INSTITUCION EDUCATIVA
            JUAN DE LA CRUZ POSADA
Creada por Resolución Departamental 16261 de Noviembre 27 de 2002
             NIT 811039153-1 DANE 105001000353
                TELEFONOS 291 48 01 / 254 96 59




         MANUAL DE CONVIVENCIA
                           Medellín
                            2008
CONTENIDO

ACUERDO DIRECTIVO NÚMERO 009 (7 DE JULIO DE 2008).
PRESENTACIÓN

CAPITULO I. GENERALIDADES

1. RESOLUCIÓN DE CREACIÓN.
2. RESEÑA HISTÓRICA DE LAS SECCIONES.
3. LOS SÍMBOLOS INSTITUCIONALES
4. BIOGRAFIA DE JUAN DE LA CRUZ POSADA
5. MISIÓN
6. VISIÓN
7. FILOSOFÍA INSTITCUIONAL
8. PERFIL DEL ESTUDIANTE
9. PRINCIPIOS INSTITUCIONALES
10. VALORES INSTITUCIONALES
11. FINES DEL MANUAL DE CONVIVENCIA
12. FUNDAMENTACIÓN LEGAL

CAPITULO II. CONCEPTUALIZACION DE CATEGORÍAS

A. DE LOS PROCESOS PEDAGÓGICOS Y CURRICULARES
B. DEL PROCESO DISCIPLINARIO

   CAPITULO III. DEBERES Y DERECHOS

Artículo 2.   DERECHOS DE LOS ESTUDIANTES
Artículo 2.   DEBERES DE LOS ESTUDIANTES.
Artículo 3.   DERECHOS DE LOS PADRES DE FAMILIA O ACUDIENTES
Artículo 4.   DEBERES DE LOS PADRES DE FAMILIA O ACUDIENTES
Artículo 5.   DERECHOS DE LOS DOCENTES.
Artículo 6.   DEBERES DE LOS DOCENTES

CAPITULO IV. ESTÍMULOS

Artículo 7. A LOS ESTUDIANTES
Artículo 8. ESTIMULOS A LOS DOCENTES.

CAPITULO V. EL PROCESO DISCIPLINARIO Y EL DEBIDO PROCESO

Artículo 9. EL DEBIDO PROCESO.
Artículo 10. PRINCIPIOS DEL DEBIDO PROCESO.
Artículo 10. PRINCIPIOS DEL DEBIDO PROCESO.
Artículo 11. EL CONDUCTO REGULAR.
Artículo 12. CLASIFICACION DE LAS FALTAS
Artículo 13. FALTAS LEVES.
Artículo 14.   FALTAS GRAVES.
Artículo 15.   FALTAS GRAVÍSIMAS.
Artículo 16.   SANCION DE LAS FALTAS
Artículo 17.   ATENUANTES Y AGRAVANTES
Artículo 18.   PROCEDIMIENTO PARA LAS FALTAS LEVES.
Artículo 19.   PROCEDIMIENTO PARA LAS FALTAS GRAVES.
Artículo 20.   PROCEDIMIENTO PARA LAS FALTAS GRAVÍSIMAS.
Artículo 21.   CANCELACION DE MATRICULA Y PERMANENCIA DE REPROBADOS
Artículo 22.   DE LOS RECURSOS QUE SE PUEDEN INTERPONER
Artículo 23.   ACTUACIONES ADMINISTRATIVAS
Artículo 24.   EVALUACION DEL COMPORTAMIENTO SOCIAL O DISCIPLINA.
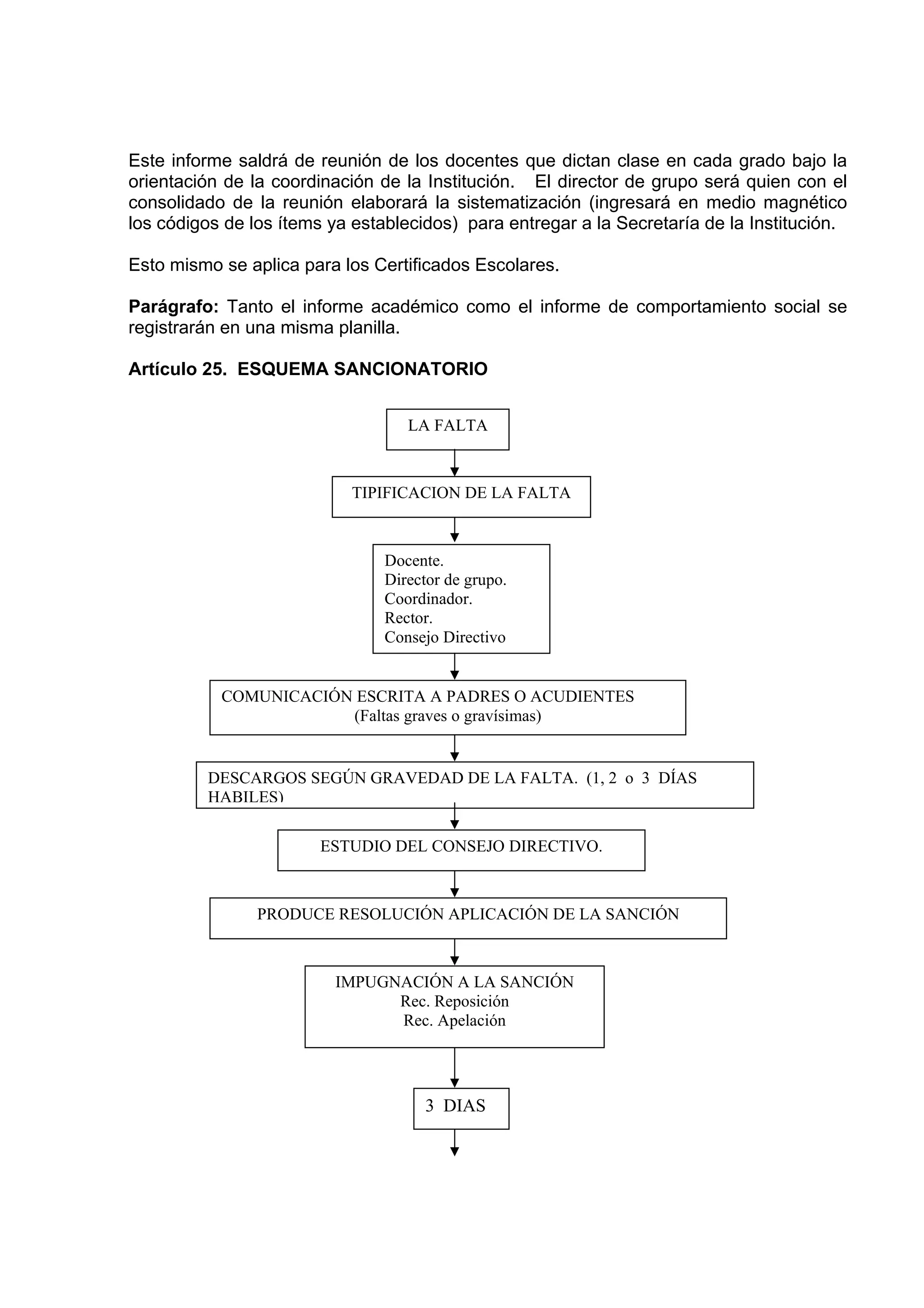
Artículo 25.   ESQUEMA SANCIONATORIO

CAPÍTULO VI. EL PROCESO DE EVALUACIÓN Y PROMOCIÓN

Artículo 26. EVALUACIÓN Y PROMOCION.
Artículo 27. LA EVALUACIÓN DEL RENDIMIENTO ESCOLAR.
Artículo 28. CARACTERÍSTICAS DE LA EVALUACIÓN.
Artículo 29. CRITERIOS DE EVALUACIÓN.
Artículo 30. REFUERZOS Y RECUPERACIONES
Artículo 31. LOS CRITERIOS DE PROMOCIÓN.
Artículo 32. REGISTROS ESCOLARES Y VALORACIONES.
Artículo 33. MODIFICACION O CORRECCION DE NOTAS.
Artículo 34. RECOLECCIÓN DE NOTAS O VALORACIONES POR LEGALIZACION DE
              MATRICULA.
Artículo 35. HOJA DE VIDA DE ESTUDIANTE QUE SE RETIRA.
Artículo 36. PROMOCION ANTICIPADA.

CAPITULO VII. NORMAS INSTITUCIONALES GENERALES

Artículo 37.   UNIFORME
Artículo 38.   PUNTUALIDAD.
Artículo 39.   LA ASISTENCIA A LA INSTITUCIÓN Y/O A CLASES.
Artículo 40.   EL SALÓN DE CLASES.
Artículo 41.   LABORATORIO.
Artículo 42.   PATIOS
Artículo 43.   CANCHAS.
Artículo 44.   BIBLIOTECA
Artículo 45.   SALAS DE INFORMÁTICA.
Artículo 46.   DESCANSOS.
Artículo 47.   SALIDAS PEDAGOGICAS
Artículo 48.   TIENDA ESCOLAR
Artículo 49.   COMPLEMENTO ALIMENTICIO
Artículo 50.   TELÉFONO
Artículo 51.   PORTERIA
Artículo 52.   OFICINAS
Artículo 53.   BAÑOS
Artículo 54.   MEDIOS DE INFORMACION
Artículo 55.   ZONAS VERDES, JARDINERAS Y MATERAS
Artículo 56.   MALLAS
Artículo 57.   PROCLAMACIÓN DE BACHILLERES.
Artículo 58.   PROCLAMACIÓN PÚBLICA DE BACHILLERES.
Artículo 59.   SERVICIO SOCIAL ESTUDIANTIL OBLIGATORIO.
Artículo 60.   HORAS DE CONSTITUCIÓN (Ley 107 de 1994)
Artículo 61.   PERMISO A DOCENTE Y BANCO DE TALLERES.
Artículo 62.   EL MEDIO AMBIENTE ESCOLAR
Artículo 63.   NORMAS DE HIGIENE Y SALUD.
Artículo 64.   INASISTENCIA.
Artículo 65.   ATENCION A LOS PADRES DE FAMILIA.
Artículo 66.   CELULAR
Artículo 67.   PROYECTOS OBLIGATORIOS.

CAPÍTULO VIII. EL PROCESO DE ADMISIONES Y DE MATRICULA

Artículo 68.   EL PROCESO DE INSCRIPCIÓN
Artículo 69.   EL PROCESO DE RECEPCIÓN Y ADMISIÓN.
Artículo 70.   COMITÉ DE ADMISIÓN.
Artículo 71.   PROCESO DE MATRÍCULA

CAPÍTULO IX. LA ORGANIZACION INSTITUCIONAL Y EL GOBIERNO ESCOLAR

Artículo 72.   COMUNIDAD EDUCATIVA.
Artículo 73.   ORGANIZACIÓN INSTITUCIONAL.
Artículo 74.   RECTOR.
Artículo 75.   CONSEJO DIRECTIVO.
Artículo 76.   CONSEJO ACADEMICO.
Artículo 77.   CONSEJO ESTUDIANTIL.
Artículo 78.   PERSONERO
Artículo 79.   CONSEJO DE PADRES Y ASOCIACION DE PADRES DE FAMILIA.

CAPÍTULO X. OTRAS REGLAMENTACIONES ESPECÍFICAS

Artículo 80.   LA SECCION HIPOLITO LONDOÑO MESA
Artículo 81.   MANUAL DE FUNCIONES PERSONAL DE MANTENIMIENTO Y ASEO
Artículo 82.   LEY 1098 DE 2006 CODIGO DE LA INFANCIA Y LA ADOLESCENCIA.
Artículo 83.   BIENES Y VALORES
ACUERDO DIRECTIVO NÚMERO 009
                             (7 DE JULIO DE 2008)


Por medio de la cual se establecen adiciones, adecuaciones y modificaciones al Manual
de Convivencia de la Institución


El Consejo Directivo de la Institución Educativa JUAN DE LA CRUZ POSADA en uso de
sus atribuciones legales y,

                                 CONSIDERANDO:


a. Que el Artículo 73º de la Ley 115 de 1994 establece que todos los establecimientos
   deberán elaborar y poner en práctica UN REGLAMENTO para docentes y estudiantes
   con el fin de cumplir las disposiciones oficiales.

b. Que el Artículo 87º de la Ley 115 de 1994 establece que todos los establecimientos
   educativos tendrán UN REGLAMENTO O MANUAL DE CONVIVENCIA, en el cual se
   definirán los derechos y obligaciones de los estudiantes.

c. Que según el Artículo 87º de la Ley 115 de 1994, los padres o tutores y los
   educandos, al firmar la matrícula correspondiente en representación de sus hijos
   están aceptando el mismo.

d. Que el Artículo 17º del Decreto 1860 de 1994, de acuerdo con el artículo 73 y 87 de
   la Ley 115 de 1994, los establecimientos educativos deben tener como parte
   integrante del Proyecto Educativo Institucional -PEI- UN REGLAMENTO O MANUAL
   DE CONVIVENCIA, el cual debe contener una definición de los derechos y deberes
   de los alumnos y de sus relaciones con los demás estamentos de la comunidad
   educativa.

e. Que los Artículos 44º y 45º de la Carta Magna establecen los derechos fundamentales
   de los niños y del adolescente, preceptuándose que los derechos de los niños
   prevalecen sobre los derechos de los demás.

f. Que en el año 2003, la institución elaboró el Primer Manual de Convivencia, año
desde el cual no ha sido reformado.

g. Que se han propuesto adiciones, adecuaciones y modificaciones desde el año 2006.

h. Dichas adecuaciones, modificaciones y adiciones provienen de los Acuerdos 013 y
019 del 2007 y Acuerdos 007, 008 y 015 del 2008 del Consejo Directivo; y los Acuerdos
002 y 003 del 2007 del Consejo Académico.
i. Que dichas adecuaciones, modificaciones y adiciones hicieron variar la estructura del
Actual Manual de Convivencia, pasando a contener y estar conformado por: Una
Presentación y ochenta y tres (83) artículos distribuidos en diez (10) Capítulos.

j. Que el Decreto Nacional 2737 de 1989, vigente en los artículos 320 al 325 y algunos
Capítulos, y la Ley 1098 del 8 noviembre de 2006, Ley de la Infancia y la Adolescencia,
que consagra los derechos, libertades y garantías de los menores y establece que la
educación debe ser orientada a desarrollar su personalidad, inculcándole el respeto por
los Derechos Humanos, los valores culturales y el Medio Ambiente.

k. Que la Personería de Medellín elaboró y público una cartilla EL GOBIERNO
ESCOLAR, ha tomarse en cuenta para hacer cumplir, cuando se requiera, en temas
propios del Manual de Convivencia como son: lo correspondiente al GOBIERNO
ESCOLAR, a la participación de los padres de familia y a lo establecido por la LEY DE
LA INFANCIA Y LA ADOLESCENCIA.

l. Que el Manual de Convivencia de las Instituciones Educativas deberá estar
enmarcado en lo dispuesto por la Constitución, en el Código del Menor, la Ley de la
Infancia y la Adolescencia y por ende en cualquiera de las normas reglamentarias y
sentencias que lo interpreten y debe constituir la carta de principios morales, éticos y
sociales que sirvan de base para formar, orientar, evaluar, corregir o estimular los
comportamientos de los alumnos. Es decir no pueden contener elementos, normas o
principios que estén en contravía de la Constitución y normatividad vigente en materia de
regulación del Servicio educativo.


                                      ACUERDA

Artículo 1. Adoptar las adiciones, adecuaciones y modificaciones al MANUAL DE
CONVIVENCIA de la INSTITUCION EDUCATIVA JUAN DE LA CRUZ POSADA, en
todas sus partes como herramienta que orienta y promueve el desarrollo institucional.

Artículo 2. El objetivo único de este manual será regular la convivencia entre los
miembros de la comunidad educativa. Todas las disposiciones contenidas en él, se
interpretarán teniendo en cuenta que su finalidad es la formación de los alumnos para la
sana y responsable convivencia, dentro de los principios democráticos de la nación y
siempre de acuerdo con la Constitución Nacional y las normas legales vigentes de
Derecho Administrativo, Civil y de Familia.

Artículo 3. Para cualquier asunto de tipo legal, el presente MANUAL DE CONVIVENCIA
será tenido en cuenta tanto a nivel consultivo como jurídico.

Artículo 4. El presente Manual de Convivencia reemplaza y deroga todas las
disposiciones contrarias y rige a partir de la firma del presente acuerdo por todos los
miembros del Consejo Directivo.
Articulo 5. El presente acuerdo rige a partir de su expedición.

                          COMUNIQUESE Y CÚMPLASE
                 Dado en Medellín a los 7 días del mes de julio de 2008.




_______________________________          ______________________________
ADOLFO LEON GONZALEZ OSPINA               ADOLFO DE JESUS MUNERA
Presidente del Consejo Directivo          Representante docentes




______________________________            ______________________________
ALVARO DE JESUS ATEHORTUA                 LUCELLY GUARIN SIERRA
Representante docentes                    Representante padres de familia




______________________________            _______________________________
JORGE ANDRES CASTRILLÓN SILVA             JHONATAN SERNA GARCIA
Representante padres de familia             Representante alumnos




__________________________________             __________________________
NANCY JANETH RAMIREZ                           ESTEBAN CORREA
Representante Sector productivo                Representante de los exalumnos
PRESENTACIÓN


Las adecuaciones, modificaciones y adiciones hechas al presente Manual de
Convivencia es el fruto de encuentros realizados con los diferentes miembros de la
Comunidad Educativa. Las propuestas para tal fin fueron estudiadas y analizadas en el
Consejo Directivo y fueron registradas en acuerdos del 2007 y del 2008. También se
tuvieron en cuenta los Acuerdos del Consejo Académico del 2007 Y 2008.


Por lo tanto, el contenido del presente Manual de Convivencia, es el fruto del trabajo de
nuestra Comunidad Educativa frente a la cotidianidad de la Institución, enriquecido con el
estudio y aportes de la Constitución Política, la Ley 715, la ley 375, La ley 1098, el
Decreto 1423, el Código Disciplinario Único, la ley General de Educación, sus Decretos,
Reglamentarios, el Decreto 1286 de 2005 y toda la legislación vigente en materia
educativa.


Aquí se consignan las generalidades de la Institución y los lineamientos que la orientan.

Es una propuesta que se constituye en referente para guiar el ejercicio de la libertad y la
asunción de los derechos, deberes y responsabilidades de los diferentes actores
escolares; con miras a generar procesos articulados de conocimiento, de reflexión y
aprendizaje que posibiliten la formación integral de estudiantes con actitudes, valores,
creencias y convicciones mediante una convivencia democrática, pacífica y gratificante
que garantice el respeto por la persona y la colectividad y contribuyan a lograr una
vida digna y trascendente.


 Confiamos en que el compromiso adquirido gracias a la construcción participativa en
 este Manual, fortalezca las relaciones interpersonales, los ambientes de aprendizaje y
    aporte un grano de arena al anhelo de reconciliación y paz que todos soñamos.
CAPITULO I.
                                      GENERALIDADES

1. RESOLUCIÓN DE CREACIÓN.


                            DEPARTAMENTO DE ANTIOQUIA
                       SECRETARÍA DE EDUCACIÓN PARA CULTURA
                        RESOLUCIÓN NÚMERO 16261 (27 NOV. 2002)

             (INSTITUCIÓN EDUCATIVA “JUAN DE LA CRUZ POSADA” Medellín)

Por la cual se crea una Institución Educativa, se clausuran unos establecimientos educativos, se
asignan en custodia para administrar los libros reglamentarios, archivos, bienes y enseres, se
redistribuye una planta de cargos y se concede reconocimiento de carácter oficial a una
Institución Educativa.

EL SECRETARIADO DE EDUCACIÓN PARA LA CULTURA DEL DEPARTAMENTO DE
ANTIOQUIA , en uso de sus facultades constitucionales y legales, en especial las que le
confieren los artículos 151 de la Ley 115 de 1994 y los Artículos 6°, 9° y 37° dela Ley 715 de
2001 y

                                    CONSIDERANDO QUE:

De Conformidad con el artículo 151 de la Ley 115 de 1994, corresponde a las Secretaría de
Educación Departamentales, organizar el servicio educativo, de acuerdo con las prescripciones y
reglamentarias sobre la materia.

De acuerdo con lo prescrito en los Artículos 6° y 7° de la Ley 715 del 2001, sin perjuicio de lo
establecido en otras normas, corresponde a los Departamentos y Municipios certificados
organizar la prestación y administración del servicio educativo en su jurisdicción.

En cumplimiento de lo dispuesto en los artículos 9° de la Ley 715 del 2001 y 138 de la Ley 115
de 1994, las autoridades educativas territoriales, velarán para que bajo una sola administración
de la Institución o centro educativo, se ofrezcan los niveles de Preescolar, Básica y Media.

El Consejo Nacional de Política Económica y Social CONPES, en su documento No. 57 del 28
de enero del 2002 (numeral 2.2.1.2.3.1) hace referencia a             mantener los Planes de
Reorganización y convertirlos en herramienta fundamental para la conformación de las nuevas
plantas de personal y de cargos. Definidas en el Artículo 37° de la Ley 715 del 2001. El
Ministerio de Educación Nacional, ha fijado pautas y criterios para la reorganización del Sector
Educativo.

De conformidad con los artículos 6° y 37° de la Ley 715 del año 2001, corresponde al
departamento participar en el proceso de definición de las plantas, de cargos y plantas de
personal del sector educativo, organizar y distribuir entre los municipios los docentes, directivos
docentes y administrativos, de acuerdo con las necesidades del servicio y las normas que a
futuro expida el Ministerio de Educación Nacional, para tal efecto.
Los establecimientos educativos y denominados: Colegio “JUAN DE LA CRUZ POSADA”,
Colegio Agustín Nieto Caballero, Escuela Hipólito Londoño y Escuela Francisco Antonio Uribe
vienen funcionando amparadas en las siguientes normas:

Colegio “JUAN DE LA CRUZ POSADA” Resolución Departamental 9278 del 26 de noviembre de
2001, convierte la Escuela Urbana “JUAN DE LA CRUZ POSADA” y le autoriza ofrecer los
niveles de preescolar, básica Primaria y Secundaria.

Colegio Agustín Nieto Caballero: Resolución Departamental 9277 del 26 de noviembre de 2001,
convierte la Escuela Urbana Agustín Nieto Caballero y le autoriza ofrecer los niveles de
preescolar, básica primaria y secundaria.

Escuela Hipólito Londoño: creada mediante Decreto Departamental 080 del 6 de febrero de
1970.

Escuela Francisco Antonio Uribe: creada mediante Ordenanza 33 del 19 de diciembre de 1960.

Los Equipos Técnicos Municipal y Departamental de Reorganización del Servicio Educativo han
adelantado los estudios pertinentes para dar cumplimiento al Artículo 9° de la Ley 715 de 2001.

Por lo anteriormente expuesto, el Secretario de Educación para la Cultura del Departamento de
Antioquia.

El manual de convivencia es el instrumento educativo para la democracia, en derechos y
deberes y en la formación de personas libres y autónomas.

                                          RESUELVE:

ARTÍCULO 1°. Crear la INSTITUCIÓN EDUCATIVA “JUAN DE LA CRUZ POSADA” la cual
funcionará en las plantas físicas ubicadas en las siguientes direcciones: Calle 62 No. 39-22, Cra.
40 No. 59ª -21. Calle 59 No. 39-54 y Calle 66 No. 39-75. Núcleo Educativo 924 del Municipio de
Medellín.

ARTÍCULO 2°. Conceder Reconocimiento de carácter oficial a partir del año 2002 a la
INSTITUCIÓN EDUCATIVA “JUAN DE LA CRUZ POSADA” ubicada en el Municipio de Medellín
y autoriza para que en la misma se imparta educación formal en los niveles de preescolar,
educación básica primaria (grados primero, segundo, tercero, cuarto y quinto), secundaria (grado
sexto, séptimo, octavo y noveno) bajo una sola administración.

Es un establecimiento educativo de carácter urbano, oficial, mixto, calendario A, jornada diurna y
de propiedad del Municipio de Medellín.
ARTÍCULO 3°. A la INSTITUCIÓN EDUCATIVA “JUAN DE LA CRUZ POSADA”, así constituida
se le asigna la planta de cargos de acuerdo con los parámetros establecidos por la Ley.

La Institución Educativa que aquí se crea, atenderá el número de alumnos por grupo de acuerdo
con las relaciones técnicas que fije la autoridad competente.

ARTÍCULO 4°. Como resultado de la aplicación del Artículo 9° de la Ley 715 del año 2001,
clausurar los siguientes establecimientos educativos:

Colegio “JUAN DE LA CRUZ POSADA” Colegio Agustín Nieto Caballero, Escuela Hipólito
Londoño y la Escuela Francisco Antonio Uribe, y dejar sin efectos los actos administrativos que
definen su situación legal y que aparecen en los considerandos.
Asignar a la INSTITUCIÓN EDUCATIVA JUAN DE LA CRUZ POSADA la custodia para
administrar el archivo, los libros reglamentarios, bienes y enseres que conforman la historia
académica de estos establecimientos clausurados.

Corresponde a las Directivas de la INSTITUCIÓN JUAN DE LA CRUZ POSADA garantizar la
debida preservación de los mismos, así como expedir los certificados y demás constancias que
demanden los usuarios del servicio educativo.

ARTÍCULO 5°. Informar al DANE, para la apertura de nuevos registros y clausura de los
antiguos, según el caso.

ARTÍCULO 6°. La INSTITUCIÓN EDUCATIVA JUAN DE LA CRUZ POSADA del Municipio de
Medellín podrá expedir certificados de estudio, según lo establecido en la Ley 115 del 8 de
febrero de 1994, Decreto Nacional 180 del 29 de enero de 1981, Circular Departamental No. 40
del 21 de Junio de 1995, Decreto Nacional 230 de 2002.

ARTICULO 7°. La institución educativa deberá iniciar un proceso de rediseño y ajuste del
Proyecto Educativo Institucional (PEI), cuyos avances se registraran en la Secretaria de
Educación para la Cultura de Antioquia, cuando el Municipio no esté certificado y en la Secretaria
de Educación Municipal, cuando éste haya sido certificado, según lo establecido en el Decreto
Nacional 180 de 1997.

ARTICULO 8. La Dirección de Gestión y Apoyo Administrativo de la Secretaria de Educación
para la Cultura de Antioquia, en coordinación con el ordenador del gasto dela Institución
Educativa conformada, unificarán los inventarios de bienes dentro de los tres (3) meses
siguientes a la fecha de vigencia de la presente Resolución, con el fin de lograr la mejor
utilización de los recursos disponibles.
ARTICULO 9. De acuerdo con los procedimientos establecidos en las norma vigentes, el Rector
de la Institución Educativa JUAN DE LA CRUZ POSADA promoverá y desarrollara acciones que
aseguran la unificación de los diferentes órganos y organismos del Gobierno Escolar de la nueva
Institución, dentro de los dos (2) meses siguientes de la fecha de vigencia de la presente
Resolución.

ARTICULO 10. la Institución seleccionará el uniforme único de diario y el de educación física de
los estudiantes de acuerdo con lo establecido por las normas legales vigentes sobre la materia.
En todo caso, los estudiantes de los establecimientos educativos clausurados conservarán su
actual uniforme hasta cuando sea necesario reemplazarlo por deterioro.

ARTICULO 11. En todos los documentos que expida la INSTITUCIÓN EDUCATIVA JUAN DE
LA CRUZ POSADA, deberá citar el número y la fecha de esta Resolución.

ARTICULO 12. Copia de la presente Resolución deberá fijarse en un lugar visible del
establecimiento educativo.

ARTICULO 13. La presente Resolución rige a partir de la fecha de su expedición.


                                 NOTIFIQUESE Y CUMPLASE

                                Luis Fernando Montoya Ortega
                    Secretario de Educación para la Cultura de Antioquia
2. RESENA HISTÓRICA DE LAS SECCIONES.

De las cuatro secciones pertenecientes a la Institución Educativa Juan de la Cruz Posada

Institución Educativa Juan de la Cruz Posada

En la ciudad de Medellín, el 20 de enero de 1962 y por Decreto Departamental No. 158 del 23 de
abril de 1966, fue creada la Escuela Juan de la Cruz Posada.

Su nombre es el reconocimiento al ilustre Ingeniero, Doctor Juan de la Cruz Posada, quien
construyó el primer acueducto de la ciudad y otras obras de gran importancia.

El primer Director de la Escuela fue el maestro Gabriel Yepes Roldán, quien con un grupo de
profesores inició matrícula y labores con 320 niños de una manera precaria. En 1963 la Escuela
fue acogida como Escuela Técnica de Demostración.

En la actualidad es la Sede Central.

DIRECCIÓN: Calle 62 No 39-22. (Villa Hermosa: San Miguel los Angeles)
TELÉFAX: 291 48 01.
OTROS TELÉFONOS: 254 96 59. Coordinación y sala de profesores: 254 81 63.
e-mail: ie.juancposada@yahoo.es
e-mail2: ie.juancposada@une.net.co


Sección Francisco Antonio Uribe

La Escuela Francisco Antonio Uribe fue fundada el 28 de enero de 1918 y aprobada por
ordenanza 21 al 29 de febrero de 1959. Esta Institución inició con los grados de primero a
cuarto, estando bajo la dirección de la señorita María Angulo a partir de ese momento y en pro
de suplir con las demandas de la población, la escuela va aumentando su cobertura, logrando
así abrir el grado quinto, tener más grupos de cada grado y cambiar su carácter de femenino a
mixto. La Escuela es considerada como monumento histórico por su arquitectura. Algunas de
las Directoras anteriores fueron: Fania Aguirre, Rexfa Cano, Fanny Baena, Julia Sánchez, María
Consuelo Pérez Pineda. En la actualidad los niveles ofrecidos son: preescolar básica ciclo
primaria.

DIRECCIÓN: Calle 66 Nº 39-75. (Parque de Villa Hermosa)
TELÉFONO: 254 53 66.

Sección Agustín Nieto Caballero

La escuela Agustín Nieto Caballero del municipio de Medellín, fue creada por el gobierno
departamental según resolución No. 7 del 2 de febrero de 1933, ha funcionado en diferentes
locales y desde 1950 funcionaba en el local ubicado en el parque de Bostón, esta casa fue
donada al municipio por el doctor José Celestino Arango, según escritura No. 917 de abril 29 de
1918; contaba con un área de 457 metros cuadrados. Su sede actual está situada en la Carrera
40 59ª - 81 cedida por el Municipio de Medellín

El nombre de Agustín Nieto Caballero; honra la memoria de este ilustre pedagogo, hombre de
letras quien dedicó toda su fortuna y su vida a la educación y formación de la juventud en su
famoso Gimnasio Moderno de Bogotá, del cual fue Rector hasta el día de su muerte ocurrida el 3
de noviembre de 1975 a la edad de 86 años.

Implantó en las escuelas oficiales, el método “Decroly” esto siendo Ministro de educación, y
consiguió que este sabio francés visitara a Colombia. Se implantó la jornada continua, ante la
apremiante demanda de cupos que era imposible atender debido a la falta de aulas.

En 1975, por orden de la Secretaría de Educación, fueron integradas aquellas escuelas que
tuvieron demanda de cupos para niños; desde entonces la escuela es mixta. En 1980, inició la
escuela de experimentación en el nuevo sistema curricular, con resultados positivos.

A partir del 15 de mayo de 2001, el director Alirio Ledesma Mena en compañía de siete
educadoras, 294 niños y los padres de familia, resuelven trasladarse al local en donde
funcionaba el Centro de Capacitación Artesanal Nutibara (caico) el cual había sido intervenido
por Secretaría de Educación Municipal y En la actualidad los niveles ofrecidos son: preescolar,
básica ciclo primaria y básica secundaria grado noveno con grupos paralelos.


DIRECCIÓN: Carrera 40 Nº 59 A-21. (Cerca al Parque EL OBRERO)
TELÉFONO: 254 91 33.

Sección Hipólito Londoño Mesa

Esta Institución tiene sus inicios como Orfanato San José sirviendo de albergue a niñas
huérfanas de escasos recursos económicos de diferentes lugares del Área Metropolitana. Don
Hipólito Londoño Mesa fue el fundador y gerente de la Fábrica la Bastilla, quien con otros
benefactores se preocupó siempre en ayudar al prójimo y con especial cariño a esta Institución,
la cual lleva su nombre. En 1963 falleció don Hipólito y continua con esta obra su amigo
Santiago Mejía, quien más le entrega a la Curia Arquidiocesana de Medellín, tomando este
encargo Monseñor Armando Santamaría Ortiz. Las Hermanas Dominicas de la Presentación se
ha encargado del cuidado de los alumnos que permanecen internos allí. En 1970 el 6 de febrero
se crea por decreto la Escuela Hipólito Londoño Mesa, primero adscrito a la Secretaria de
Educación Departamental y actualmente pertenece al Municipio de Medellín. En el año 2003 es
integrada a la Institución Educativa Juan de la Cruz Posada.

DIRECCIÓN: Carrera 40 Nº 59 A – 52. (Cerca al Parque EL OBRERO)
TELÉFONO: 292 54 80


3. LOS SÍMBOLOS INSTITUCIONALES

3.1. LA BANDERA
Símbolo distintivo de toda la Institución Educativa. La bandera de la Juan de la Cruz Posada
presenta tres colores, acordes a las características de las secciones: Azul, blanca y roja.

EL AZUL: Color que encierra un amplio significado, resumido en la calma para resolver los
conflictos que de diversa índole se puedan presentar, la inmensidad de ideales, expectativas y
sueños, todos los que forman parte de esta comunidad, quienes al recibir orientación objetiva y
pertinente, podrán ver con mayor claridad al alcance de sus metas, la generosidad, la
tolerancia, y la humildad, valores que debe poseer todo individuo, en medio de este caos social
que actualmente padece nuestra patria y nuestro entorno, el sentido de pertenencia por la
Institución, y por todo lo que ella abriga, para que de esta manera, se siga educando al futuras
generaciones y así construir un nuevo país.

EL BLANCO: color de gran sentido, ya que encierra la pureza en el corazón de quienes son
artífices de los procesos institucionales, la bondad, el servicio y la transparencia en todos los
miembros de Comunidad Educativa, para llevar a cabo el desarrollo de grandes proyectos, la
lealtad y la amistad que debe reinar entre educadores, estudiantes y padres de familia, la
sinceridad y compromiso para llevar a efecto los procesos de enseñanza y de aprendizaje, la
armonía y el equilibrio en los sentimientos presentes en cada individuo perteneciente a la
Institución, la fe en un ser supremo, guía de nuestra existencia y nuestra religiosidad.

EL ROJO: color que irradia vigor, energía en cada ser, tenacidad, trabajo, entrega, por parte
de todos y cada uno de los protagonistas inmersos en los procesos que se llevan a cabo en la
Institución; amor por el otro y por sí mismo, lo cual se veía reflejado en logros positivos y
gratificantes para todos; fortaleza para afrontar dificultades, buscando siempre canales de
concertación y diálogo; dedicación y constancia para alcanzar metas; dinamismo para hacer de
la Institución un verdadero centro de cultura y humanismo.

NOTA: En el centro de la bandera va impreso el escudo de la Institución.


3.2. EL ESCUDO
El escudo está diseñado acorde a la filosofía y al PEI tiene en su parte superior una
sencilla franja en donde están inscritas dos palabras claves: ciencia y valores, las cuales
como se explicó con antelación, son la razón de ser del PEI. La parte que rodea el
escudo es otra franja de color plateado en letras mayúsculas negras con el nombre de la
Institución JUAN DE LA CRUZ POSADA, lo cual le da la identidad y autonomía.

El escudo se divide en tres secciones, cada una de ellas de un color propio como aparece en la
bandera. La primera se encuentra en un fondo azul, ella deja observar un búho el cual es
símbolo de sabiduría, cultura. Este se encuentra sobre dos libros, investigación y educación, lo
que compagina muy bien con la misión y visión institucional “Formar ciudadanos cultos capaces
de transformar la sociedad, siendo investigadores permanentes de la ciencia, sin descuidar la
parte humana reflejada en los valores”.

La parte central del escudo se encuentra en un fondo totalmente blanco lo que da gallardía,
profundidad y significado al color en esta posición. Acá se puede apreciar la esencia de la parte
religiosa y humana. Las manos ofrecidas a Dios y al servicio del hombre y a sí mismo,
dispuestas a construir, sembrar, orar, bendecir, buscar la verdad, acariciar, brindar afecto y
ternura; una manos laboriosas disponibles para escudriñar las fronteras del conocimiento; en
medio de las manos se observa un cirio que indica luz en el camino de nuestra existencia,
claridad en nuestros pensamientos, fe en un ser superior, perdón a nuestros semejantes y
esperanza en un mundo nuevo, lleno de amor y comprensión. En el cirio aparecen inscritas dos
letras del alfabeto griego: Alfa y Omega, lo cual nos recuerda que todo tiene principio y fin. El
cirio permanece encendido, dando calor a esas manos, que en muestra de humildad manifiestan
su amor al Padre Celestial.

La tercera franja de fondo rojo, deja ver unas hachas entrelazadas, sinónimo de trabajo
constante hacia la búsqueda de elementos óptimos y viables, para la consecución de logros,
dedicación con mucho amor a todos los proyectos y actividades que se escenifican en la
Institución, llevados a término con un gran sentido de pertenencia y profesionalismo, energía,
vitalidad y tenacidad, a todo momento y en todo lugar, buscando que la Institución sea vista
como modelo para muchas otras, que de alguna manera querían seguir sus pasos, hacia las
fuentes del conocimiento y al rescate de los valores humanos.
El escudo al igual que la bandera, se constituyen en unos símbolos de identidad institucional y
deberán ser trabajados por los educadores de los diferentes grados, para que los estudiantes los
valoren y respeten, con lo que a la vez se fomenta el sentido de pertenencia por lo nuestro.


3.3. HIMNO

                                            (Coro)

                            Sacro techo que guarda en su historia,
                              Nombre ilustre de un recto varón;
                           Que surgió entre las breñas de Antioquia
                            Como ejemplo de Gloria y Honor (bis).

                               Saludemos la escuela naciente...
                               E inundemos sus claustros de luz;
                                 Repitamos con eco ferviente...
                              Ese nombre de JUAN DE LA CRUZ.


                             Que se escuchen los vastos rumores,
                               De un festivo y bullente almenar;
                              Cuando se liban los gratos dulzores
                                De la ciencia y la buena moral

                              Letra: RAMON MUNERA LOPERA
                                  Música: CAMILO GARCIA

4. BIOGRAFIA DE JUAN DE LA CRUZ POSADA




Nació en 1.810 en el Poblado (Medellín), cursó sus años en la misma ciudad, luego en el
colegio de San José de Marinilla y más tarde en el Seminario de Medellín, donde terminó
su secundaria. Estudió ingeniería de minas en la Escuela de Minas y la Universidad de
California. Fue director general de las minas de oro ‘El Zancudo” en Titiribí e ingeniero
interventor de los Ferrocarriles de Antioquia y Amaga, fue superintendente de las
Empresas Públicas Municipales de Medellín, gerente de Col tabaco, consultor de
Empresas Mineras en la Sociedad Posada González.
En 1932 pasó a dictar cátedra en la Escuela Nacional de Minas, fue miembro de
numerosas sociedades científicas y el gobierno lo condecoró con la Cruz de Boyacá en
el “Grado de Caballero”.
Construyó el primer acueducto de la Medellín, la planta de teléfonos y la feria de
ganados.
Como escritor tiene, entre otras, varias obras de muy alto mérito: Antropogeografía
General, Bosquejo de la Geología de Antioquia y Nociones de Petrografía.
Con su esposa Doña Paulina González tuvo 16 hijos. Murió de 91 años en febrero de
1961.


5. MISIÓN

La Institución Educativa Juan de la Cruz Posada, ofrece un servicio educativo a partir de
la interdisciplinariedad científica y de la valoración del individuo, que posibilita el
desarrollo integral del estudiante, formando sujetos competentes, reflexivos, críticos,
investigativos con valores académicos,       morales y sociales que les permita la
convivencia armónica en comunidad y la construcción de una sociedad dinamizadora de
cambios y transformaciones en pro de la calidad de vida y un futuro mejor para todos


6. VISIÓN

La Institución Educativa Juan de la Cruz Posada consciente de su labor social, aspira a
ser reconocida en el 2015 como una Institución de carácter público, líder, donde la
calidad del modelo educativo integre los procesos           formativos, científicos y de
competencia; ocupándose del crecimiento personal y desarrollo humano de sus
estudiantes a partir de la vivencia de un ambiente institucional axiológico que promueve
aprendizajes significativos desde el saber: ser, conocer, hacer y convivir con el otro y
con el entorno, contribuyendo al mejoramiento de la calidad de vida de los integrantes de
la comunidad concentrados en un proyecto de vida individual y colectivo


7. FILOSOFIA INSTITUCIONAL

La institución Educativa JUAN DE LA CRUZ POSADA busca formar un hombre íntegro
en valores, capaz de integrarse a la sociedad con el conocimiento que traerá consigo la
ciencia, la tecnología, y las experiencias de vida, un ser cuya misión sea la de servir a
los demás, desde su propia vivencia y su misión, dar lo mejor de sí para alcanzar un
nuevo modelo existencial.

8. PERFIL DEL ESTUDIANTE

Ley 115, Titulo V, Capítulo I.
El educando de la Institución Educativa JUAN DE LA CRUZ POSADA debe:
•   Sobresalir en los valores: espíritu de superación, responsabilidad, honestidad,
        liderazgo, solidaridad, tolerancia, respeto, amor por la vida y la naturaleza, sentido
        de pertenencia.
    •   Ser persona con capacidad crítica, analítica y propositiva, frente a los problemas
        o situaciones que se presenten.
    •   Poseer los conocimientos, habilidades y destrezas básicas que le permitan
        aprovechar con éxito las oportunidades y desafíos que se le presenten a nivel
        académico, investigativo, cultural, artístico, deportivo, recreativo, laboral, afectivo,
        social, comunicativo, político y en la vida diaria.
    •   Tener gran autoestima para desempeñarse cabalmente en el medio social que le
        corresponda.
    •   Tener sentido de pertenencia por la institución.
    •   Ser personas con proyecto de vida claramente definidos en el cual involucre no
        solo su bienestar futuro, sino también el de su familia y la sociedad en que vive.


9. PRINCIPIOS INSTITUCIONALES

•   Amor y respeto por la vida y por la naturaleza.
•   Formación integral sin perder la autonomía personal.
•   La práctica de la autoestima, el autoconocimiento y la autonomía.
•   Reconocimiento de la trascendencia en la práctica de la espiritualidad
•   Desarrollo de habilidades comunicativas y sociales.
•   Aprovechamiento de las tendencias tecnológicas y científicas.
•   Trabajo educativo proyectado hacia la excelencia académica.
•   Proyección social con ética.
•   Respeto y conservación del medio ambiente.
•   Respeto por la diversidad étnica, cultural, social, religiosa.
•   La práctica de la Cultura de la Legalidad.


10. VALORES INSTITUCIONALES

• Cooperación                                    •   Equidad
• Respeto                                        •   Solidaridad
• Responsabilidad                                •   Paz y Convivencia
• Sentido de Pertenencia                         •   Justicia
• Autonomía                                      •   Comunicación
• Tolerancia                                     •   Creatividad
• Participación                                  •   Amor
• Honestidad                                 •       Servicio

11. FINES DEL MANUAL DE CONVIVENCIA

Los siguientes fines del Manual de Convivencia dela Institución Educativa Juan de la
Cruz Posada reflejan los principios, valores y postulados que fundamentan el Proyecto
Educativo Institucional.
•   Ser la guía en el sano desarrollo de la convivencia institucional.
•   Ser el instrumento válido y legal, necesario para el correcto desempeño de todos los
    participantes en el quehacer educativo.
•   Buscar la formación de seres integrales en acciones y actitudes positivas, para una
    buenas relaciones humanas y sociales, que contribuyan al desarrollo equilibrado del
    individuo y de la sociedad, sobre la base del respeto por la vida y los derechos
    humanos.
•   Ser el dispositivo para la evaluación y aplicación de estímulos y correctivos.
•   Ser el instrumento educativo para la democracia, en derechos y deberes y en la
    formación de personas libres y autónomas.


12. FUNDAMENTACIÓN LEGAL


El Manual de Convivencia cobra mucha importancia, a partir de la Ley 115 de 1994 y del Decreto
1860 que reglamenta la ley.
Los fundamentos legales del Manual de Convivencia son específicamente los siguientes:

La DECLARACIÓN UNIVERSAL DE LOS DERECHOS HUMANOS.

La Constitución Política de Colombia de 1.991: En muchos de sus artículos señala la
importancia que para la vida naciónal tiene la formación integral del hombre; además los
siguientes artículos se refieren en forma específica a la gestión educativa: 1, 11, 13,
15,16,20,21,23,27,29,37,38,40, 41,42,43,44,45,67 y 68.

Ley General de la Educación: Ley 115 de Febrero de 1,994, sirven como soporte para el diseño
del   Manual     de    Convivencia,   los    siguientes    artículos:3,23,87,92,93,94,    96,
98,110,134,142,143,144,145 y 204.

Ley 734 de Febrero 5 de 2002: Por medio del cual se expide el código Disciplinario único.

Ley 1098 de 2006. Ley de la infancia y la adolescencia.

Ley 375 de 1997. Ley de la Juventud.

Código del Menor o Decreto 2737 de 1.989: Los artículos que sirven de fundamento legal son;
320 al 325.
Decreto 1860 de Agosto 15 de 1.994: Para la elaboración del Manual de Convivencia, podemos
destacar los siguientes Artículos: 17, 18, 19, 20, 21, 22, 23, 24, 25, 26, 27, 28, 29, 30, 31, 32, 54,
55,56.
Decreto 230 de Febrero 11 de 2002: Por medio del cual se dictan normas sobre currículo,
evaluación y promoción de los educandos.
Decreto 1850 de Agosto 13 de 2002: Por medio del cual se reglamenta la jornada escolar y la
jornada laboral.
Decreto 3095 de Diciembre 12 de 2002: Por medio del cual se modifica el Decreto 230 de
2002.
Decreto 1286 de Abril 22 de 2005: Por medio del cual se reglamentan la participación de los
padres de familia en ámbito educativo: las Asociaciones de Padres de Familia y los Consejos de
padres.
Decreto 2832 de Agosto 16 de 2005: Por el cual se reglamenta parcialmente el artículo 89 de la
Ley 115 de 1994, en lo referente a validaciónes de estudios de la Educación Básica y Media
Académica, se modifica el artículo 8 del Decreto 301º2 de 1997,y se dictan otras disposiciónes.
Resolución 13342 del 23 Julio de 1982: Mediante la cual están asignadas las funciones de los
cargos establecidos en los Colegios oficiales.

Entre otras sentencias:

SENTENCIA T-341 de 2003 Sobre el Manejo del Comportamiento.
SENTENCIA T-967 de 2007 Sobre el uso de los celulares.

Otras sentencias de la Honorable Corte Constitucional sobre los Manuales de
Convivencia:

T-386 de 1994, T-859 de 2002, T-02 de 1992.




