Título 1
Centrado
Color azul
Título 3
Centrado
Color negro
Título 3
Color azul
Lista con viñetas
Título 3
Color azul
Título 3
Color azul
Título 3
Color azul
Título 3
Color azul
Lista numerada
CentradoLista con viñetas, cursiva,
subrayado y negrita
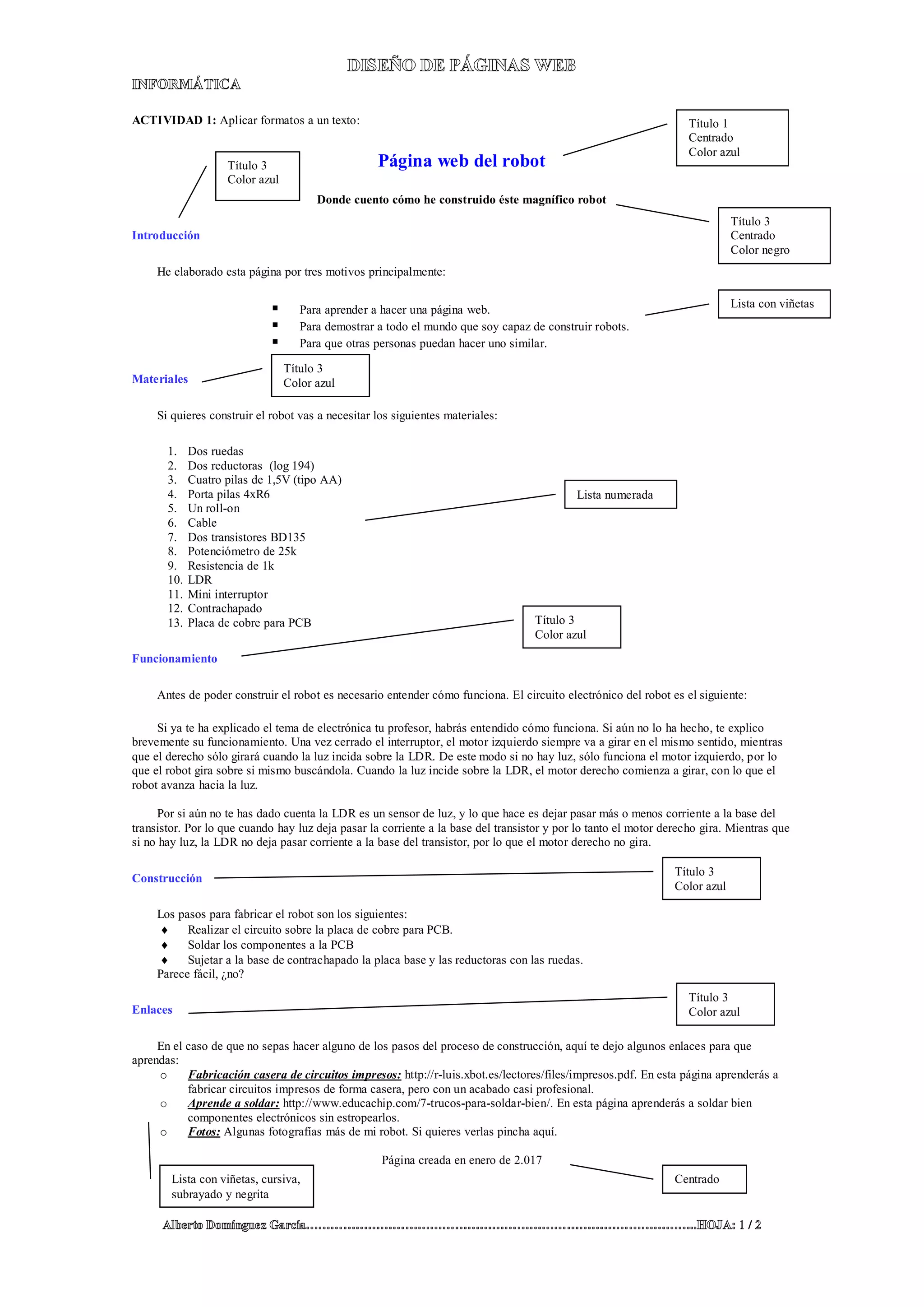
ACTIVIDAD 1: Aplicar formatos a un texto:
Página web del robot
Donde cuento cómo he construido éste magnífico robot
Introducción
He elaborado esta página por tres motivos principalmente:
 Para aprender a hacer una página web.
