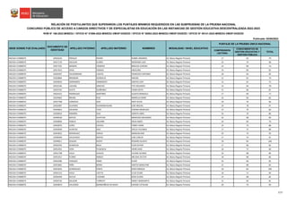
Publicada: 02/08/2023
COMPRENSIÓN
LECTORA
CONOCIMIENTOS DE
GESTIÓN EDUCATIVA Y
GESTIÓN PÚBLICA
TOTAL
ÁNCASH-CHIMBOTE 31661927 MEJIA URIBE MADELEYNE LUZ Ed. Básica Alternativa Avanzado 17 74 91
ÁNCASH-CHIMBOTE 32762951 BARRUETO BRICEÑO MARCOS ANTONIO Ed. Básica Alternativa Avanzado 17 78 95
ÁNCASH-CHIMBOTE 32790092 RAMIREZ VASQUEZ BLANCA MARIELA Ed. Básica Alternativa Avanzado 13 76 89
ÁNCASH-CHIMBOTE 32869148 RENGIFO MENDOZA AUGUSTO Ed. Básica Alternativa Avanzado 14 60 74
ÁNCASH-CHIMBOTE 32875225 ARISTA CUEVA JORGE MIGUEL Ed. Básica Alternativa Avanzado 17 68 85
ÁNCASH-CHIMBOTE 32914160 VENTURA GUANILO NANCY FLOR Ed. Básica Alternativa Avanzado 17 62 79
ÁNCASH-CHIMBOTE 33342760 CUSI ANGELES RICHARD CESAR Ed. Básica Alternativa Avanzado 14 60 74
ÁNCASH-CHIMBOTE 31644343 VALVERDE CUEVA RUBEN DARIO Ed. Básica Alternativa Inicial / Intermedio 17 60 77
ÁNCASH-CHIMBOTE 10126811 SANCHEZ CHAVEZ DARIA REINA Ed. Básica Especial 16 76 92
ÁNCASH-CHIMBOTE 32818026 MEJIA DAMIAN MARIA DEL PILAR Ed. Básica Especial 16 66 82
ÁNCASH-CHIMBOTE 32823807 MANRIQUE AÑAZGO ELIANA MERCEDES Ed. Básica Especial 17 76 93
ÁNCASH-CHIMBOTE 31664932 ARANDA FLORES ROSARIO MARIA Ed. Básica Regular Inicial 16 62 78
ÁNCASH-CHIMBOTE 31672237 RONDAN MORALES ROCIO DEL PILAR Ed. Básica Regular Inicial 12 62 74
ÁNCASH-CHIMBOTE 32109939 CASTILLO ARANIBAR MIRTA GUADALUPE Ed. Básica Regular Inicial 17 68 85
ÁNCASH-CHIMBOTE 32111354 ROJO ARDILES DELIA BENIGNA Ed. Básica Regular Inicial 19 62 81
ÁNCASH-CHIMBOTE 32122584 VILLAFANE RAMIREZ FLOR DE MARIA NORMA Ed. Básica Regular Inicial 18 64 82
ÁNCASH-CHIMBOTE 32135690 ROSALES HUERTA DORIS REBECA Ed. Básica Regular Inicial 15 60 75
ÁNCASH-CHIMBOTE 32136883 MACEDO HILARIO AYDE ENMA Ed. Básica Regular Inicial 18 60 78
ÁNCASH-CHIMBOTE 32610530 AÑORGA CIRILO MARILUZ MARLENY Ed. Básica Regular Inicial 15 72 87
ÁNCASH-CHIMBOTE 32732181 BARRENECHEA CUEVA YANET PATRICIA Ed. Básica Regular Inicial 18 86 104
ÁNCASH-CHIMBOTE 32736323 GUERRERO SANCHEZ ELSIE DEL PILAR Ed. Básica Regular Inicial 16 62 78
ÁNCASH-CHIMBOTE 32763129 CRUZALEGUI SIFUENTES VDA DE RODRIGUEZ ELNA DARCEY Ed. Básica Regular Inicial 17 80 97
ÁNCASH-CHIMBOTE 32773567 VARAS BOZA LUCY JOANET Ed. Básica Regular Inicial 14 64 78
ÁNCASH-CHIMBOTE 32773587 VILCHEZ FLORES MERCEDES ROXANA Ed. Básica Regular Inicial 19 74 93
ÁNCASH-CHIMBOTE 32783990 QUEZADA QUEZADA ELIDA Ed. Básica Regular Inicial 15 70 85
ÁNCASH-CHIMBOTE 32790739 VASQUEZ DIAZ YRMA NANCY Ed. Básica Regular Inicial 16 72 88
ÁNCASH-CHIMBOTE 32832130 UCEDA GIL JUANA BRIGIDA Ed. Básica Regular Inicial 15 66 81
ÁNCASH-CHIMBOTE 32846421 CALLAN ABREGO ROSA ZENEIDA Ed. Básica Regular Inicial 16 72 88
ÁNCASH-CHIMBOTE 32858488 OLIVARES HUAMANCHUMO OLGA MARIVI Ed. Básica Regular Inicial 15 74 89
ÁNCASH-CHIMBOTE 32888242 MARTINEZ SANCHEZ TERESA ISABEL Ed. Básica Regular Inicial 16 72 88
ÁNCASH-CHIMBOTE 32906453 QUISPE ZAVALETA MARIA ESTHER Ed. Básica Regular Inicial 16 62 78
ÁNCASH-CHIMBOTE 32907835 GUEVARA VASQUEZ CONSUELO BASELIZA Ed. Básica Regular Inicial 18 78 96
ÁNCASH-CHIMBOTE 32924644 VILLANUEVA TORRES MILUSKA VIANE Ed. Básica Regular Inicial 15 60 75
RELACIÓN DE POSTULANTES QUE SUPERARON LOS PUNTAJES MÍNIMOS REQUERIDOS EN LAS SUBPRUEBAS DE LA PRUEBA NACIONAL
RVM N° 166-2022-MINEDU / OFICIO N° 01896-2022-MINEDU-VMGP-DIGEDD / OFICIO N° 00063-2023-MINEDU-VMGP-DIGEDD / OFICIO N° 00141-2023-MINEDU-VMGP-DIGEDD
CONCURSO PÚBLICO DE ACCESO A CARGOS DIRECTIVOS Y DE ESPECIALISTAS EN EDUCACIÓN EN LAS INSTANCIAS DE GESTIÓN EDUCATIVA DESCENTRALIZADA 2022-2023
MODALIDAD / NIVEL EDUCATIVO
PUNTAJE DE LA PRUEBA ÚNICA NACIONAL
SEDE DONDE FUE EVALUADO
DOCUMENTO DE
IDENTIDAD
APELLIDO PATERNO APELLIDO MATERNO NOMBRES
1/17
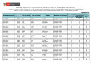
Publicada: 02/08/2023
COMPRENSIÓN
LECTORA
CONOCIMIENTOS DE
GESTIÓN EDUCATIVA Y
GESTIÓN PÚBLICA
TOTAL
RELACIÓN DE POSTULANTES QUE SUPERARON LOS PUNTAJES MÍNIMOS REQUERIDOS EN LAS SUBPRUEBAS DE LA PRUEBA NACIONAL
RVM N° 166-2022-MINEDU / OFICIO N° 01896-2022-MINEDU-VMGP-DIGEDD / OFICIO N° 00063-2023-MINEDU-VMGP-DIGEDD / OFICIO N° 00141-2023-MINEDU-VMGP-DIGEDD
CONCURSO PÚBLICO DE ACCESO A CARGOS DIRECTIVOS Y DE ESPECIALISTAS EN EDUCACIÓN EN LAS INSTANCIAS DE GESTIÓN EDUCATIVA DESCENTRALIZADA 2022-2023
MODALIDAD / NIVEL EDUCATIVO
PUNTAJE DE LA PRUEBA ÚNICA NACIONAL
SEDE DONDE FUE EVALUADO
DOCUMENTO DE
IDENTIDAD
APELLIDO PATERNO APELLIDO MATERNO NOMBRES
ÁNCASH-CHIMBOTE 32926747 ANCACHI LLANOS SUSANA MILAGROS Ed. Básica Regular Inicial 15 66 81
ÁNCASH-CHIMBOTE 32930651 NUÑEZ GAMARRA ROSARIO DEL PILAR Ed. Básica Regular Inicial 16 62 78
ÁNCASH-CHIMBOTE 32932788 JIMENEZ LÓPEZ LITA YSABEL Ed. Básica Regular Inicial 18 78 96
ÁNCASH-CHIMBOTE 32939083 CEDEÑO VERGARA RITA JOVANA Ed. Básica Regular Inicial 15 68 83
ÁNCASH-CHIMBOTE 32939996 ABANTO TOLEDO SILVIA DEL PILAR Ed. Básica Regular Inicial 14 62 76
ÁNCASH-CHIMBOTE 32941623 CANO VEGA MIRIAM AMANDA Ed. Básica Regular Inicial 17 62 79
ÁNCASH-CHIMBOTE 32943230 ABANTO SANCHEZ MARLENY Ed. Básica Regular Inicial 13 70 83
ÁNCASH-CHIMBOTE 32947018 CALDERON CASTILLO TERESA FABIOLA Ed. Básica Regular Inicial 12 60 72
ÁNCASH-CHIMBOTE 32949202 LAVADO MORILLO MARIA LEONOR Ed. Básica Regular Inicial 13 60 73
ÁNCASH-CHIMBOTE 32957760 CURO GORDILLO CECILIA YVONNE Ed. Básica Regular Inicial 19 62 81
ÁNCASH-CHIMBOTE 32961506 ARICA TINOCO VIOLETA ESMERALDA Ed. Básica Regular Inicial 17 64 81
ÁNCASH-CHIMBOTE 32966238 COLQUE CASAS GENARA Ed. Básica Regular Inicial 16 64 80
ÁNCASH-CHIMBOTE 32966766 AVALOS GARCIA ROCIO DEL PILAR Ed. Básica Regular Inicial 15 68 83
ÁNCASH-CHIMBOTE 32968497 TOLENTINO CALDERON ERIKA JOVANNY Ed. Básica Regular Inicial 17 60 77
ÁNCASH-CHIMBOTE 32970932 RAMIREZ JARA RITA FLOR Ed. Básica Regular Inicial 13 60 73
ÁNCASH-CHIMBOTE 32979798 RODRIGUEZ VALVERDE LUCY EDITH Ed. Básica Regular Inicial 15 68 83
ÁNCASH-CHIMBOTE 32981941 MORE CRUZ MARIBEL LOURDES Ed. Básica Regular Inicial 16 68 84
ÁNCASH-CHIMBOTE 32982082 FIGUEROA PEREZ MAGALI ELIZABETH Ed. Básica Regular Inicial 17 66 83
ÁNCASH-CHIMBOTE 32983063 ARMAS FERRER JANET ALICIA Ed. Básica Regular Inicial 14 62 76
ÁNCASH-CHIMBOTE 32983464 GUERRA MANRIQUE JESUS MARIA Ed. Básica Regular Inicial 13 66 79
ÁNCASH-CHIMBOTE 33263038 MORALES FANO SHIRLEY Ed. Básica Regular Inicial 13 78 91
ÁNCASH-CHIMBOTE 40340082 VILLANUEVA GAVIDIA JUANA LOURDES Ed. Básica Regular Inicial 15 76 91
ÁNCASH-CHIMBOTE 40532059 CARLIN NARRO DE RODAS ROCIO MILAGROS Ed. Básica Regular Inicial 16 60 76
ÁNCASH-CHIMBOTE 40998428 BOLAÑOS AVALOS ELIZABETH SHIRLEY Ed. Básica Regular Inicial 18 64 82
ÁNCASH-CHIMBOTE 41101770 COTILLO FLORES SILVIA EVELYN Ed. Básica Regular Inicial 15 74 89
ÁNCASH-CHIMBOTE 41361789 ABANTO VEGA ANA DEL PILAR Ed. Básica Regular Inicial 15 62 77
ÁNCASH-CHIMBOTE 41390703 ARANDA VARGAS TATIANA Ed. Básica Regular Inicial 17 70 87
ÁNCASH-CHIMBOTE 41847495 ULLOA LOPEZ JHESENIA KATHERYNE Ed. Básica Regular Inicial 15 64 79
ÁNCASH-CHIMBOTE 41897013 CHINCHAY DOMINGUEZ LOURDES MILAGROS Ed. Básica Regular Inicial 18 70 88
ÁNCASH-CHIMBOTE 41932001 YACILA PAREDES MAGDALY DIVA Ed. Básica Regular Inicial 16 64 80
ÁNCASH-CHIMBOTE 42412646 PAREDES DIAZ KARINA MABEL Ed. Básica Regular Inicial 17 66 83
ÁNCASH-CHIMBOTE 42480058 CASTILLO QUIROZ JUANA DEL PILAR Ed. Básica Regular Inicial 20 82 102
ÁNCASH-CHIMBOTE 42485212 QUINTANA YARLEQUE JACQUELINE NEREIDA Ed. Básica Regular Inicial 12 60 72
2/17
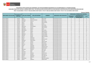
Publicada: 02/08/2023
COMPRENSIÓN
LECTORA
CONOCIMIENTOS DE
GESTIÓN EDUCATIVA Y
GESTIÓN PÚBLICA
TOTAL
RELACIÓN DE POSTULANTES QUE SUPERARON LOS PUNTAJES MÍNIMOS REQUERIDOS EN LAS SUBPRUEBAS DE LA PRUEBA NACIONAL
RVM N° 166-2022-MINEDU / OFICIO N° 01896-2022-MINEDU-VMGP-DIGEDD / OFICIO N° 00063-2023-MINEDU-VMGP-DIGEDD / OFICIO N° 00141-2023-MINEDU-VMGP-DIGEDD
CONCURSO PÚBLICO DE ACCESO A CARGOS DIRECTIVOS Y DE ESPECIALISTAS EN EDUCACIÓN EN LAS INSTANCIAS DE GESTIÓN EDUCATIVA DESCENTRALIZADA 2022-2023
MODALIDAD / NIVEL EDUCATIVO
PUNTAJE DE LA PRUEBA ÚNICA NACIONAL
SEDE DONDE FUE EVALUADO
DOCUMENTO DE
IDENTIDAD
APELLIDO PATERNO APELLIDO MATERNO NOMBRES
ÁNCASH-CHIMBOTE 42493543 RODAS HUERTA HELLEN SHERLY Ed. Básica Regular Inicial 17 60 77
ÁNCASH-CHIMBOTE 42995468 REA PURIZACA PATRICIA JANETT Ed. Básica Regular Inicial 15 68 83
ÁNCASH-CHIMBOTE 43985170 CORAQUILLO INOCENTE BELLA MARIELA Ed. Básica Regular Inicial 15 60 75
ÁNCASH-CHIMBOTE 45677512 BERRIOS HURTADO CYNTHIA ELIZABETH Ed. Básica Regular Inicial 16 70 86
ÁNCASH-CHIMBOTE 03234585 OCAÑA CORDOVA CARLOS ENRIQUE Ed. Básica Regular Primaria 15 60 75
ÁNCASH-CHIMBOTE 06797805 CISNEROS CABOS FABIOLA LORENA Ed. Básica Regular Primaria 17 64 81
ÁNCASH-CHIMBOTE 06935827 VIDAL DOMINGUEZ JUVENCIO WILMER Ed. Básica Regular Primaria 15 60 75
ÁNCASH-CHIMBOTE 09365899 CORONEL ASPIROS JUAN CARLOS Ed. Básica Regular Primaria 19 72 91
ÁNCASH-CHIMBOTE 09862999 SANCHEZ DE LA CRUZ LELYS BEATRIZ Ed. Básica Regular Primaria 16 62 78
ÁNCASH-CHIMBOTE 16142985 CERNA LUNA OSCAR CARLOS Ed. Básica Regular Primaria 15 70 85
ÁNCASH-CHIMBOTE 16523599 DAVILA TORRES MARIA EDELIA Ed. Básica Regular Primaria 17 60 77
ÁNCASH-CHIMBOTE 16677252 MENDOZA URBINA LILIA MARIBEL Ed. Básica Regular Primaria 16 66 82
ÁNCASH-CHIMBOTE 17451110 CHAVEZ GALLARDO MIRIAM EUGENIA Ed. Básica Regular Primaria 16 66 82
ÁNCASH-CHIMBOTE 17870523 PULIDO PIMENTEL FELICIANA Ed. Básica Regular Primaria 12 66 78
ÁNCASH-CHIMBOTE 17934593 HONORIO GUZMAN DORIS ANGELICA Ed. Básica Regular Primaria 15 62 77
ÁNCASH-CHIMBOTE 18096276 LLACSAHUANGA RODRIGUEZ ELIZABETH DORIS Ed. Básica Regular Primaria 16 60 76
ÁNCASH-CHIMBOTE 18124939 CORREA ANGULO MONICA CONSUELO Ed. Básica Regular Primaria 16 68 84
ÁNCASH-CHIMBOTE 18153447 REAL PAREDES MADELEINE MILAGROS Ed. Básica Regular Primaria 18 80 98
ÁNCASH-CHIMBOTE 18179457 MORI LORA MELINA ISABEL Ed. Básica Regular Primaria 14 86 100
ÁNCASH-CHIMBOTE 18213663 RUIZ CABALLERO WILFREDO WALTER Ed. Básica Regular Primaria 17 66 83
ÁNCASH-CHIMBOTE 19033328 MORENO RODRIGUEZ HILDEBRANDO Ed. Básica Regular Primaria 17 68 85
ÁNCASH-CHIMBOTE 19180735 CASTRO ZANONI OLAVIO SALVADOR Ed. Básica Regular Primaria 18 78 96
ÁNCASH-CHIMBOTE 19184256 GRADOS FLORES LUIS ENRIQUE Ed. Básica Regular Primaria 16 76 92
ÁNCASH-CHIMBOTE 19259861 GUANILO LECCA IVAN MANUEL Ed. Básica Regular Primaria 17 82 99
ÁNCASH-CHIMBOTE 19336666 SUAREZ MOCARRO LUIS ENRIQUE Ed. Básica Regular Primaria 17 68 85
ÁNCASH-CHIMBOTE 19427445 VILLANUEVA CASTILLO TEODOCIO Ed. Básica Regular Primaria 15 70 85
ÁNCASH-CHIMBOTE 19558695 MONTES MENDIETA NELSON ORLANDO Ed. Básica Regular Primaria 17 66 83
ÁNCASH-CHIMBOTE 19558981 DE LA CRUZ CEDANO ANDRES RAFAEL Ed. Básica Regular Primaria 20 64 84
ÁNCASH-CHIMBOTE 19561194 PAREDES MEZA GERMAN JAYME Ed. Básica Regular Primaria 14 78 92
ÁNCASH-CHIMBOTE 19675318 MENDEZ ARANDA RAUL PERCY Ed. Básica Regular Primaria 19 78 97
ÁNCASH-CHIMBOTE 25540454 VIDAL PAREDES WILSON ROLANDO Ed. Básica Regular Primaria 14 70 84
ÁNCASH-CHIMBOTE 26692772 ROJAS DIAZ EWALD JOSE Ed. Básica Regular Primaria 16 82 98
ÁNCASH-CHIMBOTE 26694047 JAUREGUI GONZALES ELVIRA MIRIAM Ed. Básica Regular Primaria 17 66 83
3/17
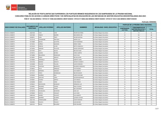
Publicada: 02/08/2023
COMPRENSIÓN
LECTORA
CONOCIMIENTOS DE
GESTIÓN EDUCATIVA Y
GESTIÓN PÚBLICA
TOTAL
RELACIÓN DE POSTULANTES QUE SUPERARON LOS PUNTAJES MÍNIMOS REQUERIDOS EN LAS SUBPRUEBAS DE LA PRUEBA NACIONAL
RVM N° 166-2022-MINEDU / OFICIO N° 01896-2022-MINEDU-VMGP-DIGEDD / OFICIO N° 00063-2023-MINEDU-VMGP-DIGEDD / OFICIO N° 00141-2023-MINEDU-VMGP-DIGEDD
CONCURSO PÚBLICO DE ACCESO A CARGOS DIRECTIVOS Y DE ESPECIALISTAS EN EDUCACIÓN EN LAS INSTANCIAS DE GESTIÓN EDUCATIVA DESCENTRALIZADA 2022-2023
MODALIDAD / NIVEL EDUCATIVO
PUNTAJE DE LA PRUEBA ÚNICA NACIONAL
SEDE DONDE FUE EVALUADO
DOCUMENTO DE
IDENTIDAD
APELLIDO PATERNO APELLIDO MATERNO NOMBRES
ÁNCASH-CHIMBOTE 26694459 CERQUIN GARCIA GONZALO TITO Ed. Básica Regular Primaria 15 70 85
ÁNCASH-CHIMBOTE 27049307 SANCHEZ JIMENEZ CARLOS MIJAILS Ed. Básica Regular Primaria 15 72 87
ÁNCASH-CHIMBOTE 31610016 SANCHEZ VIDAL EDILBERTO MOISES Ed. Básica Regular Primaria 17 74 91
ÁNCASH-CHIMBOTE 31620399 HUAMAN REYES LIZ ROSALBA Ed. Básica Regular Primaria 12 60 72
ÁNCASH-CHIMBOTE 31642375 SALAS CULLI JORGE TOBIAS Ed. Básica Regular Primaria 12 62 74
ÁNCASH-CHIMBOTE 31652297 HIDALGO MORALES MARIA TERESA Ed. Básica Regular Primaria 14 68 82
ÁNCASH-CHIMBOTE 31653242 HUERTA CASTILLO MARIA EDITH Ed. Básica Regular Primaria 17 64 81
ÁNCASH-CHIMBOTE 31653262 ARANDA FLORES ALEX RICARDO Ed. Básica Regular Primaria 16 72 88
ÁNCASH-CHIMBOTE 31653545 RODRIGUEZ SANCHEZ LELI GAUDENCIA Ed. Básica Regular Primaria 16 62 78
ÁNCASH-CHIMBOTE 31654295 ANTUNEZ ORELLANO ALEJANDRO ERIK Ed. Básica Regular Primaria 18 62 80
ÁNCASH-CHIMBOTE 31655796 ANAYA CARRILLO FLAVIANO PABLO Ed. Básica Regular Primaria 19 72 91
ÁNCASH-CHIMBOTE 31656907 VELASQUEZ LUJERIO WILIAMS BEDER Ed. Básica Regular Primaria 12 68 80
ÁNCASH-CHIMBOTE 31657454 VIVAR GONZALES AGLIBERTO VICENTE Ed. Básica Regular Primaria 15 68 83
ÁNCASH-CHIMBOTE 31657849 CANALES FLORES JORGE LUIS Ed. Básica Regular Primaria 14 68 82
ÁNCASH-CHIMBOTE 31658553 ALVA MONTES GUZMAN ANTONIO Ed. Básica Regular Primaria 20 70 90
ÁNCASH-CHIMBOTE 31661925 LEON JULCA HERNAN ASUNCION Ed. Básica Regular Primaria 19 74 93
ÁNCASH-CHIMBOTE 31668972 LUJERIO VERGARA WALTER VICTOR Ed. Básica Regular Primaria 16 70 86
ÁNCASH-CHIMBOTE 31670847 VALVERDE CUEVA MARIA INES DEL CARMEN Ed. Básica Regular Primaria 18 70 88
ÁNCASH-CHIMBOTE 31671455 MORALES TARAZONA JULIAN DANIEL Ed. Básica Regular Primaria 16 70 86
ÁNCASH-CHIMBOTE 31761586 ORELLANO BRITO JUAN LUIS Ed. Básica Regular Primaria 12 66 78
ÁNCASH-CHIMBOTE 31772276 PATRICIO COLONIA SANTIAGO BICEFORO Ed. Básica Regular Primaria 19 66 85
ÁNCASH-CHIMBOTE 32104022 MORENO BLANQUILLO BLANCA SOFIA Ed. Básica Regular Primaria 16 66 82
ÁNCASH-CHIMBOTE 32107252 CHAMILCO RODRIGUEZ FELIX JAIME Ed. Básica Regular Primaria 15 70 85
ÁNCASH-CHIMBOTE 32108089 ESCARATE CASTILLO DE PALOMINO MARINA ELIZABETH Ed. Básica Regular Primaria 16 64 80
ÁNCASH-CHIMBOTE 32109035 CORAL PASTOR EDWARD EUTIMIO Ed. Básica Regular Primaria 19 78 97
ÁNCASH-CHIMBOTE 32109893 VASQUEZ CARBAJAL CARLOS ALBERTO Ed. Básica Regular Primaria 17 66 83
ÁNCASH-CHIMBOTE 32110180 PAZ VASQUEZ LAVINIA LUZMILA Ed. Básica Regular Primaria 14 62 76
ÁNCASH-CHIMBOTE 32110670 REYES GARCIA JESUS SANTIAGO Ed. Básica Regular Primaria 17 80 97
ÁNCASH-CHIMBOTE 32118199 GUZMAN BEDON JESUS MANUELA Ed. Básica Regular Primaria 17 68 85
ÁNCASH-CHIMBOTE 32127237 CALDERON TOLEDO JUSTINA BENEDICTA Ed. Básica Regular Primaria 16 76 92
ÁNCASH-CHIMBOTE 32129247 VEGA ENCARNACION NELSON OMAR Ed. Básica Regular Primaria 20 66 86
ÁNCASH-CHIMBOTE 32130105 GUTIERREZ CUTAMANCA FLOR MARGARITA Ed. Básica Regular Primaria 20 78 98
ÁNCASH-CHIMBOTE 32130437 VIGO SANCHEZ ABELARDO ANTONIO Ed. Básica Regular Primaria 17 64 81
4/17
Publicada: 02/08/2023
COMPRENSIÓN
LECTORA
CONOCIMIENTOS DE
GESTIÓN EDUCATIVA Y
GESTIÓN PÚBLICA
TOTAL
RELACIÓN DE POSTULANTES QUE SUPERARON LOS PUNTAJES MÍNIMOS REQUERIDOS EN LAS SUBPRUEBAS DE LA PRUEBA NACIONAL
RVM N° 166-2022-MINEDU / OFICIO N° 01896-2022-MINEDU-VMGP-DIGEDD / OFICIO N° 00063-2023-MINEDU-VMGP-DIGEDD / OFICIO N° 00141-2023-MINEDU-VMGP-DIGEDD
CONCURSO PÚBLICO DE ACCESO A CARGOS DIRECTIVOS Y DE ESPECIALISTAS EN EDUCACIÓN EN LAS INSTANCIAS DE GESTIÓN EDUCATIVA DESCENTRALIZADA 2022-2023
MODALIDAD / NIVEL EDUCATIVO
PUNTAJE DE LA PRUEBA ÚNICA NACIONAL
SEDE DONDE FUE EVALUADO
DOCUMENTO DE
IDENTIDAD
APELLIDO PATERNO APELLIDO MATERNO NOMBRES
ÁNCASH-CHIMBOTE 32130732 LARA ARTEAGA MARIA VIRGINIA Ed. Básica Regular Primaria 18 68 86
ÁNCASH-CHIMBOTE 32131593 FLORES VALERIO GUSMAN JOVITO Ed. Básica Regular Primaria 18 72 90
ÁNCASH-CHIMBOTE 32138323 ZARATE ALIAGA LUIS MIGUEL Ed. Básica Regular Primaria 13 64 77
