Incrustar presentación
Descargar para leer sin conexión













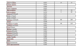
El documento presenta tablas de gasto energético diario que permiten calcular las calorías quemadas en diferentes actividades, con el fin de promover una alimentación y estilo de vida saludables. Incluye enlaces a archivos Excel para facilitar el cálculo del gasto calórico diario de cada persona.