                                    CAPITULO II.
                          CONCEPTUALIZACION DE CATEGORÍAS

Para alentar la finalidad pedagógica y para facilitar la calificación de las conductas objeto
de regulación del Manual de Convivencia de la Institución Educativa Juan de la Cruz
Posada, se precisan las siguientes categorías:

   A. DE LOS PROCESOS PEDAGÓGICOS Y CURRICULARES


Acudiente:
Persona con mayoría de edad que representa legalmente al educando en su proceso
educativo.

Aprendizaje: El aprendizaje constituye una actividad mental del sujeto que aprende,
permitiéndole la adquisición de conocimientos, hábitos y actitudes, así como la retención
y utilización de los mismos, originando una modificación de la conducta.

El aprendizaje no debe constituir una actividad meramente de repetición y memorización.
Se trata de relacionar las ideas con lo que el alumno ya sabe, de una forma organizada,
permitiéndole la adquisición de conocimientos, hábitos y actitudes.

Comunidad Educativa:
Estamentos que conforman la Institución: Padres de familia, acudientes, estudiantes,
docentes, personal administrativo y de servicios, estudiantes de apoyo.

Educación: Expresión Latina (Educatio) Acto de criar, por extensión: Formación del
espíritu es el proceso mediante el cual se desarrollan las facultades físicas, intelectuales
y morales del educando.

El Verbo Educar significa: Conducir, Guiar (Lat. “Ducare”)

Enseñanza: Es el sistema o método de dar instrucción = Conjunto de Conocimientos,
Principios, Ideas, Tecnologías, etc., que se transmiten a otras personas

La Enseñanza tiene las siguientes dimensiones:

          Debe tener un carácter práctico, puesto que pretende producir ciertos efectos
          sobre la realidad.
          La educación también tiene una dimensión especulativa o teórica
          Es normativa, puesto que reflexiona sobre lo que debe ser.

Hay que precisar que es enseñanza y que es aprendizaje.

Enseñanza es mostrar algo a alguien

Estímulos:

Es el reconocimiento que se otorga con el fin de resaltar actitudes positivas como
resultado de un proceso establecido.

Gobierno Escolar:
Es una organización democrática dentro de los establecimientos educativos con
participación activa de cada uno de los estamentos dela Comunidad Educativa.

Institución Educativa
Conjunto de recursos humanos y físicos que se conforman bajo un objetivo especifico, la
educación.

Instrucción: Por ella se entiende: Aprender, Estudiar y Practicar (Construir el
conocimiento) de materias o artes específicas.

Manual de Convivencia:
Conjunto de principios, normas y funciones que determinan la convivencia pacifica de un
grupo especifico (Comunidad Educativa).

Matrícula:
Acto voluntario y conciente que formaliza la vinculación del educando al servicio
educativo, aceptando deberes y derechos.

Perfil:
Conjunto de características que identifican el rol de cada miembro de la Comunidad
Educativa de acuerdo a los principios que rigen la Institución.



   B. DEL PROCESO DISCIPLINARIO


Acta disciplinaria:

El Acta no es otra cosa que la relación escrita de lo acordado en una Junta o reunión de
personas, convocada para resolver asuntos puntuales. Llevará un registro de las
evidencias, descargos y compromisos cuando se presenta una situación que amerite una
sanción.

Comportamiento:
Forma de conducirse o realizar las acciones personales o colectivas

Compromiso Institucional
Compromiso mediante el cual los estudiantes, padres o acudientes y la Institución
Educativa acuerdan las responsabilidades mutuas al ingresar a la Institución Educativa.


Conducta:
Es el comportamiento individual, forma de conducirlo cada uno en el ejercicio de su
libertad en las relaciones con los demás, observando todo tipo de normas que beneficien
la conducta humana.


Conducto Regular:
Son los pasos a seguir en la gestión del proceso administrativo, educativo, llegando a las
personas competentes de acuerdo a su orden jerárquico

Contrato Pedagógico-disciplinario:
Acuerdo por escrito entre educandos, padres de familia, docentes y administrativos
docentes, donde se establecen compromisos a cumplir frente a una determinada
anomalía, bien sea académica y/o disciplinaria.


Correctivo Disciplinario:
Acción encaminada a mejorar los comportamientos que afectan la normatividad
establecida y que permiten a cada uno de los miembros de la Comunidad Educativa
asumir con responsabilidad las consecuencias de sus actos.


Correctivo Formativo:
Estrategia que favorece la toma de conciencia sobre las acciones y actitudes que deben
ser modificadas para lograr un cambio positivo que contribuya a consolidar su
personalidad individual y colectiva.

Deber:
Obligación moral y jurídica que nace de la conciencia del ser, como persona sujeta a
derechos.

Debido Proceso:
Conjunto de garantías que favorecen a todos los miembros de la Comunidad Educativa,
que se traducen en procedimientos, instancias y competencias en aras de facilitar la
defensa conforme a principios constitucionales y legales.

El debido proceso en la imposición de sanciones es el derecho de todo estudiante a que
se reconozca y observe el procedimiento previamente definido a la adopción de una
sanción contemplada en el Manual de Convivencia

Derecho:
Son las garantías establecidas a través de las normas universales, nacionales e
institucionales que permiten el desarrollo armónico e integral del ser humano.

Descargo:
Es la respuesta verbal o escrita a la que se tiene derecho utilizar cuando aparece
responsable de una situación determinada.

Desescolarización: Medida adoptada por la institución para limitar la asistencia de los
estudiantes a ciertos días y horas especificas o a la jornada escolar normal por un
tiempo determinado en los cuales se le imparten tutorías, cursos personalizados o
talleres con seguimiento y evaluación por parte de los docentes. La desescolarización
se da por Resolución Rectoral, previo acuerdo del Consejo Directivo. También se puede
dar por solicitud de los interesados. Se considera desescolarización a partir de los 10
días.

Disciplina:
Es el comportamiento individual manifiesto a partir de un ordenamiento que establece
pautas de comportamiento colectivo (normas) y que contribuya a la evaluación de su
personalidad y ajuste social.

Es enseñar a pensar y actuar en forma autónoma. Esta es una labor necesaria para
establecer en los seres humanos compromisos claros y modos de comportamiento y
expresión, que les permitan ser individuos que puedan actuar dentro de un marco de
respeto y convivencia social.

El fundamento de la disciplina está en la autonomía, con la cual el individuo reconoce
y asume responsablemente sus faltas y las consecuencias de ellas, procurando
corregirse y superarse. Los fundamentos de la disciplina no se encuentran en las
sanciones, sino en el diálogo y el reconocimiento de la persona.
Es muy difícil para una persona aprender a comportarse adecuadamente, si no se
respeta y no se reconoce su dignidad. La disciplina y las normas que la contienen
ayudan a consolidar la personalidad.

Las normas deben ser claras, precisas y obviamente aplicables en el entorno social para
las que se definen. Deben respetar las culturas, y costumbres de la sociedad objeto de
ellas.

Norma:
Es el mecanismo regulador del comportamiento de la comunidad Educativa. Nace y se
modifica por consenso de estos; pero está sujeto al contexto dado por los principios de
la Institución.

Falta:
El tipo de conducta o conductas, que en determinado momento, causan perturbación o
daño a las personas y elementos que hacen parte de la Institución Educativa.

Falta Disciplinaria:
Es un comportamiento personal y especifico que implique el abuso o extralimitación de
un derecho o el incumplimiento de un deber y por lo tanto causa daño a los valores y
deteriora las relaciones que construyen la convivencia.

Falta de Conducta:
Comportamiento personal y especifico que causa daño grave a los valores individuales y
colectivos que orientan la marcha de la Institución o la sociedad.

Sanción:
Acción pedagógica que lleva a corregir adecuadamente un comportamiento erróneo,
teniendo en cuenta el incumplimiento de las normas y procesos establecidos en el
Manual de Convivencia.

Suspensión: Medida adoptada por la institución como sanción al incumplimiento de la
norma. Consistente en la inasistencia a la institución hasta por 8 días hábiles.


                                  CAPITULO III.
                              DEBERES Y DERECHOS


Los integrantes de la Comunidad de la Institución Educativa JUAN DE LA CRUZ
POSADA son titulares de DERECHOS y por lo tanto sujetos de los DEBERES que a
continuación se relacionan:

Artículo 1. DERECHOS DE LOS ESTUDIANTES

1.    Conocer oportunamente el Manual de Convivencia.
2.    Recibir una educación que propicie su formación integral, de acuerdo con su
      desarrollo biosicosocial.
3.      Ser sujeto y no objeto de su propia formación, orientado en la construcción de su
        autonomía y autoestima.
4.      Conocer oportunamente los resultados de las evaluaciones, trabajos escolares y
        procesos de aprendizaje.
5.      Recibir, en forma oportuna y veraz, información sobre todo lo relacionado con el
        proceso educativo, institucional, de sus estrategias, planes, acuerdos y decisiones
        tomadas por la autoridad competente.
6.      Ser respetado en su intimidad personal y familiar, respecto a la información
        personal que de él tenga la Institución, sujeta al secreto profesional (Art. 15 de la
        Constitución Nacional).
7.      Participar en la planeación, ejecución y evaluación del PEI, de acuerdo con los
        mecanismos que para ello se estipulen.
8.      Formar parte del Gobierno Escolar, con derecho a elegir y ser elegidos (as) para:
      •      Representante de los estudiantes al Consejo Directivo (Art. 143, Ley 115 de
      1994).
      •      Personero (a) de los estudiantes (Art. 28 Dec. 1860 de 1994).
      •      Al Consejo Estudiantil (Art. 29, Dec. 1860 de 1994).
      •      Representante de Grupo y/o Monitor de Grupo.
9.      Expresar su pensamiento, opinión, inquietudes, en forma libre y siguiendo los
        canales de comunicación (Art. 19 D.H.).
10.     Ser considerado y tratado como persona, sin distinción de raza, color, sexo,
        opinión, nacionalidad, posición económica u otra condición. (Art. 6º. 375 de
        1997).
11.     Ser escuchado en sus justos reclamos y sugerencias, siguiendo para ello el
        conducto regular establecido.
12.     Conocer el registro que sobre su comportamiento y desempeño escolar se realice
        en el observador del estudiante o en cualquier otro documento interno de la
        Institución.
13.     Promoverse, dadas las oportunidades de avanzar, según sus capacidades y
        aptitudes personales (Dto. 230 de 2001).
14.     A continuar los estudios en el plantel, siempre y cuando cumpla con las normas
        estipuladas en el presente Manual de Convivencia.
15.     Recibir de manera puntual y completa las clases, de acuerdo con las áreas del
        currículo, a la intensidad horaria del plan de estudios adoptados por la Institución.
16.     Recibir los estímulos y reconocimientos a que se haga acreedor.
17.     Representar la Institución en los diferentes eventos académicos, cívicos,
        religiosos, culturales y deportivos.
18.     Al descanso, el sano esparcimiento, el juego, la participación artística, cultural,
        recreativa y científica de la Institución.
19.     Recibir formación cívica, ciudadana, y participar en los procesos democráticos
        que se realicen en el plantel, y efemérides patrias, actos cívicos, culturales y
        religiosos.
20.     Disfrutar de un ambiente sano, contribuyendo a la formación integral, ayudando a
        mantener el equilibrio ecológico y a mejorar la calidad de vida (Constitución
        Nacional, Arts. 67, 69, Ley 115 de 1994, Art. 14, literal c; Dto. 1860 de 1994, Art.
        17, numeral 3).
21.     Recibir carné estudiantil, que le permita identificarse en cualquier lugar como
        miembro de la Institución.
22.     Recibir y obtener constancias y certificados de estudios, de acuerdo con las
       normas fijadas por la Institución y el Ministerio de Educación Nacional.
23.    Que le sea respetado y aplicado el debido proceso, cuando se le responsabilice
       de una falta, ya sea de disciplina, conducta o de índole académica.
24.    Disfrutar de los espacios locativos en el desarrollo de actividades pedagógicas y
       comunitarias (Ley 115 de 1994, Arts. 32, 73, 87; Dto. 1860 de 1994, Art. 17).
25.    A que se le respeten los bienes, implementos y pertenencias para su trabajo
       escolar.
26.    A que se le respeten las diferencias individuales en su proceso de aprendizaje y/o
       de desarrollo físico, y no recibir maltrato por ningún miembro de la Comunidad
       Educativa.
27.    A recibir, de la Comunidad Educativa, protección conforme la Ley de Seguridad
       Social, procurando el cuidado integral de su salud (Art. 22, literal m; Art. 100 de la
       Ley 115 de 1994; Art. 17, Dto. 1860 de 1994).
28.     A la puntualidad en los horarios establecidos por la Institución para las diferentes
       actividades.
29.    A recibir solidaridad de los integrantes de la Comunidad Educativa en el momento
       requerido.
30.    Participar de procesos de resolución de conflictos en pro de la convivencia
       pacifica.
31.    Beneficiarse del complemento nutricional brindado de acuerdo a sus necesidades.

Artículo 2. DEBERES DE LOS ESTUDIANTES

1.    Analizar y llevar a la practica las normas y principios establecidos en el Manual de
      Convivencia de la Institución.
2.    Participar activa y respetuosamente en todas las actividades que contribuyan al
      crecimiento personal, intelectual y humano.
3.    Ser partícipe de los procesos de convivencia, paz, compromiso social, tolerancia y
      justicia social, contribuyendo a su formación personal.
4.    Cumplir con responsabilidad en evaluaciones, informes, trabajos, talleres,
      consultas, exposiciones y otros. En caso de ausencia de clases, presentar por
      escrito la justificación y colocarse al día en cuanto a actividades realizadas.
5.    Llevar oportunamente, a los padres o acudientes, información que se les envíe por
      intermedio de citaciones, volantes, circulares, informes académicos.
6.    Respetar la vida intima de compañeros y demás miembros de la Comunidad
      Educativa.
7.    Presentar sugerencias respetuosas sobre el mejoramiento o modificación del
      currículo, y de las diferentes actividades programadas.
8.    Manifestar disponibilidad para representar, apoyar, colaborar, respetar y ejercer el
      derecho democrático ante los organismos colegiados, como Consejo Directivo,
      Personero de los Estudiantes y Consejo Estudiantil, de acuerdo con las funciones
      que se estipulan en el Manual de Convivencia.
9.    Expresar oportunamente, y con prudencia, sus ideas, inquietudes, reclamos,
      siguiendo el conducto regular.
10.   Respetar las diferencias individuales y grupales de los compañeros, profesores,
      padres de familia y Comunidad Educativa.
11.   Respetar el conducto regular para realizar sus reclamos y sugerencias.
12.   Leer a conciencia las observaciones anotadas y firmar para dejar constancia de su
      conocimiento y aceptación de lo escrito.
13.   Manifestar permanente interés, esfuerzo y espíritu de superación en los logros
      académicos , participando activamente en el proceso de aprendizaje.
14.   Acrecentar cada día sus aciertos, mediante el buen ejemplo y proyectando la mejor
      imagen de la Institución.
15.   Permanecer en el aula de clase, según horarios establecidos, con disponibilidad de
      trabajar, sin interrumpir el desarrollo normal de las actividades.
16.   Observar excelente comportamiento y participar activamente de los diversos
      eventos.
17.   Asistir puntual y responsablemente a las actividades extraescolares, dejando muy
      en alto el nombre de la Institución.
18.   Participar del descanso y juego sano de forma responsable, acorde con el espacio
      disponible, evitando correr y la brusquedad en el juego.
19.   Participar activamente y con respeto en las conmemoraciones patrias, actos
      cívicos, culturales y religiosos.
20.   Cuidar, proteger, conservando limpios y funcionales los espacios y medios de
      aprendizaje.
21.   Proteger y conservar los jardines y zonas verdes.
22.   Colaborar en el mantenimiento y ornato de la Institución.
23.   Cuidar y velar por la conservación de los recursos naturales del medio: agua,
      plantas, árboles, entre otros.
24.   Utilizar adecuadamente el carné estudiantil, presentarlo al ingreso a la Institución y
      emplearlo como identificación.
25.   Solicitar con anticipación y de acuerdo con las normas fijadas por la Institución, la
      expedición de constancias y certificados, respetando el conducto regular.
26.   Firmar y cumplir los compromisos y acuerdos a que llegue dentro de un proceso
      disciplinario y/o académico.
27.   En la Institución debe:
      • Hacer uso adecuado de la planta física.
      • Hacerse responsable de los daños ocurridos en las instalaciones, dotaciones y
          servicios de los cuales disfruta, reemplazándolos o pagándolos de acuerdo con
          su valor comercial en el momento del daño.
      • Respetar el turno en la cafetería y restaurante, depositando los residuos en los
          recipientes indicados.
      • Entrar con autorización a la Rectoría, sala de profesores, biblioteca, sala de
          cómputo, laboratorios, cocina, y a los salones en hora de descanso o en tiempo
          no autorizado.
28.   Respetar la propiedad ajena. No cometer o involucrarse en robo, hurto o estafa.
29.   Evitar la agresión física o verbal, y no proferir ningún tipo de amenaza contra un
      miembro o miembros de la Comunidad Educativa.
30.   Solicitar por escrito los permisos para ausentarse de la Institución, el cual debe
      llevar el visto bueno del profesor del grupo y del Coordinador de Disciplina, a la vez
      que debe recogerlo personalmente el padre de familia o la persona autorizada (la
      solicitud de permiso debe ir respaldada por la firma de los padres o acudientes).
31.   Responder positivamente a las medidas de protección y seguridad brindadas por la
      Comunidad Educativa.
32.   En caso de no poder asistir a clases y/o actos programados por la Institución, debe
      presentar la excusa por escrito el día que se presente al plantel. Si corresponde a
      un momento de evaluación para que le sea efectuada deberá presentar visto bueno
      del coordinador(a) ante el docente responsable del área o asignatura fin de que se
      le pueda efectuar.”
33.   Llevar correctamente el uniforme, tanto el de diario como el de educación física,
      rigiéndose por los criterios establecidos en cuanto al diseño y a la presentación de
      los mismos.


Artículo 3. DERECHOS DE LOS PADRES DE FAMILIA O ACUDIENTES

1.    Conocer oportunamente el Manual de Convivencia de la Institución y decidir
      libremente el ingreso de su hijo(a) al establecimiento.
2.    Matricular a su hijo(a) de acuerdo con los parámetros establecidos por la
      Institución.
3.    Recibir oportunamente información, orientación y asesoría sobre el
      comportamiento y rendimiento académico de su hijo(a).
4.    Recibir información profesional que contribuya de manera eficaz con la labor
      educativa del docente.
5.    Participar en la elaboración y ejecución del PEI y Manual de Convivencia de la
      Institución.
6.    Elegir y ser elegido para formar parte de la Asociación de Padres de Familia y de
      los distintos consejos que conforman el Gobierno Escolar, de acuerdo con la Ley
      General de Educación de 1994 y su Decreto Reglamentario 1860 de 1994.
7.    Ser atendido en reclamo y/o sugerencias en el momento oportuno.
8.    Recibir un trato cortés, de acuerdo con los principios básicos de las relaciones
      humanas, por parte del Rector, docentes, educandos y demás funcionarios de la
      Institución.
9.    Acudir a los recursos de reposición y apelación cuando a su hijo(a) se le aplique
      una sanción.
10.   Recibir oportunamente las citaciones, circulares y boletines donde se informe los
      compromisos con la Institución.
11.   Conocer el plan de estudios de la Institución y estrategias educativas utilizadas.
12.   Recibir información oportuna sobre el uniforme reglamentario, útiles escolares,
      materiales y demás a utilizar durante el año escolar.
13.   Velar por la idoneidad del personal docente y el cumplimiento en el desarrollo de
      las actividades curriculares que se le brinda a su hijo(a).
14.   Solicitar permiso para retirar a su hijo(a) temporalmente de la Institución durante su
      jornada escolar con causa justificada.
15.   Retirar a su hijo de la Institución en caso de no estar de acuerdo con la filosofía,
      principios y reglamentos establecidos en ella.
16.   Recibir por escrito las decisiones de las comisiones de evaluación y promoción en
      los casos especiales (promoción anticipada o repetición de un grado)
17.   Recibir por escrito las decisiones del Consejo Directivo cuando se da exclusión de
      la institución o por acuerdos que afecten la disciplina o su permanencia en la
      misma.
Artículo 4. DEBERES DE LOS PADRES DE FAMILIA O ACUDIENTES

  1. Acogerse y cumplir con lo estipulado en el Manual de Convivencia de la
      Institución.
  2. Matricular a su hijo(a) dentro de las fechas estipuladas, presentando la papelería
      reglamentaria y cancelando oportunamente los servicios complementarios como
      lo estipula la ley en su Decreto reglamentario y los demás que considere el
      Consejo Directivo de la Institución.
  3. Mantener contacto permanente con la Institución para hacer seguimiento del
      rendimiento académico y/o disciplinario de su hijo(a).
  4. Participar de manera responsable en los talleres, conferencias o encuentros
      programados por la Institución para el mejoramiento de la calidad académica y las
      relaciones afectivas entre los integrantes de la Comunidad Educativa.
  5. Tomar parte activa en planes, programas, actividades y proyectos de Institución.
  6. Ser miembro activo en el proceso democrático del Gobierno Escolar (Asociación
      de Padres de Familia, Consejo de padres, Comité de Evaluación y promoción)
  7. Presentar reclamos y/o quejas personalmente con respeto y siguiendo el conducto
      regular, en los horarios y espacios establecidos. (En caso de ser por escrito debe
      identificarse y nao se hará por vía telefónica).
  8. Tratar con el debido respeto a todas las personas que integran la Comunidad
      Educativa evitando comentarios de mal gusto que denigren de la Institución o de
      alguno de sus miembros.
  9. Utilizar oportuna y adecuadamente los recursos de apelación y reposición que le
      otorga la Ley.
  10. Leer atentamente la información enviada y tenerla presente para el cumplimiento
      de compromisos.
  11. Realizar acompañamiento continuo y eficaz en el proceso de aprendizaje de su
      hijo(a), tanto académica como disciplinariamente, reforzando la labor de la
      Institución en cuanto a formación de valores y desarrollo cognitivo, teniendo
      presente las pautas y orientaciones dadas por la Institución.
  12. Enviar a su hijo(a) puntualmente, bien presentado a la Institución, con el uniforme
      completo, útiles y demás enseres necesarios para su desempeño escolar. Tener
      en cuenta el plazo para estar todo el personal uniformado y los útiles completos:
      son 30 días calendario a partir del ingreso del educando al plantel.
  13. Orientar la realización de las tareas escolares después del horario de clases (no
      hacérselas). Respetando el tiempo y el espacio para las actividades curriculares,
      culturales y recreativas de su hijo(a).
  14. Solicitar oportunamente y por escrito todo permiso para ausentarse su hijo(a) de
      la Institución y recogerlo personalmente ya sea el padre de familia o acudiente,
      durante la jornada p parte de ella.
  15. Asistir puntualmente y durante el tiempo acordado a las entregas de informes
      descriptivos, reuniones, actos culturales, sociales y escuelas de padres
      programadas por la Institución, al igual que a los llamados de la Rectoría,
      Coordinadores, Educadores y Psicólogos.
  16. Acudir a los llamados de la Institución con una buena presentación personal, de
      acuerdo a las circunstancias.
17. No presentarse al establecimiento en estado de embriaguez o bajo el efecto de
       drogas alucinógenas o psicotrópicas.
   18. Responder por los daños a la planta física, mobiliario, ayudas educativas, bienes
       personales de los(as) profesionales o compañeros que hayan sido ocasionados
       por su hijo(a), reponiendo o pagando su equivalente en dinero.
   19. Presentar un adecuado comportamiento en los actos cívicos y culturales, y no
       traer niños(as) a los mismos.


Artículo 5. DERECHOS DE LOS DOCENTES.

Además de los deberes y derechos estipulados en el Decreto 2277 de 1979, Decreto
1278 de 2002, Ley 715 de 2002 (funciones) y el Decreto 734 de 2002 (Código
disciplinario único) y Resolución 13342 de 1982, se consideran como Derechos y
Deberes para los educadores de la Institución los siguientes:

   1. Al voto, la opinión y la participación activa en las diferentes actividades y
       estamentos existentes en la Institución.
   2. Expresarse y ser escuchado en cualquier eventualidad en la que se halle
       involucrado.
   3. Tener acceso a los recursos pedagógicos, físicos, didácticos y tecnológicos con
       que cuenta la Institución.
   4. Proponer y participar en la ejecución de proyectos, de acuerdo con el PEI y con
       libre autonomía.
   5. Respeto por la individualidad e intimidad.
   6. Recibir capacitación y actualización, de acuerdo con los programas y planes de
       estudio institucionales.
   7. A desempeñarse con autonomía dentro del aula de clases.
   8. A no ser discriminado, de acuerdo con los derechos constitucionales.
   9. A recibir un trato digno, respetuoso y cortés de sus superiores y demás miembros
       de a Comunidad Educativa en todas las circunstancias.
   10. A recibir información oportuna y completa sobre los diferentes comunicados que
       llegan a la Institución.
   11. Participar en las decisiones institucionales
   12. Recibir la inducción necesaria al ingreso a la Institución para desempeñar
       eficientemente las funciones del cargo.
   13. Gozar de estímulos e incentivos en el desempeño de sus funciones.
   14. Solicitar y obtener permisos por causas justificadas a directivos docentes.
   15. Participar en foros, seminarios, talleres programados y organizados por Secretaría
       de Educación. Institución Educativa y Sindicato de Educadores.



   Artículo 6. DEBERES DE LOS DOCENTES

   1. Respetar la opinión ajena, sin obstaculizar la libre participación de todos los
      miembros de la Comunidad Educativa.
   2. Presentar sus reclamos con respeto y siguiendo el conducto regular.
3. Utilizar adecuadamente y responder por los recursos pedagógicos, físicos,
    didácticos y tecnológicos con que cuenta la Institución.
4. Tomar parte activa en la planeación y ejecución de los proyectos institucionales
5. Trabajar por la consecución de los objetivos educativos contemplados en la
    Constitución Nacional, en la Ley General de Educación y en el Proyecto Educativo
    Institucional.
6. Respetar la individualidad e intimidad de todos los miembros de la Comunidad
    Educativa.
7. Concurrir a seminarios, talleres, conferencias, reuniones sobre actualización que
    se programen en la Institución u otras Instituciones. Asumiendo una actitud
    positiva frente a los cambios e innovaciones.
8. Reconocer y corregir oportunamente los desaciertos y aportar positivamente en
    beneficio de la institución
9. Observar una conducta pública de acuerdo con el decoro y la dignidad de su
    cargo.
10. Cumplir con responsabilidad, honestidad, ética y autonomía sus funciones,
    teniendo en cuenta la filosofía y planes curriculares de la Institución.
11. Orientar correctamente los procesos curriculares de los educandos, respetando
    las diferencias individuales y los procesos de desarrollo que favorezcan la
    formación integral.
12. Dirigir la construcción del aprendizaje de los educandos, utilizando métodos y
    técnicas que permitan su participación activa.
13. Realizar permanentemente un acompañamiento a los educandos en toda
    circunstancia, tiempo y lugar.
14. Dar un trato cortes a todos los miembros de la Comunidad Educativa, sin hacer
    discriminación bajo ninguna circunstancia.
15. Informarse y dar cumplimiento a los diferentes comunicados que se dan en la
    Institución.
16. Participar activamente en la toma de decisiones institucionales.
17. Atender y responder a la orientación recibida, desempeñándose eficientemente en
    las funciones asignadas.
18. Poner al servicio de la Comunidad Educativa los conocimientos y habilidades que
    posee.
19. Participar en la construcción y ejecución del Manual de Convivencia, manteniendo
    un buen nivel de exigencia, basado en el respeto y la justicia.
20. Acompañar la labor formativa de los padres de familia a través de citaciones
    personales, reuniones, talleres y consejos de padres.
21. Buscar permanentemente estrategias pedagógicas para ayudar a los estudiantes
    que presentan diferentes dificultades académicas o de comportamiento.
22. Favorecer las relaciones fraternales entre docentes, alumnos y padres de familia.
23. Elaborar con responsabilidad los libros reglamentarios y la papelería
    correspondiente.
24. Integrar los equipos o comités institucionales donde se requiere su presencia.
25. Emplear los conductos regulares, para la solución de conflictos con estudiantes,
    padres de familia, docentes y demás miembros de la Comunidad Educativa.
26. Llegar puntualmente a la jornada laboral y demás actividades programadas por la
    Institución.
27. Emplear el conducto regular para solicitar y obtener permisos asistiendo
       responsablemente el evento que indica en su solicitud.



                                    CAPITULO IV.
                                     ESTÍMULOS


Artículo 7. A LOS ESTUDIANTES

Los educandos que se destaquen por los valores: Excelencia, sentido de pertenencia,
feminidad, caballerosidad, espíritu deportivo, compañerismo o por sus talentos
especiales reconocidos por una entidad de carácter municipal, departamental, nacional o
internacional, recibirán los siguientes estímulos:

                    VALORES QUE SON OBJETO DE ESTÍMULO

Responsabilidad               y Cargos de representación del área o de la Institución.
compromiso institucional.       Reconocimiento en Actos cívicos y culturales,
                                anotación en la Hoja de Vida, por docentes o directivos
                                docentes en cualquier fecha del año lectivo.
                                Reconocimiento en la Hoja de Vida, mención de honor
                                ante la comunidad educativa por su buen
                                comportamiento.

Comportamiento                   Reconocimiento en actos cívicos y culturales,
                                 anotación en la Hoja de Vida y en el periódico mural.
Culturales (talentos)            Reconocimiento en actos cívicos y deportivos,
                                 anotación en la Hoja de Vida y en el periódico mural.
Deportivos (talentos)            Reconocimiento en actos cívicos y deportivos, ser
                                 elegido (a) para representar a la Institución en eventos
                                 deportivos dentro y fuera de ella.
Sentido de pertenencia (aseo, Mención de honor y anotación en la Hoja de Vida
presentación           personal,
protección del medio ambiente,
muebles y enseres)
Superación y esfuerzo            Lo deciden los respectivos directores de grupo con los
                                 demás profesores que sirven clase en ese grupo,
                                 según los informes académicos del año.
Rendimiento          académico: Mención de honor. Matrícula de honor.
Primer puesto (según Ley 115
de 1994)
Mejor Bachiller. Lo deciden los Mención De honor y reconocimiento público. Elegido
educadores que sirven clases según los resultados académicos del año escolar
en el grado once.
Mejor bachiller ICFES            Mención de reconocimiento en público según los
                                 resultados de las pruebas ICFES.
Permanencia en la Institución Mención de honor. Reconocimiento en público.
de preescolar al grado 11º
Reconocimiento      de     otros Mención de Honor. Reconocimiento en público.
valores
Compañerismo                     Lo eligen los compañeros del grupo. Mención de Honor
                                 y anotación en la Hoja de vida.
Excelencia, espíritu deportivo, Resaltados en acto de reconocimiento de valores al
feminidad,       caballerosidad, finalizar el año lectivo.
Sentido de pertenencia



Artículo 8. ESTIMULOS A LOS DOCENTES.

  •   Ser tenidos en cuenta para capacitaciones, representación en eventos
      institucionales, deportivos y otros.
  •   Reconocimiento ante la comunidad educativa por el cumplimiento de sus deberes
      con ética y profesionalidad.
  •   Tarjeta de felicitación a los en el semestre sobresalgan por una actividad especial.
  •   Participación en seminarios.
  •   Ser elegido como representante en los diferentes comités.




                                 CAPITULO V.
                EL PROCESO DISCIPLINARIO Y EL DEBIDO PROCESO

Artículo 9. EL DEBIDO PROCESO.

El debido proceso es un conjunto de garantías que protegen las personas, a
efectos de asegurar durante el mismo una pronta y debida justicia.

La nueva legislación para los menores, es decir la expedición d la Ley 1098 de 2006
(Noviembre 8), consagra de manera expresa la observancia del debido proceso, para los
menores de Edad. Textualmente el Art. 26, de la norma indica:

“Art. 26. Derecho al debido proceso.- Los niños, las niñas y los adolescentes tienen derecho a
que se les apliquen las garantías del debido proceso en todas las actuaciones administrativas y
judiciales en que se encuentren involucrados.

En toda actuación administrativa, judicial o de cualquier otra naturaleza en que estén
involucrados, los niños, las niñas y los adolescentes, tendrán derecho a ser escuchados y sus
opiniones deberán ser tenidas en cuenta.”
El debido proceso en la imposición de sanciones es el derecho de todo estudiante a que
se reconozca y observe el procedimiento previamente definido a la adopción de una
sanción contemplada en el Manual de Convivencia. Toda sanción debe ser proporcional
a la falta que se comete, y debe partirse de la presunción de inocencia.

Para ello el establecimiento, acogiéndose a la Sentencia T-435 de 2005, para garantizar
el debido proceso:
    1. Tipifica las conductas sancionables al interior de la institución educativa en el
       Manual de Convivencia.
    2. Garantiza la proporcionalidad ante la falta cometida y la sanción a imponer.
    3. Garantiza la racionalidad de la sanción, esto es, perseguir un fin
       constitucionalmente legítimo.
    4. Garantiza la necesidad de la sanción ante la falta cometida, esto es, que la
       conducta del estudiante es tal que impide la convivencia, de modo que no admite
       otra respuesta que la sanción impuesta.
    5. Señala con claridad un procedimiento a seguir, de manera que el implicado
       pueda ejercer razonablemente su derecho de contradicción y defensa, siempre
       bajo del presupuesto de la presunción de inocencia.

Artículo 10. PRINCIPIOS DEL DEBIDO PROCESO.

   1. Presunción de inocencia.
   2. Derecho de defensa.
   3. Derecho de representación. Como menor de edad por el padre de familia o
      acudiente. De lo contrario acudir a las instancias legales gubernamentales.
   4. Presentación de pruebas.
   5. Derecho de Contradicción.
   6. Derecho de impugnar la sanción. El estudiante puede solicitar que se revisen o
      modifiquen las decisiones del fallador: Coordinador, delegado, Rector o Consejo
      Directivo en los términos legales.
   7. Derecho a no ser juzgado dos veces por el mismo hecho.


Artículo 11. EL CONDUCTO REGULAR.

El Conducto regular como parte del debido proceso para resolver cualquier clase de
conflicto (tanto académico como disciplinario) comprenderá los siguientes pasos:


                                     PASOS


              1. Si el conflicto se presenta en una clase o área o asignatura
                 determinada, se soluciona con el Profesor de dicha área o
                 asignatura en primera instancia. Si el conflicto se presenta
                 en un lugar diferente al aula de clase se soluciona con el
                 docente o directivo docente conocedor de la falta o conflicto.
2. Si persiste el conflicto, se debe acudir al Director de Grupo en
                 segunda instancia.



               3. En tercera instancia es el Coordinador si aún no se considera
                  solucionado el problema o la situación académica
               .


               4. Intervención Alumno- Rector.


               5. Alumno- Rector, padre de familia y coordinación.




                   6. La intervención del Consejo Académico si la situación es de
                      corte académica.


                   7. El último paso es la Intervención del Consejo Directivo. En
                      todos los casos, el Consejo Directivo tiene la última palabra
                      sobre el conflicto a nivel institucional.




Este procedimiento lo deben seguir los alumnos, padres o acudientes cuando consideren
necesario hacer una reclamación, para que en consecuencia, se de un Debido Proceso.
Cada instancia debe verificar que se este cumpliendo cada uno de los pasos y registrar
sus acciones, acuerdos y decisiones. Algunos de estos pasos pueden llevar a
conciliaciones por las partes involucradas donde medien las diferentes instancias
competentes para ello en pro de la convivencia escolar.


Nota: De cada una de las acciones anteriores se dejará constancia por escrito.


Artículo 12. CLASIFICACION DE LAS FALTAS

Las faltas, de acuerdo con la incidencia que tengan frente a la comunidad educativa de
la Institución, se pueden clasificar en tres (3) grandes grupos: Falta Leve, Falta Grave y
Falta Gravísima, dependiendo de la intensidad del daño que cada conducta pueda
producir en la comunidad.


   1. FALTA LEVE: Se entiende por falta leve todas aquellas actitudes que impiden el
      normal desarrollo de las actividades pedagógicas. Se denominan así porque son
prácticas que no contribuyen al mantenimiento del orden colectivo y dificultan el
        desarrollo de hábitos de estudio, organización y respeto hacia cada uno de los
        miembros que conforman la comunidad educativa y la comunidad en general.

   2. FALTA GRAVE: Se entiende por falta grave aquel tipo de conducta o
      comportamiento que atentan contra los principios institucionales, perturbando el
      normal desarrollo de las actividades y que afectan gravemente las normas
      disciplinarias de carácter general y particular de la Institución Educativa.

   3. FALTA GRAVÍSIMA: Se entiende por falta gravísima toda conducta o actitud que
      lesiona en gran medida los valores individuales y colectivos de la Institución
      Educativa, así como aquellas conductas que son consideradas como delitos en la
      Legislación Penal Colombiana.

De acuerdo con lo anterior, antes de tomar cualquier tipo de determinación de orden
administrativo, pedagógico o disciplinario, deberá seguirse un procedimiento que
garantice la correcta aplicación de los procedimientos acordes con el debido proceso.


Artículo 13. FALTAS LEVES:

 13.1      Impuntualidad o inasistencia injustificadas a la Institución
 13.2      El uso de vocabulario soez.
 13.3      Presentarse a la institución portando incorrectamente el uniforme o no portarlo
           sin justificación. Uso inadecuado del uniforme (llevar buzos, camisas,
           camisetas, medias y demás accesorios que no correspondan al uniforme). No
           llevar el uniforme con el largo reglamentario.
 13.4      Escuchar radio u otro tipo de aparatos de reproducción de música durante las
           clases o en actos oficiales de la Institución; igualmente hacer uso de teléfonos
           celulares en las mismas circunstancias.
 13.5      Permanecer en el plantel en horarios diferentes al de la jornada escolar, salvo
           autorización expresa.
 13.6      Perturbar el normal desarrollo de clases o actividades académicas o culturales,
           mediante conversaciones no autorizadas, gritos, risas, burlas, juegos, gestos,
           silbidos, remedos, circulación por el aula u auditorio en momentos
           inadecuados. Comer en clase y/o acto comunitario. Tirar tizas u otros objetos,
           sillas, papeles, entre otros.
 13.7      Permanecer fuera del aula en horas de clase, negarse a ingresar a ésta, o
           ausentarse de la misma sin autorización del docente o directivo docente.
 13.8      Ingresar y permanecer en el aula de clase en momentos de los descansos
 13.9      Comer y/o beber alimentos y golosinas en clase o durante la realización de
           eventos oficiales de la institución.
 13.10     Ingresar sin autorización a las áreas o zonas de tránsito restringido, tales
           como: Rectoría, Secretaría, Coordinaciones, Sala de Profesores, Laboratorios,
           Restaurante entre otros.
 13.11     Participar en juegos de azar en los que se apueste dinero
 13.12     Realizar, participar o propiciar desordenes en clase o actos comunitarios
13.13   Irrespetar la individualidad de miembros de la comunidad educativa o
        comunidad en general, mediante burlas, apodos, comentarios ofensivos o de
        cualquier otra forma dentro o fuera de la Institución.
13.14   Dar mal uso a los elementos facilitados por el plantel o por un compañero.
13.15   Promover o fomentar el desorden e irrespetar el turno en espacios de usos
        comunitarios como: tienda, restaurante escolar y uso de los baños y/o
        sanitarios
13.16   Celebrar inadecuadamente cualquier evento, arrojando huevos, harina, agua,
        o haciendo bromas que atenten contra el aseo y seguridad de compañeros y
        de la institución.
13.17   Esconder o arrojar las maletas, morrales y objetos personales de sus
        compañeros o condiscípulos
13.18   Dejar desaseado y en desorden el aula de clase al terminar la jornada escolar.
        Negarse a participar en las campañas y turnos de aseo.
13.19   Desacatar las instrucciones y órdenes que se le imparta por los docentes o
        directivos docentes de la Institución.
13.20   Rayar paredes, carteleras y baños de la institución.
13.21   Portar material pornográfico y/o exhibirlo dentro de las instalaciones de la
        institución
13.22   Manifestar el afecto o la sexualidad de manera exagerada dentro de la
        Institución.
13.23   Asistir a clase de educación física con uniforme incompleto o sin él.
13.24   La práctica de juegos violentos.
13.25   Arrojar basuras al piso.
13.26   Uso inadecuado de los enseres de la institución y de la planta física de la
        institución.
13.27   Ocultar o retener información escrita que se envíe a los padres de familia o
        acudiente.
13.28   Incumplimiento de talleres, tareas, consultas y demás deberes escolares.
13.29   Traer a la institución celulares con el fin de interrumpir las actividades
        académicas, dentro del salón de clase y en actos de comunidad.
13.30   Comprar en la tienda o en cualquier sitio durante el tiempo de clases.
13.31   Comprar comestibles u otros por la malla o la portería durante los descansos.
13.32   Negociar con dinero, comestibles, mercancías y/o tareas.
13.33   Interrumpir o hacer indisciplina en los corredores, cuando se estén realizando
        actividades en las aulas.
13.34   Esperar al profesor fuera del aula una vez sonado el timbre para cambio de
        clase.
13.35   Realizar en clase actividades distintas a las asignadas por el educador.
13.36   Realizar juegos de azar en el establecimiento (dados, cartas, rifas, venta de
        boletas con interés económico).
13.37   Masticar chicle en clase o en los actos comunitarios.
13.38   Llevar a la institución radios, audífonos y otros elementos que distraigan el
        trabajo académico y que no hayan sido solicitados por el profesor.
13.39   Utilizar apodos para referirse a los compañeros o a cualquier persona de la
        institución.
13.40   Utilizar bromas o chistes de mal gusto que puedan hacer sentir mal a sus
        compañeros o a cualquier miembro de la institución.
13.41     Uso de aretes, persings, gorras y otros. Peinados y tinturas extravagantes.
           Joyas, maquillajes o accesorios en el cabello estrafalarios(as).

Las faltas leves cometidas de manera reiterada, se convierten en falta grave.


Artículo 14. FALTAS GRAVES:

14.1.    Acumular tres (3) amonestaciones escritas en el observador por reincidencia de
         faltas leves o por la comisión de cinco (5) faltas leves diferentes.
14.2.    Dañar candados, carteleras, puertas, muebles, equipos, baños y otros enseres
         de la institución
14.3.    Agredir y/o amenazar verbalmente a cualquier miembro de la comunidad
         educativa o a cualquier persona perteneciente al entorno escolar.
14.4.    Irrespetar a cualquier miembro de la institución.
14.5.    Entorpecer o impedir la comunicación entre la institución educativa y los padres
         y/o acudientes del estudiante.
14.6.    Atentar contra la honra y el buen nombre de cualquier integrante de la
         comunidad educativa
14.7.    Consumir cualquier clase de bebidas embriagantes y/o sustancias psicoactivas
         fuera y dentro de la Institución.
14.8.    Fumar o encubrir fumadores en las instalaciones de la institución.
14.9.    Atentar contra el patrimonio cultural o ecológico de la institución
14.10.   Rebelarse verbalmente y de forma agresiva frente a las instituciones,
         observaciones y/o recomendaciones de docentes y directivos docentes de la
         institución
14.11.   Programar y/o participar, dentro o fuera del plantel en actividades
         extracurriculares que afecten el buen nombre de la Institución educativa.
14.12.   Dañar de manera intencional cualquier implemento entregado en custodia o para
         su uso por parte de la institución.
14.13.   Portar o Ingresar a la institución drogas psicotrópicas o bebidas embriagantes.
14.14.   Presentarse a la institución bajo el efecto de bebidas alcohólicas y/o sustancias
         alucinógenas, generando con ello indisciplina dentro del plantel
14.15.   Tener relaciones sexuales dentro de la institución
14.16.   Inducir, manipular u obligar a otra (s) persona (s) a realizar actos indebidos de
         cualquier tipo.
14.17.   Encubrir o ser cómplice en actos que impliquen comportamientos o conductas
         dañinas e indeseables para la comunidad educativa.
14.18.   Dejar de asistir o ausentarse de la institución sin la debida autorización de su
         padre o acudiente
14.19.   Dar información falsa a los docentes o directivos docentes
14.20.   Presentar un comportamiento indebido durante las salidas pedagógicas,
         deteriorando el buen nombre de la institución
14.21.   Menospreciar o irrespetar los símbolos de la Institución o la Nación, tales como:
         Bandera, Escudo e Himno.
14.22.   Conservar y difundir material pornográfico.
14.23.   Dibujar graffitis de cualquier tipo.
14.24.   Auspicio de sectas satánicas.
14.25. Auspiciar el trabajo sexual entre estudiantes del plantel.
14.26. Ingresar a la Institución o salir de ella por sitios diferentes a la puerta de acceso.
14.27. Participar en peleas callejeras portando el uniforme de la institución.
14.28. Rebelarse y desacato reiterativo a las orientaciones de directivas y profesores.
14.29. Inducir o motivar a terceros a cometer cualquier tipo de falta.
14.30. Utilizar el nombre de la institución para actividades particulares como paseos,
       rifas u otros.
14.31. Indisponer el hogar contra el plantel llevando información falsa o distorsionada.
14.32. Frecuentar bares, heladerías, tabernas, salones de juego o demás sitios de
       diversión portando cualquiera de los uniformes.


Artículo 15. FALTAS GRAVÍSIMAS:

15.1. Reincidir o cometer tres (3) faltas graves
15.2. Agredir físicamente a cualquier miembro de la comunidad educativa
15.3. Portar, exhibir o guardar armas o explosivos, u objetos con los que se pueda
      atentar contra la integridad física de los demás
15.4. Portar, Consumir o Distribuir a cualquier título (gratuito u oneroso) dentro de la
      institución sustancias alucinógenas, psicotrópicas que causen adicción. (Ver Dcto.
         1108 de 1994, Código Nacional y Departamental de Policía).
15.5. Hacerse presente a la Institución bajo los efectos de bebidas alcohólica.
15.6. Amenazar o intimidar de hecho a cualquier miembro de la comunidad educativa
15.7. Planear, liderar, estimular, apoyar o participar en actos de vandalismo u otro tipo
       de conductas violentas dentro de la Institución
15.8. Incumplir un contrato pedagógico (de alcance disciplinario) previamente firmado
       por él y su acudiente.
15.9. Estafar o hurtar dinero, artículos u objetos a cualquier miembro de la comunidad
       educativa, o a la institución. Dependiendo del daño o perjuicio se entenderá como
       falta de mayor entidad
15.10. Retener y/o secuestrar a algún miembro de la comunidad educativa
15.11. Extorsionar a cualquier miembro de la comunidad educativa
15.12. Conformar o hacer parte de pandillas o bandas con fines delictivos o para crear un
       mal ambiente escolar
15.13. Acosar, provocar, abusar y violar sexualmente a cualquier miembro de la
       comunidad educativa
15.14. Fomentar y/o participar de cualquier actividad que afecte la integridad física y/o
       psicológica a los estudiantes de la institución (brujería, prostitución, entre otros)
15.15. Cualquier acto que de una u otra forma atenten contra el derecho fundamental a
       la vida.
15.16. Cualquier forma de terrorismo o situación que produzca pánico ficticio.
15.17. Falsificar firmas, alterar libros, registros de calificaciones y documentos de
       cualquier tipo
15.18. Suplantar a compañeros (as) o hacerse suplantar para evadir responsabilidades
       disciplinarias o con el objeto de presentar pruebas de carácter académico.
15.19. Alterar o destruir libros y registros de informes
15.20. Falsificar firmas en documentos y otros.
15.21. Cualquier conducta tipificada como delito en el Código Penal Colombiano, salvo
       por delitos políticos o culposos.


