Manual para el Ministerio de Jóvenes




      EL CONCILIO NACIONAL DE LAS ASAMBLEAS DE DIOS, A. R.

                   MANUAL PARA EL MINISTERIO DE JOVENES

                                              ACOM-JOVE

                                              CONTENIDO



BASES FUNDAMENTALES DEL DISTRITO .................................................... 2

1. PRESENTACIÓN. ............................................................................................... 3

2. OBJETIVOS DEL MINISTERIO JUVENIL. .................................................. 3

3. DESCRIPCIÓN GENERAL DEL MINISTERIO. ........................................... 3

4. ORGANIGRAMA DEL MINISTERIO............................................................. 8

5. ACTIVIDADES Y RECURSOS SUGERIDOS. ............................................. 10

6. PROCESO DE CONTROL, EVALUACIÓN Y SEGUIMIENTO. .............. 16




                               “Por una juventud ideal y llena del Espíritu Santo”
                                                         1
Manual para el Ministerio de Jóvenes


                       BASES FUNDAMENTALES DEL DISTRITO

        VISIÓN: Ser un distrito con crecimiento integral en constante reproducción.

         MISIÓN: Comprometidos con el establecimiento de iglesias reproducibles
               en cada comunidad oaxaqueña hasta la venida de Cristo.

Crecimiento integral y constante reproducción conlleva la responsabilidad de lograr la madurez en
todos los sentidos para lograr salud en las iglesias reproducibles.

La iglesia tiene el deber de cumplir con el mandato de nuestro Señor Jesucristo de predicar el
evangelio que redime, hasta el fin del mundo, lo cual presupone:

1º. FORTALECIMIENTO del Cuerpo de Cristo, atendiendo al desarrollo de todos sus miembros,
    para un involucramiento total en un desempeño eficiente en el cumplimiento del mandato.

2º. SUPERACIÓN del liderazgo del distrito en todos sus niveles, para realizar las tareas
    administrativas con mejores resultados.

3º. ESTIMULACIÓN para el desarrollo de ministerios de apoyo a la obra en general.

4º. SUPERACIÓN del cuerpo ministerial en todos los aspectos, de tal manera que repercuta
    grandemente en la obra del Señor.

5º. DESARROLLO de todos los creyentes, de modo que cada uno actúe eficientemente y en
    consecuencia con la razón de ser.

6º. MOVILIZACIÓN enfocada a la plantación de iglesias reproducibles en el distrito y fuera de
    él.

7º. VALORACIÓN de nuestra razón de ser y hacer, que nos dará excelencia.
    a. La espiritualidad que nos hace fuertes.
    b. La unidad que nos hace invencibles.
    c. La doctrina que nos da estabilidad.
    d. La integridad que sustenta nuestro mensaje.
    e. Las relaciones que nos hacen inquebrantables.
    f. El amor mutuo que nos lleva al servicio.
    g. La superación que nos hace eficientes.


POR LO TANTO, todas estas iniciativas tienden a desarrollar los potenciales al máximo y usar
todos los recursos disponibles, para cumplir con el cometido declarado por el SEÑOR
JESUCRISTO, en la Gran Comisión, unificando esfuerzos y modificando estructuras ineficientes
para lograr la reproducción y expansión de la obra.



                           “Por una juventud ideal y llena del Espíritu Santo”
                                                    2
Manual para el Ministerio de Jóvenes


1. PRESENTACIÓN.

1.1. La historia de los ministerios juveniles se remonta hasta la época del Antiguo Testamento.
Jóvenes valerosos que vieron con fe un futuro glorioso.
1.2. José un gran administrador; Josué el líder guerrero; David hombre conforme al corazón de
Dios y “qué más digo porque el tiempo y el espacio me faltaría contando de Gedeón, Barac,
Sansón, Jefté, Samuel y de los profetas, que por fe conquistaron reinos, hicieron justicia,
alcanzaron promesas, taparon bocas de leones, apagaron fuegos impetuosos, evitaron filo de
espada, sacaron fuerza de debilidad, se hicieron fuertes en batalla y pusieron en fuga ejércitos
extranjeros”, Hebreos 11:32-34.
1.3. En el Nuevo Testamento encontramos a Timoteo, fiel discípulo de Pablo, que en su juventud
toma la responsabilidad del pastorado; y nuestro mayor ejemplo que es Jesús el Salvador, quien por
amor vino a cumplir la gran tarea de buscar y salvar lo que se había perdido.
1.4. Hoy los problemas y dificultades no han cambiado, es por eso que se requieren jóvenes
valientes que vean con fe un futuro glorioso y que como aquellos hombres de la biblia, entiendan
los propósitos para los que fueron llamados.


2. OBJETIVOS DEL MINISTERIO JUVENIL.

2.1. Nivel distrital
2.1.1. Promover la superación, realización personal y ministerial del joven cristiano.
2.1.2. Promover el logro del objetivo del lema:"Por una juventud ideal y llena del Espíritu Santo"

2.2. Nivel regional.
2.2.1. Promover el logro de los ministerios juveniles.
2.2.2. Supervisar el desarrollo de los ministerios juveniles en cada sociedad local a través de los
promotores regionales y seccionales.

2.3. Nivel local
2.3.1. Motivar a cada joven del ministerio a superarse personalmente.
2.3.2. Motivar a los jóvenes a desarrollar los ministerios en beneficio de la iglesia, 1 Corintios
14:5,11-12.
2.3.3. Promover la fraternidad y el servicio a los domésticos de la fe.
2.3.4. Contribuir al desarrollo integral de sus miembros.
2.3.5. Promover la unidad del cuerpo de Cristo.


3. DESCRIPCIÓN GENERAL DEL MINISTERIO.

3.1 integración de los ministerios juveniles.

3.1.1. Nivel distrital
3.1.1.1. Integración del Área de Comunión junto con las directivas de Varones, Damas,
Matrimonios Jóvenes, Hijos de Ministros, Exploradores del Rey, Misioneritas y Niños.
3.1.1.2. El coordinadores elegido cada dos años en la Convención de Distrito.
3.1.1.3. El Secretario tesorero es elegido cada dos años en la Convención de Distrito.
                           “Por una juventud ideal y llena del Espíritu Santo”
                                                    3
Manual para el Ministerio de Jóvenes


3.1.2. Nivel regional.
3.1.2.1. El promotor regional será nombrado por el Presbiterio de Distrito, previa solicitud de la
directiva distrital.

3.1.3. Nivel local.
3.1.3.1. Los ministerios juveniles no son una sociedad más, sino la misma sociedad juvenil de la
iglesia.
3.1.3.2. El pastor es supervisor general de ministerios juveniles.
3.1.3.3. El asesor de la directiva de los ministerios juveniles será nombrado por el cuerpo ejecutivo.
Este puede ser un diácono, una diaconisa mayor de 21 años, o un matrimonio con experiencia y
madurez espiritual.
3.1.3.4. La directiva local de ministerios juveniles estará integrada por jóvenes llenos del Espíritu
Santo con disposición para ser adiestrados y su prioridad será el trabajo eficaz de cada ministerio.
3.1.3.5. La directiva local será electa de acuerdo a los requisitos y lineamientos que señala el
reglamento local para los oficiales de la iglesia.
3.1.3.6. Los ministerios serán integrados de acuerdo a los dones o vocación de cada miembro de la
sociedad.
3.1.3.7. El trabajo de ministerios juveniles se realizara a través de la práctica de los mismos.
3.1.3.7.1. Ministerios de adoración, hacia Dios.
3.1.3.7.1.1. Celebración: Música, alabanza.
3.1.3.7.1.2.Sacramentos: Bautismo y Santa Cena.
3.1.3.7.1.3.Promoción espiritual.
3.1.3.7.1.4.Ambientación: Limpieza, ornato.
3.1.3.7.2. Ministerios de edificación, hacia la iglesia.
3.1.3.7.2.1. Pastoral: consejería y visitación.
3.1.3.7.2.2. Mayordomía: administración de recursos humanos (secretarios), administración de
recursos financieros (tesoreros), administración de recursos físicos (templo, anexos, equipos
construcción, mantenimiento y conservación), administración de los talentos.
3.1.3.7.2.1. Benevolencia: Misericordia, hospitalidad.
3.1.3.7.2.2. Comunión (koinonía): Recreación(festejos) recepción (ujieres).
3.1.3.7.2.5. Educación cristiana: Discipulado, Escuela dominical, obreros cristianos,
campamentos.
3.1.3.6.2.5. Comunicaciones: relaciones públicas, publicidad (avisos, propaganda, anuncios,
tablero), publicaciones (boletines, periódico mural, folletos, libros), medios (teléfono,
computadora, fax, internet).
3.1.3.7.3. Ministerios hacia el mundo.
3.1.3.7.3.1. Misiones: locales, nacionales y mundiales.
3.1.3.7.3.2. Evangelismo: Campañas evangelísticas, campañas de evangelización, trabajo con
grupos (niños, ancianos, indigentes, marginados, adictos, cuerpos militarizados).
Uso de medios para evangelización (teatro, radio, televisión, videos, fonocintas, literatura,
periódico, libros, teléfono, computadora, internet, alfabetización).
3.1.3.7.3.3 Grupos familiares de estudio bíblico.

3.2. Funciones de los ministerios juveniles.

3.2.1. Nivel distrital.
3.2.1.1. Prepara los materiales, planes, programas, proyectos y manuales necesarios para impulsar
                            “Por una juventud ideal y llena del Espíritu Santo”
                                                     4
Manual para el Ministerio de Jóvenes

los ministerios juveniles, así como regular las políticas básicas de trabajo.

3.2.2. Nivel regional.
3.2.2.1. Promueve y supervisa el desarrollo de los ministerios juveniles de cada sociedad local
visitando las regiones y a través de los promotores regionales y seccionales.

3.2.3. Nivel local.
3.2.3.1. El pastor de la iglesia local comparte la visión y conocimiento con herramientas
adecuadas para el desarrollo de los ministerios de la sociedad poniendo en práctica las siguientes
estrategias.
3.2.3.1.1. Estructura de predicación sobre ministerios.
3.2.3.1.2. Elabora y aplica un cuestionario vocacional de ministerios.
3.2.3.2. Asesor de los ministerios juveniles.
3.2.3.2.1. Trabaja bajo la supervisión y armonía pastoral.
3.2.3.2.2. Trabaja en armonía con la directiva de los ministerios juveniles.
3.2.3.2.3. Establece lazos estrechos de comunicación con el grupo.
3.2.3.2.4. Promueve el desarrollo de ministerios juveniles.
3.2.3.2.5. Vigila y supervisa el cumplimiento de los planes de la directiva local.

3.2.3.3. Presidente de los ministerios juveniles.
3.2.3.3.1. Planifica, promueve y coordina el trabajo de los ministerios juveniles.
3.2.3.3.2. Supervisa el desarrollo del plan de trabajo.
3.2.3.3.3. Programa y organiza junto con la directiva, el culto mensual, quincenal o semanal de
los ministerios juveniles.
3.2.3.3.4. Informa según se lo requiera el cuerpo ejecutivo.
3.2.3.3.5. Organiza junto con la directiva el día nacional de la sociedad de jóvenes que es el 1 de
agosto y la semana juvenil especial a conveniencia de la iglesia.
3.2.3.3.6. Cumple con las responsabilidades ya escritas en el reglamento local.

3.2.3.4. Secretario(a).
3.2.3.4.1. Pertenece al ministerio de administración de los recursos humanos de la iglesia.
3.2.3.4.2 Cumple con las responsabilidades ya escritas en el reglamento local.

3.2.3.5. Tesorero(a).
3.2.3.5.1. Pertenece al ministerio de administración financiera de la iglesia.
3.2.3.5.2. Cumple con las responsabilidades ya escritas en el reglamento local.
3.2.3.5.3. Separa el 10% de los ingresos de la sociedad mensualmente y lo envía a la tesorería del
Distrito.
3.2.4. Ministerios de adoración a Dios.
3.2.4.1. Celebración. Elabora, organiza y supervisa los programas, ubicando a los ministerios que
participan en este.

