Melena Guerrero
Leid^j /<Lqja>s
&x-then*ne U-taro%o
Cateú lo £) »f crvcn> C ^ •
Con^ídetoKlc lo füfXXJn f oieftnicb en el tnie>uab. c*bi-
Cilc /v| aünpjn4oo en /j Se íicnc epe bobmq,
daf -en eó a Se dcfnc como ojepe--:
Siede imije emole de ccnkxno fo denuedo no .
tolo definida."Eo-iaülj^nna exp*coíon Oo»nade eex^ la
mierda! tnoíoniono^ del rnoinm»er?k> ConWjo acarrado
t'n |acrerroko-
AohCjee pcckion CdlcütaOer) tedeo IcO dcuocdaj -enqpleircb
tcVOcfrucxn dfc cknoodb G s m O ü n |íír>i4e eXfüíenrcgíctT
bien coiüb leader Concctcbr COTO 4ee>remoT penó elcakoto
de dctivacte loTCcaler peimilen CaIcolcir la dentada de
mocheo funcione? de ocoeido O Oü peviev?, core pjede
'Clpícoiaoe en 4odb lododr cccoq in{WÍeó<nnal-
Tewibien ecede deftmroe dlJeinalioonneri-ie leí drnuedo
dcona fónüon en coaiejüiev jxxAo deoocWmo de ra
•f^Co).- JL> CX) r_£CQ)_
la cjüd) représenlo on acercarmcnk) de íapeod
o W lev péndrenle úcc&n{e a (a peodrenfe iarQcrbs
y a Oca poi ío o)aecha o pov lo. ^oierdo Ocgon el
&Qro 0V« Q aopeck> de ole (írnrhc edex vcíacioncdo
frKo OCA Veloádad I nokwkmea d e í moovrmeriJo C K
fcxn>e ocelo<ado qoe canla pcrdienk* de lev reda-far-
Q e n V o la coroa.
()o oboíanle oo opatcn-W d>fcrencogí calcólo delq
d o ioodo po* defmtaOfl Coa cocido terct de (OT 11frute
^pe^ÜcW 0 c crrhacwco proporciona Siempre «i
irmonno tcoüllüdo
íórcvcx» Gbnlinoa
fí)Q^ M pOíOLün -^onVopázcate*' Q cjoíeie- dcof-que
a • f QC) - pCa) v Í ec¿e ührro Ifmi4e extx.
]-e Significa er> corbecoenao per oo leoterna de Krnvte
€)OtoO- 'Sea lafoaicr)coodialiocí fCnO^lC3--
Ucf^mda para-lodo* • pe»lcrccicnie o lar í£- «se.
4ra4a dccüJcoicw (o dcnoccb deeoio fc)nc<en poro
~todopunió ) ( Q R - pecólocpc coccnWoa en -kdb
W ponloD d e (Xicbmiwo
h-*0 h.
Gcvlcdar Id dbietícb de ta funoan PCK) ^ -BX^en -e¿
h O • H
h C h
l4ollar ta dcnüadd de la fcnuon f C X > - g y - zja,
f 1 C-t) - lino JlClíhh^fM -
lo "*0 ~¡o
w ^ o • — *
Galcobría delicado f £ x * _ ^ . f n ^
n-po p^~- — — - —
fl fe) » M ("-5) -C * -2£
EWetmtnor laotawocb de f Cx) ~ —í- en
r í * ) * !»m j X f h " y ~ Jim. T x Z 5 T h O %
GalcüUeloaioí oe lo denuedo f n o ^ en X --2.
o " ° ' h
Octaubr ta dcfíudo de fcx.) - X 3 f»
en x^7
daicolar(a dcnuadU en Ponan de •"Y-'T
h~*0 'b
K m ^ J j j ^ h ) V-7. -¿ *
V-» 0 v-)
YTQ
Jim
a-f> O
h
Jo3 _
{"3 V - ó h H 2 J 3,
D6RIW6 DE IAS ft*PONS
T??IGONOHéTRíCAS.