Ante la ocurrencia de este tipo de conductas, corresponde adoptar las medidas
correctivas, vale decir, adoptar las sanciones que correspondan a cada grupo de faltas,
teniendo en cuenta para cada caso las circunstancias de tiempo, modo y lugar, así como
los factores atenuantes o agravantes de la responsabilidad del infractor, todo ello
enfocado en el respeto y observancia del Debido Proceso. Para ello se hace necesario
tener claro cual es el concepto de Sanción.


Artículo 16. SANCION DE LAS FALTAS

Sanción: Es la reacción del ordenamiento frente al comportamiento de una persona, que
se manifiesta en una consecuencia positiva o negativa según la valoración ética, moral o
jurídica de una conducta.

Sanción es por lo tanto el resultado de un procedimiento correctivo que establece la
Institución Educativa a quien infringe las normas, establecidas por el Manual de
Convivencia. Las sanciones se aplican de acuerdo con la gravedad de las faltas
cometidas. Los correctivos pueden ser: pedagógicos o disciplinarios, según la naturaleza
de la falta, y pretenden, asegurar la convivencia escolar y el cumplimiento de los
objetivos académicos y/o sociales de la institución, teniendo en cuenta que prima el
interés general sobre el particular.

En todo caso, se garantiza a todos y cada uno de los miembros de la comunidad
educativa, la observancia del debido proceso y el derecho a la defensa.

Dado que hay dos tipos o entidades de conductas susceptible de valoración, calificación
y de adopción de medidas, hay que diferenciar los tipos de conductas que tipifican las
faltas académicas o pedagógicas de las faltas o conductas que atenta contra la disciplina
de la institución educativa. Aclaremos los conceptos:

   •   FALTAS ACADÉMICAS: Son aquellos tipos de conducta o comportamiento de
       orden particular, producto de las dificultades en el aprendizaje o en la motivación
       frente a este, que entorpecen el desarrollo intelectual del estudiante, sin que
       afecten el trabajo colectivo o el ambiente escolar.

   •   FALTAS A LA DISCIPLINA: Son aquellos comportamientos o conductas que
       atentan contra el ambiente escolar, deterioran las condiciones de tranquilidad y
       orden que se requieren para llevar a cabo una actividad académica, y estropean
       la convivencia dentro de la institución.

Otros conceptos a tener en cuenta:
Desescolarización: Medida adoptada por la institución para limitar la asistencia de los
estudiantes a ciertos días y horas especificas o a la jornada escolar normal por un
tiempo determinado en los cuales se le imparten tutorías, cursos personalizados o
talleres con seguimiento y evaluación por parte de los docentes. La desescolarización
se da por Resolución Rectoral, previo acuerdo del Consejo Directivo
También se puede dar por solicitud de los interesados.
Se considera desescolarización a partir de los 10 días.

Suspensión: Medida adoptada por la institución como sanción al incumplimiento de la
norma. Consistente en la inasistencia a la institución hasta por 8 días hábiles.

El proceso para la sanción de las faltas se encuentra en los Artículos 18, 19 y 20 de
este MANUAL DE CONVIVENCIA.


Artículo 17. ATENUANTES Y AGRAVANTES

Para la adopción de correctivos o sanciones, bien de orden académico o disciplinario,
deberán revisarse las circunstancias de orden atenuante o agravante, entendiendo por
tales, la graduación de la responsabilidad como menor o mayor identidad según cada
caso. Es necesario entender que cada institución educativa tiene o dispone de
condiciones particulares, de acuerdo con las características del entorno social en la que
actúan, atendiendo a las condiciones particulares de la comunidad educativa que
atienden y de acuerdo con ello determinar las circunstancias que afectarán la toma de
dediciones en cada momento.

Atenuante: Son las circunstancias que aminoran la aplicación de la pena o sanción y
que pueden considerarse como el menor grado de la responsabilidad del imputado, las
conductas y circunstancias atenuantes pueden ser entre otras: Confesión de la falta;
Haber actuado inducido o presionado por un tercero; cometer la falta en estado de
alteración emocional o psicológica, tener una buena conducta anterior; la edad, el
desarrollo sicoafectivo, mental y las circunstancias personales y familiares; cometer la
falta en estado de alteración, ira intensa, motivado por hechos que le causan dolor físico
o psíquico; intentar después de cometida la falta , anular o disminuir sus efectos o
consecuencias.

Agravante: Son las circunstancia que aumentan en rigor en la aplicación de la pena y
aumentan el grado de responsabilidad en la ejecución del hecho, esas circunstancias
son entre otras: Ser reincidente; rehuir la responsabilidad o atribuirla a otro; cometer la
falta aprovechando la confianza depositada en él por la víctima; cometer la falta con
alevosía, premeditación, o en complicidad con otra persona; cometer la falta
aprovechando su superioridad física o mental sobre otras personas; eludir su
responsabilidad, atribuyéndosela a otra persona; el emplear en la ejecución del hecho,
medios que al utilizarse pueden poner en peligro a todo el grupo.

Cuando se trata de la aplicación de sanciones de orden pedagógico y/o disciplinarios,
debe adoptarse por escrito, deben estar consignados en el observador del alumno o
implicado. Esa es la forma de consignar las actuaciones como evidencia del proceso
seguido al implicado.
Artículo 18. PROCEDIMIENTO PARA LAS FALTAS LEVES.

  1. Sanciones Aplicables: Para este tipo de faltas se deben aplicar las siguientes
     sanciones:

        •   Amonestación verbal en privado
        •   Ordenación de acciones de reparación o reivindicación de la falta
        •   Correctivos pedagógicos
        •   Amonestación escrita en el observador cuando se incumplan compromisos
            de mejoramiento o por la consideración de la falta según los atenuantes o
            agravantes.

  2. Competencias: La competencia para la atención y actuación ante este tipo de
     faltas corresponde:
         • Al docente o directivo docente que encuentre en flagrancia al infractor
             (actuación oficiosa)
         • Al docente o directivo docente que reciba la denuncia de cualquier miembro
             de la comunidad educativa, o de los testigos de la falta.

  3. Términos para actuar: Se debe actuar y aplicar la sanción el mismo día de
     conocido el hecho, o a más tardar al día siguiente al que se cometió la falta o se
     tuvo conocimiento de la falta. (Oficiosamente en el caso de flagrancia)

  4. Procedimiento a seguir: Se deben observar los siguientes procedimientos.

        a) Diálogo con el implicado, amonestación verbal escrita en el observador e
           invitación a modificar su comportamiento, se aplicará una acción
           pedagógica o de servicio social, acorde con la falta cometida.
        b) Si el sancionado incumple el convenio señalado (dentro del término
           acordado: días, semanas, meses, etc.) reincide en la falta, se elaborará
           otra amonestación escrita en el observador. El inculpado puede hacer los
           descargos correspondientes y ejercer el derecho a la defensa antes de
           firmar la observación.
        c) Acumular tres (3) amonestaciones escritas en el observador por
           reincidencia de faltas leves o por la comisión de cinco (5) faltas leves
           diferentes constituye por si misma una falta grave y deberá sancionarse y
           procederse de conformidad con esa calificación.



Artículo 19. PROCEDIMIENTO PARA LAS FALTAS GRAVES:

  1. Sanciones aplicables: Para este tipo de faltas o conductas deben aplicarse las
     siguientes sanciones:

        •   Suspensión de las actividades académicas entre uno (1) y cuatro (4) días,
            dependiendo de la falta y atendiendo a las circunstancias atenuantes o
            agravantes. Además, se deberá elaborar una Acta de suspensión y
compromiso (Contrato pedagógico) de cambio incluida en el observador; el
           sancionado deberá ejercer acciones de reivindicación y reparación de la
           falta.
       •   CONTRATO PEDAGOGICO-Disciplinario: Toda falta grave irá
           acompañada de un Contrato Pedagógico-disciplinario firmado por el
           estudiante, sus padres o acudientes, el director de grupo y el coordinador
           y/o Rector según el caso. Su seguimiento, de acuerdo a los atenuantes y
           agravantes de la falta, puede hacer que los padres de familia o acudiente
           se presenten al menos cada 8 días a la institución a fin de controlar y
           evaluar el cumplimiento del mismo. En caso de incumplimiento se
           consignará en el observador y en la Hoja de Vida.

2. Competencias: La competencia para atender este tipo de faltas corresponde al
   Coordinador de la jornada escolar, en la que se cometió la falta, o se tuvo
   conocimiento del hecho. Podrá atender el asunto un docente o el director de
   grupo del implicado, por delegación del Coordinador. De la delegación se deberá
   dejar constancia escrita en el observador. Los directores de grupo o docentes
   carecen de competencia para impedir la entrada o devolver a su casa al
   estudiante que haya cometido una falta, salvo que le haya sido delegada tal
   función por el Coordinador o rector, y de ello debe haber constancia escrita. Los
   coordinadores podrán imponer como sanción máxima la suspensión de cuatro (4)
   días al inculpado. Las suspensiones superiores a cuatro días son exclusivas del
   Rector y del Consejo Directivo.

3. Términos para actuar: Para la atención de estas faltas se dispone de un término
   máximo de tres (3) días lectivos, contados a partir de la ocurrencia de la falta o se
   tenga noticia de la ocurrencia de la misma. El término podrá prorrogarse cuando
   las circunstancias de obtención de pruebas, interrogación de testigos, solicitar
   información así lo amerite. En todos los casos el inculpado por una falta grave,
   permanecerá suspendido de clases inmediatamente, previa información al padre
   de familia (Permaneciendo en coordinación) durante un día, el día en que cometió
   la falta o se tuvo noticia de la ocurrencia de la misma. Luego de ello, deberá asistir
   a la Institución con la finalidad de iniciar el proceso disciplinario, debidamente
   acompañado de sus padres o acudientes y acudir a la oficina del Coordinador o
   Rector según el caso. El día de la suspensión se contará como parte de la
   sanción que se adopte.

4. Procedimiento a seguir: Ante la ocurrencia de una falta de esta clase se
   deberán observar los siguientes pasos o procedimientos tendientes a garantizar el
   derecho a la defensa del o los implicados:

   •   Citar al padre de familia o acudiente por escrito y/o vía telefónica. El implicado
       no se reintegra a sus labores académicas hasta que no se presente con su
       padre(s) de familia o acudiente.
   •   Al día siguiente o cuando se presenten con los respectivos padres de familia o
       acudientes dialogar con ellos y el implicado, o con cada uno de los implicados
       y sus respectivos padres o acudientes, además de interrogar a los testigos con
       la finalidad de reconstruir los hechos, verificar información, etc. De los hechos
constitutivos de la falta debe quedar constancia escrita en un Acta, la que debe
         contener la descripción de la falta, las circunstancias atenuantes o agravantes
         de la conducta e incluir en ella la sanción a imponer; además debe celebrarse
         un compromiso (Contrato Pedagógico–disciplinario) con el implicado a fin de
         modificar su conducta y mejorar su comportamiento. Tanto el Acta como el
         contrato Pedagógico-disciplinario deben estar firmados por el implicado, sus
         padres o acudientes, por el coordinador y el rector, y se archivará en el
         observador correspondiente al alumno implicado.

     •   La dosificación de la falta pueden ser modificada por el coordinador o su
         delegado, según el caso, atendiendo a las circunstancias atenuantes o
         agravantes. La sanción no puede sobrepasar el límite de cuatro (4) días.

     •   El suspendido al reintegrarse a las actividades académicas deberá
         presentarse al orden del día. Si durante el período de suspensión se realizan
         evaluaciones orales y/o escritas y el no está presente, las mismas serán
         realizadas en las fechas de refuerzo durante el período o final de año.


Artículo 20. PROCEDIMIENTO PARA LAS FALTAS GRAVÍSIMAS.

  1. Sanciones aplicables: Ante la ocurrencia de este tipo de faltas, se aplicarán las
     siguientes sanciones:

         a) Suspensión de actividades académicas durante un período comprendido
            entre: cinco (5) y treinta (30) días, sanción notificada mediante Resolución
            Rectoral.
         b) Notificación de suspensión, firmada por el estudiante, sus padres o
            acudientes, Coordinador(a) y Rector.
         c) Des-escolarización por el año en curso y pérdida del cupo para el año
            siguiente, si ha transcurrido más del 50% del año lectivo.
         d) Cancelación de la matrícula.
         e) En el caso de que el implicado sea un estudiante del decimoprimero grado
            (11), no será proclamado como bachiller en el acto comunitario de
            graduación.
         f) Cuando el sancionado sea deportista activo, y cometa una falta gravísima
            en desarrollo de un encuentro deportivo, además de la sanción queda
            automáticamente excluido del equipo deportivo y no podrá seguir
            participando en las competencias deportivas, dentro o fuera de la
            Institución Educativa a nombre del grado o ella misma o Actos
            representativos de la institución.

  2. Competencias:
  2.1. La atención de este tipo de faltas corresponde al Rector de la Institución
       Educativa, o en su defecto el delegado, quien puede ser un docente o el
       coordinador, la delegación debe ser siempre escrita, indicando el alcance de la
       misma; el Rector posee la competencia para aplicar sanciones entre cinco (5)
       y diez (10) días de suspensión.
2.2.    Cuando las faltas sean de gran entidad, corresponderá exclusivamente
       adoptarlas al Consejo Directivo de la Institución, o sea aquellas que conlleven
       más de diez (10) días de suspensión, la perdida de cupo, la cancelación de
       matricula o la no proclamación de un Bachiller en público. La adopción de la
       sanción, se consignará en un acuerdo del Consejo Directivo, y será notificada
       al sancionado y padres o acudientes mediante una Resolución Rectoral.



   Términos para actuar: La adopción de estas medidas, se debe hacer dentro de
   los ocho (8) días lectivos siguientes a la ocurrencia de la falta, o que se tenga
   conocimiento de la misma. La prórroga de los términos solo será posible, cuando
   por razones de investigación o práctica de pruebas. El día de la ocurrencia de la
   falta, el estudiante será suspendido de clases (quedándose en coordinación), y
   regresará al día siguiente acompañado de sus padres o acudientes, para que se
   inicie el proceso disciplinario. El día de suspensión se contabilizará dentro de la
   sanción que se adopte.

3. Procedimiento a seguir: Ante la ocurrencia de una FALTA GRAVISIMA se
   deberán observar los siguientes pasos o procedimientos tendientes a garantizar el
   derecho a la defensa de los implicados.

       a) Citación por escrito y/o telefónicamente a los padres de familia o
          acudientes, citación que deberá anexarse o registrarse en el observador del
          alumno.
       b) Interrogar al implicado o implicados sobre el hecho; realizar reconstrucción
          de los hechos constitutivos de la falta, presentar descargos y analizar las
          circunstancias atenuantes o agravantes según el caso. Una vez analizadas
          las causas y se haya dado cumplimiento al debido proceso, el competente
          (rector o Consejo Directivo) adoptarán la sanción, indicando, si es por
          suspensión o desescolarización y cuantos días se aplicarán dentro del
          rango de 5 ó más días. De la actuación debe quedar prueba escrita,
          mediante      Acta de Investigación del Rector (que se anexará al
          Observador del alumno) o la suscripción del Acuerdo del Consejo
          Directivo en la que se dejen explícitamente narradas las circunstancia de
          tiempo, modo y lugar de la ocurrencia de la falta; el Acuerdo será firmado
          por el consejo directivo y será la base de la Resolución Rectoral que
          aplicará la sanción. El Acta de Investigación del Rector será firmada por el
          rector o delegado, el implicado y sus padres o acudientes y coordinador(a).
          Copia de los documentos: Acta y Acuerdo del consejo directivo y resolución
          rectoral se archivarán en el observador del sancionado y en su hoja de vida
          al igual que el Acta de Investigación del Rector.
       c) La Resolución por Desescolarización será expedida por parte de la
          Rectoría dando cuenta de la decisión tomada, reiterando los recursos que
          se tienen frente a la misma por parte del estudiante o los estudiantes
          implicados. Sólo se hará efectiva una vez se resuelvan los recursos
          interpuestos o transcurra el tiempo para que se agote su interposición.
d) Cuando la sanción corresponda a una suspensión, se deberá suscribir un
            COMPROMISO firmado por el Rector, el implicado, sus padres y/o
            acudientes, en el que se comprometa el estudiante a modificar su conducta
            y solicitar ayuda psicológica dentro de la Institución (si existe el servicio), o
            fuera de ella. Además debe quedar claro que los padres o acudientes
            aceptan la cancelación de la matrícula, cuando se presente la
            reincidencia de la falta, o la comisión de una nueva falta grave o gravísima.

         c) Cuando la falta amerite suspensión: durante los días de suspensión, el
            alumno deberá indagar con sus compañeros sobre las actividades de tipo
            académico y se compromete realizar sus actividades al orden del día. Para
            las evaluaciones orales o escritas realizadas en los días de suspensión, el
            implicado las presentará en los días en que se programen los refuerzos del
            período o al final del año.

         d)    Cuando la falta amerite la desescolarización: durante el tiempo de
              desescolarización el estudiante en acompañamiento del padre de familia o
              acudiente deberán presentarse a la coordinación para recibir y devolver los
              trabajos, talleres, u orientaciones pertinentes entre otros, dentro de los
              plazos fijados por los docentes de las respectivas áreas o asignaturas,
              (semanal, quincenal o mensualmente). El acatamiento de los trabajos, o su
              no realización se consignarán en un acta que deberá ser suscrita por el
              docente, el estudiante y el representante o acudiente del mismo. Copia de
              esas actas se archivaran en el observador y hoja de vida del estudiante.


         e) Cuando el sancionado sea un estudiante del GRADO ONCE (11), no será
            proclamado bachiller en el acto público para tal fin. Él deberá reclamar su
            diploma y acta de grado, al día siguiente (lectivo o hábil) en que se haya
            efectuado la ceremonia de graduación de los estudiantes de grado once
            (11) o en días posteriores.

Parágrafo: Para la desescolarización, mientras se reúne el Consejo Directivo el
estudiante que cometió la falta continuará asistiendo a clases con estricto seguimiento
por parte del director de grupo, la coordinación y el compromiso de los padres de familia
o acudientes.


Artículo 21. CANCELACION DE MATRICULA Y PERMANENCIA DE REPROBADOS

Para el caso de cancelación de la matrícula de un estudiante o negación de cupo escolar
para el año siguiente, es de exclusiva competencia del Consejo Directivo.

Esta sanción opera solo para los estudiantes que cometieron faltas gravísimas, o
aquellos que han perdido el año dos (2) veces consecutivamente. La perdida de cupo
para los repitentes será solo de un año; para los sancionados por faltas gravísimas será
definitiva.
Parágrafo. Permanencia de reprobados. La institución garantiza la permanencia de
los educandos que reprueban el curso por primera vez y registran seguimientos
disciplinarios y de conducta que denotan acatamiento al Manual de Convivencia
Escolar.

Es decir, los educandos que reprueban el grado y tienen proceso disciplinario por faltas
graves o gravísimas, tienen afectada la permanencia en la institución y la pérdida del
cupo, según el artículo 96 de la Ley 115 de 1994.




Artículo 22. DE LOS RECURSOS QUE SE PUEDEN INTERPONER

Ante la adopción de cualquier sanción por faltas graves y gravísimas proceden los
recursos de:

   1. RECURSO DE REPOSICIÓN: Este Recurso se presenta ante el funcionario
      competente que emitió la sanción con el objeto de que la revise, modifique o
      revoque. (RE: prefijo latino = repetición, recobrar, reabrir)

   2. RECURSO DE APELACIÓN: Este Recurso se presenta ante el superior
      jerárquico de quien produjo la sanción con la finalidad de que la modifique o
      revoque. (En este recurso está implícita la prohibición de la: Reformatio in Pejus)

Cuando la sanción sea adoptada por el Coordinador, el estudio de la Apelación
corresponderá al Rector; cuando la sanción la imponga el Rector, corresponderá al
Consejo Directivo resolver la Apelación. Cuando la sanción sea adoptada por el Consejo
Directivo como máxima autoridad del gobierno escolar, solo procederá el Recurso de
Reposición. En la comunicación escrita de la sanción, se deberá expresar que
recursos se conceden y ante cual autoridad.

Dada la importancia del proceso educativo, se conceden los siguientes términos para
presentar y resolver los recursos:

   •   Para presentar el recurso: Tres (3) días hábiles.
   •   Para resolver el recurso: Máximo Cinco (5) días hábiles.


Artículo 23. ACTUACIONES ADMINISTRATIVAS

Todas las decisiones de orden académico o disciplinario deben consignarse por escrito,
deben ser elaborados de acuerdo con la gravedad de la falta, es decir, la comunicación
de las sanciones se harán mediante: Carta motivada, Acta, Acuerdo del Consejo
Directivo y Resolución Rectoral (Por el coordinador, Rector o Consejo Directivo).
Carta Motivada: Se entiende por tal, la comunicación escrita que se remite al
sancionado, en la que debe contener los motivos que originaron la sanción; la sanción
propiamente dicha, y finalmente que recursos caben en contra de ella. Esta carta debe
ser firmada por la persona competente, es decir, por quien el Manual de Convivencia,
defina como tal. Reposará en el Observador del Alumno.

Acta: El Acta no es otra cosa que la relación escrita de lo acordado en una Junta o
reunión de personas, convocada para resolver asuntos puntuales.

El acta debe estar firmada por quien presidió la reunión, y el secretario de la reunión, en
su redacción debe decirse:

   •   Lugar, fecha y hora de la Reunión
   •   Identificación de todos y cada uno de los asistentes a la reunión
   •   Cargos de las personas reunidas
   •   Nombre e identificación de la persona que preside la reunión y de quien actúa
       como secretario
   •   Tema (s) a tratar. Vale decir, si hay orden del día y/o el motivo de una reunión
       especial expresarlo en el Acta respectiva
   •   Hora y fecha de la terminación de la reunión
   •   Del Acta se deben suscribir dos ejemplares: uno para el libro de actas de la
       entidad y el otro para la persona interesada en conocer lo resulto.

Acuerdo del Consejo Directivo: Un Acuerdo es la expresión de lo resuelto por varias
personas, es la manifestación escrita de una determinación sobre un tema específico. Un
Acuerdo debe contener básicamente dos cuerpos: Los Considerandos y la parte
Resolutiva.

   •   Considerandos: Son las circunstancias de tiempo, modo y lugar que van a dar
       lugar a la toma de una decisión; esas circunstancias se deben expresar de forma
       clara y teniendo en cuenta el orden cronológico de cada hecho motivo de análisis.
   •   Acuerdo: Con base en los considerandos, se deben resolver los hechos llegando
       a toma de una decisión que se materializa en lo resuelto por el documento.


Artículo 24. EVALUACION DEL COMPORTAMIENTO SOCIAL O DISCIPLINA.

(Acuerdo Directivo 007 del 29 de mayo de 2008)
El Comportamiento social será evaluado de forma descriptiva.

Al finalizar cada periodo será entregado un informe del Comportamiento Social a los
padres de familia o acudientes que de cuenta del cumplimiento o no de lo estipulado en
el Manual de Convivencia. El informe empleará para ello ítems.

El informe llevará el encabezamiento: INFORME DE COMPORTAMIENTO SOCIAL,
para diferenciarlo del Informe de Evaluación (Informe Académico). A continuación
vendrá la parte descriptiva haciendo uso de los ítems.
Este informe saldrá de reunión de los docentes que dictan clase en cada grado bajo la
orientación de la coordinación de la Institución. El director de grupo será quien con el
consolidado de la reunión elaborará la sistematización (ingresará en medio magnético
los códigos de los ítems ya establecidos) para entregar a la Secretaría de la Institución.

Esto mismo se aplica para los Certificados Escolares.

Parágrafo: Tanto el informe académico como el informe de comportamiento social se
registrarán en una misma planilla.

Artículo 25. ESQUEMA SANCIONATORIO


                                   LA FALTA



                           TIPIFICACION DE LA FALTA



                                Docente.
                                Director de grupo.
                                Coordinador.
                                Rector.
                                Consejo Directivo


           COMUNICACIÓN ESCRITA A PADRES O ACUDIENTES
                       (Faltas graves o gravísimas)


         DESCARGOS SEGÚN GRAVEDAD DE LA FALTA. (1, 2 o 3 DÍAS
         HABILES)

                        ESTUDIO DEL CONSEJO DIRECTIVO.



                PRODUCE RESOLUCIÓN APLICACIÓN DE LA SANCIÓN



                         IMPUGNACIÓN A LA SANCIÓN
                               Rec. Reposición
                               Rec. Apelación




                                      3 DIAS
EJECUTORIA DE LA SANCIÓN QUEDA EN FIRME.




                               CAPÍTULO VI.
                  EL PROCESO DE EVALUACIÓN Y PROMOCIÓN


Artículo 26. EVALUACIÓN Y PROMOCION.

Los procesos de evaluación y promoción de los educandos, en la Institución Educativa
JUAN DE LA CRUZ POSADA en los diferentes niveles se rigen por el Decreto Nacional
230 de 2002, el Decreto Nacional 1860 de 1994, y el Acuerdo 002 de 2007, emitido por
el Consejo Académico.


Artículo 27. LA EVALUACIÓN DEL RENDIMIENTO ESCOLAR.

Los estándares, competencias, logros e indicadores de logros académicos serán
organizados por grados, ciclos y áreas, a los cuales se les asignarán códigos y juicios
de valoración para evaluar a los educandos durante el año escolar.

La evaluación se hace fundamentalmente por comparación del estado de desarrollo
formativo, cognoscitivo y cognitivo de un educando, en relación con los logros
propuestos en el currículo.

Se tendrán en cuenta como MEDIOS EVALUATIVOS:

• PRUEBAS DE: Comprensión, análisis, síntesis, discusiones formativas y en general
  de apropiación de conceptos y solución de problemas.

• APRECIACIONES CUALITATIVAS: Observaciones, diálogos, entrevistas, trabajos
  orales y escritos, individuales o colectivos, participación del educando, consultas,
  notas en sus cuadernos, tareas, utilización de recursos , manejo de equipos o
  implementos de trabajo diarios y pedagógicos, videos, informes de laboratorios,
  informes de salidas pedagógicas, entre otros.

• LOGROS Y COMPETENCIAS: Son los aspectos y saberes que se consideran
  necesarios en los procesos de desarrollo de los educandos.
  Comprende: conocimientos, habilidades, destrezas y otras competencias que deben
  desarrollar los educandos de un grado o nivel, en un área determinada, en el proceso
  de formación.
• INDICADORES DE LOGRO: Son evidencias que constatan hasta donde y en que
  proporción se alcanzó o se alcanzaron los logros propuestos.

Parágrafo 1. Los indicadores de logro serán definidos al inicio del año escolar por
grado, ciclo y área, válidos para todos los períodos y para decidir la promoción de los
estudiantes, al igual que las recomendaciones y estrategias pedagógicas.

Parágrafo 2. Las competencias, logros e indicadores serán dados a conocer a los
educandos al inicio del año escolar. De igual forma se socializarán con los padres de
familia

Parágrafo 3. Una semana antes de finalizar cada período se aplicarán como parte de la
evaluación las pruebas tipo SABER e ICFES y servirán como referente para la
superación y alcance de logros en los planes de refuerzo.


Artículo 4º Decreto 230 de 2002. Evaluación de los educandos. La evaluación de los
educandos será continua e integral, y se hará con referencia a cuatro períodos de igual
duración en los que se dividirá el año escolar.
Los principales objetivos de la evaluación son:

a. Valorar el alcance y la obtención de logros, competencias y conocimientos por parte
de los educandos.
b. Determinar la promoción o no de los educandos en cada grado de la educación básica
y media.
c. Diseñar e implementar estrategias para apoyar a los educandos que tengan
dificultades en sus estudios; y
d. Suministrar información que contribuya a la autoevaluación académica de la
Institución y a la actualización permanente de su plan de estudios

Artículo 28. CARACTERÍSTICAS DE LA EVALUACION.

La evaluación del proceso de aprendizaje del estudiante en sus diversas dimensiones,
humanas e intelectuales se realizará de acuerdo al desarrollo de competencias partiendo
de logros propuestos para cada uno.

La evaluación debe ser integral, permanente, dinámica, objetiva, continua, cualitativa y
motivante.

Objetiva: justa y equilibrada según los parámetros establecidos por la Ley. Integral: Que
recoja todos los aspectos del ser humano. Continua: Que se realice permanentemente y
durante todo el año.

Cualitativa: Indicando la calidad, los detalles y las apreciaciones. Motivante: Que sea
abierta, dinámica, variada, didáctica, lúdica y que tenga en cuenta las características
individuales de los educandos.
Debe contarse con la auto evaluación, coevaluación y hetereoevaluación con el fin de
dar participación y proporcionar el desarrollo integral del educando dentro de los
principios de equidad y justicia.


Artículo 29. CRITERIOS DE EVALUACIÓN.

(Acta del Consejo Académico del 2007)
La evaluación es un proceso descriptivo y continúo. Da cuenta de los avances de
formación de los educandos para ello se debe tener en cuenta, entre otros aspectos, los
logros, los indicadores de logro y las competencias.

   1. Al iniciar el año lectivo el educador debe hacer un diagnóstico del grupo y del
       área y/o asignatura para detectar las falencias y/o fortalezas.
   2. Si el 60% de un grupo obtiene una valoración de insuficiente o deficiente en una
       evaluación, el docente debe retomar el proceso de evaluación aplicando los
       correctivos necesarios. Los correctivos a tener en cuenta serán: repetir la prueba,
       realizar la socialización de la misma, su sustentación o aplicar el instrumento
       necesario.
   3. Se deben dar como mínimo 4 momentos de evaluación por cada asignatura o
       área para su valoración en cada uno de los cuatro períodos.
   4. Los docentes devolverán a los estudiantes todas las evaluaciones de sus trabajos
       con las correcciones y sugerencias para alcanzar logros previstos.
   5. Los resultados de las valoraciones de cada una de las asignaturas o áreas se les
       dará a conocer a los estudiantes antes de ser pasados a Secretaría en cada uno
       de los periodos del año.
   6. Al comenzar cada período se dará a conocer los estudiantes los logros, los
       indicadores de logro, los contenidos y los criterios de evaluación a tener en cuenta
       durante el mismo en cada una de las áreas o asignaturas y dejara evidencia en
       los cuadernos o notas personales de los estudiantes.
   7. La realización de evaluaciones y/o trabajos escritos, sustentaciones orales y todo
       aquello que forme parte o contribuya a la actividad evaluativo se debe anunciar
       con la debida anticipación a los educandos. Si en el cuarto período un estudiante
       obtiene valoración de aprobación en una asignatura o área después de que en
       sus anteriores periodos ha sido insuficiente puede, a criterio del docente titular o
       representante del área o asignatura y como conocer directo del proceso formativo,
       ser valorada como superada y obtener A o S.
   8. Si un estudiante tiene una valoración en un solo período con I o D, la valoración
       final no podrá ser inferior a A.
   9. Si un estudiante tiene una valoración de A en todos los períodos y en el cuarto
       obtiene I, la valoración final depende del docente.
   10. Si un estudiante al finalizar el año en la evaluación final demuestra un manejo
       suficiente de todos los componentes de la asignatura o área podrá tener una
       valoración definitiva, a criterio del docente, superior a A independiente de la
       valoración de otros períodos.
   11. En todos los casos el docente deberá tener evidencias claras y precisas de todos
       estos procesos a fin de sustentar las valoraciones obtenidas por los educandos a
       su cargo.
Artículo 30. REFUERZOS Y RECUPERACIONES

Tener en cuenta los siguientes conceptos relacionados con los planes de refuerzo y
recuperación:

      •    Refuerzo: acciones de acompañamiento brindadas durante el año, a los
           estudiantes que en el proceso presenten dificultades. Es de mejora continua.
      •    Recuperación: es la evaluación aplicada a aquellos estudiantes que hayan
           obtenido Insuficiente o Deficiente en una o más áreas, al finalizar el año lectivo.

1. Formatos. Formatos para evidenciar el Plan de Refuerzos y Superación de logros
Insuficientes o Deficientes, hacer seguimiento y ser diligenciados y entregados a Padres
de familia y estudiantes, así:

1.1. Formato CA001. Formato para compromiso académico

                                  CONTRATO ACADÉMICO O COMPROMISO ACADEMICO

ESTUDIANTE: …………………………… GRUPO:……….. PERIODO:………FECHA:………….
AREAS Y ASIGNATURAS CON DIFICULTAD (Marcar con una X)

Ciencias   Ciencias Sociales           Educació    Etica   Educació   Educació    Mate     Ciencias            Tecnología   Humanidades
Naturale   Socia-     Filo-    Econo   n                   n Física   n           mática   Química    Física                Inglés  Lengua
s          les        sofía    -       Artística                      Religiosa   s                                                 Castellana
                               mía




La Comisión de Evaluación y Promoción del grado………., en cumplimiento del Art. 8º del decreto 230 del 2002, hace entrega del presente
Compromiso Académico o Contrato Académico. Por cada área habrá un Plan de Refuerzo, donde se consignarán las acciones propuestas a realizar
con el acompañamiento de la familia y la orientación del docente del área.


RECOMENDACIONES DE LA COMISIÓN

…………………………………………………………………………………………………………………………………………
…………………………………………………………………………………………………………………………………………
…………………………………………………………………………………………………………………………………………
COMPROMISOS DEL ESTUDIANTE
…………………………………………………………………………………………………………………………………………
…………………………………………………………………………………………………………………………………………
…………………………………………………………………………………………………………………………………………
COMPROMISOS DEL PADRE DE FAMILIA O ACUDIENTE
……………………………………………………………………………………………………………………………………………
…………………………………………………………………………………………………………………………………………
FIRMAS
………………………………………………. ……………………………………………                                                            …………………………………...
PADRE DE FAMILIA O ACUDIENTE ESTUDIANTE                                                             DIRECTOR DE GRUPO

Nota: Este contrato o compromiso irá anexo al observador del alumno, quien se quedará una copia.




1.2. Formato CA002. Formato Plan de Refuerzo.
PLAN DE REFUERZO

Area: __________________________________________ Período: ________________ Fecha: ___________________
Profesor: ______________________________________ Estudiante: _____________________________________________

Logros pendientes:
   1._______________________________________________________________________________________________________
  2._______________________________________________________________________________________________________
  3._______________________________________________________________________________________________________
  4. _______________________________________________________________________________________________________

                                          ACTIVIDADES DE REFUERZO Y SUPERACION
   Criterios de Evaluación               Fecha y Hora     Actividades    Valoración                                   Observaciones




NOTA: La responsabilidad en el cumplimiento de actividades será el producto del acuerdo entre el padre de familia –estudiante y el educador del
área. Si el educando o el padre de familia se niegan al proceso de las actividades o lo suspenden se declaran insuficientes los logros de dichas
áreas.




_______________________________           _______________________________              __________________________________
      Profesor                                       Estudiante                                        Padre de Familia




2. Proceso para el Manejo de los Refuerzos: Al momento de entregar los informes
académicos a los padres de familia, los directores de grupo harán firmar un Contrato o
Compromiso Académico a los estudiantes que se encuentran pendientes de logros
(Formato CA001 Compromiso Académico), del cual se les entregará una copia. En la
semana siguiente a la firma de este compromiso académico se acercarán a los
docentes de las áreas de las cuales deben logros de este periodo o de otros; el docente
del área entonces le diligenciará un Plan de Refuerzo (Formato CA002 Plan de
Refuerzo), estos planes de refuerzo los hará llegar el profesor del área o asignatura al
director de grupo. Este entregará tanto el Compromiso Académico como el Plan de
Refuerzo de cada alumno a la Comisión de Evaluación y promoción correspondiente,
quien hará las recomendaciones pertinentes y citará al Padre de Familia o acudiente
para lograr su compromiso en la ejecución de este Plan de Refuerzo. El cumplimiento y
el seguimiento de los planes de refuerzo es competencia de las Comisiones de
Evaluación y Promoción de cada grado.

3. Los logros por áreas o asignaturas que hayan quedado pendientes de periodo se
harán en el siguiente periodo según el Plan de Refuerzo que se convenga con los
implicados. Si en este tiempo no son superados quedarán nuevamente pendientes y se
reforzarán en el próximo periodo. En todo caso se dispondrá de todo el año lectivo para
que los alumnos puedan reforzar.


4. Otras consideraciones a tener en cuenta para el manejo de los Refuerzos y
Recuperaciones y su debida aplicación:

   •   Al inicio de cada periodo los educandos conocerán los logros, indicadores de
       logro y los criterios con los cuales serán evaluados.
   •   El refuerzo como mejora continua durante el periodo puede darse en términos de
       nuevas explicaciones, talleres adicionales, sustentaciones, encuentros con padres
       de familia, entre otros.


Los refuerzos se hacen durante todo el año, son actividades y compromisos adquiridos por las
partes involucradas, que tienen como instrumentos los planes de refuerzo de cada periodo, que
sirven para fortalecer el proceso formativo de los estudiantes. Se registra como superado ó no
superado, no tienen valoración como la establecida en el artículo 5 del decreto 230. La
evidencia de los resultados se reflejará durante el siguiente periodo.

Las recuperaciones se manejarán según lo estipulado en los artículos 10 y 11 del Decreto 230
de 2002. Se entregarán programas de refuerzo pertinente con las dificultades que presentó el
educando y que el profesor del área le entregará, a través del director de grupo, en la reunión
final de padres de familia correspondiente al cuarto y quinto período para ser evaluados en enero
del próximo año lectivo.

Parágrafo: Los planes de mejoramiento para cada alumno se elaborarán con base en los logros
no alcanzados que figuran en el informe que se entrega al padre de familia en cada periodo.

Artículo 31. LOS CRITERIOS DE PROMOCIÓN.

Dados por Artículo 9 del Decreto 230 del 2002. Los establecimientos educativos tienen
que garantizar un mínimo de promoción del 95% de los educandos que finalicen el año
escolar en cada uno de sus grados.

Al finalizar el año, la comisión de evaluación y promoción de cada grado será la
encargada de determinar cuáles educandos deberán repetir un grado determinado.

Se considerarán para la repetición de un grado cualquiera los siguientes educandos:

a) Educandos con valoración final insuficiente o deficiente en tres o más áreas.
b) Educandos que hayan obtenido valoración final insuficiente o deficiente en
matemáticas y lenguaje durante dos o más grados consecutivos de la educación básica.
c) Educandos que hayan dejado de asistir injustificadamente a más del 25% de las
actividades académicas durante el año escolar.

Es responsabilidad de la comisión de evaluación y promoción estudiar el caso de cada
uno de los educandos considerados para la repetición de un grado y decidir acerca de
ésta, pero en ningún caso excediendo el límite del 5% del número de educandos que
finalicen el año escolar en cada grado. Los demás educandos serán promovidos al
siguiente grado, pero sus evaluaciones finales no se podrán modificar.

Parágrafo. Si al aplicar el porcentaje mínimo de promoción, es decir el noventa y cinco
por ciento, al número de alumnos de un grado y la operación da como resultado un
número fraccionario, se tendrá como mínimo de promoción el número entero de
educandos anterior a la fracción.

Artículo 32. REGISTROS ESCOLARES Y VALORACIONES.

La Institución lleva los siguientes registros:

1) Hoja de Vida, donde se consignará, además de los datos personales y familiares,
   aspectos comportamentales, académicos, positivos, correctivos y a mejorar. Este
   registro se realizará por períodos haciendo un resumen del Observador del estudiante.

2) Observador del estudiante (Anecdotario). Es un soporte para que el educador
   registre los sucesos o hechos comportamentales (disciplina y conducta) y académicos
   cada vez que sea necesario y que sean significativos, tanto positivos como negativos
   y los correctivos. En el también se consignarán los descargos del estudiante y del
   padre de familia o acudiente con sus respectivas firmas.

3) Boletín Informativo: En cada periodo y al finalizar el año escolar, se entregarán
   informes al padre de familia o acudiente, como lo disponen los artículos 5 y 10 del
   Decreto 0230 de 2002. Este informe de índole académico tendrá en cuenta las
   siguientes valoraciones para cada una de las áreas y sus asignaturas

  • EXCELENTE: Cuando un estudiante logra el máximo nivel esperado en todas las
    dimensiones del desarrollo humano considerados en el Plan de estudios.; cuando
    ha logrado evidenciar dominio en todos los tipos de razonamiento usando con
    plenitud sus funciones cognitivas. Alcanza todos los logros propuestos sin
    actividades complementarias. Aplicando lo aprendido en la solución de situaciones
    cotidianas, posee dominio conceptual y demuestra el desarrollo máximo de sus
    habilidades, destrezas      y competencias básicas. Manifiesta alto sentido de
    pertenencia institucional.
  • SOBRESALIENTE: Cuando el estudiante demuestra un buen nivel de desarrollo en
    todos los procesos de interpretación, comprensión y análisis; cuando es capaz de
    argumentar y proponer alternativas de solución a la problemática planteada.
    Cuando el estudiante cumple a cabalidad los compromisos y deberes con la
    institución. Alcanza todos los logros propuestos pero con algunas actividades
    complementarias. Manifiesta sentido de pertenencia con la institución.
  • ACEPTABLE: Alcanza los logros propuestos en el área o asignatura mostrando
    dificultad en el desarrollo de habilidades, destrezas y competencias. El estudiante
    ha desarrollado el mínimo esperado en sus competencias; en sus procesos de
    razonamiento y dominio de conocimiento. Alcanza los logros mínimos con
    actividades complementarias permanentes y/o requiere planes de mejoramiento
    para la superación de los logros a nivel mínimo.
• INSUFICIENTE:         Cuando el estudiante en los procesos de razonamiento, sus
    niveles de comunicación, comprensión de significados es tan bajo que le impiden
    interpretar situaciones y resolver problemas con bajo grado de complejidad.
    Presentan dificultades para desarrollar actividades escolares que evidencien el
    desarrollo de sus funciones cognitivas, habilidades, destrezas y competencias.
    Cuando el interés por el desarrollo del proceso educativo es de baja calidad. No
    alcanza los logros propuestos del área o asignatura a pesar de realizar las
    actividades de recuperación permanentes. Requiere planes de mejoramiento; sin
    embargo después de realizarlos persiste en sus dificultades. Falta autoexigencia,
    espíritu investigativo, compromiso y responsabilidad. Se observa en su actitud
    poca motivación.
  • DEFICIENTE: Cuando el estudiante presenta un total desinterés por su desarrollo
    personal, de responsabilidad, cumplimiento y puntualidad de los compromisos
    académicos. No demuestra desarrollo           de sus habilidades, destrezas y
    competencias y, por el contrario, denotan despreocupación total. Su falta de interés
    y bajo nivel conceptual le impide alcanzar los logros mínimos y básicos de
    aprendizaje propuestos en el área o asignatura. Es apático, displicente, indiferente,
    pasivo en su actitud.

4) Informe Final: Al finalizar el año lectivo se hará entrega de un informe final el cual
contiene los resultados definitivos del año escolar notificando además si es promovido o
no al grado siguiente o proclamado Bachiller. Éste equivale al quinto informe y
mostrará para cada área el rendimiento de los estudiantes, según artículo 5º del Decreto
230 de 2002.

Parágrafo 1: Los informes por periodo deberán contener, información detallada, para
cada uno de los cuatro periodos las fortalezas, dificultades así como las
recomendaciones y estrategias.

Parágrafo 2. VALORACIONES DE ESTUDIANTES QUE INGRESEN EN EL SEGUNDO
O TERCER PERIODO DEL AÑO LECTIVO. Cuando un estudiantes se matricula para
iniciar a partir del segundo o tercer periodo y por X o Y motivo no pueden certificar las
notas parciales de estos periodos las que obtengan en el periodo que cursan en nuestra
institución serán las correspondiente a dicho o dichos periodos.

Artículo 33. MODIFICACION O CORRECCION DE NOTAS.

Cuando un docente se equivoca al digitar la nota de un alumno o requiere cambiarla o
modificarla en algún periodo, para su corrección se debe acercar a la Secretaría de la
Institución o a la coordinación y diligenciar un formato para su corrección. Dicho formato
quedará como evidencia en el archivo de la Secretaría.

Una vez hecha la corrección, con la anterior evidencia, la Secretaría de la institución
imprimirá un nuevo informe o boletín para el padre de familia que se entregará a más
tardar el mismo día o al siguiente.
Artículo 34. RECOLECCIÓN DE NOTAS O VALORACIONES POR LEGALIZACION
             DE MATRICULA.

Cuando el padre de familia o acudiente no ha legalizado, por motivo justificado, la
matrícula de un estudiante. Al finalizar el periodo o los periodos en los cuales el
estudiante ha permanecido en las anteriores condiciones, las valoraciones
correspondiente a cada uno de estos periodos o periodo serán reportadas en un formato
de recolección de notas por el respectivo director de grupo quien se lo pasará al
coordinador de cada sección de la institución.

Al finalizar cada periodo esta información se hará llegar a la Secretaría de la institución a
través de los coordinadores, donde reposará para que al momento de ser legalizada la
matrícula del estudiante, las respectivas valoraciones o notas sean ingresadas al sistema
de notas de la institución. Este informe será el referente en las Comisiones de
evaluación y Promoción para el análisis en la situación académica del estudiante. Si
requieren de Planes de Refuerzo les serán elaborados y llevados a cabo.

Parágrafo: Cuando un padre de familia o acudiente no ha legalizado matrícula recibirá
un informe oral de la situación académica de su hijo en la reunión general de padres de
familia dejándose constancia de este informe por escrito.


Artículo 35. HOJA DE VIDA DE ESTUDIANTE QUE SE RETIRA.

Si un padre de familia requiere la hoja de vida de un estudiante solicitará por escrito
(formato especial) a la coordinación este servicio y se tramitará en máximo 3 (tres) días
para ser entregado al padre de familia. Registrar en libro de entrega de HOJAS DE
VIDA, que reposará en la coordinación.

Cuando el padre de familia o acudiente retira la HOJA DE VIDA original cede el cupo de
su representado.


Artículo 36. PROMOCION ANTICIPADA.
(Acuerdo del Consejo Directivo 015 del 31 de octubre de 2008)
La promoción anticipada se dará cuando un estudiante desee avanzar en su proceso
educativo y demuestre persistentemente la superación de los logros previstos para un
determinado grado Art. 52 del decreto 1860 de 1994.

SOLICITUD. Los estudiantes, a través de los padres de familia o acudientes, la
solicitarán por escrito a la Comisión de Evaluación y Promoción del grado que cursa.
Anexando el informe de evaluación del primer periodo del año lectivo, del informe final
del año inmediatamente anterior e informe escrito sobre el desempeño del alumno del
Director de grupo del año lectivo.

