-565785137160centenario<br />Escuela Normal Superior de Pasto<br />Área: tecnología e informáticaEdwin guerrero Jessica Narváez11-2z <br />450850-262255Internet sano <br />¿Qué es internet?<br />¿Cuáles son los diferentes servicios que ofrece?<br />¿De los servicios que ofrece internet cuales usa de manera frecuente y porque?<br />¿Cuáles son los beneficios que brinda internet y como lo han beneficiado a usted?<br />¿Cuáles son los riesgos del uso de internet. Como evita algunos de estos riesgos?<br />¿Cuales son algunos consejos para usar internet de manera segura. Qué importancia tienen estos consejos para su vida?<br />¿Cuáles son sus 10 comportamientos digitales acompáñelos de un comentario personal?<br />¿Hacemos un pacto que nos sirva para usar internet de manera segura y responsable?<br />¿Cómo te evalúas al utilizar el juego sobre internet seguro?<br />Qué es internet?<br /> El internet es un elemento muy importante en la vida de las personas sobre todo en la vida de nosotros los jóvenes ya que nos ayuda a encontrar información sobre diferentes temas pero a su vez se convierte en un arma mortal ya que muchas veces queremos encontrar una cierta información y nos topamos con contenidos explícitos para evitar esto es que tenemos que tener muy en cuenta los consejos y cuidados respectivos sobre el uso de este. <br />7886704650105<br />¿Cuáles son los diferentes servicios que ofrece?<br />Páginas web<br />Correo electrónico<br />Chat<br />Mensajería instantánea, videoconferencia<br />Cuadernos personales (blogs)<br />Juegos en línea<br />Formación a distancia<br />Compras “online”<br />208127877144<br />¿De los servicios que ofrece internet cuales usa de manera frecuente y porque?<br />Messenger <br />Blogs<br />Juegos online<br />Chat<br />Correo electrónico <br />Paginas web (rincón  del vago , wikipedia)<br />Utilizamos los anteriores recursos ya que con ellos logramos interactuar de una manera más didáctica, fácil y segura con el internet.<br />1377950196215<br />¿Cuáles son los beneficios que brinda internet y como lo han beneficiado a usted?<br />-Beneficios:<br /> Encontrar recursos educativos para su trabajo  escolar (documentos, sonidos, fotografías, dibujos). Es una Enciclopedia inagotable.<br />Aumentar sus capacidades de expresión oral, comprensión lectora y escritura, organización y evaluación de la información, etc.<br />Comunicarse en tiempo real con familia, amigos, etc.<br />Aprender a utilizar mejor la tecnología s digitales y mejorar las habilidades informativas, imprescindibles para la época en la que vivimos a nivel personal, educativo y para el mundo profesional.<br />Mejorar su auto aprendizaje<br />397446586995<br />Desarrollar el sentido de la responsabilidad.<br />Mejorar la autoestima.<br />Fomentar el pensamiento crítico<br />Los anteriores beneficios nos han servido al utilizar internet ya que nos ofrece muchos servicios y podemos mejorar nuestra interacción con la red.<br />¿Cuáles son los riesgos del uso de internet. Como evita algunos de estos riesgos?<br />Riesgos:<br />Información  poco fiable, sobre  información, inadecuada para niños, peligrosa, inmoral…<br />Correo basura, perdida de intimidad,<br />      Información ofensiva, suplantación, malas<br />      Compañías…<br />Avalancha de publicidad, compras<br />      Compulsivas, gasto telefónico, estafas.<br />4495165195580<br />Virus<br />Adicciones, ludopatías…<br />Aislamiento<br />•<br /> Para evitar caer o toparnos con contenidos poco fiables o encontrar  virus que nos puedan perjudicar toda la información recaudada evitamos entrar en páginas desconocidas, también utilizamos un filtro de contenidos explícitos en nuestra red y así no nos topamos con informaciones u paginas poco fiables.<br />¿Cuales son algunos consejos para usar internet de manera segura. Qué importancia tienen estos consejos para su vida?<br />No des información personal sobre ti, tu colegio, tu casa…<br />No envíes fotografías sin el permiso de tus padres.<br />Respondas a mensajes desagradables<br />No conciertes citas a ciegas con desconocidos sin la presencia y/o el conocimiento de tus padres.<br />No abras archivos adjuntos sin saber de dónde provienen<br />El internet es un elemento muy importante en la vida de las personas sobre todo en la vida de nosotros los jóvenes ya que nos ayuda a encontrar información sobre diferentes temas pero a su vez se convierte en un arma mortal ya que muchas veces queremos encontrar una cierta información y nos topamos con contenidos explícitos para evitar esto es que tenemos que tener muy en cuenta los consejos y cuidados respectivos sobre el uso de este. <br />Esto es muy importante para nosotros ya que si podemos evitar ese contenido lograremos sacarle mucho provecho al internet.<br />161290046990<br />¿Cuáles son sus 10 comportamientos digitales acompáñelos de un comentario personal?<br />Respeto<br />Identidad<br />Libertad<br />Integridad<br />Intimidad<br />Autonomía<br />Calidad de vida<br />Cuidado y acompañamiento<br />Respeto por la ley<br />Derechos del autor<br />El internet es un elemento muy importante pero peligroso ya que nos podemos topar con contenidos inadecuados pero si respetamos los pactos realizados y los comportamientos ya mencionados podemos obtener un gran conocimiento.<br />1745615114300<br />¿Hacemos un pacto que nos sirva para usar internet de manera segura y responsable?<br />PACTO<br />Me comprometo a...<br />Cuando navego y cuando me relaciono con otras personas en Internet, pongo realmente todo mi empreño para no causar daño a nadie y para mantenerme alejado de amenazas y problemas.