11 1.039.257,69
15 987.610,77 1.039.257,99 58 987.462,24 1.039.263,41
16 987.593,74 1.039.238,33 59 987.454,57 1.039.279,52
17 987.593,42 1.039.237,57 60 987.473,16 1.039.327,35
18 987.647,82 1.039.206,78 61 987.485,52 1.039.319,42
19 987.654,07 1.039.214,90 62 987.499,38 1.039.310,52
20 987.679,46 1.039.201,75 63 987.582,10 1.039.257,40
21 987.692,02 1.039.194,73 64 987.583,71 1.039.256,36
22 987.694,62 1.039.193,27 65 987.594,00 1.039.249,75
23 987.693,04 1.039.184,63 66 987.594,06 1.039.249,80
24 987.692,60 1.039.180,30 67 987.609,15 1.039.267,18
25 987.692,79 1.039.175,97 68 987.610,57 1.039.275,23
26 987.693,61 1.039.171,70 69 987.610,57 1.039.275,24
27 987.695,03 1.039.167,60 70 987.615,43 1.039.306,13
28 987.707,84 1.039.137,85 71 987.621,24 1.039.335,96
29 987.709,20 1.039.124,65 72 987.623,05 1.039.365,66
30 987.700,28 1.039.108,52 73 987.625,08 1.039.392,84
31 987.697,09 1.039.105,83 74 987.627,39 1.039.438,53
32 987.692,62 1.039.110,10 75 987.627,58 1.039.446,94
33 987.683,77 1.039.116,59 76 987.628,96 1.039.476,23
34 987.676,64 1.039.121,38 77 987.629,44 1.039.520,49
35 987.666,34 1.039.127,79 78 987.635,71 1.039.517,80
36 987.655,20 1.039.134,85 79 987.647,74 1.039.512,95
37 987.648,79 1.039.139,27 80 987.662,10 1.039.501,31
38 987.641,92 1.039.145,27 81 987.665,27 1.039.500,23
39 987.637,20 1.039.149,39 82 987.673,54 1.039.494,47
40 987.631,42 1.039.154,21 83 987.679,51 1.039.490,93
41 987.623,76 1.039.160,23 84 987.691,13 1.039.484,66
42 987.616,16 1.039.164,44 85 987.711,02 1.039.477,33
43 987.606,62 1.039.169,10
CIPIO DE AGUAZUL
ACUERDO No. _____
“POR EL CUAL SE ADOPTA LA REVISIÓN GENERAL DEL ESQUEMA DE ORDENAMIENTO TERRITORIAL DEL
MUNICIPIO DE SUBACHOQUE” EOT
11
4
CENTRO POBLADO LLANITOS 2 POLÍGONO SUR
X Y X Y
1 988.188,40 1.038.568,36 30 988.015,44 1.038.811,60
2 988.175,22 1.038.557,89 31 988.035,35 1.038.789,80
3 988.131,81 1.038.577,64 32 988.048,22 1.038.775,71
4 988.105,06 1.038.589,81 33 988.051,03 1.038.772,64
5 988.100,97 1.038.591,67 34 988.058,14 1.038.763,79
6 988.098,97 1.038.592,58 35 988.077,92 1.038.743,03
7 988.098,04 1.038.593,33 36 988.095,88 1.038.723,54
8 988.102,93 1.038.600,52 37 988.113,93 1.038.703,78
9 988.108,63 1.038.617,55 38 988.125,57 1.038.691,04
10 988.101,34 1.038.621,30 39 988.135,37 1.038.680,31
11 988.080,02 1.038.634,94 40 988.137,40 1.038.678,09
12 988.075,15 1.038.636,18 41 988.143,64 1.038.671,27
13 988.069,41 1.038.640,53 42 988.141,37 1.038.669,50
14 988.058,13 1.038.649,84 43 988.150,18 1.038.663,03
15 988.052,62 1.038.654,58 44 988.133,54 1.038.649,89
16 988.046,84 1.038.660,67 45 988.117,40 1.038.637,75
17 988.038,44 1.038.670,12 46 988.115,91 1.038.636,48
18 988.020,46 1.038.693,04 47 988.106,23 1.038.627,69
19 988.011,18 1.038.703,43 48 988.115,31 1.038.623,86
20 988.001,57 1.038.713,61 49 988.132,52 1.038.617,55
21 987.985,27 1.038.730,70 50 988.146,81 1.038.612,35
22 987.976,16 1.038.739,53 51 988.159,00 1.038.607,51
23 987.963,37 1.038.751,98 52 988.173,38 1.038.602,31
24 987.949,86 1.038.765,18 53 988.180,00 1.038.596,83
25 987.947,84 1.038.767,32 54 988.183,95 1.038.593,34
26 987.955,35 1.038.771,02 55 988.190,00 1.038.584,86
27 987.966,74 1.038.778,94 56 988.192,59 1.038.579,51
28 987.983,63 1.038.790,27 57 988.194,49 1.038.573,96
29 987.997,20 1.038.799,37 58 988.188,40 1.038.568,36
Artículo 126. DELIMITACIÓN DEL CENTRO POBLADO RURAL CASCAJAL. La delimitación del
Centro Poblado Rural Cascajal, es la siguiente:
a. Polígono del Centro Poblado Rural Cascajal
CENTRO POBLADO EL CASCAJAL
X Y X Y X Y
1 991.436,35 1.040.805,84 8 991.271,35 1.040.728,21 15 991.301,08 1.040.608,87
2 991.537,69 1.040.717,21 9 991.413,43 1.040.707,94 16 991.207,84 1.040.507,09
3 991.529,32 1.040.703,09 10 991.480,93 1.040.667,55 17 991.111,15 1.040.608,96
4 991.427,72 1.040.766,50 11 991.493,98 1.040.646,35 18 991.229,92 1.040.725,81
5 991.291,80 1.040.787,14 12 991.417,70 1.040.525,58 19 991.234,34 1.040.751,94
6 991.266,33 1.040.781,36 13 991.345,01 1.040.621,44 20 991.343,78 1.040.892,61
7 991.252,53 1.040.757,95 14 991.311,43 1.040.592,85 21 991.436,35 1.040.805,84
CIPIO DE AGUAZUL
ACUERDO No. _____
“POR EL CUAL SE ADOPTA LA REVISIÓN GENERAL DEL ESQUEMA DE ORDENAMIENTO TERRITORIAL DEL
MUNICIPIO DE SUBACHOQUE” EOT
11
5
Artículo 127. MEDIDAS DE PROTECCIÓN DE LA ESTRUCTURA ECOLÓGICA EN LOS CENTROS
POBLADOS RURALES. Para las áreas de protección de los recursos naturales existentes en
los Centros Poblados Rurales, se determinan los componentes y usos así:
Artículo 128. RONDAS DE PROTECCIÓN DE QUEBRADAS Y DEMÁS CUERPOS DE AGUA.
De conformidad con el Decreto 1449 de 1997, el Acuerdo CAR 16 de 1998 y el
Esquema de Ordenamiento Territorial del Municipio a cada lado del nivel máximo de
aguas de las quebradas y demás cuerpos de agua se define una ronda de protección de 30
mts modificable a partir de la cota máxima de inundación, el cual será realizado mediante
Decreto del Alcalde Municipal, previo concepto de la Autoridad Ambiental.
Artículo 129. MANEJO DE AGUAS RESIDUALES. Todas las viviendas existentes y
propuestas dentro del perímetro de los Centros Poblados Rurales deben tener conexión
al sistema de Alcantarillado y por ende a la Planta de Tratamiento de Aguas Residuales. En
consecuencia, los nuevos desarrollos que requieran la prolongación de las redes
principales o la construcción de redes secundarias no serán autorizados sin que se hayan
adelantado dichas obras.
Las construcciones o actividades diferentes al uso residencial que impliquen la generación
de aguas residuales deberán prever la solución de tratamiento acorde con sus
propios requerimientos para garantizar que no exista contaminación del ambiente ni de las
fuentes de agua.
Artículo 130. MANEJO AMBIENTAL DE LAS ACTIVIDADES PRODUCTIVAS. Las
actividades productivas desarrolladas al interior de los Centros Poblados, en especial las
pecuarias deberán garantizar óptimas condiciones sanitarias y ambientales, de tal forma
que no impliquen afectación a los vecinos por olores, ruidos o desechos, dando
cumplimiento a las normas ambientales y sanitarias aplicables. En caso contrario, no
podrán ser autorizadas o se exigirán lotes de mayor tamaño que permitan generar los
aislamientos suficientes para mitigar los impactos generados.
Artículo 131. CARACTERIZACIÓN DEL PAISAJE. El paisaje de los Centros Poblados ha de
conservarse de tipo rural, de tal forma que elementos como la protección de los
recursos naturales, los aislamientos entre construcciones y respecto a la vía, la
arborización, las huertas, los cerramientos transparentes o en cerca viva y la
arquitectura acorde con el medio, constituyen requisito fundamental de todo proyecto
que pretenda adelantarse.
Artículo 132. USOS DE LAS ÁREAS DE CONSERVACIÓN DEL SISTEMA HÍDRICO. Los usos de
las áreas de conservación del sistema hídrico son los que se indican a continuación:
AREAS DE CONSERVACION DEL SISTEMA HIDRICO
Uso Principal
Conservación de suelos y restauración de la vegetación adecuada para la protección de los
mismos; conformación de la malla ambiental.
Usos Compatibles Recreación pasiva o contemplativa.
Usos Condicionados
Instalación de redes de servicios públicos, construcción de obras de protección de las
márgenes, senderos de tránsito peatonal, estructuras requeridas para la continuidad de la
malla vial.
Usos Prohibidos Los demás
CIPIO DE AGUAZUL
ACUERDO No. _____
“POR EL CUAL SE ADOPTA LA REVISIÓN GENERAL DEL ESQUEMA DE ORDENAMIENTO TERRITORIAL DEL
MUNICIPIO DE SUBACHOQUE” EOT
11
6
Artículo 133. USOS DE LAS ÁREAS DE PROTECCIÓN DE INFRAESTRUCTURA DE SERVICIOS
PÚBLICOS. Los usos de las áreas de protección de la infraestructura de servicios públicos
son los que se indican a continuación:
AREA DE PROTECCION DE INFRAESTRUCTURA DE SERVICIOS PUBLICOS
Uso Principal
Infraestructura para los sistemas de conducción y distribución de agua potable,
recolección y tratamiento de vertimientos líquidos, conducción y distribución de energía
eléctrica y gas domiciliario.
Usos Compatibles
Conservación de suelos y restauración de la vegetación adecuada para la protección de los
mismos.
Usos Condicionados Recreación pasiva o contemplativa.
Usos Prohibidos Todos los demás.
Artículo 134. USOS EN LOS CENTROS POBLADOS RURALES. Se definen los siguientes usos
para los predios que conforman los centros poblados:
SUELO RURAL - CENTROS POBLADOS Ficha No. NUG – R – 15
USOS
Uso Principal Vivienda unifamiliar, agrupada.
Usos Compatibles Comercio y Servicios Grupo I, Dotacional Grupo I.
Usos Condicionados Dotacional Grupo II.
Usos Prohibidos Los demás.
Artículo 135. NORMAS PARA TRATAMIENTO DESARROLLO POR DE PARCELACIÓN EN LOS
CENTROS POBLADOS RURALES. MODALIDADES DE DESARROLLO. Para el desarrollo y
consolidación de los Centros Poblados Rurales podrá optarse por una o varias de las
siguientes modalidades:
1. Individual en lotes existentes: Corresponde al desarrollo de construcciones únicas
en predios ya conformados con respaldo jurídico como cuerpo cierto o a la
adecuación o ampliación de las edificaciones existentes, en cumplimiento de los
índices de ocupación y parámetros de construcción definidos en el presente acuerdo.
2. Dispersa por loteo: Corresponde a procesos de subdivisión de predios existentes
para generar lotes individuales a partir de los cuales se tramitarán licencias de
construcción independientes.
3. Agrupada por proyecto: Corresponde a proyectos de parcelación en los cuales
las unidades privadas mantendrán vínculos relacionados con accesos, servicios, áreas
de uso comunal o sistemas estructurales compartidos, los cuales serán objeto de
reglamento de copropiedad de conformidad con lo establecido en la Ley de
propiedad horizontal. Una vez aprobado el proyecto de agrupación las unidades
privadas y comunales adquirirán la calidad de indivisibles, la cual se registrará en los
folios de matrículas inmobiliarias.
CIPIO DE AGUAZUL
ACUERDO No. _____
“POR EL CUAL SE ADOPTA LA REVISIÓN GENERAL DEL ESQUEMA DE ORDENAMIENTO TERRITORIAL DEL
MUNICIPIO DE SUBACHOQUE” EOT
11
7
Artículo 136. TIPOLOGÍA DE CONSTRUCCIONES. En los Centros Poblados Rurales
únicamente se desarrollarán construcciones para viviendas unifamiliares y las requeridas
para los usos dotacionales, comerciales, de servicios, de equipamiento o anexas a las
actividades principales, estando todas ellas restringidas a la adaptación con el
ambiente rural y a la armonización con los parámetros arquitectónicos y de
ocupación definidos para las demás construcciones.
Las nuevas edificaciones que se autoricen atenderán a alguna de las siguientes
tipologías:
1. Aisladas: Construcciones localizadas dentro del predio de tal forma que generan en
todos los costados aislamientos libres de todo tipo de estructura o cubierta. La
tipología aislada requiere el diseño de fachadas para todos los costados de la
construcción.
2. Adosadas: Construcciones pertenecientes a predios colindantes que se localizan de tal
forma que sobre el lindero común existen estructuras o cubiertas que no permiten
un aislamiento total.
En los Centros Poblados Rurales, se permitirá el adosamiento de máximo dos (2)
viviendas, de tal forma que cada una de ellas requiere el diseño de fachadas en todos sus
costados excepto en el costado o la parte del costado que se adose.
La aprobación de proyectos adosados en desarrollos individuales contará con el
consentimiento expreso del propietario colindante, de tal forma que se garantice el empate
de diseños y fachadas.
Artículo 137. SUBDIVISIÓN DE PREDIOS Y LOTES MÍNIMOS. A partir de la entrada en vigencia
del presente acuerdo no podrán autorizarse divisiones de predios por debajo de las áreas
mínimas que se definen.
La invocación de las excepciones legales para destinación a vivienda, sucesiones y demás
casos previstos en la Ley 160 de 1994 que no cumplan con las áreas mínimas de subdivisión,
deberán acogerse por una sola vez a la opción de proyecto de agrupación con reglamento
de copropiedad y adquiriendo los predios resultantes la calidad de indivisibles.
Las subdivisiones prediales y las posesiones que no cuenten con títulos de propiedad
debidamente registrados y que no cumplan con las áreas mínimas establecidas, solo podrán
ser saneados previa legalización de sus derechos mediante proyectos de agrupación a
partir del área del predio de mayor extensión con título. Los predios existentes a los cuales
correspondan títulos de propiedad como cuerpo cierto debidamente registrado, se
acogerán a la reglamentación especial de construcción establecida para estos y no podrán
subdividirse bajo ninguna circunstancia.
Podrán autorizarse subdivisiones diferentes, con la exclusiva finalidad de regularizar la
configuración de parcelas colindantes mediante la segregación y simultánea agregación
en divisiones prediales existentes. En ningún caso esta regularización podrá implicar
CIPIO DE AGUAZUL
ACUERDO No. _____
“POR EL CUAL SE ADOPTA LA REVISIÓN GENERAL DEL ESQUEMA DE ORDENAMIENTO TERRITORIAL DEL
MUNICIPIO DE SUBACHOQUE” EOT
11
8
disminución del área de las parcelas originarias por debajo del mínimo exigido dentro del
centro poblado y siempre que no altere la conformación de espacios públicos y aislamientos
exigidos.
Se definen como áreas mínimas de subdivisión predial en el Centro Poblado Galdámez las
siguientes:
a. Subdivisión por loteo: lotes de un área mínima de trescientos metros cuadrados (300
m2) con frente mínimo sobre la vía de doce punto cincuenta metros (12.50m).
b. Parcelación en agrupación: unidades privadas con un área mínima de doscientos
cincuenta metros cuadrados (250m2)
c. Índice máximo de ocupación: 80%
d. Índice de construcción: 160% (2 pisos)
Se definen como áreas mínimas de subdivisión predial en los Centros Poblados Llanitos y
Cascajal las siguientes:
a. Subdivisión por loteo: lotes de un área mínima de mil quinientos metros cuadrados
(1.500 m2) con frente mínimo sobre la vía de doce punto quince metros (15 m).
b. Parcelación en agrupación: unidades privadas con un área mínima de doscientos
cincuenta metros cuadrados (250m2)
c. Índice máximo de ocupación: 20%
d. Índice de construcción: 40% (2 pisos)
El número de unidades privadas en proyectos de agrupación será el resultante de cumplir las
áreas mínimas después de descontar los requerimientos de accesos internos, circulaciones,
áreas de protección y servicios públicos y comunales del proyecto.
Cuando las áreas de protección ambiental por rondas, bosques o pendientes afecten
considerablemente el área útil del proyecto o ante otras circunstancias que así lo ameriten,
podrán considerarse áreas inferiores para las unidades privadas, siempre que no se pierda el
carácter rural de los predios y se garanticen los índices de ocupación y habitabilidad.
Artículo 138. REQUERIMIENTOS MÍNIMOS PARA PROYECTOS DE AGRUPACIÓN. Para
la autorización de construcciones de agrupación será exigible la aprobación de la
respectiva licencia de parcelación, las reservas de áreas comunes y la construcción de
las soluciones sanitarias comunes, estando las demás obras de urbanismo sujetas a la
vigencia de la licencia. El diseño de proyectos de agrupación contará con los siguientes
requerimientos adicionales a los propios de las construcciones en general:
1. Acceso directo por vía
CIPIO DE AGUAZUL
ACUERDO No. _____
“POR EL CUAL SE ADOPTA LA REVISIÓN GENERAL DEL ESQUEMA DE ORDENAMIENTO TERRITORIAL DEL
MUNICIPIO DE SUBACHOQUE” EOT
11
9
pública.
2. Autosuficiencia para la prestación de los servicios
públicos
3. Aislamiento perimetral del proyecto de mínimo cinco (5) metros con relación a los
vecinos y a la vía.
4. Acceso mediante vía vehicular o peatonal interna para cada una de las unidades
privadas y construcciones de uso comunal.
5. Previsión de zonas comunales destinadas a parqueaderos, usos comerciales,
servicios asistenciales o administrativos, sitios de encuentro y de recreación de los
habitantes y otros que resulten acordes con la magnitud del proyecto de conformidad
con los criterios que se establezcan por la Secretaría de Planeación.
Artículo 139. PREDIOS EDIFICABLES. Los predios segregados a partir de la entrada en
vigencia del presente Acuerdo sólo serán edificables si cumplen con las áreas mínimas
establecidas o autorizadas.
Tanto los predios nuevos como los existentes con títulos de propiedad como cuerpo
cierto debidamente registrados podrán obtener licencia de construcción si cumplen con los
siguientes requisitos:
1. Existe certeza jurídica sobre el inmueble como cuerpo cierto que cumple las áreas mínimas
o autorizadas.
2.No existe en el predio otra construcción que se considere como principal y que se esté
destinando o se vaya a destinar a vivienda, excepto cuando se trate de proyectos de
ampliación en cumplimiento de los índices de ocupación y construcción o cuando la solicitud
sea para adelantar construcciones anexas no destinadas a vivienda.
Artículo 140. PLAN VIAL. Con el propósito de garantizar la movilidad dentro de los Centros
Poblados Rurales y el acceso mediante vía pública a los nuevos desarrollos se
definen proyecciones viales que para efectos del diseño urbanístico conforman el
manzaneo del Centro Poblado sin perder por ello su carácter de vías rurales.
Las proyecciones contempladas en el Plan Vial constituyen espacio público, razón por la
cual serán objeto de cesión obligatoria
Artículo 141. PERFILES VIALES. Las vías proyectadas en el Plan Vial de los Centros Poblados
Rurales y las que se propongan en razón al desarrollo de proyectos urbanísticos se
ajustarán a los siguientes perfiles:
1. Vía De Penetración Centro Poblado. VPCP. Conecta al Centro Poblado con el área urbana
del municipio, con las veredas o con las vías Departamentales o de Penetración Rural.
• Ancho mínimo diez (10) metros
• Ancho mínimo de calzada siete (7) metros
CIPIO DE AGUAZUL
ACUERDO No. _____
“POR EL CUAL SE ADOPTA LA REVISIÓN GENERAL DEL ESQUEMA DE ORDENAMIENTO TERRITORIAL DEL
MUNICIPIO DE SUBACHOQUE” EOT
12
0
• Cuneta de Uno y medio (1.5) metros de ancho a cada lado de la calzada.
• Tratamiento en asfalto o recebo compactado.
2. Vía Local Centro Poblado. VLCP. Son las vías de tráfico local del Centro Poblado que
conectan con las vías de penetración del Centro Poblado.
 Ancho mínimo cinco (5) metros
• Ancho de calzada cuatro (4) metros
• Cuneta de 50 Cms (0.50) de ancho a cada lado de la calzada.
• Tratamiento en recebo compactado o huellas de cemento.
3. Vía Peatonal Centro Poblado. Son las vías de tráfico peatonal al interior de proyectos
de vivienda agrupada o donde las condiciones físicas o ambientales no hagan viable
otro tipo de vía para permitir el acceso a los predios.
• Ancho mínimo tres (3) metros
• Cunetas de cincuenta (50) centímetros u otro diseño para manejo de aguas lluvias
a cada lado.
• En el diseño del perfil deberá incluirse arborización o zonas verdes.
• Podrá desarrollarse en terrazas o escalinatas cuando la topografía lo
amerite, garantizándose en todo caso la supresión de barreras para personas con
movilidad reducida.
• Tratamiento en piso duro con materiales antideslizantes.
4. Vías Internas para Agrupación Rural. VIAR. Son las vías de tráfico interno en proyectos
de vivienda u otros desarrollos agrupados en suelo rural.
• Ancho mínimo seis (6) metros
• Ancho de calzada cinco (5) metros
• Cunetas de cincuenta (50) centímetros a cada lado de la calzada.
• Zona verde de circulación peatonal de dos (2) metros en uno de los costados de la
vía o de un (1) metro a cada lado.
• Tratamiento en Huellas de recebo o piso duro de Uno, Dos y Un metros, separados
por zonas verdes de Cero punto Cincuenta (0.50) metros.
• En caso de plantearse en el proyecto circuito de entrada y salida el ancho de
calzada puede reducirse hasta tres (3) metros, manteniendo el tratamiento de
huellas separadas por zona verde.
Artículo 142. OBLIGACIONES DE LOS PROPIETARIOS EN RELACIÓN CON LA MALLA
VIAL. Los propietarios y los diseñadores tendrán en cuenta para el desarrollo o
normalización de los predios las siguientes obligaciones:
1. Todos los predios existentes o segregados al interior del Centro Poblado contarán
con acceso directo desde la vía pública vehicular o peatonal. En los casos de
agrupaciones las unidades privadas contarán con acceso directo desde la vía
CIPIO DE AGUAZUL
ACUERDO No. _____
“POR EL CUAL SE ADOPTA LA REVISIÓN GENERAL DEL ESQUEMA DE ORDENAMIENTO TERRITORIAL DEL
MUNICIPIO DE SUBACHOQUE” EOT
12
1
interna de la agrupación vehicular o peatonal. En ningún caso existirán
servidumbres de acceso ni accesos compartidos que no se sometan a reglamento
de copropiedad.
2. Prever las acometidas de las redes de servicios, desde o hacia las redes
principales garantizando la continuidad de las cunetas y desagües.
3. Generar los aislamientos ambientales requeridos con respecto a las vías y
conservarlos en debida forma.
4. Empatar las vías internas de los proyectos a la red vial general y garantizar la
continuidad de los circuitos peatonales o de movilidad alternativa y los accesos a
los espacios públicos existentes y proyectados.
5. Adecuar las vías, accesos y construcciones existentes a los correspondientes
perfiles y aislamientos viales. En los casos en los que se presente grave dificultad
para ello, se deberán diseñar los empates, acondicionamientos y/o
compensaciones necesarios, los cuales serán aprobados por la Secretaría de
Planeación Municipal.
6. Ceder, construir y/o compensar las áreas y obras del sistema vial que corresponda a
los desarrollos urbanísticos propuestos.
Artículo 143. REDES DE SERVICIOS PÚBLICOS. Todos los predios de los Centros Poblados
Rurales deben contar con servicios públicos domiciliarios para permitir su desarrollo. La
infraestructura para la prestación de los servicios públicos será responsabilidad de las
empresas prestadoras y de los proponentes de los proyectos de parcelación, loteo
y/o construcción.
Artículo 144. SISTEMA DE ESPACIO PÚBLICO Y EQUIPAMIENTOS. El desarrollo del Centro
Poblado Rural requiere la generación de espacios públicos y equipamientos comunales
para lo cual el diseño urbanístico prevé la proyección de espacios libres a partir de
los cuales se puedan satisfacer las necesidades de este tipo.
Para la utilización de dichos espacios se aplicarán los mecanismos legales de cesión
obligatoria, enajenación voluntaria, enajenación forzosa o expropiación administrativa,
así como las compensaciones o indemnizaciones a que haya lugar en razón al reparto
equitativo de cargas y beneficios.
Constituyen espacio público de conformidad con el Decreto 1504 de 1998 los siguientes
aspectos:
 Los bienes de uso público, es decir los inmuebles de dominio público cuyo uso
pertenece a todos los habitantes, destinados al uso y disfrute colectivo.
 Los elementos arquitectónicos, espaciales y naturales de los inmuebles de
propiedad privada que por su naturaleza, uso o afectación satisfacen las necesidades de
uso público
 Las áreas requeridas para la conformación del sistema de espacio público conformado
por
 elementos como las áreas para la conservación y preservación del sistema orográfico
o hídrico, los sistemas de circulación peatonal y vehicular, las áreas articuladoras de
CIPIO DE AGUAZUL
ACUERDO No. _____
“POR EL CUAL SE ADOPTA LA REVISIÓN GENERAL DEL ESQUEMA DE ORDENAMIENTO TERRITORIAL DEL
MUNICIPIO DE SUBACHOQUE” EOT
12
2
espacio público y de encuentro, las áreas para la conservación y preservación de las obras
de interés público, los antejardines de propiedad privada, los componentes de la
vegetación natural o intervenida para la arborización y protección del paisaje, el
mobiliario urbano, los elementos de señalización y los demás señalados por las normas
superiores relacionadas con espacio público.
Parágrafo: La administración municipal habilitará un predio con destino a espacio público
efectivo para uso de los habitantes de Centro poblado.
Artículo 145. Al interior de los centros poblados de Llanitos 2 y de Galdamez se identificaron
áreas con condición de Riesgo por Remoción en masa (Llanitos 2. Ver mapa G-07) y áreas con
condición de riesgo por Inundación (Galdamez. Ver Mapa GR-08), debido a ello en las áreas
identificadas en los Mapas G-07 y G-08, no se podrán adelantar procesos de licenciamiento
para demolición y obra nueva, modificación, ampliación ni ninguna otra modalidad de licencia
hasta tanto no se haya realizado el estudio de detalle de riesgo por inundación (Galdamez) y
por remoción en masa (Llanitos), para la zona delimitada donde se defina si existe riesgo
mitigable o no mitigable y cuáles serían las obras de mitigación en caso de que apliquen las
obras. La reglamentación de norma se aplicará solamente si posterior al estudio de detalle
de riesgo por inundación y el estudio de detalle por remoción en masa que debe hacerse
para estos dos centros poblados, se realizan las obras de mitigación para el riesgo. Si el
estudio de detalle arroja que el riesgo no es mitigable, la normativa descrita en los cuadros
de norma no es procedente.
CAPÍTULO IX
GESTIÓN DEL RIESGO EN EL ÁREA RURAL
Artículo 146. INCORPORACIÓN DE LA GESTIÓN DEL RIESGO DE DESASTRES EN EL EOT. La
metodología para la incorporación de procesos amenazantes de origen natural en el
ordenamiento territorial, partió de la identificación de los procesos amenazantes presentes
en el territorio, utilizando la información secundaria disponible (estudios de amenaza,
vulnerabilidad y riesgo por movimientos en masa, inundación, avenida torrencial e
incendios forestales en los municipios priorizados en jurisdicción de la corporación
autónoma regional de Cundinamarca CAR, contrato de consultoría 1185-2013 CAR).
Artículo 147. DELIMITACIÓN Y ZONIFICACIÓN DE AMENAZAS Son áreas que por su ubicación
o por sus características geomorfológicas y geotécnicas, son susceptibles de sufrir eventos,
como:
 Movimientos en masa
 Inundaciones
 Incendios Forestales
Estas áreas se precisan para el Municipio de Subachoque según los estudios básicos de gestión del
riesgo, en las que dan cuenta de los fenómenos que a continuación se enuncian y sobre los cuales
CIPIO DE AGUAZUL
ACUERDO No. _____
“POR EL CUAL SE ADOPTA LA REVISIÓN GENERAL DEL ESQUEMA DE ORDENAMIENTO TERRITORIAL DEL
MUNICIPIO DE SUBACHOQUE” EOT
12
3
se toman medidas no estructurales en el EOT y que fueron espacializadas en los mapas GR-01, GR-
03 y GR-05 amenaza por remoción en masa, inundación e incendios forestales respectivamente
Artículo 148. ZONAS O ÁREAS EN AMENAZA POR FENÓMENOS DE REMOCIÓN EN MASA
RURAL. Las áreas en amenaza por fenómenos de remoción en masa corresponden a las
zonas potenciales de riesgo para la ubicación de asentamientos humanos, donde la
intervención humana se considera un factor que puede alterar las condiciones de riesgo.
Parágrafo Primero: Las zonas o áreas del área rural a que hace referencia el presente artículo
se encuentran espacializadas en los Mapas GR-01 "Amenaza por Remoción en Masa Rural”
Artículo 149. ZONAS CON CONDICIÓN DE AMENAZA POR FENOMENO DE MOVIMIENTOS EN
MASA RURAL. Corresponden a las zonas de catalogadas como de amenaza, media y alta
que se consideren como objeto de desarrollo en el suelo rural del Municipio de
Subachoque.
Parágrafo. Según los lineamientos establecidos por el Decreto 1807 de 2014 para determinar las
áreas con condición de amenaza, para el área rural del municipio de Subachoque NO se tienen
áreas con condición de amenaza por remoción en masa ni cartografía asociada.
Artículo 150. ZONIFICACIÓN DE AMENAZA POR FENÓMENOS DE INUNDACIÓN RURAL.
Corresponde a las zonas o áreas donde existe una probabilidad de ocurrencia de
inundaciones por desbordamiento de cauces naturales y/o cuerpos de agua intervenidos
asociados a periodo de retorno, a la altura de la lámina de agua con efectos potencialmente
dañinos.
Parágrafo Primero: Las zonas o áreas del área rural a que hace referencia el presente artículo
se encuentran espacializadas en los Mapas GR-03 "Amenaza por Inundación Rural”
Artículo 151. ÁREAS CON CONDICIÓN DE AMENAZA POR INUNDACIÓN RURAL:
Corresponden a las zonas de catalogadas como de amenaza, media y alta que se
consideren como objeto de desarrollo en el suelo rural del Municipio de Subachoque.
Parágrafo. Las zonas o áreas a las que hace referencia el presente artículo, se encuentran
espacializadas en el Mapa GR-06 "Áreas con condición de amenaza por fenómeno de
inundación".
Parágrafo Segundo: Las coordenadas de las áreas con condición amenaza por inundación son
las siguientes:
TABLA DE COORDENADAS
ÁREAS CON CONDICIÓN DE AMENAZA POR INUNDACIÓN
COORDENADA X COORDENADA Y
988.982,89 1.036.464,59
989.097,00 1.036.443,41
989.072,06 1.036.416,35
CIPIO DE AGUAZUL
ACUERDO No. _____
“POR EL CUAL SE ADOPTA LA REVISIÓN GENERAL DEL ESQUEMA DE ORDENAMIENTO TERRITORIAL DEL
MUNICIPIO DE SUBACHOQUE” EOT
12
4
TABLA DE COORDENADAS
ÁREAS CON CONDICIÓN DE AMENAZA POR INUNDACIÓN
COORDENADA X COORDENADA Y
988.940,86 1.036.456,54
988.907,51 1.036.506,53
988.779,70 1.036.583,25
988.759,12 1.036.640,35
988.724,48 1.036.674,64
988.739,99 1.036.688,48
988.804,27 1.036.600,31
988.876,93 1.036.571,38
988.940,92 1.036.491,01
988.982,89 1.036.464,59
Artículo 152. ZONAS O ÁREAS EN AMENAZA POR INCENDIOS FORESTALES EN ZONA RURAL:
Los incendios y conatos de incendios son temas muy comunes debido al aumento de los
registros dados por su incremento en frecuencia y área afectada, así como en los impactos
generados (Parra, 2011) evaluado. Según lo desarrollado por la consultora AVR (2015) para
el análisis de la amenaza se tuvo en cuenta los factores climáticos, de relieve, históricos
(Conforme a la existencia y disponibilidad de reportes históricos de incendios en el
municipio, la información obtenida para el análisis de este factor es considerada como
elemento de corroboración dentro del análisis de amenaza), de accesibilidad y la
susceptibilidad de las coberturas vegetales a incendios
Parágrafo primero: Las zonas o áreas a las que hace referencia el presente artículo, se
encuentran espacializadas en el Mapa GR-15 "Amenaza por incendios forestales".
Artículo 153. ÁREAS CON CONDICIÓN DE AMENAZA POR INCENDIOS FORESTALES EN ZONA
RURAL: Corresponden a las zonas de catalogadas como de amenaza, media y alta que se
consideren como objeto de desarrollo en el suelo rural del Municipio de Subachoque.
Parágrafo. Dado que no existen áreas con condición de amenaza por incendios forestales en el
área rural, no se presentan planos asociados a esta temática.
Artículo 154. ÁREAS CON CONDICIÓN DE RIESGO POR FENÓMENOS DE REMOCIÓN EN
MASA RURAL. Son las zonas que fueron determinadas en amenaza alta que actualmente se
encuentran ocupadas y corresponden al sector denominado Llanitos ,en las cuales deben
desarrollarse estudios de riesgo detallados que determinen cuales son las medidas de
intervención estructurales y no estructurales que deben desarrollarse en las mismas.
Parágrafo Primero. Las zonas o áreas a las que hace referencia el presente artículo, se
encuentran espacializadas en el Mapa GR-07 "Áreas con condición de riesgo por fenómeno de
remoción en masa".
Parágrafo Segundo: Las coordenadas de las áreas con condición riesgo por remoción en masa
son las siguientes:
CIPIO DE AGUAZUL
ACUERDO No. _____
“POR EL CUAL SE ADOPTA LA REVISIÓN GENERAL DEL ESQUEMA DE ORDENAMIENTO TERRITORIAL DEL
MUNICIPIO DE SUBACHOQUE” EOT
12
5
TABLA DE COORDENADAS
ÁREAS CON CONDICIÓN DE RIESGO POR REMOCIÓN
COORDENADA X COORDENADA Y
987.711,0168 1.039.477,3345
987.749,4726 1.039.478,1808
987.747,7151 1.039.438,2530
987.743,2339 1.039.430,8444
987.649,6074 1.039.447,6692
987.679,7798 1.039.305,3936
987.652,6473 1.039.311,0070
987.645,7136 1.039.253,4224
987.610,7670 1.039.257,9893
987.593,4185 1.039.237,5741
987.647,8167 1.039.206,7806
987.654,0667 1.039.214,8991
987.679,4599 1.039.201,7462
987.694,6216 1.039.193,2748
987.692,8244 1.039.182,4987
987.597,3915 1.039.226,9277
987.548,1395 1.039.199,2663
987.485,5270 1.039.238,1919
987.454,5679 1.039.279,5214
987.473,1627 1.039.327,3546
987.594,0033 1.039.249,7518
987.609,1451 1.039.267,1821
987.629,4443 1.039.520,4875
987.711,0168 1.039.477,3345
Artículo 155. ÁREAS CON CONDICIÓN DE RIESGO POR INUNDACIÓN RURAL. Corresponden a
las áreas de amenaza alta por inundación que se encuentran ocupadas con viviendas e
infraestructura en la zona rural, se encuentra en esta condición el sector del centro poblado
rural Galdamez,
Parágrafo primero: Las zonas del área rural a las que hace referencia el presente artículo, se
encuentran espacializadas en el Mapa GR-08 "Áreas con condición de riesgo por inundación".
Parágrafo Segundo: Las coordenadas de las áreas con condición riesgo por inundación son las
siguientes:
TABLA DE COORDENADAS
ÁREAS CON CONDICIÓN DE RIESGO POR INUNDACIÓN
COORDENADA X COORDENADA Y
991.405,1828 1.035.414,8447
991.400,0524 1.035.417,9256
991.397,0161 1.035.423,3662
991.405,1828 1.035.414,8447
991.553,0642 1.035.330,8516
991.571,0727 1.035.303,0764
991.560,6989 1.035.290,3914
991.508,2986 1.035.322,4453
CIPIO DE AGUAZUL
ACUERDO No. _____
“POR EL CUAL SE ADOPTA LA REVISIÓN GENERAL DEL ESQUEMA DE ORDENAMIENTO TERRITORIAL DEL
MUNICIPIO DE SUBACHOQUE” EOT
12
6
TABLA DE COORDENADAS
ÁREAS CON CONDICIÓN DE RIESGO POR INUNDACIÓN
COORDENADA X COORDENADA Y
991.545,2476 1.035.283,7095
991.544,7290 1.035.261,4710
991.528,8322 1.035.253,3041
991.486,0074 1.035.328,1387
991.553,0642 1.035.330,8516
991.670,8125 1.035.325,7118
991.660,9746 1.035.324,1925
991.652,5588 1.035.328,6431
991.670,8125 1.035.325,7118
991.462,2310 1.035.135,0103
991.429,5585 1.035.122,0616
991.444,9814 1.035.179,7674
991.469,8932 1.035.177,6210
991.491,8184 1.035.141,5371
991.462,2310 1.035.135,0103
Artículo 156. ÁREAS CON CONDICIÓN DE RIESGO POR INCENDIOS FORESTALES EN ZONA
RURAL. Corresponden a las áreas de amenaza alta por Incendios Forestales que se
encuentran ocupadas con viviendas e infraestructura en la zona rural, en esta condición se
encuentran los sectores rurales de Llanitos. Las áreas que abarcan los centros poblados
rurales de Llanitos y Llanitos 2, se encuentran en un área con condición de amenaza por
incendios forestales, esto se debe principalmente a que el estudio de incendios forestales
se encuentra a escala 1:25.000 para el área rural (AVR-CAR, 2015) Las áreas propiamente
dichas de los centros poblados rurales y sus áreas aledañas cuentan con una cobertura
vegetal y arbustiva muy baja. Sin embargo se utiliza el estudio de incendios forestales como
insumo para la definición de áreas con condición de riesgo por incendios forestales.
Aun cuando en los centros poblados rurales se haya determinado un área con condición de
riesgo por incendios forestales, según el capítulo II del decreto 1807 de 2014, condiciones
técnicas para la elaboración de estudios detallados, dichos estudios aplican para fenómenos de
movimientos en masa, inundaciones y avenidas torrenciales, por lo que para el desarrollo del
desarrollo de los centros poblados rurales de llanitos y Llanitos 2 (la mayor parte de ellos
consolidados) no será necesario realizar un estudio detallado para las áreas con condición de
riesgo por incendios forestales, sin embargo se deberá reconocer esta condición de riesgo y
responder a esta mediante estrategias preventivas.
Parágrafo primero: Las zonas del área rural a las que hace referencia el presente artículo, se
encuentran espacializadas en el Mapa GR-09 "Áreas con condición de riesgo por incendios
Forestales".
Parágrafo Segundo: Las coordenadas de las áreas con condición riesgo por incendios
forestales son las siguientes:
CIPIO DE AGUAZUL
ACUERDO No. _____
“POR EL CUAL SE ADOPTA LA REVISIÓN GENERAL DEL ESQUEMA DE ORDENAMIENTO TERRITORIAL DEL
MUNICIPIO DE SUBACHOQUE” EOT
12
7
TABLA DE COORDENADAS
ÁREAS CON CONDICIÓN DE RIESGO POR INCENDIOS FORESTALES
COORDENADA X COORDENADA Y COORDENADA X COORDENADA Y
987.711,0168 1.039.477,3345 988.781,1868 1.037.751,9121
987.749,4726 1.039.478,1808 989.002,2123 1.037.247,1665
987.750,6420 1.039.456,9510 988.950,9198 1.037.220,9462
987.737,0980 1.039.420,7001 988.927,1379 1.037.148,8824
987.709,7347 1.039.400,6664 988.878,4496 1.037.228,1109
987.713,8246 1.039.362,6492 988.707,3753 1.037.741,3980
987.680,8384 1.039.305,1746 988.640,6172 1.037.884,5398
987.652,6473 1.039.311,0070 988.529,3233 1.037.915,0312
987.645,7136 1.039.253,4224 988.592,9083 1.038.010,9414
987.610,7670 1.039.257,9893 988.781,1868 1.037.751,9121
987.593,4185 1.039.237,5741
987.694,6216 1.039.193,2748 988.188,4021 1.038.568,3625
987.709,1993 1.039.124,6497 988.175,2210 1.038.557,8860
987.697,0902 1.039.105,8325 988.098,0391 1.038.593,3280
987.485,5270 1.039.238,1919 988.108,6309 1.038.617,5497
987.454,5679 1.039.279,5214 988.052,6236 1.038.654,5798
987.473,1627 1.039.327,3546 987.947,8379 1.038.767,3219
987.594,0033 1.039.249,7518 988.015,4420 1.038.811,6010
987.621,2377 1.039.335,9621 988.150,1750 1.038.663,0320
987.629,4443 1.039.520,4875 988.106,2329 1.038.627,6885
987.711,0168 1.039.477,3345 988.173,3754 1.038.602,3148
988.188,4021 1.038.568,3625
991.120,2171 1.040.603,7091
991.111,1485 1.040.608,9588
991.122,5837 1.040.619,1973
991.120,2171 1.040.603,7091
Artículo 157. MEDIDAS NO ESTRUCTURALES PARA LA REDUCCIÓN DEL RIESGO EN ZONAS
CON CONDICIONES DE AMENAZAS. Sin importar el fenómeno originador o causante de la
amenaza, vulnerabilidad y el riesgo son normas comunes para las áreas identificadas en
estudios técnicos de detalle como de amenaza alta y muy alta las siguientes:
 Las áreas identificadas como de riesgo no mitigable como resultado de los estudios de
detalle, en suelo rural y urbano se consideran suelos de protección y hacen parte de la
Estructura Ecológica Principal del Municipio.
 En las áreas identificadas con condición de amenaza alta en suelo rural y urbano se
prohíbe la localización de asentamientos humanos, hasta se realice el estudio de detalle
que señala el Decreto 1807 de 2014 a cargo del municipio y/o el urbanizador o
desarrollador responsable.
 Relocalización de la población asentada y los equipamientos colectivos existentes en
zonas con condición de riesgo, de manera posterior al resultado definido en el
inventario de asentamientos humanos en zonas de riesgo no mitigable que deberá
realizar el municipio en el corto plazo de la vigencia del EOT según lo establece la
CIPIO DE AGUAZUL
ACUERDO No. _____
“POR EL CUAL SE ADOPTA LA REVISIÓN GENERAL DEL ESQUEMA DE ORDENAMIENTO TERRITORIAL DEL
MUNICIPIO DE SUBACHOQUE” EOT
12
8
Resolución 448 de 2014 del Ministerio de Vivienda, Ciudad y Territorio, y de los estudios
o análisis de vulnerabilidad de elementos expuestos para los equipamientos.
 En las áreas identificadas con condición de amenaza alta y condición de riesgo en suelo
rural y urbano se prohíbe la nueva localización de infraestructuras, equipamientos y
edificaciones para la atención o servicio.
 En las áreas identificadas como con condición de amenaza media en suelo rural y
urbano susceptibles o con potencial de desarrollo productivo, agrario, urbanístico, se
tomarán las medidas técnicas requeridas para la reducción y prevención del riesgo
según estudio técnico de riesgo a cargo de cada propietario o desarrollador, las cuales
serán siempre incluidas en los permisos autorizaciones y licencias urbanísticas y
ambientales que otorguen sobre dichos suelos el Municipio o la Corporación Autónoma
Regional de Cundinamarca CAR según su jurisdicción y competencias.
Artículo 158. ACCIONES PARA LA REDUCCIÓN DEL RIESGO
 Desarrollar un sistema de información y monitoreo de fenómenos que permita llevar a
cabo análisis espacio temporales para evaluar e intervenir los sectores críticos por
inundaciones y remoción en masa.
 Declarar como suelos de protección por riesgo las áreas localizadas en áreas que han
sido categorizadas con condición de riesgo por remoción en masa e inundación.
 Realizar estudios de detalle en las áreas determinadas con condición de amenaza y
riesgo orientados a determinar las zonas de alto riesgo mitigable y no mitigable por
fenómenos de remoción en masa.
 Para las áreas con condición de riesgo por inundación priorizar la realización de estudio
técnicos detallados que permitan determinar las categorías de riesgo, alto, alto
mitigable y alto no mitigable.
 Desarrollar las medidas de intervención estructural como construcción de obras de
drenaje para el manejo adecuado de aguas de escorrentía superficial en las áreas con
condición de riesgo identificadas; diseño y construcción de estructuras de contención
como muros, pantallas y gaviones en las áreas con condición de riesgo por remoción en
masa; realizar acciones de mejoramiento integral de barrios en las zonas con condición
de amenaza; adelantar acciones de reasentamiento sobre los sectores que sean
categorizados como de riesgo alto No Mitigable.
 Recuperación de rondas hídricas como medida de contención ante fenómenos de
inundación; desarrollar acciones de recuperación y paisajismo sobre las rondas rio
Subachoque, los drenajes; recuperación de suelos sobre aquellos sectores que se
encuentran erosionados con el objetivo de contener los posibles efectos que ocasiona
la amenaza por remoción en masa; ampliación, adecuación y mantenimiento de
CIPIO DE AGUAZUL
ACUERDO No. _____
“POR EL CUAL SE ADOPTA LA REVISIÓN GENERAL DEL ESQUEMA DE ORDENAMIENTO TERRITORIAL DEL
MUNICIPIO DE SUBACHOQUE” EOT
12
9
drenajes urbanos con el objetivo de reducir la amenaza de inundación por falla
hidráulica.
Artículo 159. REGULACIONES PARA LAS ÁREAS EXPUESTAS A AMENAZAS Y RIESGOS.
 Los Suelos de Protección por riesgo se entenderán como los suelos donde se presentan
áreas con condición de riesgo, argumento que imposibilita la ubicación de
asentamientos humanos, equipamientos, espacio público e infraestructura; en el
municipio de Subachoque, estos suelos se refieren a las áreas que están ubicadas en
suelos donde se han identificado la probabilidad de ocurrencia de movimientos en
masa o deslizamientos, inundaciones por desbordamientos de ríos y quebradas o por
dificultades de drenaje. En este tipo de zonas se establece la prohibición de ubicar
viviendas, redes para servicios básicos domiciliarios.
 Desestimar o prohibir la urbanización en terrenos inestables o inundables como una de
las acciones de planificación más efectivas para evitar pérdida de vidas humanas y
daños materiales en bienes.
 Las viviendas que actualmente están construidas sobre las áreas que sean señaladas
como de protección por riesgo en el área urbana o rural no podrán ser ampliadas por
sus propietarios y los cultivos agrícolas deberán sustituirse por vegetación nativa.
 Se deben emprender las acciones correspondientes para reubicar las viviendas en
áreas con condición de riesgo alto por movimientos en masa que sean identificadas
luego del desarrollo de estudios detallados. Rehabilitar las áreas que queden
desocupadas después de hacer efectivo el proceso de reasentamiento.
 Para evitar la nueva ocupación, garantizar la rehabilitación y el cambio de uso de las
zonas desocupadas en desarrollo del proceso de reasentamiento por alto riesgo,
deberán efectuarse las acciones antes relacionadas y que contribuyen a la gestión del
desarrollo territorial.
 Condicionar el desarrollo de las áreas que se encuentran en condición de riesgo a la
realización de estudios detallados que determinen las acciones de mitigación
necesarias para reducir los riesgos existentes.
TÍTULO III
INSTRUMENTOS DE GESTIÓN DEL ESQUEMA DE ORDENAMIENTO TERRITORIAL
CAPÍTULO I
DE LOS PLANES PARCIALES
Artículo 160. DEFINICIÓN. Los planes parciales son los instrumentos mediante los cuales se
desarrollan y complementan las disposiciones de los planes de ordenamiento, para áreas
CIPIO DE AGUAZUL
ACUERDO No. _____
“POR EL CUAL SE ADOPTA LA REVISIÓN GENERAL DEL ESQUEMA DE ORDENAMIENTO TERRITORIAL DEL
MUNICIPIO DE SUBACHOQUE” EOT
13
0
determinadas del suelo urbano y para las áreas incluidas en el suelo de expansión urbana,
en los términos previstos en el Art. 19 de la Ley 388 de 1997.
La formulación y adopción de los planes parciales que el presente Acuerdo determine y los
demás que sea necesario realizar con miras dotar a este Esquema de Ordenamiento de
adecuados y suficientes instrumentos para su desarrollo y ejecución, se hará conforme a lo
previsto en el Decreto 2181 de 2006 y demás decretos reglamentarios o modificatorios,
reglamentario de la Ley 388 de 1997 en materia de planes parciales.
En la formulación de los planes parciales prioritarios y los demás que sean requeridos en
ejecución del presente Acuerdo, se incorporarán como instrumentos principales para la gestión
de los respectivos planes, las unidades de actuación urbanística, el reajuste de tierras, la
cooperación entre partícipes y el reparto equitativo de cargas y beneficios, en los términos y
condiciones previstas en la Ley 388 de 1997, en el citado Decreto 2181 de 2006 y en las demás
normas que los modifiquen, adicionen o sustituyan.
Los planes parciales que se elaboren en cumplimiento del presente Acuerdo serán de obligatorio
cumplimiento por las autoridades y empresas de servicios y por los particulares y su vigencia será
la que se determine en cada caso.
Artículo 161. PLANES PARCIALES. Se establecen como prioridad para la formulación y adopción
de los planes parciales que instrumentarán el desarrollo y complementarán las disposiciones
contenidas en el presente Acuerdo, las áreas de expansión que se relacionan a continuación:
a. Polígono de Suelo de Expansión Urbana
Los particulares interesados en desarrollar áreas objeto de plan parcial, deberán presentar
previamente el correspondiente plan parcial para su adopción por parte de la Administración. No
se podrán otorgar licencias de urbanización, ni de construcción para el desarrollo de predios
localizados dentro de las áreas señaladas como objeto de plan parcial en el presente Acuerdo sin la
existencia previa del respectivo plan parcial debidamente aprobado por la Administración
Municipal en los términos establecidos en este Acuerdo y en el marco normativo de superior
jerarquía que rige la materia.
Artículo 162. DIRECTRICES ESPECÍFICAS PARA LA FORMULACIÓN DE PLANES PARCIALES.
Para la formulación de los planes parciales definidos como prioritarios en el presente
documento, se tendrán en cuenta las siguientes consideraciones:
1. Para el desarrollo del plan parcial de expansión urbana es indispensable realizar el estudio
detallado de las áreas con condición de amenaza por inundación de la quebrada El Molino,
siguiendo los requisitos mínimos para la elaboración de estudios detallados de riesgos por
inundación, que se encuentran en el artículo 46 del presente acuerdo. Este estudio
detallado es el condicionante principal para el desarrollo del plan parcial, el resultado de
dicho estudio delimitará las áreas que no podrán ser objeto de desarrollo y se convertirán
directamente en áreas de protección al interior del plan parcial.
CIPIO DE AGUAZUL
ACUERDO No. _____
“POR EL CUAL SE ADOPTA LA REVISIÓN GENERAL DEL ESQUEMA DE ORDENAMIENTO TERRITORIAL DEL
MUNICIPIO DE SUBACHOQUE” EOT
13
1
2. La factibilidad y la definición de las condiciones técnicas para la futura prestación de los
servicios públicos domiciliarios que garanticen la continuidad de las redes de acueducto y
alcantarillado para las áreas de expansión urbana, por parte de la empresa prestadora de
servicios públicos del municipio.
3. La inclusión del área de los planes maestros de acueducto y alcantarillado con la definición
de programas y proyectos de inversión a corto y mediano plazo y su articulación con los
planes de saneamiento y manejo de vertimientos (PSMV). De igual manera la definición y
localización del sistema de tratamiento de aguas residuales y la determinación de recursos
para su construcción y puesta en marcha.
4. El área de expansión propuesta estará sujeta a las afectaciones ambientales a que haya
lugar según su localización, como lo es la ronda hídrica de la quebrada el Molino.
5. La definición de normas urbanísticas específicas debe enmarcarse en lo previsto por el
presente documento en cuanto al tratamiento de desarrollo.
6. La asignación de usos por categorías deberá enmarcarse en la asignación de usos para
suelo urbano consignada en el presente documento.
7. Lo relativo al plan vial deberá ser acorde con el trazado y los perfiles viales para suelo
urbano establecidos en el presente documento.
8. La formulación y aprobación de los planes parciales se hará conforme a lo establecido en el
Decreto 2181 de 2006, 4300 de 2007, 4065 de 2008, 1478 de 2013 y las demás normas que lo
modifiquen, complementen o sustituyan.
1. PLAN PARCIAL ÁREA EXPANSIÓN URBANA
OBJETIVOS.
 Creación de una nueva estructura urbana que permita la ubicación de usos residenciales,
articulada a la estructura ecológica urbana, al sistema de espacio público, sistema vial y de
equipamientos, que a su vez de artículo con el área urbana existente.
USOS PERMITIDOS
1. Residencial unifamiliar y bifamiliar
2. Comercio y servicios grupo I
3. Dotacional grupo I y II
4. Espacio público
CONDICIONAMIENTOS
Conservación y protección de la ronda de 30 metros lineales sobre la cota máxima de
inundación de la quebrada el Molino, de conformidad con el acuerdo CAR 16 de 1998.
Parágrafo: la zona de expansión es objeto de desarrollo prioritario.
CIPIO DE AGUAZUL
ACUERDO No. _____
“POR EL CUAL SE ADOPTA LA REVISIÓN GENERAL DEL ESQUEMA DE ORDENAMIENTO TERRITORIAL DEL
MUNICIPIO DE SUBACHOQUE” EOT
13
2
TITULO IV
DE LOS INSTRUMENTOS DE FINANCIACIÓN
CAPÍTULO I
DE LOS INSTRUMENTOS DE FINANCIACIÓN
Artículo 163. DEFINICIÓN. Los instrumentos de financiación son mecanismos a través de los
cuales la Administración Municipal obtiene los recursos necesarios para ejecutar las
actuaciones urbanísticas, los programas, proyectos u obras de urbanismo o de edificación,
para adquirir los inmuebles y demás bienes que se requieran para los mismos propósitos, y
para compensar las cargas a favor de los afectados por decisiones administrativas que se
adopten en materia de urbanismo. En el Municipio establecen como posibles instrumentos
de financiación los siguientes:
1. La Plusvalía
Artículo 164. PARTICIPACIÓN EN LA PLUSVALÍA. Conforme lo previsto en la Constitución
Política en su Art. 82, en la Ley 388 de 1997 en su Capítulo IX, en el Decreto 1788 de 2004,
reglamentario de la Ley 388 y en las demás normas que adicionen, modifiquen o sustituyan
lo reglado en materia de plusvalía, el Municipio utilizará esta participación como un
instrumento de financiación de los programas y proyectos incluidos en el presente Acuerdo
en procura de la defensa y fomento del interés común.
De conformidad con el artículo 82 de la Constitución Política, las acciones urbanísticas que
regulan la utilización del suelo y del espacio aéreo urbano incrementando su aprovechamiento,
generan beneficios que dan derecho a las entidades públicas a participar en las plusvalías
resultantes de dichas acciones. Esta participación se destinará a la defensa y fomento del
interés común a través de acciones y operaciones encaminadas a distribuir y sufragar
equitativamente los costos del desarrollo urbano, así como el mejoramiento del espacio
público y, en general, de la calidad urbanística del territorio municipal.
Artículo 165. HECHOS GENERADORES DE PLUSVALÍA. Son hechos generadores de la
participación en plusvalía:
 La incorporación de suelo rural a suelo de expansión urbana
 El cambio de área agropecuaria a área de vivienda campestre
 El cambio de área agropecuaria a área de actividad suburbana industrial
 El establecimiento o modificación del régimen o la zonificación de usos del suelo.
 La autorización de un mayor aprovechamiento del suelo en edificación, bien sea elevando
el índice de ocupación o el índice de construcción, o ambos a la vez.
CIPIO DE AGUAZUL
ACUERDO No. _____
“POR EL CUAL SE ADOPTA LA REVISIÓN GENERAL DEL ESQUEMA DE ORDENAMIENTO TERRITORIAL DEL
MUNICIPIO DE SUBACHOQUE” EOT
13
3
Artículo 166. ACCIONES URBANÍSTICAS GENERADORAS DE PLUSVALÍA EN EL MUNICIPIO.
Conforme a lo reglado, las acciones urbanísticas adoptadas mediante el presente acuerdo,
que se constituyen en hechos generadores, son las siguientes:
Conforme a lo reglado, las acciones urbanísticas adoptadas mediante el presente acuerdo, que
se constituyen en hechos generadores, son las siguientes:
1. La incorporación de suelo rural a suelo de expansión urbana, en los polígonos que se
relacionan a continuación:
a. Tres Polígonos de Suelo de Expansión urbana.
2. La incorporación de predios al área urbana.
3. La incorporación de área agropecuaria a corredor vial suburbano de actividad turística y de
vivienda campestre.
4. La modificación del régimen de usos a través de la definición y delimitación de áreas de
actividad, tanto en suelo urbano como en suelo rural, lo cual ocurre en los polígonos que se
relacionan a continuación:
a. Polígonos correspondientes al área de actividad comercial y de servicios, localizados en
suelo urbano.
5. La autorización de un mayor aprovechamiento del suelo en edificación, lo cual ocurre en los
polígonos que se relacionan a continuación:
a. Polígonos correspondientes al área de actividad comercial y de servicios, localizados en
suelo urbano.
6. Los predios en los cuales, según los resultados del respectivo estudio de plusvalía que en
cumplimiento de lo previsto en el presente Acuerdo, realice la Administración Municipal, se
encuentre que se presenta alguno de los hechos generadores de plusvalía.
Artículo 167. TÍTULOS REPRESENTATIVOS DE DERECHOS DE CONSTRUCCIÓN Y
DESARROLLO. La Administración Municipal, a través de la Tesorería y con fundamento en
lo establecido en los artículos 88, 89 y 90 de la Ley 388 de 1.997, podrá emitir y colocar en
el mercado títulos valores equivalentes a los derechos y derechos adicionales de
construcción y desarrollo, previa autorización a través de Acuerdo de iniciativa del Alcalde,
expedido por el Concejo Municipal, como un instrumento alternativo para hacer efectiva la
correspondiente participación municipal en plusvalía.
El monto, la oportunidad, y demás condiciones y aspectos relacionados con la emisión y
colocación de los títulos representativos de derechos y de derechos adicionales de
construcción y desarrollo, estarán sujetos a las disposiciones reglamentarias adoptadas por
medio de decreto expedido por el Alcalde Municipal.
CIPIO DE AGUAZUL
ACUERDO No. _____
“POR EL CUAL SE ADOPTA LA REVISIÓN GENERAL DEL ESQUEMA DE ORDENAMIENTO TERRITORIAL DEL
MUNICIPIO DE SUBACHOQUE” EOT
13
4
Artículo 168. FONDOS PARA EL PAGO COMPENSATORIO DE CESIONES PÚBLICAS PARA
PARQUES, EQUIPAMIENTOS Y PARQUEADEROS. Con fundamento en las facultades
establecidas en artículo 49 de la Ley 388 de 1.997 y en los casos contemplados en el
presente esquema de ordenamiento y los instrumentos que lo desarrollen, se crea el Fondo
para el pago compensatorio de cesiones públicas para parques, equipamientos y
parqueaderos, el cual funcionará de acuerdo con el reglamento que para el efecto expida el
Alcalde Municipal y que servirá de mecanismo para asegurar el reparto equitativo de las
cargas y beneficios generados en el ordenamiento urbano y a través de los cuales se
podrán pagar las compensaciones que se establezcan en los planes de regularización y
manejo y en los procesos de reconocimiento.
Artículo 169. DESTINACIÓN DE LOS RECURSOS DE LA PARTICIPACIÓN EN LA PLUSVALÍA. Los
recursos recaudados por el Municipio como resultado de la participación en la plusvalía
serán invertidos, en orden de prioridades, en los siguientes fines, acorde con lo previsto en
el Art. 85 de la Ley 388 de 1997.
1. Construcción o mejoramiento de infraestructuras viales, de servicios públicos domiciliarios,
áreas de recreación y equipamientos sociales para la adecuación de asentamientos urbanos
en condiciones de desarrollo incompleto o inadecuado.
2. Ejecución de proyectos y obras de recreación, parques y zonas verdes y expansión y
recuperación de los centros y equipamientos que conforman la red del espacio público
urbano.
3. Compra de predios o inmuebles para desarrollar planes o proyectos de vivienda de interés
social y/o prioritario.
4. Adquisición de inmuebles por enajenación voluntaria o por expropiación, destinados a
desarrollar proyectos urbanísticos que generen suelos para la construcción de Viviendas de
Interés Social y/o Prioritario.
5. Reubicación de familias localizadas en área de riesgo y la ejecución de las obras de
urbanismo de proyectos de VIS y/o VIP.
6. Aportes en asociaciones o entidades gestoras de cualquier naturaleza, cuyo objeto sea el
de ejecutar proyectos urbanísticos que generen suelos destinados a la construcción de
Viviendas de Interés Social y/o Prioritario.