&3 impoííank rccoido* Cjueaxincb hdbÍQmoT de la fcnacn p
definida paid fodoi fes ndrnerar reata X po» •
P (X) - SenX
§e errhencb que SenX Sgnifico el Oeno de! cJnqoio CUJO
msdcb en radianeú £3 ~)C 5e-CÜ&Tpfc ona (jcnvjcncjoíí 8<mu
W pata la* O W J T fuxícncy -iíac*ctfPcktcffl ' COT, -W*,
GóC , 5CC M refuerce c^e fabr IcJCT foraene? íncjyü-
meVticaí 6úrr Cn Cada rámeo en Oüs eburnos
pedir de
lo olefimaon de deí'uada leñemos -
K-rO h.
h-»0 h.
h -*>o h
h-*o. Son •< h * COS "*/—
0
-
» r J U 3cny. ±wl V.Lm GoSIC ' J L ¿ a b -
lano ^ 0 h h->0 h-rO -h.
Ooide epWCba)«o lirniW Oo^ fcalar de evaluar. Rjeok)
^üeCDiDiderünW X Gamo CaWarrie ( W d o Cdlcutamo> o*
iffwte Ciando h-*0) -íoaemoa
£| Lmrreob Coenh^/h noeoían obuto* Con ¡oaoe en b
Cadencia nmneuca M 3'í0'fi0D ene! ejemplo mfcnmercjce
j2) (jLirw c^ene =1
ñlxraUOQrOiiOi el agüvne^O geomelt¿co pQ*a probar (a.
CcoaClon 2. ^Oponga primevo cjtje 0 '5e encücn-f-ra -cafre
O H ^ &dor c CircoV6 Coa ce*V¡c en O.onapto.
Cendal en 6 ÍY a ^ ° "Y- ^ ^ í,0tIP pctpcndcütar e*
OA joov la cLrfiAíacn en r a d o n | a ^ ^ a C A B - (5
/Yc> m o m o 16CI - I 06» -Sen 6 - 6 ( V boCene/
ÍBO'I ^ IPsfil ^ OvC
pO. -bTonlo t > » 6 ¿ 6 de modo c¡c^ ócug- ^
Con JDOOC Cn Iq T Q Ü I C I 2¿ cjoe lo Oucon^erendCi ote O?
Qtrcolo Qj ^nor q^q (a lon^JcxJ deon polgort) CiíCuno-
Groóte modo cjoe. dio (Wb ¿-fZ t HBB'i por lolonta.
© ave iAei í-feei
** IftD I ~lQ/ ton #
•(OCOQI tenemoa <¡
¿ cb)
Otirtodtqor- Coo6 CJ¿Ü£L ^
' e
"cfxT
c L feos"*) - ' Sena d Coec X") - SeCX ^ X
CJX cfx
jjL Ciant)- & C 2 X JjL CtohO>-CSC**
Calcóle J»r* <~tcá X
Efveole Cooo Oe GIMCIC -lorio al minador • cemoeí ázncm~
hador m l r e X
x
X
= 1
13obemcT que Jo"0 • 4*1 H Km- Ca>$ " 1 po« b lanío
& o eT
^Cs |a foncion Cdcndfá eoüno (-oncan par; d e OOe»-(ecjc<:
^C^limíle^ poi la detecta^ p o j a / tequio de d e b e ^ r
ÍCjoaícfj ele donde, {enanos
Cíe {wrrv ejvjc. hcmoJ piobacio [el ccocaan -2..
ftdcw ckdocK el 0dl¿i del Lor.je reafonkw £í) Como
'too-^-i .. Coren]
e Cooet-íJ
%-»0 S e n «2* _jjbiQ
6ca ¿-t
jan X '%^6 i r
^ ^e
X~*© ^X
Sen > X ^ / den-ViM
Si considera O * ervlonceó • © O • Coardo V-*P
m-ecliarvle *
Am j'Sen^X - i i m f 5en>V 
'O *XV0- V ^ X ^
UX#W- derüor - Com / dengodcw 7 deacGcb • t4mi
eó- X>a - Ofg / Uü  I D a icocb
enana - f>n c> mee. cd •/ r roe O00*1 / -Cldcdd -/lf9.
i
Aanneo sle<jooí4 •- Goléalo -enuna oanabte Ma £d-
a m ^ S V e ^ l r „ Gol coto cjvfccooiaíe ^ W a /a
2-*"edtcicn. O
h^o ' ~ —
h

Derivada por def. del lim

  • 1.
    Melena Guerrero Leid^j /<Lqja>s &x-then*neU-taro%o Cateú lo £) »f crvcn> C ^ •
  • 2.