ÁNCASH-CHIMBOTE 32138400 UCHPAS BERNUY JOSE LUIS Ed. Básica Regular Primaria 15 64 79
ÁNCASH-CHIMBOTE 32139098 NUÑEZ TRELLES JUDITH AIME Ed. Básica Regular Primaria 17 88 105
ÁNCASH-CHIMBOTE 32220992 ACERO DE LA CRUZ RENULFO Ed. Básica Regular Primaria 14 76 90
ÁNCASH-CHIMBOTE 32224405 LUCAR LAZARTE HERNAN RICARDO Ed. Básica Regular Primaria 14 76 90
ÁNCASH-CHIMBOTE 32387989 SAENZ RIVERA LILIANA DEL ROSARIO Ed. Básica Regular Primaria 14 66 80
ÁNCASH-CHIMBOTE 32521492 CAMPOS VALERIO VICTORIANO LUIS Ed. Básica Regular Primaria 17 72 89
ÁNCASH-CHIMBOTE 32524372 RUFINO REYES PANFILO ERACLIDES Ed. Básica Regular Primaria 13 60 73
ÁNCASH-CHIMBOTE 32527430 PAREDES EVANGELISTA AGUSTIN MILTON Ed. Básica Regular Primaria 18 62 80
ÁNCASH-CHIMBOTE 32534337 LEON AMBROCIO ADOLFO WILLAM Ed. Básica Regular Primaria 17 60 77
ÁNCASH-CHIMBOTE 32536577 ACOSTA GARCIA LUIS ALBERTO Ed. Básica Regular Primaria 15 60 75
ÁNCASH-CHIMBOTE 32541708 ESPINOZA GARCIA SUSANA CARMEN Ed. Básica Regular Primaria 18 66 84
ÁNCASH-CHIMBOTE 32603635 CASTILLO MORI JAVIER FRANCISCO Ed. Básica Regular Primaria 13 68 81
ÁNCASH-CHIMBOTE 32612622 VILLANUEVA HUARAG EBERTH Ed. Básica Regular Primaria 13 64 77
ÁNCASH-CHIMBOTE 32647716 ESPIRITU RAMIREZ ULDARICO ELIAS Ed. Básica Regular Primaria 13 66 79
ÁNCASH-CHIMBOTE 32732642 CAYLLAHUA GIL DE DOMINGUEZ GABY MARGARITA Ed. Básica Regular Primaria 17 60 77
ÁNCASH-CHIMBOTE 32733487 SANCHEZ GUERRA ISABEL SILVIA Ed. Básica Regular Primaria 16 74 90
ÁNCASH-CHIMBOTE 32734551 CANO TINOCO JOVANA EDITH Ed. Básica Regular Primaria 17 68 85
ÁNCASH-CHIMBOTE 32735935 VARELA AURORA GILMER ROGELIO Ed. Básica Regular Primaria 12 62 74
ÁNCASH-CHIMBOTE 32736824 RODRIGUEZ PAREJA GLADYS EMILIA Ed. Básica Regular Primaria 16 60 76
ÁNCASH-CHIMBOTE 32736913 TRUJILLO AGUERO EDWIN Ed. Básica Regular Primaria 14 60 74
ÁNCASH-CHIMBOTE 32739773 REYES GONZALES ROSARIO VIOLETA Ed. Básica Regular Primaria 13 62 75
ÁNCASH-CHIMBOTE 32766899 ANGELES MALASPINA GERMAN TIBURCIO Ed. Básica Regular Primaria 12 62 74
ÁNCASH-CHIMBOTE 32767828 LAUREANO ROSALES GREGORIO MARCIAL Ed. Básica Regular Primaria 14 68 82
ÁNCASH-CHIMBOTE 32769630 CABEL ROSALES VICTOR HUMBERTO Ed. Básica Regular Primaria 20 72 92
ÁNCASH-CHIMBOTE 32770924 SIANCAS SANTA MARIA MANUEL OCTAVIO Ed. Básica Regular Primaria 15 60 75
ÁNCASH-CHIMBOTE 32772895 AZAÑEDO MUÑOZ VICTOR HUGO Ed. Básica Regular Primaria 13 64 77
ÁNCASH-CHIMBOTE 32773622 CASTRO GUTIERREZ CARLOS JORGE Ed. Básica Regular Primaria 18 66 84
ÁNCASH-CHIMBOTE 32780482 ROMAN CARRILLO LUIS FELIPE Ed. Básica Regular Primaria 12 70 82
ÁNCASH-CHIMBOTE 32780975 ESPINOZA SANCHEZ EDUARDO SILVESTRE Ed. Básica Regular Primaria 19 76 95
ÁNCASH-CHIMBOTE 32782476 MIRABAL MEJIA MARIA SOLEDAD Ed. Básica Regular Primaria 16 62 78
5/17
Publicada: 02/08/2023
COMPRENSIÓN
LECTORA
CONOCIMIENTOS DE
GESTIÓN EDUCATIVA Y
GESTIÓN PÚBLICA
TOTAL
RELACIÓN DE POSTULANTES QUE SUPERARON LOS PUNTAJES MÍNIMOS REQUERIDOS EN LAS SUBPRUEBAS DE LA PRUEBA NACIONAL
RVM N° 166-2022-MINEDU / OFICIO N° 01896-2022-MINEDU-VMGP-DIGEDD / OFICIO N° 00063-2023-MINEDU-VMGP-DIGEDD / OFICIO N° 00141-2023-MINEDU-VMGP-DIGEDD
CONCURSO PÚBLICO DE ACCESO A CARGOS DIRECTIVOS Y DE ESPECIALISTAS EN EDUCACIÓN EN LAS INSTANCIAS DE GESTIÓN EDUCATIVA DESCENTRALIZADA 2022-2023
MODALIDAD / NIVEL EDUCATIVO
PUNTAJE DE LA PRUEBA ÚNICA NACIONAL
SEDE DONDE FUE EVALUADO
DOCUMENTO DE
IDENTIDAD
APELLIDO PATERNO APELLIDO MATERNO NOMBRES
ÁNCASH-CHIMBOTE 32784968 ROSARIO IPARRAGUIRRE JULIO CESAR Ed. Básica Regular Primaria 15 64 79
ÁNCASH-CHIMBOTE 32795358 OLIVO SALINAS NELIDA HERLINDA Ed. Básica Regular Primaria 15 62 77
ÁNCASH-CHIMBOTE 32801759 VARGAS CASTILLO ANA MARIA Ed. Básica Regular Primaria 15 74 89
ÁNCASH-CHIMBOTE 32801771 TORRES MENDOZA ANTONIETA LILIANA Ed. Básica Regular Primaria 15 70 85
ÁNCASH-CHIMBOTE 32811382 JARA VASQUEZ EVER LENY Ed. Básica Regular Primaria 17 72 89
ÁNCASH-CHIMBOTE 32812909 MUÑOZ LEYTON MANUELA ARACELI Ed. Básica Regular Primaria 17 64 81
ÁNCASH-CHIMBOTE 32813838 OLIVERA HUERTA JORGE LUIS Ed. Básica Regular Primaria 18 68 86
ÁNCASH-CHIMBOTE 32817813 AVALOS RAGAS JOSE FERNANDO Ed. Básica Regular Primaria 16 72 88
ÁNCASH-CHIMBOTE 32819886 GOMERO RIOS GLADYS JOSEFINA Ed. Básica Regular Primaria 12 76 88
ÁNCASH-CHIMBOTE 32831431 CAMPOS VEGA WAINER WILSON Ed. Básica Regular Primaria 14 68 82
ÁNCASH-CHIMBOTE 32848127 MORILLO CRIBILLEROS JACQUELINE HAYDEE Ed. Básica Regular Primaria 13 64 77
ÁNCASH-CHIMBOTE 32848965 ROBLES RUÍZ BAUDILIA VICTORIA Ed. Básica Regular Primaria 16 68 84
ÁNCASH-CHIMBOTE 32850655 MEDINA GAMBOA ROBERT HUGO Ed. Básica Regular Primaria 18 80 98
ÁNCASH-CHIMBOTE 32858128 REYES BARRIOS SERGIO AUGUSTO Ed. Básica Regular Primaria 18 62 80
ÁNCASH-CHIMBOTE 32859236 ARTEAGA PINEDO BRIGIDA ILIANA Ed. Básica Regular Primaria 17 64 81
ÁNCASH-CHIMBOTE 32868556 LAVANDERA VALVERDE LORENZO MANUEL Ed. Básica Regular Primaria 14 68 82
ÁNCASH-CHIMBOTE 32875365 QUIROZ VENTURO ZULMA VERONIKA Ed. Básica Regular Primaria 18 64 82
ÁNCASH-CHIMBOTE 32881702 PARIACHI MARTINEZ MARIA LUZ Ed. Básica Regular Primaria 16 68 84
ÁNCASH-CHIMBOTE 32884358 GOMEZ PACHERRES NELIDA FELICITAS Ed. Básica Regular Primaria 19 68 87
ÁNCASH-CHIMBOTE 32887272 PONCE ALVAREZ MELVER Ed. Básica Regular Primaria 17 76 93
ÁNCASH-CHIMBOTE 32888540 MOORE FLORES GERALDINE ELVIRA Ed. Básica Regular Primaria 14 64 78
ÁNCASH-CHIMBOTE 32899205 NAMUCHE LAZARO JOSE MANUEL Ed. Básica Regular Primaria 18 66 84
ÁNCASH-CHIMBOTE 32902897 SALINAS AGUILAR WILLIAM LEOPOLDO Ed. Básica Regular Primaria 17 72 89
ÁNCASH-CHIMBOTE 32904986 LIRA LOPEZ JUAN CONSTANTE Ed. Básica Regular Primaria 17 70 87
ÁNCASH-CHIMBOTE 32905189 SALINAS MORALES NELLY CONSUELO Ed. Básica Regular Primaria 17 64 81
ÁNCASH-CHIMBOTE 32905840 VIERA LOPEZ EDEFIR CUSTODIO Ed. Básica Regular Primaria 16 66 82
ÁNCASH-CHIMBOTE 32908201 CERNA VILLAFANA NANCY FELICITA Ed. Básica Regular Primaria 12 64 76
ÁNCASH-CHIMBOTE 32908607 ALVARADO CAPRISTAN JANNET Ed. Básica Regular Primaria 16 62 78
ÁNCASH-CHIMBOTE 32910104 CRUZADO GENOVEZ CESAR AUGUSTO Ed. Básica Regular Primaria 18 66 84
ÁNCASH-CHIMBOTE 32912916 DOMINGUEZ CASTAÑEDA LIVIA MARGARITA Ed. Básica Regular Primaria 16 74 90
ÁNCASH-CHIMBOTE 32913943 DIAZ OLANO DENNIS ALBERTO Ed. Básica Regular Primaria 16 64 80
ÁNCASH-CHIMBOTE 32915477 VEGA ANGELES PEDRO GUILLERMO Ed. Básica Regular Primaria 14 76 90
ÁNCASH-CHIMBOTE 32915947 OLASCUAGA CARRERA SARA ELIZABETH Ed. Básica Regular Primaria 17 64 81
6/17
Publicada: 02/08/2023
COMPRENSIÓN
LECTORA
CONOCIMIENTOS DE
GESTIÓN EDUCATIVA Y
GESTIÓN PÚBLICA
TOTAL
RELACIÓN DE POSTULANTES QUE SUPERARON LOS PUNTAJES MÍNIMOS REQUERIDOS EN LAS SUBPRUEBAS DE LA PRUEBA NACIONAL
RVM N° 166-2022-MINEDU / OFICIO N° 01896-2022-MINEDU-VMGP-DIGEDD / OFICIO N° 00063-2023-MINEDU-VMGP-DIGEDD / OFICIO N° 00141-2023-MINEDU-VMGP-DIGEDD
CONCURSO PÚBLICO DE ACCESO A CARGOS DIRECTIVOS Y DE ESPECIALISTAS EN EDUCACIÓN EN LAS INSTANCIAS DE GESTIÓN EDUCATIVA DESCENTRALIZADA 2022-2023
MODALIDAD / NIVEL EDUCATIVO
PUNTAJE DE LA PRUEBA ÚNICA NACIONAL
SEDE DONDE FUE EVALUADO
DOCUMENTO DE
IDENTIDAD
APELLIDO PATERNO APELLIDO MATERNO NOMBRES
ÁNCASH-CHIMBOTE 32916526 PERALES RIVERA RUBEN HERARDO Ed. Básica Regular Primaria 17 62 79
ÁNCASH-CHIMBOTE 32917176 AGUILAR FLORES MORAIMA LADY Ed. Básica Regular Primaria 16 74 90
ÁNCASH-CHIMBOTE 32917335 MENDEZ VENEROS BENILDA AURORA Ed. Básica Regular Primaria 14 60 74
ÁNCASH-CHIMBOTE 32917622 VEGA VARGAS ANCELMO Ed. Básica Regular Primaria 16 66 82
ÁNCASH-CHIMBOTE 32920297 VALDERRAMA LOAYZA FRANCISCO ARTEMIO Ed. Básica Regular Primaria 18 64 82
ÁNCASH-CHIMBOTE 32920864 BRANDAN GONZALES MAURA Ed. Básica Regular Primaria 12 62 74
ÁNCASH-CHIMBOTE 32920933 ADRIANZEN SARMIENTO SANTOS LEDY Ed. Básica Regular Primaria 13 62 75
ÁNCASH-CHIMBOTE 32922344 LAGUNA SÁNCHEZ TITO SEGUNDO Ed. Básica Regular Primaria 14 64 78
ÁNCASH-CHIMBOTE 32923762 HUETE QUIÑONEZ VILMA EDITH Ed. Básica Regular Primaria 15 66 81
ÁNCASH-CHIMBOTE 32924315 RODRIGUEZ MARTINEZ GLADYS MANUELA Ed. Básica Regular Primaria 17 60 77
ÁNCASH-CHIMBOTE 32924663 BRUNO RUIZ MARIELLA MARY Ed. Básica Regular Primaria 16 66 82
ÁNCASH-CHIMBOTE 32927768 CORDOVA DIAZ DEXY SILVIA Ed. Básica Regular Primaria 18 76 94
ÁNCASH-CHIMBOTE 32933487 OLIVARES HUAMANCHUMO JOSE MIGUEL Ed. Básica Regular Primaria 19 78 97
ÁNCASH-CHIMBOTE 32935841 SALGADO TUYA YESENIA MADELEIN Ed. Básica Regular Primaria 13 70 83
ÁNCASH-CHIMBOTE 32939616 ROMERO DIAZ SORAYA ABRIL Ed. Básica Regular Primaria 16 70 86
ÁNCASH-CHIMBOTE 32940540 MATOS HUAYTAN MERCEDES MILAGROS Ed. Básica Regular Primaria 16 68 84
ÁNCASH-CHIMBOTE 32940846 ROBLES AGUIRRE ERLIN AMED Ed. Básica Regular Primaria 16 60 76
ÁNCASH-CHIMBOTE 32942876 LOPEZ LOYOLA YENNY IVANA Ed. Básica Regular Primaria 14 74 88
ÁNCASH-CHIMBOTE 32943040 HUERTAS DIAZ OFELIA YOLANDA Ed. Básica Regular Primaria 17 72 89
ÁNCASH-CHIMBOTE 32943052 RODRIGUEZ ESPEJO MARLENI AIDE Ed. Básica Regular Primaria 19 74 93
ÁNCASH-CHIMBOTE 32946490 VALDIVIESO MATOS JOSE CARLOS Ed. Básica Regular Primaria 17 74 91
ÁNCASH-CHIMBOTE 32949011 SEGURA RUPAY ROSARIO GLADYS Ed. Básica Regular Primaria 18 82 100
ÁNCASH-CHIMBOTE 32950792 GONZALES BACA FLOR ESTHER Ed. Básica Regular Primaria 17 66 83
ÁNCASH-CHIMBOTE 32951691 VERA PLASENCIA HENRI GINO Ed. Básica Regular Primaria 18 72 90
ÁNCASH-CHIMBOTE 32951798 CALLE AVALOS LILIANA CELINDA Ed. Básica Regular Primaria 16 68 84
ÁNCASH-CHIMBOTE 32951912 FLORES ROBLES MELISSA JECCITA Ed. Básica Regular Primaria 18 68 86
ÁNCASH-CHIMBOTE 32952586 VASQUEZ PEREZ ELVER Ed. Básica Regular Primaria 16 66 82
ÁNCASH-CHIMBOTE 32952881 PEÑA BERRU SANTOS MARLEYNE Ed. Básica Regular Primaria 15 68 83
ÁNCASH-CHIMBOTE 32953034 DOMINGUEZ PONTE EDER ENRIQUE Ed. Básica Regular Primaria 18 82 100
ÁNCASH-CHIMBOTE 32953153 AVILA LAFITTE JULIA VILMA Ed. Básica Regular Primaria 18 72 90
ÁNCASH-CHIMBOTE 32956440 SICCHA CUISANO ROSA ELVIRA Ed. Básica Regular Primaria 14 68 82
ÁNCASH-CHIMBOTE 32959756 SALAZAR TURRIATE NANCY MARGARITA Ed. Básica Regular Primaria 15 66 81
ÁNCASH-CHIMBOTE 32959870 VALVERDE MONDOÑEDO DE MAZA HAYDEE CATALINA Ed. Básica Regular Primaria 20 74 94
7/17
Publicada: 02/08/2023
COMPRENSIÓN
LECTORA
CONOCIMIENTOS DE
GESTIÓN EDUCATIVA Y
GESTIÓN PÚBLICA
TOTAL
RELACIÓN DE POSTULANTES QUE SUPERARON LOS PUNTAJES MÍNIMOS REQUERIDOS EN LAS SUBPRUEBAS DE LA PRUEBA NACIONAL
RVM N° 166-2022-MINEDU / OFICIO N° 01896-2022-MINEDU-VMGP-DIGEDD / OFICIO N° 00063-2023-MINEDU-VMGP-DIGEDD / OFICIO N° 00141-2023-MINEDU-VMGP-DIGEDD
CONCURSO PÚBLICO DE ACCESO A CARGOS DIRECTIVOS Y DE ESPECIALISTAS EN EDUCACIÓN EN LAS INSTANCIAS DE GESTIÓN EDUCATIVA DESCENTRALIZADA 2022-2023
MODALIDAD / NIVEL EDUCATIVO
PUNTAJE DE LA PRUEBA ÚNICA NACIONAL
SEDE DONDE FUE EVALUADO
DOCUMENTO DE
IDENTIDAD
APELLIDO PATERNO APELLIDO MATERNO NOMBRES
ÁNCASH-CHIMBOTE 32960949 SARMIENTO PEREDA ANGELA CRISTILDA Ed. Básica Regular Primaria 17 74 91
ÁNCASH-CHIMBOTE 32961121 TRUJILLO RODRIGUEZ ZOILA ROSA Ed. Básica Regular Primaria 16 64 80
ÁNCASH-CHIMBOTE 32961828 AGUIRRE TREJO LIDIA LUCILA Ed. Básica Regular Primaria 18 62 80
ÁNCASH-CHIMBOTE 32961922 PAREDES AGUILAR IRMA MADELEYNE Ed. Básica Regular Primaria 17 72 89
ÁNCASH-CHIMBOTE 32962154 JARA VASQUEZ YURIVAN ROBINSON Ed. Básica Regular Primaria 18 68 86
ÁNCASH-CHIMBOTE 32962340 CHERO VALDIVIEZO MILAGRITOS SHIRLAY Ed. Básica Regular Primaria 17 60 77
ÁNCASH-CHIMBOTE 32962961 GONZALES IBAÑEZ IRMA IRIS Ed. Básica Regular Primaria 15 64 79
ÁNCASH-CHIMBOTE 32964923 ADANAQUE VILCHERREZ DE ALBINO ANA CECILIA Ed. Básica Regular Primaria 16 68 84
ÁNCASH-CHIMBOTE 32967678 MEJIA CABALLERO NORMA GLADYS Ed. Básica Regular Primaria 15 68 83
ÁNCASH-CHIMBOTE 32969777 COBIAN MEDINA GREGORIO OMAR Ed. Básica Regular Primaria 14 68 82
ÁNCASH-CHIMBOTE 32973551 COLONIA LEON MARTINA SONIA Ed. Básica Regular Primaria 16 64 80
ÁNCASH-CHIMBOTE 32974153 TAPIA ROJAS GLORIA MILAGROS Ed. Básica Regular Primaria 19 72 91
ÁNCASH-CHIMBOTE 32974397 CHAVEZ VILLARREAL MELINA SADITH Ed. Básica Regular Primaria 18 68 86
ÁNCASH-CHIMBOTE 32974658 FAJARDO FAJARDO MARINO CELEDONIO Ed. Básica Regular Primaria 14 82 96
ÁNCASH-CHIMBOTE 32977293 AVALOS AURORA SANTOS EDILBERTO Ed. Básica Regular Primaria 19 66 85
ÁNCASH-CHIMBOTE 32978329 MUÑOZ GAMBINI MARTHA ERCILIA Ed. Básica Regular Primaria 18 84 102
ÁNCASH-CHIMBOTE 32978431 ESPINOZA GUEVARA ZOILA ALEJANDRINA Ed. Básica Regular Primaria 17 64 81
ÁNCASH-CHIMBOTE 32978707 QUISPE SALAZAR MAGALY EVA Ed. Básica Regular Primaria 16 68 84
ÁNCASH-CHIMBOTE 32978918 OLIVARES SANCHEZ ROSA FRANCISCA Ed. Básica Regular Primaria 14 60 74
ÁNCASH-CHIMBOTE 32979326 DAVILA QUIÑONES MIRIAN MARGOT Ed. Básica Regular Primaria 17 60 77
ÁNCASH-CHIMBOTE 32979476 MORAN RUIZ ORLANDO Ed. Básica Regular Primaria 13 70 83
ÁNCASH-CHIMBOTE 32979517 VILLAFANA CALLAN JOSE FERNANDO Ed. Básica Regular Primaria 17 68 85
ÁNCASH-CHIMBOTE 32980987 ALARCON MAESTRE SONIA YOLANDA Ed. Básica Regular Primaria 17 64 81
ÁNCASH-CHIMBOTE 32980990 VILLANQUE ALEGRE BORIS VLADIMIR Ed. Básica Regular Primaria 14 74 88
ÁNCASH-CHIMBOTE 32982136 DIAZ VARGAS KATTY KARIM Ed. Básica Regular Primaria 16 76 92
ÁNCASH-CHIMBOTE 32982584 TALLEDO GUARNIZ MARIA SOLEDAD Ed. Básica Regular Primaria 16 70 86
ÁNCASH-CHIMBOTE 32983423 LINARES ESPINOZA MAGALY YURISSAN Ed. Básica Regular Primaria 16 64 80
ÁNCASH-CHIMBOTE 32983828 ZUÑIGA ALARCON JUAN ARMANDO Ed. Básica Regular Primaria 18 70 88
ÁNCASH-CHIMBOTE 32985721 MURGA POLO LIDIA ANGELICA Ed. Básica Regular Primaria 19 60 79
ÁNCASH-CHIMBOTE 32986485 BADA QUISPE OCTAVIO FERMIN Ed. Básica Regular Primaria 19 74 93
ÁNCASH-CHIMBOTE 32987020 MARTINEZ LOZANO NORMA ISMARY Ed. Básica Regular Primaria 19 82 101
ÁNCASH-CHIMBOTE 32987486 ARISTA CUEVA RICHARD GILMER Ed. Básica Regular Primaria 16 62 78
ÁNCASH-CHIMBOTE 32989499 VILLANUEVA RAMIREZ HEIDY JESSENIA Ed. Básica Regular Primaria 16 68 84
8/17
Publicada: 02/08/2023
COMPRENSIÓN
LECTORA
CONOCIMIENTOS DE
GESTIÓN EDUCATIVA Y
GESTIÓN PÚBLICA
TOTAL
RELACIÓN DE POSTULANTES QUE SUPERARON LOS PUNTAJES MÍNIMOS REQUERIDOS EN LAS SUBPRUEBAS DE LA PRUEBA NACIONAL
RVM N° 166-2022-MINEDU / OFICIO N° 01896-2022-MINEDU-VMGP-DIGEDD / OFICIO N° 00063-2023-MINEDU-VMGP-DIGEDD / OFICIO N° 00141-2023-MINEDU-VMGP-DIGEDD
CONCURSO PÚBLICO DE ACCESO A CARGOS DIRECTIVOS Y DE ESPECIALISTAS EN EDUCACIÓN EN LAS INSTANCIAS DE GESTIÓN EDUCATIVA DESCENTRALIZADA 2022-2023
MODALIDAD / NIVEL EDUCATIVO
PUNTAJE DE LA PRUEBA ÚNICA NACIONAL
SEDE DONDE FUE EVALUADO
DOCUMENTO DE
IDENTIDAD
APELLIDO PATERNO APELLIDO MATERNO NOMBRES
ÁNCASH-CHIMBOTE 32989786 CASTILLO ZARATE NORMA SOLEDAD Ed. Básica Regular Primaria 18 76 94
ÁNCASH-CHIMBOTE 32999013 ARTEAGA CARMONA LUCY TANIA Ed. Básica Regular Primaria 16 70 86
ÁNCASH-CHIMBOTE 33249255 VASQUEZ BOLAÑOS EMILIO JUSTO Ed. Básica Regular Primaria 12 68 80
ÁNCASH-CHIMBOTE 33250672 JESUS MIRANDA JAQUELIM GUIOLMARI Ed. Básica Regular Primaria 15 76 91
ÁNCASH-CHIMBOTE 33250721 DIESTRA AZAÑA GILMER FRANCISCO Ed. Básica Regular Primaria 18 76 94
ÁNCASH-CHIMBOTE 33261618 RAMIREZ MIRANDA MARIVEL DEL PILAR Ed. Básica Regular Primaria 15 70 85
ÁNCASH-CHIMBOTE 33261877 GUIMARAY GUEVARA MIRIANA ELIZABETH Ed. Básica Regular Primaria 18 64 82
ÁNCASH-CHIMBOTE 33261980 VARGAS VALENZUELA GLORIA MARTHA Ed. Básica Regular Primaria 15 66 81
ÁNCASH-CHIMBOTE 33262818 ESPINOZA TAMARIZ MARITZA DEL PILAR Ed. Básica Regular Primaria 13 62 75
ÁNCASH-CHIMBOTE 33263786 MARTINEZ DOMINGUEZ BEATRIZ ELIZABETH Ed. Básica Regular Primaria 17 72 89
ÁNCASH-CHIMBOTE 33264741 MONTOYA RUPAY ELENA RITA Ed. Básica Regular Primaria 13 64 77
ÁNCASH-CHIMBOTE 33265130 SUAREZ CORTEZ HERLINDA VICTORIA Ed. Básica Regular Primaria 18 70 88
ÁNCASH-CHIMBOTE 33327335 AYALA ROJAS CARLOS ROBERTO Ed. Básica Regular Primaria 17 66 83
ÁNCASH-CHIMBOTE 33336444 SULLCA OBREGON HENRY GILBERT Ed. Básica Regular Primaria 13 60 73