 Para demostrar a todo el mundo que soy capaz de construir robots.
 Para que otras personas puedan hacer uno similar.
Materiales
Si quieres construir el robot vas a necesitar los siguientes materiales:
1. Dos ruedas
2. Dos reductoras (log 194)
3. Cuatro pilas de 1,5V (tipo AA)
4. Porta pilas 4xR6
5. Un roll-on
6. Cable
7. Dos transistores BD135
8. Potenciómetro de 25k
9. Resistencia de 1k
10. LDR
11. Mini interruptor
12. Contrachapado
13. Placa de cobre para PCB
Funcionamiento
Antes de poder construir el robot es necesario entender cómo funciona. El circuito electrónico del robot es el siguiente:
Si ya te ha explicado el tema de electrónica tu profesor, habrás entendido cómo funciona. Si aún no lo ha hecho, te explico
brevemente su funcionamiento. Una vez cerrado el interruptor, el motor izquierdo siempre va a girar en el mismo sentido, mientras
que el derecho sólo girará cuando la luz incida sobre la LDR. De este modo si no hay luz, sólo funciona el motor izquierdo, por lo
que el robot gira sobre si mismo buscándola. Cuando la luz incide sobre la LDR, el motor derecho comienza a girar, con lo que el
robot avanza hacia la luz.
Por si aún no te has dado cuenta la LDR es un sensor de luz, y lo que hace es dejar pasar más o menos corriente a la base del
transistor. Por lo que cuando hay luz deja pasar la corriente a la base del transistor y por lo tanto el motor derecho gira. Mientras que
si no hay luz, la LDR no deja pasar corriente a la base del transistor, por lo que el motor derecho no gira.
Construcción
Los pasos para fabricar el robot son los siguientes:
 Realizar el circuito sobre la placa de cobre para PCB.
 Soldar los componentes a la PCB
 Sujetar a la base de contrachapado la placa base y las reductoras con las ruedas.
Parece fácil, ¿no?
Enlaces
En el caso de que no sepas hacer alguno de los pasos del proceso de construcción, aquí te dejo algunos enlaces para que
aprendas:
o Fabricación casera de circuitos impresos: http://r-luis.xbot.es/lectores/files/impresos.pdf. En esta página aprenderás a
fabricar circuitos impresos de forma casera, pero con un acabado casi profesional.
o Aprende a soldar: http://www.educachip.com/7-trucos-para-soldar-bien/. En esta página aprenderás a soldar bien
componentes electrónicos sin estropearlos.
o Fotos: Algunas fotografías más de mi robot. Si quieres verlas pincha aquí.
Página creada en enero de 2.017
ACTIVIDAD 2: Insertar imágenes:
Los pasos que vamos a dar son los siguientes:
1. La imagen del robot la vamos a incluir debajo del subtítulo y centrada. Además, debe llevar un borde fino y el texto alternativo "Mi
robot :-)", u otro que sea significativo.
2. Además, incorporaremos la imagen del robot en la parte inferior del documento y la centraremos. Vamos a reducir esta imagen, y para
ello la marcamos con un clic del ratón y arrastramos los tiradores de los bordes.
3. En el menú Formato>Título y propiedades de la página introducimos como título “Página web del robot”, y escribimos nuestro nombre
y una breve descripción en el campo Autor y Descripción respectivamente. Guardamos este archivo con el nombre index2.html.
4. Hay que dar un color negro al fondo de la página. Para ello, abrimos el menú Formato y elegimos la opción Fondo y colores de página.
Seleccionamos Usar colores personalizados y cambiamos el color del fondo.
ACTIVIDAD 3: Utilizar las tablas:
A continuación vamos a crear un nuevo documento cuyo diseño general va a estar basado en una tabla que ocupe toda la página. Este
tipo de diseño es muy habitual en las páginas web, porque permite ordenar mejor los elementos del diseño.
1. Insertamos una tabla de dos columnas y dos filas para incluir todo el contenido del documento. La tabla ocupará el 100% de la página; un
relleno de celdas de 10 (para que el texto se separe del borde), un espaciado entre celdas de 0 y un borde de 0.
2. En la columna izquierda colocaremos los hipervínculos; esta columna ocupará el 20% de la tabla; la alineación horizontal será centro
y la alineación vertical, superior; el color de fondo de la primera celda de esta columna será gris y el de la segunda será gris claro.