CRITERIOS:
1. La solicitud por escrito a la Comisión de Evaluación y Promoción del grado
      correspondiente de cualquier estudiante que esté legalmente matriculado.
   2. Haber superado con valoraciones de Sobresaliente o Excelente todas las áreas
      del primer periodo o en su desarrollo parcial y demostrar acatamiento a las
      Normas del Manual de Convivencia.
   3. Haber obtenido una valoración de Sobresaliente o Excelente en el grado anterior
      en todas las áreas y constancia de acatamiento a las Normas del Manual de
      Convivencia evidenciado en el informe final del grado inmediatamente anterior.
   4. Demostrar comprensión y manejo de los contenidos y logros mínimos en las
      diferentes áreas del grado que cursa.
   5. Se tendrá en cuenta la opinión, en forma escrita, del director de grupo del grado
      que cursa.


PROGRAMACION. La Comisión le programará actividades y evaluaciones en cada una
de las áreas de estudio que permitan establecer y demostrar las condiciones mínimas
requeridas del respectivo grado que cursa el estudiante.

RESPONSABLES. Será responsable de la evaluación cada uno de los educadores
titulares del área del respectivo grado que cursa y de los miembros de la Comisión de
Evaluación y Promoción.

TIEMPO. El proceso para la promoción anticipada se hará dentro de los treinta (30)
siguientes días hábiles después de presentada la solicitud; fijación que hará la Comisión
de Evaluación y Promoción.


RECONOCIMIENTO. El resultado satisfactorio, en cada una de las áreas previstas en el
Plan de Estudios, se registrará en la Hoja de Vida del estudiante y académicamente
tendrá los mismos efectos          que se les da a los estudiantes que terminan
reglamentariamente. Se reportarán, en forma escrita por parte de la Comisión de
Evaluación y promoción las valoraciones obtenidas en las diferentes áreas a la
Secretaría de la Institución citando el Acta por la cual se dio la promoción anticipada. Se
procederá a matricular nuevamente dejando constancia en la hoja de matricula y en la
hoja de vida del estudiante.

Parágrafo 1: Esto también aplica a los estudiantes con desempeños excepcionalmente
altos. (Art. 8 Decreto 230)
Parágrafo 2: El estudiante pasará a cursar el grado al cual fue promovido a partir del
segundo periodo una vez se reúnan las Comisiones de Evaluación y promoción para
decidir sobre dichos casos.

                                CAPITULO VII.
                      NORMAS INSTITUCIONALES GENERALES

Artículo 37. UNIFORME
GENERALIDADES DEL UNIFORME

El uniforme se constituye en la carta de presentación de la Institución tanto dentro como
fuera de ella. Éste da sentido de pertenencia a la Institución, proporciona sentido de
Igualdad, las competencias y rivalidades entre los educandos, ya sea por moda, marcas
y estilos en el vestir, presenta un alivio para los padres de familia.

EL UNIFORME HA DE SER:

a) De uso obligatorio y deberá llevarse correctamente, tanto de diario como el de
   educación física y según los días indicados.
b) Portarse en todas las actividades académicas y cada vez que requiera entrar a la
   Institución en jornada diferente a la suya, cualquier trabajo académico o reuniones
   de padres de familia de carácter oficial.
c) En caso de un inconveniente de última hora, se asiste con el uniforme contrario al
   obligatorio del día y una excusa escrita firmada por el padre de familia y/o acudiente.
   Si esta situación es reiterativa se le inicia el debido proceso
d) El uniforme debe ser utilizado solo en actividades curriculares y extracurriculares
   programadas por la Institución o bajo la responsabilidad de la misma.


UNIFORMES HOMBRES Y MUJERES

               CABALLEROS                                         DAMAS
Cabello. Debe de ser de corte clásico, sin       Cabello. Sólo se admite tinturas: negro
tinturas ni decorados, ni rapados, sin líneas    natural, castaño natural, no se permiten
decorativas. Al usar la gomina deben             mechones, rayos o similares. Los peinados
evitarse      peinados       con      figuras    deben ser naturales
extravagantes que llamen la atención
empleando escarcha o mirilla              Accesorios. Evitar totalmente el uso de
                                          pearcing, collares y manillas. Los aretes
Accesorios. Evitar totalmente el uso de deben cortos y pequeños. El color blanco,
pearcing, microporo en las orejas, cejas, negro o azul oscuro que combine con el
pulseras y collares.                      uniforme. Las uñas deben de ser cortas,
                                          pintarse de color transparente o color
                                          pastel.

• Camiseta de diario y camisilla. La             Blusa de diario. Camiseta. La blusa de
camiseta de diario debe ser blanca con           diario debe ser blanca, de cuello camisero,
cuello y bordes azules con el escudo de la       manga corta. Si desea llevar camiseta o
Institución y llevarse por dentro del jean, en   camisilla, ésta debe ser blanca al igual que
caso de usarse camisilla, ésta debe se           los interiores.
blanca sin adornos ni estampados.                La camiseta de educación física debe de
La camiseta de educación física debe de          ser con el escudo de la Institución y no
ser con el escudo de la Institución.             ombliguera.
Jean. El jean debe ser clásico, de color         Jomber. Debe ser a mitad de rodilla y el
índigo , azul oscuro, bota con doblez            diseño según la muestra exhibida en la
interno. La correa debe ser color negro.         cartelera de la Institución.
Medias. Tanto para el uniforme de diario      Medias. Tanto para el uniforme de diario
como para el de educación física deben        como para el de educación física deben
ser de color blanco, no tobilleras.           ser blancas a media pierna no tobilleras.
Uniforme para Educación Física.               Uniforme para Educación Física.
• Sudadera Gris                               • Sudadera Gris
• Camiseta blanca, cuello redondo             • Camiseta blanca, cuello redondo
• Medias blancas                              • Medias blancas
• Tenis totalmente blancos                    • Tenis totalmente blancos
• Chompa Gris                                 • Chompa Gris

Zapatos para el uniforme de diario. Zapatos para el uniforme de diario.
Deben ser totalmente negros y de atadura Deben ser totalmente negros, de atadura,
                                         colegial de goma.
Delantal para Laboratorio. Debe ser Delantal para Laboratorio. Debe ser
blanco y de carácter obligatorio para blanco y de carácter obligatorio para
proteger el uniforme.                    proteger el uniforme.
DIARIO DE LOS HOMBRES DE DIARIO                      DE     LAS  MUJERES      DE
PREESCOLAR A UNDECIMO                    PREESCOLAR A UNDECIMO

• Blue jean clásico azul oscuro.      •          Yomber de preescolar a quinto.
• Camiseta blanca con cuello y bordes •          Falda de sexto a undécimo.
azules y el                           •          Camisa blanca.
• escudo de la Institución.           •          Zapatos negros.
• Zapatos negros.                     •          Medias blancas.
   Medias blancas.



Artículo 38. PUNTUALIDAD.

Es la norma que exige el cumplimiento de entrada y salida de la Institución.

Los educandos deben llegar cinco minutos antes de la hora indicada y en los horarios y
días establecidos.

Deben Ingresar puntualmente a las aulas después de descanso y en cada cambio de
clase.

Cuando el estudiante llegue tarde se le hará la anotación en el libro de seguimiento y
cuando reincide por tres veces consecutivas se citará al padre o acudiente y se
sancionará con rebaja en disciplina.

La no asistencia a clase y/o demás actividades deberá ser justificada con una excusa
escrita.


Artículo 39. LA ASISTENCIA A LA INSTITUCIÓN Y/O A CLASES.
Los educandos deben asistir a la Institución sin interrupción alguna, solamente cuando
existe alguna justificación que lo amerite como calamidad, fuerza mayor o caso fortuito.
Es deber del estudiante cumplir con puntualidad y exactitud la llegada a la Institución y/o
a clases y otras actividades según los horarios establecidos.

No debe abandonar la Institución y/o el salón de clases sin justificación. Permanecer en
la Institución en la jornada que se le asigne. Entrar y salir de la Institución en los horarios
indicados y solamente por las porterías.
Solicitar permiso escrito al Coordinador respectivo cuando necesite ausentarse, dicha
solicitud será escrita y firmada por los padres o acudientes.

Justificar la ausencia a clases y llegadas tarde por escrito y firmado por el acudiente.

Cumplir con tareas, talleres y demás actividades desarrolladas en su ausencia o sea
totalmente desatrazado en sus trabajos. De no presentar su excusa todos los trabajos
escritos o evaluaciones que se realicen en su ausencia se calificarán con una nota no
superada.


Artículo 40. EL SALÓN DE CLASES.


• EI aula debe ser un espacio amplio, ventilado, iluminado y bien dotado de muebles y
enseres, además, debe albergar de 30 a 45 alumnos, este debe ser debidamente
decorado por el profesor, donde resalte valores morales, patrios y religiosos.

• Los estudiantes deberán respetar, cuidar, conservar limpios y organizados los salones
de clase de manera constante.

• Generar un ambiente de armonía y respeto evitando comportamientos tales como gritos
en el aula, silbidos, golpes a las sillas o puertas, agresiones verbales o físicas a
profesores o compañeros.

•     Evitar juegos en el aula.
•    Ante la ausencia del profesor sólo se podrán realizar en el aula los talleres
     indicados por el profesor o los que autorice la Coordinación.
•    Abstenerse de masticar chicle o ingerir alimentos.
•    Cuidar el mobiliario y materiales del aula




Artículo 41. LABORATORIO.

•      Ingresar al laboratorio sólo cuando sea autorizado por las personas competentes.
•      Todo elemento que sea estropeado o extraviado debe ser restituido.
•      Todo alumno debe observar las normas de seguridad y responsabilidad que
       requiere la participación en cualquier actividad desarrollada en el laboratorio.
•      Conocer y respetar las normas establecidas para la conservación y utilización de
       este lugar.

Artículo 42. PATIOS

• Permanecer durante los descansos y el tiempo libre, manteniendo el orden, la
tranquilidad y los buenos modales, proporcionando la sana convivencia.
• Depositar la basura en los recipientes destinados según las indicaciones (reciclables,
no reciclables).
• Evitar juegos bruscos y arrojar elementos de los pisos altos. Atender oportunamente
los toques de los timbres y desplazarse con precaución.


Artículo 43. CANCHAS.

•    Respetar los horarios establecidos para cada grado.
•    Hacer buen uso de las áreas, tableros y demás implementos utilizados.
•    En horas de clase serán utilizadas en compañía del profesor de educación física o
de otra área en caso de estar disponible y/o ser requerido.
•    Acatar as normas establecidas para las prácticas deportivas, recreativas o
culturales.
•    Hacer uso adecuado respetando cada espacio en particular.

Artículo 44. BIBLIOTECA

•   Entrar, permanecer y salir en orden y en silencio.
•   Darle buen uso a los libros y materiales, dejándolos en el lugar indicado.
•   No sacar libros sin autorización.
•   Dejar los libros personales, cuadernos y demás objetos en el salón de clase.
•   No consumir alimentos dentro de la biblioteca.
•   Conservar en buen estado los libros y materiales existentes.
•   El préstamo de cualquier material y el uso de este lugar será solicitada a la persona
encargada de dicho proyecto en cada sesión.



Artículo 45. SALAS DE INFORMÁTICA

•   Hacer buen uso de los computadores y demás objetos.
•   Hacer uso de los equipos sólo cuando hayan recibido la asesoría pertinente.
•   No consumir alimentos.
•   Al salir dejar los equipos debidamente apoyados y cubiertos.
•   No ingresar bolsos, morrales o mochilas.
•   No fumar.
• Cualquier daño en los equipos debe ser informado inmediatamente al profesor o al
jefe de servicios generales y la reparación correrá por cuenta de quien lo haya
ocasionado.
• Sólo realizarán las actividades orientadas por el profesor.
• Queda prohibido ingresar a páginas de pornografía.
• Conocer y respetar las normas establecidas para la utilización de este lugar.

Artículo 46. DESCANSOS

• Evitar carreras y juegos bruscos.
• Salir del aula e Ingresar cuando e! profesor de disciplina lo haya dispuesto.
• Respetar las actividades realizadas por los demás. Participar del descanso y juego
sana y responsablemente, acorde con el espacio disponible.

Artículo 47. SALIDAS PEDAGOGICAS

Son considerados como espacios pedagógicos brindados por la institución; se realizan
por fuera del plantel educativo con el propósito de ampliar la formación integral de los
estudiantes en determinada área, asignatura o proyecto pedagógico institucional.

Para que los estudiantes puedan desplazarse a otros lugares fuera de la Institución a
nivel municipal o departamental deben cumplir algunos requisitos como son:

    • Presentación por escrito de un proyecto o plan de trabajo planteando la
       justificación de dicha salida pedagógica por la persona responsable o personas
       responsables (Docente o Directivo docente).
    • Permiso o autorización por escrito de los padres de familia o acudiente
       responsable de todos y cada uno de los Estudiantes.
    • Fotocopia de la EPS o SISBEN ACTUALIZADO.
    • Si se requiere de transporte nombre del conductor con su documento de identidad
       al igual que la identificación completa del vehículo.
    • Documentos del vehículo exigidos por el Tránsito Municipal. Fotocopia del SOAT y
       Cédula de Ciudadanía entre otros.
    • Nombres y cargos de los acompañantes (educadores y padres de familia).

Con estos datos el Colegio procederá a realizar el respectivo informe a la Dirección del
Núcleo Educativo para el Vo. Bo sin el cual no se autoriza ninguna salida.




Artículo 48. TIENDA ESCOLAR

•    Hacer las filas y respetar el turno.
•    Solicitar el servicio con respeto.
•    Hacer los reclamos y/o sugerencias en forma oportuna.
•    No engañar a los pequeños quitándoles el dinero o lo que hayan comprado.
•    Las ventas se harán estrictamente en los descansos y horas de entrada o salida de
los estudiantes.
• Queda prohibida la venta de chicle y de todos los comestibles que lo contengan.
• No se podrá vender a los estudiantes en horas de clase.
• Es indispensable la buena presentación de la persona que atienda y del lugar que
ocupa.
• Se debe revisar la fecha de vencimiento de los productos.
• Se debe dar un trato respetuoso a los usuarios del servicio.
• Cumplir estrictamente con lo pactado en el contrato de arrendamiento.
• No se deben sustraer los productos ni estafar o engañar al encargado de la tienda
quien es merecedor de respeto y buen trato.
• Se debe depositar las basura dentro de los recipientes ubicados cerca o en el lugar
• Acatar las observaciones del profesor(a) de disciplina.
• Fijar la lista de precios en lugar visible.
• Suspender las ventas al terminar el descanso.
• Devolver los envases o colocarlos en el lugar indicado.

Artículo 49. COMPLEMENTO ALIMENTICIO

•    Se debe consumir en el lugar asignado.
•    Ser puntual con el pago de la cuota estipulada.
•    No se debe emplear para juegos o bromas.
•    Se debe asignar teniendo en cuenta el estudio socio -económico familiar.
•    Será distribuido por dos docentes de la jornada de la mañana y dos de la tarde.
•    Debe ser consumido en el salón antes de salir a descanso para controlar el buen
     consumo.
•    Habrá suspensión de los productos a quien o quienes hagan mal uso del mismo.

Artículo 50. TELÉFONO

•   Es para uso oficial, podrá hacer uso de este cualquier miembro de la Comunidad
    Educativa sólo en caso estrictamente necesario.
•   No se podrán recibir llamadas en horas de clase.
•   Se debe hablar con respeto y cultura.
•   Las llamadas no podrán exceder de tres minutos.
•   No se deben introducir en el teléfono objetos diferentes a monedas o tarjetas según
    el caso.
•   No se debe golpear, saquear o dañar ya que es un elemento de servicio de todos.

Artículo 51. PORTERIA

•    Ingresar 0 salir con respeto.

• Dar un trato cortés al portero.

• Respetar el turno de entrada 0 salida.
• Los padres de familia solo podrán ingresar en los horarios indicados por los docentes
y/o directivos mediante cita previa por escrito.

• El portero no dejará salir a los alumnos en horas de clase sin presentar el permiso por
escrito.

• Los permisos de salida de los educandos deben ser revisados por el vigilante.

Artículo 52. OFICINAS

Espacios reservados para los directivos. docentes o secretario(a), allí se debe:

•   Respetar el turno de ingreso.
•   Dar y recibir un trato amable y cortés.
•   Evitar el Ingreso sin la debida autorización de la persona responsable.
•   La sala de espera es parte de las oficinas, los alumnos no podrán ingresar y/o
    permanecer en ella sin el debido permiso.

Artículo 53. BAÑOS

•     A los estudiantes sólo se les permitirá hacer uso de los mismos en los descansos,
salvo en casos especiales.
•     Se prohíbe la entrada para juegos. diálogos, reuniones y otras actividades
diferentes al servicio al que están destinados.
•     Se deben vaciar después de utilizados.
•     El papel higiénico y toallas higiénicas deben ser depositadas en las papeleras.
•     No se debe escribir en las paredes, puertas y demás. EI aseo general será función
de las aseadoras.
•     Velar y responder por conservar en buen estado los muebles sanitarios.

Artículo 54. MEDIOS DE INFORMACION

•    EI cronograma semanal será suministrado alas seccionales como mínimo el viernes
con el fin de conocer oportunamente las actividades a realizar.
•    En lo posible el Rector y las coordinadoras deberán respetar las fechas y
actividades programadas.
•    Los educandos no podrán rasgar los boletines o comunicados enviados a padres de
familia.
•    No destruir la carteleras, leerlas y poner en práctica las enseñanzas. Se deben
elaborar oportunamente y con variedad de temas.
•    Leer sin dañar las carteleras o avisos.
•    Las reuniones con los padres de familia se deben citar con la debida anticipación.
•    Las reuniones con los docentes serán convocadas mínimo con dos días hábiles de
anticipación.

Artículo 55. ZONAS VERDES, JARDINERAS Y MATERAS
•    No arrojar basuras, plásticos ni botellas.
•    No sentarse sobre las jardineras.
•    Responder por cualquier daño ocasionado en estos.

Artículo 56. MALLAS

Los educandos deberán permanecer lejos de las mallas y no comprar alimentos u otros
artículos en la calle.

No se podrá recibir ningún tipo de elementos a través de ellas.


Artículo 57. PROCLAMACIÓN DE BACHILLERES.

Es el acto mediante el cual la institución otorga el Título de Bachiller a los estudiantes
que cursan y finalizan el Grado 11º en la Media Académica para lo cual deben haber
cumplido con los requisitos estipulados en el Proyecto Educativo Institucional:

•   Estar legalmente matriculado en la institución.
•   Cumplir con 80 Horas del Servicio Social del Estudiantado.
•   Cumplir con 50 Horas de Estudios Constitucionales (Ley 107 de 1994).
•   Cumplir con los demás requisitos legales exigidos para tal fin.
•   Haber aprobado todas las áreas del Plan de estudios del grado 11.

Los estudiantes que no reúnen los requisitos anteriores, reclaman su diploma en la
secretaría de la institución, una vez demuestren que han cumplido con ellos.

Cuando se expida un certificado se anotarán las áreas reprobadas (Insuficientes o
Deficientes), pero cuando refuerce o recupere o presente actividades complementarias,
se colocará la valoración del refuerzo o recuperación sin modificar la anterior.


TÍTULOS:      Es el reconocimiento expreso de carácter académico otorgado a una
  persona natural, al culminar satisfactoriamente los niveles de Preescolar, Educación
  Básica (Primaria y Secundaria) y Educación Media.

En la Educación Media se podrá obtener el Título de Bachiller Académico, el cual habilita
  al estudiante para ingresar a la educación superior o para ingresar al sector
  productivo.

REGISTRO DEL TÍTULO: El registro del título se hará constar en el Acta de
 Graduación, en el Diploma correspondiente y se anotará en el Libro de Registro de
 Títulos de la Institución.

ACTA DE GRADUACIÓN: El Acta de Graduación deberá ser suscrita por el Rector y la
 Secretaria y deberá contener: Nombres y apellidos completos de quien recibe el
 título, número del documento de identidad vigente, titulo otorgado, número y fecha de
 expedición, fecha de registro, además de toda la identificación legal de la institución.
TÍTULO POST - MORTEM. El Consejo Directivo a propuesta del Consejo Académico,
  podrá autorizar por especiales razones de índole institucional la concesión del Título
  Post – Mortem, para aquellos estudiantes del último nivel que hayan sobresalido en su
  desempeño académico y que fallecieren sin culminar sus estudios, con asistencia
  mínima del 50%.

DUPLICADO DE DIPLOMA:           Para obtener el duplicado del Diploma se deben cumplir
 los siguientes requisitos:

Por hurto o extravío definitivo: Solicitud escrita por parte del interesado para que se le
  expida el duplicado del diploma, copia de la denuncia penal si se trata de hurto o
  robo; si es extravío definitivo declaración juramentada rendida ante la autoridad
  competente, copia del registro del diploma, documento de identidad vigente del
  solicitante.

Por cambio de nombre: Solicitud escrita por parte del interesado para que se le expida el
  duplicado del diploma, registro civil de nacimiento o prueba supletoria que haya
  servido de base para la expedición del diploma (original en caso de corrección del
  nombre), copia de la escritura pública o sentencia judicial que autoriza el cambio
  correspondiente, diploma original.

Por deterioro o daño irreparable: Solicitud escrito por parte del interesado para que se
  le expida el duplicado del diploma, diploma original en deterioro natural, documento de
  identidad.

En todos los casos el diploma deberá llevar una leyenda visible que diga DUPLICADO
  con el número y la fecha de la resolución rectoral que lo autorizó. El original debe ser
  conservado en el archivo de la institución.


Artículo 58. PROCLAMACIÓN PÚBLICA DE BACHILLERES.

Condiciones requeridas para ser proclamado públicamente en forma solemne
como bachiller de la Institución Educativa Juan de la Cruz Posada. Los estudiantes
del grado 11, al finalizar el curso, tendrán derecho a asistir al acto público y solemne de
proclamación de bachilleres, cuando cumplan previamente con las siguientes
condiciones:
    a) Entregar, en un plazo no menor de 30 días, en relación con la fecha del acto de
       proclamación, en la secretaría del establecimiento, las certificaciones que
       acrediten el cumplimiento de los requisitos de ley relacionados con el Servicio
       social obligatorio y los conocimientos constitucionales
    b) Presentar el Paz y Salvo expedido por el director de grupo
    c) Presentar el Paz y Salvo de la secretaría con una antelación no menor a 30 días
    d) No estar incurso en los casos que los literales b) y c) del artículo 9º del decreto
       230 de 2001 establece como considerados para repetición de grado.
    e) No tener pendiente ninguna área o asignatura del plan de estudios.
Parágrafo: Se exceptúan del numeral e), los estudiantes.

   • Que documenten que su prueba de estado está por encima de los mejores
     promedios ICFES.
   • Si el estudiante supera el 60% del área mediante evidencia de pruebas ICFES,
     previa solicitud del interesado y con la aquiescencia del profesor de la misma, la
     Comisión de Evaluación y Promoción la considerará como recuperada a fin de ser
     proclamado públicamente como bachiller.
   • En la valoración final de las áreas de los estudiantes del grado 11 los docentes
     deberán tener en cuenta el resultado de las pruebas ICFES y/o el paso a las
     universidades con las solicitudes y evidencias de los alumnos.

Condiciones requeridas para ser promovido en el grado 11. De acuerdo con las
normas vigentes en esta materia, los estudiantes del grado 11, serán promovidos dando
cumplimiento a lo estipulado en el artículo 9 del decreto 0230 de 2002, así como por lo
establecido en el decreto 3055 de 2002.


Artículo 59. SERVICIO SOCIAL ESTUDIANTIL OBLIGATORIO (Alfabetización)

Resolución Nacional 4210 de 1996.

El Proyecto Institucional de Servicio Social Estudiantil obligatorio estará liderado por un
docente designado por la Coordinación de la Institución en la distribución de actividades
en la primera semana de desarrollo institucional y a quien se denomina Coordinador del
Proyecto.

El cumplimiento de este proyecto es obligatorio para poder obtener el título de Bachiller.
Los estudiantes deben cumplir como mínimo los siguientes requisitos:

   • Cumplir con las orientaciones y actividades que exija el Coordinador del Proyecto.
   • Cumplir estrictamente el horario y las funciones que le han sido asignadas en el
      lugar donde presta el servicio.
   • En ningún caso podrán presentarse estudiantes a entidades sin previa autorización
      de la coordinación del proyecto. Al hacerlo incurre en falta grave.
   • Se realiza en el grado décimo (10º). Salvo en algunas ocasiones que por razones
      ajenas a la voluntad del estudiante se lleva a cabo en once (11º) grado, previo
      estudio entre el Coordinador del Proyecto de Servicio Social y la coordinación de
      la institución.
   • A los estudiantes a quienes se les cancele el proyecto en grado diez (10º) deberán
      realizarlo en el primer semestre del grado once (11º).
   • El estudiante que cancele el proyecto en grado once (11º) pierde el derecho a
      proclamarse bachiller y deberá cumplir con dicho requisito en el primer semestre
      del siguiente año escolar.
   • Durante el tiempo destinado para la realización del proyecto no podrá desarrollar
      otras actividades diferentes.
   • El estudiante que no cumpla el reglamento o sea sorprendido en alguna falta será
      suspendido del mismo definitivamente y no se le expedirá certificado alguno.
• Cuando un estudiante sea suspendido del programa en cualquiera de los centros
      donde prestan el servicio no se le reconocerá el tiempo acumulado ni se le
      expedirá certificado del mismo, haciéndose necesario empezar de nuevo.
   • Si por enfermedad o calamidad doméstica se interrumpe el cumplimiento en el
      proyecto debe darse aviso oportuno y presentar la respectiva excusa por escrito.
      De lo contrario no podrá continuar prestando el servicio cuando regrese de su
      incapacidad o calamidad, según el caso.
   • Carece de validez todo proyecto o actividad que se realice sin la orientación y
      aprobación del Coordinador del Proyecto.

Parágrafo 1: La alfabetización es una actividad de servicio que deben cumplir los
estudiantes para obtener el Título de Bachiller. Su propósito principal es integrar al
estudiante con la comunidad para contribuir a su mejoramiento social, cultural y
económico; pretender desarrollar valores de solidaridad, responsabilidad y conocimiento
del estudiante, respecto a su entorno social. El Servicio Social del Estudiantado
(Alfabetización) se realiza como práctica en los grados 10º y 11º; se cumple a través de
la formulación y desarrollo de proyectos educativos, culturales, académicos,
ambientales, de proyección a la comunidad como: Prevención de enfermedades,
colectas públicas para entidades de beneficencia, deportes y recreación, archivo,
bibliotecas, centros de salud y hospitales, Cruz Roja Colombiana, centros de
rehabilitación, el restaurante escolar, la Secretaría de la Institución          y otras
dependencias de la misma institución entre otros.

Parágrafo 2. El total de horas es 80 y de obligatorio cumplimiento. Los Bachilleres
deberán prestar este servicio en las entidades aprobadas por la institución y con las
cuales se halla establecido un convenio; con el visto bueno del Coordinador de
Alfabetización y la Coordinación de la Institución Educativa. Además se requiere la
autorización del padre de familia o acudiente cuando implique desplazamiento del
estudiante.

Parágrafo 3. Solo se aceptarán certificados de la Prestación del Servicio Social de otras
Instituciones a aquellos estudiantes que no hayan cursado el grado Décimo (10º) u
Once (11º) en la Institución siempre y cuando justifiquen las actividades realizadas y lo
certifiquen en papelería oficial de la Institución en la cual desempeñaron esta labor.
Deberán solicitar este reconocimiento ante el Consejo Directivo de la Institución
mediante oficio donde justificará su petición anexando la documentación necesaria.

Artículo 60. HORAS DE CONSTITUCIÓN (Ley 107 de 1994)

Será liderado por un docente del área de Sociales designado por la Coordinación de la
Institución en la primera semana de desarrollo institucional. Esta actividad se hará en
jornada contraria a la de las horas de clase del estudiante, mediante la formulación y el
desarrollo de un proyecto orientado a los grados 10º y 11º. Una vez realizado se
expedirán los certificados correspondientes firmados por el docente líder del proyecto y
la Coordinación de la institución.

Artículo 61. PERMISO A DOCENTE Y BANCO DE TALLERES.
Los permisos deben ser solicitados por escrito y con un día de anticipación.

Cuando se le concede deberá garantizar las actividades académicas dejando los talleres
respectivos para los estudiantes trabajarlos en clase con el acompañamiento de la
coordinación o de un docente.

Parágrafo 1. Banco de talleres: para atender la anterior situación o se de algún
imprevisto con un docente se hace necesario disponer de un Banco de Talleres. Los
cuales pueden ser elaborados en la jornada complementaria

Parágrafo 2. El coordinador o algún docente con tiempo disponible dentro de su jornada
académica (6 horas de permanencia en la institución) acompañaran a los grupos en
ausencia del docente siempre y cuando los docentes dejen talleres apropiados. Tanto
para los permisos como para los imprevistos.

Artículo 62. EL MEDIO AMBIENTE ESCOLAR
(según el decreto1860/94, art. 17, numeral 3) Todo miembro de la comunidad educativa
de la Institución debe ser consciente de la vital importancia y trascendencia que tiene la
conservación del ambiente. Por ello en relación con el medio ambiente escolar, se
compromete a observar las siguientes pautas mínimas de comportamiento:

• Comprender que el ambiente es patrimonio común y que en consecuencia todos y
  todas debemos participar de su cuidado y manejo.
• Lograr la preservación y restauración del ambiente general y del escolar en particular,
  así como la conservación, mejoramiento y utilización racional de los recursos
  naturales.
• Regular las conductas individuales y colectivas, respecto del ambiente escolar, a fin
  de que apunten a su conservación y correcto aprovechamiento.

El aseo a nivel institucional es compromiso de todos y hace parte de un buen ambiente
escolar, por lo tanto es obligación de la comunidad educativa mantener las
dependencias, aulas y espacios públicos de la institución, debidamente aseadas.

Artículo 63. NORMAS DE HIGIENE Y SALUD:

(Reglas de higiene personal, de prevención y de salud pública, según el decreto
1860/94, artículo 17) .Todos los integrantes de la comunidad educativa de la Institución
deberán observar las reglas de higiene personal, de prevención y de salud pública que a
continuación se señalan.

Observar permanentemente normas básicas de aseo personal y de salud individual,
tales como:

•   Bañarse diariamente.
•   Lavarse las manos antes de comer y después de utilizar los servicios sanitarios.
•   Mantener las uñas, ropa y calzado limpios.
•   Procurar tener siempre un aroma corporal agradable y un aliento fresco.
•   Acatar pautas de prevención del alcoholismo, drogadicción y tabaquismo, tales como:
- Abstenerse de consumir productos que contengan sustancias sicoactivas.
  - Mantenerse informados de las consecuencias y efectos negativos que produce en
    el organismo el consumo de licor, drogas o cigarrillo.
  - Desarrollar estrategias para enfrentar la presión de personas que inducen al
    consumo de tales sustancias y aprender a rechazar su ofrecimiento.
  - Participar y contribuir en la conservación de la salud pública con actitudes tales
    como:
  - Arrojar los desperdicios y basuras solamente en los sitios destinados o adecuados
    para ello.
  - Abstenerse de contaminar o dañar corrientes de agua, cultivos, alimentos y en
    general bienes de uso común.
  - Aplicarse las vacunas y medicamentos que requiera para prevenir enfermedades o
    restablecer la salud.
  - Abstenerse de venir a la Institución cuando tenga una enfermedad
    infectocontagiosa.

Artículo 64. INASISTENCIA

La coordinación en cada una de las secciones de la institución educativa Juan de la
Cruz Posada velará por la permanente asistencia de los estudiantes a la Institución,
procurará evitar que se presente la deserción escolar e investigará las causas de la
misma y aplicará los correctivos necesarios, contará para ello con el apoyo de los
Directores de grupo.

Artículo 65. ATENCION A LOS PADRES DE FAMILIA.

El padre de familia puede solicitar cita con los docentes de manera anticipada y por
escrito. El docente le fijará un lugar, fecha y hora de atención también por escrito. La
coordinación de la institución, cuando la situación lo amerite, servirá de intermediario.

Artículo 66. CELULAR

Se permite el porte y uso sólo en los descansos pedagógicos y al momento de salir,
descartando aulas de clase, actos cívicos, formaciones en comunidad y otros que por
razones de trabajo pedagógico lo ameritan, por lo tanto se debe conservar apagado
mientras se está en espacios diferentes a los descansos.

La institución no se hace responsable frente a robos, daño, perdida o avería causados
en estos aparatos. Su utilización se hará para casos de emergencia.

Parágrafo 1: La desatención a esta medida se considerará falta grave.
Parágrafo 2: En caso de que el teléfono móvil comience a causar desorden institucional,
será suspendido inmediatamente con el aval del Consejo Directivo.


Artículo 67. PROYECTOS OBLIGATORIOS.

La institución cumple con los proyectos educativos y pedagógicos establecidos en la
normatividad vigente: (Artículo 14 Ley 115 de 1994).

   •   Educación Sexual, impartida de acuerdo con las necesidades síquicas, físicas y
       afectivas de los educandos según su edad.
   •   Educación para la justicia, la paz, la democracia, la solidaridad, la confraternidad,
       el cooperativismo y en general Formación en Valores Humanos
   •   La enseñanza de la protección del ambiente, la ecología y la preservación de los
       recursos humanos, de conformidad con lo establecido en el artículo 67 de la
       Constitución Política.
   •   El aprovechamiento del tiempo libre, el fomento de las diversas culturas, la
       práctica de la educación física, la recreación y el deporte formativo, para lo cual el
       gobierno promoverá y estimulará su desarrollo.
   •   El estudio, la comprensión, la práctica de la Constitución y la Instrucción Cívica de
       conformidad con otros proyectos de carácter legal en el Articulo 41 de la
       Constitución Política de Colombia.
   •   Prevención, atención de emergencias y desastres (PRAE) Res. 7550 de 1994.
   •   Educación Vial - El Decreto Nacional 463 del 11 de marzo de 1932 obliga a todos
       los establecimientos de educación la enseñanza de las reglas de circulación y
       tránsito.
   •   Prevención y Atención de Emergencias y Desastres (CEPAD-PRAE)
   •   Manejo Integral de Residuos sólidos (Resolución Metropolitana 10202- 000526 de
       23 de septiembre de 2004
   •   Prevención Integral (Drogadicción).
   •   Cátedra de Estudios Afrocolombianos.
   •   Atención a poblaciones con limitaciones, capacidades o talentos excepcionales.
   •   Atención educativa a Grupos Étnicos.
   •   Izada de la Bandera Nacional: Según la Ley 198 de 1995, en todos las
       instituciones educativas del país, se deberá celebrar una vez a la semana ,
       durante los períodos académicos, una ceremonia cívica con la participación de
       todo el estudiantado en la cual se procederá a izar la Bandera Nacional y a cantar
       el Himno Nacional de la República de Colombia .




                               CAPÍTULO VIII.
                  EL PROCESO DE ADMISIONES Y DE MATRICULA

Artículo 68. EL PROCESO DE INSCRIPCIÓN

•    Divulgación de información de inicio de inscripciones a la Comunidad Educativa a
través de circulares y volantes.
•    Solicitar, diligenciar y devolver el formato de inscripción en las fechas señaladas,
junto con la documentación requerida en la secretaria de la Institución.
•    Para preescolar los alumnos deben tener cinco años cumplidos o cumplirlos máximo
el 31 de marzo.
•   Los alumnos de primero deben tener los seis años cumplidos o por cumplir al treinta
uno de marzo.
•   Los alumnos nuevos presentaran hoja de vida en la que conste el rendimiento
académico y disciplinario.
•    Presentarán informe académico y disciplinario del último período cursado, paz y
salvo de donde proceden



Artículo 69. EL PROCESO DE RECEPCIÓN Y ADMISIÓN.

 • Revisión de la papelería, que esté completa.
 • Selección de los educandos mediante análisis de la hoja de vida y evaluación de
   admisión.
 • Inducción a los educandos nuevos y a los acudientes.
 • Conocimiento del Manual de Convivencia.
 • Entrega del Ficho de Matrícula y requisitos para la misma.

Artículo 70. COMITÉ DE ADMISIÓN.

El Comité de admisión para la asignación del cupo estará conformado por el Equipo
Directivo de la Institución: Coordinadores(as) y Rectoría.



Artículo 71. PROCESO DE MATRÍCULA

Es el acto por el cual el aspirante admitido, siempre y cuando hallan cupos para el grado
solicitado, adquiere la calidad de estudiante de la Institución Educativa Juan de la Cruz
Posada. Ésta se hace por una sola vez con posibilidad de renovarse y se legaliza con el
acto correspondiente, el cual debe llevar la firma del Rector y de la Secretaría de la
Institución, del Padre de Familia o Acudiente.

Con la Suscripción del Acta de Matrícula, el estudiante y el padre o acudiente aceptan la
filosofía y los principios fundamentales de la institución; se comprometen a respetar y
cumplir sus orientaciones, circulares, Manual de Convivencia y demás disposiciones
emanadas de la misma, como también a cancelar oportunamente los derechos y costos
educativos y a responder por los daños causados en la Institución.


Son requisitos de matricula los siguientes:
Haber sido oficialmente admitido.   Constatado por ficho de matrícula que debe ser
debidamente diligenciado y presentarse a la hora y fecha indicada por la Institución
Educativa Juan de la Cruz Posada acompañado por el padre de familia o acudiente con
la documentación correspondiente a saber:

Alumnos antiguos (Legalización de la matrícula)
•   Registro civil de nacimiento original si aún no lo ha traído en años anteriores.
   •   Fotocopia de T.I. ampliada al 150 % si la tiene y si aún no la ha traído.
   •   Boletín del último informe, 5º informe de valoraciones.
   •   Paz y Salvo lo da el director de grupo.
   •   Fotocopia de E.P.S o SISBEN actualizado
   •   Tres fotos tamaño cédula marcadas al respaldo
   •   Consignación de derechos académicos marcada al respaldo con el nombre del
       alumno
   •   Ficho de matricula debidamente diligenciado

Alumnos nuevos

   •   Registro civil de nacimiento original (No se aceptaran fotocopias
   •   Fotocopia de T.I ampliada al 150 % si la tiene.
   •   Calificaciones en papel membrete del ultimó grado cursado si va para primaria. Si
       es para bachillerato las calificaciones en papel membrete desde quinto hasta el
       último grado que curso.
   •   Fotocopia de E.P.S o SISBEN:ACTUALIZADO.
   •   Tres fotos tamaño cédula marcadas al respaldo
   •   Consignación de derechos académicos marcada al respaldo con el nombre del
       alumno
   •   Ficho de matricula debidamente diligenciado
   •   Hoja de vida original de la institución de donde proviene o Ficha de seguimiento u
       observador del estudiante

Parágrafo 1: Con estudiantes de casos especiales o repitentes se efectuará y celebrará
un compromiso de matricula al cual se le hará un estricto seguimiento. Esto aplica
igualmente para los estudiantes con matricula vigente en la institución (antiguos) previo
estudio en el Consejo Directivo de dichos casos al momento de legalizar la matricula.

Parágrafo 2: El retraso en la presentación de los documentos requeridos, en las fechas
previstas, podrá ser causal para excluir al aspirante del proceso de matrícula.
Anualmente la institución establece unas fechas específicas para la renovación y
legalización de la matrícula tanto para los alumnos nuevos como para los alumnos
antiguos. Si la matrícula no se realiza en las fechas indicadas, el colegio podrá asumir
que el alumno no se matriculará y por lo tanto podrá disponer del cupo.

Parágrafo 3. Al momento de la matricula el padre de familia o acudiente al igual que el
estudiante firmarán un compromiso de que conocen y aceptan el Manual de
Convivencia.

Parágrafo 4: Al momento de la matrícula el padre de familia o acudiente recibirá una
constancia de matrícula indispensable para ingresar a la institución en el primer día de
clases y en las semanas siguientes al inicio de clases
CAPÍTULO IX.
          LA ORGANIZACION INSTITUCIONAL Y EL GOBIERNO ESCOLAR

Artículo 72. COMUNIDAD EDUCATIVA

La Comunidad Educativa esta constituida por las personas que tienen responsabilidades
directas en la organización, desarrollo y evaluación del Proyecto Educativo Institucional y
por las que en otra forma participan de la vida de la Institución Educativa Juan de la Cruz
Posada: Estudiantes matriculados, padres de los alumnos o sus acudientes, los
docentes vinculados a la institución educativa, , los directivos docentes, Secretarios(as),
Personal de mantenimiento, vigilancia y aseo y egresados.

Artículo 73. ORGANIZACIÓN INSTITUCIONAL

GOBIERNO ESCOLAR:
• Rector.
• Consejo Directivo
• Consejo Académico

ORGANOS DE PARTICIPACIÓN DE LOS ESTUDIANTES
• Consejo Estudiantil
• Personero
• Representante de los estudiantes ante el Consejo Directivo.

ORGANOS DE PARTICIPACIÓN DE LOS PADRES DE FAMILIA
• Consejo de Padres
• Asociación de Padres de Familia.


Artículo 74. RECTOR.

OBJETIVOS CENTRALES DEL ESTAMENTO

•   Representar legalmente al establecimiento ante las autoridades competentes.
•   Dirigir técnica, pedagógica y administrativamente la labor de un establecimiento
    educativo.
•   Ejecutar las decisiones del Gobierno Escolar.

PROCESO DE SELECCION Y CONFORMACION

EI Rector o Director de las Instituciones Educativas Públicas es designado por concurso
y nombrado mediante decreto y dentro de la planta de personal aprobada por el
Municipio.

FUNCIONES DEL RECTOR
•     Dirigir la preparación del proyecto educativo institucional con la participación de los
      distintos actores de la Comunidad Educativa.
•     Presidir el Consejo Directivo y el Consejo Académico de la Institución y coordinar los
      distintos órganos del Gobierno Escolar.
•     Presentar el establecimiento ante las autoridades educativas y la Comunidad Escolar.
•     Formular planes anuales de acción y de mejoramiento de calidad y dirigir su
      ejecución.
•     Dirigir el trabajo de los equipos docentes. establecer contactos interinstitucionales
      para el logro de las metas educativas.
•     Realizar el control sobre el cumplimiento de las funciones correspondientes al
      personal docente y administrativo; y presentar las novedades e irregularidades del
      personal a la Secretaría de Educación Municipal.
•     Administrar el personal asignado a la Institución en lo relacionado con las novedades
      y los permisos.
•     Participar en la definición de los perfiles para la selección del personal docente y en
      su selección definitiva.
•     Distribuir las asignaciones académicas y demás funciones de docentes, directivos
      docentes y administrativos a su cargo de conformidad con las normas sobre la
      materia.
•     Realizar la evaluación anual del desempeño de los docentes, directivos, docentes y
      administrativos a su cargo.
•     Imponer las sanciones disciplinarias propias del sistema del control interno
      disciplinario de conformidad con las normas vigentes.
•     Proponer a los docentes que serán apoyados para recibir capacitación.
•     Suministrar información oportuna al departamento, Núcleo o Municipio, de acuerdo
      con sus requerimientos.
•     Responder por la calidad de la prestación de servicios en su Institución.
•     Rendir un informe al Consejo Directivo de la Institución Educativa al menos cada seis
      meses.
•      Administrar el fondo de servicios educativos y los recursos que por incentivos se le
      asignen en los términos de la presente Ley.
•     Publicar una vez al semestre en lugares públicos y comunicar por escrito a los padres
      de familia, los docentes a cargo de cada asignatura, los horarios y la carga docente
      de cada uno de ellos.
•     Las demás que le asigne el alcalde para la correcta prestación del servicio educativo.

Artículo 75. CONSEJO DIRECTIVO.

OBJETIVOS CENTRALES DEL ESTAMENTO

    • Participar en la organización, desarrollo y evaluación del proyecto educativo
      Institucional.
    • Fortalecer el proceso democrático participativo entre los estudiantes que Integran la
      Comunidad Educativa y toma de decisiones de carácter financiero, administrativo y
      técnico pedagógico en la Institución.
PROCESO DE SELECCION Y CONFORMACION

EI Rector preside y convoca el Consejo Directivo.:

•   Dos representantes de los docentes elegidos en una asamblea de docentes
    representando quien obtenga la mayoría de votos.
•   Dos representantes de los padres de familia se eligen por la junta directiva de los
    padres de familia.
•    Un representante de los estudiantes se elige por los alumnos del último grado de la
    Institución Educativa. Debe ser diferente del alumno que fue elegido como Personero
    Estudiantil.
•    Un representante de los ex alumnos elegido por el Consejo Directivo podrá ser
    aquel que en el año anterior haya ejercido sus funciones de representante de los
    estudiantes.
•    Un representante del sector productivo o comercial de la zona es elegido por el
    Consejo Directivo para el cual los representantes de estos sectores deben proponer
    candidatos.
•    Tomar las decisiones que afecten el funcionamiento de la Institución, excepto las
    que sean competencia de otra autoridad.
•    Servir de instancia para resolver conflictos que se presenten entre docentes y
    administrativos con los alumnos del establecimiento educativo, después de haber
    agotado los procedimientos previstos en el reglamento o Manual de Convivencia.
•    Adaptar el Manual de Convivencia y el reglamento de la Institución.
•    Fijar los criterios para la fijación de cupos disponibles para la admisión de nuevos
    alumnos.
•    Asumir la defensa y garantía de los derechos de toda la Comunidad Educativa,
    cuando algunos de sus miembros se sientan lesionados.
•    Aprobar el plan anual de actualización académico del personal docente y
    presentado por el Rector.
•    Participar en la planeación y evaluación del proyecto educativo institucional.
•    Estimular y controlar el buen funcionamiento de la Institución Educativa.
•    Establecer estímulos y sanciones para el buen desempeño académico y social del
    alumno.

Participar en la evaluación de los docentes, directivos y personal administrativo de la
Institución.

Artículo 76. CONSEJO ACADÉMICO.

El Consejo Académico está integrado por el Rector quien lo preside, los Coordinadores,
un docente por cada una de las áreas según el Plan de Estudios.

PROCESO PARA SU CONFORMACIÓN.
En Asamblea de docentes convocada y precedida por el Rector los docentes se reunirán
por áreas y elegirán entre ellos el docente que conformará el Consejo Académico para el
año lectivo en curso. De ello quedará evidencia escrita (Formato apropiado para la
elección) además del Acta de Conformación. Los elegidos serán los responsables por
cada área ante la institución y el Consejo Académico.

El Consejo Académico es el responsable de los procesos investigativos y pedagógicos
que tengan relación con el diseño, desarrollo y organización del Currículo y/o la
propuesta de formación de la institución educativa.

REPRESENTANTES AL CONSEJO ACADÉMICO (Artículo 24, Decreto 1860 de
1994). Los representantes al Consejo Académico serán elegidos por voto secreto de los
educadores por cada área definida en el Plan de Estudios, un representante por grado
en los Niveles de Preescolar y Básica Primaria y un representante por nivel de la
Educación Formal de Adultos (Jornada Nocturna).