Artículo 170. PAGARÉS DE REFORMA URBANA. Previa autorización que emita el Concejo
Municipal al considerar el Plan de Desarrollo correspondiente de cada administración, ésta
podrá emitir, colocar y mantener títulos valores denominados pagarés de reforma urbana,
con el fin de financiar la adquisición de inmuebles que se requieran para la ejecución de las
actuaciones urbanísticas declaradas de utilidad pública o interés social, previstas o
autorizadas en este Plan o en los instrumentos que lo desarrollen. El monto, la
oportunidad, las condiciones y los demás aspectos inherentes a la emisión de los pagarés
de reforma urbana se sujetarán a las disposiciones del reglamento que para el efecto
expida el Concejo Municipal a iniciativa del Señor Alcalde.
CIPIO DE AGUAZUL
ACUERDO No. _____
“POR EL CUAL SE ADOPTA LA REVISIÓN GENERAL DEL ESQUEMA DE ORDENAMIENTO TERRITORIAL DEL
MUNICIPIO DE SUBACHOQUE” EOT
13
5
Los recursos provenientes de la emisión y colocación de los pagarés de reforma urbana, serán
manejados a través de un fondo especial, mediante el cual se garantice que serán destinados
para los fines previstos en este artículo.
Artículo 171. COMPENSACIÓN EN TRATAMIENTOS DE CONSERVACIÓN Y PROTECCIÓN. En
desarrollo de lo previsto en los Arts. 48, 49 y 50 de la Ley 388/97 y en el Decreto
Reglamentario 151 de 1998, el Municipio adelantará las gestiones tendientes a disponer de
los instrumentos para compensar a los propietarios de predios determinados por el
Acuerdo como de conservación arquitectónica o ambiental, debido a que dicho tratamiento
limita los derechos de construcción y desarrollo.
La compensación que se genera por la limitación impuesta debe ser equivalente a la magnitud
en que se ha limitado el desarrollo en una zona, predio o edificación en particular, en
comparación con la magnitud de desarrollo que sin esta limitación podría obtenerse dentro de
lo definido para la zona, predio o edificación por el Acuerdo.
Para efectos de lo contemplado en este artículo, se entenderán como áreas de conservación
aquellas cobijadas por el tratamiento de conservación urbanística y arquitectónica, las definidas
como áreas de protección del sistema orográfico y las definidas como áreas de protección del
sistema hídrico. Así mismo, se entenderá por compensación el mecanismo que permite la
redistribución equitativa de los costos y beneficios generados por la aplicación de tratamientos
de conservación y protección.
Artículo 172. EMISIÓN DE DERECHOS TRANSFERIBLES DE CONSTRUCCIÓN Y DESARROLLO.
Con miras a la emisión de derechos transferibles de construcción y desarrollo, respecto de
predios cobijados por tratamientos de conservación, el Municipio realizará, adoptará y
divulgará adecuadamente, el estudio de factibilidad tendiente a establecer su demanda y su
concordancia con las pautas generales de uso, tratamiento y aprovechamiento previstas en
el Acuerdo y los instrumentos que lo desarrollen; todo esto dentro del marco fijado por el
Decreto 151 de 1998.
TÍTULO V
DE LAS LICENCIAS Y SANCIONES URBANÍSTICAS
CAPÍTULO I
LICENCIAS Y SANCIONES URBANÍSTICAS
Artículo 173. LICENCIAS URBANÍSTICAS. En los términos contemplados en la ley 388 de 1997,
la realización de obras de construcción, ampliación, modificación y demolición de
edificaciones, de urbanización y parcelación en terrenos urbanos, de expansión urbana y
rurales, para el loteo o subdivisión de predios para urbanizaciones o parcelaciones en toda
clase de suelo, así como para la ocupación del espacio público con cualquier clase de
CIPIO DE AGUAZUL
ACUERDO No. _____
“POR EL CUAL SE ADOPTA LA REVISIÓN GENERAL DEL ESQUEMA DE ORDENAMIENTO TERRITORIAL DEL
MUNICIPIO DE SUBACHOQUE” EOT
13
6
amoblamiento, se requiere de la licencia respectiva expedida por el Municipio, a través de
la autoridad expresamente delegada para tal función.
Estas licencias se otorgarán con sujeción al Esquema de Ordenamiento Territorial, a sus planes
parciales y a las normas urbanísticas que los desarrollan y complementan, así como a lo
dispuesto en la Ley 99 de 1993 y sus decretos reglamentarios.
Artículo 174. TRÁMITE DE LICENCIAS. La autoridad competente para el trámite y expedición
de licencias dentro del municipio, es la Secretaria de Planeación, para lo cual se sujetará a lo
previsto en el Decreto 1469 de 2010 expedido por el Ministerio del Medio Ambiente y las
demás normas que lo modifiquen, adicionen y sustituyan.
Artículo 175. DEMARCACIÓN. En los sectores desarrollados o por desarrollar del Municipio,
las licencias de urbanización, parcelación y construcción, que conceda la oficina de
Planeación, deberán proyectarse con base en la demarcación que para cada predio o
inmueble expida la oficina de Planeación o la dependencia que haga sus veces en la cual se
determinará el lindero entre el lote o inmueble, las áreas de uso público y elementos a
preservar cuando hubiere lugar.
Artículo 176. CONTROL URBANÍSTICO. Es función de la autoridad municipal competente para
la expedición de licencias, ejercer la vigilancia y control durante la ejecución de las obras,
con el fin de asegurar el cumplimiento del contenido de la licencia de urbanismo o de
construcción y de las demás normas y especificaciones técnicas contenidas en el Esquema
de Ordenamiento Territorial, sin perjuicio de las facultades atribuidas a los funcionarios del
Ministerio Público y de las veedurías en defensa tanto del orden jurídico, del ambiente y del
patrimonio y espacios públicos, como de los intereses de la sociedad en general y los
intereses colectivos.
Artículo 177. INFRACCIONES Y SANCIONES URBANÍSTICAS. Conforme a lo previsto en la Ley
810 de 2003, toda actuación de construcción, ampliación, modificación, adecuación y
demolición de edificaciones, de urbanización y parcelación, que contravenga el Esquema de
Ordenamiento Territorial y las normas urbanísticas que los desarrollan y complementan,
incluyendo los planes parciales, dará lugar a la imposición de sanciones urbanísticas a los
responsables, incluyendo la demolición de las obras, según sea el caso, sin perjuicio de la
eventual responsabilidad civil y penal de los infractores. Para efectos de la aplicación de las
sanciones estas infracciones se considerarán graves o leves, según se afecte el interés
tutelado por dichas normas.
Se considera igualmente infracción urbanística, la localización de establecimientos comerciales,
industriales, institucionales y de servicios en contravención a las normas de usos del suelo, lo
mismo que el encerramiento, la intervención o la ocupación temporal o permanente del
espacio público con cualquier tipo de amoblamiento, instalaciones o construcciones, sin la
respectiva licencia.
CIPIO DE AGUAZUL
ACUERDO No. _____
“POR EL CUAL SE ADOPTA LA REVISIÓN GENERAL DEL ESQUEMA DE ORDENAMIENTO TERRITORIAL DEL
MUNICIPIO DE SUBACHOQUE” EOT
13
7
Artículo 178. ENTREGA DE CESIONES ANTICIPADAS. Los propietarios de predios sin
urbanizar, parcelar o construir podrán proponer a los municipios o distritos, o estos a
aquellos, la cesión de porción o porciones de dichos predios que se recibirán a título de
zonas de cesión de desarrollos urbanísticos futuros, siempre y cuando, resulten
convenientes para proyectos de interés general o utilidad pública contemplados en el
Esquema de Ordenamiento Territorial o en los instrumentos que lo desarrollen o
complementen.
En este evento, la entidad municipal responsable de la administración y mantenimiento del
espacio público efectuará el recibo del área o las áreas cedidas, indicando su destino, y
procederá a efectuar, con el propietario, el otorgamiento de la escritura pública de cesión
anticipada y su correspondiente inscripción en el registro, de acuerdo a la reglamentación
expedida por la Administración Municipal.
CAPÍTULO II
DEL RECONOCIMIENTO DE EDIFICACIONES
Artículo 179. RECONOCIMIENTO DE CONSTRUCCIONES. Conforme a lo establecido en el
inciso primero del artículo 57 del Decreto 1600 de 2005, el reconocimiento de edificaciones
es la actuación por medio de la cual la autoridad municipal competente para expedir
licencias, declara la existencia de los desarrollos arquitectónicos finalizados antes del 27 de
junio de 2003 que no cuentan con licencia de construcción. Así mismo, por medio del acto
de reconocimiento se establecerán, si es del caso, las obligaciones para la adecuación
posterior de la edificación a las normas de sismo-resistencia que les sean aplicables en los
términos del reglamento de sismo-resistencia NSR-10 y a las normas urbanísticas y
arquitectónicas que las autoridades municipales establezcan para el efecto, en el presente
Acuerdo y en las normas de lo modifiquen o sustituyan.
Artículo 180. TRÁMITE DE RECONOCIMIENTO DE EDIFICACIONES. El trámite de
reconocimiento de edificaciones se adelantará conforme a lo previsto en el Título II del
Decreto 1469 de 2010 y las normas que lo modifiquen, adicionen o sustituyan, y el Código
Contencioso Administrativo, en lo que sea del caso.
CAPÍTULO III
DE LA RESERVA DE ÁREAS
Artículo 181. ZONAS DE RESERVA. Son zonas de reserva las áreas del municipio que de
conformidad con el presente Esquema de Ordenamiento o los instrumentos que lo
desarrollan, sean necesarias para la futura construcción o ampliación de obras o para la
ejecución de programas o proyectos con inversión pública o para protección ambiental a fin
de que sean tenidas en cuenta para la imposición oportuna de las respectivas afectaciones.
CIPIO DE AGUAZUL
ACUERDO No. _____
“POR EL CUAL SE ADOPTA LA REVISIÓN GENERAL DEL ESQUEMA DE ORDENAMIENTO TERRITORIAL DEL
MUNICIPIO DE SUBACHOQUE” EOT
13
8
Parágrafo. La determinación y delimitación de las áreas de reserva a que se refiere el presente
artículo se hará mediante decreto expedido por el Alcalde Municipal, con sujeción al régimen
jurídico del suelo de protección regulado en el artículo 35 de la Ley 388 de 1.997.
Artículo 182. AFECTACIONES. La afectación es una restricción impuesta a uno o más
inmuebles específicos que limita o impide la obtención de las licencias urbanísticas de que
trata el capítulo 10 de la Ley 388 de 1.997, por causa de la construcción o ampliación de una
obra pública o por razón de conservación ecológica o protección ambiental. Estas
afectaciones pueden ser impuestas por el Municipio cuando sea éste el que deba adquirir
los inmuebles afectados o por cualquier otra entidad del orden municipal en cuyo favor
deban establecerse.
Artículo 183. PROCEDIMIENTO PARA LA IMPOSICIÓN Y CONTENIDO DE LOS ACTOS
ADMINISTRATIVOS QUE CONTENGAN AFECTACIONES. El proceso de imposición de
afectaciones, se regirá por las disposiciones contenidas en el presente Acuerdo, en
concordancia con las normas del Código Contencioso Administrativo que regulan la
materia.
Las resoluciones que impongan afectaciones deberán contener:
1. El nombre de la entidad que impone la afectación.
2. La identificación del inmueble afectado con citación del folio de matrícula inmobiliaria y
cédula catastral. En caso de que la afectación sea parcial la delimitación precisará la parte
del inmueble afectado, y de ser posible se acogerá a un plano oficial de demarcación y
cartografía.
3. Denominación de la obra pública, programa o proyecto que ocasione la afectación, o la
indicación de que se trata de protección ecológica o ambiental, según el caso.
4. La identificación de la norma a través de la cual se hubiera hecho la reserva respectiva.
Parágrafo primero. Las resoluciones que impongan afectaciones deberán ser notificadas
conforme a Ley y contra ellas sólo procede el recurso de reposición. Contra las demás
providencias dictadas durante la actuación administrativa no proceden recursos ante la vía
gubernativa.
Parágrafo segundo. En firme la resolución que contiene la afectación, ésta se registrará en la
Oficina de Registro del Circulo que corresponda, a solicitud de la entidad que la haya impuesto,
la cual deberá una vez inscrita enviar copia del acto administrativo de imposición y del
certificado de libertad y tradición en el que aparezca inscrita, a la Secretaría de Planeación
Municipal para lo de su competencia.
Artículo 184. COMPENSACIONES POR CAUSA DE AFECTACIONES. Las entidades que
impongan afectaciones celebrarán los contratos de que trata el artículo 37 de la Ley 9 de
1.989, teniendo en cuenta que las compensaciones por causa de la afectación se limitarán a
la reparación justa, por el periodo comprendido entre el momento que se inscriba la
afectación y la fecha en que se adquiera la zona afectada, o se levante la afectación o
CIPIO DE AGUAZUL
ACUERDO No. _____
“POR EL CUAL SE ADOPTA LA REVISIÓN GENERAL DEL ESQUEMA DE ORDENAMIENTO TERRITORIAL DEL
MUNICIPIO DE SUBACHOQUE” EOT
13
9
pierda efecto, siempre que se urbanice, parcele o construya dentro del plazo de vigencia de
la respectiva licencia o permiso.
Artículo 185. LEVANTAMIENTO DE AFECTACIONES. Sin perjuicio de la compensación que
pudiere haber conforme a lo previsto anteriormente, las afectaciones podrán ser
levantadas mediante la revocatoria directa de los actos de imposición respectivos, siempre
que se determine que la zona, inmueble o parte del mismo, objeto de la restricción no es
necesaria para la ejecución del proyecto, o cuando la obra, programa o proyecto no se vaya
a realizar.
Artículo 186. ADQUISICIÓN DE INMUEBLES. El municipio podrá adquirir por enajenación
voluntaria o mediante el trámite de expropiación, los predios que requiera para cumplir los
fines previstos en el ordenamiento territorial del municipio. La utilización de este
instrumento deberá cumplir con un objeto específico, constituido por la obra, el programa,
el proyecto o la actuación que se propone ejecutar en el inmueble o inmuebles sobre los
cuales recae la actuación.
La adquisición o expropiación de que trata este artículo deberá cumplir con los estudios de tipo
social, técnico jurídico y económico que lo fundamenten, previo el anuncio individual de los
proyectos a ejecutar con publicación en la Gaceta Municipal y en un diario de amplia circulación
y los levantamientos topográficos, estudio de títulos, estudio de situación fiscal, inventarios,
avalúos, ofertas, y en general todos aquellos actos necesarios para la formalización del
contrato o acto jurídico de enajenación según el caso.
TÍTULO VI
PROGRAMA DE EJECUCIÓN
Artículo 187. PROGRAMA DE EJECUCIÓN. Adóptese el Programa de Ejecución que define,
con carácter obligatorio, las actuaciones sobre el territorio del municipio previsto en el
presente Esquema de Ordenamiento, para ser ejecutadas durante el período de gobierno
correspondiente a la vigencia constitucional comprendida entre el año 2015 a 2027. El
presente Programa de Ejecución se integrará al Plan de Inversiones correspondiente al Plan
de Desarrollo de la vigencia indicada.
Parágrafo. El Programa de Ejecución se encuentra en el Anexo No. 01, junto con las metas
fijadas respecto de los proyectos que lo componen y los indicadores diseñados con el fin de
hacer el seguimiento a su ejecución.
TÍTULO VII
DISPOSICIONES FINALES
Artículo 188. EXPEDIENTE MUNICIPAL. Adóptese, impleméntese y póngase en operación y
continua actualización el Expediente Municipal, con el objeto, alcance y características que
se establecen en el documento de Seguimiento y Evaluación que hace parte integrante del
CIPIO DE AGUAZUL
ACUERDO No. _____
“POR EL CUAL SE ADOPTA LA REVISIÓN GENERAL DEL ESQUEMA DE ORDENAMIENTO TERRITORIAL DEL
MUNICIPIO DE SUBACHOQUE” EOT
14
0
presente Acuerdo con las matrices que hacen parte del documento de seguimiento y
evaluación, como principal instrumento de seguimiento y evaluación de la ejecución de las
acciones previstas, como medio para el cumplimiento de los objetivos de ordenamiento
acordados en este Esquema de Ordenamiento Territorial.
Artículo 189. APLICACIÓN DE NORMAS. De existir contradicción entre las disposiciones
contenidas en el presente articulado y el texto del Documento Técnico de Soporte, se
aplicarán las normas contenidas en el presente articulado.
Artículo 190. VEEDURÍA CIUDADANA. Las organizaciones cívicas debidamente reconocidas,
ejercerán acciones de veeduría ciudadana a fin de que se garantice el respeto y
acatamiento de las disposiciones contenidas en el Esquema que por el presente Acuerdo se
adopta.
Artículo 191. REGLAMENTACIÓN. El Alcalde Municipal reglamentará y adoptará las normas
necesarias para la debida y oportuna aplicación de los instrumentos y procedimientos de
gestión previstos en el Esquema de Ordenamiento Territorial, con arreglo a las facultades
constitucionales y legales que le asisten.
Artículo 192. CAMBIO DE DESTINACION DE BIENES DE USO PÚBLICO. Cuando por motivos
de interés general se requiera cambiar el destino de bienes de uso público, en suelo urbano
o de expansión urbana, rural, el Concejo Municipal, a iniciativa de la Administración
Municipal podrá cambiar su destinación a un proyecto previamente definido en el Plan de
Desarrollo Municipal, en cuyo caso se deberá hacer efectiva una compensación de igual o
mayor área en metros cuadrados, o equivalente, en otro u otros predios del sector o en
otros predios dentro del perímetro urbano o rural.
Artículo 193. CORRECCIÓN DE IMPRECISIONES CARTOGRÁFICAS. Las imprecisiones
cartográficas que surjan en los planos que se adoptan por medio del presente Esquema
serán corregidas por la Oficina Asesora de Planeación mediante solución cartográfica
debidamente registrada en las planchas respectivas y elevada a resolución motivada en la
cual se garantice la armonía de las soluciones cartográficas con el Esquema de
Ordenamiento Territorial, la continuidad de los perímetros y demás líneas limítrofes entre
las distintas formas de zonificación y, en general, de los límites que se tratan de definir en el
respectivo plano; igualmente deberá garantizarse la armonía con las soluciones
cartográficas adoptadas para sectores contiguos, según las condiciones físicas, geológicas
y morfológicas de los terrenos y la concordancia que deben tener entre sí los distintos
planos adoptados en el Esquema de Ordenamiento.
Artículo 194. RÉGIMEN DE TRANSICIÓN. Para la aplicación de las normas contenidas en el
presente Acuerdo, se deberá tener en cuenta lo siguiente:
1. Las solicitudes de licencia de urbanismo y construcción en sus diferentes modalidades
serán estudiadas y resueltas conforme a las normas vigentes en el momento de su
radicación, salvo que el interesado solicite de manera expresa le sea resuelta su solicitud
CIPIO DE AGUAZUL
ACUERDO No. _____
“POR EL CUAL SE ADOPTA LA REVISIÓN GENERAL DEL ESQUEMA DE ORDENAMIENTO TERRITORIAL DEL
MUNICIPIO DE SUBACHOQUE” EOT
14
1
con base en las normas establecidas en el presente Esquema de Ordenamiento
Territorial.
2. Las licencias en urbanizaciones por etapas, mantendrán su vigencia y servirán de base
para la expedición de las licencias de las demás etapas, siempre que la licencia para la
nueva etapa sea solicitada con un mínimo de treinta (30) días calendario antes del
vencimiento de la licencia de la etapa anterior.
3. Los titulares de licencias de urbanismo que fueron expedidas conforme a normas
anteriores a la adopción del presente Esquema, podrán solicitar durante la vigencia de la
licencia de urbanismo o en el evento de haber ejecutado las obras aprobadas en la
misma, que se le expida licencia de construcción con base en las normas o reglamentos
contenidos en la licencia de urbanismo y demás normas urbanísticas y/o arquitectónicas
aplicables en el momento de su expedición.
4. Los recursos de la vía gubernativa serán resueltos con fundamento en las normas que
sirvieron de sustento para tomar la decisión.
5. Los usos del suelo que se encuentran definidos en los Acuerdos o Decretos anteriores a la
aprobación del presente Acuerdo y que presenten conflicto de uso, se someterán a la
presentación de un plan de manejo y mitigación de los impactos causados sobre el
entorno y eventualmente la concertación de un tiempo de transición para su respectivo
traslado al lugar o lugares que designe el presente Acuerdo; dicho tiempo se definirá
entre la Secretaría de Planeación y el interesado y no podrá ser mayor a un año.
Parágrafo. Se definen para el presente Acuerdo las áreas localizadas en conflicto de uso en
suelo rural y urbano las siguientes:
1. Área Rural: Todos aquellos que están generando un impacto ambiental negativo y que
requieren de licencia ambiental para su funcionamiento, entre otros; afectación de ronda
de rió, áreas de protección ambiental, industrias y que estén en contradicción del presente
Acuerdo.
1. Área Urbana: Todos aquellos localizados en las áreas que afecten la estructura ecológica
principal determinada por el presente Acuerdo, y aquellos que vayan en contravía de los
usos principales y/o complementarios dispuestos por el presente Esquema de
Ordenamiento para cada área de actividad.
Artículo 195. VIGENCIA Y DEROGATORIAS. El presente Acuerdo de Revisión general Esquema
de Ordenamiento Territorial del Municipio de Subachoque, con sus anexos rige a partir de
la fecha de su publicación, deroga en su totalidad el contenido del Acuerdo 015 y 029 de
2000, el Acuerdo 041 de 2001, Acuerdo 034 de 2003, Acuerdo 034 de 2006, sin perjuicio de
lo dispuesto en el régimen de transición.
CIPIO DE AGUAZUL
ACUERDO No. _____
“POR EL CUAL SE ADOPTA LA REVISIÓN GENERAL DEL ESQUEMA DE ORDENAMIENTO TERRITORIAL DEL
MUNICIPIO DE SUBACHOQUE” EOT
14
2
Dado en el Concejo Municipal del Municipio de Subachoque - Cundinamarca, a los ___ días del
mes de ___________ de 2015, una vez surtidos los debates reglamentarios así: Primer Debate
en Comisión del Plan, el día ___ de ____________ de 2015 y Segundo Debate en Sesión Plenaria
el día ___ de _________ de 2015.

Proyecto de Acuerdo para el EOT

  • 1.
    CIPIO DE AGUAZUL ACUERDONo. _____ “POR EL CUAL SE ADOPTA LA REVISIÓN GENERAL DEL ESQUEMA DE ORDENAMIENTO TERRITORIAL DEL MUNICIPIO DE SUBACHOQUE” EOT 1 EL CONCEJO MUNICIPAL DE SUBACHOQUE - CUNDINAMARCA En uso de sus facultades, especialmente las conferidas por la Constitución Política, la Ley 99 de 1993, la Ley 388 de 1997, la Ley 507 de 1999, la Ley 810 de 2003, el decreto 879 de 1998, la Ley 902 de 2004, el Decreto Reglamentario 4002 de 2004, el Decreto 097 de 2006, el Decreto 3600 de 2007, 4066 de 2008, 1069 de 2009, decreto único reglamentario 1076 de 2015 y demás normas concordantes CONSIDERANDO 1. Que mediante el Acuerdo 015 del 20 de septiembre de 2000, el Concejo Municipal adoptó el Esquema de Ordenamiento Territorial del Municipio, en cumplimiento de lo dispuesto por la Ley 388 de 1997 y su Decreto Reglamentario No. 879 de 1998. 2. Que el Acuerdo 015/00 fue modificado mediante el Acuerdo 029 de 2000 en cumplimiento de la concertación respecto de los asuntos ambientales contenida en la Resolución No. 1512 del 14 de septiembre de 2000. 3. Que los acuerdos 015 y 029 de 2000 fueron modificados y compilados mediante el Acuerdo 041 del 17 de diciembre de 2001. 4. Que de acuerdo a la Ley 388 de 1997, ya se cumplieron las tres (3) vigencias administrativas por lo cual procede llevar a cabo un proceso de revisión general o estructural. 5. Que según el artículo 7 del Decreto 4002 de 2004, “Todo proyecto de revisión y modificación del Plan de Ordenamiento Territorial o de alguno de sus contenidos se someterá a los mismos trámites de concertación, consulta y aprobación previstas en los artículos 24 y 25 de la Ley 388 de 1997”. 6. Que según el Artículo 24 de la Ley 388 de 1997 “El alcalde municipal, a través de la oficina de planeación, será responsable de coordinar la formulación oportuna del proyecto del plan de Ordenamiento Territorial, y de someterlo a consideración del Consejo de Gobierno. 7. En todo caso, antes de la presentación del proyecto de plan de ordenamiento territorial a consideración del Concejo municipal, se surtirán los trámites de concertación interinstitucional y consulta ciudadana, de acuerdo con el siguiente procedimiento: 1. El proyecto de plan se someterá a consideración de la Corporación Autónoma Regional o autoridad ambiental correspondiente, para su aprobación en lo concerniente a los asuntos exclusivamente ambientales, dentro del ámbito de su competencia de acuerdo con lo dispuesto por la Ley 99 de 1993 y en especial por su artículo 66, para lo cual dispondrá de treinta (30) días; sólo podrá ser objetado por razones técnicas y fundadas en los estudios previos. Esta decisión será, en todo caso, apelable ante el Ministerio del Medio Ambiente.
  • 2.
    CIPIO DE AGUAZUL ACUERDONo. _____ “POR EL CUAL SE ADOPTA LA REVISIÓN GENERAL DEL ESQUEMA DE ORDENAMIENTO TERRITORIAL DEL MUNICIPIO DE SUBACHOQUE” EOT 2 2. Una vez revisado el proyecto por las respectivas autoridades ambientales, en los asuntos de su competencia, se someterá a consideración del Consejo Territorial de Planeación, instancia que deberá rendir concepto y formular recomendaciones dentro de los treinta (30) días hábiles siguientes. 3. Durante el período de revisión del plan por la Corporación Autónoma Regional, o la autoridad ambiental correspondiente y el Consejo Territorial de Planeación, la administración municipal solicitará opiniones a los gremios económicos y agremiaciones profesionales y realizará convocatorias públicas para la discusión del plan, expondrá los documentos básicos del mismo en sitios accesibles a todos los interesados y recogerá las recomendaciones y observaciones formuladas por las distintas entidades gremiales, ecológicas, cívicas y comunitarias del municipio, debiendo proceder a su evaluación, de acuerdo con la factibilidad, conveniencia y concordancia con los objetivos del plan. Igualmente pondrán en marcha los mecanismos de participación comunal previstos en el artículo 22 de esta ley. Las administraciones municipales establecerán los mecanismos de publicidad y difusión del proyecto de plan de ordenamiento territorial que garanticen su conocimiento masivo, de acuerdo con las condiciones y recursos de cada entidad territorial. Parágrafo. La consulta democrática deberá garantizarse en todas las fases del plan de ordenamiento, incluyendo el diagnóstico, las bases para su formulación, el seguimiento y la evaluación”. 8. Que según el Artículo 25 de la Ley 388 de 1997, en cuanto a la aprobación de los planes de ordenamiento, “El proyecto de plan de ordenamiento territorial, como documento consolidado después de surtir la etapa de la participación democrática y de la concertación interinstitucional de que trata el artículo precedente, será presentado por el alcalde a consideración del concejo municipal, dentro de los treinta (30) días siguientes al recibo del concepto del Consejo Territorial de Planeación. En el evento de que el concejo estuviere en receso, el alcalde deberá convocarlo a sesiones extraordinarias. Toda modificación propuesta por el concejo deberá contar con la aceptación de la administración”. 9. Que según el artículo 8 del Decreto 4002 de 2004, “Transcurridos noventa (90) días desde la presentación del proyecto de revisión del Plan de Ordenamiento Territorial o de alguno de sus contenidos al Concejo Municipal o Distrital sin que este la adopte, el Alcalde podrá adoptarla por decreto”. 10. Que mediante el Decreto 097 de 2006 el Presidente de la República reglamentó la expedición de licencias urbanísticas en suelo rural y expidió otras disposiciones. CIDETER 11. Que mediante el Decreto 3600 de 2007, el Presidente de la República reglamentó disposiciones de la Ley 99 de 1993 y la Ley 388 de 1997 relativas a las determinantes de ordenamiento del suelo rural y al desarrollo de actuaciones urbanísticas de parcelaciones y edificaciones en suelo rural.
  • 3.
    CIPIO DE AGUAZUL ACUERDONo. _____ “POR EL CUAL SE ADOPTA LA REVISIÓN GENERAL DEL ESQUEMA DE ORDENAMIENTO TERRITORIAL DEL MUNICIPIO DE SUBACHOQUE” EOT 3 12. Que mediante el Decreto 4065 de 2008, el Presidente de la República reglamentó disposiciones de la Ley 388 de 1997 relativas a las actuaciones y procedimientos para la urbanización e incorporación al desarrollo de predios y zonas comprendidas en suelo urbano y de expansión urbana y se dictan otras disposiciones aplicables a la estimación y liquidación de la participación en plusvalía en los procesos de urbanización y edificación de inmuebles. 13. Que mediante el Decreto 4066 de 2008, el Presidente de la República modificó el Decreto 3600 de 2007, relativas a las determinantes de ordenamiento del suelo rural y al desarrollo de actuaciones urbanísticas de parcelaciones y edificaciones en suelo rural. 14. Que la Administración Municipal realizó el estudio técnico a través del cual se hizo seguimiento y evaluación a la ejecución del Esquema de Ordenamiento Territorial adoptado mediante los Acuerdos Municipales No. 015 y 029 de 2000 y 041 de 2001, aplicando para ello la Metodología elaborada por el Ministerio de Ambiente Vivienda y Desarrollo Territorial para el seguimiento y evaluación de planes de ordenamiento y la construcción de expedientes municipales. 15. Que la Administración Municipal realizó el diagnóstico del estado actual de la situación del territorio municipal, con miras a la revisión y ajuste del Esquema de Ordenamiento Territorial, adoptado mediante los Acuerdos Municipales No. 015 y 029 de 2000 y 041 de 2001. 16. Que los estudios técnicos de seguimiento y evaluación de la ejecución del Esquema de Ordenamiento Territorial y de diagnóstico del estado actual del territorio permitieron concluir a la Administración Municipal que existen razones, ampliamente sustentadas en el contenido de estos dos documentos técnicos, que justifican el ajuste del EOT, por la vía de la revisión estructural o general. 17. Que el Alcalde Municipal presentó ante la Corporación Autónoma Regional de Cundinamarca – CAR, el proyecto de adopción de los ajustes del EOT, respaldado por los siguientes documentos: a. Documento de seguimiento y evaluación con las matrices del expediente municipal b. Memoria justificativa c. DTS – Documento de diagnóstico con su respectiva cartografía con sistema de coordenadas Magna – Sirgas origen Bogotá - Magna d. DTS – Documento de formulación con su respectiva cartografía con sistema de coordenadas Magna – Sirgas origen Bogotá - Magna e. Proyecto de Acuerdo f. Programa de ejecución 18. Que la CAR aprobó el contenido ambiental del proyecto de acuerdo de ajuste del EOT del municipio de Subachoque, mediante Acta de Concertación suscrita el día de 2015,
  • 4.
    CIPIO DE AGUAZUL ACUERDONo. _____ “POR EL CUAL SE ADOPTA LA REVISIÓN GENERAL DEL ESQUEMA DE ORDENAMIENTO TERRITORIAL DEL MUNICIPIO DE SUBACHOQUE” EOT 4 ratificada mediante la Resolución No. , fechada el día del mes de del año 2015, conforme a lo previsto en los artículos 10 y 24 de la Ley 388 de 1997. 19. Que el Consejo Territorial de Planeación conoció y estudió el contenido del proyecto de acuerdo de ajuste del EOT y emitió concepto y recomendaciones, conforme a lo previsto en el artículo 24, numeral 3 de la Ley 388 de 1997, mediante documento fechado el día del mes de de 2015. 20. Que la consulta democrática fue incluida en todas las etapas del proceso de planificación del ordenamiento territorial, como consta en los soportes respectivos que hacen parte del presente proyecto de acuerdo, conforme a lo previsto en el artículo 24, numeral 4 de la Ley 388 de 1997. En mérito de lo expuesto, ACUERDA Artículo 1. Adóptense el Esquema de Ordenamiento Territorial del municipio de Subachoque, para la vigencia 2014-2027. Artículo 2. Del presente Acuerdo forman parte los documentos y cartografía que se relacionan a continuación: DOCUMENTOS INTEGRANTES DEL ACUERDO DE FORMULACIÓN DEL EOT No. Nombre 1 Documento de Seguimiento y Evaluación (Matrices del Expediente Municipal) 2 Memoria Justificativa 3 DTS - Documento de Diagnóstico 4 DTS - Documento de Formulación 5 Documento Resumen CARTOGRAFÍA DE DIAGNÓSTICO DR - 01 RED HÍDRICA DR - 02 GEOLOGIA DR - 03 USO ACTUAL SUELO RURAL DR - 04 DIVISIÓN POLÍTICA RUAL DR - 05 ESTRUCTURA ECOLÓGICA PRINCIPAL DR - 06 SISTEMA VIAL DR - 07 CLASES AGROLÓGICAS DR - 08 GEOMORFOLOGÍA DR - 09 CONFLICTOS DE USO EN SUELO RURAL DR - 10 SUELOS DR - 11 EQUIPAMIENTOS COLECTIVOS RURALES DR - 12 ÁREAS CON CONDICIÓN DE AMENAZAS DR - 13 CENTROS POBLADOS RURALES DR - 14 ÁREAS CON CONDICIÓN DE AMENAZA ZONA URBANA CENTRAL Y CP GALDAMEZ DU - 01 USOS DEL SUELO URBANO
  • 5.
    CIPIO DE AGUAZUL ACUERDONo. _____ “POR EL CUAL SE ADOPTA LA REVISIÓN GENERAL DEL ESQUEMA DE ORDENAMIENTO TERRITORIAL DEL MUNICIPIO DE SUBACHOQUE” EOT 5 CARTOGRAFÍA DE DIAGNÓSTICO DU - 02 EQUIPAMIENTOS COLECTIVOS URBANOS DU - 03 ESPACIOS PUBLICOS URBANOS DU - 04 SISTEMA VIAL URBANO DU - 05 ALTURA DE EDIFICACIONES DU - 06 ESTRUCTURA ECOLOGICA PRINCIPAL URBANA DU - 07 RED DE ACUEDUCTO DU - 08 RED DE ALCANTARILLADO DU - 09 ELEMENTOS PATRIMONIALES URBANOS CARTOGRAFÍA DE FORMULACIÓN CG - 01 MODELO DE OCUPACIÓN DEL TERRITORIO CG - 02 CLASIFICACIÓN GENERAL DEL TERRITORIO CG - 03 ESTRUCTURA ECOLÓGICA PRINCIPAL CG - 04 DIVISIÓN POLÍTICA RURAL CG - 05 SISTEMA DE ARTICULACIÓN REGIONAL CG - 06 CATEGORIAS DE PROTECCIÓN Y DESARROLLO RESTRINGIDO EN SUELO RURAL CG - 07 ZONIFICACIÓN CONDICIÓN DE RIESGO CR - 01 ÁREAS DE ACTIVIDAD EN SUELO RURAL CR - 02 SISTEMA VIAL Y PERFILES VIALES RURALES CR - 03 EQUIPAMIENTOS COLECTIVOS RURALES CR - 04 CENTROS POBLADOS RURALES CU - 01 AREA URBANA Y DE EXPANSIÓN URBANA CU - 02 SISTEMA VIAL URBANO CU - 03 PERFILES VIALES URBANOS CU - 04 AREAS DE ACTIVIDAD URBANAS CU - 05 SISTEMA DE EQUIPAMIENTOS URBANOS CU - 06 ESPACIO PÚBLICO EN SUELO URBANO CU - 07 ZONAS DE TRATAMIENTOS URBANISTICO CU - 08 ESTRUCTURA ECOLOGICA PRINCIPAL URBANA CU - 09 RIESGOS CENTROS POBLADOS Artículo 3. APLICACIÓN. Las disposiciones contenidas en el presente Esquema de Ordenamiento Territorial y los instrumentos que lo desarrollan, se aplica a todo el territorio del Municipio de Subachoque. Artículo 4. CONCEPTO DE ORDENAMIENTO. El Esquema de Ordenamiento Territorial del municipio de Subachoque, es el instrumento legal por medio del cual se establecen las políticas, objetivos, estrategias y acciones orientados a regular la utilización, ocupación y transformación del espacio físico en el corto, mediano y largo plazo, en forma tal que se logre un equilibrio entre la atención de las necesidades sociales y económicas de protección del medio ambiente y los recursos y tradiciones históricas y culturales del municipio. Artículo 5. VIGENCIA. De conformidad con lo establecido en la Ley 388 de 1997 y sus Decretos Reglamentarios, la totalidad de los contenidos del presente Esquema de Ordenamiento, tendrá una vigencia de 12 años, hasta el 31 de Diciembre de 2027. Sin embargo si a esa fecha no se ha realizado otro proceso de revisión general o estructural,
  • 6.
    CIPIO DE AGUAZUL ACUERDONo. _____ “POR EL CUAL SE ADOPTA LA REVISIÓN GENERAL DEL ESQUEMA DE ORDENAMIENTO TERRITORIAL DEL MUNICIPIO DE SUBACHOQUE” EOT 6 este continuará vigente hasta que no se lleve a cabo otro proceso de este tipo establecido por la Ley 388 de 1997 o norma que lo derogue, modifique o sustituya. TÍTULO I COMPONENTE GENERAL CAPÍTULO I MARCO ESTRATÉGICO Artículo 6. PRINCIPIOS GENERALES DEL ORDENAMIENTO TERRITORIAL. El logro de los objetivos de ordenamiento acordados en el EOT y la ejecución de las acciones previstas en procura de dichos objetivos, se rige por los siguientes principios: 1. La propiedad es una función social que implica obligaciones. Como tal, le es inherente una función ecológica. 2. Los bienes de uso público, el patrimonio ecológico de la Nación y los demás bienes que determine la ley, son inalienables, imprescriptibles e inembargables. 3. El interés privado está supeditado al interés público o social. 4. Las cargas y beneficios que resulten de la ejecución de las acciones del EOT, serán distribuidas en forma equitativa entre los diferentes intereses sociales y económicos partícipes. 5. El ordenamiento del territorio constituye una función pública orientada a garantizar a los habitantes el acceso y disfrute del espacio público, el derecho a la vivienda y a los servicios públicos domiciliarios, el uso racional del suelo, la defensa contra los riesgos naturales y la preservación del patrimonio natural y cultural, entre otros aspectos. 6. Se garantizará la intervención de los ciudadanos y las organizaciones comunitarias en los procesos de desarrollo y reglamentación del EOT, en los procesos de otorgamiento, modificación, suspensión o revocatoria de las licencias urbanísticas y de uso del suelo en general, en los términos de ley. 7. La Administración Municipal adoptará procedimientos y mecanismos que aseguren la eficiencia y eficacia administrativa en el trámite de solicitudes de uso del suelo y en la adecuada información a la comunidad sobre los correspondientes procesos administrativos. 8. El EOT constituye la dimensión territorial del Plan de Desarrollo Económico y Social del Municipio. Las acciones de este deberán estar enmarcadas por la estructura estratégica del EOT, representada por los objetivos, estrategias y metas sobre uso y ocupación del suelo, así como por las normas mediante las cuales el EOT sea desarrollado y reglamentado. Artículo 7. MARCO ESTRATÉGICO. El municipio de Subachoque está situado en el Departamento de Cundinamarca en la Sabana Occidente, al occidente de la ciudad de Bogotá, D.C. La dinámica económica se encuentra determinada en gran medida por la
  • 7.
    CIPIO DE AGUAZUL ACUERDONo. _____ “POR EL CUAL SE ADOPTA LA REVISIÓN GENERAL DEL ESQUEMA DE ORDENAMIENTO TERRITORIAL DEL MUNICIPIO DE SUBACHOQUE” EOT 7 amplia actividad industrial, comercial y de servicios que se origina en Bogotá la cual condiciona en un alto grado el desarrollo económico del departamento de Cundinamarca. La economía del municipio de Subachoque se soporta sobre la actividad agropecuaria, el turismo de carácter ecológico y la prestación de servicios, especialmente relacionados con el turismo aunque este sector no se encuentra muy desarrollado. Estos sectores son los que más aportan a los ingresos del Municipio y los que generan el mayor número de puestos de trabajo. En el municipio se destaca la cultura campesina que hoy día ya no es común en los municipios cercanos a Bogotá, y a su vez la ruralidad en su territorio donde se desarrollan diferentes actividades que son compatibles con el respeto al ambiente natural, y a su vez la jerarquía de las áreas urbanas (Centro y La Pradera), especialmente en el centro de actividades comerciales y de servicios que sirven a la población. Artículo 8. VISIÓN DEL TERRITORIO. “Consolidar al Municipio de Subachoque como un municipio verde y ecológico, que maneja con criterio de sostenibilidad sus recursos naturales y el desarrollo de actividades agrícolas, pecuarias y agroindustriales compatibles generadoras de valor agregado en su jurisdicción donde la ocupación segura del territorio se consolide teniendo la gestión del riesgo de desastres como un territorio de oportunidades, competitivo y productivo” Artículo 9. VOCACIÓN FUNCIONAL DEL TERRITORIO. Las formulaciones de ordenamiento territorial de Subachoque definidas en el presente documento, buscan concretar en el territorio dicha vocación funcional, enfatizando la consolidación de las siguientes funciones para su desarrollo socioeconómico y cultural: 1. Centro local de Producción y servicios, potenciando los sectores de las actividades agrícolas, ganaderas, agroindustriales, el comercio y servicios; como principales actividades de su desarrollo económico propendiendo por la generación de empleo y riqueza de la población municipal del área rural. 2. Centro turístico, artístico, cultural y artesanal, promocionando sus fortalezas de servicios gastronómicos, de recreación y esparcimiento, agroturismo y ecoturismo de importancia, intensificando su desarrollo y equipamiento. 3. Territorio con fortalezas para la localización segura de asentamientos de carácter urbano y centro poblado, en condiciones urbanísticas reguladas dentro de un marco de sostenibilidad ambiental orientada a la gestión del riesgo de desastres donde se desarrollen principalmente actividades de residencia, comercio y servicios. Artículo 10. POLÍTICAS, OBJETIVOS Y ESTRATÉGIAS. POLÍTICAS OBJETIVOS ESTRATEGIAS CORTO PLAZO ESTRATEGIAS MEDIANO PLAZO ESTRATEGIAS LARGO PLAZO
  • 8.
    CIPIO DE AGUAZUL ACUERDONo. _____ “POR EL CUAL SE ADOPTA LA REVISIÓN GENERAL DEL ESQUEMA DE ORDENAMIENTO TERRITORIAL DEL MUNICIPIO DE SUBACHOQUE” EOT 8 POLÍTICAS OBJETIVOS ESTRATEGIAS CORTO PLAZO ESTRATEGIAS MEDIANO PLAZO ESTRATEGIAS LARGO PLAZO Preservación y recuperación ambiental Proteger, preservar y recuperar los ecosistemas estratégicos en la jurisdicción Dar cumplimiento a la resolución 138 de 2014 Formulación, actualización y cumplimiento de los planes de manejo de los DMI y las demás áreas de protección del sistema orográfico Conservar, preservar y recuperar el sistema hídrico municipal Recuperación y reforestación de las áreas de ronda de los cuerpos de agua Conservación de las áreas de ronda que no han sido intervenidas Implementación proyectos POMCA Rio Bogotá (Res. 3194 de 2006) Hacer Inventario de nacimientos de cuerpos de agua en la jurisdicción, para su protección y recuperación Promover el adecuado uso, ocupación y aprovechamiento del suelo Alternativas de generación de servicios ambientales Hacer respetar los cuerpos de agua por parte de las actividades agropecuarias Controlar y mitigar impactos ambientales que se generen Reglamentar todas aquellas actividades que degraden los recursos naturales Articulación con proyectos que se articulen con el Plan Nacional de Adaptación al Cambio Climático Trabajar articuladamente con la CAR para informar acerca de las diferentes actividades económicas en la jurisdicción que causan deterioro al medio ambiente Protección al paisaje Reglamentar la edificabilidad en el área rural con el fin que el paisaje no presente mayores alteraciones Competitividad y desarrollo sostenible Garantizar la seguridad alimentaria Fomento a las actividades agropecuarias en la jurisdicción Generar alternativas de valor agregado en la producción agropecuaria Fomento a las cadenas productivas con la finalidad de dar valor agregado y esquemas de asociatividad a la producción agrícola y pecuaria Promover desarrollo ecoturístico y agroturístico Promover que fincas y pequeñas parcelas se enfoquen hacia el agroturísmo Programas de caminatas ecológicas y otros deportes que no alteren el ambiente Regular el desarrollo comercial y de servicios Reglamentación de las actividades comerciales y de servicios
  • 9.
    CIPIO DE AGUAZUL ACUERDONo. _____ “POR EL CUAL SE ADOPTA LA REVISIÓN GENERAL DEL ESQUEMA DE ORDENAMIENTO TERRITORIAL DEL MUNICIPIO DE SUBACHOQUE” EOT 9 POLÍTICAS OBJETIVOS ESTRATEGIAS CORTO PLAZO ESTRATEGIAS MEDIANO PLAZO ESTRATEGIAS LARGO PLAZO Infraestructura para el desarrollo Asegurar el acceso a servicios públicos domiciliarios Cobertura 100% en servicios públicos de acueducto, alcantarillado y tratamiento de aguas residuales Generar condiciones de movilidad Formulación y ejecución del plan de movilidad Construir y mantener espacio público Formulación e implementación del plan de espacio público Garantizar el acceso a vivienda para los Subachoqueños Programas de vivienda VIP/VIS para cubrir el déficit de los subachoqueños Programas de mejoramiento de vivienda y construcción en sitio propio Construir y mantener los equipamientos municipales Mantenimiento y/o construcción de equipamientos en la jurisdicción Articulación regional Articular con lineamientos internacionales, nacionales y departamentales Articulación con Plan Nacional de Desarrollo, para presentación de proyectos a las entidades del orden nacional Articulación con Plan Departamental de Desarrollo, para presentación de proyectos a las entidades del orden departamental Presentación de proyectos al OCAD (Regalías) Formulación y gestión de proyectos a organismos de cooperación internacional Proteger y proyectar la identidad cultural y las áreas de interés patrimonial Promover la preservación de los sitios de interés patrimonial del municipio con estrategias tributarias y apoyo por parte del Ministerio de Cultura Planeación participativa Implementar el sistema de información municipal Mantener actualizado cada cuatro años del Sistema de Información Geográfico Actualización anual del Expediente Municipal dentro del seguimiento y evaluación del EOT Realizar consulta democrática a todos los procesos relacionados con ordenación del territorio de acuerdo a los grupos de interés relacionados Realización de talleres de consulta democrática necesarios durante todo proceso relacionado con la ordenación del territorio y difusión por los diferentes medios de comunicación
  • 10.
    CIPIO DE AGUAZUL ACUERDONo. _____ “POR EL CUAL SE ADOPTA LA REVISIÓN GENERAL DEL ESQUEMA DE ORDENAMIENTO TERRITORIAL DEL MUNICIPIO DE SUBACHOQUE” EOT 10 POLÍTICAS OBJETIVOS ESTRATEGIAS CORTO PLAZO ESTRATEGIAS MEDIANO PLAZO ESTRATEGIAS LARGO PLAZO municipales Cimentar una base institucional y administrativa apropiada que ante situaciones de Riesgo y desastre natural o antrópico, permita evitar o reducir la pérdida de vidas y los efectos adversos que puedan afectar los bienes naturales, ambientales y de patrimonio de los habitantes del municipio de Subachoque. Proteger la vida y el patrimonio de los habitantes de Subachoque frente a la ocurrencia de un evento de origen antrópico y natural. Implementar instrumentos de gestión, que permitan a la administración municipal contar con herramientas legales y técnicas, para prevenir el riesgo. Consolidar un marco institucional y administrativo que permita ante situaciones de riesgo y desastre natural o antrópico evitar o reducir la pérdida de vidas y los efectos que puedan ocasionar sobre los bienes naturales, ambientales, la vida y los bienes de los habitantes del municipio de Subachoque. Adelantar acciones de prevención, vigilancia y control ante riesgos por inundación, y remoción en masa, señalización de áreas de retiro a fuentes hídricas, reubicación de viviendas en zonas de alto riesgo no mitigable. Fortalecer las capacidades institucionales y de gestión que permitan la implementación de acciones estructurales para la reducción del riesgo por inundaciones y remoción en masa. Formulación e Implementación un programa de protección y manejo para las áreas forestales protectoras de ronda de protección hídrica y relictos boscosos existentes en el área urbana y rural del municipio de Subachoque. Respetar y hacer cumplir la normativa de uso del suelo que se establezca para los suelos de protección por riesgo. Orientar los procesos de uso y ocupación y transformación del territorio del municipio de Subachoque. Adoptar e incorporar la zonificación de las áreas de amenaza y riesgo por movimientos en masa e inundación para la zona urbana y rural del municipio de Subachoque. Definir los condicionamientos y restricciones al uso del suelo, con base en los mapas adoptados para localizar los asentamientos, la infraestructura física, los equipamientos colectivos y las actividades socio- económicas de acuerdo con la aptitud del territorio.
  • 11.
    CIPIO DE AGUAZUL ACUERDONo. _____ “POR EL CUAL SE ADOPTA LA REVISIÓN GENERAL DEL ESQUEMA DE ORDENAMIENTO TERRITORIAL DEL MUNICIPIO DE SUBACHOQUE” EOT 11 POLÍTICAS OBJETIVOS ESTRATEGIAS CORTO PLAZO ESTRATEGIAS MEDIANO PLAZO ESTRATEGIAS LARGO PLAZO Reglamentar las actividades rurales para no incrementar las situaciones de riesgo por remoción en masa. Ajustar los tratamientos urbanísticos, usos del suelo y normas conforme a los resultados de zonificación de áreas con condición de amenaza y riesgo definidos en los estudios básicos de zonificación de amenaza por movimientos en masa e inundaciones para el municipio de Subachoque. La armonización del PBOT con el Plan Municipal de Gestión de Riesgo de Desastres según lo establece el Decreto 1807 de 2014. Priorizar la localización segura y los procesos de reasentamiento de las familias localizadas en zonas de amenaza alta en el área rural. Garantizar el reasentamiento de las familias localizadas en zonas alto riesgo por inundación y remoción en masa en la zona rural del municipio de Subachoque. (posterior a los estudios detallados) Desarrollar programas de VIS en zonas urbanas o de expansión que incluya los mecanismos de reubicación para las zonas declaradas en alto riesgo por inundación y remoción en masa para el área rural del municipio de Subachoque que deben ser reasentados en las zonas identificadas como aptas para este fin. (posterior a los estudios detallados) Orientar la reducción de la vulnerabilidad de las construcciones frente al riesgo de amenazas sísmica, mediante la aplicación estricta del código nacional de sismo resistencia y el establecimiento de los mecanismos de control urbano a las edificaciones. Impulsar el control urbano para velar por el cumplimiento de la norma sismo resistente, con el fin de reducir la vulnerabilidad de las construcciones frente al riesgo sísmico. Consolidar, proteger, conservar, Definir las estrategias de recuperación y rehabilitación de las Formular y desarrollar acciones para la recuperación de zonas desalojadas por procesos de reasentamiento para evitar su posterior
  • 12.
    CIPIO DE AGUAZUL ACUERDONo. _____ “POR EL CUAL SE ADOPTA LA REVISIÓN GENERAL DEL ESQUEMA DE ORDENAMIENTO TERRITORIAL DEL MUNICIPIO DE SUBACHOQUE” EOT 12 POLÍTICAS OBJETIVOS ESTRATEGIAS CORTO PLAZO ESTRATEGIAS MEDIANO PLAZO ESTRATEGIAS LARGO PLAZO recuperar y rehabilitar los suelos de protección por riesgo. zonas desalojadas, para evitar una nueva reocupación. ocupación. (posterior a los estudios detallados) Declarar e incorporar a los suelos de protección por riesgo las zonas de alta amenaza y áreas con condición de riesgo del municipio de Subachoque. Gestionar recursos y enfocar acciones para la implementación de programas de manejo y mitigación del riesgo en los asentamientos que se encuentran en zonas de riesgo en el área urbana y en zonas de amenaza alta en el área rural. Implementar las medidas estructurales y no estructurales definidas las zonas expuestas a riesgos categorizados como alto y medio, priorizando las medidas de corto plazo para garantizar la integridad de la población que se encuentra localizada en amenaza alta y riesgo alto. Gestionar los recursos necesarios para la implementación de las medidas priorizadas ante las entidades del orden nacional: Fondo de Adaptación y la Unidad Nacional para la Gestión del Riesgo-UNGRD, Regionales: Fondo Departamental para la Gestión del Riesgo, CAR- Cundinamarca y Plan de Desarrollo Municipal y Fondo municipal de Gestión del Riesgo. Artículo 11. MODELO DE OCUPACIÓN DEL TERRITORIO. El modelo de ocupación del territorio en el municipio de Subachoque se compone de cuatro estructuras así: Estructura de protección: Está conformada por el DMI de la Cuenca Alta del Rio Subachoque y Pantano de Arce, Por la Reserva Forestal Protectora Productora de la Cuenca Alta del Rio Bogotá (Resolución 138 de 2014), Reserva Forestal Protectora de las Quebradas Paramillo y Queseras (Acuerdo 17 de 1993), el embalse del Pantano de Arce, El Rio Subachoque, las demás quebradas, nacimientos, humedales y demás cuerpos de agua en el área urbana y rural de la jurisdicción del municipio. Estructura de producción: Está conformada por el área agropecuaria intensiva y el área agropecuaria tradicional en la jurisdicción del municipio. Estructura de asentamientos humanos: Está conformada principalmente por el área urbana central, el área urbana de La Pradera, los centros poblados rurales Galdámez, Llanitos y Cascajal y otros sectores poblados en el área rural que a pesar de no cumplir la connotación de centros poblados rurales poseen viviendas donde se reside población.
  • 13.
    CIPIO DE AGUAZUL ACUERDONo. _____ “POR EL CUAL SE ADOPTA LA REVISIÓN GENERAL DEL ESQUEMA DE ORDENAMIENTO TERRITORIAL DEL MUNICIPIO DE SUBACHOQUE” EOT 13 Estructura funcional: Está conformada por las vías vehiculares, peatonales, ciclorutas, el espacio público, los diferentes sistemas, componentes y redes de servicios públicos, los equipamientos que se encuentran tanto en el área urbana como en el área rural del municipio y que a su vez es la que permite que las otras tres estructuras precedentes interactúen entre sí. Parágrafo: Al interior de la estructura de protección se encuentran las áreas con condición de amenaza y las áreas con condición de riesgo que fueron evaluadas en los estudios básicos (ver documento Estudios Básicos de Gestión del Riesgo – documento anexo) y en la cartografía asociada (mapas GR-06, GR-07, GR-08, GR-09) y que se encuentran además como parte de las categorías de protección en suelo rural según lo dispuesto en el artículo 4 del decreto nacional 3600 de 2007. CAPÍTULO II DE LA CLASIFICACIÓN DEL SUELO EN EL TERRITORIO MUNICIPAL Artículo 12. CLASIFICACIÓN. El Esquema de Ordenamiento Territorial clasifica el suelo del municipio de Subachoque, así: 1. Suelo Urbano Área urbana Central Área urbana La Pradera 2. Suelo De Expansión Urbana Área de Expansión Urbana Santa Rita 3. Suelo Rural Agropecuario Tradicional Agropecuario Intensivo Centros poblados 4. Suelo De Protección Corresponde a las áreas del territorio municipal localizadas dentro de cualquiera de las anteriores clases, que por sus características geográficas, paisajísticas o ambientales, o por formar parte de las zonas de utilidad pública para la ubicación de infraestructuras para la provisión de servicios públicos domiciliarios o de las áreas de amenazas y riesgo no mitigable para la localización de asentamientos humanos, tienen restringida totalmente la posibilidad de cualquier proceso de urbanización. Artículo 13. DELIMITACIÓN DEL SUELO URBANO. En el municipio de Subachoque, el perímetro del suelo urbano se delimita por las siguientes coordenadas:
  • 14.
    CIPIO DE AGUAZUL ACUERDONo. _____ “POR EL CUAL SE ADOPTA LA REVISIÓN GENERAL DEL ESQUEMA DE ORDENAMIENTO TERRITORIAL DEL MUNICIPIO DE SUBACHOQUE” EOT 14 ÁREA URBANA CENTRO X Y X Y X Y 31 988.941,72 1.036.870,07 39 989.795,61 1.036.996,61 47 989.467,56 1.036.254,73 32 988.800,31 1.037.016,08 40 990.096,82 1.036.786,37 48 989.422,54 1.036.335,74 33 989.042,34 1.037.178,77 41 989.965,72 1.036.748,46 49 989.324,28 1.036.349,14 34 989.281,49 1.037.079,44 42 989.780,10 1.036.572,84 50 989.229,80 1.036.298,86 35 989.451,10 1.037.229,27 43 989.635,17 1.036.414,52 51 989.072,07 1.036.416,36 36 989.409,80 1.037.270,40 44 989.660,02 1.036.347,16 52 989.136,61 1.036.486,02 37 989.523,13 1.037.421,42 45 989.542,27 1.036.191,88 53 989.107,83 1.036.697,61 38 989.677,07 1.037.225,69 46 989.455,07 1.036.165,59 54 988.941,72 1.036.870,07 ÁREA URBANA LA PRADERA X Y X Y X Y 1 994.231,05 1.045.395,69 11 994.168,91 1.044.864,57 21 993.830,55 1.044.683,20 2 994.203,74 1.045.297,79 12 994.274,34 1.044.795,95 22 993.806,58 1.044.494,68 3 994.249,52 1.045.264,93 13 994.234,28 1.044.766,14 23 993.598,34 1.044.681,58 4 994.062,98 1.045.211,16 14 994.115,19 1.044.797,16 24 993.784,43 1.045.072,84 5 994.047,93 1.045.181,17 15 994.131,51 1.044.859,00 25 993.746,52 1.045.194,66 6 994.099,26 1.045.176,42 16 994.023,23 1.044.975,27 26 993.799,99 1.045.294,70 7 994.134,07 1.045.048,93 17 993.924,84 1.044.908,16 27 993.864,21 1.045.295,10 8 994.115,26 1.045.033,06 18 993.950,51 1.044.802,83 28 993.879,42 1.045.352,65 9 994.152,60 1.045.025,24 19 993.900,29 1.044.719,85 29 993.964,01 1.045.422,19 10 994.195,58 1.044.955,59 20 993.932,92 1.044.683,21 30 994.231,05 1.045.395,69 Artículo 14. DELIMITACIÓN DEL SUELO DE EXPANSIÓN URBANA. En el municipio de Subachoque, el perímetro del suelo de expansión urbana se delimita por las siguientes coordenadas: ÁREA DE EXPANSIÓN URBANA X Y X Y X Y 1 989.112,94 1.036.460,02 5 988.724,49 1.036.674,64 9 989.107,83 1.036.697,61 2 989.072,07 1.036.416,36 6 988.744,38 1.036.692,40 10 989.136,61 1.036.486,02 3 988.940,86 1.036.456,55 7 988.720,82 1.036.719,04 11 989.112,94 1.036.460,02 4 988.779,71 1.036.583,26 8 988.912,39 1.036.900,37 Artículo 15. DELIMITACIÓN DEL PERÍMETRO DEL SUELO RURAL El perímetro del suelo rural se encuentra definido y delimitado en el plano CR-01, Áreas de actividad en suelo rural.
  • 15.
    CIPIO DE AGUAZUL ACUERDONo. _____ “POR EL CUAL SE ADOPTA LA REVISIÓN GENERAL DEL ESQUEMA DE ORDENAMIENTO TERRITORIAL DEL MUNICIPIO DE SUBACHOQUE” EOT 15 Artículo 16. DELIMITACIÓN DEL SUELO DE PROTECCIÓN La delimitación del suelo de protección es la siguiente: RESOLUCIÓN 138 DE 2014 X Y X Y X Y 1 996.111,35 1.050.943,49 46 996.700,39 1.048.569,87 91 998.010,38 1.047.989,85 2 996.489,27 1.050.831,54 47 996.537,18 1.048.129,22 92 998.591,85 1.048.130,82 3 995.997,21 1.050.295,63 48 996.027,03 1.049.178,25 93 996.147,19 1.044.790,01 4 996.042,37 1.050.817,24 49 996.424,32 1.050.026,26 94 996.169,12 1.043.701,08 5 995.862,19 1.050.550,89 50 997.001,10 1.050.113,85 95 995.104,74 1.043.700,83 6 995.718,03 1.051.175,86 51 994.844,32 1.050.101,60 96 995.285,82 1.044.397,05 7 996.070,42 1.051.289,87 52 994.870,29 1.049.542,40 97 995.789,96 1.044.179,90 8 996.111,35 1.050.943,49 53 994.500,70 1.050.137,37 98 995.354,13 1.044.516,90 9 995.637,30 1.050.959,85 54 994.844,32 1.050.101,60 99 995.382,52 1.044.967,03 10 995.414,47 1.051.077,66 55 994.871,76 1.049.453,22 100 996.147,19 1.044.790,01 11 995.658,34 1.051.156,55 56 995.137,41 1.048.912,15 101 991.284,75 1.044.371,97 12 995.637,30 1.050.959,85 57 994.707,46 1.048.905,53 102 991.274,65 1.044.355,73 13 995.849,41 1.050.487,06 58 994.760,38 1.048.693,87 103 991.317,07 1.044.434,67 14 996.122,54 1.049.568,51 59 994.331,46 1.049.333,22 104 991.284,75 1.044.371,97 15 996.028,13 1.049.382,52 60 994.476,21 1.050.032,70 105 991.005,32 1.044.193,70 16 995.655,63 1.050.019,74 61 994.871,76 1.049.453,22 106 990.878,79 1.043.667,38 17 995.989,04 1.049.239,31 62 994.555,18 1.048.905,56 107 990.516,39 1.043.901,03 18 995.678,26 1.048.666,79 63 994.316,07 1.049.269,58 108 990.442,29 1.044.161,56 19 995.791,06 1.049.272,54 64 994.509,80 1.049.212,34 109 991.005,32 1.044.193,70 20 995.568,84 1.049.386,80 65 994.555,18 1.048.905,56 110 990.400,52 1.044.130,07 21 995.642,98 1.048.586,47 66 994.375,75 1.048.185,62 111 990.861,81 1.043.609,77 22 995.385,82 1.048.438,53 67 994.120,39 1.048.459,89 112 990.560,11 1.043.223,59 23 994.916,93 1.049.493,10 68 994.266,99 1.049.066,46 113 990.911,47 1.042.946,27 24 994.936,29 1.050.556,10 69 994.669,08 1.048.579,31 114 990.583,61 1.042.771,74 25 995.369,77 1.051.036,17 70 994.375,75 1.048.185,62 115 989.690,38 1.043.341,21 26 995.849,41 1.050.487,06 71 998.591,85 1.048.130,82 116 990.381,51 1.042.747,34 27 996.545,94 1.050.808,40 72 998.989,13 1.047.616,77 117 990.046,89 1.042.176,78 28 996.671,18 1.050.524,26 73 998.889,70 1.045.905,37 118 988.894,32 1.042.795,40 29 996.155,53 1.049.619,17 74 997.896,97 1.046.282,05 119 989.184,92 1.043.049,79 30 996.034,05 1.050.239,02 75 998.651,77 1.048.038,31 120 988.842,09 1.042.861,48 31 996.545,94 1.050.808,40 76 997.845,41 1.046.314,28 121 989.925,11 1.041.834,53 32 996.747,29 1.050.222,71 77 997.222,49 1.047.443,77 122 989.446,66 1.041.816,86 33 996.553,65 1.050.192,69 78 997.215,16 1.047.041,67 123 989.315,83 1.042.301,23 34 996.721,46 1.050.490,48 79 997.559,82 1.046.372,08 124 989.269,04 1.041.773,77
  • 16.