<br />Por lo tanto, nosotros, Edwin Guerrero y Jessica Narváez nos comprometemos a:<br />1. No dar nunca, a personas que no conozca de manera presencial, mi información personal (dirección particular, número de teléfono, etc), mí Institución Educativa (nombre, ubicación, etc) o mí familia (nombres de padres y hermanos, etc).<br />2. Respetar la información que tengo de mis amigos y no publicarla en Internet sin su autorización.<br />3. No revelar nunca a nadie, que no sean mis padres o acudientes (ni siquiera a mis mejores amigos), mis claves de acceso al correo electrónico y a las redes sociales. Esto evitará que me suplanten.<br />4. Utilizar contraseñas fuertes, difíciles de adivinar, con longitud de al menos 8 caracteres, que incluyan la combinación de números y letras.<br />5. Cerrar completamente tanto mis cuentas de correo electrónico como de redes sociales cuando termino de utilizar el computador.<br />6. No enviar nunca fotografías mías o de mis familiares, sin el permiso de mis padres.<br />7. Informar a padres y profesores cuando encuentre información que me haga sentir incómodo(a) y/o amenazado(a).<br />8. No realizar procedimientos en Internet que cuesten dinero, sin el permiso de mis padres.<br />9. Nunca contestar a mensajes que sean agresivos, obscenos, amenazantes o que me hagan sentir mal o amenazado.<br />10. No responder correos electrónicos de personas que yo no conozca personalmente.<br />11. Avisar a padres y docentes cuando alguien me ofrezca un regalo y me suministre una dirección a la que deba ir Para recibirlo.<br />12. No aceptar citas de desconocidos y avisar inmediatamente a padres y docentes. Siempre recuerdo que hay personas que no siempre son lo que dicen ser; por ejemplo, alguien me puede decir que es un niño de 12 años y en realidad ser un señor 45.<br />13. Desconfiar de aquellas personas recién conocidas que quieren verme por medio de la cámara Web del computador o que encienden su cámara sin que yo lo haya solicitado.<br />14. Cuidarme en los ambientes tecnológicos como lo haría cuando salgo a la calle; utilizando mi criterio para seleccionar los sitios que visito en la Red y las personas con las que interactúo.<br />15. No permitirles a mis amigos por Internet, cosas que no les permito a mis amigos del colegio o del barrio.<br />16. Permitir, en las redes sociales en las que participo (Facebook, Hi5, MySpace, etc), que únicamente mis amigos puedan ver y comentar lo que comparto, lo que publico en el muro y en lo que yo esté etiquetado.<br />17. Permitir, en las redes sociales en las que participo (Facebook, Hi5, etc), que solamente mis amigos puedan ver mi información de contacto y mis fotografías.<br />18. Reflexionar, antes de subir una fotografía a un sitio social, si la foto se presta para que otra persona la descargue y me haga daño a mí o a otras personas.<br />19. Aceptar solicitudes de amistad en redes sociales que provengan únicamente de personas conocidas.<br />20. No utilizar, en las redes sociales en las que participo, identidades falsas para suplantar personas.<br />21. Nunca descargar, instalar o copiar nada de Internet sin el permiso previo de padres o docentes.<br />Firma estudiante: Edwin Guerrero Daniel<br />                  Jessica Fernanda Narváez<br />Firma acudiente: ___________________________<br />3351530291465<br />Fecha: 15 de Febrero de 2011<br />¿Cómo te evalúas al utilizar el juego sobre internet seguro?<br />Nos parece que el juego internet seguro a sido una experiencia muy gratificante ya que nos ha ayudado a obtener un cierto grado de conocimiento y responsabilidad al utilizar este medio tan valioso.<br />73533084455<br />-208280-49530Certificado<br />-688975455295<br />    Edwin Guerrero  y  Jessica Narváez<br />344170-198120Guía n° 2 Editor de ecuaciones 3.0<br />¿Qué es un Editor de  Ecuaciones?<br />El editor de ecuaciones es una herramienta del menú insertar. Que nos sirve para hacer operaciones matemáticas en el sistema operativo de Word.<br />¿Cuáles son las formas de accede al  Microsoft Editor de Ecuaciones 3.0? <br />Para abrir el editor de ecuaciones debemos acceder al menú insertar. Objeto. Se abrirá un cuadro de diálogo como el que vemos en la imagen  donde podemos seleccionar el tipo de objeto que deseamos insertar con la correspondiente herramienta. Si desea puede activar la casilla de verificación Mostrar como ícono, Para que la formula quede representada con una imagen que permita acceder al documento que está desarrollando, en caso contrario, aparecerá como una imagen. Hacer clic en Aceptar.<br />-1209675-762000<br />¿Qué forma escoge para trabajar y por qué?<br /> 1. Para abrir el editor de ecuaciones debemos acceder al menú Insertar <br />Objeto. Se abrirá un cuadro de diálogo como el que vemos en la imagen donde podemos seleccionar el tipo de objeto que deseamos insertar con la correspondiente herramienta.<br />2. Si desea puede activar la casilla de verificación Mostrar como objeto,<br />Para que la formule quede representada con una imagen que permita acceder al documento.<br />Hacer clic en Aceptar.<br />Porque en esta manera nos sale toda la barra de formulas.<br />-1061085-198120<br />¿Qué pasos  se deben llevar a cabo para insertar una ecuación?<br />1. Haga clic donde desee insertar la ecuación.<br />2. Para crear la ecuación, seleccione los símbolos de la barra de    herramientas  Ecuación y escriba las variables y los números necesarios.  En la fila  superior de la barra de herramientas Ecuación, puede elegir entre más de  150 símbolos matemáticos.<br />3. En la fila inferior, puede elegir entre varias plantillas o modelos     que  contienen símbolos, como por ejemplo, fracciones, integrales y sumatorias.<br />22860124460<br />22860246380<br />¿Cómo está dividida la barra de herramientas el Editor de Ecuaciones 3.0. Explique cada uno de estos elementos?