UNIDAD Nº6
APARATO REPRUDUCTOR HUMANO
Al término de la unidad yo:
1. Identificaré los órganos del aparato reproductor masculino y femenino
♣ Reconociendo los órganos de cada aparato reproductor
♣ Enunciando las funciones de los órganos de cada aparato reproductor.
♣ Diferenciando la fisiología de cada aparato
♣ Graficando los órganos que estructuran los aparatos masculino y femenino
2. Diferenciaré entre caracteres sexuales primarios y caracteres sexuales secundarios en un
hombre y una mujer
♣ Comparando los caracteres en un hombre y una mujer
♣ Estableciendo diferencias y semejanzas entre ellos
3. Cuidaré adecuadamente mi aparato reproductor
♣ Practicando normas de higiene
♣ Respetando mi cuerpo y el de los demás
Prerrequisitos: Concepto de Aparatos
Aprendizajes: Proposiciones del concepto de Aparato Reproductor
Materiales: Cuaderno, pinturas, láminas y materiales para el laboratorio de acuerdo a la
práctica a realizar.
Motivación:
♣ Se observará un video sobre la reproducción humana.
♣ Se realizará un análisis del video observado conforme avancen las imágenes
♣ Se extraerán proposiciones
♣ Se validarán las proposiciones extraídas por los alumnos
Niveles de organización del ser
humano
Aparatos Sistemas
♣ Son agrupaciones de órganos
formados de diferentes
tejidos.
♣ Cumplen con una función
determinada
UrinarioCirculatorioDigestivo Respiratorio Reproductor
Argumentaciones:
P1. El aparato reproductor humano es un aparato del cuerpo humano.
El ser humano debido a su complejidad presenta niveles de organización internos, uno de estos
niveles es el de aparato.
Un aparato se forma de la reunión o asociación de órganos formados de diferentes tejidos pero
que cumplen una función determinada.
En el aparato reproductor sus órganos son distintos en forma y estructura pero todos están
diseñados para cumplir la misma función, perpetuar la especie.
Otras formas de expresar la proposición:
• Uno de los aparatos del cuerpo humano es el aparato reproductor
• El aparato reproductor humano pertenece a los aparatos del cuerpo humano
P2. El aparato reproductor perpetúa la especie humana.
Todos los seres vivos de todas las especies buscan mantener su constancia en el ecosistema, la
función que asegura la perpetuación de los seres vivos es la reproducción.
El aparato reproductor mediante la reproducción entre el hombre y la mujer perpetúa y
garantiza la existencia y continuidad de la especie humana, más allá de la duración de los
individuos, genera la variación de la misma, con la combinación de aspectos físicos como el
color de ojos, estatura, tipo de sangre entre otras. Los seres humanos a través de la reproducción
aseguran la variación y la individualización de cada individuo.
Perpetuar
Otras formas de expresar la proposición:
• La especie humana se perpetúa gracias al aparato reproductor
• El aparato reproductor es el encargado de perpetuar la especie
P3. El aparato reproductor produce gametos
El aparato reproductor por medio de los órganos formadores: ovarios en la mujer y testículos en
el hombre forman los gametos: óvulos y espermatozoides.
Los gametos son células sexuales masculinas (espermatozoides) y femeninas (óvulos) que
cuando se unen en la fecundación forman el huevo o cigoto.
La especie humana es única, presenta 46 cromosomas en el núcleo de cada una de sus células
corporales (piel, estómago, etc.) pero en los gametos este número está reducido a la mitad: 23
cromosomas, de esta manera cuando el espermatozoide con 23 cromosomas se une al óvulo con
23 cromosomas forman el huevo o cigoto con 46 cromosomas, manteniéndose así el número
cromosómico característico de la especie humana.
Aparato
Reproductor
Especie
Humana
A. R. H A. C. H.
Producir
Otras formas de expresar la proposición:
• Los gametos son producidos por el aparato reproductor
• Las células sexuales se forman el aparato reproductor.
• Los gametos existen gracias al aparato reproductor humano
P4. El aparato reproductor humano tiene un ciclo de maduración más largo.