3. La columna derecha ocupará el 80% de la tabla; la primera celda de esta columna tendrá una alineación horizontal centro y una
alineación vertical medio, además de un color gris claro; en la segunda celda los atributos de alineación serán izquierda y superior
respectivamente. Esta segunda celda tendrá como color de fondo el blanco. Guardamos el archivo con el nombre de plantilla.html.
4. Una vez realizado el diseño de la página, vamos a insertar el texto. En la segunda celda de la columna izquierda escribiremos, una debajo
de otra, las siguientes palabras: "Introducción", "Materiales", "Funcionamiento", "Construcción", “Enlaces”, “Fotos” y "Escríbeme". En la
celda más grande, la segunda de la segunda columna, introduciremos todo el texto que hemos formateado y que se encuentra en el archivo
index2.html. Para ello, abrimos este archivo en Kompozer y a continuación abrimos el menú Editar y elegimos la opción Seleccionar
todo: veremos que todo el texto queda marcado. Después, pulsamos en la opción Copiar del mismo menú para copiar todo al
Portapapeles de Windows, y a continuación colocamos el cursor del ratón al principio de la celda de color blanco, volvemos a abrir el
menú Edición y elegimos Pegar. Entonces, la celda se llenará con el texto y las imágenes con que hemos estado trabajando hasta ahora.
En la segunda celda de la primera fila escribiremos “Robot buscador de luz”
5. También incluiremos dos líneas horizontales. Para crearlas hay que abrir el menú Insertar y elegir la opción Línea horizontal. La
primera línea estará debajo del saludo introductorio, y la segunda al fondo del documento, antes del texto que indica la autoría de la
página. Si hacemos clic encima de la línea aparecerá una ventana donde podremos modificar los atributos predeterminados. La primera
tiene un alto de 4 píxeles, un porcentaje de ventana de 70%. La segunda línea tendrá los atributos predeterminados.
6. Para finalizar, hay que dar un color negro al fondo de la página. Para ello, abrimos el menú Formato y elegimos la opción Fondo y
colores de página. Seleccionamos Usar colores personalizados y cambiamos el color del fondo. Guardamos el archivo con el nombre
index.html.
7. Abrimos el archivo plantilla.html y lo guardamos como fotos.html. Ahora escribimos en la segunda celda de la primera fila y como título
de la página Álbum fotográfico. En la segunda fila, en la celda de la izquierda escribimos Inicio y en la celda de la derecha insertamos
todas las imágenes que tenemos del robot.
ACTIVIDAD 4: Realizar hipervínculos:
En esta actividad crearemos todos los hipervínculos que faltan por incluir en nuestra página.
1. Primero vamos a crear los marcadores y sus hipervínculos correspondientes para las otras secciones del documento:
“Introducción”, "Materiales", “Funcionamiento”, “Construcción”, y "Enlaces". A los marcadores los llamaremos con el
mismo nombre pero sin tildes. Para ello marcamos con el ratón el punto donde queremos crear el marcador y seleccionamos
Insertar>Enlace interno.
2. También vamos a crear un marcador en la parte superior del documento, a la izquierda del título, que se llame "arriba", y su
hipervínculo correspondiente lo haremos sobre la imagen pequeña del robot que se encuentra en la parte inferior del
documento, de forma que cuando el lector llegue al final del documento, pueda subir enseguida al inicio del documento sin
necesidad de utilizar la barra de desplazamiento.
3. Además, vamos a crear el hipervínculo al álbum fotográfico desde la expresión "(Pincha aquí)", que se encuentra en el enlace
número 3 de la sección de Enlaces, y desde Fotos del menú principal. También tendremos que hacer un hipervínculo desde el
archivo fotos.html que nos lleve de regreso a la página principal (index.html); lo haremos sobre la siguiente palabra: Inicio,
que escribiremos en la primera celda de la segunda fila de la tabla.
4. Haremos los hipervínculos de las otras dos páginas web de la sección de enlaces que todavía no hemos hecho, y el de
“Escríbeme” del menú principal.
5. Para finalizar insertaremos la imagen email9.gif y haremos un hipervínculo sobre ella para que nos puedan mandar un correo.

Bach2. informática.-.diseño de páginas web con kompozer

  • 1.