<br />La barra de herramienta de nombre “Ecuación” está dividida en 2 paletas: la superior llamada “Paleta de Símbolos” y la inferior “Paleta de Plantillas”. Ambas paletas disponen de botones para seleccionar Símbolos –matemáticos, griegos, lógicos y otros caracteres o espacios que desee mostrar- y botones para seleccionar Plantillas.<br /> PALETA DE SIMBOLOS: <br />97790142875<br />-423545-294005<br />Realice los tres ejemplos que se encuentra en el Recursos propuesto en la sección de recursos siguiendo los pasos propuestos.<br />Realice los talleres propuestos.<br />Finalmente realice los ejercicios propuestos en el recurso<br /> Escriba cuál es la utilidad de esta herramienta en su vida estudiantil y profesional.<br />Esta herramienta es muy importante en nuestra vida ya que muchas veces nos vemos en la necesidad de realizar diferentes operaciones y ejercicios y gracias a ella los podemos hacer posible. <br />-389255-294005Actividad n° 1<br />Realizar las siguientes operaciones con apoyo del docente:<br />     porque  <br />Inventar y solucionar 8 expresiones similares a las anteriores ¡ojala mas complejas!. <br />Ejercicios prácticos<br />809625-506730<br />TALLER N° 2<br />Ecuaciones cuadráticas<br />Las respuestas son: <br />Las respuestas son: <br />        <br />Ejemplos de su clase de matemáticas.<br />La respuesta es: <br />La respuesta es: <br />La respuesta es: <br />767715271780taller evaluativo1234440-414020Taller n° 3<br />Formula que permite calcular la velocidad <br />Formula que permite calcular la fuerza de gravedad.<br />Fórmula para escribir expresiones fraccionarias.     <br />Fórmula para escribir expresiones fraccionarias.<br />5.Fórmula para la notación signa con exponentes.<br />Fórmula para la notación signa con raíz.<br />Fórmula para la notación signa con fracciones.<br />Fórmula para calcular limites.<br />Fórmula para el cálculo de integrantes.<br />348615-823595blog<br />Que es un blog para usted?<br />2. Que puede  realizar en un blog?<br />3. Cuantos programas  podemos utilizar para realizar un blog.<br />4. Para realizar un blog  utilizando Blogger que se necesita?<br />5. Cite  algunos usos educativos de los Blog. Qué utilidad le daría Usted?<br />6. Que aporte le dieron las autoevaluaciones del primer recurso.<br />7. Crear  un blog personal con las herramientas propuestas y las que usted pueda investigar o conoce.<br />8. Las herramientas de slide, slideshare, escribid, pituretrail las veremos  en la medida que se necesiten pero ustedes debe registrarse en ellas. El profesor indicara su proceso, las direcciones se encuentran en la sesión de recursos.<br />9 Sin embargo usted debe completar su cuaderno digital  con la utilidad de cada uno de estos programas o herramientas de la web 2.0 y direcciones que le han servido para  su consulta.<br />Que es un blog para usted?<br />Es un sitio web periódicamente actualizado que recopila cronológicamente textos o artículos de uno o varios autores, apareciendo primero el más reciente. Habitualmente, en cada artículo, los lectores pueden escribir sus comentarios y el autor darles respuesta, de forma que es posible establecer un diálogo.<br />2. Que puede  realizar en un blog?<br />Los lectores pueden escribir sus comentarios y el autor darles respuesta, de forma que es posible establecer un diálogo. El uso o temática de cada blog es particular, los hay de tipo personal, periodístico, empresarial o corporativo, tecnológico, educativo.<br />Veamos algunas de las bondades de Blogger:<br />· Publique sus opiniones.<br />· Obtener comentarios<br />Es una forma de conocer otros puntos de vista y entrar en contacto con personas que comparten<br />sus ideas, podemos desarrollarlo bajo las opciones:<br />Comentarios de Blogger.- permite a los usuarios de todo el mundo que visitan su sitio expresar su opinión sobre la información que usted comparte en su Blog.<br />Los grupos de Blogs.- pueden ser excelentes herramientas de comunicación para equipos reducidos,  familias u otros colectivos.<br />· Enviar fotografías<br />En ocasiones, simplemente desea compartir una fotografía. Hay un botón para subir fotografías<br />en la interfaz de Blogger.<br />3. Cuantos programas  podemos utilizar para realizar un blog.<br />4402455137795<br />BigBlogTool: muy potente, con él podremos añadir herramientas multimedia a nuestros Blogs (mp3, vídeos,...)<br />3996690224155Movable Type: Es una herramienta que podemos descargar de la página web,  lo instalamos en nuestro ordenador, configuramos, enviamos a un servidor utilizando una cuenta FTP <br />405701587630Blogger: Es fácil de crear y de gestionar. No necesitamos ningún tipo de conocimiento para poder utilizarlo.<br /> <br />401574055245Weblogger: podremos conseguir una apariencia profesional utilizando gran cantidad de temas, pulg-ins pagando una cuota mensual.<br />4542155162560<br />LiveJournal: Es un servicio de pago, aunque tiene una pequeña modalidad gratuita, siempre y cuando conozcamos a algún usuario registrado. <br />487870597790<br />WordPress: WordPress es un sistema de gestión de contenido enfocado a la creación de blogs (sitios web periódicamente actualizados).<br />4598035-8255Xanga: Xanga es un sitio de redes sociales donde los usuarios pueden crear sus propios perfiles y blogs. Igual que en otros sitios de redes sociales los usuarios pueden cargar fotos y videos. También pueden conocer otras personas en esta comunidad en línea. <br />4015740194945<br />Edublogs.  Un edublog es un blog utilizado con fines educativos. Estamos ante una herramienta potente y motivadora que puede dar mucho juego en el aula.<br />4. Para realizar un blog  utilizando Blogger que se necesita?<br />Primer paso: crear una cuenta<br />Cuando entramos en Blogger, nos invitan a crearnos un blog con el lema: \"
