MODULO PROTECCIONES ELECTRICAS
CONTENIDO
Fundamentos de prácticas de protección
• Introducción
• Necesidad de un sistema de protecciones
• Características de los sistemas de protección
• Zonas de protección
• Protección principal y de respaldo
• Símbolos de equipos y dispositivos según normas ANSI/IEC
Cálculos de fallas
• Fallas trifásicas
• Análisis de redes de secuencia
• Ecuaciones y conexiones de redes de secuencia para diferentes
fallas
• Parámetros y circuitos equivalentes
• Distribución de corrientes en un sistema debido a una falla
CONTENIDO
Análisis de redes de secuencia
Componentes de un sistema de protecciones
•Transformadores de corriente y de voltaje
Tecnologías de relés
• Relés electromecánicos, estáticos, digitales y numéricos
Protección de sobrecorriente
• Procedimientos de coordinación
• Principios de coordinación corriente/tiempo
• Relés de sobrecorriente de tiempo inverso
• Relés temporizados e instantáneos
• Relés de sobrecorriente de tiempo definido
• Criterios de ajustes y coordinación para relés de sobrecorriente
CONTENIDO
Protección de sobrecorriente direccional
• Principios básicos
• Representación de las características de una protección
direccional
• Polarización de relés direccionales
• Aplicación de relés direccionales
Protección de distancia
• Generalidades
• Diagramas R-X
• Características de los relés de distancia
• Criterios de ajustes, ejemplos de aplicación.
• Esquemas de protección de distancia
CONTENIDO
Protección diferencial
• Protección diferencial de barras
• Protección diferencial tipo porcentual
• Protección diferencial de alta impedancia
• Protección diferencial de transformador
Recierre
• Aplicaciones
• Características de operación
FUNDAMENTOS DE PRACTICAS DE PROTECCION
Introducción
El desarrollo del proyecto de un Sistema Eléctrico de Potencia, así como el estudio racional de sus normas de
operación, debe consultar, básicamente, dos aspectos principales: operación en condiciones normales y
operación en condiciones anormales.
La operación en condiciones normales supone que el sistema cumple con los requisitos necesarios para servir
la demanda del consumo de acuerdo a una cierta calidad prefijada del servicio suministrado.
Así, por ejemplo, el sistema deberá poseer la capacidad de reserva necesaria para poder abastecer los
aumentos del consumo; mantendrá los niveles de voltaje dentro de rangos adecuados; regulará la frecuencia;
las cargas se repartirán entre las diferentes centrales generadoras conforme a la distribución más económica;
se mantendrá en forma adecuada; etc.
La operación normal de un sistema no considera la ocurrencia de fallas en el equipo, ni la presencia de
fenómenos incontrolables como tormentas y descargas atmosféricas, o los errores cometidos por los
operadores.
Cuando el sistema está bajo el efecto de uno de estos factores se dice que está operando bajo condiciones
anormales y en este caso pueden ocurrir dos fenómenos de importancia:
−El equipo o parte del sistema, puede sufrir daños de consideración si la intensidad y la duración de la
perturbación exceden magnitudes determinadas.
− La calidad del servicio suministrado se resiente gravemente.
Frente al problema de operación anormal, el proyectista de un sistema eléctrico de potencia puede adoptar dos
puntos de vista:
− Incorporar al diseño ciertas características que eliminen la posibilidad de fallas.
−Permitir la ocurrencia de las fallas incluyendo en el proyecto características y elementos que reduzcan
el daño causado por las mismas.
La primera solución es prácticamente imposible o por lo menos, no justificable económicamente. En la mayoría
de los casos, se sigue el criterio de permitir la ocurrencia de ciertas fallas y tratar de aminorar sus efectos tanto
en el equipo instalado como en la calidad del servicio suministrado. Un diseño moderno consulta ambas
soluciones en la proporción que los estudios económicos aconsejen.
Los sistemas de protecciones eléctricas constituyen el equipo más importante que se incluye en un sistema
eléctrico de potencia con el fin de alcanzar el último objetivo, esto es, aminorar los efectos de las fallas sobre el
equipo protegido desenergizándolo rápidamente y mejorar la calidad del servicio al eliminar o aislar aquellos
elementos que por su operación defectuosa puedan producir perturbaciones.
Con el notable crecimiento de los sistemas eléctricos en los últimos años, el aumento de interconexión, el alto
costo del equipo instalado y las exigencias cada vez mayores de un suministro de energía eléctrica seguro y de
óptima calidad, la técnica de las protecciones eléctricas ha debido necesariamente perfeccionarse en forma
paralela, pues, como ya se ha dicho, son ellas, en gran parte, las responsables de esas características
deseables. Por esto, un diseño cuidadoso del sistema de protecciones y la elección adecuada de sus
componentes es considerado, hoy en día, de una importancia fundamental en la operación de los sistemas
eléctricos.
Necesidad de un sistema de protecciones eléctricas
Las protecciones eléctricas son los dispositivos que tienen como principal finalidad la de detectar condiciones
anormales en la operación de un Sistema Eléctrico de Potencia y tomar en forma automática las medidas que
se requieran para restablecer la operación normal.
En el caso de fallas en equipos eléctricos, la medida será retirarlos del servicio y, en el caso de fallas en un
sistema eléctrico, será necesario aislar el sector que produce la anormalidad. Durante la operación normal de
los sistemas eléctricos, las acciones están entregadas al hombre o a equipos automáticos que desempeñan su
función dentro de límites determinados, en cambio, las protecciones no son requeridas en condiciones
normales pero deben estar disponibles inmediatamente para manejar condiciones intolerables para el sistema y
evitar daños mayores o paralizaciones no deseadas.
Características de los sistemas de protección
Las características de un sistema de protecciones se analizan principalmente bajo el punto de vista de su
operación en condiciones de anormalidad, siendo las principales las que se indican a continuación.
Confiabilidad o seguridad
Es la característica que permite garantizar la operación de las protecciones, cada vez que se produzca una
falla. Complementando esta definición se puede agregar que es la característica del relé o del sistema de
protecciones que le permite actuar correctamente cuando es requerido y evitar operaciones innecesarias.
Cuando se presenta la anormalidad, las protecciones deben estar en condiciones de operar correctamente. En
algunos casos, es posible que ciertos equipos sean requeridos muy pocas veces durante su vida útil, pero aún
en estas condiciones deberán operar en forma correcta. Para lograr esta cualidad se debe recurrir a diseños
simples, con componentes robustos y de buena calidad, que sean periódicamente sometidos a mantención
para comprobar que se encuentran bien calibrados, bien conectados y que la orden que emitan sea cumplida
por los sistemas de control.
Selectividad
Es la cualidad de las protecciones que les permite discriminar la ubicación de la falla, con el objeto de aislar
exclusivamente el equipo fallado, manteniendo en servicio lo que no sea imprescindible desconectar. De este
modo se obtiene la máxima continuidad del servicio con un mínimo de desconexiones.
Rapidez
Es conveniente que las protecciones operen en el mínimo tiempo posible, disminuyendo con ello la duración de
la falla, las perturbaciones al resto el sistema y los consecuentes daños a los equipos. La rapidez redunda
también en una mayor efectividad de las reconexiones automáticas y mejora la estabilidad del sistema. Aunque
es deseable la operación instantánea de las protecciones, muchas veces esta cualidad debe sacrificarse con el
objeto de mejorar otros aspectos, tales como la selectividad. La temporización en todo caso debe ser
compatible con los límites de resistencia de los equipos a las fallas consideradas y su empleo para obtener
selectividad está asociado a otra característica que siempre debe considerarse, como es la economía.
Exactitud
Las protecciones deben operar con la mínima desviación respecto de la magnitud teórica de ajuste. La
exactitud, se expresa como un error de medida, es decir, como la razón entre el valor de operación y el valor
teórico de ajuste. Las desviaciones máximas aceptadas varían entre un 5 y un 10%, según el caso.
Sensibilidad
El sistema de protecciones y sus elementos asociados debe ser capaz de operar detectando la falla de mínimo
nivel que ocurra dentro de su zona de operación o la menor variación de la magnitud que controla respecto de
la magnitud de referencia o ajuste. Esto no siempre es posible en la práctica. Por ejemplo, en períodos de
sequía o en la época de verano, cuando cae una fase a tierra (pavimento) se producen fallas de muy baja
corriente, las que pueden no ser detectadas por las protecciones.
Puesto que no es posible satisfacer plenamente cada uno de estos requerimientos en forma simultánea, deben
adoptarse algunas soluciones de compromiso. En general se otorga mayor atención a aquellos problemas que
de acuerdo a la experiencia es posible que ocurran. De aquí que se diga que el tema de las protecciones tiene
mucho de técnica pero es también un arte. De hecho, diferentes especialistas utilizando una lógica razonable
pueden llegar a soluciones significativamente diferentes para un mismo problema.
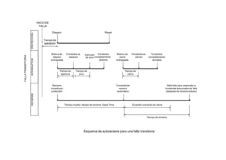
Zonas de operación
Las protecciones del sistema de potencia abarcan ciertas zonas de operación según su tipo. Es conveniente
que entre las zonas de operación de dos protecciones contiguas no queden sectores sin cubrir por alguna de
ellas. Para este efecto se deben superponer los bordes de las zonas contiguas y por lo tanto, no se acepta que
sean tangentes. La figura siguiente muestra el Diagrama Unilineal de un sistema, indicando las zonas de
protección.
1 Generador o unidad generador-transformador
2 Transformadores
3 Barra de subestaciones
4Líneas de transmisión o distribución
5 Motores
Protección de respaldo
Si al producirse una anormalidad en el sistema de potencia, la protección encargada de aislar la zona (llamada
protección principal) no opera, los daños a los equipos serían mayores y la falla se propagaría por el resto del
sistema con las consecuencias previsibles.
Para que esto no ocurra se utiliza el respaldo, es decir, otra protección deberá ser capaz de detectar la falla y
aislarla, aún a costa de dejar fuera de servicio equipos o sectores en condiciones normales. Donde más se
aplica esta técnica, por razones económicas es en el caso de los cortocircuitos. Según la ubicación de la
protección que da respaldo, este puede ser local o remoto.
Respaldo Local
Se ubica en la zona protegida y puede ser del tipo duplicación de la protección completa o parte de ella. Puede
ser también del tipo adicional, tal como un relé de tiempo por ejemplo.
Respaldo Remoto
Este tipo de respaldo lo proporciona una protección ubicada en otro punto del sistema de potencia. Por lo
general, esta protección es del tipo principal en su zona de operación.
Símbolos de equipos y dispositivos según normas ANSI/IEC
Existen dos métodos para indicar las funciones de los relés de protección:
Uno es dado por la norma ANSI C37-2 y utiliza un sistema de números para cada función. Las funciones se
complementan con letras donde se requiere una ampliación de la función.
El otro es dado por la norma IEC 60617 y utiliza símbolos gráficos.
CALCULOS DE FALLAS
Introducción
Un sistema de potencia es tratado normalmente como una red trifásica simétricamente balanceada. Cuando
ocurre una falla normalmente se pierde la simetría, por lo que resulta en la aparición de corrientes y tensiones
desbalanceadas.
La única excepción es la falla trifásica, la cual debido a que involucra las tres fases en forma igual en la misma
ubicación, se describe como una falla balanceada.
Es posible analizar estas condiciones de falla utilizando un análisis de componentes simétricas y reemplazando
las fuentes del sistema por una fuente en el lugar de la falla.
Para la correcta aplicación de los equipos de protección, es esencial conocer la distribución de la corriente de
falla a través de todo el sistema y los voltajes en diferentes partes del sistema debido a una falla.
Adicionalmente, se deben conocer los valores límites de corriente en cualquier ubicación de relés si se requiere
despejar la falla con discriminación.
La información que normalmente se requiere para cada falla en cada ubicación de relé es la siguiente:
•Corriente de falla máxima
•Corriente de falla mínima
•Distribución de corriente de aporte
En general las corrientes de cortocircuito alcanzan magnitudes mucho mayores que los valores nominales de
los generadores, transformadores y líneas. Si se permite que estas corrientes circulen por un período
prolongado, pueden causar un serio daño térmico al equipo y problemas de estabilidad de funcionamiento en el
sistema de potencia.
En este aspecto, el tipo de cortocircuito más severo es el trifásico, el que además de dar valores elevados de
corriente, reduce a cero la capacidad de transmisión de una línea, lo siguen los cortocircuitos bifásico y
finalmente el monofásico. En cambio, el tipo mas frecuente es el monofásico (aproximadamente el 75% de los
casos ) y el menos frecuente es el trifásico (aproximadamente el 5% de los casos).
Los objetivos que se buscan al realizar un cálculo de cortocircuito son los siguientes:
•Definir la capacidad de ruptura de los interruptores necesarios en las diversas partes de un sistema de
potencia, para lo que se realiza normalmente un cálculo de cortocircuito trifásico simétrico, debido a que
este tipo de falla produce las corrientes de cortocircuito más elevadas en la mayoría de los casos.
•Ayudar a establecer un sistema adecuado de protección para diversas condiciones de falla, para lo que
se debe realizar un cálculo de distribución de corrientes en la red del sistema eléctrico de potencia tanto
para cortocircuitos simétricos como asimétricos (usualmente el cortocircuito monofásico).
En general, el Cálculo de Cortocircuitos debe proporcionar los siguientes resultados:
•La corriente en el punto de falla
•La potencia de cortocircuito en el punto de falla
•La distribución de corrientes de falla en todas las líneas del sistema de potencia
•Las tensiones de falla en todas las barras
Fallas trifásicas
Métodos de cálculo:
•Teorema de Thevenin
•Matriz de impedancias de barra
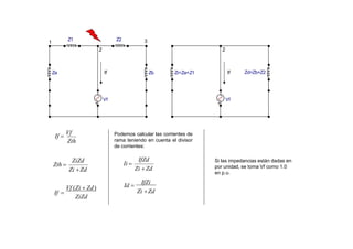
Teorema de Thevenin
•Cortocircuitar las fuentes de tensión para obtener la impedancia de Thevenin.
•Reemplazar el punto de falla por una fuente de voltaje con tensión -Vf
•Calcular I falla como la relación entre la tensión en el nodo antes de ocurrir la falla y la impedancia de
Thevenin
Va
Za
Z1
Vb
Zb
Z2
1
2
3
Zi=Za+Z1
Za
Z1
Vf
Zb
Z2
Vf
Zd=Zb+Z2
1
2
3
If If
Zth
If 
Vf
ZiZd
Zi Zd
Zth 
Vf (Zi  Zd)
ZiZd
If 
Podemos calcular las corrientes de
rama teniendo en cuenta el divisor
de corrientes:
Si las impedancias están dadas en
por unidad, se toma Vf como 1.0
en p.u.
IfZd
Zi Zd
Ii 
Zi Zd
Id 
IfZi
2
Va
Za
Z1
Vb
Zb
Z2
1
2
3
Se presume que V en el nodo con
falla es igual a 0
Ii Id
Podemos obtener las tensiones en
los otros nodos de la siguiente
forma:
V1 IiZ1 V3  IdZ2
Ejemplo:
Si
Z1  j0.05 pu
Z 2  j0.02 pu
Za  j0.1pu
Zb  j0.12pu
Va Vb 1.00 pu
If 
Vf (Zi  Zd)
j0.15* j0.14
ZiZd
If 
1.0( j0.15  j0.14)
If   j13.80 pu
If 13.8090pu
IfZd
Ii 
j0.15  j0.14
Zi  Zd
 j13.80 * j0.14
Ii 
Ii   j6.66pu
Ii  6.6690pu
IfZi
Id 
j0.15  j0.14
Zi  Zd
 j13.80 * j0.15
Id 
Id   j7.14 pu
Id  7.14 90pu
V1  IiZ1   j13.80* j0.05  0.33pu V3  IdZ2   j7.14* j0.02  0.14 pu
Ejercicio:
1
2
3
4
•Calcular la corriente de falla para un corto trifásico en el nodo 2
•Calcular las corrientes a través de cada una de las impedancias debido a la falla trifásica en el nodo 2
•Calcular las tensiones en los nodos 1, 2, 3 debido a la falla trifásica en el nodo 2
Va=1.0pu
j0.1
j0.2
j0.3
j0.2
j0.4
j0.5
Vc=1.0pu
j0.15
Vb=1.0pu
j0.12
Matriz de Impedancias
1
2
3
Va
Za
Z12
Z14
Z42
Z23
Z43
Vc
Zc
Vb
4
Zb
Ik YnodoVn



 
34
33
32
31
21
Y44
Y42 Y43

Y41
Y Y Y
Y
Y Y Y
Y1
1 Y12 Y13 Y14

Y 
22 23 24
Ynodo
De acuerdo con la ecuación de nodos:
De donde:
Ykk  Suma de las
admitancias
propias del nodo k
Ykn  Ynk Admitancia mutua
entre los nodos n y
k
Matriz de Impedancias
1
2
3
Va
Za
Z12
Z14
Z42
Z23
Z43
Vc
Zc
Vb
4
Zb
1 1 1
1 1 1
1 1 1
43
42
14
44
42
23
12
22
14
12
b
a
Z Z Z Z
Z23 Z43
1 1 1 1
Z Z Z
   )
Y  (
Y33  (  
Z
)
c
  )
Y  (
Y11  (
Z

Z

Z
)
Entonces:
14
13 31
12
21
12
1
1
Z
Y14  Y41 
Z
Y  Y  0
Y  Y 
43
43
34
42
42
24
23
32
23
1
1
1
Z
Z
Z
Y  Y 
Y  Y 
Y  Y 



 
31 32 33 34

21 22 23 24
1
Z44 
Z42 Z43

Z41
Z Z Z
Z
Z11 Z12 Z13 Z14 
Z Z Z Z 
Z  Ynodo
barra
Definida la matriz de admitancias de nodos obtenemos la matriz de impedancias de barra
De donde:
Zkk  Impedancia de Thevenin vista en el nodok
Para una falla en nodo 2:
Aplicando el Teorema de Thevenin se reduce el
circuito:
1
2
3
4
Vf
Za
Z12
Z14
Z42
Z23
Z43
Zc
Zb
If
Ik YnodoVn





 
 
 
 4 
3
1
 0 
 0 
 0 
 V 
V 
 Vf 
nodo
 V 
 I f 
Y
1 3 4
V 
,V 
,V 
Tensiones en los
nodos 1, 3, 4 debido
a la falla
Invirtiendo la matriz de admitancias
obtenemos la matriz de impedancias:






 


 
 0 
 0 
 4 
3
f 
barra
 0 
 I 
f 
 Z
 V 
 V 
V
V1

 







 


 0 
14

 
11 12 13
 4
3
1
Z44  0 

Z41
Z34 
 0 
Z31
Z24 
I f 
Z22 Z23
Z32 Z33
Z42 Z43
 
Z Z Z Z
V
 V 
 Vf 
 Z
2
1
V 
Reemplazando por la matriz de impedancias:
De donde se obtiene:
V 
 Z I
4 42 f
V 
 Z I
3 32 f
V 
 Z I
1 12 f
Vf  Z22 If
Entonces:
Z
I f

Vf
Como V se asume 1.0 pu yZ
f
están dadas en pu, entonces
pu
Z
f
22 22
1
I 
pu
Zkk
f
1
I 
Antes de ocurrir la falla se supone que no hay corriente de carga, por lo tanto las tensiones en los nodos
son iguales a 1.0 pu
Por superposición:
V post-falla = V pre-falla + V debido a la falla
En general para una falla en nodo k:
22
22
Z
Z
Z
42 f
32 f
1 1 12 f
I  1
Z42
 1 32
Z22
V2  1Vf  0
V 1V 
1 Z
4 4
V 1V 
1 Z I
3 3
V 1V 
1 Z I  1
Z12
Vk  0
y la tensión post-falla en el nodo n:
kk
nk
n
Z
Z
V 1
Las corrientes en cualquier parte del circuito se pueden obtener de los voltajes e impedancias, así:
12
Z
I
12 14
14
Z

V1 V2

V1 V4
23
32
Z
I I 
V3 V2
42
42
Z
I 
V4 V2
34
34
Z
I 
V3 V4
a
a
Z
I 
Va V1
b
b
Z
I 
Vb V4
c
c
Z
I 
Vc V3
1
2
3
Va
Za
Z12
Z14
Z42
Z23
Z43
Vc
Zc
Vb
4
Zb
Ejercicio 1:
1
2
3
4
Empleando la matriz de impedancias:
•Calcular la corriente de falla para un corto trifásico en el nodo 2
•Calcular las corrientes a través de cada una de las impedancias debido a la falla trifásica en el nodo 2
•Calcular las tensiones en los nodos 1, 2, 3, 4 debido a la falla trifásica en el nodo 2
•Calcular la corriente de falla para un corto trifásico en el nodo 4
•Calcular las corrientes a través de cada una de las impedancias debido a la falla trifásica en el nodo 4
•Calcular las tensiones en los nodos 1, 2, 3, 4 debido a la falla trifásica en el nodo 4
Va=1.0pu
j0.1
j0.2
j0.3
j0.2
j0.4
j0.5
Vc=1.0pu
j0.15
Vb=1.0pu
j0.12
1
2
3
4
Va=1.0pu
j0.1
j0.2
j0.3
j0.2
j0.4
j0.5
Vc=1.0pu
j0.15
Vb=1.0pu
j0.12
Y
1 1 1
0.1 0.3 0.2
1
0.2
0
1
0.2
1 1 1
0.2 0.2 0.4
1
0.4
0
1
1
0.4
1 1
0.4 0.5 0.15
1
0.3
1
0.2
1
0.5
1 1 1 1 1 1 1
0.3 0.2 0.5 0.12 0.5 0.3 0.2
j
Z Y 1
0.07j 0.041j 0.014j 0.025j
0.041j 0.121j 0.035j 0.043j
0.014j 0.035j 0.101j 0.023j
0.025j 0.043j 0.023j 0.072j
Z 
Para falla en nodo 2:
2 2
Z 0.121j If
1
Z
2 2
If  8.294j
V1 1
Tensiones de nodo:
Z
1 2
Z
2 2
1 2
Z 0.041j V1 0.662
V3 1
V2 0
Z3 2
Z
2 2
V4 1
Z
4 2
Z
2 2
4 2
Z
3

2
0.035j V3  0.712
Z  0.043j V4  0.641
1
2
3
4
Va=1.0pu
j0.1
j0.2
j0.3
j0.2
j0.4
j0.5
Vc=1.0pu
j0.15
Vb=1.0pu
j0.12
Corrientes a través del circuito:
I
12
V1 V2
j0.2 12
I 3.31j I
14
V1 V4
j0.3 14
I  0.07j I
42
V4 V2
j0.2 42
I 3.205j
I32
V3 V2
j0.4 32
I 1.78j I34
V3 V4
j0.5 34
I 0.142j
Ia
1 V1
j0.1
Ia 3.38j Ib
1 V4
j0.12
Ib 2.992j Ic
1 V3
j0.15
Ic 1.921j
Se puede comprobar que:
12 14
I I I
12 42 32
 8.294j If 8.294j
En nodo 1:
En nodo 3:
Ia I I 0
Ic I34 32
I 0
En nodo 2:
En nodo 4: 14 34 42
Ib I I I 0
Asimismo: Ia Ib Ic 8.294j
Análisis de Redes de Secuencia
Ecuaciones generales
Cualquier corriente o voltaje desbalanceado se puede determinar por las componentes de secuencia a partir de las
siguientes ecuaciones:
I A  I1  I2  I0 VA V1V2 V0
I  a2
I  aI  I V  a2
V  aV V
B 1 2 0 B 1 2 0
I  aI  a2
I  I V  aV  a2
V V
C 1 2 0 C 1 2 0
De las anteriores ecuaciones se pueden determinar las cantidades de secuencia a partir de un sistema desbalanceado:
3
3
3
2
1
C
B
A
C
B
A
C
B
0 A
 aI )
 a2
I
I 
1
(I
 a2
I )
 aI
I 
1
(I
I 
1
(I  I  I )
3
3
3
2
1
0
C
B
A
C
B
A
A B C
 aV )
V 
1
(V  a2
V
 aV  a2
V )
V 
1
(V
V 
1
(V V  V )
De estas se deduce que:
3I0  I A  IB IC 3V0 VA  VB VC
La aplicación del método de las componentes simétricas al cálculo de cortocircuitos asimétricos significa que cada
componente del sistema de potencia se representa por tres circuitos equivalentes monofásicos, correspondiendo cada
uno a una determinada secuencia.
En cada uno de estos circuitos equivalentes las variables tensiones y corrientes corresponden a una misma secuencia y
las impedancias asociadas a los elementos reciben el nombre de impedancia a la secuencia que corresponde.
Veremos a continuación, los circuitos equivalentes de secuencia de los elementos componentes del sistema.
Líneas:
Las líneas se representan tal como se muestra en los circuitos siguientes.
Impedancia de secuencia
positiva
Impedancia de secuencia
negativa
Impedancia de secuencia
cero
Generalmente: Z1 = Z2  Z0; ya que en secuencia cero es necesario considerar tanto el efecto del retorno por tierra,
como el de los conductores de guarda, en caso que ellos existan, debido a que la corriente se reparte por ambos
caminos
E
+
Z1
I1
V1
Generadores:
Los generadores están proyectados para entregar tensiones en secuencia positiva (tensiones trifásicas balanceadas).
Por lo tanto, la red de secuencia positiva está formada por una fuente de voltaje en serie con la impedancia de
secuencia positiva del generador.
Barra de referencia
V1 E  I1Z1
E = tensión del generador
Z2
V2
Z1 = impedancia de secuencia positiva del
generador
La red de secuencia negativa no contiene fuente de voltaje, por lo tanto está formada solamente por la impedancia de
secuencia negativa del generador.
Barra de referencia
V2  I2 Z2
Z2 = impedancia de secuencia negativa del
generador
I2
La barra de referencia para las redes de secuencia positiva y negativa es el neutro del generador.
Z0
I0
V0
La red de secuencia cero depende de la forma en que se aterrice el neutro del generador.
•Si el neutro del generador está solidamente aterrizado:
Barra de referencia
V0  I0 Z0
Z0 = impedancia de secuencia cero del
generador
Z0g+3Zn
I0
V0
•Si el neutro del generador está aterrizado a través de una impedancia Zn:
El voltaje de la red de secuencia cero es igual a la suma del voltaje de secuencia cero a través del generador más el
voltaje de secuencia cero a través de la impedancia Zn.
A través de la impedancia Zn circula In, donde In = IA+ IB+ IC = 3I0. Por lo tanto el voltaje de secuencia cero a través de
Zn es -3I0Zn.
El voltaje de secuencia cero a través del generador es -I0Z0g.
Entonces el voltaje de secuencia cero para el sistema es -I0(Z0g+3Zn)
Barra de referencia
V0  I0 (Z0 g  3Zn)
Z0g = impedancia de secuencia cero del
generador
Z0g I0
•Si el neutro del generador no está aterrizado:
En este caso se supondría que el generador está aterrizado a través de una impedancia Zn con valor infinito, por lo
que la red de secuencia cero se comportaría como un circuito abierto. En este caso no hay circulación de corriente de
secuencia cero.
Barra de referencia
I0  0
V0
Transformadores:
Para los transformadores la impedancia de secuencia positiva es igual a la de secuencia negativa, ya que éste se
comporta de igual manera independientemente de la secuencia de las fuentes voltajes.
Impedancia de secuencia
positiva
Impedancia de secuencia
negativa
Generalmente, en el caso de los transformadores Z1 = Z2  Z0. Pero hay que tener en cuenta el grupo de conexión y
de la existencia o no de neutros conectados a tierra para saber si hay corrientes de secuencia cero.
Redes de secuencia cero para transformadores de dos devanados
Redes de secuencia cero para transformadores de tres devanados
1
2
2
pt
st
s ps
st
pt
p ps
Zt 
2
(Zpt  Zst  Z ps )
Z 
1
(Z  Z  Z )
Z 
1
(Z  Z  Z )
t
s
Z pt  Z p  Z
Zst  Zs Zt
Z ps  Z p Z
Análisis de algunos tipos de fallas
1) Falla monofásica a través de una impedancia Zf
De la figura anterior se observa que:
Ib  Ic  0 Va  ZF Ia
a
B C
A
a
C
B
A
a
B C
3
3
3
1
3
3 3
2
2
1
0 A
I 
1
(I  a2
I  aI ) 
1
I
 aI  a I )  I
I 
1
(I
I 
1
(I  I  I ) 
1
I
Las componentes simétricas de corriente quedan:
Por lo tanto:
2
1
I0  I1  I2 
3
Ia
Ia  3I0  3I1  3I (1)
Para las componentes simétricas de voltaje se tiene:
3
3
1
C
B
2 A
C
B
1 A
V 
1
(V  a2
V  aV )
V 
1
(V  aV  a2
V )
V0 
3
(VA VB VC ) Por lo tanto:
V0 V1V2 Va  ZF Ia
De (1):
V0 V1 V2  3I0 ZF  3I1ZF  3I2 ZF (2)
De las ecuaciones (1) y (2) se deduce que las redes de secuencia positiva, negativa y cero quedan conectadas en
serie, como se muestra a continuación:
E
+
I1
V1
3ZF
Z1
V2
I2
Z0
Z2
V0
I0
F
F
E
3E
1
1
 Z2  Z0  3Z
Ifalla  Ia  3I0 
Z
 Z2  Z0  3Z
I0  I1  I2 
Z
Del circuito se tiene:
0
0
I  aI  a2
I  I
c 1 2
I  a2
I  aI  I  0
b 1 2
 0
Del circuito también se tiene:
V2  I2 Z2 
E
F
Z0
Z1  Z2  Z0  3Z
V0  I0 Z0 
E
F
F
1
EZ1
Z1  Z2  Z0 3Z
Z2  Z0 3ZF

Z  Z  Z 3Z
V1 E  I1Z1  E 
E
F
2 0
Z2
Z1  Z2  Z0  3Z

Por lo tanto los voltajes de fase se pueden calcular a partir de sus componentes simétricas así:
Va V1V2 V0
V  a2
V  aV V
b 1 2 0
V  aV  a2
V V
c 1 2 0
Si la falla es directa a tierra, entonces ZF = 0 y:
0
3E
Z1  Z2 Z
Ifalla  Ia  3I0  Ib  Ic  0 Va  0
E
1
Z1  Z2  Z0
Z2 Z0
V 
0
Z2
2
Z1  Z2 Z
V   E
0
Z0
0
Z1  Z2 Z
E V  
2) Falla bifásica:
De la figura anterior se observa que:
Vb Vc
b
c
b c
Ib
Ib
3
1
3
3
1
3
a2
2
2
0 a
 a
I2 
3
(Ia  a I  aIc )
a a2
I1  (Ia  aIb  a I ) 
I 
1
(I  I  I ) 0
Ia  0
Ib  Ic
Las componentes simétricas de corriente quedan:
Por lo tanto:
2
1
I  I
I0  0 (1)
Para las componentes simétricas de voltaje se tiene:
3
)
1
3
2
b c
2 a
c
b c
0 a
V 
1
(V  a2
V  aV )
V1
3
(Va  aVb  a V
V 
1
(V  V V ) Como: Vb Vc
Entonces: V1V2 (2)
E
+
Z1
I1
V1
I2
V2
Z0
I0
V0
Z2
2
1
E
Z  Z
I1  I2 
De las ecuaciones (1) y (2) se deduce que las redes de secuencia positiva y negativa quedan conectadas en paralelo,
y la red de secuencia cero queda desconectada:
Del circuito se tiene:
2
1
1
0
1
0
2 0
E
E
 Z
 Ib   j 3
Z
 I (a  a2
)
I  aI  a2
I  I
c 1 2
Z1 Z2
 j 3
 I (a2
 a)
I  a2
I  aI  I
b 1 2
Ia  I1  I  I  0
Del circuito también se tiene:
V2  I2 Z2 
V0 0
E
2
1
Z2
2
1
EZ1
Z  Z

Z  Z
V1 E  I1Z1  E
E
2
1
Z2
Z  Z
Por lo tanto los voltajes de fase se pueden calcular a partir de sus componentes simétricas así:
Va V1V2 V0  2V1
V  a2
V  aV V  V
b 1 2 0 1
V  aV  a2
V V  V
c 1 2 0 1
Se observa que:
V1 V2
Vb Vc
Para fallas trifásicas vimos que la corriente de falla se calcula de la siguiente manera:
Zth
If 
Vf
Por ser una falla balanceada, la impedancia Zth corresponde a la impedancia de secuencia positiva y al
considerar Vf como 1.0 en pu, podemos escribir la ecuación anterior de la siguiente forma:
1
Z
I 
1
3
Para fallas bifásicas la corriente de falla es igual a:
E
b
Z1 Z2
I  j 3
Considerando que Z1 = Z2 y asumiendo que E = 1.0 en pu, la magnitud de las corrientes de fallas bifásicas se
puede calcular así:
1 1 1
E 3 1 3
 
 Z 2 Z 2
I3
I2  3
Z
3
I2 
2
I3
Por lo tanto:
Para fallas monofásicas la corriente de falla es igual a:
0
1 2 0 1
3E 3

Z  Z  Z 2Z Z
I 
1
Por lo que: I1  I3 si Z0 = Z1, y I1  I3 si Z0 < Z1
Componentes de un sistema de protecciones
La protección de un equipo eléctrico puede ser tan simple como un fusible o tan compleja como los modernos
relés de tipo numérico, que hacen uso incluso de enlaces de fibra óptica para transmitir la información de un
punto a otro. Por esta razón, una definición de Sistema de Protecciones debe ser lo suficientemente amplia
como para incluirlas a todas.
Sistema de Protecciones es el conjunto de elementos y de sus circuitos de control asociados que se encuentran
interconectados o dependientes entre sí, cuya función es proteger a un equipo o a un conjunto de equipos. Este
conjunto de elementos operará bajo condiciones predeterminadas, usualmente anormales, desconectando un
elemento del sistema de potencia o emitiendo una señal o ambas cosas. Bajo la perspectiva de esta definición y
tratando de referirse siempre a los casos más generales, los componentes de un sistema de protecciones, tal
como se muestra en la figura siguiente, son :
Transformadores de medida
Los transformadores de medida son los elementos que permiten obtener la información acerca de las condiciones
de operación de un sistema de potencia, en la forma de señales secundarias de corriente o de tensión
proporcionales a las magnitudes primarias. Bajo este término común se agrupan los transformadores de corriente
TC y de potencial TP, para diferenciarlos de los transformadores comunes.
Relés de protección
Son los elementos que reciben la información de los transformadores de medida y que son capaces de discriminar
entre una condición normal y anormal. Cuando el relé detecta una condición anormal inicia su acción (“opera”),
generalmente a través de contactos que se cierran o se abren y que, en forma directa o indirecta, habilitan los
circuitos de apertura o desenganche de los interruptores de potencia.
Interruptores de potencia
Dispositivos que cumplen con la función de aislar o desconectar los equipos, ya sea por operación de las
protecciones o de las personas que manejan el sistema eléctrico. Se denominan interruptores de potencia para
diferenciarlos de otros dispositivos que no son capaces de interrumpir un circuito en condiciones de falla por no
tener la capacidad de ruptura necesaria, aún cuando están diseñados para aislar partes del circuito.
Circuitos de control
Conjunto de elementos que interconectan a los tres componentes anteriores. Entre estos elementos se puede
mencionar: alambrados; regletas de conexiones; switches; relés auxiliares; lámparas de señalización; dispositivos
anunciadores; etc. Se analizarán a continuación, las principales características de los distintos elementos que
componen los sistemas de protecciones.
Transformadores de medida (TM)
Los transformadores de medida cumplen con varios objetivos como son:
Aislarse del circuito de Alta Tensión: Puesto que no existen ni serían prácticos instrumentos o relés para
conexión directa a la alta tensión, se usan transformadores que cumplen con la función de entregar corrientes o
voltajes en baja tensión con el objeto de proteger tanto a los instrumentos como a las personas que los operan.
Disponer de magnitudes normalizadas: Los secundarios de los TM entregan valores normalizados de modo de
facilitar la utilización de instrumentos u otros dispositivos que por tener un bajo nivel de aislamiento resultan
pequeños y económicos.
Efectuar medidas a distancia: Al disminuir los niveles de las magnitudes a medir y al estar aislados de la alta
tensión, se hace posible instalar los elementos de medida y protección a distancias mas o menos alejadas del
punto de ubicación de los TM. Sin embargo, esta distancia no puede ser mayor de unos 100 a 150 m, puesto
que los conductores comienzan a ser una carga apreciable que compromete la exactitud de las medidas. Con la
aparición de los relés de estado sólido y de los transductores electrónicos de medida, las distancias
mencionadas han podido superarse largamente.
Realizar aplicaciones en protecciones y medidas: Interconectando adecuadamente los secundarios de los TM,
se pueden obtener otras magnitudes de gran utilidad en la aplicación de algunas protecciones y medidas. A
modo de ejemplo, se pueden mencionar los dos circuitos que se muestran en las figuras siguientes, que
permiten obtener voltajes y corrientes de secuencia cero, respectivamente.
Proteger instrumentos: Esta aplicación es particularmente válida en el caso de los TC destinados a medidas, ya
que al ocurrir un cortocircuito se aprovecha un bajo índice de saturación del núcleo para provocar un elevado
error negativo en la corriente secundaria, de modo que ésta no se eleve muy por encima de los valores
nominales. Se protegen de esta manera las bobinas de corriente de instrumentos tales como: amperímetros;
vatímetros; fasímetros; etc.
Obtención de voltaje de secuencia cero Obtención de corriente de secuencia cero
Transformadores de potencial (TP)
Son los transformadores de medida utilizados para reducir las tensiones primarias del sistema de potencia a
tensiones secundarias de rangos normalizados (110-120 volt), en forma directamente proporcional.
El transformador de potencial es muy similar a un transformador de potencia ya que ambos tienen la finalidad de
cambiar el nivel de la tensión. Un transformador de potencia está destinado a servir una carga sin exceder un
aumento de temperatura especificado. El transformador de potencial se define, en cambio, en términos de la
máxima carga (o burden) que es capaz de entregar sin exceder los límites de error de relación y de ángulo
especificados; esto significa que la carga que es capaz de servir, sin exceder los valores permitidos de aumento de
temperatura, puede llegar a ser hasta diez veces superior a su burden nominal.
Circuito equivalente
y diagrama fasorial
de un TP referidos
al lado primario
Ejemplo: Sea,
RTP = 110000/110
Vp = 110000
Vs = 109.89
Entonces el error de relación sería
El error de fase es la diferencia angular entra los voltajes primario y secundario ()
Es positivo cuando el voltaje secundario se adelanta al voltaje primario
Errores:
Los errores de relación y fases del transformador se pueden calcular utilizando el diagrama vectorial anterior.
El error de relación se define como: RTP Vs Vp
x100%
Vp
donde:
RTP es la relación de transformador de potencial
Vp es la tensión primaria
Vs es la tensión secundaria
Si el error es positivo, entonces el voltaje secundario excede a la tensión nominal.
110000
109.89 110000
110 x100%  0.1%
110000
Todos los transformadores de potencial deben cumplir con las tablas siguientes:
Clase de
precisión
0.25 - 1.0 x tensión nominal
0.25 - 1.0 x burden nominal a 0.8fp
Error de relación
(%)
Error de fase
(min)
0.1 +/- 0.1 +/- 5
0.2 +/- 0.2 +/- 10
0.5 +/- 0.5 +/- 20
1.0 +/- 1.0 +/- 40
3.0 +/- 3.0 no se especifica
Errores límites para TPs de medida
Clase de
precisión
0.25 - 1.0 x burden nominal a 0.8fp
0.05 - Vf x tensión nominal
Error de relación
(%)
Error de fase
(min)
3P +/- 3.0 +/- 120
6P +/- 6.0 +/- 240
Errores límites para TPs de protección
De la última tabla, Vf es un límite superior de la tensión de operación, expresada en por unidad de la tensión
nominal. Es importante para una correcta operación de las protecciones y operación bajo condiciones de fallas
desbalanceadas en sistemas no aterrizados o aterrizados a través de impedancias, lo que resulta en un incremento
en la tensión de las fases no falladas.
Factor de
voltaje Vf Tiempo
Condiciones de aterrizamiento
Devanados primariosTP Sistema
1.1 Ilimitado No aterrizado Aterrizado o no
1.5 30 s Aterrizado Aterrizado
1.9 30 seg u 8 horas Aterrizado No aterrizado
Protección de los TPs
Los TPs pueden ser protegidos por fusibles en el lado primario y para tensiones de hasta 66 kV. Para tensiones
mayores, los fusibles generalmente no tienen suficiente capacidad de interrupción.
El secundario de un TP siempre debe estar protegido por fusibles o mini circuit breakers MCB, el cual debe estar
ubicado lo más cerca posible del TP.
Un cortocircuito en el secundario producirá corrientes de muchas veces la salida nominal, causando un
sobrecalentamiento. Aunque se instalen fusibles en el primario, éstos no despejarán fallas en el lado secundario
debido al valor muy bajo de corriente.
Obtención del voltaje residual
Durante una falla a tierra, la suma de las tensiones de fase no es igual a cero, por lo que el voltaje residual se puede
medir conectando los devanados secundarios de los TPs en “delta abierta”.
A menudo, los TPs están provistos con un secundario conectado en estrella normal y un devanado “terciario”
conectado en delta abierta.
Si los TPs no están provistos del devanado “terciario” para la delta abierta, se pueden utilizar TPs auxiliares con
conexión estrella / delta abierta, energizados desde el lado secundario de los TPs principales, tal como se muestra a
continuación.
Los TPs auxiliares deben cumplir los requerimientos para soportar el factor de voltaje Vf
Transformadores de corriente (TC)
Son los transformadores de medida destinados a entregar una corriente secundaria proporcional a la que circula por
su enrollado primario. Este enrollado está conectado en serie con el circuito de poder que se pretende medir. En
cualquier caso, su impedancia es despreciable comparada con la del circuito de potencia, aún si se considera el
efecto de la impedancia del circuito secundario transferido.
Se construyen como elementos monofásicos, cuyo primario tiene muy pocas espiras (normalmente una sola). El
núcleo puede ser de material ferromagnético o de aire. En el primer caso poseen una potencia de salida importante,
por lo que son aptos para usar con relés electromecánicos; sin embargo, no existe una proporcionalidad total entre
las corrientes de los enrollados primario y secundario, debido a las características no lineales de los materiales
utilizados en el núcleo. Los TCs con núcleo de aire tienen baja potencia de salida por lo que sólo se pueden usar
con relés del tipo estático, sin embargo, la corriente secundaria es siempre proporcional a la corriente.
Según las características constructivas de la bobina primaria, los TT/CC se clasifican en:
•Tipo bobinado: La bobina primaria se enrolla con una o más vueltas al núcleo de hierro. Las bobinas
primarias y secundarias se encuentran aisladas entre sí y también están aisladas del núcleo
•Tipo barra: Consiste en un conductor fijo, aislado, en forma de barra o tubo, como bobina primaria que
atraviesa el núcleo de hierro, en general de forma toroidal al que se ha enrollado la bobina secundaria.
•Tipo ventana: Es aquel que consta solamente de una bobina secundaria enrollada alrededor de un núcleo de
hierro y en el cual la bobina primaria no forma parte del TC propiamente tal.
•Tipo bushing: Tiene un núcleo de hierro toroidal al cual se ha enrollado la bobina secundaria pero no tiene
bobina primaria. Va montado en el bushing de los transformadores de potencia y la bobina primaria la forma
el cable conductor del circuito de potencia.
Circuito equivalente y diagrama fasorial
A continuación se muestra el circuito equivalente y el diagrama fasorial para un TC. Las impedancias están referidas
al lado primario. Ze es la impedancia de fuga o equivalente del TC, normalmente de valor pequeño. Z0 es la
impedancia de excitación y Zb es la impedancia de carga o burden
I1  I0 aI2
En un transformador de corriente interesa que el error de relación “a” y de ángulo “β” sean mínimos, por lo que, de
las expresiones y figuras anteriores, se observa que es necesario disminuir la corriente de excitación I0. Por esta
razón, si se considera que tanto Ze como Zb son parámetros constituidos por elementos no saturables, el análisis
del comportamiento de un TC se efectúa a través de su característica de excitación.
1 2
N I
de donde a 
N2