    CIPIO DE AGUAZUL ACUERDONo. _____ “POR EL CUAL SE ADOPTA LA REVISIÓN GENERAL DEL ESQUEMA DE ORDENAMIENTO TERRITORIAL DEL MUNICIPIO DE SUBACHOQUE” EOT 16 RESOLUCIÓN 138 DE 2014 X Y X Y X Y 35 996.747,29 1.050.222,71 80 998.942,20 1.045.636,71 125 987.643,07 1.041.437,65 36 994.953,86 1.050.360,35 81 997.807,75 1.045.273,13 126 986.948,54 1.042.066,04 37 995.000,21 1.049.959,06 82 997.259,43 1.045.564,87 127 987.810,75 1.043.289,34 38 994.799,82 1.050.366,80 83 997.202,71 1.046.062,96 128 988.637,76 1.043.848,18 39 994.953,86 1.050.360,35 84 996.503,78 1.045.934,76 129 989.137,33 1.043.970,86 40 994.778,05 1.050.291,25 85 996.831,34 1.046.633,94 130 989.792,24 1.043.525,10 41 994.852,37 1.050.161,82 86 996.809,79 1.047.178,85 131 989.065,25 1.044.033,50 42 994.710,79 1.050.289,48 87 996.319,21 1.047.175,80 132 985.989,42 1.042.211,56 43 994.778,05 1.050.291,25 88 996.480,17 1.047.959,65 133 985.404,99 1.041.296,10 44 997.001,10 1.050.113,85 89 997.330,38 1.047.509,86 134 986.004,61 1.042.429,73 45 996.907,57 1.048.461,00 90 998.080,38 1.047.649,85 135 987.466,02 1.043.717,41 RESOLUCIÓN 138 DE 2014 X Y X Y X Y 136 988.567,63 1.044.109,80 181 989.288,58 1.030.190,61 226 993.111,13 1.036.302,13 137 990.400,52 1.044.130,07 182 988.728,06 1.030.426,51 227 993.392,85 1.036.615,25 138 988.700,45 1.042.350,45 183 988.483,49 1.030.864,14 228 994.596,35 1.035.813,47 139 988.717,43 1.042.469,29 184 988.648,57 1.031.585,51 229 993.739,97 1.036.501,40 140 988.649,08 1.042.398,53 185 988.920,90 1.031.185,13 230 993.898,97 1.036.934,90 141 988.700,45 1.042.350,45 186 989.841,99 1.031.182,32 231 994.957,71 1.035.809,67 142 996.849,61 1.043.869,21 187 988.922,74 1.031.249,47 232 993.947,67 1.036.971,31 143 996.500,71 1.041.315,00 188 988.660,44 1.031.688,78 233 994.358,42 1.037.302,57 144 994.837,31 1.041.460,55 189 988.980,44 1.031.685,36 234 994.892,10 1.036.239,69 145 994.892,27 1.041.963,60 190 988.811,89 1.032.069,79 235 994.412,06 1.037.372,54 146 996.481,87 1.041.710,39 191 989.278,50 1.032.646,56 236 994.734,57 1.037.666,22 147 995.787,14 1.041.962,81 192 990.212,59 1.032.405,65 237 994.990,29 1.037.479,06 148 996.302,04 1.042.590,56 193 989.302,36 1.032.702,35 238 994.707,74 1.037.721,94 149 995.709,39 1.041.961,16 194 989.471,50 1.032.899,29 239 995.133,54 1.038.278,88 150 995.208,44 1.041.956,09 195 989.758,76 1.033.150,17 240 994.988,11 1.038.570,15 151 995.312,51 1.042.619,12 196 990.614,93 1.032.162,84 241 995.455,67 1.038.946,64 152 995.160,31 1.041.992,10 197 989.841,78 1.033.038,43 242 994.907,21 1.039.188,61 153 994.804,54 1.042.166,29 198 989.955,96 1.033.361,32 243 994.745,15 1.040.488,27 154 994.895,20 1.042.781,78 199 990.193,42 1.033.548,31 244 995.133,45 1.040.708,07 155 996.160,37 1.042.702,64 200 990.533,61 1.032.929,74 245 996.413,92 1.040.383,77 156 994.961,53 1.042.802,50 201 990.241,31 1.033.590,23 246 996.087,01 1.040.677,49 157 995.052,65 1.043.110,90 202 990.558,03 1.033.761,40 247 994.807,96 1.040.689,36 158 995.592,58 1.043.114,54 203 990.814,38 1.032.611,35 248 994.844,01 1.041.394,81
  • 17.
    CIPIO DE AGUAZUL ACUERDONo. _____ “POR EL CUAL SE ADOPTA LA REVISIÓN GENERAL DEL ESQUEMA DE ORDENAMIENTO TERRITORIAL DEL MUNICIPIO DE SUBACHOQUE” EOT 17 RESOLUCIÓN 138 DE 2014 X Y X Y X Y 159 995.052,55 1.043.171,38 204 990.750,77 1.033.150,04 249 995.538,08 1.041.399,70 160 995.110,95 1.043.560,94 205 991.350,01 1.032.880,62 250 993.654,50 1.036.646,81 161 995.961,77 1.043.422,08 206 991.777,43 1.033.103,36 251 993.597,20 1.036.661,63 162 996.570,12 1.042.779,65 207 991.118,40 1.032.959,11 252 993.637,70 1.036.678,94 163 996.035,71 1.043.441,70 208 990.709,26 1.033.264,32 253 993.654,50 1.036.646,81 164 996.671,28 1.043.338,29 209 990.587,69 1.033.823,20 254 989.373,97 1.032.991,62 165 995.971,25 1.043.483,07 210 991.078,56 1.034.468,88 255 989.142,16 1.032.801,58 166 996.398,95 1.043.948,57 211 991.388,11 1.034.620,73 256 989.220,10 1.033.143,65 167 996.849,61 1.043.869,21 212 992.246,06 1.033.274,64 257 989.373,97 1.032.991,62 168 995.538,08 1.041.399,70 213 992.664,95 1.033.263,00 258 988.412,44 1.030.825,10 169 996.495,30 1.041.255,21 214 991.504,56 1.034.428,84 259 989.242,78 1.030.145,11 170 996.587,98 1.040.684,19 215 991.428,68 1.034.686,85 260 988.553,90 1.029.024,53 171 996.059,68 1.039.096,81 216 991.726,21 1.034.612,02 261 987.864,71 1.028.864,06 172 996.267,32 1.038.002,00 217 991.492,87 1.034.802,33 262 988.322,52 1.029.230,59 173 995.567,43 1.037.299,04 218 991.890,94 1.034.704,37 263 987.999,38 1.029.362,82 174 995.493,66 1.036.140,99 219 991.522,35 1.034.858,57 264 987.881,78 1.030.161,32 175 994.235,25 1.035.127,50 220 991.909,83 1.035.455,66 265 988.412,44 1.030.825,10 176 994.302,89 1.034.180,83 221 992.658,16 1.035.783,97 177 992.693,89 1.032.672,39 222 993.267,42 1.034.826,00 178 991.232,80 1.032.249,73 223 992.710,70 1.035.815,17 179 990.282,49 1.031.508,10 224 992.977,63 1.036.303,19 180 989.782,37 1.030.417,84 225 993.419,37 1.035.902,19 RESERVA FORESTAL PARAMILLO QUESERAS X Y X Y X Y 1 985.936,34 1.044.041,87 49 989.390,72 1.043.951,43 97 992.788,21 1.045.743,16 2 985.933,27 1.044.167,62 50 988.567,63 1.044.109,80 98 992.351,12 1.046.028,41 3 985.972,70 1.044.130,52 51 987.430,36 1.043.709,97 99 992.858,09 1.047.142,35 4 985.936,34 1.044.041,87 52 986.903,71 1.043.871,36 100 992.528,97 1.048.021,12 5 991.225,19 1.044.193,33 53 988.567,50 1.044.818,68 101 992.798,39 1.047.150,40 6 991.237,97 1.044.105,02 54 989.273,88 1.044.797,23 102 992.408,26 1.046.338,45 7 991.073,69 1.044.167,36 55 988.958,39 1.044.323,88 103 992.298,46 1.047.746,82 8 991.225,19 1.044.193,33 56 989.436,23 1.044.834,13 104 992.344,06 1.046.415,95 9 991.050,60 1.044.187,74 57 989.817,49 1.044.169,66 105 991.718,29 1.046.619,93 10 991.021,09 1.044.177,90 58 989.140,54 1.045.046,14 106 991.246,43 1.047.378,55 11 990.995,99 1.044.200,70 59 989.752,22 1.045.378,36 107 992.075,37 1.047.712,67 12 991.050,60 1.044.187,74 60 990.406,19 1.045.210,09 108 991.475,74 1.047.912,64
  • 18.
    CIPIO DE AGUAZUL ACUERDONo. _____ “POR EL CUAL SE ADOPTA LA REVISIÓN GENERAL DEL ESQUEMA DE ORDENAMIENTO TERRITORIAL DEL MUNICIPIO DE SUBACHOQUE” EOT 18 RESERVA FORESTAL PARAMILLO QUESERAS X Y X Y X Y 13 991.602,27 1.044.948,90 61 990.765,38 1.044.563,84 109 992.037,60 1.049.063,06 14 991.650,36 1.044.919,92 62 990.273,59 1.045.331,62 110 992.482,11 1.048.902,53 15 991.541,51 1.044.942,02 63 989.767,87 1.045.445,81 111 991.612,86 1.049.240,82 16 991.602,27 1.044.948,90 64 989.098,73 1.045.093,08 112 991.979,29 1.049.084,12 17 986.150,61 1.045.120,84 65 988.471,83 1.046.351,86 113 991.684,61 1.048.314,47 18 986.221,25 1.044.620,83 66 989.068,91 1.045.215,14 114 991.754,27 1.048.850,62 19 985.829,92 1.045.079,69 67 988.455,61 1.045.074,37 115 991.543,52 1.048.634,49 20 986.174,25 1.044.579,73 68 987.830,96 1.046.336,58 116 991.642,24 1.048.024,32 21 986.006,71 1.044.370,57 69 988.384,15 1.044.842,52 117 991.233,31 1.047.510,92 22 985.736,85 1.044.989,94 70 987.810,87 1.044.544,27 118 991.428,41 1.048.383,66 23 985.924,83 1.045.444,09 71 987.282,58 1.045.457,98 119 991.181,20 1.047.851,71 24 986.150,61 1.045.120,84 72 987.775,20 1.044.728,12 120 991.170,98 1.049.235,64 25 990.677,07 1.046.286,07 73 987.633,24 1.044.406,48 121 990.959,97 1.048.469,62 26 990.671,02 1.046.291,06 74 986.827,63 1.043.894,68 122 991.539,41 1.046.637,01 27 990.680,74 1.046.292,21 75 986.343,05 1.044.030,07 123 990.978,92 1.046.921,71 28 990.677,07 1.046.286,07 76 986.820,70 1.044.784,26 124 991.118,74 1.046.614,95 29 990.763,41 1.046.319,56 77 986.001,06 1.044.045,27 125 990.603,35 1.046.352,82 30 990.742,00 1.046.343,93 78 987.064,82 1.045.921,03 126 990.139,99 1.046.964,17 31 990.760,86 1.046.344,94 79 986.339,20 1.044.724,79 127 990.754,92 1.047.532,73 32 990.763,41 1.046.319,56 80 985.783,65 1.045.965,66 128 990.246,97 1.047.102,66 33 992.294,35 1.046.121,26 81 987.276,66 1.046.213,82 129 990.134,59 1.047.775,86 34 992.270,37 1.046.139,91 82 988.563,62 1.046.975,82 130 990.218,19 1.047.274,23 35 992.348,20 1.046.350,05 83 992.482,11 1.048.902,53 131 989.788,47 1.047.617,34 36 992.294,35 1.046.121,26 84 992.463,37 1.048.504,13 132 990.183,87 1.047.088,14 37 988.563,62 1.046.975,82 85 992.961,65 1.048.591,34 133 989.884,82 1.047.136,53 38 990.034,13 1.045.935,21 86 994.275,12 1.047.817,82 134 990.519,57 1.046.374,46 39 991.182,34 1.046.589,72 87 993.874,60 1.047.518,69 135 989.442,42 1.047.266,93 40 991.839,09 1.046.557,90 88 993.230,87 1.047.757,02 136 989.419,33 1.047.064,05 41 991.880,37 1.045.729,92 89 993.829,85 1.047.478,42 137 990.581,39 1.046.281,95 42 991.400,37 1.045.309,92 90 993.123,63 1.047.385,95 138 990.035,85 1.045.995,93 43 991.591,00 1.045.012,53 91 992.729,02 1.048.184,28 139 989.054,12 1.046.473,24 44 991.195,12 1.044.952,54 92 992.982,49 1.047.405,19 140 988.631,91 1.046.987,42 45 991.497,80 1.044.932,53 93 993.600,55 1.047.272,05 141 989.784,88 1.047.697,88 46 991.267,54 1.044.256,83 94 993.568,41 1.046.507,83 142 989.058,09 1.047.647,71 47 990.605,20 1.044.364,09 95 993.123,05 1.046.872,33 143 990.108,88 1.048.055,75 48 990.977,67 1.044.203,61 96 993.547,55 1.046.431,14 144 991.130,67 1.049.524,91
  • 19.
    CIPIO DE AGUAZUL ACUERDONo. _____ “POR EL CUAL SE ADOPTA LA REVISIÓN GENERAL DEL ESQUEMA DE ORDENAMIENTO TERRITORIAL DEL MUNICIPIO DE SUBACHOQUE” EOT 19 DMI RIO SUBACHOQUE Y PANTANO DE ARCE X Y X Y X Y 145 991.612,86 1.049.240,82 193 996.907,57 1.048.461,00 241 995.564,29 1.052.271,11 146 994.185,72 1.050.525,93 194 996.810,39 1.049.299,86 242 995.789,20 1.051.402,97 147 994.742,91 1.050.312,73 195 997.122,32 1.049.452,93 243 995.182,47 1.052.186,77 148 994.454,55 1.050.331,71 196 996.958,10 1.050.264,61 244 995.745,54 1.051.361,27 149 994.185,72 1.050.525,93 197 998.240,58 1.050.444,52 245 995.414,47 1.051.077,66 150 994.636,09 1.050.556,29 198 996.721,46 1.050.490,48 246 995.092,58 1.052.205,00 151 994.636,27 1.050.555,50 199 998.162,26 1.050.795,20 247 995.151,32 1.051.589,81 152 994.635,06 1.050.559,25 200 997.520,70 1.050.855,57 248 994.756,91 1.052.188,66 153 994.636,09 1.050.556,29 201 997.963,62 1.051.419,57 249 994.786,72 1.051.658,60 154 997.589,46 1.051.393,60 202 997.358,95 1.050.780,04 250 994.612,95 1.051.888,48 155 997.579,16 1.051.382,19 203 996.673,29 1.050.530,87 251 994.727,38 1.051.640,65 156 997.580,68 1.051.384,16 204 996.548,82 1.050.839,13 252 994.369,13 1.051.692,15 157 997.589,46 1.051.393,60 205 998.152,44 1.051.547,32 253 994.892,88 1.051.433,05 158 994.761,79 1.051.420,99 206 995.869,72 1.051.584,38 254 994.426,99 1.051.347,04 159 994.960,67 1.051.334,72 207 995.865,74 1.051.576,21 255 995.353,64 1.051.033,10 160 994.603,17 1.051.398,36 208 995.874,50 1.051.614,97 256 994.936,29 1.050.556,10 161 994.761,79 1.051.420,99 209 995.869,72 1.051.584,38 257 994.780,64 1.051.065,36 162 996.709,16 1.051.460,85 210 995.102,29 1.051.549,45 258 994.290,25 1.051.175,62 163 996.692,18 1.051.459,78 211 995.205,54 1.051.203,02 259 994.743,92 1.051.016,22 164 996.745,67 1.051.500,70 212 994.752,99 1.051.966,50 260 994.799,82 1.050.366,80 165 996.709,16 1.051.460,85 213 995.102,29 1.051.549,45 261 994.272,77 1.051.080,74 166 998.152,44 1.051.547,32 214 996.502,06 1.052.512,78 262 993.654,69 1.051.099,17 167 998.352,30 1.050.507,72 215 997.789,54 1.052.436,68 263 994.246,15 1.051.026,21 168 999.779,41 1.049.083,88 216 998.063,61 1.052.685,73 264 994.596,09 1.050.483,26 169 998.989,13 1.047.616,77 217 998.191,99 1.051.604,68 265 993.367,05 1.050.495,99 170 998.403,11 1.048.184,78 218 997.592,79 1.051.397,13 266 994.657,96 1.050.260,84 171 998.010,38 1.047.989,85 219 998.123,71 1.051.984,33 267 994.073,26 1.050.028,99 172 998.080,38 1.047.649,85 220 997.889,98 1.052.015,67 268 994.500,35 1.049.965,49 173 996.770,38 1.047.659,87 221 997.252,63 1.051.031,93 269 994.273,50 1.049.321,11 174 996.511,37 1.048.014,81 222 996.530,40 1.050.897,80 270 993.602,69 1.050.388,24 175 997.375,06 1.047.728,42 223 996.633,49 1.051.405,43 271 993.861,97 1.049.944,29 176 997.800,61 1.048.300,71 224 997.284,05 1.051.568,31 272 993.536,51 1.049.983,55 177 998.982,04 1.048.434,86 225 996.821,94 1.051.646,55 273 994.281,21 1.049.125,34 178 999.543,11 1.048.989,53 226 997.446,47 1.051.750,96 274 993.056,68 1.049.955,31 179 998.508,11 1.049.727,58 227 996.807,66 1.051.710,99 275 994.266,99 1.049.066,46 180 999.487,83 1.049.070,14 228 996.860,94 1.051.922,82 276 994.365,52 1.047.948,75 181 999.208,10 1.048.593,91 229 997.832,60 1.052.069,15 277 993.019,52 1.048.632,41
  • 20.
    CIPIO DE AGUAZUL ACUERDONo. _____ “POR EL CUAL SE ADOPTA LA REVISIÓN GENERAL DEL ESQUEMA DE ORDENAMIENTO TERRITORIAL DEL MUNICIPIO DE SUBACHOQUE” EOT 20 DMI RIO SUBACHOQUE Y PANTANO DE ARCE X Y X Y X Y 182 998.499,31 1.048.609,09 230 997.410,79 1.052.248,22 278 993.578,67 1.049.001,84 183 998.261,01 1.049.369,02 231 996.844,18 1.051.981,49 279 992.866,22 1.049.306,79 184 998.440,21 1.048.595,92 232 996.950,30 1.052.330,24 280 992.844,57 1.050.021,29 185 998.078,34 1.048.209,58 233 996.434,52 1.050.965,31 281 993.352,82 1.050.126,27 186 997.557,08 1.048.675,05 234 996.111,35 1.050.943,49 282 993.564,31 1.051.440,58 187 997.656,36 1.048.271,17 235 996.070,42 1.051.289,87 283 994.060,07 1.051.510,96 188 997.420,70 1.048.803,93 236 995.716,91 1.051.245,27 284 994.952,97 1.052.340,32 189 997.664,06 1.048.179,11 237 996.612,11 1.052.309,53 285 996.097,58 1.052.752,93 190 997.373,52 1.047.799,48 238 995.892,30 1.051.653,26 286 996.502,06 1.052.512,78 191 996.517,52 1.048.076,13 239 995.924,76 1.052.492,45 192 996.700,39 1.048.569,87 240 995.797,74 1.051.857,65 Artículo 17. UMBRAL MÁXIMO DE SUB-URBANIZACIÓN. En los términos del Art. 1 del Decreto 3600 de 2007, el umbral máximo de suburbanización es el porcentaje máximo de suelo que puede ser clasificado como suburbano. Esta es una norma de carácter estructurante y, por consiguiente, no podrá ser modificada sino con ocasión de la revisión del largo plazo del presente EOT. El umbral máximo de suburbanización para el municipio de Subachoque es del 0%. Artículo 18. ÁREAS DEL MODELO DE OCUPACIÓN DEL TERRITORIO AREAS SUBACHOQUE CATEGORÍA AREA (Ha) % ÁREA URBANA Área de Expansión 11,88 0,06% Área urbana 100,00 0,47% PRODUCCIÓN Agropecuario intensivo 2.556,00 12,12% Agropecuario tradicional 8.050,00 38,17% ÁREA DE PROTECCIÓN Rondas Hídricas 1.983,00 9,40% Resolución 138 4.502,00 21,35% DMI 3.648,00 17,30% Quebrada Paramillo y Quesero 210,00 1,00% CENTRO POBLADOS CP Total 25,00 0,12% DOTACIONAL Dotacional 3,82 0,02% MUNICIPIO Área Total 21.089,00 100,00% CAPÍTULO III DE LAS ÁREAS DE PROTECCIÓN
  • 21.
    CIPIO DE AGUAZUL ACUERDONo. _____ “POR EL CUAL SE ADOPTA LA REVISIÓN GENERAL DEL ESQUEMA DE ORDENAMIENTO TERRITORIAL DEL MUNICIPIO DE SUBACHOQUE” EOT 21 Artículo 19. CATEGORÍAS DE PROTECCIÓN EN SUELO RURAL. Las categorías del suelo rural que se constituyen suelo de protección en los términos del artículo 35 de la Ley 388 de 1997 y son normas urbanísticas de carácter estructural de conformidad con lo establecido 15 de la misma ley. CATEGORÍAS DE PROTECCIÓN EN SUELO RURAL. (Decreto 3600 de 2008) 1 Áreas de conservación y protección ambiental 1.1 Las áreas del sistema nacional de áreas protegidas 1.2 Áreas de reserva forestal 1.2.1. Reserva forestal protectora productora de la cuenca alta del Rio Bogotá (Res. 138 de 2014 Ministerio de Ambiente y Desarrollo Sostenible) 1.2.2. Reserva forestal protectora de las quebradas Paramillo y Queseras 1.3 Áreas de manejo especial 1.3.1. Distrito de manejo integrado DMI de la Cuenca del Rio Subachoque y Región del Pantano de Arce 1.4 Áreas de especial importancia eco sistémica 2 Áreas para la producción agrícola y ganadera y de explotación de recursos naturales. 3 Áreas e inmuebles considerados como patrimonio cultural 4 Áreas del sistema de servicios públicos domiciliarios. 5 Áreas con condición de amenaza y con condición de riesgo Artículo 20. ÁREAS DE CONSERVACIÓN Y PROTECCIÓN AMBIENTAL (ESTRUCTURA ECOLÓGICA PRINCIPAL - EEP). La Estructura Ecológica Principal es el conjunto de elementos bióticos y abióticos que dan sustento a los procesos ecológicos esenciales del territorio, cuya finalidad es la preservación, conservación, restauración, uso y manejo sostenible de los recursos naturales renovables, los cuales brindan la capacidad de soporte para el adecuado desarrollo socioeconómico de las poblaciones. La Estructura Ecológica Principal es aquella porción de territorio seleccionada y delimitada para su protección y apropiación sostenible, ya que ella posee elementos tanto naturales como construidos de carácter principal, que determinan la oferta ambiental del territorio, conformando un elemento estructurante a partir del cual se organiza el espacio urbano y rural. Incluye las áreas que deben ser objeto de especial protección ambiental de acuerdo con la legislación vigente y las que hacen parte de la Estructura Ecológica Principal. Artículo 21. OBJETIVOS DE LA EEP. Son objetivos específicos de la Estructura Ecológica Principal, los siguientes:  Sostener y conducir procesos ecológicos esenciales, garantizando la conexión biológica y la disponibilidad de servicios ambientales en todo el territorio.  Elevar la calidad ambiental y balancear su oferta a través del territorio en correspondencia con la demanda de la población.  Restaurar y/o preservar los ecosistemas que brindan beneficios ambientales vitales para el desarrollo sostenible del Municipio.  Conservar los elementos representativos y valores singulares del patrimonio natural y paisajístico contribuyendo a la formación de la malla ambiental.  Promover la apropiación y garantizar el libre acceso al disfrute público de la oferta ambiental por parte de la población.
  • 22.
    CIPIO DE AGUAZUL ACUERDONo. _____ “POR EL CUAL SE ADOPTA LA REVISIÓN GENERAL DEL ESQUEMA DE ORDENAMIENTO TERRITORIAL DEL MUNICIPIO DE SUBACHOQUE” EOT 22  Recuperar y proteger las fuentes hídricas.  Implementar un régimen de usos que permita la apropiación pública sostenible como estrategia tanto de educación ambiental como de socialización de responsabilidades para su conservación.  Establecer y adecuar las áreas verdes en la categoría de parques urbanos, para el desarrollo de actividades recreacionales de forma tal que generen beneficios paisajísticos para estas áreas.  Establecer interconexión espacial y funcional con elementos del sistema de áreas protegidas de forma tal que se aumente cualitativa y cuantitativamente la oferta ambiental urbana conformando la malla ambiental. Artículo 22. COMPONENTES DE LA EEP. La Estructura Ecológica Principal está conformada por el sistema de áreas protegidas, y el sistema de parques, conforme al detalle que se presenta a continuación. COMPONENTES DE LA ESTRUCTURA ECOLÓGICA PRINCIPAL SISTEMA DE ÁREAS PROTEGIDAS 1 Áreas de conservación y protección ambiental (EEP) 1.1 Áreas de protección del sistema orográfico 1.1.1 Reserva forestal protectora productora de la cuenca alta del Rio Bogotá (Res. 138 de 2014 Ministerio de Ambiente y Desarrollo Sostenible) 1.1.2 Reserva forestal protectora de las quebradas Paramillo y Queseras 1.1.3 Distrito de manejo integrado DMI de la Cuenca del Rio Subachoque y Región del Pantano de Arce 1.2 Áreas de especial importancia eco sistémica 1.2.1 Rondas de protección hídrica 1.2.2 Áreas de Infiltración y Recarga de Acuíferos Artículo 23. SISTEMA DE ÁREAS PROTEGIDAS. El Sistema de Áreas Protegidas, es el conjunto de espacios con valores para el patrimonio natural, cuya conservación resulta imprescindible para el funcionamiento de los ecosistemas y la conservación de la biodiversidad. Este sistema está compuesto en el Municipio por las Áreas de Protección del Sistema Hídrico y las Áreas de Protección del Sistema Orográfico, todas estas del orden municipal. Con miras a la conformación de una malla ambiental a través de la cual se contribuya al mantenimiento y/o reconstrucción de la continuidad ecológica, el Municipio propenderá por la generación de corredores de comunicación entre las diferentes áreas que hacen parte del sistema de áreas protegidas. Estos corresponden a las áreas de protección de las quebradas o rondas hídricas que discurren desde los cerros orientales y occidentales hasta el rio Subachoque y que forman el corredor ecológico. Parágrafo. Las áreas protegidas deben dedicarse a la preservación y/o recuperación de su vegetación natural, en cumplimiento de los objetivos acordados en el numeral anterior. No obstante, las autoridades municipales y/o las autoridades ambientales competentes, podrán declararlas y manejarlas como áreas de reserva forestal del orden municipal, regional o nacional u otras figuras que prevea la legislación vigente.
  • 23.
    CIPIO DE AGUAZUL ACUERDONo. _____ “POR EL CUAL SE ADOPTA LA REVISIÓN GENERAL DEL ESQUEMA DE ORDENAMIENTO TERRITORIAL DEL MUNICIPIO DE SUBACHOQUE” EOT 23 Artículo 24. ÁREAS DE PROTECCIÓN DEL SISTEMA HÍDRICO. Son el conjunto de áreas de preservación ambiental y restauración periférica a nacimientos y cauces de ríos, quebradas, arroyos, embalses, humedales y vallados, así como a las zonas de recarga de acuíferos. Entiéndase la zona de preservación y los cuerpos de agua como una unidad ecológica. Artículo 25. ÁREAS PERIFÉRICAS A NACIMIENTOS, CAUCES DE AGUA, EMBALSES, HUMEDALES Y VALLADOS. Son franjas de suelo paralelas al nivel máximo de agua y ubicadas a lado y lado de los nacimientos, cauces de ríos, quebradas, arroyos, embalses, humedales, vallados y demás cuerpos de aguas, sean permanentes o no. En el Municipio de Subachoque, hacen parte de este sistema como componentes del sistema hídrico los siguientes, en el marco del acuerdo 17 de 2009 de la CAR: ÁREAS PERIFÉRICAS A NACIMIENTOS, CAUCES DE AGUA, EMBALSES, HUMEDALES Y VALLADOS Elemento del Sistema Hídrico Ancho de Ronda Nacimientos 100 ML a la redonda, medidos a partir de la periferia de los nacimientos. Río Subachoque 30 ML de ancho, paralelo al nivel máximo de aguas a cada lado del cauce. Y 60 Ml de ancho paralelo “La Cuesta” Demás quebradas y cuerpos de agua permanentes e intermitentes 30 ML a lado y lado en el área urbana y rural, paralelo al nivel máximo de las aguas. Humedales y Embalses naturales 30 ML a la redonda, paralelo al nivel máximo de las aguas. Red de vallados, canales de drenaje y reservorios 10 ML a lado y lado en el área rural y centros poblados rurales y 5 ML a lado y lado en el área urbana o de expansión urbana. Artículo 26. ÁREAS DE INFILTRACIÓN Y RECARGA DE ACUÍFEROS. Son aquellas que permiten la infiltración, circulación o tránsito de aguas entre la superficie y el subsuelo. En el municipio de Subachoque corresponden, principalmente, a las áreas montañosas más altas y a las laderas más escarpadas, cubiertas de bosque nativo, primario o secundario o matorrales y pajonales, así como los valles aluviales del río Subachoque. No obstante, es importante destacar que esta misma función es cumplida, de manera natural por áreas montañosas como las descritas, aun cuando en la actualidad se encuentren cubiertas de pastos o de plantaciones forestales artificiales, caso en el cual es de particular importancia desarrollar sobre ellas proyectos y acciones tendientes a la recuperación de su condición natural, dada la importancia ambiental de las mismas dentro de la estructura ecológica principal. Parágrafo primero. Dada la importancia estratégica ambiental de las áreas de recarga de los acuíferos de la subcuenca del río Subachoque, la Administración Municipal adelantará las gestiones pertinentes para que, en el corto plazo, se realicen los estudios técnicos tendientes a la determinación de estas áreas de infiltración y recarga de acuíferos, para lo cual tendrá un plazo de dos (2) años a partir de la aprobación del acuerdo municipal. Parágrafo segundo. El municipio adelantará el Estudio de cotas máximas de inundación Rio Subachoque y quebradas tributarias. Una vez realizado este estudio la Administración Municipal ajustará la ronda de las quebradas al resultado del mismo, previo análisis y aceptación por parte de la autoridad ambiental CAR.
  • 24.
    CIPIO DE AGUAZUL ACUERDONo. _____ “POR EL CUAL SE ADOPTA LA REVISIÓN GENERAL DEL ESQUEMA DE ORDENAMIENTO TERRITORIAL DEL MUNICIPIO DE SUBACHOQUE” EOT 24 Artículo 27. ÁREAS FORESTALES. Corresponden al conjunto de áreas protegidas conformadas por elementos del relieve natural del territorio municipal. 1. Reserva forestal protectora productora de la cuenca alta del Rio Bogotá (Res. 138 de 2014 Ministerio de Ambiente y Desarrollo Sostenible El artículo 206 del Decreto - Ley 2811 de 1974 denomina área de reserva forestal la zona de propiedad pública o privada reservada para destinarla exclusivamente al establecimiento o mantenimiento y utilización racional de áreas forestales productoras, protectoras o productoras y protectoras. De acuerdo con la RESOLUCION 0076 DE 1977 (Marzo 31) Por la cual se aprueba un acuerdo de la Junta Directiva del Instituto Nacional de los Recursos Naturales Renovables y del Ambiente -INDERENA-, El cual es el acuerdo 030 del 30 de Septiembre de 1976, Por el cual se declaran y alindan unas áreas de reserva forestal y se delegan unas funciones. Y al respecto en este acuerdo se consideró: “Que la vegetación de las montañas situadas alrededor de la Sabana de Bogotá debe ser protegida para conservar su efecto regulador de la cantidad y calidad de las aguas que son utilizadas por los habitantes de ella; Que el paisaje constituido por dichas montañas merece protección por su contribución al bienestar físico y espiritual de los habitantes del Distrito Especial de Bogotá y Municipios aledaños;…… entre otros” Y este acuerdo acordó: “Artículo1: Declarar como Área de Reserva Forestal Protectora a la zona denominada Bosque Oriental de Bogotá, ubicada en jurisdicción del Distrito Especial de Bogotá, y comprendida por los siguientes linderos generales: "Por el Oriente: Partiendo del Boquerón de Chipaque en la intersección con la Carretera del Oriente; continúa en línea recta hasta el punto geodésico Cax 352, y siguiendo en dirección noreste por la divisoria de aguas hasta el Alto de las Mirlas; de allí por la Cuchilla hasta el Alto de la Horqueta; siguiendo la misma divisoria en dirección noreste, pasando por el Alto de la Cruz Verde, Alto del Buitre, el Cerro de Plazuelas y el Alto de los Tunjos. Siguiendo la misma divisoria al Sur de la Laguna de Vergón, en dirección Oriente, hasta el Morro de Matarredonda; de allí, siguiendo en dirección Norte, por la divisoria de aguas a través del Alto de la Bolsa, Alto del Rejo, Alto de la Cruz, hasta el Alto de Sarnoso. Desde este punto, en dirección Occidente, en línea recta hasta el nacimiento de la Quebrada Turín, y por ésta aguas abajo hasta la confluencia de la Quebrada Carrizal, siguiendo ésta aguas arriba hasta su nacimiento, de donde se sigue en línea recta, en dirección noreste, hasta el Alto de Piedra Ballena; siguiendo la divisoria hacia el Norte, hasta el punto geodésico "Piedras", y de allí por la misma divisoria hasta el nacimiento de la Quebrada El Chicó, luego a la cumbre del Cerro La Moya, y en línea recta hasta el sitio Los Patios (intersección con la carretera Bogotá - La Calera); luego sigue por la misma divisoria de aguas, en dirección Norte; hasta la Estación La Cuchilla, del cable aéreo de Cemento Samper, de allí se sigue al Norte hasta el Alto de Serrezuela, continuando a los Cerros de Cañada, Moreno, los Cerros de La Cumbre,
  • 25.
    CIPIO DE AGUAZUL ACUERDONo. _____ “POR EL CUAL SE ADOPTA LA REVISIÓN GENERAL DEL ESQUEMA DE ORDENAMIENTO TERRITORIAL DEL MUNICIPIO DE SUBACHOQUE” EOT 25 y siguiendo hacia el Norte por la divisoria hasta el Alto de Pan de Azúcar en el punto geodésico "Pan". Por el Norte: Partiendo del punto geodésico "Pan", tomando en dirección noreste, hacia la cima de la Lomita de Torca, hasta interceptar la Carretera Central del Norte (Alto de Torca). Por el Occidente: Partiendo del punto Alto de Torca, en la Carretera Central del Norte, se continúa por esta vía hacia el Sur, hasta la calle 193, se sigue por la prolongación de esta calle en dirección Este hasta encontrar el perímetro sanitario en la cota 2.700 metros se continúa por esta cota en dirección general Sur hasta el límite Norte del Barrio El Paraíso (corresponde a los planos 223/4-1 y 223/4-2, regularizado por el Departamento Administrativo de Planeación Distrital), bordeando este Barrio por el Oriente; se continúa por la misma curva de nivel (2.700 metros) hasta encontrar el Paseo Bolívar (Carretera de Circunvalación ); se sigue por dicho Paseo en dirección Este hasta encontrar la calle 9 Sur; por esta vía se continúa hasta la curva de nivel 2.750 metros; se sigue por esta cota, en dirección Sur, hasta la calle 15 Sur, por esta vía hacia el sureste, hasta encontrar la curva de nivel 2.850; se sigue por esta cota hasta encontrar la Quebrada Ramajal; por esta Quebrada, aguas arriba, hasta encontrar la curva de nivel 2.920 metros en el Barrio Los Alpes, se continúa por esta curva hasta encontrar el lindero Norte de la propiedad de la Empresa de Acueducto y Alcantarillado en dicho Barrio; por este lindero hasta donde la curva de nivel 2.900 metros la corta; se sigue en línea recta hasta el punto de intersección de la curva de nivel 3.100 metros con la prolongación del lindero Sur de la mencionada propiedad (Tanque de Los Alpes); se continúa por dicha curva de nivel hacia el Sur hasta encontrar el divorcio de aguas del Boquerón de Chipaque, se sigue por esta divisoria de aguas, en dirección Oeste, hasta su intersección con la Carretera de Oriente, punto de partida". Artículo 2: Declarar como Área de Reserva Forestal Protectora - Productora la Cuenca Alta del Río Bogotá, aguas arriba de la cota superior del Salto de Tequendama, con excepción de las tierras que están por debajo de la cota 2.650 y tengan una pendiente inferior al 100%, y de las definidas por el artículo 1 de este Acuerdo y por el perímetro urbano y sanitario de la ciudad de Bogotá……” A raíz de que en el área de la reserva forestal delimitada, incluso desde antes del año 1977, ya existían algunas intervenciones que no guardaban relación con el objetivo de la reserva, como lo son áreas urbanas, áreas de expansión urbana, centros poblados, áreas industriales, áreas comerciales y de servicios, áreas agropecuarias, ente otras, después de varios planteamientos y demás, el Ministerio de Ambiente y Desarrollo Sostenible – MADS, realizó en conjunto con otras entidades el proceso de realinderación de la reserva, el cual dio como resultado lo que se materializó en la resolución 138 de 2014 del MADS, la cual realinderó el área de reserva forestal protectora productora de la cuenca alta del Rio Bogotá, la cual quedó constituida con 94.161 Has, aproximadamente distribuidas en 16 sectores o polígonos, dentro de los cuales el Municipio de Subachoque tiene jurisdicción en los sectores 4 y 5. En el artículo 2 de esta resolución dice: Efecto protector. En el marco de lo dispuesto en el acuerdo 030 de 1976, aprobada por la resolución 076 de 1977, en concordancia con el artículo 61 de la ley 99 de 1993, al efecto protector de la reserva forestal protectora productora de la cuenca alta del Rio Bogotá, se define como aquel que permite conservar las coberturas naturales, el paisaje
  • 26.
    CIPIO DE AGUAZUL ACUERDONo. _____ “POR EL CUAL SE ADOPTA LA REVISIÓN GENERAL DEL ESQUEMA DE ORDENAMIENTO TERRITORIAL DEL MUNICIPIO DE SUBACHOQUE” EOT 26 agropecuario y forestal característico de la sabana de Bogotá y el recurso hídrico superficial o subterráneo así como establecer y mantener la conectividad de los mismos. Hacen parte del área de reserva forestal de la cuenca alta del Rio Bogotá, los suelos ubicados en los Cerros orientales y occidentales. De acuerdo al plano CG-01. Estructura Ecológica Principal. 2. Distrito de manejo integrado nacimiento del Rio Subachoque y Pantano de Arce y RFP Quebradas Paramillo y Queseros Son áreas de protección y reserva que, con base en criterios de desarrollo sostenible, permiten ordenar, planificar y regular el uso y manejo de los recursos naturales renovables y las actividades económicas que allí se desarrollan.  Zona de Preservación (Área de reserva forestal protectora). Con fines de preservar la riqueza florística y los recursos hídricos.  Zona de Recuperación para la Preservación. Con el fin de implantar acciones encaminadas a establecer condiciones primigenias de la zona para asegurar la calidad y cantidad del recurso hídrico.  Zona de Producción (Zona de amortiguación). La cual cumple la función de franja amortiguadora del área de reserva forestal protectora y la zona de recuperación para la preservación.  Zona de Protección (Área de reserva forestal protectora productora). Con el fin de mantener y conservar plantaciones establecidas desde hace más de diez (10) años Con el fin de garantizar la conservación y protección de ecosistemas importantes por su potencial hídrico en el Pantano de Arce y en la parte alta de la Cuenca del Río Subachoque, este esquema acoge lo establecido por el Decreto No. 2372 de 2010, el Sistema Nacional de Áreas Protegidas. En cuanto a la delimitación del área correspondiente al D.M.I. y su correspondiente zonificación y asignación de usos, este esquema acoge el Acuerdo 17 del 17 de septiembre de 1993 de la CAR para las quebradas Paramillo y Queseros (La Pradera) y el Acuerdo 17 de 1997 de la CAR para el Nacimiento del Río Subachoque y el Pantano de Arce. (Ver plano CG-03 Estructura Ecológica Principal). En esta área se localiza el predio con número catastral 000100110051000, de propiedad de la CAR, destinado a protección de recursos naturales. Artículo 28. SISTEMA DE PARQUES. Está conformado por las áreas de recreación pública donde el predio y sus recursos sólo pueden ser aprovechados con fines científicos y paisajísticos de recreación pública, dadas sus características. Las áreas comprendidas por estos parques constituyen suelo de protección. Dentro del sistema de parques se encuentran los parques de valor natural que son el conjunto de áreas protegidas que por sus condiciones de localización y accesibilidad se destinan a la preservación, restauración y aprovechamiento sostenible de sus elementos biofísicos para la educación ambiental y la recreación pasiva. Igualmente hacen parte del sistema de parques, los parques urbanos, las áreas de recreación eco turísticas y las áreas histórico - culturales.
  • 27.
    CIPIO DE AGUAZUL ACUERDONo. _____ “POR EL CUAL SE ADOPTA LA REVISIÓN GENERAL DEL ESQUEMA DE ORDENAMIENTO TERRITORIAL DEL MUNICIPIO DE SUBACHOQUE” EOT 27 Componentes del sistema de parques El sistema de parques está conformado por parques del orden municipal. Los parques del orden municipal corresponden al área de recreación ecoturística localizada en la zona rural y los parques urbanos que contengan elementos naturales de importancia ecológica y paisajística. Áreas de recreación ecoturística Son áreas especiales que por factores ambientales y sociales deben constituir modelos de aprovechamiento racional destinados a la recreación pasiva y a las actividades deportivas. Los cuales son: Embalse Pantano De Arce, Cerro o Cuchilla El Tablazo, Cerro La Soldadesca O El Carare, Nacimiento Del Río Subachoque, Cascada El Guamal, Cerro El Juaica, Piedra Miranda, El Pozo De Mosquera, Meseta De Guines, Piedras De Cascajal, Laguna Del Vejeron o Del Salitre, Cerro Carrasposo, Laguna Negra, Cerro Pedregoso. Artículo 29. ÁREAS PARA LA PRODUCCIÓN AGRÍCOLA Y GANADERA Y DE EXPLOTACIÓN DE LOS RECURSOS NATURALES. Incluye los terrenos que deban ser mantenidos y preservados por su destinación a usos agrícolas, ganaderos, forestales o de explotación de recursos naturales. ÁREAS PARA LA PRODUCCIÓN AGRÍCOLA Y GANADERA Y DE EXPLOTACIÓN DE RECURSOS NATURALES. 1 Áreas de Suelos con Clase Agrologica I, II y III 1.1 Área Agropecuaria Intensiva Áreas de suelos con clase agrológica I, II y III Las propiedades físico, químicas y mecánicas de los suelos de estas clases agrologicas, los hace fértiles y aptos para el establecimiento de cultivos y forraje para ganado mediante labores intensivas e intensivas. 1. Área Agropecuaria Intensiva: localizada en terrenos con relieve ligeramente a levemente ondulado en abanicos de valle aluvial, en pendiente compleja entre 10% y 15%, moderadamente permeables a permeables, sin piedras en la superficie o en el perfil, con profundidad efectiva moderada a profunda, alta a media acidez, mecanizables, no inundables, fertilidad alta a moderada. Clase agrologica II. Artículo 30. ÁREAS DE RESTAURACIÓN MORFOLÓGICA Y DE REHABILITACIÓN DE SUELOS. Son aquellas que se pueden dar en áreas de antiguas explotaciones minero–extractivas que han sufrido un proceso de deterioro por la explotación no técnica a que se han visto sometidas, corresponden a la adecuación de suelos con fines exclusivos de restauración morfológica y rehabilitación.
  • 28.
    CIPIO DE AGUAZUL ACUERDONo. _____ “POR EL CUAL SE ADOPTA LA REVISIÓN GENERAL DEL ESQUEMA DE ORDENAMIENTO TERRITORIAL DEL MUNICIPIO DE SUBACHOQUE” EOT 28 Artículo 31. ÁREAS E INMUEBLES CONSIDERADOS COMO PATRIMONIO CULTURAL. Corresponde al Área Histórica y Cultural y es aquella que debe manejarse en forma especial por ser digna de conservación, en razón a los valores históricos y culturales que representa para el Municipio y su población. Corresponde a: Centro Histórico De Subachoque, Parroquia San Miguel Arcángel, Casa Cural, Casa De Gobierno, Teatro Municipal, Biblioteca Municipal, La Casa De La Fundación Amigos De Subachoque, Casa De La Cultura, Parque Principal, La Casa Antiguo Hospital San Antonio, Cementerio Municipal, La Ferrería De La Pradera, Capilla De La Pradera. Casas De Antiguas Haciendas. Artículo 32. ÁREAS DEL SISTEMA DE SERVICIOS PÚBLICOS DOMICILIARIOS. Corresponde a las áreas de protección de infraestructura de servicios públicos y son las unidades territoriales existentes y previstas para la instalación de obras de infraestructura y prestación de servicios públicos: En el Municipio, a estas áreas corresponden la planta de tratamiento de aguas residuales, los sistemas de tratamiento de vertimientos de otros sectores rurales, Planta de tratamiento del acueducto municipal y de los acueductos veredales. Las infraestructuras del sistema de acueducto, alcantarillado y saneamiento, tendrán una franja de aislamiento de acuerdo a la reglamentación de la RAS 2000, el aislamiento es de 500 metros a la redonda. Parágrafo Primero. La PTAR del municipio se localiza en el predio 25769000100070522, de propiedad de la CAR. Parágrafo Segundo. Las coordenadas de la PTAR y la PTAP se encuentran en los cuadros de coordenadas a continuación COORDENADAS PTAP ID NOBRE X Y 1 PTAP SUBACHOQUE CASCO URBANO 988875,53 1037828,29 2 PETAP EMBLASE PANTANO DE ARCE 1 988443,62 1044769,78 COORDENADAS PTAR ID NOMBRE X Y 1 PTAR SUBACHOQUE CASCO URBANO 989979,1 1035744,18 2 PETAR CENTRO POLBADO GALDAMEZ 991100,78 10356554,2 3 PETAR INSPECCION DE LA PRADERA 993912,43 1044761,19 CAPÍTULO IV DE LA ARTICULACIÓN REGIONAL Artículo 33. SISTEMAS DE COMUNICACIÓN Y ENLACE URBANO – RURAL Y URBANO – REGIONAL. La comunicación y enlace entre las áreas urbana y rural del Municipio y el entorno regional y nacional, se da a través del sistema vial que integra y articula los
  • 29.
    CIPIO DE AGUAZUL ACUERDONo. _____ “POR EL CUAL SE ADOPTA LA REVISIÓN GENERAL DEL ESQUEMA DE ORDENAMIENTO TERRITORIAL DEL MUNICIPIO DE SUBACHOQUE” EOT 29 contextos espaciales territoriales al interior y exterior del Municipio. Las vías son el principal sistema estructurante del desarrollo físico. El sistema de comunicación y enlace de Subachoque está conformado por el sistema vial local, regional y nacional, del cual hacen parte los siguientes ejes viales: 1. Vías de primer orden:  No existen vías de primer orden actualmente en la jurisdicción municipal. En caso de llegar a existir para estas vías y de acuerdo a la Ley 1228 de 2008, no se podrán permitir construcciones permanentes dentro de los 20 metros a partir del eje de la calzada de cada lado. En el caso que siga siendo de una sola calzada no se podrán permitir construcciones permanentes dentro de los 30 metros a partir del eje de la vía. 2. Vías de Segundo Orden:  Vía a Puente de Piedra - Madrid  Vía a La Pradera – Zipaquirá  Vía a El Rosal  Vía a Tabio  Vía a Pacho Para estas vías y de acuerdo a la Ley 1228 de 2008, no se podrán permitir construcciones permanentes dentro de los 22,5 metros a partir del eje de la vía a lado y lado de la misma. 3. Vías de Tercer Orden:  Las demás vías rurales que existen en el municipio que conectan a dos o más veredas o a una vereda con municipio vecino.  Para estas vías y de acuerdo a la Ley 1228 de 2008, no se podrán permitir construcciones permanentes dentro de los 15 metros a partir del eje de la vía a lado y lado de la misma. 4. Vías de Cuarto Orden:  Vías de acceso a predios, Las demás vías rurales que existen en el municipio que no conectan veredas sino fincas dentro de una misma vereda. Para estas vías y de acuerdo a la Ley 1228 de 2008, no se podrán permitir construcciones permanentes dentro de los 10 metros a partir del eje de la vía a lado y lado de la misma. CAPÍTULO V DE LA INCORPORACIÓN DE LA GESTIÓN DEL RIESGO DE DESASTRES EN EL EOT Artículo 34. INCORPORACIÓN DE LA GESTIÓN DEL RIESGO DE DESASTRES EN EL EOT. La metodología para la incorporación de procesos amenazantes de origen natural en el
  • 30.
    CIPIO DE AGUAZUL ACUERDONo. _____ “POR EL CUAL SE ADOPTA LA REVISIÓN GENERAL DEL ESQUEMA DE ORDENAMIENTO TERRITORIAL DEL MUNICIPIO DE SUBACHOQUE” EOT 30 ordenamiento territorial, partió de la identificación de los procesos amenazantes presentes en el territorio, utilizando la información secundaria disponible (estudios de amenaza, vulnerabilidad y riesgo por movimientos en masa, inundación, avenida torrencial e incendios forestales en los municipios priorizados en jurisdicción de la corporación autónoma regional de Cundinamarca CAR, contrato de consultoría 1185-2013 CAR). Artículo 35. ZONIFICACIÓN Y DELIMITACIÓN DE AMENAZA Son áreas que por su ubicación o por sus características geomorfológicas y geotécnicas, son susceptibles de sufrir eventos, como:  Movimientos en masa  Inundaciones Estas áreas se precisan para el Municipio de Subachoque según el estudio de la consultoría UT AVR-CAR, 2014, en las que dan cuenta de los fenómenos que a continuación se enuncian y sobre los cuales se toman medidas no estructurales en el EOT:  Movimientos en masa.  Inundaciones Artículo 36. ZONAS O ÁREAS EN AMENAZA POR FENÓMENOS DE REMOCIÓN EN MASA. Las áreas en amenaza por fenómenos de remoción en masa corresponden a las zonas potenciales de riesgo para la ubicación de asentamientos humanos, donde la intervención humana se considera un factor que puede alterar las condiciones de riesgo. Parágrafo Primero: Las zonas o áreas del área rural a que hace referencia el presente artículo se encuentran espacializadas en los Mapas GR-01 "Amenaza por Remoción en Masa Rural” Parágrafo Segundo: Las zonas o áreas del área urbana a que hace referencia el presente artículo se encuentran espacializadas en los Mapas GR-0 "Amenaza por Remoción en Masa Urbana” Parágrafo Tercero. La tabla de coordenadas correspondiente a las áreas o zonas en amenaza alta por fenómenos de movimiento en masa se puede encontrar en el Anexo B. Coordenadas de áreas en amenaza alta por remoción rural, del documento denominado Estudio Básico de Gestión del riesgo. Artículo 37. ZONIFICACIÓN DE AMENAZA POR FENÓMENOS DE INUNDACIÓN. Corresponde a las zonas o áreas donde existe una probabilidad de ocurrencia de inundaciones por desbordamiento de cauces naturales y/o cuerpos de agua intervenidos asociados a periodo de retorno, a la altura de la lámina de agua con efectos potencialmente dañinos. Parágrafo Primero. Las zonas o áreas del área rural a que hace referencia el presente artículo se encuentran espacializadas en los Mapas GR-03 "Amenaza por Inundación Rural”
  • 31.
    CIPIO DE AGUAZUL ACUERDONo. _____ “POR EL CUAL SE ADOPTA LA REVISIÓN GENERAL DEL ESQUEMA DE ORDENAMIENTO TERRITORIAL DEL MUNICIPIO DE SUBACHOQUE” EOT 31 Parágrafo Segundo. Las zonas o áreas del área urbana a que hace referencia el presente artículo se encuentran espacializadas en los Mapas GR-04 "Amenaza por Inundación Urbana” Parágrafo Tercero. La tabla de coordenadas correspondiente a las áreas o zonas en amenaza alta por inundación se pueden encontrar para el área rural en el Anexo C. Coordenadas de áreas en amenaza alta por remoción rural y para el área urbana en el Anexo D. Coordenadas de áreas en amenaza alta por inundación urbana del documento denominado Estudio Básico de Gestión del riesgo. Artículo 38. ZONAS O ÁREAS EN AMENAZA POR INCENDIOS FORESTALES: Los incendios y conatos de incendios son temas muy comunes debido al aumento de los registros dados por su incremento en frecuencia y área afectada, así como en los impactos generados (Parra, 2011) evaluado. Según lo desarrollado por la consultora AVR (2015) para el análisis de la amenaza se tuvo en cuenta los factores climáticos, de relieve, históricos (Conforme a la existencia y disponibilidad de reportes históricos de incendios en el municipio, la información obtenida para el análisis de este factor es considerada como elemento de corroboración dentro del análisis de amenaza), de accesibilidad y la susceptibilidad de las coberturas vegetales a incendios Parágrafo primero: Las zonas o áreas a las que hace referencia el presente artículo, se encuentran espacializadas en el Mapa GR-05 "Amenaza por incendios forestales". Artículo 39. ZONIFICACIÓN Y DELIMITACIÓN DE ÁREAS CON CONDICIÓN DE AMENAZA POR INUNDACIÓN: Corresponden a las zonas de catalogadas como de amenaza, media y alta que se consideren como objeto de desarrollo en el suelo rural del Municipio de Subachoque. Parágrafo. Las zonas o áreas a las que hace referencia el presente artículo, se encuentran espacializadas en el Mapa GR-06 "Áreas con condición de amenaza por fenómeno de inundación". Artículo 40. ZONIFICACIÓN Y DELIMITACIÓN DE ÁREAS CON CONDICIÓN DE AMENAZA POR FENOMENO DE MOVIMIENTOS EN MASA. Corresponden a las zonas de catalogadas como de amenaza, media y alta que se consideren como objeto de desarrollo en el suelo rural del Municipio de Subachoque. Parágrafo. Dado que no existen áreas con condición de amenaza por movimientos en masa en el área urbana ni en el área rural, no se presentan planos asociados a esta temática. Artículo 41. ZONIFICACIÓN Y DELIMITACIÓN DE ÁREAS CON CONDICIÓN DE AMENAZA POR INCENDIOS FORESTALES: Corresponden a las zonas de catalogadas como de amenaza, media y alta que se consideren como objeto de desarrollo en el suelo rural del Municipio de Subachoque.
  • 32.
    CIPIO DE AGUAZUL ACUERDONo. _____ “POR EL CUAL SE ADOPTA LA REVISIÓN GENERAL DEL ESQUEMA DE ORDENAMIENTO TERRITORIAL DEL MUNICIPIO DE SUBACHOQUE” EOT 32 Parágrafo. Dado que no existen áreas con condición de amenaza por incendios forestales en el área urbana ni en el área rural, no se presentan planos asociados a esta temática. Artículo 42. ÁREAS CON CONDICIÓN DE RIESGO POR FENÓMENOS DE REMOCIÓN EN MASA. Son las zonas que fueron determinadas en amenaza alta que actualmente se encuentran ocupadas y corresponden al sector denominado Llanitos ,en las cuales deben desarrollarse estudios de riesgo detallados que determinen cuales son las medidas de intervención estructurales y no estructurales que deben desarrollarse en las mismas. Parágrafo Primero. Las zonas o áreas a las que hace referencia el presente artículo, se encuentran espacializadas en el Mapa GR-07 "Áreas con condición de riesgo por fenómeno de remoción en masa". Artículo 43. ÁREAS CON CONDICIÓN DE RIESGO POR INUNDACIÓN. Corresponden a las áreas de amenaza alta por inundación que se encuentran ocupadas con viviendas e infraestructura en la zona rural, se encuentra en esta condición el sector del centro poblado rural Galdamez. Parágrafo primero: Las zonas del área rural a las que hace referencia el presente artículo, se encuentran espacializadas en el Mapa GR-08 "Áreas con condición de riesgo por inundación". Artículo 44. ÁREAS CON CONDICIÓN DE RIESGO POR INCENDIOS FORESTALES. Corresponden a las áreas de amenaza alta por Incendios Forestales que se encuentran ocupadas con viviendas e infraestructura en la zona rural, en esta condición se encuentran los sectores rurales de Llanitos. Parágrafo primero: Las zonas del área rural a las que hace referencia el presente artículo, se encuentran espacializadas en el Mapa GR-09 "Áreas con condición de riesgo por incendios Forestales". Artículo 45. REQUISITOS PARA LA ELABORACIÓN DE ESTUDIOS DETALLADOS DE RIESGOS PARA MOVIMIENTOS EN MASA Insumos para determinar la amenaza por movimientos en masa A continuación se presentan los Insumos requeridos para la determinar la amenaza por movimientos en masa. Que corresponden a los estudios de aquellos factores intrínsecos y detonantes que intervienen en la estabilidad de las laderas. Estos son:  Topografía: La topografía es imprescindible para la realización de cualquier estudio, es necesaria entre otras para establecer el espacio geográfico en donde se realizará el estudio e implica contar con mapas topográficos a la escala adecuada. Para el mapa topográfico se recomienda que contenga información planimetría y altimetría de acuerdo a la escala a trabajar en el estudio (1:2.000 o mayor detalle) y que incluya viviendas, infraestructura, equipamientos, redes de drenaje y en general todo detalle que sea de interés para el estudio. Así mismo, y con el objeto de unificar un marco geográfico de referencia, es
  • 33.
    CIPIO DE AGUAZUL ACUERDONo. _____ “POR EL CUAL SE ADOPTA LA REVISIÓN GENERAL DEL ESQUEMA DE ORDENAMIENTO TERRITORIAL DEL MUNICIPIO DE SUBACHOQUE” EOT 33 importante, que el mapa topográfico siga los lineamientos que para su elaboración establezca el Instituto Geográfico Agustín Codazzi - IGAC, en especial la información debe estar referida al Dátum oficial de Colombia MAGNA–SIRGAS y con amarre a placas certificadas por el IGAC.  Geología para Ingeniería: el objetivo del estudio geológico es la caracterización de las unidades litológicas, dado que dependiendo del tipo de estas, se favorecen en mayor o menor grado a los movimientos en masa. En ese sentido, el levantamiento geológico se debe realizar al mismo nivel o escala del estudio y debe integrar la geología regional, local y de detalle, teniendo en cuenta aspectos de génesis, litología, estratigrafía y geología estructural (fallas y pliegues), unidades de superficie y procesos de erosión. Así mismo, la evaluación geológica debe estar orientada hacia la obtención de un modelo geológico y estratigráfico que permita optimizar la exploración geotécnica e interpretar las condiciones regionales y locales de estabilidad.  Geomorfología: El objetivo de la geomorfología es realizar la identificación y caracterización de las geoformas y de los procesos morfodinámicos, para lo cual se debe considerar su génesis y evolución. Para el levantamiento de los procesos morfodinámicos regionales y locales (o inventario de procesos) que se presenten en la zona en la que se adelanta el estudio, se recomienda utilizar la metodología propuesta por el Servicio Geológico Colombiano (antes Ingeominas) dentro del marco del Proyecto Multinacional Andino – PMA, en el cual se incluyen aspectos necesarios tales como la localización, clasificación del movimiento, actividad del movimiento, mecanismo de falla, morfometría, causas del movimiento y efectos.  Climatología, Hidrología y Evaluación del Drenaje superficial: el estudio climatológico busca realizar una caracterización de los elementos climáticos del sector en el que se adelanta el estudio: precipitación (principalmente), viento, brillo solar y temperatura, entre otros. El objetivo del estudio hidrológico es realizar la evaluación hidrológica del drenaje superficial natural del sector en el que se adelanta el estudio. Dentro de estos es importante que se realicen correlaciones de la precipitación con la ocurrencia de movimientos en masa.  Hidrogeología: El estudio busca determinar y evaluar las condiciones del agua subsuperficial en condiciones normales y extremas probables que puedan influir en las condiciones de estabilidad del sector de estudio.  Cobertura y Uso del Suelo: El objetivo del estudio es realizar un mapa de cobertura y uso del suelo que se presente al momento de realizarlo, en el que se muestre los diferentes tipos de cobertura y usos del suelo como factor contribuyen o resistente a los procesos de inestabilidad, especialmente los procesos de minería.  Análisis Sismológico: busca determinar la influencia del factor sismo con relación a la generación de movimientos en masa, para lo cual es necesario analizar el efecto de los sismos en la zona de estudio teniendo en cuenta las magnitudes de las aceleraciones estimadas más probables a partir de la sismicidad en la región. Para estos análisis se
  • 34.