3.2.4.1.1. Música.
3.2.4.1.1.1. Este ministerio es responsable de la música durante el culto.
3.2.4.1.1.2. Capacita y enseña a los hermanos con aptitudes que deseen participar en este
ministerio

3.2.4.1.2. Alabanza.
                            “Por una juventud ideal y llena del Espíritu Santo”
                                                     5
Manual para el Ministerio de Jóvenes

3.2.4.1.2.1. Este ministerio organiza y dirige las alabanzas durante el culto.
3.2.4.1.2.2. Enseña a la sociedad a cantaren armonía.

3.2.4.2. Sacramentos.
3.2.4.2.1. Bautismo: es responsable de orientar a los hermanos en cuanto al vestuario y los útiles
necesarios para la ceremonia, responsable de la preparación del bautisterio.
3.2.4.2.2. Santa Cena: se encarga de preparar los elementos necesarios para la realización de este
sacramento (pan, vino, jarra, vasos, manteles, etc.).

3.2.4.3. Promoción espiritual: (Manual de Promoción Espiritual).
3.2.4.4. Ambientación: este ministerio se encarga del arreglo y decoración del templo.
3.2.4.4.1. Limpieza. Ayuda en la limpieza del templo y anexos
3.2.4.4.2. Arreglos, ayuda en los arreglos que son necesarios para que el templo se vea bien, sobre
todo en fiestas especiales.

3.2.5. Ministerio de edificación a la iglesia.
3.2.5.1. Ministerio pastoral.
3.2.5.1.1. Ministerio de consejería: aconseja, asesora, exhorta a los hermanos que lo
requieran.
3.2.5.1.2. Ministerio de visitación: consolida, edifica, consuela según la necesidad.

3.2.5.2. Ministerio de educación cristiana. (Manual de Educación Cristiana).
3.2.5.2.1. Escuela Dominical.
3.2.5.2.2. Discipulado con cursos programados.
3.2.5.2.3. Capacitación de obreros.
3.2.5.2.4. Campamentos (Manual de Campamentos).

3.2.5.3. Comunión.
3.2.5.3.1. Recreación (festejos).
3.2.5.3.1.1. Agenda, organiza y supervisa los programas para los festejos de la sociedad.
3.2.5.3.2. Recepción.
3.2.5.3.2.1. Hermanos que participan en el trabajo de ujieres
3.2.5.3.2.2. Coordina y capacita a los hermanos para recibir y atender a los asistentes al culto y
festejos especiales.

3.2.5.4. Benevolencia: concientiza y ayuda en la provisión a los necesitados y prepara
hospedaje para casos especiales de necesidad.
3.2.5.4.1. Benevolencia, Se encarga de ayudar en la colecta de despensas o dinero para ayudar a
los necesitados.
3.2.5.4.2. Hospitalidad, se encarga de proporcionar hospitalidad en casos de necesidad.

3.2.5.5. Mayordomía.
3.2.5.5.1. Administración financiera.
3.2.5.5.1.1. Elabora y presenta el presupuesto de ingresos y egresos de la sociedad.
3.2.5.5.1.2. En coordinación con los demás tesoreros de ese ministerio, participan en la
elaboración del presupuesto general de la iglesia y en la enseñanza de la mayordomía integral.
3.2.5.5.2. Administración de recursos humanos.
3.2.5.5.2.1. Levanta estadísticas.
                           “Por una juventud ideal y llena del Espíritu Santo”
                                                    6
Manual para el Ministerio de Jóvenes

3.2.5.5.2.2. Redacta acuerdos de su sociedad.
3.2.5.5.2.3. Archiva acuerdos.
3.2.5.5.2.4. Reporta al secretario general el cumplimiento del trabajo realizado por su
grupo.
3.2.5.5.3. Administración de recursos físicos, templo, anexos, equipos, construcción,
conservación y mantenimiento.
3.2.4.5.3.1. En construcción elabora y presenta el proyecto y presupuesto al cuerpo
ejecutivo de la iglesia junto con el ministerio correspondiente.
3.2.5.5.3.2. Buscará en otros ministerios el apoyo para realizar con eficacia su trabajo.
3.2.5.5.3.3. Se integrarán al ministerio general de la iglesia para proyectos de construcción o
compra de equipos.
3.2.5.5.4. Administrador de talentos.
3.2.5.5.4.1. Integrar y coordinar a los jóvenes de acuerdo a la habilidad y a la disposición de
servicio.
3.2.5.5.4.2. Elaborar el programa en armonía con la directiva.

3.2.5.5.5. Ministerios de comunicaciones.
3.2.5.5.5.1. Relaciones públicas.
3.2.5.5.5.1.1. Promueve relaciones fraternas con los diferentes ministerios.
3.2.5.5.5.2. Publicidad: elabora propaganda, avisos, anuncios relativos a su sociedad.
3.2.5.5.5.3. Publicación.
3.2.5.5.5.3.1. Elabora boletines.
3.2.5.5.5.3.2. En coordinación con los otros ministerios, realiza el periódico mural, folletos, venta
de libros.
3.2.5.5.5.4. Medios: si se cuenta con los medios modernos de comunicación, este ministerio
operará dichos medios.

3.2.6. Ministerios hacia el mundo.
3.2.6.1. Misiones: local, nacional y mundial (Manual de Misiones).
3.2.6.2. Evangelismo.
3.2.6.2.1. Campañas de evangelismo, participa en campañas que organice la iglesia.
3.2.6.2.2. Campañas evangelizadoras, participan en campañas de evangelización por las casas o
por las calles.
3.2.6.2.3. Grupos sociales: niños, indigentes, ancianos, adictos, marginados.
3.2.6.2.4. Medios de comunicación: periódico, radio, televisión.
3.2.6.2.5. Grupos familiares de estudio bíblico. (Manual de Grupos Pequeños).




                            “Por una juventud ideal y llena del Espíritu Santo”
                                                     7
Manual para el Ministerio de Jóvenes


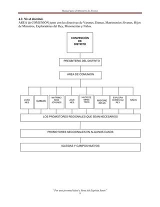
4. ORGANIGRAMA DEL MINISTERIO.

4.1. Nivel local




                                                      CUERPO
                                                     EJECUTIVO




                                                 Diácono Asignado




                                                   Directiva del
                                               Ministerio de Jóvenes




              Sus ministerios                    Sus ministerios                      Sus ministerios




                                 IGLESIA                           LOCAL




                                “Por una juventud ideal y llena del Espíritu Santo”
                                                         8
Manual para el Ministerio de Jóvenes


4.2. Nivel distrital.
ÁREA de COMUNIÓN junto con las directivas de Varones, Damas, Matrimonios Jóvenes, Hijos
de Ministros, Exploradores del Rey, Misioneritas y Niños.


                                          CONVENCIÓN
                                              DE
                                           DISTRITO




                                  PRESBITERIO DEL DISTRITO




                                      ÁREA DE COMUNIÓN




                       MATRIMO                        HIJOS DE                EXPLORA
   VARO                  NIOS           JÓVE            MINIS       MISIONE   DORES Del   NIÑOS
    NES
            DAMAS      JÓVENES           NES            TROS                    REY
                                                                     RITAS




                 LOS PROMOTORES REGIONALES QUE SEAN NECESARIOS




                    PROMOTORES SECCIONALES EN ALGUNOS CASOS




                               IGLESIAS Y CAMPOS NUEVOS




                        “Por una juventud ideal y llena del Espíritu Santo”
                                                  9
Manual para el Ministerio de Jóvenes


5. ACTIVIDADES Y RECURSOS SUGERIDOS.

5.1. Conocimiento básico y aplicación del proceso administrativo.

5.1.1. Como la administración es universal y tan necesaria en la vida diaria, como jóvenes
cristianos tenemos que conocerla y utilizarla para realizar mejor nuestro trabajo en el hogar, en la
iglesia o en cualquier área de nuestra vida.
5.1.2. El proceso administrativo consta de cuatro funciones que son:
5.1.2.1. Planeación.
5.1.2.1.1. Se elabora una lista de necesidades.
5.1.2.1.2. Se eligen las prioritarias (urgentes y necesarias).
5.1.2.1.3. A partir de esto fijamos los objetivos que deseamos lograr y en qué tiempo.
5.1.2.1.4. Se establecen los programas (cómo los vamos a lograr).
5.1.2.1.5. Se establecen los principios (políticas) que van a regular el trabajo).
5.1.2.1.6. Se establecen los recursos necesarios.
5.1.2.2. Organización.
5.1.2.2.1. Se ubica (coloca) a cada miembro de la sociedad en el trabajo (ministerio a realizar).
5.1.2.2.2. Se le asignan sus responsabilidades y funciones.
5.1.2.2.3. Se requiere del uso de un organigrama en el que se defina la línea de autoridad y
responsabilidad (funciones). (Ver organigrama nivel local).
5.1.2.3. Dirección.
5.1.2.3.1. Hacer que las personas estén activas realizando sus ministerios.
5.1.2.4. Control, evaluación y seguimiento.
5.1.2.4.1. Asegurar que las actividades se mantengan apegadas al plan
5.1.2.4.2. Una evaluación que permita trazar líneas de trabajo para lograr el mejoramiento y la
continuidad del programa.

5.2. Actividades espirituales.

5.2.1. Oración cada sábado de 6-7 a.m. (horario sugerido), con el propósito de que ejerciten la
oración. Orando unos por otros, por sus problemas y necesidades.
5.2.2. Oración de 15 minutos antes del culto juvenil para declarar victoria en el culto de jóvenes.
5.2.3. Crear un boletín de intercesión, con las necesidades de cada joven.
5.2.4. Listar personal de oración por sus familiares inconversos, dedicándole un tiempo especial
de oración y ayuno para interceder.
5.2.5. Salir con el grupo a un lugar apartado (campo, parque), para hacer una oración de
"dedicación de talentos" o "compromiso para el servicio al Señor".
5.2.6. Cadenas de oración.
5.2.7. Vigilias de oración.
5.2.8. Oración responsable. Cada joven se compromete a orar por otro joven específicamente o
por algo especial de la iglesia: por una familia, por necesidad económica, por el pastor.
5.2.9. Fogatas de oración. Horario sugerido 8-11 p.m. Primero se convive, posteriormente se
escriben peticiones para orar específicamente, para después quemar los papelitos escritos con las
necesidades, simbolizando que se da por contestado lo que se ha pedido.
5.2.10. Clamor de hijos. En un culto juvenil se hará 100% de oración, para que los hijos oren por
necesidades diversas de sus padres.

                           “Por una juventud ideal y llena del Espíritu Santo”
                                                   10
Manual para el Ministerio de Jóvenes

5.3. Actividades evangelísticas.

5.3.1. Tu grupo de jóvenes puede realizar seminarios de capacitación evangelística, por lo menos
dos veces al año.
5.3.2. Apoyar las campañas evangelísticas locales, siendo los primeros en estar presentes, invitar
personas o repartiendo folletos, incluso apoyando financieramente en los gastos de la campaña.
5.3.3. Evangelismo casa por casa. Puedes escoger un día de la semana para salir con tus jóvenes de
dos en dos a compartir la Palabra en las casas.
5.3.4. Culto evangelístico mensual. Alabanza (15 minutos), dos testimonios breves de salvación,
predicación e invitación a aceptar a Cristo.
5.3.5. Establecer células juveniles.
5.3.6. Boletines evangelísticos. Estos boletines son para informar a los vecinos algunas
actividades de la iglesia e informarles de la intercesión por sus necesidades.
5.3.7. Evangelización en grupo en lugares públicos (parques, explanadas, zócalos, deportivos).
5.3.8. Evangelización en instituciones de beneficencia y penitenciarias. Puedes asistir de vez en
cuando, para compartir el evangelio con tu grupo juvenil a los asilos, orfanatorios, hospitales y
cárceles.
5.3.9. Evangelismo por teléfono. Puedes utilizar tu teléfono poniéndote de acuerdo con aquellos
jóvenes que tienen este servicio, para que a determinada hora todos realicen dos llamadas
telefónicas en las cuales puedan compartir un breve mensaje evangelístico de 1 a 2 minutos.
5.3.10. Evangelismo por carta a vecinos y/o amigos. Puedes escribir tu testimonio o algún
mensaje evangelístico y enviarlo por correo a tu vecino o amigo.

5.4. Actividades doctrinales.

5.4.1. Dramas o diálogos.
5.4.1.1. Cada drama o diálogo deberá ser con temas dirigidos a los jóvenes bajo la supervisión del
asesor.
5.4.1.2. Podrá hacerse una participación del grupo de Castillo del Rey local o invitado, para
efectuar actividad dirigida a toda la iglesia.