En el momento del nacimiento ya está formados los órganos sexuales y por lo tanto ya está
constituido el aparato reproductor masculino y el aparato reproductor femenino. Durante la niñez
los aparatos reproductores en niños y niñas entran en una fase de reposo, estos comienzan su
función reproductiva en la etapa conocida como la pubertad. Desde el nacimiento a la pubertad
de un niño transcurren de 11 a 13 años; en la niña de 10 a 14 años. Al llegar a estas edades ya
empieza a formarse los gametos o células sexuales.
tener
Diferentes formas de expresar la proposición
• El ciclo de maduración en el aparato reproductor es más largo
• El Aparato reproductor humano demora en madurar
P5. El aparato reproductor no es aparato digestivo, respiratorio, circulatorio ni excretor
Todos los aparatos son una reunión de órganos que cumplen funciones determinadas, esto hace
que cada uno sea específico por ejemplo:
• El aparato digestivo se encarga del procesamiento de los alimentos
• El aparato respiratorio se encarga de proporcionar oxígeno a la sangre para que sea
distribuido luego por todo el cuerpo
• EL aparato circulatorio es el encargado de circular la sangre con sustancias nutritivas
por todo el cuerpo
• El aparato excretor se encarga de eliminar las sustancias de desecho de nuestro
organismo.
• El aparato reproductor cumple con la función específica de perpetuar la especie
gracias a la reproducción.
Todos los aparatos son diferentes, pero eso no hace que sean independientes. En conjunto el
buen funcionamiento de todos hace que el ser humano pueda cumplir con su ciclo vital de una
manera equilibrada y óptima.
Aparato
Reproductor
Gametos
Aparato
Reproductor
Humano
Ciclo de
maduración
más largo
Diferentes formas de expresar la proposición
• El aparato digestivo no es aparato reproductor
• Ningún otro aparato del cuerpo humano cumple con la función del aparato
reproductor.
P6. Algún aparato reproductor humano es aparato reproductor masculino
Los seres humanos presentan dos sexos: el masculino y femenino. Para la fecundación se
requieren de dos gametos diferentes: óvulos y espermatozoides, cada una de estas células
sexuales se forman en aparatos reproductores diferentes.
La fusión de los dos gametos forma el huevo o cigoto. Tanto hombres como mujeres presentan
sus propios aparatos reproductores con órganos y funciones específicas.
El aparato reproductor masculino tiene órganos únicos que en conjunto constituyen una unidad
encargada de la producción de espermatozoides.
Diferentes formas de expresar la proposición
• El aparato reproductor masculino pertenece al aparato reproductor.
• Ningún aparato reproductor masculino no es aparato reproductor
• El aparato reproductor puede ser aparato reproductor masculino
P6.1 El aparato reproductor humano masculino produce espermatozoides con 23
cromosomas.
Los espermatozoides son células sexuales masculinas, más pequeñas que el óvulo; se forman en
los testículos a partir de un proceso llamado espermatogénesis.
Un espermatozoide humano se diferencia de los demás espermatozoides animales por su número
cromosómico (23 cromosomas).
El espermatozoide humano está formado de: cabeza, segmento intermedio y cola o flagelo, el
cual le permite su movilización.
producir
Diferentes formas de expresar la proposición:
• Los espermatozoides son producidos en el aparato reproductor masculino
Aparato
Reproductor
Humano
Masculino
Espermatozoides
• El aparato reproductor humano se encarga de formar espermatozoides
P6.2 El aparato reproductor humano masculino tiene órganos externos: testículos y pene
TESTÍCULOS: Son glándulas de forma ovoide que se localizan en la región pélvica, están
protegidas por un pliegue de piel que recibe el nombre de escroto.
En su interior se producen espermatozoides, los que salen al exterior del aparato gracias a la
eyaculación a partir de la pubertad. Los espermatozoides salen en el líquido seminal (semen)
Además secretan una hormona llamada testosterona, la misma que permite que en la pubertad se
expresen las características sexuales secundarias de los hombres, es decir características físicas
típicas que presentan los hombres.
Los caracteres sexuales secundarios masculinos son:
• Aparición del vello axilar, púbico y facial.
• Cambio en el tono de voz
• Ensanchamiento de la espalda
• Desarrollo muscular masculino
• Eyaculación
PENE: Es un órgano de forma cilíndrica mediante el cual se lleva a cabo la copulación.
El pene presenta las siguientes partes:
• El glande que se encuentra en el extremo del pene.
• El cuello que se encuentra entre el glande y el resto del pene
• Cuerpo del pene que en su interior aloja a la uretra un conducto que sirve para
eliminar el semen y la orina.
El pene se encuentra recubierto por una membrana de piel con la capacidad de ser retráctil que
recibe el nombre de prepucio. Cuando el prepucio no es retráctil es necesario recortarlo para
dejar descubierto al glande en un proceso que recibe el nombre de circuncisión.