    Título 1 Centrado Color azul Título3 Centrado Color negro Título 3 Color azul Lista con viñetas Título 3 Color azul Título 3 Color azul Título 3 Color azul Título 3 Color azul Lista numerada CentradoLista con viñetas, cursiva, subrayado y negrita ACTIVIDAD 1: Aplicar formatos a un texto: Página web del robot Donde cuento cómo he construido éste magnífico robot Introducción He elaborado esta página por tres motivos principalmente:  Para aprender a hacer una página web.  Para demostrar a todo el mundo que soy capaz de construir robots.  Para que otras personas puedan hacer uno similar. Materiales Si quieres construir el robot vas a necesitar los siguientes materiales: 1. Dos ruedas 2. Dos reductoras (log 194) 3. Cuatro pilas de 1,5V (tipo AA) 4. Porta pilas 4xR6 5. Un roll-on 6. Cable 7. Dos transistores BD135 8. Potenciómetro de 25k 9. Resistencia de 1k 10. LDR 11. Mini interruptor 12. Contrachapado 13. Placa de cobre para PCB Funcionamiento Antes de poder construir el robot es necesario entender cómo funciona. El circuito electrónico del robot es el siguiente: Si ya te ha explicado el tema de electrónica tu profesor, habrás entendido cómo funciona. Si aún no lo ha hecho, te explico brevemente su funcionamiento. Una vez cerrado el interruptor, el motor izquierdo siempre va a girar en el mismo sentido, mientras que el derecho sólo girará cuando la luz incida sobre la LDR. De este modo si no hay luz, sólo funciona el motor izquierdo, por lo que el robot gira sobre si mismo buscándola. Cuando la luz incide sobre la LDR, el motor derecho comienza a girar, con lo que el robot avanza hacia la luz. Por si aún no te has dado cuenta la LDR es un sensor de luz, y lo que hace es dejar pasar más o menos corriente a la base del transistor. Por lo que cuando hay luz deja pasar la corriente a la base del transistor y por lo tanto el motor derecho gira. Mientras que si no hay luz, la LDR no deja pasar corriente a la base del transistor, por lo que el motor derecho no gira. Construcción Los pasos para fabricar el robot son los siguientes:  Realizar el circuito sobre la placa de cobre para PCB.  Soldar los componentes a la PCB  Sujetar a la base de contrachapado la placa base y las reductoras con las ruedas. Parece fácil, ¿no? Enlaces En el caso de que no sepas hacer alguno de los pasos del proceso de construcción, aquí te dejo algunos enlaces para que aprendas: o Fabricación casera de circuitos impresos: http://r-luis.xbot.es/lectores/files/impresos.pdf. En esta página aprenderás a fabricar circuitos impresos de forma casera, pero con un acabado casi profesional. o Aprende a soldar: http://www.educachip.com/7-trucos-para-soldar-bien/. En esta página aprenderás a soldar bien componentes electrónicos sin estropearlos. o Fotos: Algunas fotografías más de mi robot. Si quieres verlas pincha aquí. Página creada en enero de 2.017
  • 2.
    ACTIVIDAD 2: Insertarimágenes: Los pasos que vamos a dar son los siguientes: 1. La imagen del robot la vamos a incluir debajo del subtítulo y centrada. Además, debe llevar un borde fino y el texto alternativo "Mi robot :-)", u otro que sea significativo. 2. Además, incorporaremos la imagen del robot en la parte inferior del documento y la centraremos. Vamos a reducir esta imagen, y para ello la marcamos con un clic del ratón y arrastramos los tiradores de los bordes. 3. En el menú Formato>Título y propiedades de la página introducimos como título “Página web del robot”, y escribimos nuestro nombre y una breve descripción en el campo Autor y Descripción respectivamente. Guardamos este archivo con el nombre index2.html. 4. Hay que dar un color negro al fondo de la página. Para ello, abrimos el menú Formato y elegimos la opción Fondo y colores de página. Seleccionamos Usar colores personalizados y cambiamos el color del fondo. ACTIVIDAD 3: Utilizar las tablas: A continuación vamos a crear un nuevo documento cuyo diseño general va a estar basado en una tabla que ocupe toda la página. Este tipo de diseño es muy habitual en las páginas web, porque permite ordenar mejor los elementos del diseño. 1. Insertamos una tabla de dos columnas y dos filas para incluir todo el contenido del documento. La tabla ocupará el 100% de la página; un relleno de celdas de 10 (para que el texto se separe del borde), un espaciado entre celdas de 0 y un borde de 0. 