I1
es la relación de transformador de corriente o RTC
La magnitud de la corriente de excitación I0 de un transformador, depende del tipo de material del núcleo y del flujo que
deba tener para satisfacer el burden requerido. En los transformadores de corriente, la carga representa una caída de
voltaje por impedancia, que en la figura corresponde a aI2 Zb/a2, la que, si se desprecia la caída en Ze, es igual a I0 Z0, lo
que determina el valor de I0 y por lo tanto del flujo, además de determinar el valor de Z0 como función de la característica
de excitación.
Para que la relación real de corrientes sea lo más ajustada posible a la RTC, I0 debe tender a cero, o bien: Z0>>(Ze+Zb/a2).
Como resultado de estas consideraciones se puede concluir que:
 El núcleo debe ser de muy buena calidad para trabajar a niveles bajos de saturación y con pocas pérdidas.
No se debe trabajar con cargas superiores a la nominal ya que si la impedancia de la carga es muy alta, aumenta
la corriente de excitación y consecuentemente el error de relación y de ángulo.
No se debe trabajar con el secundario en circuito abierto porque en este caso, el voltaje desarrollado será limitado
solamente por la impedancia de magnetización. En estas condiciones: I1=I0, lo que trae como consecuencia la
saturación, altas pérdidas y sobretemperatura en el núcleo, junto con elevados voltajes máximos en bornes
secundarios.
Característica de excitación
Las figuras siguientes muestran la característica de excitación de un TC y el circuito empleado para obtenerla. Para fines
de estudio se ha exagerado el codo de saturación. En la práctica esta curva es mas redondeada y por eso se acostumbra
dibujarla en papel log-log. De esta forma se puede definir con mayor precisión el “punto de saturación”, es decir, el punto
donde la relación dV0/dI0 deja de ser constante. Esta curva se puede dividir (en forma aproximada), en cuatro zonas:
− El pie de la curva de 0 de 20 Volts, aproximadamente.
− Zona de linealidad, entre 20 y 160 Volts
− Zona del codo de saturación de 160 a 180 Volts
− Zona de saturación, a partir de los 180 Volts.
Para esta curva la zona de linealidad determina una impedancia de aproximadamente 53,33 ohm. A partir de los 180
Volts, la impedancia de excitación empieza a decrecer desde un valor de 36 ohm, debido a la saturación, es decir, en el
codo de saturación Z0 disminuye de 53,33 a 36 ohm aproximadamente.
Punto de saturación
Para establecer las características de operación de los TC con corrientes superiores a la nominal, resulta necesario
definir su punto de saturación. En este contexto, hay varios criterios y normas, algunas de las cuales se describen a
continuación:
Criterio de la EEC
La English Electric Corporation (EEC) ha definido al “punto de saturación” de la curva de excitación, como el punto en el
cual un incremento de un 10% de la tensión secundaria, produce un 50% de aumento en la corriente de excitación. Este
punto puede ser considerado como un límite práctico, sobre el cual no se mantiene la razón de transformación
especificada. Según esta definición, si la impedancia de excitación en el límite de la zona lineal, es Z0=V0/I0, se tiene que
la impedancia de excitación en el punto de saturación, Z0s=V0s/I0s corresponde al 73,33% de Z0.
De acuerdo con el gráfico de la figura anterior, Z0=53,33 ohm y por lo tanto, Z0s=39,11 ohm, en que tanto Z0 como Z0s
corresponden a valores medidos en el secundario
Efectos de la variación del burden sobre la corriente secundaria
La carga externa conectada al secundario de un transformador de corriente recibe el nombre de Burden. Este se
expresa, generalmente, en términos de impedancia y factor de potencia. En algunos casos se expresa también como los
Volts-Amperes (VA) disipados en la impedancia, a corriente nominal secundaria, con el factor de potencia
correspondiente. Las variaciones que puede experimentar el burden conectado al secundario de un T/C, producen
importantes efectos sobre su comportamiento. Considerando los resultados determinados según el criterio de la EEC, se
puede visualizar el efecto que el burden tiene sobre la corriente secundaria.
De acuerdo con la característica de excitación del TC de la figura anterior, la razón entre las corrientes se mantiene hasta
un voltaje secundario de 160 Volts. ¿Hasta qué valores de sobrecorriente se mantiene dicha razón, en función de la
carga?. Para este efecto supóngase que, como Ze<< Zb, se puede despreciar Ze y por lo tanto, en la característica de
saturación, ZbI2=160 Volts, expresados en términos secundarios. Los resultados se muestran en la tabla siguiente. El
valor “n” corresponde a la razón entre la corriente secundaria que puede circular, considerando que se mantiene la
relación de transformación del TC y la nominal secundaria (5 Amperes, en este caso) y puede ser considerado como un
“índice de sobrecorriente”. En la tabla se aprecia que a medida que aumenta la carga, la corriente secundaria que puede
circular, manteniendo la razón de transformación, disminuye, de la misma forma que lo hace el factor “n”.
Zb (Ohm) I2 (Amp) n = (I2)/5
1 160 32
2 80 16
4 40 8
8 20 4
Efectos de la variación del burden sobre la razón de transformación
Para analizar el efecto que la carga ejerce sobre la razón de transformación, se considerará despreciable el error angular,
definiendo el error de relación Er, a partir de la relación nominal RTCN y la relación real RTCR
1
0
I
I
r
E  x100%
Por lo tanto, el valor absoluto del error de razón, expresado en función de la corriente primaria I1 es:
N
N
r
RTC
RTC  RTCR
E 
Por otra parte, considerando el circuito equivalente del TC y despreciando Ze, se puede determinar I0 e I1, por lo que la
expresión anterior se puede escribir en función de la impedancia de carga Zb de la siguiente forma:
x100%
Zb
r Z a2
Z
b 0
E 
En la expresión anterior: a2Z0 representa la impedancia de excitación referida al secundario, la cual, en este caso es de
53,33 ohm. Si, por ejemplo, Zb = 1,0 ohm, entonces el error de razón será del 1,84%. Si el burden aumenta al doble, el
error sube a 3,61%, o sea, prácticamente al doble.
Punto “knee” según ANSI
El American National Standard Institute (ANSI, C57.13-1978), define lo que denomina el punto “knee” (rodilla) o punto
efectivo de saturación como el punto en que la curva de excitación es tangente a la línea trazada a 45º de la horizontal.
En la figura siguiente, la recta trazada en línea de segmentos, desde el punto “A” es el lugar geométrico de la intersección
de esta tangente con cada una de las curvas correspondientes a las distintas razones del TC. Por esta razón , al punto “A”
se le denomina “ANSI knee”
Punto “knee” según IEC
La International Electrotechnical Commission (IEC), define el punto “knee” (rodilla) o punto efectivo de saturación como la
intersección de las rectas trazadas extendiendo las partes saturada y no saturada de la curva de excitación.
En la figura anterior, corresponde al punto “B”, que por esta razón, se denomina “IEC knee”, el que como se aprecia,
determina un valor de voltaje más elevado que el “ANSI knee”; es decir, según la IEC, el límite de la zona considerada
lineal es superior al determinado por ANSI.
Precisión del T/C utilizado en protecciones
El comportamiento de un relé de protección depende de la clase de precisión que el TC mantenga no sólo a corriente
nominal sino que también para las corrientes de falla. El grado de precisión para altas corrientes depende de la sección
transversal del núcleo y del número de vueltas del secundario. Mientras mayor sea la sección transversal del TC, mayor es
el flujo magnético que puede desarrollarse antes de alcanzar el punto de saturación.
La saturación del TC genera un alto error en la relación de transformación. Por otro lado, un gran número de vueltas en el
devanado secundario requiere de un menor flujo magnético para inducir la corriente secundaria que debe circular a través
del relé.
Al respecto, existen diversas formas de determinar el comportamiento de un TC, tanto en forma analítica como por
aplicación de las normas. A continuación se considerarán algunas de ellas.
Cálculo directo
Se hace uso de la fórmula clásica del transformador, es decir, la ecuación que corresponde a la expresión general de
tensión inducida en la bobina de un transformador de N espiras, con núcleo de sección A, a una densidad de flujo máxima
Bmax y frecuencia f.
V sec  4,44 fNABmax
despreciando la resistencia óhmica y la ecuación que relaciona la tensión secundaria correspondiente a la suma de las
caídas debidas a la circulación de corriente I2 por las impedancias de carga Zb, de fuga Ze y de los conductores ZL:
V sec  I2 (Zb  Ze  ZL )
De donde se puede obtener
Bmax 
I2 (Zb  Ze  ZL )
4,44 fNA
Si el Bmax resultante es mayor que el valor correspondiente al del material del núcleo, el TC no podrá usarse sin que los
errores de medida sean mayores que los nominales
Por aplicación de las normas ASA (ASA C57.13-1954)
Estas normas especifican generalmente, el voltaje máximo que puede obtenerse en bornes secundarios, sin exceder el
error especificado. En el caso de las normas ASA (American Standard Association), se consideran los siguientes
aspectos:
− Tipo de TC: H , de alta impedancia interna y L, de baja impedancia interna
− Precisión de sobrecorriente: 2,5 y 10% de error nominal de razón
− Tensiones secundarias: 50-100-200-400-800 Volts.
−Corrientes nominales secundarias: 0,1-1,0-5,0 Amperios. Los valores mas bajos se usan cuando la carga
secundaria se encuentra alejada de los TCs. El valor de uso normal es de 5,0 Amperios.
− Factor de potencia de la carga: 0,5 o 0,9 (Ambos inductivos)
La norma ASA designa a los TC por medio de dos cifras y una letra colocada entre ellas. (Además de los valores usuales
como: relación de transformación, corriente nominal secundaria, etc.)
La primera cifra indica el error máximo de relación que puede producirse siempre que no se exceda el voltaje en bornes
secundarios que especifica la segunda cifra. La letra colocada al centro puede ser H ó L.
En los transformadores tipo H, las dos cifras mencionadas son válidas para corrientes secundarias de 5 a 20 veces la
nominal (Ejemplo: T/C tipo 2,5H400). En los transformadores tipo “L”, las cifras tienen validez para 20 veces la corriente
nominal, solamente (Ejemplo: T/C tipo 2,5L400).
Por aplicación de las normas ANSI/IEEE (ANSI/IEEE Standard C57.13-1978)
Las norma ANSI/IEEE C57.13-1978 definen las clases de precisión de los T/C con las letras T y C junto a un número de
clasificación. La letra T (clase H, antes de 1968) indica que este error ha sido determinado experimentalmente mientras
que la letra C (Clase L, antes de 1968) indica que el error inducido en la razón de transformación puede calcularse.
Clases de precisión según IEC
Las normas IEC distinguen entre TC para uso en medida y en protecciones. Los TC a usarse en sistemas de
protecciones se designan con la letra P y se especifican las siguientes características:
− Potencias nominales: 2,5-5,0-15 y 30 VA
− Clases de precisión: 5 y 10%
− Factores límites de precisión (FLP): 5-10-15-20 y 30.
− Corrientes nominales secundarias: 1,0-2,0 y 5,0 Amperes. El valor preferido es de 5,0 Amperes.
Por ejemplo, un TC designado como 15 VA Clase 10 P 20; significa que su capacidad permanente es de 15 VA, con un
error no mayor del 10%, siempre que su voltaje secundario no sea mayor de 20 veces el nominal.
nom
V sec 
VA

VA
In In In2
max permisible
V sec 
VA
FLP Burden
O más exactamente:
Adicionalmente se puede determinar en forma aproximada el voltaje de saturación del TC así:
Vsat  Vsecmax
Vsat 
VA
FLP
In
VA
Vsat  (  R In)FLP
In TC
Donde R es la resistencia interna del TCsuministrada
TC
por el fabricante
Para el TC de 15 VA Clase 10 P 20, podemos hacer los siguientes cálculos:
nom
5
max
5
V sec 
15
20 60Volt

15
 0.6
52
permisible
V sec 
15
 3Volt Burden
Vsat  60Volt
Para determinar si un TC es apto para la aplicación de protecciones que se esté haciendo, se debe hacer lo siguiente:
- Conocer las resistencias tanto de los relés, como de los conductores y del TC.
- Conocer la corrientes máxima (falla) que pueda circular por el TC.
- Calcular el voltaje secundario de operación para el nivel de corriente de falla, el cual debe ser menor que el
voltaje de saturación del TC.
Por ejemplo, sea un TC de relación 1000/5 y 7.5 VA 10P20, y la corrientes de falla es 8500 A, y :
Suministrado por el fabricante del TC
Resistencia de los conductores desde el TC hasta los relés
Suministrado por el fabricante del relé
1000/5
8500
V sec  I2 (RTC  RL  RR )
RTC  0.26
RL  0.02
RR  0.15
Por lo tanto
In
Vsat  (
VA
 R In)FLP  (
7.5
 0.26*5)20  56
TC Vsat  56Volt
Por lo que se cumple que:
5
V sec Vsat
V sec Vsat
(0.26  0.02  0.15) 18.28Volt V sec 18.28Volt
De los resultados anteriores:
Vsat  56Volt
1000/5
8500
(0.26  0.02  0.15) 18.28Volt
V sec  I2 (RTC  RL  RR )
5
2
2
2
(0.26  0.02  0.15)

I max / In 
130
 26
130A
I max
Vsat
(R  R  R )
Vmax
I max
(RTC  RL  RR)
L R
56
TC
Vmax  I2 max(RTC  RL  RR )
Este TC se satura a partir de 26 veces la corriente nominal secundaria y con el burden asumido de 0.02 y 0.15
ohmios
Especificaciones técnicas de un TC
Las principales características técnicas que deben ser indicadas al momento de seleccionar un TC son las siguientes:
Corriente nominal
La corriente nominal máxima debiera ser igual o mayor a la máxima corriente de operación del circuito en donde se
conectará el T/C. La magnitud de la corrientes de inrush también debe ser considerada, específicamente con respecto al
efecto que puede tener en instrumentos de medidas o en relés de protecciones.
Factor de sobrecarga
Es una constante dada por el fabricante, que indica cual es la máxima corriente primaria que puede circular a través del
TC en forma permanente sin exceder la temperatura máxima de los enrollados para una temperatura ambiente de 30º C.
El factor de sobrecarga (Rating Factor RF) normalizado es de 1,0-1,33-1,5-2,0-3,0 o 4,0. Por ejemplo un TC de 100/5 con
un RF igual a 1,5 puede operar en forma permanente con 150 A.
Corriente térmica de tiempo corto. Límite de solicitaciones térmicas
Es el valor efectivo de la máxima corriente que, circulando durante un segundo por el primario de un TC con uno de sus
secundario en cortocircuito, provoca elevaciones de temperatura que no exceden de 250 ó 350ºC, según la clase de
aislación sea A ó B. Este límite, designado como Ith es entregado por el fabricante y se da como un número de veces la
corriente nominal del TC durante un segundo. Para la correcta aplicación de un TC, y considerando tiempos de duración
de la falla de hasta 5 segundos, es conveniente que se cumpla la condición dada por la ecuación siguiente, donde Icc es
el valor efectivo de la máxima corriente de cortocircuito en el punto de instalación del TC y f es la frecuencia del sistema:
Ith  Icc t  0.05*50 / f
Para el ejemplo anterior:
Ith  Icc t  0.05*50 / f  8500 1 0.05*50 / 60  8.6kA
Ith debe ser mayor o igual que 8.6 kA
Límite de solicitaciones dinámicas. Corriente mecánica de tiempo corto
Es la máxima corriente asimétrica de cortocircuito que el TC es capaz de soportar sin que se dañe físicamente. Este tipo
de corriente se especifica solamente en TC tipo bobinado. Corresponde al valor máximo de la amplitud de la corriente del
primer ciclo que circula por la bobina primaria estando el secundario en cortocircuito. Se le denomina también corriente
dinámica y se define según la ecuación
Idin 1.8 2Ith  2.542Ith
Voltaje nominal
Corresponde a la tensión entre líneas del circuito de potencia donde se va a instalar el transformador de corriente. Los TC
pueden operar hasta con un 10% por sobre el voltaje nominal.
Polaridad y conexiones
Las polaridades relativas del primario y secundario de un TC se identifican colocando marcas y/o símbolos H1, H2 para los
terminales primarios y X1, X2 para los terminales del secundario. Según esta convención, si H1 y X1 son bornes de igual
polaridad, cuando la corriente primaria “entra” por H1, la corriente secundaria “sale” por X1. Igualmente se puede utilizar
P1, P2 para los terminales primarios y S1, S2 para los terminales del secundario.
P1
P2
S1
S2
Conexión delta: Cuando se quiere eliminar las corrientes de secuencia cero.
Conexión estrella: Particularmente apropiada cuando se requiere obtener corrientes de secuencia cero.
Aplicaciones
Los TC se usan tanto en medidas como en protecciones. Cuando se usan para medidas, requieren de una alta precisión y
de una característica idealizada como la que se muestra en la figura siguiente, con el fin de que protejan adecuadamente a
los instrumentos conectados a sus secundarios cuando existan altas corrientes en el sistema de potencia en que se
encuentran, como es el caso de una falla, por ejemplo.
Para uso en protecciones, en cambio, es conveniente que no exista saturación con elevadas corrientes primarias, es decir,
que se mantenga una precisión aceptable cuando ocurran fallas en el sistema. Para este caso es conveniente una
característica como la de la figura siguiente.
Error compuesto
Este error es definido por la norma IEC 60044-1 y debe cumplir con los valores dados en la siguiente tabla:
Clase de
precisión
+/- (%) error
% corriente 50 120
3 3 3
5 5 5
Clase de
precisión
+/- (%) error
% corriente 5 20 100 120
0.1 0,4 0,2 0,1 0,1
0.2 0,75 0,35 0,2 0,2
0.5 1,5 0,75 0,5 0,5
1.0 3 1,5 1 1
Tecnologías de relés
Relés electromecánicos
Estos fueron las formas iniciales de relés de protección que se utilizaron en los sistemas de potencia.
Funcionan con el principio de la fuerza mecánica que causa la operación de un contacto en respuesta a un
estímulo. La fuerza mecánica se genera a través del flujo de corriente en uno o más devanados de una o varias
bobinas, de ahí el nombre electromecánico.
Relé electromecánico de tiempo instantáneo Relé electromecánico temporizado
Relé electromecánico de sobrecorriente temporizado e instantáneo
Relé electromecánico de sobrecorriente temporizado e instantáneo
Relés estáticos
Su diseño está basado en el uso de elementos electrónicos análogos en vez de bobinas e imanes para crear la
característica del relé. Las primeras versiones utilizaron elementos discretos como transistores y diodos en conjunto
con resistencias, condensadores, inductores, etc., pero los avances de la electrónica permitieron el uso de circuitos
integrados lineales y digitales en las versiones posteriores para el procesamiento de las señales e implementación de
funciones lógicas.
El término estático se refiere a que el relé no tiene partes móviles. No es estrictamente el caso para un relé estático ya
que los contactos de salida son generalmente relés mecánicos.
Relés digitales y relés numéricos
Los relés digitales introdujeron un cambio importante de tecnología. Los circuitos análogos utilizados en los relés
estáticos, fueron remplazados por microprocesadores y microcontroladores, para implementar las funciones de los
relés.
Comparados con los relés estáticos, los relés digitales utilizan conversión análoga/digital (A/D) de todas las variables
análogas medidas.
Los relés numéricos son desarrollos de los relés digitales como resultado del avance de la tecnología. Típicamente
utilizan un procesador de señal digital (DSP), acompañado de un software asociado.
La continua reducción en el costo de los microprocesadores y de los elementos digitales asociados, lleva naturalmente
a que un solo equipo es utilizado para proveer un rango de funciones que anteriormente eran implementadas por
equipos separados.
Relé numérico multifuncional
(Sobrecorriente fase/tierra,
medida, recierre, bajo voltaje,
frecuencia, comunicación, etc.)
Relé numérico multifuncional
(Sobrecorriente fase/tierra,
control, medida, recierre, bajo
voltaje, frecuencia,
comunicación, etc.)
Protección de Sobrecorriente
Los relés dependen de la variable del sistema de potencia a la cual respondan, como corriente, voltaje, frecuencia, etc.
Por lo tanto, podemos encontrar protecciones de diferentes tipos como son:
Sobrecorriente
Sobre o bajo voltaje
Sobrecorriente direccional
Diferencial de transformador o diferencial de barra
Distancia
Baja o sobre frecuencia
(corriente)
(voltaje)
(corriente, voltaje)
(corriente)
(corriente, voltaje)
(frecuencia, voltaje)
Protección de sobrecorriente es la protección que responde cuando la corriente que circula por ella supera un valor
establecido.
Su funcionamiento es simple ya que su operación depende de dos variables básicas:
−El nivel de corriente mínima de operación (o corriente de pick-up), que es aquel valor que produce el cambio de
estado del relé (arranque).
− La característica de tiempo de operación, es decir la forma en que el relé responde en cuanto al tiempo.
Este método se usa preferentemente en líneas radiales o en líneas en anillo, donde la corriente de falla entre las
diversas secciones no difiere mucho. Esta forma de dar selectividad se consigue con relés de tiempo definido.
Tiene la desventaja que el tiempo de despeje de las fallas es cada vez mayor hacia las proximidades de la fuente,
justamente donde el nivel de falla es mayor y donde se debería actuar con más rapidez.
Procedimientos de coordinación
Coordinación por tiempo
En este método se utiliza un intervalo de tiempo (independiente del nivel de corriente de falla) entre cada uno de los
relés que controlan los interruptores del sistema, para asegurar que opere primero el que está más cerca de la falla.
Procedimientos de coordinación
Coordinación por corriente
Se basa en el hecho que la corriente de falla varía con la ubicación de ésta debido a la variación de la impedancia entre
la fuente y el punto de falla. Por lo tanto las protecciones se ajustan a valores apropiados de corriente de tal forma que
opere solamente el relé más cercano a la falla. El tiempo de operación de las protecciones se ajusta en forma
instantánea para obtener menores tiempos de despeje de falla.
Este método no es muy práctico en casos donde pueden variar las condiciones de generación, por lo que se podría dar
la situación en que las protecciones operen incorrectamente.
G1
G2
A B
2
1
Fa Fb
Con G1 y G2 en línea:
ZG1  10
ZG 2  15
Z12  5
110
kV
18.3kA
110000V
(10||15)
IFa  10kA
110000V
(10 ||15  5

)
IFb 
Si G1 sale de servicio, entonces:
15

5.5kA
110000V
(15 5

)
IFa 
110000V
 7.3kA IFb 
La corriente de arranque para el relé A se ajustaría al valor mínimo de falla Fa en el elemento protegido (7kA), pero con
este ajuste, para una falla Fb en condiciones de generación máxima, podría operar el relé A simultáneamente y en forma
no selectiva con el relé B.
Coordinación por corriente/tiempo
Cada uno de los métodos descritos anteriormente, tiene una desventaja fundamental. Debido a estas desventajas, es
que los relés de sobrecorriente con característica de tiempo inverso han evolucionado.
Con esta característica el tiempo de operación es inversamente proporcional al nivel de corriente de falla, y es una
función tanto del ajuste de tiempo como el de corriente.
Se definen varias curvas de operación dependiendo de la proporcionalidad con la corriente así:
Curva Normal Inversa
Curva Muy Inversa
Curva Extremadamente Inversa
t 
1
Iop
CURVAS ESTANDAR INVERSA
0,1
1
10
100
1000
1 10 100 1000
Veces I ajuste
SEGUNDOS
NORMAL INVERSA
MUYINVERSA
EXTREMADAMENTE
INVERSA
La norma IEC 60255 define las características inversas de la siguiente manera:
Curva Normal Inversa Curva Muy Inversa
)0.02
1
(I /I
t  TMS
Curva Extremadamente Inversa
0.14 13.5
pu pu
I I 1
t  TMS
80
pu
(I / I )2
1
t  TMS
TMS  Ajuste multiplicador de tiempo o dial y va de 0.05 a 1.0
0,1
1
10
I / I pu  Corriente de falla sobre corriente depick-up
CURVAS NORMAL INVERSA
100
1 100
10
I/Ipu
SEGUNDOS
Dial 0.8
Dial 0.3
Dial 0.1
La norma ANSI define las características inversas de la siguiente manera:
Curva Normal Inversa
Curva Muy Inversa





 9
0.0086
)0.02
1
 14TMS 5

 0.0185x


(I/ I

t 
pu
Curva Extremadamente Inversa





 9
2.855  14TMS 5

 0.0712x


(I / I )2
1

t 
pu


9
6.407  14TMS 5

 0.025x


(I / I )2
1

t 

 pu 

TMS  Ajuste multiplicador de tiempo o dial y va de 0.5 a 10.0
Para el caso de relés de sobrecorriente electromecánicos, es usual que el fabricante suministre las curvas de operación
para cada uno de los ajustes de tiempo, teniendo en cuenta que estas curvas no se ajustan exactamente a las
ecuaciones IEC o ANSI.
Curvas de operación para un relé electromecánico
Definiciones
Es conveniente definir algunos términos que son de uso común en protecciones y que es necesario conocer claramente:
Corriente de arranque o pick-up (I> para fases, Ie> para tierra)
Es la corriente que produce el cambio de estado del relé. En relación a este término existe una diferencia entre los
fabricantes norteamericanos y los europeos. En los relés americanos, el valor de la corriente mínima de operación o
pick-up es igual al valor del tap. En los relés de procedencia europea, estos valores pueden ser diferentes. La corriente
de pick-up es del orden de 1,3 veces el valor del tap.
Las curvas de los relés vienen con el valor de corriente expresado en veces el tap y no en amperios, de modo que sirvan
para cualquier rango de corrientes primarias. También es habitual que las curvas no comiencen en 1 por tap sino en 1,5
veces en el caso de los americanos o 1,3 veces en el caso de los relés ingleses. En los relés de estado sólido es
frecuente que el pick-up sea 1,1 veces el tap y que la curvas comiencen también desde este punto. La razón para esto
es que resulta difícil precisar las curvas para valores de corriente muy cercanos al valor de la toma (tap), de modo que el
fabricante se deja un margen donde no asegura la exactitud de las curvas.
Tap
Es el dispositivo que permite seleccionar la corriente de operación del relé dentro de un rango de tomas o derivaciones
dispuestas para este efecto. Normalmente el valor del tap se designa en amperios y representa el valor de corriente que
haría operar al relé en un tiempo indeterminado (muy largo).
Dial de tiempo
Es el ajuste que permite variar las curvas de tiempo de operación del relé. En los relés americanos (norma ANSI) va de
0.5 a 10.0 y en los relés europeos (norma IEC) va de 0.05 a 1.0.
Tiempo de coordinación
Es el intervalo de tiempo que se debe mantener entre las curvas de los relés con el objeto de obtener una operación
secuencial correcta de los interruptores. Su valor depende de factores como: tiempo de apertura de los interruptores,
error de las curvas de operación de los relés, exactitud de los TCs y su posible saturación. Habitualmente se usan
valores aceptables de tiempos de coordinación entre 0.2 y 0.3 segundos.
Normalmente se utiliza un tiempo de coordinación de 0.2 segundos cuando se reunen las mejores condiciones, es decir,
interruptores rápidos, relés de tipo numérico, TCs de buena calidad y una comprobación de los resultados en terreno.
Selectividad con protecciones de tiempo inverso
Para un sistema en alimentación radial, se puede coordinar de acuerdo con las curvas representadas en el gráfico
siguiente:
1000.0 10000.
[pri.A]
1.0000
10.000
[s]
0.100
110.00 kV100.00
Rele 1 Rele 2
Rele 3
I=700.000
pri.A
0.828 s
I=1000.000
pri.A
0.428 s
0.642 s
0.552 s
1.379 s
1.070 s
I=2000.000
pri.A
0.297 s
0.446 s
0.743 s
DIgSILENT
Con estas curvas de coordinación y para el sistema anterior:
Cuando ocurre una falla en 3 (700 Amperios), el relé 3 opera en 0.552 seg, el relé 2 opera en 0.828 seg y el relé 1 opera
en 1.379 seg.
Cuando ocurre una falla en 2 (1000 Amperios), el relé 2 opera en 0.642 seg y el relé 1 opera en 1.070 seg.
Cuando ocurre una falla en 1 (2000 Amperios), el relé 1 opera en 0.743 seg
Selectividad con protecciones de tiempo inverso e instantáneas (I>> para fases e Ie>> para
tierra
Se pueden combinar las características de tiempo de operación de los relés para mejorar la selectividad y la estabilidad
del sistema de potencia tal como se muestra en la figura siguiente, especialmente en el caso de líneas largas, donde hay
una apreciable diferencia entre las corrientes de cortocircuito entre dos relés consecutivos. El ajuste de los elementos
instantáneos debe ser tal que no detecte fallas en la barra siguiente a su ubicación, por lo que en general se le da un
margen de un 25 a un 30%, es decir, se multiplica la corriente de falla en la barra siguiente por 1,25 o 1,3.
Si se ajusta el elemento instantáneo para el relé más alejado de la fuente, se escoge entre 6 y 8 veces el tap de fases
para los relés de fases o 10 veces el tap de tierra para los relés de tierra y verificando que este ajuste sea menor que el
50% de la corriente mínima de falla en el punto de ubicación del relé. El tiempo para el elemento instantáneo se ajusta
en 0.05 seg.
Se puede calcular el alcance instantáneo en porcentaje, es decir, la región de la línea protegida que está cubierta por
operación de la sobrecorriente instantánea cuando ocurre una falla en ésta.
local remoto
Instantáneo
Isc  Isc
100
Isclocal  AjusteInstantáneo
%alcance
Ejemplo: Si la corriente para una falla en 3 es de 1000 Amperios y para una falla en 2 es de 2000 Amperios, entonces la
sobrecorriente instantánea del relé 2 se debe ajustar en 1300 Amperios, por lo que el % de alcance instantáneo es:
20001000
100
2000 1300
 70%
Instantáneo
%alcance
1000.0 10000.
[pri.A]
0.100
1.0000
10.000
[s]
0.010
110.00 kV100.00
Rele 1 Rele 2
Rele 3
I=700.000
pri.A
0.828 s
I=1000.000
pri.A
0.050 s
0.050 s 0.050 s
1.379 s
1.070 s
I=2000.000
pri.A
0.050 s
0.050 s
0.050 s
DIgSILENT
Con estas curvas de coordinación:
Cuando ocurre una falla en 3 (700 Amperios), el relé 3 opera en 0.05 seg, el relé 2 opera en 0.828 seg y el relé 1 opera
en 1.379 seg.
Cuando ocurre una falla en 2 (1000 Amperios), el relé 2 opera en 0.05 seg y el relé 1 opera en 1.070 seg.
Cuando ocurre una falla en 1 (2000 Amperios), el relé 1 opera en 0.05 seg
Reglas generales para calcular los ajustes de los relés de sobrecorriente (sistema radial)
Relés de fases
El relé de fases debe detectar fallas por lo menos hasta el extremo final de la sección de circuito siguiente a la
que está protegiendo. Por ejemplo, en la figura siguiente, el relé R1 debe detectar fallas mínimas en el sector del
relé R3.
El tap debe elegirse de modo que el pick-up sea mayor que la corriente máxima de carga y detecte fallas
mínimas en respaldo. Además de esto, en algunos casos, al relé de sobrecorriente se le da el carácter de relé de
sobrecarga eligiendo entonces un ajuste de 1,2 a 1,3 veces la corriente nominal del equipo.
Se ajusta el menor valor entre
1,2 veces la corriente nominal del interruptor
1,2 veces la corriente nominal del TC
1,3 veces la capacidad del equipo protegido
Adicionalmente se debe cumplir que TapR1  TapR2  TapR3
El dial debe elegirse dando el tiempo más corto posible al relé más alejado de la fuente. Si éste no coordina con
otros elementos (fusibles, reconectadores, etc.), debe dársele el dial mínimo permisible. Este dial se recomienda
sea 1 para los americanos y 0,1 para los europeos, pero puede ser hasta 0,5 o 0,05, respectivamente. El resto de
los relés debe coordinarse con los que le anteceden, dándole el tiempo de coordinación más el tiempo del relé
con que se coordina, en el punto que corresponda a la máxima falla. Como tal se considera generalmente una
falla trifásica, con máxima generación justo después de la siguiente barra o el pick-up del instantáneo del relé con
el que se está coordinando. Por ejemplo, en la figura anterior, el dial del relé R2 debe calcularse con el tiempo del
relé R3 más el tiempo de coordinación, con una falla máxima en F (barra siguiente al relé R2). En todo caso, debe
verificarse la coordinación para otro tipo de fallas.
Relés de tierra
Para estos relés son válidos los mismos puntos mencionados antes, excepto lo indicado para el tap. En efecto, como
estos relés son alimentados con las corrientes de secuencia cero, las que valen cero para condiciones normales de
operación, puede elegirse un tap de valor inferior a las corrientes normales de carga.
Se ajusta a un valor entre 20-30 % del ajuste del tap de fases y verificando que, para circuitos y líneas de distribución
o transmisión, este valor sea menor o igual que 120 Amperios, que equivale al valor máximo de desbalance permitido
que se puede encontrar en el sistema
Selección de curvas
Para circuitos de distribución (13,8 kV) se escoge la curva muy inversa o extremadamente inversa si se va a
coordinar con fusibles.
Para líneas de distribución, transmisión (  34.5 kV ) se escoge la curva normal inversa
Para transformadores de potencia se escoge la curva normal inversa
Etapas a seguir para calcular los ajustes de relés de sobrecorriente
El cálculo de ajustes de relés de sobrecorriente debe dar finalmente el valor de “tap”, el tipo de curva y el “dial” a
que debe ajustarse cada relé. En los casos que se utilice el elemento instantáneo, también debe entregar el valor
al cual debe ajustarse éste. Para obtener el resultado final es necesario cumplir una serie de etapas previas, que
se resumen a continuación, suponiendo que se dispone del diagrama unifilar del sistema y que se conocen las
relaciones de los TC a usar. También es necesario disponer de las curvas características de los relés (para relés
con curvas no estandar) y graficar en representación log-log para trazar las características de corriente y tiempo.
Las etapas son las siguientes:
Dibujar el circuito equivalente por fase (diagrama de impedancias) del sistema eléctrico radial al cual se está aplicando
la protección, indicando los parámetros de cada uno de sus componentes.
Reducir todos los parámetros a una base común. Como se verá posteriormente, todas las corrientes deben estar
referidas a un solo nivel de voltaje, el que conviene que sea el que es común a la mayor parte de los componentes.
Calcular las corrientes nominales de los equipos, reduciéndolas además al nivel de voltaje común.
Calcular las corrientes máximas de falla (con plena generación) y las mínimas (con generación mínima) para cada uno
de los puntos donde se ubican relés.
Calcular los taps de los relés en términos primarios, en función de las corrientes nominales de los equipos y verificando
respaldos para las fallas mínimas.
Calcular los taps en términos secundarios, para lo que basta dividir el valor anterior por la RTC correspondiente.
Reajustar si es necesario los valores de acuerdo con los tap que realmente dispone el relé.
Calcular el ajuste del elemento instantáneo, si procede, con las indicaciones dadas anteriormente (1,3 veces la corriente
máxima de cortocircuito en la barra siguiente).
Reducir todos los valores de tap a términos primarios y expresarlos en una sola base de voltaje. Marcarlos en el gráfico
(log-log) correspondiente.
Calcular los diales de acuerdo a lo indicado teniendo en cuenta los tiempos de coordinación, es decir:
Se conoce la I máxima de falla y el tap ajustado para el relé. Se determina el tiempo deseado de operación del
relé para la I máxima de falla el cual es igual al tiempo de operación de la curva del relé aguas abajo a ese nivel
de falla más el tiempo de coordinación (de 0.2 a 0.3 seg).
Con este tiempo se determina el dial de la curva del relé ya sea en forma analítica, si se conoce la ecuación de la
curva, o en forma gráfica si no se conoce la ecuación de la curva
Ejemplo
Supóngase que para este sistema, la corriente de falla máxima en F es de 7000 Amperios y que el relé R3 se ajusta con
un tap de 600 Amperios y el dial mínimo de 0.1 para una curva IEC Normal Inversa.
Para este nivel de corriente el tiempo de operación del relé R3 es:
0.14
3  0.1x2.77 0.27seg
3
(7000 / 600)0.02
1
t  Dial
Para este mismo nivel de falla máxima, el relé R2 debe actuar en un tiempo igual a t3+t coordinación, es decir t2 = 0.27 +
0.2 = 0.47 seg. Supóngase que el tap del relé R2 se ajusta en 650 Amperios y que su curva también es IEC Normal
Inversa, entonces el dial de este relé se determina en forma analítica y se debe ajustar en:
0.14 0.14
0.47(7000 / 650)0.02
1
  0.17
t (I / TAP)0.02
1
Dial2  2 F
Por otro lado, si el relé R2 se ajusta en 650 Amperios y su curva no es estandar, entonces el dial de este relé se
determina en forma gráfica, escogiendo la curva del relé que opere en un tiempo de al menos 0.47 seg para un número
de 7000/650 11 veces el tap
La coordinación del relé siguiente se hará a partir de una nueva corriente de falla máxima y con un procedimiento similar
al expuesto. En el caso de utilizar elementos instantáneos, la coordinación se hará a partir del ajuste de corriente de esta
unidad, (el que por supuesto es menor que la corriente de falla máxima) en vez de la corriente de falla máxima.
Es decir, si en el ejemplo anterior al relé R3 se le ajusta el elemento instantáneo en 4800 Amperios, se debe utilizar este
valor en los cálculos del dial y tiempos de operación en vez de la corriente de falla máxima
G2
A B
L L
G1 G2
G2
G1
G2
G1
Z0L  3 / Km
Z1  Z 2  1 / K
m
Z0  Z0 16
Z1  Z1  Z2  Z2 14
2
1
Ejericio: Determinar los ajustes de las protecciones de fases y tierra para el sistema que se muestra a
continuación:
110
kV
G1
C
3
D
4
23
34
Capacidad  460A
RTC  600/5
L  25Km
L 16Km
L1210Km
1 2
Fb
3
Fc
4
Fd
G
110
kV
Fa
14

10

16

25

Z1G  14 ||14  7 Generación máxima (dos generadores enparalelo)
Generación mínima (un generador en fuera de servicio)
Z1G 14
Relés de fases
Se dibuja el diagrama de impedancias en secuencia positiva para el sistema:
14
A B C D
Reducir todos los parámetros a una base común.
En este caso hay un solo nivel de tensión por lo que se puede trabajar con valores directos de los parámetros
Calcular las corrientes nominales de los equipos, reduciéndolas además al nivel de voltaje común.
Para todos los relés, la capacidad de la línea es 460 Amperios y de los TCs es 600 Amperios
Calcular las corrientes máximas de falla (con plena generación) y las mínimas (con generación mínima) para cada uno
de los puntos donde se ubican relés.
Relé E ZL ZLeq
Gen Máxima Gen Mínima
Zg If Zg If
A 110.000 10 0 7 15.714 14 7.857
B 110.000 16 10 7 6.471 14 4.583
C 110.000 25 26 7 3.333 14 2.750
D 110.000 51 7 1.897 14 1.692
E
G L
F
Z  Z eq
I 
Calcular los taps de los relés en términos primarios, en función de las corrientes nominales de los equipos y verificando
respaldos para las fallas mínimas.
Se escoge el menor valor entre:
1.2ITC 1.2x600  720A
1.3IL 1.3x460  600A
Se ajusta el tap de todos los relés en 600 Amperios
Calcular los taps en términos secundarios, para lo que basta dividir el valor anterior por la RTC correspondiente.
Reajustar si es necesario los valores de acuerdo con los tap que realmente dispone el relé.
TAPsec  TAPprim / RTC  600/(600 /5)  5AmpSec
Calcular el ajuste del elemento instantáneo, si procede, con las indicaciones dadas anteriormente (1,3 veces la corriente
máxima de cortocircuito en la barra siguiente).
Inicialmente no vamos a ajustar el elemento instantáneo
Calcular los diales teniendo en cuenta los tiempos de coordinación (0.2 seg)
Para el relé D (más alejado de la fuente) ajustamos el dial mínimo de 0.05 y vamos a utilizar una curva IEC Normal
Inversa en todos los relés.
Calculamos el tiempo de operación del relé D para una falla máxima en D (1897 Amperios):
El relé C debe coordinar con el relé D en un tiempo mayor que tD+0,20 = 0,30 + 0,20 = 0,50 seg para la falla
máxima en D (1897 Amperios). Calculamos el dial requerido para que el relé C opere en este tiempo:
0.14 0.14
0.50(1897/ 600)0.02
1
  0.09
t (I / TAP)0.02
1
C FD
DialC 
0.14
0.14
 0.14
0.56(3333 / 600)0.02
1

t (I / TAP)0.02
1
B FC
DialB 
D  0.05x6.01 0.30seg
0.14
D
(1897 / 600)0.02
1
t  Dial
Calculamos el tiempo de operación del relé C para una falla máxima en C (3333 Amperios):
C  0.09x4.01 0.36seg
0.14
C
(3333 /600)0.02
1
t  Dial
El relé B debe coordinar con el relé C en un tiempo mayor que tC+0,20 = 0,36 + 0,20 = 0,56 seg para la falla
máxima en C (3333 Amperios). Calculamos el dial requerido para que el relé B opere en este tiempo:
0.14 0.14
  0.21
t (I /TAP)0.02
1 0.60(6471/ 600)0.02
1
A FB
DialA 
Calculamos el tiempo de operación del relé B para una falla máxima en B (6471 Amperios):
B  0.14x2.87 0.40seg
0.14
B
(6471/ 600)0.02
1
t  Dial
El relé A debe coordinar con el relé B en un tiempo mayor que tB+0,20 = 0,40 + 0,20 = 0,60 seg para la falla
máxima en B (6471 Amperios). Calculamos el dial requerido para que el relé A opere en este tiempo:
Calculamos el tiempo de operación del relé A para una falla máxima en A (15714 Amperios):
A  0.21x2.07 0.43seg
0.14
A
(15714 / 600)0.02
1
t  Dial
Relé
TAP
DIAL Curva
A Prim A sec
A 600 5 0,21 IEC Normal Inversa
B 600 5 0,14 IEC Normal Inversa
C 600 5 0,09 IEC Normal Inversa
D 600 5 0,05 IEC Normal Inversa
A continuación se muestra una tabla con los ajustes seleccionados para los relés de sobrecorriente de fases
Relé TAP DIAL
If t op t coordinación
Max Min Max Min Max Min
A 600 0,21 1897 1692 1,26 1,40 0,42 0,47
B 600 0,14 1897 1692 0,84 0,94 0,30 0,33
C 600 0,09 1897 1692 0,54 0,60 0,24 0,27
D 600 0,05 1897 1692 0,30 0,33
Para falla en C
Relé TAP DIAL
If t op t coordinación
Max Min Max Min Max Min
A 600 0,21 3333 2750 0,84 0,95 0,28 0,32
B 600 0,14 3333 2750 0,56 0,63 0,20 0,23
C 600 0,09 3333 2750 0,36 0,41
Revisamos los tiempos de operación y coordinación para cada una de las fallas
Para falla en D
Para falla en B
Relé TAP DIAL
If t op t coordinación
Max Min Max Min Max Min
A 600 0,21 6471 4583 0,60 0,71 0,20 0,24
B 600 0,14 6471 4583 0,40 0,47
Se observa que los tiempos de coordinación son mayores que el tiempo establecido de 0.2 seg por lo que la coordinación
es correcta y se garantiza selectividad
1000.0 10000. 100000.
[pri.A]
0.100
1.000
10.000
100.00
[s]
0.010
110.00 kV100.00
Rele A Rele B
Rele C Rele D
I=3333.000
pri.A
0.201 s
0.361 s
0.562 s
0.843 s
I=6471.000
pri.A
0.144 s
0.259 s
0.402 s
0.604 s
I=15714.000
pri.A
0.104 s
0.187 s
0.290 s
0.436 s
I=1897.000
pri.A
0.301 s
0.541 s
0.842 s
1.262 s
DIgSILENT
Curvas de coordinación para los relés de fases
1 2
Fb
3
Fc
4
Fd
G
110
kV
Fa
16