Crea un blog. Es gratuito\"
, pero antes convendría realizar una visita rápida, como nos indican con un enlace, para conocer de qué va esto. A continuación, hacemos clic en el botón de color naranja Comenzar para empezar esta aventura.La primera fase sólo será necesaria si no tenemos cuenta en Google. Si la tenemos, hay que hacer clic en el enlace \"
primero accede a ella\"
, desde donde accederemos al segundo paso. No hace falta tener una cuenta en Google, pero conviene tenerla si queremos acceder a todas sus herramientas, que son las más utilizadas en la Web, y para ello hay que rellenar un formulario.En todo caso, podemos crear un blog sin cuenta en Google, para lo cual tendremos que completar el primer formulario que nos aparece con el siguiente encabezamiento: En este formulario hay que incluir lo siguiente: <br />405765-240030<br />Una cuenta de correo electrónico existente, que tendremos que repetir en el siguiente campo de texto. Aquí se escribe la dirección completa de la cuenta. <br />Una contraseña escrita dos veces para evitar errores. Tiene que incluir ocho caracteres como mínimo, y puede verificarse su fortaleza, es decir, su calidad como contraseña, haciendo clic en el enlace correspondiente. <br />El nombre que aparecerá como autor del blog y de los artículos. Se puede optar por un apodo o nickname, o por nuestro nombre real. <br />Una verificación, que consiste en escribir las letras que aparecen en una pequeña imagen, lo cual se hace para evitar que se creen cuentas automáticamente. <br />Activar la casilla de aceptación de las condiciones. Conviene leer estas \"
Condiciones del servicio de Blogger\"
, que muchos encuentran abusivas. <br />Hacemos clic en la flecha Continuar, y continuamos con el siguiente paso.<br />Segundo paso: asignar un nombre al blog<br />272415268605<br />En esta fase simplemente escribiremos un nombre para nuestro blog, que podremos cambiar más tarde, y le asignaremos una dirección de internet, que no conviene cambiar más adelante so pena de perder lectores.<br />Tercer paso: elegir una plantilla<br />Por último, tendremos que elegir una plantilla, que es el diseño general del blog. Elegiremos la que más nos guste, pero más adelante podremos cambiarla siempre que queramos. La elección de la plantilla es importante, y por eso he escrito un artículo en este blog, \"
Diseño y elección de la plantilla en Blogger\"
, donde escribo unos consejos para elegir la plantilla adecuada.<br />4. Cómo acceder al nuevo blog <br />Un problema muy común entre los principiantes es que no saben acceder a su nuevo blog. Se puede acceder de dos formas: <br />La forma más sencilla es ir a la página principal de Blogger, y allí nos presentan un pequeño formulario con un campo de texto y otro de contraseña. <br />Escribiendo la dirección completa del nuevo blog como, por ejemplo: http://miblogenblogger.blogspot.com. En este caso, aparecerán unos enlaces en la parte superior del blog. <br />5.Cite  algunos usos educativos de los Blog. Qué utilidad le daría Usted?<br />Los usos educativos se utilizan para Para estimular a los alumnos en: escribir, intercambiar  ideas, trabajar en equipo, diseñar, visualizar de manera instantánea de lo que producen, etc. La creación de Blogs por parte de estudiantes ofrece a los docentes la posibilidad de exigirles realizar procesos de síntesis, ya que al escribir en Internet deben ser puntuales y precisos, en los temas que tratan.<br />Los blog nos parecen un recurso muy interesante ya que combina la didáctica con el aprendizaje porque al estar  en una clase de red social nos entretenemos pero por medio de talleres obtenemos conocimientos, esto es lo que estamos viviendo los estudiantes.<br />Que aporte le dieron las autoevaluaciones del primer recurso.<br />Gracias a las tres autoevaluaciones pudimos conocer la importancia y ayudas que nos brinda blogger antes de empezar a trabajar este taller era muy vanos los conocimientos que teníamos acerca de los blogs y pensábamos que era un red social mas, pero al transcurrir este taller nos íbamos   interesándonos mas sobre los blogs y al crear nuestro propio blog pudimos poner en practica muchos recursos teóricos que nos brindo nuestra profesora.<br />
Centenariio......... eduu (reparado)
Centenariio......... eduu (reparado)
Centenariio......... eduu (reparado)
Centenariio......... eduu (reparado)
Centenariio......... eduu (reparado)
Centenariio......... eduu (reparado)
Centenariio......... eduu (reparado)
Centenariio......... eduu (reparado)
Centenariio......... eduu (reparado)
Centenariio......... eduu (reparado)
Centenariio......... eduu (reparado)
Centenariio......... eduu (reparado)
Centenariio......... eduu (reparado)
Centenariio......... eduu (reparado)
Centenariio......... eduu (reparado)
Centenariio......... eduu (reparado)
Centenariio......... eduu (reparado)
Centenariio......... eduu (reparado)
Centenariio......... eduu (reparado)
Centenariio......... eduu (reparado)
Centenariio......... eduu (reparado)
Centenariio......... eduu (reparado)
Centenariio......... eduu (reparado)
Centenariio......... eduu (reparado)
Centenariio......... eduu (reparado)
Centenariio......... eduu (reparado)
Centenariio......... eduu (reparado)
Centenariio......... eduu (reparado)
Centenariio......... eduu (reparado)
Centenariio......... eduu (reparado)
Centenariio......... eduu (reparado)
Centenariio......... eduu (reparado)
Centenariio......... eduu (reparado)
Centenariio......... eduu (reparado)
Centenariio......... eduu (reparado)
Centenariio......... eduu (reparado)

Centenariio......... eduu (reparado)

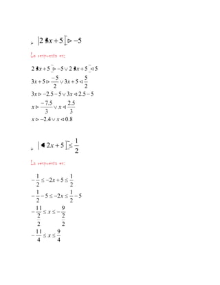
  • 1.