    CIPIO DE AGUAZUL ACUERDONo. _____ “POR EL CUAL SE ADOPTA LA REVISIÓN GENERAL DEL ESQUEMA DE ORDENAMIENTO TERRITORIAL DEL MUNICIPIO DE SUBACHOQUE” EOT 34 recomienda consultar la normatividad vigente (Reglamento Colombiano de Construcción Sismo Resistente- NSR-10 y/o microzonificaciones sísmica) y estudios locales. Sin embargo, la adopción de los valores utilizados para los análisis deberán ser debidamente justificados y soportados.  Exploración o Investigación del Subsuelo: Según el Titulo H - Estudios Geotécnicos del NSR- 10 corresponden al estudio y conocimiento del origen geológico, la exploración del subsuelo (apiques, trincheras, perforación y sondeo y otros) y los ensayos y pruebas de campo y laboratorio necesarios para identificar y clasificar los diferentes suelos y rocas y cuantificar las características físico-mecánicas e hidráulicas del subsuelo. Es importante que la investigación se realice con base en los estudios de geología y geomorfología del área de estudio, así como de las condiciones generales observadas durante el reconocimiento geotécnico. Para la definición de la cantidad de investigación se pueden utilizar los criterios definidos en el Título H - Estudios Geotécnicos del Reglamento Colombiano de Construcción Sismo Resistente – NSR-10.  Zonificación Geotécnica y Modelo Geológico y Geotécnico: El estudio busca realizar la identificación y caracterización de zonas homogéneas en términos de su comportamiento geotécnico. Es importante que en cada una de las zonas se determine entre otros aspectos los mecanismos actuales y potenciales de inestabilidad, composición y distribución estratigráfica de los materiales y su relación con las condiciones geológicas, geomorfológicos e hidráulicas, así como la identificación de comportamientos típicos ante diferentes solicitaciones y la evaluación de parámetros representativos de resistencia, compresibilidad y relaciones esfuerzo-deformación. La zonificación que se elabore permite orientar entre otros aspectos, la selección de los sitios puntuales y las secciones transversales sobre los cuales se realicen los análisis detallados de estabilidad, en las que establecer y describir el respectivo modelo geológico y geotécnico. a. Evaluación de la amenaza El método o métodos que se utilicen para evaluar la amenaza por movimientos en masa (se recomienda utilizar método determinísticos) deben considerar los mecanismos de falla de los diferentes procesos de inestabilidad identificados, así mismo conviene que éstos sean coherentes con la información primaria y secundaria obtenida previamente.Para los análisis que se realicen se recomienda considerar diferentes escenarios (actual, futuro y con medidas de mitigación) para condiciones normales y extremas (agua, procesos antrópicos y sismo), a partir de los cuales se determinan los factores de seguridad o probabilidad de falla para cada uno de estos escenarios. Para cada escenario se recomienda que se realice la evaluación y zonificación de la amenaza, categorizándola en niveles de amenaza alta, media y baja con sus respectivas características de la amenaza. b. Evaluación de la vulnerabilidad y exposición En los análisis de la vulnerabilidad, se deben tener en cuenta el nivel de exposición, susceptibilidad o predisposición y resistencia de todos los elementos de la zona de estudio ante
  • 35.
    CIPIO DE AGUAZUL ACUERDONo. _____ “POR EL CUAL SE ADOPTA LA REVISIÓN GENERAL DEL ESQUEMA DE ORDENAMIENTO TERRITORIAL DEL MUNICIPIO DE SUBACHOQUE” EOT 35 los eventos amenazantes (movimientos en masa). Así mismo y dado que se trata de evaluar los asentamientos vulnerables antes los movimientos en masa, se recomienda que se realice el análisis de la vulnerabilidad física (vivienda e infraestructura) y social para cada uno de los escenarios considerados en los análisis de amenaza. Así mismo, es importante que se realice la zonificación de la vulnerabilidad y que se categorice en alta, media y baja. c. Análisis y evaluación del riesgo La evaluación de riesgo es el resultado de relacionar la amenaza y la vulnerabilidad. Los análisis y evaluación del riesgo deben ser para los mismos escenarios considerados en las evaluaciones de amenaza y vulnerabilidad y en los que se determine los efectos o consecuencias físicas, sociales y económicas en términos de pérdidas. Esta zonificación debe categorizar el riesgo en alto, medio y bajo. Profesionales que realizan los estudios De acuerdo con los diferentes estudios considerados se recomienda:  Estudios de geología y geomorfología: el profesional que realice estos estudios debe ser un geólogo o ingeniero geólogo con experiencia profesional mayor o igual a 5 años.  Estudios de Cobertura y Uso del Suelo: los profesionales que realicen estos estudios deben ser ingeniero civil y/o ingeniero ambiental y/o ingeniero catastral y/o ingeniero forestal y/o ingeniero agrónomo y/o agrónomo y/o ecólogo con experiencia profesional mayor o igual a 5 años.  Estudios de Hidrología: el profesional que los realice debe ser ingeniero civil o ingeniero ambiental o ingeniero hidrólogo con experiencia profesional mayor o igual a 5 años y acreditar estudios de postgrado o experiencia mayor a 2 años en el área de hidrología. Los estudios del clima los podrá realizar meteorólogos.  Estudios de hidráulica: El profesional que los realice debe ser ingeniero civil con experiencia profesional mayor o igual a 5 años, con experiencia en el área hidráulica y en modelos hidráulicos y delimitación de zonas de inundación.  Análisis Sismológico, Investigación del Subsuelo, Zonificación Geotécnica y Análisis de Estabilidad: el profesional que los realice debe ser ingeniero civil con experiencia profesional mayor o igual a 5 años y acreditar estudios de postgrado o experiencia mayor a 2 años en el área de geotecnia.  Estudios de Evaluación de Amenaza, Vulnerabilidad y Riesgo por Movimientos en Masa: el profesional que realice estos estudios debe ser geólogo o ingeniero geólogo o ingeniero civil con experiencia profesional mayor o igual a 5 años, experiencia especifica en evaluación de riesgos mayor a 2 años y estudios de postgrado en geotecnia o evaluación de riesgos.  Evaluación de Amenaza, Vulnerabilidad y Riesgo por Inundación: el profesional que realice estos estudios deberá ser ingeniero civil con experiencia profesional mayor o igual a 5 años, acreditar estudios de postgrado en hidrología o hidráulica y experiencia específica en
  • 36.
    CIPIO DE AGUAZUL ACUERDONo. _____ “POR EL CUAL SE ADOPTA LA REVISIÓN GENERAL DEL ESQUEMA DE ORDENAMIENTO TERRITORIAL DEL MUNICIPIO DE SUBACHOQUE” EOT 36 evaluación de riesgos mayor a 2 años o tener estudio de postgrado en evaluación de riesgos. Artículo 46. REQUISITOS PARA LA ELABORACIÓN DE ESTUDIOS DETALLADOS DE RIESGOS POR INUNDACIÓN Los estudios requeridos para determinar la amenaza por inundación corresponden a: topografía, geología, geomorfología, geotecnia, cobertura y usos del suelo, hidrología e hidráulica. A continuación se presenta recomendaciones de lo que deben desarrollar los estudios:  Topografía: En la topografía se requiere la planimetría y la altimetría para establecer la forma del valle en la zona que se quiere evaluar, así mismo se requiere tener una serie de cortes o secciones transversales y longitudinales que sirven para conocer la forma exacta del canal (incluye profundidad – Batimetría) y las zonas inundables sobre todo el trayecto del río en el área a evaluar. Además por tratarse de un estudio de riesgos, la topografía también contemplará incluir elementos de interés como viviendas, infraestructura, y todo detalle de interés para el estudio. Así mismo, que los estudios topográficos deben seguir los lineamientos que para su elaboración establezca el Instituto Geográfico Agustín Codazzi - IGAG, en especial la información debe estar referida al Dátum oficial de Colombia MAGNA– SIRGAS y con amarre a placas certificadas por el IGAC.  Geología: es útil para determinar tipos de formaciones geológicas, fuentes sísmicas a partir de la geología estructural (sistemas de fallas) y procesos de erosión que pueden tener la cuenca o el cauce del río o quebrada. La orientación del estudio geológico, es que debe tener una interpretación desde el punto de vista de la ingeniería geológica que tenga en cuenta las características de la zona a estudiar.  Geomorfología: Se deberá usar para determinar la variabilidad en la forma del cauce, la llanura de inundación, las terrazas aluviales y la migración del cauce. Los resultados se emplean para determinar la extensión potencial de la inundación y zonas de inundación históricas. Se recomienda analizar de manera multitemporal la dinámica de los cauces y conformar en detalle la cartografía de la evolución histórica del curso de agua.  Geotecnia: En los cauces pueden presentarse movimientos en masa que pueden ocasionar taponamientos o represamientos del cauce. Por lo tanto, se requiere estudiar la estabilidad de laderas en las zonas susceptibles a sufrir movimientos en masa a lo largo del cauce del río o quebrada, determinando los volúmenes aproximados que pueden caer al río y crear una presa natural, que con el tiempo colapsa, generando una creciente aguas abajo que puede causar afectaciones a las personas y a sus propiedades. Por otra parte, en caso de existir obras o estructuras como por ejemplo jarillones, muros, diques, etc., se recomienda hacer el análisis de estabilidad a estas estructuras, tanto para condiciones normales como extremas.
  • 37.
    CIPIO DE AGUAZUL ACUERDONo. _____ “POR EL CUAL SE ADOPTA LA REVISIÓN GENERAL DEL ESQUEMA DE ORDENAMIENTO TERRITORIAL DEL MUNICIPIO DE SUBACHOQUE” EOT 37  Cobertura y usos del suelo: la cobertura vegetal corresponde a los atributos biofísicos de la superficie terrestre, y los usos del suelo son los distintos propósitos humanos con los que se aprovechan estos atributos. Ellos determinan el funcionamiento de los ecosistemas terrestres: afectan directamente a su biodiversidad, contribuyen a los cambios climáticos locales, regionales y globales y son las fuentes primarias de la degradación de los suelos. Es una herramienta para caracterizar una región y es un elemento básico del diagnóstico para el ordenamiento territorial. Para su realización, se recomienda utilizar imágenes de satélite, fotografías aéreas, mapas de cobertura, exploraciones de campo, u otro sistema, para que a través de su interpretación realizar el respectivo mapa de cobertura.  Hidrología: utilizada para determinar el régimen de crecientes o caudales que pueden afectar a una región específica. A partir de la caracterización climatológica y la evaluación hidrológica detallada de la cuenca es posible determinar crecientes para diferentes periodos de retorno como se sugieren en el siguiente ítem. Un estudio hidrológico para determinar caudales requiere de información básica como datos de precipitación, caudales, áreas y perímetro de la cuenca, elevación media, longitud, pendiente del cauce a través de la cuenca, tiempo de concentración y demás parámetros relevantes de la cuenca. Dependiendo de la calidad y tipo de la información y del tamaño de cuenca, se recomienda aplicar cualquiera de siguientes metodologías para la estimación de eventos extremos: análisis de frecuencias, modelos lluvia-escorrentía, método racional o método de regionalización.  Hidráulicos: utilizado para obtener propiedades características del cauce del río o quebrada. Con las propiedades físicas del cauce como forma del canal, sección transversal, pendiente, sinuosidad1 , pendiente de orillas, rugosidad del cauce, entre otros, y con los caudales de creciente para diferentes periodos de retorno (se recomiendan que los análisis se realicen mínimo para periodos de retorno de 10, 50 y 100 años), se obtienen las propiedades hidráulicas del cauce del rio o quebrada como, capacidad hidráulica (capacidad de transporte de un determinado volumen de agua a través del cauce, de un punto a otro, en un tiempo determinado), velocidad de la corriente y profundidad en un determinado instante y lugar. Existen en la literatura diversos modelos hidráulicos que se distinguen por el conjunto de ecuaciones que los gobiernan y por las simplificaciones asumidas. Pueden considerar flujo permanente o flujo transitorio (no permanente); pueden permitir la modelación de flujo rápidamente variado, pueden además ser modelos unidireccionales o considerar dos y tres dimensiones. La escogencia del tipo de modelo depende de los objetivos del estudio, de la zona donde se va a aplicar y de la información disponible. Es importante considerar cuanta precisión se gana realmente al incrementar la complejidad del modelo utilizado, cuando se aplica a condiciones de campo donde no se tiene la información con el nivel de detalle requerido. a. Evaluación de la amenaza 1 La sinuosidad se define como la relación entre la longitud del canal y la longitud del valle.
  • 38.
    CIPIO DE AGUAZUL ACUERDONo. _____ “POR EL CUAL SE ADOPTA LA REVISIÓN GENERAL DEL ESQUEMA DE ORDENAMIENTO TERRITORIAL DEL MUNICIPIO DE SUBACHOQUE” EOT 38 En general se recomienda que los métodos utilizados para la evaluación de la amenaza sean de reconocida validez y que los requerimientos de información sean coherentes con la información primaria y secundaria obtenida y con los análisis hidrológicos e hidráulicos realizados previamente. Así mismo, es recomendable que la evaluación de amenaza se realice para condiciones actuales, condiciones futuras y condiciones con obras de mitigación, para lo cual se debe tener en cuenta los periodos de retorno establecidos (se recomiendan que los análisis se realicen mínimo para periodos de retorno de 10, 50 y 100 años). Producto de la evaluación, se recomienda la generación de un mapa de zonificación de amenaza, con categorías o niveles alta, media y baja de acuerdo con criterios de calificación en cuanto a intensidad, frecuencia y altura del nivel de agua de la inundación. La profundidad de la lámina de agua, depende de las características de la zona afectada por la inundación. Respecto a los periodos de retorno, Colombia en sus diferentes estudios realizados de riesgo por inundación, utiliza como criterios de calificación el periodo de retorno, la profundidad (H) y Velocidad (V)*H. b. Evaluación de la vulnerabilidad y exposición Se recomienda que para cada escenario de amenaza se evalúe la exposición y vulnerabilidad y que se realice su zonificación, categorizando la vulnerabilidad en niveles de alta, media y baja de los elementos expuestos frente a la condición de amenaza (altura de lámina de agua, intensidad de la inundación, velocidad, impacto). Es importante que dentro de los aspectos a considerar en la evaluación de la vulnerabilidad se encuentren los indicados en el Formato “ficha de caracterización de asentamiento en alto riesgo” y que se muestran en el numeral 5.2.1 de la presente Guía. Para evaluar la vulnerabilidad y riesgo se pueden aplicar modelos cuantitativos o cualitativos para estimar las pérdidas y daños producidos por la ocurrencia de un evento desastroso. La selección de estos modelos depende de las mediciones que se pretenden evaluar y de la información disponible. Tales como: Las que consideran diversas variables o factores físicos y funcionalidad de cada uno de los sistemas expuestos relacionándolos con las intensidades y magnitudes de los respectivos fenómeno naturales a partir de una función de vulnerabilidad. Las que identifican inicialmente los elementos potencialmente vulnerables, identifican los tipos de vulnerabilidad que puedan tener, identifica, evalúa y analiza los diversos indicadores que reflejan el nivel de susceptibilidad, fragilidad y capacidades y por último pondera y estratifica la vulnerabilidad total. Las que tienen en cuenta el grado de exposición y nivel de fragilidad frente a un fenómeno natural potencialmente dañino. c. Evaluación del riesgo Dado que el riesgo es el resultado de relacionar la amenaza y la vulnerabilidad, la evaluación de éste debe considerar los mismos escenarios contemplados en las evaluaciones de amenaza y vulnerabilidad, en el cual se determine las pérdidas físicas, sociales y económicas. Esta zonificación debe categorizar el riesgo en alto, medio y bajo. Para evaluar el riesgo, se pueden aplicar modelos cuantitativos o cualitativos para estimar las pérdidas y daños producidos por la ocurrencia de un evento desastroso. La selección de estos modelos depende de las mediciones que se pretenden evaluar y de la información disponible.
  • 39.
    CIPIO DE AGUAZUL ACUERDONo. _____ “POR EL CUAL SE ADOPTA LA REVISIÓN GENERAL DEL ESQUEMA DE ORDENAMIENTO TERRITORIAL DEL MUNICIPIO DE SUBACHOQUE” EOT 39 CAPÍTULO VI DE LA ADAPTACIÓN AL CAMBIO CLIMÁTICO Artículo 47. Los efectos de la variabilidad y el cambio climático se han hecho evidentes en todo el mundo, y en Colombia hay claros ejemplos de los impactos que una anomalía climática (El Niño y la Niña) pueden generar en los ecosistemas y en el sistema socioeconómico regional. Como una alternativa para enfrentar esta situación, la Ley 1450 de 2011 definió la necesidad de formular el Plan Nacional de Adaptación al Cambio Climático, en los siguientes términos: “ARTÍCULO 217º. FORMULACIÓN DEL PLAN NACIONAL DE ADAPTACIÓN AL CAMBIO CLIMÁTICO. El Plan Nacional de Adaptación al Cambio Climático será coordinado por el Departamento Nacional de Planeación con el apoyo del Ministerio de Ambiente, Vivienda y Desarrollo Territorial o quien haga sus veces. Las entidades públicas del orden nacional deberán incorporar en sus Planes Sectoriales una estrategia de adaptación al Cambio Climático conforme a la metodología definida por el DNP, el Ministerio de Ambiente, Vivienda y Desarrollo Territorial y el IDEAM y revisado por los mismos previo a la autorización final por parte del CONPES. El Ministerio de Ambiente, Vivienda y Desarrollo Territorial deberá apoyar a las entidades del orden territorial que así lo requieran, a desarrollar sus planes territoriales de adaptación”. Concordante con este lineamiento, el documento CONPES 3700 de 2011, Estrategia institucional para la articulación de políticas y acciones en materia de cambio climático, estipula que “el Plan Nacional de Adaptación al Cambio Climático busca incidir en los procesos de planificación ambiental, territorial y sectorial, de tal manera que se tomen decisiones de manera informada, teniendo en cuenta las determinantes y proyecciones climáticas, reduciendo así efectivamente la vulnerabilidad tanto en poblaciones, ecosistemas y sectores productivos a este fenómeno, y aumentando la capacidad social, económica y ecosistémica para responder ante eventos y desastres climáticos”. La CAR, consciente de las condiciones históricas que pueden cambiar a futuro, y teniendo en cuenta la Primera Comunicación Nacional y la Segunda, presentada por el IDEAM ante la Convención Marco de las Naciones Unidas sobre Cambio Climático, que señalan la alta vulnerabilidad del país a los efectos del cambio climático, decide realizar un estudio de investigación con la Universidad Nacional de Colombia, sobre modelamiento del clima regional para elaborar escenarios futuros de las condiciones climáticas, que permita vislumbrar las tendencias del clima en periodos 2011 – 2040, 2041- 2070 y 2071 – 2100, comparados con el clima de referencia de 1971-2000.2 2 Los registros para el clima de referencia se obtuvieron de las estaciones climatológicas localizadas en la región.
  • 40.
    CIPIO DE AGUAZUL ACUERDONo. _____ “POR EL CUAL SE ADOPTA LA REVISIÓN GENERAL DEL ESQUEMA DE ORDENAMIENTO TERRITORIAL DEL MUNICIPIO DE SUBACHOQUE” EOT 40 Este estudio identifica a futuro amenazas por alteración de los factores climáticos3 (temperatura del aire, humedad relativa, evapotranspiración y precipitación), que probablemente ocasionarían impactos potenciales en áreas de mayor vulnerabilidad, afectando la relación clima – ecosistemas, clima – sociedad, en el territorio CAR. En relación con el tema de amenazas climáticas4 , los resultados del estudio para el periodo 2011 – 2040, comparado con el de referencia 1971 - 20005 , permiten conocer en el área CAR las probables variaciones del clima, e identificar posibles amenazas climáticas. En general indica:  En el territorio CAR, habría un incremento generalizado de 1ºC y de hasta 2ºC de la temperatura del aire para los dos escenarios de cambio climático estudiados (A2 y B26 ), siendo más marcado desde noviembre a abril, en comparación con las temperaturas observadas en el periodo de referencia 1971 – 2000.  La humedad relativa tendría un aumento del orden del 3% en el sector oriental, y disminuciones hasta del 5% en el sur de la región CAR, comparada con el resto de la región, que presenta cambios de menor magnitud (entre -1 y +1%), por lo cual se puede considerar que para este periodo se mantendrían los valores observados en el periodo de referencia (1971-2000).  El comportamiento de la precipitación tendrá cambios variados a lo largo de la región CAR, pero tanto en el escenario A2 como B2 domina un aumento marcado del 10%, especialmente en el sector oriental y sur, así como en el noroccidente (provincia del Bajo Magdalena) sobre lo que anualmente se acumula en el periodo de referencia (1971-2000).  Disminuciones entre el 30 y 50% de los volúmenes anuales del periodo de referencia se presentarían en el suroccidente (entre el alto y el medio Magdalena) y sobre el sector occidental del altiplano (Sabana central y occidental y en la provincia de Rionegro). El análisis del comportamiento de estos cambios durante el año mostró que la disminución de la precipitación dominaría en gran parte de la región y solo en una gran franja oriental permanece a lo largo del año.  La evapotranspiración durante este período tendría aumento del orden de hasta el 30% en gran parte de la zona del Valle del río Magdalena y un sector al oriente hacia el piedemonte llanero. En gran parte del altiplano, la evapotranspiración tendría disminuciones que en casos podría ser de más del 30%. En términos generales, el clima de la región para el periodo 2011 – 2040 en el territorio de la CAR, en comparación con las condiciones observadas en 1971-2000, sería más cálido en por lo 3 Pabón Daniel. 2011. El Cambio climático En el territorio de la Corporación Autónoma Regional de Cundinamarca. 4 La amenaza se define como la probabilidad de ocurrencia del evento adverso, operada en forma multiplicativa por las pérdidas (impacto) o vulnerabilidad, que determina el riesgo de pérdida de bienes, servicios o funcionalidad, es decir: Riesgo = (amenaza x vulnerabilidad), Segunda Comunicación Nacional de cambio climático, 2010. 5 Para este documento, se tomará como referencia únicamente el primer periodo 2011-2040 analizado. 6 Escenarios de cambio climático: Representación del clima que se observaría bajo una concentración determinada de gases efecto invernadero y aerosoles en la atmósfera
  • 41.
    CIPIO DE AGUAZUL ACUERDONo. _____ “POR EL CUAL SE ADOPTA LA REVISIÓN GENERAL DEL ESQUEMA DE ORDENAMIENTO TERRITORIAL DEL MUNICIPIO DE SUBACHOQUE” EOT 41 menos 1ºC; la humedad del aire estaría mayor en 1-3%; la precipitación anual sería mayor en el Valle del Magdalena y en todo el sector oriental, y menor en el sector del altiplano. En relación con la vulnerabilidad y medidas de adaptación y mitigación frente al cambio climático7 en el territorio CAR, a nivel global el Panel de Expertos Intergubernamental de Cambio Climático (IPCC, 2007) ha pronosticado, a consecuencia del cambio climático, un aumento en la frecuencia y la intensidad de eventos extremos asociados al clima. Resultados de estudios académicos de la modelación de los factores ambientales indican cambios importantes que impactarán en el ambiente, por ejemplo, en la disponibilidad de la oferta y demanda hídrica, de hábitats, de coberturas vegetales y bosques, y de reservas de especies tanto animales como vegetales, entre otros. En la jurisdicción CAR, hay claros ejemplos de los impactos que una anomalía climática (La Niña o El Niño) pueden generar en los ecosistemas y en el sistema socioeconómico regional. Existen sectores de esta jurisdicción caracterizados por una alta vulnerabilidad a las amenazas que se desprenden de las nuevas condiciones climáticas. Para abordar de manera concreta el tema de vulnerabilidad a los efectos del cambio climático en el área regional o local, se citan a continuación algunos ejemplos para diagnosticar el estado y presión sobre los recursos por variaciones climáticas, además se presentan algunas medidas de adaptación y/o mitigación a las nuevas condiciones climáticas. Ejemplos para identificar medidas de adaptación y mitigación al cambio climático RECURSOS DIAGNOSTICAR MEDIDAS DE ADAPTACIÓN MEDIDAS DE MITIGACIÓN[1] Agua Oferta y demanda (incluye cantidad y calidad del agua) Técnicas de almacenamiento de agua para atenuar las fluctuaciones en la disponibilidad de agua. Monitoreo de calidad de agua para decidir los sistemas alternativos de distribución según su demanda. Capacidad reguladora (sequía o inundaciones) Construcción de obras civiles como estrategias para la regulación hídrica (por ej. sistema de captación y almacenamiento de aguas lluvias) Reservorios y conexiones hídricas en espacios inundables. Programas de uso eficiente de ahorro del agua. Biodiversidad y áreas de conservación Nivel de resiliencia (2) de los ecosistemas Monitoreo de flora y fauna del territorio. Proyectos de captura de carbono para reducción de GEI. Conectividad de fragmentos de parches boscosos (ecosistemas). Aprovechamientos forestales regulados. 7 Vulnerabilidad: La probabilidad que una comunidad expuesta a una amenaza natural, según el grado de fragilidad de sus elementos (usos del suelo, infraestructura, vivienda, actividades productivas, grado de organización, sistemas de alerta, desarrollo político e institucional, etc.), pueda sufrir daños humanos y materiales, es decir: Vulnerabilidad = f(Exposición, Sensibilidad, Capacidad Adaptativa).
  • 42.
    CIPIO DE AGUAZUL ACUERDONo. _____ “POR EL CUAL SE ADOPTA LA REVISIÓN GENERAL DEL ESQUEMA DE ORDENAMIENTO TERRITORIAL DEL MUNICIPIO DE SUBACHOQUE” EOT 42 RECURSOS DIAGNOSTICAR MEDIDAS DE ADAPTACIÓN MEDIDAS DE MITIGACIÓN[1] Impulsar banco de semillas de especies nativas para recuperación de áreas degradadas. Impulsar la diversificación de sistemas agrosilvopastoriles o agroforestales. Suelo Tenencia, grado de contaminación y uso del suelo con participación activa de la comunidad (mapeo) Técnicas agropecuarias sostenibles para la conservación de suelos (labranza sostenible, construcción de trinchos y zanjas de infiltración, ganadería estabulada, piscicultura entre otras). El uso racional de los fertilizantes químicos, prácticas sostenibles agrícolas y pecuarias contribuyen a la reducción de GEI. Construcción de drenajes y desagües para evitar la erosión del suelo. Establecimiento de bancos forrajeros, cercos vivos. Aire El control de disposición de residuos sólidos. Impulsar estrategias de reducción, reutilización y reciclaje de los residuos sólidos. Los sectores productivos en su territorio. Apoyo al control de emisiones en sectores productivos. Otros. (1)Se refiere a reducción de gases de efectos de invernadero-GEI (2)La resiliencia de los ecosistemas es la capacidad de un ecosistema de recuperarse de un disturbio o de resistir presiones en curso. Por otro lado, la información completa del estudio científico, producto del convenio celebrado por la Corporación Autónoma Regional de Cundinamarca – CAR con la Universidad Nacional, anteriormente reseñado, está disponible para su consulta en el Centro de Documentación de la sede central de la CAR. En este contexto, los municipios deben fortalecer la participación y organización social, manejo de la información en cambio climático y gestión del riesgo, para el reconocimiento de vulnerabilidades y planes de manejo adaptativo en su territorio. En la educación formal, se debe propiciar la incorporación del tema cambio climático y gestión del riesgo a través de los CIDEAS, PRAES y PROCEDAS. De conformidad con lo expuesto, además, en virtud de las obligaciones de los municipios en el tema de cambio climático, se recomienda incorporar en sus instrumentos de planificación y gestión las apropiaciones destinadas a dar cumplimiento a las responsabilidades relacionadas con esta materia. TÍTULO II COMPONENTE URBANO CAPÍTULO I Artículo 48. DE LOS SISTEMAS ESTRUCTURANTES EN SUELO URBANO. Los Sistemas Estructurantes del Suelo Urbano del Municipio de Subachoque, son los siguientes: 1. La Estructura Ecológica Principal, con influencia urbana.
  • 43.
    CIPIO DE AGUAZUL ACUERDONo. _____ “POR EL CUAL SE ADOPTA LA REVISIÓN GENERAL DEL ESQUEMA DE ORDENAMIENTO TERRITORIAL DEL MUNICIPIO DE SUBACHOQUE” EOT 43 2. El Sistema de Servicios Públicos domiciliarios. 3. El Sistema Vial y de Transporte. 4. El Sistema de Equipamientos Comunales. 5. El Sistema de Espacio Público. SUBCAPÍTULO I ESTRUCTURA ECOLÓGICA PRINCIPAL URBANA EEP Artículo 49. DE LA ESTRUCTURA ECOLÓGICA PRINCIPAL URBANA. Son Componentes de la estructura ecológica principal con influencia urbana Son elementos que componen la estructura ecológica principal urbana, los siguientes y se presentan en el plano CU – 08. Estructura Ecológica Urbana: 1. Áreas del sistema de parques urbanos 2. Quebrada El Molino 3. Quebrada Cementerio Artículo 46. PLAN DE RECUPERACIÓN DE LA ESTRUCTURA ECOLÓGICA PRINCIPAL CON INFLUENCIA URBANA. El plan de recuperación y conservación de la estructura ecológica urbana, contempla la ejecución de las siguientes acciones: 1. Formular el SIGAM, Sistema de Gestión Ambiental Municipal 2. Proyectos enmarcados en el POMCA del Rio Bogotá 3. Proyectos que se articulen con el PAT y el PGAR que esté vigente en la CAR. SUBCAPÍTULO II SERVICIOS PÚBLICOS DOMICILIARIOS URBANOS Artículo 50. DEL SISTEMA DE SERVICIOS PÚBLICOS DOMICILIARIOS URBANOS. Los componentes del sistema primario de abastecimiento y disposición final de servicios públicos domiciliarios están conformado por las grandes infraestructuras que permiten la provisión de dichos servicios, las cuales son: 1. Sistema de tratamiento de agua 2. Redes de acueducto urbano 3. Red de alcantarillado de aguas negras y lluvias. 4. Planta de tratamiento de aguas residuales. 5. Redes de Energía Eléctrica, con su sistema de líneas de conducción de alta, media y baja tensión, postes, torres, conducciones subterráneas, y sub- estaciones eléctricas en jurisdicción del municipio. 6. Redes de teléfono, con su sistema de cableado, casetas para servicio público, Sub- estaciones y centros de control.
  • 44.
    CIPIO DE AGUAZUL ACUERDONo. _____ “POR EL CUAL SE ADOPTA LA REVISIÓN GENERAL DEL ESQUEMA DE ORDENAMIENTO TERRITORIAL DEL MUNICIPIO DE SUBACHOQUE” EOT 44 7. Sistema de aseo y recolección de residuos sólidos y áreas destinadas al mobiliario de recolección y almacenamiento temporal de basura. 8. Red de Gas Natural. Parágrafo. El detalle del manejo de servicios públicos de acueducto y alcantarillado se encuentra en el Documento Técnico en el PSMV y PGIRS, en el marco del Decreto 1713 de 2002 y decreto 838 de 2005. Artículo 51. PLANES Y PROYECTOS. Mediante estos planes y proyectos se buscará mejorar las condiciones de prestación de los servicios actuales, así como prever las infraestructuras requeridas para la dotación de servicios de las nuevas áreas de expansión.  Implementar y gestionar los recursos para la ejecución del plan maestro de acueducto Municipal  Optimización y renovación del sistema de acueducto, incluida planta de potabilización para el área urbana central del Municipio de Subachoque.  Ejecución del Plan Maestro de Alcantarillado, en articulación con los objetivos y metas de calidad para las corrientes hídricas y el PSMV.  Construcción, Implementación y gestión de los recursos para la ejecución del plan maestro de alcantarillado de aguas residuales Municipal.  Construcción, Implementar y gestión de los recursos para la ejecución plan maestro Plan Maestro de Alcantarillado Pluvial municipal.  Realizar e Implementar el plan de gestión integral de residuos sólidos PGIRS, especialmente en la recolección en la fuente.  Disposición de residuos sólidos no aprovechables en los sitios donde determine el PGIRS.  Cumplimiento decreto 4741 de 2005 y numeral 3.4. del documento Gestión Integral de Residuos o Desechos Peligrosos – Bases Conceptuales, elaborado por el Ministerio de Ambiente, Vivienda y Desarrollo Territorial relacionado con residuos peligrosos Parágrafo primero. La disposición final de residuos sólidos ordinarios no aprovechables se deberá realizar en el relleno sanitario más próximo al municipio y que esté debidamente autorizado por la CAR. Parágrafo segundo. Las entidades o particulares que manejen residuos sólidos peligrosos deben contratar con una empresa especializada y autorizada por la autoridad ambiental la disposición de los mismos. SUBCAPÍTULO III DEL SISTEMA VIAL Y DE TRANSPORTE URBANO Artículo 52. COMPONENTES DEL SISTEMA VIAL. El sistema vial de Subachoque está conformado por el conjunto de vías que integran la red o malla que permite la
  • 45.
    CIPIO DE AGUAZUL ACUERDONo. _____ “POR EL CUAL SE ADOPTA LA REVISIÓN GENERAL DEL ESQUEMA DE ORDENAMIENTO TERRITORIAL DEL MUNICIPIO DE SUBACHOQUE” EOT 45 intercomunicación vial al interior y al exterior del municipio. Hacen parte de este sistema las vías nacionales, departamentales y municipales y el sistema de ciclorutas. Artículo 53. DEFINICIÓN DEL SISTEMA VIAL. Se entiende por Sistema Vial el conjunto de vías junto con sus elementos complementarios que garantizan la conexión funcional de los diferentes sectores del Municipio, así como su conexión con las áreas rurales de la región. Este conjunto constituye una estructura jerarquizada, determinada por la función vial y por el carácter urbano de sus componentes, el cual se refleja en el tratamiento específico que se establece para los perfiles viales que además de definir el ancho de las calzadas para la circulación vehicular, determina como parte de la vía los componentes básicos de espacio público: andenes, arborización, el espacio para circulación de bicicletas y estacionamientos o áreas de parqueo, con el fin de caracterizar las vías dentro de la estructura urbana, del Municipio. Artículo 54. CLASIFICACIÓN DE LAS FUNCIONES VIALES Y PERFILES VIALES. Las funciones viales están determinadas por las jerarquías de conexión que realizan las vías. Dichas funciones viales son las siguientes: Vía Perimetral: Corresponde a la vía que será un circuito sobre todo el perímetro del área urbana centro en el municipio. Vías Arteriales. Corresponden a vías que realizan conexiones funcionales a escala urbana e interconectan con sistemas viales rurales y regionales. Vías Zonales. Corresponden a vías que realizan conexiones funcionales a escala zonal, interconectando sectores del Municipio. Vías Locales. Corresponden a vías que realizan conexiones funcionales a escala local de un barrio, asegurando el acceso a los diferentes inmuebles que conforman dicho barrio. Vías peatonales públicas. Corresponden a las vías destinadas únicamente a la circulación peatonal conformando circuitos zonales. Servidumbres: Reglamentadas por el Código Civil Articulo 879 y subsiguientes. Perfiles Viales: De acuerdo a su perfil, el cual incluye calzadas, separadores, sardineles, andenes, espacio para ciclorutas y franja de control ambiental, en los casos en que aplique, las vías urbanas del Municipio se clasifican así: PERFILES VIALES URBANOS (Dimensiones en ML) Tipo de Vía Clasificación Vial Anden Z. Verde Mobiliario Semi- calzada Separador Semi- calzada Z. Verde Mobiliario Anden Cicloruta Total de la secciónIZQUIERDA DERECHA VU - 0 Vía Perimetral 3 1,5 7 2 7 2,5 2 25 VU - 1 Vía arterial 2 1 4 4 1 2 14 VU - 2 Vías zonales 2 4 4 2 12
  • 46.
    CIPIO DE AGUAZUL ACUERDONo. _____ “POR EL CUAL SE ADOPTA LA REVISIÓN GENERAL DEL ESQUEMA DE ORDENAMIENTO TERRITORIAL DEL MUNICIPIO DE SUBACHOQUE” EOT 46 VU - 3 Vías locales 2 3,5 3,5 2 11 VU - 4 Vías locales 1,5 2,75 2,75 1,5 8,5 VU - 5 Vías Peatonales 2,5 2,5 5 La expresión gráfica de los perfiles indicados en este artículo se presenta en el Plano CU – 04. Sistema Vial Urbano y será utilizada para la determinación de las áreas de cesión siempre que sea del caso. Las vías del sistema vial principal podrán tener una franja de control ambiental conformada por áreas verdes arborizadas. TIPO DE VÍA VÍAS CABECERA MUNICIPAL VU-0 Perimetral del área urbana centro VU-1 La carrera 2 , Carrera 3 y Carrera 4 en sentido longitudinal y la Calle 1 al occidente de la carrera 4, calle 2, calle 3 , calle 4 y calle 5 en sentido transversal VU-2 Carrera 1, carrera 2 este, carera 3 este, carrera 5 este, carrera 5 y carrera 7 en sentido longitudinal y las calles 1 al oriente y occidente de la carrera 1, calle 1ª , calle 2, calle 2ª , calle 3 entre carrera 1 y carrera 5 este, calle 5 entre carrera 1 y carrera 2, calle 6 al occidente de la carrera 4 en sentido transversal. VU-3 Carrera 1 este al sur de la calle 3, carrera 3ª al sur de la calle 2, carrera 4ª al norte de la calle 5 en sentido longitudinal y las calle 1 entre carrera 2 y 4, calle 4 al oriente de la carrera 1, calle 5ª , calle 5b, calle 6ª , calle 6b y calle 7 al occidente de la carrera 3 LA PRADERA VU-1 Carrera 4ª, vía de acceso, vía al salitre (parte urbana); calle 3ª, calle 4ª y carrera 3ª (alrededor del parque); diagonal 1ª, calle 4ª (hacia la Conejera), carrera 3ª (desde el parque hacia la vía a la vereda El Guamal). VU-2 Calle 5ª entre carrera 3ª y diagonal 1ª, calle 6ª entre carrera 3ª y 1ª, carrera 1ª, carrera 4ª entre calles 7ª y 5ª. VU-3 Calle 8ª, calle 7ª, calle 6ª entre carreras 4ª y 3ª, carrera 2ªA, carrera 2ª entre calles 5ª y 6ª, calle 5ªA, calle 5ª, entre carreras 3ª y 4ª. VP: Calle 5ªA entre carrera 1ª y carrera 2ª. Parágrafo primero. Las vías locales son de obligatoria construcción, por tanto, todo urbanizador en suelo urbano o de expansión, deberá prever un sistema vial local que se integre a la malla actual y la proyectada, asegurando el acceso a todos los lotes previstos y siguiendo las normas sobre anchos, materiales y tratamientos paisajísticos, que se prevén en los respectivos perfiles determinados. Las vías producto de estos desarrollos, deberán ser cedidas gratuitamente por el urbanizador al municipio, de conformidad con el procedimiento previsto en el artículo 117 de la Ley 388 de 1997 y en las normas que lo modifiquen o complementen. Parágrafo segundo. Las vías urbanas no podrán ser utilizadas como zonas de parqueo permanente, y en caso de requerirse parqueo transitorio debe hacerse sobre el costado izquierdo de la vía. Para vehículos de servicio público deben estacionarse transitoriamente sobre el costado derecho de la vía.
  • 47.
    CIPIO DE AGUAZUL ACUERDONo. _____ “POR EL CUAL SE ADOPTA LA REVISIÓN GENERAL DEL ESQUEMA DE ORDENAMIENTO TERRITORIAL DEL MUNICIPIO DE SUBACHOQUE” EOT 47 Parágrafo tercero. Las empresas de transporte Municipal tales como taxis y busetas, deberán establecer una zona de terminal y parqueadero propia, localizada en el área de actividad comercial de alto impacto de acuerdo con el plano CU-08 Área de Actividad Urbana, para lo cual tendrán un plazo máximo de reubicación de un año a partir de la aprobación del presente acuerdo. Parágrafo cuarto. Los empates en las vías urbanas deberán ser realizados de tal manera que se eviten cortes o cambios de paramento en las construcciones de cada manzana. Los ensanchamientos viales proyectados se realizaran a partir de manzanas de los nuevos desarrollos urbanos; en todo caso se buscará mejorar de forma adecuada los perfiles de las vías existentes. Artículo 55. DE LA ACCESIBILIDAD A LAS VÍAS PÚBLICAS. En los términos previstos en el Decreto 1538 de 2005, reglamentario la Ley 361 de 1997 o en las normas que lo modifiquen, adicionen o sustituyan, las vías públicas nuevas al interior del perímetro urbano y las vías existentes deberán construirse, las primeras, y adecuarse, las segundas, en términos de accesibilidad, conforme a lo previsto en el Art. 7 del Decreto 1538 de 2005 y de acuerdo con el Plan de Adaptación del Espacio Público que adopte el Municipio, en cumplimiento de lo establecido en el Art. 55 del presente Acuerdo. Artículo 56. DETERMINACIÓN DEL SISTEMA VIAL ARTERIAL Y ZONAL SEGÚN SU JERARQUÍA DENTRO DE LA ESTRUCTURA URBANA. El sistema Vial Arterial y Zonal están determinados de acuerdo con la jerarquía de las vías dentro de la estructura urbana del municipio, la cual se refleja en las características urbanísticas que poseen los elementos que las conforman. Dicho Sistema se encuentra señalado en el plano CU – 03. Sistema Vial Urbano. Artículo 57. PROYECTOS DEL SISTEMA VIAL. Los proyectos viales y de transporte buscan minimizar la congestión vial existente en el centro del Municipio de Subachoque, así como mejorar las condiciones de accesibilidad para todos los habitantes. Los proyectos a desarrollar en esta materia deberán tener en cuenta como mínimo:  Elaboración del Plan Municipal de Movilidad y ejecución de las etapas correspondientes al corto plazo.  La rehabilitación y construcción de vías, de acuerdo con los perfiles viales adoptados en el presente documento, de acuerdo al plan Municipal de Movilidad.  Ampliación y mantenimiento de vías urbanas, de acuerdo al plan Municipal de Movilidad.  Apertura de vías proyectadas.  Realizar la instalación de mobiliario urbano y arborización en las zonas de mobiliario y andenes según perfiles viales. Artículo 58. DEFINICIÓN DEL SISTEMA DE TRANSPORTE. Se entiende por Sistema de Transporte el conjunto de medios vehiculares que permiten la movilización colectiva de pasajeros dentro de contextos intermunicipales, regionales y urbanos, para la realización y
  • 48.
    CIPIO DE AGUAZUL ACUERDONo. _____ “POR EL CUAL SE ADOPTA LA REVISIÓN GENERAL DEL ESQUEMA DE ORDENAMIENTO TERRITORIAL DEL MUNICIPIO DE SUBACHOQUE” EOT 48 desempeño de las diferentes actividades urbanas. Estos sistemas exigen infraestructuras viales apropiadas y facilitan la interrelación funcional de la del Municipio al interior y exterior de su contexto. Artículo 59. COMPONENTES DEL SISTEMA DE TRANSPORTE. El sistema de transporte de Subachoque está conformado por el terminal de transporte local, la red de paraderos, de estacionamientos y las rutas de transporte público que en conjunto con el sistema vial permiten la intercomunicación vial al interior y al exterior del municipio. Artículo 60. PROYECTOS DEL SISTEMA DE TRANSPORTE. Son proyectos a través de los cuales se desarrollará el sistema de transporte, los siguientes: 1. Promoción y gestión para la construcción del terminal local de transportes. SUBCAPÍTULO IV DEL SISTEMA DE EQUIPAMIENTOS COLECTIVOS URBANOS Artículo 61. DEFINICIÓN. Se entiende por Sistema de Equipamientos el conjunto de espacios y construcciones de uso público, cuya función es la prestación de servicios que atienden y satisfacen las necesidades recreativas, culturales, de salud, de educación, de abastecimiento, administrativas y demás afines requeridas por la comunidad de Subachoque. Artículo 62. CLASIFICACIÓN DE LOS EQUIPAMIENTOS POR SECTORES DE DESEMPEÑO. De acuerdo con los sectores de desempeño y el tipo de servicio prestado, los equipamientos se clasifican de la siguiente manera y corresponden a equipamientos comunales públicos, de propiedad pública, o propiedad privada: CLASIFICACIÓN DEFINICIÓN Equipamientos Educativos: Destinados a satisfacer las necesidades básicas de escolaridad de la población: - Jardines Infantiles, escuelas, colegios, centros de educación superior, Institutos de capacitación técnica, universidades entre otros. Equipamientos culturales: Destinados a satisfacer las necesidades básicas del intelecto y actividades artísticas de los habitantes: Museos, Teatro, bibliotecas, centros culturales, auditorios, galerías, entre otros. Equipamientos Administrativos y de Seguridad: Destinados a satisfacer las necesidades básicas en prestación de servicios relacionados con la administración, gobierno y seguridad ciudadana y son: - Entidades gubernamentales, estación, Juzgados, notarias, registraduría, instalaciones militares, estaciones de bomberos, entre otros. Equipamientos Recreativos y Deportivos: Destinados a satisfacer las necesidades básicas práctica de ejercicio físico como actividad de recreo u ocio: Coliseo Cubierto, Canchas cubiertas, Polideportivo, cancha acústica, entre otros. Equipamientos Asistenciales: Destinados a satisfacer las necesidades básicas sociales de: - Salud. Puestos de Salud, clínicas, guarderías, centros de atención adulto mayor entre otros. Equipamientos religiosos y de culto: Destinados a satisfacer las necesidades básicas para prestación de servicios religiosos y de culto: - Iglesia, capillas, conventos, seminarios, sedes de diferentes cultos, entre otros. Equipamientos Servicios especiales: Destinados a la prestación y dotaciones urbanas que satisfacen necesidades especiales como: - Cementerios, terminales de transporte, entre otros.
  • 49.
    CIPIO DE AGUAZUL ACUERDONo. _____ “POR EL CUAL SE ADOPTA LA REVISIÓN GENERAL DEL ESQUEMA DE ORDENAMIENTO TERRITORIAL DEL MUNICIPIO DE SUBACHOQUE” EOT 49 CLASIFICACIÓN DEFINICIÓN Equipamientos Abastecimiento: Destinados a satisfacer las necesidades restando servicios de soporte a la economía tales como: - Plaza de comidas, mercado, centros de abasto, centros de acopio, entre otros Artículo 63. DETERMINACIÓN DE LOS NIVELES DE COBERTURA DE LOS EQUIPAMIENTOS. De acuerdo con la cobertura o ámbito de prestación de los servicios, los equipamientos se organizan en los siguientes cuatro niveles: Regionales. Pertenecen a este nivel las edificaciones con cobertura regional, que atienden y satisfacen las necesidades colectivas de varios municipios. Urbanos. Pertenecen a este nivel las edificaciones cuyas coberturas cubren la totalidad del Municipio y atienden y satisfacen las necesidades colectivas de la población que ella habita. Zonales. Pertenecen a este nivel las edificaciones cuyas coberturas cubren varios sectores del Municipio y atienden y satisfacen las necesidades requeridas por una colectividad zonal. Barriales. Pertenecen a este nivel las edificaciones cuyas coberturas cubren a un barrio y atienden y satisfacen los requerimientos de primera necesidad de la comunidad residente y trabajadora en dicho barrio del Municipio. Parágrafo. La Administración Municipal promoverá la reubicación del comando de policía local a un predio localizado dentro del perímetro urbano, a las entradas o salidas a éste. Artículo 64. DE LA ACCESIBILIDAD A LOS EDIFICIOS ABIERTOS AL PÚBLICO. En los términos previstos en el Decreto 1538 de 2005, reglamentario de la Ley 361 de 1997 o en las normas que lo modifiquen, adicionen o sustituyan, para el diseño, construcción o adecuación de los edificios de uso público en general, se dará cumplimiento a los parámetros relativos a: a) Acceso a las edificaciones b) Entorno de las edificaciones c) Acceso al interior de las edificaciones de uso público d) Espacios de recepción o vestíbulo Artículo 65. PROYECTOS DEL SISTEMA DE EQUIPAMIENTOS. Son proyectos del sistema de equipamientos, los siguientes: 1. Construcción del equipamiento cultural Ludoteca 2. Construcción del equipamiento cultural Plaza de la Cultura 3. Adecuación de equipamientos de educación 4. Construcción y adecuación de equipamientos deportivos 5. Construcción y adecuación de equipamientos asistenciales 6. Reubicación del comando de policía local 7. Mantenimiento y Mejoramiento de la estructura física y dotación de los equipamientos públicos existentes garantizando el cumplimiento de la norma NSR-10 de sismo resistencia, y la ley 361 de 1997 y 1287 de 2009 de accesibilidad, y demás normas aplicables a cada uno de los equipamientos existentes y proyectados. Parágrafo primero. Dado que el cementerio actualmente se encuentra dentro del área urbana, este debe dar cumplimiento a la resolución No. 5194 de 2010, del Ministerio de Protección Social, a
  • 50.
    CIPIO DE AGUAZUL ACUERDONo. _____ “POR EL CUAL SE ADOPTA LA REVISIÓN GENERAL DEL ESQUEMA DE ORDENAMIENTO TERRITORIAL DEL MUNICIPIO DE SUBACHOQUE” EOT 50 su vez este debe reubicarse en las áreas rurales agropecuarias para lo cual se contará con un plazo, hasta el 31 de Diciembre de 2018. Parágrafo segundo. Retiro perimetral de escenarios deportivos: En la construcción de equipamientos deportivos debe mantenerse un retiro perimetral como zona verde arborizada de mínimo 5 ML, respecto de las construcciones colindantes. SUBCAPÍTULO V DEL SISTEMA DE ESPACIO PÚBLICO Artículo 66. DEFINICIÓN. De conformidad con el Decreto 1504 de 1998, se entiende por espacio público “el conjunto de inmuebles públicos y elementos arquitectónicos y naturales de los inmuebles privados, destinados por su naturaleza, por uso o afectación, a la satisfacción de necesidades urbanas colectivas que trascienden, por lo tanto, los límites de los intereses individuales de los habitantes". Constituyen el espacio público las áreas requeridas para la circulación tanto peatonal como vehicular, las áreas para la recreación pública activa o pasiva, para la seguridad y tranquilidad ciudadana, las franjas de retiro de las edificaciones sobre las vías, fuentes de agua, parques, plazas, zonas verdes y similares, las necesarias para la instalación y mantenimiento de los servicios públicos básicos, para la instalación y uso de los elementos constitutivos del amoblamiento urbano en todas sus expresiones, para la preservación de obras de interés público y de los elementos históricos, culturales, religiosos, recreativos y artísticos, para la conservación y preservación del paisaje y los elementos naturales del entorno de la ciudad y, en general, por todas las zonas existentes o debidamente proyectadas en las que el interés colectivo sea manifiesto y conveniente y que constituyan por consiguiente zonas para el uso o disfrute colectivo. Artículo 67. COMPONENTES DEL SISTEMA DE ESPACIO PÚBLICO URBANO. El sistema del espacio público en el suelo clasificado como urbano y de expansión urbana está constituido por los siguientes componentes: Elementos constitutivos naturales:  Áreas para la conservación y preservación del sistema orográfico o de montañas.  Áreas para la conservación y preservación del sistema hídrico Áreas artificiales o construidas:  Sistemas de circulación peatonal y vehicular.  Áreas de articulación parques y espacios públicos, plazas y plazoletas.
  • 51.
    CIPIO DE AGUAZUL ACUERDONo. _____ “POR EL CUAL SE ADOPTA LA REVISIÓN GENERAL DEL ESQUEMA DE ORDENAMIENTO TERRITORIAL DEL MUNICIPIO DE SUBACHOQUE” EOT 51 Elementos Complementarios:  Mobiliario Urbano.  Señalización.  Sistema Vial.  Sistema de Equipamientos.  Ciclo rutas. Artículo 68. PROYECTOS DEL SISTEMA DE ESPACIO PÚBLICO. Son proyectos del sistema de espacio público, los siguientes: 1. Formulación y estudios del Plan Maestro de Espacio Público. 2. Ejecución del Plan Maestro de Espacio Público. 3. Incorporación al Sistema de Espacio Público de las áreas de cesión de los desarrollos urbanísticos. (La mayor parte de los espacios públicos proyectados pueden construirse bajo la figura de la cesión a título gratuito por parte de los urbanizadores) 4. Inclusión y construcción del área actual del cementerio como parque de escala urbana en el área urbana central del municipio. 5. Mejoramiento y mantenimiento del mobiliario urbano y de los parques existentes. 6. Dotación de mobiliario Urbano. 7. Regularización en tamaños y materiales de andenes según lo establecido en los perfiles viales propuestos. 8. Formulación y ejecución del Plan para la adaptación de los espacios públicos, edificios, servicios e instalaciones dependientes. Artículo 69. DE LA ADAPTACIÓN DE LOS ESPACIOS PÚBLICOS. La Administración Municipal adoptará el “Plan para la adaptación de los espacios públicos, edificios, servicios e instalaciones dependientes”, en cumplimiento de lo dispuesto en el Art. 57 de la Ley 361 de 1997. De la accesibilidad al sistema de espacio público En los términos previstos en el Decreto 1538 de 2005, reglamentario de la Ley 361 de 1997 o en las normas que lo modifiquen, adicionen o sustituyan, los elementos del espacio público deberán ser diseñados y construidos dando cumplimiento a los parámetros relativos a: a) Vías de circulación peatonal b) Mobiliario urbano c) Cruces a desnivel: Puentes y túneles peatonales d) Parques, plazas y plazoletas e) Accesos peatonales para el tránsito de minusválidos SUBCAPÍTULO VI DE LA VIVIENDA
  • 52.
    CIPIO DE AGUAZUL ACUERDONo. _____ “POR EL CUAL SE ADOPTA LA REVISIÓN GENERAL DEL ESQUEMA DE ORDENAMIENTO TERRITORIAL DEL MUNICIPIO DE SUBACHOQUE” EOT 52 Artículo 70. ESTRATEGIAS DE CORTO, MEDIANO Y LARGO PLAZO PARA EL DESARROLLO DE PROGRAMAS DE VIVIENDA. Son estrategias para la vivienda de interés social las siguientes:  Focalizar a la población pobre y vulnerable del sector rural con el fin de apoyar y gestionar recursos ante las entidades competentes con el objeto de desarrollar programas de mejoramiento de vivienda rural.  Gestionar programas de construcción de vivienda nueva, mejoramiento de vivienda, construcción en sitio propio, bolsa saludable urbana y rural.  Gestionar ante las entidades respectivas la consecución de subsidios para otorgar vivienda digna a más familias de escasos recursos. Artículo 71. POLÍTICAS DE CORTO, MEDIANO Y LARGO PLAZO PARA EL DESARROLLO DE PROGRAMAS DE VIVIENDA DE INTERÉS SOCIAL. Son políticas para la vivienda de interés social las siguientes: 1. La construcción de vivienda de interés social sólo para cubrir las necesidades del crecimiento vegetativo de la población del municipio de acuerdo con el censo DANE 2. Desarrollo de programas, planes y proyectos de vivienda para los estratos 1 y 2. Artículo 72. PROYECTOS DE VIVIENDA. Son proyectos de vivienda, los siguientes: 1. Promoción y construcción del proyecto de VIS en el Área Urbana de La Pradera de teniendo en cuenta el Acuerdo Municipal N° 06 de 2014 “Por medio del cual se ajusta el Esquema de Ordenamiento Territorial del municipio de Subachoque adoptado por el Acuerdo N° 15 de 2000 mediante la incorporación de un predio al perímetro urbano de la inspección de La Pradera para el desarrollo de Vivienda de Interés Social e Interés Prioritario”. 2. Caracterización detallada de la demanda de posibles usuarios al programa de Vivienda de Interés Social – perfil socio económico, tanto a nivel urbano, como a nivel rural. 3. Mejoramiento de vivienda urbana y rural 4. Programa de construcción en sitio propio Parágrafo primero. Localización de la vivienda de interés social y prioritaria. Los proyectos de vivienda de interés social a través de los cuales se dé cumplimiento a los objetivos de desarrollo y ordenamiento territorial, en los términos previstos en el presente acuerdo, deberán localizarse en los suelos destinados para actividad de VIS en el plano CU – 06 Áreas de Actividad Urbana. Parágrafo segundo. Mejoramiento de vivienda. La Administración Municipal adelantará las acciones necesarias para el mejoramiento integral de viviendas que se prioricen según diagnóstico, de acuerdo con el programa de vivienda de la administración municipal. CAPÍTULO II DE LOS USOS DEL SUELO URBANO
  • 53.
    CIPIO DE AGUAZUL ACUERDONo. _____ “POR EL CUAL SE ADOPTA LA REVISIÓN GENERAL DEL ESQUEMA DE ORDENAMIENTO TERRITORIAL DEL MUNICIPIO DE SUBACHOQUE” EOT 53 Artículo 73. CATEGORÍAS DE USOS DEL SUELO. Para los fines de la asignación de usos y definición de prioridades y compatibilidades, se distinguen las siguientes cuatro categorías de usos, entendiéndose que la asignación de usos se hace respecto de las áreas de actividad en las que ha sido zonificado el suelo urbano. Uso Principal: Uso deseable que coincide con la función específica de la zona y que ofrece las mayores ventajas para el desarrollo sustentable. Usos Compatibles: Son aquellos que no se oponen al principal y concuerdan con la potencialidad, productividad y protección del suelo y demás recursos naturales conexos. Usos Condicionados o Restringidos: Son aquellos que presentan algún grado de incompatibilidad urbanística y/o ambiental que se puede controlar de acuerdo con las condiciones que impongan las normas urbanísticas y ambientales correspondientes. Usos Prohibidos: Son aquellos incompatibles con el uso principal de una zona, con los objetivos de conservación ambiental y de planificación ambiental y territorial y, por consiguiente, implica graves riesgos de tipo ecológico y social. Parágrafo: Las categorías de usos definidas en el presente artículo aplican igualmente para el suelo rural. Artículo 74. USO RESIDENCIAL. Comprende las viviendas o lugares de habitación de los residentes urbanos. El uso residencial puede darse de manera exclusiva dentro de una edificación o puede compartir esta con otros usos, siempre que estos correspondan a las categorías compatible o condicionada, en cuyo caso, el uso condicionado deberá garantizar la adecuada mitigación de los impactos generados. De acuerdo con las características e intensidad de uso, pueden distinguirse cuatro tipos de vivienda: 1. Vivienda Unifamiliar: Corresponde a aquella diseñada y construida como una unidad arquitectónica para albergar a un único grupo familiar, dotada de manera autónoma de espacios aptos para la preparación de alimentos, el aseo personal, el descanso y el intercambio social. No es susceptible de dividirse total o parcialmente para generar otra unidad habitacional adicional. 2. Vivienda Bifamiliar: Corresponde a aquella diseñada y construida como una unidad arquitectónica y estructural para albergar a dos grupos familiares, dotada de manera autónoma e independiente, de espacios aptos para la preparación de alimentos, el aseo personal, el descanso, el intercambio social y áreas de parqueo. 3. Vivienda Multifamiliar: Corresponde a aquella diseñada y construida como una unidad arquitectónica donde existe una división material que independiza tres o más unidades habitacionales con un área mínima por unidad habitacional, donde además existen espacios comunales como escaleras de acceso, pasillos, área de acceso y recibo y áreas de parqueo privados y de visitantes. Los bienes de uso público y de dominio privado están subordinados a un reglamento de propiedad horizontal.  Vivienda en conjuntos o agrupada: Corresponde a la agrupación dentro de un predio de unidades unifamiliares, bifamiliares y/o multifamiliares al interior del mismo. Los desarrollos de vivienda agrupada son considerados desarrollos por urbanización en cuyo caso deberán acatar las normas para dicha modalidad como cesiones a título gratuito y cesiones
  • 54.
    CIPIO DE AGUAZUL ACUERDONo. _____ “POR EL CUAL SE ADOPTA LA REVISIÓN GENERAL DEL ESQUEMA DE ORDENAMIENTO TERRITORIAL DEL MUNICIPIO DE SUBACHOQUE” EOT 54 comunales. Los bienes de uso público y de dominio privado están subordinados a un reglamento de propiedad horizontal. Artículo 75. USO COMERCIAL Y DE SERVICIOS. Corresponde al intercambio de bienes y servicios. De acuerdo con las características y cubrimiento del establecimiento comercial y para los fines de asignación de espacios territoriales, se pueden distinguir los siguientes tipos de establecimientos comerciales: 1. Comercio y Servicios Grupo I. Comercio y Servicios de Cobertura Local: Corresponde a la venta de bienes o servicios de consumo doméstico requeridos por la comunidad de un sector dado. Se trata en general de locales abiertos en edificaciones residenciales sin adecuaciones físicas importantes ni afectación del resto de la vivienda, o destinados para tal fin pero como parte de la edificación. Se considera compatible con la actividad residencial por su bajo impacto ambiental, urbanístico y social. Para que sean considerados como tales, estos establecimientos deben, además, cumplir las siguientes condiciones: a. No requieren zonas especiales de exhibición y bodegaje, ni especialización de las edificaciones; como mínimo deberá desarrollarse en un área mínima de 10 m2 y de máximo 20 m2 para la atención del público, las áreas de servicio tales como baños, cocinas, cocinetas y demás, se consideran como áreas adicionales. b. Los espacios adicionales necesarios para el desarrollo de la actividad (por ejemplo: baños, cocinas y/o cocinetas) deberán ser independientes al área residencial. c. No requieren usos complementarios. d. No requieren zonas especializadas de descargue o cargue, por realizarse el abastecimiento mediante vehículos pequeños y el acceso se puede realizar por vías locales. e. No requieren zonas de estacionamiento para vehículos automotores, por permanencia corta de los clientes. f. En el caso de establecimientos cuyo objeto sea la venta de alimentos y bebidas no alcohólicas para consumo directo, es decir, dentro del propio establecimiento, sí se requiere de adecuaciones locativas tendientes a la dotación de servicio sanitario para los clientes, independiente al de la vivienda, así como la adecuación de superficies en pared y piso, aptas para el lavado en las áreas de trabajo. g. En este tipo de establecimientos no está permitida la venta y/o exposición de bebidas alcohólicas. h. Para renovación de establecimientos se debe contar con dos baños. Pertenecen al Comercio y Servicios Grupo I, las siguientes actividades.  Venta de alimentos y bebidas no alcohólicas al detal, para consumo diario: comidas rápidas, fruterías, entre otros.  Venta de bienes: Papelerías, librerías, jugueterías, almacenes de ropa, almacenes de calzado, almacenes de adornos, floristerías, misceláneas.  Venta de servicios profesionales: Consultorios u oficinas para el ejercicio de profesiones liberales.