Tener
Diferentes formas de expresar la proposición:
• Los órganos externos del aparato reproductor masculino son los testículos y el
pene
• El pene y los testículos son los órganos externos del aparato reproductor
masculino.
P6.3 El aparato reproductor humano masculino tiene órganos internos: conducto
deferente, vesículas seminales y glándulas anexas.
Conducto deferente: Es un tubo de 45 cm de longitud. Tiene su inicio en el epidídimo testicular
(una red de tubos que salen de los testículos en donde se almacenan los espermatozoides),
continúa hacia arriba, penetra en el abdomen, bordea la vejiga urinaria y termina a la altura de la
próstata en un conducto eyaculador.
La misión del conducto deferente es transportar los espermatozoides desde los testículos hacia la
uretra.
Aparato
Reproductor
Humano
Masculino
Órganos
externos:
testículos y pene
Vesícula seminal: Son glándulas en forma de saco, situadas en cima de la próstata, desembocan
en el conducto eyaculador junto a los conductos deferentes.
Su misión es formar un líquido amarillo que da color al semen, además nutre y protege a los
espermatozoides.
Glándulas anexas:
Próstata: Glándula situada por debajo de la vejiga urinaria, produce un líquido de aspecto
lechoso que protege a los espermatozoides, aumenta su vitalidad facilitando así la fecundación.
Glándulas de Cooper: Glándula que secreta un líquido transparente de carácter alcalino
(neutraliza la acidez), su función es lubricar la uretra antes de la eyaculación debido a la acidez
que produce la orina.
Tiene
Diferentes formas de expresar la proposición:
• El conducto deferente, la vesícula seminal y las glándulas anexas son los órganos
internos del aparato reproductor masculino humano
• El aparato reproductor masculino humano presenta órganos internos
P7. Algún aparato reproductor humano es aparato reproductor femenino
Para la reproducción se requieren de dos sexos el masculino y el femenino
El aparato reproductor femenino está estructurado de un conjunto de órganos complejos y
distintos a los órganos del aparato reproductor masculino ya que en conjunto cumplen con la
función de formar gametos femeninos y de alojar al nuevo ser durante el tiempo de gestación.
Aparato
Reproductor
Humano
Masculino
Órganos
internos
Diferentes formas de expresar la proposición:
 Una clase de aparato reproductor es el aparato reproductor femenino
 Ningún aparato reproductor humano femenino no es aparato reproductor
P7.1 El aparato reproductor humano femenino produce óvulos con 23 cromosomas
Los óvulos son células sexuales femeninas, su forma esférica no tiene movilidad, son mayores en
tamaño con relación al espermatozoide; se forman en los ovarios a partir de un proceso llamado
ovogénesis. Al igual que el espermatozoide se distingue por su número cromosómico (23
cromosomas). Cuando hay fecundación se completará así 46 cromosomas (23 del
espermatozoide + 23 del óvulo) que es el número cromosómico de la especie humana
Producir
Diferentes formas de expresar la proposición
• Los óvulos son producidos en aparato reproductor humano femenino.
• El aparato reproductor humano femenino forma células con 23 cromosomas
denominadas óvulos.
P7.2 El aparato reproductor femenino tiene 1 órgano externo (vulva)
El órgano externo de la mujer recibe el nombre de vulva, que se encuentra integrada por: labios
mayores y labios menores.
Labios mayores: Son repliegues de piel cubiertos de vello, su unión anterior forma una
prominencia denominada “monte de Venus”
Labios menores: Son pliegues de piel dispuestos entre los labios mayores, no tienen vellos.
Los labios menores y mayores rodean a una estructura eréctil denominada clítoris y a la uretra a
través de la cual se elimina la orina.
Tiene
Diferentes formas de expresar a proposición:
• La vulva es un órgano externo del aparato reproductor humano femenino
• El órgano externo del aparato reproductor femenino es la vulva
P7.3 El aparato reproductor humano femenino tiene órganos internos: ovarios, trompas de
Falopio, útero y vagina.
Ovarios: son dos glándulas de forma ovoide, están situados lateralmente en la pelvis, una a cada
lado. Producen óvulos a través de un proceso llamado ovogénesis, además secretan dos
Aparato
Reproductor
Humano Femenino
Óvulos
Aparato
Reproductor
Humano Femenino
Órgano externo:
vulva
hormonas: estrógeno y progesterona. Estas hormonas son las responsables de la presencia de los
caracteres sexuales secundarios femeninos en la pubertad.