ÁNCASH-CHIMBOTE 40201710 MENDEZ MENDEZ ANITA ISABEL Ed. Básica Regular Primaria 17 72 89
ÁNCASH-CHIMBOTE 40341448 VIDAL GOÑI MILER MANOLI Ed. Básica Regular Primaria 17 70 87
ÁNCASH-CHIMBOTE 40495173 CONTRERAS BERNARDO MIGUEL ANGEL Ed. Básica Regular Primaria 18 72 90
ÁNCASH-CHIMBOTE 40779137 ZEVALLOS ROQUE IRIS KARINA Ed. Básica Regular Primaria 16 66 82
ÁNCASH-CHIMBOTE 41166936 ROSALES BURGA MIRLA DEL PILAR Ed. Básica Regular Primaria 19 82 101
ÁNCASH-CHIMBOTE 41361076 LEYTON FLORES ELIZABETH LUCIA Ed. Básica Regular Primaria 17 62 79
ÁNCASH-CHIMBOTE 41361097 PALAVECINO CORAL DANNY MAXIMO Ed. Básica Regular Primaria 18 68 86
ÁNCASH-CHIMBOTE 41385531 GOMERO CARDENAS NEYDA MAGALY Ed. Básica Regular Primaria 18 78 96
ÁNCASH-CHIMBOTE 41681584 GUIDO JARA JUAN ENRIQUE Ed. Básica Regular Primaria 15 70 85
ÁNCASH-CHIMBOTE 41807697 CRUZ MERINO VIRGINIA Ed. Básica Regular Primaria 18 70 88
ÁNCASH-CHIMBOTE 41821210 SULFA URBANO YESSICA LISET Ed. Básica Regular Primaria 15 72 87
ÁNCASH-CHIMBOTE 42182742 RODRIGUEZ ESPEJO RONALD WILFREDO Ed. Básica Regular Primaria 15 62 77
ÁNCASH-CHIMBOTE 42257992 CENTURION PEREZ ADRIANA ISABEL Ed. Básica Regular Primaria 18 64 82
ÁNCASH-CHIMBOTE 42409992 RUFINO EUSEBIO KAREN ALEXI Ed. Básica Regular Primaria 15 62 77
ÁNCASH-CHIMBOTE 42458658 ESTEBAN ANTAURCO MILLER JONEL Ed. Básica Regular Primaria 16 66 82
ÁNCASH-CHIMBOTE 43079693 SAAVEDRA HUANCA ELMER Ed. Básica Regular Primaria 18 74 92
ÁNCASH-CHIMBOTE 43410329 ARBILDO ABANTO ESTHER FIORELLA Ed. Básica Regular Primaria 15 64 79
ÁNCASH-CHIMBOTE 43701714 MENDOZA SILVA FANNY ROSMERY Ed. Básica Regular Primaria 12 70 82
ÁNCASH-CHIMBOTE 45973387 GONZALES CARBAJAL LIZBETH ROCIO Ed. Básica Regular Primaria 18 76 94
9/17
Publicada: 02/08/2023
COMPRENSIÓN
LECTORA
CONOCIMIENTOS DE
GESTIÓN EDUCATIVA Y
GESTIÓN PÚBLICA
TOTAL
RELACIÓN DE POSTULANTES QUE SUPERARON LOS PUNTAJES MÍNIMOS REQUERIDOS EN LAS SUBPRUEBAS DE LA PRUEBA NACIONAL
RVM N° 166-2022-MINEDU / OFICIO N° 01896-2022-MINEDU-VMGP-DIGEDD / OFICIO N° 00063-2023-MINEDU-VMGP-DIGEDD / OFICIO N° 00141-2023-MINEDU-VMGP-DIGEDD
CONCURSO PÚBLICO DE ACCESO A CARGOS DIRECTIVOS Y DE ESPECIALISTAS EN EDUCACIÓN EN LAS INSTANCIAS DE GESTIÓN EDUCATIVA DESCENTRALIZADA 2022-2023
MODALIDAD / NIVEL EDUCATIVO
PUNTAJE DE LA PRUEBA ÚNICA NACIONAL
SEDE DONDE FUE EVALUADO
DOCUMENTO DE
IDENTIDAD
APELLIDO PATERNO APELLIDO MATERNO NOMBRES
ÁNCASH-CHIMBOTE 46085968 JARA ALAVEDRA JENNYFER PATRICIA Ed. Básica Regular Primaria 17 80 97
ÁNCASH-CHIMBOTE 02167494 QUISPE SILLO PEDRO Ed. Básica Regular Secundaria 14 66 80
ÁNCASH-CHIMBOTE 06158990 TAMARIZ ORTIZ MARIA DOLORES Ed. Básica Regular Secundaria 18 76 94
ÁNCASH-CHIMBOTE 07036052 GUAYLUPO CUMPLIDO LUIS ALBERTO Ed. Básica Regular Secundaria 19 72 91
ÁNCASH-CHIMBOTE 07879180 VELASCO SILVA ELDA Ed. Básica Regular Secundaria 15 64 79
ÁNCASH-CHIMBOTE 08316240 GARCIA DIESTRA OLINDA EGIPCIACA Ed. Básica Regular Secundaria 15 60 75
ÁNCASH-CHIMBOTE 08875039 TELLO CASTILLO ELVIRA Ed. Básica Regular Secundaria 15 64 79
ÁNCASH-CHIMBOTE 08960783 BALOIS ESTRADA JILBERTO FERNANDO Ed. Básica Regular Secundaria 15 70 85
ÁNCASH-CHIMBOTE 16802886 AQUINO DAMIAN LUIS AGUSTIN Ed. Básica Regular Secundaria 16 60 76
ÁNCASH-CHIMBOTE 17925436 SALVATIERRA CUEVA FLOR MARIA Ed. Básica Regular Secundaria 19 68 87
ÁNCASH-CHIMBOTE 18116039 AGUILAR VELASQUEZ MIRYAM YSABEL Ed. Básica Regular Secundaria 18 66 84
ÁNCASH-CHIMBOTE 18205139 PAJILLA ALEJANDRO EDITH Ed. Básica Regular Secundaria 16 72 88
ÁNCASH-CHIMBOTE 18835888 GONZALES SANTISTEBAN ANA LUZ Ed. Básica Regular Secundaria 14 60 74
ÁNCASH-CHIMBOTE 19188374 CASTRO ZANONI ORLAND KENEDDY Ed. Básica Regular Secundaria 18 76 94
ÁNCASH-CHIMBOTE 19664744 SICCHA CUSTODIO NELLY EUFROCINA Ed. Básica Regular Secundaria 14 68 82
ÁNCASH-CHIMBOTE 25743423 HERRERA RAMOS JULIO WALDER Ed. Básica Regular Secundaria 16 60 76
ÁNCASH-CHIMBOTE 26641397 LEYVA MIRANDA SEGUNDO RAMON Ed. Básica Regular Secundaria 16 66 82
ÁNCASH-CHIMBOTE 26689141 MENDOZA CABRERA NORA DEL ROSARIO Ed. Básica Regular Secundaria 14 64 78
ÁNCASH-CHIMBOTE 27915889 VELEZMORO PALACIOS WALTER ALFREDO Ed. Básica Regular Secundaria 18 72 90
ÁNCASH-CHIMBOTE 31609619 VILLON CADILLO GHERSI OCTAVIANO Ed. Básica Regular Secundaria 14 66 80
ÁNCASH-CHIMBOTE 31616276 ALVA MONTES TOMÁS DAVID Ed. Básica Regular Secundaria 12 76 88
ÁNCASH-CHIMBOTE 31651555 MORENO SUAREZ JOSE LUIS Ed. Básica Regular Secundaria 14 60 74
ÁNCASH-CHIMBOTE 31658990 LEON OROPEZA ELOY DIODONO Ed. Básica Regular Secundaria 13 60 73
ÁNCASH-CHIMBOTE 31663668 LLAMOCTANTA ARIAS MIRTHA MIRIAM Ed. Básica Regular Secundaria 17 64 81
ÁNCASH-CHIMBOTE 31664070 CAMONES BARRETO GAUDENCIO ROMULO Ed. Básica Regular Secundaria 17 80 97
ÁNCASH-CHIMBOTE 31665254 AGUILAR TARAZONA ISAIAS ANTONIO Ed. Básica Regular Secundaria 14 74 88
ÁNCASH-CHIMBOTE 31669104 ORIHUELA GARCIA ROSENDO GERARDO Ed. Básica Regular Secundaria 15 60 75
ÁNCASH-CHIMBOTE 31672124 ALVARADO CUEVA JEMUEL WILLIAM Ed. Básica Regular Secundaria 20 76 96
ÁNCASH-CHIMBOTE 31677609 LEON TREJO HERNAN EFRAIN Ed. Básica Regular Secundaria 17 70 87
ÁNCASH-CHIMBOTE 32100435 MIRANDA SANCHEZ JAVIER LIZARDO Ed. Básica Regular Secundaria 15 60 75
ÁNCASH-CHIMBOTE 32104664 LEYVA GUIZABAL ROSARIA GUADALUPE Ed. Básica Regular Secundaria 15 68 83
ÁNCASH-CHIMBOTE 32105145 GUTIERREZ ESCARATE WILBERT DAVID Ed. Básica Regular Secundaria 14 76 90
ÁNCASH-CHIMBOTE 32108418 BRAVO MENDOZA GLADIS ELENA Ed. Básica Regular Secundaria 13 66 79
10/17
Publicada: 02/08/2023
COMPRENSIÓN
LECTORA
CONOCIMIENTOS DE
GESTIÓN EDUCATIVA Y
GESTIÓN PÚBLICA
TOTAL
RELACIÓN DE POSTULANTES QUE SUPERARON LOS PUNTAJES MÍNIMOS REQUERIDOS EN LAS SUBPRUEBAS DE LA PRUEBA NACIONAL
RVM N° 166-2022-MINEDU / OFICIO N° 01896-2022-MINEDU-VMGP-DIGEDD / OFICIO N° 00063-2023-MINEDU-VMGP-DIGEDD / OFICIO N° 00141-2023-MINEDU-VMGP-DIGEDD
CONCURSO PÚBLICO DE ACCESO A CARGOS DIRECTIVOS Y DE ESPECIALISTAS EN EDUCACIÓN EN LAS INSTANCIAS DE GESTIÓN EDUCATIVA DESCENTRALIZADA 2022-2023
MODALIDAD / NIVEL EDUCATIVO
PUNTAJE DE LA PRUEBA ÚNICA NACIONAL
SEDE DONDE FUE EVALUADO
DOCUMENTO DE
IDENTIDAD
APELLIDO PATERNO APELLIDO MATERNO NOMBRES
ÁNCASH-CHIMBOTE 32109731 CANTARO MEJIA HILARIO LOVER Ed. Básica Regular Secundaria 16 74 90
ÁNCASH-CHIMBOTE 32109885 YARLEQUE GONZALES TANIA LORENA Ed. Básica Regular Secundaria 14 68 82
ÁNCASH-CHIMBOTE 32110345 LOCKUAN LAVADO OFELIA BRENILDA Ed. Básica Regular Secundaria 18 74 92
ÁNCASH-CHIMBOTE 32110361 CABELLO CALERO ROGER WILDE Ed. Básica Regular Secundaria 17 60 77
ÁNCASH-CHIMBOTE 32110687 USQUIANO MORALES RAUL FERNANDO Ed. Básica Regular Secundaria 15 74 89
ÁNCASH-CHIMBOTE 32110838 SANCHEZ CHAVEZ TANIA MAGNOLIA Ed. Básica Regular Secundaria 18 74 92
ÁNCASH-CHIMBOTE 32113260 QUILLASH HUERTA EUGENIO HERNAN Ed. Básica Regular Secundaria 13 68 81
ÁNCASH-CHIMBOTE 32120778 CARDENAS ROSALES EVA ELVIRA Ed. Básica Regular Secundaria 17 74 91
ÁNCASH-CHIMBOTE 32121895 PEREZ ROBLES JUAN ROMAN Ed. Básica Regular Secundaria 15 62 77
ÁNCASH-CHIMBOTE 32124493 CASTILLO DIAZ KEY ROSANITA Ed. Básica Regular Secundaria 14 60 74
ÁNCASH-CHIMBOTE 32125010 JUAREZ ARIAS JAVIER ENRIQUE Ed. Básica Regular Secundaria 16 64 80
ÁNCASH-CHIMBOTE 32125045 CUELLAR QUITO ALFREDO GUADALUPE Ed. Básica Regular Secundaria 15 68 83
ÁNCASH-CHIMBOTE 32125540 HUERTA YACUPOMA ALICIA MARGARITA Ed. Básica Regular Secundaria 17 82 99
ÁNCASH-CHIMBOTE 32127476 ZEGARRA YUI ROSA OLIVIA Ed. Básica Regular Secundaria 16 88 104
ÁNCASH-CHIMBOTE 32128779 MINAYA MENDEZ TIMOTEO MARCO Ed. Básica Regular Secundaria 14 64 78
ÁNCASH-CHIMBOTE 32129973 CABELLO GARCIA CLIMACO ELISEO Ed. Básica Regular Secundaria 16 68 84
ÁNCASH-CHIMBOTE 32130242 GUERRERO MEJIA LIBIA LEONIDAS Ed. Básica Regular Secundaria 16 66 82
ÁNCASH-CHIMBOTE 32130531 MUÑOZ RIVERO OMAR HARLAM Ed. Básica Regular Secundaria 15 66 81
ÁNCASH-CHIMBOTE 32130562 LOPEZ EVARISTO VICTOR ANTONIO Ed. Básica Regular Secundaria 18 74 92
ÁNCASH-CHIMBOTE 32130871 SERNAQUE CASTILLO CAROLINA DEL PILAR Ed. Básica Regular Secundaria 20 70 90
ÁNCASH-CHIMBOTE 32130956 LLONTOP GUTIERREZ PEDRO VICTOR Ed. Básica Regular Secundaria 15 72 87
ÁNCASH-CHIMBOTE 32132084 LUDEÑA CHAVEZ LUIS ALBERTO Ed. Básica Regular Secundaria 12 72 84
ÁNCASH-CHIMBOTE 32133641 AGURTO MARCHAN MARIA VERONICA Ed. Básica Regular Secundaria 12 68 80
ÁNCASH-CHIMBOTE 32135013 PANTOJA CADENILLAS FRANCY AGUSTIN Ed. Básica Regular Secundaria 19 68 87
ÁNCASH-CHIMBOTE 32226264 SANCHEZ HERRERA RUBEN Ed. Básica Regular Secundaria 13 68 81
ÁNCASH-CHIMBOTE 32402990 RODRIGUEZ ALVAREZ RICHARD VICTORIANO Ed. Básica Regular Secundaria 19 80 99
ÁNCASH-CHIMBOTE 32403933 RODRIGUEZ RAMOS WILLIAM MARCIAL Ed. Básica Regular Secundaria 17 80 97
ÁNCASH-CHIMBOTE 32406913 GONZALES PAJUELO OLIMPIADES ABUDEMIO Ed. Básica Regular Secundaria 12 70 82
ÁNCASH-CHIMBOTE 32538524 MARQUEZ TARMA MARCELINO GUILLERMO Ed. Básica Regular Secundaria 17 70 87
ÁNCASH-CHIMBOTE 32541465 CASTRO BARRUETO JOSE IGNACIO Ed. Básica Regular Secundaria 18 68 86
ÁNCASH-CHIMBOTE 32542208 ESQUIVEL ROSADO MANUEL JOSE Ed. Básica Regular Secundaria 13 76 89
ÁNCASH-CHIMBOTE 32542962 VASQUEZ MARTELL EDITH MARIA Ed. Básica Regular Secundaria 14 66 80
ÁNCASH-CHIMBOTE 32543155 CARRILLO SANCHEZ GLADYS SOLEDAD Ed. Básica Regular Secundaria 20 68 88
11/17
Publicada: 02/08/2023
COMPRENSIÓN
LECTORA
CONOCIMIENTOS DE
GESTIÓN EDUCATIVA Y
GESTIÓN PÚBLICA
TOTAL
RELACIÓN DE POSTULANTES QUE SUPERARON LOS PUNTAJES MÍNIMOS REQUERIDOS EN LAS SUBPRUEBAS DE LA PRUEBA NACIONAL
RVM N° 166-2022-MINEDU / OFICIO N° 01896-2022-MINEDU-VMGP-DIGEDD / OFICIO N° 00063-2023-MINEDU-VMGP-DIGEDD / OFICIO N° 00141-2023-MINEDU-VMGP-DIGEDD
CONCURSO PÚBLICO DE ACCESO A CARGOS DIRECTIVOS Y DE ESPECIALISTAS EN EDUCACIÓN EN LAS INSTANCIAS DE GESTIÓN EDUCATIVA DESCENTRALIZADA 2022-2023
MODALIDAD / NIVEL EDUCATIVO
PUNTAJE DE LA PRUEBA ÚNICA NACIONAL
SEDE DONDE FUE EVALUADO
DOCUMENTO DE
IDENTIDAD
APELLIDO PATERNO APELLIDO MATERNO NOMBRES
ÁNCASH-CHIMBOTE 32647440 TUYA LEON WHION ELEUTERIO Ed. Básica Regular Secundaria 17 74 91
ÁNCASH-CHIMBOTE 32657680 TINOCO MARIÑO WALDEMAR JOSE Ed. Básica Regular Secundaria 14 84 98
ÁNCASH-CHIMBOTE 32658071 LEON TREJO WILDER MICHAEL Ed. Básica Regular Secundaria 17 66 83
ÁNCASH-CHIMBOTE 32732118 SCAMARONE PRECIADO MARÍA CELIA Ed. Básica Regular Secundaria 12 60 72
ÁNCASH-CHIMBOTE 32732868 MATOS HUAYTAN PILAR HONORINA Ed. Básica Regular Secundaria 17 68 85
ÁNCASH-CHIMBOTE 32734432 ZUÑIGA QUEZADA MARIA YSABEL Ed. Básica Regular Secundaria 17 60 77
ÁNCASH-CHIMBOTE 32735324 FARFAN LUCAR EDYTH CONSUELO Ed. Básica Regular Secundaria 14 76 90
ÁNCASH-CHIMBOTE 32736583 RONDAN PALACIOS BLANCA MERCEDES Ed. Básica Regular Secundaria 16 66 82
ÁNCASH-CHIMBOTE 32737832 VELA ALEJOS MILTON CESAR Ed. Básica Regular Secundaria 13 72 85
ÁNCASH-CHIMBOTE 32738755 QUIROZ MURGA JORGE ALBERTO Ed. Básica Regular Secundaria 18 80 98
ÁNCASH-CHIMBOTE 32739089 MELGAREJO RODRIGUEZ ELIUD SILAS Ed. Básica Regular Secundaria 14 78 92
ÁNCASH-CHIMBOTE 32739997 PONCE ARROYO NILTON JAVIER Ed. Básica Regular Secundaria 17 72 89
ÁNCASH-CHIMBOTE 32740069 JARAMILLO FLORES ALBERTO JAIME Ed. Básica Regular Secundaria 17 68 85
ÁNCASH-CHIMBOTE 32761458 MENDEZ ANGELES HAYDEE ELIZABETH Ed. Básica Regular Secundaria 16 80 96
ÁNCASH-CHIMBOTE 32763008 PAUCAR PLACIDA GLADYS MARLENI Ed. Básica Regular Secundaria 17 68 85
ÁNCASH-CHIMBOTE 32765208 HURTADO MENDIETA EDUARDO FRANCISCO Ed. Básica Regular Secundaria 17 82 99
ÁNCASH-CHIMBOTE 32766822 FALLA ENRIQUEZ TITO RICARDO Ed. Básica Regular Secundaria 15 76 91
ÁNCASH-CHIMBOTE 32771033 MIRANDA VASQUEZ LUIS ALBERTO Ed. Básica Regular Secundaria 14 62 76
ÁNCASH-CHIMBOTE 32774277 PONTE DOMINGUEZ MILFOR AMADO Ed. Básica Regular Secundaria 12 74 86
ÁNCASH-CHIMBOTE 32780309 AZAÑERO RUIZ CARLOS ANTONIO Ed. Básica Regular Secundaria 12 60 72
ÁNCASH-CHIMBOTE 32782641 VENTURA LOPEZ ESTEBAN BENANCIO Ed. Básica Regular Secundaria 17 72 89
ÁNCASH-CHIMBOTE 32785891 LOZANO VEREAU LUIS ANGELO Ed. Básica Regular Secundaria 17 76 93
ÁNCASH-CHIMBOTE 32785900 PONTE CIPRA YONY FREDDY Ed. Básica Regular Secundaria 16 78 94
ÁNCASH-CHIMBOTE 32786925 MOSTACERO GONZALES HERNOLDE LUIS Ed. Básica Regular Secundaria 16 70 86
ÁNCASH-CHIMBOTE 32789981 NAVARRO LAZARO ROSA LOURDES Ed. Básica Regular Secundaria 15 64 79
ÁNCASH-CHIMBOTE 32791267 MORENO JAIMES NILO WILFREDO Ed. Básica Regular Secundaria 14 66 80
ÁNCASH-CHIMBOTE 32794978 CRUZALEGUI SIFUENTES JOSE LUIS Ed. Básica Regular Secundaria 15 72 87
ÁNCASH-CHIMBOTE 32799994 ZAPATA VASQUEZ LUIS CESAR Ed. Básica Regular Secundaria 16 64 80
ÁNCASH-CHIMBOTE 32805458 MUÑOZ PACHECO LUIS ALBERTO Ed. Básica Regular Secundaria 19 84 103
ÁNCASH-CHIMBOTE 32809363 MARIÑOS GUZMAN LOURDES HAYDEE Ed. Básica Regular Secundaria 16 80 96
ÁNCASH-CHIMBOTE 32817249 IPARRAGUIRRE RAMOS CESAR MARIANO Ed. Básica Regular Secundaria 18 80 98
ÁNCASH-CHIMBOTE 32820065 PAJUELO PAJUELO JUAN MAURO Ed. Básica Regular Secundaria 13 62 75
ÁNCASH-CHIMBOTE 32822312 REQUE MILLONES JOSE ORLANDO Ed. Básica Regular Secundaria 12 60 72
12/17
Publicada: 02/08/2023
COMPRENSIÓN
LECTORA
CONOCIMIENTOS DE
GESTIÓN EDUCATIVA Y
GESTIÓN PÚBLICA
TOTAL
RELACIÓN DE POSTULANTES QUE SUPERARON LOS PUNTAJES MÍNIMOS REQUERIDOS EN LAS SUBPRUEBAS DE LA PRUEBA NACIONAL
RVM N° 166-2022-MINEDU / OFICIO N° 01896-2022-MINEDU-VMGP-DIGEDD / OFICIO N° 00063-2023-MINEDU-VMGP-DIGEDD / OFICIO N° 00141-2023-MINEDU-VMGP-DIGEDD
CONCURSO PÚBLICO DE ACCESO A CARGOS DIRECTIVOS Y DE ESPECIALISTAS EN EDUCACIÓN EN LAS INSTANCIAS DE GESTIÓN EDUCATIVA DESCENTRALIZADA 2022-2023
MODALIDAD / NIVEL EDUCATIVO
PUNTAJE DE LA PRUEBA ÚNICA NACIONAL
SEDE DONDE FUE EVALUADO
DOCUMENTO DE
IDENTIDAD
APELLIDO PATERNO APELLIDO MATERNO NOMBRES
ÁNCASH-CHIMBOTE 32836366 AYLLON CARBAJAL ANA MARIA Ed. Básica Regular Secundaria 15 60 75
ÁNCASH-CHIMBOTE 32844006 DANOS PRINCIPE ELVA YOLANDA Ed. Básica Regular Secundaria 16 72 88
ÁNCASH-CHIMBOTE 32849866 LAURE ALVAREZ MARIA AURORA Ed. Básica Regular Secundaria 15 60 75
ÁNCASH-CHIMBOTE 32853325 LOPEZ MARTINEZ GILMER ROBINSON Ed. Básica Regular Secundaria 12 60 72
ÁNCASH-CHIMBOTE 32860100 VALDERRAMA DOMINGUEZ MARIA JONE Ed. Básica Regular Secundaria 14 70 84
ÁNCASH-CHIMBOTE 32860769 BLAS JAIME SUSANA HAYDEE Ed. Básica Regular Secundaria 15 66 81
ÁNCASH-CHIMBOTE 32861815 VEGA MANTILLA SANTOS EFRAÍN Ed. Básica Regular Secundaria 14 70 84
ÁNCASH-CHIMBOTE 32861938 MARTINEZ ALEJOS MIGUEL ANGEL Ed. Básica Regular Secundaria 18 76 94
ÁNCASH-CHIMBOTE 32862381 EUSEBIO BARDALES MARLENE JESUS Ed. Básica Regular Secundaria 16 74 90
ÁNCASH-CHIMBOTE 32862668 VALENTIN FLORES BENICIO Ed. Básica Regular Secundaria 15 76 91
ÁNCASH-CHIMBOTE 32866811 GONZALES MALCA PEDRO ASCENCION Ed. Básica Regular Secundaria 17 60 77
ÁNCASH-CHIMBOTE 32873009 POLO BOLO SEGUNDO MAURO Ed. Básica Regular Secundaria 12 74 86
ÁNCASH-CHIMBOTE 32873059 VALDIVIEZO LOAYZA MIRTHA FANY Ed. Básica Regular Secundaria 18 78 96
ÁNCASH-CHIMBOTE 32882150 MORENO BLANQUILLO CARLOS ANTONIO Ed. Básica Regular Secundaria 15 76 91
ÁNCASH-CHIMBOTE 32882450 VARA VEGA CIPRIANO Ed. Básica Regular Secundaria 12 64 76
ÁNCASH-CHIMBOTE 32884988 PARIACHI MARTINEZ GUADALUPE ORFELINDA Ed. Básica Regular Secundaria 19 74 93
ÁNCASH-CHIMBOTE 32885078 MORENO MORENO CORNELIO ROGELIO Ed. Básica Regular Secundaria 19 74 93
ÁNCASH-CHIMBOTE 32888063 MENDEZ CHAVEZ JUDITH JANET Ed. Básica Regular Secundaria 16 68 84
ÁNCASH-CHIMBOTE 32888741 VALERIO SILVA MARYLUZ MARGOT Ed. Básica Regular Secundaria 17 64 81
ÁNCASH-CHIMBOTE 32889243 SALDAÑA DIAZ CONCEPCION Ed. Básica Regular Secundaria 16 72 88
ÁNCASH-CHIMBOTE 32902325 BOCANEGRA GUTIERREZ EDUARDO GENARO Ed. Básica Regular Secundaria 16 82 98
ÁNCASH-CHIMBOTE 32907027 PUELLES DE LA CRUZ NELIDA GLADYS Ed. Básica Regular Secundaria 15 62 77
ÁNCASH-CHIMBOTE 32909170 UCAÑAN RIVERO ELIZABETH MARISOL Ed. Básica Regular Secundaria 17 64 81