  • 55.
    CIPIO DE AGUAZUL ACUERDONo. _____ “POR EL CUAL SE ADOPTA LA REVISIÓN GENERAL DEL ESQUEMA DE ORDENAMIENTO TERRITORIAL DEL MUNICIPIO DE SUBACHOQUE” EOT 55  Venta de servicios técnicos: Sastrerías, modisterías, zapaterías, reparación de aparatos eléctricos y electrónicos, peluquería, salas de belleza.  Venta de servicios recreativos: Alquiler de películas de video, los cuales no podrán ser alquilados para uso dentro del establecimiento.  Venta de servicios de telecomunicaciones. Parágrafo primero. Los locales cuya actividad sea la venta de servicios técnicos, no pueden realizar ningún tipo de actividad en el espacio público. Parágrafo segundo. El plan de gestión integral de residuos sólidos debe dar las directrices de aquellos establecimientos comerciales que generan y como se deben recolectar y tratar y/o disponer los residuos sólidos que sean catalogados como hospitalarios, peligrosos, industriales de acuerdo a la normatividad vigente en la materia. (Decreto 351 de 2014 para atención en salud y otras actividades y Decreto 4741 de 2005 por el cual se reglamenta parcialmente la prevención y el manejo de los residuos o desechos peligrosos generados en el marco de la gestión integral) 2. Comercio y Servicios Grupo II. Comercio y Servicios de Cobertura Municipal o Zonal: Comprende usos comerciales de intercambio de bienes o servicios de consumo que satisfacen demandas especializadas y generales de la comunidad de toda la zona. Se trata, en general, de establecimientos abiertos en edificaciones originalmente residenciales, total o parcialmente adecuadas para tal fin; o que cubren todo el primer piso de edificaciones residenciales o en edificaciones especializadas para el uso comercial y de servicios; o en manzanas o centros comerciales de urbanizaciones y en edificaciones especializadas para el uso comercial con venta de bienes en los primeros pisos y venta de servicios en pisos superiores. En general se consideran de bajo impacto ambiental y social, pero de impacto urbanístico, a causa del tránsito y congestión vehicular que pueden generar. Estos establecimientos cumplen, entre otras, las siguientes condiciones: a. Puede requerir de vitrinas o medios de exhibición, así como áreas de bodegaje. b. Requiere de áreas de parqueo para vehículos automotores, motocicletas y bicicletas. c. Generación mediana de empleo. d. Funcionan en horarios diurnos y nocturnos, con posible afluencia concentrada de usuarios en horas, días y temporadas determinadas. e. Requiere de acceso vehicular para cargue y descargue de mercancía, así como de otros tipos de infraestructuras específicas según el tipo de bien o servicio comercializado. f. En el caso de comercios que necesiten amplias áreas de bodegaje y que los productos comerciados necesiten ser evacuados por los clientes con vehículos, será necesario adecuar las instalaciones privadas con áreas de cargue y descargue y áreas de parqueos para clientes sin afectar las vías ni el espacio público. g. Pueden generar usos complementarios, con formación paulatina de ejes o sectores comerciales. h. En el caso de establecimientos cuyo objeto sea la venta de alimentos y bebidas no alcohólicas para consumo directo, es decir, dentro del propio establecimiento, sí se requiere de adecuaciones locativas tendientes a la dotación de servicio sanitario para
  • 56.
    CIPIO DE AGUAZUL ACUERDONo. _____ “POR EL CUAL SE ADOPTA LA REVISIÓN GENERAL DEL ESQUEMA DE ORDENAMIENTO TERRITORIAL DEL MUNICIPIO DE SUBACHOQUE” EOT 56 los clientes (1 baño para mujeres, 1 baño para hombres y 1 baño de personas con algún grado de condición de discapacidad), independiente al de la vivienda, así como la adecuación de superficies en pared y piso, aptas para el lavado en las áreas de trabajo. i. Estos establecimientos requerirán un área mayor de 20 m2, para la atención del público, las áreas de servicio tales como baños, cocinas, cocinetas y demás, se consideran como áreas adicionales. Pertenecen al Comercio y Servicios Grupo II, las siguientes actividades.  Venta de alimentos y bebidas al detal: Restaurantes, cafeterías, fuentes de soda, panaderías, comidas preparadas.  Venta de alimentos y bebidas al detal y al por mayor: Graneros, cigarrerías, productos cárnicos, leche y sus derivados y otros alimentos perecederos, procesados o sin procesar, supermercados.  Venta de productos farmacéuticos y cosméticos para consumo humano y animal, al detal y al por mayor: Droguerías, almacenes veterinarios.  Venta de productos y/o artículos para el hogar: Almacenes de muebles, electrodomésticos y similares.  Venta de repuestos, partes y herramientas: almacenes de repuestos y partes.  Venta de productos utilitarios: venta de equipos.  Venta de servicios recreativos y personales: Juegos localizados, en los términos de la Ley 641 de 2001, billares, clubes sociales y deportivos, alquiler de películas y afines, saunas, baños turcos, salas y/o centros de estética, gimnasios.  Venta de servicios de lavado: Lavanderías y tintorerías.  Venta de servicios profesionales: Consultorios, oficinas y laboratorios para el ejercicio de profesiones liberales.  Venta de servicios técnicos: marqueterías, vidrierías, talabarterías, bicicleterías (solo venta).  Servicios con pacto de retroventa y/o consignación de bienes.  En el caso de restaurantes u otro tipo de establecimiento en el cual se vendan bebidas alcohólicas para consumo directo dentro del propio establecimiento, se requiere de adecuaciones locativas tendientes a la dotación de servicio sanitario para los clientes, este debe ser independiente tanto para hombres como para mujeres (es decir 2 baños).  Venta de servicios de telecomunicación, café internet.  Venta de servicios de parqueo de vehículos hasta de 3.5 toneladas.  Venta se servicios financieros y de seguros: oficinas inmobiliarias,  Venta de servicios de hospedaje: Hoteles. Parágrafo tercero. En el caso de restaurantes con venta de bebidas alcohólicas para consumo directo, es decir, dentro del propio establecimiento, se requiere de adecuaciones locativas tendientes a la dotación de servicio sanitario para los clientes, mínimo dos unidades sanitarias por establecimiento. Uso comercial y de servicios – Bares, Tabernas, Discotecas y similares. Corresponde los establecimientos dedicados al expendio de bebidas alcohólicas donde se puede pasar un rato de
  • 57.
    CIPIO DE AGUAZUL ACUERDONo. _____ “POR EL CUAL SE ADOPTA LA REVISIÓN GENERAL DEL ESQUEMA DE ORDENAMIENTO TERRITORIAL DEL MUNICIPIO DE SUBACHOQUE” EOT 57 sano esparcimiento. Dentro de estos se encuentran: bares, billares, tabernas, discotecas, rockolas, karaokes, café bar, bar de tertulia, Taberna de Tertulia, campos de tejo. Los establecimientos que sean catalogados como de “Alto impacto”, solo se podrán desarrollar en la jurisdicción del municipio en el área de comercio de impacto. Uso comercial y de servicios – Talleres mecánicos, eléctricos y de latonería tanto para vehículos, motos y maquinaria. Corresponde los establecimientos dedicados a la reparación de vehículos, motos y maquinaria en general que presenta daños mecánicos, eléctricos o de carrocería y/o estructura. Los establecimientos que sean catalogados como de “Alto impacto”, solo se podrán desarrollar en la jurisdicción del municipio en las áreas denominadas corredores viales de servicios rurales. Parágrafo cuarto. Estudio de establecimientos comerciales catalogados como de “Alto impacto” (aplica para los dos usos precedentes). La Secretaría de Gobierno o quien haga sus veces deberá realizar un estudio para determinar cuáles son los establecimientos comerciales de “Alto impacto en el área urbana y rural” el cual tiene plazo de dos (2) años posterior a la aprobación del acuerdo y se deberá realizar el control y seguimiento cada vez que se considere pertinente. Los establecimientos que se encuentren catalogados como de alto impacto y que actualmente están ubicados en el área urbana, centros poblados o área rural, tendrán un plazo máximo de traslado hasta el 31 de Diciembre de 2017 para el área definida para estos usos dentro del EOT. Las variables que analiza el estudio de alto impacto son: 1. Incumplimiento a los niveles de ruido permitido para área urbana de acuerdo a la normatividad ambiental vigente. 2. Recurrencia de los problemas de orden público que se presenten en el establecimiento o por clientela que forme problemas de orden público a la salida del mismo. 3. Recurrencia en la ocupación de espacio público o invasión de vía pública por parte de la clientela del establecimiento, cuando este no cuente con áreas para parqueo de sus clientes. Los establecimientos comerciales que serán analizados por el estudio de alto impacto son:  Tiendas  Bares  Tabernas  Discotecas  Rockolas  Café Bar  Billares  Estanco  Licorera  Galleras  Fuente de soda
  • 58.
    CIPIO DE AGUAZUL ACUERDONo. _____ “POR EL CUAL SE ADOPTA LA REVISIÓN GENERAL DEL ESQUEMA DE ORDENAMIENTO TERRITORIAL DEL MUNICIPIO DE SUBACHOQUE” EOT 58  Campos de Tejo  Cantinas  Expendios de licor  Karaoke´s  Talleres eléctricos de vehículos, maquinaria y motocicletas  Talleres mecánicos de vehículos, maquinaria y motocicletas  Talleres de Latonería y Pintura de vehículos, maquinaria y motocicleta  Talleres de ornamentación  Carpinterías  Talleres de Electrodomésticos  Fábricas pequeñas que generen ruido o emisiones o vertimientos industriales Los establecimientos comerciales que sean catalogados por el estudio que va a realizar la Secretaría de Gobierno como de “Alto impacto” se deberán establecer solamente en las áreas que establezca el EOT. Parágrafo quinto. Los nuevos expendios cárnicos y/o lácteos y/o pescado no procesados que se localicen en el área urbana deberán presentar el respectivo concepto y/o viabilidad (Que contemple el manejo de residuos sólidos y líquidos) de sus actividades a la Secretaría de Medio Ambiente o quien haga sus veces, y a la Autoridad Ambiental CAR en caso de requerirse. Parágrafo sexto. Los establecimientos comerciales que realizan venta de minutos a teléfonos móviles y fijos deberán poseer en su interior cabina o cabinas telefónicas especiales para tal fin. Lo anterior para que no se congestione el espacio público. Parágrafo séptimo. No se permitirá el establecimiento de dos actividades simultáneas no compatibles por cada establecimiento comercial. Parágrafo octavo. Dentro de las urbanizaciones de Vivienda de Interés Social y/o prioritario, NO se podrá dar ningún tipo de desarrollo comercial al interior de las viviendas. Parágrafo noveno. Se prohíbe la construcción de Moteles, Hostales, Residencias, Centros de Lenocinio y Similares. Parágrafo décimo. No se podrá realizar ningún tipo de desarrollo de construcciones de viviendas prefabricadas en el área urbana. Parágrafo décimo primero. Cierre de establecimientos: Todo establecimiento que no cumpla con el respectivo uso conforme con la presente norma estará contraviniendo el Esquema de Ordenamiento Territorial del Municipio, por lo cual se deberá proceder al cierre del establecimiento por parte de la Administración Municipal en cabeza de la Secretaría de Gobierno y la Inspección de Policía, siguiendo el conducto regular legalmente establecido para tal fin.
  • 59.
    CIPIO DE AGUAZUL ACUERDONo. _____ “POR EL CUAL SE ADOPTA LA REVISIÓN GENERAL DEL ESQUEMA DE ORDENAMIENTO TERRITORIAL DEL MUNICIPIO DE SUBACHOQUE” EOT 59 Parágrafo décimo segundo. Norma de emisión de ruido y ruido ambiental: Todas las actividades que se desarrollen en el municipio deben dar cumplimiento a la resolución 627 de 2007 del Ministerio de Ambiente Vivienda y Desarrollo Territorial (hoy Ministerio de Ambiente y desarrollo Sostenible) y las demás normas que lo modifiquen, deroguen o complementen, , sobre emisiones de ruido y ruido ambiental. Para establecimientos de tipo comercial lo niveles permitidos son de 70dB en el día y 60dB en la noche. En caso de exceder los niveles mínimos de ruido los establecimientos deberán realizar adecuaciones de tipo arquitectónicas (aislantes acústicos, dobles muros. etc) que permitan el cumplimiento de los niveles máximos de ruido permitidos. Parágrafo décimo tercero. En el caso cuando el área de actividad de comercio y servicios colinde lateralmente con predios que se encuentren en área de actividad residencial sin mediar de por medio ninguna vía pública, las actividades comerciales que se podrán desarrollar en estos predios serán las del comercio Grupo I, definidos en este mismo numeral. Parágrafo décimo cuarto. Dentro de los usos principales, compatibles y condicionados dentro del comercio Grupo I y II en el área de actividad comercial y de servicios no se podrán realizar actividades donde exista manipulación de agentes químicos que puedan llegar a convertirse en potencialmente tóxicos para la comunidad. Parágrafo décimo quinto. Controles: Corresponde a la Secretaría de Gobierno a través de la inspección de Policía deberá ejercer el control respecto al cumplimiento de la normatividad por parte de los establecimientos comerciales, industriales y de servicios, en cuanto al concepto favorable de uso del suelo conforme a la norma la Secretaría de Planeación tramitará este documento. Corresponde a la Inspección de Policía o la entidad que haga sus veces, ejercer el control por impacto urbano con vehículos sobre el espacio público; corresponde al Organismo de Control Ambiental o quien haga sus veces ejercer los controles por los impactos ambientales generados (ruido, olores, contaminación visual, etc.); y demás formas que alteren el medio ambiente. Corresponde a la Secretaría de Gobierno, ejercer los controles sobre los impactos y escándalo público y actuar para los casos de quejas o malestar de vecinos originados por el mal funcionamiento de establecimientos públicos. Artículo 76. USO DOTACIONAL. Corresponde a la prestación de ciertos tipos de servicios sociales de carácter formativo, cultural, de salud, deportivo, de bienestar social, recreacional y religioso, así como a prestar apoyo funcional a los particulares y a la administración pública. De acuerdo con su cobertura e intensidad, los usos dotacionales se clasifican de la siguiente manera: 1. Dotacional Grupo I. Dotacional Local: Corresponde a servicios de primera necesidad y cobertura local, que se desarrollan en establecimientos de magnitud reducida y pueden generar en menor escala, tráfico vehicular, congestión eventual de peatones, ruidos, emisiones o efluentes contaminantes, por lo cual, aunque se consideran de bajo impacto arquitectónico, urbanístico y ambiental, se deberán prestar en instalaciones adecuadas para mitigar tales impactos. Se trata de actividades que funcionan en locales adaptados o parcialmente adaptados en una edificación residencial u ocupando la totalidad del primer
  • 60.
    CIPIO DE AGUAZUL ACUERDONo. _____ “POR EL CUAL SE ADOPTA LA REVISIÓN GENERAL DEL ESQUEMA DE ORDENAMIENTO TERRITORIAL DEL MUNICIPIO DE SUBACHOQUE” EOT 60 piso de la edificación residencial, como también en edificaciones construidas específicamente para dicho uso, siendo por tanto compatibles con el uso residencial. Se consideran actividades dotacionales del Grupo I, las siguientes:  Servicios culturales: bibliotecas, salones culturales o comunales.  Servicios educacionales: jardines infantiles, guarderías. 2. Dotacional Grupo II. Dotacional Municipal: Son aquellas de mediano impacto ambiental urbanístico y social, con restricciones diferenciales de localización según su impacto urbanístico derivado. Se desarrollan en edificaciones construidas especialmente o adaptadas en su totalidad; generan afluencia de usuarios concentrada en ciertos días u horas y durante horarios especiales y requieren zonas de estacionamiento; pueden generar tráfico y congestión y propician la aparición o desarrollo de actividades complementarias en el área de influencia inmediata; pueden generar ruidos, emisiones o efluentes contaminantes, por lo que deberán construir las instalaciones para mitigar estos impactos y cumplir con la normatividad vigente (PGIRH) y demás permisos ambientales necesarios para su operación, los cuales deben ser presentados ante las autoridades municipales de planeación. En general, estos establecimientos cumplen, entre otras, las siguientes condiciones: a. Requiere edificaciones, individuales o agrupadas especialmente diseñadas para el desarrollo de la actividad. b. Funciona en horarios especiales, con afluencia concentrada de público en horas, días y temporadas determinadas. c. Genera afluencia y permanencia elevada de personas. d. Requiere vías de acceso de tipo estructural primario o secundario, así como áreas de parqueo y carga. e. Por sus características físicas y funcionales genera alto impacto urbanístico que requiere soluciones particulares para cada caso. f. Los centros de culto deben garantizar la inclusión, en la edificación, de medidas de mitigación del impacto auditivo de manera tal que se dé cumplimiento a lo previsto en la Resolución No. 8321 de 1983, del Ministerio de Salud, por la cual se dictan normas sobre Protección y Conservación de la Audición de la Salud y el bienestar de las personas, por causa de la producción y emisión de ruidos. g. Para las instituciones educativas las establecidas por el Ministerio de Educación. Se consideran actividades dotacionales del Grupo II, las siguientes:  Servicios culturales: bibliotecas, salones culturales o comunales.  Centros educativos: Colegios, Universidades, Centros de formación técnica y tecnológica dando cumplimiento a los correspondientes parámetros de ley.  Servicios asistenciales: Instituciones para permanencia del adulto mayor, casas y centros de rehabilitación, centros de paso, hogares de bienestar, Clínicas.  Centros de culto, conventos, seminarios.
  • 61.
    CIPIO DE AGUAZUL ACUERDONo. _____ “POR EL CUAL SE ADOPTA LA REVISIÓN GENERAL DEL ESQUEMA DE ORDENAMIENTO TERRITORIAL DEL MUNICIPIO DE SUBACHOQUE” EOT 61  Administrativos públicos: instalaciones para la administración pública, judicial o similar.  IPS, Clínicas Artículo 77. USOS RECREACIONALES. Corresponden a aquellos dedicados a prestar servicios deportivos o de esparcimiento a la comunidad. La actividad recreativa puede ser de tipo activo o de tipo pasivo. 1. Recreación Activa. Conjunto de actividades dirigidas al esparcimiento y el ejercicio de disciplinas lúdicas, artísticas o deportivas que tienen como fin la salud física y mental, para las cuales se requiere de infraestructura destinada a alojar concentraciones de público. 2. Recreación pasiva. Conjunto de acciones y medidas dirigidas al ejercicio de actividades contemplativas que tienen como fin el disfrute escénico y la salud física y mental, para las cuales tan solo se requiere equipamientos mínimos de muy bajo impacto ambiental, tales como senderos peatonales, miradores paisajísticos y mobiliario propio de las actividades contemplativas. Artículo 78. USOS INDUSTRIALES. Implican el desarrollo de actividades relativas al uso comercial o de transformación de materias primas o a la elaboración, ensamblaje y manufactura de productos. En el suelo urbano el único uso industrial es el siguiente: 1. Industria Grupo I. Corresponde a la industria artesanal y se desarrolla en pequeñas fábricas o industrias de bajo impacto ambiental y urbanístico, por lo cual se consideran compatibles con otros usos. En general, se ubican en espacios que forman parte de edificaciones comerciales o de vivienda unifamiliar, o en locales independientes. Sus características principales son: a. Manufactura artesanal de productos, con métodos manuales o equipos caseros y baja generación de empleo. b. Abastecimiento de materias primas y transporte de productos terminados mediante vehículos livianos. c. Horarios laborales por lo general diurnos. d. No requiere infraestructuras especiales ni genera olores ofensivos, ruidos que incumplen la norma, emisiones ni efluentes contaminantes. Parágrafo primero. Todo establecimiento que no cumpla con el respectivo uso conforme con la presente norma estará contraviniendo el Esquema de Ordenamiento Territorial de Subachoque, procediéndose al cierre del establecimiento por parte de la Secretaría de Gobierno o quien haga sus veces. Parágrafo segundo. Corresponde a la Secretaría de Planeación y a la inspección de Policía ejercer el control posterior respecto al cumplimiento de la normatividad por parte de los establecimientos comerciales y de servicios en cuanto al concepto favorable de uso del suelo conforme a la norma. Corresponde a la Inspección de Policía o la entidad que haga sus veces, ejercer el control por impacto urbano con vehículos sobre el espacio público; corresponde al Organismo de Control Ambiental o quien haga sus veces ejercer los controles por los impactos
  • 62.
    CIPIO DE AGUAZUL ACUERDONo. _____ “POR EL CUAL SE ADOPTA LA REVISIÓN GENERAL DEL ESQUEMA DE ORDENAMIENTO TERRITORIAL DEL MUNICIPIO DE SUBACHOQUE” EOT 62 ambientales generados (ruido, olores, trepidaciones, contaminación luminosa, etc.); y de más formas que alteren el medio ambiente. Corresponde a la Secretaría de Gobierno, ejercer los controles sobre los impactos y escándalo público y actuar para los casos de quejas o malestar de vecinos originados por el mal funcionamiento de establecimientos públicos. Parágrafo tercero. Las autoridades encargadas de la administración del cementerio local darán estricto cumplimiento a la Resolución 1447 de 2009, expedida por el Ministerio de Protección Social. Para el caso del cementerio Parágrafo cuarto. El municipio dará estricto cumplimiento a la Resolución 627 de 2008, en cuanto a los niveles de ruido y ruido ambiental. CAPÍTULO III DE LAS ÁREAS DE ACTIVIDAD EN SUELO URBANO Artículo 79. DEFINICIÓN. Las áreas de actividad corresponden al segundo nivel de zonificación del suelo del Municipio, después de la gran clasificación del territorio en suelos urbano, rural, de expansión urbana y de protección. Respecto de las áreas de actividad se asignan los tratamientos a que haya lugar y, por consiguiente, se establecen las normas urbanísticas generales aplicables al desarrollo de usos dentro de las categorías principal, complementaria y condicionada que, junto con la categoría de uso prohibido, también son asignadas respecto de las áreas de actividad. Artículo 80. ÁREAS DE ACTIVIDAD EN SUELO URBANO. El suelo urbano del Municipio se encuentra zonificado en las siguientes áreas de actividad, como puede observarse en el plano CU – 04. Áreas de Actividad en Suelo Urbano: ÁREA DE ACTIVIDAD EN SUELO URBANO CONVENCIÓN CARTOGRÁFICA Actividad Residencial U - R Actividad Comercial y de Servicios U - CS Actividad Dotacional U - D Actividad Recreacional U - R Comercio de impacto U - CI Artículo 81. ASIGNACIÓN DE USOS POR ÁREAS DE ACTIVIDAD EN SUELO URBANO. Para cada una de las Áreas de Actividad se asignan los usos como se indica a continuación: ÁREA URBANA - ÁREAS DE ACTIVIDAD Ficha ACTIVIDAD RESIDENCIAL NUG - U - 01 USOS Uso Principal Residencial Unifamiliar, Bifamiliar, Multifamiliar, Conjuntos o Agrupada. Usos Compatibles Dotacional Grupo I, Comercial Grupo I. (excepto los centros de culto) Usos Condicionados Ninguno. Usos Prohibidos Los demás. Venta de servicios recreativos de videojuegos y máquinas tragamonedas. ÁREA URBANA - ÁREAS DE ACTIVIDAD Ficha
  • 63.
    CIPIO DE AGUAZUL ACUERDONo. _____ “POR EL CUAL SE ADOPTA LA REVISIÓN GENERAL DEL ESQUEMA DE ORDENAMIENTO TERRITORIAL DEL MUNICIPIO DE SUBACHOQUE” EOT 63 ACTIVIDAD COMERCIAL Y DE SERVICIOS NUG - U - 02 USOS Uso Principal Comercio Grupo I, Comercio Grupo II. Usos Compatibles Dotacional Grupo I, Vivienda unifamiliar, Vivienda bifamiliar, Multifamiliar. Industrial Grupo I (Exclusivamente de tipo artesanal, sin generación de vertimientos líquidos, ni emisiones atmosféricas). Usos Condicionados Centros de culto, Bares, Café Bar, Billares, Campos de Tejo, Cantinas, Expendios de licor, Karaoke´s (Que NO sean catalogados como de alto impacto) Usos Prohibidos Los demás. ÁREA URBANA - ÁREAS DE ACTIVIDAD Ficha ACTIVIDAD DOTACIONAL NUG - U - 03 USOS Uso Principal Dotacional Grupo 1, Dotacional Grupo II Usos Compatibles Recreacional Usos Condicionados Ninguno Usos Prohibidos Los demás. ÁREA URBANA - ÁREAS DE ACTIVIDAD Ficha ACTIVIDAD RECREACIONAL (ESPACIO PÚBLICO) NUG - U - 04 USOS Uso Principal Recreación activa, recreación pasiva Usos Compatibles Dotacional I Usos Condicionados Ninguno Usos Prohibidos Los demás. ÁREA URBANA - ÁREAS DE ACTIVIDAD Ficha ACTIVIDAD COMERCIAL DE IMPACTO NUG - U - 05 USOS Uso Principal Talleres eléctricos de vehículos, maquinaria y motocicletas, Talleres mecánicos de vehículos, maquinaria y motocicletas, Talleres de Latonería y Pintura de vehículos, maquinaria y motocicleta, Talleres de ornamentación, Carpinterías, Talleres de Electrodomésticos, Centros de culto, Bares, Tabernas, Discotecas, Rockolas, Café Bar, Billares, Galleras, Campos de Tejo, Cantinas, Expendios de licor, Karaoke´s (Que sean catalogados como de alto impacto) Usos Compatibles Comercio Grupo I. Industrial Grupo I (Exclusivamente de tipo artesanal, sin generación de vertimientos líquidos, ni emisiones atmosféricas). Usos Condicionados Centros de culto Usos Prohibidos Dotacionales, Los demás. CAPÍTULO IV DE LOS TRATAMIENTOS EN SUELO URBANO
  • 64.
    CIPIO DE AGUAZUL ACUERDONo. _____ “POR EL CUAL SE ADOPTA LA REVISIÓN GENERAL DEL ESQUEMA DE ORDENAMIENTO TERRITORIAL DEL MUNICIPIO DE SUBACHOQUE” EOT 64 Artículo 82. DEFINICIONES. El tratamiento corresponde a un tercer nivel de zonificación del suelo, después de la gran clasificación y de las áreas de actividad. Contiene las determinaciones del Esquema de Ordenamiento Territorial, que atendiendo las características físicas de cada zona considerada, establecen normas urbanísticas que definen un manejo diferenciado para los distintos sectores. En especial, los tratamientos involucran medidas de gradación, restricción, bonificación, incentivos y, en general, diversas formas de regulación sectorizada. Por su carácter, los tratamientos, junto con la gran clasificación del territorio y la zonificación en términos de áreas de actividad, son normas estructurales dentro del presente Acuerdo. Los tratamientos que aplican dentro del área urbana del municipio de Subachoque, son los que se enuncian a continuación: 1. Tratamiento de Desarrollo 2. Tratamiento de Consolidación 3. Tratamiento de Conservación 4. Tratamiento de Mejoramiento Integral Para los fines del presente documento, en su Componente Urbano, adóptense las siguientes definiciones complementarias: a. Área bruta: Es el área total del predio o predios a construir o urbanizar, o sujetos a plan parcial. b. Área Neta Urbanizable: Es el área resultante de descontar del área bruta, las áreas para la localización de la infraestructura para el sistema vial principal y de transporte, las redes primarias de servicios públicos. c. Área Útil: Es el área resultante de restarle al área neta urbanizable, el área correspondiente a las zonas de cesión obligatoria para vías locales, espacio público y equipamientos propios de la urbanización. d. Índice de Ocupación: Es la proporción del área de suelo que puede ser ocupada por edificación en primer piso bajo cubierta, y se expresa por el cociente que resulta de dividir el área que puede ser ocupada por edificación en primer piso bajo cubierta por el área neta urbanizable del predio. e. Índice de Construcción: Es el número máximo de veces que la superficie de un terreno puede convertirse por definición normativa en área construida, y se expresa por el cociente que resulta de dividir el área permitida de construcción por el área neta urbanizable de un predio. f. Cesiones Obligatorias a título gratuito: Es la proporción del área neta urbanizable o construible de todo terreno en proceso de urbanización y/o edificación, que genere cinco o más unidades inmobiliarias, que se deberá ceder al Municipio, a título gratuito, con destino a dotar a la comunidad de zonas recreativas de uso público, zonas de equipamiento comunal público, zonas de servicios sociales o institucionales y zonas del sistema vial local público.
  • 65.
    CIPIO DE AGUAZUL ACUERDONo. _____ “POR EL CUAL SE ADOPTA LA REVISIÓN GENERAL DEL ESQUEMA DE ORDENAMIENTO TERRITORIAL DEL MUNICIPIO DE SUBACHOQUE” EOT 65 g. Cesión Comunal: Es la proporción del área neta urbanizable de todo terreno en proceso de urbanización que se deberá destinar al equipamiento comunal privado. Son componentes de las Cesiones Tipo B, los siguientes: Los usos recreativos, representados por parques, zonas verdes, jardines, plazoletas, juegos cubiertos, piscinas y/o zonas húmedas y otros similares; los servicios comunales y administrativos, representados por salones múltiples, lavanderías, cafeterías y/o restaurantes, depósitos, guarderías, oficinas de administración, puestos de celaduría, enfermería y otros similares; y las vías internas, los estacionamientos de los propietarios y los estacionamientos para visitantes, adicionales a los que hacen parte de las Cesiones Obligatorias, siempre que estén ubicados dentro del predio. Las cesiones tipo B no aplican para los proyectos de urbanización. Artículo 83. TRATAMIENTO DE DESARROLLO. El tratamiento de desarrollo es aplicable a terrenos urbanizables no urbanizados y a lotes edificables no edificados. En el primer caso se trata de desarrollo por urbanización y en el segundo de desarrollo por construcción. El desarrollo por urbanización se aplica a los predios localizados al interior del perímetro urbano o de la zona de expansión urbana donde no existen aún condiciones para el uso urbano, o a terrenos que no hayan realizado las cesiones de espacio público o que no hayan construido las infraestructuras, aunque sean objeto de otros tratamientos. Una vez que el urbanizador entrega los terrenos de cesión y los correspondientes a las afectaciones impuestas y construye las obras necesarias y los equipamientos comunales exigidos, los predios pasan a ser “urbanizados” y se convierten en predios edificables a los que aplica el tratamiento de desarrollo por construcción. El desarrollo por construcción se aplica entonces a lotes edificables no edificados y consiste en el levantamiento de las edificaciones para los diferentes usos permitidos en el área, para lo cual se deben tener en cuenta normas sobre volumetría, equipamiento, estacionamientos, elementos arquitectónicos, redes y equipos, especificaciones técnicas, regímenes de copropiedad y trámites. Parágrafo primero. Las zonas y predios de desarrollo que limiten con fuentes hídricas (ríos, quebradas), deberán previo a la solicitud de las licencias urbanísticas, realizar el estudio de cotas máximas de inundación, en un período de retorno de 100 años, el cual será presentado a la CAR. Igualmente estas zonas deben garantizar el espacio público efectivo que les corresponda en el marco del Decreto 1504 de 1998. Adicionalmente no se permite el desarrollo de predios que se encuentren en suelos clasificas por el IGAC, con clase agrologico I,II y III, de conformidad con el numeral 2 del artículo 4 del Decreto 3600 del 2007. Desarrollo por urbanización La urbanización es el proceso por el cual un terreno no ocupado situado al interior del perímetro urbano o de la zona de expansión urbana es dotado de servicios, de infraestructura vial, dividido en áreas destinadas al uso privado y comunal y a los demás servicios necesarios, en forma tal que quede apto para construir edificaciones idóneas para los usos y actividades permitidos. Para adelantar procesos de urbanización se requiere licencia expedida por la Secretaría de Planeación, en los términos y condiciones contempladas en el Decreto 1469 de 2010, reglamentario de la Ley 388 de 1997 o las normas que lo modifiquen o sustituyan.
  • 66.
    CIPIO DE AGUAZUL ACUERDONo. _____ “POR EL CUAL SE ADOPTA LA REVISIÓN GENERAL DEL ESQUEMA DE ORDENAMIENTO TERRITORIAL DEL MUNICIPIO DE SUBACHOQUE” EOT 66 Todo proyecto urbanístico, y por consiguiente, su respectiva licencia, debe contemplar los siguientes aspectos: 1. Modalidad de urbanización. 2. Conformación del espacio público en lo relativo a: Red vial principal, Red vial local, Áreas recreativas de uso público y de equipamiento comunal y servicios públicos, tanto en sus redes locales como maestras. 3. Segregación del espacio privado en lo relativo a dimensiones de manzanas y lotes. 4. Ubicación y magnitud de las zonas de reserva vial, de servicios públicos, zonas recreativas de uso público u otras. La definición del espacio público debe ser realizada en función del uso o usos permitidos, los cuales, en consecuencia, deben ser definidos antes de iniciar el proceso de urbanización. Modalidades de urbanización Los proyectos urbanísticos en el área urbana podrán adelantarse bajo las modalidades de desarrollo completo y desarrollo por etapas. Desarrollo Completo: Es aquel que resulta cuando para un proyecto urbanístico se tramita de manera simultánea la licencia de urbanismo y la licencia de construcción y en el proyecto y su respectiva licencia no se contempla el desarrollo por etapas. En este caso la vigencia de la licencia se regirá por lo establecido en el Art. 41 del Decreto 1069 de 2010. Desarrollo por etapas: Es aquel que resulta cuando respecto de un proyecto urbanístico se pretende su ejecución por etapas, a través del tiempo. En este caso será necesario tramitar licencias por separado para cada etapa, previa la obtención de una licencia inicial correspondiente al proyecto urbanístico general, en los términos establecidos en el inciso primero del Artículo 42 del Decreto 1069 de 2010. Para cada etapa se debe obtener la respectiva licencia, que como en el caso del desarrollo completo, puede incluir la de urbanismo y la de construcción en un mismo acto, siempre que se garantice, para cada etapa, la prestación de los servicios públicos domiciliarios, los accesos y el cumplimiento autónomo de los porcentajes de cesión. En este caso, las expensas generadas deben corresponder a la etapa objeto de licencia. En la licencia se deberá exigir al urbanizador o interesados la constitución de una garantía a favor del Municipio y de las empresas de servicios, para amparar el cumplimiento de las obligaciones contraídas, sin perjuicio de las obligaciones contractuales con los adquirentes de lotes o sus representantes. Conformación de la red vial principal en desarrollos por urbanización
  • 67.
    CIPIO DE AGUAZUL ACUERDONo. _____ “POR EL CUAL SE ADOPTA LA REVISIÓN GENERAL DEL ESQUEMA DE ORDENAMIENTO TERRITORIAL DEL MUNICIPIO DE SUBACHOQUE” EOT 67 La determinación de las áreas de reserva y cesión correspondientes a la red vial principal, se hará a partir de los perfiles del presente documento y que hacen parte del plano CU – 02. Sistema Vial Urbano. Los predios ubicados dentro del perímetro urbano o de la zona de expansión urbana para cuyo desarrollo sea aplicable el tratamiento de desarrollo por urbanización, deberán segregar y entregar a título gratuito al Municipio o a la entidad competente, los terrenos de reserva para las vías de la red vial principal, una vez que las obras viales hayan sido realizadas, conforme al proyecto aprobado. Conformación de la red vial local en desarrollos por urbanización Las áreas requeridas para la conformación de la red vial local de uso público deberán ser cedidas a título gratuito por el urbanizador, teniendo en cuenta las siguientes condiciones, entre otras:  Malla vehicular continua  Accesos de las vías locales a las zonas verdes y comunales  Soluciones integradas para el tráfico (vehicular, peatonal, ciclovias, alamedas u otros). El urbanizador presentará, junto con la solicitud de licencia y los planos de la urbanización, la propuesta de sección transversal de las vías locales, la cual deberá contener todos los aspectos de estructura y adecuación, dotación, equipamiento, arborización y ornamentación. Todas las vías, principales o locales, deben ser diseñadas y construidas de acuerdo con las normas municipales o, en su defecto, departamentales. Las vías públicas no podrán ser encerradas en forma tal que se prive a la ciudadanía de su uso y libre tránsito, salvo para fines de control y seguridad y siempre de forma temporal, por parte de las autoridades municipales, debidamente autorizados por la Secretaría de Gobierno o quien haga sus veces. Conformación del sistema de áreas recreativas de uso público en desarrollos por urbanización Las áreas recreativas de uso público están constituidas por los parques, plazas y plazoletas, las cuales conforman el espacio público efectivo de la urbanización. Deberán formar parte de ellas los campos deportivos abiertos. Los parques y zonas verdes de uso público no podrán ser encerrados en forma tal que se prive a la ciudadanía de su uso y/o disfrute visual, salvo por razones de mantenimiento, mejoramiento paisajístico, ordenamiento de distintas formas de recreación activa y/o seguridad. En cualquier caso, la transparencia del cerramiento será de un 90% como mínimo. Conformación del sistema de equipamientos colectivos en desarrollos por urbanización
  • 68.
    CIPIO DE AGUAZUL ACUERDONo. _____ “POR EL CUAL SE ADOPTA LA REVISIÓN GENERAL DEL ESQUEMA DE ORDENAMIENTO TERRITORIAL DEL MUNICIPIO DE SUBACHOQUE” EOT 68 De acuerdo a las características del proyecto y al área de actividad en donde este se localice, los equipamientos comunales podrán corresponder a los usos dotacionales de los Grupos I y II definidas en este documento. Distribución y localización de las cesiones obligatorias En desarrollos por urbanización y/o edificación y/o subdivisión, en suelo urbano o de expansión urbana, que generen cinco o más unidades inmobiliarias, con destino a usos residenciales, institucionales, comerciales y de servicios, se deberá ceder a favor del Municipio, a título gratuito y mediante escritura pública, las áreas de cesión obligatoria de acuerdo con la siguiente distribución: CESIÓN OBLIGATORIAS EN SUELO URBANO Y DE EXPANSIÓN URBANA AA Residencial % del Área Neta Urbanizable AA Residencial (VIS) % del Área Neta Urbanizable AA Comercial % del Área Neta Urbanizable Vías Locales Mínimo 10% Mínimo 10% Mínimo 10% Espacio Público Mínimo 20% Mínimo 20% Mínimo 20% Equipamientos Mínimo 5% Mínimo 5% Mínimo 5% La localización de las áreas de Cesión obligatoria deberá figurar en los planos oficiales de la urbanización y cumplirá los siguientes requisitos: a. Que se integren a los demás elementos del espacio público, de tal forma que constituyan un conjunto armónico y continuo. b. Que se ubiquen sobre vías vehiculares c. Que no coincidan con zonas de reserva vial, de servicios públicos u otras reservas. d. Que no correspondan a zonas de riesgo o terrenos que por su pendiente, inundabilidad u otros limitantes no permitan el desarrollo de las infraestructuras de uso público. No se aceptará en particular su localización sobre chucuas y rondas de quebradas y/o vallados. Parágrafo segundo. La cesión obligatoria en predios que se urbanicen, edifiquen y/o subdividan en cinco o más unidades inmobiliarias, en los procesos de desarrollo por etapas, entregarán en forma anticipada el porcentaje de cesión establecido en el proyecto urbanístico, como requisito previo a la expedición de la licencia respectiva. Parágrafo tercero. La cesión obligatoria correspondiente a predios que se urbanicen, edifiquen y/o subdividan en cinco o más unidades inmobiliarias, podrá ser localizada en otra zona del área urbana o de expansión urbana del Municipio. Parágrafo cuarto. Cuando el área de la cesión obligatoria en predios que se urbanicen, edifiquen y/o subdividan en cinco o más unidades inmobiliarias sea inferior a 2000 M2, deberá ser compensada en dinero, previo avalúo comercial del predio objeto del proyecto, elaborado por el Instituto Geográfico Agustín Codazzi, la entidad que haga sus veces o las personas naturales o jurídicas de carácter privado registradas y autorizadas por las lonjas de propiedad raíz del lugar donde se ubiquen los bienes objeto de la valoración. El avalúo será contratado por el Municipio y su valor cancelado por el titular del proyecto responsable de hacer la cesión, los dineros podrán ser utilizados en: compra de predios para espacio público, adecuación y
  • 69.
    CIPIO DE AGUAZUL ACUERDONo. _____ “POR EL CUAL SE ADOPTA LA REVISIÓN GENERAL DEL ESQUEMA DE ORDENAMIENTO TERRITORIAL DEL MUNICIPIO DE SUBACHOQUE” EOT 69 construcción de alamedas, construcción de equipamientos comunales públicos entre otros relacionados con el espacio público y de servicios. Parágrafo quinto. Los proyectos de edificación de inmuebles, bajo régimen de propiedad horizontal, deberán realizar las Cesiones obligatorias, a que se refiere el presente artículo. Parágrafo sexto. La cesión obligatoria no aplica en subdivisiones prediales resultado de sentencias judiciales mediante las cuales se resuelvan procesos de sucesión. Parágrafo séptimo. La cesión obligatoria no aplica en predios menores a 1000 M2, siempre y cuando en ellos se pretenda realizar proyectos de edificación individual de inmuebles urbanos o de expansión urbana con destino a usos residenciales. Parágrafo octavo. Las cesiones obligatoria deberán entregarse al Municipio construidas y dotadas con mobiliario recreativo y o deportivo, conforme a lo aprobado en el respectivo proyecto Proporción de las cesiones comunales Las Cesiones comunales se exigirán en todos los proyectos urbanísticos cobijados por el régimen de propiedad horizontal, independientemente del uso, en las siguientes proporciones: CESIÓN COMUNALES EN SUELO URBANO Y DE EXPANSIÓN URBANA AA Residencial % del Área Neta Urbanizable AA Residencial (VIS) % del Área Neta Urbanizable AA Comercial % del Área Neta Urbanizable Mínimo 5% Mínimo 3% Mínimo 5% Estacionamientos Los estacionamientos pueden ser, a su vez, de dos clases, a saber: 1. Los estacionamientos privados de las unidades residenciales y establecimientos comerciales destinados al uso exclusivo de los propietarios o usuarios. 2. Los estacionamientos de servicio al público, destinados al uso de los visitantes de las unidades residenciales o los clientes de los establecimientos comerciales. En proyectos urbanísticos a los que aplica el tratamiento de desarrollo por urbanización, se tendrá en cuenta la proporción de área para estacionamientos que se presenta en el siguiente cuadro: Área de Actividad Estacionamientos Privados Estacionamientos de Visitantes Residencial Según Tratamiento en el Área de Actividad en donde el uso residencial se permita. 1 por cada 5 viviendas Comercial y de Servicios Según Tratamiento en el Área de Actividad en donde el uso comercial se permita. 1 por cada 100 M2 de construcción
  • 70.
    CIPIO DE AGUAZUL ACUERDONo. _____ “POR EL CUAL SE ADOPTA LA REVISIÓN GENERAL DEL ESQUEMA DE ORDENAMIENTO TERRITORIAL DEL MUNICIPIO DE SUBACHOQUE” EOT 70 Parágrafo noveno. Los parqueaderos privados y de visitantes no pueden ser utilizados para el parqueo de vehículos de servicio público, ni de vehículos de carga. Reserva de estacionamientos accesibles en áreas de parqueo Conforme a lo establecido en el Art. 11 del Decreto 1538 de 2005, en todos los sitios abiertos al público como edificios de uso público, centros comerciales, nuevas urbanizaciones y unidades residenciales y en general en todo sitio donde existan parqueaderos habilitados para visitantes, se dispondrá de sitios de parqueo para personas con movilidad reducida, debidamente señalizados y con las dimensiones internacionales. En estos espacios se garantizará como mínimo un porcentaje equivalente al dos por ciento (2%) del total de parqueaderos habilitados. En ningún caso, podrá haber menos de un (1) espacio habilitado, debidamente señalizado con el símbolo gráfico de accesibilidad. Las características de los estacionamientos para personas con movilidad reducida deberán ajustarse a lo establecido en el Art. 12 del citado Decreto 1538 de 2005. Especificaciones técnicas para infraestructuras y servicios públicos en desarrollos por urbanización La Secretaría de Planeación establecerá las especificaciones técnicas que deben cumplir las obras de infraestructura vial, los servicios públicos y las obras de desarrollo de las áreas de recreación y equipamiento comunal público. No se otorgará licencia de urbanización sin el concepto previo de la empresa de servicios públicos o quien haga sus veces, sobre la factibilidad de extensión de las redes maestras de acueducto y alcantarillado al área propuesta. En este concepto se deberá contemplar la responsabilidad de la empresa y/o el municipio y la del urbanizador en el costo de las obras correspondientes. Las redes locales siempre estarán a cargo del urbanizador. Toda urbanización deberá contar con un área para el manejo de los residuos sólidos. Segregación del espacio privado en urbanizaciones La segregación consiste en la subdivisión del espacio privado o área útil de una urbanización en manzanas y lotes. Las manzanas tendrán una dimensión máxima de 6.400 M2 , delimitadas totalmente por vías locales vehiculares de uso público, o parcialmente por otros bienes de uso público, salvo en circunstancias especiales en que, por razones de riesgo geotécnico o hidrológico o por limitar con zonas de preservación del sistema orográfico o hídrico, no sea posible la delimitación por vías vehiculares por alguno de los costados, a juicio de la Secretaría de Planeación. En desarrollos de vivienda de interés social y en sectores de consolidación, las manzanas podrán estar delimitadas en uno o dos de sus costados por vías peatonales. La subdivisión de las manzanas en lotes se hará teniendo en cuenta los siguientes criterios: 1. El loteo no debe interferir con las especificaciones, diseños y trazados de las redes de servicios públicos aprobados por la empresa correspondiente.
  • 71.
    CIPIO DE AGUAZUL ACUERDONo. _____ “POR EL CUAL SE ADOPTA LA REVISIÓN GENERAL DEL ESQUEMA DE ORDENAMIENTO TERRITORIAL DEL MUNICIPIO DE SUBACHOQUE” EOT 71 2. Los lotes tendrán acceso inmediato a una o más vías de uso público. 3. Los lotes deben ser claramente deslindables de los lotes o predios vecinos y de las áreas de uso público. Reglas para la subdivisión Los predios objeto de desarrollo por urbanización podrán subdividirse en la medida en que se cumplan las siguientes reglas: 1. La subdivisión predial y venta de lotes no se podrá realizar si previamente el urbanizador no ha cumplido las obligaciones estipuladas en la licencia de urbanización. La licencia de urbanización conlleva la licencia de subdivisión predial en los términos aprobados. 2. Los lotes resultantes podrán ser objeto de subdivisión posterior, siempre que ello esté permitido en la licencia o en la norma para el sector y que los lotes nuevos tengan acceso a la red vial pública y puedan ser edificados de acuerdo con las normas vigentes para el área, salvo en los casos en que el terreno segregado sea destinado a espacio público. 3. En los casos de desarrollos progresivos, la subdivisión podrá hacerse en la medida en que avancen las obras de urbanización. 4. La división predial no podrá autorizarse si alguna de las partes resultantes de ella no fuere apta para el desarrollo por construcción, bien por tratarse de un área no edificable, o por estar total o parcialmente afectada por reserva viales, de servicios públicos u otras causas. 5. La Tesorería Municipal, una vez la Secretaría de Planeación haya recibido las obras de la urbanización, expedirá un Paz y Salvo Predial para fines de urbanización, el cual será un requisito para que los notarios puedan otorgar escrituras públicas, o las autoridades judiciales o administrativas efectuar adjudicaciones, cuando tales escrituras o adjudicaciones involucren venta de lotes resultantes de la subdivisión, loteo, segregación de inmuebles o constitución de comunidad en los mismos, de acuerdo con el proyecto de urbanización. 6. Los inmuebles que han sido subdivididos o urbanizados sin licencia podrán ser objeto de programas de legalización y regularización urbanística de asentamientos desarrollados por la Administración Municipal, siempre que se ajusten a las regulaciones específicas del programa y a lo previsto en el presente Acuerdo. Los inmuebles no urbanizables ni edificables por haber sido subdivididos o parcelados sin licencia y que no puedan ser objeto de Programas de Legalización y Regularización Urbanística de asentamientos, podrán ser incluidos en los programas de compra de tierras para destinación a espacio público que adelante la Administración Municipal. Desarrollo por construcción El desarrollo por construcción es el proceso por el cual un lote o predio es objeto de licencia construcción, ampliación, adecuación, reforzamiento estructural, modificación, demolición de edificaciones existentes, con destino a vivienda, comercio, industria, establecimientos institucionales y recreativos u otros, según el uso permitido en el área de actividad en donde este se localiza. En consecuencia, el desarrollo por construcción busca completar el proceso de
  • 72.
    CIPIO DE AGUAZUL ACUERDONo. _____ “POR EL CUAL SE ADOPTA LA REVISIÓN GENERAL DEL ESQUEMA DE ORDENAMIENTO TERRITORIAL DEL MUNICIPIO DE SUBACHOQUE” EOT 72 desarrollo en áreas urbanizadas no edificadas, actualizar la estructura urbana de sectores ya desarrollados o conservarla. Para adelantar el proceso de construcción se requiere licencia expedida por la Secretaría de Planeación, en los términos reglamentados en el Decreto 1069 de 2010 o las normas que lo modifiquen, sustituyan o deroguen. Cesiones obligatorias en desarrollos por construcción bajo propiedad horizontal El porcentaje de las Cesiones Obligatorias, en desarrollos por construcción bajo propiedad horizontal, corresponde al 20 % del Área Neta, en cualquier tipo de tratamiento. Cuando el área a desarrollar sea menor a 2.000 M2, podrá ser compensado en dinero o canjeado por predios localizados en lugar diferente al proyecto. La estimación de dicha compensación se realizará sobre el valor del avalúo comercial del predio objeto del proyecto, elaborado por el Instituto Geográfico Agustín Codazzi, la entidad que haga sus veces o las personas naturales o jurídicas de carácter privado registradas y autorizadas por las lonjas de propiedad raíz del lugar donde se ubiquen los bienes objeto de la valoración. Cerramiento de predios Los propietarios de predios urbanizables no urbanizados y urbanizados no construidos deberán hacer su respectivo cerramiento en un término no superior a un (1) año a parir de la entrada en vigencia del presente acuerdo. Los muros deben tener una altura máxima de 2 metros y de materiales lisos propendiendo por un buen aspecto y por la seguridad de la comunidad. Artículo 84. TRATAMIENTO DE CONSOLIDACIÓN. El tratamiento de consolidación regula la transformación de las estructuras urbanas, garantizando coherencia entre la intensidad de uso del suelo y el sistema de espacio público existente o planeado, es aplicable a las áreas con desarrollo urbano incompleto o incipiente incluidas dentro del perímetro urbano a través del acuerdo. Estas áreas se caracterizan por requerir la ejecución de programas de habilitación o mejoramiento urbano, en especial dotación de espacios requeridos para el uso público y el equipamiento comunal, construcción o mejoramiento de infraestructura vial y de servicios públicos apropiada, control de riesgos y, en general, de obras que garanticen la aptitud de las estructuras para las actividades urbanas permitidas. En los predios objeto de desarrollo por urbanización seguirá lo establecido para el tratamiento de desarrollo. Artículo 85. TRATAMIENTO DE CONSERVACIÓN. El tratamiento de conservación tiene como objeto proteger y valorar el patrimonio urbano, histórico arquitectónico y cultural del Municipio, conservando estructuras arquitectónicas y urbanísticas de gran valor, involucrándolas a la dinámica del Territorio. Para la protección de los conjuntos urbanos se aplicarán tratamientos de conservación así: 1. Conservación Arquitectónica: Está compuesta por las edificaciones identificadas con mayor valor arquitectónico por conservar las características volumétricas, de fachada, cubiertas y
  • 73.
    CIPIO DE AGUAZUL ACUERDONo. _____ “POR EL CUAL SE ADOPTA LA REVISIÓN GENERAL DEL ESQUEMA DE ORDENAMIENTO TERRITORIAL DEL MUNICIPIO DE SUBACHOQUE” EOT 73 patios centrales que hacen parte del estilo arquitectónico del periodo colonial, y antes del periodo republicano. 2. Conservación Contextual: Aplicable a las construcciones que colindan con las edificaciones de conservación arquitectónica que cuentan con elementos arquitectónicos y mayoritariamente de fachada similares a las edificaciones de conservación arquitectónica pero que ya han venido modificándose a través del tiempo “adaptándose” a los requerimientos comerciales y los cambios paulatinos que ha sufrido el modo de ocupación de la vivienda con el tiempo. Estas edificaciones deberán generar empates en fachadas, cubiertas, aleros, y patios posteriores. Se deben mantener las fachadas, el volumen, la cubierta y los materiales. Se permite cambio parcial de la estructura. Parágrafo primero. La Administración Municipal adelantará un estudio detallado sobre las áreas de conservación y protección, las clasificará y reglamentará a partir de los parámetros establecidos en el Esquema de Ordenamiento Territorial. Una vez realizado dicho estudio las áreas de Conservación y Protección podrán ser modificadas o incluir elementos no comprendidos dentro de ellas. Parágrafo segundo. Autorizase al Alcalde Municipal para constituir por decreto la Junta de Patrimonio Municipal, la cual estará conformada por el jefe de la Secretaría de Planeación, quien la presidirá; un arquitecto titulado residente en el municipio, designado por el Alcalde de terna conformada por los profesionales de la arquitectura igualmente residentes, previa convocatoria realizada por la Secretaría de Planeación; un representante de la Sociedad Colombiana de Arquitectos y un representante del Consejo Nacional de Monumentos o la entidad que haga sus veces. El primer acto de la Junta Municipal de Patrimonio será darse su propio reglamento, dentro del marco de lo previsto en materia de conservación urbanística y arquitectónica por la Ley 397 de 1997 y demás normas que la modifiquen, adicionen o sustituyan. Parágrafo tercero. En la ejecución de proyectos urbanísticos deberá contemplar un área específica para el manejo de residuos sólidos de los residentes. CAPÍTULO V DE LA NORMA URBANÍSTICA Artículo 86. NORMA URBANÍSTICA GENERAL PARA EL SUELO URBANO. La norma urbanística general aplicable en suelo urbano, conforme a los diferentes tratamientos posibles dentro de las áreas de actividad delimitadas, es la que se presenta en los siguientes cuadros:
  • 74.
    CIPIO DE AGUAZUL ACUERDONo. _____ “POR EL CUAL SE ADOPTA LA REVISIÓN GENERAL DEL ESQUEMA DE ORDENAMIENTO TERRITORIAL DEL MUNICIPIO DE SUBACHOQUE” EOT 74 Tratamiento de Conservación a. Tratamiento Conservación Arquitectónica Tratamiento de Conservación Arquitectónica Ficha NU-01A Área de Actividad Comercio Y Servicios Área de Actividad Dotacional Uso Principal Uso Compatible Uso Principal Comercio, G 1 Y G2 Vivienda Unifamiliar Industrial G1 Dotacional G1 Dotacional G1 y G2 Área mínima de Lote 150 M2 150 M2 150 M2 200 250 M2 Frente mínimo de lote 7,5ML 7,5ML 7,5ML 10 ML 10 ML Índice máximo de Ocupación 0,8 0,8 0,8 0,8 0,8 Índice máximo de Construcción 1,6 1,6 1,6 1,6 1,6 Retroceso (Antejardín) mínimo N.A N.A N.A N.A N.A Aislamiento Lateral mínimo N.A N.A N.A N.A N.A Área mínima de patio central, patio interior o aislamiento posterior. 30 M2 30 M2 30 M2 40 M2 50 M2 Aislamiento Posterior 4 ML 4 ML 4 ML 4 ML 5 ML Aleros (Cubierta) Mantener según construcciones contiguas Paramento Mantener según construcciones contiguas Altura Máxima hasta cumbrera Altura Existente Las edificaciones en tratamiento de conservación arquitectónica deberán mantener la volumetría general de la edificación incluyendo fachada, cubierta, aleros, patios interiores y materiales. La normativa expuesta en el presente cuadro de norma servirá de base para construcciones futuras y modificaciones advirtiendo en todo caso que los elementos de fachada, cubiertas, aleros, patios interiores y materiales no son susceptibles de modificar.
  • 75.
    CIPIO DE AGUAZUL ACUERDONo. _____ “POR EL CUAL SE ADOPTA LA REVISIÓN GENERAL DEL ESQUEMA DE ORDENAMIENTO TERRITORIAL DEL MUNICIPIO DE SUBACHOQUE” EOT 75 b. Tratamiento Conservación Contextual Tratamiento de Conservación Contextual Ficha NU-01B Área De Actividad Comercio Y Servicios Área De Actividad Dotacional Uso Principal Uso Compatible Uso Principal Comercio, G1 Y G2 Industrial G1 Vivienda Unifamiliar Dotacional G1 Dotacional G1 y G2 Área mínima de Lote 150 M2 150 M2 150 M2 250 M2 300 M2 Frente mínimo de lote 7,5ML 7,5ML 7,5ML 10 ML 10 ML Índice máximo de Ocupación 0,8 0,8 0,8 0,7 0,8 *Índice máximo de Construcción 2 2 2 1,8 2,4 Retroceso (Antejardín) mínimo N.A N.A N.A N.A N.A Aislamiento Lateral mínimo N.A N.A N.A N.A N.A Aislamiento Posterior 4 ML 4 ML 4 ML 5 ML 6 Ml Área mínima de unidad habitacional N.A N.A 100 M2 N.A. N.A. Aleros (Cubierta) Mantener según construcciones contiguas Paramento Mantener según construcciones contiguas Altura Máxima hasta cumbrera (2 pisos y Altillo excepto Actividad Dotacional) 10 ML 10 ML 10 ML 10 ML 10 ML Estacionamientos Privados N.A N.A 1/Vivienda N.A 1/150 M2 Estacionamientos visitantes !/100 M2 !/100 M2 N.A N.A 1/100 M2 Reglamento de propiedad horizontal N.A N.A N.A N.A N.A *El altillo deberá ocupar máximo hasta el 50% del piso inmediatamente inferior bajo cubierta inclinada a manera de lucarna En los casos donde un predio en este tratamiento colinde con una o más construcciones del tratamiento conservación arquitectónica, la altura de la edificación deberá mantener la altura en fachada y cubierta de la construcción de conservación arquitectónica, de manera que mantenga el perfil urbano y no rompa la volumetría existente. Tratamiento de Consolidación
  • 76.
    CIPIO DE AGUAZUL ACUERDONo. _____ “POR EL CUAL SE ADOPTA LA REVISIÓN GENERAL DEL ESQUEMA DE ORDENAMIENTO TERRITORIAL DEL MUNICIPIO DE SUBACHOQUE” EOT 76 Tratamiento de Consolidación Ficha NU-2A Área De Actividad Residencial Área De Actividad Residencial Vivienda De Interés Social (V.I.S) Y/O Prioritario (V.I.P) Uso Principal Uso Compatible Uso Principal Uso Compatible Viviend a Unifam iliar Viviend a Bifamili ar Vivienda Multifa miliar **Vivie nda Agrupa ción Comer cio G1 Dotaci onal G1 Viviend a Unifam iliar Viviend a Bifamili ar **Vivie nda Agrupa ción Comer cio G1 Dotaci onal G1 Área mínima de Lote 72 M2 96 M2 250 M2 1000 M2 120 M2 200 M2 72 M2 96 M2 1000 M2 120 M2 120 M2 Frente mínimo de lote 6 ML 8 ML 10 ML 20 ML 8 ML 10 ML 6 ML 8 ML 10 M2 6 ML 6 ML Índice máximo de Ocupación 0,75 0,75 0,7 0,6 0.80 0.80 0,75 0,75 0.7 0.80 0.80 Índice máximo de Construcció n 1,875 1,875 1,75 1,5 2 2 1,875 1,875 2 2 2 Retroceso (Antejardín) N.A. N.A. 3 ML a lo largo de la Fachada 3 ML a lo largo de la Fachad a N.A. N.A. N.A. N.A. 3 Ml a lo largo de la fachada posteri or N.A. N.A. Aislamiento Lateral N.A. N.A. N.A. 3 ML N.A. N.A. N.A. N.A. 3 ML N.A. N.A. Aislamiento Posterior 3 Ml a lo largo de la fachad a posteri or 3 Ml a lo largo de la fachad a posteri or 5 Ml a lo largo de la fachada posterio r 5 Ml a lo largo de la fachada posteri or 3 Ml a lo largo de la facha da poster ior 4 Ml a lo largo de la fachad a posteri or 3 Ml a lo largo de la fachad a posteri or 3 Ml a lo largo de la fachad a posteri or 3 Ml a lo largo de la fachada posteri or 4 Ml a lo largo de la facha da poster ior 4 Ml a lo largo de la fachad a posteri or Área mínima de unidad de habitacional N.A. 60 M2 60 M2 60 M2 N.A. N.A. N.A. 50 M2 50 M2 N.A. N.A. Área mínima de unidad Comercial N.A. N.A. N.A. N.A. 10 - 20 M2 N.A. N.A. N.A. N.A. 10 - 20 M2 N.A. Área mínima de unidad de habitacional Apartaestu dios N.A. 40 M2 40 M2 40 M2 N.A. N.A. N.A. N.A. N.A. N.A. N.A.
  • 77.