30

48

75

Relés de tierra
Se dibuja el diagrama de impedancias en secuencia cero para el sistema:
16
A B C D
Z0G 16 ||16  8 Generación máxima (dos generadores en paralelo)
Z 0G  16 Generación mínima (un generador en fuera de servicio)
Calcular las corrientes máximas de falla (con plena generación) y las mínimas (con generación mínima) para cada uno
de los puntos donde se ubican relés.
F
3E 3E
3E 3E
1 2 0 1 0
  
Z  Z  Z 2Z  Z 2(Z1g  Z1L)  (Z0g  Z0L) 2Z1t  Z0t
I 
Gen Máxima Gen Mínima
Relé E
ZL Sec (+) Sec (0)
If
Sec (+) Sec (0)
If
Sec(+) Sec(0) Z1L Z1g Z1t Z0L Z0g Z0t Z1L Z1g Z1t Z0L Z0g Z0t
A 110.000 10 30 0 7 7 0 8 8 15.000 0 14 14 0 16 16 7.500
B 110.000 16 48 10 7 17 30 8 38 4.583 10 14 24 30 16 46 3.511
C 110.000 25 75 26 7 33 78 8 86 2.171 26 14 40 78 16 94 1.897
D 110.000 51 7 58 153 8 161 1.191 51 14 65 153 16 169 1.104
Calcular los taps de los relés en términos primarios, entre un 20 a 30 % del tap de fases y como máximo en 120
Amperios.
0.2TAPfases  TAPtierra  0.3TAPfases 120Amperios
0.2(600)  TAPtierra  0.3(600) 120Amperios
120  TAPtierra 180
TAPtierra 120Amperios
Se ajusta el tap de tierra de todos los relés en 120 Amperios
Calcular los taps en términos secundarios, para lo que basta dividir el valor anterior por la RTC correspondiente.
Reajustar si es necesario los valores de acuerdo con los tap que realmente dispone el relé.
TAPsec  TAPprim / RTC 120/(600/5) 1
Calcular el ajuste del elemento instantáneo, si procede, con las indicaciones dadas anteriormente (1,3 veces la corriente
máxima de cortocircuito en la barra siguiente).
Inicialmente no vamos a ajustar el elemento instantáneo
Calcular los diales teniendo en cuenta los tiempos de coordinación (0.2 seg)
Para el relé D (más alejado de la fuente) ajustamos el dial mínimo de 0.05 y vamos a utilizar una curva IEC Normal
Inversa en todos los relés.
Calculamos el tiempo de operación del relé D para una falla máxima en D (1191 Amperios):
El relé C debe coordinar con el relé D en un tiempo mayor que tD+0,20 = 0,15 + 0,20 = 0,35 seg para la falla
máxima en D (1191 Amperios). Calculamos el dial requerido para que el relé C opere en este tiempo:
0.14 0.14
0.35
(1191/120)0.02
1
  0.12
t (I / TAP)0.02
1
C FD
DialC 
0.14 0.14
0.49
(2171/120)0.02
1
  0.21
t (I / TAP)0.02
1
B FC
DialB 
D  0.05x2.98 0.15seg
0.14
D
(1191/120)0.02
1
t  Dial
Calculamos el tiempo de operación del relé C para una falla máxima en C (2171 Amperios):
C  0.12x2.35 0.29seg
0.14
C
(2171/120)0.02
1
t  Dial
El relé B debe coordinar con el relé C en un tiempo mayor que tC+0,20 = 0,29 + 0,20 = 0,49 seg para la falla
máxima en C (2171 Amperios). Calculamos el dial requerido para que el relé B opere en este tiempo:
Calculamos el tiempo de operación del relé B para una falla máxima en B (4583 Amperios):
B  0.21x1.85 0.39seg
0.14
B
(4583 /120)0.02
1
t  Dial
  0.32
t (I /TAP)0.02
1 0.59(4583 /120)0.02
1
A FB
DialA 
El relé A debe coordinar con el relé B en un tiempo mayor que tB+0,20 = 0,39 + 0,20 = 0,59 seg para la falla
máxima en B (4583 Amperios). Calculamos el dial requerido para que el relé A opere en este tiempo:
0.14 0.14
Calculamos el tiempo de operación del relé A para una falla máxima en A (15000 Amperios):
A  0.32x1.38 0.44seg
0.14
A
(15000 /120)0.02
1
t  Dial
Relé
TAP
DIAL Curva
A Prim A Sec
A 120 1 0,31 IEC Normal Inversa
B 120 1 0,21 IEC Normal Inversa
C 120 1 0,12 IEC Normal Inversa
D 120 1 0,05 IEC Normal Inversa
A continuación se muestra una tabla con los ajustes seleccionados para los relés de sobrecorriente de tierra
Relé TAP DIAL
If t op t coordinación
Max Min Max Min Max Min
A 120 0,32 1191 1104 0,95 0,99 0,33 0,34
B 120 0,21 1191 1104 0,63 0,65 0,27 0,28
C 120 0,12 1191 1104 0,36 0,37 0,21 0,22
D 120 0,05 1191 1104 0,15 0,15
Para falla en C
Relé TAP DIAL
If t op t coordinación
Max Min Max Min Max Min
A 120 0,32 2171 1897 0,75 0,79 0,26 0,27
B 120 0,21 2171 1897 0,49 0,52 0,21 0,22
C 120 0,12 2171 1897 0,28 0,30
Revisamos los tiempos de operación y coordinación para cada una de las fallas
Para falla en D
Para falla en B
Relé TAP DIAL
If t op t coordinación
Max Min Max Min Max Min
A 120 0,32 4583 3511 0,59 0,64 0,20 0,22
B 120 0,21 4583 3511 0,39 0,42
Se observa que los tiempos de coordinación son mayores que el tiempo establecido de 0.2 seg por lo que la coordinación
es correcta y se garantiza selectividad
1000.0 10000. 100000.
[pri.A]
0.100
1.000
10.000
100.00
[s]
0.010
110.00 kV100.00
Rele A ReleB
Rele C ReleD
I=2171.000
pri.A
0.117 s
0.282 s
0.728s
0.493s
I=4583.000
pri.A
0.093 s
0.222 s
0.389 s
0.574 s
I=15000.000
pri.A
0.069 s
0.166 s
0.428s
0.290s
I=1191.000
pri.A
0.149 s
0.358 s
0.924s
0.626s
DIgSILENT
Curvas de coordinación para los relés de tierra
Resolver el ejemplo anterior ajustando el elemento instantáneo de fases y tierra.
Relés de fases
Corrientes de corto máximas y mínimas
Relé E ZL ZLeq
Gen Máxima Gen Mínima
Zg If Zg If
A 110.000 10 0 7 15.714 14 7.857
B 110.000 16 10 7 6.471 14 4.583
C 110.000 25 26 7 3.333 14 2.750
D 110.000 51 7 1.897 14 1.692
El tap de fases sigue ajustado en 600 Amperios primarios o 5 Amperios secundarios.
Calculamos el ajuste del elemento instantáneo
Para el relé D, por ser el más alejado de la fuente se ajustaría con el criterio de entre 6 y 8 veces el tap de fases,
es decir entre 3600 y 4800 Amperios primarios, pero estos valores son mayores que las corrientes de falla
máxima y mínima en D por lo que este elemento nunca operaría. Por esta razón, podríamos ajustar el elemento
instantáneo al 80% de la corriente de falla mínima, entonces:
InstantáneaD  I D  0.8IfallaminD  0.8x1692 1350Amp Prim
Calculamos el elemento instantáneo en amperios secundarios:
I D Sec  I  Prim / RTC 1350/(600 /5) 11.25AmpSec
Calcular los diales teniendo en cuenta los tiempos de coordinación (0.2 seg) pero no para las corrientes de falla máxima
sino para las corrientes instantáneas ajustadas
Para el relé D (más alejado de la fuente) ajustamos el dial mínimo de 0.05 y vamos a utilizar una curva IEC Normal
Inversa en todos los relés.
Calculamos el tiempo de operación del relé D para su ajuste instantáneo en D (1350 Amperios):
D  0.05x8.56 0.43seg
0.14
D
(1350 / 600)0.02
1
t  Dial
0.14 0.14
0.63(1350 / 600)0.02
1
  0.08
t (I / TAP)0.02
1
C FD
DialC 
Ajustamos el elemento instantáneo para el relé C usando el criterio de 1,3 veces la corriente de falla máxima en la
barra siguiente D (1897 Amperios)
I C 1.3IfallamaxD 1.3x1897  2466Amp Prim
I C Sec  2466 /(600 /5)  20.55AmpSec
El relé C debe coordinar con el relé D en un tiempo mayor que tD+0,20 = 0,43 + 0,20 = 0,63 seg para la corriente
instantánea ajustada en D (1350 Amperios). Calculamos el dial requerido para que el relé C opere en este tiempo:
local remoto
Instantáneo
Isc  Isc
100
Isclocal  AjusteInstantáneo
%alcance
Para el relé C podemos calcular el % de alcance instantáneo tanto para corrientes de falla máximas y mínimas
Instantáneo
IscC Max IscDMax
IscC Max  I
F máxima 100
%alcance
33331897
F máxima 100
3333 2466
 60%
%alcanceInstantáneo
Instantáneo
IscC Min IscDMin
IscC Min  I
F mínima 100
%alcance
27501692
%alcance F máxima 100
2750  2466
 27%
Instantáneo
Con generación máxima, la instantánea del relé C cubre hasta el 60% de la línea 3-4
Con generación mínima, la instantánea del relé C cubre solo el 27% de la línea 3-4
CURVA ESTANDAR INVERSA
0,1
1
10
100
1000
10 1000
100
Amperios
SEGUNDOS
TAP
TAP
DIAL
DIAL
Consideraciones a tener en cuenta
del TAP
la curva
ocasiona el
en forma
Variar el ajuste
desplazamiento de
horizontal.
Variar el ajuste del DIAL ocasiona el
desplazamiento de la curva en forma vertical.
Por lo tanto, se podría tener una buena
coordinación de varias protecciones de
sobrecorriente con iguales tipos de curva si:
Se tiene el mismo TAP pero distintos ajustes
de DIAL.
Se tiene el mismo DIAL pero distintos ajustes
de TAP.
CURVANORMAL INVERSA
1
10
100
10 100 1000 10000
Amperios
SEGUNDOS
TAP200
TAP100
Curvas Normal Inversa con igual DIAL y
diferentes TAPS
Las curvas de tiempo inverso normalmente están especificadas hasta un valor máximo de número de veces el ajuste
de tap de la protección. Este valor depende del fabricante y puede ser del orden desde 20 hasta 40 veces o más. Para
corrientes mayores que este valor límite, la protección toma la característica de tiempo definido. Por ejemplo, si el
fabricante de un relé especifica su curva hasta 20 veces el tap, entonces esta curva sería de la siguiente forma
CURVANORMALINVERSAx20I/Ipu
1
10
100
1 100
10
I/Ipu
SEGUNDOS
Si las corrientes de falla vistas por el relé son
mayores que 20 veces el tap, entonces se
debe calcular el tiempo de operación de la
protección con base en
Ifalla / Ipu 20
Ejemplo:
Si TAP = 200, Dial = 1 con curva IEC Normal
Inversa y la corriente de falla es 6000 Amp
Ifalla / Ipu  6000/ 200  30  20
El tiempo de operación sería
200.02
1
t 
0.14x1
 2.26seg
en vez de
0.14x1
1.98seg
300.02
1
t 
Protección de Sobrecorriente Direccional
En un sistema de corriente alterna, la corriente es una magnitud cuya dirección sólo puede ser determinada en relación a
otra; se puede solamente afirmar que dos corrientes tienen o no la misma dirección. Es decir, la corriente no tiene una
dirección absoluta. La potencia, en cambio, especialmente la potencia activa, es una magnitud cuya dirección es posible
determinar en forma absoluta, aunque como magnitud de medida para un sistema de protección contra cortocircuitos no
presenta mayores ventajas que la corriente y su aplicación, por otra parte, introduciría enormes complicaciones.
Así, es posible complementar la aplicación de la corriente como magnitud de medida con un relé direccional (o de
potencia) para el caso de una distribución en anillo como el de la figura de abajo. El relé direccional impide la operación
de los relés de sobrecorriente cuando la potencia fluye en dirección opuesta a la sección protegida. Para una falla que
ocurra en el lugar indicado en la figura, operan los relés del circuito fallado, es decir los ubicados en los puntos 3 y 4. El
relé direccional ubicado en 2, en cambio, bloquea el desganche del interruptor respectivo, impidiendo así una
desconexión inadecuada del circuito no fallado. De este modo se obtiene una selectividad que no podría conseguirse
con relés de sobrecorriente.
Selección de la corriente y de la tensión
Como se indicó, el empleo de la potencia activa (medida en forma monofásica o trifásica) como magnitud para discriminar la
ocurrencia de un cortocircuito presenta dificultades en su aplicación. La tensión en el lugar de la falla es prácticamente nula y,
en consecuencia, la potencia no puede medirse. Es evidente que esta desventaja disminuye cuando la falla origina un arco,
debido a la pequeña caída de voltaje que allí se produce. En consecuencia la sensibilidad de un relé direccional debe ser lo
más alta posible. Otra desventaja es el bajo factor de potencia del circuito hasta el punto de falla; esto trae como consecuencia
que la potencia que fluye es esencialmente reactiva. Esta complicación es mayor en líneas aéreas que en cables.
La zona de insensibilidad del relé es aquella que se extiende desde el lugar en que está instalado hasta un punto determinado,
tal que para fallas que ocurran en ella el relé no operará, por las causas antes indicadas. Es evidente que no es posible
controlar la magnitud del voltaje, pero en cambio, es posible disminuir fuertemente la zona de insensibilidad variando el factor
de potencia artificialmente mediante una adecuada selección de los voltajes y corrientes que alimentan el relé.
Para conseguir un factor de potencia igual a uno en el relé es necesario elegir un voltaje y una corriente tales que su desfase
sea igual al ángulo de la impedancia de la línea, estando la corriente en adelanto con respecto al voltaje. De este modo, al
ocurrir un cortocircuito, la corriente se retrasará en el ángulo de impedancia de la línea quedando en fase con el voltaje. El
sistema de medida del relé se comportará, entonces, como si la potencia que fluye hacia el cortocircuito fuera puramente
activa. Además, los voltajes elegidos deben ser tales que con la ocurrencia de un cortocircuito mantengan su valor en todo lo
que sea posible. Esto, naturalmente, es solo posible para el caso de cortocircuitos monofásicos o bifásicos ya que para uno
trifásico los tres voltajes bajan en la misma proporción. Se distinguen conexiones de 0º, 30º, 60º y 90º. Así, la conexión de 0º
corresponde a aquella en que el voltaje y corriente están en fase. Para las otras conexiones la corriente adelanta al voltaje en
30º, 60º o 90º
En la figura siguiente se muestran los diagramas fasoriales correspondientes a la alimentación del relé de la fase 1. En esta
forma, se pretende que el voltaje elegido no sea apreciablemente afectado en magnitud y fase en casos de fallas
desbalanceadas. La conexión de 60º se puede lograr en la práctica colocando en el mismo polo dos bobinas alimentadas para
el caso de la figura, con los voltajes V23 y V13 de tal manera que el flujo resultante sea proporcional a la suma de estos voltajes.
Principios básicos de los relés direccionales
Se basan en el principio de tipo balanza, donde cada núcleo del relé está sometido al flujo resultante por efecto del
voltaje y la corriente. El flujo producido por la corriente es proporcional a la corriente y el flujo producido por el voltaje
es proporcional al voltaje.
En la figura siguiente se muestra el principio de operación de un relé direccional y su diagrama fasorial
correspondiente.
Después de un desarrollo matemático teniendo en cuenta los torques producidos debido a la corriente y el voltaje, se
llega a la siguiente fórmula:
VICos( )  K
Por lo que el relé opera cuando el valor de K, es decir el torque de operación, es mayor que el torque de retención de
la balanza Tr, es decir, que se debe cumplir que
VICos(  )  Tr
De la ecuación anterior, se puede observar que el torque de operación del relé es máximo cuando  = , por lo tanto
el ángulo  es conocido como “ángulo de máximo torque (MTA)”.
El ángulo  depende de las características de la bobina de voltaje ya que representa el ángulo asociado a su
impedancia.
Este principio es válido independientemente de que el relé sea del tipo electromecánico, estado sólido o numérico.
V
I

Vref
Relé No
Opera
Representación de las características de un relé direccional
Así como para los relés de sobrecorriente, sus características se representan en forma de curvas tiempo-corriente, es
necesario disponer, en el caso de los relés direccionales, de ciertas curvas representativas, las que están basadas en
la ecuación del torque de operación.
En estas curvas, tanto V como I y  se pueden considerar variables o parámetros, dando a curvas de un parámetro en
función de los otros.
La característica más útil es la que representa la ecuación del torque de operación en coordenadas polares, como se
muestra a continuación:
Relé Opera
MTA
Polarización de relés direccionales
Una unidad direccional emplea corriente (de línea para un relé de fase y residual para un relé de tierra) y una
magnitud de referencia para determinar la dirección del flujo de potencia. La magnitud de referencia de los relés
empleados en protección de sistemas de corriente alterna recibe el nombre de “magnitud de polarización”; ésta puede
ser un voltaje o bien una corriente. El uso de voltaje se conoce con el nombre de polarización de voltaje y el uso de la
corriente con el nombre de polarización de corriente.
Polarización de relés de fases
Según lo visto, en los relés de fase, se emplea el voltaje del sistema como magnitud de polarización. A manera de
ejemplo se presenta el esquema de la figura siguiente que muestra una conexión típica de relés direccionales de fases
(conexión de 90º o cuadratura) con los transformadores de corriente conectados en estrella a tierra y los de potencial
en estrella tierra-estrella tierra.
Polarización de relés residuales
Los relés direccionales residuales, conocidos como “relés direccionales de tierra”, pueden polarizarse por voltaje
residual (polarización de voltaje) o por corriente residual (polarización de corriente). La figura siguiente muestra el caso
de un relé de tierra (residual), en que se dispone de tres transformadores de potencial auxiliares conectados en
estrella tierra-delta abierta para la polarización por voltaje y la corriente se obtiene de la salida de los tres
transformadores de corriente.
Los relés direccionales de tierra quedan polarizados con la corriente residual y el negativo del voltaje residual, es decir
3Io y -3Vo, por lo que el diagrama vectorial para determinar la característica del relé es como sigue:
Del diagrama anterior se observa que los relés de fases quedan polarizados de la siguiente manera:
FASE Corriente
Tensión
polarización
A Ia Vbc
B Ib Vca
C Ic Vab
N 3Io -3Vo
-3Vo 3Io
-
Relé No
Opera
Relé Opera
MTA
3Vo
Se puede observar que mientras el MTA en la característica de fases es positivo, en la característica de tierra es
negativo
Las conexiones 30° y 60° han dejado de usarse ya que la conexión cuadratura es la que da mejor desempeño.
Ia
Vbc
Ib
Ic
Vab
FASE Corriente
Tensión
polarización
A Ia Vbc
B Ib Vca
C Ic Vab
Vca
En los relés electromecánicos, el valor del MTA es constante, mientras que en los relés numéricos se puede modificar,
es decir, es ajustable. Por lo que existen valores recomendados del MTA dependiendo de las características del
sistema.
MTAFases MTATierra Para uso en
0 0 Sistemas aterrizados a través de resistencia
45 -45 Sistemas de distribución (sólidamenteaterrizado)
60 -60 Sistemas de transmisión (sólidamenteaterrizado)
Aplicación de relés direccionales
En líneas paralelas con una fuente única
En esta aplicación los relés 1 y 3 se polarizan hacia la carga y los relés 2 y 4 se polarizan hacia la fuente. Por lo que
deben coordinar el relé 1 con el relé 4 y el relé 3 con el relé 2.
Debido a que los relés 2 y 4 están polarizados hacia la fuente y no hacia la carga, éstos se ajustan a la mayor
sensibilidad posible, por lo general con el tap al 50% de la capacidad de la línea y el dial mínimo.
2 3
2 3
4
1
G
Una aplicación posible para líneas paralelas incluye además tener que coordinar con las protecciones tanto de la
fuente como de la carga.
F2
F1
En este caso el procedimiento sería:
Ajustar 3 a la mayor sensibilidad (tap de 50% de la capacidad de la línea y dial mínimo).
Ajustar 4 con el criterio de ser el más alejado de la fuente, es decir con el dial mínimo.
Coordinar 2 con 4 para la falla F1 con una línea fuera de servicio.
Verificar la coordinación de 2 con 3 para la falla F2 (siempre se cumple).
Coordinar 1 con 2 para la falla F1 pero con ambas líneas en servicio.
Verificar la coordinación de 1 con 2 para la falla F3.
Ejemplo: Determinar los ajustes de las protecciones de sobrecorriente direccional de fases para el sistema anterior
con la siguiente información:
Z1g = 0.08 p.u. Z1líneas = 0.02 p.u. Carga en 4 = 150Amperios
Las impedancias están dadas con una base de 50 MVA y 110 KV
F3
En redes en anillo con una sola fuente
En redes en anillo como la que se muestra, se coordina
aplicando el mismo procedimiento para redes radiales pero
abriendo el anillo en el interruptor 6 por un lado y en el
interruptor 6’ por el otro lado. Entonces quedan dos redes
radiales a las que se les debe aplicar el procedimiento ya
visto. En este caso, las protecciones 1 y 1´ serían las más
alejadas de la fuente por lo que se ajustan con la mayor
sensibilidad.
Las protecciones en 6 y 6’ pueden ser no direccionales, ya
que en este punto la corriente fluye solamente en un
sentido, y siempre quedan con igual ajuste de tap y dial.
2 3
1
G
6
4 5
15 14 10
12 11
8
7
9
13
En redes en anillo con más de una fuente
En redes en anillo con más de una fuente como la que se muestra, el procedimiento para determinar la coordinación de
protecciones es más complejo. Una información importante para la selección de los ajustes, incluye calcular las
corrientes de aporte para cada relé en las fallas F1, F2, F3 y F4. Por ejemplo para coordinar las protecciones del sistema
de abajo se debe calcular para cada ubicación de relé los aportes a las fallas así:
Para el relé 2:
•Corriente de falla máxima en el extremo local F1
•Corriente de falla máxima al comienzo de la línea F2
•Corriente de falla mínima al final de la línea F3
•Corrientes de falla máximas y mínimas para la barra remota F4
Se deben calcular las corrientes de falla trifásica y monofásica para determinar los ajustes de las protecciones de fases y
tierra respectivamente.
F1 F2 F3 F4
G
G
Una regla general sería ajustar las protecciones de tal manera que operen en tiempos menores que 0.2 segundos para
las fallas al comienzo de la línea y en al menos 0.2 segundos más el tiempo de coordinación para fallas en barra en el
extremo remoto. Si las protecciones en el extremo remoto despejan las fallas locales en tiempos mayores que 0.2
segundos, el ajuste sería el tiempo máximo de operación más el tiempo de coordinación. Es decir, en el sistema de
abajo se debe ajustar el relé 2 de tal forma que la falla F1 la despeje en máximo 0.2 segundos y que la falla F2 la
despeje en 0.2 segundos más el tiempo de coordinación. Pero si la protección 4 despeja la falla F2 en un tiempo t4 > 0.2
segundos, se debe ajustar el relé 2 de tal forma que la falla F2 la despeje en t4 + t coordinación
2 3
1
G 6
4 5 8
7 G
F1 F2
En general, cuando las protecciones de sobrecorriente direccional funcionen como respaldo de las protecciones de
distancia, se deben ajustar de tal manera que operen en tiempos de más o menos 0.4 segundos para las fallas al
comienzo de la línea y entre 0.6 y 0.8 segundos para fallas en barra en el extremo remoto.
Protección de Distancia
Generalidades
Una de las formas de detectar una anormalidad en un sistema eléctrico de potencia es medir su impedancia o
reactancia, en un punto dado. Para este fin, la información de voltajes y corrientes se entrega a relés de protección que
miden en todo instante la impedancia o reactancia por fase en el sentido de operación y que actúan cuando sus
magnitudes bajan de un cierto valor.
A las protecciones que operan bajo este principio se les denomina: “Direccionales de distancia” y se emplean
principalmente en la protección de líneas de transmisión. Puesto que la impedancia de una línea de transmisión es
proporcional a su longitud, para medir "distancias" se utiliza un relé capaz de medir la impedancia de la línea hasta un
cierto punto. Este tipo de protección se diseña para operar solamente con fallas que ocurran entre el punto de ubicación
de los relés y un punto dado de la línea, de modo que puedan discriminar entre fallas que ocurran en diferentes
secciones de ella.
Las protecciones de distancia son relativamente simples de aplicar, poseen una alta velocidad de operación y pueden
proporcionar protección tanto principal (local) como de respaldo.
Diagramas R-X
Para comprender en mejor forma el funcionamiento de las protecciones de distancia se requiere poder representar en
forma gráfica las características de operación de sus unidades de medida. Dicha representación requiere la utilización de
planos complejos adecuados tales como, los planos R-X.
En este diagrama, compuesto por un par de ejes ortogonales, se lleva en la abscisa, la resistencia R y en la ordenada, la
reactancia X, de modo que cada punto del plano así formado representa una impedancia que queda determinada por
su distancia al origen (módulo Z) y por el ángulo  que forma con la abscisa, tal como se muestra en la figura 1.
Figura 1. Representación de una impedancia en el
plano R-X
Figura 2. Diagrama fasorial Voltaje-Corriente
La figura 2 muestra el diagrama fasorial voltaje-corriente, donde se ha situado a la corriente como fasor de referencia, es
decir, en el eje horizontal, con el fasor voltaje desfasado un ángulo . De esta forma, ambos diagramas son
absolutamente compatibles, es decir:
Z  Z   V  V   I  I  0  V  Z I  ZI 
El diagrama R-X permite superponer en un mismo gráfico los parámetros R, X y Z de las líneas, máquinas,
transformadores, etc., así como los valores de voltaje, corriente y ángulo de cualquier punto de sistema, de acuerdo con
las relaciones siguientes:
o bien
Impedancia y ángulo característico de las líneas
Las líneas de transmisión se diseñan de modo tal que, hasta donde sea posible, se logre equilibrar sus parámetros, por
lo cual, su impedancia equivalente por fase resulta ser mas o menos igual para cada fase. Por tanto, si no hay cambios
ni en la sección del conductor ni en el material empleado, la impedancia por fase es proporcional a la longitud de la línea
entre el punto de medida y el punto considerado (punto de falla, por ejemplo).
La expresión para una impedancia homogénea a lo largo de la línea es del tipo:
Así entonces, cualquiera que sea el tramo considerado, dará como resultado el mismo ángulo de desfase entre el voltaje
y la corriente, en condiciones de cortocircuito. La figura 3 muestra un sistema formado por una línea de transmisión, un
transformador y las cargas respectivas. En la figura 4 se representa la línea en el diagrama R-X.
Figura 3. Sistema de transmisión Figura 4. Representación de la línea
en un diagrama R-X
En la figura 4, el trazo AC representa la impedancia de la línea ZLL. Si se produce un cortocircuito en el punto B, la
impedancia queda representada por el trazo AB, con el mismo ángulo. Luego, el ajuste de los relés puede hacerse de
modo que proteja la línea por completo, pero que no vea una falla en D, es decir, mas allá del transformador. En
términos prácticos, los relés cuentan con zonas de protección lo cual permite dar ajustes que abarquen un porcentaje de
la línea (80%, por ejemplo), la línea completa mas el primario del transformador (110%, por ejemplo) y, finalmente, el
transformador completo mas una parte de la línea siguiente o de la carga, según sea el caso.
A manera de ejemplo, supóngase que los componentes del sistema de la figura 3 tienen los siguientes parámetros:
Medición del relé para fallas entre fases
Las fallas entre fases que ocurren en un sistema de potencia pueden ser de tipo bifásica o trifásica. Se analizarán los
dos tipos de fallas para determinar la forma en que realiza la medición la protección de distancia, de manera que tenga
el mismo alcance para ambas. Ambas situaciones se muestran en la figura 6.
Figura 5. Diagrama R-X para el
sistema de la figura 3
La figura 5 representa esta situación en el diagrama R-X, donde
la impedancia que mide el relé en condiciones normales es
ZM=(11+j7) Ω. Si ocurre un cortocircuito en la barra D, la
impedancia es ZAD=(1+j7) Ω. Si el cortocircuito ocurre en la barra
C, la impedancia es ZAC=(1+j3) Ω; es decir, la impedancia de la
línea en cortocircuito, queda representada de la misma forma que
en la figura 4.
Figura 6. Representación de cortos bifásicos y trifásicos
A partir de la figura 6, para un corto bifásico entre las fases 2 y 3, se puede escribir:
V23  ZL I2  ZL (I3 )  ZL (I2  I3 )
La impedancia vista por el relé durante un corto bifásico se puede calcular por medio de las tensiones y corrientes por
fase medidas en el relé.
De la misma forma, si la falla es entre las fases 1 y 2 o 1 y 3, se puede calcular la impedancia respectiva así:
I
ZL
Si el corto es trifásico, de la figura 6 se tiene que:
3
I1 I2 I
ZL

V1

V2

V3
12 31
I
ZL

V12

V31
23
I
ZL

V23
Figura 7. Diagrama fasorial de
voltajes para un corto trifásico
Figura 8. Diagrama fasorial de
corrientes para un corto trifásico
Según las figuras 7 y 8:
31
3
3
23
3
2
12
3
1
V
V
V 
V 
V 
3
2
12
3
1
I
I
V I

I23
3

I31
3
I 
Por lo que la impedancia para el corto trifásico se puede medir también como:
12 23 31
I I I
ZL

V12

V23

V31
Se puede concluir entonces, que para fallas trifásicas o bifásicas, es posible medir la impedancia por fase y con el mismo
alcance, mediante el uso de tres unidades de medida F1, F2 y F3, que determinen la impedancia de acuerdo con las
tensiones y corrientes dadas por la ecuación anterior; es decir, el circuito de voltaje de cada unidad se alimenta con
tensiones entre líneas y el circuito de corriente requiere tener dos bobinas, alimentadas tal como se muestra en la figura 9.
Figura 9. Diagrama de conexiones de la protección de distancia para fallas entre fases y trifásicas
Medición del relé para fallas a tierra
Para el análisis se considerará el sistema cuyo diagrama unifilar se muestra en la figura 10. En el caso de una falla
monofásica en el punto F, las redes de secuencia quedan conectadas tal como se muestra en la figura 11, donde Z’ es la
impedancia de la línea antes del punto de medida M (donde está ubicado el relé) y Z es la impedancia de la línea entre el
punto de medida y el de falla.
E
+
Z’2
Z’0
Figura 10. Línea con una falla a tierra
Z’1 M Z1
V1M
Z2
V2M
Z0
V0M
V1F
V2F
V0F
I1
I2
I0
Figura 11. Conexión de las redes de secuencia
para una falla a tierra en el sistema de la figura 10
En el punto de medida se tiene que: VM V1M V2M V0M
De donde:
Entonces:
V1M  I1Z1 V1F V2 M  I2 Z2  V2F V0M  I0 Z0 V0 F
VM  I1Z1 V1F  I2 Z2 V2F  I0 Z0 V0F
Pero en el punto de falla se tiene que: V1F V2F V0F  0
Por lo que la tensión en el punto de medida es: VM  I1Z1  I2 Z2 I0 Z0
En general Z1 = Z2 y adicionalmente If = 3I0 entonces I0 = If/3
Por lo que:
3
I Z
f 0
VM  Z1 (I1  I2 )
Se sabe que: f 1 2 0
I  I  I  I entonces f
1 2 f 0 f
I f

2
I
3 3
I  I  I  I  I
)
1 1
3 3 1
0 1
1
0
1
0
3Z
3 3Z 3 3
2 Z
3 3Z
2 Z
1 f
1 f
f 0 1 f
M 1 f
Z  Z
  )  Z I (1
)  Z I ( 
V 
2
Z I 
1
I Z  Z I ( 
Por lo que:
O sea: VM  Z1I f (1 K0 )
I f
VM
 ZM  Z1 (1K0 )
Para que ZM sea igual a la impedancia de la línea, se debe calcular de la forma:
VM
M
I f (1 K0 )
Z 
0
Donde K es conocido como el “coeficiente de impedancia a tierra” y es iguala
3Z1
Z0 Z1
Entonces para fallas a tierra 1
M
Z  Z
Entonces para cualquier falla a tierra, en la fase a, b, o c, la impedancia medida se debe calcular de la forma:
a 0
M
I (1 K )
Z  o
b 0
VaM VbM
M
I (1 K )
Z  o
c 0
VcM
M
I (1 K )
Z 
Donde
VaM, VaM, VaM, son las tensiones en la fase fallada medida en el punto de instalación del relé,
Ia, Ib, Ic,son las corrientes en la fase fallada medida en el punto de instalación del relé
Y como las impedancias de secuencia positiva y cero de la línea son de la forma Z1Z1 y Z0Z0, entonces el
coeficiente K0 es de la forma K0K0
Por ejemplo, si las impedancias de secuencia positiva y cero de una línea dada son 180° y 378°, entonces el
coeficiente K0 es igual a:
0
3Z1 3(180) 380

Z0  Z1

378 180

277
 0.66  3
K
Esquema de conexión de las protecciones de distancia
52
21

Características de las protecciones de distancia
Es posible obtener varios tipos distintos de relés de distancia con características de operación perfectamente diferenciadas.
Entre los más comunes están:
Característica tipo Mho
Esta característica corresponde a una circunferencia que pasa por el origen y cuyo diámetro es igual al alcance (ajuste) del
relé. El diámetro es la curva que pasa por el origen y con un ángulo de inclinación  que corresponde al ángulo de máximo
torque (MTA) o ángulo característico del relé (RCA).
X
R
Con esta característica el relé es completamente direccional y con operación para fallas hacia el elemento protegido. El
origen del diagrama R-X corresponde al lugar de ubicación del relé.
MTA = L
X
R
Z
Al relé se le ajusta el alcance de la característica Z y el ángulo de máximo torque (MTA) que se puede ajustar igual al
ángulo de la impedancia de secuencia positiva de la línea.
ZL
Para la característica de esta figura, el relé se ajusta a un
alcance Z el cual equivale a un porcentaje de la impedancia total
de la línea. El ángulo de la impedancia de falla depende de sus
componentes resistivos (R) e inductivos (X). En el caso de fallas
de arco o fallas a tierra que involucran una resistencia adicional
como la resistencia de las torres o fallas a través de vegetación,
el valor de esta componente resistiva cambia el ángulo de la
impedancia de falla.
ZF
RF
XF
Para una falla en la línea con una impedancia ZF = RF + j XF, el relé opera porque la impedancia de falla cae dentro de la
zona de ajuste. Si ocurre la misma falla en la línea pero a través de una resistencia (árbol) R, entonces la impedancia de
falla es ZF = (RF + Ra) + j XF , la cual cae fuera de la zona de ajuste por lo que el relé no opera y se dice que el relé sub-
alcanza.
X
R
Z
ZL
RF
XF
Ra
ZF
RF
De todas formas la característica mho puede no ser muy sensible para fallas con resistencia a tierra, especialmente
en las líneas cortas.
Z'
Z
Cos(L MTA)
En general, para determinar el alcance máximo del relé
para diferentes ángulos de falla , se utiliza la expresión MTA
X
R
Z

ZF
Para evitar esto, se ajusta el MTA con un valor menor que la
impedancia de la línea, para aceptar un pequeño aumento de la
resistencia de falla sin sub-alcanzar, resultando una
característica como la que se muestra. Por lo que el relé se
ajusta con un alcance Z’ igual a
X
R
Z
ZL
L
MTA
Z’
Se puede observar que en este caso el alcance del relé es
mayor para fallas resistivas.
ZF | ZCos(  MTA)|
Característica tipo Lenticular
En el caso de líneas largas, es posible que para valores normales de carga, el valor de la impedancia de carga caiga
dentro del alcance del relé. Para prevenir esto se puede utilizar una característica con el alcance resistivo restringido, tal
como se muestra en la figura.
X
Característica mho
Característica lenticular
b
a
Z carga
R
En este caso la relación que
determina el aspecto del lente
es ajustable
a
b
X
R
Zf
Característica tipo Mho Offset
En esta característica se ajusta el relé para que opere ante fallas incluso hacia atrás del elemento protegido, por lo que al
relé se le ajusta un alcance Zf (forward) hacia adelante y un alcance Zr (reversed) hacia atrás.
ZL
Zr
El alcance de reversa Zr provee
protección de respaldo para fallas en
la barra local
Zona de la
barra local
Característica tipo Cuadrilateral
Esta forma de impedancia poligonal está caracterizada por un alcance reactivo X y por un alcance resistivo R ajustables
independientemente. Por lo tanto provee un mejor cubrimiento para fallas resistivas en comparación con la característica
mho en líneas cortas.
X
R

RZ
XZ
Usualmente en esta característica se ajustan los
valores Rz y Xz. Dependiendo del fabricante del relé se
pueden ajustar parámetros adicionales, tales como
ángulos (, ), alcances negativos (-R) para definir
completamente la zona.