FUNCIONES DEL CONSEJO ACADÉMICO (Artículo 24, Decreto 1860 de 1994). Se
establecen como funciones del Consejo Académico en concordancia con el Decreto
1860 de 1994, las siguientes:

1. Servir de órgano consultor al Consejo Directivo en la revisión de la propuesta del
   Proyecto Educativo Institucional.
2. Estudiar el currículo y propiciar su continuo mejoramiento, introduciendo las
   modificaciones y ajustes de acuerdo con el procedimiento previsto en el Decreto.
3. Organizar el Plan de Estudios y orientar su ejecución.
4. Participar en .la evaluación institucional anual.
5. Integrar las comisiones de docentes para la evaluación periódica del rendimiento de
   los estudiantes y para la promoción, asignar sus funciones y supervisar el proceso
   general de la evaluación.
6. Liderar la orientación pedagógica de la institución.
7. Recibir reclamos sobre aspectos de la práctica evaluativa por parte de los estudiantes
   o cualquier miembro de la comunidad educativa.
8. Recomendar políticas para la dotación del material y medios auxiliares de enseñanza.
9. Las demás funciones afines o complementarias con las anteriores que le atribuya el
   Proyecto Educativo Institucional -PEI-

Artículo 77. CONSEJO ESTUDIANTIL.

OBJETIVO CENTRAL DEL ESTAMENTO

Asegurar y garantizar el continuo ejercicio de la participación por parte de los educandos.

PROCESO DE SELECCION Y CONFORMACION:

EI Rector o sus delegados para este fin, deberá convocar en una fecha dentro de las
cuatro primeras semanas del calendario académico la conformación del Consejo
Estudiantil. Ya que la institución cuenta con varios grupos por grado, cada grupo elegirá
un representante por grupo en la fecha señalada (Asamblea de grupos) precedidas por
los directores de grupo. Los elegidos a su vez, en fecha posterior a la anterior y definida
por el Rector o sus delegados, se reunirán y elegirán los candidatos por grado. Quienes
se constituirán en el representante e integrante oficial del Consejo Estudiantil para el año
lectivo en curso, teniendo en cuenta que los representantes por grupo serán sus voceros
ante todos los demás compañeros. Para tal cometido serán convocados cuando el
Consejo Estudiantil así lo decida o lo requiera.

Parágrafo: Los estudiantes de preescolar a tercero, elegirán un vocero único entre los
estudiantes que cursen el tercer grado. La forma de hacerlo la definirá los coordinadores
de la institución con las sugerencias de los directores de grupo y/o las personas
delegadas por el Rector.

El Consejo Estudiantil, conformado por un representante por grado, se reunirá para
elegir entre los alumnos de once el Representante al Consejo Directivo.

EI Consejo Estudiantil Asegura y garantiza el continuo ejercicio de la participación por
parte de los educandos

FUNCIONES

    • Darse su propia organización Interna.
    • Elegir el representante de los estudiantes ante el Consejo Directivo del
      establecimiento educativo para dar cumplimiento a la Ley.
    • Invitar a sus deliberaciones a aquellos estudiantes que presentan iniciativa sobre el
      desarrollo de la vida estudiantil
    • Trabajar mancomunadamente con el Personero en la promoción del ejercicio de los
      deberes y derechos de los estudiantes consagrados en la normatividad educativa.
    • Escuchar y analizar las propuestas presentadas por los estudiantes.
    • Las demás actividades afines o complementarias con las anteriores que le atribuye el
      Manual de Convivencia.


Artículo 78. PERSONERO

 1. EL PERSONERO. Es el representante de todos los estudiantes ante todos los estamentos
del Gobierno escolar. Debe ser un estudiante que esté cursando el grado Once (11) y estará
encargado de promover el ejercicio de los deberes y derechos de los estudiantes, consagrados
en la Constitución Colombiana, las leyes, los reglamentos y en este Manual de Convivencia.

2. REQUISITOS PARA SER PERSONERO. El Personero de la Institución debe cumplir con
los siguientes requisitos, además de los estipulados en el artículo 94 de la Ley 115 de 1994:

• Estar matriculado en el grado 11º de la Institución.
• Tener buen rendimiento académico.
• Tener buen comportamiento disciplinario.
• No tener áreas pendientes de grados anteriores.
• No tener procesos disciplinarios.
• Tener aceptación dentro del grupo de estudiantes.
• Ser emprendedor de programas en bien de la institución.
• Promover el cumplimiento del Manual de Convivencia, en especial derechos y deberes, a
  través de la práctica de buenas relaciones entre directivas, docentes, estudiantes y padres de
  familia.
• Tener disponibilidad de tiempo sin afectar las actividades académicas.
•   Tener cualidades y capacidad de liderazgo.
•   Distinguirse por la práctica de los valores de la institución.
•   Conocer a cabalidad el Manual de Convivencia.
•   Ser elegido por la mayoría de los estudiantes.
•   Tener capacidad de análisis, crítica, equilibrio y objetividad para afrontar problemas, tomar
    decisiones y asumir riesgos.

3. FUNCIONES DEL PERSONERO:

a. Promover el ejercicio de los deberes de los estudiantes.
b. Promover y motivar el conocimiento y ejercicio de los derechos, especialmente el derecho de
   petición y de defensa y debido proceso consagrados en la Constitución Colombiana, las
   Leyes, los reglamentos y en el presente Manual de Convivencia.
c. Asesorar a los estudiantes en todos los casos en donde haya duda.
d. Promover campañas tendientes a obtener la convivencia y solución pacifica de los conflictos.
e. Desarrollar y ejecutar el Proyecto de la Personería. El cual debe ser dado a conocer con
   anticipación a sus compañeros.
f. Recibir y evaluar las quejas y reclamos que presenten los estudiantes.
g. Interponer recurso contra las decisiones de los docentes, directores de grupo o directivas.
h. Representar a la Institución, asistiendo a los talleres o reuniones que programe la
   Administración Municipal.

Parágrafo 1. Convocatoria para elegir personero de los estudiantes. El Rector de la
Institución convocará a través de la comisión encargada del Gobierno Escolar a elección de
Personero Estudiantil dentro de los 30 días calendario siguiente a la iniciación de clases del
período lectivo anual.

La convocatoria se debe hacer mediante Resolución Rectoral, 30 días antes de su elección, con
el fin de que los candidatos se inscriban, hagan sus campañas y presenten sus proyectos. El
proceso de votación es un conjunto de actividades que cumplen los estudiantes matriculados en
la institución para elegir el personero de los estudiantes de la institución.

Parágrafo 2. Instalación de mesa de votación. Los jurados estarán integrados por dos un
alumno, un docente y un padre de familia principales y sus correspondientes suplentes. Los
principales podrán convenir con los suplentes el cumplimiento de la función alternándose entre
si. Los testigos electorales pueden presenciar desde la iniciación todo el proceso de las
votaciones hasta su conclusión y entrega de resultados al registrador institucional.

La jornada para la elección de personero se cerrará a las 4 pm.

En caso de no estar completos los jurados (3 en total), procederán a informar a la autoridad
electoral, delegado o registrador, para que provea los que faltan. Acto seguido, los jurados
verificarán la existencia de los siguientes elementos: Urna, cubículos, tarjetas para el personero
de los estudiantes, sobre con destino a delegados del rector, sobre para depositar las tarjetas
electorales no utilizadas o inservibles, bolsa plástica, bolígrafos negros y rojos, lápices.

Si la elección del Personero es virtual, se procede a tener disponibles las salas de informática
con el tarjetón de los candidatos a Personería, con el fin de hacer buen uso de los medios
tecnológicos más avanzados.

Parágrafo 3. Lista de formularios de votación. Los jurados deben verificar la existencia de
los formularios así:
•   Lista de jurados
•   Lista de sufragantes
•   Lista de registro de votantes
•   Acta de instalación y constancia
•   Actas de escrutinio de jurados


En caso de que falte algún elemento, se procederá a avisar a los registradores o a su delegado.
Siendo la hora señalada se cerrará la urna o salas de informática y se colocará los
correspondientes sellos agregando el formulario con lista de jurados en la parte superior.

Parágrafo 4. Iniciación de votaciones. Los jurados en número de tres (3) iniciarán a las 8:00
a.m., a la 1:00 p.m. en punto, las votaciones en cada jornada.

Pasos a seguir en la votación. A partir de las ocho (8:00 a.m.) podrá votar el primer estudiante
de la jornada de la mañana hasta las 12:00 m. y a partir de la una (1:00 p.m.) y hasta la cuatro
(4:00 p.m.) la jornada de la tarde, bien sea en las urnas o en forma virtual.

Cuando se acerca el estudiante a votar, se procederá a verificar su calidad de estudiante en el
listado correspondiente.

Se busca el número de identidad en la lista de sufragantes, se marca con una X anotando en el
registro de votantes el número de orden y los apellidos, nombre y sexo del elector en las casillas
correspondientes.

Se entrega al votante el bolígrafo y la tarjeta electoral del personero de los estudiantes el cual se
firmará previamente por uno de los jurados.

El alumno se dirige a los cubículos o recinto aislado o computador y marca cada tarjeta con una
X, en el espacio del candidato de su preferencia o señala la casilla en blanco.

El votante dobla la tarjeta de modo quede a la vista los candidatos, mostrando al jurado el lugar
donde firmó para probar que fue entregada por éste.

El alumno deposita en la urna la tarjeta electoral debidamente doblada, o señala en el
computador el candidato de su preferencia.

Se recibe del estudiante el bolígrafo y se devuelve el carné.

Parágrafo 5. Prohibición a los jurados. Los jurados no pueden hacer insinuaciones ni indicar
candidato alguno a los electores ni efectuar marcaciones en la tarjeta electoral que entregan al
alumno.

Casos especiales. Si el alumno marca equivocadamente una tarjeta, el jurado anota la palabra
inservible, la introduce en el sobre destinado para tal final y en su reemplazo le entregará una
nueva tarjeta, si es en la urna, y si es virtual dará al computador la orden correspondiente para
anular el voto y proceder nuevamente a votar.

Si el alumno se abstiene de introducir en la urna una tarjeta tiene obligación de devolverla. En
este caso, los jurados deberán colocar a la tarjeta la palabra inservible y depositarla en el sobre
para las tarjetas NO UTILIZADAS E INSERVIBLES. El jurado debe solicitar al rector o
registrador o su delegado el llamado de atención y la exigencia de compostura o incluso el retiro
de los infractores, así sea en forma virtual.
Parágrafo 6. Voto de Jurado. Los jurados de votación principales y secundarios deberán
sufragar en la mesa donde prestan el servicio por lo cual se anota el numero del carné en la lista
de sufragantes en los espacios asignados para este fin y el nombre, con el registro de votantes.

El jurado que ha votado en la respectiva mesa en donde prestó su concurso no podrá votar en
ninguna otra so pena de hacerse acreedor a las sanciones de conducta según el Manual de
Convivencia

Parágrafo 7. Comisiones en la lista de sufragantes. Cuando un estudiante se acerque a votar
y no figure en la lista de sufragantes, se le devuelve y se le indica acudir al registrador o
delegado para que este funcionario, verifique el error de omisión, autorice el sufragio mediante
autorización. El jurado marca la casilla correspondiente, en el formulario lista y registro de
votantes, previa verificación de la autorización para votar en la respectiva mesa.

Parágrafo 8. Cierre de votaciones: La votación se cierra a las               12:00 m., 4:00 p.m.
respectivamente según la jornada.

Por ningún motivo se permite sufragar después de esta hora aún cuando se encuentren
estudiantes haciendo fila para hacerlo.

• Cerrada la votación y antes de abrir la urna o pantalla, los jurados deben introducir las tarjetas
  electorales no utilizadas e inservibles en el sobre destinado para este fin y luego se sella.

• A continuación uno de los jurados lee en voz alta el total de los sufragantes que se anota en el
  formulario de registro de votantes en el espacio correspondiente del formulario a las actas de
  escrutinio de los jurados.

Parágrafo 9. Conteo de votos. Se abre la urna y pantalla y los jurados proceden a:

• Seleccionar las tarjetas electorales o votos virtuales.
• Contar las tarjetas electorales que conforman cada grupo.
• Verificar que la cantidad de tarjetas electorales por cargo coincidan con el número de
  votantes. Si es mayor se revisa el registro de votantes, el número de votantes y si la
  diferencia persiste se introducen las tarjetas del grupo afectado en la urna o pantalla.
• A continuación se mueve la urna con las tarjetas para alterar la colocación y se saca a la
  suerte tantas tarjetas cuantas sean las excedentes, y sin desdoblarlas se incineran
  inmediatamente. De este hecho queda constancia en el acta de escrutinio.

Parágrafo 10. Revocatoria: En caso de no cumplir satisfactoriamente con las funciones
asignadas, presentar mal comportamiento dentro o fuera de la institución o tener bajo
rendimiento académico, podrá ser revocada su elección, en primera instancia por el Consejo de
Estudiantes, con la aprobación del Consejo Directivo.     En su reemplazo será nombrado el
estudiante que al momento de la elección haya obtenido la segunda mayoría de votos.

Parágrafo 11. Posesión. Acto especial ante la comunidad educativa o sus representantes que
se realizará máximo una semana después de las elecciones, donde se le tomará juramento al
nuevo personero (a) acompañado por las directivas de la institución y precedido por la Rectoría.
Artículo 79. CONSEJO DE PADRES Y ASOCIACION DE PADRES DE FAMILIA.

Su fundamentación se encuentra El DECRETO No 1286 DE 2005 de 27 ABRIL 2005
el cual establece las normas sobre la participación de los padres de familia en el
mejoramiento de los procesos educativos de los establecimientos educativos.

Para su aplicación se procederá así: El Rector y los coordinadores en las tres primeras
semanas de clase convocarán a reuniones generales de padres de familia en cada una
de las secciones de la institución (Asamblea de Padres de Familia). De ellas saldrán 2 o
3 padres de familia representantes por cada uno de los grupos.

Estos padres de familia serán citados a una reunión en donde se elegirán los padres de
familia que conformarán el Consejo de Padres según lo estipulado en el decreto en
mención.

Los padres de familia representantes igualmente, podrán entrar a conformar la
Asociación de Padres de Familia correspondiente al nuevo año lectivo.


                                CAPÍTULO X.
                     OTRAS REGLAMENTACIONES ESPECÍFICAS

Artículo 80. LA SECCION HIPOLITO LONDOÑO MESA

La Institución Educativa Juan de la Cruz Posada, considera las siguientes
reglamentaciones específicas de la Seccional Hipólito Londoño Mesa, dado su carácter
de vinculación con la Arquidiócesis de Medellín y el Hogar San José.

1. La Arquidiócesis de Medellín y el Hogar San José poseen la autonomía para
desarrollar el proceso de selección de las alumnas que ingresan al hogar.

2. La Institución Educativa Juan de la Cruz Posada, a través de EDUCAME que expresa
los lineamientos y políticas educativas nacionales, posee la autonomía y la
responsabilidad legal para desarrollar con la Comunidad Educativa (alumnas, familia,
docentes, Coordinador -Docente) los procesos de gestiones administrativas y
organizativas, así como los académicos y pedagógicos que le conciernen.

Artículo 81. MANUAL DE FUNCIONES PERSONAL DE MANTENIMIENTO Y ASEO

1. DERECHOS Y DEBERES DE LOS VIGILANTES

DERECHOS:

•  Ser tratados. con respeto por los educadores y demás integrantes de la comunidad.
•  Recibir información veraz y oportuna por escrito.
•  Ser escuchados en sus justas reclamaciones siempre y cuando se hagan con altura.
•  Recibir un trato cortes y equitativo de acuerdo a los principios básicos de las relaciones
humanas.
• Tomarse el tiempo de descanso dentro de la Institución de acuerdo con el reglamento y ser
  reemplazado por la aseadora
• Disfrutar de su descanso en el horario asignado.

DEBERES:

•   Cumplir can los horarios establecidos por la Institución.
•   Tratar con respeto y cordialidad a todos los miembros de la Comunidad Escolar.
•   Cumplir con las funciones asignadas.
•   Permanecer durante su jornada de trabajo (!os descansos) en la puerta principal.
•   Velar por su buena presentación personal.
•   Mantener buenos modales, vocabulario correcto y actitudes positivas frente a todas las
    personas que lo rodean.
•   Ser receptivo(a) ante las observaciones y las recomendaciones que se le hagan.
•   Abstenerse de recibir visitas en horas de trabajo.
•   Velar por la seguridad de todas las personas que integran la Comunidad Educativa.
•   Evitar que los niños hagan compras a través de la reja en el descanso.
•   No permitir la entrada de padres de familia ni personas ajenas a la Institución, sin la debida
    autorización del profesor o Director(a).
•   No presentarse al establecimiento en estado de embriaguez o el efecto de drogas
    psicotrópicas.
•   Conocer y aplicar el Manual de Convivencia.
•   Asistir puntualmente a su lugar de trabajo.
•   Cumplir con la jornada laboral establecida.
•   Atender los llamados a colaborar en las diferentes actividades programadas por la Institución.
•   Acatar los llamados de atención que se le hagan.
•   No guardar armas, ni objetos, a ninguna persona sin autorización del director(a).


2. DERECHOS Y DEBERES DE LAS ASEADORAS

DERECHOS:

•    Ser tratados con respeto por los educadores y demás integrantes de la Comunidad
Educativa.
•    Recibir información veraz y oportuna por escrito.
•    Ser escuchados en sus justas reclamaciones siempre y cuando se hagan con cultura.
•    Recibir un trato cortés y equitativo de acuerdo a los principios básicos de las relaciones
humanas.
•    Tomarse el tiempo de descanso dentro de la Institución de acuerdo con el reglamento.
•    Expresar sus pensamientos e Inquietudes en forma respetuosa.
•    Ser considerado y tratado como una persona, sin distinción de raza, color, sexo y posición
social.
•    Que le sea aplicado el debido proceso (art. 28 Constitución Política) cuando se
responsabilice de una falta.
•    Conceder permisos en casos de extremada urgencia (muerte, siniestro, entre otras) según
lo estipulado por la Ley.

DEBERES:
•     Llegar puntual a su lugar de trabajo, en su defecto presentar la justificaci6n a su Jefe
inmediato.
•     Utilizar un trato corté y respetuoso con los miembros de Comunidad Educativa y demás
personas que asistan a la Institución.
•     Ser receptivo ante las sugerencias y observaciones que se le hagan.
•     Ajustarse a las funciones inherentes a su cargo.
•     Utilizar el conducto regular para solucionar cualquier inquietud o conflicto que se presente.
•     Abstenerse de hacer comentarios que puedan generar situaciones de conflicto.
•     Utilizar moderadamente el teléfono y en el tiempo previsto para su descanso.
•     Uso y ubicación adecuada de los implementos y enseres de la Institución.
•     Cumplir con responsabilidad y diligencia las actividades asignadas.
•     Disponer del tiempo asignado para su descanso dentro de la Institución y que no coincida
con el descanso de los estudiantes.
•     Informar oportunamente los motivos de sus ausencias. Llevar adecuadamente el uniforme.
•     Responder por el inventario entregado y el buen manejo de este.
•     Conocer y aplicar el Manual de Convivencia.
•     Atender con agrado los llamados a colaborar en las diferentes actividades programadas por
la Institución.
•     Uso racionalizado de los implementos de aseo y demás.
•     Abstenerse de traer acompañantes que interfieran el buen desempeño de su labor.
•     No intervenir en los asuntos de carácter interno y/o organizacional del plantel.
•     No ingresar a la Institución fuera de horarios de trabajo.

Artículo 82. LEY 1098 DE 2006 CODIGO DE LA INFANCIA Y LA ADOLESCENCIA.

Al momento de implementar y llevar a cabo alguna decisión contemplada en este Manual de
Convivencia se tendrán en cuenta los siguientes artículos, entre otros, propios de la Ley 1098 de
2006 Ley de la Infancia y la Adolescencia:

   Artículo 26. Derecho al debido proceso. Los niños, las niñas y los
adolescentes tienen derecho a que se les apliquen las garantías del debido
proceso en todas las actuaciones administrativas y judiciales en que se
encuentren involucrados.
   En toda actuación administrativa, judicial o de cualquier otra naturaleza en
que estén involucrados, los niños, las niñas y los adolescentes, tendrán derecho
a ser escuchados y sus opiniones deberán ser tenidas en cuenta.
   Artículo 42. Obligaciones especiales de las instituciones educativas.
Para cumplir con su misión las instituciones educativas tendrán entre otras las
siguientes obligaciones:
   1. Facilitar el acceso de los niños, niñas y adolescentes al sistema educativo y
garantizar su permanencia.
   2. Brindar una educación pertinente y de calidad.
   3. Respetar en toda circunstancia la dignidad de los miembros de la
comunidad educativa.
   4. Facilitar la participación de los estudiantes en la gestión académica del
centro educativo.
5. Abrir espacios de comunicación con los padres de familia para el
seguimiento del proceso educativo y propiciar la democracia en las relaciones
dentro de la comunidad educativa.
   6. Organizar programas de nivelación de los niños y niñas que presenten
dificultades de aprendizaje o estén retrasados en el ciclo escolar y establecer
programas de orientación psicopedagógica y psicológica.
   7. Respetar, permitir y fomentar la expresión y el conocimiento de las diversas
culturas nacionales y extranjeras y organizar actividades culturales
extracurriculares con la comunidad educativa para tal fin.
   8. Estimular las manifestaciones e inclinaciones culturales de lo niños, niñas
y adolescentes, y promover su producción artística, científica y tecnológica.
   9. Garantizar la utilización de los medios tecnológicos de acceso y difusión de la
cultura y dotar al establecimiento de una biblioteca adecuada.
   10. Organizar actividades conducentes al conocimiento, respeto y
conservación del patrimonio ambiental, cultural, arquitectónico y arqueológico
nacional.
   11. Fomentar el estudio de idiomas nacionales y extranjeros y de lenguajes
especiales.
   12. Evitar cualquier conducta discriminatoria por razones de sexo, etnia,
credo, condición socio-económica o cualquier otra que afecte el ejercicio de sus
derechos.
   Artículo 43. Obligación ética fundamental de los establecimientos
educativos. Las instituciones de educación primaria y secundaria, públicas y
privadas, tendrán la obligación fundamental de garantizar a los niños, niñas y
adolescentes el pleno respeto a su dignidad, vida, integridad física y moral
dentro de la convivencia escolar. Para tal efecto, deberán:
   1. Formar a los niños, niñas y adolescentes en el respeto por los valores
fundamentales de la dignidad humana, los Derechos Humanos, la aceptación, la
tolerancia hacia las diferencias entre personas. Para ello deberán inculcar un
trato respetuoso y considerado hacia los demás, especialmente hacia quienes
presentan discapacidades, especial vulnerabilidad o capacidades sobresalientes.
   2. Proteger eficazmente a los niños, niñas y adolescentes contra toda forma de
maltrato, agresión física o sicológica, humillación, discriminación o burla de
parte de los demás compañeros y de los profesores.
   3. Establecer en sus reglamentos los mecanismos adecuados de carácter
disuasivo, correctivo y reeducativo para impedir la agresión física o psicológica,
los comportamientos de burla, desprecio y humillación hacia niños y
adolescentes con dificultades en el aprendizaje, en el lenguaje o hacia niños y
adolescentes con capacidades sobresalientes o especiales.
   Artículo 44. Obligaciones complementarias de las instituciones
educativas. Los directivos y docentes de los establecimientos académicos y la
comunidad educativa en general pondrán en marcha mecanismos para:
   1. Comprobar la inscripción del registro civil de nacimiento.
   2. Establecer la detección oportuna y el apoyo y la orientación en casos de
malnutrición, maltrato, abandono, abuso sexual, violencia intrafamiliar, y
explotación económica y laboral, las formas contemporáneas de servidumbre y
esclavitud, incluidas las peores formas de trabajo infantil.
   3. Comprobar la afiliación de los estudiantes a un régimen de salud.
   4. Garantizar a los niños, niñas y adolescentes el pleno respeto a su dignidad,
vida, integridad física y moral dentro de la convivencia escolar.
   5. Proteger eficazmente a los niños, niñas y adolescentes contra toda forma de
maltrato, agresión física o psicológica, humillación, discriminación o burla de
parte de los demás compañeros o profesores.
   6. Establecer en sus reglamentos los mecanismos adecuados de carácter
disuasivo, correctivo y reeducativo para impedir la agresión física o psicológica,
los comportamientos de burla, desprecio y humillación hacia los niños, niñas y
adolescentes con dificultades de aprendizaje, en el lenguaje o hacia niños o
adolescentes con capacidades sobresalientes o especiales.
   7. Prevenir el tráfico y consumo de todo tipo de sustancias psicoactivas que
producen dependencia dentro de las instalaciones educativas y solicitar a las
autoridades competentes acciones efectivas contra el tráfico, venta y consumo
alrededor de las instalaciones educativas.
   8. Coordinar los apoyos pedagógicos, terapéuticos y tecnológicos necesarios
para el acceso y la integración educativa del niño, niña o adolescente con
discapacidad.
   9. Reportar a las autoridades competentes, las situaciones de abuso, maltrato
o peores formas de trabajo infantil detectadas en niños, niñas y adolescentes.
   10. Orientar a la comunidad educativa para la formación en la salud sexual y
reproductiva y la vida en pareja.
   Artículo 45. Prohibición de sanciones crueles, humillantes o
degradantes. Los directores y educadores de los centros públicos o privados de
educación formal, no formal e informal, no podrán imponer sanciones que
conlleven maltrato físico o psicológico de los estudiantes a su cargo, o adoptar
medidas que de alguna manera afecten su dignidad. Así mismo, queda prohibida
su inclusión bajo cualquier modalidad, en los manuales de convivencia escolar.

Artículo 83. BIENES Y VALORES

Es deber de los docentes y de todo funcionario público “Vigilar y salvaguardar los bienes
y valores que le han sido encomendados y cuidar que sean utilizados debida y
racionalmente, de conformidad con los fines a que han sido destinados” (Ley 734 de
2002, C.P. 397 a 400)


                         Si no estás pensando en trastearte,
                                    cuida tu casa.
                             El mundo es nuestra casa.
                                Exige que lo cuiden !

Manual Convivencia Impresion2009 !!