    CIPIO DE AGUAZUL ACUERDONo. _____ “POR EL CUAL SE ADOPTA LA REVISIÓN GENERAL DEL ESQUEMA DE ORDENAMIENTO TERRITORIAL DEL MUNICIPIO DE SUBACHOQUE” EOT 77 Tratamiento de Consolidación Ficha NU-2A Área De Actividad Residencial Área De Actividad Residencial Vivienda De Interés Social (V.I.S) Y/O Prioritario (V.I.P) Uso Principal Uso Compatible Uso Principal Uso Compatible Viviend a Unifam iliar Viviend a Bifamili ar Vivienda Multifa miliar **Vivie nda Agrupa ción Comer cio G1 Dotaci onal G1 Viviend a Unifam iliar Viviend a Bifamili ar **Vivie nda Agrupa ción Comer cio G1 Dotaci onal G1 Altura Máxima hasta cumbrera (*2 pisos y Altillo excepto Actividad Dotacional) 10 ML 10 ML 10 ML 10 ML 10 ML 10 ML 10 ML 10 ML 10 ML 10 ML 10 ML Paramento Mantener según construcciones contiguas Estacionami entos Privados 1/Vivien da 1/Vivien da 1/Unidad de Vivienda 1/Unida d de Viviend a N.A. N.A. 1/Vivien da 1/Vivien da 1/Vivien da N.A. 1/50 M2 Estacionami entos visitantes N.A. N.A. 1 / 4 unidade s de vivienda 1 / 4 unidad es de viviend a N.A. N.A. N.A. N.A. 1 / 4 unidad es de viviend a 1/50 M2 1/100 M2 Reglamento de propiedad horizontal N.A. Obligat orio Obligato rio Obligat orio N.A. N.A. N.A. Obligat orio Obligat orio N.A. N.A. *El altillo deberá ocupar máximo hasta el 50% del piso inmediatamente inferior bajo cubierta inclinada a manera de lucarna ** La norma para cada uno de los desarrollos al interior de la vivienda en agrupación y agrupación VIS y/o VIP se aplicará con la norma de unifamiliar o bifamiliar según sea el caso. En este tratamiento no aplica los desarrollos multifamiliares en agrupación Tratamiento de Consolidación Ficha NU-2B Área De Actividad Comercio Y Servicios Área De Actividad Comercio Y Servicios de Impacto Área De Actividad
  • 78.
    CIPIO DE AGUAZUL ACUERDONo. _____ “POR EL CUAL SE ADOPTA LA REVISIÓN GENERAL DEL ESQUEMA DE ORDENAMIENTO TERRITORIAL DEL MUNICIPIO DE SUBACHOQUE” EOT 78 Dotacional Uso Principal Uso Compatible Uso Principal Uso Compatible Uso Principal Comercio G1 y G2 Vivienda Unifamiliar Dotacional G1 Comercio G3 Comercio G1 y G2 Dotacional G1 y G2 Área mínima de Lote 120 M2 120 M2 250 M2 200 M2 120 M2 300 M2 Frente mínimo de lote 6 ML 6 ML 10 ML 8 ML 6 ML 10 ML Índice máximo de Ocupación 0.7 0.7 0.8 0.7 0.7 0,7 Índice máximo de Construcción 1,75 1,75 2 1,75 1,75 2,1 Retroceso (Antejardín) 3 ML a lo largo de la Fachada 3 ML a lo largo de la Fachada 3 ML a lo largo de la Fachada 3 Ml a lo largo de la fachada posterior 3 ML a lo largo de la Fachada 3 ML a lo largo de la Fachada Aislamiento Lateral N.A. N.A. N.A. N.A. N.A. N.A Aislamiento Posterior 3 Ml a lo largo de la fachada posterior 3 Ml a lo largo de la fachada posterior 4,5 Ml a lo largo de la fachada posterior 4,5 Ml a lo largo de la fachada posterior 3 Ml a lo largo de la fachada posterior 6 Ml a lo largo de la fachada posterior Área mínima de unidad Comercial 20 M2 N.A. N.A. 60 M2 20 M2 N.A. Altura Máxima hasta cumbrera (2 pisos y Altillo excepto Actividad Dotacional) 10 ML 10 ML 10 ML 10 ML 10 ML 10 ML Paramento Mantener según construcciones contiguas Estacionamientos Privados N.A. 1/Vivienda N.A. 1/50 M2 N.A. 1/50 M2 Estacionamientos visitantes 1/50 M2 N.A. N.A. 1/100 M2 1/50 M2 1/100 M2 Reglamento de propiedad horizontal N.A. N.A. N.A. N.A. N.A. N.A. *El altillo deberá ocupar máximo hasta el 50% del piso inmediatamente inferior bajo cubierta inclinada a manera de lucarna Tratamiento de Desarrollo
  • 79.
    CIPIO DE AGUAZUL ACUERDONo. _____ “POR EL CUAL SE ADOPTA LA REVISIÓN GENERAL DEL ESQUEMA DE ORDENAMIENTO TERRITORIAL DEL MUNICIPIO DE SUBACHOQUE” EOT 79 Tratamiento De Desarrollo Ficha NU-3A Área De Actividad Residencial Área De Actividad Residencial Vivienda De Interés Social (V.I.S) Y/O Prioritario (V.I.P) Uso Principal Uso Compatible Uso Principal Uso Compatible Viviend a Unifam iliar Viviend a Bifamili ar Viviend a Multifa miliar *Vivien da Agrupa da Comer cio G1 Dotacio nal G1 Viviend a Unifam iliar Viviend a Bifamili ar **Vivie nda Agrupa da Comer cio G1 Dotaci onal G1 Área mínima de Lote 72 M2 96 M2 300 M2 2000 M2 200 M2 250 M2 72 M2 96 M2 2000 M2 120 M2 120 M2 Frente mínimo de lote 6 ML 8 ML 10 ML 25 M2 8 ML 8 ML 6 ML 8 ML 20 M2 6 ML 6 ML Índice máximo de Ocupación 0,75 0,75 0.7 0.6 0.7 0.70 0,75 0,75 0.7 0.80 0.80 Índice máximo de Construcci ón 2,25 2,25 2,1 1,8 2,1 2,1 2,25 2,25 2,1 2 2 Retroceso (Antejardí n) N.A. N.A. 3 Ml a lo largo de la fachada posterio r 3 Ml a lo largo de la fachad a posteri or 3 Ml a lo largo de la fachad a posteri or 3 Ml a lo largo de la fachad a posteri or N.A. N.A. 3 Ml a lo largo de la fachad a posteri or 3 Ml a lo largo de la fachad a posteri or 3 Ml a lo largo de la fachad a posteri or Aislamient o Lateral N.A. N.A. N.A. 3 ML N.A. N.A. N.A. N.A. 3 ML N.A. N.A. Aislamient o Posterior 3 Ml a lo largo de la fachad a posteri or 3 Ml a lo largo de la fachad a posteri or 6 Ml a lo largo de la fachada posterio r 6 Ml a lo largo de la fachad a posteri or 4,5 Ml a lo largo de la fachad a posteri or 5 Ml a lo largo de la fachad a posteri or 3 Ml a lo largo de la fachad a posteri or 3 Ml a lo largo de la fachad a posteri or 3 Ml a lo largo de la fachad a posteri or 4 Ml a lo largo de la fachad a posteri or 4 Ml a lo largo de la fachad a posteri or Área mínima de unidad de habitacion al N.A. 60 M2 60 M2 60 M2 N.A. N.A. N.A. 60 M2 60 M2 N.A. N.A. Área mínima de unidad Comercial N.A. N.A. N.A. N.A. 10 - 20 M2 N.A. N.A. N.A. N.A. 10 - 20 M2 N.A. Área mínima de unidad de N.A. 40 M2 40 M2 40 M2 N.A. N.A. N.A. 40 M2 N.A. N.A. N.A.
  • 80.
    CIPIO DE AGUAZUL ACUERDONo. _____ “POR EL CUAL SE ADOPTA LA REVISIÓN GENERAL DEL ESQUEMA DE ORDENAMIENTO TERRITORIAL DEL MUNICIPIO DE SUBACHOQUE” EOT 80 Tratamiento De Desarrollo Ficha NU-3A Área De Actividad Residencial Área De Actividad Residencial Vivienda De Interés Social (V.I.S) Y/O Prioritario (V.I.P) Uso Principal Uso Compatible Uso Principal Uso Compatible Viviend a Unifam iliar Viviend a Bifamili ar Viviend a Multifa miliar *Vivien da Agrupa da Comer cio G1 Dotacio nal G1 Viviend a Unifam iliar Viviend a Bifamili ar **Vivie nda Agrupa da Comer cio G1 Dotaci onal G1 habitacion al Aparta- estudios Altura Máxima hasta cumbrera 10 ML 10 ML 10 ML 10 ML 10 ML 10 ML 10 ML 10 ML 10 ML 10 ML 10 ML Parament o Mantener según construcciones contiguas Estaciona mientos Privados 1/Vivien da 1/Vivien da 1/Unida d de Viviend a 1/Unida d de Viviend a N.A. 1/50 M2 1/Vivien da 1/Vivien da 1/Vivien da N.A. 1/50 M2 Estaciona mientos visitantes N.A. N.A. 1 /3 unidade s de vivienda 1 / 3 unidad es de viviend a 1/100 M2 1/100 M2 N.A. N.A. 1 / 4 unidad es de viviend a 1/100 M2 1/100 M2 Reglament o de propiedad horizontal N.A. Obligat orio Obligat orio Obligat orio N.A. N.A. N.A. Obligat orio Obligat orio N.A. N.A. * La norma para cada uno de los desarrollos al interior de la vivienda agrupada y agrupación de VIS y/o VIP se aplicará con la norma de unifamiliar, bifamiliar y/o multifamiliar según sea el caso. El uso compatible de comercio y dotacional se podrá conceder solo si existe un espacio diseñado específicamente para tal fin, de manera independiente al uso residencial. Para los desarrollos de vivienda agrupada el usos comercial y dotacional deberán contar con un espacio arquitectónico independiente de las áreas residenciales
  • 81.
    CIPIO DE AGUAZUL ACUERDONo. _____ “POR EL CUAL SE ADOPTA LA REVISIÓN GENERAL DEL ESQUEMA DE ORDENAMIENTO TERRITORIAL DEL MUNICIPIO DE SUBACHOQUE” EOT 81 Parágrafo. La vivienda agrupada en el área de actividad residencial, con tratamiento de conservación, solo se permitirá para vivienda unifamiliar y bifamiliar. Artículo 87. NORMAS URBANÍSTICAS GENERALES, DISPOSICIONES GENERALES Alturas. El manejo de las alturas en desarrollo por construcción en el suelo urbano y de expansión urbana, se hará conforme a los siguientes parámetros: 1. Altura de fachada: Es la distancia máxima en el plano de fachada de la edificación, entre el nivel oficial de la calzada y el nivel de terminación de la fachada del último piso que posea servidumbre visual (Ventanas, ocultos, lucarnas, etc). 2. Altura de Edificación: Es la distancia vertical entre el nivel oficial de la calzada y el nivel máximo de la cumbrera de cubierta del último piso. Esto indica que para la zona urbana no se permiten las cubiertas planas en último piso (o terrazas), es decir que todas las cubiertas deberán ser inclinadas e involucrar al interior de ellas los tanques de reserva de agua potable. 3. Las remodelaciones en el área en donde aplique el tratamiento de conservación, deberán empatar con las alturas de las edificaciones vecinas en fachada y cubierta. 4. Alturas para construcciones en uso residencial, comercial y de servicios Grupo 1 y Dotacional Grupo 1:  Altura mínima de entre pisos: Dos metros cincuenta centímetros (2.5 ML) incluyendo placa de entrepiso.  Altura mínima del último piso de la edificación hasta cumbrera. (o altillo en caso de presentarse) Cuatro metros (4 ML)  El área del altillo no podrá superar el equivalente al 50 % del segundo piso.  Todas las edificaciones residenciales deben utilizar cubiertas inclinadas.  Las edificaciones residenciales que hagan uso del altillo deberán insertarse dentro de la cubierta inclinada a manera de mansarda o buhardilla. En ningún caso el altillo ocupará la totalidad del ancho de fachada, ya que se constituiría en un tercer piso. 5. Alturas para construcciones en uso Comercial y de Servicios Grupo 2 y Dotacional Grupo 2:  Altura mínima de entre pisos: Tres metros cincuenta centímetros (3.5 ML) incluyendo placa de entrepiso.  Altura máxima en el uso comercial Grupo 2 y Dotacional Grupo 2 será el de diez metros hasta cumbrera, en caso de requerirlo.  Altura mínima del último piso de la edificación hasta cumbrera. (o altillo en caso de presentarse) Cuatro metros (4 ML)  El área del altillo no podrá superar el equivalente al 50 % del segundo piso.  Todas las edificaciones comerciales y dotacionales deben utilizar cubiertas inclinadas.  Las edificaciones comerciales y dotacionales que hagan uso del altillo deberán insertarse dentro de la cubierta inclinada a manera de mansarda o buhardilla. En
  • 82.
    CIPIO DE AGUAZUL ACUERDONo. _____ “POR EL CUAL SE ADOPTA LA REVISIÓN GENERAL DEL ESQUEMA DE ORDENAMIENTO TERRITORIAL DEL MUNICIPIO DE SUBACHOQUE” EOT 82 ningún caso el altillo ocupará la totalidad del ancho de fachada, ya que se constituiría en un tercer piso. Parágrafo. Para las construcciones de tres pisos, el tercer piso debe terminar con cubierta a dos aguas. Empate. Se aplica a construcciones que deben coordinar su paramento con construcciones vecinas, sea manteniendo el existente, o en el caso de que los lotes vecinos presenten diferentes paramentos, buscando un escalonamiento de este paramento para empatar debidamente con las edificaciones vecinas. Deberá mantenerse rigurosamente el empate de paramentos en la zona en donde aplique el tratamiento de conservación arquitectónica y contextual, en aras de mantener la calidad y fluidez de su espacio urbano. Voladizos. Los voladizos del primer piso deberán localizarse a una altura mínima de 2.2 ML sobre el nivel oficial del predio, o la misma de los voladizos ya existentes en las construcciones vecinas, proponiendo empates, si fuera necesario, sin sobrepasar la altura de 2.50 ML, la profundidad del voladizo será de 0.6 ML en todas las vías del municipio, con las siguientes excepciones: a. En caso de existir voladizos en las edificaciones vecinas con otras dimensiones, en cuyo caso la Secretaría de Planeación establecerá la dimensión y el tipo de empate con que se debe desarrollar el voladizo, a fin de lograr una homogeneidad en la vía. b. En la zona en donde aplique el tratamiento de conservación arquitectónica no se permitirán voladizos, pero se autorizarán aleros, los cuales deberán mantener la tipología existente del sector. En estos casos se deberá buscar el empate con aleros de edificaciones vecinas, si los hay, y/o mantener la dimensión de alero y la altura predominante en los tramos de vías correspondientes. Uso de antejardines. El antejardín, como elemento natural y ambiental constitutivo del espacio público, no puede ser edificable, ni cubierto en ningún caso. Debe ser empradizado y arborizado al menos en un cuarenta por ciento (40%), sobre el cual podrán aceptarse los accesos peatonal y vehicular a las edificaciones. El cerramiento tendrá una altura máxima de 0.60 metros de antepecho y hasta 2.50 metros en material que permita transparencia del 90%. Nunca podrá ser en muro lleno. El sesenta por ciento (60%) restante del antejardín podrá ser utilizado para el estacionamiento de vehículos, siempre y cuando tenga como mínimo cinco (5) metros de profundidad. En estos casos se deberá prever un área o cordón de protección contra la edificación de cincuenta centímetros (0.50 metros). En antejardines de dimensiones menores no se permitirán ubicar estacionamientos de vehículos. Cerramientos. La construcción de cerramientos de tipo permanente deberá estar precedida del trámite de la respectiva licencia de construcción, en los términos regulados por el Decreto 1469 de 2010 y demás normas que lo modifiquen o deroguen. Estos cerramientos no podrán hacerse en materiales provisionales. Los cerramientos provisionales solo se podrán hacer como parte del desarrollo de una construcción, debidamente licenciada, en los términos establecidos para este fin por el citado Decreto 1469 de 2010 y demás normas que lo modifiquen o deroguen. Solo se permitirá el uso de
  • 83.
    CIPIO DE AGUAZUL ACUERDONo. _____ “POR EL CUAL SE ADOPTA LA REVISIÓN GENERAL DEL ESQUEMA DE ORDENAMIENTO TERRITORIAL DEL MUNICIPIO DE SUBACHOQUE” EOT 83 polisombra, láminas de zinc y materiales equivalentes, en el caso de cerramientos provisionales, debida y formalmente autorizados, con carácter estrictamente provisional por un término no mayor al término de la licencia respectiva,. Lo dispuesto en este literal es aplicable en suelo rural. Licencias de construcción y de reconocimiento de construcciones en predios urbanos cuya área es menor a la mínima permitida Los predios localizados en suelo urbano cuya área sea menor de la mínima permitida, podrán tramitar licencia de construcción, únicamente, en los siguientes casos:  Los predios que dispongan de cédula catastral, matrícula inmobiliaria, se encuentren debidamente desenglobados y hayan sido formados catastralmente hasta del 31 de diciembre de 2014, siempre que su área sea mayor a 50 M2 .  Los predios producto de sentencia judicial, siempre que su área no sea menor de 50 M2 .  Los predios adquiridos mediante promesas de compraventa de derechos y acciones u otra modalidad, con anterioridad a la aprobación de este acuerdo y cuyo contrato sea verificado por la Secretaria de Planeación. Las densidades habitacionales en desarrollos por construcción se regirán por la siguiente tabla: DENSIDADES HABITACIONALES MÍNIMAS EN DESARROLLOS POR CONSTRUCCIÓN Área mínima permisible por unidad de vivienda (AMPV=AMB x NA x K) AMB = Área mínima básica interior del perímetro urbano >= 23 m2 zonas de expansión >= 23 m2 zonas de vivienda popular o de interés social y/o prioritario >= 23 m2 NA = Número de alcobas Número de alcobas Mínimo 2 K= Constante según uso vivienda unifamiliar y bifamiliar por loteo individual 1 vivienda unifamiliar y bifamiliar en agrupación 1 vivienda multifamiliar por loteo individual 1 En vivienda multifamiliar en agrupación 1 El Índice Mínimo de Habitabilidad (IMH) no podrá ser menor a 12 mts cuadrados por persona, dicho índice se obtiene de dividir el área construida por el número de habitantes que la van a ocupar, en el caso de Subachoque se tomará el núcleo de 5 (cinco) personas por núcleo familiar, es decir, sesenta metros cuadrados (60m2) construidos y mínimo treinta metros cuadrados (30M2) de ocupación. La administración municipal dará estricto cumplimiento a esta norma con el objeto de eliminar los inquilinatos y por ende el posible hacinamiento en toda el área del municipio. CAPÍTULO VI DE LA GESTIÓN DEL RIESGO EN EÑ ÁREA URBANA Artículo 88. Las condiciones que se incorporan en este Plan en materia de gestión de riesgo buscan modificar y disminuir las condiciones de amenaza, y riesgo, al igual que planificar las acciones de reducción del riesgo.
  • 84.
    CIPIO DE AGUAZUL ACUERDONo. _____ “POR EL CUAL SE ADOPTA LA REVISIÓN GENERAL DEL ESQUEMA DE ORDENAMIENTO TERRITORIAL DEL MUNICIPIO DE SUBACHOQUE” EOT 84 Artículo 89. INCORPORACIÓN DE LA GESTIÓN DEL RIESGO: La metodología para la incorporación de procesos amenazantes de origen natural en el ordenamiento territorial, partió de la identificación de los procesos amenazantes presentes en el territorio, utilizando la información secundaria disponible y recorridos de verificación en campo, así como, teniendo en cuenta la directrices y resultados de los estudios básicos de gestión del riesgo, que fueron elaborados para dar cumplimiento a lo establecido por el Decreto 1807 de 2014. DEFINICIÓN DE ÁREAS CON CONDICIÓN DE AMENAZAS Y DE ÁREAS CON CONDICIÓN DE RIESGO. A través de la metodología usada en conformidad con el Decreto 1807 de 2014, para el área urbana del municipio de Subachoque NO existen áreas con condición de amenaza ni áreas con condición de riesgo por fenómenos de avenida torrencial, inundación y remoción en masa. (Ver Anexo técnico No. 1 Estudios Básicos de Gestión del Riesgo). Parágrafo Segundo. Dado que no existen áreas con condición de amenazas, ni áreas con condición de riesgo por remoción en masa e inundación en el área urbana, no se presentan planos asociados a esta temática. Se proponen las siguientes acciones para la reducción del riesgo: Artículo 90. ACCIONES PARA LA REDUCCIÓN DEL RIESGO.  Realizar monitoreo constante sobre las riberas de la Quebrada el Cementerio y Molino a su paso por la zona urbana, las cuales no se encuentran urbanizadas y hacen parte de suelos de protección por ronda.  Ejercer control urbanístico en las áreas de ronda de la Quebrada el Cementerio y Molino, para que no sean ocupadas por construcciones ilegales. CAPÍTULO VII DE LA NORMA PARA EL DESARROLLO DEL SUELO DE EXPANSIÓN – INSTRUMENTOS DE GESTIÓN Artículo 91. NORMAS PARA EL DESARROLLO DEL SUELO DE EXPANSIÓN URBANA. Adóptense las normas estructurales para el desarrollo del suelo de expansión urbana de que habla el presente Esquema de Ordenamiento Territorial y que se desarrollan en los siguientes artículos. Parágrafo. Para el desarrollo del plan parcial de expansión urbana es indispensable realizar el estudio detallado de las áreas con condición de amenaza por inundación de la quebrada El Molino, siguiendo los requisitos mínimos para la elaboración de estudios detallados de riesgos por inundación, que se encuentran en el artículo 46 del presente acuerdo. Este estudio detallado es el condicionante principal para el desarrollo del plan parcial, el resultado de dicho estudio
  • 85.
    CIPIO DE AGUAZUL ACUERDONo. _____ “POR EL CUAL SE ADOPTA LA REVISIÓN GENERAL DEL ESQUEMA DE ORDENAMIENTO TERRITORIAL DEL MUNICIPIO DE SUBACHOQUE” EOT 85 delimitará las áreas que no podrán ser objeto de desarrollo y se convertirán directamente en áreas de protección al interior del plan parcial. Artículo 92. PLAN PARCIAL EN SUELO DE EXPANSIÓN URBANA. El desarrollo de las áreas de expansión urbana se llevará a cabo por iniciativa pública o privada, mediante la formulación y ejecución de planes parciales, acorde con lo establecido en el presente Esquema de Ordenamiento y los decretos nacionales Nos. 2181 de 2006 y 4300 de 2007 y 1478 de 2013. La zona de expansión se podrá desarrollar una vez se haya desarrollado al menos un 60% del área urbanizable no urbanizada dentro del área urbana central. La normativa para desarrollar las zonas de expansión corresponderá a la normativa aplicada para el tratamiento de desarrollo en el área urbana. Artículo 93. SERVICIOS PUBLICOS EN ZONAS DE EXPANSION URBANA. Para obtener Licencia de Urbanismo destinada a cualquier tipo de urbanización residencial, o agrupación en el suelo de expansión urbana debe tener factibilidad de servicio y viabilidad, los terrenos a desarrollar deberán estar provistos de la infraestructura necesaria de servicios públicos y conectados a las redes existentes en el Municipio, de acuerdo con las siguientes exigencias mínimas de acueducto, alcantarillado, alumbrado público, energía eléctrica y tener acceso a las redes generales de gas, teléfonos, aseo, vías y nomenclatura así:  Tener viabilidad y factibilidad de los servicios públicos.  Acueducto y alcantarillado domiciliario conectado a las redes matrices municipales y sistemas de tratamiento para aguas residuales cuando sea necesario, de acuerdo con las especificaciones y exigencias que para cada caso particular fijen las Empresas Prestadoras del Servicio y la autoridad ambiental competente.  Redes de energía eléctrica pública y privada en canalización subterránea o aérea, alumbrado público en postes metálicos o de ferro-concreto y transformadores y otros elementos, conectados a las redes existentes de acuerdo con las especificaciones fijadas por la Administración Municipal y/o las Empresas Prestadoras del Servicio.  Redes para servicio telefónico en canalización subterránea o aérea, conectados a las redes existentes según especificaciones fijadas por las Empresas Prestadoras del Servicio.  Vías en asfalto o concreto, sardineles, andenes en todas las vías, conectadas a la red vial existente de conformidad con las especificaciones establecidas por la Secretaría de Planeación o quien haga sus veces.  Arborización, empradizado de las zonas verdes de los andenes y separadores viales y de todas las zonas verdes perimetrales e interiores; unidades de basura localizadas para el fácil desalojo de las basuras y de su recolección de acuerdo con las especificaciones que para tal fin, fije la autoridad ambiental competente o la entidad prestadora del servicio.  Nomenclatura, vial y domiciliaria y placas de control de coordenadas si las hay, de acuerdo con las normas que para tal efecto fije la Secretaría de Planeación o la dependencia que haga sus veces.
  • 86.
    CIPIO DE AGUAZUL ACUERDONo. _____ “POR EL CUAL SE ADOPTA LA REVISIÓN GENERAL DEL ESQUEMA DE ORDENAMIENTO TERRITORIAL DEL MUNICIPIO DE SUBACHOQUE” EOT 86 Artículo 94. PLAN PARCIAL DEL ÁREA DE EXPANSIÓN URBANA. El plan parcial del área de expansión urbana se debe desarrollar únicamente para poder desarrollar al interior de su área:  Área de protección de 30 mts lineales paralelos a la cota máxima de inundación de la quebrada El Molino,  Áreas de protección como resultado del estudio detallado de las áreas con condición de amenaza por inundación.  Proyectos de vivienda en desarrollo por urbanización o conjuntos cerrados  Espacio público requerido para la población que resida en el área y/o para la demás población del municipio  Vías necesarias incluyendo la vía perimetral  Equipamientos de carácter público requeridos por la población Parágrafo primero. Las normas del plan parcial por ningún motivo deben contradecir ni exceder lo establecido en el componente urbano del presente documento del EOT vigente. TÍTULO III COMPONENTE RURAL CAPÍTULO I COMPONENTES DE LOS SISTEMAS ESTRUCTURANTES DEL SUELO RURAL Artículo 95. COMPONENTES DE LOS SISTEMAS ESTRUCTURANTES DEL SUELO RURAL. Los sistemas que estructuran el territorio del Municipio, a nivel rural, son los siguientes: 1. Áreas de protección en suelo rural 2. El Sistema de Servicios Públicos 3. El Sistema Vial y de Transporte 4. El Sistema de Equipamientos Colectivos 5. El Sistema de Centros Poblados Rurales SUBCAPÍTULO I ÁREAS DE PROTECCIÓN EN SUELO RURAL DE LA ESTRUCTURA ECOLÓGICA PRINCIPAL CON INFLUENCIA RURAL Artículo 96. PLAN DE PROTECCIÓN, RECUPERACIÓN Y CONSERVACIÓN DE LA ESTRUCTURA ECOLÓGICA PRINCIPAL CON INFLUENCIA RURAL. El plan de protección, recuperación y conservación de la Estructura Ecológica Principal con influencia rural es el conjunto de acciones, organizadas en programas y proyectos, a través de las cuales se garantizará el logro de los objetivos planteados, con especial énfasis en el suelo rural. Los grandes programas
  • 87.
    CIPIO DE AGUAZUL ACUERDONo. _____ “POR EL CUAL SE ADOPTA LA REVISIÓN GENERAL DEL ESQUEMA DE ORDENAMIENTO TERRITORIAL DEL MUNICIPIO DE SUBACHOQUE” EOT 87 previstos con miras al desarrollo y consolidación de la estructura ecológica de influencia rural, son los siguientes: 1. Protección y conservación de la vocación protectora y productora de las áreas forestales protectoras productoras, en busca de una relación equilibrada entre las dos actividades, la protección y la producción forestal, evitando que, particularmente la actividad productora, prepondere sobre la protectora, comprometiendo la función ecológica de dichas áreas, Especialmente sobre la cuenca del Rio Balsillas. 2. Protección, recuperación y conservación de áreas periféricas de nacimientos y áreas de ronda hídrica. 3. Realización de estudio para la delimitación y protección de áreas de recarga de acuíferos. 4. Elaboración de estudios técnicos para la zonificación de amenazas, la evaluación de la vulnerabilidad y la zonificación de riesgos en el Municipio. 5. Elaborar estudio de cotas máximas de inundación Rio Subachoque y Quebradas. (Proyecto definido en POMCA) 6. Adquisición de áreas de interés para acueductos municipales y regionales, mantenimiento de estas zonas, o financiación de esquemas de pago por servicios ambientales. (Cumplimiento al Art. 210 Ley 1450 de 2011) 7. Realizar e implementar el plan de gestión integral de residuos sólidos PGIRS. 8. Compra de predios en áreas de interés hídrico 9. Proyectos que se articulen con el PAT y el PGAR que esté vigente en la CAR. 10. Proyectos que se articulen con el Plan Nacional de Adaptación al Cambio Climático. Parágrafo: La estructura ecológica principal a que se hace referencia en este artículo es la misma que se desarrolla en el Componente General del presente documento y se encuentra cartografiada en el plano CG – 03. Estructura Ecológica Principal. Artículo 97. ASIGNACIÓN DE USOS EN LA ESTRUCTURA ECOLÓGICA PRINCIPAL. Asígnense los siguientes usos a las diferentes áreas que conforman la estructura ecológica principal: ÁREAS DE CONSERVACIÓN Y PROTECCIÓN AMBIENTAL (EEP) Ficha No. NUG - R - 01EEP – ÁREAS DE RESERVA FORESTAL DE LA CUENCA ALTA DEL RIO BOGOTÁ USOS Uso Principal De acuerdo a lo que defina el Plan de manejo establecido en el Art 8 de la Resolución 138 de 2014. Usos Compatibles De acuerdo a lo que defina el Plan de manejo establecido en el Art 8 de la Resolución 138 de 2014. Usos Condicionados De acuerdo a lo que defina el Plan de manejo establecido en el Art 8 de la Resolución 138 de 2014. Captación de Aguas, potabilización e infraestructura necesaria para tal fin Usos Prohibidos De acuerdo a lo que defina el Plan de manejo establecido en el Art 8 de la Resolución 138 de 2014. ÁREA RURAL - SISTEMA DE AREAS PROTEGIDAS - SISTEMA HIDRICO Ficha NUG - R - 02
  • 88.
    CIPIO DE AGUAZUL ACUERDONo. _____ “POR EL CUAL SE ADOPTA LA REVISIÓN GENERAL DEL ESQUEMA DE ORDENAMIENTO TERRITORIAL DEL MUNICIPIO DE SUBACHOQUE” EOT 88 ÁREAS PERIFERICAS A CUERPOS DE AGUA, CAUCES DE AGUA, EMBALSES, HUMEDALES USOS Uso Principal Conservación de suelos y restauración de la vegetación adecuada para la protección de los mismo, conformar la malla ambiental. Usos Compatibles Recreación pasiva. Captación de Aguas, potabilización e infraestructura necesaria para tal fin Usos Condicionados Captación de aguas o incorporación de vertimientos, siempre y cuando no afecten el cuerpo de agua ni se realicen sobre los nacimientos. Construcción de infraestructura de apoyo para actividades de recreación, embarcaderos, puentes y obras de adecuación y desagüe de instalaciones de acuicultura. Usos Prohibidos Todos los demás. Parágrafo: Todas aquellas viviendas o construcciones que a la fecha se encuentran dentro de áreas periféricas a cuerpos de agua, cauces de agua, embalses y humedales, podrán solicitar licencia de reforzamiento estructural en caso de requerirse de acuerdo al numeral 6 del Art. 7 del decreto 1469 de 2010. ÁREA RURAL - SISTEMA DE AREAS PROTEGIDAS - SISTEMA OROGRAFICO Ficha No. NUG - R - 03 ÁREAS DE RECARGA DE ACUÍFEROS (R – RA) USOS Uso Principal Forestal Protector con especies nativas. Usos Compatibles Actividades agrosilviculturales y recreación contemplativa y vivienda del propietario con máximo de ocupación de 60m2. Usos Condicionados Infraestructura vial, aprovechamiento forestal de especies exóticas. Usos Prohibidos Plantación de bosques con especies foráneas, explotaciones agropecuarias bajo invernadero, parcelaciones con fines de construcción de vivienda, zonas de expansión urbana, extracción de materiales, aprovechamiento forestal de especies nativas, y todos los demás. ÁREA RURAL - SISTEMA DE AREAS PROTEGIDAS - SISTEMA OROGRAFICO Ficha No. NUG - R - 04 ÁREA FORESTAL PROTECTORA (R – FP) QUEBRADAS PARAMILLO Y QUESERAS USOS Uso Principal Conservación forestal y de recursos conexos. Usos Compatibles Áreas de recreación ecoturística, rehabilitación ecológica e investigación controlada Usos Condicionados Infraestructura básica para el establecimiento de usos compatibles; aprovechamiento persistente de especies foráneas y productos forestales secundarios Usos Prohibidos Todos los demás. ÁREA RURAL - SISTEMA DE AREAS PROTEGIDAS Ficha No. NUG - R - 05 DISTRITO DE MANEJO INTEGRADO DMI RIO SUBACHOQUE Y PANTANO DE ARCE USOS Uso Principal Protección y preservación de los recursos naturales. Usos Compatibles Investigación, Áreas de recreación ecoturística y restauración ecológica.
  • 89.
    CIPIO DE AGUAZUL ACUERDONo. _____ “POR EL CUAL SE ADOPTA LA REVISIÓN GENERAL DEL ESQUEMA DE ORDENAMIENTO TERRITORIAL DEL MUNICIPIO DE SUBACHOQUE” EOT 89 ÁREA RURAL - SISTEMA DE AREAS PROTEGIDAS Ficha No. NUG - R - 05 DISTRITO DE MANEJO INTEGRADO DMI RIO SUBACHOQUE Y PANTANO DE ARCE USOS Usos Condicionados Agropecuarios tradicionales, aprovechamiento forestal de especies foráneas, y captación de aguas. Usos Prohibidos Agropecuario mecanizado, recreación masiva, parcelaciones con fines de construcción de vivienda campestre, minería y extracción de materiales de construcción. Artículo 98. ASIGNACIÓN DE USOS RURALES POR ÁREAS PARA LA PRODUCCIÓN AGRÍCOLA Y GANADERA Y DE EXPLOTACIÓN DE RECURSOS NATURALES. Asígnense los siguientes usos a las diferentes áreas para la producción agrícola y ganadera y de explotación de recursos naturales. SUELO RURAL - PRODUCCIÓN AGRÍCOLA Y GANADERA Y DE EXPLOTACIÓN DE RECURSOS NATURALES Ficha No. NUG - R - 06 ÁREA AGROPECURIA INTENSIVA (Suelos clase agrológica I, II o III) USOS Uso Principal Agropecuario mecanizado o tecnificado y forestal. Se debe dedicar como mínimo el 10% del predio para uso forestal protector, para promover la malla ambiental. Usos Compatibles Infraestructura para construcción de distritos de adecuación de tierras, Pecuario confinado de baja intensidad. Vivienda del propietario y trabajadores, Aprovechamiento de Residuos orgánicos menores a 100 ton/año, Comercio Grupo I, Dotacional Grupo I, Usos Recreacionales y Áreas de recreación ecoturística Usos Condicionados Pecuario confinado intensivo, Agricultura intensiva bajo invernadero, vías de comunicación, Aprovechamiento de Residuos orgánicos mayores a 100 ton/año, Usos Agroindustriales. Usos Prohibidos Usos urbanos y suburbanos, loteos y condominios con fines de construcción de vivienda y los demás usos que no se encuentren previstos en este cuadro Artículo 99. ASIGNACIÓN DE USOS RURALES A LAS AREAS DEL SISTEMA DE SERVICIOS PÚBLICOS DOMICILIARIOS. Asígnense los siguientes usos a las Áreas de Protección de infraestructura de servicios Públicos. ÁREA RURAL - AREAS DEL SISTEMA DE SERVICIOS PÚBLICOS DOMICILIARIOS Ficha No. NUG - R - 07 AREAS DE PROTECCION DE INFRAESTRUCTURA DE SERVICIOS PUBLICOS (R – SP) USOS Uso Principal Sistemas de tratamiento de agua potable. Usos Compatibles Infraestructura necesaria para el establecimiento del uso principal. Usos Condicionados Embalses, infraestructura de saneamiento y sistemas de disposición y tratamiento de residuos sólidos y líquidos. Usos Prohibidos Los demás. Localización PTAP: Urbana Predio 000100070276000 Localización PTAR: La Pradera Predio 000300010315000, GALDAMEZ 000100060475000, Centro Urbano 000100070522000
  • 90.
    CIPIO DE AGUAZUL ACUERDONo. _____ “POR EL CUAL SE ADOPTA LA REVISIÓN GENERAL DEL ESQUEMA DE ORDENAMIENTO TERRITORIAL DEL MUNICIPIO DE SUBACHOQUE” EOT 90 SUBCAPÍTULO II DEL SISTEMA DE SERVICIOS PÚBLICOS RURALES Artículo 100. COMPONENTES DEL SISTEMA DE SERVICIOS PÚBLICOS RURALES. Son componentes del Sistema de Servicios Públicos rurales los siguientes: 1. Redes de acueducto de la zona rural. 2. Redes de alcantarillado de la zona rural. 3. Planta de tratamiento de aguas residuales. 4. Redes de energía eléctrica, con su sistema de líneas de conducción de alta, media y baja tensión, postes, torres, conducciones subterráneas y subestaciones eléctricas de las zonas rurales del municipio. 5. Redes de teléfono, con su sistema de cableado, casetas para servicio público, subestaciones y centros de control, en las zonas rurales del municipio. 6. Redes de gas. Artículo 101. PLAN DE SERVICIOS PÚBLICOS DOMICILIARIOS RURALES. El plan de servicios públicos municipales rurales es el conjunto de acciones a través de las cuales se pretende dar cumplimiento a los objetivos acordados respecto de los servicios públicos como sistema estructurante, está compuesto por los grandes programas que se consignan a continuación: 1. Construcción de sistemas de tratamiento de agua 2. Construcción y mejoramiento de acueductos rurales. 3. Construcción y mejoramiento de alcantarillados rurales. 4. Control a los sistemas de disposición de residuos sólidos. 5. Mejoramiento infraestructura de servicios públicos de acueducto y alcantarillado Centro poblado Galdámez. 6. Disposición de residuos sólidos no aprovechables en los sitios donde determine el PGIRS. 7. Cumplimiento decreto 4741 de 2005 y numeral 3.4. del documento Gestión Integral de Residuos o Desechos Peligrosos – Bases Conceptuales, elaborado por el Ministerio de Ambiente, Vivienda y Desarrollo Territorial relacionado con residuos peligrosos Parágrafo primero: La disposición final de residuos sólidos ordinarios no aprovechables se deberá realizar en el relleno sanitario más próximo al municipio y que esté debidamente autorizado por la CAR. Parágrafo segundo: Las entidades o particulares que manejen residuos sólidos peligrosos deben contratar con una empresa especializada y autorizada por la autoridad ambiental la disposición de los mismos. Artículo 102. ÁREAS DE RESERVA PARA SERVICIOS PÚBLICOS EN EL SUELO RURAL. La Secretaría de Planeación, a solicitud de las empresas prestadoras de los servicios públicos, realizará las acciones tendientes a establecer las reservas de suelos para servicios públicos y las afectaciones prediales correspondientes. En los suelos afectados, la autoridad competente no podrá autorizar construcciones de ningún tipo, salvo las necesarias para la prestación del servicio o servicios respectivos. No se permitirá la construcción de viviendas, o usos dotacionales, comerciales o recreativos a distancias menores de las mínimas establecidas en el
  • 91.
    CIPIO DE AGUAZUL ACUERDONo. _____ “POR EL CUAL SE ADOPTA LA REVISIÓN GENERAL DEL ESQUEMA DE ORDENAMIENTO TERRITORIAL DEL MUNICIPIO DE SUBACHOQUE” EOT 91 RAS 2000 para Sistemas de Tratamiento de Vertimientos, de acuerdo al sistema en consideración. Parágrafo primero: No se permitirá la construcción de viviendas, o usos dotacionales, comerciales o recreativos a distancias menores 20 ML de las redes de conducción de gas natural. Igualmente para las líneas de trasmisión de energía, las zonas de servidumbre se establecen de conformidad con el art. 24 de la resolución No. 18-1294 de 2008. Parágrafo segundo: Para la disposición de escombros se tendrá en cuenta una alternativa regional ubicada en los Predios denominados Finca El Paraíso y Valle de las Mercedes, ubicados en la Vereda Puente Piedra del Municipio de Madrid. Cumpliendo con la resolución 541 de 1994 de Ministerio de Ambiente o la norma que la derogue, sustituya o modifique. Parágrafo tercero: Las antenas de telecomunicaciones no deben establecerse a menos de 200 mts de comunidades, viviendas, colegios, equipamientos colectivos y en general concentración de población. (Sentencia T-107 de 2012 Corte Constitucional). Parágrafo cuarto: No se podrán instalar ningún tipo de subestaciones para prestación del servicio de energía eléctrica en el área rural a menos de 2.000 mts de cualquier vivienda existente a su vez es requisito previo y necesario a la solicitud de expedición cualquier licencia urbanística para el desarrollo de la subestación y sus líneas de conducción, por parte de la Alcaldía Municipal, lo siguiente: 1. Estudios específicos de riesgo, según lo establece el artículo 42 de la Ley 1523 de 2012. 2. Licencia ambiental aprobada según lo establecen los artículos 5, 8, 9 del Decreto 2810 de 2010 y la Ley 99 de 1993. La licencia sólo se podría expedir si los análisis de riesgo de la operación de la estación y sus líneas de conducción no afectan a las personas y bienes localizados en las zonas aledañas o su área de influencia, así como si se afectan con su implantación bienes ambientales. En el caso de existir riesgos mitigables, deberá la empresa prestadora del servicio y dueña de la infraestructura establecer las acciones de reducción del riesgo e implementar su Plan de Contingencia. El municipio por su parte deberá estar atento al trámite que sobre el particular realicen las autoridades ambientales, para hacer observaciones y oposiciones si hay lugar a ello, y a conocer los resultados de los estudios específicos de riesgo. SUBCAPÍTULO III DEL SISTEMA VIAL RURAL Artículo 103. COMPONENTES DEL SISTEMA VIAL RURAL. El sistema vial rural está conformado por vías intermunicipales o de segundo orden y vías veredales o de tercer orden. El Sistema Vial Rural se presenta cartografiado en el plano CR – 02. Sistema Vial Rural y perfiles viales, de acuerdo a su perfil, el cual incluye calzadas, bermas, cunetas y franjas de aislamiento ambiental respecto de los linderos prediales, las vías rurales del Municipio se clasifican así:
  • 92.
    CIPIO DE AGUAZUL ACUERDONo. _____ “POR EL CUAL SE ADOPTA LA REVISIÓN GENERAL DEL ESQUEMA DE ORDENAMIENTO TERRITORIAL DEL MUNICIPIO DE SUBACHOQUE” EOT 92 PERFILES VIALES RURALES Tipo de Vía Clasificación Vial Aislamiento Ambiental 1 Berma y Cuneta Semi- calzada Separador Semi- calzada Berma y Cuneta Ciclo Ruta Aislamiento Ambiental 1 Total de la secció nIZQUIERDA DERECHA VR - 2 Vía Intermunicip al o de segundo orden 16 2 4.5 4.5 2 16 45 VR - 3 Vías Veredales o de tercer orden 10 1 4 4 1 10 30 VR - 4 Caminos intraveredale s 3 1 3 3 1 3 14 Las vías de segundo y tercer orden deberán estar dotadas de sistema de drenaje acorde con las condiciones pluviométricas e hidrológicas locales. La expresión gráfica de los perfiles indicados en este artículo se presenta en el plano CR – 02 Sistema Vial Rural y será utilizada para la determinación de las áreas de cesión siempre que sea del caso. Artículo 104. PLAN VIAL RURAL. El plan vial rural es el conjunto de acciones a través de las cuales se pretende dar cumplimiento a los objetivos acordados respecto de las vías rurales como sistema estructurante, está compuesto por los grandes programas que se consignan a continuación: 1. Ampliación vías veredales o de tercer orden. 2. Mantenimiento y mejoramiento de la red vial rural o de tercer orden. Artículo 105. ÁREAS DE RESERVA VIAL. La Secretaría de Planeación, realizará las acciones tendientes a establecer las reservas de suelos y las afectaciones prediales correspondientes, necesarias para el desarrollo de proyectos previstos en el plan vial rural, una vez disponga de los estudios y diseños respectivos. En los suelos afectados, la autoridad competente no podrá autorizar parcelaciones ni construcciones de ningún tipo. SUBCAPÍTULO IV DEL SISTEMA DE EQUIPAMIENTOS COLECTIVOS RURALES Artículo 106. PLAN DE EQUIPAMIENTOS COLECTIVOS RURALES. El plan para el desarrollo del sistema de equipamientos rurales es el conjunto de acciones a través de las cuales se pretende dar cumplimiento a los objetivos acordados respecto de los equipamientos como sistema estructurante, está compuesto por los grandes programas que se consignan a continuación:
  • 93.
    CIPIO DE AGUAZUL ACUERDONo. _____ “POR EL CUAL SE ADOPTA LA REVISIÓN GENERAL DEL ESQUEMA DE ORDENAMIENTO TERRITORIAL DEL MUNICIPIO DE SUBACHOQUE” EOT 93 1. Formulación del Plan de Equipamientos Rurales 2. Construcción del Campus Educativo 3. Construcción de nuevos equipamientos rurales 4. Adecuación equipamientos rurales. 5. Mantenimiento general equipamientos rurales. CAPÍTULO II DE LOS USOS DEL SUELO RURAL Artículo 107. USOS AGROPECUARIOS. Son aquellos que implican el aprovechamiento productivo de los suelos, mediante el desarrollo de actividades agrícolas y pecuarias, de acuerdo a sus características, los usos agropecuarios pueden clasificarse de la siguiente manera: 1. Agricultura Tradicional: Aquellas áreas de mediana capacidad agrológica, caracterizadas por un relieve ondulado, con sensibilidad a la erosión, pero que pueden permitir una mecanización controlada, con pendientes superiores al 30%. 2. Agricultura Intensiva: Aquellas áreas de alta capacidad agrológica, caracterizadas por un relieve de plano o moderadamente ondulado, profundidad efectiva de superficial a moderadamente profunda, con sensibilidad a la erosión, pero que pueden permitir una mecanización intensiva, con pendientes entre el 5% y el 30%. 3. Agricultura Intensiva bajo invernadero: Es aquella que implica la construcción de estructuras temporales para la generación de condiciones climáticas controladas con el objeto de desarrollar cultivos altamente tecnificados que requieren uso intensivo de mano de obra, sistemas automatizados, mecánicos y/o manuales de fertilización, riego y control de plagas con elevados niveles de utilización de productos químicos. Se caracterizan por generar cantidades significativas de residuos vegetales y desechos tóxicos, por lo cual presentan un alto impacto ambiental y paisajístico. El desarrollo de este tipo de usos requiere el cumplimiento de las siguientes condiciones: a. Cumplimiento de las exigencias establecidas por la autoridad ambiental y la Guía del Ambiental del Sector Floricultor (en el caso de floricultura). En términos de ocupación, los cultivos bajo invernadero con fines de floricultura existentes y nuevos deben ajustarse a los siguientes índices:  Área cubierta por invernaderos y usos complementarios: 15%.  Áreas en barreras perimetrales forestales y reforestación: 20%.  Áreas de manejo ambiental y zonas verdes en un solo globo: 65%.  Deben tener un área destinada para producción de material forestal para programas de reforestación de las cuencas hidrográficas del municipio. En todo caso el área bajo invernadero no debe sobrepasar los 150 metros cuadrados.
  • 94.
    CIPIO DE AGUAZUL ACUERDONo. _____ “POR EL CUAL SE ADOPTA LA REVISIÓN GENERAL DEL ESQUEMA DE ORDENAMIENTO TERRITORIAL DEL MUNICIPIO DE SUBACHOQUE” EOT 94 b. Siempre que la explotación se realice en predios independientes de más de una (1) hectárea, deberá contar con plan de manejo, que integre sistemas adecuados de manejo, tratamiento y disposición de desechos vegetales, envases y otros residuos de plaguicidas. Están obligadas a aplicar sistemas equivalentes de manejo de desechos sólidos y líquidos. b. En el caso de invernaderos para producción de aromáticas u otros fines diferentes a floricultura, estos deben ajustarse a los siguientes índices:  Área cubierta por invernaderos y usos complementarios: 15%.  Áreas en barreras perimetrales forestales y reforestación:- 20%.  Áreas de manejo ambiental y zonas verdes en un solo globo: 65%. En todo caso el área bajo invernadero no debe sobrepasar los 150 metros cuadrados. c. Para la localización de las áreas de agricultura intensiva bajo cubierta bajo invernadero se deberá tener una planta de tratamiento de aguas residuales teniendo en cuenta que estos usos específicos utilizan gran cantidad de productos químicos. El o los sistemas de tratamiento deberán contar con la aprobación de la autoridad ambiental (CAR) y de la oficina de planeación municipal o quien haga sus veces. 4. Pecuario Confinado Intensivo: Corresponde a aquellas actividades pecuarias que implican el confinamiento de animales con fines intensivos de producción, mediante la utilización de sistemas tecnificados de control de condiciones ambientales, de suministro de alimentación, lavado de instalaciones y demás actividades propias, como es el caso de los galpones avícolas, porcícolas, cunículas, establos, y similares. El desarrollo de este tipo de usos requiere el cumplimiento de las siguientes condiciones: a. Cumplimiento de las exigencias ambientales y sanitarias establecidas por las autoridades competentes. b. La construcción de las instalaciones de confinamiento deberá respetar aislamientos de mínimo 200 metros respecto de viviendas. c. La instalación de cercas eléctricas en los linderos de la propiedad en donde este tipo de uso se desarrolle, solo podrá hacerse a una distancia mínima de tres metros respecto del lindero debidamente encerrado. d. El área cubierta por galpones y construcciones permanentes será máximo del veinte por ciento (20%) del predio; el área restante estará dedicada a otros usos agropecuarios, forestales y de protección, con un mínimo de diez por ciento (10%) para manejo ambiental (barreras perimetrales de aislamiento forestal y otros). e. La explotación deberá integrar sistemas adecuados de tratamiento, manejo y disposición de desechos sólidos orgánicos (porcinaza, gallinaza), en tal forma que los olores no causen malestar a las viviendas vecinas. Para porquerizas y avícolas medianas y grandes, de más de 10 cerdos o 100 aves, se debe presentar proyecto de tratamiento de aguas residuales para aprobación de la CAR y del Municipio, que contemple tratamiento primario, secundario y avanzado. Las porquerizas menores deben contar
  • 95.
    CIPIO DE AGUAZUL ACUERDONo. _____ “POR EL CUAL SE ADOPTA LA REVISIÓN GENERAL DEL ESQUEMA DE ORDENAMIENTO TERRITORIAL DEL MUNICIPIO DE SUBACHOQUE” EOT 95 con un sistema de tratamiento de efluentes compuesto como mínimo por una combinación de pozo séptico y filtro anaerobio de flujo ascendente, filtro percolador o similar, más desinfección. f. En caso de ganadería estabulada se debe contemplar la recolección y recirculación de estiércol del ganado como fertilizante de potreros. 5. Pecuario Confinado de baja intensidad: Corresponde a aquellas actividades pecuarias que requieren el uso parcial o temporal de instalaciones para el confinamiento de animales, sin implicar producción intensiva, aunque si niveles de tecnificación de los procesos. Pertenecen a este tipo de uso, las caballerizas, las perreras, guarderías caninas y similares. El desarrollo de este tipo de usos requiere el cumplimiento de las siguientes condiciones: a. Cumplimiento de las exigencias ambientales y sanitarias establecidas por las autoridades competentes de mínimo 100 metros respecto de viviendas. b. El área cubierta (construcciones permanentes) para el desarrollo de la actividad y será máximo del diez por ciento (10%) del predio; el área restante estará dedicada a otros usos agropecuarios, forestales y de protección, con un mínimo de diez por ciento (10%) para manejo ambiental (barreras perimetrales de aislamiento forestal y otros). Parágrafo primero: A partir de la aprobación del presente Esquema y hasta doce (12) meses siguientes, como máximo, todos los cultivos bajo invernadero que estén afectando la zona de ronda de fuentes y corrientes de agua, deberán despejar, recuperar y proteger la zona de ronda, conforme a lo establecido en el Código Nacional de los Recursos Naturales Renovables, el Decreto 1449 de 1977, el Acuerdo 16 de 1998 de la CAR y este Acuerdo so pena de las sanciones de ley por el incumplimiento a estas disposiciones. Parágrafo segundo: Las áreas destinadas en barreras perimetrales de aislamientos forestales y las áreas de manejo ambiental y zonas verdes definidas en este artículo deben mantenerse en el mismo predio objeto de la explotación bajo invernadero. Parágrafo tercero: Todos los propietarios de fincas, haciendas o predios en el área rural deben procurar por la limpieza de cunetas al frente de sus predios, limpieza en general, rocería, o poda de las áreas entre las vías públicas o privadas y la cerca de cada predio, con la finalidad de embellecer el entorno. Parágrafo cuarto: Todas las explotaciones porcícolas en la jurisdicción del municipio deben dar cumplimiento estricto a Resolución 2640 DE 2007 (septiembre 28) del INSTITUTO COLOMBIANO AGROPECUARIO - ICA, por la cual se reglamentan las condiciones sanitarias y de inocuidad en la producción primaria de ganado porcino destinado al sacrificio para consumo humano. O la norma que la modifique, complemente, derogue o sustituya. Parágrafo quinto: Las perreras o centros de entrenamiento canino o similares, únicamente se pueden establecer en el área agropecuaria intensiva o agropecuaria tradicional, a su vez deben tener realizar sus actividades a no menos de 200 mts de cualquier vivienda vecina, y deberán contar con sistema de tratamiento de aguas residuales de los caninos con la finalidad de no contaminar el suelo ni los cuerpos de agua.
  • 96.
    CIPIO DE AGUAZUL ACUERDONo. _____ “POR EL CUAL SE ADOPTA LA REVISIÓN GENERAL DEL ESQUEMA DE ORDENAMIENTO TERRITORIAL DEL MUNICIPIO DE SUBACHOQUE” EOT 96 Parágrafo sexto: Únicamente en las áreas clasificadas como Área Agropecuaria Tradicional y Área Agropecuaria intensiva, es compatible con el uso principal el aprovechamiento de los residuos orgánicos y actividades de compostaje con un máximo de 100 toneladas al año. Este aprovechamiento se podrá ejecutar sin que para ello sean necesarias edificaciones especializadas para dicho propósito. Parágrafo septimo: Únicamente en el área clasificada como Área Agropecuaria intensiva, es compatible con el uso principal el aprovechamiento de los residuos orgánicos y actividades de compostaje mayores a 100 toneladas al año. Para el establecimiento de este tipo de aprovechamiento es necesario habilitar instalaciones especializadas y adecuadas para este tipo de usos sin superar el 5% del área del predio (área del predio mínimo 20.000 m2) y en todo caso un área cubierta menor a 1000 m2. El establecimiento de este tipo de aprovechamiento de residuos orgánicos deberá obtener la aprobación de la autoridad ambiental (CAR), la oficina de planeación y la oficina de ambiente y competitividad o quien haga sus veces. Artículo 108. USOS DE RESTAURACIÓN MORFOLÓGICA Y REHABILITACIÓN DE SUELOS. Son aquellos que se pueden dar en áreas de antiguas explotaciones minero–extractivas que han sufrido un proceso de deterioro por la explotación no técnica a que se han visto sometidas, corresponden a la adecuación de suelos con fines exclusivos de restauración morfológica y rehabilitación. Parágrafo primero: Las áreas que se encuentren en áreas de restauración morfológica y rehabilitación de suelos, que hayan realizado y cumplido con su Plan de Manejo y Recuperación y Restauración Morfológica, de acuerdo a la normativa vigente y a la autoridad ambiental competente, se podrán utilizar como áreas dotacionales cumpliendo con la normativa contenida en el presente acuerdo para dicha área de actividad. Artículo 109. USOS AGROINDUSTRIALES. Corresponde a la actividad de transformación de materias primas de origen agropecuario o forestal, en producto terminado. Sus principales características son las siguientes: a. Procesos de manufactura o transformación mediante técnicas, equipos y laboratorios especializados, con demandas específicas de infraestructuras y servicios públicos. b. Abastecimiento de materias primas y transporte de productos terminados mediante vehículos medianos o pesados que pueden requerir estructuras de cargue y descargue y accesos adecuados. c. Generación alta de empleo y mano de obra especializada, con exigencia de sitios de estacionamiento para vehículos particulares y acceso de transporte público. Para efectos del EOT únicamente es agroindustria en Subachoque:  Fábricas de derivados lácteos  Despulpadoras de frutas  Manejo de hortalizas y tubérculos con valor agregado  Aserraderos de madera
  • 97.
    CIPIO DE AGUAZUL ACUERDONo. _____ “POR EL CUAL SE ADOPTA LA REVISIÓN GENERAL DEL ESQUEMA DE ORDENAMIENTO TERRITORIAL DEL MUNICIPIO DE SUBACHOQUE” EOT 97  Producción alimentaria Artículo 110. USOS RESIDENCIALES. Corresponden a los inmuebles o parte de ellos destinados al uso de vivienda. El uso residencial puede darse de manera exclusiva dentro de una edificación o puede compartir esta con otros usos, siempre que estos correspondan a las categorías compatible o condicionada, en cuyo caso, el uso condicionado deberá garantizar la adecuada mitigación de los impactos generados. De acuerdo con las características e intensidad de uso, pueden distinguirse los siguientes tipos de vivienda: 1. Vivienda del Propietario: Es la construida para habitación del propietario de predio rural, unifamiliar, con los índices de ocupación del área de actividad agropecuaria tradicional, dotada de manera básica y autónoma de espacios aptos para la preparación de alimentos, el aseo personal, el descanso y el intercambio social. Esta vivienda se construye para habitación de la familia que explota una unidad agrícola familiar, o la que se construye en predios formados como resultado de la aplicación de la excepción contemplada la Ley 160 de 1994. El área máxima de ocupación para vivienda del propietario será de 1.000 M2 y de construcción de 2.000 M2. 2. Vivienda del trabajador: Corresponde a las unidades habitacionales dotadas de manera autónoma de espacios aptos para la preparación de alimentos, el aseo personal, el descanso y el intercambio social, de un núcleo familiar y localizadas en suelo rural, en aquellas áreas de actividad en donde este uso tenga la categoría de principal, complementario o condicionado. La vivienda del trabajador corresponde a un área distinta y separada pero en el mismo predio donde se encuentra la vivienda del propietario. El área máxima de ocupación para vivienda del trabajador será de 120 M2 y de construcción de 180 M2. Parágrafo: Toda vivienda que se construya a partir de la aprobación del acuerdo, en el área rural del Municipio deberá ser con cubierta inclinada con teja a la vista y voladizo, en aras de la tradición y protección al paisaje. Artículo 111. USOS COMERCIALES Y DE SERVICIOS. Corresponden al intercambio de bienes y servicios. De acuerdo a las características y cubrimiento del establecimiento, en el suelo rural en las áreas donde el comercio tiene la categoría de uso principal, complementario o condicionado, se pueden desarrollar los siguientes tipos de establecimientos de comercio y servicios: 1. Comercio Grupo I. Comercio y Servicios de Cobertura Local: Corresponde a la venta de bienes o servicios de consumo doméstico requeridos por la comunidad de un sector dado. Se trata en general de locales abiertos en edificaciones residenciales sin adecuaciones físicas importantes ni afectación del resto de la vivienda, o destinados para tal fin pero como parte de la edificación. Se considera compatible con el uso residencial por su bajo impacto ambiental y social. Para que sean considerados como tales, estos establecimientos deben, además, cumplir las siguientes condiciones: a. No requieren zonas especiales de exhibición y bodegaje, ni especialización de las edificaciones.
  • 98.
    CIPIO DE AGUAZUL ACUERDONo. _____ “POR EL CUAL SE ADOPTA LA REVISIÓN GENERAL DEL ESQUEMA DE ORDENAMIENTO TERRITORIAL DEL MUNICIPIO DE SUBACHOQUE” EOT 98 b. No requieren usos complementarios. c. No requieren zonas especializadas de descargue o cargue, por realizarse el abastecimiento mediante vehículos pequeños y el acceso se puede realizar por vías locales. d. No requieren zonas de estacionamiento para vehículos automotores, por permanencia corta de los clientes. e. En el caso de establecimientos cuyo objeto sea la venta de alimentos y bebidas para consumo directo, es decir, dentro del propio establecimiento, sí se requiere de adecuaciones locativas tendientes a la dotación de servicio sanitario para los clientes, independiente al de la vivienda, así como la adecuación de superficies en pared y piso, aptas para el lavado en las áreas de trabajo. f. Se acogen a la normativa relacionada con el estudio de alto impacto que se presentó en el componente urbano del presente documento para aquellos establecimientos comerciales que se requiera. Pertenecen al Comercio Grupo I, las siguientes actividades.  Venta de alimentos y bebidas al detal, para consumo diario: Cafeterías, panaderías, comidas rápidas y fruterías, restaurantes.  Venta de productos farmacéuticos y cosméticos al detal: Droguerías.  Venta de misceláneos: Papelerías, víveres perecederos, graneros y misceláneas.  Venta de servicios técnicos: Sastrerías, modisterías, zapaterías, reparación de aparatos eléctricos y electrónicos y peluquerías.  Tiendas veredales. 2. Comercio Grupo II: Comprende usos comerciales de intercambio de bienes o servicios de consumo que satisfacen demandas especializadas y generales de la comunidad de toda la zona. Se trata, en general, de establecimientos abiertos en edificaciones especializadas para el uso comercial y de servicios. En general se consideran de bajo impacto ambiental y social, pero de impacto urbanístico, a causa del tránsito y congestión vehicular que pueden generar. Estos establecimientos cumplen, entre otras, las siguientes condiciones: a. Puede requerir de medios de exhibición, así como áreas de bodegaje. b. Requiere de áreas de parqueo para vehículos automotores, motocicletas y bicicletas. c. Generación mediana de empleo. d. Funcionan en horarios diurnos y nocturnos, con posible afluencia concentrada de usuarios en horas, días y temporadas determinadas. e. Requiere de formas variadas de acceso vehicular para cargue y descargue de mercancía, así como de otros tipos de infraestructuras específicas según el tipo de bien o servicio comercializado. f. Pueden generar usos complementarios, con formación paulatina de ejes o sectores comerciales. g. Los campos de tejo podrán funcionar, siempre y cuando la localización de las canchas se realice a una distancia no menor de 15 ML respecto de los linderos del predio y 30 ML respecto de las viviendas y el establecimiento debe estar dotado de unidad sanitaria y debe cumplir con la norma de niveles sonoros establecidos en la normativa vigente. El
  • 99.