Caracteres sexuales secundarios femeninos:
• Aparición del vello púbico y axilar
• Desarrollo de las glándulas mamarias
• Ensanchamiento de caderas y estrechamiento de cintura
• Menstruación.
Trompas de Falopio: Son conductos huecos que se desprenden uno de cada ovario, comunican
los ovarios con el útero. Sus funciones son recoger al óvulo del ovario y transportarlo hacia el
útero.
Útero: Es un órgano hueco en forma de saco invertido, sus paredes son gruesas y elásticas capaz
de aumentar de tamaño.
Su extremo inferior es estrecho y se comunica con la vagina. Sus paredes internas están
tapizadas por una mucosa rica en elementos alimenticios (proteínas, vitaminas, hidratos de
carbono), esta capa se denomina endometrio.
SU función es recibir al óvulo fecundado y permitir su desarrollo hasta que se convierta en un
nuevo ser.
Vagina: es un órgano hueco, recto en forma de tubo. Comunica el cuello del útero con los
órganos externos. Su orificio exterior se halla parcialmente cubierto por una membrana
denominada himen. La vagina permite la copulación, al introducirse el pene en su interior.
Tiene
Aparato
Reproductor
Humano Femenino
Órganos
internos
Diferentes formas de expresar la proposición:
• Los ovarios, las trompas de Falopio, el útero y la vagina son los órganos internos
del aparato reproductor femenino.
• Los órganos internos del aparato reproductor femenino son: los ovarios, las trompas
de Falopio, el útero y la vagina.
Proposiciones complementarias
P1. La menstruación es un flujo de sangre que se produce cada mes
Se debe al desprendimiento del endometrio. Este período dura 5 días. La primera
menstruación se conoce como menarquia.
El ciclo menstrual tiene una duración de 28 días, en algunas 24 o 35 días siendo normal para
cada caso en particular, este ciclo está comprendido entre el primer día de la menstruación y
la víspera de la siguiente menstruación.
Durante este ciclo menstrual ocurren cambios importantes:
Fase de destrucción: se la conoce como menstruación y es causada por falta de progesterona
en la sangre, dura aproximadamente 5 días durante los cuales el endometrio se desgarra
totalmente.
Fase de Recuperación: Después de terminada la menstruación el endometrio empieza a
regenerarse por acción de los estrógenos, esta fase dura 9 días, el endometrio en estos días se
restituye y está listo para recibir al óvulo en caso de fecundación.
Fase pre-mestrual: el endometrio se engrosa, esta fase dura 14 días a partir de ovulación, si
no hay fecundación el endometrio se rompe para reiniciar otro ciclo. Si hay fecundación el
endometrio permanece todo el período del embarazo.
P2. El aparato reproductor humano requiere de cuidado e higiene
Nuestro cuerpo debe ser cuidado, existen normas de higiene para mantener a nuestro aparato
reproductor en perfecto estado. Entre las principales normas tenemos:
• El baño diario: en las niñas es recomendable utilizar un jabón suave para su
aseo y los niños deben bajar lo suficiente su prepucio para evitar la formación de sebo
en el cuello.
• Lavarse las manos: siempre que salgamos del servicio higiénico debemos
lavarnos las manos.
• Cambio diario de la ropa interior: todo los días tanto niñas como niños
deben cambiar su ropa interior, aunque crean que aparentemente está limpia
• Servicios higiénicos: se debe evitar el uso de servicios higiénicos que estén
sucios o no cumplan con las condiciones básicas de aseo.
• Evitar golpes: principalmente en los niños cuando hacen deportes, los
testículos y el pene son órganos muy delicados.
• Ropa muy ajustada: la ropa muy ajustada como los jeans pueden provocar
lesiones a los testículos y que la temperatura suba provocando daño a nivel de los
testículos.
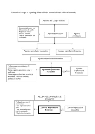
Recuerda tú cuerpo es sagrado y debes cuidarlo mantenlo limpio y bien alimentado.
Aparatos del Cuerpo humano
Aparato reproductor
Aparato reproductor masculino Aparato reproductor femenino
Conjunto de órganos con
diferente tipo de tejidos
Perpetúa la especie
Produce gametos
Ciclo de maduración más
prolongado
Aparato
circulatorio
Aparato reproductor
masculino
Produce óvulos con 23
cromosomas
Tiene órganos externos
vulva
Tiene órganos internos:
ovarios, trompa de
Falopio, útero y vagina
Aparato Reproductor
Femenino
APARATO REPRODUCTOR
HUMANO
Aparato Reproductor
Masculino
Aparato
Reproductor
Femenino
Producen espermatozoides con 23
cromosomas
Tiene órganos externos: pene y
testículos
Tiene órganos internos: conducto
deferente, vesícula seminal,
glándulas anexas.