    -565785137160centenario<br />Escuela NormalSuperior de Pasto<br />Área: tecnología e informáticaEdwin guerrero Jessica Narváez11-2z <br />450850-262255Internet sano <br />¿Qué es internet?<br />¿Cuáles son los diferentes servicios que ofrece?<br />¿De los servicios que ofrece internet cuales usa de manera frecuente y porque?<br />¿Cuáles son los beneficios que brinda internet y como lo han beneficiado a usted?<br />¿Cuáles son los riesgos del uso de internet. Como evita algunos de estos riesgos?<br />¿Cuales son algunos consejos para usar internet de manera segura. Qué importancia tienen estos consejos para su vida?<br />¿Cuáles son sus 10 comportamientos digitales acompáñelos de un comentario personal?<br />¿Hacemos un pacto que nos sirva para usar internet de manera segura y responsable?<br />¿Cómo te evalúas al utilizar el juego sobre internet seguro?<br />Qué es internet?<br /> El internet es un elemento muy importante en la vida de las personas sobre todo en la vida de nosotros los jóvenes ya que nos ayuda a encontrar información sobre diferentes temas pero a su vez se convierte en un arma mortal ya que muchas veces queremos encontrar una cierta información y nos topamos con contenidos explícitos para evitar esto es que tenemos que tener muy en cuenta los consejos y cuidados respectivos sobre el uso de este. <br />7886704650105<br />¿Cuáles son los diferentes servicios que ofrece?<br />Páginas web<br />Correo electrónico<br />Chat<br />Mensajería instantánea, videoconferencia<br />Cuadernos personales (blogs)<br />Juegos en línea<br />Formación a distancia<br />Compras “online”<br />208127877144<br />¿De los servicios que ofrece internet cuales usa de manera frecuente y porque?<br />Messenger <br />Blogs<br />Juegos online<br />Chat<br />Correo electrónico <br />Paginas web (rincón del vago , wikipedia)<br />Utilizamos los anteriores recursos ya que con ellos logramos interactuar de una manera más didáctica, fácil y segura con el internet.<br />1377950196215<br />¿Cuáles son los beneficios que brinda internet y como lo han beneficiado a usted?<br />-Beneficios:<br /> Encontrar recursos educativos para su trabajo escolar (documentos, sonidos, fotografías, dibujos). Es una Enciclopedia inagotable.<br />Aumentar sus capacidades de expresión oral, comprensión lectora y escritura, organización y evaluación de la información, etc.<br />Comunicarse en tiempo real con familia, amigos, etc.<br />Aprender a utilizar mejor la tecnología s digitales y mejorar las habilidades informativas, imprescindibles para la época en la que vivimos a nivel personal, educativo y para el mundo profesional.<br />Mejorar su auto aprendizaje<br />397446586995<br />Desarrollar el sentido de la responsabilidad.<br />Mejorar la autoestima.<br />Fomentar el pensamiento crítico<br />Los anteriores beneficios nos han servido al utilizar internet ya que nos ofrece muchos servicios y podemos mejorar nuestra interacción con la red.<br />¿Cuáles son los riesgos del uso de internet. Como evita algunos de estos riesgos?<br />Riesgos:<br />Información poco fiable, sobre información, inadecuada para niños, peligrosa, inmoral…<br />Correo basura, perdida de intimidad,<br /> Información ofensiva, suplantación, malas<br /> Compañías…<br />Avalancha de publicidad, compras<br /> Compulsivas, gasto telefónico, estafas.<br />4495165195580<br />Virus<br />Adicciones, ludopatías…<br />Aislamiento<br />•<br /> Para evitar caer o toparnos con contenidos poco fiables o encontrar virus que nos puedan perjudicar toda la información recaudada evitamos entrar en páginas desconocidas, también utilizamos un filtro de contenidos explícitos en nuestra red y así no nos topamos con informaciones u paginas poco fiables.<br />¿Cuales son algunos consejos para usar internet de manera segura. Qué importancia tienen estos consejos para su vida?<br />No des información personal sobre ti, tu colegio, tu casa…<br />No envíes fotografías sin el permiso de tus padres.<br />Respondas a mensajes desagradables<br />No conciertes citas a ciegas con desconocidos sin la presencia y/o el conocimiento de tus padres.<br />No abras archivos adjuntos sin saber de dónde provienen<br />El internet es un elemento muy importante en la vida de las personas sobre todo en la vida de nosotros los jóvenes ya que nos ayuda a encontrar información sobre diferentes temas pero a su vez se convierte en un arma mortal ya que muchas veces queremos encontrar una cierta información y nos topamos con contenidos explícitos para evitar esto es que tenemos que tener muy en cuenta los consejos y cuidados respectivos sobre el uso de este. <br />Esto es muy importante para nosotros ya que si podemos evitar ese contenido lograremos sacarle mucho provecho al internet.<br />161290046990<br />¿Cuáles son sus 10 comportamientos digitales acompáñelos de un comentario personal?<br />Respeto<br />Identidad<br />Libertad<br />Integridad<br />Intimidad<br />Autonomía<br />Calidad de vida<br />Cuidado y acompañamiento<br />Respeto por la ley<br />Derechos del autor<br />El internet es un elemento muy importante pero peligroso ya que nos podemos topar con contenidos inadecuados pero si respetamos los pactos realizados y los comportamientos ya mencionados podemos obtener un gran conocimiento.<br />1745615114300<br />¿Hacemos un pacto que nos sirva para usar internet de manera segura y responsable?