    CIPIO DE AGUAZUL ACUERDONo. _____ “POR EL CUAL SE ADOPTA LA REVISIÓN GENERAL DEL ESQUEMA DE ORDENAMIENTO TERRITORIAL DEL MUNICIPIO DE SUBACHOQUE” EOT 99 funcionamiento de este uso debe ajustarse a los horarios establecidos por la autoridad competente a nivel municipal. Pertenecen al Comercio Grupo II, en el suelo rural del Municipio, las siguientes actividades.  Venta de servicios recreativos y personales: Clubes sociales y deportivos, saunas, baños turcos, centros de estética o gimnasios. Spa.  Venta de servicios de hospedaje: Hoteles, Hosterías, Hoteles Agro-turísticos.  Parqueaderos de vehículos.  Lavadoras de zanahoria y/u otro tipo de legumbre o verduras. Parágrafo primero. Los clubes no pueden albergar unidades de vivienda permanente al interior. Parágrafo segundo: No se permitirá el expendio de productos cárnicos en la zona rural a excepción de los centros poblados rurales Galdámez, Cascajal y Llanitos. Condicionamiento para los clubes:  No pueden tener áreas de vivienda permanente, sólo áreas de recreación con sus servicios relacionados  Deben presentar un plan de ahorro y uso eficiente de agua a la secretaria de ambiente o quien haga sus veces  Deben en la medida de lo posible contratar personal del municipio  Respetar la normativa urbanística para establecimientos de comercio grupo II. Dentro de las actividades recreativas que hacen parte de los usos inherentes a los clubes y que se podrán desarrollar dentro del uso comercial grupo II, se encuentran las siguientes actividades.  Campos deportivos de futbol, futbol 5, futbol 7, rugby, baloncesto, voleibol, tenis, volei-playa, patinaje sobre ruedas, beisbol, minigolf entre otros deportes y actividades deportivas al aire libre.  Campos para la práctica de paintball, muros de escalada y demás actividades asociadas que no requieran construcciones permanentes. Los paintball sólo podrán realizar los respectivos cerramientos en cerca viva o cerramiento transparente, no con polisombras de colores encendidos. Condicionamiento general para el comercio grupo II: El comercio grupo II en el área rural es un uso condicionado para el área de actividad agropecuario tradicional, el área mínima para el uso debe ser igual o superior a la UAF establecida en la resolución 1132 de 2013 del INCODER, que para el municipio de Subachoque es de 8 ha como unidad mínima ponderada.  El uso condicionado para comercio grupo II no se podrá realizar en suelos de alta capacidad agrológica I, II y III
  • 100.
    CIPIO DE AGUAZUL ACUERDONo. _____ “POR EL CUAL SE ADOPTA LA REVISIÓN GENERAL DEL ESQUEMA DE ORDENAMIENTO TERRITORIAL DEL MUNICIPIO DE SUBACHOQUE” EOT 10 0  Las áreas construidas ´para el uso comercio grupo II, en todo caso no deberán superar los 2000 metros cuadrados en edificaciones no mayores a dos pisos.  Los cerramientos se realizarán en cerca viva con arborización nativa.  La prestación de servicios públicos deberá ser garantizada de forma autónoma y cumpliendo con los requerimientos técnicos y ambientales de la autoridad ambiental CAR, la empresa de servicios públicos y la oficina de planeación municipal o quien haga sus veces.  El acceso deberá contar con una calzada interna de desaceleración que se ubicará posterior a la faja de retiro vial para vías de segundo orden o tercer orden según la ley 1228 de 2008  Cuando el uso implique utilización de recursos naturales, están sujetos al cumplimiento de los requisitos específicos fijados por la autoridad ambiental competente (CAR). Artículo 112. USOS RECREACIONALES. Corresponden a aquellos dedicados a prestar servicios deportivos o de esparcimiento a la comunidad. La actividad recreativa puede ser de tipo pasivo o de tipo activo. 1. Recreación Activa. Conjunto de actividades dirigidas al esparcimiento y el ejercicio de disciplinas lúdicas, artísticas o deportivas que tienen como fin la salud física y mental, para las cuales se requiere de infraestructura destinada a alojar concentraciones de público. 2. Recreación pasiva. Conjunto de acciones y medidas dirigidas al ejercicio de actividades contemplativas que tienen como fin el disfrute escénico y la salud física y mental, para las cuales tan solo se requiere equipamientos mínimos de muy bajo impacto ambiental, tales como senderos peatonales, miradores paisajísticos, observatorios de avifauna y mobiliario propio de las actividades contemplativas. a. Los usos de recreación activa y pasiva se podrán realizar en el área rural del municipio, siempre y cuando las actividades que se realicen se hagan a cielo abierto y con áreas complementarias cubiertas hasta del 5% del área recreacional y en todo caso no superior a 1000 metros cuadrados. Artículo 113. USOS DOTACIONALES. Corresponden a la prestación de servicios sociales de carácter formativo, cultural, de salud, deportivo, de bienestar social, recreacional y religioso, tanto activo como contemplativo, así como a prestar apoyo funcional a los particulares y a la administración pública. De acuerdo con su cobertura e intensidad, los usos dotacionales se clasifican de la siguiente manera: 1. Dotacional Grupo I: Corresponde a servicios de primera necesidad y cobertura local, que se desarrollan en establecimientos de magnitud reducida y pueden generar en menor escala, tráfico vehicular, congestión eventual de peatones, ruidos, emisiones o efluentes contaminantes, por lo cual, aunque se consideran de bajo impacto arquitectónico, urbanístico y ambiental, se deberán prestar en instalaciones adecuadas para mitigar tales impactos. Se trata de actividades que funcionan en locales adaptados o parcialmente adaptados en una edificación residencial u ocupando la totalidad del primer piso de la edificación residencial, como también en edificaciones construidas específicamente para dicho uso, siendo por tanto compatibles con el uso residencial.
  • 101.
    CIPIO DE AGUAZUL ACUERDONo. _____ “POR EL CUAL SE ADOPTA LA REVISIÓN GENERAL DEL ESQUEMA DE ORDENAMIENTO TERRITORIAL DEL MUNICIPIO DE SUBACHOQUE” EOT 10 1 Se consideran actividades dotacionales del Grupo I, las siguientes:  Servicios culturales: bibliotecas, salones culturales o comunales.  Servicios educacionales: jardines infantiles y guarderías con menos de 30 estudiantes. 2. Dotacional Grupo II: Corresponde a servicios cívicos o dotacionales que atienden la demanda de la comunidad de todo el Municipio, se desarrollan por lo general en edificaciones especializadas, generan afluencia de usuarios concentrada en ciertos días y horas, requieren zonas de estacionamiento y pueden generar tráfico y congestión y propiciar la aparición de usos complementarios en sus alrededores. Por estas razones, estos usos tienen un impacto social y urbanístico mediano, aunque su impacto ambiental es bajo. A esta clase corresponden, entre otros, los siguientes usos: Pertenecen al uso dotacional Grupo II, en el suelo rural del Municipio, las siguientes actividades:  Educativos: Jardines Infantiles, Escuelas, colegios o campus educativo de enseñanza básica, centros de educación superior, institutos de capacitación técnica, conventos, centros de culto y similares.  De fomento a actividades agropecuarias: Plaza de ferias.  Asistenciales: Clínicas. 3. Dotacional Grupo III: Comprende servicios cívicos o institucionales que atienden la demanda generada más allá de los límites municipales, es decir, en otros municipios de la región. Ellos se desarrollan en edificaciones especializadas, generan alta afluencia de usuarios, requieren zonas de estacionamiento para empleados y visitantes, son generadores de tráfico y congestión y propician la aparición de usos complementarios en sus alrededores. Por estas razones, estos usos tienen un impacto social y urbanístico alto, aunque su impacto ambiental es bajo a medio. A esta clase corresponden, entre otros, los siguientes usos: Pertenecen al uso dotacional Grupo III, en el suelo rural del Municipio, las siguientes actividades: Educativos: Colegios y establecimientos de educación superior con más de 500 estudiantes. Parágrafo primero: Otras actividades dotacionales diferentes a lo mencionado en dotacional I, II y III están prohibidas en la jurisdicción del municipio. Parágrafo segundo: Corresponde a la Secretaría de Planeación y a la inspección de Policía ejercer el control posterior respecto al cumplimiento de la normatividad por parte de los establecimientos comerciales y de servicios en cuanto al concepto favorable de uso del suelo conforme a la norma. Corresponde a la Inspección de Policía o la entidad que haga sus veces, ejercer el control por impacto urbano con vehículos sobre el espacio público; corresponde al Organismo de Control Ambiental o quien haga sus veces ejercer los controles por los impactos ambientales generados (ruido, olores, trepidaciones, contaminación luminosa, etc.); y de más formas que alteren el medio ambiente. Corresponde a la Secretaría de Gobierno, ejercer los
  • 102.
    CIPIO DE AGUAZUL ACUERDONo. _____ “POR EL CUAL SE ADOPTA LA REVISIÓN GENERAL DEL ESQUEMA DE ORDENAMIENTO TERRITORIAL DEL MUNICIPIO DE SUBACHOQUE” EOT 10 2 controles sobre los impactos y escándalo público y actuar para los casos de quejas o malestar de vecinos originados por el mal funcionamiento de establecimientos públicos acorde al estudio de alto impacto. Parágrafo tercero: todos los dotacionales de carácter público en la jurisdicción del municipio deberán ser de color blanco y verde oliva (zócalo de mínimo 60 cms de altura), si la ornamentación es de madera se debe mantener en madera y si es metálica debe ser pintada del mismo color del zócalo, para homogenizar todos los equipamientos. CAPÍTULO III CATEGORÍAS DE DESARROLLO RESTRINGIDO EN SUELO RURAL. Artículo 114. CATEGORÍAS DE DESARROLLO RESTRINGIDO EN SUELO RURAL. Incluye los suelos rurales que no hacen parte de alguna de las categorías de protección del suelo rural, cuando reúnan condiciones para el desarrollo de núcleos de población rural, para la localización de actividades económicas y para la dotación de equipamientos comunitarios. CATEGORÍAS DE DESARROLLO RESTRINGIDO EN SUELO RURAL CONVENCIÓN CARTOGRÁFICA Área de Centros Poblados R - CP Área Dotacional R - DO CAPÍTULO IV DE LAS ÁREAS DE ACTIVIDAD EN SUELO RURAL Artículo 115. DEFINICIÓN. Las áreas de actividad en el suelo rural corresponden a la definición consignada en el Art. 117 del presente Acuerdo. Artículo 116. ÁREAS DE ACTIVIDAD EN SUELO RURAL. El suelo rural del Municipio se encuentra zonificado en las siguientes áreas de actividad, como puede observarse en el plano CR – 01. Áreas de Actividad en Suelo Rural. ÁREA DE ACTIVIDAD EN SUELO RURAL CONVENCIÓN CARTOGRÁFICA
  • 103.
    CIPIO DE AGUAZUL ACUERDONo. _____ “POR EL CUAL SE ADOPTA LA REVISIÓN GENERAL DEL ESQUEMA DE ORDENAMIENTO TERRITORIAL DEL MUNICIPIO DE SUBACHOQUE” EOT 10 3 ÁREA DE ACTIVIDAD EN SUELO RURAL CONVENCIÓN CARTOGRÁFICA Actividad Agropecuaria Tradicional R - AT Actividad Agropecuaria Intensiva R - AI Áreas de Restauración Morfológica y Rehabilitación de Suelos R - RM CAPÍTULO V DE LA ASIGNACIÓN DE USOS POR ÁREAS DE ACTIVIDAD EN SUELO RURAL Artículo 117. ASIGNACIÓN DE USOS RURALES POR ÁREAS DE ACTIVIDAD. Para cada una de las Áreas de Actividad definidas en las que ha sido zonificado el suelo rural, se asignan los usos del suelo conforme a las categorías definidas como se indica a continuación: 1. Suelo Rural SUELO RURAL - ÁREAS DE ACTIVIDADES PRODUCTIVAS Ficha No. NUG - R - 07 ÁREA AGROPECUARIA TRADICIONAL USOS Uso Principal Actividad agrícola y pecuaria tradicional, sistemas agrosilvopastoriles y forestal protector- productor, cercas vivas y barreras rompevientos. Se debe dedicar como mínimo el 20% del predio a uso forestal protector-productor para promover la formación de la malla ambiental. Usos Compatibles Infraestructura para construcción de distritos de adecuación de tierras, Pecuario confinado de baja intensidad. Vivienda del propietario y trabajadores, Aprovechamiento de Residuos orgánicos menores a 100 ton/año, Comercio Grupo I, Dotacional Grupo I, Usos Recreacionales. Y Áreas de recreación ecoturística Usos Condicionados Pecuario confinado Intensivo, vías de comunicación, Usos Agroindustriales. Comercio II. Usos Prohibidos Usos urbanos y suburbanos, industriales y loteo con fines de construcción de vivienda, agricultura intensiva bajo invernadero, minería y los demás usos que no se encuentren previstos en este cuadro SUELO RURAL - ÁREAS DE ACTIVIDADES PRODUCTIVAS Ficha No. NUG - R - 08 ÁREA AGROPECUARIA INTENSIVA USOS Uso Principal Agropecuario mecanizado o tecnificado y forestal. Se debe dedicar como mínimo el 10% del predio para uso forestal protector, para promover la malla ambiental. Usos Compatibles Infraestructura para construcción de distritos de adecuación de tierras, Pecuario confinado de baja intensidad. Vivienda del propietario y trabajadores, Aprovechamiento de Residuos orgánicos menores a 100 ton/año, Comercio Grupo I, Dotacional Grupo I, Usos Recreacionales y Áreas de recreación ecoturística Usos Condicionados Pecuario confinado intensivo, Agricultura intensiva bajo invernadero, vías de comunicación, Aprovechamiento de Residuos orgánicos mayores a 100 ton/año, Usos Agroindustriales. Usos Prohibidos Usos urbanos y suburbanos, loteos y condominios con fines de construcción de vivienda y
  • 104.
    CIPIO DE AGUAZUL ACUERDONo. _____ “POR EL CUAL SE ADOPTA LA REVISIÓN GENERAL DEL ESQUEMA DE ORDENAMIENTO TERRITORIAL DEL MUNICIPIO DE SUBACHOQUE” EOT 10 4 SUELO RURAL - ÁREAS DE ACTIVIDADES PRODUCTIVAS Ficha No. NUG - R - 08 ÁREA AGROPECUARIA INTENSIVA USOS los demás usos que no se encuentren previstos en este cuadro SUELO RURAL - ÁREAS DE ACTIVIDADES PRODUCTIVAS Ficha No. NUG - R - 09 ÁREAS DE RESTAURACION MORFOLOGICA Y REHABILITACION DE SUELOS USOS Uso Principal Adecuación de suelos con fines exclusivos de restauración morfológica y rehabilitación. Usos Compatibles Otros usos que tengan como finalidad la rehabilitación morfológica o restauración. Usos Condicionados Escombreras. Usos Prohibidos Los demás usos que no se encuentren previstos en este cuadro ÁREA RURAL - ÁREAS DE ACTIVIDAD Ficha NUG - R - 10ACTIVIDAD DOTACIONAL USOS Uso Principal Dotacional Grupo I, II y III (Plaza de Ferias y Campus educativo) Usos Compatibles Recreacional Pasivo Usos Condicionados Ninguno Usos Prohibidos Los demás usos que no se encuentren previstos en este cuadro Parágrafo primero: No se permitirán construcciones en general en predios con pendientes mayores al 30%. CAPÍTULO VI DE LOS DESARROLLOS EN SUELO RURAL Artículo 118. TIPOS DE DESARROLLO. Para los fines del documento se consideran desarrollos aplicables a las áreas de actividad en suelo rural, el: 1. Desarrollo por construcción. Artículo 119. DEFINICIÓN. El desarrollo por construcción es el proceso por el cual un lote o predio es objeto de licencia construcción, ampliación, adecuación, reforzamiento estructural, modificación, demolición de edificaciones existentes, con destino a vivienda, comercio, establecimientos dotacionales y recreativos u otros, según el uso permitido en el área de actividad en donde este se localiza. El dimensionamiento y las características de los desarrollos por construcción, así como las licencias correspondientes, deben tener en cuenta, entre otros aspectos, la capacidad de la red vial existente, tanto en tamaño como en calidad, la capacidad de las redes de servicios públicos y las limitaciones para su ampliación, en los casos en que se prevean conexiones a sistemas colectivos. No se podrá otorgar licencia de construcción para proyectos que sobrepasen alguno
  • 105.
    CIPIO DE AGUAZUL ACUERDONo. _____ “POR EL CUAL SE ADOPTA LA REVISIÓN GENERAL DEL ESQUEMA DE ORDENAMIENTO TERRITORIAL DEL MUNICIPIO DE SUBACHOQUE” EOT 10 5 de estos tipos de capacidad, o que no hayan contemplado en el proyecto las soluciones correspondientes, tales como ampliación de vías, ampliación de redes de acueducto y alcantarillado, construcción de acueducto o sistema propio de recolección y disposición de aguas residuales. Parágrafo: Para la aprobación de licencia de construcción se requerirá la disponibilidad y viabilidad del servicio de acueducto por parte del acueducto veredal correspondiente. Artículo 120. ÁREAS DE CESIÓN OBLIGATORIA O ÁREAS PÚBLICAS OBJETO DE CESIÓN (CESIÓN TIPO A) EN DESARROLLOS POR EDIFICACIÓN CON DESTINO A USOS RESIDENCIALES, DOTACIONALES Y RECREACIONALES. Los propietarios de inmuebles objeto de desarrollo por edificación con destino a usos residenciales, dotacionales, recreacionales deberán ceder de manera obligatoria y a título gratuito a favor del Municipio, las áreas correspondientes a las Cesiones Obligatorias (Cesiones Tipo A), es decir, con destino a vías locales, equipamiento comunal público y espacio público, en una proporción equivalente al 20%, como mínimo, del área neta. La cesión tipo A para usos residenciales se cobrará cuando se hagan más de 4 subdivisiones del mismo predio, de acuerdo a la base catastral de 2011, y sólo se podrá subdividir una única vez durante 5 años. Se excluye la subdivisión objeto de sentencia judicial. Artículo 121. LICENCIAS DE CONSTRUCCIÓN Y DE RECONOCIMIENTO DE CONSTRUCCIONES EN PREDIOS RURALES CUYA ÁREA ES MENOR A LA MÍNIMA PERMITIDA. ·La UAF establecida en la resolución 1132 de 2013 del INCODER, para el municipio de Subachoque es de 8 ha como unidad mínima ponderada, teniendo en cuenta lo anterior, los predios localizados en suelo rural y sobre áreas de actividad en donde la vivienda del propietario y/o la vivienda del trabajador corresponden a uso principal, complementario y/o condicionado, cuya área sea menor de la mínima permitida en la respectiva área, podrán tramitar licencia de construcción, únicamente, en los siguientes casos:  Cuando el predio se haya formado en virtud de alguna de las excepciones contempladas en el Artículo 45 de la Ley 160 de 1994 y las demás normas que la adicionen, modifiquen o sustituyan, siempre que su área no sea menor de 2.000 M2 .  Los predios que dispongan de cédula catastral, matrícula inmobiliaria, se encuentren debidamente desenglobados y hayan sido formados catastralmente hasta del 31 de diciembre de 2013, siempre que cumplan las siguientes condiciones: El uso de la construcción será para vivienda del propietario y el índice de ocupación, área máxima de construcción y número de viviendas sean los que se incluyen en el cuadro que hace parte del presente documento, dentro de los rangos de área indicados en el mismo.  Los predios producto de sentencia judicial, siempre que su área no sea menor de 2.000 M2 y cumplan con las siguientes condiciones: En Áreas Agropecuarias Rango de área Índice de ocupación Área máxima de Construcción No. Viviendas Entre 2001 y 5000 M2 100 M2 250 M2 1
  • 106.
    CIPIO DE AGUAZUL ACUERDONo. _____ “POR EL CUAL SE ADOPTA LA REVISIÓN GENERAL DEL ESQUEMA DE ORDENAMIENTO TERRITORIAL DEL MUNICIPIO DE SUBACHOQUE” EOT 10 6 Entre 5001 y 10000 M2 150 M2 300 M2 1 Entre 10001 y 20000 M2 200 M2 400 M2 1 En Áreas Forestales Productoras (Depende de plan de manejo CAR “Res. 138 de 2014”) Rango de área Índice de ocupación Área máxima de Construcción No. Viviendas Entre 2001 y 5000 M2 50 M2 100 M2 1 Entre 5001 y 10000 M2 50 M2 100 M2 1 CAPÍTULO VII DE LA NORMA URBANÍSTICA GENERAL EN EL SUELO RURAL Artículo 122. NORMA URBANÍSTICA GENERAL PARA SUELO RURAL. Adóptese la norma urbanística general aplicable a las diferentes áreas de actividad en las que se encuentra zonificado el suelo rural del Municipio, tal y como se presenta en los siguientes cuadros: 1. Suelo Rural SUELO RURAL - AREA DE ACTIVIDAD AGROPECUARIA TRADICIONAL Ficha NUG - R - 11 NORMAS URBANÍSTICAS GENERALES Vivienda del Propietario Agro-Industria Comercio II Área mínima de Lote UAF 80.000 M2 UAF 80.000 M2 UAF 80.000 M2 Frente mínimo de lote sobre vía pública (no aplica en ningún casos a servidumbres) 50 ML 100 ML 50 ML Densidad por hectárea 1 vivienda 1 Agroindustria 1 Comercio Índice Máximo de Ocupación Vivienda del propietario 1.000 m2 y vivienda del trabajador 120 m2 Agroindustria con un máximo de 2000 m2 construidos en primer piso Establecimiento de Comercio tipo II, de máximo 1.000 m2 construidos en primer piso Índice Máximo de Construcción) Vivienda del propietario máximo 2.000 m2 y vivienda del trabajador máximo 180 m2 Agroindustria con un máximo de 2000 m2 construidos Establecimiento de Comercio tipo II, de máximo 2.000 m2 construidos Aislamiento Lateral Mínimo 15 ML 25 ML 15 ML Ancho mínimo del Aislamiento Posterior N.A. 10 ML 30 ML Aislamiento contra vías S/Plan Vial S/Plan Vial S/Plan Vial Número de Pisos 2 1 Piso a doble altura 2 Altillos NO NO NO NORMAS URBANÍSTICAS COMPLEMENTARIAS CRITERIOS Reforestación Especies nativas Cerramientos Antepecho de 0.6 Ml y máximo 1.90 Ml de malla o reja, o cerca viva.
  • 107.
    CIPIO DE AGUAZUL ACUERDONo. _____ “POR EL CUAL SE ADOPTA LA REVISIÓN GENERAL DEL ESQUEMA DE ORDENAMIENTO TERRITORIAL DEL MUNICIPIO DE SUBACHOQUE” EOT 10 7 SUELO RURAL - AREA DE ACTIVIDAD AGROPECUARIA TRADICIONAL Ficha NUG - R - 11 NORMAS URBANÍSTICAS GENERALES Vivienda del Propietario Agro-Industria Comercio II CONDICIONAMIENTO DE USOS Los usos que impliquen utilización de recursos naturales, están sujetos al cumplimiento de los requisitos específicos fijados por la autoridad ambiental. Cuando el desarrollo de los usos principales, complementarios y condicionados implique el establecimiento de construcciones, estas deberán realizarse previa obtención de las respectivas licencias otorgadas por la autoridad de planeación competente. Las construcciones destinadas a la producción pecuaria en condiciones de estabulación, independientemente de si corresponden a usos complementarios o condicionados deberán disponer de acabados que permitan la adecuada realización de labores de aseo y demás requerimientos de la Secretaría de Desarrollo. Las explotaciones de animales deberán presentar un Plan de Manejo Ambiental para el control de la contaminación ambiental. El área Máxima de ocupación para vivienda del propietario será de 1.000 M2 y de construcción de 2.000 M2. La vivienda del trabajador tendrá un área máxima de 120 M2 de ocupación y 180 M2 de construcción. En los predios colindantes con vallados, el cerramiento se levantará a 2.5 Ml a cada lado del cauce, y se deberá dejar un aislamiento, libre de construcciones, en los 2.5 Ml siguientes al cerramiento. (En lotes menores de 15 Ml de fondo, la Secretaría de Planeación evaluará lo relativo a la aplicación de esta disposición). SUELO RURAL - AREA DE ACTIVIDAD AGROPECUARIA INTENSIVA Ficha NUG - R - 12 NORMAS URBANÍSTICAS GENERALES Vivienda del Propietario Agro-Industria Área mínima de Lote UAF 80.000 M2 UAF 80.000 M2 Frente mínimo de lote sobre vía pública (no aplica en ningún casos a servidumbres) 50 ML 100 ML Densidad por hectárea 1 vivienda 1 Agroindustria Índice Máximo de Ocupación Vivienda del propietario 1.000 m2 y vivienda del trabajador 120 m2 Agroindustria con un máximo de 2000 m2 construidos en primer piso Índice Máximo de Construcción Vivienda del propietario máximo 2.000 m2 y vivienda del trabajador máximo 180 m2 Agroindustria con un máximo de 2000 m2 construidos Aislamiento Lateral Mínimo 15 ML 25 ML Ancho mínimo del Aislamiento Posterior N.A. 10 ML Aislamiento contra vías S/Plan Vial S/Plan Vial Número de Pisos 2 1 Piso a doble altura Altillos NO NO NORMAS URBANÍSTICAS COMPLEMENTARIAS CRITERIOS Reforestación Especies nativas Cerramientos Antepecho de 0.6 Ml y máximo 1.90 Ml de malla o reja, o cerca viva. CONDICIONAMIENTO DE USOS Los usos que impliquen utilización de recursos naturales, están sujetos al cumplimiento de los requisitos específicos fijados por la autoridad ambiental.
  • 108.
    CIPIO DE AGUAZUL ACUERDONo. _____ “POR EL CUAL SE ADOPTA LA REVISIÓN GENERAL DEL ESQUEMA DE ORDENAMIENTO TERRITORIAL DEL MUNICIPIO DE SUBACHOQUE” EOT 10 8 SUELO RURAL - AREA DE ACTIVIDAD AGROPECUARIA INTENSIVA Ficha NUG - R - 12 NORMAS URBANÍSTICAS GENERALES Vivienda del Propietario Agro-Industria Cuando el desarrollo de los usos principales, complementarios y condicionados implique el establecimiento de construcciones, estas deberán realizarse previa obtención de las respectivas licencias otorgadas por la autoridad de planeación competente. Las construcciones destinadas a la producción pecuaria en condiciones de estabulación, independientemente de si corresponden a usos complementarios o condicionados deberán disponer de acabados que permitan la adecuada realización de labores de aseo y demás requerimientos de la Secretaría de Desarrollo. El área Máxima de ocupación para vivienda del propietario será de 1.000 M2 y de construcción de 2.000 M2. La vivienda del trabajador tendrá un área máxima de 120 M2 de ocupación y 180 M2 de construcción. En los predios colindantes con vallados, el cerramiento se levantará a 2.5 Ml a cada lado del cauce, y se deberá dejar un aislamiento, libre de construcciones, en los 2.5 Ml siguientes al cerramiento. (En lotes menores de 15 Ml de fondo, la Secretaría de Planeación evaluará lo relativo a la aplicación de esta disposición). Parágrafo primero: Las construcciones temporales de vivienda o relacionadas con actividades agropecuarias, que estén por más de 6 meses ya se entenderá que son como permanentes, y deberán someterse a licencia de reconocimiento. Parágrafo segundo: En las Áreas de Actividad Agropecuaria intensiva y tradicional, que cuenten como mínimo con ocho (8) hectáreas se permite adicionalmente a la vivienda principal, la Vivienda del Trabajador y construcciones anexas relacionadas con el sector agropecuario como establos, bodegas de almacenamiento y demás cumpliendo con:  Trámite de licencia para estas construcciones permanentes  Índice de ocupación máximo permitido para estas construcciones del 2% del predio.  La altura depende de la actividad agropecuaria realizada  Se debe procurar con que las construcciones sean compatibles con el entorno  Los cerramientos deben realizarse con malla y cerca viva. Parágrafo tercero: Los predios rurales que en razón a su área no cumplan con las disposiciones normativas requeridas para su edificación o construcción o el desarrollo de los usos permitidos acogerán mecanismos de englobe predial, o restringe su funcionamiento a lo existente sin ampliaciones o mejoras. Parágrafo cuarto: No podrán localizarse construcciones en áreas cuyas pendientes sean superiores a 30 grados, tampoco en áreas de conservación y protección del medio ambiente y los recursos naturales, ni en suelos agrologicos clase I, II y III (a excepción de la vivienda del propietario, vivienda del trabajador y construcciones anexas para el uso agropecuario), ni en los suelos de categoría de protección de suelo rural. Normativa urbanística para dotacional grupo II y III en área agropecuaria dotacional (Centros educativos y relacionados con equipamientos de salud): SUELO RURAL – NORMATIVA PARA DOTACIONAL GRUPO II Y III EN AREA DE ACTIVIDAD Ficha
  • 109.
    CIPIO DE AGUAZUL ACUERDONo. _____ “POR EL CUAL SE ADOPTA LA REVISIÓN GENERAL DEL ESQUEMA DE ORDENAMIENTO TERRITORIAL DEL MUNICIPIO DE SUBACHOQUE” EOT 10 9 DOTACIONAL NUG - R - 13 NORMAS URBANÍSTICAS GENERALES Dotacional II Dotacional III Área mínima de Lote 20.000 M2 60.000 M2 Frente mínimo de lote sobre vía pública (no aplica en ningún casos a servidumbres) 100 ML 200 ML Densidad por hectárea 1 volumen por hectárea 1 volumen por hectárea Índice Máximo de Ocupación 30% 20% Índice Máximo de Construcción 60% 40% Aislamiento Lateral Mínimo que debe dejar contra lindero de predios vecinos 20 ML 50 ML Ancho mínimo del Aislamiento Posterior 20 ML 50 ML Aislamiento contra el borde de cualquier vía pública 40 ML 100 ML Número de Pisos 2 2 Altillos NO NO NORMAS URBANÍSTICAS COMPLEMENTARIAS CRITERIOS Reforestación Especies nativas Cerramientos Antepecho de 0.6 Ml y máximo 1.90 Ml de malla o reja, o cerca viva. CONDICIONAMIENTO DE USOS Los usos que impliquen utilización de recursos naturales, están sujetos al cumplimiento de los requisitos específicos fijados por la autoridad ambiental. Cuando el desarrollo de los usos principales, complementarios y condicionados implique el establecimiento de construcciones, estas deberán realizarse previa obtención de las respectivas licencias otorgadas por la autoridad de planeación competente. En los predios colindantes con vallados, el cerramiento se levantará a 2.5 Ml a cada lado del cauce, y se deberá dejar un aislamiento, libre de construcciones, en los 2.5 Ml siguientes al cerramiento. Normativa urbanística para dotacional grupo I en área agropecuaria tradicional e intensiva (Centros educativos y relacionados con equipamientos de salud de pequeña escala): SUELO RURAL – NORMATIVA PARA DOTACIONAL GRUPO I EN AREA DE ACTIVIDAD AGROPECUARIA TRADICIONAL Y INTENSIVA Ficha NUG - R - 14 NORMAS URBANÍSTICAS GENERALES Dotacional I Área mínima de Lote 5.000 M2
  • 110.
    CIPIO DE AGUAZUL ACUERDONo. _____ “POR EL CUAL SE ADOPTA LA REVISIÓN GENERAL DEL ESQUEMA DE ORDENAMIENTO TERRITORIAL DEL MUNICIPIO DE SUBACHOQUE” EOT 11 0 Frente mínimo de lote sobre vía pública (no aplica en ningún casos a servidumbres) 20 ML Densidad por hectárea 1 volumen por hectárea Índice Máximo de Ocupación 40% Índice Máximo de Construcción 80% Aislamiento Lateral Mínimo que debe dejar contra lindero de predios vecinos 50 ML Ancho mínimo del Aislamiento Posterior 50 ML Aislamiento contra el borde de cualquier vía pública 100 ML Número de Pisos 2 Altillos NO NORMAS URBANÍSTICAS COMPLEMENTARIAS Reforestación Cerramientos CONDICIONAMIENTO DE USOS Los usos que impliquen utilización de recursos naturales, están sujetos al cumplimiento de los requisitos específicos fijados por la autoridad ambiental. Cuando el desarrollo de los usos principales, complementarios y condicionados implique el establecimiento de construcciones, estas deberán realizarse previa obtención de las respectivas licencias otorgadas por la autoridad de planeación competente. En los predios colindantes con vallados, el cerramiento se levantará a 2.5 Ml a cada lado del cauce, y se deberá dejar un aislamiento, libre de construcciones, en los 2.5 Ml siguientes al cerramiento. Normativa urbanística para Comercio en área agropecuaria tradicional e intensiva. SUELO RURAL – NORMATIVA PARA COMERCIO II EN AREA DE ACTIVIDAD AGROPECUARIA TRADICIONAL Ficha NUG - R - 15 NORMAS URBANÍSTICAS GENERALES Hoteles pequeños Hoteles Grandes Clubes Demás Comercio II Características Hasta 20 habitaciones Más de 20 habitaciones Sociales y deportivos Saunas, baños turcos, centros de estética o gimnasios. Spa. Área mínima de Lote 80.000 M2 80.000 M2 150.000 M2 80.000 M2 Frente mínimo de lote sobre vía pública (no aplica en ningún casos a servidumbres) 80 ML 80 ML 200 ML 80 ML Densidad por hectárea 1 volumen por hectárea 1 volumen por hectárea 1 volumen por hectárea 1 volumen por hectárea Índice Máximo de Ocupación (Área construida primer piso) 500 M2 1000 M2 1000 M2 500 M2 Índice Máximo de Construcción( Área construida total) 1000 M2 2000 M2 2000 M2 1000 M2
  • 111.
    CIPIO DE AGUAZUL ACUERDONo. _____ “POR EL CUAL SE ADOPTA LA REVISIÓN GENERAL DEL ESQUEMA DE ORDENAMIENTO TERRITORIAL DEL MUNICIPIO DE SUBACHOQUE” EOT 11 1 SUELO RURAL – NORMATIVA PARA COMERCIO II EN AREA DE ACTIVIDAD AGROPECUARIA TRADICIONAL Ficha NUG - R - 15 NORMAS URBANÍSTICAS GENERALES Hoteles pequeños Hoteles Grandes Clubes Demás Comercio II Aislamiento Lateral Mínimo que debe dejar contra lindero de predios vecinos 15 ML 15 ML 15 ML 15 ML Ancho mínimo del Aislamiento Posterior 30 ML 30 ML 30 ML 30 ML Aislamiento contra el borde de cualquier vía pública 30 ML 30 ML 30 ML 30 ML Número mínimo de parqueaderos al interior del predio 25 60 150 30 Número de Pisos 2 2 2 2 Altillos NO NO NO NO NORMAS URBANÍSTICAS COMPLEMENTARIAS CRITERIOS Reforestación Se debe reforestar mínimo el 10% del predio con especies nativas Cerramientos Antepecho de 0.6 Ml y máximo 1.90 Ml de malla o reja, o cerca viva. CONDICIONAMIENTO DE USOS Los usos que impliquen utilización de recursos naturales, están sujetos al cumplimiento de los requisitos específicos fijados por la autoridad ambiental. Cuando el desarrollo de los usos principales, complementarios y condicionados implique el establecimiento de construcciones, estas deberán realizarse previa obtención de las respectivas licencias otorgadas por la autoridad de planeación competente. Los clubes y hoteles de mas de 20 habitaciones, deben contar para la licencia con el respectivo plan de manejo de tráfico y dar cumplimiento al mismo. Los clubes, hoteles de mas de 20 habitaciones deben tener una calzada de desaceleración de por lo menos 8 mts de calzada debidamente pavimentada. En los predios colindantes con vallados, el cerramiento se levantará a 2.5 Ml a cada lado del cauce, y se deberá dejar un aislamiento, libre de construcciones, en los 2.5 Ml siguientes al cerramiento. Artículo 123. MANEJO SANITARIO EN CONSTRUCCIONES INDIVIDUALES EN SUELO RURAL. Las viviendas rurales que se construyan en forma individual o dispersa, independientemente del área de actividad, siempre que el uso residencial corresponda a las categorías principal, complementaria o condicionada, deberán contar con disponibilidad inmediata para el manejo de vertimientos y la conexión al sistema de acueductos operados por empresas de servicios públicos legalmente constituidas. La Secretaría de Planeación promoverá una campaña para la conexión al sistema de alcantarillado y manejo de vertimientos, de las viviendas individuales en suelo rural que utilicen pozo séptico, salvo en aquellos casos en que las viviendas se encuentren por fuera del perímetro de servicios y localizadas en predios mayores, en donde sea posible garantizar el adecuado funcionamiento de los respectivos campos de infiltración.
  • 112.
    CIPIO DE AGUAZUL ACUERDONo. _____ “POR EL CUAL SE ADOPTA LA REVISIÓN GENERAL DEL ESQUEMA DE ORDENAMIENTO TERRITORIAL DEL MUNICIPIO DE SUBACHOQUE” EOT 11 2 En estos casos, ningún pozo séptico podrá ubicarse a menos de 50 metros de un cuerpo o fuente de agua. Por estar ubicados, por lo general, en la vivienda del propietario o del trabajador, los establecimientos comerciales del Grupo I o II y los Dotacionales del Grupo I, podrán utilizar los mismos servicios de suministro de agua y saneamiento ambiental de la vivienda en donde funcionan. No obstante, los establecimientos de venta de licores, canchas de tejo, y cafeterías, deberán disponer de servicio sanitario independiente para los clientes, conectado a un sistema de tratamiento de aguas residuales. En todas las viviendas y establecimientos comerciales, dotacionales, Agroindustriales, recreativos y de otros tipos, se deberá garantizar la recolección de basuras domésticas y su transporte a los sitios de recolección, disposición o incineración. Además, el tratamiento de las aguas residuales deberá cumplir con la norma vigente para vertimientos. CAPÍTULO VIII ORDENAMIENTO DE LOS CENTROS POBLADOS RURALES Artículo 124. DELIMITACIÓN DEL CENTRO POBLADO RURAL GALDAMEZ. La delimitación del Centro Poblado Rural Galdámez, es la siguiente: a. Polígono del Centro Poblado Rural Galdámez CENTRO POBLADO GALDAMEZ X Y X Y X Y 1 991.498,75 1.035.095,65 10 991.571,07 1.035.303,08 19 991.625,91 1.035.335,97 2 991.477,15 1.035.058,98 11 991.550,95 1.035.278,35 20 991.592,39 1.035.381,12 3 991.429,27 1.035.097,75 12 991.560,32 1.035.269,48 21 991.562,71 1.035.394,33 4 991.427,47 1.035.143,70 13 991.528,83 1.035.253,30 22 991.433,49 1.035.394,17 5 991.444,98 1.035.179,77 14 991.486,01 1.035.328,14 23 991.386,59 1.035.447,29 6 991.469,89 1.035.177,62 15 991.553,06 1.035.330,85 24 991.572,85 1.035.580,69 7 991.506,12 1.035.124,54 16 991.669,88 1.035.404,45 25 991.650,28 1.035.471,21 8 991.498,75 1.035.095,65 17 991.675,92 1.035.326,50 26 991.669,88 1.035.404,45 9 991.553,06 1.035.330,85 18 991.660,97 1.035.324,19 Artículo 125. DELIMITACIÓN DEL CENTRO POBLADO RURAL LLANITOS. La delimitación del Centro Poblado Rural Llanitos, es la siguiente: a. Polígono del Centro Poblado Rural Llanitos CENTRO POBLADO LLANITOS X Y X Y X Y
  • 113.
    CIPIO DE AGUAZUL ACUERDONo. _____ “POR EL CUAL SE ADOPTA LA REVISIÓN GENERAL DEL ESQUEMA DE ORDENAMIENTO TERRITORIAL DEL MUNICIPIO DE SUBACHOQUE” EOT 11 3 CENTRO POBLADO LLANITOS X Y X Y X Y 1 988.529,32 1.037.915,03 4 989.017,74 1.037.218,62 7 988.707,38 1.037.741,40 2 988.592,91 1.038.010,94 5 988.927,14 1.037.148,88 8 988.640,62 1.037.884,54 3 988.781,19 1.037.751,91 6 988.878,45 1.037.228,11 9 988.529,32 1.037.915,03 CENTRO POBLADO LLANITOS 2 POLÍGONO NORTE X Y X Y 1 987.711,02 1.039.477,33 44 987.596,89 1.039.172,48 2 987.728,09 1.039.476,77 45 987.584,86 1.039.175,99 3 987.749,47 1.039.478,18 46 987.563,07 1.039.191,38 4 987.750,64 1.039.456,95 47 987.558,63 1.039.194,39 5 987.747,72 1.039.438,25 48 987.551,26 1.039.197,90 6 987.737,10 1.039.420,70 49 987.540,14 1.039.202,78 7 987.729,42 1.039.412,37 50 987.526,89 1.039.212,16 8 987.709,73 1.039.400,67 51 987.516,65 1.039.219,49 9 987.713,82 1.039.362,65 52 987.509,44 1.039.222,74 10 987.689,07 1.039.326,88 53 987.502,08 1.039.226,53 11 987.680,84 1.039.305,17 54 987.495,42 1.039.231,26 12 987.652,65 1.039.311,01 55 987.485,53 1.039.238,19 13 987.647,38 1.039.269,26 56 987.476,19 1.039.247,67 14 987.645,71 1.039.253,42 57 987.467,11 1.039.257,69 15 987.610,77 1.039.257,99 58 987.462,24 1.039.263,41 16 987.593,74 1.039.238,33 59 987.454,57 1.039.279,52 17 987.593,42 1.039.237,57 60 987.473,16 1.039.327,35 18 987.647,82 1.039.206,78 61 987.485,52 1.039.319,42 19 987.654,07 1.039.214,90 62 987.499,38 1.039.310,52 20 987.679,46 1.039.201,75 63 987.582,10 1.039.257,40 21 987.692,02 1.039.194,73 64 987.583,71 1.039.256,36 22 987.694,62 1.039.193,27 65 987.594,00 1.039.249,75 23 987.693,04 1.039.184,63 66 987.594,06 1.039.249,80 24 987.692,60 1.039.180,30 67 987.609,15 1.039.267,18 25 987.692,79 1.039.175,97 68 987.610,57 1.039.275,23 26 987.693,61 1.039.171,70 69 987.610,57 1.039.275,24 27 987.695,03 1.039.167,60 70 987.615,43 1.039.306,13 28 987.707,84 1.039.137,85 71 987.621,24 1.039.335,96 29 987.709,20 1.039.124,65 72 987.623,05 1.039.365,66 30 987.700,28 1.039.108,52 73 987.625,08 1.039.392,84 31 987.697,09 1.039.105,83 74 987.627,39 1.039.438,53 32 987.692,62 1.039.110,10 75 987.627,58 1.039.446,94 33 987.683,77 1.039.116,59 76 987.628,96 1.039.476,23 34 987.676,64 1.039.121,38 77 987.629,44 1.039.520,49 35 987.666,34 1.039.127,79 78 987.635,71 1.039.517,80 36 987.655,20 1.039.134,85 79 987.647,74 1.039.512,95 37 987.648,79 1.039.139,27 80 987.662,10 1.039.501,31 38 987.641,92 1.039.145,27 81 987.665,27 1.039.500,23 39 987.637,20 1.039.149,39 82 987.673,54 1.039.494,47 40 987.631,42 1.039.154,21 83 987.679,51 1.039.490,93 41 987.623,76 1.039.160,23 84 987.691,13 1.039.484,66 42 987.616,16 1.039.164,44 85 987.711,02 1.039.477,33 43 987.606,62 1.039.169,10
  • 114.
    CIPIO DE AGUAZUL ACUERDONo. _____ “POR EL CUAL SE ADOPTA LA REVISIÓN GENERAL DEL ESQUEMA DE ORDENAMIENTO TERRITORIAL DEL MUNICIPIO DE SUBACHOQUE” EOT 11 4 CENTRO POBLADO LLANITOS 2 POLÍGONO SUR X Y X Y 1 988.188,40 1.038.568,36 30 988.015,44 1.038.811,60 2 988.175,22 1.038.557,89 31 988.035,35 1.038.789,80 3 988.131,81 1.038.577,64 32 988.048,22 1.038.775,71 4 988.105,06 1.038.589,81 33 988.051,03 1.038.772,64 5 988.100,97 1.038.591,67 34 988.058,14 1.038.763,79 6 988.098,97 1.038.592,58 35 988.077,92 1.038.743,03 7 988.098,04 1.038.593,33 36 988.095,88 1.038.723,54 8 988.102,93 1.038.600,52 37 988.113,93 1.038.703,78 9 988.108,63 1.038.617,55 38 988.125,57 1.038.691,04 10 988.101,34 1.038.621,30 39 988.135,37 1.038.680,31 11 988.080,02 1.038.634,94 40 988.137,40 1.038.678,09 12 988.075,15 1.038.636,18 41 988.143,64 1.038.671,27 13 988.069,41 1.038.640,53 42 988.141,37 1.038.669,50 14 988.058,13 1.038.649,84 43 988.150,18 1.038.663,03 15 988.052,62 1.038.654,58 44 988.133,54 1.038.649,89 16 988.046,84 1.038.660,67 45 988.117,40 1.038.637,75 17 988.038,44 1.038.670,12 46 988.115,91 1.038.636,48 18 988.020,46 1.038.693,04 47 988.106,23 1.038.627,69 19 988.011,18 1.038.703,43 48 988.115,31 1.038.623,86 20 988.001,57 1.038.713,61 49 988.132,52 1.038.617,55 21 987.985,27 1.038.730,70 50 988.146,81 1.038.612,35 22 987.976,16 1.038.739,53 51 988.159,00 1.038.607,51 23 987.963,37 1.038.751,98 52 988.173,38 1.038.602,31 24 987.949,86 1.038.765,18 53 988.180,00 1.038.596,83 25 987.947,84 1.038.767,32 54 988.183,95 1.038.593,34 26 987.955,35 1.038.771,02 55 988.190,00 1.038.584,86 27 987.966,74 1.038.778,94 56 988.192,59 1.038.579,51 28 987.983,63 1.038.790,27 57 988.194,49 1.038.573,96 29 987.997,20 1.038.799,37 58 988.188,40 1.038.568,36 Artículo 126. DELIMITACIÓN DEL CENTRO POBLADO RURAL CASCAJAL. La delimitación del Centro Poblado Rural Cascajal, es la siguiente: a. Polígono del Centro Poblado Rural Cascajal CENTRO POBLADO EL CASCAJAL X Y X Y X Y 1 991.436,35 1.040.805,84 8 991.271,35 1.040.728,21 15 991.301,08 1.040.608,87 2 991.537,69 1.040.717,21 9 991.413,43 1.040.707,94 16 991.207,84 1.040.507,09 3 991.529,32 1.040.703,09 10 991.480,93 1.040.667,55 17 991.111,15 1.040.608,96 4 991.427,72 1.040.766,50 11 991.493,98 1.040.646,35 18 991.229,92 1.040.725,81 5 991.291,80 1.040.787,14 12 991.417,70 1.040.525,58 19 991.234,34 1.040.751,94 6 991.266,33 1.040.781,36 13 991.345,01 1.040.621,44 20 991.343,78 1.040.892,61 7 991.252,53 1.040.757,95 14 991.311,43 1.040.592,85 21 991.436,35 1.040.805,84
  • 115.
    CIPIO DE AGUAZUL ACUERDONo. _____ “POR EL CUAL SE ADOPTA LA REVISIÓN GENERAL DEL ESQUEMA DE ORDENAMIENTO TERRITORIAL DEL MUNICIPIO DE SUBACHOQUE” EOT 11 5 Artículo 127. MEDIDAS DE PROTECCIÓN DE LA ESTRUCTURA ECOLÓGICA EN LOS CENTROS POBLADOS RURALES. Para las áreas de protección de los recursos naturales existentes en los Centros Poblados Rurales, se determinan los componentes y usos así: Artículo 128. RONDAS DE PROTECCIÓN DE QUEBRADAS Y DEMÁS CUERPOS DE AGUA. De conformidad con el Decreto 1449 de 1997, el Acuerdo CAR 16 de 1998 y el Esquema de Ordenamiento Territorial del Municipio a cada lado del nivel máximo de aguas de las quebradas y demás cuerpos de agua se define una ronda de protección de 30 mts modificable a partir de la cota máxima de inundación, el cual será realizado mediante Decreto del Alcalde Municipal, previo concepto de la Autoridad Ambiental. Artículo 129. MANEJO DE AGUAS RESIDUALES. Todas las viviendas existentes y propuestas dentro del perímetro de los Centros Poblados Rurales deben tener conexión al sistema de Alcantarillado y por ende a la Planta de Tratamiento de Aguas Residuales. En consecuencia, los nuevos desarrollos que requieran la prolongación de las redes principales o la construcción de redes secundarias no serán autorizados sin que se hayan adelantado dichas obras. Las construcciones o actividades diferentes al uso residencial que impliquen la generación de aguas residuales deberán prever la solución de tratamiento acorde con sus propios requerimientos para garantizar que no exista contaminación del ambiente ni de las fuentes de agua. Artículo 130. MANEJO AMBIENTAL DE LAS ACTIVIDADES PRODUCTIVAS. Las actividades productivas desarrolladas al interior de los Centros Poblados, en especial las pecuarias deberán garantizar óptimas condiciones sanitarias y ambientales, de tal forma que no impliquen afectación a los vecinos por olores, ruidos o desechos, dando cumplimiento a las normas ambientales y sanitarias aplicables. En caso contrario, no podrán ser autorizadas o se exigirán lotes de mayor tamaño que permitan generar los aislamientos suficientes para mitigar los impactos generados. Artículo 131. CARACTERIZACIÓN DEL PAISAJE. El paisaje de los Centros Poblados ha de conservarse de tipo rural, de tal forma que elementos como la protección de los recursos naturales, los aislamientos entre construcciones y respecto a la vía, la arborización, las huertas, los cerramientos transparentes o en cerca viva y la arquitectura acorde con el medio, constituyen requisito fundamental de todo proyecto que pretenda adelantarse. Artículo 132. USOS DE LAS ÁREAS DE CONSERVACIÓN DEL SISTEMA HÍDRICO. Los usos de las áreas de conservación del sistema hídrico son los que se indican a continuación: AREAS DE CONSERVACION DEL SISTEMA HIDRICO Uso Principal Conservación de suelos y restauración de la vegetación adecuada para la protección de los mismos; conformación de la malla ambiental. Usos Compatibles Recreación pasiva o contemplativa. Usos Condicionados Instalación de redes de servicios públicos, construcción de obras de protección de las márgenes, senderos de tránsito peatonal, estructuras requeridas para la continuidad de la malla vial. Usos Prohibidos Los demás
  • 116.
    CIPIO DE AGUAZUL ACUERDONo. _____ “POR EL CUAL SE ADOPTA LA REVISIÓN GENERAL DEL ESQUEMA DE ORDENAMIENTO TERRITORIAL DEL MUNICIPIO DE SUBACHOQUE” EOT 11 6 Artículo 133. USOS DE LAS ÁREAS DE PROTECCIÓN DE INFRAESTRUCTURA DE SERVICIOS PÚBLICOS. Los usos de las áreas de protección de la infraestructura de servicios públicos son los que se indican a continuación: AREA DE PROTECCION DE INFRAESTRUCTURA DE SERVICIOS PUBLICOS Uso Principal Infraestructura para los sistemas de conducción y distribución de agua potable, recolección y tratamiento de vertimientos líquidos, conducción y distribución de energía eléctrica y gas domiciliario. Usos Compatibles Conservación de suelos y restauración de la vegetación adecuada para la protección de los mismos. Usos Condicionados Recreación pasiva o contemplativa. Usos Prohibidos Todos los demás. Artículo 134. USOS EN LOS CENTROS POBLADOS RURALES. Se definen los siguientes usos para los predios que conforman los centros poblados: SUELO RURAL - CENTROS POBLADOS Ficha No. NUG – R – 15 USOS Uso Principal Vivienda unifamiliar, agrupada. Usos Compatibles Comercio y Servicios Grupo I, Dotacional Grupo I. Usos Condicionados Dotacional Grupo II. Usos Prohibidos Los demás. Artículo 135. NORMAS PARA TRATAMIENTO DESARROLLO POR DE PARCELACIÓN EN LOS CENTROS POBLADOS RURALES. MODALIDADES DE DESARROLLO. Para el desarrollo y consolidación de los Centros Poblados Rurales podrá optarse por una o varias de las siguientes modalidades: 1. Individual en lotes existentes: Corresponde al desarrollo de construcciones únicas en predios ya conformados con respaldo jurídico como cuerpo cierto o a la adecuación o ampliación de las edificaciones existentes, en cumplimiento de los índices de ocupación y parámetros de construcción definidos en el presente acuerdo. 2. Dispersa por loteo: Corresponde a procesos de subdivisión de predios existentes para generar lotes individuales a partir de los cuales se tramitarán licencias de construcción independientes. 3. Agrupada por proyecto: Corresponde a proyectos de parcelación en los cuales las unidades privadas mantendrán vínculos relacionados con accesos, servicios, áreas de uso comunal o sistemas estructurales compartidos, los cuales serán objeto de reglamento de copropiedad de conformidad con lo establecido en la Ley de propiedad horizontal. Una vez aprobado el proyecto de agrupación las unidades privadas y comunales adquirirán la calidad de indivisibles, la cual se registrará en los folios de matrículas inmobiliarias.
  • 117.
    CIPIO DE AGUAZUL ACUERDONo. _____ “POR EL CUAL SE ADOPTA LA REVISIÓN GENERAL DEL ESQUEMA DE ORDENAMIENTO TERRITORIAL DEL MUNICIPIO DE SUBACHOQUE” EOT 11 7 Artículo 136. TIPOLOGÍA DE CONSTRUCCIONES. En los Centros Poblados Rurales únicamente se desarrollarán construcciones para viviendas unifamiliares y las requeridas para los usos dotacionales, comerciales, de servicios, de equipamiento o anexas a las actividades principales, estando todas ellas restringidas a la adaptación con el ambiente rural y a la armonización con los parámetros arquitectónicos y de ocupación definidos para las demás construcciones. Las nuevas edificaciones que se autoricen atenderán a alguna de las siguientes tipologías: 1. Aisladas: Construcciones localizadas dentro del predio de tal forma que generan en todos los costados aislamientos libres de todo tipo de estructura o cubierta. La tipología aislada requiere el diseño de fachadas para todos los costados de la construcción. 2. Adosadas: Construcciones pertenecientes a predios colindantes que se localizan de tal forma que sobre el lindero común existen estructuras o cubiertas que no permiten un aislamiento total. En los Centros Poblados Rurales, se permitirá el adosamiento de máximo dos (2) viviendas, de tal forma que cada una de ellas requiere el diseño de fachadas en todos sus costados excepto en el costado o la parte del costado que se adose. La aprobación de proyectos adosados en desarrollos individuales contará con el consentimiento expreso del propietario colindante, de tal forma que se garantice el empate de diseños y fachadas. Artículo 137. SUBDIVISIÓN DE PREDIOS Y LOTES MÍNIMOS. A partir de la entrada en vigencia del presente acuerdo no podrán autorizarse divisiones de predios por debajo de las áreas mínimas que se definen. La invocación de las excepciones legales para destinación a vivienda, sucesiones y demás casos previstos en la Ley 160 de 1994 que no cumplan con las áreas mínimas de subdivisión, deberán acogerse por una sola vez a la opción de proyecto de agrupación con reglamento de copropiedad y adquiriendo los predios resultantes la calidad de indivisibles. Las subdivisiones prediales y las posesiones que no cuenten con títulos de propiedad debidamente registrados y que no cumplan con las áreas mínimas establecidas, solo podrán ser saneados previa legalización de sus derechos mediante proyectos de agrupación a partir del área del predio de mayor extensión con título. Los predios existentes a los cuales correspondan títulos de propiedad como cuerpo cierto debidamente registrado, se acogerán a la reglamentación especial de construcción establecida para estos y no podrán subdividirse bajo ninguna circunstancia. Podrán autorizarse subdivisiones diferentes, con la exclusiva finalidad de regularizar la configuración de parcelas colindantes mediante la segregación y simultánea agregación en divisiones prediales existentes. En ningún caso esta regularización podrá implicar
  • 118.
    CIPIO DE AGUAZUL ACUERDONo. _____ “POR EL CUAL SE ADOPTA LA REVISIÓN GENERAL DEL ESQUEMA DE ORDENAMIENTO TERRITORIAL DEL MUNICIPIO DE SUBACHOQUE” EOT 11 8 disminución del área de las parcelas originarias por debajo del mínimo exigido dentro del centro poblado y siempre que no altere la conformación de espacios públicos y aislamientos exigidos. Se definen como áreas mínimas de subdivisión predial en el Centro Poblado Galdámez las siguientes: a. Subdivisión por loteo: lotes de un área mínima de trescientos metros cuadrados (300 m2) con frente mínimo sobre la vía de doce punto cincuenta metros (12.50m). b. Parcelación en agrupación: unidades privadas con un área mínima de doscientos cincuenta metros cuadrados (250m2) c. Índice máximo de ocupación: 80% d. Índice de construcción: 160% (2 pisos) Se definen como áreas mínimas de subdivisión predial en los Centros Poblados Llanitos y Cascajal las siguientes: a. Subdivisión por loteo: lotes de un área mínima de mil quinientos metros cuadrados (1.500 m2) con frente mínimo sobre la vía de doce punto quince metros (15 m). b. Parcelación en agrupación: unidades privadas con un área mínima de doscientos cincuenta metros cuadrados (250m2) c. Índice máximo de ocupación: 20% d. Índice de construcción: 40% (2 pisos) El número de unidades privadas en proyectos de agrupación será el resultante de cumplir las áreas mínimas después de descontar los requerimientos de accesos internos, circulaciones, áreas de protección y servicios públicos y comunales del proyecto. Cuando las áreas de protección ambiental por rondas, bosques o pendientes afecten considerablemente el área útil del proyecto o ante otras circunstancias que así lo ameriten, podrán considerarse áreas inferiores para las unidades privadas, siempre que no se pierda el carácter rural de los predios y se garanticen los índices de ocupación y habitabilidad. Artículo 138. REQUERIMIENTOS MÍNIMOS PARA PROYECTOS DE AGRUPACIÓN. Para la autorización de construcciones de agrupación será exigible la aprobación de la respectiva licencia de parcelación, las reservas de áreas comunes y la construcción de las soluciones sanitarias comunes, estando las demás obras de urbanismo sujetas a la vigencia de la licencia. El diseño de proyectos de agrupación contará con los siguientes requerimientos adicionales a los propios de las construcciones en general: 1. Acceso directo por vía
  • 119.
    CIPIO DE AGUAZUL ACUERDONo. _____ “POR EL CUAL SE ADOPTA LA REVISIÓN GENERAL DEL ESQUEMA DE ORDENAMIENTO TERRITORIAL DEL MUNICIPIO DE SUBACHOQUE” EOT 11 9 pública. 2. Autosuficiencia para la prestación de los servicios públicos 3. Aislamiento perimetral del proyecto de mínimo cinco (5) metros con relación a los vecinos y a la vía. 4. Acceso mediante vía vehicular o peatonal interna para cada una de las unidades privadas y construcciones de uso comunal. 5. Previsión de zonas comunales destinadas a parqueaderos, usos comerciales, servicios asistenciales o administrativos, sitios de encuentro y de recreación de los habitantes y otros que resulten acordes con la magnitud del proyecto de conformidad con los criterios que se establezcan por la Secretaría de Planeación. Artículo 139. PREDIOS EDIFICABLES. Los predios segregados a partir de la entrada en vigencia del presente Acuerdo sólo serán edificables si cumplen con las áreas mínimas establecidas o autorizadas. Tanto los predios nuevos como los existentes con títulos de propiedad como cuerpo cierto debidamente registrados podrán obtener licencia de construcción si cumplen con los siguientes requisitos: 1. Existe certeza jurídica sobre el inmueble como cuerpo cierto que cumple las áreas mínimas o autorizadas. 2.No existe en el predio otra construcción que se considere como principal y que se esté destinando o se vaya a destinar a vivienda, excepto cuando se trate de proyectos de ampliación en cumplimiento de los índices de ocupación y construcción o cuando la solicitud sea para adelantar construcciones anexas no destinadas a vivienda. Artículo 140. PLAN VIAL. Con el propósito de garantizar la movilidad dentro de los Centros Poblados Rurales y el acceso mediante vía pública a los nuevos desarrollos se definen proyecciones viales que para efectos del diseño urbanístico conforman el manzaneo del Centro Poblado sin perder por ello su carácter de vías rurales. Las proyecciones contempladas en el Plan Vial constituyen espacio público, razón por la cual serán objeto de cesión obligatoria Artículo 141. PERFILES VIALES. Las vías proyectadas en el Plan Vial de los Centros Poblados Rurales y las que se propongan en razón al desarrollo de proyectos urbanísticos se ajustarán a los siguientes perfiles: 1. Vía De Penetración Centro Poblado. VPCP. Conecta al Centro Poblado con el área urbana del municipio, con las veredas o con las vías Departamentales o de Penetración Rural. • Ancho mínimo diez (10) metros • Ancho mínimo de calzada siete (7) metros
  • 120.