ÁNCASH-CHIMBOTE 32910411 SANCHEZ ROSALES JANET MIRIAM Ed. Básica Regular Secundaria 15 72 87
ÁNCASH-CHIMBOTE 32910676 VILLENA ACOSTA SEGUNDO JORGE Ed. Básica Regular Secundaria 14 66 80
ÁNCASH-CHIMBOTE 32911200 GONZALES IZQUIERDO SEGUNDO MANUEL Ed. Básica Regular Secundaria 19 72 91
ÁNCASH-CHIMBOTE 32911251 RUIZ ROSALES JOSE EDILBERTO Ed. Básica Regular Secundaria 18 60 78
ÁNCASH-CHIMBOTE 32911371 BALTA SEVILLANO PATRICIA VIRGINIA Ed. Básica Regular Secundaria 18 76 94
ÁNCASH-CHIMBOTE 32911964 MORE CRUZ JUAN RAMON Ed. Básica Regular Secundaria 17 74 91
ÁNCASH-CHIMBOTE 32913421 CORDOVA ALEGRE JOSE ANDRES Ed. Básica Regular Secundaria 17 66 83
ÁNCASH-CHIMBOTE 32914644 CABRERA MEDINA DORIS ELENA Ed. Básica Regular Secundaria 18 68 86
ÁNCASH-CHIMBOTE 32915486 SALINAS CASTILLO ABRAHAM Ed. Básica Regular Secundaria 16 70 86
ÁNCASH-CHIMBOTE 32915630 DURAND ARTEAGA RAUL ALBERTO Ed. Básica Regular Secundaria 18 70 88
13/17
Publicada: 02/08/2023
COMPRENSIÓN
LECTORA
CONOCIMIENTOS DE
GESTIÓN EDUCATIVA Y
GESTIÓN PÚBLICA
TOTAL
RELACIÓN DE POSTULANTES QUE SUPERARON LOS PUNTAJES MÍNIMOS REQUERIDOS EN LAS SUBPRUEBAS DE LA PRUEBA NACIONAL
RVM N° 166-2022-MINEDU / OFICIO N° 01896-2022-MINEDU-VMGP-DIGEDD / OFICIO N° 00063-2023-MINEDU-VMGP-DIGEDD / OFICIO N° 00141-2023-MINEDU-VMGP-DIGEDD
CONCURSO PÚBLICO DE ACCESO A CARGOS DIRECTIVOS Y DE ESPECIALISTAS EN EDUCACIÓN EN LAS INSTANCIAS DE GESTIÓN EDUCATIVA DESCENTRALIZADA 2022-2023
MODALIDAD / NIVEL EDUCATIVO
PUNTAJE DE LA PRUEBA ÚNICA NACIONAL
SEDE DONDE FUE EVALUADO
DOCUMENTO DE
IDENTIDAD
APELLIDO PATERNO APELLIDO MATERNO NOMBRES
ÁNCASH-CHIMBOTE 32916126 GARCIA DE LA CRUZ OLGA LILIANA Ed. Básica Regular Secundaria 17 74 91
ÁNCASH-CHIMBOTE 32916661 FERNANDEZ VALDEZ DE MELENDEZ DORIS HILDA Ed. Básica Regular Secundaria 15 60 75
ÁNCASH-CHIMBOTE 32916708 CHAVARRY TRUJILLO SILVIA CARMEN Ed. Básica Regular Secundaria 15 60 75
ÁNCASH-CHIMBOTE 32917339 GARCIA CORAL GUSTAVO OMAR Ed. Básica Regular Secundaria 18 72 90
ÁNCASH-CHIMBOTE 32919045 APONTE GOMEZ CLEVER Ed. Básica Regular Secundaria 15 66 81
ÁNCASH-CHIMBOTE 32919116 SANTOS ROLDAN JUDITH NILDA Ed. Básica Regular Secundaria 15 76 91
ÁNCASH-CHIMBOTE 32919922 NINAQUISPE CHUQUIMANGO PABLO ROBERTO Ed. Básica Regular Secundaria 16 74 90
ÁNCASH-CHIMBOTE 32920647 CARDENAS DEL RIO NANCY MATILDE Ed. Básica Regular Secundaria 20 76 96
ÁNCASH-CHIMBOTE 32920993 GOICOCHEA IBARRA LAURA Ed. Básica Regular Secundaria 16 66 82
ÁNCASH-CHIMBOTE 32921244 MONTENEGRO VIVAR PILAR AURORA Ed. Básica Regular Secundaria 16 84 100
ÁNCASH-CHIMBOTE 32921468 ESPINOZA GARRO MIRIAM VIOLETA Ed. Básica Regular Secundaria 17 68 85
ÁNCASH-CHIMBOTE 32921842 PAJUELO LÓPEZ LUCIO FRANKLIN Ed. Básica Regular Secundaria 14 62 76
ÁNCASH-CHIMBOTE 32923319 RODRIGUEZ ESPEJO VICENTE RAMON Ed. Básica Regular Secundaria 18 74 92
ÁNCASH-CHIMBOTE 32923459 BARRENO FLORES JAVIER EDUARDO Ed. Básica Regular Secundaria 16 72 88
ÁNCASH-CHIMBOTE 32923898 LUCERO BUENO BERTHA ELIZABETH Ed. Básica Regular Secundaria 17 80 97
ÁNCASH-CHIMBOTE 32924585 PASTOR RODRIGUEZ JANETH Ed. Básica Regular Secundaria 15 60 75
ÁNCASH-CHIMBOTE 32925925 CHERO VALDIVIESO EDGAR AUGUSTO Ed. Básica Regular Secundaria 17 74 91
ÁNCASH-CHIMBOTE 32927905 RODRIGUEZ MONTENEGRO JOSE LUIS Ed. Básica Regular Secundaria 16 62 78
ÁNCASH-CHIMBOTE 32927954 VASQUEZ JANADA MARCOS EDWIN Ed. Básica Regular Secundaria 14 70 84
ÁNCASH-CHIMBOTE 32928284 CHERO CASTRO FREYDER LUIS Ed. Básica Regular Secundaria 17 76 93
ÁNCASH-CHIMBOTE 32928343 ZAVALETA PINEDO ALBARO RUBEN Ed. Básica Regular Secundaria 12 70 82
ÁNCASH-CHIMBOTE 32928569 SUAREZ CHIROQUE NORMA LAURA Ed. Básica Regular Secundaria 16 64 80
ÁNCASH-CHIMBOTE 32930386 SOSA SANDOVAL JENNEVIENE JANET Ed. Básica Regular Secundaria 15 66 81
ÁNCASH-CHIMBOTE 32932212 DIAZ BARRANTES CARMEN MARIA Ed. Básica Regular Secundaria 14 64 78
ÁNCASH-CHIMBOTE 32933378 MELGAREJO MORALES ANA ESTHER Ed. Básica Regular Secundaria 19 62 81
ÁNCASH-CHIMBOTE 32935335 VALOIS MILLA ELSA YRENE Ed. Básica Regular Secundaria 16 70 86
ÁNCASH-CHIMBOTE 32935926 TOLENTINO RUIZ ESTEBAN Ed. Básica Regular Secundaria 16 62 78
ÁNCASH-CHIMBOTE 32940365 VELASQUEZ TURRIATE LUCRECIA ODELI Ed. Básica Regular Secundaria 16 62 78
ÁNCASH-CHIMBOTE 32941756 CARRASCO CARRION EDUARDO LUIS Ed. Básica Regular Secundaria 18 74 92
ÁNCASH-CHIMBOTE 32944543 VASQUEZ RODRIGUEZ GUILLERMO JAIR Ed. Básica Regular Secundaria 14 60 74
ÁNCASH-CHIMBOTE 32947674 ZAVALA ENRIQUEZ ALEJANDRO Ed. Básica Regular Secundaria 13 62 75
ÁNCASH-CHIMBOTE 32948623 VALDERRAMA RUIZ ERMITANIO HERIBERTO Ed. Básica Regular Secundaria 16 66 82
ÁNCASH-CHIMBOTE 32949674 AVALOS GONZALEZ TERESA ISOLINA Ed. Básica Regular Secundaria 18 66 84
14/17
Publicada: 02/08/2023
COMPRENSIÓN
LECTORA
CONOCIMIENTOS DE
GESTIÓN EDUCATIVA Y
GESTIÓN PÚBLICA
TOTAL
RELACIÓN DE POSTULANTES QUE SUPERARON LOS PUNTAJES MÍNIMOS REQUERIDOS EN LAS SUBPRUEBAS DE LA PRUEBA NACIONAL
RVM N° 166-2022-MINEDU / OFICIO N° 01896-2022-MINEDU-VMGP-DIGEDD / OFICIO N° 00063-2023-MINEDU-VMGP-DIGEDD / OFICIO N° 00141-2023-MINEDU-VMGP-DIGEDD
CONCURSO PÚBLICO DE ACCESO A CARGOS DIRECTIVOS Y DE ESPECIALISTAS EN EDUCACIÓN EN LAS INSTANCIAS DE GESTIÓN EDUCATIVA DESCENTRALIZADA 2022-2023
MODALIDAD / NIVEL EDUCATIVO
PUNTAJE DE LA PRUEBA ÚNICA NACIONAL
SEDE DONDE FUE EVALUADO
DOCUMENTO DE
IDENTIDAD
APELLIDO PATERNO APELLIDO MATERNO NOMBRES
ÁNCASH-CHIMBOTE 32949814 PATRICIO CORDOVA MARCOS AMARO Ed. Básica Regular Secundaria 14 70 84
ÁNCASH-CHIMBOTE 32950877 PEREZ MEJIA CESAR ANDRES Ed. Básica Regular Secundaria 13 68 81
ÁNCASH-CHIMBOTE 32951501 SOLIS HUAMAN JAVIER FERNANDO Ed. Básica Regular Secundaria 16 64 80
ÁNCASH-CHIMBOTE 32951542 CALVO VILLAFANA ELBA NANCY Ed. Básica Regular Secundaria 15 60 75
ÁNCASH-CHIMBOTE 32952552 OLORTEGUI MORALES MARGARET IDELSA Ed. Básica Regular Secundaria 16 84 100
ÁNCASH-CHIMBOTE 32952581 ROJAS SILVA ANITA MARINA Ed. Básica Regular Secundaria 15 60 75
ÁNCASH-CHIMBOTE 32953342 ITURRIA HUAMAN ROBERT ALBERTO Ed. Básica Regular Secundaria 16 80 96
ÁNCASH-CHIMBOTE 32953364 HIDALGO OLIVOS FRANCISCO CRUZ Ed. Básica Regular Secundaria 16 62 78
ÁNCASH-CHIMBOTE 32953723 MIRANDA VALENCIA JUANA NOEMI Ed. Básica Regular Secundaria 18 64 82
ÁNCASH-CHIMBOTE 32955468 CALVO VILLAFANA ROSA VIRGINIA Ed. Básica Regular Secundaria 15 70 85
ÁNCASH-CHIMBOTE 32956238 ARMAS IPARRAGUIRRE JORGE LUIS Ed. Básica Regular Secundaria 19 80 99
ÁNCASH-CHIMBOTE 32956240 ACOSTA AGUILAR GENARO RAYMUNDO Ed. Básica Regular Secundaria 19 74 93
ÁNCASH-CHIMBOTE 32956901 TARAZONA RIOS ZOYLA ROSARIO Ed. Básica Regular Secundaria 16 70 86
ÁNCASH-CHIMBOTE 32959357 PONCE VASQUEZ KARINA YANET Ed. Básica Regular Secundaria 17 72 89
ÁNCASH-CHIMBOTE 32959483 RUBINO FISCARRALD LIDIA MARIA Ed. Básica Regular Secundaria 18 76 94
ÁNCASH-CHIMBOTE 32959871 MAZA COBEÑAS ROGGER ALFREDO Ed. Básica Regular Secundaria 15 62 77
ÁNCASH-CHIMBOTE 32960338 PEREZ ALVAREZ AMELIA RAQUEL Ed. Básica Regular Secundaria 13 68 81
ÁNCASH-CHIMBOTE 32961337 BLAS GARCIA ALICIA YSABEL Ed. Básica Regular Secundaria 15 62 77
ÁNCASH-CHIMBOTE 32964134 ALVITES QUEZADA MARCO ANTONIO Ed. Básica Regular Secundaria 18 76 94
ÁNCASH-CHIMBOTE 32966448 GOMEZ SIGUAS GLORIA ISABEL Ed. Básica Regular Secundaria 13 68 81
ÁNCASH-CHIMBOTE 32966496 CORAL AVILA ERICA MERCEDES Ed. Básica Regular Secundaria 18 72 90
ÁNCASH-CHIMBOTE 32967376 VASQUEZ ROLDAN DOMINICA LUCIA Ed. Básica Regular Secundaria 17 72 89
ÁNCASH-CHIMBOTE 32967977 GONZALES BRICEÑO DORIS YESENIA Ed. Básica Regular Secundaria 18 70 88
ÁNCASH-CHIMBOTE 32968018 ALVAREZ MURILLO SILVIA INES Ed. Básica Regular Secundaria 17 68 85
ÁNCASH-CHIMBOTE 32968731 RISCO QUESQUEN SILVIA MAGALY Ed. Básica Regular Secundaria 16 84 100
ÁNCASH-CHIMBOTE 32975622 ALZAMORA DE NIMA RUTH NELLY Ed. Básica Regular Secundaria 16 72 88
ÁNCASH-CHIMBOTE 32975731 YAUCE CORNEJO GABY ROSMERY Ed. Básica Regular Secundaria 15 70 85
ÁNCASH-CHIMBOTE 32977667 PONTE DOMINGUEZ MARGARITA YUDIT Ed. Básica Regular Secundaria 18 64 82
ÁNCASH-CHIMBOTE 32977806 AVALOS AURORA ALVARO Ed. Básica Regular Secundaria 19 60 79
ÁNCASH-CHIMBOTE 32977988 CANTARO CASTRO ROBERTO PEDRO Ed. Básica Regular Secundaria 15 68 83
ÁNCASH-CHIMBOTE 32979208 VALDEZ CERNA LILIANA DEL PILAR Ed. Básica Regular Secundaria 20 70 90
ÁNCASH-CHIMBOTE 32981199 ROMAN RAMOS DINA HAYDEE Ed. Básica Regular Secundaria 16 72 88
ÁNCASH-CHIMBOTE 32984204 FLORES VACA EDER NIKEY Ed. Básica Regular Secundaria 19 64 83
15/17
Publicada: 02/08/2023
COMPRENSIÓN
LECTORA
CONOCIMIENTOS DE
GESTIÓN EDUCATIVA Y
GESTIÓN PÚBLICA
TOTAL
RELACIÓN DE POSTULANTES QUE SUPERARON LOS PUNTAJES MÍNIMOS REQUERIDOS EN LAS SUBPRUEBAS DE LA PRUEBA NACIONAL
RVM N° 166-2022-MINEDU / OFICIO N° 01896-2022-MINEDU-VMGP-DIGEDD / OFICIO N° 00063-2023-MINEDU-VMGP-DIGEDD / OFICIO N° 00141-2023-MINEDU-VMGP-DIGEDD
CONCURSO PÚBLICO DE ACCESO A CARGOS DIRECTIVOS Y DE ESPECIALISTAS EN EDUCACIÓN EN LAS INSTANCIAS DE GESTIÓN EDUCATIVA DESCENTRALIZADA 2022-2023
MODALIDAD / NIVEL EDUCATIVO
PUNTAJE DE LA PRUEBA ÚNICA NACIONAL
SEDE DONDE FUE EVALUADO
DOCUMENTO DE
IDENTIDAD
APELLIDO PATERNO APELLIDO MATERNO NOMBRES
ÁNCASH-CHIMBOTE 32984386 HORA MANRIQUE ISABEL SUSY Ed. Básica Regular Secundaria 16 66 82
ÁNCASH-CHIMBOTE 32984867 VALVERDE SALAZAR LUIS FERNANDO Ed. Básica Regular Secundaria 17 64 81
ÁNCASH-CHIMBOTE 32989600 BOLAÑOS NARCISO EMELDA OLOVY Ed. Básica Regular Secundaria 17 74 91
ÁNCASH-CHIMBOTE 32992152 BRICEÑO TOLENTINO VIVIAN JORGE Ed. Básica Regular Secundaria 19 68 87
ÁNCASH-CHIMBOTE 32992457 TERRONES LOPEZ IRIS RENE Ed. Básica Regular Secundaria 17 74 91
ÁNCASH-CHIMBOTE 32992694 CAMPOS ANGELES SAMUEL JULIAN Ed. Básica Regular Secundaria 19 76 95
ÁNCASH-CHIMBOTE 33241078 LAZARO MORENO VICTOR FELIX Ed. Básica Regular Secundaria 14 60 74
ÁNCASH-CHIMBOTE 33261891 LINARES ESPINOZA PATRICIA KATERINE Ed. Básica Regular Secundaria 18 66 84
ÁNCASH-CHIMBOTE 33263828 ARIAS NUÑUVERO EDWIN RAMON Ed. Básica Regular Secundaria 17 80 97
ÁNCASH-CHIMBOTE 33264133 RODRIGUEZ JULCA NOEMI MARGARITA Ed. Básica Regular Secundaria 18 74 92
ÁNCASH-CHIMBOTE 33264243 MORENO PEREZ HECTOR TULIO Ed. Básica Regular Secundaria 16 72 88
ÁNCASH-CHIMBOTE 33265162 MAGUIÑA QUIÑONES DE VERGARA NELLY MILAGRO Ed. Básica Regular Secundaria 14 60 74
ÁNCASH-CHIMBOTE 33265579 SANCHEZ PORTAL DE TAPIA HAYDEE Ed. Básica Regular Secundaria 13 60 73
ÁNCASH-CHIMBOTE 33320287 FLORES SOSA CELSO NAZARIO Ed. Básica Regular Secundaria 12 62 74
ÁNCASH-CHIMBOTE 33340155 ALVA ORTEGA ESBER RICARDO Ed. Básica Regular Secundaria 15 68 83
ÁNCASH-CHIMBOTE 33340237 RAMIREZ SOLIS ELMER HUGO Ed. Básica Regular Secundaria 15 60 75
ÁNCASH-CHIMBOTE 40065429 ROLDAN FLORES YESSICA PATRICIA Ed. Básica Regular Secundaria 17 62 79
ÁNCASH-CHIMBOTE 40071343 TRUJILLO ROLDAN ISABEL ROXANA Ed. Básica Regular Secundaria 15 68 83
ÁNCASH-CHIMBOTE 40085583 ALVARADO AGUILAR ANA ANGELICA Ed. Básica Regular Secundaria 14 64 78
ÁNCASH-CHIMBOTE 40092207 ANAYA CARRILLO CESAR CAMILO Ed. Básica Regular Secundaria 15 66 81
ÁNCASH-CHIMBOTE 40105744 CABALLERO PEREDA DE REAÑO JETZABEL MARIA Ed. Básica Regular Secundaria 20 66 86
ÁNCASH-CHIMBOTE 40129269 ZAMORA MALDONADO MARGARITA ISABEL Ed. Básica Regular Secundaria 16 68 84
ÁNCASH-CHIMBOTE 40133503 MIRANDA MELGAREJO GUILLERMO AUGUSTO Ed. Básica Regular Secundaria 16 60 76
ÁNCASH-CHIMBOTE 40183979 AGUILAR RAO MARLENY ROCIO Ed. Básica Regular Secundaria 16 82 98
ÁNCASH-CHIMBOTE 40391614 FLORES LUNA GUIDO ALBERTO Ed. Básica Regular Secundaria 16 66 82
ÁNCASH-CHIMBOTE 40458287 TORRES MEJIA CENINA MILAGRITOS Ed. Básica Regular Secundaria 18 76 94
ÁNCASH-CHIMBOTE 40469626 ARTEAGA TORRES ESTHER CRISTINA Ed. Básica Regular Secundaria 14 74 88
ÁNCASH-CHIMBOTE 40485797 CAPA CRUZADO MONICA ARACELLI Ed. Básica Regular Secundaria 17 62 79
ÁNCASH-CHIMBOTE 40635616 ITA SEVILLANO LUIS ENRIQUE Ed. Básica Regular Secundaria 18 66 84
ÁNCASH-CHIMBOTE 40655068 BARBIE ARELLANO DE SALETTI MAIRA YVONNE Ed. Básica Regular Secundaria 16 72 88
ÁNCASH-CHIMBOTE 40657660 VEGA VIDAL WUALNER JENSEN Ed. Básica Regular Secundaria 19 68 87
ÁNCASH-CHIMBOTE 40665172 VIVAR CALDERON JUAN JOSE Ed. Básica Regular Secundaria 17 84 101
ÁNCASH-CHIMBOTE 40836883 DELGADO HERRERA FELIX Ed. Básica Regular Secundaria 19 78 97
16/17
Publicada: 02/08/2023
COMPRENSIÓN
LECTORA
CONOCIMIENTOS DE
GESTIÓN EDUCATIVA Y
GESTIÓN PÚBLICA
TOTAL
RELACIÓN DE POSTULANTES QUE SUPERARON LOS PUNTAJES MÍNIMOS REQUERIDOS EN LAS SUBPRUEBAS DE LA PRUEBA NACIONAL
RVM N° 166-2022-MINEDU / OFICIO N° 01896-2022-MINEDU-VMGP-DIGEDD / OFICIO N° 00063-2023-MINEDU-VMGP-DIGEDD / OFICIO N° 00141-2023-MINEDU-VMGP-DIGEDD
CONCURSO PÚBLICO DE ACCESO A CARGOS DIRECTIVOS Y DE ESPECIALISTAS EN EDUCACIÓN EN LAS INSTANCIAS DE GESTIÓN EDUCATIVA DESCENTRALIZADA 2022-2023
MODALIDAD / NIVEL EDUCATIVO
PUNTAJE DE LA PRUEBA ÚNICA NACIONAL
SEDE DONDE FUE EVALUADO
DOCUMENTO DE
IDENTIDAD
APELLIDO PATERNO APELLIDO MATERNO NOMBRES
ÁNCASH-CHIMBOTE 40844378 FLORES RODRIGUEZ RONNY MILLER Ed. Básica Regular Secundaria 17 64 81
ÁNCASH-CHIMBOTE 40890114 JARA QUINO GILMER PROSPEDIO Ed. Básica Regular Secundaria 15 74 89
ÁNCASH-CHIMBOTE 40968236 HUAMAN CABRERA LUIS ANGEL Ed. Básica Regular Secundaria 16 60 76
ÁNCASH-CHIMBOTE 40987495 ALAYO EVARISTO FREDY GUSTAVO Ed. Básica Regular Secundaria 16 68 84
ÁNCASH-CHIMBOTE 41080597 VILCA VARGAS WILBER ROLANDO Ed. Básica Regular Secundaria 18 80 98
ÁNCASH-CHIMBOTE 41173981 CASTILLO CASTILLO DEISY PATRICIA Ed. Básica Regular Secundaria 18 84 102
ÁNCASH-CHIMBOTE 41282001 PAICO COC JAHAIRA ELIZABETH Ed. Básica Regular Secundaria 18 64 82
ÁNCASH-CHIMBOTE 41624412 GURRIONERO MATIAS DIANA VICTORIA Ed. Básica Regular Secundaria 18 80 98
ÁNCASH-CHIMBOTE 41678107 VÁSQUEZ BENITES JOSÉ ARTURO Ed. Básica Regular Secundaria 17 82 99
ÁNCASH-CHIMBOTE 41832270 GUZMAN CORTEZ JUAN MANUEL Ed. Básica Regular Secundaria 17 70 87
ÁNCASH-CHIMBOTE 41946113 CABALLERO LEON ZENON YANPIER Ed. Básica Regular Secundaria 17 66 83
ÁNCASH-CHIMBOTE 41982967 VILCA CRUZADO ROSANGELA PAMELA Ed. Básica Regular Secundaria 16 72 88
ÁNCASH-CHIMBOTE 42288863 ALVA VASQUEZ MILTON CESAR Ed. Básica Regular Secundaria 15 70 85
ÁNCASH-CHIMBOTE 42348514 FLORES CORREA EDIN OMAR Ed. Básica Regular Secundaria 19 60 79
ÁNCASH-CHIMBOTE 42671734 ALBA NECIOSUP KATIA GUISELLA Ed. Básica Regular Secundaria 14 68 82
ÁNCASH-CHIMBOTE 42948856 REGALADO CASTAÑEDA JOSE FERNAN Ed. Básica Regular Secundaria 19 68 87
ÁNCASH-CHIMBOTE 43447116 RODRIGUEZ VALVERDE PILAR LUCIA Ed. Básica Regular Secundaria 17 70 87
ÁNCASH-CHIMBOTE 44030581 ATENCIO VICENTE MERY OFELIA Ed. Básica Regular Secundaria 15 60 75
ÁNCASH-CHIMBOTE 44397431 BARCO JARA JENRY BONY Ed. Básica Regular Secundaria 20 72 92
ÁNCASH-CHIMBOTE 45446939 MOZOMBITE DOMINGUEZ KAREN DARCEY Ed. Básica Regular Secundaria 17 66 83
ÁNCASH-CHIMBOTE 45555556 CASANA TARAZONA DORA Ed. Básica Regular Secundaria 19 68 87
ÁNCASH-CHIMBOTE 45650141 QUEZADA LIÑAN DENNISSE MARGOTH Ed. Básica Regular Secundaria 16 60 76
ÁNCASH-CHIMBOTE 47379372 GÁLVEZ SÁNCHEZ LUIGÜI FELIX Ed. Básica Regular Secundaria 19 66 85
ÁNCASH-CHIMBOTE 80255092 BRAVO MENDOZA DAVID MAXIMO Ed. Básica Regular Secundaria 18 62 80
ÁNCASH-CHIMBOTE 80465524 ZAVALETA MIRANDA JOHNNY ELOY Ed. Básica Regular Secundaria 12 64 76
ÁNCASH-CHIMBOTE 10034076 CARO SÁNCHEZ GALLEGOS OMAR Ed. Técnico-Productiva 13 80 93
ÁNCASH-CHIMBOTE 16170066 MENDIETA GOMEZ NERIDA RAQUEL Ed. Técnico-Productiva 15 64 79
ÁNCASH-CHIMBOTE 32774440 GUEVARA ZELAYA WALTER Ed. Técnico-Productiva 16 62 78
ÁNCASH-CHIMBOTE 32866331 CERRINOS BARROSO MIGUEL ROLANDO Ed. Técnico-Productiva 13 68 81
ÁNCASH-CHIMBOTE 32914658 ASCON LOYAGA ELMER TACITO Ed. Técnico-Productiva 15 62 77
ÁNCASH-CHIMBOTE 32985263 TORREJON CANO ALEX ALBERTO Ed. Técnico-Productiva 16 68 84
ÁNCASH-CHIMBOTE 33264003 GARCIA DE LA CRUZ EDULFO Ed. Técnico-Productiva 16 74 90
17/17

11691014827ÁNCASH-CHIMBOTE.pdf

  • 1.