-R
También puede ocurrir que para ciertos valores de carga, la impedancia vista por el relé puede caer dentro de la zona de
operación. Por lo que las protecciones numéricas ofrecen otra forma de característica cuadrilateral para evitar disparos
ante valores normales de carga. X
RLoadmax load
R
Z carga
A la protección se le define un valor de resistencia
máxima de carga (RLoadmax) y un ángulo de resistencia
de carga (load), por lo que según la gráfica para la
impedancia de carga Zcarga el relé no opera.
RZ
Criterios de ajustes
La protección de distancia básica comprende una Zona 1 con operación instantánea y una o más zonas temporizadas. Los
relés digitales y numéricos pueden disponer de hasta cinco zonas, algunas para detectar fallas en sentido de reversa.
Ajuste de Zona 1
Los relés electromecánicos normalmente disponen de un ajuste para la Zona 1 con operación instantánea hasta el 80% de
la impedancia de la línea protegida. Los relés digitales y numéricos se pueden ajustar hasta un 85% con seguridad. El
margen de seguridad resultante del 15-20% es para estar seguro de que no haya riesgo de que la protección sobrealcance
la línea protegida debido a errores en los TCs y TPs, errores en los datos de impedancia de la línea utilizados en los
ajustes de la protección y errores de ajustes y medidas en los relés. El resto de la línea (15-20%) queda protegido por la
Zona 2.
Zona1 80%Z1línea
tZona1 instantáneo
Para los relés con característica tipo mho se ajusta el alcance de zona 1 al 80% de la impedancia de secuencia positiva Z1
de la línea protegida cuando el MTA del relé es igual al ángulo de impedancia de la línea.
Si el MTA es menor que el ángulo de impedancia de la línea se ajusta el alcance de zona 1 como
Z1
0.8Z1Linea
Cos(1Linea MTA)
0.8VLL
R1 45%
Para los relés con característica cuadrilateral se debe ajustar así:
X1 0.8X1Línea
VLL
Iemergencia
3(1.3Iemergencia )
= Tensión nominal del sistema
= Corriente admisible en emergencia en la línea
Ejemplo: si la impedancia de secuencia positiva de la línea es
ZL  (0.86  j4.92)  580,V  110kV , Iemergencia  700 A
Para un relé tipo mho con MTA = 70 < 80, entonces la zona 1 se ajusta como
 4.06 81%
Cos(8070)
0.8x5

Z1
3(1.3x700)
R1 45%  0.45
0.8x110000
 25.12
Para un relé con característica cuadrilateral:
X1  0.8X1Línea  0.8x4.92  3.93
3(1.3Iemergencia )
0.8VLL
Si la línea es radial con un transformador al otro extremo de la línea, entonces la zona 1 se ajusta al 100% de la
impedancia de secuencia positiva de la línea protegida.
1
G 2
Z1 = R1 + j X1
X
R
25.12
ZL =580
3.93
Normalmente la
Zona1 = Z1 (mho)
X1 = X1 (cuadrilateral)
impedancia del transformador está dada en por unidad con base en la potencia nominal del
transformador. Entonces para calcular la impedancia del transformador en ohmios se usa la expresión:
MVA
X ( pu)* kV 2
XT ()  T
Ajuste de Zona 2
La Zona 2 se ajusta en no menos del 120% de la impedancia de secuencia positiva de la línea protegida. En muchas
aplicaciones es común ajustar el alcance de Zona 2 al 100% de la impedancia de la línea protegida más el 50% de la
impedancia de la línea adyacente más corta (con menor impedancia). Con esto último se asegura que el ajuste de Zona 2
de la línea protegida no se extienda más allá del ajuste de Zona 1 de la línea adyacente más corta. Con esto no es
necesario coordinar los tiempos de operación de la Zona 2 de protecciones adyacentes. El tiempo de operación de la
Zona 2 se ajusta normalmente en 250 mseg.
1
G 2
Zona11 Zona12
Zona21 Zona22
50% 80%
mho
Zona2(mín) 1.2Z1LíneaPropia
Zona2(máx)  Z1LíneaPropia 0.5Z1LíneaAdyMásCorta
cuadrilateral
X 2(mín) 1.2X1LíneaPropia
X 2(máx)  X1LíneaPropia 0.5X1LíneaAdyMásCorta
tZona2 250mseg
El alcance resistivo de Zona 2 se ajusta igual al de Zona 1
3(1.3Iemergencia )
0.8VLL
R2 R1  45%
Si la línea es radial con un transformador al otro extremo de la línea, entonces la zona 2 se ajusta al 100% de la
impedancia de secuencia positiva de la línea protegida más el 50% de la impedancia del transformador.
1
G 2
Z1 = R1 + j X1
1
G 2
250 mseg
Zona21
Zona12
Zona22
Línea 1 = 10 Línea 2 = 2
80% = 1.6 
50% = 1 
XT
Zona2 = Z1 + j 0.5XT = R1 + j (X1 + 0.5XT) (mho)
X2 = X1 + 0.5XT (cuadrilateral)
En caso que la suma de la impedancia de la línea protegida más el 50% de la línea adyacente más corta sea menor que el
120% de la impedancia de la línea protegida, entonces es necesario coordinar los tiempos de Zona 2 de ambas
protecciones, ajustando en 400 mseg para la línea propia y 250 mseg para las líneas adyacentes.
1.2(Línea 1) = 12 
400 mseg
Zona11
Región de no
coordinación
Ajuste de Zona 3
El objetivo de esta zona es servir de respaldo a las protecciones de las líneas adyacentes. Normalmente, su ajuste se
extiende hasta el extremo opuesto de la línea adyacente de mayor impedancia, pero se debe garantizar que este alcance
no detecte fallas ocurridas en las subestaciones de diferentes tensiones conectadas a través de los transformadores de
potencia.
El criterio recomendado es el menor valor entre:
•La impedancia de la línea protegida más el 80% de la impedancia de los transformadores en la barra remota.
•La impedancia de la línea protegida más la impedancia de la línea adyacente más larga (de mayor impedancia),
multiplicada por un factor de seguridad de 120%.
Es decir, el menor valor entre:
Zona3  Z1propia  0.8XTrafo.Remoto
Zona3 1.2(Z1propia  Z1LíneaAdyMásLarga)
El tiempo para la Zona 3 se ajusta normalmente en 800 mseg
tZona3 800mseg
Ajuste en ohmios secundarios
Generalmente las protecciones de distancia se ajustan en ohmios secundarios, por lo que se utiliza la siguiente fórmula
para convertir los ohmios primarios en ohmios secundarios
prim
I
Z
I I RTC
Z
RTC
prim
RTP
RTP
 Z
prim sec prim

Vprim

Vsec

Vprim
sec
RTC
prim
RTP
Z  Z
sec
Sub-alcance - Efecto de remoto infeed
Se dice que un relé de distancia sub-alcanza cuando la impedancia vista por él es mayor que la impedancia real de falla.
Se define el porcentaje de sub-alcance como:
ZR
ZR  ZF
x100% Donde ZR es el ajuste del relé y ZF es el alcanceefectivo
Para el relé 1 se tiene que: VA  VAB  VBC  I1Z1  (I1  I2 )Z2 ya que Vc = 0
1
Dividiendo por I : 2
1
1
1 I
I

(I1  I2 )
Z
VA
Z pero:
1 I
VA
 1 
I1  I2 
 Z1   
Z2
Zrelé 
I
Debido al efecto infeed remoto, el relé 1 en vez de ver la impedancia real igual a Z1 + Z2, ve una impedancia mayor,
igual a
I

Z2
 1 
I1  I2 
Z1  
La causa principal del sub-alcance es debido al efecto de la corriente de falla alimentada en los extremos remotos.
Por lo que el alcance efectivo del relé se ve reducido y es igual a
F 1 

Z
2
Ajustada

 1 2 
 I1 
I  I
Z  Z 
Por ejemplo, si el relé 1 está ajustado para un alcance de ZR = 15 , la impedancia de la Línea ZAB es de 10 , l
a
impedancia a la falla ZBC es 4  y las impedancias de los generadores es de 5 , entonces la corriente de falla si la
tensión nominal es de 110 kV es igual a:
1 2
E 110000
2 BC
1 AB
F
(510) ||5 4
  14193A  I  I
) || Zg Z
(Zg Z
I 
Por divisor de corrientes:
5
1  3548A
515
I  14193
15
2 10644A
515
I 14193
Z1  ZAB 10 Z2  ZBC  4  Z2 Ajustada  ZR  ZAB  15 10 5
Por lo que la impedancia vista por el relé en vez de ser 10 + 4 = 14 , esde

 

4  26
3548
2
 1 
Z 10
I
I1  I2  
14193
Zvista  Z1 
y el alcance efectivo del relé (15 ) se ve reducidoa:

 

5 11.25
14193
3548 
2
 1 2 
ZAjustada  10 
I  I
 I1 
Z  Z 
F 1
y el porcentaje de sub-alcance es:
ZR  ZF
x100% 
15 11.25
x100% 25%
ZR 15
Sobrealcance
Se dice que un relé de distancia sobrealcanza cuando la impedancia vista por él es menor que la impedancia real de falla.
Se define el porcentaje de sobrealcance como:
ZR
ZF  ZR
x100% Donde ZR es el ajuste del relé y ZF es el alcanceefectivo
Un ejemplo de sobrealcance ocurre cuando los relés de distancia se aplican a líneas paralelas y una de las líneas
está fuera de servicio y aterrizada en ambos extremos.
Otras características de las protecciones de distancia
Las protecciones de distancia modernas a menudo incorporan funciones adicionales para asistir a los ingenieros de
protecciones para proveer una solución amplia para los requerimientos de protecciones de una parte particular de la
red.
Localización de falla
Protección de sobrecorriente instantánea
Grupos de ajustes alternativos
Chequeo de sincronismo
Autorecierre
Monitoreo del estado de los interruptores
Mediciones de voltaje, tensiones, etc.
Registro de eventos
Registro de fallas
Lógica de detección de falla interruptor
Protección de sobrecorriente fases/tierra direccional y no direccional
Protección de bajo voltaje y sobrevoltaje
Protección de cierre con falla
Esquemas lógicos programables por el usuario
Esquemas de protección distancia
En la siguiente figura se muestra la protección de distancia convencional escalada en el tiempo.
La principal desventaja de esta protección es que no puede proveer disparo instantáneo (Zona 1) para el 100% de la
línea. Debido a que la Zona 1 se ajusta típicamente al 80% de la línea, quedan dos regiones en ésta del 20% en que
cualquier falla que ocurra allí, es despejada en tiempo de Zona 2 (250-400 mseg).
En algunas aplicaciones, esta situación no es tolerable ya que las fallas que se mantienen y son despejadas en tiempos
de Zona 2 pueden causar que el sistema se vuelva inestable.
El esquema de protección más deseable es aquel que provea disparo instantáneo a todo lo largo de la línea y disparo
de respaldo para líneas adyacentes. Esto se puede conseguir interconectando las protecciones de distancia a cada
extremo de la línea protegida por un canal de comunicación.
El propósito de este canal de comunicación es transmitir información sobre las condiciones del sistema de un extremo
a otro, incluyendo peticiones para iniciar o prevenir disparos del interruptor remoto.
Esquema de disparo transferido directo en sub-alcance DUTT
La lógica de este disparo se muestra en la siguiente figura:
La operación en Zona 1 de un extremo, envía una señal de disparo directo hacia el otro extremo de la línea.
En el extremo donde se recibe la señal, se produce el disparo inmediato del interruptor ya que esta señal derecepción
está conectada directamente al disparo del interruptor. La desventaja de este esquema es precisamente que pueden
ocurrir disparos no deseados por operación accidental o mala operación del equipo de teleprotección o por interferencia
en el canal de comunicación. Por esto, este esquema no se utiliza comúnmente.
Esquema de disparo transferido permisivo en sub-alcance PUTT
El esquema de disparo directo descrito anteriormente, es más seguro si se supervisa la señal recibida con la operación
de la Zona 2 antes de realizar un disparo instantáneo, como se muestra en la siguiente figura:
Es posible que se requiera temporizar el tiempo de desenganche de la señal recibida para asegurarse que los relés en
ambos extremos de una línea en paralelo con otra, tengan tiempo para disparar cuando la falla ocurre en un extremo
cercano.
Para la falla F el relé en A opera en Zona 1 pero es posible que
el relé en B no detecte la falla en Zona 2, sino solamente
cuando abra el interruptor en A, pero en ese momento ha
desaparecido la señal de recibo desde el extremo A. Al retardar
el tiempo de desenganche de la señal de recibo desde A,
permite que se produzca disparo instantáneo en B al detectar el
relé en B, la falla en Zona 2.
Esquema de disparo transferido permisivo en sobrealcance POTT
En este esquema, se ajusta un elemento del relé más allá del extremo remoto de la línea protegida para enviar la señal
de disparo al extremo remoto de la línea. Sin embargo, es necesario que la señal de recibo sea monitoreada por un
elemento direccional (Zona 2), para asegurarse que no ocurra disparo a menos que la falla sea en el elemento protegido.
Esquema de bloqueo en sobrealcance
Los esquemas hasta ahora descritos utilizan el canal de comunicación para transmitir órdenes de disparo. Si el canal
de comunicación falla, no se pueden despejar fallas instantáneamente en ambos extremos. Los esquemas de bloqueo
en sobrealcance. Los esquemas de bloqueo por sobrealcance utilizan un esquema de distancia por sobrealcance y una
lógica inversa. La señal es iniciada solamente para fallas externas y la transmisión de señal ocurre sobre las secciones
de línea sin falla. Entonces ocurre el rápido despeje de fallas cuando no se recibe la señal y el elemento de
sobrealcance (Zona 2) hacia la línea opera.
La señal de bloqueo debe ser enviada por los elementos que detectan falla en reversa para prevenir disparo instantáneo del
relé remoto ante fallas en Zona 2 externas al elemento protegido. Para lograr esto, los elementos que operan en reversa y
el canal de comunicación, deben ser más rápidos que los elementos que detectan la falla hacia delante. En la práctica y
para asegurar una correcta discriminación, se adiciona un retardo al circuito de bloqueo.
Este esquema de bloqueo se conoce también como “esquema de bloqueo por comparación direccional”.
PROTECCIÓN DIFERENCIAL
Las protecciones diferenciales basan su funcionamiento en la comparación de las corrientes que entran y salen de un
equipo. Su aplicación tiene pocas limitaciones, siendo la principal de ellas, la distancia que separa a los
transformadores de corriente, ya que mientras mas separados se encuentren, mayor será el burden que representan
los conductores de interconexión. Por razones prácticas y económicas, el relé diferencial se usa para la protección de
máquinas sincrónicas y asincrónicas, transformadores de poder, barras de subestaciones y líneas cortas, siempre que
su potencia sea importante. (Usualmente sobre unos 5 a 8 MVA).
En el esquema de la figura siguiente se puede apreciar que la corriente que detecta el relé diferencial R, en las
condiciones indicadas, es igual a cero. Al ocurrir una falla, sea monofásica, bifásica o trifásica, en la zona protegida
(entre los TCs), se produce un desequilibrio que hace fluir una corriente diferencial Id distinta de cero, por el relé R, de
modo que éste da la orden de abrir el interruptor correspondiente.
La protección diferencial, por lo tanto, resulta ser eminentemente selectiva, ya que no responde a fallas que no estén
comprendidas en su zona de influencia, es decir entre los dos juegos de transformadores de corriente. Por esta razón,
no necesita ser coordinada en otras protecciones, como las de sobrecorriente por ejemplo; como además, es
independiente de la corriente de corriente de carga circulante, puede tener un pick-up muy bajo y ser teóricamente
instantánea.
Protección diferencial de barras
Una de las aplicaciones de la protección diferencial es la de proteger las barras de una subestación, donde las fallas
normalmente suelen ser bastante severas. Dada su selectividad inherente, pueden ajustarse de modo que despeje la
falla rápidamente a fin de evitar mayores daños y un compromiso mayor de las instalaciones.
La protección diferencial de barras reúne las corrientes de todas las líneas que llegan o salen de la barra, de modo que
la suma instantánea de ellas es siempre igual a cero, en condiciones normales, tanto en términos primarios como
secundarios.
Como la protección diferencial es selectiva, no debería operar para fallas externas a la zona protegida. En la práctica
esto no es totalmente cierto ya que las elevadas corrientes de falla que pueden producirse en las cercanías de la
protección dan origen a corrientes diferenciales por razones tales como: Errores de razón de los TC; distinto factor de
sobrecorriente de éstos (aún con burden nominal) y por diferencias en el burden que tienen conectado. Por tales
razones, ha sido necesario “insensibilizar” estos relés para que operen sólo cuando la corriente diferencial alcance un
cierto valor que es un porcentaje de la corriente por fase. A estos relés se le denomina “relés diferenciales de
porcentaje”.
Protección diferencial de porcentaje
El elemento de medida de estos relés compara las corrientes que entran con las que salen del equipo de tal manera
que cuando la diferencia entre éstas alcance un valor igual o superior a un porcentaje dado de la corriente menor, el
relé opera.
Los relés diferenciales de porcentaje, tienen en cada fase una unidad de medida de tres enrollados: dos de retención y
uno de operación dispuestos como se muestra esquemáticamente en la figura siguiente:
Cuando no hay falla interna, las corrientes secundarias I1 e I2
son iguales, la corriente diferencial Id, es igual a cero y por lo
tanto, el torque de operación es igual a cero, mientras que el
torque de retención es máximo con las dos corrientes en el
sentido indicado y con el mismo valor. En condiciones de falla
interna, las corrientes I1 e I2 cambian, por lo general, en
magnitud y fase; la corriente diferencial aumenta, por lo que la
bobina de operación produce torque en el sentido de cerrar los
contactos del relé. El torque de retención disminuye ya que a lo
menos una de las corrientes baja significativamente su valor.
En la gráfica siguiente se muestra la característica de operación de una protección diferencial del tipo porcentual. La
protección opera cuando la corriente diferencial Id es mayor que un porcentaje de la corriente de restricción IR.
Dependiendo del fabricante del relé, la corriente de restricción puede ser la menor corriente entre I1 e I2 o el promedio o
la suma de éstas. El ajuste del porcentaje k determina la pendiente de la recta y se ajusta de acuerdo con el elemento
protegido, por ejemplo, se usa 10 - 25 % para motores y generadores y 15 - 25 - 40 - 50 % para transformadores. En la
característica se observa que la recta no pasa por el origen, esto para evitar disparos no deseados con valores de
carga o de fallas de baja intensidad.
En condiciones de falla interna (en el elemento protegido), la corriente diferencial Id es igual a la corriente de restricción
IR por lo que la característica de la falla corresponde a una línea recta con una pendiente de 45°.
45°
Protección diferencial de alta impedancia
En esta protección la corriente diferencial circula por una resistencia de alta impedancia lo que produce un voltaje con el
que opera la protección. Esta es una protección muy segura ante fallas externas pero es muy exigente en cuanto a las
características de los transformadores de corriente que deben ser de igual relación (requiere transformadores de
corriente auxiliares para igualación), su punto de saturación debe ser alto (el voltaje de saturación debe ser al menos el
doble del voltaje de operación del relé). Adicionalmente, en casos de fallas muy violentas, se pueden producir voltajes
elevados en el secundario de los TCs, por lo que obliga a instalar limitadores de sobretensiones (varistores) en paralelo
con el relé.
Protección diferencial de transformador
La protección diferencial de transformadores trifásicos es bastante mas complicada, por los motivos siguientes:
a.Las corrientes de primario y secundario no tienen el mismo valor, debido a que normalmente la relación de
voltajes entre estos dos devanados no es la unidad.
b.Las corrientes del primario y secundario del transformador pueden no estar en fase, dependiendo de la
conexión del transformador.
c. Las relaciones de los TCs de cada devanado no siempre arrojan valores secundarios iguales a comparar.
d.La protección no debe ser afectada por las condiciones de operación del transformador, como cambios de taps
o funcionamiento en vacío.
e.La corriente de excitación en el momento de la conexión del transformador (corriente de in-rush) puede tomar
valores muy elevados, dependiendo del valor instantáneo de la onda de voltaje en el momento de la conexión.
Su forma es exponencial decreciendo en el tiempo y disminuyendo su desplazamiento para tomar finalmente el
valor de régimen permanente.
f. En transmisión se usan bastante transformadores de tres devanados, lo que complica más la situación.
A continuación se verá la forma como se resuelven estos problemas.
a. Las corrientes de primario y secundario no tienen el mismo valor, debido a que normalmente la relación de
voltajes entre estos dos devanados no es la unidad.
Los relés diferenciales se construyen con tap en las unidades de retención, de modo que aunque las corrientes
que se comparan no son iguales, el relé opere con el mismo porcentaje o pendiente.
b. Las corrientes del primario y secundario del transformador pueden no estar en fase, dependiendo de la
conexión del transformador.
Los relés diferenciales se conectan a circuitos secundarios provenientes de juegos de TCs cuya conexión debe
efectuarse en forma inversa a aquella de los devanados primario y secundario del transformador de potencia. De
esta manera se anula el desplazamiento angular de las corrientes por fase. Por ejemplo, si un transformador
tiene conexión DY1, los TCs del lado primario se conectarán en estrella y los del lado secundario, en delta, de tal
forma que las corrientes secundarias por línea de los TCs, adelanten en 30º a las correspondientes dentro de la
delta. De todas formas, es conveniente asegurarse de la correcta conexión de los TCs, dibujando los diagramas
fasoriales respectivos. En el caso de las protecciones electrónicas, los TCs de ambos lados se pueden conectar
en estrella, ya que el desfase puede ser compensado en forma interna por la protección.
DYn1
a:1
Idiff
Yn0 D11
Iprim0° a.Iprim-30°
Iprim/ RTCH 0° a.Iprim3/RTCL0°
RTCH RTCL
Iret1 Iret2
c. Las relaciones de los TCs de cada devanado no siempre arrojan valores secundarios iguales a comparar.
Para solucionar el problema de que los TCs entreguen magnitudes secundarias diferentes a comparar, se puede
hacer uso de relés diferenciales de porcentaje, de diferentes porcentajes o pendientes; por ejemplo; 15- 25-40-
50%, o bien, utilizar transformadores de corriente auxiliares (transformadores de adaptación o de interposición)
que dispongan de un amplio rango de relaciones de taps, para igualar las corrientes que llegan al relé.
DYn1
a:1
Idiff
Iprim0° a.Iprim-30°
Iprim/ (RTCH RTCB)0°
a.Iprim3/ (RTCL RTCC)0°
RTCH RTCL
Iret1 Iret2
YnD11
RTCl
Iprim/ RTCH 0° a.Iprim/ RTCL -30°
TC aux
TC aux YnYn0 RTCh
RTCLRTCl
RTCH RTCh
Iprim

a.Iprim 3
Se necesita que:
a 3
RTC RTC h
H

RTCL RTCl
O sea que:
de donde a, RTCH y RTCL sonconocidas
Generalmente se podría prescindir de los transformadores auxiliares para el devanado de alta, es decir, en la
ecuación se tomaría RTCh = 1, por lo que se pueden dimensionar los transformadores auxiliares para el devanado de
baja así:
L
l
RTC
3RTCH
RTC 
a
Un transformador de adaptación es un transformador de corriente con múltiples devanados y haciendo
combinaciones de devanados se puede obtener un amplio rango de relaciones. El fabricante suministra el rango de
relaciones y las posibles combinaciones con sus conexiones.
d. La protección no debe ser afectada por las condiciones de operación del transformador, como cambios de
taps o funcionamiento en vacío.
El problema señalado en este punto también puede ser solucionado empleando relés diferenciales de
porcentaje, con valores más elevados, tal como los indicados en c.
e. La corriente de excitación en el momento de la conexión del transformador (corriente de in-rush) puede tomar
valores muy elevados, dependiendo del valor instantáneo de la onda de voltaje en el momento de la conexión.
Su forma es exponencial decreciendo en el tiempo y disminuyendo su desplazamiento para tomar finalmente el
valor de régimen permanente.
Una solución no muy práctica sería retardar la operación de la protección o insensibilizarlo para evitar que opere
durante las maniobras de energización del transformador, con lo que se atenta contra las principal ventajas de la
protección diferencial como lo son su rapidez y sensibilidad.
La mejor solución es la aplicación de la protección diferencial con restricción de armónicos donde se aprovecha
la distorsión que caracteriza a la corriente de in-rush, especialmente el alto contenido del segundo armónico que
puede ser usado como retención. De esta forma se puede diferenciar entre corrientes de falla y corrientes de in-
rush.
Diagrama de conexiones para la protección diferencial de transformador
A modo de ejemplo, se considerará la aplicación de la protección diferencial de porcentaje a un transformador de
potencia en conexión DY5. Considerando lo indicado anteriormente, los secundarios de los TCs del lado primario del
transformador se conectarán en estrella y los del secundario en delta.
Diagrama de conexión para la protección diferencial sin transformadores de adaptación
Diagrama de conexión para la protección diferencial con transformadores de adaptación
Especificación de ajustes de una protección diferencial de transformador
La especificación de ajustes es una etapa importante para obtener un buen comportamiento de una protección.
En el caso particular de la protección diferencial, la determinación del ajuste se simplifica bastante, ya que, por ser
inherentemente selectiva, no necesita ser coordinada en el tiempo con otra protección, pudiendo ser instantánea.
En general, entonces, deberá especificarse lo siguiente:
− Relaciones de los transformadores de corriente principales y auxiliares, si los hubiera
− Taps
− Porcentaje o pendiente.
Cálculo de Taps
IH IL
RTCH RTCL
Sn - Vn /Vn
H L
(MVA) - (KV)
Para determinar los TAPS en que debe dejarse el relé, conviene seguir el siguiente procedimiento:
1. Calcular la corriente normal de plena carga en amperios primarios de cada lado del transformador
H
I
3VnH L
L
I
3Vn

Sn(KVA)

Sn(KVA)
2. Calcular un tap del relé, correspondiente a un lado cualquiera, de acuerdo con la siguiente expresión:
H
H
RTC
TAP 
IH KH
TAP E
TAP
RTC
H
H
L
Donde KH es 1 para TCs del lado H conectados en estrella o 3 para TCs conectados en delta.
Por lo general, el TAP no saldrá exacto, y será necesario elegir el más próximo superior. Una vez elegido un tap (TAPHE
en este caso) el otro (TAPL) se calcula por la expresión:
IL KL
L
TAP 
TAPLE
TAPH E
TAPLE
x100
Donde KL es 1 para TCs del lado L conectados en estrella o 3 para TCs conectados en delta.
Cálculo del error de los Taps
El error de los Taps se calcula de la siguiente manera:
1. Calcular las corrientes secundarias que llegan al relé así:
TAPH

TAPHE
ErrorTAP% 
TAPL si
TAPL TAPLE
TAPH

TAPH E
x100
TAPH
TAPL
TAPH E

TAPH
ErrorTAP% 
TAPL E si
TAPLE TAPL
TAPH E

TAPH
o
TAPL
El error de los Taps debe ser menor o igual que 5% y se debe verificar que este error se mantiene para fallas trifásicas
máximas. Para transformadores tridevanados, el error de los Taps se debe verificar para todas las combinaciones de
corrientes y Taps.
Elección del porcentaje o pendiente del relé
Se explicó antes que los porcentajes de los relés diferenciales que se aplican en transformadores de potencia
pueden ser 15, 25, 40 y 50%.
Para elegir la pendiente de un relé diferencial, se toman en cuenta los siguientes factores:
−Rango máximo de cambio de taps del transformador de potencia, ya sea manual o automático (generalmente no
excede ± 10%)
− % de error por TAP (no mayor de 5%, según lo visto)
−Error debido a saturación de los TCs en fallas externas; esto se obtiene conociendo el valor de las corrientes
máximas de falla externa y la característica de saturación de los TCs.
La suma de estos tres errores permite elegir el porcentaje del relé. Por ejemplo, si esta suma es menor de 10%,
se elige 15%; si es menor de 20%, se elige 25%; entre 20 y 35%, se elige 40%; y sobre 40%, se elige 50%
H
H
3Vn 3(34.5)

Sn(KVA)

33000
I 1380
L
L
3Vn 3(13.8)

Sn(KVA)

33000
 552 I
No hay problema con la selección de los TCs en 600/5 y 1500/5
2. Calculamos el tap para el lado de alta así
Ejemplo 1:
Sea un transformador DY1 de 33 MVA 34.5/13.8 KV. Los TCs de los devanados de alta y baja son 600/5 y 1500/5
respectivamente. Ajustar la protección diferencial porcentual, la cual tiene los siguientes valores ajustables de Taps 2.9
- 3.2 - 3.5 - 3.8 - 4.2 - 4.6 - 5- 8 y ajustes de pendientes del 15 - 25 - 40 %
De la información se tiene que:
RTCH  600/5 120
RTCL 1500/5  300
Sn  33000KVA
Los TCs del lado de alta se conectan el estrella y los del lado de baja en delta 11, por lo que KH  1 y KL  3
1. Calculamos la corriente normal de plena carga en amperios primarios de cada lado del transformador
120

552x1
 4.6
TAPH Por lo tanto: TAP E  4.6
H
300
4.6
1380 3
4.6 7.96
TAP E 
TAP
RTC
TAP  H
H
L
Y para el lado de baja:
ILKL
L Por lo tanto: TAP E  8
L
Para calcular el error de los Taps primero calculamos las relaciones entre los Taps así:

4.6
 0.578
TAPL 7.96
TAPH
TAPLE 8.0
TAPH E

4.6
0.575
Como
TAPL TAPLE
TAPH

TAPH E entonces
0.575
ErrorTAP% 
0.578 0.575
x100  0.52%
TAPLE
TAPH E
TAPLE
x100
TAPH

TAPH E
ErrorTAP% 
TAPL
Teniendo en cuenta que el error de los Taps es pequeño, se podría ajustar la pendiente al menor valor, es decir al
15%
Ejemplo 2:
Sea el mismo transformador al que se le va a instalar una protección diferencial que requiere que las corrientes que le
entran a él, sean iguales. La corriente nominal del relé es 5 amperios.
1. Calculamos la corriente normal de plena carga en amperios primarios de cada lado del transformador
H
3Vn 3(34.5)

Sn(KVA)

33000
I 1380
H L
L
3Vn 3(13.8)

Sn(KVA)

33000
 552 I
Los TCs del lado de alta se conectan el estrella y los del lado de baja en delta 11, por lo que KH  1 y KL  3
2. Calculamos las corrientes secundarias que le llegan al relé
120
I sec 
552x1
 4.6
H
300
3
 7.96
sec 
1380
L
I
Como las corrientes secundarias provenientes de los devanados de alta y baja son diferentes, se requiere la
instalación de transformadores de adaptación. Entonces instalamos transformadores de adaptación para el devanado
de baja en conexión YnD11. Entonces calculamos la relación requerida así:
34.5
 13.8 1.73
3x120
RTC 300
RTC 
a
L
3RTCH
l
Como el relé es de 5 amperios nominales, entonces la relación requerida para los transformadores de adaptación es:
RTCl 1.73x5 5  8.66/5
Si se tienen transformadores de adaptación de relación 1.2 - 8 : 5 , 5/3 A y se requiere la relación 8.66 : 5 A
A B C D E F G H I M
a b c
Este transformador solo dispone relación hasta 8 : 5, entonces se utiliza la relación 8.66/1.73 : 5/1.73 = 5 : 2.89.
Primario 5 A = Entrada C - G y puente D + E
Secundario 2.89 A = a - c
a
b
c
A B C D E F G H I M
De acuerdo con el catálogo de los transformadores de adaptación, para obtener dicha relación se utiliza la siguiente
conexión:
P1 P2
s1 s2
Esquemas de protección diferencial de barras
Barra sencilla
Barra sencilla con acople
Barra principal y barra de transferencia
Doble barra con acople de barras
Interruptor y medio
RECIERRE
Alrededor del 80-90% de las fallas en líneas aéreas corresponden a fallas transitorias. Estas resultan principalmente de
sobretensiones en aisladores debido a altos voltajes transitorios inducidos por descargas eléctricas, del contacto de los
conductores debido al viento o de contacto temporal con ramas, árboles e incluso animales. Por lo tanto,
desenergizando el circuito el tiempo necesario para que la falla desaparezca y la falla de arco se extinga, el servicio se
puede restaurar más libremente recerrando el interruptor automáticamente. Esto puede reducir significativamente el
tiempo de la interrupción, con el fin de proveer una mejor continuidad de servicio a los clientes.
El recierre puede ser único (single-shot) o de varios intentos (multi-shot) a diferentes intervalos de tiempo. El primer
intento puede ser “instantáneo” o con un retardo de tiempo. El término instantáneo se refiere a que la bobina de cierre
del interruptor se energiza en un corto tiempo después de que la protección ha energizado la bobina de disparo. El
tiempo entre la energización de la bobina de disparo por la protección y la energizaación instantánea de la bobina de
cierre depende del diseño del interruptor, los valores típicos son de 20 a 30 ciclos (330-500 mseg). Generalmente este
tiempo es suficiente para permitir que el arco se des-ionice durante el momento en que el interruptor abra.
La experiencia ha mostrado que en un circuito trifásico, el tiempo promedio requerido para la desionización del arco de
la falla cumple la siguiente fórmula:
34.5
10.5ciclos
t 
KV
En las figuras siguientes se muestran los esquemas típicos para autorecierre único y su respuesta ante una falla transitoria
y una falla permanente.
FALLA
TRANSITORIA
INICIO DE
FALLA
PROTECCIÓN
INTERRUPTOR
RECIERRE
Tiempode
operación
Disparo
Bobina de
disparo
energizada
Contactosse
separan
Extinción Contactos
de arco completamente
abiertos
Reset
Tiempo de
apertura
Tiempo de
arco
Recierre
iniciadopor
protección
Tiempo muerto, tiempo de recierre, Dead Time
Bobina de
cierre
energizada
Contactosse
cierran
Contactos
completamente
cerrados
Comandode
recierre
automático
Tiempo de
cierre
Duración comando de cierre
Tiempo de reclamo
Relé listo para responder a
incidentes adicionales de falla
(después de recierre exitoso)
Esquema de autorecierre para una falla transitoria
Tiempo de reclamo
Contactos
completamente
cerrados
FALLA
PERMANENTE
PROTECCIÓN
INTERRUPTOR
RECIERRE
INSTANTE
DE FALLA
Tiempo de
operación
Disparo
Bobina de
disparo
energizada
Contactos
completamente
abiertos
Reset
Recierre iniciado
por protección
Tiempo muerto, tiempo de recierre,
Dead Time
Bobina de Contactos
cierre se cierran
energizada
Comando de recierre
automático
Duración comando de cierre
Inicio de tiempo
de reclamo
Bloqueo del relé por operación de la protección
antes de finalizar el tiempo de reclamo
Recierre bajo falla
permanente
Bobina de
disparo
energizada
Disparo Reset
se
separan
Contactos Extinción Contactos
de completamente
arco abiertos
Reset de tiempo
de reclamo
Esquema de autorecierre para una falla permanente
Aplicación del autorecierre
Los parámetros más importantes en un esquema de autorecierre son:
Tiempo muerto (dead time)
Tiempo de reclamo
Intento único o múltiple
Estos parámetros dependen de:
El tipo de protección
El tipo del interruptor
Posibles problemas de estabilidad
Efectos en los diferentes tipos de cargas de usuarios
Autorecierre en redes de distribución de alta tensión HV
En estas redes el autorecierre se aplica principalmente en alimentadores radiales donde no se presenten problemas de
estabilidad y las principales ventajas derivadas de su uso son:
Reducción del número de interrupciones.
Se puede implementar el uso de disparos instantáneos con los beneficios de una corta duración de las fallas,
menos daño y pocas fallas del tipo permanentes.
Debido a que el 80% de las fallas en líneas aéreas son transitorias, con la eliminación de la pérdida de suministro por
estas causas introduciendo el autorecierre, se obtienen beneficios a través de:
una mejora en la continuidad del suministro
reducción de visitas a las subestaciones
Al introducir el disparo instantáneo, se disminuyen los efectos del arco de las fallas, pero se pueden presentar
problemas de disparos no selectivos ya que pueden operar protecciones de secciones que no presentan falla. El
autorecierre permite que en estas secciones se reponga el servicio en un tiempo corto. Así que para fallas transitorias el
efecto total será la pérdida de suministro durante un tiempo corto pero afectando a un gran número de usuarios. Si
solamente se utilizara protecciones coordinadas en tiempo sin autorecierre, se verían afectados un menor número de
usuarios pero durante un tiempo largo.
Cuando se utiliza protección instantánea con el autorecierre, normalmente el esquema se diseña de tal forma que se
inhibe el disparo instantáneo después del primer disparo. Si la falla es permanente, después del recierre funciona el
esquema de coordinación en tiempo obteniéndose disparos selectivos aislando la sección fallada.
Factores que influyen en los esquemas de autorecierre
Discutiremos los factores que influyen en la elección de los tiempos muerto, de reclamo y número de recierres
Tiempo muerto
Los factores que afectan la selección del tiempo muerto son:
estabilidad del sistema y sincornismo
tipo de carga
características de los interruptores
tiempo de reset de las protecciones
Estabilidad del sistema y sincronismo
Para recerrar sin la pérdida de sincronismo después de una falla en una línea de interconexión donde se tiene
alimentación en ambos extremos, se debe mantener el tiempo muerto al mínimo posible y consistente con el tiempo de
desionización del arco.
Es esencial el uso de protecciones de alta velocidad como esquemas de distancia o esquemas unitarios, con tiempos
de operación de alrededor de 50 mseg. Los interruptores deben ser de rápida operación y capaces de recerrar después
de un tiempo muerto del orden de 300 a 600 mseg para permitir la desionización del arco.
También puede ser deseable usar lógicas de chequeo de sincronismo de tal manera que se no se ejecute el
autorecierre si se ha perdido el sincronismo.
Tipo de carga
En sistemas de alta tensión, el problema principal a considerar en relación con el tiempo muerto es el efecto en los
diferentes tipos de carga.
•Usuarios industriales
La mayoría de los usuarios industriales operan con cargas mixtas que comprenden motores de inducción,
iluminación, control de procesos y cargas estáticas. También pueden usar motores síncronos. El tiempo muerto
debe ser lo suficiente largo para permitir que los motores disparen al perderse el suministro. Una vez que el
suministro se restablece, el arranque de las cargas puede entonces ocurrir bajo la dirección del sistema de
control de procesos en una manera segura y programada, y a menudo puede ser lo suficiente rápido para
asegurar que no haya pérdida significante en la producción.
•Usuarios residenciales
Es improbable que se vean involucrados procesos costosos o condiciones peligrosas con usuarios
residenciales, y la consideración importante es la inconveniencia y compensación por la interrupción en el
suministro. Un tiempo muerto de segundos o de unos pocos minutos es de poca importancia comparada con la
desventaja de tener una larga interrupción por no disponer de autorecierre.
Características de los interruptores
Se deben tener en cuenta los retardos en los tiempos impuestos por los interruptores durante una operación de
apertura y recierre, especialmente cuando se dispone de autorecierre de alta velocidad.
Tiempo de reposición del mecanismo
La mayoría de los interruptores son de “disparo libre”, lo que significa que el interruptor puede abrir durante el impacto
de cierre. Después de la apertura, se debe permitir un tiempo del orden de 200 mseg para que se reponga el
mecanismo de disparo libre antes de aplicar un impulso de cierre.
Tiempo de cierre
Es el intervalo de tiempo entre la energización del mecanismo de cierre y el cierre de los contactos. Un mecanismo de
cierre por solenoide puede tomar hasta 300 mseg para cerrar. Un interruptor operado por resorte puede tomar hasta
200 mseg para cerrar. Los interruptores modernos de vacío pueden tener un tiempo de cierre de menos de 100 mseg.
El mecanismo del interruptor impone un tiempo muerto mínimo resultante de la suma de los dos tiempos anteriores.
Tiempo de reset de las protecciones
Si se utilizan protecciones temporizadas, es esencial que el tiempo del relé se reponga completamente durante el
tiempo muerto, de tal forma que se mantenga la discriminación de tiempo después del autorecierre.
Los relés electromecánicos pueden tener tiempos de reposición del orden de segundos, por lo que el tiempo muerto
del recierre debe ser mayor que este tiempo de reposición.
Cuando se requieren tiempos muertos de corta duración, las protecciones deben reponerse casi instantáneamente, por
lo que obliga a utilizar relés estáticos o numéricos.
Tiempo de reclamo
Los factores que afectan la selección del tiempo de reclamo son:
Tipo de protección
El tiempo de reclamo debe ser suficiente para permitir que la protección opere cuando el interruptor es recerrado en
una falla permanente. El tiempo de operación de una protección para fallas a tierra de baja intensidad puede estar en el
orden de los 30 seg. Ha sido una práctica común ajustar el tiempo de reclamo en 30 seg para esquemas de
autorecierre en alta tensión. Sin embargo, se corre el riesgo que con un ajuste de esta duración durante una tormenta
eléctrica, cuando la incidencia de fallas transitorias es alta, el interruptor puede recerrar exitosamente después de la
falla y luego disparar para una segunda falla durante este tiempo, interrumpiéndose el suministro del servicio.
El uso de un tiempo de reclamo más corto, de por ejemplo 15 segundos, puede permitir que la segunda falla sea
tratada como una incidencia diferente, con un recierre exitoso adicional.
Tiempo de cargado de los resortes
El tiempo de reclamo para interruptores con carga de resorte a motor, debe ser tan largo como el tiempo de cargado del
resorte, para asegurarse que el interruptor no se someta a una orden de cierre con un resorte parcialmente cargado.
Número de recierres
No existen reglas definitivas para elegir el número de recierres, pero se deben tener en cuenta varios factores:
Limitaciones de los interruptores
La habilidad de los interruptores para ejecutar varias operaciones de apertura y cierre en rápidas sucesiones y el efecto
de estas operaciones en los períodos de mantenimiento son de importante consideración. Los períodos de
mantenimiento pueden variar de acuerdo con el tipo de interruptor utilizado y la corriente de falla interrumpida. Los relés
numéricos modernos pueden suministrar información acerca de la condición de los interruptores en este aspecto para
indicar cuando se requiere un mantenimiento.
Condiciones del sistema
Si la información estadística de un sistema particular muestra que un porcentaje moderado de fallas semipermanentes
pueden ser despejadas durante dos o tres disparos temporizados, se puede justificar un esquema de múltiple recierre.
Este es el caso de áreas boscosas.
Autorecierre de alta velocidad en sistemas de muy alta tensión EHV
El primer requerimiento para la aplicación de autorecierre de alta velocidad es el conocimiento del tiempo de falla que
puede ser tolerado sin la pérdida de estabilidad. Esto normalmente requiere de estudios de estabilidad par aun conjunto
definido de configuraciones del sistema y condiciones de falla. Con el conocimiento de las características de operación
de las protecciones y los interruptores y los tiempos de desionización del arco, se puede aplicar la posibilidad del
autorecierre de alta velocidad. Discutiremos ahora estos temas.
Características de las protecciones
Es esencial el uso de equipos de protección de alta velocidad como esquemas de distancia o unitarios, con tiempos de
operación del orden de los 50 mseg. En conjunto con la rápida operación de los interruptores, la protección de alta
velocidad reduce la duración de la falla y así el tiempo total de disturbio en el sistema.
Es importante que los interruptores en ambos extremos de una línea con falla, disparen tan rápido como sea posible. El
tiempo que la línea esté aún tensionada desde un extremo, representa una reducción en el tiempo muerto lo que puede
arriesgar las posibilidades de un recierre exitoso. Cuando se utiliza protección de distancia, y la falla ocurre en un
extremo de la línea, se deben utilizar los esquemas de teleprotección en conjunto con el autorecierre.
Desionización del arco
Es importante conocer el tiempo que debe permitirse para una completa desionización del arco, para prevenir un
reencendido del arco cuando se aplica tensión nuevamente. Para esto se utiliza la fórmula vista anteriormente donde
este tiempo depende del nivel de tensión. Para mayor nivel de tensión, se requiere mayor tiempo para desionización del
arco.
Características de los interruptores
Los altos niveles de falla involucrados en los sistemas de muy alta tensión, imponen una labor severa en los
interruptores utilizados en los esquemas de autorecierre de alta velocidad. El ciclo aceptado para apertura-cierre-
apertura requiere que el interruptor despeje la falla, recierre después de un retardo no mayor que 200 mseg y luego
despeje la falla nuevamente si esta persiste.
Elección del tiempo muerto
A tensiones mayores que 220 kV, el tiempo de desionización probablemente definirá el tiempo muerto mínimo, en vez
que alguna otra limitación del interruptor. El tiempo muerto debe ser lo suficiente largo para permitir la desionización del
arco.
Elección del tiempo de reclamo
El tiempo de reclamo debe tener en cuenta el tiempo necesario para que el mecanismo del interruptor esté listo para
una orden de cierre.
Número de recierres
En sistemas de muy alta tensión, el autorecierre es invariablemente de un solo intento. Los intentos de recierre en
forma repetida con altos niveles de falla, podrían ocasionar problemas serios de estabilidad al sistema. Adicionalmente,
es menos probable la incidencia de fallas semipermanentes que puedan ser despejadas por recierres repetidos en
estos niveles de tensión.
Autorecierre monofásico
La mayoría de las fallas en las líneas aéreas corresponden a fallas monofásica (fase-tierra). Cuando se aplica
recierre a circuitos sencillos de interconexión entre dos fuentes de generación, la apertura de todas las tres fases
puede ocasionar que los sistemas se desfasen. Si solamente se abre la fase con falla, se mantienen las
condiciones de sincronismo a través de las fases sanas.
Para el autorecierre monofásico, cada polo de interruptor debe estar provisto con su mecanismo de cierre y
apertura. Los circuitos correspondientes de disparo y cierre son por lo tanto más complicados.
En la ocurrencia de una falla a tierra, el autorecierre monofásico abre y recierra solamente el polo correspondiente
del interruptor. Si la falla es persistente y el recierre no es exitoso, es necesario que se abran los tres polos del
interruptor.
Otras posibilidades pueden ser:
Disparo trifásico y bloqueo del interruptor para fallas bifásicas o trifásicas o si ocurre una falla en las fases
sanas durante el tiempo muerto.
Utilización de un selector para elegir si se quiere ejecutar recierre monofásico o trifásico.
Recierre monofásico y trifásico combinado. Las fallas monofásicas inician el disparo y recierre monofásico
y las fallas bifásicas inician el disparo y recierre trifásico.
Los relés numéricos modernos incorporan a menudo las lógicas para todos estos esquemas.
La principal desventaja del recierre monofásico es el largo tiempo de desionización resultante del acople
capacitivo entre las fases con falla y las fases sanas. Esto conlleva a que se requieran tiempos muertos de mayor
duración.
Autorecierre temporizado en sistemas de muy alta tensión EHV
En sistemas de transmisión altamente interconectado, donde la pérdida de una sola línea no representa una pérdida de
sincronismo, se puede utilizar el autorecierre temporizado. No se presentan problemas de tiempos con la desionización
del arco o con las características de los interruptores, así como tampoco se presentan problemas de oscilación de
potencia. Adicionalmente se puede utilizar el disparo y recierre trifásico, simplificando el cableado de control en
comparación con los esquemas de recierre monofásico. En estos sistemas donde se permite el recierre temporizado, la
posibilidad de un recierre exitoso es mayor que en el caso de un recierre de alta velocidad.
En estos sistemas el único problema que podría presentarse es una diferencia de tensión considerable en las barras
extremo de la línea con falla. Si el recierre se ejecuta, se puede ocasionar un impacto inaceptable para el sistema. Por
esto es usual incorporar un esquema de verificación de sincronismo en el sistema de recierre para determinar si este
se realiza o no.
Después de la apertura de la línea durante una falla, es normal que se recierre primero en un extremo en lo que se
conoce como “barra viva/línea muerta”. El recierre, en el otro extremo, se realiza bajo el control de un relé de
verificación de sincronismo en lo que se conocer como “barra viva/línea viva”.
Relés de verificación de sincronismo
El relé de verificación de sincronismo, confirma tres parámetros:
Diferencia de ángulo de fase.
Tensión.
Diferencia de frecuencia
El ajuste de diferencia de ángulo de fase se define entre 20-30° y se inhibe el recierre si esta diferencia excede este
valor. El sistema espera una oportunidad a que la diferencia sea menos que el valor ajustado, pero se bloquea si el
recierre no ocurre dentro de un período de tiempo determinado, típicamente de 5 seg.
La diferencia de tensión debe ser menor del 10% de la tensión nominal del sistema entre ambos extremos para permitir
el recierre.
La diferencia de frecuencia debe ser menor que 0.1 Hz entre ambos extremos para permitir el recierre monofásico.
Normalmente el recierre temporizado se realiza primero en el extremo fuerte (con mayor nivel de corto circuito) y en el
otro extremo se efectúa la verificación de sincronismo. Para las líneas que se conectan con subestaciones de
generación, la energización se hará en el extremo opuesto y la sincronización en el punto en el cual se encuentran las
máquinas, esto con el fin de proteger la máquina ante un cierre en falla producido al momento de la energización.
Adicionalmente al esquema de recierre con barra viva/línea muerta o barra viva/línea viva, se puede utilizar el recierre
con barra muerta/línea viva.
Características de operación de los esquemas de autorecierre
El uso extensivo del autorecierre ha resultado en la existencia de una amplia variedad de diferentes esquemas de
control.
Iniciación del recierre
Los esquemas modernos de autorecierre son iniciados invariablemente por la orden de disparo de las protecciones. En
algunos esquemas antiguos se empleaba un contacto del propio interruptor. Los relés numéricos modernos incluyen
funciones de recierre, con lo que se evita la utilización de un relé separado.
Tipo de protección
En sistemas de alta tensión, se tiene una ventaja si se utiliza un esquema de disparo instantáneo, seguido de un
disparo temporizado después del recierre. En estos casos, el esquema debe proveer la inhibición del disparo
instantáneo después del primer disparo.
Ajuste de tiempo muerto
El esquema debe disponer de un amplio rango de ajuste para el tiempo muerto de acuerdo con la aplicación en que se
esté utilizando el recierre (recierre de alta velocidad o recierre temporizado).
Tiempo del comando de recierre
Este tiempo está relacionado con las características del mecanismo del interruptor. En esquemas de recierre donde se
utilicen interruptores operados con resorte, con tan solo energizar la bobina del mecanismo se puede ejecutar la orden
de cierre. En interruptores operados con solenoide, se requieren tiempos del orden de 1-2 segundos en el pulso de
cierre para que pueda ejecutarse la operación.
Dispositivos anti-bombeo
La función de este dispositivo es prevenir que el interruptor sea cerrado y abierto varias veces en tiempos sucesivos.
Esto puede ser causado por la aplicación de un pulso de cierre mientras el interruptor es disparado por las
protecciones. Adicionalmente, puede ocurrir si el interruptor es cerrado en una falla y el pulso de cierre es mayor que la
suma del tiempo de operación del relé y de la apertura del interruptor.
Cierre manual
No es deseable que se permita el recierre si el interruptor es cerrado manualmente. Los esquemas de recierre incluyen
la posibilidad de inhibir el recierre durante un tiempo después de un cierre manual. Este tiempo está típicamente dentro
del orden de los 2-5 segundos.
Esquemas de múltiple recierre
Los esquemas que proveen hasta tres o cuatro intentos pueden estar disponibles en el relé para proveer tiempos
muertos independientes y ajustables en forma independiente para cada intento. Se puede utilizar disparo instantáneo
en el primer intento y temporizado en los intentos subsecuentes.
Recierre en subestaciones en configuración de interruptor y medio o en anillo
En estas aplicaciones se utiliza el esquema de maestro - seguidor (master - slave). Cuando ocurre un disparo, la falla
se despeja con la apertura de dos interruptores en la subestación. El recierre se ejecuta secuencialmente para
minimizar el deterioro de los interruptores. Primero un interruptor recierra (maestro) y si no vuelve a disparar, es decir, si
la falla es transitoria, entonces el otro interruptor (esclavo) recierra. En caso de una falla permanente, el interruptor
maestro dispara nuevamente y se cancela la orden de cierre sobre el interruptor esclavo.