2. En la columna izquierda colocaremos los hipervínculos; esta columna ocupará el 20% de la tabla; la alineación horizontal será centro y la alineación vertical, superior; el color de fondo de la primera celda de esta columna será gris y el de la segunda será gris claro. 3. La columna derecha ocupará el 80% de la tabla; la primera celda de esta columna tendrá una alineación horizontal centro y una alineación vertical medio, además de un color gris claro; en la segunda celda los atributos de alineación serán izquierda y superior respectivamente. Esta segunda celda tendrá como color de fondo el blanco. Guardamos el archivo con el nombre de plantilla.html. 4. Una vez realizado el diseño de la página, vamos a insertar el texto. En la segunda celda de la columna izquierda escribiremos, una debajo de otra, las siguientes palabras: "Introducción", "Materiales", "Funcionamiento", "Construcción", “Enlaces”, “Fotos” y "Escríbeme". En la celda más grande, la segunda de la segunda columna, introduciremos todo el texto que hemos formateado y que se encuentra en el archivo index2.html. Para ello, abrimos este archivo en Kompozer y a continuación abrimos el menú Editar y elegimos la opción Seleccionar todo: veremos que todo el texto queda marcado. Después, pulsamos en la opción Copiar del mismo menú para copiar todo al Portapapeles de Windows, y a continuación colocamos el cursor del ratón al principio de la celda de color blanco, volvemos a abrir el menú Edición y elegimos Pegar. Entonces, la celda se llenará con el texto y las imágenes con que hemos estado trabajando hasta ahora. En la segunda celda de la primera fila escribiremos “Robot buscador de luz” 5. También incluiremos dos líneas horizontales. Para crearlas hay que abrir el menú Insertar y elegir la opción Línea horizontal. La primera línea estará debajo del saludo introductorio, y la segunda al fondo del documento, antes del texto que indica la autoría de la página. Si hacemos clic encima de la línea aparecerá una ventana donde podremos modificar los atributos predeterminados. La primera tiene un alto de 4 píxeles, un porcentaje de ventana de 70%. La segunda línea tendrá los atributos predeterminados. 6. Para finalizar, hay que dar un color negro al fondo de la página. Para ello, abrimos el menú Formato y elegimos la opción Fondo y colores de página. Seleccionamos Usar colores personalizados y cambiamos el color del fondo. Guardamos el archivo con el nombre index.html. 7. Abrimos el archivo plantilla.html y lo guardamos como fotos.html. Ahora escribimos en la segunda celda de la primera fila y como título de la página Álbum fotográfico. En la segunda fila, en la celda de la izquierda escribimos Inicio y en la celda de la derecha insertamos todas las imágenes que tenemos del robot. ACTIVIDAD 4: Realizar hipervínculos: En esta actividad crearemos todos los hipervínculos que faltan por incluir en nuestra página. 1. Primero vamos a crear los marcadores y sus hipervínculos correspondientes para las otras secciones del documento: “Introducción”, "Materiales", “Funcionamiento”, “Construcción”, y "Enlaces". A los marcadores los llamaremos con el mismo nombre pero sin tildes. Para ello marcamos con el ratón el punto donde queremos crear el marcador y seleccionamos Insertar>Enlace interno. 2. También vamos a crear un marcador en la parte superior del documento, a la izquierda del título, que se llame "arriba", y su hipervínculo correspondiente lo haremos sobre la imagen pequeña del robot que se encuentra en la parte inferior del documento, de forma que cuando el lector llegue al final del documento, pueda subir enseguida al inicio del documento sin necesidad de utilizar la barra de desplazamiento. 3. Además, vamos a crear el hipervínculo al álbum fotográfico desde la expresión "(Pincha aquí)", que se encuentra en el enlace número 3 de la sección de Enlaces, y desde Fotos del menú principal. También tendremos que hacer un hipervínculo desde el archivo fotos.html que nos lleve de regreso a la página principal (index.html); lo haremos sobre la siguiente palabra: Inicio, que escribiremos en la primera celda de la segunda fila de la tabla. 4. Haremos los hipervínculos de las otras dos páginas web de la sección de enlaces que todavía no hemos hecho, y el de “Escríbeme” del menú principal. 5. Para finalizar insertaremos la imagen email9.gif y haremos un hipervínculo sobre ella para que nos puedan mandar un correo.