    CIPIO DE AGUAZUL ACUERDONo. _____ “POR EL CUAL SE ADOPTA LA REVISIÓN GENERAL DEL ESQUEMA DE ORDENAMIENTO TERRITORIAL DEL MUNICIPIO DE SUBACHOQUE” EOT 12 0 • Cuneta de Uno y medio (1.5) metros de ancho a cada lado de la calzada. • Tratamiento en asfalto o recebo compactado. 2. Vía Local Centro Poblado. VLCP. Son las vías de tráfico local del Centro Poblado que conectan con las vías de penetración del Centro Poblado.  Ancho mínimo cinco (5) metros • Ancho de calzada cuatro (4) metros • Cuneta de 50 Cms (0.50) de ancho a cada lado de la calzada. • Tratamiento en recebo compactado o huellas de cemento. 3. Vía Peatonal Centro Poblado. Son las vías de tráfico peatonal al interior de proyectos de vivienda agrupada o donde las condiciones físicas o ambientales no hagan viable otro tipo de vía para permitir el acceso a los predios. • Ancho mínimo tres (3) metros • Cunetas de cincuenta (50) centímetros u otro diseño para manejo de aguas lluvias a cada lado. • En el diseño del perfil deberá incluirse arborización o zonas verdes. • Podrá desarrollarse en terrazas o escalinatas cuando la topografía lo amerite, garantizándose en todo caso la supresión de barreras para personas con movilidad reducida. • Tratamiento en piso duro con materiales antideslizantes. 4. Vías Internas para Agrupación Rural. VIAR. Son las vías de tráfico interno en proyectos de vivienda u otros desarrollos agrupados en suelo rural. • Ancho mínimo seis (6) metros • Ancho de calzada cinco (5) metros • Cunetas de cincuenta (50) centímetros a cada lado de la calzada. • Zona verde de circulación peatonal de dos (2) metros en uno de los costados de la vía o de un (1) metro a cada lado. • Tratamiento en Huellas de recebo o piso duro de Uno, Dos y Un metros, separados por zonas verdes de Cero punto Cincuenta (0.50) metros. • En caso de plantearse en el proyecto circuito de entrada y salida el ancho de calzada puede reducirse hasta tres (3) metros, manteniendo el tratamiento de huellas separadas por zona verde. Artículo 142. OBLIGACIONES DE LOS PROPIETARIOS EN RELACIÓN CON LA MALLA VIAL. Los propietarios y los diseñadores tendrán en cuenta para el desarrollo o normalización de los predios las siguientes obligaciones: 1. Todos los predios existentes o segregados al interior del Centro Poblado contarán con acceso directo desde la vía pública vehicular o peatonal. En los casos de agrupaciones las unidades privadas contarán con acceso directo desde la vía
  • 121.
    CIPIO DE AGUAZUL ACUERDONo. _____ “POR EL CUAL SE ADOPTA LA REVISIÓN GENERAL DEL ESQUEMA DE ORDENAMIENTO TERRITORIAL DEL MUNICIPIO DE SUBACHOQUE” EOT 12 1 interna de la agrupación vehicular o peatonal. En ningún caso existirán servidumbres de acceso ni accesos compartidos que no se sometan a reglamento de copropiedad. 2. Prever las acometidas de las redes de servicios, desde o hacia las redes principales garantizando la continuidad de las cunetas y desagües. 3. Generar los aislamientos ambientales requeridos con respecto a las vías y conservarlos en debida forma. 4. Empatar las vías internas de los proyectos a la red vial general y garantizar la continuidad de los circuitos peatonales o de movilidad alternativa y los accesos a los espacios públicos existentes y proyectados. 5. Adecuar las vías, accesos y construcciones existentes a los correspondientes perfiles y aislamientos viales. En los casos en los que se presente grave dificultad para ello, se deberán diseñar los empates, acondicionamientos y/o compensaciones necesarios, los cuales serán aprobados por la Secretaría de Planeación Municipal. 6. Ceder, construir y/o compensar las áreas y obras del sistema vial que corresponda a los desarrollos urbanísticos propuestos. Artículo 143. REDES DE SERVICIOS PÚBLICOS. Todos los predios de los Centros Poblados Rurales deben contar con servicios públicos domiciliarios para permitir su desarrollo. La infraestructura para la prestación de los servicios públicos será responsabilidad de las empresas prestadoras y de los proponentes de los proyectos de parcelación, loteo y/o construcción. Artículo 144. SISTEMA DE ESPACIO PÚBLICO Y EQUIPAMIENTOS. El desarrollo del Centro Poblado Rural requiere la generación de espacios públicos y equipamientos comunales para lo cual el diseño urbanístico prevé la proyección de espacios libres a partir de los cuales se puedan satisfacer las necesidades de este tipo. Para la utilización de dichos espacios se aplicarán los mecanismos legales de cesión obligatoria, enajenación voluntaria, enajenación forzosa o expropiación administrativa, así como las compensaciones o indemnizaciones a que haya lugar en razón al reparto equitativo de cargas y beneficios. Constituyen espacio público de conformidad con el Decreto 1504 de 1998 los siguientes aspectos:  Los bienes de uso público, es decir los inmuebles de dominio público cuyo uso pertenece a todos los habitantes, destinados al uso y disfrute colectivo.  Los elementos arquitectónicos, espaciales y naturales de los inmuebles de propiedad privada que por su naturaleza, uso o afectación satisfacen las necesidades de uso público  Las áreas requeridas para la conformación del sistema de espacio público conformado por  elementos como las áreas para la conservación y preservación del sistema orográfico o hídrico, los sistemas de circulación peatonal y vehicular, las áreas articuladoras de
  • 122.
    CIPIO DE AGUAZUL ACUERDONo. _____ “POR EL CUAL SE ADOPTA LA REVISIÓN GENERAL DEL ESQUEMA DE ORDENAMIENTO TERRITORIAL DEL MUNICIPIO DE SUBACHOQUE” EOT 12 2 espacio público y de encuentro, las áreas para la conservación y preservación de las obras de interés público, los antejardines de propiedad privada, los componentes de la vegetación natural o intervenida para la arborización y protección del paisaje, el mobiliario urbano, los elementos de señalización y los demás señalados por las normas superiores relacionadas con espacio público. Parágrafo: La administración municipal habilitará un predio con destino a espacio público efectivo para uso de los habitantes de Centro poblado. Artículo 145. Al interior de los centros poblados de Llanitos 2 y de Galdamez se identificaron áreas con condición de Riesgo por Remoción en masa (Llanitos 2. Ver mapa G-07) y áreas con condición de riesgo por Inundación (Galdamez. Ver Mapa GR-08), debido a ello en las áreas identificadas en los Mapas G-07 y G-08, no se podrán adelantar procesos de licenciamiento para demolición y obra nueva, modificación, ampliación ni ninguna otra modalidad de licencia hasta tanto no se haya realizado el estudio de detalle de riesgo por inundación (Galdamez) y por remoción en masa (Llanitos), para la zona delimitada donde se defina si existe riesgo mitigable o no mitigable y cuáles serían las obras de mitigación en caso de que apliquen las obras. La reglamentación de norma se aplicará solamente si posterior al estudio de detalle de riesgo por inundación y el estudio de detalle por remoción en masa que debe hacerse para estos dos centros poblados, se realizan las obras de mitigación para el riesgo. Si el estudio de detalle arroja que el riesgo no es mitigable, la normativa descrita en los cuadros de norma no es procedente. CAPÍTULO IX GESTIÓN DEL RIESGO EN EL ÁREA RURAL Artículo 146. INCORPORACIÓN DE LA GESTIÓN DEL RIESGO DE DESASTRES EN EL EOT. La metodología para la incorporación de procesos amenazantes de origen natural en el ordenamiento territorial, partió de la identificación de los procesos amenazantes presentes en el territorio, utilizando la información secundaria disponible (estudios de amenaza, vulnerabilidad y riesgo por movimientos en masa, inundación, avenida torrencial e incendios forestales en los municipios priorizados en jurisdicción de la corporación autónoma regional de Cundinamarca CAR, contrato de consultoría 1185-2013 CAR). Artículo 147. DELIMITACIÓN Y ZONIFICACIÓN DE AMENAZAS Son áreas que por su ubicación o por sus características geomorfológicas y geotécnicas, son susceptibles de sufrir eventos, como:  Movimientos en masa  Inundaciones  Incendios Forestales Estas áreas se precisan para el Municipio de Subachoque según los estudios básicos de gestión del riesgo, en las que dan cuenta de los fenómenos que a continuación se enuncian y sobre los cuales
  • 123.
    CIPIO DE AGUAZUL ACUERDONo. _____ “POR EL CUAL SE ADOPTA LA REVISIÓN GENERAL DEL ESQUEMA DE ORDENAMIENTO TERRITORIAL DEL MUNICIPIO DE SUBACHOQUE” EOT 12 3 se toman medidas no estructurales en el EOT y que fueron espacializadas en los mapas GR-01, GR- 03 y GR-05 amenaza por remoción en masa, inundación e incendios forestales respectivamente Artículo 148. ZONAS O ÁREAS EN AMENAZA POR FENÓMENOS DE REMOCIÓN EN MASA RURAL. Las áreas en amenaza por fenómenos de remoción en masa corresponden a las zonas potenciales de riesgo para la ubicación de asentamientos humanos, donde la intervención humana se considera un factor que puede alterar las condiciones de riesgo. Parágrafo Primero: Las zonas o áreas del área rural a que hace referencia el presente artículo se encuentran espacializadas en los Mapas GR-01 "Amenaza por Remoción en Masa Rural” Artículo 149. ZONAS CON CONDICIÓN DE AMENAZA POR FENOMENO DE MOVIMIENTOS EN MASA RURAL. Corresponden a las zonas de catalogadas como de amenaza, media y alta que se consideren como objeto de desarrollo en el suelo rural del Municipio de Subachoque. Parágrafo. Según los lineamientos establecidos por el Decreto 1807 de 2014 para determinar las áreas con condición de amenaza, para el área rural del municipio de Subachoque NO se tienen áreas con condición de amenaza por remoción en masa ni cartografía asociada. Artículo 150. ZONIFICACIÓN DE AMENAZA POR FENÓMENOS DE INUNDACIÓN RURAL. Corresponde a las zonas o áreas donde existe una probabilidad de ocurrencia de inundaciones por desbordamiento de cauces naturales y/o cuerpos de agua intervenidos asociados a periodo de retorno, a la altura de la lámina de agua con efectos potencialmente dañinos. Parágrafo Primero: Las zonas o áreas del área rural a que hace referencia el presente artículo se encuentran espacializadas en los Mapas GR-03 "Amenaza por Inundación Rural” Artículo 151. ÁREAS CON CONDICIÓN DE AMENAZA POR INUNDACIÓN RURAL: Corresponden a las zonas de catalogadas como de amenaza, media y alta que se consideren como objeto de desarrollo en el suelo rural del Municipio de Subachoque. Parágrafo. Las zonas o áreas a las que hace referencia el presente artículo, se encuentran espacializadas en el Mapa GR-06 "Áreas con condición de amenaza por fenómeno de inundación". Parágrafo Segundo: Las coordenadas de las áreas con condición amenaza por inundación son las siguientes: TABLA DE COORDENADAS ÁREAS CON CONDICIÓN DE AMENAZA POR INUNDACIÓN COORDENADA X COORDENADA Y 988.982,89 1.036.464,59 989.097,00 1.036.443,41 989.072,06 1.036.416,35
  • 124.
    CIPIO DE AGUAZUL ACUERDONo. _____ “POR EL CUAL SE ADOPTA LA REVISIÓN GENERAL DEL ESQUEMA DE ORDENAMIENTO TERRITORIAL DEL MUNICIPIO DE SUBACHOQUE” EOT 12 4 TABLA DE COORDENADAS ÁREAS CON CONDICIÓN DE AMENAZA POR INUNDACIÓN COORDENADA X COORDENADA Y 988.940,86 1.036.456,54 988.907,51 1.036.506,53 988.779,70 1.036.583,25 988.759,12 1.036.640,35 988.724,48 1.036.674,64 988.739,99 1.036.688,48 988.804,27 1.036.600,31 988.876,93 1.036.571,38 988.940,92 1.036.491,01 988.982,89 1.036.464,59 Artículo 152. ZONAS O ÁREAS EN AMENAZA POR INCENDIOS FORESTALES EN ZONA RURAL: Los incendios y conatos de incendios son temas muy comunes debido al aumento de los registros dados por su incremento en frecuencia y área afectada, así como en los impactos generados (Parra, 2011) evaluado. Según lo desarrollado por la consultora AVR (2015) para el análisis de la amenaza se tuvo en cuenta los factores climáticos, de relieve, históricos (Conforme a la existencia y disponibilidad de reportes históricos de incendios en el municipio, la información obtenida para el análisis de este factor es considerada como elemento de corroboración dentro del análisis de amenaza), de accesibilidad y la susceptibilidad de las coberturas vegetales a incendios Parágrafo primero: Las zonas o áreas a las que hace referencia el presente artículo, se encuentran espacializadas en el Mapa GR-15 "Amenaza por incendios forestales". Artículo 153. ÁREAS CON CONDICIÓN DE AMENAZA POR INCENDIOS FORESTALES EN ZONA RURAL: Corresponden a las zonas de catalogadas como de amenaza, media y alta que se consideren como objeto de desarrollo en el suelo rural del Municipio de Subachoque. Parágrafo. Dado que no existen áreas con condición de amenaza por incendios forestales en el área rural, no se presentan planos asociados a esta temática. Artículo 154. ÁREAS CON CONDICIÓN DE RIESGO POR FENÓMENOS DE REMOCIÓN EN MASA RURAL. Son las zonas que fueron determinadas en amenaza alta que actualmente se encuentran ocupadas y corresponden al sector denominado Llanitos ,en las cuales deben desarrollarse estudios de riesgo detallados que determinen cuales son las medidas de intervención estructurales y no estructurales que deben desarrollarse en las mismas. Parágrafo Primero. Las zonas o áreas a las que hace referencia el presente artículo, se encuentran espacializadas en el Mapa GR-07 "Áreas con condición de riesgo por fenómeno de remoción en masa". Parágrafo Segundo: Las coordenadas de las áreas con condición riesgo por remoción en masa son las siguientes:
  • 125.
    CIPIO DE AGUAZUL ACUERDONo. _____ “POR EL CUAL SE ADOPTA LA REVISIÓN GENERAL DEL ESQUEMA DE ORDENAMIENTO TERRITORIAL DEL MUNICIPIO DE SUBACHOQUE” EOT 12 5 TABLA DE COORDENADAS ÁREAS CON CONDICIÓN DE RIESGO POR REMOCIÓN COORDENADA X COORDENADA Y 987.711,0168 1.039.477,3345 987.749,4726 1.039.478,1808 987.747,7151 1.039.438,2530 987.743,2339 1.039.430,8444 987.649,6074 1.039.447,6692 987.679,7798 1.039.305,3936 987.652,6473 1.039.311,0070 987.645,7136 1.039.253,4224 987.610,7670 1.039.257,9893 987.593,4185 1.039.237,5741 987.647,8167 1.039.206,7806 987.654,0667 1.039.214,8991 987.679,4599 1.039.201,7462 987.694,6216 1.039.193,2748 987.692,8244 1.039.182,4987 987.597,3915 1.039.226,9277 987.548,1395 1.039.199,2663 987.485,5270 1.039.238,1919 987.454,5679 1.039.279,5214 987.473,1627 1.039.327,3546 987.594,0033 1.039.249,7518 987.609,1451 1.039.267,1821 987.629,4443 1.039.520,4875 987.711,0168 1.039.477,3345 Artículo 155. ÁREAS CON CONDICIÓN DE RIESGO POR INUNDACIÓN RURAL. Corresponden a las áreas de amenaza alta por inundación que se encuentran ocupadas con viviendas e infraestructura en la zona rural, se encuentra en esta condición el sector del centro poblado rural Galdamez, Parágrafo primero: Las zonas del área rural a las que hace referencia el presente artículo, se encuentran espacializadas en el Mapa GR-08 "Áreas con condición de riesgo por inundación". Parágrafo Segundo: Las coordenadas de las áreas con condición riesgo por inundación son las siguientes: TABLA DE COORDENADAS ÁREAS CON CONDICIÓN DE RIESGO POR INUNDACIÓN COORDENADA X COORDENADA Y 991.405,1828 1.035.414,8447 991.400,0524 1.035.417,9256 991.397,0161 1.035.423,3662 991.405,1828 1.035.414,8447 991.553,0642 1.035.330,8516 991.571,0727 1.035.303,0764 991.560,6989 1.035.290,3914 991.508,2986 1.035.322,4453
  • 126.
    CIPIO DE AGUAZUL ACUERDONo. _____ “POR EL CUAL SE ADOPTA LA REVISIÓN GENERAL DEL ESQUEMA DE ORDENAMIENTO TERRITORIAL DEL MUNICIPIO DE SUBACHOQUE” EOT 12 6 TABLA DE COORDENADAS ÁREAS CON CONDICIÓN DE RIESGO POR INUNDACIÓN COORDENADA X COORDENADA Y 991.545,2476 1.035.283,7095 991.544,7290 1.035.261,4710 991.528,8322 1.035.253,3041 991.486,0074 1.035.328,1387 991.553,0642 1.035.330,8516 991.670,8125 1.035.325,7118 991.660,9746 1.035.324,1925 991.652,5588 1.035.328,6431 991.670,8125 1.035.325,7118 991.462,2310 1.035.135,0103 991.429,5585 1.035.122,0616 991.444,9814 1.035.179,7674 991.469,8932 1.035.177,6210 991.491,8184 1.035.141,5371 991.462,2310 1.035.135,0103 Artículo 156. ÁREAS CON CONDICIÓN DE RIESGO POR INCENDIOS FORESTALES EN ZONA RURAL. Corresponden a las áreas de amenaza alta por Incendios Forestales que se encuentran ocupadas con viviendas e infraestructura en la zona rural, en esta condición se encuentran los sectores rurales de Llanitos. Las áreas que abarcan los centros poblados rurales de Llanitos y Llanitos 2, se encuentran en un área con condición de amenaza por incendios forestales, esto se debe principalmente a que el estudio de incendios forestales se encuentra a escala 1:25.000 para el área rural (AVR-CAR, 2015) Las áreas propiamente dichas de los centros poblados rurales y sus áreas aledañas cuentan con una cobertura vegetal y arbustiva muy baja. Sin embargo se utiliza el estudio de incendios forestales como insumo para la definición de áreas con condición de riesgo por incendios forestales. Aun cuando en los centros poblados rurales se haya determinado un área con condición de riesgo por incendios forestales, según el capítulo II del decreto 1807 de 2014, condiciones técnicas para la elaboración de estudios detallados, dichos estudios aplican para fenómenos de movimientos en masa, inundaciones y avenidas torrenciales, por lo que para el desarrollo del desarrollo de los centros poblados rurales de llanitos y Llanitos 2 (la mayor parte de ellos consolidados) no será necesario realizar un estudio detallado para las áreas con condición de riesgo por incendios forestales, sin embargo se deberá reconocer esta condición de riesgo y responder a esta mediante estrategias preventivas. Parágrafo primero: Las zonas del área rural a las que hace referencia el presente artículo, se encuentran espacializadas en el Mapa GR-09 "Áreas con condición de riesgo por incendios Forestales". Parágrafo Segundo: Las coordenadas de las áreas con condición riesgo por incendios forestales son las siguientes:
  • 127.
    CIPIO DE AGUAZUL ACUERDONo. _____ “POR EL CUAL SE ADOPTA LA REVISIÓN GENERAL DEL ESQUEMA DE ORDENAMIENTO TERRITORIAL DEL MUNICIPIO DE SUBACHOQUE” EOT 12 7 TABLA DE COORDENADAS ÁREAS CON CONDICIÓN DE RIESGO POR INCENDIOS FORESTALES COORDENADA X COORDENADA Y COORDENADA X COORDENADA Y 987.711,0168 1.039.477,3345 988.781,1868 1.037.751,9121 987.749,4726 1.039.478,1808 989.002,2123 1.037.247,1665 987.750,6420 1.039.456,9510 988.950,9198 1.037.220,9462 987.737,0980 1.039.420,7001 988.927,1379 1.037.148,8824 987.709,7347 1.039.400,6664 988.878,4496 1.037.228,1109 987.713,8246 1.039.362,6492 988.707,3753 1.037.741,3980 987.680,8384 1.039.305,1746 988.640,6172 1.037.884,5398 987.652,6473 1.039.311,0070 988.529,3233 1.037.915,0312 987.645,7136 1.039.253,4224 988.592,9083 1.038.010,9414 987.610,7670 1.039.257,9893 988.781,1868 1.037.751,9121 987.593,4185 1.039.237,5741 987.694,6216 1.039.193,2748 988.188,4021 1.038.568,3625 987.709,1993 1.039.124,6497 988.175,2210 1.038.557,8860 987.697,0902 1.039.105,8325 988.098,0391 1.038.593,3280 987.485,5270 1.039.238,1919 988.108,6309 1.038.617,5497 987.454,5679 1.039.279,5214 988.052,6236 1.038.654,5798 987.473,1627 1.039.327,3546 987.947,8379 1.038.767,3219 987.594,0033 1.039.249,7518 988.015,4420 1.038.811,6010 987.621,2377 1.039.335,9621 988.150,1750 1.038.663,0320 987.629,4443 1.039.520,4875 988.106,2329 1.038.627,6885 987.711,0168 1.039.477,3345 988.173,3754 1.038.602,3148 988.188,4021 1.038.568,3625 991.120,2171 1.040.603,7091 991.111,1485 1.040.608,9588 991.122,5837 1.040.619,1973 991.120,2171 1.040.603,7091 Artículo 157. MEDIDAS NO ESTRUCTURALES PARA LA REDUCCIÓN DEL RIESGO EN ZONAS CON CONDICIONES DE AMENAZAS. Sin importar el fenómeno originador o causante de la amenaza, vulnerabilidad y el riesgo son normas comunes para las áreas identificadas en estudios técnicos de detalle como de amenaza alta y muy alta las siguientes:  Las áreas identificadas como de riesgo no mitigable como resultado de los estudios de detalle, en suelo rural y urbano se consideran suelos de protección y hacen parte de la Estructura Ecológica Principal del Municipio.  En las áreas identificadas con condición de amenaza alta en suelo rural y urbano se prohíbe la localización de asentamientos humanos, hasta se realice el estudio de detalle que señala el Decreto 1807 de 2014 a cargo del municipio y/o el urbanizador o desarrollador responsable.  Relocalización de la población asentada y los equipamientos colectivos existentes en zonas con condición de riesgo, de manera posterior al resultado definido en el inventario de asentamientos humanos en zonas de riesgo no mitigable que deberá realizar el municipio en el corto plazo de la vigencia del EOT según lo establece la
  • 128.
    CIPIO DE AGUAZUL ACUERDONo. _____ “POR EL CUAL SE ADOPTA LA REVISIÓN GENERAL DEL ESQUEMA DE ORDENAMIENTO TERRITORIAL DEL MUNICIPIO DE SUBACHOQUE” EOT 12 8 Resolución 448 de 2014 del Ministerio de Vivienda, Ciudad y Territorio, y de los estudios o análisis de vulnerabilidad de elementos expuestos para los equipamientos.  En las áreas identificadas con condición de amenaza alta y condición de riesgo en suelo rural y urbano se prohíbe la nueva localización de infraestructuras, equipamientos y edificaciones para la atención o servicio.  En las áreas identificadas como con condición de amenaza media en suelo rural y urbano susceptibles o con potencial de desarrollo productivo, agrario, urbanístico, se tomarán las medidas técnicas requeridas para la reducción y prevención del riesgo según estudio técnico de riesgo a cargo de cada propietario o desarrollador, las cuales serán siempre incluidas en los permisos autorizaciones y licencias urbanísticas y ambientales que otorguen sobre dichos suelos el Municipio o la Corporación Autónoma Regional de Cundinamarca CAR según su jurisdicción y competencias. Artículo 158. ACCIONES PARA LA REDUCCIÓN DEL RIESGO  Desarrollar un sistema de información y monitoreo de fenómenos que permita llevar a cabo análisis espacio temporales para evaluar e intervenir los sectores críticos por inundaciones y remoción en masa.  Declarar como suelos de protección por riesgo las áreas localizadas en áreas que han sido categorizadas con condición de riesgo por remoción en masa e inundación.  Realizar estudios de detalle en las áreas determinadas con condición de amenaza y riesgo orientados a determinar las zonas de alto riesgo mitigable y no mitigable por fenómenos de remoción en masa.  Para las áreas con condición de riesgo por inundación priorizar la realización de estudio técnicos detallados que permitan determinar las categorías de riesgo, alto, alto mitigable y alto no mitigable.  Desarrollar las medidas de intervención estructural como construcción de obras de drenaje para el manejo adecuado de aguas de escorrentía superficial en las áreas con condición de riesgo identificadas; diseño y construcción de estructuras de contención como muros, pantallas y gaviones en las áreas con condición de riesgo por remoción en masa; realizar acciones de mejoramiento integral de barrios en las zonas con condición de amenaza; adelantar acciones de reasentamiento sobre los sectores que sean categorizados como de riesgo alto No Mitigable.  Recuperación de rondas hídricas como medida de contención ante fenómenos de inundación; desarrollar acciones de recuperación y paisajismo sobre las rondas rio Subachoque, los drenajes; recuperación de suelos sobre aquellos sectores que se encuentran erosionados con el objetivo de contener los posibles efectos que ocasiona la amenaza por remoción en masa; ampliación, adecuación y mantenimiento de
  • 129.
    CIPIO DE AGUAZUL ACUERDONo. _____ “POR EL CUAL SE ADOPTA LA REVISIÓN GENERAL DEL ESQUEMA DE ORDENAMIENTO TERRITORIAL DEL MUNICIPIO DE SUBACHOQUE” EOT 12 9 drenajes urbanos con el objetivo de reducir la amenaza de inundación por falla hidráulica. Artículo 159. REGULACIONES PARA LAS ÁREAS EXPUESTAS A AMENAZAS Y RIESGOS.  Los Suelos de Protección por riesgo se entenderán como los suelos donde se presentan áreas con condición de riesgo, argumento que imposibilita la ubicación de asentamientos humanos, equipamientos, espacio público e infraestructura; en el municipio de Subachoque, estos suelos se refieren a las áreas que están ubicadas en suelos donde se han identificado la probabilidad de ocurrencia de movimientos en masa o deslizamientos, inundaciones por desbordamientos de ríos y quebradas o por dificultades de drenaje. En este tipo de zonas se establece la prohibición de ubicar viviendas, redes para servicios básicos domiciliarios.  Desestimar o prohibir la urbanización en terrenos inestables o inundables como una de las acciones de planificación más efectivas para evitar pérdida de vidas humanas y daños materiales en bienes.  Las viviendas que actualmente están construidas sobre las áreas que sean señaladas como de protección por riesgo en el área urbana o rural no podrán ser ampliadas por sus propietarios y los cultivos agrícolas deberán sustituirse por vegetación nativa.  Se deben emprender las acciones correspondientes para reubicar las viviendas en áreas con condición de riesgo alto por movimientos en masa que sean identificadas luego del desarrollo de estudios detallados. Rehabilitar las áreas que queden desocupadas después de hacer efectivo el proceso de reasentamiento.  Para evitar la nueva ocupación, garantizar la rehabilitación y el cambio de uso de las zonas desocupadas en desarrollo del proceso de reasentamiento por alto riesgo, deberán efectuarse las acciones antes relacionadas y que contribuyen a la gestión del desarrollo territorial.  Condicionar el desarrollo de las áreas que se encuentran en condición de riesgo a la realización de estudios detallados que determinen las acciones de mitigación necesarias para reducir los riesgos existentes. TÍTULO III INSTRUMENTOS DE GESTIÓN DEL ESQUEMA DE ORDENAMIENTO TERRITORIAL CAPÍTULO I DE LOS PLANES PARCIALES Artículo 160. DEFINICIÓN. Los planes parciales son los instrumentos mediante los cuales se desarrollan y complementan las disposiciones de los planes de ordenamiento, para áreas
  • 130.
    CIPIO DE AGUAZUL ACUERDONo. _____ “POR EL CUAL SE ADOPTA LA REVISIÓN GENERAL DEL ESQUEMA DE ORDENAMIENTO TERRITORIAL DEL MUNICIPIO DE SUBACHOQUE” EOT 13 0 determinadas del suelo urbano y para las áreas incluidas en el suelo de expansión urbana, en los términos previstos en el Art. 19 de la Ley 388 de 1997. La formulación y adopción de los planes parciales que el presente Acuerdo determine y los demás que sea necesario realizar con miras dotar a este Esquema de Ordenamiento de adecuados y suficientes instrumentos para su desarrollo y ejecución, se hará conforme a lo previsto en el Decreto 2181 de 2006 y demás decretos reglamentarios o modificatorios, reglamentario de la Ley 388 de 1997 en materia de planes parciales. En la formulación de los planes parciales prioritarios y los demás que sean requeridos en ejecución del presente Acuerdo, se incorporarán como instrumentos principales para la gestión de los respectivos planes, las unidades de actuación urbanística, el reajuste de tierras, la cooperación entre partícipes y el reparto equitativo de cargas y beneficios, en los términos y condiciones previstas en la Ley 388 de 1997, en el citado Decreto 2181 de 2006 y en las demás normas que los modifiquen, adicionen o sustituyan. Los planes parciales que se elaboren en cumplimiento del presente Acuerdo serán de obligatorio cumplimiento por las autoridades y empresas de servicios y por los particulares y su vigencia será la que se determine en cada caso. Artículo 161. PLANES PARCIALES. Se establecen como prioridad para la formulación y adopción de los planes parciales que instrumentarán el desarrollo y complementarán las disposiciones contenidas en el presente Acuerdo, las áreas de expansión que se relacionan a continuación: a. Polígono de Suelo de Expansión Urbana Los particulares interesados en desarrollar áreas objeto de plan parcial, deberán presentar previamente el correspondiente plan parcial para su adopción por parte de la Administración. No se podrán otorgar licencias de urbanización, ni de construcción para el desarrollo de predios localizados dentro de las áreas señaladas como objeto de plan parcial en el presente Acuerdo sin la existencia previa del respectivo plan parcial debidamente aprobado por la Administración Municipal en los términos establecidos en este Acuerdo y en el marco normativo de superior jerarquía que rige la materia. Artículo 162. DIRECTRICES ESPECÍFICAS PARA LA FORMULACIÓN DE PLANES PARCIALES. Para la formulación de los planes parciales definidos como prioritarios en el presente documento, se tendrán en cuenta las siguientes consideraciones: 1. Para el desarrollo del plan parcial de expansión urbana es indispensable realizar el estudio detallado de las áreas con condición de amenaza por inundación de la quebrada El Molino, siguiendo los requisitos mínimos para la elaboración de estudios detallados de riesgos por inundación, que se encuentran en el artículo 46 del presente acuerdo. Este estudio detallado es el condicionante principal para el desarrollo del plan parcial, el resultado de dicho estudio delimitará las áreas que no podrán ser objeto de desarrollo y se convertirán directamente en áreas de protección al interior del plan parcial.
  • 131.
    CIPIO DE AGUAZUL ACUERDONo. _____ “POR EL CUAL SE ADOPTA LA REVISIÓN GENERAL DEL ESQUEMA DE ORDENAMIENTO TERRITORIAL DEL MUNICIPIO DE SUBACHOQUE” EOT 13 1 2. La factibilidad y la definición de las condiciones técnicas para la futura prestación de los servicios públicos domiciliarios que garanticen la continuidad de las redes de acueducto y alcantarillado para las áreas de expansión urbana, por parte de la empresa prestadora de servicios públicos del municipio. 3. La inclusión del área de los planes maestros de acueducto y alcantarillado con la definición de programas y proyectos de inversión a corto y mediano plazo y su articulación con los planes de saneamiento y manejo de vertimientos (PSMV). De igual manera la definición y localización del sistema de tratamiento de aguas residuales y la determinación de recursos para su construcción y puesta en marcha. 4. El área de expansión propuesta estará sujeta a las afectaciones ambientales a que haya lugar según su localización, como lo es la ronda hídrica de la quebrada el Molino. 5. La definición de normas urbanísticas específicas debe enmarcarse en lo previsto por el presente documento en cuanto al tratamiento de desarrollo. 6. La asignación de usos por categorías deberá enmarcarse en la asignación de usos para suelo urbano consignada en el presente documento. 7. Lo relativo al plan vial deberá ser acorde con el trazado y los perfiles viales para suelo urbano establecidos en el presente documento. 8. La formulación y aprobación de los planes parciales se hará conforme a lo establecido en el Decreto 2181 de 2006, 4300 de 2007, 4065 de 2008, 1478 de 2013 y las demás normas que lo modifiquen, complementen o sustituyan. 1. PLAN PARCIAL ÁREA EXPANSIÓN URBANA OBJETIVOS.  Creación de una nueva estructura urbana que permita la ubicación de usos residenciales, articulada a la estructura ecológica urbana, al sistema de espacio público, sistema vial y de equipamientos, que a su vez de artículo con el área urbana existente. USOS PERMITIDOS 1. Residencial unifamiliar y bifamiliar 2. Comercio y servicios grupo I 3. Dotacional grupo I y II 4. Espacio público CONDICIONAMIENTOS Conservación y protección de la ronda de 30 metros lineales sobre la cota máxima de inundación de la quebrada el Molino, de conformidad con el acuerdo CAR 16 de 1998. Parágrafo: la zona de expansión es objeto de desarrollo prioritario.
  • 132.
    CIPIO DE AGUAZUL ACUERDONo. _____ “POR EL CUAL SE ADOPTA LA REVISIÓN GENERAL DEL ESQUEMA DE ORDENAMIENTO TERRITORIAL DEL MUNICIPIO DE SUBACHOQUE” EOT 13 2 TITULO IV DE LOS INSTRUMENTOS DE FINANCIACIÓN CAPÍTULO I DE LOS INSTRUMENTOS DE FINANCIACIÓN Artículo 163. DEFINICIÓN. Los instrumentos de financiación son mecanismos a través de los cuales la Administración Municipal obtiene los recursos necesarios para ejecutar las actuaciones urbanísticas, los programas, proyectos u obras de urbanismo o de edificación, para adquirir los inmuebles y demás bienes que se requieran para los mismos propósitos, y para compensar las cargas a favor de los afectados por decisiones administrativas que se adopten en materia de urbanismo. En el Municipio establecen como posibles instrumentos de financiación los siguientes: 1. La Plusvalía Artículo 164. PARTICIPACIÓN EN LA PLUSVALÍA. Conforme lo previsto en la Constitución Política en su Art. 82, en la Ley 388 de 1997 en su Capítulo IX, en el Decreto 1788 de 2004, reglamentario de la Ley 388 y en las demás normas que adicionen, modifiquen o sustituyan lo reglado en materia de plusvalía, el Municipio utilizará esta participación como un instrumento de financiación de los programas y proyectos incluidos en el presente Acuerdo en procura de la defensa y fomento del interés común. De conformidad con el artículo 82 de la Constitución Política, las acciones urbanísticas que regulan la utilización del suelo y del espacio aéreo urbano incrementando su aprovechamiento, generan beneficios que dan derecho a las entidades públicas a participar en las plusvalías resultantes de dichas acciones. Esta participación se destinará a la defensa y fomento del interés común a través de acciones y operaciones encaminadas a distribuir y sufragar equitativamente los costos del desarrollo urbano, así como el mejoramiento del espacio público y, en general, de la calidad urbanística del territorio municipal. Artículo 165. HECHOS GENERADORES DE PLUSVALÍA. Son hechos generadores de la participación en plusvalía:  La incorporación de suelo rural a suelo de expansión urbana  El cambio de área agropecuaria a área de vivienda campestre  El cambio de área agropecuaria a área de actividad suburbana industrial  El establecimiento o modificación del régimen o la zonificación de usos del suelo.  La autorización de un mayor aprovechamiento del suelo en edificación, bien sea elevando el índice de ocupación o el índice de construcción, o ambos a la vez.
  • 133.
    CIPIO DE AGUAZUL ACUERDONo. _____ “POR EL CUAL SE ADOPTA LA REVISIÓN GENERAL DEL ESQUEMA DE ORDENAMIENTO TERRITORIAL DEL MUNICIPIO DE SUBACHOQUE” EOT 13 3 Artículo 166. ACCIONES URBANÍSTICAS GENERADORAS DE PLUSVALÍA EN EL MUNICIPIO. Conforme a lo reglado, las acciones urbanísticas adoptadas mediante el presente acuerdo, que se constituyen en hechos generadores, son las siguientes: Conforme a lo reglado, las acciones urbanísticas adoptadas mediante el presente acuerdo, que se constituyen en hechos generadores, son las siguientes: 1. La incorporación de suelo rural a suelo de expansión urbana, en los polígonos que se relacionan a continuación: a. Tres Polígonos de Suelo de Expansión urbana. 2. La incorporación de predios al área urbana. 3. La incorporación de área agropecuaria a corredor vial suburbano de actividad turística y de vivienda campestre. 4. La modificación del régimen de usos a través de la definición y delimitación de áreas de actividad, tanto en suelo urbano como en suelo rural, lo cual ocurre en los polígonos que se relacionan a continuación: a. Polígonos correspondientes al área de actividad comercial y de servicios, localizados en suelo urbano. 5. La autorización de un mayor aprovechamiento del suelo en edificación, lo cual ocurre en los polígonos que se relacionan a continuación: a. Polígonos correspondientes al área de actividad comercial y de servicios, localizados en suelo urbano. 6. Los predios en los cuales, según los resultados del respectivo estudio de plusvalía que en cumplimiento de lo previsto en el presente Acuerdo, realice la Administración Municipal, se encuentre que se presenta alguno de los hechos generadores de plusvalía. Artículo 167. TÍTULOS REPRESENTATIVOS DE DERECHOS DE CONSTRUCCIÓN Y DESARROLLO. La Administración Municipal, a través de la Tesorería y con fundamento en lo establecido en los artículos 88, 89 y 90 de la Ley 388 de 1.997, podrá emitir y colocar en el mercado títulos valores equivalentes a los derechos y derechos adicionales de construcción y desarrollo, previa autorización a través de Acuerdo de iniciativa del Alcalde, expedido por el Concejo Municipal, como un instrumento alternativo para hacer efectiva la correspondiente participación municipal en plusvalía. El monto, la oportunidad, y demás condiciones y aspectos relacionados con la emisión y colocación de los títulos representativos de derechos y de derechos adicionales de construcción y desarrollo, estarán sujetos a las disposiciones reglamentarias adoptadas por medio de decreto expedido por el Alcalde Municipal.
  • 134.
    CIPIO DE AGUAZUL ACUERDONo. _____ “POR EL CUAL SE ADOPTA LA REVISIÓN GENERAL DEL ESQUEMA DE ORDENAMIENTO TERRITORIAL DEL MUNICIPIO DE SUBACHOQUE” EOT 13 4 Artículo 168. FONDOS PARA EL PAGO COMPENSATORIO DE CESIONES PÚBLICAS PARA PARQUES, EQUIPAMIENTOS Y PARQUEADEROS. Con fundamento en las facultades establecidas en artículo 49 de la Ley 388 de 1.997 y en los casos contemplados en el presente esquema de ordenamiento y los instrumentos que lo desarrollen, se crea el Fondo para el pago compensatorio de cesiones públicas para parques, equipamientos y parqueaderos, el cual funcionará de acuerdo con el reglamento que para el efecto expida el Alcalde Municipal y que servirá de mecanismo para asegurar el reparto equitativo de las cargas y beneficios generados en el ordenamiento urbano y a través de los cuales se podrán pagar las compensaciones que se establezcan en los planes de regularización y manejo y en los procesos de reconocimiento. Artículo 169. DESTINACIÓN DE LOS RECURSOS DE LA PARTICIPACIÓN EN LA PLUSVALÍA. Los recursos recaudados por el Municipio como resultado de la participación en la plusvalía serán invertidos, en orden de prioridades, en los siguientes fines, acorde con lo previsto en el Art. 85 de la Ley 388 de 1997. 1. Construcción o mejoramiento de infraestructuras viales, de servicios públicos domiciliarios, áreas de recreación y equipamientos sociales para la adecuación de asentamientos urbanos en condiciones de desarrollo incompleto o inadecuado. 2. Ejecución de proyectos y obras de recreación, parques y zonas verdes y expansión y recuperación de los centros y equipamientos que conforman la red del espacio público urbano. 3. Compra de predios o inmuebles para desarrollar planes o proyectos de vivienda de interés social y/o prioritario. 4. Adquisición de inmuebles por enajenación voluntaria o por expropiación, destinados a desarrollar proyectos urbanísticos que generen suelos para la construcción de Viviendas de Interés Social y/o Prioritario. 5. Reubicación de familias localizadas en área de riesgo y la ejecución de las obras de urbanismo de proyectos de VIS y/o VIP. 6. Aportes en asociaciones o entidades gestoras de cualquier naturaleza, cuyo objeto sea el de ejecutar proyectos urbanísticos que generen suelos destinados a la construcción de Viviendas de Interés Social y/o Prioritario. Artículo 170. PAGARÉS DE REFORMA URBANA. Previa autorización que emita el Concejo Municipal al considerar el Plan de Desarrollo correspondiente de cada administración, ésta podrá emitir, colocar y mantener títulos valores denominados pagarés de reforma urbana, con el fin de financiar la adquisición de inmuebles que se requieran para la ejecución de las actuaciones urbanísticas declaradas de utilidad pública o interés social, previstas o autorizadas en este Plan o en los instrumentos que lo desarrollen. El monto, la oportunidad, las condiciones y los demás aspectos inherentes a la emisión de los pagarés de reforma urbana se sujetarán a las disposiciones del reglamento que para el efecto expida el Concejo Municipal a iniciativa del Señor Alcalde.
  • 135.
    CIPIO DE AGUAZUL ACUERDONo. _____ “POR EL CUAL SE ADOPTA LA REVISIÓN GENERAL DEL ESQUEMA DE ORDENAMIENTO TERRITORIAL DEL MUNICIPIO DE SUBACHOQUE” EOT 13 5 Los recursos provenientes de la emisión y colocación de los pagarés de reforma urbana, serán manejados a través de un fondo especial, mediante el cual se garantice que serán destinados para los fines previstos en este artículo. Artículo 171. COMPENSACIÓN EN TRATAMIENTOS DE CONSERVACIÓN Y PROTECCIÓN. En desarrollo de lo previsto en los Arts. 48, 49 y 50 de la Ley 388/97 y en el Decreto Reglamentario 151 de 1998, el Municipio adelantará las gestiones tendientes a disponer de los instrumentos para compensar a los propietarios de predios determinados por el Acuerdo como de conservación arquitectónica o ambiental, debido a que dicho tratamiento limita los derechos de construcción y desarrollo. La compensación que se genera por la limitación impuesta debe ser equivalente a la magnitud en que se ha limitado el desarrollo en una zona, predio o edificación en particular, en comparación con la magnitud de desarrollo que sin esta limitación podría obtenerse dentro de lo definido para la zona, predio o edificación por el Acuerdo. Para efectos de lo contemplado en este artículo, se entenderán como áreas de conservación aquellas cobijadas por el tratamiento de conservación urbanística y arquitectónica, las definidas como áreas de protección del sistema orográfico y las definidas como áreas de protección del sistema hídrico. Así mismo, se entenderá por compensación el mecanismo que permite la redistribución equitativa de los costos y beneficios generados por la aplicación de tratamientos de conservación y protección. Artículo 172. EMISIÓN DE DERECHOS TRANSFERIBLES DE CONSTRUCCIÓN Y DESARROLLO. Con miras a la emisión de derechos transferibles de construcción y desarrollo, respecto de predios cobijados por tratamientos de conservación, el Municipio realizará, adoptará y divulgará adecuadamente, el estudio de factibilidad tendiente a establecer su demanda y su concordancia con las pautas generales de uso, tratamiento y aprovechamiento previstas en el Acuerdo y los instrumentos que lo desarrollen; todo esto dentro del marco fijado por el Decreto 151 de 1998. TÍTULO V DE LAS LICENCIAS Y SANCIONES URBANÍSTICAS CAPÍTULO I LICENCIAS Y SANCIONES URBANÍSTICAS Artículo 173. LICENCIAS URBANÍSTICAS. En los términos contemplados en la ley 388 de 1997, la realización de obras de construcción, ampliación, modificación y demolición de edificaciones, de urbanización y parcelación en terrenos urbanos, de expansión urbana y rurales, para el loteo o subdivisión de predios para urbanizaciones o parcelaciones en toda clase de suelo, así como para la ocupación del espacio público con cualquier clase de
  • 136.
    CIPIO DE AGUAZUL ACUERDONo. _____ “POR EL CUAL SE ADOPTA LA REVISIÓN GENERAL DEL ESQUEMA DE ORDENAMIENTO TERRITORIAL DEL MUNICIPIO DE SUBACHOQUE” EOT 13 6 amoblamiento, se requiere de la licencia respectiva expedida por el Municipio, a través de la autoridad expresamente delegada para tal función. Estas licencias se otorgarán con sujeción al Esquema de Ordenamiento Territorial, a sus planes parciales y a las normas urbanísticas que los desarrollan y complementan, así como a lo dispuesto en la Ley 99 de 1993 y sus decretos reglamentarios. Artículo 174. TRÁMITE DE LICENCIAS. La autoridad competente para el trámite y expedición de licencias dentro del municipio, es la Secretaria de Planeación, para lo cual se sujetará a lo previsto en el Decreto 1469 de 2010 expedido por el Ministerio del Medio Ambiente y las demás normas que lo modifiquen, adicionen y sustituyan. Artículo 175. DEMARCACIÓN. En los sectores desarrollados o por desarrollar del Municipio, las licencias de urbanización, parcelación y construcción, que conceda la oficina de Planeación, deberán proyectarse con base en la demarcación que para cada predio o inmueble expida la oficina de Planeación o la dependencia que haga sus veces en la cual se determinará el lindero entre el lote o inmueble, las áreas de uso público y elementos a preservar cuando hubiere lugar. Artículo 176. CONTROL URBANÍSTICO. Es función de la autoridad municipal competente para la expedición de licencias, ejercer la vigilancia y control durante la ejecución de las obras, con el fin de asegurar el cumplimiento del contenido de la licencia de urbanismo o de construcción y de las demás normas y especificaciones técnicas contenidas en el Esquema de Ordenamiento Territorial, sin perjuicio de las facultades atribuidas a los funcionarios del Ministerio Público y de las veedurías en defensa tanto del orden jurídico, del ambiente y del patrimonio y espacios públicos, como de los intereses de la sociedad en general y los intereses colectivos. Artículo 177. INFRACCIONES Y SANCIONES URBANÍSTICAS. Conforme a lo previsto en la Ley 810 de 2003, toda actuación de construcción, ampliación, modificación, adecuación y demolición de edificaciones, de urbanización y parcelación, que contravenga el Esquema de Ordenamiento Territorial y las normas urbanísticas que los desarrollan y complementan, incluyendo los planes parciales, dará lugar a la imposición de sanciones urbanísticas a los responsables, incluyendo la demolición de las obras, según sea el caso, sin perjuicio de la eventual responsabilidad civil y penal de los infractores. Para efectos de la aplicación de las sanciones estas infracciones se considerarán graves o leves, según se afecte el interés tutelado por dichas normas. Se considera igualmente infracción urbanística, la localización de establecimientos comerciales, industriales, institucionales y de servicios en contravención a las normas de usos del suelo, lo mismo que el encerramiento, la intervención o la ocupación temporal o permanente del espacio público con cualquier tipo de amoblamiento, instalaciones o construcciones, sin la respectiva licencia.
  • 137.
    CIPIO DE AGUAZUL ACUERDONo. _____ “POR EL CUAL SE ADOPTA LA REVISIÓN GENERAL DEL ESQUEMA DE ORDENAMIENTO TERRITORIAL DEL MUNICIPIO DE SUBACHOQUE” EOT 13 7 Artículo 178. ENTREGA DE CESIONES ANTICIPADAS. Los propietarios de predios sin urbanizar, parcelar o construir podrán proponer a los municipios o distritos, o estos a aquellos, la cesión de porción o porciones de dichos predios que se recibirán a título de zonas de cesión de desarrollos urbanísticos futuros, siempre y cuando, resulten convenientes para proyectos de interés general o utilidad pública contemplados en el Esquema de Ordenamiento Territorial o en los instrumentos que lo desarrollen o complementen. En este evento, la entidad municipal responsable de la administración y mantenimiento del espacio público efectuará el recibo del área o las áreas cedidas, indicando su destino, y procederá a efectuar, con el propietario, el otorgamiento de la escritura pública de cesión anticipada y su correspondiente inscripción en el registro, de acuerdo a la reglamentación expedida por la Administración Municipal. CAPÍTULO II DEL RECONOCIMIENTO DE EDIFICACIONES Artículo 179. RECONOCIMIENTO DE CONSTRUCCIONES. Conforme a lo establecido en el inciso primero del artículo 57 del Decreto 1600 de 2005, el reconocimiento de edificaciones es la actuación por medio de la cual la autoridad municipal competente para expedir licencias, declara la existencia de los desarrollos arquitectónicos finalizados antes del 27 de junio de 2003 que no cuentan con licencia de construcción. Así mismo, por medio del acto de reconocimiento se establecerán, si es del caso, las obligaciones para la adecuación posterior de la edificación a las normas de sismo-resistencia que les sean aplicables en los términos del reglamento de sismo-resistencia NSR-10 y a las normas urbanísticas y arquitectónicas que las autoridades municipales establezcan para el efecto, en el presente Acuerdo y en las normas de lo modifiquen o sustituyan. Artículo 180. TRÁMITE DE RECONOCIMIENTO DE EDIFICACIONES. El trámite de reconocimiento de edificaciones se adelantará conforme a lo previsto en el Título II del Decreto 1469 de 2010 y las normas que lo modifiquen, adicionen o sustituyan, y el Código Contencioso Administrativo, en lo que sea del caso. CAPÍTULO III DE LA RESERVA DE ÁREAS Artículo 181. ZONAS DE RESERVA. Son zonas de reserva las áreas del municipio que de conformidad con el presente Esquema de Ordenamiento o los instrumentos que lo desarrollan, sean necesarias para la futura construcción o ampliación de obras o para la ejecución de programas o proyectos con inversión pública o para protección ambiental a fin de que sean tenidas en cuenta para la imposición oportuna de las respectivas afectaciones.
  • 138.
    CIPIO DE AGUAZUL ACUERDONo. _____ “POR EL CUAL SE ADOPTA LA REVISIÓN GENERAL DEL ESQUEMA DE ORDENAMIENTO TERRITORIAL DEL MUNICIPIO DE SUBACHOQUE” EOT 13 8 Parágrafo. La determinación y delimitación de las áreas de reserva a que se refiere el presente artículo se hará mediante decreto expedido por el Alcalde Municipal, con sujeción al régimen jurídico del suelo de protección regulado en el artículo 35 de la Ley 388 de 1.997. Artículo 182. AFECTACIONES. La afectación es una restricción impuesta a uno o más inmuebles específicos que limita o impide la obtención de las licencias urbanísticas de que trata el capítulo 10 de la Ley 388 de 1.997, por causa de la construcción o ampliación de una obra pública o por razón de conservación ecológica o protección ambiental. Estas afectaciones pueden ser impuestas por el Municipio cuando sea éste el que deba adquirir los inmuebles afectados o por cualquier otra entidad del orden municipal en cuyo favor deban establecerse. Artículo 183. PROCEDIMIENTO PARA LA IMPOSICIÓN Y CONTENIDO DE LOS ACTOS ADMINISTRATIVOS QUE CONTENGAN AFECTACIONES. El proceso de imposición de afectaciones, se regirá por las disposiciones contenidas en el presente Acuerdo, en concordancia con las normas del Código Contencioso Administrativo que regulan la materia. Las resoluciones que impongan afectaciones deberán contener: 1. El nombre de la entidad que impone la afectación. 2. La identificación del inmueble afectado con citación del folio de matrícula inmobiliaria y cédula catastral. En caso de que la afectación sea parcial la delimitación precisará la parte del inmueble afectado, y de ser posible se acogerá a un plano oficial de demarcación y cartografía. 3. Denominación de la obra pública, programa o proyecto que ocasione la afectación, o la indicación de que se trata de protección ecológica o ambiental, según el caso. 4. La identificación de la norma a través de la cual se hubiera hecho la reserva respectiva. Parágrafo primero. Las resoluciones que impongan afectaciones deberán ser notificadas conforme a Ley y contra ellas sólo procede el recurso de reposición. Contra las demás providencias dictadas durante la actuación administrativa no proceden recursos ante la vía gubernativa. Parágrafo segundo. En firme la resolución que contiene la afectación, ésta se registrará en la Oficina de Registro del Circulo que corresponda, a solicitud de la entidad que la haya impuesto, la cual deberá una vez inscrita enviar copia del acto administrativo de imposición y del certificado de libertad y tradición en el que aparezca inscrita, a la Secretaría de Planeación Municipal para lo de su competencia. Artículo 184. COMPENSACIONES POR CAUSA DE AFECTACIONES. Las entidades que impongan afectaciones celebrarán los contratos de que trata el artículo 37 de la Ley 9 de 1.989, teniendo en cuenta que las compensaciones por causa de la afectación se limitarán a la reparación justa, por el periodo comprendido entre el momento que se inscriba la afectación y la fecha en que se adquiera la zona afectada, o se levante la afectación o
  • 139.
    CIPIO DE AGUAZUL ACUERDONo. _____ “POR EL CUAL SE ADOPTA LA REVISIÓN GENERAL DEL ESQUEMA DE ORDENAMIENTO TERRITORIAL DEL MUNICIPIO DE SUBACHOQUE” EOT 13 9 pierda efecto, siempre que se urbanice, parcele o construya dentro del plazo de vigencia de la respectiva licencia o permiso. Artículo 185. LEVANTAMIENTO DE AFECTACIONES. Sin perjuicio de la compensación que pudiere haber conforme a lo previsto anteriormente, las afectaciones podrán ser levantadas mediante la revocatoria directa de los actos de imposición respectivos, siempre que se determine que la zona, inmueble o parte del mismo, objeto de la restricción no es necesaria para la ejecución del proyecto, o cuando la obra, programa o proyecto no se vaya a realizar. Artículo 186. ADQUISICIÓN DE INMUEBLES. El municipio podrá adquirir por enajenación voluntaria o mediante el trámite de expropiación, los predios que requiera para cumplir los fines previstos en el ordenamiento territorial del municipio. La utilización de este instrumento deberá cumplir con un objeto específico, constituido por la obra, el programa, el proyecto o la actuación que se propone ejecutar en el inmueble o inmuebles sobre los cuales recae la actuación. La adquisición o expropiación de que trata este artículo deberá cumplir con los estudios de tipo social, técnico jurídico y económico que lo fundamenten, previo el anuncio individual de los proyectos a ejecutar con publicación en la Gaceta Municipal y en un diario de amplia circulación y los levantamientos topográficos, estudio de títulos, estudio de situación fiscal, inventarios, avalúos, ofertas, y en general todos aquellos actos necesarios para la formalización del contrato o acto jurídico de enajenación según el caso. TÍTULO VI PROGRAMA DE EJECUCIÓN Artículo 187. PROGRAMA DE EJECUCIÓN. Adóptese el Programa de Ejecución que define, con carácter obligatorio, las actuaciones sobre el territorio del municipio previsto en el presente Esquema de Ordenamiento, para ser ejecutadas durante el período de gobierno correspondiente a la vigencia constitucional comprendida entre el año 2015 a 2027. El presente Programa de Ejecución se integrará al Plan de Inversiones correspondiente al Plan de Desarrollo de la vigencia indicada. Parágrafo. El Programa de Ejecución se encuentra en el Anexo No. 01, junto con las metas fijadas respecto de los proyectos que lo componen y los indicadores diseñados con el fin de hacer el seguimiento a su ejecución. TÍTULO VII DISPOSICIONES FINALES Artículo 188. EXPEDIENTE MUNICIPAL. Adóptese, impleméntese y póngase en operación y continua actualización el Expediente Municipal, con el objeto, alcance y características que se establecen en el documento de Seguimiento y Evaluación que hace parte integrante del
  • 140.
    CIPIO DE AGUAZUL ACUERDONo. _____ “POR EL CUAL SE ADOPTA LA REVISIÓN GENERAL DEL ESQUEMA DE ORDENAMIENTO TERRITORIAL DEL MUNICIPIO DE SUBACHOQUE” EOT 14 0 presente Acuerdo con las matrices que hacen parte del documento de seguimiento y evaluación, como principal instrumento de seguimiento y evaluación de la ejecución de las acciones previstas, como medio para el cumplimiento de los objetivos de ordenamiento acordados en este Esquema de Ordenamiento Territorial. Artículo 189. APLICACIÓN DE NORMAS. De existir contradicción entre las disposiciones contenidas en el presente articulado y el texto del Documento Técnico de Soporte, se aplicarán las normas contenidas en el presente articulado. Artículo 190. VEEDURÍA CIUDADANA. Las organizaciones cívicas debidamente reconocidas, ejercerán acciones de veeduría ciudadana a fin de que se garantice el respeto y acatamiento de las disposiciones contenidas en el Esquema que por el presente Acuerdo se adopta. Artículo 191. REGLAMENTACIÓN. El Alcalde Municipal reglamentará y adoptará las normas necesarias para la debida y oportuna aplicación de los instrumentos y procedimientos de gestión previstos en el Esquema de Ordenamiento Territorial, con arreglo a las facultades constitucionales y legales que le asisten. Artículo 192. CAMBIO DE DESTINACION DE BIENES DE USO PÚBLICO. Cuando por motivos de interés general se requiera cambiar el destino de bienes de uso público, en suelo urbano o de expansión urbana, rural, el Concejo Municipal, a iniciativa de la Administración Municipal podrá cambiar su destinación a un proyecto previamente definido en el Plan de Desarrollo Municipal, en cuyo caso se deberá hacer efectiva una compensación de igual o mayor área en metros cuadrados, o equivalente, en otro u otros predios del sector o en otros predios dentro del perímetro urbano o rural. Artículo 193. CORRECCIÓN DE IMPRECISIONES CARTOGRÁFICAS. Las imprecisiones cartográficas que surjan en los planos que se adoptan por medio del presente Esquema serán corregidas por la Oficina Asesora de Planeación mediante solución cartográfica debidamente registrada en las planchas respectivas y elevada a resolución motivada en la cual se garantice la armonía de las soluciones cartográficas con el Esquema de Ordenamiento Territorial, la continuidad de los perímetros y demás líneas limítrofes entre las distintas formas de zonificación y, en general, de los límites que se tratan de definir en el respectivo plano; igualmente deberá garantizarse la armonía con las soluciones cartográficas adoptadas para sectores contiguos, según las condiciones físicas, geológicas y morfológicas de los terrenos y la concordancia que deben tener entre sí los distintos planos adoptados en el Esquema de Ordenamiento. Artículo 194. RÉGIMEN DE TRANSICIÓN. Para la aplicación de las normas contenidas en el presente Acuerdo, se deberá tener en cuenta lo siguiente: 1. Las solicitudes de licencia de urbanismo y construcción en sus diferentes modalidades serán estudiadas y resueltas conforme a las normas vigentes en el momento de su radicación, salvo que el interesado solicite de manera expresa le sea resuelta su solicitud
  • 141.
    CIPIO DE AGUAZUL ACUERDONo. _____ “POR EL CUAL SE ADOPTA LA REVISIÓN GENERAL DEL ESQUEMA DE ORDENAMIENTO TERRITORIAL DEL MUNICIPIO DE SUBACHOQUE” EOT 14 1 con base en las normas establecidas en el presente Esquema de Ordenamiento Territorial. 2. Las licencias en urbanizaciones por etapas, mantendrán su vigencia y servirán de base para la expedición de las licencias de las demás etapas, siempre que la licencia para la nueva etapa sea solicitada con un mínimo de treinta (30) días calendario antes del vencimiento de la licencia de la etapa anterior. 3. Los titulares de licencias de urbanismo que fueron expedidas conforme a normas anteriores a la adopción del presente Esquema, podrán solicitar durante la vigencia de la licencia de urbanismo o en el evento de haber ejecutado las obras aprobadas en la misma, que se le expida licencia de construcción con base en las normas o reglamentos contenidos en la licencia de urbanismo y demás normas urbanísticas y/o arquitectónicas aplicables en el momento de su expedición. 4. Los recursos de la vía gubernativa serán resueltos con fundamento en las normas que sirvieron de sustento para tomar la decisión. 5. Los usos del suelo que se encuentran definidos en los Acuerdos o Decretos anteriores a la aprobación del presente Acuerdo y que presenten conflicto de uso, se someterán a la presentación de un plan de manejo y mitigación de los impactos causados sobre el entorno y eventualmente la concertación de un tiempo de transición para su respectivo traslado al lugar o lugares que designe el presente Acuerdo; dicho tiempo se definirá entre la Secretaría de Planeación y el interesado y no podrá ser mayor a un año. Parágrafo. Se definen para el presente Acuerdo las áreas localizadas en conflicto de uso en suelo rural y urbano las siguientes: 1. Área Rural: Todos aquellos que están generando un impacto ambiental negativo y que requieren de licencia ambiental para su funcionamiento, entre otros; afectación de ronda de rió, áreas de protección ambiental, industrias y que estén en contradicción del presente Acuerdo. 1. Área Urbana: Todos aquellos localizados en las áreas que afecten la estructura ecológica principal determinada por el presente Acuerdo, y aquellos que vayan en contravía de los usos principales y/o complementarios dispuestos por el presente Esquema de Ordenamiento para cada área de actividad. Artículo 195. VIGENCIA Y DEROGATORIAS. El presente Acuerdo de Revisión general Esquema de Ordenamiento Territorial del Municipio de Subachoque, con sus anexos rige a partir de la fecha de su publicación, deroga en su totalidad el contenido del Acuerdo 015 y 029 de 2000, el Acuerdo 041 de 2001, Acuerdo 034 de 2003, Acuerdo 034 de 2006, sin perjuicio de lo dispuesto en el régimen de transición.
  • 142.
    CIPIO DE AGUAZUL ACUERDONo. _____ “POR EL CUAL SE ADOPTA LA REVISIÓN GENERAL DEL ESQUEMA DE ORDENAMIENTO TERRITORIAL DEL MUNICIPIO DE SUBACHOQUE” EOT 14 2 Dado en el Concejo Municipal del Municipio de Subachoque - Cundinamarca, a los ___ días del mes de ___________ de 2015, una vez surtidos los debates reglamentarios así: Primer Debate en Comisión del Plan, el día ___ de ____________ de 2015 y Segundo Debate en Sesión Plenaria el día ___ de _________ de 2015.