<br />PACTO<br />Me comprometo a...<br />Cuando navego y cuando me relaciono con otras personas en Internet, pongo realmente todo mi empreño para no causar daño a nadie y para mantenerme alejado de amenazas y problemas.<br />Por lo tanto, nosotros, Edwin Guerrero y Jessica Narváez nos comprometemos a:<br />1. No dar nunca, a personas que no conozca de manera presencial, mi información personal (dirección particular, número de teléfono, etc), mí Institución Educativa (nombre, ubicación, etc) o mí familia (nombres de padres y hermanos, etc).<br />2. Respetar la información que tengo de mis amigos y no publicarla en Internet sin su autorización.<br />3. No revelar nunca a nadie, que no sean mis padres o acudientes (ni siquiera a mis mejores amigos), mis claves de acceso al correo electrónico y a las redes sociales. Esto evitará que me suplanten.<br />4. Utilizar contraseñas fuertes, difíciles de adivinar, con longitud de al menos 8 caracteres, que incluyan la combinación de números y letras.<br />5. Cerrar completamente tanto mis cuentas de correo electrónico como de redes sociales cuando termino de utilizar el computador.<br />6. No enviar nunca fotografías mías o de mis familiares, sin el permiso de mis padres.<br />7. Informar a padres y profesores cuando encuentre información que me haga sentir incómodo(a) y/o amenazado(a).<br />8. No realizar procedimientos en Internet que cuesten dinero, sin el permiso de mis padres.<br />9. Nunca contestar a mensajes que sean agresivos, obscenos, amenazantes o que me hagan sentir mal o amenazado.<br />10. No responder correos electrónicos de personas que yo no conozca personalmente.<br />11. Avisar a padres y docentes cuando alguien me ofrezca un regalo y me suministre una dirección a la que deba ir Para recibirlo.<br />12. No aceptar citas de desconocidos y avisar inmediatamente a padres y docentes. Siempre recuerdo que hay personas que no siempre son lo que dicen ser; por ejemplo, alguien me puede decir que es un niño de 12 años y en realidad ser un señor 45.<br />13. Desconfiar de aquellas personas recién conocidas que quieren verme por medio de la cámara Web del computador o que encienden su cámara sin que yo lo haya solicitado.<br />14. Cuidarme en los ambientes tecnológicos como lo haría cuando salgo a la calle; utilizando mi criterio para seleccionar los sitios que visito en la Red y las personas con las que interactúo.<br />15. No permitirles a mis amigos por Internet, cosas que no les permito a mis amigos del colegio o del barrio.<br />16. Permitir, en las redes sociales en las que participo (Facebook, Hi5, MySpace, etc), que únicamente mis amigos puedan ver y comentar lo que comparto, lo que publico en el muro y en lo que yo esté etiquetado.<br />17. Permitir, en las redes sociales en las que participo (Facebook, Hi5, etc), que solamente mis amigos puedan ver mi información de contacto y mis fotografías.<br />18. Reflexionar, antes de subir una fotografía a un sitio social, si la foto se presta para que otra persona la descargue y me haga daño a mí o a otras personas.<br />19. Aceptar solicitudes de amistad en redes sociales que provengan únicamente de personas conocidas.<br />20. No utilizar, en las redes sociales en las que participo, identidades falsas para suplantar personas.<br />21. Nunca descargar, instalar o copiar nada de Internet sin el permiso previo de padres o docentes.<br />Firma estudiante: Edwin Guerrero Daniel<br /> Jessica Fernanda Narváez<br />Firma acudiente: ___________________________<br />3351530291465<br />Fecha: 15 de Febrero de 2011<br />¿Cómo te evalúas al utilizar el juego sobre internet seguro?<br />Nos parece que el juego internet seguro a sido una experiencia muy gratificante ya que nos ha ayudado a obtener un cierto grado de conocimiento y responsabilidad al utilizar este medio tan valioso.<br />73533084455<br />-208280-49530Certificado<br />-688975455295<br /> Edwin Guerrero y Jessica Narváez<br />344170-198120Guía n° 2 Editor de ecuaciones 3.0<br />¿Qué es un Editor de Ecuaciones?<br />El editor de ecuaciones es una herramienta del menú insertar. Que nos sirve para hacer operaciones matemáticas en el sistema operativo de Word.<br />¿Cuáles son las formas de accede al Microsoft Editor de Ecuaciones 3.0? <br />Para abrir el editor de ecuaciones debemos acceder al menú insertar. Objeto. Se abrirá un cuadro de diálogo como el que vemos en la imagen donde podemos seleccionar el tipo de objeto que deseamos insertar con la correspondiente herramienta. Si desea puede activar la casilla de verificación Mostrar como ícono, Para que la formula quede representada con una imagen que permita acceder al documento que está desarrollando, en caso contrario, aparecerá como una imagen. Hacer clic en Aceptar.<br />-1209675-762000<br />¿Qué forma escoge para trabajar y por qué?<br /> 1. Para abrir el editor de ecuaciones debemos acceder al menú Insertar <br />Objeto. Se abrirá un cuadro de diálogo como el que vemos en la imagen donde podemos seleccionar el tipo de objeto que deseamos insertar con la correspondiente herramienta.<br />2. Si desea puede activar la casilla de verificación Mostrar como objeto,<br />Para que la formule quede representada con una imagen que permita acceder al documento.<br />Hacer clic en Aceptar.<br />Porque en esta manera nos sale toda la barra de formulas.