5.4.2. Estudios bíblicos.
5.4.2.1. El grupo juvenil puede realizar seminarios con temas escatológicos impartidos
preferentemente por el pastor o por una persona que él indique.
5.4.2.2. Otros temas que se sugieren: Ética cristiana dentro y fuera de la iglesia, el Espíritu Santo.
5.4.2.3. Podrás presentar otros temas atendiendo a las necesidades particulares de tu grupo y
presentarlos con técnicas variadas.

5.4.3. Universidad de jóvenes cristianos.
5.4.3.1. Para estudiar la epístola a los Corintios.
5.4.4. Desarrollar un tema bíblico a base de preguntas con una aplicación práctica al final.
5.4.5. En algunas ocasiones, en el culto juvenil puedes apartar un tiempo para efectuar algún
programa de aprovechamiento bíblico (esgrima, crucigrama, etc.).
5.4.6. Puede efectuar algunos cultos para desarrollar los talentos juveniles.

5.4.7. Culto sugerido: Momento de adoración (15 minutos)
5.4.7.1. Participación con poesías, cantos, dramatizaciones, exposición de cuadros bíblicos, etc.
5.4.7.2. Motivación para dedicar esas habilidades al servicio de Dios.
                            “Por una juventud ideal y llena del Espíritu Santo”
                                                    11
Manual para el Ministerio de Jóvenes


5.4.7.3. Culto de alabanza juvenil.
5.4.7.4. Oración y lectura bíblica.
5.4.7.5. Participación de algunos jóvenes para ministrar a través del canto.
5.4.7.6. Motivación a través de esa ministración para alabar a Dios.
5.4.8. Culto de reconocimiento de los Embajadores de Cristo:
5.4.8.1. Dirección del culto de 15 a 20 minutos.
5.4.8.2. Predicación, máximo 30 minutos.
5.4.8.3. Mención honorífica al que resulte ser:
5.4.8.3.1. El más responsable en la iglesia
5.4.8.3.2. El de mayor asistencia a las actividades de la iglesia.
5.4.8.3.3. El mejor estudiante bíblico y secular.
5.4.8.3.4. El de mejor ética.
5.4.8.4. Bienvenida a los jóvenes de nuevo ingreso haciendo mención si son por conversión o si es
por traslado.

5.4.9. Cultos de testimonios juveniles.
5.4.9.1. Un pequeño devocional.
5.4.9.2. Dar oportunidad para que los jóvenes testifiquen compartiendo testimonios de sanidad,
salvación, de milagros u oraciones contestadas, dándoles un tiempo determinado y orientación de
cómo hacerlo breve y eficaz.

5.5. Actividades sociales.

5.5.1. Campamento juvenil local. La orientación la adquirirás en tus seminarios de capacitación
para campamentos seccionales y regionales. (Infórmate con el presidente de sección).
5.5.2. Excursiones juveniles. En ellas puedes incluir juegos de campo, pláticas juveniles,
compartir el pan.
5.5.3. Actividades de benevolencia. Comisiona a algún miembro de tu sociedad para que
investigue cuales son las actividades sociales del DIF de tu comunidad y ver cómo pueden
participar en ello.
5.5.3.1. A nivel local, y bajo la aprobación de tu pastor, proveer despensa a alguna de las familias
más necesitadas o ayudar a algún hermano que esté enfermo o imposibilitado.
5.5.3.2. A nivel distrital, infórmate con tu pastor como puedes participar en las actividades
establecidas por el movimiento o como puedes ayudar a las personas que han pasado por desastres.
5.5.4. Actividades de mejoras en nuestra comunidad.
5.5.4.1. A través de los programas de solidaridad (infórmate con el jefe de manzana).
5.5.4.2. En la iglesia local, limpiando la calle, podando árboles, sembrando árboles que no rompan
las banquetas, pintando las guarniciones.

5.6. Actividades materiales.

5.6.1. Subastas o bazares. Puedes recolectar toda la ropa de uso y que esté desde luego en buen
estado, para posteriormente venderla a bajo costo en lugares pobres de tu ciudad.
5.6.2. Cuotas. De común acuerdo todos los jóvenes aportarán quincenal, semanal o mensualmente
una cuota económica.
5.6.3. Servicio al público. Puedes ofrecer al público un servicio como: lavado de autos, jardinería,
etc., pidiendo una generosa colaboración.
                             “Por una juventud ideal y llena del Espíritu Santo”
                                                     12
Manual para el Ministerio de Jóvenes

5.6.4. Venta de talentos. Si en tu grupo hay jóvenes que saben bordar, tejer, hacer gelatinas, flanes,
pasteles, artesanías o trabajos manuales, promover una venta entre tus amigos y vecinos, y en su
caso sacar permiso ante las autoridades.
5.6.5. Recolección. Con tu grupo de jóvenes, ofrecer al público dependiendo del estado del
tiempo, bebidas apropiadas solicitándoles una colaboración económica.
5.6.6. Reparación. Si alguno de tus jóvenes sabe reparar calzado, invitar a los demás a que salgan
a las calles y casa por casa vayan recogiendo zapatos para su reparación, comprometiéndose a
entregarlos en el menor tiempo posible.
5.6.7. "Venta de esclavos". En una reunión informal, puedes ofrecer los servicios que los jóvenes
puedan realizar, obviamente deberás ponerte de acuerdo con ellos. Se negociará el trabajo, costo,
tiempo y día.

5.7. Programas propuestos para la semana juvenil.
En cada semana de la juventud, debes definir un propósito en base a las necesidades de tu grupo.

5.7.1. Semana de la Juventud. Con metas evangelísticas. Tema: "Cristo para ti" o "Cristo, nuestra
razón de vivir".

5.7.1.1. Primer día: Pide a los jóvenes que compartan por escrito su alegría de conocer a Cristo.
Este deberá contener los siguientes puntos:
5.7.1.1.1. Cómo conoció a Jesús.
5.7.1.1.2. Por medio de quién.
5.7.1.1.3. En qué lugar.
5.7.1.1.4. Qué sintió al aceptar a Cristo como su salvador.
5.7.1.1.5. Qué promesa hizo al aceptar a Cristo.
5.7.1.1.6. Decirle a la persona que leerá su carta que Cristo le ama, invitarlo a que lo conozca y
extenderle una invitación para su reunión.

5.7.1.2. En el culto de la tarde:
5.7.1.2.1. Un devocional de 15 minutos.
5.7.1.2.2. Un testimonio de salvación o sanidad.
5.7.1.2.3. Predicación.
5.7.1.2.4. Ofertorio, anuncios y despedida.

5.7.1.3. Segundo día: Devocional 15 minutos.
5.7.1.3.1. Participación para exponer el mensaje a través del "Libro sin palabras".
5.7.1.3.2. Un drama que hable de salvación.
5.7.1.3.3. Ofertorio, anuncios y despedida.

5.7.1.4. Tercer día: Devocional de 15 minutos.
5.7.1.4.1. Participación musical de un grupo o de los jóvenes de la iglesia con cantos de salvación.
5.7.1.4.2. Película que presente el mensaje de salvación.
5.7.1.4.3. Ofertorio, anuncios y despedida.

5.7.1.5. Cuarto día: Una excursión donde se jugará y recreará el joven y también se tendrá una
plática breve donde se presente el mensaje de salvación.

5.7.1.6. Quinto día: Devocional de 15 minutos.
                            “Por una juventud ideal y llena del Espíritu Santo”
                                                    13
Manual para el Ministerio de Jóvenes

5.7.1.6.1. Presentar un estudio bíblico de las consecuencias del pecado.

5.7.1.7. Sexto día: Devocional de 15 minutos.
5.7.1.7.1. Hacer que los jóvenes escojan un himno y las señoritas otro para entonarlo.
5.7.1.7.2. Oración dirigida por un adolescente.
5.7.1.7.3. Anuncios y ofrenda.
5.7.1.7.4. Presentar el tema "El remedio para el pecado" a través de hablar acerca de que Dios ha
provisto de Cristo para librar al hombre del mal, entrevistando públicamente a un joven que ya
haya sido librado del pecado.
5.7.1.7.5. Aplicación y llamamiento.
5.7.1.7.6. Despedida.

5.7.2. Semana de la Juventud. Propósito: desarrollar las relaciones humanas. Tema: "Atrévete a
ser ejemplo".

5.7.2.1. Primer día: Apertura: Entrada para el grupo de jóvenes. Encender un pebetero para
simbolizar la presencia del Espíritu Santo.
5.7.2.1.1. Devocional de 15 minutos.
5.7.2.1.2. Mensaje: "Conócete a ti mismo", autoanálisis.
5.7.2.1.3. Ofertorio, anuncios y despedida.

5.7.2.2. Segundo día: Devocional.
5.7.2.2.1. Testimonio por dos jóvenes (un varón y una señorita) de un hecho poderoso.
5.7.2.2.2. Mensaje: "Tu relación con Dios".
5.7.2.2.3. Ofertorio, anuncios y despedida.

5.7.2.3. Tercer día:
5.7.2.3.1. Preludio musical o de poesía.
5.7.2.3.2. Ofertorio.
5.7.2.3.3. Devocional.
5.7.2.3.4. Mensaje: "La relación del joven cristiano con la Familia".
5.7.2.3.5. Anticipadamente pedirle a cada joven que elabore su árbol genealógico con fotos,
debidamente acomodadas en una cartulina, para que esa noche se ore para el restablecimiento de
las relaciones familiares, y mediante estas que acepten al Señor como Salvador.
5.7.2.3.6. Anuncios y despedida.

5.7.2.4. Cuarto día: Premiar al joven que resulte ser "El mejor amigo".
5.7.2.4.1. Premiar al joven que resulte ser el que lleve más amigos.
5.7.2.4.2. Mensaje a través de un panel: "La relación del joven cristiano para con sus amigos
conversos e inconversos".
5.7.2.4.3. Preguntas sugeridas: ¿Tienes amigos dentro de la iglesia? ¿Cuántos amigos conversos
tienes? ¿Tienes enemigos, por qué? ¿Te llevas bien con todos, por qué?
5.7.2.4.4. Ofertorio, anuncios y despedida.

5.7.2.5. Quinto día: Durante la mañana o medio día, devocional de 15 minutos.
5.7.2.5.1. Recapitulación de los mensajes anteriores a través de preguntas y respuestas.
5.7.2.5.2. Para finalizar: Cena de convivencia.

                           “Por una juventud ideal y llena del Espíritu Santo”
                                                   14
Manual para el Ministerio de Jóvenes

5.7.3. Semana de la Juventud. Propósito: espiritual. Tema: "Los dones del Espíritu Santo".

5.7.3.1. Primer día: Devocional.
5.7.3.1.1. Hacer una lista de lo que se considere como dones.
5.7.3.1.2. Mensaje: "El origen y definición de los dones".
5.7.3.1.3. Ofertorio, anuncios y despedida.

5.7.3.2. Segundo día: Devocional.
5.7.3.2.1. Mensaje: "Los superdotados". Explicación de los dones y ¿Tienes o no tienes dones?
5.7.3.2.2. Ofertorio, anuncios y despedida.

5.7.3.3. Tercer día: Devocional.
5.7.3.3.1. Mensaje: "Como usar los dones", Técnica: preguntas y respuestas.
5.7.3.3.2. Ofertorio, anuncios y despedida.

5.7.3.4. Cuarto día: Devocional.
5.7.3.4.1. Para éste día recomendar a los jóvenes anticipadamente que deberán realizar una acción
buena para que esa noche pasen a testificarlo.
5.7.3.4.2. Mensaje: "Práctica de los dones fuera del templo".

5.7.3.5. Quinto día: Devocional.
5.7.3.5.1. Mensaje y ministración musical.
5.7.3.5.2. Clausura. Evaluación.
5.7.3.5.3. Se invitará al joven a que reflexione en los temas que se han dado durante la semana y se
dé cuenta como pensaba, como impactó lo que escuchó y como lo va a poner en práctica.
5.7.3.5.4. Ofertorio, anuncios y despedida.

5.8. Materiales sugeridos.

5.8.1. MCanual de Discipulado para jóvenes: Excelencia, reto al discipulado, por Jeff Swaim,
Assemblies of God: DFM, Resource and Development Ministries, 1996.
5.8.1.1. Este manual es muy adecuado para trabajar en el discipulado de jóvenes estudiantes de
nivel secundaria y preparatoria.