Aparatos reproductores humanos
Aparato reproductor 2

Aparato reproductor 2

  • 1.
    UNIDAD Nº6 APARATO REPRUDUCTORHUMANO Al término de la unidad yo: 1. Identificaré los órganos del aparato reproductor masculino y femenino ♣ Reconociendo los órganos de cada aparato reproductor ♣ Enunciando las funciones de los órganos de cada aparato reproductor. ♣ Diferenciando la fisiología de cada aparato ♣ Graficando los órganos que estructuran los aparatos masculino y femenino 2. Diferenciaré entre caracteres sexuales primarios y caracteres sexuales secundarios en un hombre y una mujer ♣ Comparando los caracteres en un hombre y una mujer ♣ Estableciendo diferencias y semejanzas entre ellos 3. Cuidaré adecuadamente mi aparato reproductor ♣ Practicando normas de higiene ♣ Respetando mi cuerpo y el de los demás Prerrequisitos: Concepto de Aparatos Aprendizajes: Proposiciones del concepto de Aparato Reproductor Materiales: Cuaderno, pinturas, láminas y materiales para el laboratorio de acuerdo a la práctica a realizar. Motivación: ♣ Se observará un video sobre la reproducción humana. ♣ Se realizará un análisis del video observado conforme avancen las imágenes ♣ Se extraerán proposiciones ♣ Se validarán las proposiciones extraídas por los alumnos Niveles de organización del ser humano Aparatos Sistemas ♣ Son agrupaciones de órganos formados de diferentes tejidos. ♣ Cumplen con una función determinada UrinarioCirculatorioDigestivo Respiratorio Reproductor
  • 2.
    Argumentaciones: P1. El aparatoreproductor humano es un aparato del cuerpo humano. El ser humano debido a su complejidad presenta niveles de organización internos, uno de estos niveles es el de aparato. Un aparato se forma de la reunión o asociación de órganos formados de diferentes tejidos pero que cumplen una función determinada. En el aparato reproductor sus órganos son distintos en forma y estructura pero todos están diseñados para cumplir la misma función, perpetuar la especie. Otras formas de expresar la proposición: • Uno de los aparatos del cuerpo humano es el aparato reproductor • El aparato reproductor humano pertenece a los aparatos del cuerpo humano P2. El aparato reproductor perpetúa la especie humana. Todos los seres vivos de todas las especies buscan mantener su constancia en el ecosistema, la función que asegura la perpetuación de los seres vivos es la reproducción. El aparato reproductor mediante la reproducción entre el hombre y la mujer perpetúa y garantiza la existencia y continuidad de la especie humana, más allá de la duración de los individuos, genera la variación de la misma, con la combinación de aspectos físicos como el color de ojos, estatura, tipo de sangre entre otras. Los seres humanos a través de la reproducción aseguran la variación y la individualización de cada individuo. Perpetuar Otras formas de expresar la proposición: • La especie humana se perpetúa gracias al aparato reproductor • El aparato reproductor es el encargado de perpetuar la especie P3. El aparato reproductor produce gametos El aparato reproductor por medio de los órganos formadores: ovarios en la mujer y testículos en el hombre forman los gametos: óvulos y espermatozoides. Los gametos son células sexuales masculinas (espermatozoides) y femeninas (óvulos) que cuando se unen en la fecundación forman el huevo o cigoto. La especie humana es única, presenta 46 cromosomas en el núcleo de cada una de sus células corporales (piel, estómago, etc.) pero en los gametos este número está reducido a la mitad: 23 cromosomas, de esta manera cuando el espermatozoide con 23 cromosomas se une al óvulo con 23 cromosomas forman el huevo o cigoto con 46 cromosomas, manteniéndose así el número cromosómico característico de la especie humana. Aparato Reproductor Especie Humana A. R. H A. C. H.
  • 3.