    Publicada: 02/08/2023 COMPRENSIÓN LECTORA CONOCIMIENTOS DE GESTIÓNEDUCATIVA Y GESTIÓN PÚBLICA TOTAL ÁNCASH-CHIMBOTE 31661927 MEJIA URIBE MADELEYNE LUZ Ed. Básica Alternativa Avanzado 17 74 91 ÁNCASH-CHIMBOTE 32762951 BARRUETO BRICEÑO MARCOS ANTONIO Ed. Básica Alternativa Avanzado 17 78 95 ÁNCASH-CHIMBOTE 32790092 RAMIREZ VASQUEZ BLANCA MARIELA Ed. Básica Alternativa Avanzado 13 76 89 ÁNCASH-CHIMBOTE 32869148 RENGIFO MENDOZA AUGUSTO Ed. Básica Alternativa Avanzado 14 60 74 ÁNCASH-CHIMBOTE 32875225 ARISTA CUEVA JORGE MIGUEL Ed. Básica Alternativa Avanzado 17 68 85 ÁNCASH-CHIMBOTE 32914160 VENTURA GUANILO NANCY FLOR Ed. Básica Alternativa Avanzado 17 62 79 ÁNCASH-CHIMBOTE 33342760 CUSI ANGELES RICHARD CESAR Ed. Básica Alternativa Avanzado 14 60 74 ÁNCASH-CHIMBOTE 31644343 VALVERDE CUEVA RUBEN DARIO Ed. Básica Alternativa Inicial / Intermedio 17 60 77 ÁNCASH-CHIMBOTE 10126811 SANCHEZ CHAVEZ DARIA REINA Ed. Básica Especial 16 76 92 ÁNCASH-CHIMBOTE 32818026 MEJIA DAMIAN MARIA DEL PILAR Ed. Básica Especial 16 66 82 ÁNCASH-CHIMBOTE 32823807 MANRIQUE AÑAZGO ELIANA MERCEDES Ed. Básica Especial 17 76 93 ÁNCASH-CHIMBOTE 31664932 ARANDA FLORES ROSARIO MARIA Ed. Básica Regular Inicial 16 62 78 ÁNCASH-CHIMBOTE 31672237 RONDAN MORALES ROCIO DEL PILAR Ed. Básica Regular Inicial 12 62 74 ÁNCASH-CHIMBOTE 32109939 CASTILLO ARANIBAR MIRTA GUADALUPE Ed. Básica Regular Inicial 17 68 85 ÁNCASH-CHIMBOTE 32111354 ROJO ARDILES DELIA BENIGNA Ed. Básica Regular Inicial 19 62 81 ÁNCASH-CHIMBOTE 32122584 VILLAFANE RAMIREZ FLOR DE MARIA NORMA Ed. Básica Regular Inicial 18 64 82 ÁNCASH-CHIMBOTE 32135690 ROSALES HUERTA DORIS REBECA Ed. Básica Regular Inicial 15 60 75 ÁNCASH-CHIMBOTE 32136883 MACEDO HILARIO AYDE ENMA Ed. Básica Regular Inicial 18 60 78 ÁNCASH-CHIMBOTE 32610530 AÑORGA CIRILO MARILUZ MARLENY Ed. Básica Regular Inicial 15 72 87 ÁNCASH-CHIMBOTE 32732181 BARRENECHEA CUEVA YANET PATRICIA Ed. Básica Regular Inicial 18 86 104 ÁNCASH-CHIMBOTE 32736323 GUERRERO SANCHEZ ELSIE DEL PILAR Ed. Básica Regular Inicial 16 62 78 ÁNCASH-CHIMBOTE 32763129 CRUZALEGUI SIFUENTES VDA DE RODRIGUEZ ELNA DARCEY Ed. Básica Regular Inicial 17 80 97 ÁNCASH-CHIMBOTE 32773567 VARAS BOZA LUCY JOANET Ed. Básica Regular Inicial 14 64 78 ÁNCASH-CHIMBOTE 32773587 VILCHEZ FLORES MERCEDES ROXANA Ed. Básica Regular Inicial 19 74 93 ÁNCASH-CHIMBOTE 32783990 QUEZADA QUEZADA ELIDA Ed. Básica Regular Inicial 15 70 85 ÁNCASH-CHIMBOTE 32790739 VASQUEZ DIAZ YRMA NANCY Ed. Básica Regular Inicial 16 72 88 ÁNCASH-CHIMBOTE 32832130 UCEDA GIL JUANA BRIGIDA Ed. Básica Regular Inicial 15 66 81 ÁNCASH-CHIMBOTE 32846421 CALLAN ABREGO ROSA ZENEIDA Ed. Básica Regular Inicial 16 72 88 ÁNCASH-CHIMBOTE 32858488 OLIVARES HUAMANCHUMO OLGA MARIVI Ed. Básica Regular Inicial 15 74 89 ÁNCASH-CHIMBOTE 32888242 MARTINEZ SANCHEZ TERESA ISABEL Ed. Básica Regular Inicial 16 72 88 ÁNCASH-CHIMBOTE 32906453 QUISPE ZAVALETA MARIA ESTHER Ed. Básica Regular Inicial 16 62 78 ÁNCASH-CHIMBOTE 32907835 GUEVARA VASQUEZ CONSUELO BASELIZA Ed. Básica Regular Inicial 18 78 96 ÁNCASH-CHIMBOTE 32924644 VILLANUEVA TORRES MILUSKA VIANE Ed. Básica Regular Inicial 15 60 75 RELACIÓN DE POSTULANTES QUE SUPERARON LOS PUNTAJES MÍNIMOS REQUERIDOS EN LAS SUBPRUEBAS DE LA PRUEBA NACIONAL RVM N° 166-2022-MINEDU / OFICIO N° 01896-2022-MINEDU-VMGP-DIGEDD / OFICIO N° 00063-2023-MINEDU-VMGP-DIGEDD / OFICIO N° 00141-2023-MINEDU-VMGP-DIGEDD CONCURSO PÚBLICO DE ACCESO A CARGOS DIRECTIVOS Y DE ESPECIALISTAS EN EDUCACIÓN EN LAS INSTANCIAS DE GESTIÓN EDUCATIVA DESCENTRALIZADA 2022-2023 MODALIDAD / NIVEL EDUCATIVO PUNTAJE DE LA PRUEBA ÚNICA NACIONAL SEDE DONDE FUE EVALUADO DOCUMENTO DE IDENTIDAD APELLIDO PATERNO APELLIDO MATERNO NOMBRES 1/17
  • 2.
    Publicada: 02/08/2023 COMPRENSIÓN LECTORA CONOCIMIENTOS DE GESTIÓNEDUCATIVA Y GESTIÓN PÚBLICA TOTAL RELACIÓN DE POSTULANTES QUE SUPERARON LOS PUNTAJES MÍNIMOS REQUERIDOS EN LAS SUBPRUEBAS DE LA PRUEBA NACIONAL RVM N° 166-2022-MINEDU / OFICIO N° 01896-2022-MINEDU-VMGP-DIGEDD / OFICIO N° 00063-2023-MINEDU-VMGP-DIGEDD / OFICIO N° 00141-2023-MINEDU-VMGP-DIGEDD CONCURSO PÚBLICO DE ACCESO A CARGOS DIRECTIVOS Y DE ESPECIALISTAS EN EDUCACIÓN EN LAS INSTANCIAS DE GESTIÓN EDUCATIVA DESCENTRALIZADA 2022-2023 MODALIDAD / NIVEL EDUCATIVO PUNTAJE DE LA PRUEBA ÚNICA NACIONAL SEDE DONDE FUE EVALUADO DOCUMENTO DE IDENTIDAD APELLIDO PATERNO APELLIDO MATERNO NOMBRES ÁNCASH-CHIMBOTE 32926747 ANCACHI LLANOS SUSANA MILAGROS Ed. Básica Regular Inicial 15 66 81 ÁNCASH-CHIMBOTE 32930651 NUÑEZ GAMARRA ROSARIO DEL PILAR Ed. Básica Regular Inicial 16 62 78 ÁNCASH-CHIMBOTE 32932788 JIMENEZ LÓPEZ LITA YSABEL Ed. Básica Regular Inicial 18 78 96 ÁNCASH-CHIMBOTE 32939083 CEDEÑO VERGARA RITA JOVANA Ed. Básica Regular Inicial 15 68 83 ÁNCASH-CHIMBOTE 32939996 ABANTO TOLEDO SILVIA DEL PILAR Ed. Básica Regular Inicial 14 62 76 ÁNCASH-CHIMBOTE 32941623 CANO VEGA MIRIAM AMANDA Ed. Básica Regular Inicial 17 62 79 ÁNCASH-CHIMBOTE 32943230 ABANTO SANCHEZ MARLENY Ed. Básica Regular Inicial 13 70 83 ÁNCASH-CHIMBOTE 32947018 CALDERON CASTILLO TERESA FABIOLA Ed. Básica Regular Inicial 12 60 72 ÁNCASH-CHIMBOTE 32949202 LAVADO MORILLO MARIA LEONOR Ed. Básica Regular Inicial 13 60 73 ÁNCASH-CHIMBOTE 32957760 CURO GORDILLO CECILIA YVONNE Ed. Básica Regular Inicial 19 62 81 ÁNCASH-CHIMBOTE 32961506 ARICA TINOCO VIOLETA ESMERALDA Ed. Básica Regular Inicial 17 64 81 ÁNCASH-CHIMBOTE 32966238 COLQUE CASAS GENARA Ed. Básica Regular Inicial 16 64 80 ÁNCASH-CHIMBOTE 32966766 AVALOS GARCIA ROCIO DEL PILAR Ed. Básica Regular Inicial 15 68 83 ÁNCASH-CHIMBOTE 32968497 TOLENTINO CALDERON ERIKA JOVANNY Ed. Básica Regular Inicial 17 60 77 ÁNCASH-CHIMBOTE 32970932 RAMIREZ JARA RITA FLOR Ed. Básica Regular Inicial 13 60 73 ÁNCASH-CHIMBOTE 32979798 RODRIGUEZ VALVERDE LUCY EDITH Ed. Básica Regular Inicial 15 68 83 ÁNCASH-CHIMBOTE 32981941 MORE CRUZ MARIBEL LOURDES Ed. Básica Regular Inicial 16 68 84 ÁNCASH-CHIMBOTE 32982082 FIGUEROA PEREZ MAGALI ELIZABETH Ed. Básica Regular Inicial 17 66 83 ÁNCASH-CHIMBOTE 32983063 ARMAS FERRER JANET ALICIA Ed. Básica Regular Inicial 14 62 76 ÁNCASH-CHIMBOTE 32983464 GUERRA MANRIQUE JESUS MARIA Ed. Básica Regular Inicial 13 66 79 ÁNCASH-CHIMBOTE 33263038 MORALES FANO SHIRLEY Ed. Básica Regular Inicial 13 78 91 ÁNCASH-CHIMBOTE 40340082 VILLANUEVA GAVIDIA JUANA LOURDES Ed. Básica Regular Inicial 15 76 91 ÁNCASH-CHIMBOTE 40532059 CARLIN NARRO DE RODAS ROCIO MILAGROS Ed. Básica Regular Inicial 16 60 76 ÁNCASH-CHIMBOTE 40998428 BOLAÑOS AVALOS ELIZABETH SHIRLEY Ed. Básica Regular Inicial 18 64 82 ÁNCASH-CHIMBOTE 41101770 COTILLO FLORES SILVIA EVELYN Ed. Básica Regular Inicial 15 74 89 ÁNCASH-CHIMBOTE 41361789 ABANTO VEGA ANA DEL PILAR Ed. Básica Regular Inicial 15 62 77 ÁNCASH-CHIMBOTE 41390703 ARANDA VARGAS TATIANA Ed. Básica Regular Inicial 17 70 87 ÁNCASH-CHIMBOTE 41847495 ULLOA LOPEZ JHESENIA KATHERYNE Ed. Básica Regular Inicial 15 64 79 ÁNCASH-CHIMBOTE 41897013 CHINCHAY DOMINGUEZ LOURDES MILAGROS Ed. Básica Regular Inicial 18 70 88 ÁNCASH-CHIMBOTE 41932001 YACILA PAREDES MAGDALY DIVA Ed. Básica Regular Inicial 16 64 80 ÁNCASH-CHIMBOTE 42412646 PAREDES DIAZ KARINA MABEL Ed. Básica Regular Inicial 17 66 83 ÁNCASH-CHIMBOTE 42480058 CASTILLO QUIROZ JUANA DEL PILAR Ed. Básica Regular Inicial 20 82 102 ÁNCASH-CHIMBOTE 42485212 QUINTANA YARLEQUE JACQUELINE NEREIDA Ed. Básica Regular Inicial 12 60 72 2/17
  • 3.
    Publicada: 02/08/2023 COMPRENSIÓN LECTORA CONOCIMIENTOS DE GESTIÓNEDUCATIVA Y GESTIÓN PÚBLICA TOTAL RELACIÓN DE POSTULANTES QUE SUPERARON LOS PUNTAJES MÍNIMOS REQUERIDOS EN LAS SUBPRUEBAS DE LA PRUEBA NACIONAL RVM N° 166-2022-MINEDU / OFICIO N° 01896-2022-MINEDU-VMGP-DIGEDD / OFICIO N° 00063-2023-MINEDU-VMGP-DIGEDD / OFICIO N° 00141-2023-MINEDU-VMGP-DIGEDD CONCURSO PÚBLICO DE ACCESO A CARGOS DIRECTIVOS Y DE ESPECIALISTAS EN EDUCACIÓN EN LAS INSTANCIAS DE GESTIÓN EDUCATIVA DESCENTRALIZADA 2022-2023 MODALIDAD / NIVEL EDUCATIVO PUNTAJE DE LA PRUEBA ÚNICA NACIONAL SEDE DONDE FUE EVALUADO DOCUMENTO DE IDENTIDAD APELLIDO PATERNO APELLIDO MATERNO NOMBRES ÁNCASH-CHIMBOTE 42493543 RODAS HUERTA HELLEN SHERLY Ed. Básica Regular Inicial 17 60 77 ÁNCASH-CHIMBOTE 42995468 REA PURIZACA PATRICIA JANETT Ed. Básica Regular Inicial 15 68 83 ÁNCASH-CHIMBOTE 43985170 CORAQUILLO INOCENTE BELLA MARIELA Ed. Básica Regular Inicial 15 60 75 ÁNCASH-CHIMBOTE 45677512 BERRIOS HURTADO CYNTHIA ELIZABETH Ed. Básica Regular Inicial 16 70 86 ÁNCASH-CHIMBOTE 03234585 OCAÑA CORDOVA CARLOS ENRIQUE Ed. Básica Regular Primaria 15 60 75 ÁNCASH-CHIMBOTE 06797805 CISNEROS CABOS FABIOLA LORENA Ed. Básica Regular Primaria 17 64 81 ÁNCASH-CHIMBOTE 06935827 VIDAL DOMINGUEZ JUVENCIO WILMER Ed. Básica Regular Primaria 15 60 75 ÁNCASH-CHIMBOTE 09365899 CORONEL ASPIROS JUAN CARLOS Ed. Básica Regular Primaria 19 72 91 ÁNCASH-CHIMBOTE 09862999 SANCHEZ DE LA CRUZ LELYS BEATRIZ Ed. Básica Regular Primaria 16 62 78 ÁNCASH-CHIMBOTE 16142985 CERNA LUNA OSCAR CARLOS Ed. Básica Regular Primaria 15 70 85 ÁNCASH-CHIMBOTE 16523599 DAVILA TORRES MARIA EDELIA Ed. Básica Regular Primaria 17 60 77 ÁNCASH-CHIMBOTE 16677252 MENDOZA URBINA LILIA MARIBEL Ed. Básica Regular Primaria 16 66 82 ÁNCASH-CHIMBOTE 17451110 CHAVEZ GALLARDO MIRIAM EUGENIA Ed. Básica Regular Primaria 16 66 82 ÁNCASH-CHIMBOTE 17870523 PULIDO PIMENTEL FELICIANA Ed. Básica Regular Primaria 12 66 78 ÁNCASH-CHIMBOTE 17934593 HONORIO GUZMAN DORIS ANGELICA Ed. Básica Regular Primaria 15 62 77 ÁNCASH-CHIMBOTE 18096276 LLACSAHUANGA RODRIGUEZ ELIZABETH DORIS Ed. Básica Regular Primaria 16 60 76 ÁNCASH-CHIMBOTE 18124939 CORREA ANGULO MONICA CONSUELO Ed. Básica Regular Primaria 16 68 84 ÁNCASH-CHIMBOTE 18153447 REAL PAREDES MADELEINE MILAGROS Ed. Básica Regular Primaria 18 80 98 ÁNCASH-CHIMBOTE 18179457 MORI LORA MELINA ISABEL Ed. Básica Regular Primaria 14 86 100 ÁNCASH-CHIMBOTE 18213663 RUIZ CABALLERO WILFREDO WALTER Ed. Básica Regular Primaria 17 66 83 ÁNCASH-CHIMBOTE 19033328 MORENO RODRIGUEZ HILDEBRANDO Ed. Básica Regular Primaria 17 68 85 ÁNCASH-CHIMBOTE 19180735 CASTRO ZANONI OLAVIO SALVADOR Ed. Básica Regular Primaria 18 78 96 ÁNCASH-CHIMBOTE 19184256 GRADOS FLORES LUIS ENRIQUE Ed. Básica Regular Primaria 16 76 92 ÁNCASH-CHIMBOTE 19259861 GUANILO LECCA IVAN MANUEL Ed. Básica Regular Primaria 17 82 99 ÁNCASH-CHIMBOTE 19336666 SUAREZ MOCARRO LUIS ENRIQUE Ed. Básica Regular Primaria 17 68 85 ÁNCASH-CHIMBOTE 19427445 VILLANUEVA CASTILLO TEODOCIO Ed. Básica Regular Primaria 15 70 85 ÁNCASH-CHIMBOTE 19558695 MONTES MENDIETA NELSON ORLANDO Ed. Básica Regular Primaria 17 66 83 ÁNCASH-CHIMBOTE 19558981 DE LA CRUZ CEDANO ANDRES RAFAEL Ed. Básica Regular Primaria 20 64 84 ÁNCASH-CHIMBOTE 19561194 PAREDES MEZA GERMAN JAYME Ed. Básica Regular Primaria 14 78 92 ÁNCASH-CHIMBOTE 19675318 MENDEZ ARANDA RAUL PERCY Ed. Básica Regular Primaria 19 78 97 ÁNCASH-CHIMBOTE 25540454 VIDAL PAREDES WILSON ROLANDO Ed. Básica Regular Primaria 14 70 84 ÁNCASH-CHIMBOTE 26692772 ROJAS DIAZ EWALD JOSE Ed. Básica Regular Primaria 16 82 98 ÁNCASH-CHIMBOTE 26694047 JAUREGUI GONZALES ELVIRA MIRIAM Ed. Básica Regular Primaria 17 66 83 3/17
  • 4.
    Publicada: 02/08/2023 COMPRENSIÓN LECTORA CONOCIMIENTOS DE GESTIÓNEDUCATIVA Y GESTIÓN PÚBLICA TOTAL RELACIÓN DE POSTULANTES QUE SUPERARON LOS PUNTAJES MÍNIMOS REQUERIDOS EN LAS SUBPRUEBAS DE LA PRUEBA NACIONAL RVM N° 166-2022-MINEDU / OFICIO N° 01896-2022-MINEDU-VMGP-DIGEDD / OFICIO N° 00063-2023-MINEDU-VMGP-DIGEDD / OFICIO N° 00141-2023-MINEDU-VMGP-DIGEDD CONCURSO PÚBLICO DE ACCESO A CARGOS DIRECTIVOS Y DE ESPECIALISTAS EN EDUCACIÓN EN LAS INSTANCIAS DE GESTIÓN EDUCATIVA DESCENTRALIZADA 2022-2023 MODALIDAD / NIVEL EDUCATIVO PUNTAJE DE LA PRUEBA ÚNICA NACIONAL SEDE DONDE FUE EVALUADO DOCUMENTO DE IDENTIDAD APELLIDO PATERNO APELLIDO MATERNO NOMBRES ÁNCASH-CHIMBOTE 26694459 CERQUIN GARCIA GONZALO TITO Ed. Básica Regular Primaria 15 70 85 ÁNCASH-CHIMBOTE 27049307 SANCHEZ JIMENEZ CARLOS MIJAILS Ed. Básica Regular Primaria 15 72 87 ÁNCASH-CHIMBOTE 31610016 SANCHEZ VIDAL EDILBERTO MOISES Ed. Básica Regular Primaria 17 74 91 ÁNCASH-CHIMBOTE 31620399 HUAMAN REYES LIZ ROSALBA Ed. Básica Regular Primaria 12 60 72 ÁNCASH-CHIMBOTE 31642375 SALAS CULLI JORGE TOBIAS Ed. Básica Regular Primaria 12 62 74 ÁNCASH-CHIMBOTE 31652297 HIDALGO MORALES MARIA TERESA Ed. Básica Regular Primaria 14 68 82 ÁNCASH-CHIMBOTE 31653242 HUERTA CASTILLO MARIA EDITH Ed. Básica Regular Primaria 17 64 81 ÁNCASH-CHIMBOTE 31653262 ARANDA FLORES ALEX RICARDO Ed. Básica Regular Primaria 16 72 88 ÁNCASH-CHIMBOTE 31653545 RODRIGUEZ SANCHEZ LELI GAUDENCIA Ed. Básica Regular Primaria 16 62 78 ÁNCASH-CHIMBOTE 31654295 ANTUNEZ ORELLANO ALEJANDRO ERIK Ed. Básica Regular Primaria 18 62 80 ÁNCASH-CHIMBOTE 31655796 ANAYA CARRILLO FLAVIANO PABLO Ed. Básica Regular Primaria 19 72 91 ÁNCASH-CHIMBOTE 31656907 VELASQUEZ LUJERIO WILIAMS BEDER Ed. Básica Regular Primaria 12 68 80 ÁNCASH-CHIMBOTE 31657454 VIVAR GONZALES AGLIBERTO VICENTE Ed. Básica Regular Primaria 15 68 83 ÁNCASH-CHIMBOTE 31657849 CANALES FLORES JORGE LUIS Ed. Básica Regular Primaria 14 68 82 ÁNCASH-CHIMBOTE 31658553 ALVA MONTES GUZMAN ANTONIO Ed. Básica Regular Primaria 20 70 90 ÁNCASH-CHIMBOTE 31661925 LEON JULCA HERNAN ASUNCION Ed. Básica Regular Primaria 19 74 93 ÁNCASH-CHIMBOTE 31668972 LUJERIO VERGARA WALTER VICTOR Ed. Básica Regular Primaria 16 70 86 ÁNCASH-CHIMBOTE 31670847 VALVERDE CUEVA MARIA INES DEL CARMEN Ed. Básica Regular Primaria 18 70 88 ÁNCASH-CHIMBOTE 31671455 MORALES TARAZONA JULIAN DANIEL Ed. Básica Regular Primaria 16 70 86 ÁNCASH-CHIMBOTE 31761586 ORELLANO BRITO JUAN LUIS Ed. Básica Regular Primaria 12 66 78 ÁNCASH-CHIMBOTE 31772276 PATRICIO COLONIA SANTIAGO BICEFORO Ed. Básica Regular Primaria 19 66 85 ÁNCASH-CHIMBOTE 32104022 MORENO BLANQUILLO BLANCA SOFIA Ed. Básica Regular Primaria 16 66 82 ÁNCASH-CHIMBOTE 32107252 CHAMILCO RODRIGUEZ FELIX JAIME Ed. Básica Regular Primaria 15 70 85 ÁNCASH-CHIMBOTE 32108089 ESCARATE CASTILLO DE PALOMINO MARINA ELIZABETH Ed. Básica Regular Primaria 16 64 80 ÁNCASH-CHIMBOTE 32109035 CORAL PASTOR EDWARD EUTIMIO Ed. Básica Regular Primaria 19 78 97 ÁNCASH-CHIMBOTE 32109893 VASQUEZ CARBAJAL CARLOS ALBERTO Ed. Básica Regular Primaria 17 66 83 ÁNCASH-CHIMBOTE 32110180 PAZ VASQUEZ LAVINIA LUZMILA Ed. Básica Regular Primaria 14 62 76 ÁNCASH-CHIMBOTE 32110670 REYES GARCIA JESUS SANTIAGO Ed. Básica Regular Primaria 17 80 97 ÁNCASH-CHIMBOTE 32118199 GUZMAN BEDON JESUS MANUELA Ed. Básica Regular Primaria 17 68 85 ÁNCASH-CHIMBOTE 32127237 CALDERON TOLEDO JUSTINA BENEDICTA Ed. Básica Regular Primaria 16 76 92 ÁNCASH-CHIMBOTE 32129247 VEGA ENCARNACION NELSON OMAR Ed. Básica Regular Primaria 20 66 86 ÁNCASH-CHIMBOTE 32130105 GUTIERREZ CUTAMANCA FLOR MARGARITA Ed. Básica Regular Primaria 20 78 98 ÁNCASH-CHIMBOTE 32130437 VIGO SANCHEZ ABELARDO ANTONIO Ed. Básica Regular Primaria 17 64 81 4/17
  • 5.