5.8.2. Guía Práctica para Líderes de Jóvenes, Assemblies of God: DFM, Resource and
Development Ministries, 1996.
5.8.2.1. Esta guía es útil para capacitar a los líderes de grupos de jóvenes que se están formando
en las iglesias nacientes o misiones.




                             “Por una juventud ideal y llena del Espíritu Santo”
                                                     15
Manual para el Ministerio de Jóvenes


6. PROCESO DE CONTROL, EVALUACIÓN Y SEGUIMIENTO.

Es absolutamente necesario evaluar el trabajo de la sociedad juvenil en su dimensión de
ministerios, para mejorar todos los enfoques de esta manera de trabajar y para ayudarnos
mutuamente a alcanzar la excelencia y sabiduría.

6.1. FORMATO JOVE-1.

El programa de evaluación de los ministerios juveniles se realiza a nivel local cada tres meses. Lo
llenan los miembros de este ministerio y lo recibe la directiva local.

Instrucciones: Lea con atención y conteste la respuesta.

1. ¿De qué manera promueve su pastor el trabajo de los ministerios juveniles? _________________

2. ¿Qué participación ha tenido el asesor de los ministerios juveniles? ________________________

3. ¿Qué ministerio en el área de adoración desarrolla usted? ________________________________

4. ¿Qué ministerio en el área de edificación desarrolla usted? _______________________________

5. ¿Qué ministerio en misiones o evangelismo desarrolla usted? _____________________________

6. ¿Qué dones, talentos o habilidades a puesto al servicio de Dios, de la iglesia y hacia los
perdidos?

7. ¿Es usted bautizado con el Espíritu Santo? ___________________________________________

8. ¿Es usted bautizado en agua? ______________________________________________________

9. ¿Cómo puede describir usted el trabajo de la directiva local de ministerios juveniles? __________

10. ¿Cada cuando consagra usted el diezmo del Señor? _____________________________________

11. ¿Aparta usted ofrendas para la iglesia y para su sociedad?_______________________________

12. Mi opinión sobre el trabajo de la sociedad de jóvenes en los ministerios: ____________________




                           “Por una juventud ideal y llena del Espíritu Santo”
                                                   16
Manual para el Ministerio de Jóvenes


6. PROCESO DE CONTROL, EVALUACIÓN Y SEGUIMIENTO.

Es absolutamente necesario evaluar el trabajo de la sociedad juvenil en su dimensión de
ministerios, para mejorar todos los enfoques de esta manera de trabajar y para ayudarnos
mutuamente a alcanzar la excelencia y sabiduría.

6.1. FORMATO JOVE-1.

El programa de evaluación de los ministerios juveniles se realiza a nivel local cada tres meses. Lo
llenan los miembros de este ministerio y lo recibe la directiva local.

Instrucciones: Lea con atención y conteste la respuesta.

4. ¿De qué manera promueve su pastor el trabajo de los ministerios juveniles? _________________

5. ¿Qué participación ha tenido el asesor de los ministerios juveniles? ________________________

6. ¿Qué ministerio en el área de adoración desarrolla usted? ________________________________

4. ¿Qué ministerio en el área de edificación desarrolla usted? _______________________________

7. ¿Qué ministerio en misiones o evangelismo desarrolla usted? _____________________________

8. ¿Qué dones, talentos o habilidades a puesto al servicio de Dios, de la iglesia y hacia los
perdidos?

10.¿Es usted bautizado con el Espíritu Santo? ___________________________________________

11.¿Es usted bautizado en agua? ______________________________________________________

12.¿Cómo puede describir usted el trabajo de la directiva local de ministerios juveniles? _________

10. ¿Cada cuando consagra usted el diezmo del Señor? _____________________________________

11. ¿Aparta usted ofrendas para la iglesia y para su sociedad?_______________________________

12. Mi opinión sobre el trabajo de la sociedad de jóvenes en los ministerios: ____________________




                           “Por una juventud ideal y llena del Espíritu Santo”
                                                   17
Manual para el Ministerio de Jóvenes


6.2. FORMATO JOVE-2.

Este formato lo llena la directiva de la sociedad de jóvenes y lo entregará al promotor regional de
ministerios Juveniles. Su fuente de datos son los formatos JOVE-1. Se hará cada trimestre.

Instrucciones: Favor de leer con atención y dar respuesta.

A. Nombre de la iglesia: _____________________________________________________________

B. Nombre del pastor: _______________________________________________________________

C. Lugar: _________________________________________________________________________

1. ¿Cómo promueve el pastor los ministerios juveniles en su iglesia?__________________________

2. ¿Qué participaciones ha tenido el asesor de los ministerios Juveniles? _______________________

3. ¿Cuántos Jóvenes se desempeñan en los ministerios de adoración? _________________________

4. ¿Cuántos Jóvenes se desempeñan en los ministerios de edificación a la iglesia? _______________

5. ¿Cuántos jóvenes se desempeñan en los ministerios de misiones y evangelismo? ______________

6. ¿Qué dones son los que más se están ejercitando? _______________________________________

7. ¿Qué dones no se están ejercitando? __________________________________________________

8. ¿Cuántos jóvenes son bautizados con el Espíritu Santo? __________________________________

9. ¿Cuántos jóvenes son bautizados en agua? ____________________________________________

10. ¿En total cuántos jóvenes integran su sociedad? _______________________________________

11. ¿Cuántos jóvenes consagran diezmos? _______________________________________________

12. ¿Cree que se necesitan cursos de mayordomía? ________________________________________

13. ¿A cuánto asciende la cantidad de 10% de sus ingresos enviados a la tesorería del distrito?


14. ¿Qué tipo de asesoría necesita su grupo de parte del promotor regional o de la directiva distrital
de los ministerios juveniles para el mejor funcionamiento de los ministerios juveniles a nivel local?




                            “Por una juventud ideal y llena del Espíritu Santo”
                                                    18
Manual para el Ministerio de Jóvenes


6.2. FORMATO JOVE-2.

Este formato lo llena la directiva de la sociedad de jóvenes y lo entregará al promotor regional de
ministerios juveniles. Su fuente de datos son los formatos JOVE-1. Se hará cada trimestre.

Instrucciones: Favor de leer con atención y dar respuesta.

A. Nombre de la iglesia: _____________________________________________________________

B. Nombre del pastor: _______________________________________________________________

C. Lugar: _________________________________________________________________________

7. ¿Cómo promueve el pastor los ministerios juveniles en su iglesia?__________________________

8. ¿Qué participaciones ha tenido el asesor de los ministerios juveniles? _______________________

9. ¿Cuántos Jóvenes se desempeñan en los ministerios de adoración? _________________________

10.¿Cuántos Jóvenes se desempeñan en los ministerios de edificación a la iglesia? _______________

11.¿Cuántos jóvenes se desempeñan en los ministerios de misiones y evangelismo? ______________

12.¿Qué dones son los que más se están ejercitando? ______________________________________

7. ¿Qué dones no se están ejercitando? __________________________________________________

10.¿Cuántos jóvenes son bautizados con el Espíritu Santo? __________________________________

11.¿Cuántos jóvenes son bautizados en agua? ____________________________________________

14. ¿En total cuántos jóvenes integran su sociedad? _______________________________________

15. ¿Cuántos jóvenes consagran diezmos? _______________________________________________

16. ¿Cree que se necesitan cursos de mayordomía? ________________________________________

17. ¿A cuánto asciende la cantidad de 10% de sus ingresos enviados a la tesorería del distrito?

14. ¿Qué tipo de asesoría necesita su grupo de parte del promotor regional o de la directiva distrital
de los ministerios juveniles para el mejor funcionamiento de los ministerios juveniles a nivel local?




                            “Por una juventud ideal y llena del Espíritu Santo”
                                                    19
Manual para el Ministerio de Jóvenes


6.3. FORMATO JOVE-3.

Este formato lo llena el promotor regional de los ministerios juveniles de la información obtenida
de los formatos JOVE-2, este se envía al Área de Comunión vía la directiva de este ministerio.
Cada seis meses.

A. Nombre del promotor regional de ministerios juveniles: _________________________________

B. Nombre de la región: _____________________________________________________________

C. Número de formatos JOVE-2 que alimentan este informe: ________________________________

D. Número de iglesias que conforman su región: _________________________________________

1. Número de pastores que promueven los ministerios juveniles: _____________________________

2. Número de grupos que tienen asesor: _________________________________________________

3. Total de jóvenes que se desempeñan en los ministerios de adoración ________________________

4. Total de jóvenes que se desempeñan en los ministerios de edificación a la iglesia: _____________

5. Total de jóvenes que se desempeñan en los ministerios de misiones y evangelismo: ____________

6. ¿Qué dones son los que más se ejercitan? _____________________________________________

7. ¿Qué dones son los que menos se ejercitan? ___________________________________________

8. Total de jóvenes bautizados con el Espíritu Santo: ______________________________________

9. Total de jóvenes bautizados en agua: ________________________________________________

Total de jóvenes que integran la sociedad: _______________________________________________

11. Total de jóvenes que consagran los diezmos: __________________________________________

12. Cuántos grupos necesitan cursos de mayordomía. (anexar una lista de los grupos): ___________

14. Cantidad total de 10% que enviaron los grupos de su región la tesorería del distrito:
________________________________________________________________________________

14. ¿Qué tipo de asesorías son solicitadas? ______________________________________________

15. Comentarios del promotor regional de ministerios juveniles: ____________________________




                           “Por una juventud ideal y llena del Espíritu Santo”
                                                   20
Manual para el Ministerio de Jóvenes


6.3. FORMATO JOVE-3.

Este formato lo llena el promotor regional de los ministerios juveniles de la información obtenida
de los formatos JOVE-2, este se envía al Área de Comunión vía la directiva de este ministerio.
Cada seis meses.

A. Nombre del promotor regional de ministerios juveniles: _________________________________

B. Nombre de la región: _____________________________________________________________

C. Número de formatos JOVE-2 que alimentan este informe: ________________________________

D. Número de iglesias que conforman su región: _________________________________________

10.Número de pastores que promueven los ministerios juveniles: _____________________________

11.Número de grupos que tienen asesor: ________________________________________________

12.Total de jóvenes que se desempeñan en los ministerios de adoración ________________________

13.Total de jóvenes que se desempeñan en los ministerios de edificación a la iglesia: _____________

14.Total de jóvenes que se desempeñan en los ministerios de misiones y evangelismo: ____________

15.¿Qué dones son los que más se ejercitan? _____________________________________________

16.¿Qué dones son los que menos se ejercitan? ___________________________________________

17.Total de jóvenes bautizados con el Espíritu Santo: ______________________________________

18.Total de jóvenes bautizados en agua: ________________________________________________

Total de jóvenes que integran la sociedad: _______________________________________________

13. Total de jóvenes que consagran los diezmos: __________________________________________

14. Cuántos grupos necesitan cursos de mayordomía. (anexar una lista de los grupos): ___________

14. Cantidad total de 10% que enviaron los grupos de su región                   la tesorería del distrito:

16. ¿Qué tipo de asesorías son solicitadas? ______________________________________________

17. Comentarios del promotor regional de ministerios juveniles: ____________________________




                           “Por una juventud ideal y llena del Espíritu Santo”
                                                   21
Manual para el Ministerio de Jóvenes


        MANUALES OPERATIVOS DEL DISTRITO OAXACA
                   CLAVE: ACOM-JOVE



NÚMERO DE MANUAL: ___________________________________

NOMBRE DEL USUARIO: _________________________________

DIRECCIÓN DEL USUARIO: ______________________________

__________________________________________________________

__________________________________________________________



LUGAR: __________________________________________________


FIRMA: ___________________________________________________


FECHA: __________________________________________________


IGLESIA: _________________________________________________


LUGAR: __________________________________________________


SECCIÓN: ________________________________________________


REGIÓN: ____________________________________________________




                   “Por una juventud ideal y llena del Espíritu Santo”
                                           22
Manual para el Ministerio de Jóvenes


        MANUALES OPERATIVOS DEL DISTRITO OAXACA
                   CLAVE: ACOM-JOVE



NÚMERO DE MANUAL: ___________________________________

NOMBRE DEL USUARIO: _________________________________

DIRECCIÓN DEL USUARIO: ______________________________

__________________________________________________________

__________________________________________________________



LUGAR: __________________________________________________


FIRMA: ___________________________________________________


FECHA: __________________________________________________


IGLESIA: _________________________________________________


LUGAR: __________________________________________________


SECCIÓN: ________________________________________________


REGIÓN: ____________________________________________________




                   “Por una juventud ideal y llena del Espíritu Santo”
                                           23