    Producir Otras formas deexpresar la proposición: • Los gametos son producidos por el aparato reproductor • Las células sexuales se forman el aparato reproductor. • Los gametos existen gracias al aparato reproductor humano P4. El aparato reproductor humano tiene un ciclo de maduración más largo. En el momento del nacimiento ya está formados los órganos sexuales y por lo tanto ya está constituido el aparato reproductor masculino y el aparato reproductor femenino. Durante la niñez los aparatos reproductores en niños y niñas entran en una fase de reposo, estos comienzan su función reproductiva en la etapa conocida como la pubertad. Desde el nacimiento a la pubertad de un niño transcurren de 11 a 13 años; en la niña de 10 a 14 años. Al llegar a estas edades ya empieza a formarse los gametos o células sexuales. tener Diferentes formas de expresar la proposición • El ciclo de maduración en el aparato reproductor es más largo • El Aparato reproductor humano demora en madurar P5. El aparato reproductor no es aparato digestivo, respiratorio, circulatorio ni excretor Todos los aparatos son una reunión de órganos que cumplen funciones determinadas, esto hace que cada uno sea específico por ejemplo: • El aparato digestivo se encarga del procesamiento de los alimentos • El aparato respiratorio se encarga de proporcionar oxígeno a la sangre para que sea distribuido luego por todo el cuerpo • EL aparato circulatorio es el encargado de circular la sangre con sustancias nutritivas por todo el cuerpo • El aparato excretor se encarga de eliminar las sustancias de desecho de nuestro organismo. • El aparato reproductor cumple con la función específica de perpetuar la especie gracias a la reproducción. Todos los aparatos son diferentes, pero eso no hace que sean independientes. En conjunto el buen funcionamiento de todos hace que el ser humano pueda cumplir con su ciclo vital de una manera equilibrada y óptima. Aparato Reproductor Gametos Aparato Reproductor Humano Ciclo de maduración más largo
  • 4.
    Diferentes formas deexpresar la proposición • El aparato digestivo no es aparato reproductor • Ningún otro aparato del cuerpo humano cumple con la función del aparato reproductor. P6. Algún aparato reproductor humano es aparato reproductor masculino Los seres humanos presentan dos sexos: el masculino y femenino. Para la fecundación se requieren de dos gametos diferentes: óvulos y espermatozoides, cada una de estas células sexuales se forman en aparatos reproductores diferentes. La fusión de los dos gametos forma el huevo o cigoto. Tanto hombres como mujeres presentan sus propios aparatos reproductores con órganos y funciones específicas. El aparato reproductor masculino tiene órganos únicos que en conjunto constituyen una unidad encargada de la producción de espermatozoides. Diferentes formas de expresar la proposición • El aparato reproductor masculino pertenece al aparato reproductor. • Ningún aparato reproductor masculino no es aparato reproductor • El aparato reproductor puede ser aparato reproductor masculino P6.1 El aparato reproductor humano masculino produce espermatozoides con 23 cromosomas. Los espermatozoides son células sexuales masculinas, más pequeñas que el óvulo; se forman en los testículos a partir de un proceso llamado espermatogénesis. Un espermatozoide humano se diferencia de los demás espermatozoides animales por su número cromosómico (23 cromosomas). El espermatozoide humano está formado de: cabeza, segmento intermedio y cola o flagelo, el cual le permite su movilización. producir Diferentes formas de expresar la proposición: • Los espermatozoides son producidos en el aparato reproductor masculino Aparato Reproductor Humano Masculino Espermatozoides
  • 5.
    • El aparatoreproductor humano se encarga de formar espermatozoides P6.2 El aparato reproductor humano masculino tiene órganos externos: testículos y pene TESTÍCULOS: Son glándulas de forma ovoide que se localizan en la región pélvica, están protegidas por un pliegue de piel que recibe el nombre de escroto. En su interior se producen espermatozoides, los que salen al exterior del aparato gracias a la eyaculación a partir de la pubertad. Los espermatozoides salen en el líquido seminal (semen) Además secretan una hormona llamada testosterona, la misma que permite que en la pubertad se expresen las características sexuales secundarias de los hombres, es decir características físicas típicas que presentan los hombres. Los caracteres sexuales secundarios masculinos son: • Aparición del vello axilar, púbico y facial. • Cambio en el tono de voz • Ensanchamiento de la espalda • Desarrollo muscular masculino • Eyaculación PENE: Es un órgano de forma cilíndrica mediante el cual se lleva a cabo la copulación. El pene presenta las siguientes partes: • El glande que se encuentra en el extremo del pene. • El cuello que se encuentra entre el glande y el resto del pene • Cuerpo del pene que en su interior aloja a la uretra un conducto que sirve para eliminar el semen y la orina. El pene se encuentra recubierto por una membrana de piel con la capacidad de ser retráctil que recibe el nombre de prepucio. Cuando el prepucio no es retráctil es necesario recortarlo para dejar descubierto al glande en un proceso que recibe el nombre de circuncisión. Tener Diferentes formas de expresar la proposición: • Los órganos externos del aparato reproductor masculino son los testículos y el pene • El pene y los testículos son los órganos externos del aparato reproductor masculino. P6.3 El aparato reproductor humano masculino tiene órganos internos: conducto deferente, vesículas seminales y glándulas anexas. Conducto deferente: Es un tubo de 45 cm de longitud. Tiene su inicio en el epidídimo testicular (una red de tubos que salen de los testículos en donde se almacenan los espermatozoides), continúa hacia arriba, penetra en el abdomen, bordea la vejiga urinaria y termina a la altura de la próstata en un conducto eyaculador. La misión del conducto deferente es transportar los espermatozoides desde los testículos hacia la uretra. Aparato Reproductor Humano Masculino Órganos externos: testículos y pene
  • 6.