TEORIA BASICA DE PROTECCIONES GENERALES

  • 1.
  • 2.
    CONTENIDO Fundamentos de prácticasde protección • Introducción • Necesidad de un sistema de protecciones • Características de los sistemas de protección • Zonas de protección • Protección principal y de respaldo • Símbolos de equipos y dispositivos según normas ANSI/IEC Cálculos de fallas • Fallas trifásicas • Análisis de redes de secuencia • Ecuaciones y conexiones de redes de secuencia para diferentes fallas • Parámetros y circuitos equivalentes • Distribución de corrientes en un sistema debido a una falla
  • 3.
    CONTENIDO Análisis de redesde secuencia Componentes de un sistema de protecciones •Transformadores de corriente y de voltaje Tecnologías de relés • Relés electromecánicos, estáticos, digitales y numéricos Protección de sobrecorriente • Procedimientos de coordinación • Principios de coordinación corriente/tiempo • Relés de sobrecorriente de tiempo inverso • Relés temporizados e instantáneos • Relés de sobrecorriente de tiempo definido • Criterios de ajustes y coordinación para relés de sobrecorriente
  • 4.
    CONTENIDO Protección de sobrecorrientedireccional • Principios básicos • Representación de las características de una protección direccional • Polarización de relés direccionales • Aplicación de relés direccionales Protección de distancia • Generalidades • Diagramas R-X • Características de los relés de distancia • Criterios de ajustes, ejemplos de aplicación. • Esquemas de protección de distancia
  • 5.
    CONTENIDO Protección diferencial • Proteccióndiferencial de barras • Protección diferencial tipo porcentual • Protección diferencial de alta impedancia • Protección diferencial de transformador Recierre • Aplicaciones • Características de operación
  • 6.
    FUNDAMENTOS DE PRACTICASDE PROTECCION Introducción El desarrollo del proyecto de un Sistema Eléctrico de Potencia, así como el estudio racional de sus normas de operación, debe consultar, básicamente, dos aspectos principales: operación en condiciones normales y operación en condiciones anormales. La operación en condiciones normales supone que el sistema cumple con los requisitos necesarios para servir la demanda del consumo de acuerdo a una cierta calidad prefijada del servicio suministrado. Así, por ejemplo, el sistema deberá poseer la capacidad de reserva necesaria para poder abastecer los aumentos del consumo; mantendrá los niveles de voltaje dentro de rangos adecuados; regulará la frecuencia; las cargas se repartirán entre las diferentes centrales generadoras conforme a la distribución más económica; se mantendrá en forma adecuada; etc. La operación normal de un sistema no considera la ocurrencia de fallas en el equipo, ni la presencia de fenómenos incontrolables como tormentas y descargas atmosféricas, o los errores cometidos por los operadores.
  • 7.
    Cuando el sistemaestá bajo el efecto de uno de estos factores se dice que está operando bajo condiciones anormales y en este caso pueden ocurrir dos fenómenos de importancia: −El equipo o parte del sistema, puede sufrir daños de consideración si la intensidad y la duración de la perturbación exceden magnitudes determinadas. − La calidad del servicio suministrado se resiente gravemente. Frente al problema de operación anormal, el proyectista de un sistema eléctrico de potencia puede adoptar dos puntos de vista: − Incorporar al diseño ciertas características que eliminen la posibilidad de fallas. −Permitir la ocurrencia de las fallas incluyendo en el proyecto características y elementos que reduzcan el daño causado por las mismas.
  • 8.
    La primera soluciónes prácticamente imposible o por lo menos, no justificable económicamente. En la mayoría de los casos, se sigue el criterio de permitir la ocurrencia de ciertas fallas y tratar de aminorar sus efectos tanto en el equipo instalado como en la calidad del servicio suministrado. Un diseño moderno consulta ambas soluciones en la proporción que los estudios económicos aconsejen. Los sistemas de protecciones eléctricas constituyen el equipo más importante que se incluye en un sistema eléctrico de potencia con el fin de alcanzar el último objetivo, esto es, aminorar los efectos de las fallas sobre el equipo protegido desenergizándolo rápidamente y mejorar la calidad del servicio al eliminar o aislar aquellos elementos que por su operación defectuosa puedan producir perturbaciones. Con el notable crecimiento de los sistemas eléctricos en los últimos años, el aumento de interconexión, el alto costo del equipo instalado y las exigencias cada vez mayores de un suministro de energía eléctrica seguro y de óptima calidad, la técnica de las protecciones eléctricas ha debido necesariamente perfeccionarse en forma paralela, pues, como ya se ha dicho, son ellas, en gran parte, las responsables de esas características deseables. Por esto, un diseño cuidadoso del sistema de protecciones y la elección adecuada de sus componentes es considerado, hoy en día, de una importancia fundamental en la operación de los sistemas eléctricos.
  • 9.
    Necesidad de unsistema de protecciones eléctricas Las protecciones eléctricas son los dispositivos que tienen como principal finalidad la de detectar condiciones anormales en la operación de un Sistema Eléctrico de Potencia y tomar en forma automática las medidas que se requieran para restablecer la operación normal. En el caso de fallas en equipos eléctricos, la medida será retirarlos del servicio y, en el caso de fallas en un sistema eléctrico, será necesario aislar el sector que produce la anormalidad. Durante la operación normal de los sistemas eléctricos, las acciones están entregadas al hombre o a equipos automáticos que desempeñan su función dentro de límites determinados, en cambio, las protecciones no son requeridas en condiciones normales pero deben estar disponibles inmediatamente para manejar condiciones intolerables para el sistema y evitar daños mayores o paralizaciones no deseadas.
  • 10.
    Características de lossistemas de protección Las características de un sistema de protecciones se analizan principalmente bajo el punto de vista de su operación en condiciones de anormalidad, siendo las principales las que se indican a continuación. Confiabilidad o seguridad Es la característica que permite garantizar la operación de las protecciones, cada vez que se produzca una falla. Complementando esta definición se puede agregar que es la característica del relé o del sistema de protecciones que le permite actuar correctamente cuando es requerido y evitar operaciones innecesarias. Cuando se presenta la anormalidad, las protecciones deben estar en condiciones de operar correctamente. En algunos casos, es posible que ciertos equipos sean requeridos muy pocas veces durante su vida útil, pero aún en estas condiciones deberán operar en forma correcta. Para lograr esta cualidad se debe recurrir a diseños simples, con componentes robustos y de buena calidad, que sean periódicamente sometidos a mantención para comprobar que se encuentran bien calibrados, bien conectados y que la orden que emitan sea cumplida por los sistemas de control.
  • 11.
    Selectividad Es la cualidadde las protecciones que les permite discriminar la ubicación de la falla, con el objeto de aislar exclusivamente el equipo fallado, manteniendo en servicio lo que no sea imprescindible desconectar. De este modo se obtiene la máxima continuidad del servicio con un mínimo de desconexiones. Rapidez Es conveniente que las protecciones operen en el mínimo tiempo posible, disminuyendo con ello la duración de la falla, las perturbaciones al resto el sistema y los consecuentes daños a los equipos. La rapidez redunda también en una mayor efectividad de las reconexiones automáticas y mejora la estabilidad del sistema. Aunque es deseable la operación instantánea de las protecciones, muchas veces esta cualidad debe sacrificarse con el objeto de mejorar otros aspectos, tales como la selectividad. La temporización en todo caso debe ser compatible con los límites de resistencia de los equipos a las fallas consideradas y su empleo para obtener selectividad está asociado a otra característica que siempre debe considerarse, como es la economía.
  • 12.
    Exactitud Las protecciones debenoperar con la mínima desviación respecto de la magnitud teórica de ajuste. La exactitud, se expresa como un error de medida, es decir, como la razón entre el valor de operación y el valor teórico de ajuste. Las desviaciones máximas aceptadas varían entre un 5 y un 10%, según el caso. Sensibilidad El sistema de protecciones y sus elementos asociados debe ser capaz de operar detectando la falla de mínimo nivel que ocurra dentro de su zona de operación o la menor variación de la magnitud que controla respecto de la magnitud de referencia o ajuste. Esto no siempre es posible en la práctica. Por ejemplo, en períodos de sequía o en la época de verano, cuando cae una fase a tierra (pavimento) se producen fallas de muy baja corriente, las que pueden no ser detectadas por las protecciones. Puesto que no es posible satisfacer plenamente cada uno de estos requerimientos en forma simultánea, deben adoptarse algunas soluciones de compromiso. En general se otorga mayor atención a aquellos problemas que de acuerdo a la experiencia es posible que ocurran. De aquí que se diga que el tema de las protecciones tiene mucho de técnica pero es también un arte. De hecho, diferentes especialistas utilizando una lógica razonable pueden llegar a soluciones significativamente diferentes para un mismo problema.
  • 13.
    Zonas de operación Lasprotecciones del sistema de potencia abarcan ciertas zonas de operación según su tipo. Es conveniente que entre las zonas de operación de dos protecciones contiguas no queden sectores sin cubrir por alguna de ellas. Para este efecto se deben superponer los bordes de las zonas contiguas y por lo tanto, no se acepta que sean tangentes. La figura siguiente muestra el Diagrama Unilineal de un sistema, indicando las zonas de protección. 1 Generador o unidad generador-transformador 2 Transformadores 3 Barra de subestaciones 4Líneas de transmisión o distribución 5 Motores
  • 14.
    Protección de respaldo Sial producirse una anormalidad en el sistema de potencia, la protección encargada de aislar la zona (llamada protección principal) no opera, los daños a los equipos serían mayores y la falla se propagaría por el resto del sistema con las consecuencias previsibles. Para que esto no ocurra se utiliza el respaldo, es decir, otra protección deberá ser capaz de detectar la falla y aislarla, aún a costa de dejar fuera de servicio equipos o sectores en condiciones normales. Donde más se aplica esta técnica, por razones económicas es en el caso de los cortocircuitos. Según la ubicación de la protección que da respaldo, este puede ser local o remoto. Respaldo Local Se ubica en la zona protegida y puede ser del tipo duplicación de la protección completa o parte de ella. Puede ser también del tipo adicional, tal como un relé de tiempo por ejemplo. Respaldo Remoto Este tipo de respaldo lo proporciona una protección ubicada en otro punto del sistema de potencia. Por lo general, esta protección es del tipo principal en su zona de operación.
  • 15.
    Símbolos de equiposy dispositivos según normas ANSI/IEC Existen dos métodos para indicar las funciones de los relés de protección: Uno es dado por la norma ANSI C37-2 y utiliza un sistema de números para cada función. Las funciones se complementan con letras donde se requiere una ampliación de la función. El otro es dado por la norma IEC 60617 y utiliza símbolos gráficos.
  • 17.
    CALCULOS DE FALLAS Introducción Unsistema de potencia es tratado normalmente como una red trifásica simétricamente balanceada. Cuando ocurre una falla normalmente se pierde la simetría, por lo que resulta en la aparición de corrientes y tensiones desbalanceadas. La única excepción es la falla trifásica, la cual debido a que involucra las tres fases en forma igual en la misma ubicación, se describe como una falla balanceada. Es posible analizar estas condiciones de falla utilizando un análisis de componentes simétricas y reemplazando las fuentes del sistema por una fuente en el lugar de la falla. Para la correcta aplicación de los equipos de protección, es esencial conocer la distribución de la corriente de falla a través de todo el sistema y los voltajes en diferentes partes del sistema debido a una falla. Adicionalmente, se deben conocer los valores límites de corriente en cualquier ubicación de relés si se requiere despejar la falla con discriminación.
  • 18.
    La información quenormalmente se requiere para cada falla en cada ubicación de relé es la siguiente: •Corriente de falla máxima •Corriente de falla mínima •Distribución de corriente de aporte En general las corrientes de cortocircuito alcanzan magnitudes mucho mayores que los valores nominales de los generadores, transformadores y líneas. Si se permite que estas corrientes circulen por un período prolongado, pueden causar un serio daño térmico al equipo y problemas de estabilidad de funcionamiento en el sistema de potencia. En este aspecto, el tipo de cortocircuito más severo es el trifásico, el que además de dar valores elevados de corriente, reduce a cero la capacidad de transmisión de una línea, lo siguen los cortocircuitos bifásico y finalmente el monofásico. En cambio, el tipo mas frecuente es el monofásico (aproximadamente el 75% de los casos ) y el menos frecuente es el trifásico (aproximadamente el 5% de los casos). Los objetivos que se buscan al realizar un cálculo de cortocircuito son los siguientes: •Definir la capacidad de ruptura de los interruptores necesarios en las diversas partes de un sistema de potencia, para lo que se realiza normalmente un cálculo de cortocircuito trifásico simétrico, debido a que este tipo de falla produce las corrientes de cortocircuito más elevadas en la mayoría de los casos. •Ayudar a establecer un sistema adecuado de protección para diversas condiciones de falla, para lo que se debe realizar un cálculo de distribución de corrientes en la red del sistema eléctrico de potencia tanto para cortocircuitos simétricos como asimétricos (usualmente el cortocircuito monofásico).
  • 19.
    En general, elCálculo de Cortocircuitos debe proporcionar los siguientes resultados: •La corriente en el punto de falla •La potencia de cortocircuito en el punto de falla •La distribución de corrientes de falla en todas las líneas del sistema de potencia •Las tensiones de falla en todas las barras Fallas trifásicas Métodos de cálculo: •Teorema de Thevenin •Matriz de impedancias de barra
  • 20.
    Teorema de Thevenin •Cortocircuitarlas fuentes de tensión para obtener la impedancia de Thevenin. •Reemplazar el punto de falla por una fuente de voltaje con tensión -Vf •Calcular I falla como la relación entre la tensión en el nodo antes de ocurrir la falla y la impedancia de Thevenin Va Za Z1 Vb Zb Z2 1 2 3
  • 21.
    Zi=Za+Z1 Za Z1 Vf Zb Z2 Vf Zd=Zb+Z2 1 2 3 If If Zth If  Vf ZiZd ZiZd Zth  Vf (Zi  Zd) ZiZd If  Podemos calcular las corrientes de rama teniendo en cuenta el divisor de corrientes: Si las impedancias están dadas en por unidad, se toma Vf como 1.0 en p.u. IfZd Zi Zd Ii  Zi Zd Id  IfZi 2
  • 22.
    Va Za Z1 Vb Zb Z2 1 2 3 Se presume queV en el nodo con falla es igual a 0 Ii Id Podemos obtener las tensiones en los otros nodos de la siguiente forma: V1 IiZ1 V3  IdZ2 Ejemplo: Si Z1  j0.05 pu Z 2  j0.02 pu Za  j0.1pu Zb  j0.12pu Va Vb 1.00 pu If  Vf (Zi  Zd) j0.15* j0.14 ZiZd If  1.0( j0.15  j0.14) If   j13.80 pu If 13.8090pu IfZd Ii  j0.15  j0.14 Zi  Zd  j13.80 * j0.14 Ii  Ii   j6.66pu Ii  6.6690pu IfZi Id  j0.15  j0.14 Zi  Zd  j13.80 * j0.15 Id  Id   j7.14 pu Id  7.14 90pu V1  IiZ1   j13.80* j0.05  0.33pu V3  IdZ2   j7.14* j0.02  0.14 pu
  • 23.
    Ejercicio: 1 2 3 4 •Calcular la corrientede falla para un corto trifásico en el nodo 2 •Calcular las corrientes a través de cada una de las impedancias debido a la falla trifásica en el nodo 2 •Calcular las tensiones en los nodos 1, 2, 3 debido a la falla trifásica en el nodo 2 Va=1.0pu j0.1 j0.2 j0.3 j0.2 j0.4 j0.5 Vc=1.0pu j0.15 Vb=1.0pu j0.12
  • 24.
    Matriz de Impedancias 1 2 3 Va Za Z12 Z14 Z42 Z23 Z43 Vc Zc Vb 4 Zb IkYnodoVn      34 33 32 31 21 Y44 Y42 Y43  Y41 Y Y Y Y Y Y Y Y1 1 Y12 Y13 Y14  Y  22 23 24 Ynodo De acuerdo con la ecuación de nodos: De donde: Ykk  Suma de las admitancias propias del nodo k Ykn  Ynk Admitancia mutua entre los nodos n y k
  • 25.
    Matriz de Impedancias 1 2 3 Va Za Z12 Z14 Z42 Z23 Z43 Vc Zc Vb 4 Zb 11 1 1 1 1 1 1 1 43 42 14 44 42 23 12 22 14 12 b a Z Z Z Z Z23 Z43 1 1 1 1 Z Z Z    ) Y  ( Y33  (   Z ) c   ) Y  ( Y11  ( Z  Z  Z ) Entonces: 14 13 31 12 21 12 1 1 Z Y14  Y41  Z Y  Y  0 Y  Y  43 43 34 42 42 24 23 32 23 1 1 1 Z Z Z Y  Y  Y  Y  Y  Y 
  • 26.
         31 3233 34  21 22 23 24 1 Z44  Z42 Z43  Z41 Z Z Z Z Z11 Z12 Z13 Z14  Z Z Z Z  Z  Ynodo barra Definida la matriz de admitancias de nodos obtenemos la matriz de impedancias de barra De donde: Zkk  Impedancia de Thevenin vista en el nodok
  • 27.
    Para una fallaen nodo 2: Aplicando el Teorema de Thevenin se reduce el circuito: 1 2 3 4 Vf Za Z12 Z14 Z42 Z23 Z43 Zc Zb If Ik YnodoVn             4  3 1  0   0   0   V  V   Vf  nodo  V   I f  Y 1 3 4 V  ,V  ,V  Tensiones en los nodos 1, 3, 4 debido a la falla Invirtiendo la matriz de admitancias obtenemos la matriz de impedancias:              0   0   4  3 f  barra  0   I  f   Z  V   V  V V1
  • 28.
                  0  14    11 12 13  4 3 1 Z44  0   Z41 Z34   0  Z31 Z24  I f  Z22 Z23 Z32 Z33 Z42 Z43   Z Z Z Z V  V   Vf   Z 2 1 V  Reemplazando por la matriz de impedancias: De donde se obtiene: V   Z I 4 42 f V   Z I 3 32 f V   Z I 1 12 f Vf  Z22 If Entonces: Z I f  Vf Como V se asume 1.0 pu yZ f están dadas en pu, entonces pu Z f 22 22 1 I  pu Zkk f 1 I  Antes de ocurrir la falla se supone que no hay corriente de carga, por lo tanto las tensiones en los nodos son iguales a 1.0 pu Por superposición: V post-falla = V pre-falla + V debido a la falla En general para una falla en nodo k: 22 22 Z Z Z 42 f 32 f 1 1 12 f I  1 Z42  1 32 Z22 V2  1Vf  0 V 1V  1 Z 4 4 V 1V  1 Z I 3 3 V 1V  1 Z I  1 Z12 Vk  0 y la tensión post-falla en el nodo n: kk nk n Z Z V 1
  • 29.
    Las corrientes encualquier parte del circuito se pueden obtener de los voltajes e impedancias, así: 12 Z I 12 14 14 Z  V1 V2  V1 V4 23 32 Z I I  V3 V2 42 42 Z I  V4 V2 34 34 Z I  V3 V4 a a Z I  Va V1 b b Z I  Vb V4 c c Z I  Vc V3 1 2 3 Va Za Z12 Z14 Z42 Z23 Z43 Vc Zc Vb 4 Zb
  • 30.
    Ejercicio 1: 1 2 3 4 Empleando lamatriz de impedancias: •Calcular la corriente de falla para un corto trifásico en el nodo 2 •Calcular las corrientes a través de cada una de las impedancias debido a la falla trifásica en el nodo 2 •Calcular las tensiones en los nodos 1, 2, 3, 4 debido a la falla trifásica en el nodo 2 •Calcular la corriente de falla para un corto trifásico en el nodo 4 •Calcular las corrientes a través de cada una de las impedancias debido a la falla trifásica en el nodo 4 •Calcular las tensiones en los nodos 1, 2, 3, 4 debido a la falla trifásica en el nodo 4 Va=1.0pu j0.1 j0.2 j0.3 j0.2 j0.4 j0.5 Vc=1.0pu j0.15 Vb=1.0pu j0.12
  • 31.
    1 2 3 4 Va=1.0pu j0.1 j0.2 j0.3 j0.2 j0.4 j0.5 Vc=1.0pu j0.15 Vb=1.0pu j0.12 Y 1 1 1 0.10.3 0.2 1 0.2 0 1 0.2 1 1 1 0.2 0.2 0.4 1 0.4 0 1 1 0.4 1 1 0.4 0.5 0.15 1 0.3 1 0.2 1 0.5 1 1 1 1 1 1 1 0.3 0.2 0.5 0.12 0.5 0.3 0.2 j
  • 32.
    Z Y 1 0.07j0.041j 0.014j 0.025j 0.041j 0.121j 0.035j 0.043j 0.014j 0.035j 0.101j 0.023j 0.025j 0.043j 0.023j 0.072j Z  Para falla en nodo 2: 2 2 Z 0.121j If 1 Z 2 2 If  8.294j V1 1 Tensiones de nodo: Z 1 2 Z 2 2 1 2 Z 0.041j V1 0.662 V3 1 V2 0 Z3 2 Z 2 2 V4 1 Z 4 2 Z 2 2 4 2 Z 3  2 0.035j V3  0.712 Z  0.043j V4  0.641
  • 33.
    1 2 3 4 Va=1.0pu j0.1 j0.2 j0.3 j0.2 j0.4 j0.5 Vc=1.0pu j0.15 Vb=1.0pu j0.12 Corrientes a travésdel circuito: I 12 V1 V2 j0.2 12 I 3.31j I 14 V1 V4 j0.3 14 I  0.07j I 42 V4 V2 j0.2 42 I 3.205j I32 V3 V2 j0.4 32 I 1.78j I34 V3 V4 j0.5 34 I 0.142j Ia 1 V1 j0.1 Ia 3.38j Ib 1 V4 j0.12 Ib 2.992j Ic 1 V3 j0.15 Ic 1.921j Se puede comprobar que: 12 14 I I I 12 42 32  8.294j If 8.294j En nodo 1: En nodo 3: Ia I I 0 Ic I34 32 I 0 En nodo 2: En nodo 4: 14 34 42 Ib I I I 0 Asimismo: Ia Ib Ic 8.294j
  • 34.
    Análisis de Redesde Secuencia Ecuaciones generales Cualquier corriente o voltaje desbalanceado se puede determinar por las componentes de secuencia a partir de las siguientes ecuaciones: I A  I1  I2  I0 VA V1V2 V0 I  a2 I  aI  I V  a2 V  aV V B 1 2 0 B 1 2 0 I  aI  a2 I  I V  aV  a2 V V C 1 2 0 C 1 2 0 De las anteriores ecuaciones se pueden determinar las cantidades de secuencia a partir de un sistema desbalanceado: 3 3 3 2 1 C B A C B A C B 0 A  aI )  a2 I I  1 (I  a2 I )  aI I  1 (I I  1 (I  I  I ) 3 3 3 2 1 0 C B A C B A A B C  aV ) V  1 (V  a2 V  aV  a2 V ) V  1 (V V  1 (V V  V ) De estas se deduce que: 3I0  I A  IB IC 3V0 VA  VB VC
  • 35.
    La aplicación delmétodo de las componentes simétricas al cálculo de cortocircuitos asimétricos significa que cada componente del sistema de potencia se representa por tres circuitos equivalentes monofásicos, correspondiendo cada uno a una determinada secuencia. En cada uno de estos circuitos equivalentes las variables tensiones y corrientes corresponden a una misma secuencia y las impedancias asociadas a los elementos reciben el nombre de impedancia a la secuencia que corresponde. Veremos a continuación, los circuitos equivalentes de secuencia de los elementos componentes del sistema. Líneas: Las líneas se representan tal como se muestra en los circuitos siguientes. Impedancia de secuencia positiva Impedancia de secuencia negativa Impedancia de secuencia cero Generalmente: Z1 = Z2  Z0; ya que en secuencia cero es necesario considerar tanto el efecto del retorno por tierra, como el de los conductores de guarda, en caso que ellos existan, debido a que la corriente se reparte por ambos caminos
  • 36.
    E + Z1 I1 V1 Generadores: Los generadores estánproyectados para entregar tensiones en secuencia positiva (tensiones trifásicas balanceadas). Por lo tanto, la red de secuencia positiva está formada por una fuente de voltaje en serie con la impedancia de secuencia positiva del generador. Barra de referencia V1 E  I1Z1 E = tensión del generador Z2 V2 Z1 = impedancia de secuencia positiva del generador La red de secuencia negativa no contiene fuente de voltaje, por lo tanto está formada solamente por la impedancia de secuencia negativa del generador. Barra de referencia V2  I2 Z2 Z2 = impedancia de secuencia negativa del generador I2 La barra de referencia para las redes de secuencia positiva y negativa es el neutro del generador.
  • 37.
    Z0 I0 V0 La red desecuencia cero depende de la forma en que se aterrice el neutro del generador. •Si el neutro del generador está solidamente aterrizado: Barra de referencia V0  I0 Z0 Z0 = impedancia de secuencia cero del generador Z0g+3Zn I0 V0 •Si el neutro del generador está aterrizado a través de una impedancia Zn: El voltaje de la red de secuencia cero es igual a la suma del voltaje de secuencia cero a través del generador más el voltaje de secuencia cero a través de la impedancia Zn. A través de la impedancia Zn circula In, donde In = IA+ IB+ IC = 3I0. Por lo tanto el voltaje de secuencia cero a través de Zn es -3I0Zn. El voltaje de secuencia cero a través del generador es -I0Z0g. Entonces el voltaje de secuencia cero para el sistema es -I0(Z0g+3Zn) Barra de referencia V0  I0 (Z0 g  3Zn) Z0g = impedancia de secuencia cero del generador
  • 38.
    Z0g I0 •Si elneutro del generador no está aterrizado: En este caso se supondría que el generador está aterrizado a través de una impedancia Zn con valor infinito, por lo que la red de secuencia cero se comportaría como un circuito abierto. En este caso no hay circulación de corriente de secuencia cero. Barra de referencia I0  0 V0 Transformadores: Para los transformadores la impedancia de secuencia positiva es igual a la de secuencia negativa, ya que éste se comporta de igual manera independientemente de la secuencia de las fuentes voltajes. Impedancia de secuencia positiva Impedancia de secuencia negativa Generalmente, en el caso de los transformadores Z1 = Z2  Z0. Pero hay que tener en cuenta el grupo de conexión y de la existencia o no de neutros conectados a tierra para saber si hay corrientes de secuencia cero.
  • 39.
    Redes de secuenciacero para transformadores de dos devanados
  • 40.
    Redes de secuenciacero para transformadores de tres devanados 1 2 2 pt st s ps st pt p ps Zt  2 (Zpt  Zst  Z ps ) Z  1 (Z  Z  Z ) Z  1 (Z  Z  Z ) t s Z pt  Z p  Z Zst  Zs Zt Z ps  Z p Z
  • 41.
    Análisis de algunostipos de fallas 1) Falla monofásica a través de una impedancia Zf De la figura anterior se observa que: Ib  Ic  0 Va  ZF Ia a B C A a C B A a B C 3 3 3 1 3 3 3 2 2 1 0 A I  1 (I  a2 I  aI )  1 I  aI  a I )  I I  1 (I I  1 (I  I  I )  1 I Las componentes simétricas de corriente quedan: Por lo tanto: 2 1 I0  I1  I2  3 Ia Ia  3I0  3I1  3I (1)
  • 42.
    Para las componentessimétricas de voltaje se tiene: 3 3 1 C B 2 A C B 1 A V  1 (V  a2 V  aV ) V  1 (V  aV  a2 V ) V0  3 (VA VB VC ) Por lo tanto: V0 V1V2 Va  ZF Ia De (1): V0 V1 V2  3I0 ZF  3I1ZF  3I2 ZF (2) De las ecuaciones (1) y (2) se deduce que las redes de secuencia positiva, negativa y cero quedan conectadas en serie, como se muestra a continuación: E + I1 V1 3ZF Z1 V2 I2 Z0 Z2 V0 I0 F F E 3E 1 1  Z2  Z0  3Z Ifalla  Ia  3I0  Z  Z2  Z0  3Z I0  I1  I2  Z Del circuito se tiene: 0 0 I  aI  a2 I  I c 1 2 I  a2 I  aI  I  0 b 1 2  0
  • 43.
    Del circuito tambiénse tiene: V2  I2 Z2  E F Z0 Z1  Z2  Z0  3Z V0  I0 Z0  E F F 1 EZ1 Z1  Z2  Z0 3Z Z2  Z0 3ZF  Z  Z  Z 3Z V1 E  I1Z1  E  E F 2 0 Z2 Z1  Z2  Z0  3Z  Por lo tanto los voltajes de fase se pueden calcular a partir de sus componentes simétricas así: Va V1V2 V0 V  a2 V  aV V b 1 2 0 V  aV  a2 V V c 1 2 0 Si la falla es directa a tierra, entonces ZF = 0 y: 0 3E Z1  Z2 Z Ifalla  Ia  3I0  Ib  Ic  0 Va  0 E 1 Z1  Z2  Z0 Z2 Z0 V  0 Z2 2 Z1  Z2 Z V   E 0 Z0 0 Z1  Z2 Z E V  
  • 44.
    2) Falla bifásica: Dela figura anterior se observa que: Vb Vc b c b c Ib Ib 3 1 3 3 1 3 a2 2 2 0 a  a I2  3 (Ia  a I  aIc ) a a2 I1  (Ia  aIb  a I )  I  1 (I  I  I ) 0 Ia  0 Ib  Ic Las componentes simétricas de corriente quedan: Por lo tanto: 2 1 I  I I0  0 (1)
  • 45.
    Para las componentessimétricas de voltaje se tiene: 3 ) 1 3 2 b c 2 a c b c 0 a V  1 (V  a2 V  aV ) V1 3 (Va  aVb  a V V  1 (V  V V ) Como: Vb Vc Entonces: V1V2 (2) E + Z1 I1 V1 I2 V2 Z0 I0 V0 Z2 2 1 E Z  Z I1  I2  De las ecuaciones (1) y (2) se deduce que las redes de secuencia positiva y negativa quedan conectadas en paralelo, y la red de secuencia cero queda desconectada: Del circuito se tiene: 2 1 1 0 1 0 2 0 E E  Z  Ib   j 3 Z  I (a  a2 ) I  aI  a2 I  I c 1 2 Z1 Z2  j 3  I (a2  a) I  a2 I  aI  I b 1 2 Ia  I1  I  I  0
  • 46.
    Del circuito tambiénse tiene: V2  I2 Z2  V0 0 E 2 1 Z2 2 1 EZ1 Z  Z  Z  Z V1 E  I1Z1  E E 2 1 Z2 Z  Z Por lo tanto los voltajes de fase se pueden calcular a partir de sus componentes simétricas así: Va V1V2 V0  2V1 V  a2 V  aV V  V b 1 2 0 1 V  aV  a2 V V  V c 1 2 0 1 Se observa que: V1 V2 Vb Vc
  • 47.
    Para fallas trifásicasvimos que la corriente de falla se calcula de la siguiente manera: Zth If  Vf Por ser una falla balanceada, la impedancia Zth corresponde a la impedancia de secuencia positiva y al considerar Vf como 1.0 en pu, podemos escribir la ecuación anterior de la siguiente forma: 1 Z I  1 3 Para fallas bifásicas la corriente de falla es igual a: E b Z1 Z2 I  j 3 Considerando que Z1 = Z2 y asumiendo que E = 1.0 en pu, la magnitud de las corrientes de fallas bifásicas se puede calcular así: 1 1 1 E 3 1 3    Z 2 Z 2 I3 I2  3 Z 3 I2  2 I3 Por lo tanto: Para fallas monofásicas la corriente de falla es igual a: 0 1 2 0 1 3E 3  Z  Z  Z 2Z Z I  1 Por lo que: I1  I3 si Z0 = Z1, y I1  I3 si Z0 < Z1
  • 48.
    Componentes de unsistema de protecciones La protección de un equipo eléctrico puede ser tan simple como un fusible o tan compleja como los modernos relés de tipo numérico, que hacen uso incluso de enlaces de fibra óptica para transmitir la información de un punto a otro. Por esta razón, una definición de Sistema de Protecciones debe ser lo suficientemente amplia como para incluirlas a todas. Sistema de Protecciones es el conjunto de elementos y de sus circuitos de control asociados que se encuentran interconectados o dependientes entre sí, cuya función es proteger a un equipo o a un conjunto de equipos. Este conjunto de elementos operará bajo condiciones predeterminadas, usualmente anormales, desconectando un elemento del sistema de potencia o emitiendo una señal o ambas cosas. Bajo la perspectiva de esta definición y tratando de referirse siempre a los casos más generales, los componentes de un sistema de protecciones, tal como se muestra en la figura siguiente, son :
  • 49.
    Transformadores de medida Lostransformadores de medida son los elementos que permiten obtener la información acerca de las condiciones de operación de un sistema de potencia, en la forma de señales secundarias de corriente o de tensión proporcionales a las magnitudes primarias. Bajo este término común se agrupan los transformadores de corriente TC y de potencial TP, para diferenciarlos de los transformadores comunes. Relés de protección Son los elementos que reciben la información de los transformadores de medida y que son capaces de discriminar entre una condición normal y anormal. Cuando el relé detecta una condición anormal inicia su acción (“opera”), generalmente a través de contactos que se cierran o se abren y que, en forma directa o indirecta, habilitan los circuitos de apertura o desenganche de los interruptores de potencia. Interruptores de potencia Dispositivos que cumplen con la función de aislar o desconectar los equipos, ya sea por operación de las protecciones o de las personas que manejan el sistema eléctrico. Se denominan interruptores de potencia para diferenciarlos de otros dispositivos que no son capaces de interrumpir un circuito en condiciones de falla por no tener la capacidad de ruptura necesaria, aún cuando están diseñados para aislar partes del circuito. Circuitos de control Conjunto de elementos que interconectan a los tres componentes anteriores. Entre estos elementos se puede mencionar: alambrados; regletas de conexiones; switches; relés auxiliares; lámparas de señalización; dispositivos anunciadores; etc. Se analizarán a continuación, las principales características de los distintos elementos que componen los sistemas de protecciones.
  • 50.
    Transformadores de medida(TM) Los transformadores de medida cumplen con varios objetivos como son: Aislarse del circuito de Alta Tensión: Puesto que no existen ni serían prácticos instrumentos o relés para conexión directa a la alta tensión, se usan transformadores que cumplen con la función de entregar corrientes o voltajes en baja tensión con el objeto de proteger tanto a los instrumentos como a las personas que los operan. Disponer de magnitudes normalizadas: Los secundarios de los TM entregan valores normalizados de modo de facilitar la utilización de instrumentos u otros dispositivos que por tener un bajo nivel de aislamiento resultan pequeños y económicos. Efectuar medidas a distancia: Al disminuir los niveles de las magnitudes a medir y al estar aislados de la alta tensión, se hace posible instalar los elementos de medida y protección a distancias mas o menos alejadas del punto de ubicación de los TM. Sin embargo, esta distancia no puede ser mayor de unos 100 a 150 m, puesto que los conductores comienzan a ser una carga apreciable que compromete la exactitud de las medidas. Con la aparición de los relés de estado sólido y de los transductores electrónicos de medida, las distancias mencionadas han podido superarse largamente. Realizar aplicaciones en protecciones y medidas: Interconectando adecuadamente los secundarios de los TM, se pueden obtener otras magnitudes de gran utilidad en la aplicación de algunas protecciones y medidas. A modo de ejemplo, se pueden mencionar los dos circuitos que se muestran en las figuras siguientes, que permiten obtener voltajes y corrientes de secuencia cero, respectivamente.
  • 51.
    Proteger instrumentos: Estaaplicación es particularmente válida en el caso de los TC destinados a medidas, ya que al ocurrir un cortocircuito se aprovecha un bajo índice de saturación del núcleo para provocar un elevado error negativo en la corriente secundaria, de modo que ésta no se eleve muy por encima de los valores nominales. Se protegen de esta manera las bobinas de corriente de instrumentos tales como: amperímetros; vatímetros; fasímetros; etc. Obtención de voltaje de secuencia cero Obtención de corriente de secuencia cero
  • 52.
    Transformadores de potencial(TP) Son los transformadores de medida utilizados para reducir las tensiones primarias del sistema de potencia a tensiones secundarias de rangos normalizados (110-120 volt), en forma directamente proporcional. El transformador de potencial es muy similar a un transformador de potencia ya que ambos tienen la finalidad de cambiar el nivel de la tensión. Un transformador de potencia está destinado a servir una carga sin exceder un aumento de temperatura especificado. El transformador de potencial se define, en cambio, en términos de la máxima carga (o burden) que es capaz de entregar sin exceder los límites de error de relación y de ángulo especificados; esto significa que la carga que es capaz de servir, sin exceder los valores permitidos de aumento de temperatura, puede llegar a ser hasta diez veces superior a su burden nominal. Circuito equivalente y diagrama fasorial de un TP referidos al lado primario
  • 53.
    Ejemplo: Sea, RTP =110000/110 Vp = 110000 Vs = 109.89 Entonces el error de relación sería El error de fase es la diferencia angular entra los voltajes primario y secundario () Es positivo cuando el voltaje secundario se adelanta al voltaje primario Errores: Los errores de relación y fases del transformador se pueden calcular utilizando el diagrama vectorial anterior. El error de relación se define como: RTP Vs Vp x100% Vp donde: RTP es la relación de transformador de potencial Vp es la tensión primaria Vs es la tensión secundaria Si el error es positivo, entonces el voltaje secundario excede a la tensión nominal. 110000 109.89 110000 110 x100%  0.1% 110000
  • 54.
    Todos los transformadoresde potencial deben cumplir con las tablas siguientes: Clase de precisión 0.25 - 1.0 x tensión nominal 0.25 - 1.0 x burden nominal a 0.8fp Error de relación (%) Error de fase (min) 0.1 +/- 0.1 +/- 5 0.2 +/- 0.2 +/- 10 0.5 +/- 0.5 +/- 20 1.0 +/- 1.0 +/- 40 3.0 +/- 3.0 no se especifica Errores límites para TPs de medida Clase de precisión 0.25 - 1.0 x burden nominal a 0.8fp 0.05 - Vf x tensión nominal Error de relación (%) Error de fase (min) 3P +/- 3.0 +/- 120 6P +/- 6.0 +/- 240 Errores límites para TPs de protección De la última tabla, Vf es un límite superior de la tensión de operación, expresada en por unidad de la tensión nominal. Es importante para una correcta operación de las protecciones y operación bajo condiciones de fallas desbalanceadas en sistemas no aterrizados o aterrizados a través de impedancias, lo que resulta en un incremento en la tensión de las fases no falladas. Factor de voltaje Vf Tiempo Condiciones de aterrizamiento Devanados primariosTP Sistema 1.1 Ilimitado No aterrizado Aterrizado o no 1.5 30 s Aterrizado Aterrizado 1.9 30 seg u 8 horas Aterrizado No aterrizado
  • 55.
    Protección de losTPs Los TPs pueden ser protegidos por fusibles en el lado primario y para tensiones de hasta 66 kV. Para tensiones mayores, los fusibles generalmente no tienen suficiente capacidad de interrupción. El secundario de un TP siempre debe estar protegido por fusibles o mini circuit breakers MCB, el cual debe estar ubicado lo más cerca posible del TP. Un cortocircuito en el secundario producirá corrientes de muchas veces la salida nominal, causando un sobrecalentamiento. Aunque se instalen fusibles en el primario, éstos no despejarán fallas en el lado secundario debido al valor muy bajo de corriente. Obtención del voltaje residual Durante una falla a tierra, la suma de las tensiones de fase no es igual a cero, por lo que el voltaje residual se puede medir conectando los devanados secundarios de los TPs en “delta abierta”. A menudo, los TPs están provistos con un secundario conectado en estrella normal y un devanado “terciario” conectado en delta abierta. Si los TPs no están provistos del devanado “terciario” para la delta abierta, se pueden utilizar TPs auxiliares con conexión estrella / delta abierta, energizados desde el lado secundario de los TPs principales, tal como se muestra a continuación.
  • 56.
    Los TPs auxiliaresdeben cumplir los requerimientos para soportar el factor de voltaje Vf
  • 57.
    Transformadores de corriente(TC) Son los transformadores de medida destinados a entregar una corriente secundaria proporcional a la que circula por su enrollado primario. Este enrollado está conectado en serie con el circuito de poder que se pretende medir. En cualquier caso, su impedancia es despreciable comparada con la del circuito de potencia, aún si se considera el efecto de la impedancia del circuito secundario transferido. Se construyen como elementos monofásicos, cuyo primario tiene muy pocas espiras (normalmente una sola). El núcleo puede ser de material ferromagnético o de aire. En el primer caso poseen una potencia de salida importante, por lo que son aptos para usar con relés electromecánicos; sin embargo, no existe una proporcionalidad total entre las corrientes de los enrollados primario y secundario, debido a las características no lineales de los materiales utilizados en el núcleo. Los TCs con núcleo de aire tienen baja potencia de salida por lo que sólo se pueden usar con relés del tipo estático, sin embargo, la corriente secundaria es siempre proporcional a la corriente. Según las características constructivas de la bobina primaria, los TT/CC se clasifican en: •Tipo bobinado: La bobina primaria se enrolla con una o más vueltas al núcleo de hierro. Las bobinas primarias y secundarias se encuentran aisladas entre sí y también están aisladas del núcleo
  • 58.
    •Tipo barra: Consisteen un conductor fijo, aislado, en forma de barra o tubo, como bobina primaria que atraviesa el núcleo de hierro, en general de forma toroidal al que se ha enrollado la bobina secundaria. •Tipo ventana: Es aquel que consta solamente de una bobina secundaria enrollada alrededor de un núcleo de hierro y en el cual la bobina primaria no forma parte del TC propiamente tal. •Tipo bushing: Tiene un núcleo de hierro toroidal al cual se ha enrollado la bobina secundaria pero no tiene bobina primaria. Va montado en el bushing de los transformadores de potencia y la bobina primaria la forma el cable conductor del circuito de potencia.
  • 59.
    Circuito equivalente ydiagrama fasorial A continuación se muestra el circuito equivalente y el diagrama fasorial para un TC. Las impedancias están referidas al lado primario. Ze es la impedancia de fuga o equivalente del TC, normalmente de valor pequeño. Z0 es la impedancia de excitación y Zb es la impedancia de carga o burden I1  I0 aI2 En un transformador de corriente interesa que el error de relación “a” y de ángulo “β” sean mínimos, por lo que, de las expresiones y figuras anteriores, se observa que es necesario disminuir la corriente de excitación I0. Por esta razón, si se considera que tanto Ze como Zb son parámetros constituidos por elementos no saturables, el análisis del comportamiento de un TC se efectúa a través de su característica de excitación. 1 2 N I de donde a  N2  I1 es la relación de transformador de corriente o RTC
  • 60.
    La magnitud dela corriente de excitación I0 de un transformador, depende del tipo de material del núcleo y del flujo que deba tener para satisfacer el burden requerido. En los transformadores de corriente, la carga representa una caída de voltaje por impedancia, que en la figura corresponde a aI2 Zb/a2, la que, si se desprecia la caída en Ze, es igual a I0 Z0, lo que determina el valor de I0 y por lo tanto del flujo, además de determinar el valor de Z0 como función de la característica de excitación. Para que la relación real de corrientes sea lo más ajustada posible a la RTC, I0 debe tender a cero, o bien: Z0>>(Ze+Zb/a2). Como resultado de estas consideraciones se puede concluir que:  El núcleo debe ser de muy buena calidad para trabajar a niveles bajos de saturación y con pocas pérdidas. No se debe trabajar con cargas superiores a la nominal ya que si la impedancia de la carga es muy alta, aumenta la corriente de excitación y consecuentemente el error de relación y de ángulo. No se debe trabajar con el secundario en circuito abierto porque en este caso, el voltaje desarrollado será limitado solamente por la impedancia de magnetización. En estas condiciones: I1=I0, lo que trae como consecuencia la saturación, altas pérdidas y sobretemperatura en el núcleo, junto con elevados voltajes máximos en bornes secundarios.
  • 61.
    Característica de excitación Lasfiguras siguientes muestran la característica de excitación de un TC y el circuito empleado para obtenerla. Para fines de estudio se ha exagerado el codo de saturación. En la práctica esta curva es mas redondeada y por eso se acostumbra dibujarla en papel log-log. De esta forma se puede definir con mayor precisión el “punto de saturación”, es decir, el punto donde la relación dV0/dI0 deja de ser constante. Esta curva se puede dividir (en forma aproximada), en cuatro zonas: − El pie de la curva de 0 de 20 Volts, aproximadamente. − Zona de linealidad, entre 20 y 160 Volts − Zona del codo de saturación de 160 a 180 Volts − Zona de saturación, a partir de los 180 Volts. Para esta curva la zona de linealidad determina una impedancia de aproximadamente 53,33 ohm. A partir de los 180 Volts, la impedancia de excitación empieza a decrecer desde un valor de 36 ohm, debido a la saturación, es decir, en el codo de saturación Z0 disminuye de 53,33 a 36 ohm aproximadamente.
  • 62.