  • 1.
    INSTITUCION EDUCATIVA JUAN DE LA CRUZ POSADA Creada por Resolución Departamental 16261 de Noviembre 27 de 2002 NIT 811039153-1 DANE 105001000353 TELEFONOS 291 48 01 / 254 96 59 MANUAL DE CONVIVENCIA Medellín 2008
  • 2.
    CONTENIDO ACUERDO DIRECTIVO NÚMERO009 (7 DE JULIO DE 2008). PRESENTACIÓN CAPITULO I. GENERALIDADES 1. RESOLUCIÓN DE CREACIÓN. 2. RESEÑA HISTÓRICA DE LAS SECCIONES. 3. LOS SÍMBOLOS INSTITUCIONALES 4. BIOGRAFIA DE JUAN DE LA CRUZ POSADA 5. MISIÓN 6. VISIÓN 7. FILOSOFÍA INSTITCUIONAL 8. PERFIL DEL ESTUDIANTE 9. PRINCIPIOS INSTITUCIONALES 10. VALORES INSTITUCIONALES 11. FINES DEL MANUAL DE CONVIVENCIA 12. FUNDAMENTACIÓN LEGAL CAPITULO II. CONCEPTUALIZACION DE CATEGORÍAS A. DE LOS PROCESOS PEDAGÓGICOS Y CURRICULARES B. DEL PROCESO DISCIPLINARIO CAPITULO III. DEBERES Y DERECHOS Artículo 2. DERECHOS DE LOS ESTUDIANTES Artículo 2. DEBERES DE LOS ESTUDIANTES. Artículo 3. DERECHOS DE LOS PADRES DE FAMILIA O ACUDIENTES Artículo 4. DEBERES DE LOS PADRES DE FAMILIA O ACUDIENTES Artículo 5. DERECHOS DE LOS DOCENTES. Artículo 6. DEBERES DE LOS DOCENTES CAPITULO IV. ESTÍMULOS Artículo 7. A LOS ESTUDIANTES Artículo 8. ESTIMULOS A LOS DOCENTES. CAPITULO V. EL PROCESO DISCIPLINARIO Y EL DEBIDO PROCESO Artículo 9. EL DEBIDO PROCESO. Artículo 10. PRINCIPIOS DEL DEBIDO PROCESO. Artículo 10. PRINCIPIOS DEL DEBIDO PROCESO. Artículo 11. EL CONDUCTO REGULAR. Artículo 12. CLASIFICACION DE LAS FALTAS Artículo 13. FALTAS LEVES.
  • 3.
    Artículo 14. FALTAS GRAVES. Artículo 15. FALTAS GRAVÍSIMAS. Artículo 16. SANCION DE LAS FALTAS Artículo 17. ATENUANTES Y AGRAVANTES Artículo 18. PROCEDIMIENTO PARA LAS FALTAS LEVES. Artículo 19. PROCEDIMIENTO PARA LAS FALTAS GRAVES. Artículo 20. PROCEDIMIENTO PARA LAS FALTAS GRAVÍSIMAS. Artículo 21. CANCELACION DE MATRICULA Y PERMANENCIA DE REPROBADOS Artículo 22. DE LOS RECURSOS QUE SE PUEDEN INTERPONER Artículo 23. ACTUACIONES ADMINISTRATIVAS Artículo 24. EVALUACION DEL COMPORTAMIENTO SOCIAL O DISCIPLINA. Artículo 25. ESQUEMA SANCIONATORIO CAPÍTULO VI. EL PROCESO DE EVALUACIÓN Y PROMOCIÓN Artículo 26. EVALUACIÓN Y PROMOCION. Artículo 27. LA EVALUACIÓN DEL RENDIMIENTO ESCOLAR. Artículo 28. CARACTERÍSTICAS DE LA EVALUACIÓN. Artículo 29. CRITERIOS DE EVALUACIÓN. Artículo 30. REFUERZOS Y RECUPERACIONES Artículo 31. LOS CRITERIOS DE PROMOCIÓN. Artículo 32. REGISTROS ESCOLARES Y VALORACIONES. Artículo 33. MODIFICACION O CORRECCION DE NOTAS. Artículo 34. RECOLECCIÓN DE NOTAS O VALORACIONES POR LEGALIZACION DE MATRICULA. Artículo 35. HOJA DE VIDA DE ESTUDIANTE QUE SE RETIRA. Artículo 36. PROMOCION ANTICIPADA. CAPITULO VII. NORMAS INSTITUCIONALES GENERALES Artículo 37. UNIFORME Artículo 38. PUNTUALIDAD. Artículo 39. LA ASISTENCIA A LA INSTITUCIÓN Y/O A CLASES. Artículo 40. EL SALÓN DE CLASES. Artículo 41. LABORATORIO. Artículo 42. PATIOS Artículo 43. CANCHAS. Artículo 44. BIBLIOTECA Artículo 45. SALAS DE INFORMÁTICA. Artículo 46. DESCANSOS. Artículo 47. SALIDAS PEDAGOGICAS
  • 4.
    Artículo 48. TIENDA ESCOLAR Artículo 49. COMPLEMENTO ALIMENTICIO Artículo 50. TELÉFONO Artículo 51. PORTERIA Artículo 52. OFICINAS Artículo 53. BAÑOS Artículo 54. MEDIOS DE INFORMACION Artículo 55. ZONAS VERDES, JARDINERAS Y MATERAS Artículo 56. MALLAS Artículo 57. PROCLAMACIÓN DE BACHILLERES. Artículo 58. PROCLAMACIÓN PÚBLICA DE BACHILLERES. Artículo 59. SERVICIO SOCIAL ESTUDIANTIL OBLIGATORIO. Artículo 60. HORAS DE CONSTITUCIÓN (Ley 107 de 1994) Artículo 61. PERMISO A DOCENTE Y BANCO DE TALLERES. Artículo 62. EL MEDIO AMBIENTE ESCOLAR Artículo 63. NORMAS DE HIGIENE Y SALUD. Artículo 64. INASISTENCIA. Artículo 65. ATENCION A LOS PADRES DE FAMILIA. Artículo 66. CELULAR Artículo 67. PROYECTOS OBLIGATORIOS. CAPÍTULO VIII. EL PROCESO DE ADMISIONES Y DE MATRICULA Artículo 68. EL PROCESO DE INSCRIPCIÓN Artículo 69. EL PROCESO DE RECEPCIÓN Y ADMISIÓN. Artículo 70. COMITÉ DE ADMISIÓN. Artículo 71. PROCESO DE MATRÍCULA CAPÍTULO IX. LA ORGANIZACION INSTITUCIONAL Y EL GOBIERNO ESCOLAR Artículo 72. COMUNIDAD EDUCATIVA. Artículo 73. ORGANIZACIÓN INSTITUCIONAL. Artículo 74. RECTOR. Artículo 75. CONSEJO DIRECTIVO. Artículo 76. CONSEJO ACADEMICO. Artículo 77. CONSEJO ESTUDIANTIL. Artículo 78. PERSONERO Artículo 79. CONSEJO DE PADRES Y ASOCIACION DE PADRES DE FAMILIA. CAPÍTULO X. OTRAS REGLAMENTACIONES ESPECÍFICAS Artículo 80. LA SECCION HIPOLITO LONDOÑO MESA Artículo 81. MANUAL DE FUNCIONES PERSONAL DE MANTENIMIENTO Y ASEO Artículo 82. LEY 1098 DE 2006 CODIGO DE LA INFANCIA Y LA ADOLESCENCIA. Artículo 83. BIENES Y VALORES
  • 5.
    ACUERDO DIRECTIVO NÚMERO009 (7 DE JULIO DE 2008) Por medio de la cual se establecen adiciones, adecuaciones y modificaciones al Manual de Convivencia de la Institución El Consejo Directivo de la Institución Educativa JUAN DE LA CRUZ POSADA en uso de sus atribuciones legales y, CONSIDERANDO: a. Que el Artículo 73º de la Ley 115 de 1994 establece que todos los establecimientos deberán elaborar y poner en práctica UN REGLAMENTO para docentes y estudiantes con el fin de cumplir las disposiciones oficiales. b. Que el Artículo 87º de la Ley 115 de 1994 establece que todos los establecimientos educativos tendrán UN REGLAMENTO O MANUAL DE CONVIVENCIA, en el cual se definirán los derechos y obligaciones de los estudiantes. c. Que según el Artículo 87º de la Ley 115 de 1994, los padres o tutores y los educandos, al firmar la matrícula correspondiente en representación de sus hijos están aceptando el mismo. d. Que el Artículo 17º del Decreto 1860 de 1994, de acuerdo con el artículo 73 y 87 de la Ley 115 de 1994, los establecimientos educativos deben tener como parte integrante del Proyecto Educativo Institucional -PEI- UN REGLAMENTO O MANUAL DE CONVIVENCIA, el cual debe contener una definición de los derechos y deberes de los alumnos y de sus relaciones con los demás estamentos de la comunidad educativa. e. Que los Artículos 44º y 45º de la Carta Magna establecen los derechos fundamentales de los niños y del adolescente, preceptuándose que los derechos de los niños prevalecen sobre los derechos de los demás. f. Que en el año 2003, la institución elaboró el Primer Manual de Convivencia, año desde el cual no ha sido reformado. g. Que se han propuesto adiciones, adecuaciones y modificaciones desde el año 2006. h. Dichas adecuaciones, modificaciones y adiciones provienen de los Acuerdos 013 y 019 del 2007 y Acuerdos 007, 008 y 015 del 2008 del Consejo Directivo; y los Acuerdos 002 y 003 del 2007 del Consejo Académico.
  • 6.
    i. Que dichasadecuaciones, modificaciones y adiciones hicieron variar la estructura del Actual Manual de Convivencia, pasando a contener y estar conformado por: Una Presentación y ochenta y tres (83) artículos distribuidos en diez (10) Capítulos. j. Que el Decreto Nacional 2737 de 1989, vigente en los artículos 320 al 325 y algunos Capítulos, y la Ley 1098 del 8 noviembre de 2006, Ley de la Infancia y la Adolescencia, que consagra los derechos, libertades y garantías de los menores y establece que la educación debe ser orientada a desarrollar su personalidad, inculcándole el respeto por los Derechos Humanos, los valores culturales y el Medio Ambiente. k. Que la Personería de Medellín elaboró y público una cartilla EL GOBIERNO ESCOLAR, ha tomarse en cuenta para hacer cumplir, cuando se requiera, en temas propios del Manual de Convivencia como son: lo correspondiente al GOBIERNO ESCOLAR, a la participación de los padres de familia y a lo establecido por la LEY DE LA INFANCIA Y LA ADOLESCENCIA. l. Que el Manual de Convivencia de las Instituciones Educativas deberá estar enmarcado en lo dispuesto por la Constitución, en el Código del Menor, la Ley de la Infancia y la Adolescencia y por ende en cualquiera de las normas reglamentarias y sentencias que lo interpreten y debe constituir la carta de principios morales, éticos y sociales que sirvan de base para formar, orientar, evaluar, corregir o estimular los comportamientos de los alumnos. Es decir no pueden contener elementos, normas o principios que estén en contravía de la Constitución y normatividad vigente en materia de regulación del Servicio educativo. ACUERDA Artículo 1. Adoptar las adiciones, adecuaciones y modificaciones al MANUAL DE CONVIVENCIA de la INSTITUCION EDUCATIVA JUAN DE LA CRUZ POSADA, en todas sus partes como herramienta que orienta y promueve el desarrollo institucional. Artículo 2. El objetivo único de este manual será regular la convivencia entre los miembros de la comunidad educativa. Todas las disposiciones contenidas en él, se interpretarán teniendo en cuenta que su finalidad es la formación de los alumnos para la sana y responsable convivencia, dentro de los principios democráticos de la nación y siempre de acuerdo con la Constitución Nacional y las normas legales vigentes de Derecho Administrativo, Civil y de Familia. Artículo 3. Para cualquier asunto de tipo legal, el presente MANUAL DE CONVIVENCIA será tenido en cuenta tanto a nivel consultivo como jurídico. Artículo 4. El presente Manual de Convivencia reemplaza y deroga todas las disposiciones contrarias y rige a partir de la firma del presente acuerdo por todos los miembros del Consejo Directivo.
  • 7.
    Articulo 5. Elpresente acuerdo rige a partir de su expedición. COMUNIQUESE Y CÚMPLASE Dado en Medellín a los 7 días del mes de julio de 2008. _______________________________ ______________________________ ADOLFO LEON GONZALEZ OSPINA ADOLFO DE JESUS MUNERA Presidente del Consejo Directivo Representante docentes ______________________________ ______________________________ ALVARO DE JESUS ATEHORTUA LUCELLY GUARIN SIERRA Representante docentes Representante padres de familia ______________________________ _______________________________ JORGE ANDRES CASTRILLÓN SILVA JHONATAN SERNA GARCIA Representante padres de familia Representante alumnos __________________________________ __________________________ NANCY JANETH RAMIREZ ESTEBAN CORREA Representante Sector productivo Representante de los exalumnos
  • 8.
    PRESENTACIÓN Las adecuaciones, modificacionesy adiciones hechas al presente Manual de Convivencia es el fruto de encuentros realizados con los diferentes miembros de la Comunidad Educativa. Las propuestas para tal fin fueron estudiadas y analizadas en el Consejo Directivo y fueron registradas en acuerdos del 2007 y del 2008. También se tuvieron en cuenta los Acuerdos del Consejo Académico del 2007 Y 2008. Por lo tanto, el contenido del presente Manual de Convivencia, es el fruto del trabajo de nuestra Comunidad Educativa frente a la cotidianidad de la Institución, enriquecido con el estudio y aportes de la Constitución Política, la Ley 715, la ley 375, La ley 1098, el Decreto 1423, el Código Disciplinario Único, la ley General de Educación, sus Decretos, Reglamentarios, el Decreto 1286 de 2005 y toda la legislación vigente en materia educativa. Aquí se consignan las generalidades de la Institución y los lineamientos que la orientan. Es una propuesta que se constituye en referente para guiar el ejercicio de la libertad y la asunción de los derechos, deberes y responsabilidades de los diferentes actores escolares; con miras a generar procesos articulados de conocimiento, de reflexión y aprendizaje que posibiliten la formación integral de estudiantes con actitudes, valores, creencias y convicciones mediante una convivencia democrática, pacífica y gratificante que garantice el respeto por la persona y la colectividad y contribuyan a lograr una vida digna y trascendente. Confiamos en que el compromiso adquirido gracias a la construcción participativa en este Manual, fortalezca las relaciones interpersonales, los ambientes de aprendizaje y aporte un grano de arena al anhelo de reconciliación y paz que todos soñamos.
  • 9.
    CAPITULO I. GENERALIDADES 1. RESOLUCIÓN DE CREACIÓN. DEPARTAMENTO DE ANTIOQUIA SECRETARÍA DE EDUCACIÓN PARA CULTURA RESOLUCIÓN NÚMERO 16261 (27 NOV. 2002) (INSTITUCIÓN EDUCATIVA “JUAN DE LA CRUZ POSADA” Medellín) Por la cual se crea una Institución Educativa, se clausuran unos establecimientos educativos, se asignan en custodia para administrar los libros reglamentarios, archivos, bienes y enseres, se redistribuye una planta de cargos y se concede reconocimiento de carácter oficial a una Institución Educativa. EL SECRETARIADO DE EDUCACIÓN PARA LA CULTURA DEL DEPARTAMENTO DE ANTIOQUIA , en uso de sus facultades constitucionales y legales, en especial las que le confieren los artículos 151 de la Ley 115 de 1994 y los Artículos 6°, 9° y 37° dela Ley 715 de 2001 y CONSIDERANDO QUE: De Conformidad con el artículo 151 de la Ley 115 de 1994, corresponde a las Secretaría de Educación Departamentales, organizar el servicio educativo, de acuerdo con las prescripciones y reglamentarias sobre la materia. De acuerdo con lo prescrito en los Artículos 6° y 7° de la Ley 715 del 2001, sin perjuicio de lo establecido en otras normas, corresponde a los Departamentos y Municipios certificados organizar la prestación y administración del servicio educativo en su jurisdicción. En cumplimiento de lo dispuesto en los artículos 9° de la Ley 715 del 2001 y 138 de la Ley 115 de 1994, las autoridades educativas territoriales, velarán para que bajo una sola administración de la Institución o centro educativo, se ofrezcan los niveles de Preescolar, Básica y Media. El Consejo Nacional de Política Económica y Social CONPES, en su documento No. 57 del 28 de enero del 2002 (numeral 2.2.1.2.3.1) hace referencia a mantener los Planes de Reorganización y convertirlos en herramienta fundamental para la conformación de las nuevas plantas de personal y de cargos. Definidas en el Artículo 37° de la Ley 715 del 2001. El Ministerio de Educación Nacional, ha fijado pautas y criterios para la reorganización del Sector Educativo. De conformidad con los artículos 6° y 37° de la Ley 715 del año 2001, corresponde al departamento participar en el proceso de definición de las plantas, de cargos y plantas de personal del sector educativo, organizar y distribuir entre los municipios los docentes, directivos docentes y administrativos, de acuerdo con las necesidades del servicio y las normas que a futuro expida el Ministerio de Educación Nacional, para tal efecto.
  • 10.
    Los establecimientos educativosy denominados: Colegio “JUAN DE LA CRUZ POSADA”, Colegio Agustín Nieto Caballero, Escuela Hipólito Londoño y Escuela Francisco Antonio Uribe vienen funcionando amparadas en las siguientes normas: Colegio “JUAN DE LA CRUZ POSADA” Resolución Departamental 9278 del 26 de noviembre de 2001, convierte la Escuela Urbana “JUAN DE LA CRUZ POSADA” y le autoriza ofrecer los niveles de preescolar, básica Primaria y Secundaria. Colegio Agustín Nieto Caballero: Resolución Departamental 9277 del 26 de noviembre de 2001, convierte la Escuela Urbana Agustín Nieto Caballero y le autoriza ofrecer los niveles de preescolar, básica primaria y secundaria. Escuela Hipólito Londoño: creada mediante Decreto Departamental 080 del 6 de febrero de 1970. Escuela Francisco Antonio Uribe: creada mediante Ordenanza 33 del 19 de diciembre de 1960. Los Equipos Técnicos Municipal y Departamental de Reorganización del Servicio Educativo han adelantado los estudios pertinentes para dar cumplimiento al Artículo 9° de la Ley 715 de 2001. Por lo anteriormente expuesto, el Secretario de Educación para la Cultura del Departamento de Antioquia. El manual de convivencia es el instrumento educativo para la democracia, en derechos y deberes y en la formación de personas libres y autónomas. RESUELVE: ARTÍCULO 1°. Crear la INSTITUCIÓN EDUCATIVA “JUAN DE LA CRUZ POSADA” la cual funcionará en las plantas físicas ubicadas en las siguientes direcciones: Calle 62 No. 39-22, Cra. 40 No. 59ª -21. Calle 59 No. 39-54 y Calle 66 No. 39-75. Núcleo Educativo 924 del Municipio de Medellín. ARTÍCULO 2°. Conceder Reconocimiento de carácter oficial a partir del año 2002 a la INSTITUCIÓN EDUCATIVA “JUAN DE LA CRUZ POSADA” ubicada en el Municipio de Medellín y autoriza para que en la misma se imparta educación formal en los niveles de preescolar, educación básica primaria (grados primero, segundo, tercero, cuarto y quinto), secundaria (grado sexto, séptimo, octavo y noveno) bajo una sola administración. Es un establecimiento educativo de carácter urbano, oficial, mixto, calendario A, jornada diurna y de propiedad del Municipio de Medellín. ARTÍCULO 3°. A la INSTITUCIÓN EDUCATIVA “JUAN DE LA CRUZ POSADA”, así constituida se le asigna la planta de cargos de acuerdo con los parámetros establecidos por la Ley. La Institución Educativa que aquí se crea, atenderá el número de alumnos por grupo de acuerdo con las relaciones técnicas que fije la autoridad competente. ARTÍCULO 4°. Como resultado de la aplicación del Artículo 9° de la Ley 715 del año 2001, clausurar los siguientes establecimientos educativos: Colegio “JUAN DE LA CRUZ POSADA” Colegio Agustín Nieto Caballero, Escuela Hipólito Londoño y la Escuela Francisco Antonio Uribe, y dejar sin efectos los actos administrativos que definen su situación legal y que aparecen en los considerandos.
  • 11.
    Asignar a laINSTITUCIÓN EDUCATIVA JUAN DE LA CRUZ POSADA la custodia para administrar el archivo, los libros reglamentarios, bienes y enseres que conforman la historia académica de estos establecimientos clausurados. Corresponde a las Directivas de la INSTITUCIÓN JUAN DE LA CRUZ POSADA garantizar la debida preservación de los mismos, así como expedir los certificados y demás constancias que demanden los usuarios del servicio educativo. ARTÍCULO 5°. Informar al DANE, para la apertura de nuevos registros y clausura de los antiguos, según el caso. ARTÍCULO 6°. La INSTITUCIÓN EDUCATIVA JUAN DE LA CRUZ POSADA del Municipio de Medellín podrá expedir certificados de estudio, según lo establecido en la Ley 115 del 8 de febrero de 1994, Decreto Nacional 180 del 29 de enero de 1981, Circular Departamental No. 40 del 21 de Junio de 1995, Decreto Nacional 230 de 2002. ARTICULO 7°. La institución educativa deberá iniciar un proceso de rediseño y ajuste del Proyecto Educativo Institucional (PEI), cuyos avances se registraran en la Secretaria de Educación para la Cultura de Antioquia, cuando el Municipio no esté certificado y en la Secretaria de Educación Municipal, cuando éste haya sido certificado, según lo establecido en el Decreto Nacional 180 de 1997. ARTICULO 8. La Dirección de Gestión y Apoyo Administrativo de la Secretaria de Educación para la Cultura de Antioquia, en coordinación con el ordenador del gasto dela Institución Educativa conformada, unificarán los inventarios de bienes dentro de los tres (3) meses siguientes a la fecha de vigencia de la presente Resolución, con el fin de lograr la mejor utilización de los recursos disponibles. ARTICULO 9. De acuerdo con los procedimientos establecidos en las norma vigentes, el Rector de la Institución Educativa JUAN DE LA CRUZ POSADA promoverá y desarrollara acciones que aseguran la unificación de los diferentes órganos y organismos del Gobierno Escolar de la nueva Institución, dentro de los dos (2) meses siguientes de la fecha de vigencia de la presente Resolución. ARTICULO 10. la Institución seleccionará el uniforme único de diario y el de educación física de los estudiantes de acuerdo con lo establecido por las normas legales vigentes sobre la materia. En todo caso, los estudiantes de los establecimientos educativos clausurados conservarán su actual uniforme hasta cuando sea necesario reemplazarlo por deterioro. ARTICULO 11. En todos los documentos que expida la INSTITUCIÓN EDUCATIVA JUAN DE LA CRUZ POSADA, deberá citar el número y la fecha de esta Resolución. ARTICULO 12. Copia de la presente Resolución deberá fijarse en un lugar visible del establecimiento educativo. ARTICULO 13. La presente Resolución rige a partir de la fecha de su expedición. NOTIFIQUESE Y CUMPLASE Luis Fernando Montoya Ortega Secretario de Educación para la Cultura de Antioquia
  • 12.
    2. RESENA HISTÓRICADE LAS SECCIONES. De las cuatro secciones pertenecientes a la Institución Educativa Juan de la Cruz Posada Institución Educativa Juan de la Cruz Posada En la ciudad de Medellín, el 20 de enero de 1962 y por Decreto Departamental No. 158 del 23 de abril de 1966, fue creada la Escuela Juan de la Cruz Posada. Su nombre es el reconocimiento al ilustre Ingeniero, Doctor Juan de la Cruz Posada, quien construyó el primer acueducto de la ciudad y otras obras de gran importancia. El primer Director de la Escuela fue el maestro Gabriel Yepes Roldán, quien con un grupo de profesores inició matrícula y labores con 320 niños de una manera precaria. En 1963 la Escuela fue acogida como Escuela Técnica de Demostración. En la actualidad es la Sede Central. DIRECCIÓN: Calle 62 No 39-22. (Villa Hermosa: San Miguel los Angeles) TELÉFAX: 291 48 01. OTROS TELÉFONOS: 254 96 59. Coordinación y sala de profesores: 254 81 63. e-mail: ie.juancposada@yahoo.es e-mail2: ie.juancposada@une.net.co Sección Francisco Antonio Uribe La Escuela Francisco Antonio Uribe fue fundada el 28 de enero de 1918 y aprobada por ordenanza 21 al 29 de febrero de 1959. Esta Institución inició con los grados de primero a cuarto, estando bajo la dirección de la señorita María Angulo a partir de ese momento y en pro de suplir con las demandas de la población, la escuela va aumentando su cobertura, logrando así abrir el grado quinto, tener más grupos de cada grado y cambiar su carácter de femenino a mixto. La Escuela es considerada como monumento histórico por su arquitectura. Algunas de las Directoras anteriores fueron: Fania Aguirre, Rexfa Cano, Fanny Baena, Julia Sánchez, María Consuelo Pérez Pineda. En la actualidad los niveles ofrecidos son: preescolar básica ciclo primaria. DIRECCIÓN: Calle 66 Nº 39-75. (Parque de Villa Hermosa) TELÉFONO: 254 53 66. Sección Agustín Nieto Caballero La escuela Agustín Nieto Caballero del municipio de Medellín, fue creada por el gobierno departamental según resolución No. 7 del 2 de febrero de 1933, ha funcionado en diferentes locales y desde 1950 funcionaba en el local ubicado en el parque de Bostón, esta casa fue donada al municipio por el doctor José Celestino Arango, según escritura No. 917 de abril 29 de 1918; contaba con un área de 457 metros cuadrados. Su sede actual está situada en la Carrera 40 59ª - 81 cedida por el Municipio de Medellín El nombre de Agustín Nieto Caballero; honra la memoria de este ilustre pedagogo, hombre de letras quien dedicó toda su fortuna y su vida a la educación y formación de la juventud en su
  • 13.
    famoso Gimnasio Modernode Bogotá, del cual fue Rector hasta el día de su muerte ocurrida el 3 de noviembre de 1975 a la edad de 86 años. Implantó en las escuelas oficiales, el método “Decroly” esto siendo Ministro de educación, y consiguió que este sabio francés visitara a Colombia. Se implantó la jornada continua, ante la apremiante demanda de cupos que era imposible atender debido a la falta de aulas. En 1975, por orden de la Secretaría de Educación, fueron integradas aquellas escuelas que tuvieron demanda de cupos para niños; desde entonces la escuela es mixta. En 1980, inició la escuela de experimentación en el nuevo sistema curricular, con resultados positivos. A partir del 15 de mayo de 2001, el director Alirio Ledesma Mena en compañía de siete educadoras, 294 niños y los padres de familia, resuelven trasladarse al local en donde funcionaba el Centro de Capacitación Artesanal Nutibara (caico) el cual había sido intervenido por Secretaría de Educación Municipal y En la actualidad los niveles ofrecidos son: preescolar, básica ciclo primaria y básica secundaria grado noveno con grupos paralelos. DIRECCIÓN: Carrera 40 Nº 59 A-21. (Cerca al Parque EL OBRERO) TELÉFONO: 254 91 33. Sección Hipólito Londoño Mesa Esta Institución tiene sus inicios como Orfanato San José sirviendo de albergue a niñas huérfanas de escasos recursos económicos de diferentes lugares del Área Metropolitana. Don Hipólito Londoño Mesa fue el fundador y gerente de la Fábrica la Bastilla, quien con otros benefactores se preocupó siempre en ayudar al prójimo y con especial cariño a esta Institución, la cual lleva su nombre. En 1963 falleció don Hipólito y continua con esta obra su amigo Santiago Mejía, quien más le entrega a la Curia Arquidiocesana de Medellín, tomando este encargo Monseñor Armando Santamaría Ortiz. Las Hermanas Dominicas de la Presentación se ha encargado del cuidado de los alumnos que permanecen internos allí. En 1970 el 6 de febrero se crea por decreto la Escuela Hipólito Londoño Mesa, primero adscrito a la Secretaria de Educación Departamental y actualmente pertenece al Municipio de Medellín. En el año 2003 es integrada a la Institución Educativa Juan de la Cruz Posada. DIRECCIÓN: Carrera 40 Nº 59 A – 52. (Cerca al Parque EL OBRERO) TELÉFONO: 292 54 80 3. LOS SÍMBOLOS INSTITUCIONALES 3.1. LA BANDERA
  • 14.
    Símbolo distintivo detoda la Institución Educativa. La bandera de la Juan de la Cruz Posada presenta tres colores, acordes a las características de las secciones: Azul, blanca y roja. EL AZUL: Color que encierra un amplio significado, resumido en la calma para resolver los conflictos que de diversa índole se puedan presentar, la inmensidad de ideales, expectativas y sueños, todos los que forman parte de esta comunidad, quienes al recibir orientación objetiva y pertinente, podrán ver con mayor claridad al alcance de sus metas, la generosidad, la tolerancia, y la humildad, valores que debe poseer todo individuo, en medio de este caos social que actualmente padece nuestra patria y nuestro entorno, el sentido de pertenencia por la Institución, y por todo lo que ella abriga, para que de esta manera, se siga educando al futuras generaciones y así construir un nuevo país. EL BLANCO: color de gran sentido, ya que encierra la pureza en el corazón de quienes son artífices de los procesos institucionales, la bondad, el servicio y la transparencia en todos los miembros de Comunidad Educativa, para llevar a cabo el desarrollo de grandes proyectos, la lealtad y la amistad que debe reinar entre educadores, estudiantes y padres de familia, la sinceridad y compromiso para llevar a efecto los procesos de enseñanza y de aprendizaje, la armonía y el equilibrio en los sentimientos presentes en cada individuo perteneciente a la Institución, la fe en un ser supremo, guía de nuestra existencia y nuestra religiosidad. EL ROJO: color que irradia vigor, energía en cada ser, tenacidad, trabajo, entrega, por parte de todos y cada uno de los protagonistas inmersos en los procesos que se llevan a cabo en la Institución; amor por el otro y por sí mismo, lo cual se veía reflejado en logros positivos y gratificantes para todos; fortaleza para afrontar dificultades, buscando siempre canales de concertación y diálogo; dedicación y constancia para alcanzar metas; dinamismo para hacer de la Institución un verdadero centro de cultura y humanismo. NOTA: En el centro de la bandera va impreso el escudo de la Institución. 3.2. EL ESCUDO
  • 15.
    El escudo estádiseñado acorde a la filosofía y al PEI tiene en su parte superior una sencilla franja en donde están inscritas dos palabras claves: ciencia y valores, las cuales como se explicó con antelación, son la razón de ser del PEI. La parte que rodea el escudo es otra franja de color plateado en letras mayúsculas negras con el nombre de la Institución JUAN DE LA CRUZ POSADA, lo cual le da la identidad y autonomía. El escudo se divide en tres secciones, cada una de ellas de un color propio como aparece en la bandera. La primera se encuentra en un fondo azul, ella deja observar un búho el cual es símbolo de sabiduría, cultura. Este se encuentra sobre dos libros, investigación y educación, lo que compagina muy bien con la misión y visión institucional “Formar ciudadanos cultos capaces de transformar la sociedad, siendo investigadores permanentes de la ciencia, sin descuidar la parte humana reflejada en los valores”. La parte central del escudo se encuentra en un fondo totalmente blanco lo que da gallardía, profundidad y significado al color en esta posición. Acá se puede apreciar la esencia de la parte religiosa y humana. Las manos ofrecidas a Dios y al servicio del hombre y a sí mismo, dispuestas a construir, sembrar, orar, bendecir, buscar la verdad, acariciar, brindar afecto y ternura; una manos laboriosas disponibles para escudriñar las fronteras del conocimiento; en medio de las manos se observa un cirio que indica luz en el camino de nuestra existencia, claridad en nuestros pensamientos, fe en un ser superior, perdón a nuestros semejantes y esperanza en un mundo nuevo, lleno de amor y comprensión. En el cirio aparecen inscritas dos letras del alfabeto griego: Alfa y Omega, lo cual nos recuerda que todo tiene principio y fin. El cirio permanece encendido, dando calor a esas manos, que en muestra de humildad manifiestan su amor al Padre Celestial. La tercera franja de fondo rojo, deja ver unas hachas entrelazadas, sinónimo de trabajo constante hacia la búsqueda de elementos óptimos y viables, para la consecución de logros, dedicación con mucho amor a todos los proyectos y actividades que se escenifican en la Institución, llevados a término con un gran sentido de pertenencia y profesionalismo, energía, vitalidad y tenacidad, a todo momento y en todo lugar, buscando que la Institución sea vista como modelo para muchas otras, que de alguna manera querían seguir sus pasos, hacia las fuentes del conocimiento y al rescate de los valores humanos.
  • 16.
    El escudo aligual que la bandera, se constituyen en unos símbolos de identidad institucional y deberán ser trabajados por los educadores de los diferentes grados, para que los estudiantes los valoren y respeten, con lo que a la vez se fomenta el sentido de pertenencia por lo nuestro. 3.3. HIMNO (Coro) Sacro techo que guarda en su historia, Nombre ilustre de un recto varón; Que surgió entre las breñas de Antioquia Como ejemplo de Gloria y Honor (bis). Saludemos la escuela naciente... E inundemos sus claustros de luz; Repitamos con eco ferviente... Ese nombre de JUAN DE LA CRUZ. Que se escuchen los vastos rumores, De un festivo y bullente almenar; Cuando se liban los gratos dulzores De la ciencia y la buena moral Letra: RAMON MUNERA LOPERA Música: CAMILO GARCIA 4. BIOGRAFIA DE JUAN DE LA CRUZ POSADA Nació en 1.810 en el Poblado (Medellín), cursó sus años en la misma ciudad, luego en el colegio de San José de Marinilla y más tarde en el Seminario de Medellín, donde terminó su secundaria. Estudió ingeniería de minas en la Escuela de Minas y la Universidad de California. Fue director general de las minas de oro ‘El Zancudo” en Titiribí e ingeniero interventor de los Ferrocarriles de Antioquia y Amaga, fue superintendente de las
  • 17.
    Empresas Públicas Municipalesde Medellín, gerente de Col tabaco, consultor de Empresas Mineras en la Sociedad Posada González. En 1932 pasó a dictar cátedra en la Escuela Nacional de Minas, fue miembro de numerosas sociedades científicas y el gobierno lo condecoró con la Cruz de Boyacá en el “Grado de Caballero”. Construyó el primer acueducto de la Medellín, la planta de teléfonos y la feria de ganados. Como escritor tiene, entre otras, varias obras de muy alto mérito: Antropogeografía General, Bosquejo de la Geología de Antioquia y Nociones de Petrografía. Con su esposa Doña Paulina González tuvo 16 hijos. Murió de 91 años en febrero de 1961. 5. MISIÓN La Institución Educativa Juan de la Cruz Posada, ofrece un servicio educativo a partir de la interdisciplinariedad científica y de la valoración del individuo, que posibilita el desarrollo integral del estudiante, formando sujetos competentes, reflexivos, críticos, investigativos con valores académicos, morales y sociales que les permita la convivencia armónica en comunidad y la construcción de una sociedad dinamizadora de cambios y transformaciones en pro de la calidad de vida y un futuro mejor para todos 6. VISIÓN La Institución Educativa Juan de la Cruz Posada consciente de su labor social, aspira a ser reconocida en el 2015 como una Institución de carácter público, líder, donde la calidad del modelo educativo integre los procesos formativos, científicos y de competencia; ocupándose del crecimiento personal y desarrollo humano de sus estudiantes a partir de la vivencia de un ambiente institucional axiológico que promueve aprendizajes significativos desde el saber: ser, conocer, hacer y convivir con el otro y con el entorno, contribuyendo al mejoramiento de la calidad de vida de los integrantes de la comunidad concentrados en un proyecto de vida individual y colectivo 7. FILOSOFIA INSTITUCIONAL La institución Educativa JUAN DE LA CRUZ POSADA busca formar un hombre íntegro en valores, capaz de integrarse a la sociedad con el conocimiento que traerá consigo la ciencia, la tecnología, y las experiencias de vida, un ser cuya misión sea la de servir a los demás, desde su propia vivencia y su misión, dar lo mejor de sí para alcanzar un nuevo modelo existencial. 8. PERFIL DEL ESTUDIANTE Ley 115, Titulo V, Capítulo I. El educando de la Institución Educativa JUAN DE LA CRUZ POSADA debe:
  • 18.
    Sobresalir en los valores: espíritu de superación, responsabilidad, honestidad, liderazgo, solidaridad, tolerancia, respeto, amor por la vida y la naturaleza, sentido de pertenencia. • Ser persona con capacidad crítica, analítica y propositiva, frente a los problemas o situaciones que se presenten. • Poseer los conocimientos, habilidades y destrezas básicas que le permitan aprovechar con éxito las oportunidades y desafíos que se le presenten a nivel académico, investigativo, cultural, artístico, deportivo, recreativo, laboral, afectivo, social, comunicativo, político y en la vida diaria. • Tener gran autoestima para desempeñarse cabalmente en el medio social que le corresponda. • Tener sentido de pertenencia por la institución. • Ser personas con proyecto de vida claramente definidos en el cual involucre no solo su bienestar futuro, sino también el de su familia y la sociedad en que vive. 9. PRINCIPIOS INSTITUCIONALES • Amor y respeto por la vida y por la naturaleza. • Formación integral sin perder la autonomía personal. • La práctica de la autoestima, el autoconocimiento y la autonomía. • Reconocimiento de la trascendencia en la práctica de la espiritualidad • Desarrollo de habilidades comunicativas y sociales. • Aprovechamiento de las tendencias tecnológicas y científicas. • Trabajo educativo proyectado hacia la excelencia académica. • Proyección social con ética. • Respeto y conservación del medio ambiente. • Respeto por la diversidad étnica, cultural, social, religiosa. • La práctica de la Cultura de la Legalidad. 10. VALORES INSTITUCIONALES • Cooperación • Equidad • Respeto • Solidaridad • Responsabilidad • Paz y Convivencia • Sentido de Pertenencia • Justicia • Autonomía • Comunicación • Tolerancia • Creatividad • Participación • Amor • Honestidad • Servicio 11. FINES DEL MANUAL DE CONVIVENCIA Los siguientes fines del Manual de Convivencia dela Institución Educativa Juan de la Cruz Posada reflejan los principios, valores y postulados que fundamentan el Proyecto Educativo Institucional.
  • 19.
    Ser la guía en el sano desarrollo de la convivencia institucional. • Ser el instrumento válido y legal, necesario para el correcto desempeño de todos los participantes en el quehacer educativo. • Buscar la formación de seres integrales en acciones y actitudes positivas, para una buenas relaciones humanas y sociales, que contribuyan al desarrollo equilibrado del individuo y de la sociedad, sobre la base del respeto por la vida y los derechos humanos. • Ser el dispositivo para la evaluación y aplicación de estímulos y correctivos. • Ser el instrumento educativo para la democracia, en derechos y deberes y en la formación de personas libres y autónomas. 12. FUNDAMENTACIÓN LEGAL El Manual de Convivencia cobra mucha importancia, a partir de la Ley 115 de 1994 y del Decreto 1860 que reglamenta la ley. Los fundamentos legales del Manual de Convivencia son específicamente los siguientes: La DECLARACIÓN UNIVERSAL DE LOS DERECHOS HUMANOS. La Constitución Política de Colombia de 1.991: En muchos de sus artículos señala la importancia que para la vida naciónal tiene la formación integral del hombre; además los siguientes artículos se refieren en forma específica a la gestión educativa: 1, 11, 13, 15,16,20,21,23,27,29,37,38,40, 41,42,43,44,45,67 y 68. Ley General de la Educación: Ley 115 de Febrero de 1,994, sirven como soporte para el diseño del Manual de Convivencia, los siguientes artículos:3,23,87,92,93,94, 96, 98,110,134,142,143,144,145 y 204. Ley 734 de Febrero 5 de 2002: Por medio del cual se expide el código Disciplinario único. Ley 1098 de 2006. Ley de la infancia y la adolescencia. Ley 375 de 1997. Ley de la Juventud. Código del Menor o Decreto 2737 de 1.989: Los artículos que sirven de fundamento legal son; 320 al 325. Decreto 1860 de Agosto 15 de 1.994: Para la elaboración del Manual de Convivencia, podemos destacar los siguientes Artículos: 17, 18, 19, 20, 21, 22, 23, 24, 25, 26, 27, 28, 29, 30, 31, 32, 54, 55,56. Decreto 230 de Febrero 11 de 2002: Por medio del cual se dictan normas sobre currículo, evaluación y promoción de los educandos. Decreto 1850 de Agosto 13 de 2002: Por medio del cual se reglamenta la jornada escolar y la jornada laboral.
  • 20.
    Decreto 3095 deDiciembre 12 de 2002: Por medio del cual se modifica el Decreto 230 de 2002. Decreto 1286 de Abril 22 de 2005: Por medio del cual se reglamentan la participación de los padres de familia en ámbito educativo: las Asociaciones de Padres de Familia y los Consejos de padres. Decreto 2832 de Agosto 16 de 2005: Por el cual se reglamenta parcialmente el artículo 89 de la Ley 115 de 1994, en lo referente a validaciónes de estudios de la Educación Básica y Media Académica, se modifica el artículo 8 del Decreto 301º2 de 1997,y se dictan otras disposiciónes. Resolución 13342 del 23 Julio de 1982: Mediante la cual están asignadas las funciones de los cargos establecidos en los Colegios oficiales. Entre otras sentencias: SENTENCIA T-341 de 2003 Sobre el Manejo del Comportamiento. SENTENCIA T-967 de 2007 Sobre el uso de los celulares. Otras sentencias de la Honorable Corte Constitucional sobre los Manuales de Convivencia: T-386 de 1994, T-859 de 2002, T-02 de 1992. CAPITULO II. CONCEPTUALIZACION DE CATEGORÍAS Para alentar la finalidad pedagógica y para facilitar la calificación de las conductas objeto de regulación del Manual de Convivencia de la Institución Educativa Juan de la Cruz Posada, se precisan las siguientes categorías: A. DE LOS PROCESOS PEDAGÓGICOS Y CURRICULARES Acudiente: Persona con mayoría de edad que representa legalmente al educando en su proceso educativo. Aprendizaje: El aprendizaje constituye una actividad mental del sujeto que aprende, permitiéndole la adquisición de conocimientos, hábitos y actitudes, así como la retención y utilización de los mismos, originando una modificación de la conducta. El aprendizaje no debe constituir una actividad meramente de repetición y memorización. Se trata de relacionar las ideas con lo que el alumno ya sabe, de una forma organizada, permitiéndole la adquisición de conocimientos, hábitos y actitudes. Comunidad Educativa:
  • 21.
    Estamentos que conformanla Institución: Padres de familia, acudientes, estudiantes, docentes, personal administrativo y de servicios, estudiantes de apoyo. Educación: Expresión Latina (Educatio) Acto de criar, por extensión: Formación del espíritu es el proceso mediante el cual se desarrollan las facultades físicas, intelectuales y morales del educando. El Verbo Educar significa: Conducir, Guiar (Lat. “Ducare”) Enseñanza: Es el sistema o método de dar instrucción = Conjunto de Conocimientos, Principios, Ideas, Tecnologías, etc., que se transmiten a otras personas La Enseñanza tiene las siguientes dimensiones: Debe tener un carácter práctico, puesto que pretende producir ciertos efectos sobre la realidad. La educación también tiene una dimensión especulativa o teórica Es normativa, puesto que reflexiona sobre lo que debe ser. Hay que precisar que es enseñanza y que es aprendizaje. Enseñanza es mostrar algo a alguien Estímulos: Es el reconocimiento que se otorga con el fin de resaltar actitudes positivas como resultado de un proceso establecido. Gobierno Escolar: Es una organización democrática dentro de los establecimientos educativos con participación activa de cada uno de los estamentos dela Comunidad Educativa. Institución Educativa Conjunto de recursos humanos y físicos que se conforman bajo un objetivo especifico, la educación. Instrucción: Por ella se entiende: Aprender, Estudiar y Practicar (Construir el conocimiento) de materias o artes específicas. Manual de Convivencia: Conjunto de principios, normas y funciones que determinan la convivencia pacifica de un grupo especifico (Comunidad Educativa). Matrícula: Acto voluntario y conciente que formaliza la vinculación del educando al servicio educativo, aceptando deberes y derechos. Perfil:
  • 22.
    Conjunto de característicasque identifican el rol de cada miembro de la Comunidad Educativa de acuerdo a los principios que rigen la Institución. B. DEL PROCESO DISCIPLINARIO Acta disciplinaria: El Acta no es otra cosa que la relación escrita de lo acordado en una Junta o reunión de personas, convocada para resolver asuntos puntuales. Llevará un registro de las evidencias, descargos y compromisos cuando se presenta una situación que amerite una sanción. Comportamiento: Forma de conducirse o realizar las acciones personales o colectivas Compromiso Institucional Compromiso mediante el cual los estudiantes, padres o acudientes y la Institución Educativa acuerdan las responsabilidades mutuas al ingresar a la Institución Educativa. Conducta: Es el comportamiento individual, forma de conducirlo cada uno en el ejercicio de su libertad en las relaciones con los demás, observando todo tipo de normas que beneficien la conducta humana. Conducto Regular: Son los pasos a seguir en la gestión del proceso administrativo, educativo, llegando a las personas competentes de acuerdo a su orden jerárquico Contrato Pedagógico-disciplinario: Acuerdo por escrito entre educandos, padres de familia, docentes y administrativos docentes, donde se establecen compromisos a cumplir frente a una determinada anomalía, bien sea académica y/o disciplinaria. Correctivo Disciplinario: Acción encaminada a mejorar los comportamientos que afectan la normatividad establecida y que permiten a cada uno de los miembros de la Comunidad Educativa asumir con responsabilidad las consecuencias de sus actos. Correctivo Formativo:
  • 23.
    Estrategia que favorecela toma de conciencia sobre las acciones y actitudes que deben ser modificadas para lograr un cambio positivo que contribuya a consolidar su personalidad individual y colectiva. Deber: Obligación moral y jurídica que nace de la conciencia del ser, como persona sujeta a derechos. Debido Proceso: Conjunto de garantías que favorecen a todos los miembros de la Comunidad Educativa, que se traducen en procedimientos, instancias y competencias en aras de facilitar la defensa conforme a principios constitucionales y legales. El debido proceso en la imposición de sanciones es el derecho de todo estudiante a que se reconozca y observe el procedimiento previamente definido a la adopción de una sanción contemplada en el Manual de Convivencia Derecho: Son las garantías establecidas a través de las normas universales, nacionales e institucionales que permiten el desarrollo armónico e integral del ser humano. Descargo: Es la respuesta verbal o escrita a la que se tiene derecho utilizar cuando aparece responsable de una situación determinada. Desescolarización: Medida adoptada por la institución para limitar la asistencia de los estudiantes a ciertos días y horas especificas o a la jornada escolar normal por un tiempo determinado en los cuales se le imparten tutorías, cursos personalizados o talleres con seguimiento y evaluación por parte de los docentes. La desescolarización se da por Resolución Rectoral, previo acuerdo del Consejo Directivo. También se puede dar por solicitud de los interesados. Se considera desescolarización a partir de los 10 días. Disciplina: Es el comportamiento individual manifiesto a partir de un ordenamiento que establece pautas de comportamiento colectivo (normas) y que contribuya a la evaluación de su personalidad y ajuste social. Es enseñar a pensar y actuar en forma autónoma. Esta es una labor necesaria para establecer en los seres humanos compromisos claros y modos de comportamiento y expresión, que les permitan ser individuos que puedan actuar dentro de un marco de respeto y convivencia social. El fundamento de la disciplina está en la autonomía, con la cual el individuo reconoce y asume responsablemente sus faltas y las consecuencias de ellas, procurando corregirse y superarse. Los fundamentos de la disciplina no se encuentran en las sanciones, sino en el diálogo y el reconocimiento de la persona.
  • 24.
    Es muy difícilpara una persona aprender a comportarse adecuadamente, si no se respeta y no se reconoce su dignidad. La disciplina y las normas que la contienen ayudan a consolidar la personalidad. Las normas deben ser claras, precisas y obviamente aplicables en el entorno social para las que se definen. Deben respetar las culturas, y costumbres de la sociedad objeto de ellas. Norma: Es el mecanismo regulador del comportamiento de la comunidad Educativa. Nace y se modifica por consenso de estos; pero está sujeto al contexto dado por los principios de la Institución. Falta: El tipo de conducta o conductas, que en determinado momento, causan perturbación o daño a las personas y elementos que hacen parte de la Institución Educativa. Falta Disciplinaria: Es un comportamiento personal y especifico que implique el abuso o extralimitación de un derecho o el incumplimiento de un deber y por lo tanto causa daño a los valores y deteriora las relaciones que construyen la convivencia. Falta de Conducta: Comportamiento personal y especifico que causa daño grave a los valores individuales y colectivos que orientan la marcha de la Institución o la sociedad. Sanción: Acción pedagógica que lleva a corregir adecuadamente un comportamiento erróneo, teniendo en cuenta el incumplimiento de las normas y procesos establecidos en el Manual de Convivencia. Suspensión: Medida adoptada por la institución como sanción al incumplimiento de la norma. Consistente en la inasistencia a la institución hasta por 8 días hábiles. CAPITULO III. DEBERES Y DERECHOS Los integrantes de la Comunidad de la Institución Educativa JUAN DE LA CRUZ POSADA son titulares de DERECHOS y por lo tanto sujetos de los DEBERES que a continuación se relacionan: Artículo 1. DERECHOS DE LOS ESTUDIANTES 1. Conocer oportunamente el Manual de Convivencia. 2. Recibir una educación que propicie su formación integral, de acuerdo con su desarrollo biosicosocial.
  • 25.
    3. Ser sujeto y no objeto de su propia formación, orientado en la construcción de su autonomía y autoestima. 4. Conocer oportunamente los resultados de las evaluaciones, trabajos escolares y procesos de aprendizaje. 5. Recibir, en forma oportuna y veraz, información sobre todo lo relacionado con el proceso educativo, institucional, de sus estrategias, planes, acuerdos y decisiones tomadas por la autoridad competente. 6. Ser respetado en su intimidad personal y familiar, respecto a la información personal que de él tenga la Institución, sujeta al secreto profesional (Art. 15 de la Constitución Nacional). 7. Participar en la planeación, ejecución y evaluación del PEI, de acuerdo con los mecanismos que para ello se estipulen. 8. Formar parte del Gobierno Escolar, con derecho a elegir y ser elegidos (as) para: • Representante de los estudiantes al Consejo Directivo (Art. 143, Ley 115 de 1994). • Personero (a) de los estudiantes (Art. 28 Dec. 1860 de 1994). • Al Consejo Estudiantil (Art. 29, Dec. 1860 de 1994). • Representante de Grupo y/o Monitor de Grupo. 9. Expresar su pensamiento, opinión, inquietudes, en forma libre y siguiendo los canales de comunicación (Art. 19 D.H.). 10. Ser considerado y tratado como persona, sin distinción de raza, color, sexo, opinión, nacionalidad, posición económica u otra condición. (Art. 6º. 375 de 1997). 11. Ser escuchado en sus justos reclamos y sugerencias, siguiendo para ello el conducto regular establecido. 12. Conocer el registro que sobre su comportamiento y desempeño escolar se realice en el observador del estudiante o en cualquier otro documento interno de la Institución. 13. Promoverse, dadas las oportunidades de avanzar, según sus capacidades y aptitudes personales (Dto. 230 de 2001). 14. A continuar los estudios en el plantel, siempre y cuando cumpla con las normas estipuladas en el presente Manual de Convivencia. 15. Recibir de manera puntual y completa las clases, de acuerdo con las áreas del currículo, a la intensidad horaria del plan de estudios adoptados por la Institución. 16. Recibir los estímulos y reconocimientos a que se haga acreedor. 17. Representar la Institución en los diferentes eventos académicos, cívicos, religiosos, culturales y deportivos. 18. Al descanso, el sano esparcimiento, el juego, la participación artística, cultural, recreativa y científica de la Institución. 19. Recibir formación cívica, ciudadana, y participar en los procesos democráticos que se realicen en el plantel, y efemérides patrias, actos cívicos, culturales y religiosos. 20. Disfrutar de un ambiente sano, contribuyendo a la formación integral, ayudando a mantener el equilibrio ecológico y a mejorar la calidad de vida (Constitución Nacional, Arts. 67, 69, Ley 115 de 1994, Art. 14, literal c; Dto. 1860 de 1994, Art. 17, numeral 3). 21. Recibir carné estudiantil, que le permita identificarse en cualquier lugar como miembro de la Institución.
  • 26.
    22. Recibir y obtener constancias y certificados de estudios, de acuerdo con las normas fijadas por la Institución y el Ministerio de Educación Nacional. 23. Que le sea respetado y aplicado el debido proceso, cuando se le responsabilice de una falta, ya sea de disciplina, conducta o de índole académica. 24. Disfrutar de los espacios locativos en el desarrollo de actividades pedagógicas y comunitarias (Ley 115 de 1994, Arts. 32, 73, 87; Dto. 1860 de 1994, Art. 17). 25. A que se le respeten los bienes, implementos y pertenencias para su trabajo escolar. 26. A que se le respeten las diferencias individuales en su proceso de aprendizaje y/o de desarrollo físico, y no recibir maltrato por ningún miembro de la Comunidad Educativa. 27. A recibir, de la Comunidad Educativa, protección conforme la Ley de Seguridad Social, procurando el cuidado integral de su salud (Art. 22, literal m; Art. 100 de la Ley 115 de 1994; Art. 17, Dto. 1860 de 1994). 28. A la puntualidad en los horarios establecidos por la Institución para las diferentes actividades. 29. A recibir solidaridad de los integrantes de la Comunidad Educativa en el momento requerido. 30. Participar de procesos de resolución de conflictos en pro de la convivencia pacifica. 31. Beneficiarse del complemento nutricional brindado de acuerdo a sus necesidades. Artículo 2. DEBERES DE LOS ESTUDIANTES 1. Analizar y llevar a la practica las normas y principios establecidos en el Manual de Convivencia de la Institución. 2. Participar activa y respetuosamente en todas las actividades que contribuyan al crecimiento personal, intelectual y humano. 3. Ser partícipe de los procesos de convivencia, paz, compromiso social, tolerancia y justicia social, contribuyendo a su formación personal. 4. Cumplir con responsabilidad en evaluaciones, informes, trabajos, talleres, consultas, exposiciones y otros. En caso de ausencia de clases, presentar por escrito la justificación y colocarse al día en cuanto a actividades realizadas. 5. Llevar oportunamente, a los padres o acudientes, información que se les envíe por intermedio de citaciones, volantes, circulares, informes académicos. 6. Respetar la vida intima de compañeros y demás miembros de la Comunidad Educativa. 7. Presentar sugerencias respetuosas sobre el mejoramiento o modificación del currículo, y de las diferentes actividades programadas. 8. Manifestar disponibilidad para representar, apoyar, colaborar, respetar y ejercer el derecho democrático ante los organismos colegiados, como Consejo Directivo, Personero de los Estudiantes y Consejo Estudiantil, de acuerdo con las funciones que se estipulan en el Manual de Convivencia. 9. Expresar oportunamente, y con prudencia, sus ideas, inquietudes, reclamos, siguiendo el conducto regular. 10. Respetar las diferencias individuales y grupales de los compañeros, profesores, padres de familia y Comunidad Educativa. 11. Respetar el conducto regular para realizar sus reclamos y sugerencias.
  • 27.
    12. Leer a conciencia las observaciones anotadas y firmar para dejar constancia de su conocimiento y aceptación de lo escrito. 13. Manifestar permanente interés, esfuerzo y espíritu de superación en los logros académicos , participando activamente en el proceso de aprendizaje. 14. Acrecentar cada día sus aciertos, mediante el buen ejemplo y proyectando la mejor imagen de la Institución. 15. Permanecer en el aula de clase, según horarios establecidos, con disponibilidad de trabajar, sin interrumpir el desarrollo normal de las actividades. 16. Observar excelente comportamiento y participar activamente de los diversos eventos. 17. Asistir puntual y responsablemente a las actividades extraescolares, dejando muy en alto el nombre de la Institución. 18. Participar del descanso y juego sano de forma responsable, acorde con el espacio disponible, evitando correr y la brusquedad en el juego. 19. Participar activamente y con respeto en las conmemoraciones patrias, actos cívicos, culturales y religiosos. 20. Cuidar, proteger, conservando limpios y funcionales los espacios y medios de aprendizaje. 21. Proteger y conservar los jardines y zonas verdes. 22. Colaborar en el mantenimiento y ornato de la Institución. 23. Cuidar y velar por la conservación de los recursos naturales del medio: agua, plantas, árboles, entre otros. 24. Utilizar adecuadamente el carné estudiantil, presentarlo al ingreso a la Institución y emplearlo como identificación. 25. Solicitar con anticipación y de acuerdo con las normas fijadas por la Institución, la expedición de constancias y certificados, respetando el conducto regular. 26. Firmar y cumplir los compromisos y acuerdos a que llegue dentro de un proceso disciplinario y/o académico. 27. En la Institución debe: • Hacer uso adecuado de la planta física. • Hacerse responsable de los daños ocurridos en las instalaciones, dotaciones y servicios de los cuales disfruta, reemplazándolos o pagándolos de acuerdo con su valor comercial en el momento del daño. • Respetar el turno en la cafetería y restaurante, depositando los residuos en los recipientes indicados. • Entrar con autorización a la Rectoría, sala de profesores, biblioteca, sala de cómputo, laboratorios, cocina, y a los salones en hora de descanso o en tiempo no autorizado. 28. Respetar la propiedad ajena. No cometer o involucrarse en robo, hurto o estafa. 29. Evitar la agresión física o verbal, y no proferir ningún tipo de amenaza contra un miembro o miembros de la Comunidad Educativa. 30. Solicitar por escrito los permisos para ausentarse de la Institución, el cual debe llevar el visto bueno del profesor del grupo y del Coordinador de Disciplina, a la vez que debe recogerlo personalmente el padre de familia o la persona autorizada (la solicitud de permiso debe ir respaldada por la firma de los padres o acudientes). 31. Responder positivamente a las medidas de protección y seguridad brindadas por la Comunidad Educativa.