<br />-1061085-198120<br />¿Qué pasos se deben llevar a cabo para insertar una ecuación?<br />1. Haga clic donde desee insertar la ecuación.<br />2. Para crear la ecuación, seleccione los símbolos de la barra de herramientas Ecuación y escriba las variables y los números necesarios. En la fila superior de la barra de herramientas Ecuación, puede elegir entre más de 150 símbolos matemáticos.<br />3. En la fila inferior, puede elegir entre varias plantillas o modelos que contienen símbolos, como por ejemplo, fracciones, integrales y sumatorias.<br />22860124460<br />22860246380<br />¿Cómo está dividida la barra de herramientas el Editor de Ecuaciones 3.0. Explique cada uno de estos elementos?<br />La barra de herramienta de nombre “Ecuación” está dividida en 2 paletas: la superior llamada “Paleta de Símbolos” y la inferior “Paleta de Plantillas”. Ambas paletas disponen de botones para seleccionar Símbolos –matemáticos, griegos, lógicos y otros caracteres o espacios que desee mostrar- y botones para seleccionar Plantillas.<br /> PALETA DE SIMBOLOS: <br />97790142875<br />-423545-294005<br />Realice los tres ejemplos que se encuentra en el Recursos propuesto en la sección de recursos siguiendo los pasos propuestos.<br />Realice los talleres propuestos.<br />Finalmente realice los ejercicios propuestos en el recurso<br /> Escriba cuál es la utilidad de esta herramienta en su vida estudiantil y profesional.<br />Esta herramienta es muy importante en nuestra vida ya que muchas veces nos vemos en la necesidad de realizar diferentes operaciones y ejercicios y gracias a ella los podemos hacer posible. <br />-389255-294005Actividad n° 1<br />Realizar las siguientes operaciones con apoyo del docente:<br /> porque <br />Inventar y solucionar 8 expresiones similares a las anteriores ¡ojala mas complejas!. <br />Ejercicios prácticos<br />809625-506730<br />TALLER N° 2<br />Ecuaciones cuadráticas<br />Las respuestas son: <br />Las respuestas son: <br /> <br />Ejemplos de su clase de matemáticas.<br />La respuesta es: <br />La respuesta es: <br />La respuesta es: <br />767715271780taller evaluativo1234440-414020Taller n° 3<br />Formula que permite calcular la velocidad <br />Formula que permite calcular la fuerza de gravedad.<br />Fórmula para escribir expresiones fraccionarias. <br />Fórmula para escribir expresiones fraccionarias.<br />5.Fórmula para la notación signa con exponentes.<br />Fórmula para la notación signa con raíz.<br />Fórmula para la notación signa con fracciones.<br />Fórmula para calcular limites.<br />Fórmula para el cálculo de integrantes.<br />348615-823595blog<br />Que es un blog para usted?<br />2. Que puede realizar en un blog?<br />3. Cuantos programas podemos utilizar para realizar un blog.<br />4. Para realizar un blog utilizando Blogger que se necesita?<br />5. Cite algunos usos educativos de los Blog. Qué utilidad le daría Usted?<br />6. Que aporte le dieron las autoevaluaciones del primer recurso.<br />7. Crear un blog personal con las herramientas propuestas y las que usted pueda investigar o conoce.<br />8. Las herramientas de slide, slideshare, escribid, pituretrail las veremos en la medida que se necesiten pero ustedes debe registrarse en ellas. El profesor indicara su proceso, las direcciones se encuentran en la sesión de recursos.<br />9 Sin embargo usted debe completar su cuaderno digital con la utilidad de cada uno de estos programas o herramientas de la web 2.0 y direcciones que le han servido para su consulta.<br />Que es un blog para usted?<br />Es un sitio web periódicamente actualizado que recopila cronológicamente textos o artículos de uno o varios autores, apareciendo primero el más reciente. Habitualmente, en cada artículo, los lectores pueden escribir sus comentarios y el autor darles respuesta, de forma que es posible establecer un diálogo.<br />2. Que puede realizar en un blog?<br />Los lectores pueden escribir sus comentarios y el autor darles respuesta, de forma que es posible establecer un diálogo. El uso o temática de cada blog es particular, los hay de tipo personal, periodístico, empresarial o corporativo, tecnológico, educativo.<br />Veamos algunas de las bondades de Blogger:<br />· Publique sus opiniones.<br />· Obtener comentarios<br />Es una forma de conocer otros puntos de vista y entrar en contacto con personas que comparten<br />sus ideas, podemos desarrollarlo bajo las opciones:<br />Comentarios de Blogger.- permite a los usuarios de todo el mundo que visitan su sitio expresar su opinión sobre la información que usted comparte en su Blog.<br />Los grupos de Blogs.- pueden ser excelentes herramientas de comunicación para equipos reducidos, familias u otros colectivos.<br />· Enviar fotografías<br />En ocasiones, simplemente desea compartir una fotografía. Hay un botón para subir fotografías<br />en la interfaz de Blogger.<br />3. Cuantos programas podemos utilizar para realizar un blog.<br />4402455137795<br />BigBlogTool: muy potente, con él podremos añadir herramientas multimedia a nuestros Blogs (mp3, vídeos,...)<br />3996690224155Movable Type: Es una herramienta que podemos descargar de la página web, lo instalamos en nuestro ordenador, configuramos, enviamos a un servidor utilizando una cuenta FTP <br />405701587630Blogger: Es fácil de crear y de gestionar. No necesitamos ningún tipo de conocimiento para poder utilizarlo.