43208916 manual-para-el-ministerio-de-jovenes

  • 2.
    Manual para elMinisterio de Jóvenes EL CONCILIO NACIONAL DE LAS ASAMBLEAS DE DIOS, A. R. MANUAL PARA EL MINISTERIO DE JOVENES ACOM-JOVE CONTENIDO BASES FUNDAMENTALES DEL DISTRITO .................................................... 2 1. PRESENTACIÓN. ............................................................................................... 3 2. OBJETIVOS DEL MINISTERIO JUVENIL. .................................................. 3 3. DESCRIPCIÓN GENERAL DEL MINISTERIO. ........................................... 3 4. ORGANIGRAMA DEL MINISTERIO............................................................. 8 5. ACTIVIDADES Y RECURSOS SUGERIDOS. ............................................. 10 6. PROCESO DE CONTROL, EVALUACIÓN Y SEGUIMIENTO. .............. 16 “Por una juventud ideal y llena del Espíritu Santo” 1
  • 3.
    Manual para elMinisterio de Jóvenes BASES FUNDAMENTALES DEL DISTRITO VISIÓN: Ser un distrito con crecimiento integral en constante reproducción. MISIÓN: Comprometidos con el establecimiento de iglesias reproducibles en cada comunidad oaxaqueña hasta la venida de Cristo. Crecimiento integral y constante reproducción conlleva la responsabilidad de lograr la madurez en todos los sentidos para lograr salud en las iglesias reproducibles. La iglesia tiene el deber de cumplir con el mandato de nuestro Señor Jesucristo de predicar el evangelio que redime, hasta el fin del mundo, lo cual presupone: 1º. FORTALECIMIENTO del Cuerpo de Cristo, atendiendo al desarrollo de todos sus miembros, para un involucramiento total en un desempeño eficiente en el cumplimiento del mandato. 2º. SUPERACIÓN del liderazgo del distrito en todos sus niveles, para realizar las tareas administrativas con mejores resultados. 3º. ESTIMULACIÓN para el desarrollo de ministerios de apoyo a la obra en general. 4º. SUPERACIÓN del cuerpo ministerial en todos los aspectos, de tal manera que repercuta grandemente en la obra del Señor. 5º. DESARROLLO de todos los creyentes, de modo que cada uno actúe eficientemente y en consecuencia con la razón de ser. 6º. MOVILIZACIÓN enfocada a la plantación de iglesias reproducibles en el distrito y fuera de él. 7º. VALORACIÓN de nuestra razón de ser y hacer, que nos dará excelencia. a. La espiritualidad que nos hace fuertes. b. La unidad que nos hace invencibles. c. La doctrina que nos da estabilidad. d. La integridad que sustenta nuestro mensaje. e. Las relaciones que nos hacen inquebrantables. f. El amor mutuo que nos lleva al servicio. g. La superación que nos hace eficientes. POR LO TANTO, todas estas iniciativas tienden a desarrollar los potenciales al máximo y usar todos los recursos disponibles, para cumplir con el cometido declarado por el SEÑOR JESUCRISTO, en la Gran Comisión, unificando esfuerzos y modificando estructuras ineficientes para lograr la reproducción y expansión de la obra. “Por una juventud ideal y llena del Espíritu Santo” 2
  • 4.
    Manual para elMinisterio de Jóvenes 1. PRESENTACIÓN. 1.1. La historia de los ministerios juveniles se remonta hasta la época del Antiguo Testamento. Jóvenes valerosos que vieron con fe un futuro glorioso. 1.2. José un gran administrador; Josué el líder guerrero; David hombre conforme al corazón de Dios y “qué más digo porque el tiempo y el espacio me faltaría contando de Gedeón, Barac, Sansón, Jefté, Samuel y de los profetas, que por fe conquistaron reinos, hicieron justicia, alcanzaron promesas, taparon bocas de leones, apagaron fuegos impetuosos, evitaron filo de espada, sacaron fuerza de debilidad, se hicieron fuertes en batalla y pusieron en fuga ejércitos extranjeros”, Hebreos 11:32-34. 1.3. En el Nuevo Testamento encontramos a Timoteo, fiel discípulo de Pablo, que en su juventud toma la responsabilidad del pastorado; y nuestro mayor ejemplo que es Jesús el Salvador, quien por amor vino a cumplir la gran tarea de buscar y salvar lo que se había perdido. 1.4. Hoy los problemas y dificultades no han cambiado, es por eso que se requieren jóvenes valientes que vean con fe un futuro glorioso y que como aquellos hombres de la biblia, entiendan los propósitos para los que fueron llamados. 2. OBJETIVOS DEL MINISTERIO JUVENIL. 2.1. Nivel distrital 2.1.1. Promover la superación, realización personal y ministerial del joven cristiano. 2.1.2. Promover el logro del objetivo del lema:"Por una juventud ideal y llena del Espíritu Santo" 2.2. Nivel regional. 2.2.1. Promover el logro de los ministerios juveniles. 2.2.2. Supervisar el desarrollo de los ministerios juveniles en cada sociedad local a través de los promotores regionales y seccionales. 2.3. Nivel local 2.3.1. Motivar a cada joven del ministerio a superarse personalmente. 2.3.2. Motivar a los jóvenes a desarrollar los ministerios en beneficio de la iglesia, 1 Corintios 14:5,11-12. 2.3.3. Promover la fraternidad y el servicio a los domésticos de la fe. 2.3.4. Contribuir al desarrollo integral de sus miembros. 2.3.5. Promover la unidad del cuerpo de Cristo. 3. DESCRIPCIÓN GENERAL DEL MINISTERIO. 3.1 integración de los ministerios juveniles. 3.1.1. Nivel distrital 3.1.1.1. Integración del Área de Comunión junto con las directivas de Varones, Damas, Matrimonios Jóvenes, Hijos de Ministros, Exploradores del Rey, Misioneritas y Niños. 3.1.1.2. El coordinadores elegido cada dos años en la Convención de Distrito. 3.1.1.3. El Secretario tesorero es elegido cada dos años en la Convención de Distrito. “Por una juventud ideal y llena del Espíritu Santo” 3
  • 5.
    Manual para elMinisterio de Jóvenes 3.1.2. Nivel regional. 3.1.2.1. El promotor regional será nombrado por el Presbiterio de Distrito, previa solicitud de la directiva distrital. 3.1.3. Nivel local. 3.1.3.1. Los ministerios juveniles no son una sociedad más, sino la misma sociedad juvenil de la iglesia. 3.1.3.2. El pastor es supervisor general de ministerios juveniles. 3.1.3.3. El asesor de la directiva de los ministerios juveniles será nombrado por el cuerpo ejecutivo. Este puede ser un diácono, una diaconisa mayor de 21 años, o un matrimonio con experiencia y madurez espiritual. 3.1.3.4. La directiva local de ministerios juveniles estará integrada por jóvenes llenos del Espíritu Santo con disposición para ser adiestrados y su prioridad será el trabajo eficaz de cada ministerio. 3.1.3.5. La directiva local será electa de acuerdo a los requisitos y lineamientos que señala el reglamento local para los oficiales de la iglesia. 3.1.3.6. Los ministerios serán integrados de acuerdo a los dones o vocación de cada miembro de la sociedad. 3.1.3.7. El trabajo de ministerios juveniles se realizara a través de la práctica de los mismos. 3.1.3.7.1. Ministerios de adoración, hacia Dios. 3.1.3.7.1.1. Celebración: Música, alabanza. 3.1.3.7.1.2.Sacramentos: Bautismo y Santa Cena. 3.1.3.7.1.3.Promoción espiritual. 3.1.3.7.1.4.Ambientación: Limpieza, ornato. 3.1.3.7.2. Ministerios de edificación, hacia la iglesia. 3.1.3.7.2.1. Pastoral: consejería y visitación. 3.1.3.7.2.2. Mayordomía: administración de recursos humanos (secretarios), administración de recursos financieros (tesoreros), administración de recursos físicos (templo, anexos, equipos construcción, mantenimiento y conservación), administración de los talentos. 3.1.3.7.2.1. Benevolencia: Misericordia, hospitalidad. 3.1.3.7.2.2. Comunión (koinonía): Recreación(festejos) recepción (ujieres). 3.1.3.7.2.5. Educación cristiana: Discipulado, Escuela dominical, obreros cristianos, campamentos. 3.1.3.6.2.5. Comunicaciones: relaciones públicas, publicidad (avisos, propaganda, anuncios, tablero), publicaciones (boletines, periódico mural, folletos, libros), medios (teléfono, computadora, fax, internet). 3.1.3.7.3. Ministerios hacia el mundo. 3.1.3.7.3.1. Misiones: locales, nacionales y mundiales. 3.1.3.7.3.2. Evangelismo: Campañas evangelísticas, campañas de evangelización, trabajo con grupos (niños, ancianos, indigentes, marginados, adictos, cuerpos militarizados). Uso de medios para evangelización (teatro, radio, televisión, videos, fonocintas, literatura, periódico, libros, teléfono, computadora, internet, alfabetización). 3.1.3.7.3.3 Grupos familiares de estudio bíblico. 3.2. Funciones de los ministerios juveniles. 3.2.1. Nivel distrital. 3.2.1.1. Prepara los materiales, planes, programas, proyectos y manuales necesarios para impulsar “Por una juventud ideal y llena del Espíritu Santo” 4
  • 6.
    Manual para elMinisterio de Jóvenes los ministerios juveniles, así como regular las políticas básicas de trabajo. 3.2.2. Nivel regional. 3.2.2.1. Promueve y supervisa el desarrollo de los ministerios juveniles de cada sociedad local visitando las regiones y a través de los promotores regionales y seccionales. 3.2.3. Nivel local. 3.2.3.1. El pastor de la iglesia local comparte la visión y conocimiento con herramientas adecuadas para el desarrollo de los ministerios de la sociedad poniendo en práctica las siguientes estrategias. 3.2.3.1.1. Estructura de predicación sobre ministerios. 3.2.3.1.2. Elabora y aplica un cuestionario vocacional de ministerios. 3.2.3.2. Asesor de los ministerios juveniles. 3.2.3.2.1. Trabaja bajo la supervisión y armonía pastoral. 3.2.3.2.2. Trabaja en armonía con la directiva de los ministerios juveniles. 3.2.3.2.3. Establece lazos estrechos de comunicación con el grupo. 3.2.3.2.4. Promueve el desarrollo de ministerios juveniles. 3.2.3.2.5. Vigila y supervisa el cumplimiento de los planes de la directiva local. 3.2.3.3. Presidente de los ministerios juveniles. 3.2.3.3.1. Planifica, promueve y coordina el trabajo de los ministerios juveniles. 3.2.3.3.2. Supervisa el desarrollo del plan de trabajo. 3.2.3.3.3. Programa y organiza junto con la directiva, el culto mensual, quincenal o semanal de los ministerios juveniles. 3.2.3.3.4. Informa según se lo requiera el cuerpo ejecutivo. 3.2.3.3.5. Organiza junto con la directiva el día nacional de la sociedad de jóvenes que es el 1 de agosto y la semana juvenil especial a conveniencia de la iglesia. 3.2.3.3.6. Cumple con las responsabilidades ya escritas en el reglamento local. 3.2.3.4. Secretario(a). 3.2.3.4.1. Pertenece al ministerio de administración de los recursos humanos de la iglesia. 3.2.3.4.2 Cumple con las responsabilidades ya escritas en el reglamento local. 3.2.3.5. Tesorero(a). 3.2.3.5.1. Pertenece al ministerio de administración financiera de la iglesia. 3.2.3.5.2. Cumple con las responsabilidades ya escritas en el reglamento local. 3.2.3.5.3. Separa el 10% de los ingresos de la sociedad mensualmente y lo envía a la tesorería del Distrito. 3.2.4. Ministerios de adoración a Dios. 3.2.4.1. Celebración. Elabora, organiza y supervisa los programas, ubicando a los ministerios que participan en este. 3.2.4.1.1. Música. 3.2.4.1.1.1. Este ministerio es responsable de la música durante el culto. 3.2.4.1.1.2. Capacita y enseña a los hermanos con aptitudes que deseen participar en este ministerio 3.2.4.1.2. Alabanza. “Por una juventud ideal y llena del Espíritu Santo” 5
  • 7.