    Punto de saturación Paraestablecer las características de operación de los TC con corrientes superiores a la nominal, resulta necesario definir su punto de saturación. En este contexto, hay varios criterios y normas, algunas de las cuales se describen a continuación: Criterio de la EEC La English Electric Corporation (EEC) ha definido al “punto de saturación” de la curva de excitación, como el punto en el cual un incremento de un 10% de la tensión secundaria, produce un 50% de aumento en la corriente de excitación. Este punto puede ser considerado como un límite práctico, sobre el cual no se mantiene la razón de transformación especificada. Según esta definición, si la impedancia de excitación en el límite de la zona lineal, es Z0=V0/I0, se tiene que la impedancia de excitación en el punto de saturación, Z0s=V0s/I0s corresponde al 73,33% de Z0. De acuerdo con el gráfico de la figura anterior, Z0=53,33 ohm y por lo tanto, Z0s=39,11 ohm, en que tanto Z0 como Z0s corresponden a valores medidos en el secundario Efectos de la variación del burden sobre la corriente secundaria La carga externa conectada al secundario de un transformador de corriente recibe el nombre de Burden. Este se expresa, generalmente, en términos de impedancia y factor de potencia. En algunos casos se expresa también como los Volts-Amperes (VA) disipados en la impedancia, a corriente nominal secundaria, con el factor de potencia correspondiente. Las variaciones que puede experimentar el burden conectado al secundario de un T/C, producen importantes efectos sobre su comportamiento. Considerando los resultados determinados según el criterio de la EEC, se puede visualizar el efecto que el burden tiene sobre la corriente secundaria.
  • 63.
    De acuerdo conla característica de excitación del TC de la figura anterior, la razón entre las corrientes se mantiene hasta un voltaje secundario de 160 Volts. ¿Hasta qué valores de sobrecorriente se mantiene dicha razón, en función de la carga?. Para este efecto supóngase que, como Ze<< Zb, se puede despreciar Ze y por lo tanto, en la característica de saturación, ZbI2=160 Volts, expresados en términos secundarios. Los resultados se muestran en la tabla siguiente. El valor “n” corresponde a la razón entre la corriente secundaria que puede circular, considerando que se mantiene la relación de transformación del TC y la nominal secundaria (5 Amperes, en este caso) y puede ser considerado como un “índice de sobrecorriente”. En la tabla se aprecia que a medida que aumenta la carga, la corriente secundaria que puede circular, manteniendo la razón de transformación, disminuye, de la misma forma que lo hace el factor “n”. Zb (Ohm) I2 (Amp) n = (I2)/5 1 160 32 2 80 16 4 40 8 8 20 4 Efectos de la variación del burden sobre la razón de transformación Para analizar el efecto que la carga ejerce sobre la razón de transformación, se considerará despreciable el error angular, definiendo el error de relación Er, a partir de la relación nominal RTCN y la relación real RTCR 1 0 I I r E  x100% Por lo tanto, el valor absoluto del error de razón, expresado en función de la corriente primaria I1 es: N N r RTC RTC  RTCR E 
  • 64.
    Por otra parte,considerando el circuito equivalente del TC y despreciando Ze, se puede determinar I0 e I1, por lo que la expresión anterior se puede escribir en función de la impedancia de carga Zb de la siguiente forma: x100% Zb r Z a2 Z b 0 E  En la expresión anterior: a2Z0 representa la impedancia de excitación referida al secundario, la cual, en este caso es de 53,33 ohm. Si, por ejemplo, Zb = 1,0 ohm, entonces el error de razón será del 1,84%. Si el burden aumenta al doble, el error sube a 3,61%, o sea, prácticamente al doble.
  • 65.
    Punto “knee” segúnANSI El American National Standard Institute (ANSI, C57.13-1978), define lo que denomina el punto “knee” (rodilla) o punto efectivo de saturación como el punto en que la curva de excitación es tangente a la línea trazada a 45º de la horizontal. En la figura siguiente, la recta trazada en línea de segmentos, desde el punto “A” es el lugar geométrico de la intersección de esta tangente con cada una de las curvas correspondientes a las distintas razones del TC. Por esta razón , al punto “A” se le denomina “ANSI knee” Punto “knee” según IEC La International Electrotechnical Commission (IEC), define el punto “knee” (rodilla) o punto efectivo de saturación como la intersección de las rectas trazadas extendiendo las partes saturada y no saturada de la curva de excitación. En la figura anterior, corresponde al punto “B”, que por esta razón, se denomina “IEC knee”, el que como se aprecia, determina un valor de voltaje más elevado que el “ANSI knee”; es decir, según la IEC, el límite de la zona considerada lineal es superior al determinado por ANSI.
  • 66.
    Precisión del T/Cutilizado en protecciones El comportamiento de un relé de protección depende de la clase de precisión que el TC mantenga no sólo a corriente nominal sino que también para las corrientes de falla. El grado de precisión para altas corrientes depende de la sección transversal del núcleo y del número de vueltas del secundario. Mientras mayor sea la sección transversal del TC, mayor es el flujo magnético que puede desarrollarse antes de alcanzar el punto de saturación. La saturación del TC genera un alto error en la relación de transformación. Por otro lado, un gran número de vueltas en el devanado secundario requiere de un menor flujo magnético para inducir la corriente secundaria que debe circular a través del relé. Al respecto, existen diversas formas de determinar el comportamiento de un TC, tanto en forma analítica como por aplicación de las normas. A continuación se considerarán algunas de ellas. Cálculo directo Se hace uso de la fórmula clásica del transformador, es decir, la ecuación que corresponde a la expresión general de tensión inducida en la bobina de un transformador de N espiras, con núcleo de sección A, a una densidad de flujo máxima Bmax y frecuencia f. V sec  4,44 fNABmax despreciando la resistencia óhmica y la ecuación que relaciona la tensión secundaria correspondiente a la suma de las caídas debidas a la circulación de corriente I2 por las impedancias de carga Zb, de fuga Ze y de los conductores ZL: V sec  I2 (Zb  Ze  ZL ) De donde se puede obtener Bmax  I2 (Zb  Ze  ZL ) 4,44 fNA
  • 67.
    Si el Bmaxresultante es mayor que el valor correspondiente al del material del núcleo, el TC no podrá usarse sin que los errores de medida sean mayores que los nominales Por aplicación de las normas ASA (ASA C57.13-1954) Estas normas especifican generalmente, el voltaje máximo que puede obtenerse en bornes secundarios, sin exceder el error especificado. En el caso de las normas ASA (American Standard Association), se consideran los siguientes aspectos: − Tipo de TC: H , de alta impedancia interna y L, de baja impedancia interna − Precisión de sobrecorriente: 2,5 y 10% de error nominal de razón − Tensiones secundarias: 50-100-200-400-800 Volts. −Corrientes nominales secundarias: 0,1-1,0-5,0 Amperios. Los valores mas bajos se usan cuando la carga secundaria se encuentra alejada de los TCs. El valor de uso normal es de 5,0 Amperios. − Factor de potencia de la carga: 0,5 o 0,9 (Ambos inductivos) La norma ASA designa a los TC por medio de dos cifras y una letra colocada entre ellas. (Además de los valores usuales como: relación de transformación, corriente nominal secundaria, etc.) La primera cifra indica el error máximo de relación que puede producirse siempre que no se exceda el voltaje en bornes secundarios que especifica la segunda cifra. La letra colocada al centro puede ser H ó L. En los transformadores tipo H, las dos cifras mencionadas son válidas para corrientes secundarias de 5 a 20 veces la nominal (Ejemplo: T/C tipo 2,5H400). En los transformadores tipo “L”, las cifras tienen validez para 20 veces la corriente nominal, solamente (Ejemplo: T/C tipo 2,5L400).
  • 68.
    Por aplicación delas normas ANSI/IEEE (ANSI/IEEE Standard C57.13-1978) Las norma ANSI/IEEE C57.13-1978 definen las clases de precisión de los T/C con las letras T y C junto a un número de clasificación. La letra T (clase H, antes de 1968) indica que este error ha sido determinado experimentalmente mientras que la letra C (Clase L, antes de 1968) indica que el error inducido en la razón de transformación puede calcularse. Clases de precisión según IEC Las normas IEC distinguen entre TC para uso en medida y en protecciones. Los TC a usarse en sistemas de protecciones se designan con la letra P y se especifican las siguientes características: − Potencias nominales: 2,5-5,0-15 y 30 VA − Clases de precisión: 5 y 10% − Factores límites de precisión (FLP): 5-10-15-20 y 30. − Corrientes nominales secundarias: 1,0-2,0 y 5,0 Amperes. El valor preferido es de 5,0 Amperes. Por ejemplo, un TC designado como 15 VA Clase 10 P 20; significa que su capacidad permanente es de 15 VA, con un error no mayor del 10%, siempre que su voltaje secundario no sea mayor de 20 veces el nominal. nom V sec  VA  VA In In In2 max permisible V sec  VA FLP Burden O más exactamente: Adicionalmente se puede determinar en forma aproximada el voltaje de saturación del TC así: Vsat  Vsecmax Vsat  VA FLP In VA Vsat  (  R In)FLP In TC Donde R es la resistencia interna del TCsuministrada TC por el fabricante
  • 69.
    Para el TCde 15 VA Clase 10 P 20, podemos hacer los siguientes cálculos: nom 5 max 5 V sec  15 20 60Volt  15  0.6 52 permisible V sec  15  3Volt Burden Vsat  60Volt Para determinar si un TC es apto para la aplicación de protecciones que se esté haciendo, se debe hacer lo siguiente: - Conocer las resistencias tanto de los relés, como de los conductores y del TC. - Conocer la corrientes máxima (falla) que pueda circular por el TC. - Calcular el voltaje secundario de operación para el nivel de corriente de falla, el cual debe ser menor que el voltaje de saturación del TC. Por ejemplo, sea un TC de relación 1000/5 y 7.5 VA 10P20, y la corrientes de falla es 8500 A, y : Suministrado por el fabricante del TC Resistencia de los conductores desde el TC hasta los relés Suministrado por el fabricante del relé 1000/5 8500 V sec  I2 (RTC  RL  RR ) RTC  0.26 RL  0.02 RR  0.15 Por lo tanto In Vsat  ( VA  R In)FLP  ( 7.5  0.26*5)20  56 TC Vsat  56Volt Por lo que se cumple que: 5 V sec Vsat V sec Vsat (0.26  0.02  0.15) 18.28Volt V sec 18.28Volt
  • 70.
    De los resultadosanteriores: Vsat  56Volt 1000/5 8500 (0.26  0.02  0.15) 18.28Volt V sec  I2 (RTC  RL  RR ) 5 2 2 2 (0.26  0.02  0.15)  I max / In  130  26 130A I max Vsat (R  R  R ) Vmax I max (RTC  RL  RR) L R 56 TC Vmax  I2 max(RTC  RL  RR ) Este TC se satura a partir de 26 veces la corriente nominal secundaria y con el burden asumido de 0.02 y 0.15 ohmios
  • 71.
    Especificaciones técnicas deun TC Las principales características técnicas que deben ser indicadas al momento de seleccionar un TC son las siguientes: Corriente nominal La corriente nominal máxima debiera ser igual o mayor a la máxima corriente de operación del circuito en donde se conectará el T/C. La magnitud de la corrientes de inrush también debe ser considerada, específicamente con respecto al efecto que puede tener en instrumentos de medidas o en relés de protecciones. Factor de sobrecarga Es una constante dada por el fabricante, que indica cual es la máxima corriente primaria que puede circular a través del TC en forma permanente sin exceder la temperatura máxima de los enrollados para una temperatura ambiente de 30º C. El factor de sobrecarga (Rating Factor RF) normalizado es de 1,0-1,33-1,5-2,0-3,0 o 4,0. Por ejemplo un TC de 100/5 con un RF igual a 1,5 puede operar en forma permanente con 150 A. Corriente térmica de tiempo corto. Límite de solicitaciones térmicas Es el valor efectivo de la máxima corriente que, circulando durante un segundo por el primario de un TC con uno de sus secundario en cortocircuito, provoca elevaciones de temperatura que no exceden de 250 ó 350ºC, según la clase de aislación sea A ó B. Este límite, designado como Ith es entregado por el fabricante y se da como un número de veces la corriente nominal del TC durante un segundo. Para la correcta aplicación de un TC, y considerando tiempos de duración de la falla de hasta 5 segundos, es conveniente que se cumpla la condición dada por la ecuación siguiente, donde Icc es el valor efectivo de la máxima corriente de cortocircuito en el punto de instalación del TC y f es la frecuencia del sistema: Ith  Icc t  0.05*50 / f
  • 72.
    Para el ejemploanterior: Ith  Icc t  0.05*50 / f  8500 1 0.05*50 / 60  8.6kA Ith debe ser mayor o igual que 8.6 kA Límite de solicitaciones dinámicas. Corriente mecánica de tiempo corto Es la máxima corriente asimétrica de cortocircuito que el TC es capaz de soportar sin que se dañe físicamente. Este tipo de corriente se especifica solamente en TC tipo bobinado. Corresponde al valor máximo de la amplitud de la corriente del primer ciclo que circula por la bobina primaria estando el secundario en cortocircuito. Se le denomina también corriente dinámica y se define según la ecuación Idin 1.8 2Ith  2.542Ith Voltaje nominal Corresponde a la tensión entre líneas del circuito de potencia donde se va a instalar el transformador de corriente. Los TC pueden operar hasta con un 10% por sobre el voltaje nominal. Polaridad y conexiones Las polaridades relativas del primario y secundario de un TC se identifican colocando marcas y/o símbolos H1, H2 para los terminales primarios y X1, X2 para los terminales del secundario. Según esta convención, si H1 y X1 son bornes de igual polaridad, cuando la corriente primaria “entra” por H1, la corriente secundaria “sale” por X1. Igualmente se puede utilizar P1, P2 para los terminales primarios y S1, S2 para los terminales del secundario.
  • 73.
    P1 P2 S1 S2 Conexión delta: Cuandose quiere eliminar las corrientes de secuencia cero. Conexión estrella: Particularmente apropiada cuando se requiere obtener corrientes de secuencia cero.
  • 74.
    Aplicaciones Los TC seusan tanto en medidas como en protecciones. Cuando se usan para medidas, requieren de una alta precisión y de una característica idealizada como la que se muestra en la figura siguiente, con el fin de que protejan adecuadamente a los instrumentos conectados a sus secundarios cuando existan altas corrientes en el sistema de potencia en que se encuentran, como es el caso de una falla, por ejemplo. Para uso en protecciones, en cambio, es conveniente que no exista saturación con elevadas corrientes primarias, es decir, que se mantenga una precisión aceptable cuando ocurran fallas en el sistema. Para este caso es conveniente una característica como la de la figura siguiente.
  • 75.
    Error compuesto Este errores definido por la norma IEC 60044-1 y debe cumplir con los valores dados en la siguiente tabla: Clase de precisión +/- (%) error % corriente 50 120 3 3 3 5 5 5 Clase de precisión +/- (%) error % corriente 5 20 100 120 0.1 0,4 0,2 0,1 0,1 0.2 0,75 0,35 0,2 0,2 0.5 1,5 0,75 0,5 0,5 1.0 3 1,5 1 1
  • 76.
    Tecnologías de relés Reléselectromecánicos Estos fueron las formas iniciales de relés de protección que se utilizaron en los sistemas de potencia. Funcionan con el principio de la fuerza mecánica que causa la operación de un contacto en respuesta a un estímulo. La fuerza mecánica se genera a través del flujo de corriente en uno o más devanados de una o varias bobinas, de ahí el nombre electromecánico. Relé electromecánico de tiempo instantáneo Relé electromecánico temporizado
  • 77.
    Relé electromecánico desobrecorriente temporizado e instantáneo
  • 78.
    Relé electromecánico desobrecorriente temporizado e instantáneo
  • 79.
    Relés estáticos Su diseñoestá basado en el uso de elementos electrónicos análogos en vez de bobinas e imanes para crear la característica del relé. Las primeras versiones utilizaron elementos discretos como transistores y diodos en conjunto con resistencias, condensadores, inductores, etc., pero los avances de la electrónica permitieron el uso de circuitos integrados lineales y digitales en las versiones posteriores para el procesamiento de las señales e implementación de funciones lógicas. El término estático se refiere a que el relé no tiene partes móviles. No es estrictamente el caso para un relé estático ya que los contactos de salida son generalmente relés mecánicos. Relés digitales y relés numéricos Los relés digitales introdujeron un cambio importante de tecnología. Los circuitos análogos utilizados en los relés estáticos, fueron remplazados por microprocesadores y microcontroladores, para implementar las funciones de los relés. Comparados con los relés estáticos, los relés digitales utilizan conversión análoga/digital (A/D) de todas las variables análogas medidas. Los relés numéricos son desarrollos de los relés digitales como resultado del avance de la tecnología. Típicamente utilizan un procesador de señal digital (DSP), acompañado de un software asociado. La continua reducción en el costo de los microprocesadores y de los elementos digitales asociados, lleva naturalmente a que un solo equipo es utilizado para proveer un rango de funciones que anteriormente eran implementadas por equipos separados.
  • 80.
    Relé numérico multifuncional (Sobrecorrientefase/tierra, medida, recierre, bajo voltaje, frecuencia, comunicación, etc.) Relé numérico multifuncional (Sobrecorriente fase/tierra, control, medida, recierre, bajo voltaje, frecuencia, comunicación, etc.)
  • 81.
    Protección de Sobrecorriente Losrelés dependen de la variable del sistema de potencia a la cual respondan, como corriente, voltaje, frecuencia, etc. Por lo tanto, podemos encontrar protecciones de diferentes tipos como son: Sobrecorriente Sobre o bajo voltaje Sobrecorriente direccional Diferencial de transformador o diferencial de barra Distancia Baja o sobre frecuencia (corriente) (voltaje) (corriente, voltaje) (corriente) (corriente, voltaje) (frecuencia, voltaje) Protección de sobrecorriente es la protección que responde cuando la corriente que circula por ella supera un valor establecido. Su funcionamiento es simple ya que su operación depende de dos variables básicas: −El nivel de corriente mínima de operación (o corriente de pick-up), que es aquel valor que produce el cambio de estado del relé (arranque). − La característica de tiempo de operación, es decir la forma en que el relé responde en cuanto al tiempo.
  • 82.
    Este método seusa preferentemente en líneas radiales o en líneas en anillo, donde la corriente de falla entre las diversas secciones no difiere mucho. Esta forma de dar selectividad se consigue con relés de tiempo definido. Tiene la desventaja que el tiempo de despeje de las fallas es cada vez mayor hacia las proximidades de la fuente, justamente donde el nivel de falla es mayor y donde se debería actuar con más rapidez. Procedimientos de coordinación Coordinación por tiempo En este método se utiliza un intervalo de tiempo (independiente del nivel de corriente de falla) entre cada uno de los relés que controlan los interruptores del sistema, para asegurar que opere primero el que está más cerca de la falla.
  • 83.
    Procedimientos de coordinación Coordinaciónpor corriente Se basa en el hecho que la corriente de falla varía con la ubicación de ésta debido a la variación de la impedancia entre la fuente y el punto de falla. Por lo tanto las protecciones se ajustan a valores apropiados de corriente de tal forma que opere solamente el relé más cercano a la falla. El tiempo de operación de las protecciones se ajusta en forma instantánea para obtener menores tiempos de despeje de falla. Este método no es muy práctico en casos donde pueden variar las condiciones de generación, por lo que se podría dar la situación en que las protecciones operen incorrectamente. G1 G2 A B 2 1 Fa Fb Con G1 y G2 en línea: ZG1  10 ZG 2  15 Z12  5 110 kV 18.3kA 110000V (10||15) IFa  10kA 110000V (10 ||15  5  ) IFb  Si G1 sale de servicio, entonces: 15  5.5kA 110000V (15 5  ) IFa  110000V  7.3kA IFb  La corriente de arranque para el relé A se ajustaría al valor mínimo de falla Fa en el elemento protegido (7kA), pero con este ajuste, para una falla Fb en condiciones de generación máxima, podría operar el relé A simultáneamente y en forma no selectiva con el relé B.
  • 84.
    Coordinación por corriente/tiempo Cadauno de los métodos descritos anteriormente, tiene una desventaja fundamental. Debido a estas desventajas, es que los relés de sobrecorriente con característica de tiempo inverso han evolucionado. Con esta característica el tiempo de operación es inversamente proporcional al nivel de corriente de falla, y es una función tanto del ajuste de tiempo como el de corriente. Se definen varias curvas de operación dependiendo de la proporcionalidad con la corriente así: Curva Normal Inversa Curva Muy Inversa Curva Extremadamente Inversa t  1 Iop
  • 85.
    CURVAS ESTANDAR INVERSA 0,1 1 10 100 1000 110 100 1000 Veces I ajuste SEGUNDOS NORMAL INVERSA MUYINVERSA EXTREMADAMENTE INVERSA
  • 86.
    La norma IEC60255 define las características inversas de la siguiente manera: Curva Normal Inversa Curva Muy Inversa )0.02 1 (I /I t  TMS Curva Extremadamente Inversa 0.14 13.5 pu pu I I 1 t  TMS 80 pu (I / I )2 1 t  TMS TMS  Ajuste multiplicador de tiempo o dial y va de 0.05 a 1.0 0,1 1 10 I / I pu  Corriente de falla sobre corriente depick-up CURVAS NORMAL INVERSA 100 1 100 10 I/Ipu SEGUNDOS Dial 0.8 Dial 0.3 Dial 0.1
  • 87.
    La norma ANSIdefine las características inversas de la siguiente manera: Curva Normal Inversa Curva Muy Inversa       9 0.0086 )0.02 1  14TMS 5   0.0185x   (I/ I  t  pu Curva Extremadamente Inversa       9 2.855  14TMS 5   0.0712x   (I / I )2 1  t  pu   9 6.407  14TMS 5   0.025x   (I / I )2 1  t    pu   TMS  Ajuste multiplicador de tiempo o dial y va de 0.5 a 10.0 Para el caso de relés de sobrecorriente electromecánicos, es usual que el fabricante suministre las curvas de operación para cada uno de los ajustes de tiempo, teniendo en cuenta que estas curvas no se ajustan exactamente a las ecuaciones IEC o ANSI.
  • 88.
    Curvas de operaciónpara un relé electromecánico
  • 89.
    Definiciones Es conveniente definiralgunos términos que son de uso común en protecciones y que es necesario conocer claramente: Corriente de arranque o pick-up (I> para fases, Ie> para tierra) Es la corriente que produce el cambio de estado del relé. En relación a este término existe una diferencia entre los fabricantes norteamericanos y los europeos. En los relés americanos, el valor de la corriente mínima de operación o pick-up es igual al valor del tap. En los relés de procedencia europea, estos valores pueden ser diferentes. La corriente de pick-up es del orden de 1,3 veces el valor del tap. Las curvas de los relés vienen con el valor de corriente expresado en veces el tap y no en amperios, de modo que sirvan para cualquier rango de corrientes primarias. También es habitual que las curvas no comiencen en 1 por tap sino en 1,5 veces en el caso de los americanos o 1,3 veces en el caso de los relés ingleses. En los relés de estado sólido es frecuente que el pick-up sea 1,1 veces el tap y que la curvas comiencen también desde este punto. La razón para esto es que resulta difícil precisar las curvas para valores de corriente muy cercanos al valor de la toma (tap), de modo que el fabricante se deja un margen donde no asegura la exactitud de las curvas. Tap Es el dispositivo que permite seleccionar la corriente de operación del relé dentro de un rango de tomas o derivaciones dispuestas para este efecto. Normalmente el valor del tap se designa en amperios y representa el valor de corriente que haría operar al relé en un tiempo indeterminado (muy largo).
  • 90.
    Dial de tiempo Esel ajuste que permite variar las curvas de tiempo de operación del relé. En los relés americanos (norma ANSI) va de 0.5 a 10.0 y en los relés europeos (norma IEC) va de 0.05 a 1.0. Tiempo de coordinación Es el intervalo de tiempo que se debe mantener entre las curvas de los relés con el objeto de obtener una operación secuencial correcta de los interruptores. Su valor depende de factores como: tiempo de apertura de los interruptores, error de las curvas de operación de los relés, exactitud de los TCs y su posible saturación. Habitualmente se usan valores aceptables de tiempos de coordinación entre 0.2 y 0.3 segundos. Normalmente se utiliza un tiempo de coordinación de 0.2 segundos cuando se reunen las mejores condiciones, es decir, interruptores rápidos, relés de tipo numérico, TCs de buena calidad y una comprobación de los resultados en terreno. Selectividad con protecciones de tiempo inverso Para un sistema en alimentación radial, se puede coordinar de acuerdo con las curvas representadas en el gráfico siguiente:
  • 91.
    1000.0 10000. [pri.A] 1.0000 10.000 [s] 0.100 110.00 kV100.00 Rele1 Rele 2 Rele 3 I=700.000 pri.A 0.828 s I=1000.000 pri.A 0.428 s 0.642 s 0.552 s 1.379 s 1.070 s I=2000.000 pri.A 0.297 s 0.446 s 0.743 s DIgSILENT Con estas curvas de coordinación y para el sistema anterior: Cuando ocurre una falla en 3 (700 Amperios), el relé 3 opera en 0.552 seg, el relé 2 opera en 0.828 seg y el relé 1 opera en 1.379 seg. Cuando ocurre una falla en 2 (1000 Amperios), el relé 2 opera en 0.642 seg y el relé 1 opera en 1.070 seg. Cuando ocurre una falla en 1 (2000 Amperios), el relé 1 opera en 0.743 seg
  • 92.
    Selectividad con proteccionesde tiempo inverso e instantáneas (I>> para fases e Ie>> para tierra Se pueden combinar las características de tiempo de operación de los relés para mejorar la selectividad y la estabilidad del sistema de potencia tal como se muestra en la figura siguiente, especialmente en el caso de líneas largas, donde hay una apreciable diferencia entre las corrientes de cortocircuito entre dos relés consecutivos. El ajuste de los elementos instantáneos debe ser tal que no detecte fallas en la barra siguiente a su ubicación, por lo que en general se le da un margen de un 25 a un 30%, es decir, se multiplica la corriente de falla en la barra siguiente por 1,25 o 1,3. Si se ajusta el elemento instantáneo para el relé más alejado de la fuente, se escoge entre 6 y 8 veces el tap de fases para los relés de fases o 10 veces el tap de tierra para los relés de tierra y verificando que este ajuste sea menor que el 50% de la corriente mínima de falla en el punto de ubicación del relé. El tiempo para el elemento instantáneo se ajusta en 0.05 seg. Se puede calcular el alcance instantáneo en porcentaje, es decir, la región de la línea protegida que está cubierta por operación de la sobrecorriente instantánea cuando ocurre una falla en ésta. local remoto Instantáneo Isc  Isc 100 Isclocal  AjusteInstantáneo %alcance Ejemplo: Si la corriente para una falla en 3 es de 1000 Amperios y para una falla en 2 es de 2000 Amperios, entonces la sobrecorriente instantánea del relé 2 se debe ajustar en 1300 Amperios, por lo que el % de alcance instantáneo es: 20001000 100 2000 1300  70% Instantáneo %alcance
  • 93.
    1000.0 10000. [pri.A] 0.100 1.0000 10.000 [s] 0.010 110.00 kV100.00 Rele1 Rele 2 Rele 3 I=700.000 pri.A 0.828 s I=1000.000 pri.A 0.050 s 0.050 s 0.050 s 1.379 s 1.070 s I=2000.000 pri.A 0.050 s 0.050 s 0.050 s DIgSILENT Con estas curvas de coordinación: Cuando ocurre una falla en 3 (700 Amperios), el relé 3 opera en 0.05 seg, el relé 2 opera en 0.828 seg y el relé 1 opera en 1.379 seg. Cuando ocurre una falla en 2 (1000 Amperios), el relé 2 opera en 0.05 seg y el relé 1 opera en 1.070 seg. Cuando ocurre una falla en 1 (2000 Amperios), el relé 1 opera en 0.05 seg
  • 94.
    Reglas generales paracalcular los ajustes de los relés de sobrecorriente (sistema radial) Relés de fases El relé de fases debe detectar fallas por lo menos hasta el extremo final de la sección de circuito siguiente a la que está protegiendo. Por ejemplo, en la figura siguiente, el relé R1 debe detectar fallas mínimas en el sector del relé R3. El tap debe elegirse de modo que el pick-up sea mayor que la corriente máxima de carga y detecte fallas mínimas en respaldo. Además de esto, en algunos casos, al relé de sobrecorriente se le da el carácter de relé de sobrecarga eligiendo entonces un ajuste de 1,2 a 1,3 veces la corriente nominal del equipo. Se ajusta el menor valor entre 1,2 veces la corriente nominal del interruptor 1,2 veces la corriente nominal del TC 1,3 veces la capacidad del equipo protegido Adicionalmente se debe cumplir que TapR1  TapR2  TapR3 El dial debe elegirse dando el tiempo más corto posible al relé más alejado de la fuente. Si éste no coordina con otros elementos (fusibles, reconectadores, etc.), debe dársele el dial mínimo permisible. Este dial se recomienda sea 1 para los americanos y 0,1 para los europeos, pero puede ser hasta 0,5 o 0,05, respectivamente. El resto de los relés debe coordinarse con los que le anteceden, dándole el tiempo de coordinación más el tiempo del relé con que se coordina, en el punto que corresponda a la máxima falla. Como tal se considera generalmente una falla trifásica, con máxima generación justo después de la siguiente barra o el pick-up del instantáneo del relé con el que se está coordinando. Por ejemplo, en la figura anterior, el dial del relé R2 debe calcularse con el tiempo del relé R3 más el tiempo de coordinación, con una falla máxima en F (barra siguiente al relé R2). En todo caso, debe verificarse la coordinación para otro tipo de fallas.
  • 95.
    Relés de tierra Paraestos relés son válidos los mismos puntos mencionados antes, excepto lo indicado para el tap. En efecto, como estos relés son alimentados con las corrientes de secuencia cero, las que valen cero para condiciones normales de operación, puede elegirse un tap de valor inferior a las corrientes normales de carga. Se ajusta a un valor entre 20-30 % del ajuste del tap de fases y verificando que, para circuitos y líneas de distribución o transmisión, este valor sea menor o igual que 120 Amperios, que equivale al valor máximo de desbalance permitido que se puede encontrar en el sistema Selección de curvas Para circuitos de distribución (13,8 kV) se escoge la curva muy inversa o extremadamente inversa si se va a coordinar con fusibles. Para líneas de distribución, transmisión (  34.5 kV ) se escoge la curva normal inversa Para transformadores de potencia se escoge la curva normal inversa Etapas a seguir para calcular los ajustes de relés de sobrecorriente El cálculo de ajustes de relés de sobrecorriente debe dar finalmente el valor de “tap”, el tipo de curva y el “dial” a que debe ajustarse cada relé. En los casos que se utilice el elemento instantáneo, también debe entregar el valor al cual debe ajustarse éste. Para obtener el resultado final es necesario cumplir una serie de etapas previas, que se resumen a continuación, suponiendo que se dispone del diagrama unifilar del sistema y que se conocen las relaciones de los TC a usar. También es necesario disponer de las curvas características de los relés (para relés con curvas no estandar) y graficar en representación log-log para trazar las características de corriente y tiempo. Las etapas son las siguientes:
  • 96.
    Dibujar el circuitoequivalente por fase (diagrama de impedancias) del sistema eléctrico radial al cual se está aplicando la protección, indicando los parámetros de cada uno de sus componentes. Reducir todos los parámetros a una base común. Como se verá posteriormente, todas las corrientes deben estar referidas a un solo nivel de voltaje, el que conviene que sea el que es común a la mayor parte de los componentes. Calcular las corrientes nominales de los equipos, reduciéndolas además al nivel de voltaje común. Calcular las corrientes máximas de falla (con plena generación) y las mínimas (con generación mínima) para cada uno de los puntos donde se ubican relés. Calcular los taps de los relés en términos primarios, en función de las corrientes nominales de los equipos y verificando respaldos para las fallas mínimas. Calcular los taps en términos secundarios, para lo que basta dividir el valor anterior por la RTC correspondiente. Reajustar si es necesario los valores de acuerdo con los tap que realmente dispone el relé. Calcular el ajuste del elemento instantáneo, si procede, con las indicaciones dadas anteriormente (1,3 veces la corriente máxima de cortocircuito en la barra siguiente). Reducir todos los valores de tap a términos primarios y expresarlos en una sola base de voltaje. Marcarlos en el gráfico (log-log) correspondiente. Calcular los diales de acuerdo a lo indicado teniendo en cuenta los tiempos de coordinación, es decir: Se conoce la I máxima de falla y el tap ajustado para el relé. Se determina el tiempo deseado de operación del relé para la I máxima de falla el cual es igual al tiempo de operación de la curva del relé aguas abajo a ese nivel de falla más el tiempo de coordinación (de 0.2 a 0.3 seg). Con este tiempo se determina el dial de la curva del relé ya sea en forma analítica, si se conoce la ecuación de la curva, o en forma gráfica si no se conoce la ecuación de la curva
  • 97.
    Ejemplo Supóngase que paraeste sistema, la corriente de falla máxima en F es de 7000 Amperios y que el relé R3 se ajusta con un tap de 600 Amperios y el dial mínimo de 0.1 para una curva IEC Normal Inversa. Para este nivel de corriente el tiempo de operación del relé R3 es: 0.14 3  0.1x2.77 0.27seg 3 (7000 / 600)0.02 1 t  Dial Para este mismo nivel de falla máxima, el relé R2 debe actuar en un tiempo igual a t3+t coordinación, es decir t2 = 0.27 + 0.2 = 0.47 seg. Supóngase que el tap del relé R2 se ajusta en 650 Amperios y que su curva también es IEC Normal Inversa, entonces el dial de este relé se determina en forma analítica y se debe ajustar en: 0.14 0.14 0.47(7000 / 650)0.02 1   0.17 t (I / TAP)0.02 1 Dial2  2 F Por otro lado, si el relé R2 se ajusta en 650 Amperios y su curva no es estandar, entonces el dial de este relé se determina en forma gráfica, escogiendo la curva del relé que opere en un tiempo de al menos 0.47 seg para un número de 7000/650 11 veces el tap
  • 98.
    La coordinación delrelé siguiente se hará a partir de una nueva corriente de falla máxima y con un procedimiento similar al expuesto. En el caso de utilizar elementos instantáneos, la coordinación se hará a partir del ajuste de corriente de esta unidad, (el que por supuesto es menor que la corriente de falla máxima) en vez de la corriente de falla máxima. Es decir, si en el ejemplo anterior al relé R3 se le ajusta el elemento instantáneo en 4800 Amperios, se debe utilizar este valor en los cálculos del dial y tiempos de operación en vez de la corriente de falla máxima G2 A B L L G1 G2 G2 G1 G2 G1 Z0L  3 / Km Z1  Z 2  1 / K m Z0  Z0 16 Z1  Z1  Z2  Z2 14 2 1 Ejericio: Determinar los ajustes de las protecciones de fases y tierra para el sistema que se muestra a continuación: 110 kV G1 C 3 D 4 23 34 Capacidad  460A RTC  600/5 L  25Km L 16Km L1210Km
  • 99.
    1 2 Fb 3 Fc 4 Fd G 110 kV Fa 14  10  16  25  Z1G 14 ||14  7 Generación máxima (dos generadores enparalelo) Generación mínima (un generador en fuera de servicio) Z1G 14 Relés de fases Se dibuja el diagrama de impedancias en secuencia positiva para el sistema: 14 A B C D Reducir todos los parámetros a una base común. En este caso hay un solo nivel de tensión por lo que se puede trabajar con valores directos de los parámetros Calcular las corrientes nominales de los equipos, reduciéndolas además al nivel de voltaje común. Para todos los relés, la capacidad de la línea es 460 Amperios y de los TCs es 600 Amperios Calcular las corrientes máximas de falla (con plena generación) y las mínimas (con generación mínima) para cada uno de los puntos donde se ubican relés.
  • 100.
    Relé E ZLZLeq Gen Máxima Gen Mínima Zg If Zg If A 110.000 10 0 7 15.714 14 7.857 B 110.000 16 10 7 6.471 14 4.583 C 110.000 25 26 7 3.333 14 2.750 D 110.000 51 7 1.897 14 1.692 E G L F Z  Z eq I  Calcular los taps de los relés en términos primarios, en función de las corrientes nominales de los equipos y verificando respaldos para las fallas mínimas. Se escoge el menor valor entre: 1.2ITC 1.2x600  720A 1.3IL 1.3x460  600A Se ajusta el tap de todos los relés en 600 Amperios Calcular los taps en términos secundarios, para lo que basta dividir el valor anterior por la RTC correspondiente. Reajustar si es necesario los valores de acuerdo con los tap que realmente dispone el relé. TAPsec  TAPprim / RTC  600/(600 /5)  5AmpSec
  • 101.
    Calcular el ajustedel elemento instantáneo, si procede, con las indicaciones dadas anteriormente (1,3 veces la corriente máxima de cortocircuito en la barra siguiente). Inicialmente no vamos a ajustar el elemento instantáneo Calcular los diales teniendo en cuenta los tiempos de coordinación (0.2 seg) Para el relé D (más alejado de la fuente) ajustamos el dial mínimo de 0.05 y vamos a utilizar una curva IEC Normal Inversa en todos los relés. Calculamos el tiempo de operación del relé D para una falla máxima en D (1897 Amperios): El relé C debe coordinar con el relé D en un tiempo mayor que tD+0,20 = 0,30 + 0,20 = 0,50 seg para la falla máxima en D (1897 Amperios). Calculamos el dial requerido para que el relé C opere en este tiempo: 0.14 0.14 0.50(1897/ 600)0.02 1   0.09 t (I / TAP)0.02 1 C FD DialC  0.14 0.14  0.14 0.56(3333 / 600)0.02 1  t (I / TAP)0.02 1 B FC DialB  D  0.05x6.01 0.30seg 0.14 D (1897 / 600)0.02 1 t  Dial Calculamos el tiempo de operación del relé C para una falla máxima en C (3333 Amperios): C  0.09x4.01 0.36seg 0.14 C (3333 /600)0.02 1 t  Dial El relé B debe coordinar con el relé C en un tiempo mayor que tC+0,20 = 0,36 + 0,20 = 0,56 seg para la falla máxima en C (3333 Amperios). Calculamos el dial requerido para que el relé B opere en este tiempo:
  • 102.
    0.14 0.14  0.21 t (I /TAP)0.02 1 0.60(6471/ 600)0.02 1 A FB DialA  Calculamos el tiempo de operación del relé B para una falla máxima en B (6471 Amperios): B  0.14x2.87 0.40seg 0.14 B (6471/ 600)0.02 1 t  Dial El relé A debe coordinar con el relé B en un tiempo mayor que tB+0,20 = 0,40 + 0,20 = 0,60 seg para la falla máxima en B (6471 Amperios). Calculamos el dial requerido para que el relé A opere en este tiempo: Calculamos el tiempo de operación del relé A para una falla máxima en A (15714 Amperios): A  0.21x2.07 0.43seg 0.14 A (15714 / 600)0.02 1 t  Dial Relé TAP DIAL Curva A Prim A sec A 600 5 0,21 IEC Normal Inversa B 600 5 0,14 IEC Normal Inversa C 600 5 0,09 IEC Normal Inversa D 600 5 0,05 IEC Normal Inversa A continuación se muestra una tabla con los ajustes seleccionados para los relés de sobrecorriente de fases
  • 103.
    Relé TAP DIAL Ift op t coordinación Max Min Max Min Max Min A 600 0,21 1897 1692 1,26 1,40 0,42 0,47 B 600 0,14 1897 1692 0,84 0,94 0,30 0,33 C 600 0,09 1897 1692 0,54 0,60 0,24 0,27 D 600 0,05 1897 1692 0,30 0,33 Para falla en C Relé TAP DIAL If t op t coordinación Max Min Max Min Max Min A 600 0,21 3333 2750 0,84 0,95 0,28 0,32 B 600 0,14 3333 2750 0,56 0,63 0,20 0,23 C 600 0,09 3333 2750 0,36 0,41 Revisamos los tiempos de operación y coordinación para cada una de las fallas Para falla en D Para falla en B Relé TAP DIAL If t op t coordinación Max Min Max Min Max Min A 600 0,21 6471 4583 0,60 0,71 0,20 0,24 B 600 0,14 6471 4583 0,40 0,47 Se observa que los tiempos de coordinación son mayores que el tiempo establecido de 0.2 seg por lo que la coordinación es correcta y se garantiza selectividad
  • 104.
    1000.0 10000. 100000. [pri.A] 0.100 1.000 10.000 100.00 [s] 0.010 110.00kV100.00 Rele A Rele B Rele C Rele D I=3333.000 pri.A 0.201 s 0.361 s 0.562 s 0.843 s I=6471.000 pri.A 0.144 s 0.259 s 0.402 s 0.604 s I=15714.000 pri.A 0.104 s 0.187 s 0.290 s 0.436 s I=1897.000 pri.A 0.301 s 0.541 s 0.842 s 1.262 s DIgSILENT Curvas de coordinación para los relés de fases
  • 105.
    1 2 Fb 3 Fc 4 Fd G 110 kV Fa 16  30  48  75  Relés detierra Se dibuja el diagrama de impedancias en secuencia cero para el sistema: 16 A B C D Z0G 16 ||16  8 Generación máxima (dos generadores en paralelo) Z 0G  16 Generación mínima (un generador en fuera de servicio) Calcular las corrientes máximas de falla (con plena generación) y las mínimas (con generación mínima) para cada uno de los puntos donde se ubican relés. F 3E 3E 3E 3E 1 2 0 1 0    Z  Z  Z 2Z  Z 2(Z1g  Z1L)  (Z0g  Z0L) 2Z1t  Z0t I  Gen Máxima Gen Mínima Relé E ZL Sec (+) Sec (0) If Sec (+) Sec (0) If Sec(+) Sec(0) Z1L Z1g Z1t Z0L Z0g Z0t Z1L Z1g Z1t Z0L Z0g Z0t A 110.000 10 30 0 7 7 0 8 8 15.000 0 14 14 0 16 16 7.500 B 110.000 16 48 10 7 17 30 8 38 4.583 10 14 24 30 16 46 3.511 C 110.000 25 75 26 7 33 78 8 86 2.171 26 14 40 78 16 94 1.897 D 110.000 51 7 58 153 8 161 1.191 51 14 65 153 16 169 1.104
  • 106.
    Calcular los tapsde los relés en términos primarios, entre un 20 a 30 % del tap de fases y como máximo en 120 Amperios. 0.2TAPfases  TAPtierra  0.3TAPfases 120Amperios 0.2(600)  TAPtierra  0.3(600) 120Amperios 120  TAPtierra 180 TAPtierra 120Amperios Se ajusta el tap de tierra de todos los relés en 120 Amperios Calcular los taps en términos secundarios, para lo que basta dividir el valor anterior por la RTC correspondiente. Reajustar si es necesario los valores de acuerdo con los tap que realmente dispone el relé. TAPsec  TAPprim / RTC 120/(600/5) 1 Calcular el ajuste del elemento instantáneo, si procede, con las indicaciones dadas anteriormente (1,3 veces la corriente máxima de cortocircuito en la barra siguiente). Inicialmente no vamos a ajustar el elemento instantáneo Calcular los diales teniendo en cuenta los tiempos de coordinación (0.2 seg) Para el relé D (más alejado de la fuente) ajustamos el dial mínimo de 0.05 y vamos a utilizar una curva IEC Normal Inversa en todos los relés. Calculamos el tiempo de operación del relé D para una falla máxima en D (1191 Amperios):
  • 107.
    El relé Cdebe coordinar con el relé D en un tiempo mayor que tD+0,20 = 0,15 + 0,20 = 0,35 seg para la falla máxima en D (1191 Amperios). Calculamos el dial requerido para que el relé C opere en este tiempo: 0.14 0.14 0.35 (1191/120)0.02 1   0.12 t (I / TAP)0.02 1 C FD DialC  0.14 0.14 0.49 (2171/120)0.02 1   0.21 t (I / TAP)0.02 1 B FC DialB  D  0.05x2.98 0.15seg 0.14 D (1191/120)0.02 1 t  Dial Calculamos el tiempo de operación del relé C para una falla máxima en C (2171 Amperios): C  0.12x2.35 0.29seg 0.14 C (2171/120)0.02 1 t  Dial El relé B debe coordinar con el relé C en un tiempo mayor que tC+0,20 = 0,29 + 0,20 = 0,49 seg para la falla máxima en C (2171 Amperios). Calculamos el dial requerido para que el relé B opere en este tiempo: Calculamos el tiempo de operación del relé B para una falla máxima en B (4583 Amperios): B  0.21x1.85 0.39seg 0.14 B (4583 /120)0.02 1 t  Dial