    Publicada: 02/08/2023 COMPRENSIÓN LECTORA CONOCIMIENTOS DE GESTIÓNEDUCATIVA Y GESTIÓN PÚBLICA TOTAL RELACIÓN DE POSTULANTES QUE SUPERARON LOS PUNTAJES MÍNIMOS REQUERIDOS EN LAS SUBPRUEBAS DE LA PRUEBA NACIONAL RVM N° 166-2022-MINEDU / OFICIO N° 01896-2022-MINEDU-VMGP-DIGEDD / OFICIO N° 00063-2023-MINEDU-VMGP-DIGEDD / OFICIO N° 00141-2023-MINEDU-VMGP-DIGEDD CONCURSO PÚBLICO DE ACCESO A CARGOS DIRECTIVOS Y DE ESPECIALISTAS EN EDUCACIÓN EN LAS INSTANCIAS DE GESTIÓN EDUCATIVA DESCENTRALIZADA 2022-2023 MODALIDAD / NIVEL EDUCATIVO PUNTAJE DE LA PRUEBA ÚNICA NACIONAL SEDE DONDE FUE EVALUADO DOCUMENTO DE IDENTIDAD APELLIDO PATERNO APELLIDO MATERNO NOMBRES ÁNCASH-CHIMBOTE 32130732 LARA ARTEAGA MARIA VIRGINIA Ed. Básica Regular Primaria 18 68 86 ÁNCASH-CHIMBOTE 32131593 FLORES VALERIO GUSMAN JOVITO Ed. Básica Regular Primaria 18 72 90 ÁNCASH-CHIMBOTE 32138323 ZARATE ALIAGA LUIS MIGUEL Ed. Básica Regular Primaria 13 64 77 ÁNCASH-CHIMBOTE 32138400 UCHPAS BERNUY JOSE LUIS Ed. Básica Regular Primaria 15 64 79 ÁNCASH-CHIMBOTE 32139098 NUÑEZ TRELLES JUDITH AIME Ed. Básica Regular Primaria 17 88 105 ÁNCASH-CHIMBOTE 32220992 ACERO DE LA CRUZ RENULFO Ed. Básica Regular Primaria 14 76 90 ÁNCASH-CHIMBOTE 32224405 LUCAR LAZARTE HERNAN RICARDO Ed. Básica Regular Primaria 14 76 90 ÁNCASH-CHIMBOTE 32387989 SAENZ RIVERA LILIANA DEL ROSARIO Ed. Básica Regular Primaria 14 66 80 ÁNCASH-CHIMBOTE 32521492 CAMPOS VALERIO VICTORIANO LUIS Ed. Básica Regular Primaria 17 72 89 ÁNCASH-CHIMBOTE 32524372 RUFINO REYES PANFILO ERACLIDES Ed. Básica Regular Primaria 13 60 73 ÁNCASH-CHIMBOTE 32527430 PAREDES EVANGELISTA AGUSTIN MILTON Ed. Básica Regular Primaria 18 62 80 ÁNCASH-CHIMBOTE 32534337 LEON AMBROCIO ADOLFO WILLAM Ed. Básica Regular Primaria 17 60 77 ÁNCASH-CHIMBOTE 32536577 ACOSTA GARCIA LUIS ALBERTO Ed. Básica Regular Primaria 15 60 75 ÁNCASH-CHIMBOTE 32541708 ESPINOZA GARCIA SUSANA CARMEN Ed. Básica Regular Primaria 18 66 84 ÁNCASH-CHIMBOTE 32603635 CASTILLO MORI JAVIER FRANCISCO Ed. Básica Regular Primaria 13 68 81 ÁNCASH-CHIMBOTE 32612622 VILLANUEVA HUARAG EBERTH Ed. Básica Regular Primaria 13 64 77 ÁNCASH-CHIMBOTE 32647716 ESPIRITU RAMIREZ ULDARICO ELIAS Ed. Básica Regular Primaria 13 66 79 ÁNCASH-CHIMBOTE 32732642 CAYLLAHUA GIL DE DOMINGUEZ GABY MARGARITA Ed. Básica Regular Primaria 17 60 77 ÁNCASH-CHIMBOTE 32733487 SANCHEZ GUERRA ISABEL SILVIA Ed. Básica Regular Primaria 16 74 90 ÁNCASH-CHIMBOTE 32734551 CANO TINOCO JOVANA EDITH Ed. Básica Regular Primaria 17 68 85 ÁNCASH-CHIMBOTE 32735935 VARELA AURORA GILMER ROGELIO Ed. Básica Regular Primaria 12 62 74 ÁNCASH-CHIMBOTE 32736824 RODRIGUEZ PAREJA GLADYS EMILIA Ed. Básica Regular Primaria 16 60 76 ÁNCASH-CHIMBOTE 32736913 TRUJILLO AGUERO EDWIN Ed. Básica Regular Primaria 14 60 74 ÁNCASH-CHIMBOTE 32739773 REYES GONZALES ROSARIO VIOLETA Ed. Básica Regular Primaria 13 62 75 ÁNCASH-CHIMBOTE 32766899 ANGELES MALASPINA GERMAN TIBURCIO Ed. Básica Regular Primaria 12 62 74 ÁNCASH-CHIMBOTE 32767828 LAUREANO ROSALES GREGORIO MARCIAL Ed. Básica Regular Primaria 14 68 82 ÁNCASH-CHIMBOTE 32769630 CABEL ROSALES VICTOR HUMBERTO Ed. Básica Regular Primaria 20 72 92 ÁNCASH-CHIMBOTE 32770924 SIANCAS SANTA MARIA MANUEL OCTAVIO Ed. Básica Regular Primaria 15 60 75 ÁNCASH-CHIMBOTE 32772895 AZAÑEDO MUÑOZ VICTOR HUGO Ed. Básica Regular Primaria 13 64 77 ÁNCASH-CHIMBOTE 32773622 CASTRO GUTIERREZ CARLOS JORGE Ed. Básica Regular Primaria 18 66 84 ÁNCASH-CHIMBOTE 32780482 ROMAN CARRILLO LUIS FELIPE Ed. Básica Regular Primaria 12 70 82 ÁNCASH-CHIMBOTE 32780975 ESPINOZA SANCHEZ EDUARDO SILVESTRE Ed. Básica Regular Primaria 19 76 95 ÁNCASH-CHIMBOTE 32782476 MIRABAL MEJIA MARIA SOLEDAD Ed. Básica Regular Primaria 16 62 78 5/17
  • 6.
    Publicada: 02/08/2023 COMPRENSIÓN LECTORA CONOCIMIENTOS DE GESTIÓNEDUCATIVA Y GESTIÓN PÚBLICA TOTAL RELACIÓN DE POSTULANTES QUE SUPERARON LOS PUNTAJES MÍNIMOS REQUERIDOS EN LAS SUBPRUEBAS DE LA PRUEBA NACIONAL RVM N° 166-2022-MINEDU / OFICIO N° 01896-2022-MINEDU-VMGP-DIGEDD / OFICIO N° 00063-2023-MINEDU-VMGP-DIGEDD / OFICIO N° 00141-2023-MINEDU-VMGP-DIGEDD CONCURSO PÚBLICO DE ACCESO A CARGOS DIRECTIVOS Y DE ESPECIALISTAS EN EDUCACIÓN EN LAS INSTANCIAS DE GESTIÓN EDUCATIVA DESCENTRALIZADA 2022-2023 MODALIDAD / NIVEL EDUCATIVO PUNTAJE DE LA PRUEBA ÚNICA NACIONAL SEDE DONDE FUE EVALUADO DOCUMENTO DE IDENTIDAD APELLIDO PATERNO APELLIDO MATERNO NOMBRES ÁNCASH-CHIMBOTE 32784968 ROSARIO IPARRAGUIRRE JULIO CESAR Ed. Básica Regular Primaria 15 64 79 ÁNCASH-CHIMBOTE 32795358 OLIVO SALINAS NELIDA HERLINDA Ed. Básica Regular Primaria 15 62 77 ÁNCASH-CHIMBOTE 32801759 VARGAS CASTILLO ANA MARIA Ed. Básica Regular Primaria 15 74 89 ÁNCASH-CHIMBOTE 32801771 TORRES MENDOZA ANTONIETA LILIANA Ed. Básica Regular Primaria 15 70 85 ÁNCASH-CHIMBOTE 32811382 JARA VASQUEZ EVER LENY Ed. Básica Regular Primaria 17 72 89 ÁNCASH-CHIMBOTE 32812909 MUÑOZ LEYTON MANUELA ARACELI Ed. Básica Regular Primaria 17 64 81 ÁNCASH-CHIMBOTE 32813838 OLIVERA HUERTA JORGE LUIS Ed. Básica Regular Primaria 18 68 86 ÁNCASH-CHIMBOTE 32817813 AVALOS RAGAS JOSE FERNANDO Ed. Básica Regular Primaria 16 72 88 ÁNCASH-CHIMBOTE 32819886 GOMERO RIOS GLADYS JOSEFINA Ed. Básica Regular Primaria 12 76 88 ÁNCASH-CHIMBOTE 32831431 CAMPOS VEGA WAINER WILSON Ed. Básica Regular Primaria 14 68 82 ÁNCASH-CHIMBOTE 32848127 MORILLO CRIBILLEROS JACQUELINE HAYDEE Ed. Básica Regular Primaria 13 64 77 ÁNCASH-CHIMBOTE 32848965 ROBLES RUÍZ BAUDILIA VICTORIA Ed. Básica Regular Primaria 16 68 84 ÁNCASH-CHIMBOTE 32850655 MEDINA GAMBOA ROBERT HUGO Ed. Básica Regular Primaria 18 80 98 ÁNCASH-CHIMBOTE 32858128 REYES BARRIOS SERGIO AUGUSTO Ed. Básica Regular Primaria 18 62 80 ÁNCASH-CHIMBOTE 32859236 ARTEAGA PINEDO BRIGIDA ILIANA Ed. Básica Regular Primaria 17 64 81 ÁNCASH-CHIMBOTE 32868556 LAVANDERA VALVERDE LORENZO MANUEL Ed. Básica Regular Primaria 14 68 82 ÁNCASH-CHIMBOTE 32875365 QUIROZ VENTURO ZULMA VERONIKA Ed. Básica Regular Primaria 18 64 82 ÁNCASH-CHIMBOTE 32881702 PARIACHI MARTINEZ MARIA LUZ Ed. Básica Regular Primaria 16 68 84 ÁNCASH-CHIMBOTE 32884358 GOMEZ PACHERRES NELIDA FELICITAS Ed. Básica Regular Primaria 19 68 87 ÁNCASH-CHIMBOTE 32887272 PONCE ALVAREZ MELVER Ed. Básica Regular Primaria 17 76 93 ÁNCASH-CHIMBOTE 32888540 MOORE FLORES GERALDINE ELVIRA Ed. Básica Regular Primaria 14 64 78 ÁNCASH-CHIMBOTE 32899205 NAMUCHE LAZARO JOSE MANUEL Ed. Básica Regular Primaria 18 66 84 ÁNCASH-CHIMBOTE 32902897 SALINAS AGUILAR WILLIAM LEOPOLDO Ed. Básica Regular Primaria 17 72 89 ÁNCASH-CHIMBOTE 32904986 LIRA LOPEZ JUAN CONSTANTE Ed. Básica Regular Primaria 17 70 87 ÁNCASH-CHIMBOTE 32905189 SALINAS MORALES NELLY CONSUELO Ed. Básica Regular Primaria 17 64 81 ÁNCASH-CHIMBOTE 32905840 VIERA LOPEZ EDEFIR CUSTODIO Ed. Básica Regular Primaria 16 66 82 ÁNCASH-CHIMBOTE 32908201 CERNA VILLAFANA NANCY FELICITA Ed. Básica Regular Primaria 12 64 76 ÁNCASH-CHIMBOTE 32908607 ALVARADO CAPRISTAN JANNET Ed. Básica Regular Primaria 16 62 78 ÁNCASH-CHIMBOTE 32910104 CRUZADO GENOVEZ CESAR AUGUSTO Ed. Básica Regular Primaria 18 66 84 ÁNCASH-CHIMBOTE 32912916 DOMINGUEZ CASTAÑEDA LIVIA MARGARITA Ed. Básica Regular Primaria 16 74 90 ÁNCASH-CHIMBOTE 32913943 DIAZ OLANO DENNIS ALBERTO Ed. Básica Regular Primaria 16 64 80 ÁNCASH-CHIMBOTE 32915477 VEGA ANGELES PEDRO GUILLERMO Ed. Básica Regular Primaria 14 76 90 ÁNCASH-CHIMBOTE 32915947 OLASCUAGA CARRERA SARA ELIZABETH Ed. Básica Regular Primaria 17 64 81 6/17
  • 7.
    Publicada: 02/08/2023 COMPRENSIÓN LECTORA CONOCIMIENTOS DE GESTIÓNEDUCATIVA Y GESTIÓN PÚBLICA TOTAL RELACIÓN DE POSTULANTES QUE SUPERARON LOS PUNTAJES MÍNIMOS REQUERIDOS EN LAS SUBPRUEBAS DE LA PRUEBA NACIONAL RVM N° 166-2022-MINEDU / OFICIO N° 01896-2022-MINEDU-VMGP-DIGEDD / OFICIO N° 00063-2023-MINEDU-VMGP-DIGEDD / OFICIO N° 00141-2023-MINEDU-VMGP-DIGEDD CONCURSO PÚBLICO DE ACCESO A CARGOS DIRECTIVOS Y DE ESPECIALISTAS EN EDUCACIÓN EN LAS INSTANCIAS DE GESTIÓN EDUCATIVA DESCENTRALIZADA 2022-2023 MODALIDAD / NIVEL EDUCATIVO PUNTAJE DE LA PRUEBA ÚNICA NACIONAL SEDE DONDE FUE EVALUADO DOCUMENTO DE IDENTIDAD APELLIDO PATERNO APELLIDO MATERNO NOMBRES ÁNCASH-CHIMBOTE 32916526 PERALES RIVERA RUBEN HERARDO Ed. Básica Regular Primaria 17 62 79 ÁNCASH-CHIMBOTE 32917176 AGUILAR FLORES MORAIMA LADY Ed. Básica Regular Primaria 16 74 90 ÁNCASH-CHIMBOTE 32917335 MENDEZ VENEROS BENILDA AURORA Ed. Básica Regular Primaria 14 60 74 ÁNCASH-CHIMBOTE 32917622 VEGA VARGAS ANCELMO Ed. Básica Regular Primaria 16 66 82 ÁNCASH-CHIMBOTE 32920297 VALDERRAMA LOAYZA FRANCISCO ARTEMIO Ed. Básica Regular Primaria 18 64 82 ÁNCASH-CHIMBOTE 32920864 BRANDAN GONZALES MAURA Ed. Básica Regular Primaria 12 62 74 ÁNCASH-CHIMBOTE 32920933 ADRIANZEN SARMIENTO SANTOS LEDY Ed. Básica Regular Primaria 13 62 75 ÁNCASH-CHIMBOTE 32922344 LAGUNA SÁNCHEZ TITO SEGUNDO Ed. Básica Regular Primaria 14 64 78 ÁNCASH-CHIMBOTE 32923762 HUETE QUIÑONEZ VILMA EDITH Ed. Básica Regular Primaria 15 66 81 ÁNCASH-CHIMBOTE 32924315 RODRIGUEZ MARTINEZ GLADYS MANUELA Ed. Básica Regular Primaria 17 60 77 ÁNCASH-CHIMBOTE 32924663 BRUNO RUIZ MARIELLA MARY Ed. Básica Regular Primaria 16 66 82 ÁNCASH-CHIMBOTE 32927768 CORDOVA DIAZ DEXY SILVIA Ed. Básica Regular Primaria 18 76 94 ÁNCASH-CHIMBOTE 32933487 OLIVARES HUAMANCHUMO JOSE MIGUEL Ed. Básica Regular Primaria 19 78 97 ÁNCASH-CHIMBOTE 32935841 SALGADO TUYA YESENIA MADELEIN Ed. Básica Regular Primaria 13 70 83 ÁNCASH-CHIMBOTE 32939616 ROMERO DIAZ SORAYA ABRIL Ed. Básica Regular Primaria 16 70 86 ÁNCASH-CHIMBOTE 32940540 MATOS HUAYTAN MERCEDES MILAGROS Ed. Básica Regular Primaria 16 68 84 ÁNCASH-CHIMBOTE 32940846 ROBLES AGUIRRE ERLIN AMED Ed. Básica Regular Primaria 16 60 76 ÁNCASH-CHIMBOTE 32942876 LOPEZ LOYOLA YENNY IVANA Ed. Básica Regular Primaria 14 74 88 ÁNCASH-CHIMBOTE 32943040 HUERTAS DIAZ OFELIA YOLANDA Ed. Básica Regular Primaria 17 72 89 ÁNCASH-CHIMBOTE 32943052 RODRIGUEZ ESPEJO MARLENI AIDE Ed. Básica Regular Primaria 19 74 93 ÁNCASH-CHIMBOTE 32946490 VALDIVIESO MATOS JOSE CARLOS Ed. Básica Regular Primaria 17 74 91 ÁNCASH-CHIMBOTE 32949011 SEGURA RUPAY ROSARIO GLADYS Ed. Básica Regular Primaria 18 82 100 ÁNCASH-CHIMBOTE 32950792 GONZALES BACA FLOR ESTHER Ed. Básica Regular Primaria 17 66 83 ÁNCASH-CHIMBOTE 32951691 VERA PLASENCIA HENRI GINO Ed. Básica Regular Primaria 18 72 90 ÁNCASH-CHIMBOTE 32951798 CALLE AVALOS LILIANA CELINDA Ed. Básica Regular Primaria 16 68 84 ÁNCASH-CHIMBOTE 32951912 FLORES ROBLES MELISSA JECCITA Ed. Básica Regular Primaria 18 68 86 ÁNCASH-CHIMBOTE 32952586 VASQUEZ PEREZ ELVER Ed. Básica Regular Primaria 16 66 82 ÁNCASH-CHIMBOTE 32952881 PEÑA BERRU SANTOS MARLEYNE Ed. Básica Regular Primaria 15 68 83 ÁNCASH-CHIMBOTE 32953034 DOMINGUEZ PONTE EDER ENRIQUE Ed. Básica Regular Primaria 18 82 100 ÁNCASH-CHIMBOTE 32953153 AVILA LAFITTE JULIA VILMA Ed. Básica Regular Primaria 18 72 90 ÁNCASH-CHIMBOTE 32956440 SICCHA CUISANO ROSA ELVIRA Ed. Básica Regular Primaria 14 68 82 ÁNCASH-CHIMBOTE 32959756 SALAZAR TURRIATE NANCY MARGARITA Ed. Básica Regular Primaria 15 66 81 ÁNCASH-CHIMBOTE 32959870 VALVERDE MONDOÑEDO DE MAZA HAYDEE CATALINA Ed. Básica Regular Primaria 20 74 94 7/17
  • 8.
    Publicada: 02/08/2023 COMPRENSIÓN LECTORA CONOCIMIENTOS DE GESTIÓNEDUCATIVA Y GESTIÓN PÚBLICA TOTAL RELACIÓN DE POSTULANTES QUE SUPERARON LOS PUNTAJES MÍNIMOS REQUERIDOS EN LAS SUBPRUEBAS DE LA PRUEBA NACIONAL RVM N° 166-2022-MINEDU / OFICIO N° 01896-2022-MINEDU-VMGP-DIGEDD / OFICIO N° 00063-2023-MINEDU-VMGP-DIGEDD / OFICIO N° 00141-2023-MINEDU-VMGP-DIGEDD CONCURSO PÚBLICO DE ACCESO A CARGOS DIRECTIVOS Y DE ESPECIALISTAS EN EDUCACIÓN EN LAS INSTANCIAS DE GESTIÓN EDUCATIVA DESCENTRALIZADA 2022-2023 MODALIDAD / NIVEL EDUCATIVO PUNTAJE DE LA PRUEBA ÚNICA NACIONAL SEDE DONDE FUE EVALUADO DOCUMENTO DE IDENTIDAD APELLIDO PATERNO APELLIDO MATERNO NOMBRES ÁNCASH-CHIMBOTE 32960949 SARMIENTO PEREDA ANGELA CRISTILDA Ed. Básica Regular Primaria 17 74 91 ÁNCASH-CHIMBOTE 32961121 TRUJILLO RODRIGUEZ ZOILA ROSA Ed. Básica Regular Primaria 16 64 80 ÁNCASH-CHIMBOTE 32961828 AGUIRRE TREJO LIDIA LUCILA Ed. Básica Regular Primaria 18 62 80 ÁNCASH-CHIMBOTE 32961922 PAREDES AGUILAR IRMA MADELEYNE Ed. Básica Regular Primaria 17 72 89 ÁNCASH-CHIMBOTE 32962154 JARA VASQUEZ YURIVAN ROBINSON Ed. Básica Regular Primaria 18 68 86 ÁNCASH-CHIMBOTE 32962340 CHERO VALDIVIEZO MILAGRITOS SHIRLAY Ed. Básica Regular Primaria 17 60 77 ÁNCASH-CHIMBOTE 32962961 GONZALES IBAÑEZ IRMA IRIS Ed. Básica Regular Primaria 15 64 79 ÁNCASH-CHIMBOTE 32964923 ADANAQUE VILCHERREZ DE ALBINO ANA CECILIA Ed. Básica Regular Primaria 16 68 84 ÁNCASH-CHIMBOTE 32967678 MEJIA CABALLERO NORMA GLADYS Ed. Básica Regular Primaria 15 68 83 ÁNCASH-CHIMBOTE 32969777 COBIAN MEDINA GREGORIO OMAR Ed. Básica Regular Primaria 14 68 82 ÁNCASH-CHIMBOTE 32973551 COLONIA LEON MARTINA SONIA Ed. Básica Regular Primaria 16 64 80 ÁNCASH-CHIMBOTE 32974153 TAPIA ROJAS GLORIA MILAGROS Ed. Básica Regular Primaria 19 72 91 ÁNCASH-CHIMBOTE 32974397 CHAVEZ VILLARREAL MELINA SADITH Ed. Básica Regular Primaria 18 68 86 ÁNCASH-CHIMBOTE 32974658 FAJARDO FAJARDO MARINO CELEDONIO Ed. Básica Regular Primaria 14 82 96 ÁNCASH-CHIMBOTE 32977293 AVALOS AURORA SANTOS EDILBERTO Ed. Básica Regular Primaria 19 66 85 ÁNCASH-CHIMBOTE 32978329 MUÑOZ GAMBINI MARTHA ERCILIA Ed. Básica Regular Primaria 18 84 102 ÁNCASH-CHIMBOTE 32978431 ESPINOZA GUEVARA ZOILA ALEJANDRINA Ed. Básica Regular Primaria 17 64 81 ÁNCASH-CHIMBOTE 32978707 QUISPE SALAZAR MAGALY EVA Ed. Básica Regular Primaria 16 68 84 ÁNCASH-CHIMBOTE 32978918 OLIVARES SANCHEZ ROSA FRANCISCA Ed. Básica Regular Primaria 14 60 74 ÁNCASH-CHIMBOTE 32979326 DAVILA QUIÑONES MIRIAN MARGOT Ed. Básica Regular Primaria 17 60 77 ÁNCASH-CHIMBOTE 32979476 MORAN RUIZ ORLANDO Ed. Básica Regular Primaria 13 70 83 ÁNCASH-CHIMBOTE 32979517 VILLAFANA CALLAN JOSE FERNANDO Ed. Básica Regular Primaria 17 68 85 ÁNCASH-CHIMBOTE 32980987 ALARCON MAESTRE SONIA YOLANDA Ed. Básica Regular Primaria 17 64 81 ÁNCASH-CHIMBOTE 32980990 VILLANQUE ALEGRE BORIS VLADIMIR Ed. Básica Regular Primaria 14 74 88 ÁNCASH-CHIMBOTE 32982136 DIAZ VARGAS KATTY KARIM Ed. Básica Regular Primaria 16 76 92 ÁNCASH-CHIMBOTE 32982584 TALLEDO GUARNIZ MARIA SOLEDAD Ed. Básica Regular Primaria 16 70 86 ÁNCASH-CHIMBOTE 32983423 LINARES ESPINOZA MAGALY YURISSAN Ed. Básica Regular Primaria 16 64 80 ÁNCASH-CHIMBOTE 32983828 ZUÑIGA ALARCON JUAN ARMANDO Ed. Básica Regular Primaria 18 70 88 ÁNCASH-CHIMBOTE 32985721 MURGA POLO LIDIA ANGELICA Ed. Básica Regular Primaria 19 60 79 ÁNCASH-CHIMBOTE 32986485 BADA QUISPE OCTAVIO FERMIN Ed. Básica Regular Primaria 19 74 93 ÁNCASH-CHIMBOTE 32987020 MARTINEZ LOZANO NORMA ISMARY Ed. Básica Regular Primaria 19 82 101 ÁNCASH-CHIMBOTE 32987486 ARISTA CUEVA RICHARD GILMER Ed. Básica Regular Primaria 16 62 78 ÁNCASH-CHIMBOTE 32989499 VILLANUEVA RAMIREZ HEIDY JESSENIA Ed. Básica Regular Primaria 16 68 84 8/17
  • 9.