    Manual para elMinisterio de Jóvenes 3.2.4.1.2.1. Este ministerio organiza y dirige las alabanzas durante el culto. 3.2.4.1.2.2. Enseña a la sociedad a cantaren armonía. 3.2.4.2. Sacramentos. 3.2.4.2.1. Bautismo: es responsable de orientar a los hermanos en cuanto al vestuario y los útiles necesarios para la ceremonia, responsable de la preparación del bautisterio. 3.2.4.2.2. Santa Cena: se encarga de preparar los elementos necesarios para la realización de este sacramento (pan, vino, jarra, vasos, manteles, etc.). 3.2.4.3. Promoción espiritual: (Manual de Promoción Espiritual). 3.2.4.4. Ambientación: este ministerio se encarga del arreglo y decoración del templo. 3.2.4.4.1. Limpieza. Ayuda en la limpieza del templo y anexos 3.2.4.4.2. Arreglos, ayuda en los arreglos que son necesarios para que el templo se vea bien, sobre todo en fiestas especiales. 3.2.5. Ministerio de edificación a la iglesia. 3.2.5.1. Ministerio pastoral. 3.2.5.1.1. Ministerio de consejería: aconseja, asesora, exhorta a los hermanos que lo requieran. 3.2.5.1.2. Ministerio de visitación: consolida, edifica, consuela según la necesidad. 3.2.5.2. Ministerio de educación cristiana. (Manual de Educación Cristiana). 3.2.5.2.1. Escuela Dominical. 3.2.5.2.2. Discipulado con cursos programados. 3.2.5.2.3. Capacitación de obreros. 3.2.5.2.4. Campamentos (Manual de Campamentos). 3.2.5.3. Comunión. 3.2.5.3.1. Recreación (festejos). 3.2.5.3.1.1. Agenda, organiza y supervisa los programas para los festejos de la sociedad. 3.2.5.3.2. Recepción. 3.2.5.3.2.1. Hermanos que participan en el trabajo de ujieres 3.2.5.3.2.2. Coordina y capacita a los hermanos para recibir y atender a los asistentes al culto y festejos especiales. 3.2.5.4. Benevolencia: concientiza y ayuda en la provisión a los necesitados y prepara hospedaje para casos especiales de necesidad. 3.2.5.4.1. Benevolencia, Se encarga de ayudar en la colecta de despensas o dinero para ayudar a los necesitados. 3.2.5.4.2. Hospitalidad, se encarga de proporcionar hospitalidad en casos de necesidad. 3.2.5.5. Mayordomía. 3.2.5.5.1. Administración financiera. 3.2.5.5.1.1. Elabora y presenta el presupuesto de ingresos y egresos de la sociedad. 3.2.5.5.1.2. En coordinación con los demás tesoreros de ese ministerio, participan en la elaboración del presupuesto general de la iglesia y en la enseñanza de la mayordomía integral. 3.2.5.5.2. Administración de recursos humanos. 3.2.5.5.2.1. Levanta estadísticas. “Por una juventud ideal y llena del Espíritu Santo” 6
  • 8.
    Manual para elMinisterio de Jóvenes 3.2.5.5.2.2. Redacta acuerdos de su sociedad. 3.2.5.5.2.3. Archiva acuerdos. 3.2.5.5.2.4. Reporta al secretario general el cumplimiento del trabajo realizado por su grupo. 3.2.5.5.3. Administración de recursos físicos, templo, anexos, equipos, construcción, conservación y mantenimiento. 3.2.4.5.3.1. En construcción elabora y presenta el proyecto y presupuesto al cuerpo ejecutivo de la iglesia junto con el ministerio correspondiente. 3.2.5.5.3.2. Buscará en otros ministerios el apoyo para realizar con eficacia su trabajo. 3.2.5.5.3.3. Se integrarán al ministerio general de la iglesia para proyectos de construcción o compra de equipos. 3.2.5.5.4. Administrador de talentos. 3.2.5.5.4.1. Integrar y coordinar a los jóvenes de acuerdo a la habilidad y a la disposición de servicio. 3.2.5.5.4.2. Elaborar el programa en armonía con la directiva. 3.2.5.5.5. Ministerios de comunicaciones. 3.2.5.5.5.1. Relaciones públicas. 3.2.5.5.5.1.1. Promueve relaciones fraternas con los diferentes ministerios. 3.2.5.5.5.2. Publicidad: elabora propaganda, avisos, anuncios relativos a su sociedad. 3.2.5.5.5.3. Publicación. 3.2.5.5.5.3.1. Elabora boletines. 3.2.5.5.5.3.2. En coordinación con los otros ministerios, realiza el periódico mural, folletos, venta de libros. 3.2.5.5.5.4. Medios: si se cuenta con los medios modernos de comunicación, este ministerio operará dichos medios. 3.2.6. Ministerios hacia el mundo. 3.2.6.1. Misiones: local, nacional y mundial (Manual de Misiones). 3.2.6.2. Evangelismo. 3.2.6.2.1. Campañas de evangelismo, participa en campañas que organice la iglesia. 3.2.6.2.2. Campañas evangelizadoras, participan en campañas de evangelización por las casas o por las calles. 3.2.6.2.3. Grupos sociales: niños, indigentes, ancianos, adictos, marginados. 3.2.6.2.4. Medios de comunicación: periódico, radio, televisión. 3.2.6.2.5. Grupos familiares de estudio bíblico. (Manual de Grupos Pequeños). “Por una juventud ideal y llena del Espíritu Santo” 7
  • 9.
    Manual para elMinisterio de Jóvenes 4. ORGANIGRAMA DEL MINISTERIO. 4.1. Nivel local CUERPO EJECUTIVO Diácono Asignado Directiva del Ministerio de Jóvenes Sus ministerios Sus ministerios Sus ministerios IGLESIA LOCAL “Por una juventud ideal y llena del Espíritu Santo” 8
  • 10.
    Manual para elMinisterio de Jóvenes 4.2. Nivel distrital. ÁREA de COMUNIÓN junto con las directivas de Varones, Damas, Matrimonios Jóvenes, Hijos de Ministros, Exploradores del Rey, Misioneritas y Niños. CONVENCIÓN DE DISTRITO PRESBITERIO DEL DISTRITO ÁREA DE COMUNIÓN MATRIMO HIJOS DE EXPLORA VARO NIOS JÓVE MINIS MISIONE DORES Del NIÑOS NES DAMAS JÓVENES NES TROS REY RITAS LOS PROMOTORES REGIONALES QUE SEAN NECESARIOS PROMOTORES SECCIONALES EN ALGUNOS CASOS IGLESIAS Y CAMPOS NUEVOS “Por una juventud ideal y llena del Espíritu Santo” 9
  • 11.
    Manual para elMinisterio de Jóvenes 5. ACTIVIDADES Y RECURSOS SUGERIDOS. 5.1. Conocimiento básico y aplicación del proceso administrativo. 5.1.1. Como la administración es universal y tan necesaria en la vida diaria, como jóvenes cristianos tenemos que conocerla y utilizarla para realizar mejor nuestro trabajo en el hogar, en la iglesia o en cualquier área de nuestra vida. 5.1.2. El proceso administrativo consta de cuatro funciones que son: 5.1.2.1. Planeación. 5.1.2.1.1. Se elabora una lista de necesidades. 5.1.2.1.2. Se eligen las prioritarias (urgentes y necesarias). 5.1.2.1.3. A partir de esto fijamos los objetivos que deseamos lograr y en qué tiempo. 5.1.2.1.4. Se establecen los programas (cómo los vamos a lograr). 5.1.2.1.5. Se establecen los principios (políticas) que van a regular el trabajo). 5.1.2.1.6. Se establecen los recursos necesarios. 5.1.2.2. Organización. 5.1.2.2.1. Se ubica (coloca) a cada miembro de la sociedad en el trabajo (ministerio a realizar). 5.1.2.2.2. Se le asignan sus responsabilidades y funciones. 5.1.2.2.3. Se requiere del uso de un organigrama en el que se defina la línea de autoridad y responsabilidad (funciones). (Ver organigrama nivel local). 5.1.2.3. Dirección. 5.1.2.3.1. Hacer que las personas estén activas realizando sus ministerios. 5.1.2.4. Control, evaluación y seguimiento. 5.1.2.4.1. Asegurar que las actividades se mantengan apegadas al plan 5.1.2.4.2. Una evaluación que permita trazar líneas de trabajo para lograr el mejoramiento y la continuidad del programa. 5.2. Actividades espirituales. 5.2.1. Oración cada sábado de 6-7 a.m. (horario sugerido), con el propósito de que ejerciten la oración. Orando unos por otros, por sus problemas y necesidades. 5.2.2. Oración de 15 minutos antes del culto juvenil para declarar victoria en el culto de jóvenes. 5.2.3. Crear un boletín de intercesión, con las necesidades de cada joven. 5.2.4. Listar personal de oración por sus familiares inconversos, dedicándole un tiempo especial de oración y ayuno para interceder. 5.2.5. Salir con el grupo a un lugar apartado (campo, parque), para hacer una oración de "dedicación de talentos" o "compromiso para el servicio al Señor". 5.2.6. Cadenas de oración. 5.2.7. Vigilias de oración. 5.2.8. Oración responsable. Cada joven se compromete a orar por otro joven específicamente o por algo especial de la iglesia: por una familia, por necesidad económica, por el pastor. 5.2.9. Fogatas de oración. Horario sugerido 8-11 p.m. Primero se convive, posteriormente se escriben peticiones para orar específicamente, para después quemar los papelitos escritos con las necesidades, simbolizando que se da por contestado lo que se ha pedido. 5.2.10. Clamor de hijos. En un culto juvenil se hará 100% de oración, para que los hijos oren por necesidades diversas de sus padres. “Por una juventud ideal y llena del Espíritu Santo” 10
  • 12.
    Manual para elMinisterio de Jóvenes 5.3. Actividades evangelísticas. 5.3.1. Tu grupo de jóvenes puede realizar seminarios de capacitación evangelística, por lo menos dos veces al año. 5.3.2. Apoyar las campañas evangelísticas locales, siendo los primeros en estar presentes, invitar personas o repartiendo folletos, incluso apoyando financieramente en los gastos de la campaña. 5.3.3. Evangelismo casa por casa. Puedes escoger un día de la semana para salir con tus jóvenes de dos en dos a compartir la Palabra en las casas. 5.3.4. Culto evangelístico mensual. Alabanza (15 minutos), dos testimonios breves de salvación, predicación e invitación a aceptar a Cristo. 5.3.5. Establecer células juveniles. 5.3.6. Boletines evangelísticos. Estos boletines son para informar a los vecinos algunas actividades de la iglesia e informarles de la intercesión por sus necesidades. 5.3.7. Evangelización en grupo en lugares públicos (parques, explanadas, zócalos, deportivos). 5.3.8. Evangelización en instituciones de beneficencia y penitenciarias. Puedes asistir de vez en cuando, para compartir el evangelio con tu grupo juvenil a los asilos, orfanatorios, hospitales y cárceles. 5.3.9. Evangelismo por teléfono. Puedes utilizar tu teléfono poniéndote de acuerdo con aquellos jóvenes que tienen este servicio, para que a determinada hora todos realicen dos llamadas telefónicas en las cuales puedan compartir un breve mensaje evangelístico de 1 a 2 minutos. 5.3.10. Evangelismo por carta a vecinos y/o amigos. Puedes escribir tu testimonio o algún mensaje evangelístico y enviarlo por correo a tu vecino o amigo. 5.4. Actividades doctrinales. 5.4.1. Dramas o diálogos. 5.4.1.1. Cada drama o diálogo deberá ser con temas dirigidos a los jóvenes bajo la supervisión del asesor. 5.4.1.2. Podrá hacerse una participación del grupo de Castillo del Rey local o invitado, para efectuar actividad dirigida a toda la iglesia. 5.4.2. Estudios bíblicos. 5.4.2.1. El grupo juvenil puede realizar seminarios con temas escatológicos impartidos preferentemente por el pastor o por una persona que él indique. 5.4.2.2. Otros temas que se sugieren: Ética cristiana dentro y fuera de la iglesia, el Espíritu Santo. 5.4.2.3. Podrás presentar otros temas atendiendo a las necesidades particulares de tu grupo y presentarlos con técnicas variadas. 5.4.3. Universidad de jóvenes cristianos. 5.4.3.1. Para estudiar la epístola a los Corintios. 5.4.4. Desarrollar un tema bíblico a base de preguntas con una aplicación práctica al final. 5.4.5. En algunas ocasiones, en el culto juvenil puedes apartar un tiempo para efectuar algún programa de aprovechamiento bíblico (esgrima, crucigrama, etc.). 5.4.6. Puede efectuar algunos cultos para desarrollar los talentos juveniles. 5.4.7. Culto sugerido: Momento de adoración (15 minutos) 5.4.7.1. Participación con poesías, cantos, dramatizaciones, exposición de cuadros bíblicos, etc. 5.4.7.2. Motivación para dedicar esas habilidades al servicio de Dios. “Por una juventud ideal y llena del Espíritu Santo” 11
  • 13.