  • 28.
    32. En caso de no poder asistir a clases y/o actos programados por la Institución, debe presentar la excusa por escrito el día que se presente al plantel. Si corresponde a un momento de evaluación para que le sea efectuada deberá presentar visto bueno del coordinador(a) ante el docente responsable del área o asignatura fin de que se le pueda efectuar.” 33. Llevar correctamente el uniforme, tanto el de diario como el de educación física, rigiéndose por los criterios establecidos en cuanto al diseño y a la presentación de los mismos. Artículo 3. DERECHOS DE LOS PADRES DE FAMILIA O ACUDIENTES 1. Conocer oportunamente el Manual de Convivencia de la Institución y decidir libremente el ingreso de su hijo(a) al establecimiento. 2. Matricular a su hijo(a) de acuerdo con los parámetros establecidos por la Institución. 3. Recibir oportunamente información, orientación y asesoría sobre el comportamiento y rendimiento académico de su hijo(a). 4. Recibir información profesional que contribuya de manera eficaz con la labor educativa del docente. 5. Participar en la elaboración y ejecución del PEI y Manual de Convivencia de la Institución. 6. Elegir y ser elegido para formar parte de la Asociación de Padres de Familia y de los distintos consejos que conforman el Gobierno Escolar, de acuerdo con la Ley General de Educación de 1994 y su Decreto Reglamentario 1860 de 1994. 7. Ser atendido en reclamo y/o sugerencias en el momento oportuno. 8. Recibir un trato cortés, de acuerdo con los principios básicos de las relaciones humanas, por parte del Rector, docentes, educandos y demás funcionarios de la Institución. 9. Acudir a los recursos de reposición y apelación cuando a su hijo(a) se le aplique una sanción. 10. Recibir oportunamente las citaciones, circulares y boletines donde se informe los compromisos con la Institución. 11. Conocer el plan de estudios de la Institución y estrategias educativas utilizadas. 12. Recibir información oportuna sobre el uniforme reglamentario, útiles escolares, materiales y demás a utilizar durante el año escolar. 13. Velar por la idoneidad del personal docente y el cumplimiento en el desarrollo de las actividades curriculares que se le brinda a su hijo(a). 14. Solicitar permiso para retirar a su hijo(a) temporalmente de la Institución durante su jornada escolar con causa justificada. 15. Retirar a su hijo de la Institución en caso de no estar de acuerdo con la filosofía, principios y reglamentos establecidos en ella. 16. Recibir por escrito las decisiones de las comisiones de evaluación y promoción en los casos especiales (promoción anticipada o repetición de un grado) 17. Recibir por escrito las decisiones del Consejo Directivo cuando se da exclusión de la institución o por acuerdos que afecten la disciplina o su permanencia en la misma.
  • 29.
    Artículo 4. DEBERESDE LOS PADRES DE FAMILIA O ACUDIENTES 1. Acogerse y cumplir con lo estipulado en el Manual de Convivencia de la Institución. 2. Matricular a su hijo(a) dentro de las fechas estipuladas, presentando la papelería reglamentaria y cancelando oportunamente los servicios complementarios como lo estipula la ley en su Decreto reglamentario y los demás que considere el Consejo Directivo de la Institución. 3. Mantener contacto permanente con la Institución para hacer seguimiento del rendimiento académico y/o disciplinario de su hijo(a). 4. Participar de manera responsable en los talleres, conferencias o encuentros programados por la Institución para el mejoramiento de la calidad académica y las relaciones afectivas entre los integrantes de la Comunidad Educativa. 5. Tomar parte activa en planes, programas, actividades y proyectos de Institución. 6. Ser miembro activo en el proceso democrático del Gobierno Escolar (Asociación de Padres de Familia, Consejo de padres, Comité de Evaluación y promoción) 7. Presentar reclamos y/o quejas personalmente con respeto y siguiendo el conducto regular, en los horarios y espacios establecidos. (En caso de ser por escrito debe identificarse y nao se hará por vía telefónica). 8. Tratar con el debido respeto a todas las personas que integran la Comunidad Educativa evitando comentarios de mal gusto que denigren de la Institución o de alguno de sus miembros. 9. Utilizar oportuna y adecuadamente los recursos de apelación y reposición que le otorga la Ley. 10. Leer atentamente la información enviada y tenerla presente para el cumplimiento de compromisos. 11. Realizar acompañamiento continuo y eficaz en el proceso de aprendizaje de su hijo(a), tanto académica como disciplinariamente, reforzando la labor de la Institución en cuanto a formación de valores y desarrollo cognitivo, teniendo presente las pautas y orientaciones dadas por la Institución. 12. Enviar a su hijo(a) puntualmente, bien presentado a la Institución, con el uniforme completo, útiles y demás enseres necesarios para su desempeño escolar. Tener en cuenta el plazo para estar todo el personal uniformado y los útiles completos: son 30 días calendario a partir del ingreso del educando al plantel. 13. Orientar la realización de las tareas escolares después del horario de clases (no hacérselas). Respetando el tiempo y el espacio para las actividades curriculares, culturales y recreativas de su hijo(a). 14. Solicitar oportunamente y por escrito todo permiso para ausentarse su hijo(a) de la Institución y recogerlo personalmente ya sea el padre de familia o acudiente, durante la jornada p parte de ella. 15. Asistir puntualmente y durante el tiempo acordado a las entregas de informes descriptivos, reuniones, actos culturales, sociales y escuelas de padres programadas por la Institución, al igual que a los llamados de la Rectoría, Coordinadores, Educadores y Psicólogos. 16. Acudir a los llamados de la Institución con una buena presentación personal, de acuerdo a las circunstancias.
  • 30.
    17. No presentarseal establecimiento en estado de embriaguez o bajo el efecto de drogas alucinógenas o psicotrópicas. 18. Responder por los daños a la planta física, mobiliario, ayudas educativas, bienes personales de los(as) profesionales o compañeros que hayan sido ocasionados por su hijo(a), reponiendo o pagando su equivalente en dinero. 19. Presentar un adecuado comportamiento en los actos cívicos y culturales, y no traer niños(as) a los mismos. Artículo 5. DERECHOS DE LOS DOCENTES. Además de los deberes y derechos estipulados en el Decreto 2277 de 1979, Decreto 1278 de 2002, Ley 715 de 2002 (funciones) y el Decreto 734 de 2002 (Código disciplinario único) y Resolución 13342 de 1982, se consideran como Derechos y Deberes para los educadores de la Institución los siguientes: 1. Al voto, la opinión y la participación activa en las diferentes actividades y estamentos existentes en la Institución. 2. Expresarse y ser escuchado en cualquier eventualidad en la que se halle involucrado. 3. Tener acceso a los recursos pedagógicos, físicos, didácticos y tecnológicos con que cuenta la Institución. 4. Proponer y participar en la ejecución de proyectos, de acuerdo con el PEI y con libre autonomía. 5. Respeto por la individualidad e intimidad. 6. Recibir capacitación y actualización, de acuerdo con los programas y planes de estudio institucionales. 7. A desempeñarse con autonomía dentro del aula de clases. 8. A no ser discriminado, de acuerdo con los derechos constitucionales. 9. A recibir un trato digno, respetuoso y cortés de sus superiores y demás miembros de a Comunidad Educativa en todas las circunstancias. 10. A recibir información oportuna y completa sobre los diferentes comunicados que llegan a la Institución. 11. Participar en las decisiones institucionales 12. Recibir la inducción necesaria al ingreso a la Institución para desempeñar eficientemente las funciones del cargo. 13. Gozar de estímulos e incentivos en el desempeño de sus funciones. 14. Solicitar y obtener permisos por causas justificadas a directivos docentes. 15. Participar en foros, seminarios, talleres programados y organizados por Secretaría de Educación. Institución Educativa y Sindicato de Educadores. Artículo 6. DEBERES DE LOS DOCENTES 1. Respetar la opinión ajena, sin obstaculizar la libre participación de todos los miembros de la Comunidad Educativa. 2. Presentar sus reclamos con respeto y siguiendo el conducto regular.
  • 31.
    3. Utilizar adecuadamentey responder por los recursos pedagógicos, físicos, didácticos y tecnológicos con que cuenta la Institución. 4. Tomar parte activa en la planeación y ejecución de los proyectos institucionales 5. Trabajar por la consecución de los objetivos educativos contemplados en la Constitución Nacional, en la Ley General de Educación y en el Proyecto Educativo Institucional. 6. Respetar la individualidad e intimidad de todos los miembros de la Comunidad Educativa. 7. Concurrir a seminarios, talleres, conferencias, reuniones sobre actualización que se programen en la Institución u otras Instituciones. Asumiendo una actitud positiva frente a los cambios e innovaciones. 8. Reconocer y corregir oportunamente los desaciertos y aportar positivamente en beneficio de la institución 9. Observar una conducta pública de acuerdo con el decoro y la dignidad de su cargo. 10. Cumplir con responsabilidad, honestidad, ética y autonomía sus funciones, teniendo en cuenta la filosofía y planes curriculares de la Institución. 11. Orientar correctamente los procesos curriculares de los educandos, respetando las diferencias individuales y los procesos de desarrollo que favorezcan la formación integral. 12. Dirigir la construcción del aprendizaje de los educandos, utilizando métodos y técnicas que permitan su participación activa. 13. Realizar permanentemente un acompañamiento a los educandos en toda circunstancia, tiempo y lugar. 14. Dar un trato cortes a todos los miembros de la Comunidad Educativa, sin hacer discriminación bajo ninguna circunstancia. 15. Informarse y dar cumplimiento a los diferentes comunicados que se dan en la Institución. 16. Participar activamente en la toma de decisiones institucionales. 17. Atender y responder a la orientación recibida, desempeñándose eficientemente en las funciones asignadas. 18. Poner al servicio de la Comunidad Educativa los conocimientos y habilidades que posee. 19. Participar en la construcción y ejecución del Manual de Convivencia, manteniendo un buen nivel de exigencia, basado en el respeto y la justicia. 20. Acompañar la labor formativa de los padres de familia a través de citaciones personales, reuniones, talleres y consejos de padres. 21. Buscar permanentemente estrategias pedagógicas para ayudar a los estudiantes que presentan diferentes dificultades académicas o de comportamiento. 22. Favorecer las relaciones fraternales entre docentes, alumnos y padres de familia. 23. Elaborar con responsabilidad los libros reglamentarios y la papelería correspondiente. 24. Integrar los equipos o comités institucionales donde se requiere su presencia. 25. Emplear los conductos regulares, para la solución de conflictos con estudiantes, padres de familia, docentes y demás miembros de la Comunidad Educativa. 26. Llegar puntualmente a la jornada laboral y demás actividades programadas por la Institución.
  • 32.
    27. Emplear elconducto regular para solicitar y obtener permisos asistiendo responsablemente el evento que indica en su solicitud. CAPITULO IV. ESTÍMULOS Artículo 7. A LOS ESTUDIANTES Los educandos que se destaquen por los valores: Excelencia, sentido de pertenencia, feminidad, caballerosidad, espíritu deportivo, compañerismo o por sus talentos especiales reconocidos por una entidad de carácter municipal, departamental, nacional o internacional, recibirán los siguientes estímulos: VALORES QUE SON OBJETO DE ESTÍMULO Responsabilidad y Cargos de representación del área o de la Institución. compromiso institucional. Reconocimiento en Actos cívicos y culturales, anotación en la Hoja de Vida, por docentes o directivos docentes en cualquier fecha del año lectivo. Reconocimiento en la Hoja de Vida, mención de honor ante la comunidad educativa por su buen comportamiento. Comportamiento Reconocimiento en actos cívicos y culturales, anotación en la Hoja de Vida y en el periódico mural. Culturales (talentos) Reconocimiento en actos cívicos y deportivos, anotación en la Hoja de Vida y en el periódico mural. Deportivos (talentos) Reconocimiento en actos cívicos y deportivos, ser elegido (a) para representar a la Institución en eventos deportivos dentro y fuera de ella. Sentido de pertenencia (aseo, Mención de honor y anotación en la Hoja de Vida presentación personal, protección del medio ambiente, muebles y enseres) Superación y esfuerzo Lo deciden los respectivos directores de grupo con los demás profesores que sirven clase en ese grupo, según los informes académicos del año. Rendimiento académico: Mención de honor. Matrícula de honor. Primer puesto (según Ley 115 de 1994) Mejor Bachiller. Lo deciden los Mención De honor y reconocimiento público. Elegido educadores que sirven clases según los resultados académicos del año escolar en el grado once. Mejor bachiller ICFES Mención de reconocimiento en público según los resultados de las pruebas ICFES.
  • 33.
    Permanencia en laInstitución Mención de honor. Reconocimiento en público. de preescolar al grado 11º Reconocimiento de otros Mención de Honor. Reconocimiento en público. valores Compañerismo Lo eligen los compañeros del grupo. Mención de Honor y anotación en la Hoja de vida. Excelencia, espíritu deportivo, Resaltados en acto de reconocimiento de valores al feminidad, caballerosidad, finalizar el año lectivo. Sentido de pertenencia Artículo 8. ESTIMULOS A LOS DOCENTES. • Ser tenidos en cuenta para capacitaciones, representación en eventos institucionales, deportivos y otros. • Reconocimiento ante la comunidad educativa por el cumplimiento de sus deberes con ética y profesionalidad. • Tarjeta de felicitación a los en el semestre sobresalgan por una actividad especial. • Participación en seminarios. • Ser elegido como representante en los diferentes comités. CAPITULO V. EL PROCESO DISCIPLINARIO Y EL DEBIDO PROCESO Artículo 9. EL DEBIDO PROCESO. El debido proceso es un conjunto de garantías que protegen las personas, a efectos de asegurar durante el mismo una pronta y debida justicia. La nueva legislación para los menores, es decir la expedición d la Ley 1098 de 2006 (Noviembre 8), consagra de manera expresa la observancia del debido proceso, para los menores de Edad. Textualmente el Art. 26, de la norma indica: “Art. 26. Derecho al debido proceso.- Los niños, las niñas y los adolescentes tienen derecho a que se les apliquen las garantías del debido proceso en todas las actuaciones administrativas y judiciales en que se encuentren involucrados. En toda actuación administrativa, judicial o de cualquier otra naturaleza en que estén involucrados, los niños, las niñas y los adolescentes, tendrán derecho a ser escuchados y sus opiniones deberán ser tenidas en cuenta.”
  • 34.
    El debido procesoen la imposición de sanciones es el derecho de todo estudiante a que se reconozca y observe el procedimiento previamente definido a la adopción de una sanción contemplada en el Manual de Convivencia. Toda sanción debe ser proporcional a la falta que se comete, y debe partirse de la presunción de inocencia. Para ello el establecimiento, acogiéndose a la Sentencia T-435 de 2005, para garantizar el debido proceso: 1. Tipifica las conductas sancionables al interior de la institución educativa en el Manual de Convivencia. 2. Garantiza la proporcionalidad ante la falta cometida y la sanción a imponer. 3. Garantiza la racionalidad de la sanción, esto es, perseguir un fin constitucionalmente legítimo. 4. Garantiza la necesidad de la sanción ante la falta cometida, esto es, que la conducta del estudiante es tal que impide la convivencia, de modo que no admite otra respuesta que la sanción impuesta. 5. Señala con claridad un procedimiento a seguir, de manera que el implicado pueda ejercer razonablemente su derecho de contradicción y defensa, siempre bajo del presupuesto de la presunción de inocencia. Artículo 10. PRINCIPIOS DEL DEBIDO PROCESO. 1. Presunción de inocencia. 2. Derecho de defensa. 3. Derecho de representación. Como menor de edad por el padre de familia o acudiente. De lo contrario acudir a las instancias legales gubernamentales. 4. Presentación de pruebas. 5. Derecho de Contradicción. 6. Derecho de impugnar la sanción. El estudiante puede solicitar que se revisen o modifiquen las decisiones del fallador: Coordinador, delegado, Rector o Consejo Directivo en los términos legales. 7. Derecho a no ser juzgado dos veces por el mismo hecho. Artículo 11. EL CONDUCTO REGULAR. El Conducto regular como parte del debido proceso para resolver cualquier clase de conflicto (tanto académico como disciplinario) comprenderá los siguientes pasos: PASOS 1. Si el conflicto se presenta en una clase o área o asignatura determinada, se soluciona con el Profesor de dicha área o asignatura en primera instancia. Si el conflicto se presenta en un lugar diferente al aula de clase se soluciona con el docente o directivo docente conocedor de la falta o conflicto.
  • 35.
    2. Si persisteel conflicto, se debe acudir al Director de Grupo en segunda instancia. 3. En tercera instancia es el Coordinador si aún no se considera solucionado el problema o la situación académica . 4. Intervención Alumno- Rector. 5. Alumno- Rector, padre de familia y coordinación. 6. La intervención del Consejo Académico si la situación es de corte académica. 7. El último paso es la Intervención del Consejo Directivo. En todos los casos, el Consejo Directivo tiene la última palabra sobre el conflicto a nivel institucional. Este procedimiento lo deben seguir los alumnos, padres o acudientes cuando consideren necesario hacer una reclamación, para que en consecuencia, se de un Debido Proceso. Cada instancia debe verificar que se este cumpliendo cada uno de los pasos y registrar sus acciones, acuerdos y decisiones. Algunos de estos pasos pueden llevar a conciliaciones por las partes involucradas donde medien las diferentes instancias competentes para ello en pro de la convivencia escolar. Nota: De cada una de las acciones anteriores se dejará constancia por escrito. Artículo 12. CLASIFICACION DE LAS FALTAS Las faltas, de acuerdo con la incidencia que tengan frente a la comunidad educativa de la Institución, se pueden clasificar en tres (3) grandes grupos: Falta Leve, Falta Grave y Falta Gravísima, dependiendo de la intensidad del daño que cada conducta pueda producir en la comunidad. 1. FALTA LEVE: Se entiende por falta leve todas aquellas actitudes que impiden el normal desarrollo de las actividades pedagógicas. Se denominan así porque son
  • 36.
    prácticas que nocontribuyen al mantenimiento del orden colectivo y dificultan el desarrollo de hábitos de estudio, organización y respeto hacia cada uno de los miembros que conforman la comunidad educativa y la comunidad en general. 2. FALTA GRAVE: Se entiende por falta grave aquel tipo de conducta o comportamiento que atentan contra los principios institucionales, perturbando el normal desarrollo de las actividades y que afectan gravemente las normas disciplinarias de carácter general y particular de la Institución Educativa. 3. FALTA GRAVÍSIMA: Se entiende por falta gravísima toda conducta o actitud que lesiona en gran medida los valores individuales y colectivos de la Institución Educativa, así como aquellas conductas que son consideradas como delitos en la Legislación Penal Colombiana. De acuerdo con lo anterior, antes de tomar cualquier tipo de determinación de orden administrativo, pedagógico o disciplinario, deberá seguirse un procedimiento que garantice la correcta aplicación de los procedimientos acordes con el debido proceso. Artículo 13. FALTAS LEVES: 13.1 Impuntualidad o inasistencia injustificadas a la Institución 13.2 El uso de vocabulario soez. 13.3 Presentarse a la institución portando incorrectamente el uniforme o no portarlo sin justificación. Uso inadecuado del uniforme (llevar buzos, camisas, camisetas, medias y demás accesorios que no correspondan al uniforme). No llevar el uniforme con el largo reglamentario. 13.4 Escuchar radio u otro tipo de aparatos de reproducción de música durante las clases o en actos oficiales de la Institución; igualmente hacer uso de teléfonos celulares en las mismas circunstancias. 13.5 Permanecer en el plantel en horarios diferentes al de la jornada escolar, salvo autorización expresa. 13.6 Perturbar el normal desarrollo de clases o actividades académicas o culturales, mediante conversaciones no autorizadas, gritos, risas, burlas, juegos, gestos, silbidos, remedos, circulación por el aula u auditorio en momentos inadecuados. Comer en clase y/o acto comunitario. Tirar tizas u otros objetos, sillas, papeles, entre otros. 13.7 Permanecer fuera del aula en horas de clase, negarse a ingresar a ésta, o ausentarse de la misma sin autorización del docente o directivo docente. 13.8 Ingresar y permanecer en el aula de clase en momentos de los descansos 13.9 Comer y/o beber alimentos y golosinas en clase o durante la realización de eventos oficiales de la institución. 13.10 Ingresar sin autorización a las áreas o zonas de tránsito restringido, tales como: Rectoría, Secretaría, Coordinaciones, Sala de Profesores, Laboratorios, Restaurante entre otros. 13.11 Participar en juegos de azar en los que se apueste dinero 13.12 Realizar, participar o propiciar desordenes en clase o actos comunitarios
  • 37.
    13.13 Irrespetar la individualidad de miembros de la comunidad educativa o comunidad en general, mediante burlas, apodos, comentarios ofensivos o de cualquier otra forma dentro o fuera de la Institución. 13.14 Dar mal uso a los elementos facilitados por el plantel o por un compañero. 13.15 Promover o fomentar el desorden e irrespetar el turno en espacios de usos comunitarios como: tienda, restaurante escolar y uso de los baños y/o sanitarios 13.16 Celebrar inadecuadamente cualquier evento, arrojando huevos, harina, agua, o haciendo bromas que atenten contra el aseo y seguridad de compañeros y de la institución. 13.17 Esconder o arrojar las maletas, morrales y objetos personales de sus compañeros o condiscípulos 13.18 Dejar desaseado y en desorden el aula de clase al terminar la jornada escolar. Negarse a participar en las campañas y turnos de aseo. 13.19 Desacatar las instrucciones y órdenes que se le imparta por los docentes o directivos docentes de la Institución. 13.20 Rayar paredes, carteleras y baños de la institución. 13.21 Portar material pornográfico y/o exhibirlo dentro de las instalaciones de la institución 13.22 Manifestar el afecto o la sexualidad de manera exagerada dentro de la Institución. 13.23 Asistir a clase de educación física con uniforme incompleto o sin él. 13.24 La práctica de juegos violentos. 13.25 Arrojar basuras al piso. 13.26 Uso inadecuado de los enseres de la institución y de la planta física de la institución. 13.27 Ocultar o retener información escrita que se envíe a los padres de familia o acudiente. 13.28 Incumplimiento de talleres, tareas, consultas y demás deberes escolares. 13.29 Traer a la institución celulares con el fin de interrumpir las actividades académicas, dentro del salón de clase y en actos de comunidad. 13.30 Comprar en la tienda o en cualquier sitio durante el tiempo de clases. 13.31 Comprar comestibles u otros por la malla o la portería durante los descansos. 13.32 Negociar con dinero, comestibles, mercancías y/o tareas. 13.33 Interrumpir o hacer indisciplina en los corredores, cuando se estén realizando actividades en las aulas. 13.34 Esperar al profesor fuera del aula una vez sonado el timbre para cambio de clase. 13.35 Realizar en clase actividades distintas a las asignadas por el educador. 13.36 Realizar juegos de azar en el establecimiento (dados, cartas, rifas, venta de boletas con interés económico). 13.37 Masticar chicle en clase o en los actos comunitarios. 13.38 Llevar a la institución radios, audífonos y otros elementos que distraigan el trabajo académico y que no hayan sido solicitados por el profesor. 13.39 Utilizar apodos para referirse a los compañeros o a cualquier persona de la institución. 13.40 Utilizar bromas o chistes de mal gusto que puedan hacer sentir mal a sus compañeros o a cualquier miembro de la institución.
  • 38.
    13.41 Uso de aretes, persings, gorras y otros. Peinados y tinturas extravagantes. Joyas, maquillajes o accesorios en el cabello estrafalarios(as). Las faltas leves cometidas de manera reiterada, se convierten en falta grave. Artículo 14. FALTAS GRAVES: 14.1. Acumular tres (3) amonestaciones escritas en el observador por reincidencia de faltas leves o por la comisión de cinco (5) faltas leves diferentes. 14.2. Dañar candados, carteleras, puertas, muebles, equipos, baños y otros enseres de la institución 14.3. Agredir y/o amenazar verbalmente a cualquier miembro de la comunidad educativa o a cualquier persona perteneciente al entorno escolar. 14.4. Irrespetar a cualquier miembro de la institución. 14.5. Entorpecer o impedir la comunicación entre la institución educativa y los padres y/o acudientes del estudiante. 14.6. Atentar contra la honra y el buen nombre de cualquier integrante de la comunidad educativa 14.7. Consumir cualquier clase de bebidas embriagantes y/o sustancias psicoactivas fuera y dentro de la Institución. 14.8. Fumar o encubrir fumadores en las instalaciones de la institución. 14.9. Atentar contra el patrimonio cultural o ecológico de la institución 14.10. Rebelarse verbalmente y de forma agresiva frente a las instituciones, observaciones y/o recomendaciones de docentes y directivos docentes de la institución 14.11. Programar y/o participar, dentro o fuera del plantel en actividades extracurriculares que afecten el buen nombre de la Institución educativa. 14.12. Dañar de manera intencional cualquier implemento entregado en custodia o para su uso por parte de la institución. 14.13. Portar o Ingresar a la institución drogas psicotrópicas o bebidas embriagantes. 14.14. Presentarse a la institución bajo el efecto de bebidas alcohólicas y/o sustancias alucinógenas, generando con ello indisciplina dentro del plantel 14.15. Tener relaciones sexuales dentro de la institución 14.16. Inducir, manipular u obligar a otra (s) persona (s) a realizar actos indebidos de cualquier tipo. 14.17. Encubrir o ser cómplice en actos que impliquen comportamientos o conductas dañinas e indeseables para la comunidad educativa. 14.18. Dejar de asistir o ausentarse de la institución sin la debida autorización de su padre o acudiente 14.19. Dar información falsa a los docentes o directivos docentes 14.20. Presentar un comportamiento indebido durante las salidas pedagógicas, deteriorando el buen nombre de la institución 14.21. Menospreciar o irrespetar los símbolos de la Institución o la Nación, tales como: Bandera, Escudo e Himno. 14.22. Conservar y difundir material pornográfico. 14.23. Dibujar graffitis de cualquier tipo. 14.24. Auspicio de sectas satánicas.
  • 39.
    14.25. Auspiciar eltrabajo sexual entre estudiantes del plantel. 14.26. Ingresar a la Institución o salir de ella por sitios diferentes a la puerta de acceso. 14.27. Participar en peleas callejeras portando el uniforme de la institución. 14.28. Rebelarse y desacato reiterativo a las orientaciones de directivas y profesores. 14.29. Inducir o motivar a terceros a cometer cualquier tipo de falta. 14.30. Utilizar el nombre de la institución para actividades particulares como paseos, rifas u otros. 14.31. Indisponer el hogar contra el plantel llevando información falsa o distorsionada. 14.32. Frecuentar bares, heladerías, tabernas, salones de juego o demás sitios de diversión portando cualquiera de los uniformes. Artículo 15. FALTAS GRAVÍSIMAS: 15.1. Reincidir o cometer tres (3) faltas graves 15.2. Agredir físicamente a cualquier miembro de la comunidad educativa 15.3. Portar, exhibir o guardar armas o explosivos, u objetos con los que se pueda atentar contra la integridad física de los demás 15.4. Portar, Consumir o Distribuir a cualquier título (gratuito u oneroso) dentro de la institución sustancias alucinógenas, psicotrópicas que causen adicción. (Ver Dcto. 1108 de 1994, Código Nacional y Departamental de Policía). 15.5. Hacerse presente a la Institución bajo los efectos de bebidas alcohólica. 15.6. Amenazar o intimidar de hecho a cualquier miembro de la comunidad educativa 15.7. Planear, liderar, estimular, apoyar o participar en actos de vandalismo u otro tipo de conductas violentas dentro de la Institución 15.8. Incumplir un contrato pedagógico (de alcance disciplinario) previamente firmado por él y su acudiente. 15.9. Estafar o hurtar dinero, artículos u objetos a cualquier miembro de la comunidad educativa, o a la institución. Dependiendo del daño o perjuicio se entenderá como falta de mayor entidad 15.10. Retener y/o secuestrar a algún miembro de la comunidad educativa 15.11. Extorsionar a cualquier miembro de la comunidad educativa 15.12. Conformar o hacer parte de pandillas o bandas con fines delictivos o para crear un mal ambiente escolar 15.13. Acosar, provocar, abusar y violar sexualmente a cualquier miembro de la comunidad educativa 15.14. Fomentar y/o participar de cualquier actividad que afecte la integridad física y/o psicológica a los estudiantes de la institución (brujería, prostitución, entre otros) 15.15. Cualquier acto que de una u otra forma atenten contra el derecho fundamental a la vida. 15.16. Cualquier forma de terrorismo o situación que produzca pánico ficticio. 15.17. Falsificar firmas, alterar libros, registros de calificaciones y documentos de cualquier tipo 15.18. Suplantar a compañeros (as) o hacerse suplantar para evadir responsabilidades disciplinarias o con el objeto de presentar pruebas de carácter académico. 15.19. Alterar o destruir libros y registros de informes 15.20. Falsificar firmas en documentos y otros.
  • 40.
    15.21. Cualquier conductatipificada como delito en el Código Penal Colombiano, salvo por delitos políticos o culposos. Ante la ocurrencia de este tipo de conductas, corresponde adoptar las medidas correctivas, vale decir, adoptar las sanciones que correspondan a cada grupo de faltas, teniendo en cuenta para cada caso las circunstancias de tiempo, modo y lugar, así como los factores atenuantes o agravantes de la responsabilidad del infractor, todo ello enfocado en el respeto y observancia del Debido Proceso. Para ello se hace necesario tener claro cual es el concepto de Sanción. Artículo 16. SANCION DE LAS FALTAS Sanción: Es la reacción del ordenamiento frente al comportamiento de una persona, que se manifiesta en una consecuencia positiva o negativa según la valoración ética, moral o jurídica de una conducta. Sanción es por lo tanto el resultado de un procedimiento correctivo que establece la Institución Educativa a quien infringe las normas, establecidas por el Manual de Convivencia. Las sanciones se aplican de acuerdo con la gravedad de las faltas cometidas. Los correctivos pueden ser: pedagógicos o disciplinarios, según la naturaleza de la falta, y pretenden, asegurar la convivencia escolar y el cumplimiento de los objetivos académicos y/o sociales de la institución, teniendo en cuenta que prima el interés general sobre el particular. En todo caso, se garantiza a todos y cada uno de los miembros de la comunidad educativa, la observancia del debido proceso y el derecho a la defensa. Dado que hay dos tipos o entidades de conductas susceptible de valoración, calificación y de adopción de medidas, hay que diferenciar los tipos de conductas que tipifican las faltas académicas o pedagógicas de las faltas o conductas que atenta contra la disciplina de la institución educativa. Aclaremos los conceptos: • FALTAS ACADÉMICAS: Son aquellos tipos de conducta o comportamiento de orden particular, producto de las dificultades en el aprendizaje o en la motivación frente a este, que entorpecen el desarrollo intelectual del estudiante, sin que afecten el trabajo colectivo o el ambiente escolar. • FALTAS A LA DISCIPLINA: Son aquellos comportamientos o conductas que atentan contra el ambiente escolar, deterioran las condiciones de tranquilidad y orden que se requieren para llevar a cabo una actividad académica, y estropean la convivencia dentro de la institución. Otros conceptos a tener en cuenta: Desescolarización: Medida adoptada por la institución para limitar la asistencia de los estudiantes a ciertos días y horas especificas o a la jornada escolar normal por un tiempo determinado en los cuales se le imparten tutorías, cursos personalizados o
  • 41.
    talleres con seguimientoy evaluación por parte de los docentes. La desescolarización se da por Resolución Rectoral, previo acuerdo del Consejo Directivo También se puede dar por solicitud de los interesados. Se considera desescolarización a partir de los 10 días. Suspensión: Medida adoptada por la institución como sanción al incumplimiento de la norma. Consistente en la inasistencia a la institución hasta por 8 días hábiles. El proceso para la sanción de las faltas se encuentra en los Artículos 18, 19 y 20 de este MANUAL DE CONVIVENCIA. Artículo 17. ATENUANTES Y AGRAVANTES Para la adopción de correctivos o sanciones, bien de orden académico o disciplinario, deberán revisarse las circunstancias de orden atenuante o agravante, entendiendo por tales, la graduación de la responsabilidad como menor o mayor identidad según cada caso. Es necesario entender que cada institución educativa tiene o dispone de condiciones particulares, de acuerdo con las características del entorno social en la que actúan, atendiendo a las condiciones particulares de la comunidad educativa que atienden y de acuerdo con ello determinar las circunstancias que afectarán la toma de dediciones en cada momento. Atenuante: Son las circunstancias que aminoran la aplicación de la pena o sanción y que pueden considerarse como el menor grado de la responsabilidad del imputado, las conductas y circunstancias atenuantes pueden ser entre otras: Confesión de la falta; Haber actuado inducido o presionado por un tercero; cometer la falta en estado de alteración emocional o psicológica, tener una buena conducta anterior; la edad, el desarrollo sicoafectivo, mental y las circunstancias personales y familiares; cometer la falta en estado de alteración, ira intensa, motivado por hechos que le causan dolor físico o psíquico; intentar después de cometida la falta , anular o disminuir sus efectos o consecuencias. Agravante: Son las circunstancia que aumentan en rigor en la aplicación de la pena y aumentan el grado de responsabilidad en la ejecución del hecho, esas circunstancias son entre otras: Ser reincidente; rehuir la responsabilidad o atribuirla a otro; cometer la falta aprovechando la confianza depositada en él por la víctima; cometer la falta con alevosía, premeditación, o en complicidad con otra persona; cometer la falta aprovechando su superioridad física o mental sobre otras personas; eludir su responsabilidad, atribuyéndosela a otra persona; el emplear en la ejecución del hecho, medios que al utilizarse pueden poner en peligro a todo el grupo. Cuando se trata de la aplicación de sanciones de orden pedagógico y/o disciplinarios, debe adoptarse por escrito, deben estar consignados en el observador del alumno o implicado. Esa es la forma de consignar las actuaciones como evidencia del proceso seguido al implicado.
  • 42.
    Artículo 18. PROCEDIMIENTOPARA LAS FALTAS LEVES. 1. Sanciones Aplicables: Para este tipo de faltas se deben aplicar las siguientes sanciones: • Amonestación verbal en privado • Ordenación de acciones de reparación o reivindicación de la falta • Correctivos pedagógicos • Amonestación escrita en el observador cuando se incumplan compromisos de mejoramiento o por la consideración de la falta según los atenuantes o agravantes. 2. Competencias: La competencia para la atención y actuación ante este tipo de faltas corresponde: • Al docente o directivo docente que encuentre en flagrancia al infractor (actuación oficiosa) • Al docente o directivo docente que reciba la denuncia de cualquier miembro de la comunidad educativa, o de los testigos de la falta. 3. Términos para actuar: Se debe actuar y aplicar la sanción el mismo día de conocido el hecho, o a más tardar al día siguiente al que se cometió la falta o se tuvo conocimiento de la falta. (Oficiosamente en el caso de flagrancia) 4. Procedimiento a seguir: Se deben observar los siguientes procedimientos. a) Diálogo con el implicado, amonestación verbal escrita en el observador e invitación a modificar su comportamiento, se aplicará una acción pedagógica o de servicio social, acorde con la falta cometida. b) Si el sancionado incumple el convenio señalado (dentro del término acordado: días, semanas, meses, etc.) reincide en la falta, se elaborará otra amonestación escrita en el observador. El inculpado puede hacer los descargos correspondientes y ejercer el derecho a la defensa antes de firmar la observación. c) Acumular tres (3) amonestaciones escritas en el observador por reincidencia de faltas leves o por la comisión de cinco (5) faltas leves diferentes constituye por si misma una falta grave y deberá sancionarse y procederse de conformidad con esa calificación. Artículo 19. PROCEDIMIENTO PARA LAS FALTAS GRAVES: 1. Sanciones aplicables: Para este tipo de faltas o conductas deben aplicarse las siguientes sanciones: • Suspensión de las actividades académicas entre uno (1) y cuatro (4) días, dependiendo de la falta y atendiendo a las circunstancias atenuantes o agravantes. Además, se deberá elaborar una Acta de suspensión y
  • 43.
    compromiso (Contrato pedagógico)de cambio incluida en el observador; el sancionado deberá ejercer acciones de reivindicación y reparación de la falta. • CONTRATO PEDAGOGICO-Disciplinario: Toda falta grave irá acompañada de un Contrato Pedagógico-disciplinario firmado por el estudiante, sus padres o acudientes, el director de grupo y el coordinador y/o Rector según el caso. Su seguimiento, de acuerdo a los atenuantes y agravantes de la falta, puede hacer que los padres de familia o acudiente se presenten al menos cada 8 días a la institución a fin de controlar y evaluar el cumplimiento del mismo. En caso de incumplimiento se consignará en el observador y en la Hoja de Vida. 2. Competencias: La competencia para atender este tipo de faltas corresponde al Coordinador de la jornada escolar, en la que se cometió la falta, o se tuvo conocimiento del hecho. Podrá atender el asunto un docente o el director de grupo del implicado, por delegación del Coordinador. De la delegación se deberá dejar constancia escrita en el observador. Los directores de grupo o docentes carecen de competencia para impedir la entrada o devolver a su casa al estudiante que haya cometido una falta, salvo que le haya sido delegada tal función por el Coordinador o rector, y de ello debe haber constancia escrita. Los coordinadores podrán imponer como sanción máxima la suspensión de cuatro (4) días al inculpado. Las suspensiones superiores a cuatro días son exclusivas del Rector y del Consejo Directivo. 3. Términos para actuar: Para la atención de estas faltas se dispone de un término máximo de tres (3) días lectivos, contados a partir de la ocurrencia de la falta o se tenga noticia de la ocurrencia de la misma. El término podrá prorrogarse cuando las circunstancias de obtención de pruebas, interrogación de testigos, solicitar información así lo amerite. En todos los casos el inculpado por una falta grave, permanecerá suspendido de clases inmediatamente, previa información al padre de familia (Permaneciendo en coordinación) durante un día, el día en que cometió la falta o se tuvo noticia de la ocurrencia de la misma. Luego de ello, deberá asistir a la Institución con la finalidad de iniciar el proceso disciplinario, debidamente acompañado de sus padres o acudientes y acudir a la oficina del Coordinador o Rector según el caso. El día de la suspensión se contará como parte de la sanción que se adopte. 4. Procedimiento a seguir: Ante la ocurrencia de una falta de esta clase se deberán observar los siguientes pasos o procedimientos tendientes a garantizar el derecho a la defensa del o los implicados: • Citar al padre de familia o acudiente por escrito y/o vía telefónica. El implicado no se reintegra a sus labores académicas hasta que no se presente con su padre(s) de familia o acudiente. • Al día siguiente o cuando se presenten con los respectivos padres de familia o acudientes dialogar con ellos y el implicado, o con cada uno de los implicados y sus respectivos padres o acudientes, además de interrogar a los testigos con la finalidad de reconstruir los hechos, verificar información, etc. De los hechos
  • 44.
    constitutivos de lafalta debe quedar constancia escrita en un Acta, la que debe contener la descripción de la falta, las circunstancias atenuantes o agravantes de la conducta e incluir en ella la sanción a imponer; además debe celebrarse un compromiso (Contrato Pedagógico–disciplinario) con el implicado a fin de modificar su conducta y mejorar su comportamiento. Tanto el Acta como el contrato Pedagógico-disciplinario deben estar firmados por el implicado, sus padres o acudientes, por el coordinador y el rector, y se archivará en el observador correspondiente al alumno implicado. • La dosificación de la falta pueden ser modificada por el coordinador o su delegado, según el caso, atendiendo a las circunstancias atenuantes o agravantes. La sanción no puede sobrepasar el límite de cuatro (4) días. • El suspendido al reintegrarse a las actividades académicas deberá presentarse al orden del día. Si durante el período de suspensión se realizan evaluaciones orales y/o escritas y el no está presente, las mismas serán realizadas en las fechas de refuerzo durante el período o final de año. Artículo 20. PROCEDIMIENTO PARA LAS FALTAS GRAVÍSIMAS. 1. Sanciones aplicables: Ante la ocurrencia de este tipo de faltas, se aplicarán las siguientes sanciones: a) Suspensión de actividades académicas durante un período comprendido entre: cinco (5) y treinta (30) días, sanción notificada mediante Resolución Rectoral. b) Notificación de suspensión, firmada por el estudiante, sus padres o acudientes, Coordinador(a) y Rector. c) Des-escolarización por el año en curso y pérdida del cupo para el año siguiente, si ha transcurrido más del 50% del año lectivo. d) Cancelación de la matrícula. e) En el caso de que el implicado sea un estudiante del decimoprimero grado (11), no será proclamado como bachiller en el acto comunitario de graduación. f) Cuando el sancionado sea deportista activo, y cometa una falta gravísima en desarrollo de un encuentro deportivo, además de la sanción queda automáticamente excluido del equipo deportivo y no podrá seguir participando en las competencias deportivas, dentro o fuera de la Institución Educativa a nombre del grado o ella misma o Actos representativos de la institución. 2. Competencias: 2.1. La atención de este tipo de faltas corresponde al Rector de la Institución Educativa, o en su defecto el delegado, quien puede ser un docente o el coordinador, la delegación debe ser siempre escrita, indicando el alcance de la misma; el Rector posee la competencia para aplicar sanciones entre cinco (5) y diez (10) días de suspensión.
  • 45.
    2.2. Cuando las faltas sean de gran entidad, corresponderá exclusivamente adoptarlas al Consejo Directivo de la Institución, o sea aquellas que conlleven más de diez (10) días de suspensión, la perdida de cupo, la cancelación de matricula o la no proclamación de un Bachiller en público. La adopción de la sanción, se consignará en un acuerdo del Consejo Directivo, y será notificada al sancionado y padres o acudientes mediante una Resolución Rectoral. Términos para actuar: La adopción de estas medidas, se debe hacer dentro de los ocho (8) días lectivos siguientes a la ocurrencia de la falta, o que se tenga conocimiento de la misma. La prórroga de los términos solo será posible, cuando por razones de investigación o práctica de pruebas. El día de la ocurrencia de la falta, el estudiante será suspendido de clases (quedándose en coordinación), y regresará al día siguiente acompañado de sus padres o acudientes, para que se inicie el proceso disciplinario. El día de suspensión se contabilizará dentro de la sanción que se adopte. 3. Procedimiento a seguir: Ante la ocurrencia de una FALTA GRAVISIMA se deberán observar los siguientes pasos o procedimientos tendientes a garantizar el derecho a la defensa de los implicados. a) Citación por escrito y/o telefónicamente a los padres de familia o acudientes, citación que deberá anexarse o registrarse en el observador del alumno. b) Interrogar al implicado o implicados sobre el hecho; realizar reconstrucción de los hechos constitutivos de la falta, presentar descargos y analizar las circunstancias atenuantes o agravantes según el caso. Una vez analizadas las causas y se haya dado cumplimiento al debido proceso, el competente (rector o Consejo Directivo) adoptarán la sanción, indicando, si es por suspensión o desescolarización y cuantos días se aplicarán dentro del rango de 5 ó más días. De la actuación debe quedar prueba escrita, mediante Acta de Investigación del Rector (que se anexará al Observador del alumno) o la suscripción del Acuerdo del Consejo Directivo en la que se dejen explícitamente narradas las circunstancia de tiempo, modo y lugar de la ocurrencia de la falta; el Acuerdo será firmado por el consejo directivo y será la base de la Resolución Rectoral que aplicará la sanción. El Acta de Investigación del Rector será firmada por el rector o delegado, el implicado y sus padres o acudientes y coordinador(a). Copia de los documentos: Acta y Acuerdo del consejo directivo y resolución rectoral se archivarán en el observador del sancionado y en su hoja de vida al igual que el Acta de Investigación del Rector. c) La Resolución por Desescolarización será expedida por parte de la Rectoría dando cuenta de la decisión tomada, reiterando los recursos que se tienen frente a la misma por parte del estudiante o los estudiantes implicados. Sólo se hará efectiva una vez se resuelvan los recursos interpuestos o transcurra el tiempo para que se agote su interposición.
  • 46.
    d) Cuando lasanción corresponda a una suspensión, se deberá suscribir un COMPROMISO firmado por el Rector, el implicado, sus padres y/o acudientes, en el que se comprometa el estudiante a modificar su conducta y solicitar ayuda psicológica dentro de la Institución (si existe el servicio), o fuera de ella. Además debe quedar claro que los padres o acudientes aceptan la cancelación de la matrícula, cuando se presente la reincidencia de la falta, o la comisión de una nueva falta grave o gravísima. c) Cuando la falta amerite suspensión: durante los días de suspensión, el alumno deberá indagar con sus compañeros sobre las actividades de tipo académico y se compromete realizar sus actividades al orden del día. Para las evaluaciones orales o escritas realizadas en los días de suspensión, el implicado las presentará en los días en que se programen los refuerzos del período o al final del año. d) Cuando la falta amerite la desescolarización: durante el tiempo de desescolarización el estudiante en acompañamiento del padre de familia o acudiente deberán presentarse a la coordinación para recibir y devolver los trabajos, talleres, u orientaciones pertinentes entre otros, dentro de los plazos fijados por los docentes de las respectivas áreas o asignaturas, (semanal, quincenal o mensualmente). El acatamiento de los trabajos, o su no realización se consignarán en un acta que deberá ser suscrita por el docente, el estudiante y el representante o acudiente del mismo. Copia de esas actas se archivaran en el observador y hoja de vida del estudiante. e) Cuando el sancionado sea un estudiante del GRADO ONCE (11), no será proclamado bachiller en el acto público para tal fin. Él deberá reclamar su diploma y acta de grado, al día siguiente (lectivo o hábil) en que se haya efectuado la ceremonia de graduación de los estudiantes de grado once (11) o en días posteriores. Parágrafo: Para la desescolarización, mientras se reúne el Consejo Directivo el estudiante que cometió la falta continuará asistiendo a clases con estricto seguimiento por parte del director de grupo, la coordinación y el compromiso de los padres de familia o acudientes. Artículo 21. CANCELACION DE MATRICULA Y PERMANENCIA DE REPROBADOS Para el caso de cancelación de la matrícula de un estudiante o negación de cupo escolar para el año siguiente, es de exclusiva competencia del Consejo Directivo. Esta sanción opera solo para los estudiantes que cometieron faltas gravísimas, o aquellos que han perdido el año dos (2) veces consecutivamente. La perdida de cupo para los repitentes será solo de un año; para los sancionados por faltas gravísimas será definitiva.
  • 47.
    Parágrafo. Permanencia dereprobados. La institución garantiza la permanencia de los educandos que reprueban el curso por primera vez y registran seguimientos disciplinarios y de conducta que denotan acatamiento al Manual de Convivencia Escolar. Es decir, los educandos que reprueban el grado y tienen proceso disciplinario por faltas graves o gravísimas, tienen afectada la permanencia en la institución y la pérdida del cupo, según el artículo 96 de la Ley 115 de 1994. Artículo 22. DE LOS RECURSOS QUE SE PUEDEN INTERPONER Ante la adopción de cualquier sanción por faltas graves y gravísimas proceden los recursos de: 1. RECURSO DE REPOSICIÓN: Este Recurso se presenta ante el funcionario competente que emitió la sanción con el objeto de que la revise, modifique o revoque. (RE: prefijo latino = repetición, recobrar, reabrir) 2. RECURSO DE APELACIÓN: Este Recurso se presenta ante el superior jerárquico de quien produjo la sanción con la finalidad de que la modifique o revoque. (En este recurso está implícita la prohibición de la: Reformatio in Pejus) Cuando la sanción sea adoptada por el Coordinador, el estudio de la Apelación corresponderá al Rector; cuando la sanción la imponga el Rector, corresponderá al Consejo Directivo resolver la Apelación. Cuando la sanción sea adoptada por el Consejo Directivo como máxima autoridad del gobierno escolar, solo procederá el Recurso de Reposición. En la comunicación escrita de la sanción, se deberá expresar que recursos se conceden y ante cual autoridad. Dada la importancia del proceso educativo, se conceden los siguientes términos para presentar y resolver los recursos: • Para presentar el recurso: Tres (3) días hábiles. • Para resolver el recurso: Máximo Cinco (5) días hábiles. Artículo 23. ACTUACIONES ADMINISTRATIVAS Todas las decisiones de orden académico o disciplinario deben consignarse por escrito, deben ser elaborados de acuerdo con la gravedad de la falta, es decir, la comunicación de las sanciones se harán mediante: Carta motivada, Acta, Acuerdo del Consejo Directivo y Resolución Rectoral (Por el coordinador, Rector o Consejo Directivo).
  • 48.
    Carta Motivada: Seentiende por tal, la comunicación escrita que se remite al sancionado, en la que debe contener los motivos que originaron la sanción; la sanción propiamente dicha, y finalmente que recursos caben en contra de ella. Esta carta debe ser firmada por la persona competente, es decir, por quien el Manual de Convivencia, defina como tal. Reposará en el Observador del Alumno. Acta: El Acta no es otra cosa que la relación escrita de lo acordado en una Junta o reunión de personas, convocada para resolver asuntos puntuales. El acta debe estar firmada por quien presidió la reunión, y el secretario de la reunión, en su redacción debe decirse: • Lugar, fecha y hora de la Reunión • Identificación de todos y cada uno de los asistentes a la reunión • Cargos de las personas reunidas • Nombre e identificación de la persona que preside la reunión y de quien actúa como secretario • Tema (s) a tratar. Vale decir, si hay orden del día y/o el motivo de una reunión especial expresarlo en el Acta respectiva • Hora y fecha de la terminación de la reunión • Del Acta se deben suscribir dos ejemplares: uno para el libro de actas de la entidad y el otro para la persona interesada en conocer lo resulto. Acuerdo del Consejo Directivo: Un Acuerdo es la expresión de lo resuelto por varias personas, es la manifestación escrita de una determinación sobre un tema específico. Un Acuerdo debe contener básicamente dos cuerpos: Los Considerandos y la parte Resolutiva. • Considerandos: Son las circunstancias de tiempo, modo y lugar que van a dar lugar a la toma de una decisión; esas circunstancias se deben expresar de forma clara y teniendo en cuenta el orden cronológico de cada hecho motivo de análisis. • Acuerdo: Con base en los considerandos, se deben resolver los hechos llegando a toma de una decisión que se materializa en lo resuelto por el documento. Artículo 24. EVALUACION DEL COMPORTAMIENTO SOCIAL O DISCIPLINA. (Acuerdo Directivo 007 del 29 de mayo de 2008) El Comportamiento social será evaluado de forma descriptiva. Al finalizar cada periodo será entregado un informe del Comportamiento Social a los padres de familia o acudientes que de cuenta del cumplimiento o no de lo estipulado en el Manual de Convivencia. El informe empleará para ello ítems. El informe llevará el encabezamiento: INFORME DE COMPORTAMIENTO SOCIAL, para diferenciarlo del Informe de Evaluación (Informe Académico). A continuación vendrá la parte descriptiva haciendo uso de los ítems.
  • 49.
    Este informe saldráde reunión de los docentes que dictan clase en cada grado bajo la orientación de la coordinación de la Institución. El director de grupo será quien con el consolidado de la reunión elaborará la sistematización (ingresará en medio magnético los códigos de los ítems ya establecidos) para entregar a la Secretaría de la Institución. Esto mismo se aplica para los Certificados Escolares. Parágrafo: Tanto el informe académico como el informe de comportamiento social se registrarán en una misma planilla. Artículo 25. ESQUEMA SANCIONATORIO LA FALTA TIPIFICACION DE LA FALTA Docente. Director de grupo. Coordinador. Rector. Consejo Directivo COMUNICACIÓN ESCRITA A PADRES O ACUDIENTES (Faltas graves o gravísimas) DESCARGOS SEGÚN GRAVEDAD DE LA FALTA. (1, 2 o 3 DÍAS HABILES) ESTUDIO DEL CONSEJO DIRECTIVO. PRODUCE RESOLUCIÓN APLICACIÓN DE LA SANCIÓN IMPUGNACIÓN A LA SANCIÓN Rec. Reposición Rec. Apelación 3 DIAS