<br /> <br />401574055245Weblogger: podremos conseguir una apariencia profesional utilizando gran cantidad de temas, pulg-ins pagando una cuota mensual.<br />4542155162560<br />LiveJournal: Es un servicio de pago, aunque tiene una pequeña modalidad gratuita, siempre y cuando conozcamos a algún usuario registrado. <br />487870597790<br />WordPress: WordPress es un sistema de gestión de contenido enfocado a la creación de blogs (sitios web periódicamente actualizados).<br />4598035-8255Xanga: Xanga es un sitio de redes sociales donde los usuarios pueden crear sus propios perfiles y blogs. Igual que en otros sitios de redes sociales los usuarios pueden cargar fotos y videos. También pueden conocer otras personas en esta comunidad en línea. <br />4015740194945<br />Edublogs. Un edublog es un blog utilizado con fines educativos. Estamos ante una herramienta potente y motivadora que puede dar mucho juego en el aula.<br />4. Para realizar un blog utilizando Blogger que se necesita?<br />Primer paso: crear una cuenta<br />Cuando entramos en Blogger, nos invitan a crearnos un blog con el lema: \" Crea un blog. Es gratuito\" , pero antes convendría realizar una visita rápida, como nos indican con un enlace, para conocer de qué va esto. A continuación, hacemos clic en el botón de color naranja Comenzar para empezar esta aventura.La primera fase sólo será necesaria si no tenemos cuenta en Google. Si la tenemos, hay que hacer clic en el enlace \" primero accede a ella\" , desde donde accederemos al segundo paso. No hace falta tener una cuenta en Google, pero conviene tenerla si queremos acceder a todas sus herramientas, que son las más utilizadas en la Web, y para ello hay que rellenar un formulario.En todo caso, podemos crear un blog sin cuenta en Google, para lo cual tendremos que completar el primer formulario que nos aparece con el siguiente encabezamiento: En este formulario hay que incluir lo siguiente: <br />405765-240030<br />Una cuenta de correo electrónico existente, que tendremos que repetir en el siguiente campo de texto. Aquí se escribe la dirección completa de la cuenta. <br />Una contraseña escrita dos veces para evitar errores. Tiene que incluir ocho caracteres como mínimo, y puede verificarse su fortaleza, es decir, su calidad como contraseña, haciendo clic en el enlace correspondiente. <br />El nombre que aparecerá como autor del blog y de los artículos. Se puede optar por un apodo o nickname, o por nuestro nombre real. <br />Una verificación, que consiste en escribir las letras que aparecen en una pequeña imagen, lo cual se hace para evitar que se creen cuentas automáticamente. <br />Activar la casilla de aceptación de las condiciones. Conviene leer estas \" Condiciones del servicio de Blogger\" , que muchos encuentran abusivas. <br />Hacemos clic en la flecha Continuar, y continuamos con el siguiente paso.<br />Segundo paso: asignar un nombre al blog<br />272415268605<br />En esta fase simplemente escribiremos un nombre para nuestro blog, que podremos cambiar más tarde, y le asignaremos una dirección de internet, que no conviene cambiar más adelante so pena de perder lectores.<br />Tercer paso: elegir una plantilla<br />Por último, tendremos que elegir una plantilla, que es el diseño general del blog. Elegiremos la que más nos guste, pero más adelante podremos cambiarla siempre que queramos. La elección de la plantilla es importante, y por eso he escrito un artículo en este blog, \" Diseño y elección de la plantilla en Blogger\" , donde escribo unos consejos para elegir la plantilla adecuada.<br />4. Cómo acceder al nuevo blog <br />Un problema muy común entre los principiantes es que no saben acceder a su nuevo blog. Se puede acceder de dos formas: <br />La forma más sencilla es ir a la página principal de Blogger, y allí nos presentan un pequeño formulario con un campo de texto y otro de contraseña. <br />Escribiendo la dirección completa del nuevo blog como, por ejemplo: http://miblogenblogger.blogspot.com. En este caso, aparecerán unos enlaces en la parte superior del blog. <br />5.Cite algunos usos educativos de los Blog. Qué utilidad le daría Usted?<br />Los usos educativos se utilizan para Para estimular a los alumnos en: escribir, intercambiar  ideas, trabajar en equipo, diseñar, visualizar de manera instantánea de lo que producen, etc. La creación de Blogs por parte de estudiantes ofrece a los docentes la posibilidad de exigirles realizar procesos de síntesis, ya que al escribir en Internet deben ser puntuales y precisos, en los temas que tratan.<br />Los blog nos parecen un recurso muy interesante ya que combina la didáctica con el aprendizaje porque al estar en una clase de red social nos entretenemos pero por medio de talleres obtenemos conocimientos, esto es lo que estamos viviendo los estudiantes.<br />Que aporte le dieron las autoevaluaciones del primer recurso.<br />Gracias a las tres autoevaluaciones pudimos conocer la importancia y ayudas que nos brinda blogger antes de empezar a trabajar este taller era muy vanos los conocimientos que teníamos acerca de los blogs y pensábamos que era un red social mas, pero al transcurrir este taller nos íbamos interesándonos mas sobre los blogs y al crear nuestro propio blog pudimos poner en practica muchos recursos teóricos que nos brindo nuestra profesora.<br />