    Con^ídetoKlc lo füfXXJnf oieftnicb en el tnie>uab. c*bi- Cilc /v| aünpjn4oo en /j Se íicnc epe bobmq, daf -en eó a Se dcfnc como ojepe--: Siede imije emole de ccnkxno fo denuedo no . tolo definida."Eo-iaülj^nna exp*coíon Oo»nade eex^ la mierda! tnoíoniono^ del rnoinm»er?k> ConWjo acarrado t'n |acrerroko- AohCjee pcckion CdlcütaOer) tedeo IcO dcuocdaj -enqpleircb tcVOcfrucxn dfc cknoodb G s m O ü n |íír>i4e eXfüíenrcgíctT bien coiüb leader Concctcbr COTO 4ee>remoT penó elcakoto de dctivacte loTCcaler peimilen CaIcolcir la dentada de mocheo funcione? de ocoeido O Oü peviev?, core pjede 'Clpícoiaoe en 4odb lododr cccoq in{WÍeó<nnal- Tewibien ecede deftmroe dlJeinalioonneri-ie leí drnuedo dcona fónüon en coaiejüiev jxxAo deoocWmo de ra •f^Co).- JL> CX) r_£CQ)_
  • 3.
    la cjüd) représenloon acercarmcnk) de íapeod o W lev péndrenle úcc&n{e a (a peodrenfe iarQcrbs y a Oca poi ío o)aecha o pov lo. ^oierdo Ocgon el &Qro 0V« Q aopeck> de ole (írnrhc edex vcíacioncdo frKo OCA Veloádad I nokwkmea d e í moovrmeriJo C K fcxn>e ocelo<ado qoe canla pcrdienk* de lev reda-far- Q e n V o la coroa. ()o oboíanle oo opatcn-W d>fcrencogí calcólo delq d o ioodo po* defmtaOfl Coa cocido terct de (OT 11frute ^pe^ÜcW 0 c crrhacwco proporciona Siempre «i irmonno tcoüllüdo íórcvcx» Gbnlinoa fí)Q^ M pOíOLün -^onVopázcate*' Q cjoíeie- dcof-que a • f QC) - pCa) v Í ec¿e ührro Ifmi4e extx. ]-e Significa er> corbecoenao per oo leoterna de Krnvte €)OtoO- 'Sea lafoaicr)coodialiocí fCnO^lC3-- Ucf^mda para-lodo* • pe»lcrccicnie o lar í£- «se. 4ra4a dccüJcoicw (o dcnoccb deeoio fc)nc<en poro
  • 4.
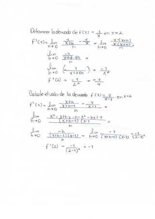
    ~todopunió ) (Q R - pecólocpc coccnWoa en -kdb W ponloD d e (Xicbmiwo h-*0 h. Gcvlcdar Id dbietícb de ta funoan PCK) ^ -BX^en -e¿ h O • H h C h
  • 5.
    l4ollar ta dcnüaddde la fcnuon f C X > - g y - zja, f 1 C-t) - lino JlClíhh^fM - lo "*0 ~¡o w ^ o • — * Galcobría delicado f £ x * _ ^ . f n ^ n-po p^~- — — - — fl fe) » M ("-5) -C * -2£
  • 6.
    EWetmtnor laotawocb def Cx) ~ —í- en r í * ) * !»m j X f h " y ~ Jim. T x Z 5 T h O % GalcüUeloaioí oe lo denuedo f n o ^ en X --2. o " ° ' h
  • 7.
    Octaubr ta dcfíudode fcx.) - X 3 f» en x^7 daicolar(a dcnuadU en Ponan de •"Y-'T h~*0 'b K m ^ J j j ^ h ) V-7. -¿ * V-» 0 v-)
  • 8.
    YTQ Jim a-f> O h Jo3 _ {"3V - ó h H 2 J 3,
  • 9.
    D6RIW6 DE IASft*PONS T??IGONOHéTRíCAS. &3 impoííank rccoido* Cjueaxincb hdbÍQmoT de la fcnacn p definida paid fodoi fes ndrnerar reata X po» • P (X) - SenX §e errhencb que SenX Sgnifico el Oeno de! cJnqoio CUJO msdcb en radianeú £3 ~)C 5e-CÜ&Tpfc ona (jcnvjcncjoíí 8<mu W pata la* O W J T fuxícncy -iíac*ctfPcktcffl ' COT, -W*, GóC , 5CC M refuerce c^e fabr IcJCT foraene? íncjyü- meVticaí 6úrr Cn Cada rámeo en Oüs eburnos pedir de lo olefimaon de deí'uada leñemos - K-rO h. h-»0 h. h -*>o h h-*o. Son •< h * COS "*/— 0 -
  • 10.