    Manual para elMinisterio de Jóvenes 5.4.7.3. Culto de alabanza juvenil. 5.4.7.4. Oración y lectura bíblica. 5.4.7.5. Participación de algunos jóvenes para ministrar a través del canto. 5.4.7.6. Motivación a través de esa ministración para alabar a Dios. 5.4.8. Culto de reconocimiento de los Embajadores de Cristo: 5.4.8.1. Dirección del culto de 15 a 20 minutos. 5.4.8.2. Predicación, máximo 30 minutos. 5.4.8.3. Mención honorífica al que resulte ser: 5.4.8.3.1. El más responsable en la iglesia 5.4.8.3.2. El de mayor asistencia a las actividades de la iglesia. 5.4.8.3.3. El mejor estudiante bíblico y secular. 5.4.8.3.4. El de mejor ética. 5.4.8.4. Bienvenida a los jóvenes de nuevo ingreso haciendo mención si son por conversión o si es por traslado. 5.4.9. Cultos de testimonios juveniles. 5.4.9.1. Un pequeño devocional. 5.4.9.2. Dar oportunidad para que los jóvenes testifiquen compartiendo testimonios de sanidad, salvación, de milagros u oraciones contestadas, dándoles un tiempo determinado y orientación de cómo hacerlo breve y eficaz. 5.5. Actividades sociales. 5.5.1. Campamento juvenil local. La orientación la adquirirás en tus seminarios de capacitación para campamentos seccionales y regionales. (Infórmate con el presidente de sección). 5.5.2. Excursiones juveniles. En ellas puedes incluir juegos de campo, pláticas juveniles, compartir el pan. 5.5.3. Actividades de benevolencia. Comisiona a algún miembro de tu sociedad para que investigue cuales son las actividades sociales del DIF de tu comunidad y ver cómo pueden participar en ello. 5.5.3.1. A nivel local, y bajo la aprobación de tu pastor, proveer despensa a alguna de las familias más necesitadas o ayudar a algún hermano que esté enfermo o imposibilitado. 5.5.3.2. A nivel distrital, infórmate con tu pastor como puedes participar en las actividades establecidas por el movimiento o como puedes ayudar a las personas que han pasado por desastres. 5.5.4. Actividades de mejoras en nuestra comunidad. 5.5.4.1. A través de los programas de solidaridad (infórmate con el jefe de manzana). 5.5.4.2. En la iglesia local, limpiando la calle, podando árboles, sembrando árboles que no rompan las banquetas, pintando las guarniciones. 5.6. Actividades materiales. 5.6.1. Subastas o bazares. Puedes recolectar toda la ropa de uso y que esté desde luego en buen estado, para posteriormente venderla a bajo costo en lugares pobres de tu ciudad. 5.6.2. Cuotas. De común acuerdo todos los jóvenes aportarán quincenal, semanal o mensualmente una cuota económica. 5.6.3. Servicio al público. Puedes ofrecer al público un servicio como: lavado de autos, jardinería, etc., pidiendo una generosa colaboración. “Por una juventud ideal y llena del Espíritu Santo” 12
  • 14.
    Manual para elMinisterio de Jóvenes 5.6.4. Venta de talentos. Si en tu grupo hay jóvenes que saben bordar, tejer, hacer gelatinas, flanes, pasteles, artesanías o trabajos manuales, promover una venta entre tus amigos y vecinos, y en su caso sacar permiso ante las autoridades. 5.6.5. Recolección. Con tu grupo de jóvenes, ofrecer al público dependiendo del estado del tiempo, bebidas apropiadas solicitándoles una colaboración económica. 5.6.6. Reparación. Si alguno de tus jóvenes sabe reparar calzado, invitar a los demás a que salgan a las calles y casa por casa vayan recogiendo zapatos para su reparación, comprometiéndose a entregarlos en el menor tiempo posible. 5.6.7. "Venta de esclavos". En una reunión informal, puedes ofrecer los servicios que los jóvenes puedan realizar, obviamente deberás ponerte de acuerdo con ellos. Se negociará el trabajo, costo, tiempo y día. 5.7. Programas propuestos para la semana juvenil. En cada semana de la juventud, debes definir un propósito en base a las necesidades de tu grupo. 5.7.1. Semana de la Juventud. Con metas evangelísticas. Tema: "Cristo para ti" o "Cristo, nuestra razón de vivir". 5.7.1.1. Primer día: Pide a los jóvenes que compartan por escrito su alegría de conocer a Cristo. Este deberá contener los siguientes puntos: 5.7.1.1.1. Cómo conoció a Jesús. 5.7.1.1.2. Por medio de quién. 5.7.1.1.3. En qué lugar. 5.7.1.1.4. Qué sintió al aceptar a Cristo como su salvador. 5.7.1.1.5. Qué promesa hizo al aceptar a Cristo. 5.7.1.1.6. Decirle a la persona que leerá su carta que Cristo le ama, invitarlo a que lo conozca y extenderle una invitación para su reunión. 5.7.1.2. En el culto de la tarde: 5.7.1.2.1. Un devocional de 15 minutos. 5.7.1.2.2. Un testimonio de salvación o sanidad. 5.7.1.2.3. Predicación. 5.7.1.2.4. Ofertorio, anuncios y despedida. 5.7.1.3. Segundo día: Devocional 15 minutos. 5.7.1.3.1. Participación para exponer el mensaje a través del "Libro sin palabras". 5.7.1.3.2. Un drama que hable de salvación. 5.7.1.3.3. Ofertorio, anuncios y despedida. 5.7.1.4. Tercer día: Devocional de 15 minutos. 5.7.1.4.1. Participación musical de un grupo o de los jóvenes de la iglesia con cantos de salvación. 5.7.1.4.2. Película que presente el mensaje de salvación. 5.7.1.4.3. Ofertorio, anuncios y despedida. 5.7.1.5. Cuarto día: Una excursión donde se jugará y recreará el joven y también se tendrá una plática breve donde se presente el mensaje de salvación. 5.7.1.6. Quinto día: Devocional de 15 minutos. “Por una juventud ideal y llena del Espíritu Santo” 13
  • 15.
    Manual para elMinisterio de Jóvenes 5.7.1.6.1. Presentar un estudio bíblico de las consecuencias del pecado. 5.7.1.7. Sexto día: Devocional de 15 minutos. 5.7.1.7.1. Hacer que los jóvenes escojan un himno y las señoritas otro para entonarlo. 5.7.1.7.2. Oración dirigida por un adolescente. 5.7.1.7.3. Anuncios y ofrenda. 5.7.1.7.4. Presentar el tema "El remedio para el pecado" a través de hablar acerca de que Dios ha provisto de Cristo para librar al hombre del mal, entrevistando públicamente a un joven que ya haya sido librado del pecado. 5.7.1.7.5. Aplicación y llamamiento. 5.7.1.7.6. Despedida. 5.7.2. Semana de la Juventud. Propósito: desarrollar las relaciones humanas. Tema: "Atrévete a ser ejemplo". 5.7.2.1. Primer día: Apertura: Entrada para el grupo de jóvenes. Encender un pebetero para simbolizar la presencia del Espíritu Santo. 5.7.2.1.1. Devocional de 15 minutos. 5.7.2.1.2. Mensaje: "Conócete a ti mismo", autoanálisis. 5.7.2.1.3. Ofertorio, anuncios y despedida. 5.7.2.2. Segundo día: Devocional. 5.7.2.2.1. Testimonio por dos jóvenes (un varón y una señorita) de un hecho poderoso. 5.7.2.2.2. Mensaje: "Tu relación con Dios". 5.7.2.2.3. Ofertorio, anuncios y despedida. 5.7.2.3. Tercer día: 5.7.2.3.1. Preludio musical o de poesía. 5.7.2.3.2. Ofertorio. 5.7.2.3.3. Devocional. 5.7.2.3.4. Mensaje: "La relación del joven cristiano con la Familia". 5.7.2.3.5. Anticipadamente pedirle a cada joven que elabore su árbol genealógico con fotos, debidamente acomodadas en una cartulina, para que esa noche se ore para el restablecimiento de las relaciones familiares, y mediante estas que acepten al Señor como Salvador. 5.7.2.3.6. Anuncios y despedida. 5.7.2.4. Cuarto día: Premiar al joven que resulte ser "El mejor amigo". 5.7.2.4.1. Premiar al joven que resulte ser el que lleve más amigos. 5.7.2.4.2. Mensaje a través de un panel: "La relación del joven cristiano para con sus amigos conversos e inconversos". 5.7.2.4.3. Preguntas sugeridas: ¿Tienes amigos dentro de la iglesia? ¿Cuántos amigos conversos tienes? ¿Tienes enemigos, por qué? ¿Te llevas bien con todos, por qué? 5.7.2.4.4. Ofertorio, anuncios y despedida. 5.7.2.5. Quinto día: Durante la mañana o medio día, devocional de 15 minutos. 5.7.2.5.1. Recapitulación de los mensajes anteriores a través de preguntas y respuestas. 5.7.2.5.2. Para finalizar: Cena de convivencia. “Por una juventud ideal y llena del Espíritu Santo” 14
  • 16.
    Manual para elMinisterio de Jóvenes 5.7.3. Semana de la Juventud. Propósito: espiritual. Tema: "Los dones del Espíritu Santo". 5.7.3.1. Primer día: Devocional. 5.7.3.1.1. Hacer una lista de lo que se considere como dones. 5.7.3.1.2. Mensaje: "El origen y definición de los dones". 5.7.3.1.3. Ofertorio, anuncios y despedida. 5.7.3.2. Segundo día: Devocional. 5.7.3.2.1. Mensaje: "Los superdotados". Explicación de los dones y ¿Tienes o no tienes dones? 5.7.3.2.2. Ofertorio, anuncios y despedida. 5.7.3.3. Tercer día: Devocional. 5.7.3.3.1. Mensaje: "Como usar los dones", Técnica: preguntas y respuestas. 5.7.3.3.2. Ofertorio, anuncios y despedida. 5.7.3.4. Cuarto día: Devocional. 5.7.3.4.1. Para éste día recomendar a los jóvenes anticipadamente que deberán realizar una acción buena para que esa noche pasen a testificarlo. 5.7.3.4.2. Mensaje: "Práctica de los dones fuera del templo". 5.7.3.5. Quinto día: Devocional. 5.7.3.5.1. Mensaje y ministración musical. 5.7.3.5.2. Clausura. Evaluación. 5.7.3.5.3. Se invitará al joven a que reflexione en los temas que se han dado durante la semana y se dé cuenta como pensaba, como impactó lo que escuchó y como lo va a poner en práctica. 5.7.3.5.4. Ofertorio, anuncios y despedida. 5.8. Materiales sugeridos. 5.8.1. MCanual de Discipulado para jóvenes: Excelencia, reto al discipulado, por Jeff Swaim, Assemblies of God: DFM, Resource and Development Ministries, 1996. 5.8.1.1. Este manual es muy adecuado para trabajar en el discipulado de jóvenes estudiantes de nivel secundaria y preparatoria. 5.8.2. Guía Práctica para Líderes de Jóvenes, Assemblies of God: DFM, Resource and Development Ministries, 1996. 5.8.2.1. Esta guía es útil para capacitar a los líderes de grupos de jóvenes que se están formando en las iglesias nacientes o misiones. “Por una juventud ideal y llena del Espíritu Santo” 15
  • 17.
    Manual para elMinisterio de Jóvenes 6. PROCESO DE CONTROL, EVALUACIÓN Y SEGUIMIENTO. Es absolutamente necesario evaluar el trabajo de la sociedad juvenil en su dimensión de ministerios, para mejorar todos los enfoques de esta manera de trabajar y para ayudarnos mutuamente a alcanzar la excelencia y sabiduría. 6.1. FORMATO JOVE-1. El programa de evaluación de los ministerios juveniles se realiza a nivel local cada tres meses. Lo llenan los miembros de este ministerio y lo recibe la directiva local. Instrucciones: Lea con atención y conteste la respuesta. 1. ¿De qué manera promueve su pastor el trabajo de los ministerios juveniles? _________________ 2. ¿Qué participación ha tenido el asesor de los ministerios juveniles? ________________________ 3. ¿Qué ministerio en el área de adoración desarrolla usted? ________________________________ 4. ¿Qué ministerio en el área de edificación desarrolla usted? _______________________________ 5. ¿Qué ministerio en misiones o evangelismo desarrolla usted? _____________________________ 6. ¿Qué dones, talentos o habilidades a puesto al servicio de Dios, de la iglesia y hacia los perdidos? 7. ¿Es usted bautizado con el Espíritu Santo? ___________________________________________ 8. ¿Es usted bautizado en agua? ______________________________________________________ 9. ¿Cómo puede describir usted el trabajo de la directiva local de ministerios juveniles? __________ 10. ¿Cada cuando consagra usted el diezmo del Señor? _____________________________________ 11. ¿Aparta usted ofrendas para la iglesia y para su sociedad?_______________________________ 12. Mi opinión sobre el trabajo de la sociedad de jóvenes en los ministerios: ____________________ “Por una juventud ideal y llena del Espíritu Santo” 16
  • 18.
