Incrustar presentación
Descargar para leer sin conexión






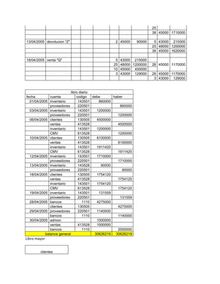
El documento presenta el balance general al 31 de marzo de 2005 de una empresa dedicada a la venta de relojes. Incluye transacciones realizadas en abril como compras y ventas de relojes a crédito y al contado, y pagos a proveedores. Se utilizan los métodos PEPS y promedio ponderado para valuar inventarios.