    Vesícula seminal: Songlándulas en forma de saco, situadas en cima de la próstata, desembocan en el conducto eyaculador junto a los conductos deferentes. Su misión es formar un líquido amarillo que da color al semen, además nutre y protege a los espermatozoides. Glándulas anexas: Próstata: Glándula situada por debajo de la vejiga urinaria, produce un líquido de aspecto lechoso que protege a los espermatozoides, aumenta su vitalidad facilitando así la fecundación. Glándulas de Cooper: Glándula que secreta un líquido transparente de carácter alcalino (neutraliza la acidez), su función es lubricar la uretra antes de la eyaculación debido a la acidez que produce la orina. Tiene Diferentes formas de expresar la proposición: • El conducto deferente, la vesícula seminal y las glándulas anexas son los órganos internos del aparato reproductor masculino humano • El aparato reproductor masculino humano presenta órganos internos P7. Algún aparato reproductor humano es aparato reproductor femenino Para la reproducción se requieren de dos sexos el masculino y el femenino El aparato reproductor femenino está estructurado de un conjunto de órganos complejos y distintos a los órganos del aparato reproductor masculino ya que en conjunto cumplen con la función de formar gametos femeninos y de alojar al nuevo ser durante el tiempo de gestación. Aparato Reproductor Humano Masculino Órganos internos
  • 7.
    Diferentes formas deexpresar la proposición:  Una clase de aparato reproductor es el aparato reproductor femenino  Ningún aparato reproductor humano femenino no es aparato reproductor P7.1 El aparato reproductor humano femenino produce óvulos con 23 cromosomas Los óvulos son células sexuales femeninas, su forma esférica no tiene movilidad, son mayores en tamaño con relación al espermatozoide; se forman en los ovarios a partir de un proceso llamado ovogénesis. Al igual que el espermatozoide se distingue por su número cromosómico (23 cromosomas). Cuando hay fecundación se completará así 46 cromosomas (23 del espermatozoide + 23 del óvulo) que es el número cromosómico de la especie humana Producir Diferentes formas de expresar la proposición • Los óvulos son producidos en aparato reproductor humano femenino. • El aparato reproductor humano femenino forma células con 23 cromosomas denominadas óvulos. P7.2 El aparato reproductor femenino tiene 1 órgano externo (vulva) El órgano externo de la mujer recibe el nombre de vulva, que se encuentra integrada por: labios mayores y labios menores. Labios mayores: Son repliegues de piel cubiertos de vello, su unión anterior forma una prominencia denominada “monte de Venus” Labios menores: Son pliegues de piel dispuestos entre los labios mayores, no tienen vellos. Los labios menores y mayores rodean a una estructura eréctil denominada clítoris y a la uretra a través de la cual se elimina la orina. Tiene Diferentes formas de expresar a proposición: • La vulva es un órgano externo del aparato reproductor humano femenino • El órgano externo del aparato reproductor femenino es la vulva P7.3 El aparato reproductor humano femenino tiene órganos internos: ovarios, trompas de Falopio, útero y vagina. Ovarios: son dos glándulas de forma ovoide, están situados lateralmente en la pelvis, una a cada lado. Producen óvulos a través de un proceso llamado ovogénesis, además secretan dos Aparato Reproductor Humano Femenino Óvulos Aparato Reproductor Humano Femenino Órgano externo: vulva
  • 8.