    Manual para elMinisterio de Jóvenes 6. PROCESO DE CONTROL, EVALUACIÓN Y SEGUIMIENTO. Es absolutamente necesario evaluar el trabajo de la sociedad juvenil en su dimensión de ministerios, para mejorar todos los enfoques de esta manera de trabajar y para ayudarnos mutuamente a alcanzar la excelencia y sabiduría. 6.1. FORMATO JOVE-1. El programa de evaluación de los ministerios juveniles se realiza a nivel local cada tres meses. Lo llenan los miembros de este ministerio y lo recibe la directiva local. Instrucciones: Lea con atención y conteste la respuesta. 4. ¿De qué manera promueve su pastor el trabajo de los ministerios juveniles? _________________ 5. ¿Qué participación ha tenido el asesor de los ministerios juveniles? ________________________ 6. ¿Qué ministerio en el área de adoración desarrolla usted? ________________________________ 4. ¿Qué ministerio en el área de edificación desarrolla usted? _______________________________ 7. ¿Qué ministerio en misiones o evangelismo desarrolla usted? _____________________________ 8. ¿Qué dones, talentos o habilidades a puesto al servicio de Dios, de la iglesia y hacia los perdidos? 10.¿Es usted bautizado con el Espíritu Santo? ___________________________________________ 11.¿Es usted bautizado en agua? ______________________________________________________ 12.¿Cómo puede describir usted el trabajo de la directiva local de ministerios juveniles? _________ 10. ¿Cada cuando consagra usted el diezmo del Señor? _____________________________________ 11. ¿Aparta usted ofrendas para la iglesia y para su sociedad?_______________________________ 12. Mi opinión sobre el trabajo de la sociedad de jóvenes en los ministerios: ____________________ “Por una juventud ideal y llena del Espíritu Santo” 17
  • 19.
    Manual para elMinisterio de Jóvenes 6.2. FORMATO JOVE-2. Este formato lo llena la directiva de la sociedad de jóvenes y lo entregará al promotor regional de ministerios Juveniles. Su fuente de datos son los formatos JOVE-1. Se hará cada trimestre. Instrucciones: Favor de leer con atención y dar respuesta. A. Nombre de la iglesia: _____________________________________________________________ B. Nombre del pastor: _______________________________________________________________ C. Lugar: _________________________________________________________________________ 1. ¿Cómo promueve el pastor los ministerios juveniles en su iglesia?__________________________ 2. ¿Qué participaciones ha tenido el asesor de los ministerios Juveniles? _______________________ 3. ¿Cuántos Jóvenes se desempeñan en los ministerios de adoración? _________________________ 4. ¿Cuántos Jóvenes se desempeñan en los ministerios de edificación a la iglesia? _______________ 5. ¿Cuántos jóvenes se desempeñan en los ministerios de misiones y evangelismo? ______________ 6. ¿Qué dones son los que más se están ejercitando? _______________________________________ 7. ¿Qué dones no se están ejercitando? __________________________________________________ 8. ¿Cuántos jóvenes son bautizados con el Espíritu Santo? __________________________________ 9. ¿Cuántos jóvenes son bautizados en agua? ____________________________________________ 10. ¿En total cuántos jóvenes integran su sociedad? _______________________________________ 11. ¿Cuántos jóvenes consagran diezmos? _______________________________________________ 12. ¿Cree que se necesitan cursos de mayordomía? ________________________________________ 13. ¿A cuánto asciende la cantidad de 10% de sus ingresos enviados a la tesorería del distrito? 14. ¿Qué tipo de asesoría necesita su grupo de parte del promotor regional o de la directiva distrital de los ministerios juveniles para el mejor funcionamiento de los ministerios juveniles a nivel local? “Por una juventud ideal y llena del Espíritu Santo” 18
  • 20.
    Manual para elMinisterio de Jóvenes 6.2. FORMATO JOVE-2. Este formato lo llena la directiva de la sociedad de jóvenes y lo entregará al promotor regional de ministerios juveniles. Su fuente de datos son los formatos JOVE-1. Se hará cada trimestre. Instrucciones: Favor de leer con atención y dar respuesta. A. Nombre de la iglesia: _____________________________________________________________ B. Nombre del pastor: _______________________________________________________________ C. Lugar: _________________________________________________________________________ 7. ¿Cómo promueve el pastor los ministerios juveniles en su iglesia?__________________________ 8. ¿Qué participaciones ha tenido el asesor de los ministerios juveniles? _______________________ 9. ¿Cuántos Jóvenes se desempeñan en los ministerios de adoración? _________________________ 10.¿Cuántos Jóvenes se desempeñan en los ministerios de edificación a la iglesia? _______________ 11.¿Cuántos jóvenes se desempeñan en los ministerios de misiones y evangelismo? ______________ 12.¿Qué dones son los que más se están ejercitando? ______________________________________ 7. ¿Qué dones no se están ejercitando? __________________________________________________ 10.¿Cuántos jóvenes son bautizados con el Espíritu Santo? __________________________________ 11.¿Cuántos jóvenes son bautizados en agua? ____________________________________________ 14. ¿En total cuántos jóvenes integran su sociedad? _______________________________________ 15. ¿Cuántos jóvenes consagran diezmos? _______________________________________________ 16. ¿Cree que se necesitan cursos de mayordomía? ________________________________________ 17. ¿A cuánto asciende la cantidad de 10% de sus ingresos enviados a la tesorería del distrito? 14. ¿Qué tipo de asesoría necesita su grupo de parte del promotor regional o de la directiva distrital de los ministerios juveniles para el mejor funcionamiento de los ministerios juveniles a nivel local? “Por una juventud ideal y llena del Espíritu Santo” 19
  • 21.
    Manual para elMinisterio de Jóvenes 6.3. FORMATO JOVE-3. Este formato lo llena el promotor regional de los ministerios juveniles de la información obtenida de los formatos JOVE-2, este se envía al Área de Comunión vía la directiva de este ministerio. Cada seis meses. A. Nombre del promotor regional de ministerios juveniles: _________________________________ B. Nombre de la región: _____________________________________________________________ C. Número de formatos JOVE-2 que alimentan este informe: ________________________________ D. Número de iglesias que conforman su región: _________________________________________ 1. Número de pastores que promueven los ministerios juveniles: _____________________________ 2. Número de grupos que tienen asesor: _________________________________________________ 3. Total de jóvenes que se desempeñan en los ministerios de adoración ________________________ 4. Total de jóvenes que se desempeñan en los ministerios de edificación a la iglesia: _____________ 5. Total de jóvenes que se desempeñan en los ministerios de misiones y evangelismo: ____________ 6. ¿Qué dones son los que más se ejercitan? _____________________________________________ 7. ¿Qué dones son los que menos se ejercitan? ___________________________________________ 8. Total de jóvenes bautizados con el Espíritu Santo: ______________________________________ 9. Total de jóvenes bautizados en agua: ________________________________________________ Total de jóvenes que integran la sociedad: _______________________________________________ 11. Total de jóvenes que consagran los diezmos: __________________________________________ 12. Cuántos grupos necesitan cursos de mayordomía. (anexar una lista de los grupos): ___________ 14. Cantidad total de 10% que enviaron los grupos de su región la tesorería del distrito: ________________________________________________________________________________ 14. ¿Qué tipo de asesorías son solicitadas? ______________________________________________ 15. Comentarios del promotor regional de ministerios juveniles: ____________________________ “Por una juventud ideal y llena del Espíritu Santo” 20
  • 22.
    Manual para elMinisterio de Jóvenes 6.3. FORMATO JOVE-3. Este formato lo llena el promotor regional de los ministerios juveniles de la información obtenida de los formatos JOVE-2, este se envía al Área de Comunión vía la directiva de este ministerio. Cada seis meses. A. Nombre del promotor regional de ministerios juveniles: _________________________________ B. Nombre de la región: _____________________________________________________________ C. Número de formatos JOVE-2 que alimentan este informe: ________________________________ D. Número de iglesias que conforman su región: _________________________________________ 10.Número de pastores que promueven los ministerios juveniles: _____________________________ 11.Número de grupos que tienen asesor: ________________________________________________ 12.Total de jóvenes que se desempeñan en los ministerios de adoración ________________________ 13.Total de jóvenes que se desempeñan en los ministerios de edificación a la iglesia: _____________ 14.Total de jóvenes que se desempeñan en los ministerios de misiones y evangelismo: ____________ 15.¿Qué dones son los que más se ejercitan? _____________________________________________ 16.¿Qué dones son los que menos se ejercitan? ___________________________________________ 17.Total de jóvenes bautizados con el Espíritu Santo: ______________________________________ 18.Total de jóvenes bautizados en agua: ________________________________________________ Total de jóvenes que integran la sociedad: _______________________________________________ 13. Total de jóvenes que consagran los diezmos: __________________________________________ 14. Cuántos grupos necesitan cursos de mayordomía. (anexar una lista de los grupos): ___________ 14. Cantidad total de 10% que enviaron los grupos de su región la tesorería del distrito: 16. ¿Qué tipo de asesorías son solicitadas? ______________________________________________ 17. Comentarios del promotor regional de ministerios juveniles: ____________________________ “Por una juventud ideal y llena del Espíritu Santo” 21
  • 23.
    Manual para elMinisterio de Jóvenes MANUALES OPERATIVOS DEL DISTRITO OAXACA CLAVE: ACOM-JOVE NÚMERO DE MANUAL: ___________________________________ NOMBRE DEL USUARIO: _________________________________ DIRECCIÓN DEL USUARIO: ______________________________ __________________________________________________________ __________________________________________________________ LUGAR: __________________________________________________ FIRMA: ___________________________________________________ FECHA: __________________________________________________ IGLESIA: _________________________________________________ LUGAR: __________________________________________________ SECCIÓN: ________________________________________________ REGIÓN: ____________________________________________________ “Por una juventud ideal y llena del Espíritu Santo” 22
  • 24.
    Manual para elMinisterio de Jóvenes MANUALES OPERATIVOS DEL DISTRITO OAXACA CLAVE: ACOM-JOVE NÚMERO DE MANUAL: ___________________________________ NOMBRE DEL USUARIO: _________________________________ DIRECCIÓN DEL USUARIO: ______________________________ __________________________________________________________ __________________________________________________________ LUGAR: __________________________________________________ FIRMA: ___________________________________________________ FECHA: __________________________________________________ IGLESIA: _________________________________________________ LUGAR: __________________________________________________ SECCIÓN: ________________________________________________ REGIÓN: ____________________________________________________ “Por una juventud ideal y llena del Espíritu Santo” 23