    » r JU 3cny. ±wl V.Lm GoSIC ' J L ¿ a b - lano ^ 0 h h->0 h-rO -h. Ooide epWCba)«o lirniW Oo^ fcalar de evaluar. Rjeok) ^üeCDiDiderünW X Gamo CaWarrie ( W d o Cdlcutamo> o* iffwte Ciando h-*0) -íoaemoa £| Lmrreob Coenh^/h noeoían obuto* Con ¡oaoe en b Cadencia nmneuca M 3'í0'fi0D ene! ejemplo mfcnmercjce j2) (jLirw c^ene =1 ñlxraUOQrOiiOi el agüvne^O geomelt¿co pQ*a probar (a. CcoaClon 2. ^Oponga primevo cjtje 0 '5e encücn-f-ra -cafre O H ^ &dor c CircoV6 Coa ce*V¡c en O.onapto. Cendal en 6 ÍY a ^ ° "Y- ^ ^ í,0tIP pctpcndcütar e* OA joov la cLrfiAíacn en r a d o n | a ^ ^ a C A B - (5 /Yc> m o m o 16CI - I 06» -Sen 6 - 6 ( V boCene/ ÍBO'I ^ IPsfil ^ OvC pO. -bTonlo t > » 6 ¿ 6 de modo c¡c^ ócug- ^
  • 11.
    Con JDOOC CnIq T Q Ü I C I 2¿ cjoe lo Oucon^erendCi ote O? Qtrcolo Qj ^nor q^q (a lon^JcxJ deon polgort) CiíCuno- Groóte modo cjoe. dio (Wb ¿-fZ t HBB'i por lolonta. © ave iAei í-feei ** IftD I ~lQ/ ton # •(OCOQI tenemoa <¡ ¿ cb) Otirtodtqor- Coo6 CJ¿Ü£L ^ ' e
  • 12.
    "cfxT c L feos"*)- ' Sena d Coec X") - SeCX ^ X CJX cfx jjL Ciant)- & C 2 X JjL CtohO>-CSC** Calcóle J»r* <~tcá X Efveole Cooo Oe GIMCIC -lorio al minador • cemoeí ázncm~ hador m l r e X x X = 1
  • 13.
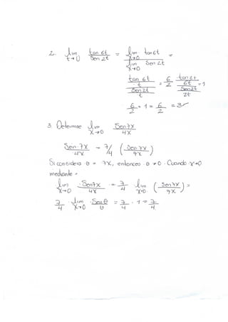
    13obemcT que Jo"0• 4*1 H Km- Ca>$ " 1 po« b lanío & o eT ^Cs |a foncion Cdcndfá eoüno (-oncan par; d e OOe»-(ecjc<: ^C^limíle^ poi la detecta^ p o j a / tequio de d e b e ^ r ÍCjoaícfj ele donde, {enanos Cíe {wrrv ejvjc. hcmoJ piobacio [el ccocaan -2.. ftdcw ckdocK el 0dl¿i del Lor.je reafonkw £í) Como 'too-^-i .. Coren] e Cooet-íJ
  • 14.
    %-»0 S en «2* _jjbiQ 6ca ¿-t jan X '%^6 i r ^ ^e X~*© ^X Sen > X ^ / den-ViM Si considera O * ervlonceó • © O • Coardo V-*P m-ecliarvle * Am j'Sen^X - i i m f 5en>V 'O *XV0- V ^ X ^
  • 15.
    UX#W- derüor -Com / dengodcw 7 deacGcb • t4mi eó- X>a - Ofg / Uü I D a icocb enana - f>n c> mee. cd •/ r roe O00*1 / -Cldcdd -/lf9. i Aanneo sle<jooí4 •- Goléalo -enuna oanabte Ma £d- a m ^ S V e ^ l r „ Gol coto cjvfccooiaíe ^ W a /a 2-*"edtcicn. O
  • 16.
    h^o ' ~— h