  • 108.
      0.32 t(I /TAP)0.02 1 0.59(4583 /120)0.02 1 A FB DialA  El relé A debe coordinar con el relé B en un tiempo mayor que tB+0,20 = 0,39 + 0,20 = 0,59 seg para la falla máxima en B (4583 Amperios). Calculamos el dial requerido para que el relé A opere en este tiempo: 0.14 0.14 Calculamos el tiempo de operación del relé A para una falla máxima en A (15000 Amperios): A  0.32x1.38 0.44seg 0.14 A (15000 /120)0.02 1 t  Dial Relé TAP DIAL Curva A Prim A Sec A 120 1 0,31 IEC Normal Inversa B 120 1 0,21 IEC Normal Inversa C 120 1 0,12 IEC Normal Inversa D 120 1 0,05 IEC Normal Inversa A continuación se muestra una tabla con los ajustes seleccionados para los relés de sobrecorriente de tierra
  • 109.
    Relé TAP DIAL Ift op t coordinación Max Min Max Min Max Min A 120 0,32 1191 1104 0,95 0,99 0,33 0,34 B 120 0,21 1191 1104 0,63 0,65 0,27 0,28 C 120 0,12 1191 1104 0,36 0,37 0,21 0,22 D 120 0,05 1191 1104 0,15 0,15 Para falla en C Relé TAP DIAL If t op t coordinación Max Min Max Min Max Min A 120 0,32 2171 1897 0,75 0,79 0,26 0,27 B 120 0,21 2171 1897 0,49 0,52 0,21 0,22 C 120 0,12 2171 1897 0,28 0,30 Revisamos los tiempos de operación y coordinación para cada una de las fallas Para falla en D Para falla en B Relé TAP DIAL If t op t coordinación Max Min Max Min Max Min A 120 0,32 4583 3511 0,59 0,64 0,20 0,22 B 120 0,21 4583 3511 0,39 0,42 Se observa que los tiempos de coordinación son mayores que el tiempo establecido de 0.2 seg por lo que la coordinación es correcta y se garantiza selectividad
  • 110.
    1000.0 10000. 100000. [pri.A] 0.100 1.000 10.000 100.00 [s] 0.010 110.00kV100.00 Rele A ReleB Rele C ReleD I=2171.000 pri.A 0.117 s 0.282 s 0.728s 0.493s I=4583.000 pri.A 0.093 s 0.222 s 0.389 s 0.574 s I=15000.000 pri.A 0.069 s 0.166 s 0.428s 0.290s I=1191.000 pri.A 0.149 s 0.358 s 0.924s 0.626s DIgSILENT Curvas de coordinación para los relés de tierra
  • 111.
    Resolver el ejemploanterior ajustando el elemento instantáneo de fases y tierra. Relés de fases Corrientes de corto máximas y mínimas Relé E ZL ZLeq Gen Máxima Gen Mínima Zg If Zg If A 110.000 10 0 7 15.714 14 7.857 B 110.000 16 10 7 6.471 14 4.583 C 110.000 25 26 7 3.333 14 2.750 D 110.000 51 7 1.897 14 1.692 El tap de fases sigue ajustado en 600 Amperios primarios o 5 Amperios secundarios. Calculamos el ajuste del elemento instantáneo Para el relé D, por ser el más alejado de la fuente se ajustaría con el criterio de entre 6 y 8 veces el tap de fases, es decir entre 3600 y 4800 Amperios primarios, pero estos valores son mayores que las corrientes de falla máxima y mínima en D por lo que este elemento nunca operaría. Por esta razón, podríamos ajustar el elemento instantáneo al 80% de la corriente de falla mínima, entonces: InstantáneaD  I D  0.8IfallaminD  0.8x1692 1350Amp Prim Calculamos el elemento instantáneo en amperios secundarios: I D Sec  I  Prim / RTC 1350/(600 /5) 11.25AmpSec
  • 112.
    Calcular los dialesteniendo en cuenta los tiempos de coordinación (0.2 seg) pero no para las corrientes de falla máxima sino para las corrientes instantáneas ajustadas Para el relé D (más alejado de la fuente) ajustamos el dial mínimo de 0.05 y vamos a utilizar una curva IEC Normal Inversa en todos los relés. Calculamos el tiempo de operación del relé D para su ajuste instantáneo en D (1350 Amperios): D  0.05x8.56 0.43seg 0.14 D (1350 / 600)0.02 1 t  Dial 0.14 0.14 0.63(1350 / 600)0.02 1   0.08 t (I / TAP)0.02 1 C FD DialC  Ajustamos el elemento instantáneo para el relé C usando el criterio de 1,3 veces la corriente de falla máxima en la barra siguiente D (1897 Amperios) I C 1.3IfallamaxD 1.3x1897  2466Amp Prim I C Sec  2466 /(600 /5)  20.55AmpSec El relé C debe coordinar con el relé D en un tiempo mayor que tD+0,20 = 0,43 + 0,20 = 0,63 seg para la corriente instantánea ajustada en D (1350 Amperios). Calculamos el dial requerido para que el relé C opere en este tiempo: local remoto Instantáneo Isc  Isc 100 Isclocal  AjusteInstantáneo %alcance Para el relé C podemos calcular el % de alcance instantáneo tanto para corrientes de falla máximas y mínimas
  • 113.
    Instantáneo IscC Max IscDMax IscCMax  I F máxima 100 %alcance 33331897 F máxima 100 3333 2466  60% %alcanceInstantáneo Instantáneo IscC Min IscDMin IscC Min  I F mínima 100 %alcance 27501692 %alcance F máxima 100 2750  2466  27% Instantáneo Con generación máxima, la instantánea del relé C cubre hasta el 60% de la línea 3-4 Con generación mínima, la instantánea del relé C cubre solo el 27% de la línea 3-4
  • 114.
    CURVA ESTANDAR INVERSA 0,1 1 10 100 1000 101000 100 Amperios SEGUNDOS TAP TAP DIAL DIAL Consideraciones a tener en cuenta del TAP la curva ocasiona el en forma Variar el ajuste desplazamiento de horizontal. Variar el ajuste del DIAL ocasiona el desplazamiento de la curva en forma vertical. Por lo tanto, se podría tener una buena coordinación de varias protecciones de sobrecorriente con iguales tipos de curva si: Se tiene el mismo TAP pero distintos ajustes de DIAL. Se tiene el mismo DIAL pero distintos ajustes de TAP.
  • 115.
    CURVANORMAL INVERSA 1 10 100 10 1001000 10000 Amperios SEGUNDOS TAP200 TAP100 Curvas Normal Inversa con igual DIAL y diferentes TAPS
  • 116.
    Las curvas detiempo inverso normalmente están especificadas hasta un valor máximo de número de veces el ajuste de tap de la protección. Este valor depende del fabricante y puede ser del orden desde 20 hasta 40 veces o más. Para corrientes mayores que este valor límite, la protección toma la característica de tiempo definido. Por ejemplo, si el fabricante de un relé especifica su curva hasta 20 veces el tap, entonces esta curva sería de la siguiente forma CURVANORMALINVERSAx20I/Ipu 1 10 100 1 100 10 I/Ipu SEGUNDOS Si las corrientes de falla vistas por el relé son mayores que 20 veces el tap, entonces se debe calcular el tiempo de operación de la protección con base en Ifalla / Ipu 20 Ejemplo: Si TAP = 200, Dial = 1 con curva IEC Normal Inversa y la corriente de falla es 6000 Amp Ifalla / Ipu  6000/ 200  30  20 El tiempo de operación sería 200.02 1 t  0.14x1  2.26seg en vez de 0.14x1 1.98seg 300.02 1 t 
  • 117.
    Protección de SobrecorrienteDireccional En un sistema de corriente alterna, la corriente es una magnitud cuya dirección sólo puede ser determinada en relación a otra; se puede solamente afirmar que dos corrientes tienen o no la misma dirección. Es decir, la corriente no tiene una dirección absoluta. La potencia, en cambio, especialmente la potencia activa, es una magnitud cuya dirección es posible determinar en forma absoluta, aunque como magnitud de medida para un sistema de protección contra cortocircuitos no presenta mayores ventajas que la corriente y su aplicación, por otra parte, introduciría enormes complicaciones. Así, es posible complementar la aplicación de la corriente como magnitud de medida con un relé direccional (o de potencia) para el caso de una distribución en anillo como el de la figura de abajo. El relé direccional impide la operación de los relés de sobrecorriente cuando la potencia fluye en dirección opuesta a la sección protegida. Para una falla que ocurra en el lugar indicado en la figura, operan los relés del circuito fallado, es decir los ubicados en los puntos 3 y 4. El relé direccional ubicado en 2, en cambio, bloquea el desganche del interruptor respectivo, impidiendo así una desconexión inadecuada del circuito no fallado. De este modo se obtiene una selectividad que no podría conseguirse con relés de sobrecorriente.
  • 118.
    Selección de lacorriente y de la tensión Como se indicó, el empleo de la potencia activa (medida en forma monofásica o trifásica) como magnitud para discriminar la ocurrencia de un cortocircuito presenta dificultades en su aplicación. La tensión en el lugar de la falla es prácticamente nula y, en consecuencia, la potencia no puede medirse. Es evidente que esta desventaja disminuye cuando la falla origina un arco, debido a la pequeña caída de voltaje que allí se produce. En consecuencia la sensibilidad de un relé direccional debe ser lo más alta posible. Otra desventaja es el bajo factor de potencia del circuito hasta el punto de falla; esto trae como consecuencia que la potencia que fluye es esencialmente reactiva. Esta complicación es mayor en líneas aéreas que en cables. La zona de insensibilidad del relé es aquella que se extiende desde el lugar en que está instalado hasta un punto determinado, tal que para fallas que ocurran en ella el relé no operará, por las causas antes indicadas. Es evidente que no es posible controlar la magnitud del voltaje, pero en cambio, es posible disminuir fuertemente la zona de insensibilidad variando el factor de potencia artificialmente mediante una adecuada selección de los voltajes y corrientes que alimentan el relé. Para conseguir un factor de potencia igual a uno en el relé es necesario elegir un voltaje y una corriente tales que su desfase sea igual al ángulo de la impedancia de la línea, estando la corriente en adelanto con respecto al voltaje. De este modo, al ocurrir un cortocircuito, la corriente se retrasará en el ángulo de impedancia de la línea quedando en fase con el voltaje. El sistema de medida del relé se comportará, entonces, como si la potencia que fluye hacia el cortocircuito fuera puramente activa. Además, los voltajes elegidos deben ser tales que con la ocurrencia de un cortocircuito mantengan su valor en todo lo que sea posible. Esto, naturalmente, es solo posible para el caso de cortocircuitos monofásicos o bifásicos ya que para uno trifásico los tres voltajes bajan en la misma proporción. Se distinguen conexiones de 0º, 30º, 60º y 90º. Así, la conexión de 0º corresponde a aquella en que el voltaje y corriente están en fase. Para las otras conexiones la corriente adelanta al voltaje en 30º, 60º o 90º
  • 119.
    En la figurasiguiente se muestran los diagramas fasoriales correspondientes a la alimentación del relé de la fase 1. En esta forma, se pretende que el voltaje elegido no sea apreciablemente afectado en magnitud y fase en casos de fallas desbalanceadas. La conexión de 60º se puede lograr en la práctica colocando en el mismo polo dos bobinas alimentadas para el caso de la figura, con los voltajes V23 y V13 de tal manera que el flujo resultante sea proporcional a la suma de estos voltajes. Principios básicos de los relés direccionales Se basan en el principio de tipo balanza, donde cada núcleo del relé está sometido al flujo resultante por efecto del voltaje y la corriente. El flujo producido por la corriente es proporcional a la corriente y el flujo producido por el voltaje es proporcional al voltaje. En la figura siguiente se muestra el principio de operación de un relé direccional y su diagrama fasorial correspondiente.
  • 120.
    Después de undesarrollo matemático teniendo en cuenta los torques producidos debido a la corriente y el voltaje, se llega a la siguiente fórmula: VICos( )  K Por lo que el relé opera cuando el valor de K, es decir el torque de operación, es mayor que el torque de retención de la balanza Tr, es decir, que se debe cumplir que VICos(  )  Tr De la ecuación anterior, se puede observar que el torque de operación del relé es máximo cuando  = , por lo tanto el ángulo  es conocido como “ángulo de máximo torque (MTA)”. El ángulo  depende de las características de la bobina de voltaje ya que representa el ángulo asociado a su impedancia. Este principio es válido independientemente de que el relé sea del tipo electromecánico, estado sólido o numérico.
  • 121.
    V I  Vref Relé No Opera Representación delas características de un relé direccional Así como para los relés de sobrecorriente, sus características se representan en forma de curvas tiempo-corriente, es necesario disponer, en el caso de los relés direccionales, de ciertas curvas representativas, las que están basadas en la ecuación del torque de operación. En estas curvas, tanto V como I y  se pueden considerar variables o parámetros, dando a curvas de un parámetro en función de los otros. La característica más útil es la que representa la ecuación del torque de operación en coordenadas polares, como se muestra a continuación: Relé Opera MTA
  • 122.
    Polarización de relésdireccionales Una unidad direccional emplea corriente (de línea para un relé de fase y residual para un relé de tierra) y una magnitud de referencia para determinar la dirección del flujo de potencia. La magnitud de referencia de los relés empleados en protección de sistemas de corriente alterna recibe el nombre de “magnitud de polarización”; ésta puede ser un voltaje o bien una corriente. El uso de voltaje se conoce con el nombre de polarización de voltaje y el uso de la corriente con el nombre de polarización de corriente. Polarización de relés de fases Según lo visto, en los relés de fase, se emplea el voltaje del sistema como magnitud de polarización. A manera de ejemplo se presenta el esquema de la figura siguiente que muestra una conexión típica de relés direccionales de fases (conexión de 90º o cuadratura) con los transformadores de corriente conectados en estrella a tierra y los de potencial en estrella tierra-estrella tierra. Polarización de relés residuales Los relés direccionales residuales, conocidos como “relés direccionales de tierra”, pueden polarizarse por voltaje residual (polarización de voltaje) o por corriente residual (polarización de corriente). La figura siguiente muestra el caso de un relé de tierra (residual), en que se dispone de tres transformadores de potencial auxiliares conectados en estrella tierra-delta abierta para la polarización por voltaje y la corriente se obtiene de la salida de los tres transformadores de corriente.
  • 124.
    Los relés direccionalesde tierra quedan polarizados con la corriente residual y el negativo del voltaje residual, es decir 3Io y -3Vo, por lo que el diagrama vectorial para determinar la característica del relé es como sigue: Del diagrama anterior se observa que los relés de fases quedan polarizados de la siguiente manera: FASE Corriente Tensión polarización A Ia Vbc B Ib Vca C Ic Vab N 3Io -3Vo -3Vo 3Io - Relé No Opera Relé Opera MTA 3Vo Se puede observar que mientras el MTA en la característica de fases es positivo, en la característica de tierra es negativo
  • 125.
    Las conexiones 30°y 60° han dejado de usarse ya que la conexión cuadratura es la que da mejor desempeño. Ia Vbc Ib Ic Vab FASE Corriente Tensión polarización A Ia Vbc B Ib Vca C Ic Vab Vca En los relés electromecánicos, el valor del MTA es constante, mientras que en los relés numéricos se puede modificar, es decir, es ajustable. Por lo que existen valores recomendados del MTA dependiendo de las características del sistema. MTAFases MTATierra Para uso en 0 0 Sistemas aterrizados a través de resistencia 45 -45 Sistemas de distribución (sólidamenteaterrizado) 60 -60 Sistemas de transmisión (sólidamenteaterrizado)
  • 126.
    Aplicación de relésdireccionales En líneas paralelas con una fuente única En esta aplicación los relés 1 y 3 se polarizan hacia la carga y los relés 2 y 4 se polarizan hacia la fuente. Por lo que deben coordinar el relé 1 con el relé 4 y el relé 3 con el relé 2. Debido a que los relés 2 y 4 están polarizados hacia la fuente y no hacia la carga, éstos se ajustan a la mayor sensibilidad posible, por lo general con el tap al 50% de la capacidad de la línea y el dial mínimo.
  • 127.
    2 3 2 3 4 1 G Unaaplicación posible para líneas paralelas incluye además tener que coordinar con las protecciones tanto de la fuente como de la carga. F2 F1 En este caso el procedimiento sería: Ajustar 3 a la mayor sensibilidad (tap de 50% de la capacidad de la línea y dial mínimo). Ajustar 4 con el criterio de ser el más alejado de la fuente, es decir con el dial mínimo. Coordinar 2 con 4 para la falla F1 con una línea fuera de servicio. Verificar la coordinación de 2 con 3 para la falla F2 (siempre se cumple). Coordinar 1 con 2 para la falla F1 pero con ambas líneas en servicio. Verificar la coordinación de 1 con 2 para la falla F3. Ejemplo: Determinar los ajustes de las protecciones de sobrecorriente direccional de fases para el sistema anterior con la siguiente información: Z1g = 0.08 p.u. Z1líneas = 0.02 p.u. Carga en 4 = 150Amperios Las impedancias están dadas con una base de 50 MVA y 110 KV F3
  • 128.
    En redes enanillo con una sola fuente En redes en anillo como la que se muestra, se coordina aplicando el mismo procedimiento para redes radiales pero abriendo el anillo en el interruptor 6 por un lado y en el interruptor 6’ por el otro lado. Entonces quedan dos redes radiales a las que se les debe aplicar el procedimiento ya visto. En este caso, las protecciones 1 y 1´ serían las más alejadas de la fuente por lo que se ajustan con la mayor sensibilidad. Las protecciones en 6 y 6’ pueden ser no direccionales, ya que en este punto la corriente fluye solamente en un sentido, y siempre quedan con igual ajuste de tap y dial.
  • 129.
    2 3 1 G 6 4 5 1514 10 12 11 8 7 9 13 En redes en anillo con más de una fuente En redes en anillo con más de una fuente como la que se muestra, el procedimiento para determinar la coordinación de protecciones es más complejo. Una información importante para la selección de los ajustes, incluye calcular las corrientes de aporte para cada relé en las fallas F1, F2, F3 y F4. Por ejemplo para coordinar las protecciones del sistema de abajo se debe calcular para cada ubicación de relé los aportes a las fallas así: Para el relé 2: •Corriente de falla máxima en el extremo local F1 •Corriente de falla máxima al comienzo de la línea F2 •Corriente de falla mínima al final de la línea F3 •Corrientes de falla máximas y mínimas para la barra remota F4 Se deben calcular las corrientes de falla trifásica y monofásica para determinar los ajustes de las protecciones de fases y tierra respectivamente. F1 F2 F3 F4 G G
  • 130.
    Una regla generalsería ajustar las protecciones de tal manera que operen en tiempos menores que 0.2 segundos para las fallas al comienzo de la línea y en al menos 0.2 segundos más el tiempo de coordinación para fallas en barra en el extremo remoto. Si las protecciones en el extremo remoto despejan las fallas locales en tiempos mayores que 0.2 segundos, el ajuste sería el tiempo máximo de operación más el tiempo de coordinación. Es decir, en el sistema de abajo se debe ajustar el relé 2 de tal forma que la falla F1 la despeje en máximo 0.2 segundos y que la falla F2 la despeje en 0.2 segundos más el tiempo de coordinación. Pero si la protección 4 despeja la falla F2 en un tiempo t4 > 0.2 segundos, se debe ajustar el relé 2 de tal forma que la falla F2 la despeje en t4 + t coordinación 2 3 1 G 6 4 5 8 7 G F1 F2 En general, cuando las protecciones de sobrecorriente direccional funcionen como respaldo de las protecciones de distancia, se deben ajustar de tal manera que operen en tiempos de más o menos 0.4 segundos para las fallas al comienzo de la línea y entre 0.6 y 0.8 segundos para fallas en barra en el extremo remoto.
  • 131.
    Protección de Distancia Generalidades Unade las formas de detectar una anormalidad en un sistema eléctrico de potencia es medir su impedancia o reactancia, en un punto dado. Para este fin, la información de voltajes y corrientes se entrega a relés de protección que miden en todo instante la impedancia o reactancia por fase en el sentido de operación y que actúan cuando sus magnitudes bajan de un cierto valor. A las protecciones que operan bajo este principio se les denomina: “Direccionales de distancia” y se emplean principalmente en la protección de líneas de transmisión. Puesto que la impedancia de una línea de transmisión es proporcional a su longitud, para medir "distancias" se utiliza un relé capaz de medir la impedancia de la línea hasta un cierto punto. Este tipo de protección se diseña para operar solamente con fallas que ocurran entre el punto de ubicación de los relés y un punto dado de la línea, de modo que puedan discriminar entre fallas que ocurran en diferentes secciones de ella. Las protecciones de distancia son relativamente simples de aplicar, poseen una alta velocidad de operación y pueden proporcionar protección tanto principal (local) como de respaldo.
  • 132.
    Diagramas R-X Para comprenderen mejor forma el funcionamiento de las protecciones de distancia se requiere poder representar en forma gráfica las características de operación de sus unidades de medida. Dicha representación requiere la utilización de planos complejos adecuados tales como, los planos R-X. En este diagrama, compuesto por un par de ejes ortogonales, se lleva en la abscisa, la resistencia R y en la ordenada, la reactancia X, de modo que cada punto del plano así formado representa una impedancia que queda determinada por su distancia al origen (módulo Z) y por el ángulo  que forma con la abscisa, tal como se muestra en la figura 1. Figura 1. Representación de una impedancia en el plano R-X Figura 2. Diagrama fasorial Voltaje-Corriente La figura 2 muestra el diagrama fasorial voltaje-corriente, donde se ha situado a la corriente como fasor de referencia, es decir, en el eje horizontal, con el fasor voltaje desfasado un ángulo . De esta forma, ambos diagramas son absolutamente compatibles, es decir: Z  Z   V  V   I  I  0  V  Z I  ZI  El diagrama R-X permite superponer en un mismo gráfico los parámetros R, X y Z de las líneas, máquinas, transformadores, etc., así como los valores de voltaje, corriente y ángulo de cualquier punto de sistema, de acuerdo con las relaciones siguientes: o bien
  • 133.
    Impedancia y ángulocaracterístico de las líneas Las líneas de transmisión se diseñan de modo tal que, hasta donde sea posible, se logre equilibrar sus parámetros, por lo cual, su impedancia equivalente por fase resulta ser mas o menos igual para cada fase. Por tanto, si no hay cambios ni en la sección del conductor ni en el material empleado, la impedancia por fase es proporcional a la longitud de la línea entre el punto de medida y el punto considerado (punto de falla, por ejemplo). La expresión para una impedancia homogénea a lo largo de la línea es del tipo: Así entonces, cualquiera que sea el tramo considerado, dará como resultado el mismo ángulo de desfase entre el voltaje y la corriente, en condiciones de cortocircuito. La figura 3 muestra un sistema formado por una línea de transmisión, un transformador y las cargas respectivas. En la figura 4 se representa la línea en el diagrama R-X. Figura 3. Sistema de transmisión Figura 4. Representación de la línea en un diagrama R-X En la figura 4, el trazo AC representa la impedancia de la línea ZLL. Si se produce un cortocircuito en el punto B, la impedancia queda representada por el trazo AB, con el mismo ángulo. Luego, el ajuste de los relés puede hacerse de modo que proteja la línea por completo, pero que no vea una falla en D, es decir, mas allá del transformador. En términos prácticos, los relés cuentan con zonas de protección lo cual permite dar ajustes que abarquen un porcentaje de la línea (80%, por ejemplo), la línea completa mas el primario del transformador (110%, por ejemplo) y, finalmente, el transformador completo mas una parte de la línea siguiente o de la carga, según sea el caso.
  • 134.
    A manera deejemplo, supóngase que los componentes del sistema de la figura 3 tienen los siguientes parámetros: Medición del relé para fallas entre fases Las fallas entre fases que ocurren en un sistema de potencia pueden ser de tipo bifásica o trifásica. Se analizarán los dos tipos de fallas para determinar la forma en que realiza la medición la protección de distancia, de manera que tenga el mismo alcance para ambas. Ambas situaciones se muestran en la figura 6. Figura 5. Diagrama R-X para el sistema de la figura 3 La figura 5 representa esta situación en el diagrama R-X, donde la impedancia que mide el relé en condiciones normales es ZM=(11+j7) Ω. Si ocurre un cortocircuito en la barra D, la impedancia es ZAD=(1+j7) Ω. Si el cortocircuito ocurre en la barra C, la impedancia es ZAC=(1+j3) Ω; es decir, la impedancia de la línea en cortocircuito, queda representada de la misma forma que en la figura 4. Figura 6. Representación de cortos bifásicos y trifásicos
  • 135.
    A partir dela figura 6, para un corto bifásico entre las fases 2 y 3, se puede escribir: V23  ZL I2  ZL (I3 )  ZL (I2  I3 ) La impedancia vista por el relé durante un corto bifásico se puede calcular por medio de las tensiones y corrientes por fase medidas en el relé. De la misma forma, si la falla es entre las fases 1 y 2 o 1 y 3, se puede calcular la impedancia respectiva así: I ZL Si el corto es trifásico, de la figura 6 se tiene que: 3 I1 I2 I ZL  V1  V2  V3 12 31 I ZL  V12  V31 23 I ZL  V23 Figura 7. Diagrama fasorial de voltajes para un corto trifásico Figura 8. Diagrama fasorial de corrientes para un corto trifásico Según las figuras 7 y 8: 31 3 3 23 3 2 12 3 1 V V V  V  V  3 2 12 3 1 I I V I  I23 3  I31 3 I 
  • 136.
    Por lo quela impedancia para el corto trifásico se puede medir también como: 12 23 31 I I I ZL  V12  V23  V31 Se puede concluir entonces, que para fallas trifásicas o bifásicas, es posible medir la impedancia por fase y con el mismo alcance, mediante el uso de tres unidades de medida F1, F2 y F3, que determinen la impedancia de acuerdo con las tensiones y corrientes dadas por la ecuación anterior; es decir, el circuito de voltaje de cada unidad se alimenta con tensiones entre líneas y el circuito de corriente requiere tener dos bobinas, alimentadas tal como se muestra en la figura 9. Figura 9. Diagrama de conexiones de la protección de distancia para fallas entre fases y trifásicas
  • 137.
    Medición del relépara fallas a tierra Para el análisis se considerará el sistema cuyo diagrama unifilar se muestra en la figura 10. En el caso de una falla monofásica en el punto F, las redes de secuencia quedan conectadas tal como se muestra en la figura 11, donde Z’ es la impedancia de la línea antes del punto de medida M (donde está ubicado el relé) y Z es la impedancia de la línea entre el punto de medida y el de falla. E + Z’2 Z’0 Figura 10. Línea con una falla a tierra Z’1 M Z1 V1M Z2 V2M Z0 V0M V1F V2F V0F I1 I2 I0 Figura 11. Conexión de las redes de secuencia para una falla a tierra en el sistema de la figura 10
  • 138.
    En el puntode medida se tiene que: VM V1M V2M V0M De donde: Entonces: V1M  I1Z1 V1F V2 M  I2 Z2  V2F V0M  I0 Z0 V0 F VM  I1Z1 V1F  I2 Z2 V2F  I0 Z0 V0F Pero en el punto de falla se tiene que: V1F V2F V0F  0 Por lo que la tensión en el punto de medida es: VM  I1Z1  I2 Z2 I0 Z0 En general Z1 = Z2 y adicionalmente If = 3I0 entonces I0 = If/3 Por lo que: 3 I Z f 0 VM  Z1 (I1  I2 ) Se sabe que: f 1 2 0 I  I  I  I entonces f 1 2 f 0 f I f  2 I 3 3 I  I  I  I  I ) 1 1 3 3 1 0 1 1 0 1 0 3Z 3 3Z 3 3 2 Z 3 3Z 2 Z 1 f 1 f f 0 1 f M 1 f Z  Z   )  Z I (1 )  Z I (  V  2 Z I  1 I Z  Z I (  Por lo que: O sea: VM  Z1I f (1 K0 ) I f VM  ZM  Z1 (1K0 ) Para que ZM sea igual a la impedancia de la línea, se debe calcular de la forma: VM M I f (1 K0 ) Z  0 Donde K es conocido como el “coeficiente de impedancia a tierra” y es iguala 3Z1 Z0 Z1 Entonces para fallas a tierra 1 M Z  Z
  • 139.
    Entonces para cualquierfalla a tierra, en la fase a, b, o c, la impedancia medida se debe calcular de la forma: a 0 M I (1 K ) Z  o b 0 VaM VbM M I (1 K ) Z  o c 0 VcM M I (1 K ) Z  Donde VaM, VaM, VaM, son las tensiones en la fase fallada medida en el punto de instalación del relé, Ia, Ib, Ic,son las corrientes en la fase fallada medida en el punto de instalación del relé Y como las impedancias de secuencia positiva y cero de la línea son de la forma Z1Z1 y Z0Z0, entonces el coeficiente K0 es de la forma K0K0 Por ejemplo, si las impedancias de secuencia positiva y cero de una línea dada son 180° y 378°, entonces el coeficiente K0 es igual a: 0 3Z1 3(180) 380  Z0  Z1  378 180  277  0.66  3 K Esquema de conexión de las protecciones de distancia 52 21
  • 140.
     Características de lasprotecciones de distancia Es posible obtener varios tipos distintos de relés de distancia con características de operación perfectamente diferenciadas. Entre los más comunes están: Característica tipo Mho Esta característica corresponde a una circunferencia que pasa por el origen y cuyo diámetro es igual al alcance (ajuste) del relé. El diámetro es la curva que pasa por el origen y con un ángulo de inclinación  que corresponde al ángulo de máximo torque (MTA) o ángulo característico del relé (RCA). X R Con esta característica el relé es completamente direccional y con operación para fallas hacia el elemento protegido. El origen del diagrama R-X corresponde al lugar de ubicación del relé.
  • 141.
    MTA = L X R Z Alrelé se le ajusta el alcance de la característica Z y el ángulo de máximo torque (MTA) que se puede ajustar igual al ángulo de la impedancia de secuencia positiva de la línea. ZL Para la característica de esta figura, el relé se ajusta a un alcance Z el cual equivale a un porcentaje de la impedancia total de la línea. El ángulo de la impedancia de falla depende de sus componentes resistivos (R) e inductivos (X). En el caso de fallas de arco o fallas a tierra que involucran una resistencia adicional como la resistencia de las torres o fallas a través de vegetación, el valor de esta componente resistiva cambia el ángulo de la impedancia de falla. ZF RF XF Para una falla en la línea con una impedancia ZF = RF + j XF, el relé opera porque la impedancia de falla cae dentro de la zona de ajuste. Si ocurre la misma falla en la línea pero a través de una resistencia (árbol) R, entonces la impedancia de falla es ZF = (RF + Ra) + j XF , la cual cae fuera de la zona de ajuste por lo que el relé no opera y se dice que el relé sub- alcanza. X R Z ZL RF XF Ra ZF RF
  • 142.
    De todas formasla característica mho puede no ser muy sensible para fallas con resistencia a tierra, especialmente en las líneas cortas. Z' Z Cos(L MTA) En general, para determinar el alcance máximo del relé para diferentes ángulos de falla , se utiliza la expresión MTA X R Z  ZF Para evitar esto, se ajusta el MTA con un valor menor que la impedancia de la línea, para aceptar un pequeño aumento de la resistencia de falla sin sub-alcanzar, resultando una característica como la que se muestra. Por lo que el relé se ajusta con un alcance Z’ igual a X R Z ZL L MTA Z’ Se puede observar que en este caso el alcance del relé es mayor para fallas resistivas. ZF | ZCos(  MTA)|
  • 143.
    Característica tipo Lenticular Enel caso de líneas largas, es posible que para valores normales de carga, el valor de la impedancia de carga caiga dentro del alcance del relé. Para prevenir esto se puede utilizar una característica con el alcance resistivo restringido, tal como se muestra en la figura. X Característica mho Característica lenticular b a Z carga R En este caso la relación que determina el aspecto del lente es ajustable a b X R Zf Característica tipo Mho Offset En esta característica se ajusta el relé para que opere ante fallas incluso hacia atrás del elemento protegido, por lo que al relé se le ajusta un alcance Zf (forward) hacia adelante y un alcance Zr (reversed) hacia atrás. ZL Zr El alcance de reversa Zr provee protección de respaldo para fallas en la barra local Zona de la barra local
  • 144.
    Característica tipo Cuadrilateral Estaforma de impedancia poligonal está caracterizada por un alcance reactivo X y por un alcance resistivo R ajustables independientemente. Por lo tanto provee un mejor cubrimiento para fallas resistivas en comparación con la característica mho en líneas cortas. X R  RZ XZ Usualmente en esta característica se ajustan los valores Rz y Xz. Dependiendo del fabricante del relé se pueden ajustar parámetros adicionales, tales como ángulos (, ), alcances negativos (-R) para definir completamente la zona.  -R También puede ocurrir que para ciertos valores de carga, la impedancia vista por el relé puede caer dentro de la zona de operación. Por lo que las protecciones numéricas ofrecen otra forma de característica cuadrilateral para evitar disparos ante valores normales de carga. X RLoadmax load R Z carga A la protección se le define un valor de resistencia máxima de carga (RLoadmax) y un ángulo de resistencia de carga (load), por lo que según la gráfica para la impedancia de carga Zcarga el relé no opera. RZ
  • 145.
    Criterios de ajustes Laprotección de distancia básica comprende una Zona 1 con operación instantánea y una o más zonas temporizadas. Los relés digitales y numéricos pueden disponer de hasta cinco zonas, algunas para detectar fallas en sentido de reversa. Ajuste de Zona 1 Los relés electromecánicos normalmente disponen de un ajuste para la Zona 1 con operación instantánea hasta el 80% de la impedancia de la línea protegida. Los relés digitales y numéricos se pueden ajustar hasta un 85% con seguridad. El margen de seguridad resultante del 15-20% es para estar seguro de que no haya riesgo de que la protección sobrealcance la línea protegida debido a errores en los TCs y TPs, errores en los datos de impedancia de la línea utilizados en los ajustes de la protección y errores de ajustes y medidas en los relés. El resto de la línea (15-20%) queda protegido por la Zona 2. Zona1 80%Z1línea tZona1 instantáneo
  • 146.
    Para los reléscon característica tipo mho se ajusta el alcance de zona 1 al 80% de la impedancia de secuencia positiva Z1 de la línea protegida cuando el MTA del relé es igual al ángulo de impedancia de la línea. Si el MTA es menor que el ángulo de impedancia de la línea se ajusta el alcance de zona 1 como Z1 0.8Z1Linea Cos(1Linea MTA) 0.8VLL R1 45% Para los relés con característica cuadrilateral se debe ajustar así: X1 0.8X1Línea VLL Iemergencia 3(1.3Iemergencia ) = Tensión nominal del sistema = Corriente admisible en emergencia en la línea Ejemplo: si la impedancia de secuencia positiva de la línea es ZL  (0.86  j4.92)  580,V  110kV , Iemergencia  700 A Para un relé tipo mho con MTA = 70 < 80, entonces la zona 1 se ajusta como  4.06 81% Cos(8070) 0.8x5  Z1 3(1.3x700) R1 45%  0.45 0.8x110000  25.12 Para un relé con característica cuadrilateral: X1  0.8X1Línea  0.8x4.92  3.93 3(1.3Iemergencia ) 0.8VLL
  • 147.
    Si la líneaes radial con un transformador al otro extremo de la línea, entonces la zona 1 se ajusta al 100% de la impedancia de secuencia positiva de la línea protegida. 1 G 2 Z1 = R1 + j X1 X R 25.12 ZL =580 3.93 Normalmente la Zona1 = Z1 (mho) X1 = X1 (cuadrilateral) impedancia del transformador está dada en por unidad con base en la potencia nominal del transformador. Entonces para calcular la impedancia del transformador en ohmios se usa la expresión: MVA X ( pu)* kV 2 XT ()  T
  • 148.
    Ajuste de Zona2 La Zona 2 se ajusta en no menos del 120% de la impedancia de secuencia positiva de la línea protegida. En muchas aplicaciones es común ajustar el alcance de Zona 2 al 100% de la impedancia de la línea protegida más el 50% de la impedancia de la línea adyacente más corta (con menor impedancia). Con esto último se asegura que el ajuste de Zona 2 de la línea protegida no se extienda más allá del ajuste de Zona 1 de la línea adyacente más corta. Con esto no es necesario coordinar los tiempos de operación de la Zona 2 de protecciones adyacentes. El tiempo de operación de la Zona 2 se ajusta normalmente en 250 mseg. 1 G 2 Zona11 Zona12 Zona21 Zona22 50% 80% mho Zona2(mín) 1.2Z1LíneaPropia Zona2(máx)  Z1LíneaPropia 0.5Z1LíneaAdyMásCorta cuadrilateral X 2(mín) 1.2X1LíneaPropia X 2(máx)  X1LíneaPropia 0.5X1LíneaAdyMásCorta tZona2 250mseg El alcance resistivo de Zona 2 se ajusta igual al de Zona 1 3(1.3Iemergencia ) 0.8VLL R2 R1  45%
  • 149.
    Si la líneaes radial con un transformador al otro extremo de la línea, entonces la zona 2 se ajusta al 100% de la impedancia de secuencia positiva de la línea protegida más el 50% de la impedancia del transformador. 1 G 2 Z1 = R1 + j X1 1 G 2 250 mseg Zona21 Zona12 Zona22 Línea 1 = 10 Línea 2 = 2 80% = 1.6  50% = 1  XT Zona2 = Z1 + j 0.5XT = R1 + j (X1 + 0.5XT) (mho) X2 = X1 + 0.5XT (cuadrilateral) En caso que la suma de la impedancia de la línea protegida más el 50% de la línea adyacente más corta sea menor que el 120% de la impedancia de la línea protegida, entonces es necesario coordinar los tiempos de Zona 2 de ambas protecciones, ajustando en 400 mseg para la línea propia y 250 mseg para las líneas adyacentes. 1.2(Línea 1) = 12  400 mseg Zona11 Región de no coordinación
  • 150.
    Ajuste de Zona3 El objetivo de esta zona es servir de respaldo a las protecciones de las líneas adyacentes. Normalmente, su ajuste se extiende hasta el extremo opuesto de la línea adyacente de mayor impedancia, pero se debe garantizar que este alcance no detecte fallas ocurridas en las subestaciones de diferentes tensiones conectadas a través de los transformadores de potencia. El criterio recomendado es el menor valor entre: •La impedancia de la línea protegida más el 80% de la impedancia de los transformadores en la barra remota. •La impedancia de la línea protegida más la impedancia de la línea adyacente más larga (de mayor impedancia), multiplicada por un factor de seguridad de 120%. Es decir, el menor valor entre: Zona3  Z1propia  0.8XTrafo.Remoto Zona3 1.2(Z1propia  Z1LíneaAdyMásLarga) El tiempo para la Zona 3 se ajusta normalmente en 800 mseg tZona3 800mseg Ajuste en ohmios secundarios Generalmente las protecciones de distancia se ajustan en ohmios secundarios, por lo que se utiliza la siguiente fórmula para convertir los ohmios primarios en ohmios secundarios prim I Z I I RTC Z RTC prim RTP RTP  Z prim sec prim  Vprim  Vsec  Vprim sec RTC prim RTP Z  Z sec
  • 151.
    Sub-alcance - Efectode remoto infeed Se dice que un relé de distancia sub-alcanza cuando la impedancia vista por él es mayor que la impedancia real de falla. Se define el porcentaje de sub-alcance como: ZR ZR  ZF x100% Donde ZR es el ajuste del relé y ZF es el alcanceefectivo Para el relé 1 se tiene que: VA  VAB  VBC  I1Z1  (I1  I2 )Z2 ya que Vc = 0 1 Dividiendo por I : 2 1 1 1 I I  (I1  I2 ) Z VA Z pero: 1 I VA  1  I1  I2   Z1    Z2 Zrelé  I Debido al efecto infeed remoto, el relé 1 en vez de ver la impedancia real igual a Z1 + Z2, ve una impedancia mayor, igual a I  Z2  1  I1  I2  Z1   La causa principal del sub-alcance es debido al efecto de la corriente de falla alimentada en los extremos remotos.
  • 152.
    Por lo queel alcance efectivo del relé se ve reducido y es igual a F 1   Z 2 Ajustada   1 2   I1  I  I Z  Z  Por ejemplo, si el relé 1 está ajustado para un alcance de ZR = 15 , la impedancia de la Línea ZAB es de 10 , l a impedancia a la falla ZBC es 4  y las impedancias de los generadores es de 5 , entonces la corriente de falla si la tensión nominal es de 110 kV es igual a: 1 2 E 110000 2 BC 1 AB F (510) ||5 4   14193A  I  I ) || Zg Z (Zg Z I  Por divisor de corrientes: 5 1  3548A 515 I  14193 15 2 10644A 515 I 14193 Z1  ZAB 10 Z2  ZBC  4  Z2 Ajustada  ZR  ZAB  15 10 5 Por lo que la impedancia vista por el relé en vez de ser 10 + 4 = 14 , esde     4  26 3548 2  1  Z 10 I I1  I2   14193 Zvista  Z1  y el alcance efectivo del relé (15 ) se ve reducidoa:     5 11.25 14193 3548  2  1 2  ZAjustada  10  I  I  I1  Z  Z  F 1 y el porcentaje de sub-alcance es: ZR  ZF x100%  15 11.25 x100% 25% ZR 15
  • 153.
    Sobrealcance Se dice queun relé de distancia sobrealcanza cuando la impedancia vista por él es menor que la impedancia real de falla. Se define el porcentaje de sobrealcance como: ZR ZF  ZR x100% Donde ZR es el ajuste del relé y ZF es el alcanceefectivo Un ejemplo de sobrealcance ocurre cuando los relés de distancia se aplican a líneas paralelas y una de las líneas está fuera de servicio y aterrizada en ambos extremos. Otras características de las protecciones de distancia Las protecciones de distancia modernas a menudo incorporan funciones adicionales para asistir a los ingenieros de protecciones para proveer una solución amplia para los requerimientos de protecciones de una parte particular de la red. Localización de falla Protección de sobrecorriente instantánea Grupos de ajustes alternativos Chequeo de sincronismo Autorecierre Monitoreo del estado de los interruptores Mediciones de voltaje, tensiones, etc. Registro de eventos Registro de fallas Lógica de detección de falla interruptor Protección de sobrecorriente fases/tierra direccional y no direccional Protección de bajo voltaje y sobrevoltaje Protección de cierre con falla Esquemas lógicos programables por el usuario
  • 154.
    Esquemas de proteccióndistancia En la siguiente figura se muestra la protección de distancia convencional escalada en el tiempo. La principal desventaja de esta protección es que no puede proveer disparo instantáneo (Zona 1) para el 100% de la línea. Debido a que la Zona 1 se ajusta típicamente al 80% de la línea, quedan dos regiones en ésta del 20% en que cualquier falla que ocurra allí, es despejada en tiempo de Zona 2 (250-400 mseg). En algunas aplicaciones, esta situación no es tolerable ya que las fallas que se mantienen y son despejadas en tiempos de Zona 2 pueden causar que el sistema se vuelva inestable. El esquema de protección más deseable es aquel que provea disparo instantáneo a todo lo largo de la línea y disparo de respaldo para líneas adyacentes. Esto se puede conseguir interconectando las protecciones de distancia a cada extremo de la línea protegida por un canal de comunicación. El propósito de este canal de comunicación es transmitir información sobre las condiciones del sistema de un extremo a otro, incluyendo peticiones para iniciar o prevenir disparos del interruptor remoto.
  • 155.
    Esquema de disparotransferido directo en sub-alcance DUTT La lógica de este disparo se muestra en la siguiente figura: La operación en Zona 1 de un extremo, envía una señal de disparo directo hacia el otro extremo de la línea. En el extremo donde se recibe la señal, se produce el disparo inmediato del interruptor ya que esta señal derecepción está conectada directamente al disparo del interruptor. La desventaja de este esquema es precisamente que pueden ocurrir disparos no deseados por operación accidental o mala operación del equipo de teleprotección o por interferencia en el canal de comunicación. Por esto, este esquema no se utiliza comúnmente.