    Publicada: 02/08/2023 COMPRENSIÓN LECTORA CONOCIMIENTOS DE GESTIÓNEDUCATIVA Y GESTIÓN PÚBLICA TOTAL RELACIÓN DE POSTULANTES QUE SUPERARON LOS PUNTAJES MÍNIMOS REQUERIDOS EN LAS SUBPRUEBAS DE LA PRUEBA NACIONAL RVM N° 166-2022-MINEDU / OFICIO N° 01896-2022-MINEDU-VMGP-DIGEDD / OFICIO N° 00063-2023-MINEDU-VMGP-DIGEDD / OFICIO N° 00141-2023-MINEDU-VMGP-DIGEDD CONCURSO PÚBLICO DE ACCESO A CARGOS DIRECTIVOS Y DE ESPECIALISTAS EN EDUCACIÓN EN LAS INSTANCIAS DE GESTIÓN EDUCATIVA DESCENTRALIZADA 2022-2023 MODALIDAD / NIVEL EDUCATIVO PUNTAJE DE LA PRUEBA ÚNICA NACIONAL SEDE DONDE FUE EVALUADO DOCUMENTO DE IDENTIDAD APELLIDO PATERNO APELLIDO MATERNO NOMBRES ÁNCASH-CHIMBOTE 32989786 CASTILLO ZARATE NORMA SOLEDAD Ed. Básica Regular Primaria 18 76 94 ÁNCASH-CHIMBOTE 32999013 ARTEAGA CARMONA LUCY TANIA Ed. Básica Regular Primaria 16 70 86 ÁNCASH-CHIMBOTE 33249255 VASQUEZ BOLAÑOS EMILIO JUSTO Ed. Básica Regular Primaria 12 68 80 ÁNCASH-CHIMBOTE 33250672 JESUS MIRANDA JAQUELIM GUIOLMARI Ed. Básica Regular Primaria 15 76 91 ÁNCASH-CHIMBOTE 33250721 DIESTRA AZAÑA GILMER FRANCISCO Ed. Básica Regular Primaria 18 76 94 ÁNCASH-CHIMBOTE 33261618 RAMIREZ MIRANDA MARIVEL DEL PILAR Ed. Básica Regular Primaria 15 70 85 ÁNCASH-CHIMBOTE 33261877 GUIMARAY GUEVARA MIRIANA ELIZABETH Ed. Básica Regular Primaria 18 64 82 ÁNCASH-CHIMBOTE 33261980 VARGAS VALENZUELA GLORIA MARTHA Ed. Básica Regular Primaria 15 66 81 ÁNCASH-CHIMBOTE 33262818 ESPINOZA TAMARIZ MARITZA DEL PILAR Ed. Básica Regular Primaria 13 62 75 ÁNCASH-CHIMBOTE 33263786 MARTINEZ DOMINGUEZ BEATRIZ ELIZABETH Ed. Básica Regular Primaria 17 72 89 ÁNCASH-CHIMBOTE 33264741 MONTOYA RUPAY ELENA RITA Ed. Básica Regular Primaria 13 64 77 ÁNCASH-CHIMBOTE 33265130 SUAREZ CORTEZ HERLINDA VICTORIA Ed. Básica Regular Primaria 18 70 88 ÁNCASH-CHIMBOTE 33327335 AYALA ROJAS CARLOS ROBERTO Ed. Básica Regular Primaria 17 66 83 ÁNCASH-CHIMBOTE 33336444 SULLCA OBREGON HENRY GILBERT Ed. Básica Regular Primaria 13 60 73 ÁNCASH-CHIMBOTE 40201710 MENDEZ MENDEZ ANITA ISABEL Ed. Básica Regular Primaria 17 72 89 ÁNCASH-CHIMBOTE 40341448 VIDAL GOÑI MILER MANOLI Ed. Básica Regular Primaria 17 70 87 ÁNCASH-CHIMBOTE 40495173 CONTRERAS BERNARDO MIGUEL ANGEL Ed. Básica Regular Primaria 18 72 90 ÁNCASH-CHIMBOTE 40779137 ZEVALLOS ROQUE IRIS KARINA Ed. Básica Regular Primaria 16 66 82 ÁNCASH-CHIMBOTE 41166936 ROSALES BURGA MIRLA DEL PILAR Ed. Básica Regular Primaria 19 82 101 ÁNCASH-CHIMBOTE 41361076 LEYTON FLORES ELIZABETH LUCIA Ed. Básica Regular Primaria 17 62 79 ÁNCASH-CHIMBOTE 41361097 PALAVECINO CORAL DANNY MAXIMO Ed. Básica Regular Primaria 18 68 86 ÁNCASH-CHIMBOTE 41385531 GOMERO CARDENAS NEYDA MAGALY Ed. Básica Regular Primaria 18 78 96 ÁNCASH-CHIMBOTE 41681584 GUIDO JARA JUAN ENRIQUE Ed. Básica Regular Primaria 15 70 85 ÁNCASH-CHIMBOTE 41807697 CRUZ MERINO VIRGINIA Ed. Básica Regular Primaria 18 70 88 ÁNCASH-CHIMBOTE 41821210 SULFA URBANO YESSICA LISET Ed. Básica Regular Primaria 15 72 87 ÁNCASH-CHIMBOTE 42182742 RODRIGUEZ ESPEJO RONALD WILFREDO Ed. Básica Regular Primaria 15 62 77 ÁNCASH-CHIMBOTE 42257992 CENTURION PEREZ ADRIANA ISABEL Ed. Básica Regular Primaria 18 64 82 ÁNCASH-CHIMBOTE 42409992 RUFINO EUSEBIO KAREN ALEXI Ed. Básica Regular Primaria 15 62 77 ÁNCASH-CHIMBOTE 42458658 ESTEBAN ANTAURCO MILLER JONEL Ed. Básica Regular Primaria 16 66 82 ÁNCASH-CHIMBOTE 43079693 SAAVEDRA HUANCA ELMER Ed. Básica Regular Primaria 18 74 92 ÁNCASH-CHIMBOTE 43410329 ARBILDO ABANTO ESTHER FIORELLA Ed. Básica Regular Primaria 15 64 79 ÁNCASH-CHIMBOTE 43701714 MENDOZA SILVA FANNY ROSMERY Ed. Básica Regular Primaria 12 70 82 ÁNCASH-CHIMBOTE 45973387 GONZALES CARBAJAL LIZBETH ROCIO Ed. Básica Regular Primaria 18 76 94 9/17
  • 10.
    Publicada: 02/08/2023 COMPRENSIÓN LECTORA CONOCIMIENTOS DE GESTIÓNEDUCATIVA Y GESTIÓN PÚBLICA TOTAL RELACIÓN DE POSTULANTES QUE SUPERARON LOS PUNTAJES MÍNIMOS REQUERIDOS EN LAS SUBPRUEBAS DE LA PRUEBA NACIONAL RVM N° 166-2022-MINEDU / OFICIO N° 01896-2022-MINEDU-VMGP-DIGEDD / OFICIO N° 00063-2023-MINEDU-VMGP-DIGEDD / OFICIO N° 00141-2023-MINEDU-VMGP-DIGEDD CONCURSO PÚBLICO DE ACCESO A CARGOS DIRECTIVOS Y DE ESPECIALISTAS EN EDUCACIÓN EN LAS INSTANCIAS DE GESTIÓN EDUCATIVA DESCENTRALIZADA 2022-2023 MODALIDAD / NIVEL EDUCATIVO PUNTAJE DE LA PRUEBA ÚNICA NACIONAL SEDE DONDE FUE EVALUADO DOCUMENTO DE IDENTIDAD APELLIDO PATERNO APELLIDO MATERNO NOMBRES ÁNCASH-CHIMBOTE 46085968 JARA ALAVEDRA JENNYFER PATRICIA Ed. Básica Regular Primaria 17 80 97 ÁNCASH-CHIMBOTE 02167494 QUISPE SILLO PEDRO Ed. Básica Regular Secundaria 14 66 80 ÁNCASH-CHIMBOTE 06158990 TAMARIZ ORTIZ MARIA DOLORES Ed. Básica Regular Secundaria 18 76 94 ÁNCASH-CHIMBOTE 07036052 GUAYLUPO CUMPLIDO LUIS ALBERTO Ed. Básica Regular Secundaria 19 72 91 ÁNCASH-CHIMBOTE 07879180 VELASCO SILVA ELDA Ed. Básica Regular Secundaria 15 64 79 ÁNCASH-CHIMBOTE 08316240 GARCIA DIESTRA OLINDA EGIPCIACA Ed. Básica Regular Secundaria 15 60 75 ÁNCASH-CHIMBOTE 08875039 TELLO CASTILLO ELVIRA Ed. Básica Regular Secundaria 15 64 79 ÁNCASH-CHIMBOTE 08960783 BALOIS ESTRADA JILBERTO FERNANDO Ed. Básica Regular Secundaria 15 70 85 ÁNCASH-CHIMBOTE 16802886 AQUINO DAMIAN LUIS AGUSTIN Ed. Básica Regular Secundaria 16 60 76 ÁNCASH-CHIMBOTE 17925436 SALVATIERRA CUEVA FLOR MARIA Ed. Básica Regular Secundaria 19 68 87 ÁNCASH-CHIMBOTE 18116039 AGUILAR VELASQUEZ MIRYAM YSABEL Ed. Básica Regular Secundaria 18 66 84 ÁNCASH-CHIMBOTE 18205139 PAJILLA ALEJANDRO EDITH Ed. Básica Regular Secundaria 16 72 88 ÁNCASH-CHIMBOTE 18835888 GONZALES SANTISTEBAN ANA LUZ Ed. Básica Regular Secundaria 14 60 74 ÁNCASH-CHIMBOTE 19188374 CASTRO ZANONI ORLAND KENEDDY Ed. Básica Regular Secundaria 18 76 94 ÁNCASH-CHIMBOTE 19664744 SICCHA CUSTODIO NELLY EUFROCINA Ed. Básica Regular Secundaria 14 68 82 ÁNCASH-CHIMBOTE 25743423 HERRERA RAMOS JULIO WALDER Ed. Básica Regular Secundaria 16 60 76 ÁNCASH-CHIMBOTE 26641397 LEYVA MIRANDA SEGUNDO RAMON Ed. Básica Regular Secundaria 16 66 82 ÁNCASH-CHIMBOTE 26689141 MENDOZA CABRERA NORA DEL ROSARIO Ed. Básica Regular Secundaria 14 64 78 ÁNCASH-CHIMBOTE 27915889 VELEZMORO PALACIOS WALTER ALFREDO Ed. Básica Regular Secundaria 18 72 90 ÁNCASH-CHIMBOTE 31609619 VILLON CADILLO GHERSI OCTAVIANO Ed. Básica Regular Secundaria 14 66 80 ÁNCASH-CHIMBOTE 31616276 ALVA MONTES TOMÁS DAVID Ed. Básica Regular Secundaria 12 76 88 ÁNCASH-CHIMBOTE 31651555 MORENO SUAREZ JOSE LUIS Ed. Básica Regular Secundaria 14 60 74 ÁNCASH-CHIMBOTE 31658990 LEON OROPEZA ELOY DIODONO Ed. Básica Regular Secundaria 13 60 73 ÁNCASH-CHIMBOTE 31663668 LLAMOCTANTA ARIAS MIRTHA MIRIAM Ed. Básica Regular Secundaria 17 64 81 ÁNCASH-CHIMBOTE 31664070 CAMONES BARRETO GAUDENCIO ROMULO Ed. Básica Regular Secundaria 17 80 97 ÁNCASH-CHIMBOTE 31665254 AGUILAR TARAZONA ISAIAS ANTONIO Ed. Básica Regular Secundaria 14 74 88 ÁNCASH-CHIMBOTE 31669104 ORIHUELA GARCIA ROSENDO GERARDO Ed. Básica Regular Secundaria 15 60 75 ÁNCASH-CHIMBOTE 31672124 ALVARADO CUEVA JEMUEL WILLIAM Ed. Básica Regular Secundaria 20 76 96 ÁNCASH-CHIMBOTE 31677609 LEON TREJO HERNAN EFRAIN Ed. Básica Regular Secundaria 17 70 87 ÁNCASH-CHIMBOTE 32100435 MIRANDA SANCHEZ JAVIER LIZARDO Ed. Básica Regular Secundaria 15 60 75 ÁNCASH-CHIMBOTE 32104664 LEYVA GUIZABAL ROSARIA GUADALUPE Ed. Básica Regular Secundaria 15 68 83 ÁNCASH-CHIMBOTE 32105145 GUTIERREZ ESCARATE WILBERT DAVID Ed. Básica Regular Secundaria 14 76 90 ÁNCASH-CHIMBOTE 32108418 BRAVO MENDOZA GLADIS ELENA Ed. Básica Regular Secundaria 13 66 79 10/17
  • 11.
    Publicada: 02/08/2023 COMPRENSIÓN LECTORA CONOCIMIENTOS DE GESTIÓNEDUCATIVA Y GESTIÓN PÚBLICA TOTAL RELACIÓN DE POSTULANTES QUE SUPERARON LOS PUNTAJES MÍNIMOS REQUERIDOS EN LAS SUBPRUEBAS DE LA PRUEBA NACIONAL RVM N° 166-2022-MINEDU / OFICIO N° 01896-2022-MINEDU-VMGP-DIGEDD / OFICIO N° 00063-2023-MINEDU-VMGP-DIGEDD / OFICIO N° 00141-2023-MINEDU-VMGP-DIGEDD CONCURSO PÚBLICO DE ACCESO A CARGOS DIRECTIVOS Y DE ESPECIALISTAS EN EDUCACIÓN EN LAS INSTANCIAS DE GESTIÓN EDUCATIVA DESCENTRALIZADA 2022-2023 MODALIDAD / NIVEL EDUCATIVO PUNTAJE DE LA PRUEBA ÚNICA NACIONAL SEDE DONDE FUE EVALUADO DOCUMENTO DE IDENTIDAD APELLIDO PATERNO APELLIDO MATERNO NOMBRES ÁNCASH-CHIMBOTE 32109731 CANTARO MEJIA HILARIO LOVER Ed. Básica Regular Secundaria 16 74 90 ÁNCASH-CHIMBOTE 32109885 YARLEQUE GONZALES TANIA LORENA Ed. Básica Regular Secundaria 14 68 82 ÁNCASH-CHIMBOTE 32110345 LOCKUAN LAVADO OFELIA BRENILDA Ed. Básica Regular Secundaria 18 74 92 ÁNCASH-CHIMBOTE 32110361 CABELLO CALERO ROGER WILDE Ed. Básica Regular Secundaria 17 60 77 ÁNCASH-CHIMBOTE 32110687 USQUIANO MORALES RAUL FERNANDO Ed. Básica Regular Secundaria 15 74 89 ÁNCASH-CHIMBOTE 32110838 SANCHEZ CHAVEZ TANIA MAGNOLIA Ed. Básica Regular Secundaria 18 74 92 ÁNCASH-CHIMBOTE 32113260 QUILLASH HUERTA EUGENIO HERNAN Ed. Básica Regular Secundaria 13 68 81 ÁNCASH-CHIMBOTE 32120778 CARDENAS ROSALES EVA ELVIRA Ed. Básica Regular Secundaria 17 74 91 ÁNCASH-CHIMBOTE 32121895 PEREZ ROBLES JUAN ROMAN Ed. Básica Regular Secundaria 15 62 77 ÁNCASH-CHIMBOTE 32124493 CASTILLO DIAZ KEY ROSANITA Ed. Básica Regular Secundaria 14 60 74 ÁNCASH-CHIMBOTE 32125010 JUAREZ ARIAS JAVIER ENRIQUE Ed. Básica Regular Secundaria 16 64 80 ÁNCASH-CHIMBOTE 32125045 CUELLAR QUITO ALFREDO GUADALUPE Ed. Básica Regular Secundaria 15 68 83 ÁNCASH-CHIMBOTE 32125540 HUERTA YACUPOMA ALICIA MARGARITA Ed. Básica Regular Secundaria 17 82 99 ÁNCASH-CHIMBOTE 32127476 ZEGARRA YUI ROSA OLIVIA Ed. Básica Regular Secundaria 16 88 104 ÁNCASH-CHIMBOTE 32128779 MINAYA MENDEZ TIMOTEO MARCO Ed. Básica Regular Secundaria 14 64 78 ÁNCASH-CHIMBOTE 32129973 CABELLO GARCIA CLIMACO ELISEO Ed. Básica Regular Secundaria 16 68 84 ÁNCASH-CHIMBOTE 32130242 GUERRERO MEJIA LIBIA LEONIDAS Ed. Básica Regular Secundaria 16 66 82 ÁNCASH-CHIMBOTE 32130531 MUÑOZ RIVERO OMAR HARLAM Ed. Básica Regular Secundaria 15 66 81 ÁNCASH-CHIMBOTE 32130562 LOPEZ EVARISTO VICTOR ANTONIO Ed. Básica Regular Secundaria 18 74 92 ÁNCASH-CHIMBOTE 32130871 SERNAQUE CASTILLO CAROLINA DEL PILAR Ed. Básica Regular Secundaria 20 70 90 ÁNCASH-CHIMBOTE 32130956 LLONTOP GUTIERREZ PEDRO VICTOR Ed. Básica Regular Secundaria 15 72 87 ÁNCASH-CHIMBOTE 32132084 LUDEÑA CHAVEZ LUIS ALBERTO Ed. Básica Regular Secundaria 12 72 84 ÁNCASH-CHIMBOTE 32133641 AGURTO MARCHAN MARIA VERONICA Ed. Básica Regular Secundaria 12 68 80 ÁNCASH-CHIMBOTE 32135013 PANTOJA CADENILLAS FRANCY AGUSTIN Ed. Básica Regular Secundaria 19 68 87 ÁNCASH-CHIMBOTE 32226264 SANCHEZ HERRERA RUBEN Ed. Básica Regular Secundaria 13 68 81 ÁNCASH-CHIMBOTE 32402990 RODRIGUEZ ALVAREZ RICHARD VICTORIANO Ed. Básica Regular Secundaria 19 80 99 ÁNCASH-CHIMBOTE 32403933 RODRIGUEZ RAMOS WILLIAM MARCIAL Ed. Básica Regular Secundaria 17 80 97 ÁNCASH-CHIMBOTE 32406913 GONZALES PAJUELO OLIMPIADES ABUDEMIO Ed. Básica Regular Secundaria 12 70 82 ÁNCASH-CHIMBOTE 32538524 MARQUEZ TARMA MARCELINO GUILLERMO Ed. Básica Regular Secundaria 17 70 87 ÁNCASH-CHIMBOTE 32541465 CASTRO BARRUETO JOSE IGNACIO Ed. Básica Regular Secundaria 18 68 86 ÁNCASH-CHIMBOTE 32542208 ESQUIVEL ROSADO MANUEL JOSE Ed. Básica Regular Secundaria 13 76 89 ÁNCASH-CHIMBOTE 32542962 VASQUEZ MARTELL EDITH MARIA Ed. Básica Regular Secundaria 14 66 80 ÁNCASH-CHIMBOTE 32543155 CARRILLO SANCHEZ GLADYS SOLEDAD Ed. Básica Regular Secundaria 20 68 88 11/17
  • 12.
    Publicada: 02/08/2023 COMPRENSIÓN LECTORA CONOCIMIENTOS DE GESTIÓNEDUCATIVA Y GESTIÓN PÚBLICA TOTAL RELACIÓN DE POSTULANTES QUE SUPERARON LOS PUNTAJES MÍNIMOS REQUERIDOS EN LAS SUBPRUEBAS DE LA PRUEBA NACIONAL RVM N° 166-2022-MINEDU / OFICIO N° 01896-2022-MINEDU-VMGP-DIGEDD / OFICIO N° 00063-2023-MINEDU-VMGP-DIGEDD / OFICIO N° 00141-2023-MINEDU-VMGP-DIGEDD CONCURSO PÚBLICO DE ACCESO A CARGOS DIRECTIVOS Y DE ESPECIALISTAS EN EDUCACIÓN EN LAS INSTANCIAS DE GESTIÓN EDUCATIVA DESCENTRALIZADA 2022-2023 MODALIDAD / NIVEL EDUCATIVO PUNTAJE DE LA PRUEBA ÚNICA NACIONAL SEDE DONDE FUE EVALUADO DOCUMENTO DE IDENTIDAD APELLIDO PATERNO APELLIDO MATERNO NOMBRES ÁNCASH-CHIMBOTE 32647440 TUYA LEON WHION ELEUTERIO Ed. Básica Regular Secundaria 17 74 91 ÁNCASH-CHIMBOTE 32657680 TINOCO MARIÑO WALDEMAR JOSE Ed. Básica Regular Secundaria 14 84 98 ÁNCASH-CHIMBOTE 32658071 LEON TREJO WILDER MICHAEL Ed. Básica Regular Secundaria 17 66 83 ÁNCASH-CHIMBOTE 32732118 SCAMARONE PRECIADO MARÍA CELIA Ed. Básica Regular Secundaria 12 60 72 ÁNCASH-CHIMBOTE 32732868 MATOS HUAYTAN PILAR HONORINA Ed. Básica Regular Secundaria 17 68 85 ÁNCASH-CHIMBOTE 32734432 ZUÑIGA QUEZADA MARIA YSABEL Ed. Básica Regular Secundaria 17 60 77 ÁNCASH-CHIMBOTE 32735324 FARFAN LUCAR EDYTH CONSUELO Ed. Básica Regular Secundaria 14 76 90 ÁNCASH-CHIMBOTE 32736583 RONDAN PALACIOS BLANCA MERCEDES Ed. Básica Regular Secundaria 16 66 82 ÁNCASH-CHIMBOTE 32737832 VELA ALEJOS MILTON CESAR Ed. Básica Regular Secundaria 13 72 85 ÁNCASH-CHIMBOTE 32738755 QUIROZ MURGA JORGE ALBERTO Ed. Básica Regular Secundaria 18 80 98 ÁNCASH-CHIMBOTE 32739089 MELGAREJO RODRIGUEZ ELIUD SILAS Ed. Básica Regular Secundaria 14 78 92 ÁNCASH-CHIMBOTE 32739997 PONCE ARROYO NILTON JAVIER Ed. Básica Regular Secundaria 17 72 89 ÁNCASH-CHIMBOTE 32740069 JARAMILLO FLORES ALBERTO JAIME Ed. Básica Regular Secundaria 17 68 85 ÁNCASH-CHIMBOTE 32761458 MENDEZ ANGELES HAYDEE ELIZABETH Ed. Básica Regular Secundaria 16 80 96 ÁNCASH-CHIMBOTE 32763008 PAUCAR PLACIDA GLADYS MARLENI Ed. Básica Regular Secundaria 17 68 85 ÁNCASH-CHIMBOTE 32765208 HURTADO MENDIETA EDUARDO FRANCISCO Ed. Básica Regular Secundaria 17 82 99 ÁNCASH-CHIMBOTE 32766822 FALLA ENRIQUEZ TITO RICARDO Ed. Básica Regular Secundaria 15 76 91 ÁNCASH-CHIMBOTE 32771033 MIRANDA VASQUEZ LUIS ALBERTO Ed. Básica Regular Secundaria 14 62 76 ÁNCASH-CHIMBOTE 32774277 PONTE DOMINGUEZ MILFOR AMADO Ed. Básica Regular Secundaria 12 74 86 ÁNCASH-CHIMBOTE 32780309 AZAÑERO RUIZ CARLOS ANTONIO Ed. Básica Regular Secundaria 12 60 72 ÁNCASH-CHIMBOTE 32782641 VENTURA LOPEZ ESTEBAN BENANCIO Ed. Básica Regular Secundaria 17 72 89 ÁNCASH-CHIMBOTE 32785891 LOZANO VEREAU LUIS ANGELO Ed. Básica Regular Secundaria 17 76 93 ÁNCASH-CHIMBOTE 32785900 PONTE CIPRA YONY FREDDY Ed. Básica Regular Secundaria 16 78 94 ÁNCASH-CHIMBOTE 32786925 MOSTACERO GONZALES HERNOLDE LUIS Ed. Básica Regular Secundaria 16 70 86 ÁNCASH-CHIMBOTE 32789981 NAVARRO LAZARO ROSA LOURDES Ed. Básica Regular Secundaria 15 64 79 ÁNCASH-CHIMBOTE 32791267 MORENO JAIMES NILO WILFREDO Ed. Básica Regular Secundaria 14 66 80 ÁNCASH-CHIMBOTE 32794978 CRUZALEGUI SIFUENTES JOSE LUIS Ed. Básica Regular Secundaria 15 72 87 ÁNCASH-CHIMBOTE 32799994 ZAPATA VASQUEZ LUIS CESAR Ed. Básica Regular Secundaria 16 64 80 ÁNCASH-CHIMBOTE 32805458 MUÑOZ PACHECO LUIS ALBERTO Ed. Básica Regular Secundaria 19 84 103 ÁNCASH-CHIMBOTE 32809363 MARIÑOS GUZMAN LOURDES HAYDEE Ed. Básica Regular Secundaria 16 80 96 ÁNCASH-CHIMBOTE 32817249 IPARRAGUIRRE RAMOS CESAR MARIANO Ed. Básica Regular Secundaria 18 80 98 ÁNCASH-CHIMBOTE 32820065 PAJUELO PAJUELO JUAN MAURO Ed. Básica Regular Secundaria 13 62 75 ÁNCASH-CHIMBOTE 32822312 REQUE MILLONES JOSE ORLANDO Ed. Básica Regular Secundaria 12 60 72 12/17
  • 13.
    Publicada: 02/08/2023 COMPRENSIÓN LECTORA CONOCIMIENTOS DE GESTIÓNEDUCATIVA Y GESTIÓN PÚBLICA TOTAL RELACIÓN DE POSTULANTES QUE SUPERARON LOS PUNTAJES MÍNIMOS REQUERIDOS EN LAS SUBPRUEBAS DE LA PRUEBA NACIONAL RVM N° 166-2022-MINEDU / OFICIO N° 01896-2022-MINEDU-VMGP-DIGEDD / OFICIO N° 00063-2023-MINEDU-VMGP-DIGEDD / OFICIO N° 00141-2023-MINEDU-VMGP-DIGEDD CONCURSO PÚBLICO DE ACCESO A CARGOS DIRECTIVOS Y DE ESPECIALISTAS EN EDUCACIÓN EN LAS INSTANCIAS DE GESTIÓN EDUCATIVA DESCENTRALIZADA 2022-2023 MODALIDAD / NIVEL EDUCATIVO PUNTAJE DE LA PRUEBA ÚNICA NACIONAL SEDE DONDE FUE EVALUADO DOCUMENTO DE IDENTIDAD APELLIDO PATERNO APELLIDO MATERNO NOMBRES ÁNCASH-CHIMBOTE 32836366 AYLLON CARBAJAL ANA MARIA Ed. Básica Regular Secundaria 15 60 75 ÁNCASH-CHIMBOTE 32844006 DANOS PRINCIPE ELVA YOLANDA Ed. Básica Regular Secundaria 16 72 88 ÁNCASH-CHIMBOTE 32849866 LAURE ALVAREZ MARIA AURORA Ed. Básica Regular Secundaria 15 60 75 ÁNCASH-CHIMBOTE 32853325 LOPEZ MARTINEZ GILMER ROBINSON Ed. Básica Regular Secundaria 12 60 72 ÁNCASH-CHIMBOTE 32860100 VALDERRAMA DOMINGUEZ MARIA JONE Ed. Básica Regular Secundaria 14 70 84 ÁNCASH-CHIMBOTE 32860769 BLAS JAIME SUSANA HAYDEE Ed. Básica Regular Secundaria 15 66 81 ÁNCASH-CHIMBOTE 32861815 VEGA MANTILLA SANTOS EFRAÍN Ed. Básica Regular Secundaria 14 70 84 ÁNCASH-CHIMBOTE 32861938 MARTINEZ ALEJOS MIGUEL ANGEL Ed. Básica Regular Secundaria 18 76 94 ÁNCASH-CHIMBOTE 32862381 EUSEBIO BARDALES MARLENE JESUS Ed. Básica Regular Secundaria 16 74 90 ÁNCASH-CHIMBOTE 32862668 VALENTIN FLORES BENICIO Ed. Básica Regular Secundaria 15 76 91 ÁNCASH-CHIMBOTE 32866811 GONZALES MALCA PEDRO ASCENCION Ed. Básica Regular Secundaria 17 60 77 ÁNCASH-CHIMBOTE 32873009 POLO BOLO SEGUNDO MAURO Ed. Básica Regular Secundaria 12 74 86 ÁNCASH-CHIMBOTE 32873059 VALDIVIEZO LOAYZA MIRTHA FANY Ed. Básica Regular Secundaria 18 78 96 ÁNCASH-CHIMBOTE 32882150 MORENO BLANQUILLO CARLOS ANTONIO Ed. Básica Regular Secundaria 15 76 91 ÁNCASH-CHIMBOTE 32882450 VARA VEGA CIPRIANO Ed. Básica Regular Secundaria 12 64 76 ÁNCASH-CHIMBOTE 32884988 PARIACHI MARTINEZ GUADALUPE ORFELINDA Ed. Básica Regular Secundaria 19 74 93 ÁNCASH-CHIMBOTE 32885078 MORENO MORENO CORNELIO ROGELIO Ed. Básica Regular Secundaria 19 74 93 ÁNCASH-CHIMBOTE 32888063 MENDEZ CHAVEZ JUDITH JANET Ed. Básica Regular Secundaria 16 68 84 ÁNCASH-CHIMBOTE 32888741 VALERIO SILVA MARYLUZ MARGOT Ed. Básica Regular Secundaria 17 64 81 ÁNCASH-CHIMBOTE 32889243 SALDAÑA DIAZ CONCEPCION Ed. Básica Regular Secundaria 16 72 88 ÁNCASH-CHIMBOTE 32902325 BOCANEGRA GUTIERREZ EDUARDO GENARO Ed. Básica Regular Secundaria 16 82 98 ÁNCASH-CHIMBOTE 32907027 PUELLES DE LA CRUZ NELIDA GLADYS Ed. Básica Regular Secundaria 15 62 77 ÁNCASH-CHIMBOTE 32909170 UCAÑAN RIVERO ELIZABETH MARISOL Ed. Básica Regular Secundaria 17 64 81 ÁNCASH-CHIMBOTE 32910411 SANCHEZ ROSALES JANET MIRIAM Ed. Básica Regular Secundaria 15 72 87 ÁNCASH-CHIMBOTE 32910676 VILLENA ACOSTA SEGUNDO JORGE Ed. Básica Regular Secundaria 14 66 80 ÁNCASH-CHIMBOTE 32911200 GONZALES IZQUIERDO SEGUNDO MANUEL Ed. Básica Regular Secundaria 19 72 91 ÁNCASH-CHIMBOTE 32911251 RUIZ ROSALES JOSE EDILBERTO Ed. Básica Regular Secundaria 18 60 78 ÁNCASH-CHIMBOTE 32911371 BALTA SEVILLANO PATRICIA VIRGINIA Ed. Básica Regular Secundaria 18 76 94 ÁNCASH-CHIMBOTE 32911964 MORE CRUZ JUAN RAMON Ed. Básica Regular Secundaria 17 74 91 ÁNCASH-CHIMBOTE 32913421 CORDOVA ALEGRE JOSE ANDRES Ed. Básica Regular Secundaria 17 66 83 ÁNCASH-CHIMBOTE 32914644 CABRERA MEDINA DORIS ELENA Ed. Básica Regular Secundaria 18 68 86 ÁNCASH-CHIMBOTE 32915486 SALINAS CASTILLO ABRAHAM Ed. Básica Regular Secundaria 16 70 86 ÁNCASH-CHIMBOTE 32915630 DURAND ARTEAGA RAUL ALBERTO Ed. Básica Regular Secundaria 18 70 88 13/17
  • 14.