    hormonas: estrógeno yprogesterona. Estas hormonas son las responsables de la presencia de los caracteres sexuales secundarios femeninos en la pubertad. Caracteres sexuales secundarios femeninos: • Aparición del vello púbico y axilar • Desarrollo de las glándulas mamarias • Ensanchamiento de caderas y estrechamiento de cintura • Menstruación. Trompas de Falopio: Son conductos huecos que se desprenden uno de cada ovario, comunican los ovarios con el útero. Sus funciones son recoger al óvulo del ovario y transportarlo hacia el útero. Útero: Es un órgano hueco en forma de saco invertido, sus paredes son gruesas y elásticas capaz de aumentar de tamaño. Su extremo inferior es estrecho y se comunica con la vagina. Sus paredes internas están tapizadas por una mucosa rica en elementos alimenticios (proteínas, vitaminas, hidratos de carbono), esta capa se denomina endometrio. SU función es recibir al óvulo fecundado y permitir su desarrollo hasta que se convierta en un nuevo ser. Vagina: es un órgano hueco, recto en forma de tubo. Comunica el cuello del útero con los órganos externos. Su orificio exterior se halla parcialmente cubierto por una membrana denominada himen. La vagina permite la copulación, al introducirse el pene en su interior. Tiene Aparato Reproductor Humano Femenino Órganos internos
  • 9.
    Diferentes formas deexpresar la proposición: • Los ovarios, las trompas de Falopio, el útero y la vagina son los órganos internos del aparato reproductor femenino. • Los órganos internos del aparato reproductor femenino son: los ovarios, las trompas de Falopio, el útero y la vagina. Proposiciones complementarias P1. La menstruación es un flujo de sangre que se produce cada mes Se debe al desprendimiento del endometrio. Este período dura 5 días. La primera menstruación se conoce como menarquia. El ciclo menstrual tiene una duración de 28 días, en algunas 24 o 35 días siendo normal para cada caso en particular, este ciclo está comprendido entre el primer día de la menstruación y la víspera de la siguiente menstruación. Durante este ciclo menstrual ocurren cambios importantes: Fase de destrucción: se la conoce como menstruación y es causada por falta de progesterona en la sangre, dura aproximadamente 5 días durante los cuales el endometrio se desgarra totalmente. Fase de Recuperación: Después de terminada la menstruación el endometrio empieza a regenerarse por acción de los estrógenos, esta fase dura 9 días, el endometrio en estos días se restituye y está listo para recibir al óvulo en caso de fecundación. Fase pre-mestrual: el endometrio se engrosa, esta fase dura 14 días a partir de ovulación, si no hay fecundación el endometrio se rompe para reiniciar otro ciclo. Si hay fecundación el endometrio permanece todo el período del embarazo. P2. El aparato reproductor humano requiere de cuidado e higiene Nuestro cuerpo debe ser cuidado, existen normas de higiene para mantener a nuestro aparato reproductor en perfecto estado. Entre las principales normas tenemos: • El baño diario: en las niñas es recomendable utilizar un jabón suave para su aseo y los niños deben bajar lo suficiente su prepucio para evitar la formación de sebo en el cuello. • Lavarse las manos: siempre que salgamos del servicio higiénico debemos lavarnos las manos. • Cambio diario de la ropa interior: todo los días tanto niñas como niños deben cambiar su ropa interior, aunque crean que aparentemente está limpia • Servicios higiénicos: se debe evitar el uso de servicios higiénicos que estén sucios o no cumplan con las condiciones básicas de aseo. • Evitar golpes: principalmente en los niños cuando hacen deportes, los testículos y el pene son órganos muy delicados. • Ropa muy ajustada: la ropa muy ajustada como los jeans pueden provocar lesiones a los testículos y que la temperatura suba provocando daño a nivel de los testículos.
  • 10.
    Recuerda tú cuerpoes sagrado y debes cuidarlo mantenlo limpio y bien alimentado. Aparatos del Cuerpo humano Aparato reproductor Aparato reproductor masculino Aparato reproductor femenino Conjunto de órganos con diferente tipo de tejidos Perpetúa la especie Produce gametos Ciclo de maduración más prolongado Aparato circulatorio Aparato reproductor masculino Produce óvulos con 23 cromosomas Tiene órganos externos vulva Tiene órganos internos: ovarios, trompa de Falopio, útero y vagina Aparato Reproductor Femenino APARATO REPRODUCTOR HUMANO Aparato Reproductor Masculino Aparato Reproductor Femenino Producen espermatozoides con 23 cromosomas Tiene órganos externos: pene y testículos Tiene órganos internos: conducto deferente, vesícula seminal, glándulas anexas. Aparatos reproductores humanos