  • 156.
    Esquema de disparotransferido permisivo en sub-alcance PUTT El esquema de disparo directo descrito anteriormente, es más seguro si se supervisa la señal recibida con la operación de la Zona 2 antes de realizar un disparo instantáneo, como se muestra en la siguiente figura: Es posible que se requiera temporizar el tiempo de desenganche de la señal recibida para asegurarse que los relés en ambos extremos de una línea en paralelo con otra, tengan tiempo para disparar cuando la falla ocurre en un extremo cercano. Para la falla F el relé en A opera en Zona 1 pero es posible que el relé en B no detecte la falla en Zona 2, sino solamente cuando abra el interruptor en A, pero en ese momento ha desaparecido la señal de recibo desde el extremo A. Al retardar el tiempo de desenganche de la señal de recibo desde A, permite que se produzca disparo instantáneo en B al detectar el relé en B, la falla en Zona 2.
  • 157.
    Esquema de disparotransferido permisivo en sobrealcance POTT En este esquema, se ajusta un elemento del relé más allá del extremo remoto de la línea protegida para enviar la señal de disparo al extremo remoto de la línea. Sin embargo, es necesario que la señal de recibo sea monitoreada por un elemento direccional (Zona 2), para asegurarse que no ocurra disparo a menos que la falla sea en el elemento protegido. Esquema de bloqueo en sobrealcance Los esquemas hasta ahora descritos utilizan el canal de comunicación para transmitir órdenes de disparo. Si el canal de comunicación falla, no se pueden despejar fallas instantáneamente en ambos extremos. Los esquemas de bloqueo en sobrealcance. Los esquemas de bloqueo por sobrealcance utilizan un esquema de distancia por sobrealcance y una lógica inversa. La señal es iniciada solamente para fallas externas y la transmisión de señal ocurre sobre las secciones de línea sin falla. Entonces ocurre el rápido despeje de fallas cuando no se recibe la señal y el elemento de sobrealcance (Zona 2) hacia la línea opera.
  • 158.
    La señal debloqueo debe ser enviada por los elementos que detectan falla en reversa para prevenir disparo instantáneo del relé remoto ante fallas en Zona 2 externas al elemento protegido. Para lograr esto, los elementos que operan en reversa y el canal de comunicación, deben ser más rápidos que los elementos que detectan la falla hacia delante. En la práctica y para asegurar una correcta discriminación, se adiciona un retardo al circuito de bloqueo. Este esquema de bloqueo se conoce también como “esquema de bloqueo por comparación direccional”.
  • 159.
    PROTECCIÓN DIFERENCIAL Las proteccionesdiferenciales basan su funcionamiento en la comparación de las corrientes que entran y salen de un equipo. Su aplicación tiene pocas limitaciones, siendo la principal de ellas, la distancia que separa a los transformadores de corriente, ya que mientras mas separados se encuentren, mayor será el burden que representan los conductores de interconexión. Por razones prácticas y económicas, el relé diferencial se usa para la protección de máquinas sincrónicas y asincrónicas, transformadores de poder, barras de subestaciones y líneas cortas, siempre que su potencia sea importante. (Usualmente sobre unos 5 a 8 MVA). En el esquema de la figura siguiente se puede apreciar que la corriente que detecta el relé diferencial R, en las condiciones indicadas, es igual a cero. Al ocurrir una falla, sea monofásica, bifásica o trifásica, en la zona protegida (entre los TCs), se produce un desequilibrio que hace fluir una corriente diferencial Id distinta de cero, por el relé R, de modo que éste da la orden de abrir el interruptor correspondiente.
  • 160.
    La protección diferencial,por lo tanto, resulta ser eminentemente selectiva, ya que no responde a fallas que no estén comprendidas en su zona de influencia, es decir entre los dos juegos de transformadores de corriente. Por esta razón, no necesita ser coordinada en otras protecciones, como las de sobrecorriente por ejemplo; como además, es independiente de la corriente de corriente de carga circulante, puede tener un pick-up muy bajo y ser teóricamente instantánea. Protección diferencial de barras Una de las aplicaciones de la protección diferencial es la de proteger las barras de una subestación, donde las fallas normalmente suelen ser bastante severas. Dada su selectividad inherente, pueden ajustarse de modo que despeje la falla rápidamente a fin de evitar mayores daños y un compromiso mayor de las instalaciones. La protección diferencial de barras reúne las corrientes de todas las líneas que llegan o salen de la barra, de modo que la suma instantánea de ellas es siempre igual a cero, en condiciones normales, tanto en términos primarios como secundarios.
  • 161.
    Como la proteccióndiferencial es selectiva, no debería operar para fallas externas a la zona protegida. En la práctica esto no es totalmente cierto ya que las elevadas corrientes de falla que pueden producirse en las cercanías de la protección dan origen a corrientes diferenciales por razones tales como: Errores de razón de los TC; distinto factor de sobrecorriente de éstos (aún con burden nominal) y por diferencias en el burden que tienen conectado. Por tales razones, ha sido necesario “insensibilizar” estos relés para que operen sólo cuando la corriente diferencial alcance un cierto valor que es un porcentaje de la corriente por fase. A estos relés se le denomina “relés diferenciales de porcentaje”. Protección diferencial de porcentaje El elemento de medida de estos relés compara las corrientes que entran con las que salen del equipo de tal manera que cuando la diferencia entre éstas alcance un valor igual o superior a un porcentaje dado de la corriente menor, el relé opera. Los relés diferenciales de porcentaje, tienen en cada fase una unidad de medida de tres enrollados: dos de retención y uno de operación dispuestos como se muestra esquemáticamente en la figura siguiente: Cuando no hay falla interna, las corrientes secundarias I1 e I2 son iguales, la corriente diferencial Id, es igual a cero y por lo tanto, el torque de operación es igual a cero, mientras que el torque de retención es máximo con las dos corrientes en el sentido indicado y con el mismo valor. En condiciones de falla interna, las corrientes I1 e I2 cambian, por lo general, en magnitud y fase; la corriente diferencial aumenta, por lo que la bobina de operación produce torque en el sentido de cerrar los contactos del relé. El torque de retención disminuye ya que a lo menos una de las corrientes baja significativamente su valor.
  • 162.
    En la gráficasiguiente se muestra la característica de operación de una protección diferencial del tipo porcentual. La protección opera cuando la corriente diferencial Id es mayor que un porcentaje de la corriente de restricción IR. Dependiendo del fabricante del relé, la corriente de restricción puede ser la menor corriente entre I1 e I2 o el promedio o la suma de éstas. El ajuste del porcentaje k determina la pendiente de la recta y se ajusta de acuerdo con el elemento protegido, por ejemplo, se usa 10 - 25 % para motores y generadores y 15 - 25 - 40 - 50 % para transformadores. En la característica se observa que la recta no pasa por el origen, esto para evitar disparos no deseados con valores de carga o de fallas de baja intensidad.
  • 163.
    En condiciones defalla interna (en el elemento protegido), la corriente diferencial Id es igual a la corriente de restricción IR por lo que la característica de la falla corresponde a una línea recta con una pendiente de 45°. 45°
  • 164.
    Protección diferencial dealta impedancia En esta protección la corriente diferencial circula por una resistencia de alta impedancia lo que produce un voltaje con el que opera la protección. Esta es una protección muy segura ante fallas externas pero es muy exigente en cuanto a las características de los transformadores de corriente que deben ser de igual relación (requiere transformadores de corriente auxiliares para igualación), su punto de saturación debe ser alto (el voltaje de saturación debe ser al menos el doble del voltaje de operación del relé). Adicionalmente, en casos de fallas muy violentas, se pueden producir voltajes elevados en el secundario de los TCs, por lo que obliga a instalar limitadores de sobretensiones (varistores) en paralelo con el relé.
  • 165.
    Protección diferencial detransformador La protección diferencial de transformadores trifásicos es bastante mas complicada, por los motivos siguientes: a.Las corrientes de primario y secundario no tienen el mismo valor, debido a que normalmente la relación de voltajes entre estos dos devanados no es la unidad. b.Las corrientes del primario y secundario del transformador pueden no estar en fase, dependiendo de la conexión del transformador. c. Las relaciones de los TCs de cada devanado no siempre arrojan valores secundarios iguales a comparar. d.La protección no debe ser afectada por las condiciones de operación del transformador, como cambios de taps o funcionamiento en vacío. e.La corriente de excitación en el momento de la conexión del transformador (corriente de in-rush) puede tomar valores muy elevados, dependiendo del valor instantáneo de la onda de voltaje en el momento de la conexión. Su forma es exponencial decreciendo en el tiempo y disminuyendo su desplazamiento para tomar finalmente el valor de régimen permanente. f. En transmisión se usan bastante transformadores de tres devanados, lo que complica más la situación.
  • 166.
    A continuación severá la forma como se resuelven estos problemas. a. Las corrientes de primario y secundario no tienen el mismo valor, debido a que normalmente la relación de voltajes entre estos dos devanados no es la unidad. Los relés diferenciales se construyen con tap en las unidades de retención, de modo que aunque las corrientes que se comparan no son iguales, el relé opere con el mismo porcentaje o pendiente.
  • 167.
    b. Las corrientesdel primario y secundario del transformador pueden no estar en fase, dependiendo de la conexión del transformador. Los relés diferenciales se conectan a circuitos secundarios provenientes de juegos de TCs cuya conexión debe efectuarse en forma inversa a aquella de los devanados primario y secundario del transformador de potencia. De esta manera se anula el desplazamiento angular de las corrientes por fase. Por ejemplo, si un transformador tiene conexión DY1, los TCs del lado primario se conectarán en estrella y los del lado secundario, en delta, de tal forma que las corrientes secundarias por línea de los TCs, adelanten en 30º a las correspondientes dentro de la delta. De todas formas, es conveniente asegurarse de la correcta conexión de los TCs, dibujando los diagramas fasoriales respectivos. En el caso de las protecciones electrónicas, los TCs de ambos lados se pueden conectar en estrella, ya que el desfase puede ser compensado en forma interna por la protección. DYn1 a:1 Idiff Yn0 D11 Iprim0° a.Iprim-30° Iprim/ RTCH 0° a.Iprim3/RTCL0° RTCH RTCL Iret1 Iret2
  • 168.
    c. Las relacionesde los TCs de cada devanado no siempre arrojan valores secundarios iguales a comparar. Para solucionar el problema de que los TCs entreguen magnitudes secundarias diferentes a comparar, se puede hacer uso de relés diferenciales de porcentaje, de diferentes porcentajes o pendientes; por ejemplo; 15- 25-40- 50%, o bien, utilizar transformadores de corriente auxiliares (transformadores de adaptación o de interposición) que dispongan de un amplio rango de relaciones de taps, para igualar las corrientes que llegan al relé. DYn1 a:1 Idiff Iprim0° a.Iprim-30° Iprim/ (RTCH RTCB)0° a.Iprim3/ (RTCL RTCC)0° RTCH RTCL Iret1 Iret2 YnD11 RTCl Iprim/ RTCH 0° a.Iprim/ RTCL -30° TC aux TC aux YnYn0 RTCh RTCLRTCl RTCH RTCh Iprim  a.Iprim 3 Se necesita que:
  • 169.
    a 3 RTC RTCh H  RTCL RTCl O sea que: de donde a, RTCH y RTCL sonconocidas Generalmente se podría prescindir de los transformadores auxiliares para el devanado de alta, es decir, en la ecuación se tomaría RTCh = 1, por lo que se pueden dimensionar los transformadores auxiliares para el devanado de baja así: L l RTC 3RTCH RTC  a Un transformador de adaptación es un transformador de corriente con múltiples devanados y haciendo combinaciones de devanados se puede obtener un amplio rango de relaciones. El fabricante suministra el rango de relaciones y las posibles combinaciones con sus conexiones.
  • 170.
    d. La protecciónno debe ser afectada por las condiciones de operación del transformador, como cambios de taps o funcionamiento en vacío. El problema señalado en este punto también puede ser solucionado empleando relés diferenciales de porcentaje, con valores más elevados, tal como los indicados en c. e. La corriente de excitación en el momento de la conexión del transformador (corriente de in-rush) puede tomar valores muy elevados, dependiendo del valor instantáneo de la onda de voltaje en el momento de la conexión. Su forma es exponencial decreciendo en el tiempo y disminuyendo su desplazamiento para tomar finalmente el valor de régimen permanente. Una solución no muy práctica sería retardar la operación de la protección o insensibilizarlo para evitar que opere durante las maniobras de energización del transformador, con lo que se atenta contra las principal ventajas de la protección diferencial como lo son su rapidez y sensibilidad. La mejor solución es la aplicación de la protección diferencial con restricción de armónicos donde se aprovecha la distorsión que caracteriza a la corriente de in-rush, especialmente el alto contenido del segundo armónico que puede ser usado como retención. De esta forma se puede diferenciar entre corrientes de falla y corrientes de in- rush.
  • 171.
    Diagrama de conexionespara la protección diferencial de transformador A modo de ejemplo, se considerará la aplicación de la protección diferencial de porcentaje a un transformador de potencia en conexión DY5. Considerando lo indicado anteriormente, los secundarios de los TCs del lado primario del transformador se conectarán en estrella y los del secundario en delta. Diagrama de conexión para la protección diferencial sin transformadores de adaptación
  • 172.
    Diagrama de conexiónpara la protección diferencial con transformadores de adaptación
  • 173.
    Especificación de ajustesde una protección diferencial de transformador La especificación de ajustes es una etapa importante para obtener un buen comportamiento de una protección. En el caso particular de la protección diferencial, la determinación del ajuste se simplifica bastante, ya que, por ser inherentemente selectiva, no necesita ser coordinada en el tiempo con otra protección, pudiendo ser instantánea. En general, entonces, deberá especificarse lo siguiente: − Relaciones de los transformadores de corriente principales y auxiliares, si los hubiera − Taps − Porcentaje o pendiente. Cálculo de Taps IH IL RTCH RTCL Sn - Vn /Vn H L (MVA) - (KV) Para determinar los TAPS en que debe dejarse el relé, conviene seguir el siguiente procedimiento: 1. Calcular la corriente normal de plena carga en amperios primarios de cada lado del transformador H I 3VnH L L I 3Vn  Sn(KVA)  Sn(KVA)
  • 174.
    2. Calcular untap del relé, correspondiente a un lado cualquiera, de acuerdo con la siguiente expresión: H H RTC TAP  IH KH TAP E TAP RTC H H L Donde KH es 1 para TCs del lado H conectados en estrella o 3 para TCs conectados en delta. Por lo general, el TAP no saldrá exacto, y será necesario elegir el más próximo superior. Una vez elegido un tap (TAPHE en este caso) el otro (TAPL) se calcula por la expresión: IL KL L TAP  TAPLE TAPH E TAPLE x100 Donde KL es 1 para TCs del lado L conectados en estrella o 3 para TCs conectados en delta. Cálculo del error de los Taps El error de los Taps se calcula de la siguiente manera: 1. Calcular las corrientes secundarias que llegan al relé así: TAPH  TAPHE ErrorTAP%  TAPL si TAPL TAPLE TAPH  TAPH E
  • 175.
    x100 TAPH TAPL TAPH E  TAPH ErrorTAP%  TAPLE si TAPLE TAPL TAPH E  TAPH o TAPL El error de los Taps debe ser menor o igual que 5% y se debe verificar que este error se mantiene para fallas trifásicas máximas. Para transformadores tridevanados, el error de los Taps se debe verificar para todas las combinaciones de corrientes y Taps. Elección del porcentaje o pendiente del relé Se explicó antes que los porcentajes de los relés diferenciales que se aplican en transformadores de potencia pueden ser 15, 25, 40 y 50%. Para elegir la pendiente de un relé diferencial, se toman en cuenta los siguientes factores: −Rango máximo de cambio de taps del transformador de potencia, ya sea manual o automático (generalmente no excede ± 10%) − % de error por TAP (no mayor de 5%, según lo visto) −Error debido a saturación de los TCs en fallas externas; esto se obtiene conociendo el valor de las corrientes máximas de falla externa y la característica de saturación de los TCs. La suma de estos tres errores permite elegir el porcentaje del relé. Por ejemplo, si esta suma es menor de 10%, se elige 15%; si es menor de 20%, se elige 25%; entre 20 y 35%, se elige 40%; y sobre 40%, se elige 50%
  • 176.
    H H 3Vn 3(34.5)  Sn(KVA)  33000 I 1380 L L 3Vn3(13.8)  Sn(KVA)  33000  552 I No hay problema con la selección de los TCs en 600/5 y 1500/5 2. Calculamos el tap para el lado de alta así Ejemplo 1: Sea un transformador DY1 de 33 MVA 34.5/13.8 KV. Los TCs de los devanados de alta y baja son 600/5 y 1500/5 respectivamente. Ajustar la protección diferencial porcentual, la cual tiene los siguientes valores ajustables de Taps 2.9 - 3.2 - 3.5 - 3.8 - 4.2 - 4.6 - 5- 8 y ajustes de pendientes del 15 - 25 - 40 % De la información se tiene que: RTCH  600/5 120 RTCL 1500/5  300 Sn  33000KVA Los TCs del lado de alta se conectan el estrella y los del lado de baja en delta 11, por lo que KH  1 y KL  3 1. Calculamos la corriente normal de plena carga en amperios primarios de cada lado del transformador 120  552x1  4.6 TAPH Por lo tanto: TAP E  4.6 H 300 4.6 1380 3 4.6 7.96 TAP E  TAP RTC TAP  H H L Y para el lado de baja: ILKL L Por lo tanto: TAP E  8 L
  • 177.
    Para calcular elerror de los Taps primero calculamos las relaciones entre los Taps así:  4.6  0.578 TAPL 7.96 TAPH TAPLE 8.0 TAPH E  4.6 0.575 Como TAPL TAPLE TAPH  TAPH E entonces 0.575 ErrorTAP%  0.578 0.575 x100  0.52% TAPLE TAPH E TAPLE x100 TAPH  TAPH E ErrorTAP%  TAPL Teniendo en cuenta que el error de los Taps es pequeño, se podría ajustar la pendiente al menor valor, es decir al 15%
  • 178.
    Ejemplo 2: Sea elmismo transformador al que se le va a instalar una protección diferencial que requiere que las corrientes que le entran a él, sean iguales. La corriente nominal del relé es 5 amperios. 1. Calculamos la corriente normal de plena carga en amperios primarios de cada lado del transformador H 3Vn 3(34.5)  Sn(KVA)  33000 I 1380 H L L 3Vn 3(13.8)  Sn(KVA)  33000  552 I Los TCs del lado de alta se conectan el estrella y los del lado de baja en delta 11, por lo que KH  1 y KL  3 2. Calculamos las corrientes secundarias que le llegan al relé 120 I sec  552x1  4.6 H 300 3  7.96 sec  1380 L I Como las corrientes secundarias provenientes de los devanados de alta y baja son diferentes, se requiere la instalación de transformadores de adaptación. Entonces instalamos transformadores de adaptación para el devanado de baja en conexión YnD11. Entonces calculamos la relación requerida así: 34.5  13.8 1.73 3x120 RTC 300 RTC  a L 3RTCH l Como el relé es de 5 amperios nominales, entonces la relación requerida para los transformadores de adaptación es: RTCl 1.73x5 5  8.66/5
  • 179.
    Si se tienentransformadores de adaptación de relación 1.2 - 8 : 5 , 5/3 A y se requiere la relación 8.66 : 5 A A B C D E F G H I M a b c Este transformador solo dispone relación hasta 8 : 5, entonces se utiliza la relación 8.66/1.73 : 5/1.73 = 5 : 2.89. Primario 5 A = Entrada C - G y puente D + E Secundario 2.89 A = a - c a b c A B C D E F G H I M De acuerdo con el catálogo de los transformadores de adaptación, para obtener dicha relación se utiliza la siguiente conexión: P1 P2 s1 s2
  • 180.
    Esquemas de proteccióndiferencial de barras Barra sencilla Barra sencilla con acople
  • 181.
    Barra principal ybarra de transferencia
  • 182.
    Doble barra conacople de barras
  • 183.
  • 184.
    RECIERRE Alrededor del 80-90%de las fallas en líneas aéreas corresponden a fallas transitorias. Estas resultan principalmente de sobretensiones en aisladores debido a altos voltajes transitorios inducidos por descargas eléctricas, del contacto de los conductores debido al viento o de contacto temporal con ramas, árboles e incluso animales. Por lo tanto, desenergizando el circuito el tiempo necesario para que la falla desaparezca y la falla de arco se extinga, el servicio se puede restaurar más libremente recerrando el interruptor automáticamente. Esto puede reducir significativamente el tiempo de la interrupción, con el fin de proveer una mejor continuidad de servicio a los clientes. El recierre puede ser único (single-shot) o de varios intentos (multi-shot) a diferentes intervalos de tiempo. El primer intento puede ser “instantáneo” o con un retardo de tiempo. El término instantáneo se refiere a que la bobina de cierre del interruptor se energiza en un corto tiempo después de que la protección ha energizado la bobina de disparo. El tiempo entre la energización de la bobina de disparo por la protección y la energizaación instantánea de la bobina de cierre depende del diseño del interruptor, los valores típicos son de 20 a 30 ciclos (330-500 mseg). Generalmente este tiempo es suficiente para permitir que el arco se des-ionice durante el momento en que el interruptor abra. La experiencia ha mostrado que en un circuito trifásico, el tiempo promedio requerido para la desionización del arco de la falla cumple la siguiente fórmula: 34.5 10.5ciclos t  KV En las figuras siguientes se muestran los esquemas típicos para autorecierre único y su respuesta ante una falla transitoria y una falla permanente.
  • 185.
    FALLA TRANSITORIA INICIO DE FALLA PROTECCIÓN INTERRUPTOR RECIERRE Tiempode operación Disparo Bobina de disparo energizada Contactosse separan ExtinciónContactos de arco completamente abiertos Reset Tiempo de apertura Tiempo de arco Recierre iniciadopor protección Tiempo muerto, tiempo de recierre, Dead Time Bobina de cierre energizada Contactosse cierran Contactos completamente cerrados Comandode recierre automático Tiempo de cierre Duración comando de cierre Tiempo de reclamo Relé listo para responder a incidentes adicionales de falla (después de recierre exitoso) Esquema de autorecierre para una falla transitoria
  • 186.
    Tiempo de reclamo Contactos completamente cerrados FALLA PERMANENTE PROTECCIÓN INTERRUPTOR RECIERRE INSTANTE DEFALLA Tiempo de operación Disparo Bobina de disparo energizada Contactos completamente abiertos Reset Recierre iniciado por protección Tiempo muerto, tiempo de recierre, Dead Time Bobina de Contactos cierre se cierran energizada Comando de recierre automático Duración comando de cierre Inicio de tiempo de reclamo Bloqueo del relé por operación de la protección antes de finalizar el tiempo de reclamo Recierre bajo falla permanente Bobina de disparo energizada Disparo Reset se separan Contactos Extinción Contactos de completamente arco abiertos Reset de tiempo de reclamo Esquema de autorecierre para una falla permanente
  • 187.
    Aplicación del autorecierre Losparámetros más importantes en un esquema de autorecierre son: Tiempo muerto (dead time) Tiempo de reclamo Intento único o múltiple Estos parámetros dependen de: El tipo de protección El tipo del interruptor Posibles problemas de estabilidad Efectos en los diferentes tipos de cargas de usuarios Autorecierre en redes de distribución de alta tensión HV En estas redes el autorecierre se aplica principalmente en alimentadores radiales donde no se presenten problemas de estabilidad y las principales ventajas derivadas de su uso son: Reducción del número de interrupciones. Se puede implementar el uso de disparos instantáneos con los beneficios de una corta duración de las fallas, menos daño y pocas fallas del tipo permanentes. Debido a que el 80% de las fallas en líneas aéreas son transitorias, con la eliminación de la pérdida de suministro por estas causas introduciendo el autorecierre, se obtienen beneficios a través de: una mejora en la continuidad del suministro reducción de visitas a las subestaciones
  • 188.
    Al introducir eldisparo instantáneo, se disminuyen los efectos del arco de las fallas, pero se pueden presentar problemas de disparos no selectivos ya que pueden operar protecciones de secciones que no presentan falla. El autorecierre permite que en estas secciones se reponga el servicio en un tiempo corto. Así que para fallas transitorias el efecto total será la pérdida de suministro durante un tiempo corto pero afectando a un gran número de usuarios. Si solamente se utilizara protecciones coordinadas en tiempo sin autorecierre, se verían afectados un menor número de usuarios pero durante un tiempo largo. Cuando se utiliza protección instantánea con el autorecierre, normalmente el esquema se diseña de tal forma que se inhibe el disparo instantáneo después del primer disparo. Si la falla es permanente, después del recierre funciona el esquema de coordinación en tiempo obteniéndose disparos selectivos aislando la sección fallada. Factores que influyen en los esquemas de autorecierre Discutiremos los factores que influyen en la elección de los tiempos muerto, de reclamo y número de recierres Tiempo muerto Los factores que afectan la selección del tiempo muerto son: estabilidad del sistema y sincornismo tipo de carga características de los interruptores tiempo de reset de las protecciones
  • 189.
    Estabilidad del sistemay sincronismo Para recerrar sin la pérdida de sincronismo después de una falla en una línea de interconexión donde se tiene alimentación en ambos extremos, se debe mantener el tiempo muerto al mínimo posible y consistente con el tiempo de desionización del arco. Es esencial el uso de protecciones de alta velocidad como esquemas de distancia o esquemas unitarios, con tiempos de operación de alrededor de 50 mseg. Los interruptores deben ser de rápida operación y capaces de recerrar después de un tiempo muerto del orden de 300 a 600 mseg para permitir la desionización del arco. También puede ser deseable usar lógicas de chequeo de sincronismo de tal manera que se no se ejecute el autorecierre si se ha perdido el sincronismo. Tipo de carga En sistemas de alta tensión, el problema principal a considerar en relación con el tiempo muerto es el efecto en los diferentes tipos de carga. •Usuarios industriales La mayoría de los usuarios industriales operan con cargas mixtas que comprenden motores de inducción, iluminación, control de procesos y cargas estáticas. También pueden usar motores síncronos. El tiempo muerto debe ser lo suficiente largo para permitir que los motores disparen al perderse el suministro. Una vez que el suministro se restablece, el arranque de las cargas puede entonces ocurrir bajo la dirección del sistema de control de procesos en una manera segura y programada, y a menudo puede ser lo suficiente rápido para asegurar que no haya pérdida significante en la producción.
  • 190.
    •Usuarios residenciales Es improbableque se vean involucrados procesos costosos o condiciones peligrosas con usuarios residenciales, y la consideración importante es la inconveniencia y compensación por la interrupción en el suministro. Un tiempo muerto de segundos o de unos pocos minutos es de poca importancia comparada con la desventaja de tener una larga interrupción por no disponer de autorecierre. Características de los interruptores Se deben tener en cuenta los retardos en los tiempos impuestos por los interruptores durante una operación de apertura y recierre, especialmente cuando se dispone de autorecierre de alta velocidad. Tiempo de reposición del mecanismo La mayoría de los interruptores son de “disparo libre”, lo que significa que el interruptor puede abrir durante el impacto de cierre. Después de la apertura, se debe permitir un tiempo del orden de 200 mseg para que se reponga el mecanismo de disparo libre antes de aplicar un impulso de cierre. Tiempo de cierre Es el intervalo de tiempo entre la energización del mecanismo de cierre y el cierre de los contactos. Un mecanismo de cierre por solenoide puede tomar hasta 300 mseg para cerrar. Un interruptor operado por resorte puede tomar hasta 200 mseg para cerrar. Los interruptores modernos de vacío pueden tener un tiempo de cierre de menos de 100 mseg. El mecanismo del interruptor impone un tiempo muerto mínimo resultante de la suma de los dos tiempos anteriores.
  • 191.
    Tiempo de resetde las protecciones Si se utilizan protecciones temporizadas, es esencial que el tiempo del relé se reponga completamente durante el tiempo muerto, de tal forma que se mantenga la discriminación de tiempo después del autorecierre. Los relés electromecánicos pueden tener tiempos de reposición del orden de segundos, por lo que el tiempo muerto del recierre debe ser mayor que este tiempo de reposición. Cuando se requieren tiempos muertos de corta duración, las protecciones deben reponerse casi instantáneamente, por lo que obliga a utilizar relés estáticos o numéricos. Tiempo de reclamo Los factores que afectan la selección del tiempo de reclamo son: Tipo de protección El tiempo de reclamo debe ser suficiente para permitir que la protección opere cuando el interruptor es recerrado en una falla permanente. El tiempo de operación de una protección para fallas a tierra de baja intensidad puede estar en el orden de los 30 seg. Ha sido una práctica común ajustar el tiempo de reclamo en 30 seg para esquemas de autorecierre en alta tensión. Sin embargo, se corre el riesgo que con un ajuste de esta duración durante una tormenta eléctrica, cuando la incidencia de fallas transitorias es alta, el interruptor puede recerrar exitosamente después de la falla y luego disparar para una segunda falla durante este tiempo, interrumpiéndose el suministro del servicio. El uso de un tiempo de reclamo más corto, de por ejemplo 15 segundos, puede permitir que la segunda falla sea tratada como una incidencia diferente, con un recierre exitoso adicional.
  • 192.
    Tiempo de cargadode los resortes El tiempo de reclamo para interruptores con carga de resorte a motor, debe ser tan largo como el tiempo de cargado del resorte, para asegurarse que el interruptor no se someta a una orden de cierre con un resorte parcialmente cargado. Número de recierres No existen reglas definitivas para elegir el número de recierres, pero se deben tener en cuenta varios factores: Limitaciones de los interruptores La habilidad de los interruptores para ejecutar varias operaciones de apertura y cierre en rápidas sucesiones y el efecto de estas operaciones en los períodos de mantenimiento son de importante consideración. Los períodos de mantenimiento pueden variar de acuerdo con el tipo de interruptor utilizado y la corriente de falla interrumpida. Los relés numéricos modernos pueden suministrar información acerca de la condición de los interruptores en este aspecto para indicar cuando se requiere un mantenimiento. Condiciones del sistema Si la información estadística de un sistema particular muestra que un porcentaje moderado de fallas semipermanentes pueden ser despejadas durante dos o tres disparos temporizados, se puede justificar un esquema de múltiple recierre. Este es el caso de áreas boscosas.
  • 193.
    Autorecierre de altavelocidad en sistemas de muy alta tensión EHV El primer requerimiento para la aplicación de autorecierre de alta velocidad es el conocimiento del tiempo de falla que puede ser tolerado sin la pérdida de estabilidad. Esto normalmente requiere de estudios de estabilidad par aun conjunto definido de configuraciones del sistema y condiciones de falla. Con el conocimiento de las características de operación de las protecciones y los interruptores y los tiempos de desionización del arco, se puede aplicar la posibilidad del autorecierre de alta velocidad. Discutiremos ahora estos temas. Características de las protecciones Es esencial el uso de equipos de protección de alta velocidad como esquemas de distancia o unitarios, con tiempos de operación del orden de los 50 mseg. En conjunto con la rápida operación de los interruptores, la protección de alta velocidad reduce la duración de la falla y así el tiempo total de disturbio en el sistema. Es importante que los interruptores en ambos extremos de una línea con falla, disparen tan rápido como sea posible. El tiempo que la línea esté aún tensionada desde un extremo, representa una reducción en el tiempo muerto lo que puede arriesgar las posibilidades de un recierre exitoso. Cuando se utiliza protección de distancia, y la falla ocurre en un extremo de la línea, se deben utilizar los esquemas de teleprotección en conjunto con el autorecierre. Desionización del arco Es importante conocer el tiempo que debe permitirse para una completa desionización del arco, para prevenir un reencendido del arco cuando se aplica tensión nuevamente. Para esto se utiliza la fórmula vista anteriormente donde este tiempo depende del nivel de tensión. Para mayor nivel de tensión, se requiere mayor tiempo para desionización del arco.
  • 194.
    Características de losinterruptores Los altos niveles de falla involucrados en los sistemas de muy alta tensión, imponen una labor severa en los interruptores utilizados en los esquemas de autorecierre de alta velocidad. El ciclo aceptado para apertura-cierre- apertura requiere que el interruptor despeje la falla, recierre después de un retardo no mayor que 200 mseg y luego despeje la falla nuevamente si esta persiste. Elección del tiempo muerto A tensiones mayores que 220 kV, el tiempo de desionización probablemente definirá el tiempo muerto mínimo, en vez que alguna otra limitación del interruptor. El tiempo muerto debe ser lo suficiente largo para permitir la desionización del arco. Elección del tiempo de reclamo El tiempo de reclamo debe tener en cuenta el tiempo necesario para que el mecanismo del interruptor esté listo para una orden de cierre. Número de recierres En sistemas de muy alta tensión, el autorecierre es invariablemente de un solo intento. Los intentos de recierre en forma repetida con altos niveles de falla, podrían ocasionar problemas serios de estabilidad al sistema. Adicionalmente, es menos probable la incidencia de fallas semipermanentes que puedan ser despejadas por recierres repetidos en estos niveles de tensión.
  • 195.
    Autorecierre monofásico La mayoríade las fallas en las líneas aéreas corresponden a fallas monofásica (fase-tierra). Cuando se aplica recierre a circuitos sencillos de interconexión entre dos fuentes de generación, la apertura de todas las tres fases puede ocasionar que los sistemas se desfasen. Si solamente se abre la fase con falla, se mantienen las condiciones de sincronismo a través de las fases sanas. Para el autorecierre monofásico, cada polo de interruptor debe estar provisto con su mecanismo de cierre y apertura. Los circuitos correspondientes de disparo y cierre son por lo tanto más complicados. En la ocurrencia de una falla a tierra, el autorecierre monofásico abre y recierra solamente el polo correspondiente del interruptor. Si la falla es persistente y el recierre no es exitoso, es necesario que se abran los tres polos del interruptor. Otras posibilidades pueden ser: Disparo trifásico y bloqueo del interruptor para fallas bifásicas o trifásicas o si ocurre una falla en las fases sanas durante el tiempo muerto. Utilización de un selector para elegir si se quiere ejecutar recierre monofásico o trifásico. Recierre monofásico y trifásico combinado. Las fallas monofásicas inician el disparo y recierre monofásico y las fallas bifásicas inician el disparo y recierre trifásico. Los relés numéricos modernos incorporan a menudo las lógicas para todos estos esquemas. La principal desventaja del recierre monofásico es el largo tiempo de desionización resultante del acople capacitivo entre las fases con falla y las fases sanas. Esto conlleva a que se requieran tiempos muertos de mayor duración.
  • 196.
    Autorecierre temporizado ensistemas de muy alta tensión EHV En sistemas de transmisión altamente interconectado, donde la pérdida de una sola línea no representa una pérdida de sincronismo, se puede utilizar el autorecierre temporizado. No se presentan problemas de tiempos con la desionización del arco o con las características de los interruptores, así como tampoco se presentan problemas de oscilación de potencia. Adicionalmente se puede utilizar el disparo y recierre trifásico, simplificando el cableado de control en comparación con los esquemas de recierre monofásico. En estos sistemas donde se permite el recierre temporizado, la posibilidad de un recierre exitoso es mayor que en el caso de un recierre de alta velocidad. En estos sistemas el único problema que podría presentarse es una diferencia de tensión considerable en las barras extremo de la línea con falla. Si el recierre se ejecuta, se puede ocasionar un impacto inaceptable para el sistema. Por esto es usual incorporar un esquema de verificación de sincronismo en el sistema de recierre para determinar si este se realiza o no. Después de la apertura de la línea durante una falla, es normal que se recierre primero en un extremo en lo que se conoce como “barra viva/línea muerta”. El recierre, en el otro extremo, se realiza bajo el control de un relé de verificación de sincronismo en lo que se conocer como “barra viva/línea viva”. Relés de verificación de sincronismo El relé de verificación de sincronismo, confirma tres parámetros: Diferencia de ángulo de fase. Tensión. Diferencia de frecuencia
  • 197.
    El ajuste dediferencia de ángulo de fase se define entre 20-30° y se inhibe el recierre si esta diferencia excede este valor. El sistema espera una oportunidad a que la diferencia sea menos que el valor ajustado, pero se bloquea si el recierre no ocurre dentro de un período de tiempo determinado, típicamente de 5 seg. La diferencia de tensión debe ser menor del 10% de la tensión nominal del sistema entre ambos extremos para permitir el recierre. La diferencia de frecuencia debe ser menor que 0.1 Hz entre ambos extremos para permitir el recierre monofásico. Normalmente el recierre temporizado se realiza primero en el extremo fuerte (con mayor nivel de corto circuito) y en el otro extremo se efectúa la verificación de sincronismo. Para las líneas que se conectan con subestaciones de generación, la energización se hará en el extremo opuesto y la sincronización en el punto en el cual se encuentran las máquinas, esto con el fin de proteger la máquina ante un cierre en falla producido al momento de la energización. Adicionalmente al esquema de recierre con barra viva/línea muerta o barra viva/línea viva, se puede utilizar el recierre con barra muerta/línea viva.
  • 198.
    Características de operaciónde los esquemas de autorecierre El uso extensivo del autorecierre ha resultado en la existencia de una amplia variedad de diferentes esquemas de control. Iniciación del recierre Los esquemas modernos de autorecierre son iniciados invariablemente por la orden de disparo de las protecciones. En algunos esquemas antiguos se empleaba un contacto del propio interruptor. Los relés numéricos modernos incluyen funciones de recierre, con lo que se evita la utilización de un relé separado. Tipo de protección En sistemas de alta tensión, se tiene una ventaja si se utiliza un esquema de disparo instantáneo, seguido de un disparo temporizado después del recierre. En estos casos, el esquema debe proveer la inhibición del disparo instantáneo después del primer disparo. Ajuste de tiempo muerto El esquema debe disponer de un amplio rango de ajuste para el tiempo muerto de acuerdo con la aplicación en que se esté utilizando el recierre (recierre de alta velocidad o recierre temporizado). Tiempo del comando de recierre Este tiempo está relacionado con las características del mecanismo del interruptor. En esquemas de recierre donde se utilicen interruptores operados con resorte, con tan solo energizar la bobina del mecanismo se puede ejecutar la orden de cierre. En interruptores operados con solenoide, se requieren tiempos del orden de 1-2 segundos en el pulso de cierre para que pueda ejecutarse la operación.
  • 199.
    Dispositivos anti-bombeo La funciónde este dispositivo es prevenir que el interruptor sea cerrado y abierto varias veces en tiempos sucesivos. Esto puede ser causado por la aplicación de un pulso de cierre mientras el interruptor es disparado por las protecciones. Adicionalmente, puede ocurrir si el interruptor es cerrado en una falla y el pulso de cierre es mayor que la suma del tiempo de operación del relé y de la apertura del interruptor. Cierre manual No es deseable que se permita el recierre si el interruptor es cerrado manualmente. Los esquemas de recierre incluyen la posibilidad de inhibir el recierre durante un tiempo después de un cierre manual. Este tiempo está típicamente dentro del orden de los 2-5 segundos. Esquemas de múltiple recierre Los esquemas que proveen hasta tres o cuatro intentos pueden estar disponibles en el relé para proveer tiempos muertos independientes y ajustables en forma independiente para cada intento. Se puede utilizar disparo instantáneo en el primer intento y temporizado en los intentos subsecuentes.
  • 200.
    Recierre en subestacionesen configuración de interruptor y medio o en anillo En estas aplicaciones se utiliza el esquema de maestro - seguidor (master - slave). Cuando ocurre un disparo, la falla se despeja con la apertura de dos interruptores en la subestación. El recierre se ejecuta secuencialmente para minimizar el deterioro de los interruptores. Primero un interruptor recierra (maestro) y si no vuelve a disparar, es decir, si la falla es transitoria, entonces el otro interruptor (esclavo) recierra. En caso de una falla permanente, el interruptor maestro dispara nuevamente y se cancela la orden de cierre sobre el interruptor esclavo.