    Publicada: 02/08/2023 COMPRENSIÓN LECTORA CONOCIMIENTOS DE GESTIÓNEDUCATIVA Y GESTIÓN PÚBLICA TOTAL RELACIÓN DE POSTULANTES QUE SUPERARON LOS PUNTAJES MÍNIMOS REQUERIDOS EN LAS SUBPRUEBAS DE LA PRUEBA NACIONAL RVM N° 166-2022-MINEDU / OFICIO N° 01896-2022-MINEDU-VMGP-DIGEDD / OFICIO N° 00063-2023-MINEDU-VMGP-DIGEDD / OFICIO N° 00141-2023-MINEDU-VMGP-DIGEDD CONCURSO PÚBLICO DE ACCESO A CARGOS DIRECTIVOS Y DE ESPECIALISTAS EN EDUCACIÓN EN LAS INSTANCIAS DE GESTIÓN EDUCATIVA DESCENTRALIZADA 2022-2023 MODALIDAD / NIVEL EDUCATIVO PUNTAJE DE LA PRUEBA ÚNICA NACIONAL SEDE DONDE FUE EVALUADO DOCUMENTO DE IDENTIDAD APELLIDO PATERNO APELLIDO MATERNO NOMBRES ÁNCASH-CHIMBOTE 32916126 GARCIA DE LA CRUZ OLGA LILIANA Ed. Básica Regular Secundaria 17 74 91 ÁNCASH-CHIMBOTE 32916661 FERNANDEZ VALDEZ DE MELENDEZ DORIS HILDA Ed. Básica Regular Secundaria 15 60 75 ÁNCASH-CHIMBOTE 32916708 CHAVARRY TRUJILLO SILVIA CARMEN Ed. Básica Regular Secundaria 15 60 75 ÁNCASH-CHIMBOTE 32917339 GARCIA CORAL GUSTAVO OMAR Ed. Básica Regular Secundaria 18 72 90 ÁNCASH-CHIMBOTE 32919045 APONTE GOMEZ CLEVER Ed. Básica Regular Secundaria 15 66 81 ÁNCASH-CHIMBOTE 32919116 SANTOS ROLDAN JUDITH NILDA Ed. Básica Regular Secundaria 15 76 91 ÁNCASH-CHIMBOTE 32919922 NINAQUISPE CHUQUIMANGO PABLO ROBERTO Ed. Básica Regular Secundaria 16 74 90 ÁNCASH-CHIMBOTE 32920647 CARDENAS DEL RIO NANCY MATILDE Ed. Básica Regular Secundaria 20 76 96 ÁNCASH-CHIMBOTE 32920993 GOICOCHEA IBARRA LAURA Ed. Básica Regular Secundaria 16 66 82 ÁNCASH-CHIMBOTE 32921244 MONTENEGRO VIVAR PILAR AURORA Ed. Básica Regular Secundaria 16 84 100 ÁNCASH-CHIMBOTE 32921468 ESPINOZA GARRO MIRIAM VIOLETA Ed. Básica Regular Secundaria 17 68 85 ÁNCASH-CHIMBOTE 32921842 PAJUELO LÓPEZ LUCIO FRANKLIN Ed. Básica Regular Secundaria 14 62 76 ÁNCASH-CHIMBOTE 32923319 RODRIGUEZ ESPEJO VICENTE RAMON Ed. Básica Regular Secundaria 18 74 92 ÁNCASH-CHIMBOTE 32923459 BARRENO FLORES JAVIER EDUARDO Ed. Básica Regular Secundaria 16 72 88 ÁNCASH-CHIMBOTE 32923898 LUCERO BUENO BERTHA ELIZABETH Ed. Básica Regular Secundaria 17 80 97 ÁNCASH-CHIMBOTE 32924585 PASTOR RODRIGUEZ JANETH Ed. Básica Regular Secundaria 15 60 75 ÁNCASH-CHIMBOTE 32925925 CHERO VALDIVIESO EDGAR AUGUSTO Ed. Básica Regular Secundaria 17 74 91 ÁNCASH-CHIMBOTE 32927905 RODRIGUEZ MONTENEGRO JOSE LUIS Ed. Básica Regular Secundaria 16 62 78 ÁNCASH-CHIMBOTE 32927954 VASQUEZ JANADA MARCOS EDWIN Ed. Básica Regular Secundaria 14 70 84 ÁNCASH-CHIMBOTE 32928284 CHERO CASTRO FREYDER LUIS Ed. Básica Regular Secundaria 17 76 93 ÁNCASH-CHIMBOTE 32928343 ZAVALETA PINEDO ALBARO RUBEN Ed. Básica Regular Secundaria 12 70 82 ÁNCASH-CHIMBOTE 32928569 SUAREZ CHIROQUE NORMA LAURA Ed. Básica Regular Secundaria 16 64 80 ÁNCASH-CHIMBOTE 32930386 SOSA SANDOVAL JENNEVIENE JANET Ed. Básica Regular Secundaria 15 66 81 ÁNCASH-CHIMBOTE 32932212 DIAZ BARRANTES CARMEN MARIA Ed. Básica Regular Secundaria 14 64 78 ÁNCASH-CHIMBOTE 32933378 MELGAREJO MORALES ANA ESTHER Ed. Básica Regular Secundaria 19 62 81 ÁNCASH-CHIMBOTE 32935335 VALOIS MILLA ELSA YRENE Ed. Básica Regular Secundaria 16 70 86 ÁNCASH-CHIMBOTE 32935926 TOLENTINO RUIZ ESTEBAN Ed. Básica Regular Secundaria 16 62 78 ÁNCASH-CHIMBOTE 32940365 VELASQUEZ TURRIATE LUCRECIA ODELI Ed. Básica Regular Secundaria 16 62 78 ÁNCASH-CHIMBOTE 32941756 CARRASCO CARRION EDUARDO LUIS Ed. Básica Regular Secundaria 18 74 92 ÁNCASH-CHIMBOTE 32944543 VASQUEZ RODRIGUEZ GUILLERMO JAIR Ed. Básica Regular Secundaria 14 60 74 ÁNCASH-CHIMBOTE 32947674 ZAVALA ENRIQUEZ ALEJANDRO Ed. Básica Regular Secundaria 13 62 75 ÁNCASH-CHIMBOTE 32948623 VALDERRAMA RUIZ ERMITANIO HERIBERTO Ed. Básica Regular Secundaria 16 66 82 ÁNCASH-CHIMBOTE 32949674 AVALOS GONZALEZ TERESA ISOLINA Ed. Básica Regular Secundaria 18 66 84 14/17
  • 15.
    Publicada: 02/08/2023 COMPRENSIÓN LECTORA CONOCIMIENTOS DE GESTIÓNEDUCATIVA Y GESTIÓN PÚBLICA TOTAL RELACIÓN DE POSTULANTES QUE SUPERARON LOS PUNTAJES MÍNIMOS REQUERIDOS EN LAS SUBPRUEBAS DE LA PRUEBA NACIONAL RVM N° 166-2022-MINEDU / OFICIO N° 01896-2022-MINEDU-VMGP-DIGEDD / OFICIO N° 00063-2023-MINEDU-VMGP-DIGEDD / OFICIO N° 00141-2023-MINEDU-VMGP-DIGEDD CONCURSO PÚBLICO DE ACCESO A CARGOS DIRECTIVOS Y DE ESPECIALISTAS EN EDUCACIÓN EN LAS INSTANCIAS DE GESTIÓN EDUCATIVA DESCENTRALIZADA 2022-2023 MODALIDAD / NIVEL EDUCATIVO PUNTAJE DE LA PRUEBA ÚNICA NACIONAL SEDE DONDE FUE EVALUADO DOCUMENTO DE IDENTIDAD APELLIDO PATERNO APELLIDO MATERNO NOMBRES ÁNCASH-CHIMBOTE 32949814 PATRICIO CORDOVA MARCOS AMARO Ed. Básica Regular Secundaria 14 70 84 ÁNCASH-CHIMBOTE 32950877 PEREZ MEJIA CESAR ANDRES Ed. Básica Regular Secundaria 13 68 81 ÁNCASH-CHIMBOTE 32951501 SOLIS HUAMAN JAVIER FERNANDO Ed. Básica Regular Secundaria 16 64 80 ÁNCASH-CHIMBOTE 32951542 CALVO VILLAFANA ELBA NANCY Ed. Básica Regular Secundaria 15 60 75 ÁNCASH-CHIMBOTE 32952552 OLORTEGUI MORALES MARGARET IDELSA Ed. Básica Regular Secundaria 16 84 100 ÁNCASH-CHIMBOTE 32952581 ROJAS SILVA ANITA MARINA Ed. Básica Regular Secundaria 15 60 75 ÁNCASH-CHIMBOTE 32953342 ITURRIA HUAMAN ROBERT ALBERTO Ed. Básica Regular Secundaria 16 80 96 ÁNCASH-CHIMBOTE 32953364 HIDALGO OLIVOS FRANCISCO CRUZ Ed. Básica Regular Secundaria 16 62 78 ÁNCASH-CHIMBOTE 32953723 MIRANDA VALENCIA JUANA NOEMI Ed. Básica Regular Secundaria 18 64 82 ÁNCASH-CHIMBOTE 32955468 CALVO VILLAFANA ROSA VIRGINIA Ed. Básica Regular Secundaria 15 70 85 ÁNCASH-CHIMBOTE 32956238 ARMAS IPARRAGUIRRE JORGE LUIS Ed. Básica Regular Secundaria 19 80 99 ÁNCASH-CHIMBOTE 32956240 ACOSTA AGUILAR GENARO RAYMUNDO Ed. Básica Regular Secundaria 19 74 93 ÁNCASH-CHIMBOTE 32956901 TARAZONA RIOS ZOYLA ROSARIO Ed. Básica Regular Secundaria 16 70 86 ÁNCASH-CHIMBOTE 32959357 PONCE VASQUEZ KARINA YANET Ed. Básica Regular Secundaria 17 72 89 ÁNCASH-CHIMBOTE 32959483 RUBINO FISCARRALD LIDIA MARIA Ed. Básica Regular Secundaria 18 76 94 ÁNCASH-CHIMBOTE 32959871 MAZA COBEÑAS ROGGER ALFREDO Ed. Básica Regular Secundaria 15 62 77 ÁNCASH-CHIMBOTE 32960338 PEREZ ALVAREZ AMELIA RAQUEL Ed. Básica Regular Secundaria 13 68 81 ÁNCASH-CHIMBOTE 32961337 BLAS GARCIA ALICIA YSABEL Ed. Básica Regular Secundaria 15 62 77 ÁNCASH-CHIMBOTE 32964134 ALVITES QUEZADA MARCO ANTONIO Ed. Básica Regular Secundaria 18 76 94 ÁNCASH-CHIMBOTE 32966448 GOMEZ SIGUAS GLORIA ISABEL Ed. Básica Regular Secundaria 13 68 81 ÁNCASH-CHIMBOTE 32966496 CORAL AVILA ERICA MERCEDES Ed. Básica Regular Secundaria 18 72 90 ÁNCASH-CHIMBOTE 32967376 VASQUEZ ROLDAN DOMINICA LUCIA Ed. Básica Regular Secundaria 17 72 89 ÁNCASH-CHIMBOTE 32967977 GONZALES BRICEÑO DORIS YESENIA Ed. Básica Regular Secundaria 18 70 88 ÁNCASH-CHIMBOTE 32968018 ALVAREZ MURILLO SILVIA INES Ed. Básica Regular Secundaria 17 68 85 ÁNCASH-CHIMBOTE 32968731 RISCO QUESQUEN SILVIA MAGALY Ed. Básica Regular Secundaria 16 84 100 ÁNCASH-CHIMBOTE 32975622 ALZAMORA DE NIMA RUTH NELLY Ed. Básica Regular Secundaria 16 72 88 ÁNCASH-CHIMBOTE 32975731 YAUCE CORNEJO GABY ROSMERY Ed. Básica Regular Secundaria 15 70 85 ÁNCASH-CHIMBOTE 32977667 PONTE DOMINGUEZ MARGARITA YUDIT Ed. Básica Regular Secundaria 18 64 82 ÁNCASH-CHIMBOTE 32977806 AVALOS AURORA ALVARO Ed. Básica Regular Secundaria 19 60 79 ÁNCASH-CHIMBOTE 32977988 CANTARO CASTRO ROBERTO PEDRO Ed. Básica Regular Secundaria 15 68 83 ÁNCASH-CHIMBOTE 32979208 VALDEZ CERNA LILIANA DEL PILAR Ed. Básica Regular Secundaria 20 70 90 ÁNCASH-CHIMBOTE 32981199 ROMAN RAMOS DINA HAYDEE Ed. Básica Regular Secundaria 16 72 88 ÁNCASH-CHIMBOTE 32984204 FLORES VACA EDER NIKEY Ed. Básica Regular Secundaria 19 64 83 15/17
  • 16.
    Publicada: 02/08/2023 COMPRENSIÓN LECTORA CONOCIMIENTOS DE GESTIÓNEDUCATIVA Y GESTIÓN PÚBLICA TOTAL RELACIÓN DE POSTULANTES QUE SUPERARON LOS PUNTAJES MÍNIMOS REQUERIDOS EN LAS SUBPRUEBAS DE LA PRUEBA NACIONAL RVM N° 166-2022-MINEDU / OFICIO N° 01896-2022-MINEDU-VMGP-DIGEDD / OFICIO N° 00063-2023-MINEDU-VMGP-DIGEDD / OFICIO N° 00141-2023-MINEDU-VMGP-DIGEDD CONCURSO PÚBLICO DE ACCESO A CARGOS DIRECTIVOS Y DE ESPECIALISTAS EN EDUCACIÓN EN LAS INSTANCIAS DE GESTIÓN EDUCATIVA DESCENTRALIZADA 2022-2023 MODALIDAD / NIVEL EDUCATIVO PUNTAJE DE LA PRUEBA ÚNICA NACIONAL SEDE DONDE FUE EVALUADO DOCUMENTO DE IDENTIDAD APELLIDO PATERNO APELLIDO MATERNO NOMBRES ÁNCASH-CHIMBOTE 32984386 HORA MANRIQUE ISABEL SUSY Ed. Básica Regular Secundaria 16 66 82 ÁNCASH-CHIMBOTE 32984867 VALVERDE SALAZAR LUIS FERNANDO Ed. Básica Regular Secundaria 17 64 81 ÁNCASH-CHIMBOTE 32989600 BOLAÑOS NARCISO EMELDA OLOVY Ed. Básica Regular Secundaria 17 74 91 ÁNCASH-CHIMBOTE 32992152 BRICEÑO TOLENTINO VIVIAN JORGE Ed. Básica Regular Secundaria 19 68 87 ÁNCASH-CHIMBOTE 32992457 TERRONES LOPEZ IRIS RENE Ed. Básica Regular Secundaria 17 74 91 ÁNCASH-CHIMBOTE 32992694 CAMPOS ANGELES SAMUEL JULIAN Ed. Básica Regular Secundaria 19 76 95 ÁNCASH-CHIMBOTE 33241078 LAZARO MORENO VICTOR FELIX Ed. Básica Regular Secundaria 14 60 74 ÁNCASH-CHIMBOTE 33261891 LINARES ESPINOZA PATRICIA KATERINE Ed. Básica Regular Secundaria 18 66 84 ÁNCASH-CHIMBOTE 33263828 ARIAS NUÑUVERO EDWIN RAMON Ed. Básica Regular Secundaria 17 80 97 ÁNCASH-CHIMBOTE 33264133 RODRIGUEZ JULCA NOEMI MARGARITA Ed. Básica Regular Secundaria 18 74 92 ÁNCASH-CHIMBOTE 33264243 MORENO PEREZ HECTOR TULIO Ed. Básica Regular Secundaria 16 72 88 ÁNCASH-CHIMBOTE 33265162 MAGUIÑA QUIÑONES DE VERGARA NELLY MILAGRO Ed. Básica Regular Secundaria 14 60 74 ÁNCASH-CHIMBOTE 33265579 SANCHEZ PORTAL DE TAPIA HAYDEE Ed. Básica Regular Secundaria 13 60 73 ÁNCASH-CHIMBOTE 33320287 FLORES SOSA CELSO NAZARIO Ed. Básica Regular Secundaria 12 62 74 ÁNCASH-CHIMBOTE 33340155 ALVA ORTEGA ESBER RICARDO Ed. Básica Regular Secundaria 15 68 83 ÁNCASH-CHIMBOTE 33340237 RAMIREZ SOLIS ELMER HUGO Ed. Básica Regular Secundaria 15 60 75 ÁNCASH-CHIMBOTE 40065429 ROLDAN FLORES YESSICA PATRICIA Ed. Básica Regular Secundaria 17 62 79 ÁNCASH-CHIMBOTE 40071343 TRUJILLO ROLDAN ISABEL ROXANA Ed. Básica Regular Secundaria 15 68 83 ÁNCASH-CHIMBOTE 40085583 ALVARADO AGUILAR ANA ANGELICA Ed. Básica Regular Secundaria 14 64 78 ÁNCASH-CHIMBOTE 40092207 ANAYA CARRILLO CESAR CAMILO Ed. Básica Regular Secundaria 15 66 81 ÁNCASH-CHIMBOTE 40105744 CABALLERO PEREDA DE REAÑO JETZABEL MARIA Ed. Básica Regular Secundaria 20 66 86 ÁNCASH-CHIMBOTE 40129269 ZAMORA MALDONADO MARGARITA ISABEL Ed. Básica Regular Secundaria 16 68 84 ÁNCASH-CHIMBOTE 40133503 MIRANDA MELGAREJO GUILLERMO AUGUSTO Ed. Básica Regular Secundaria 16 60 76 ÁNCASH-CHIMBOTE 40183979 AGUILAR RAO MARLENY ROCIO Ed. Básica Regular Secundaria 16 82 98 ÁNCASH-CHIMBOTE 40391614 FLORES LUNA GUIDO ALBERTO Ed. Básica Regular Secundaria 16 66 82 ÁNCASH-CHIMBOTE 40458287 TORRES MEJIA CENINA MILAGRITOS Ed. Básica Regular Secundaria 18 76 94 ÁNCASH-CHIMBOTE 40469626 ARTEAGA TORRES ESTHER CRISTINA Ed. Básica Regular Secundaria 14 74 88 ÁNCASH-CHIMBOTE 40485797 CAPA CRUZADO MONICA ARACELLI Ed. Básica Regular Secundaria 17 62 79 ÁNCASH-CHIMBOTE 40635616 ITA SEVILLANO LUIS ENRIQUE Ed. Básica Regular Secundaria 18 66 84 ÁNCASH-CHIMBOTE 40655068 BARBIE ARELLANO DE SALETTI MAIRA YVONNE Ed. Básica Regular Secundaria 16 72 88 ÁNCASH-CHIMBOTE 40657660 VEGA VIDAL WUALNER JENSEN Ed. Básica Regular Secundaria 19 68 87 ÁNCASH-CHIMBOTE 40665172 VIVAR CALDERON JUAN JOSE Ed. Básica Regular Secundaria 17 84 101 ÁNCASH-CHIMBOTE 40836883 DELGADO HERRERA FELIX Ed. Básica Regular Secundaria 19 78 97 16/17
  • 17.
    Publicada: 02/08/2023 COMPRENSIÓN LECTORA CONOCIMIENTOS DE GESTIÓNEDUCATIVA Y GESTIÓN PÚBLICA TOTAL RELACIÓN DE POSTULANTES QUE SUPERARON LOS PUNTAJES MÍNIMOS REQUERIDOS EN LAS SUBPRUEBAS DE LA PRUEBA NACIONAL RVM N° 166-2022-MINEDU / OFICIO N° 01896-2022-MINEDU-VMGP-DIGEDD / OFICIO N° 00063-2023-MINEDU-VMGP-DIGEDD / OFICIO N° 00141-2023-MINEDU-VMGP-DIGEDD CONCURSO PÚBLICO DE ACCESO A CARGOS DIRECTIVOS Y DE ESPECIALISTAS EN EDUCACIÓN EN LAS INSTANCIAS DE GESTIÓN EDUCATIVA DESCENTRALIZADA 2022-2023 MODALIDAD / NIVEL EDUCATIVO PUNTAJE DE LA PRUEBA ÚNICA NACIONAL SEDE DONDE FUE EVALUADO DOCUMENTO DE IDENTIDAD APELLIDO PATERNO APELLIDO MATERNO NOMBRES ÁNCASH-CHIMBOTE 40844378 FLORES RODRIGUEZ RONNY MILLER Ed. Básica Regular Secundaria 17 64 81 ÁNCASH-CHIMBOTE 40890114 JARA QUINO GILMER PROSPEDIO Ed. Básica Regular Secundaria 15 74 89 ÁNCASH-CHIMBOTE 40968236 HUAMAN CABRERA LUIS ANGEL Ed. Básica Regular Secundaria 16 60 76 ÁNCASH-CHIMBOTE 40987495 ALAYO EVARISTO FREDY GUSTAVO Ed. Básica Regular Secundaria 16 68 84 ÁNCASH-CHIMBOTE 41080597 VILCA VARGAS WILBER ROLANDO Ed. Básica Regular Secundaria 18 80 98 ÁNCASH-CHIMBOTE 41173981 CASTILLO CASTILLO DEISY PATRICIA Ed. Básica Regular Secundaria 18 84 102 ÁNCASH-CHIMBOTE 41282001 PAICO COC JAHAIRA ELIZABETH Ed. Básica Regular Secundaria 18 64 82 ÁNCASH-CHIMBOTE 41624412 GURRIONERO MATIAS DIANA VICTORIA Ed. Básica Regular Secundaria 18 80 98 ÁNCASH-CHIMBOTE 41678107 VÁSQUEZ BENITES JOSÉ ARTURO Ed. Básica Regular Secundaria 17 82 99 ÁNCASH-CHIMBOTE 41832270 GUZMAN CORTEZ JUAN MANUEL Ed. Básica Regular Secundaria 17 70 87 ÁNCASH-CHIMBOTE 41946113 CABALLERO LEON ZENON YANPIER Ed. Básica Regular Secundaria 17 66 83 ÁNCASH-CHIMBOTE 41982967 VILCA CRUZADO ROSANGELA PAMELA Ed. Básica Regular Secundaria 16 72 88 ÁNCASH-CHIMBOTE 42288863 ALVA VASQUEZ MILTON CESAR Ed. Básica Regular Secundaria 15 70 85 ÁNCASH-CHIMBOTE 42348514 FLORES CORREA EDIN OMAR Ed. Básica Regular Secundaria 19 60 79 ÁNCASH-CHIMBOTE 42671734 ALBA NECIOSUP KATIA GUISELLA Ed. Básica Regular Secundaria 14 68 82 ÁNCASH-CHIMBOTE 42948856 REGALADO CASTAÑEDA JOSE FERNAN Ed. Básica Regular Secundaria 19 68 87 ÁNCASH-CHIMBOTE 43447116 RODRIGUEZ VALVERDE PILAR LUCIA Ed. Básica Regular Secundaria 17 70 87 ÁNCASH-CHIMBOTE 44030581 ATENCIO VICENTE MERY OFELIA Ed. Básica Regular Secundaria 15 60 75 ÁNCASH-CHIMBOTE 44397431 BARCO JARA JENRY BONY Ed. Básica Regular Secundaria 20 72 92 ÁNCASH-CHIMBOTE 45446939 MOZOMBITE DOMINGUEZ KAREN DARCEY Ed. Básica Regular Secundaria 17 66 83 ÁNCASH-CHIMBOTE 45555556 CASANA TARAZONA DORA Ed. Básica Regular Secundaria 19 68 87 ÁNCASH-CHIMBOTE 45650141 QUEZADA LIÑAN DENNISSE MARGOTH Ed. Básica Regular Secundaria 16 60 76 ÁNCASH-CHIMBOTE 47379372 GÁLVEZ SÁNCHEZ LUIGÜI FELIX Ed. Básica Regular Secundaria 19 66 85 ÁNCASH-CHIMBOTE 80255092 BRAVO MENDOZA DAVID MAXIMO Ed. Básica Regular Secundaria 18 62 80 ÁNCASH-CHIMBOTE 80465524 ZAVALETA MIRANDA JOHNNY ELOY Ed. Básica Regular Secundaria 12 64 76 ÁNCASH-CHIMBOTE 10034076 CARO SÁNCHEZ GALLEGOS OMAR Ed. Técnico-Productiva 13 80 93 ÁNCASH-CHIMBOTE 16170066 MENDIETA GOMEZ NERIDA RAQUEL Ed. Técnico-Productiva 15 64 79 ÁNCASH-CHIMBOTE 32774440 GUEVARA ZELAYA WALTER Ed. Técnico-Productiva 16 62 78 ÁNCASH-CHIMBOTE 32866331 CERRINOS BARROSO MIGUEL ROLANDO Ed. Técnico-Productiva 13 68 81 ÁNCASH-CHIMBOTE 32914658 ASCON LOYAGA ELMER TACITO Ed. Técnico-Productiva 15 62 77 ÁNCASH-CHIMBOTE 32985263 TORREJON CANO ALEX ALBERTO Ed. Técnico-Productiva 16 68 84 ÁNCASH-CHIMBOTE 33264003 GARCIA DE LA CRUZ EDULFO Ed. Técnico-Productiva 16 74 90 17/17