  • 50.
    EJECUTORIA DE LASANCIÓN QUEDA EN FIRME. CAPÍTULO VI. EL PROCESO DE EVALUACIÓN Y PROMOCIÓN Artículo 26. EVALUACIÓN Y PROMOCION. Los procesos de evaluación y promoción de los educandos, en la Institución Educativa JUAN DE LA CRUZ POSADA en los diferentes niveles se rigen por el Decreto Nacional 230 de 2002, el Decreto Nacional 1860 de 1994, y el Acuerdo 002 de 2007, emitido por el Consejo Académico. Artículo 27. LA EVALUACIÓN DEL RENDIMIENTO ESCOLAR. Los estándares, competencias, logros e indicadores de logros académicos serán organizados por grados, ciclos y áreas, a los cuales se les asignarán códigos y juicios de valoración para evaluar a los educandos durante el año escolar. La evaluación se hace fundamentalmente por comparación del estado de desarrollo formativo, cognoscitivo y cognitivo de un educando, en relación con los logros propuestos en el currículo. Se tendrán en cuenta como MEDIOS EVALUATIVOS: • PRUEBAS DE: Comprensión, análisis, síntesis, discusiones formativas y en general de apropiación de conceptos y solución de problemas. • APRECIACIONES CUALITATIVAS: Observaciones, diálogos, entrevistas, trabajos orales y escritos, individuales o colectivos, participación del educando, consultas, notas en sus cuadernos, tareas, utilización de recursos , manejo de equipos o implementos de trabajo diarios y pedagógicos, videos, informes de laboratorios, informes de salidas pedagógicas, entre otros. • LOGROS Y COMPETENCIAS: Son los aspectos y saberes que se consideran necesarios en los procesos de desarrollo de los educandos. Comprende: conocimientos, habilidades, destrezas y otras competencias que deben desarrollar los educandos de un grado o nivel, en un área determinada, en el proceso de formación.
  • 51.
    • INDICADORES DELOGRO: Son evidencias que constatan hasta donde y en que proporción se alcanzó o se alcanzaron los logros propuestos. Parágrafo 1. Los indicadores de logro serán definidos al inicio del año escolar por grado, ciclo y área, válidos para todos los períodos y para decidir la promoción de los estudiantes, al igual que las recomendaciones y estrategias pedagógicas. Parágrafo 2. Las competencias, logros e indicadores serán dados a conocer a los educandos al inicio del año escolar. De igual forma se socializarán con los padres de familia Parágrafo 3. Una semana antes de finalizar cada período se aplicarán como parte de la evaluación las pruebas tipo SABER e ICFES y servirán como referente para la superación y alcance de logros en los planes de refuerzo. Artículo 4º Decreto 230 de 2002. Evaluación de los educandos. La evaluación de los educandos será continua e integral, y se hará con referencia a cuatro períodos de igual duración en los que se dividirá el año escolar. Los principales objetivos de la evaluación son: a. Valorar el alcance y la obtención de logros, competencias y conocimientos por parte de los educandos. b. Determinar la promoción o no de los educandos en cada grado de la educación básica y media. c. Diseñar e implementar estrategias para apoyar a los educandos que tengan dificultades en sus estudios; y d. Suministrar información que contribuya a la autoevaluación académica de la Institución y a la actualización permanente de su plan de estudios Artículo 28. CARACTERÍSTICAS DE LA EVALUACION. La evaluación del proceso de aprendizaje del estudiante en sus diversas dimensiones, humanas e intelectuales se realizará de acuerdo al desarrollo de competencias partiendo de logros propuestos para cada uno. La evaluación debe ser integral, permanente, dinámica, objetiva, continua, cualitativa y motivante. Objetiva: justa y equilibrada según los parámetros establecidos por la Ley. Integral: Que recoja todos los aspectos del ser humano. Continua: Que se realice permanentemente y durante todo el año. Cualitativa: Indicando la calidad, los detalles y las apreciaciones. Motivante: Que sea abierta, dinámica, variada, didáctica, lúdica y que tenga en cuenta las características individuales de los educandos.
  • 52.
    Debe contarse conla auto evaluación, coevaluación y hetereoevaluación con el fin de dar participación y proporcionar el desarrollo integral del educando dentro de los principios de equidad y justicia. Artículo 29. CRITERIOS DE EVALUACIÓN. (Acta del Consejo Académico del 2007) La evaluación es un proceso descriptivo y continúo. Da cuenta de los avances de formación de los educandos para ello se debe tener en cuenta, entre otros aspectos, los logros, los indicadores de logro y las competencias. 1. Al iniciar el año lectivo el educador debe hacer un diagnóstico del grupo y del área y/o asignatura para detectar las falencias y/o fortalezas. 2. Si el 60% de un grupo obtiene una valoración de insuficiente o deficiente en una evaluación, el docente debe retomar el proceso de evaluación aplicando los correctivos necesarios. Los correctivos a tener en cuenta serán: repetir la prueba, realizar la socialización de la misma, su sustentación o aplicar el instrumento necesario. 3. Se deben dar como mínimo 4 momentos de evaluación por cada asignatura o área para su valoración en cada uno de los cuatro períodos. 4. Los docentes devolverán a los estudiantes todas las evaluaciones de sus trabajos con las correcciones y sugerencias para alcanzar logros previstos. 5. Los resultados de las valoraciones de cada una de las asignaturas o áreas se les dará a conocer a los estudiantes antes de ser pasados a Secretaría en cada uno de los periodos del año. 6. Al comenzar cada período se dará a conocer los estudiantes los logros, los indicadores de logro, los contenidos y los criterios de evaluación a tener en cuenta durante el mismo en cada una de las áreas o asignaturas y dejara evidencia en los cuadernos o notas personales de los estudiantes. 7. La realización de evaluaciones y/o trabajos escritos, sustentaciones orales y todo aquello que forme parte o contribuya a la actividad evaluativo se debe anunciar con la debida anticipación a los educandos. Si en el cuarto período un estudiante obtiene valoración de aprobación en una asignatura o área después de que en sus anteriores periodos ha sido insuficiente puede, a criterio del docente titular o representante del área o asignatura y como conocer directo del proceso formativo, ser valorada como superada y obtener A o S. 8. Si un estudiante tiene una valoración en un solo período con I o D, la valoración final no podrá ser inferior a A. 9. Si un estudiante tiene una valoración de A en todos los períodos y en el cuarto obtiene I, la valoración final depende del docente. 10. Si un estudiante al finalizar el año en la evaluación final demuestra un manejo suficiente de todos los componentes de la asignatura o área podrá tener una valoración definitiva, a criterio del docente, superior a A independiente de la valoración de otros períodos. 11. En todos los casos el docente deberá tener evidencias claras y precisas de todos estos procesos a fin de sustentar las valoraciones obtenidas por los educandos a su cargo.
  • 53.
    Artículo 30. REFUERZOSY RECUPERACIONES Tener en cuenta los siguientes conceptos relacionados con los planes de refuerzo y recuperación: • Refuerzo: acciones de acompañamiento brindadas durante el año, a los estudiantes que en el proceso presenten dificultades. Es de mejora continua. • Recuperación: es la evaluación aplicada a aquellos estudiantes que hayan obtenido Insuficiente o Deficiente en una o más áreas, al finalizar el año lectivo. 1. Formatos. Formatos para evidenciar el Plan de Refuerzos y Superación de logros Insuficientes o Deficientes, hacer seguimiento y ser diligenciados y entregados a Padres de familia y estudiantes, así: 1.1. Formato CA001. Formato para compromiso académico CONTRATO ACADÉMICO O COMPROMISO ACADEMICO ESTUDIANTE: …………………………… GRUPO:……….. PERIODO:………FECHA:…………. AREAS Y ASIGNATURAS CON DIFICULTAD (Marcar con una X) Ciencias Ciencias Sociales Educació Etica Educació Educació Mate Ciencias Tecnología Humanidades Naturale Socia- Filo- Econo n n Física n mática Química Física Inglés Lengua s les sofía - Artística Religiosa s Castellana mía La Comisión de Evaluación y Promoción del grado………., en cumplimiento del Art. 8º del decreto 230 del 2002, hace entrega del presente Compromiso Académico o Contrato Académico. Por cada área habrá un Plan de Refuerzo, donde se consignarán las acciones propuestas a realizar con el acompañamiento de la familia y la orientación del docente del área. RECOMENDACIONES DE LA COMISIÓN ………………………………………………………………………………………………………………………………………… ………………………………………………………………………………………………………………………………………… ………………………………………………………………………………………………………………………………………… COMPROMISOS DEL ESTUDIANTE ………………………………………………………………………………………………………………………………………… ………………………………………………………………………………………………………………………………………… ………………………………………………………………………………………………………………………………………… COMPROMISOS DEL PADRE DE FAMILIA O ACUDIENTE …………………………………………………………………………………………………………………………………………… ………………………………………………………………………………………………………………………………………… FIRMAS ………………………………………………. …………………………………………… …………………………………... PADRE DE FAMILIA O ACUDIENTE ESTUDIANTE DIRECTOR DE GRUPO Nota: Este contrato o compromiso irá anexo al observador del alumno, quien se quedará una copia. 1.2. Formato CA002. Formato Plan de Refuerzo.
  • 54.
    PLAN DE REFUERZO Area:__________________________________________ Período: ________________ Fecha: ___________________ Profesor: ______________________________________ Estudiante: _____________________________________________ Logros pendientes: 1._______________________________________________________________________________________________________ 2._______________________________________________________________________________________________________ 3._______________________________________________________________________________________________________ 4. _______________________________________________________________________________________________________ ACTIVIDADES DE REFUERZO Y SUPERACION Criterios de Evaluación Fecha y Hora Actividades Valoración Observaciones NOTA: La responsabilidad en el cumplimiento de actividades será el producto del acuerdo entre el padre de familia –estudiante y el educador del área. Si el educando o el padre de familia se niegan al proceso de las actividades o lo suspenden se declaran insuficientes los logros de dichas áreas. _______________________________ _______________________________ __________________________________ Profesor Estudiante Padre de Familia 2. Proceso para el Manejo de los Refuerzos: Al momento de entregar los informes académicos a los padres de familia, los directores de grupo harán firmar un Contrato o Compromiso Académico a los estudiantes que se encuentran pendientes de logros (Formato CA001 Compromiso Académico), del cual se les entregará una copia. En la semana siguiente a la firma de este compromiso académico se acercarán a los docentes de las áreas de las cuales deben logros de este periodo o de otros; el docente del área entonces le diligenciará un Plan de Refuerzo (Formato CA002 Plan de Refuerzo), estos planes de refuerzo los hará llegar el profesor del área o asignatura al director de grupo. Este entregará tanto el Compromiso Académico como el Plan de Refuerzo de cada alumno a la Comisión de Evaluación y promoción correspondiente, quien hará las recomendaciones pertinentes y citará al Padre de Familia o acudiente para lograr su compromiso en la ejecución de este Plan de Refuerzo. El cumplimiento y el seguimiento de los planes de refuerzo es competencia de las Comisiones de Evaluación y Promoción de cada grado. 3. Los logros por áreas o asignaturas que hayan quedado pendientes de periodo se harán en el siguiente periodo según el Plan de Refuerzo que se convenga con los implicados. Si en este tiempo no son superados quedarán nuevamente pendientes y se
  • 55.
    reforzarán en elpróximo periodo. En todo caso se dispondrá de todo el año lectivo para que los alumnos puedan reforzar. 4. Otras consideraciones a tener en cuenta para el manejo de los Refuerzos y Recuperaciones y su debida aplicación: • Al inicio de cada periodo los educandos conocerán los logros, indicadores de logro y los criterios con los cuales serán evaluados. • El refuerzo como mejora continua durante el periodo puede darse en términos de nuevas explicaciones, talleres adicionales, sustentaciones, encuentros con padres de familia, entre otros. Los refuerzos se hacen durante todo el año, son actividades y compromisos adquiridos por las partes involucradas, que tienen como instrumentos los planes de refuerzo de cada periodo, que sirven para fortalecer el proceso formativo de los estudiantes. Se registra como superado ó no superado, no tienen valoración como la establecida en el artículo 5 del decreto 230. La evidencia de los resultados se reflejará durante el siguiente periodo. Las recuperaciones se manejarán según lo estipulado en los artículos 10 y 11 del Decreto 230 de 2002. Se entregarán programas de refuerzo pertinente con las dificultades que presentó el educando y que el profesor del área le entregará, a través del director de grupo, en la reunión final de padres de familia correspondiente al cuarto y quinto período para ser evaluados en enero del próximo año lectivo. Parágrafo: Los planes de mejoramiento para cada alumno se elaborarán con base en los logros no alcanzados que figuran en el informe que se entrega al padre de familia en cada periodo. Artículo 31. LOS CRITERIOS DE PROMOCIÓN. Dados por Artículo 9 del Decreto 230 del 2002. Los establecimientos educativos tienen que garantizar un mínimo de promoción del 95% de los educandos que finalicen el año escolar en cada uno de sus grados. Al finalizar el año, la comisión de evaluación y promoción de cada grado será la encargada de determinar cuáles educandos deberán repetir un grado determinado. Se considerarán para la repetición de un grado cualquiera los siguientes educandos: a) Educandos con valoración final insuficiente o deficiente en tres o más áreas. b) Educandos que hayan obtenido valoración final insuficiente o deficiente en matemáticas y lenguaje durante dos o más grados consecutivos de la educación básica. c) Educandos que hayan dejado de asistir injustificadamente a más del 25% de las actividades académicas durante el año escolar. Es responsabilidad de la comisión de evaluación y promoción estudiar el caso de cada uno de los educandos considerados para la repetición de un grado y decidir acerca de ésta, pero en ningún caso excediendo el límite del 5% del número de educandos que
  • 56.
    finalicen el añoescolar en cada grado. Los demás educandos serán promovidos al siguiente grado, pero sus evaluaciones finales no se podrán modificar. Parágrafo. Si al aplicar el porcentaje mínimo de promoción, es decir el noventa y cinco por ciento, al número de alumnos de un grado y la operación da como resultado un número fraccionario, se tendrá como mínimo de promoción el número entero de educandos anterior a la fracción. Artículo 32. REGISTROS ESCOLARES Y VALORACIONES. La Institución lleva los siguientes registros: 1) Hoja de Vida, donde se consignará, además de los datos personales y familiares, aspectos comportamentales, académicos, positivos, correctivos y a mejorar. Este registro se realizará por períodos haciendo un resumen del Observador del estudiante. 2) Observador del estudiante (Anecdotario). Es un soporte para que el educador registre los sucesos o hechos comportamentales (disciplina y conducta) y académicos cada vez que sea necesario y que sean significativos, tanto positivos como negativos y los correctivos. En el también se consignarán los descargos del estudiante y del padre de familia o acudiente con sus respectivas firmas. 3) Boletín Informativo: En cada periodo y al finalizar el año escolar, se entregarán informes al padre de familia o acudiente, como lo disponen los artículos 5 y 10 del Decreto 0230 de 2002. Este informe de índole académico tendrá en cuenta las siguientes valoraciones para cada una de las áreas y sus asignaturas • EXCELENTE: Cuando un estudiante logra el máximo nivel esperado en todas las dimensiones del desarrollo humano considerados en el Plan de estudios.; cuando ha logrado evidenciar dominio en todos los tipos de razonamiento usando con plenitud sus funciones cognitivas. Alcanza todos los logros propuestos sin actividades complementarias. Aplicando lo aprendido en la solución de situaciones cotidianas, posee dominio conceptual y demuestra el desarrollo máximo de sus habilidades, destrezas y competencias básicas. Manifiesta alto sentido de pertenencia institucional. • SOBRESALIENTE: Cuando el estudiante demuestra un buen nivel de desarrollo en todos los procesos de interpretación, comprensión y análisis; cuando es capaz de argumentar y proponer alternativas de solución a la problemática planteada. Cuando el estudiante cumple a cabalidad los compromisos y deberes con la institución. Alcanza todos los logros propuestos pero con algunas actividades complementarias. Manifiesta sentido de pertenencia con la institución. • ACEPTABLE: Alcanza los logros propuestos en el área o asignatura mostrando dificultad en el desarrollo de habilidades, destrezas y competencias. El estudiante ha desarrollado el mínimo esperado en sus competencias; en sus procesos de razonamiento y dominio de conocimiento. Alcanza los logros mínimos con actividades complementarias permanentes y/o requiere planes de mejoramiento para la superación de los logros a nivel mínimo.
  • 57.
    • INSUFICIENTE: Cuando el estudiante en los procesos de razonamiento, sus niveles de comunicación, comprensión de significados es tan bajo que le impiden interpretar situaciones y resolver problemas con bajo grado de complejidad. Presentan dificultades para desarrollar actividades escolares que evidencien el desarrollo de sus funciones cognitivas, habilidades, destrezas y competencias. Cuando el interés por el desarrollo del proceso educativo es de baja calidad. No alcanza los logros propuestos del área o asignatura a pesar de realizar las actividades de recuperación permanentes. Requiere planes de mejoramiento; sin embargo después de realizarlos persiste en sus dificultades. Falta autoexigencia, espíritu investigativo, compromiso y responsabilidad. Se observa en su actitud poca motivación. • DEFICIENTE: Cuando el estudiante presenta un total desinterés por su desarrollo personal, de responsabilidad, cumplimiento y puntualidad de los compromisos académicos. No demuestra desarrollo de sus habilidades, destrezas y competencias y, por el contrario, denotan despreocupación total. Su falta de interés y bajo nivel conceptual le impide alcanzar los logros mínimos y básicos de aprendizaje propuestos en el área o asignatura. Es apático, displicente, indiferente, pasivo en su actitud. 4) Informe Final: Al finalizar el año lectivo se hará entrega de un informe final el cual contiene los resultados definitivos del año escolar notificando además si es promovido o no al grado siguiente o proclamado Bachiller. Éste equivale al quinto informe y mostrará para cada área el rendimiento de los estudiantes, según artículo 5º del Decreto 230 de 2002. Parágrafo 1: Los informes por periodo deberán contener, información detallada, para cada uno de los cuatro periodos las fortalezas, dificultades así como las recomendaciones y estrategias. Parágrafo 2. VALORACIONES DE ESTUDIANTES QUE INGRESEN EN EL SEGUNDO O TERCER PERIODO DEL AÑO LECTIVO. Cuando un estudiantes se matricula para iniciar a partir del segundo o tercer periodo y por X o Y motivo no pueden certificar las notas parciales de estos periodos las que obtengan en el periodo que cursan en nuestra institución serán las correspondiente a dicho o dichos periodos. Artículo 33. MODIFICACION O CORRECCION DE NOTAS. Cuando un docente se equivoca al digitar la nota de un alumno o requiere cambiarla o modificarla en algún periodo, para su corrección se debe acercar a la Secretaría de la Institución o a la coordinación y diligenciar un formato para su corrección. Dicho formato quedará como evidencia en el archivo de la Secretaría. Una vez hecha la corrección, con la anterior evidencia, la Secretaría de la institución imprimirá un nuevo informe o boletín para el padre de familia que se entregará a más tardar el mismo día o al siguiente.
  • 58.
    Artículo 34. RECOLECCIÓNDE NOTAS O VALORACIONES POR LEGALIZACION DE MATRICULA. Cuando el padre de familia o acudiente no ha legalizado, por motivo justificado, la matrícula de un estudiante. Al finalizar el periodo o los periodos en los cuales el estudiante ha permanecido en las anteriores condiciones, las valoraciones correspondiente a cada uno de estos periodos o periodo serán reportadas en un formato de recolección de notas por el respectivo director de grupo quien se lo pasará al coordinador de cada sección de la institución. Al finalizar cada periodo esta información se hará llegar a la Secretaría de la institución a través de los coordinadores, donde reposará para que al momento de ser legalizada la matrícula del estudiante, las respectivas valoraciones o notas sean ingresadas al sistema de notas de la institución. Este informe será el referente en las Comisiones de evaluación y Promoción para el análisis en la situación académica del estudiante. Si requieren de Planes de Refuerzo les serán elaborados y llevados a cabo. Parágrafo: Cuando un padre de familia o acudiente no ha legalizado matrícula recibirá un informe oral de la situación académica de su hijo en la reunión general de padres de familia dejándose constancia de este informe por escrito. Artículo 35. HOJA DE VIDA DE ESTUDIANTE QUE SE RETIRA. Si un padre de familia requiere la hoja de vida de un estudiante solicitará por escrito (formato especial) a la coordinación este servicio y se tramitará en máximo 3 (tres) días para ser entregado al padre de familia. Registrar en libro de entrega de HOJAS DE VIDA, que reposará en la coordinación. Cuando el padre de familia o acudiente retira la HOJA DE VIDA original cede el cupo de su representado. Artículo 36. PROMOCION ANTICIPADA. (Acuerdo del Consejo Directivo 015 del 31 de octubre de 2008) La promoción anticipada se dará cuando un estudiante desee avanzar en su proceso educativo y demuestre persistentemente la superación de los logros previstos para un determinado grado Art. 52 del decreto 1860 de 1994. SOLICITUD. Los estudiantes, a través de los padres de familia o acudientes, la solicitarán por escrito a la Comisión de Evaluación y Promoción del grado que cursa. Anexando el informe de evaluación del primer periodo del año lectivo, del informe final del año inmediatamente anterior e informe escrito sobre el desempeño del alumno del Director de grupo del año lectivo. CRITERIOS:
  • 59.
    1. La solicitudpor escrito a la Comisión de Evaluación y Promoción del grado correspondiente de cualquier estudiante que esté legalmente matriculado. 2. Haber superado con valoraciones de Sobresaliente o Excelente todas las áreas del primer periodo o en su desarrollo parcial y demostrar acatamiento a las Normas del Manual de Convivencia. 3. Haber obtenido una valoración de Sobresaliente o Excelente en el grado anterior en todas las áreas y constancia de acatamiento a las Normas del Manual de Convivencia evidenciado en el informe final del grado inmediatamente anterior. 4. Demostrar comprensión y manejo de los contenidos y logros mínimos en las diferentes áreas del grado que cursa. 5. Se tendrá en cuenta la opinión, en forma escrita, del director de grupo del grado que cursa. PROGRAMACION. La Comisión le programará actividades y evaluaciones en cada una de las áreas de estudio que permitan establecer y demostrar las condiciones mínimas requeridas del respectivo grado que cursa el estudiante. RESPONSABLES. Será responsable de la evaluación cada uno de los educadores titulares del área del respectivo grado que cursa y de los miembros de la Comisión de Evaluación y Promoción. TIEMPO. El proceso para la promoción anticipada se hará dentro de los treinta (30) siguientes días hábiles después de presentada la solicitud; fijación que hará la Comisión de Evaluación y Promoción. RECONOCIMIENTO. El resultado satisfactorio, en cada una de las áreas previstas en el Plan de Estudios, se registrará en la Hoja de Vida del estudiante y académicamente tendrá los mismos efectos que se les da a los estudiantes que terminan reglamentariamente. Se reportarán, en forma escrita por parte de la Comisión de Evaluación y promoción las valoraciones obtenidas en las diferentes áreas a la Secretaría de la Institución citando el Acta por la cual se dio la promoción anticipada. Se procederá a matricular nuevamente dejando constancia en la hoja de matricula y en la hoja de vida del estudiante. Parágrafo 1: Esto también aplica a los estudiantes con desempeños excepcionalmente altos. (Art. 8 Decreto 230) Parágrafo 2: El estudiante pasará a cursar el grado al cual fue promovido a partir del segundo periodo una vez se reúnan las Comisiones de Evaluación y promoción para decidir sobre dichos casos. CAPITULO VII. NORMAS INSTITUCIONALES GENERALES Artículo 37. UNIFORME
  • 60.
    GENERALIDADES DEL UNIFORME Eluniforme se constituye en la carta de presentación de la Institución tanto dentro como fuera de ella. Éste da sentido de pertenencia a la Institución, proporciona sentido de Igualdad, las competencias y rivalidades entre los educandos, ya sea por moda, marcas y estilos en el vestir, presenta un alivio para los padres de familia. EL UNIFORME HA DE SER: a) De uso obligatorio y deberá llevarse correctamente, tanto de diario como el de educación física y según los días indicados. b) Portarse en todas las actividades académicas y cada vez que requiera entrar a la Institución en jornada diferente a la suya, cualquier trabajo académico o reuniones de padres de familia de carácter oficial. c) En caso de un inconveniente de última hora, se asiste con el uniforme contrario al obligatorio del día y una excusa escrita firmada por el padre de familia y/o acudiente. Si esta situación es reiterativa se le inicia el debido proceso d) El uniforme debe ser utilizado solo en actividades curriculares y extracurriculares programadas por la Institución o bajo la responsabilidad de la misma. UNIFORMES HOMBRES Y MUJERES CABALLEROS DAMAS Cabello. Debe de ser de corte clásico, sin Cabello. Sólo se admite tinturas: negro tinturas ni decorados, ni rapados, sin líneas natural, castaño natural, no se permiten decorativas. Al usar la gomina deben mechones, rayos o similares. Los peinados evitarse peinados con figuras deben ser naturales extravagantes que llamen la atención empleando escarcha o mirilla Accesorios. Evitar totalmente el uso de pearcing, collares y manillas. Los aretes Accesorios. Evitar totalmente el uso de deben cortos y pequeños. El color blanco, pearcing, microporo en las orejas, cejas, negro o azul oscuro que combine con el pulseras y collares. uniforme. Las uñas deben de ser cortas, pintarse de color transparente o color pastel. • Camiseta de diario y camisilla. La Blusa de diario. Camiseta. La blusa de camiseta de diario debe ser blanca con diario debe ser blanca, de cuello camisero, cuello y bordes azules con el escudo de la manga corta. Si desea llevar camiseta o Institución y llevarse por dentro del jean, en camisilla, ésta debe ser blanca al igual que caso de usarse camisilla, ésta debe se los interiores. blanca sin adornos ni estampados. La camiseta de educación física debe de La camiseta de educación física debe de ser con el escudo de la Institución y no ser con el escudo de la Institución. ombliguera. Jean. El jean debe ser clásico, de color Jomber. Debe ser a mitad de rodilla y el índigo , azul oscuro, bota con doblez diseño según la muestra exhibida en la interno. La correa debe ser color negro. cartelera de la Institución.
  • 61.
    Medias. Tanto parael uniforme de diario Medias. Tanto para el uniforme de diario como para el de educación física deben como para el de educación física deben ser de color blanco, no tobilleras. ser blancas a media pierna no tobilleras. Uniforme para Educación Física. Uniforme para Educación Física. • Sudadera Gris • Sudadera Gris • Camiseta blanca, cuello redondo • Camiseta blanca, cuello redondo • Medias blancas • Medias blancas • Tenis totalmente blancos • Tenis totalmente blancos • Chompa Gris • Chompa Gris Zapatos para el uniforme de diario. Zapatos para el uniforme de diario. Deben ser totalmente negros y de atadura Deben ser totalmente negros, de atadura, colegial de goma. Delantal para Laboratorio. Debe ser Delantal para Laboratorio. Debe ser blanco y de carácter obligatorio para blanco y de carácter obligatorio para proteger el uniforme. proteger el uniforme. DIARIO DE LOS HOMBRES DE DIARIO DE LAS MUJERES DE PREESCOLAR A UNDECIMO PREESCOLAR A UNDECIMO • Blue jean clásico azul oscuro. • Yomber de preescolar a quinto. • Camiseta blanca con cuello y bordes • Falda de sexto a undécimo. azules y el • Camisa blanca. • escudo de la Institución. • Zapatos negros. • Zapatos negros. • Medias blancas. Medias blancas. Artículo 38. PUNTUALIDAD. Es la norma que exige el cumplimiento de entrada y salida de la Institución. Los educandos deben llegar cinco minutos antes de la hora indicada y en los horarios y días establecidos. Deben Ingresar puntualmente a las aulas después de descanso y en cada cambio de clase. Cuando el estudiante llegue tarde se le hará la anotación en el libro de seguimiento y cuando reincide por tres veces consecutivas se citará al padre o acudiente y se sancionará con rebaja en disciplina. La no asistencia a clase y/o demás actividades deberá ser justificada con una excusa escrita. Artículo 39. LA ASISTENCIA A LA INSTITUCIÓN Y/O A CLASES.
  • 62.
    Los educandos debenasistir a la Institución sin interrupción alguna, solamente cuando existe alguna justificación que lo amerite como calamidad, fuerza mayor o caso fortuito. Es deber del estudiante cumplir con puntualidad y exactitud la llegada a la Institución y/o a clases y otras actividades según los horarios establecidos. No debe abandonar la Institución y/o el salón de clases sin justificación. Permanecer en la Institución en la jornada que se le asigne. Entrar y salir de la Institución en los horarios indicados y solamente por las porterías. Solicitar permiso escrito al Coordinador respectivo cuando necesite ausentarse, dicha solicitud será escrita y firmada por los padres o acudientes. Justificar la ausencia a clases y llegadas tarde por escrito y firmado por el acudiente. Cumplir con tareas, talleres y demás actividades desarrolladas en su ausencia o sea totalmente desatrazado en sus trabajos. De no presentar su excusa todos los trabajos escritos o evaluaciones que se realicen en su ausencia se calificarán con una nota no superada. Artículo 40. EL SALÓN DE CLASES. • EI aula debe ser un espacio amplio, ventilado, iluminado y bien dotado de muebles y enseres, además, debe albergar de 30 a 45 alumnos, este debe ser debidamente decorado por el profesor, donde resalte valores morales, patrios y religiosos. • Los estudiantes deberán respetar, cuidar, conservar limpios y organizados los salones de clase de manera constante. • Generar un ambiente de armonía y respeto evitando comportamientos tales como gritos en el aula, silbidos, golpes a las sillas o puertas, agresiones verbales o físicas a profesores o compañeros. • Evitar juegos en el aula. • Ante la ausencia del profesor sólo se podrán realizar en el aula los talleres indicados por el profesor o los que autorice la Coordinación. • Abstenerse de masticar chicle o ingerir alimentos. • Cuidar el mobiliario y materiales del aula Artículo 41. LABORATORIO. • Ingresar al laboratorio sólo cuando sea autorizado por las personas competentes. • Todo elemento que sea estropeado o extraviado debe ser restituido.
  • 63.
    Todo alumno debe observar las normas de seguridad y responsabilidad que requiere la participación en cualquier actividad desarrollada en el laboratorio. • Conocer y respetar las normas establecidas para la conservación y utilización de este lugar. Artículo 42. PATIOS • Permanecer durante los descansos y el tiempo libre, manteniendo el orden, la tranquilidad y los buenos modales, proporcionando la sana convivencia. • Depositar la basura en los recipientes destinados según las indicaciones (reciclables, no reciclables). • Evitar juegos bruscos y arrojar elementos de los pisos altos. Atender oportunamente los toques de los timbres y desplazarse con precaución. Artículo 43. CANCHAS. • Respetar los horarios establecidos para cada grado. • Hacer buen uso de las áreas, tableros y demás implementos utilizados. • En horas de clase serán utilizadas en compañía del profesor de educación física o de otra área en caso de estar disponible y/o ser requerido. • Acatar as normas establecidas para las prácticas deportivas, recreativas o culturales. • Hacer uso adecuado respetando cada espacio en particular. Artículo 44. BIBLIOTECA • Entrar, permanecer y salir en orden y en silencio. • Darle buen uso a los libros y materiales, dejándolos en el lugar indicado. • No sacar libros sin autorización. • Dejar los libros personales, cuadernos y demás objetos en el salón de clase. • No consumir alimentos dentro de la biblioteca. • Conservar en buen estado los libros y materiales existentes. • El préstamo de cualquier material y el uso de este lugar será solicitada a la persona encargada de dicho proyecto en cada sesión. Artículo 45. SALAS DE INFORMÁTICA • Hacer buen uso de los computadores y demás objetos. • Hacer uso de los equipos sólo cuando hayan recibido la asesoría pertinente. • No consumir alimentos. • Al salir dejar los equipos debidamente apoyados y cubiertos. • No ingresar bolsos, morrales o mochilas. • No fumar.
  • 64.
    • Cualquier dañoen los equipos debe ser informado inmediatamente al profesor o al jefe de servicios generales y la reparación correrá por cuenta de quien lo haya ocasionado. • Sólo realizarán las actividades orientadas por el profesor. • Queda prohibido ingresar a páginas de pornografía. • Conocer y respetar las normas establecidas para la utilización de este lugar. Artículo 46. DESCANSOS • Evitar carreras y juegos bruscos. • Salir del aula e Ingresar cuando e! profesor de disciplina lo haya dispuesto. • Respetar las actividades realizadas por los demás. Participar del descanso y juego sana y responsablemente, acorde con el espacio disponible. Artículo 47. SALIDAS PEDAGOGICAS Son considerados como espacios pedagógicos brindados por la institución; se realizan por fuera del plantel educativo con el propósito de ampliar la formación integral de los estudiantes en determinada área, asignatura o proyecto pedagógico institucional. Para que los estudiantes puedan desplazarse a otros lugares fuera de la Institución a nivel municipal o departamental deben cumplir algunos requisitos como son: • Presentación por escrito de un proyecto o plan de trabajo planteando la justificación de dicha salida pedagógica por la persona responsable o personas responsables (Docente o Directivo docente). • Permiso o autorización por escrito de los padres de familia o acudiente responsable de todos y cada uno de los Estudiantes. • Fotocopia de la EPS o SISBEN ACTUALIZADO. • Si se requiere de transporte nombre del conductor con su documento de identidad al igual que la identificación completa del vehículo. • Documentos del vehículo exigidos por el Tránsito Municipal. Fotocopia del SOAT y Cédula de Ciudadanía entre otros. • Nombres y cargos de los acompañantes (educadores y padres de familia). Con estos datos el Colegio procederá a realizar el respectivo informe a la Dirección del Núcleo Educativo para el Vo. Bo sin el cual no se autoriza ninguna salida. Artículo 48. TIENDA ESCOLAR • Hacer las filas y respetar el turno. • Solicitar el servicio con respeto. • Hacer los reclamos y/o sugerencias en forma oportuna. • No engañar a los pequeños quitándoles el dinero o lo que hayan comprado.
  • 65.
    Las ventas se harán estrictamente en los descansos y horas de entrada o salida de los estudiantes. • Queda prohibida la venta de chicle y de todos los comestibles que lo contengan. • No se podrá vender a los estudiantes en horas de clase. • Es indispensable la buena presentación de la persona que atienda y del lugar que ocupa. • Se debe revisar la fecha de vencimiento de los productos. • Se debe dar un trato respetuoso a los usuarios del servicio. • Cumplir estrictamente con lo pactado en el contrato de arrendamiento. • No se deben sustraer los productos ni estafar o engañar al encargado de la tienda quien es merecedor de respeto y buen trato. • Se debe depositar las basura dentro de los recipientes ubicados cerca o en el lugar • Acatar las observaciones del profesor(a) de disciplina. • Fijar la lista de precios en lugar visible. • Suspender las ventas al terminar el descanso. • Devolver los envases o colocarlos en el lugar indicado. Artículo 49. COMPLEMENTO ALIMENTICIO • Se debe consumir en el lugar asignado. • Ser puntual con el pago de la cuota estipulada. • No se debe emplear para juegos o bromas. • Se debe asignar teniendo en cuenta el estudio socio -económico familiar. • Será distribuido por dos docentes de la jornada de la mañana y dos de la tarde. • Debe ser consumido en el salón antes de salir a descanso para controlar el buen consumo. • Habrá suspensión de los productos a quien o quienes hagan mal uso del mismo. Artículo 50. TELÉFONO • Es para uso oficial, podrá hacer uso de este cualquier miembro de la Comunidad Educativa sólo en caso estrictamente necesario. • No se podrán recibir llamadas en horas de clase. • Se debe hablar con respeto y cultura. • Las llamadas no podrán exceder de tres minutos. • No se deben introducir en el teléfono objetos diferentes a monedas o tarjetas según el caso. • No se debe golpear, saquear o dañar ya que es un elemento de servicio de todos. Artículo 51. PORTERIA • Ingresar 0 salir con respeto. • Dar un trato cortés al portero. • Respetar el turno de entrada 0 salida.
  • 66.
    • Los padresde familia solo podrán ingresar en los horarios indicados por los docentes y/o directivos mediante cita previa por escrito. • El portero no dejará salir a los alumnos en horas de clase sin presentar el permiso por escrito. • Los permisos de salida de los educandos deben ser revisados por el vigilante. Artículo 52. OFICINAS Espacios reservados para los directivos. docentes o secretario(a), allí se debe: • Respetar el turno de ingreso. • Dar y recibir un trato amable y cortés. • Evitar el Ingreso sin la debida autorización de la persona responsable. • La sala de espera es parte de las oficinas, los alumnos no podrán ingresar y/o permanecer en ella sin el debido permiso. Artículo 53. BAÑOS • A los estudiantes sólo se les permitirá hacer uso de los mismos en los descansos, salvo en casos especiales. • Se prohíbe la entrada para juegos. diálogos, reuniones y otras actividades diferentes al servicio al que están destinados. • Se deben vaciar después de utilizados. • El papel higiénico y toallas higiénicas deben ser depositadas en las papeleras. • No se debe escribir en las paredes, puertas y demás. EI aseo general será función de las aseadoras. • Velar y responder por conservar en buen estado los muebles sanitarios. Artículo 54. MEDIOS DE INFORMACION • EI cronograma semanal será suministrado alas seccionales como mínimo el viernes con el fin de conocer oportunamente las actividades a realizar. • En lo posible el Rector y las coordinadoras deberán respetar las fechas y actividades programadas. • Los educandos no podrán rasgar los boletines o comunicados enviados a padres de familia. • No destruir la carteleras, leerlas y poner en práctica las enseñanzas. Se deben elaborar oportunamente y con variedad de temas. • Leer sin dañar las carteleras o avisos. • Las reuniones con los padres de familia se deben citar con la debida anticipación. • Las reuniones con los docentes serán convocadas mínimo con dos días hábiles de anticipación. Artículo 55. ZONAS VERDES, JARDINERAS Y MATERAS
  • 67.
    No arrojar basuras, plásticos ni botellas. • No sentarse sobre las jardineras. • Responder por cualquier daño ocasionado en estos. Artículo 56. MALLAS Los educandos deberán permanecer lejos de las mallas y no comprar alimentos u otros artículos en la calle. No se podrá recibir ningún tipo de elementos a través de ellas. Artículo 57. PROCLAMACIÓN DE BACHILLERES. Es el acto mediante el cual la institución otorga el Título de Bachiller a los estudiantes que cursan y finalizan el Grado 11º en la Media Académica para lo cual deben haber cumplido con los requisitos estipulados en el Proyecto Educativo Institucional: • Estar legalmente matriculado en la institución. • Cumplir con 80 Horas del Servicio Social del Estudiantado. • Cumplir con 50 Horas de Estudios Constitucionales (Ley 107 de 1994). • Cumplir con los demás requisitos legales exigidos para tal fin. • Haber aprobado todas las áreas del Plan de estudios del grado 11. Los estudiantes que no reúnen los requisitos anteriores, reclaman su diploma en la secretaría de la institución, una vez demuestren que han cumplido con ellos. Cuando se expida un certificado se anotarán las áreas reprobadas (Insuficientes o Deficientes), pero cuando refuerce o recupere o presente actividades complementarias, se colocará la valoración del refuerzo o recuperación sin modificar la anterior. TÍTULOS: Es el reconocimiento expreso de carácter académico otorgado a una persona natural, al culminar satisfactoriamente los niveles de Preescolar, Educación Básica (Primaria y Secundaria) y Educación Media. En la Educación Media se podrá obtener el Título de Bachiller Académico, el cual habilita al estudiante para ingresar a la educación superior o para ingresar al sector productivo. REGISTRO DEL TÍTULO: El registro del título se hará constar en el Acta de Graduación, en el Diploma correspondiente y se anotará en el Libro de Registro de Títulos de la Institución. ACTA DE GRADUACIÓN: El Acta de Graduación deberá ser suscrita por el Rector y la Secretaria y deberá contener: Nombres y apellidos completos de quien recibe el título, número del documento de identidad vigente, titulo otorgado, número y fecha de expedición, fecha de registro, además de toda la identificación legal de la institución.
  • 68.
    TÍTULO POST -MORTEM. El Consejo Directivo a propuesta del Consejo Académico, podrá autorizar por especiales razones de índole institucional la concesión del Título Post – Mortem, para aquellos estudiantes del último nivel que hayan sobresalido en su desempeño académico y que fallecieren sin culminar sus estudios, con asistencia mínima del 50%. DUPLICADO DE DIPLOMA: Para obtener el duplicado del Diploma se deben cumplir los siguientes requisitos: Por hurto o extravío definitivo: Solicitud escrita por parte del interesado para que se le expida el duplicado del diploma, copia de la denuncia penal si se trata de hurto o robo; si es extravío definitivo declaración juramentada rendida ante la autoridad competente, copia del registro del diploma, documento de identidad vigente del solicitante. Por cambio de nombre: Solicitud escrita por parte del interesado para que se le expida el duplicado del diploma, registro civil de nacimiento o prueba supletoria que haya servido de base para la expedición del diploma (original en caso de corrección del nombre), copia de la escritura pública o sentencia judicial que autoriza el cambio correspondiente, diploma original. Por deterioro o daño irreparable: Solicitud escrito por parte del interesado para que se le expida el duplicado del diploma, diploma original en deterioro natural, documento de identidad. En todos los casos el diploma deberá llevar una leyenda visible que diga DUPLICADO con el número y la fecha de la resolución rectoral que lo autorizó. El original debe ser conservado en el archivo de la institución. Artículo 58. PROCLAMACIÓN PÚBLICA DE BACHILLERES. Condiciones requeridas para ser proclamado públicamente en forma solemne como bachiller de la Institución Educativa Juan de la Cruz Posada. Los estudiantes del grado 11, al finalizar el curso, tendrán derecho a asistir al acto público y solemne de proclamación de bachilleres, cuando cumplan previamente con las siguientes condiciones: a) Entregar, en un plazo no menor de 30 días, en relación con la fecha del acto de proclamación, en la secretaría del establecimiento, las certificaciones que acrediten el cumplimiento de los requisitos de ley relacionados con el Servicio social obligatorio y los conocimientos constitucionales b) Presentar el Paz y Salvo expedido por el director de grupo c) Presentar el Paz y Salvo de la secretaría con una antelación no menor a 30 días d) No estar incurso en los casos que los literales b) y c) del artículo 9º del decreto 230 de 2001 establece como considerados para repetición de grado. e) No tener pendiente ninguna área o asignatura del plan de estudios.
  • 69.
    Parágrafo: Se exceptúandel numeral e), los estudiantes. • Que documenten que su prueba de estado está por encima de los mejores promedios ICFES. • Si el estudiante supera el 60% del área mediante evidencia de pruebas ICFES, previa solicitud del interesado y con la aquiescencia del profesor de la misma, la Comisión de Evaluación y Promoción la considerará como recuperada a fin de ser proclamado públicamente como bachiller. • En la valoración final de las áreas de los estudiantes del grado 11 los docentes deberán tener en cuenta el resultado de las pruebas ICFES y/o el paso a las universidades con las solicitudes y evidencias de los alumnos. Condiciones requeridas para ser promovido en el grado 11. De acuerdo con las normas vigentes en esta materia, los estudiantes del grado 11, serán promovidos dando cumplimiento a lo estipulado en el artículo 9 del decreto 0230 de 2002, así como por lo establecido en el decreto 3055 de 2002. Artículo 59. SERVICIO SOCIAL ESTUDIANTIL OBLIGATORIO (Alfabetización) Resolución Nacional 4210 de 1996. El Proyecto Institucional de Servicio Social Estudiantil obligatorio estará liderado por un docente designado por la Coordinación de la Institución en la distribución de actividades en la primera semana de desarrollo institucional y a quien se denomina Coordinador del Proyecto. El cumplimiento de este proyecto es obligatorio para poder obtener el título de Bachiller. Los estudiantes deben cumplir como mínimo los siguientes requisitos: • Cumplir con las orientaciones y actividades que exija el Coordinador del Proyecto. • Cumplir estrictamente el horario y las funciones que le han sido asignadas en el lugar donde presta el servicio. • En ningún caso podrán presentarse estudiantes a entidades sin previa autorización de la coordinación del proyecto. Al hacerlo incurre en falta grave. • Se realiza en el grado décimo (10º). Salvo en algunas ocasiones que por razones ajenas a la voluntad del estudiante se lleva a cabo en once (11º) grado, previo estudio entre el Coordinador del Proyecto de Servicio Social y la coordinación de la institución. • A los estudiantes a quienes se les cancele el proyecto en grado diez (10º) deberán realizarlo en el primer semestre del grado once (11º). • El estudiante que cancele el proyecto en grado once (11º) pierde el derecho a proclamarse bachiller y deberá cumplir con dicho requisito en el primer semestre del siguiente año escolar. • Durante el tiempo destinado para la realización del proyecto no podrá desarrollar otras actividades diferentes. • El estudiante que no cumpla el reglamento o sea sorprendido en alguna falta será suspendido del mismo definitivamente y no se le expedirá certificado alguno.
  • 70.
    • Cuando unestudiante sea suspendido del programa en cualquiera de los centros donde prestan el servicio no se le reconocerá el tiempo acumulado ni se le expedirá certificado del mismo, haciéndose necesario empezar de nuevo. • Si por enfermedad o calamidad doméstica se interrumpe el cumplimiento en el proyecto debe darse aviso oportuno y presentar la respectiva excusa por escrito. De lo contrario no podrá continuar prestando el servicio cuando regrese de su incapacidad o calamidad, según el caso. • Carece de validez todo proyecto o actividad que se realice sin la orientación y aprobación del Coordinador del Proyecto. Parágrafo 1: La alfabetización es una actividad de servicio que deben cumplir los estudiantes para obtener el Título de Bachiller. Su propósito principal es integrar al estudiante con la comunidad para contribuir a su mejoramiento social, cultural y económico; pretender desarrollar valores de solidaridad, responsabilidad y conocimiento del estudiante, respecto a su entorno social. El Servicio Social del Estudiantado (Alfabetización) se realiza como práctica en los grados 10º y 11º; se cumple a través de la formulación y desarrollo de proyectos educativos, culturales, académicos, ambientales, de proyección a la comunidad como: Prevención de enfermedades, colectas públicas para entidades de beneficencia, deportes y recreación, archivo, bibliotecas, centros de salud y hospitales, Cruz Roja Colombiana, centros de rehabilitación, el restaurante escolar, la Secretaría de la Institución y otras dependencias de la misma institución entre otros. Parágrafo 2. El total de horas es 80 y de obligatorio cumplimiento. Los Bachilleres deberán prestar este servicio en las entidades aprobadas por la institución y con las cuales se halla establecido un convenio; con el visto bueno del Coordinador de Alfabetización y la Coordinación de la Institución Educativa. Además se requiere la autorización del padre de familia o acudiente cuando implique desplazamiento del estudiante. Parágrafo 3. Solo se aceptarán certificados de la Prestación del Servicio Social de otras Instituciones a aquellos estudiantes que no hayan cursado el grado Décimo (10º) u Once (11º) en la Institución siempre y cuando justifiquen las actividades realizadas y lo certifiquen en papelería oficial de la Institución en la cual desempeñaron esta labor. Deberán solicitar este reconocimiento ante el Consejo Directivo de la Institución mediante oficio donde justificará su petición anexando la documentación necesaria. Artículo 60. HORAS DE CONSTITUCIÓN (Ley 107 de 1994) Será liderado por un docente del área de Sociales designado por la Coordinación de la Institución en la primera semana de desarrollo institucional. Esta actividad se hará en jornada contraria a la de las horas de clase del estudiante, mediante la formulación y el desarrollo de un proyecto orientado a los grados 10º y 11º. Una vez realizado se expedirán los certificados correspondientes firmados por el docente líder del proyecto y la Coordinación de la institución. Artículo 61. PERMISO A DOCENTE Y BANCO DE TALLERES.
  • 71.
    Los permisos debenser solicitados por escrito y con un día de anticipación. Cuando se le concede deberá garantizar las actividades académicas dejando los talleres respectivos para los estudiantes trabajarlos en clase con el acompañamiento de la coordinación o de un docente. Parágrafo 1. Banco de talleres: para atender la anterior situación o se de algún imprevisto con un docente se hace necesario disponer de un Banco de Talleres. Los cuales pueden ser elaborados en la jornada complementaria Parágrafo 2. El coordinador o algún docente con tiempo disponible dentro de su jornada académica (6 horas de permanencia en la institución) acompañaran a los grupos en ausencia del docente siempre y cuando los docentes dejen talleres apropiados. Tanto para los permisos como para los imprevistos. Artículo 62. EL MEDIO AMBIENTE ESCOLAR (según el decreto1860/94, art. 17, numeral 3) Todo miembro de la comunidad educativa de la Institución debe ser consciente de la vital importancia y trascendencia que tiene la conservación del ambiente. Por ello en relación con el medio ambiente escolar, se compromete a observar las siguientes pautas mínimas de comportamiento: • Comprender que el ambiente es patrimonio común y que en consecuencia todos y todas debemos participar de su cuidado y manejo. • Lograr la preservación y restauración del ambiente general y del escolar en particular, así como la conservación, mejoramiento y utilización racional de los recursos naturales. • Regular las conductas individuales y colectivas, respecto del ambiente escolar, a fin de que apunten a su conservación y correcto aprovechamiento. El aseo a nivel institucional es compromiso de todos y hace parte de un buen ambiente escolar, por lo tanto es obligación de la comunidad educativa mantener las dependencias, aulas y espacios públicos de la institución, debidamente aseadas. Artículo 63. NORMAS DE HIGIENE Y SALUD: (Reglas de higiene personal, de prevención y de salud pública, según el decreto 1860/94, artículo 17) .Todos los integrantes de la comunidad educativa de la Institución deberán observar las reglas de higiene personal, de prevención y de salud pública que a continuación se señalan. Observar permanentemente normas básicas de aseo personal y de salud individual, tales como: • Bañarse diariamente. • Lavarse las manos antes de comer y después de utilizar los servicios sanitarios. • Mantener las uñas, ropa y calzado limpios. • Procurar tener siempre un aroma corporal agradable y un aliento fresco. • Acatar pautas de prevención del alcoholismo, drogadicción y tabaquismo, tales como:
  • 72.
    - Abstenerse deconsumir productos que contengan sustancias sicoactivas. - Mantenerse informados de las consecuencias y efectos negativos que produce en el organismo el consumo de licor, drogas o cigarrillo. - Desarrollar estrategias para enfrentar la presión de personas que inducen al consumo de tales sustancias y aprender a rechazar su ofrecimiento. - Participar y contribuir en la conservación de la salud pública con actitudes tales como: - Arrojar los desperdicios y basuras solamente en los sitios destinados o adecuados para ello. - Abstenerse de contaminar o dañar corrientes de agua, cultivos, alimentos y en general bienes de uso común. - Aplicarse las vacunas y medicamentos que requiera para prevenir enfermedades o restablecer la salud. - Abstenerse de venir a la Institución cuando tenga una enfermedad infectocontagiosa. Artículo 64. INASISTENCIA La coordinación en cada una de las secciones de la institución educativa Juan de la Cruz Posada velará por la permanente asistencia de los estudiantes a la Institución, procurará evitar que se presente la deserción escolar e investigará las causas de la misma y aplicará los correctivos necesarios, contará para ello con el apoyo de los Directores de grupo. Artículo 65. ATENCION A LOS PADRES DE FAMILIA. El padre de familia puede solicitar cita con los docentes de manera anticipada y por escrito. El docente le fijará un lugar, fecha y hora de atención también por escrito. La coordinación de la institución, cuando la situación lo amerite, servirá de intermediario. Artículo 66. CELULAR Se permite el porte y uso sólo en los descansos pedagógicos y al momento de salir, descartando aulas de clase, actos cívicos, formaciones en comunidad y otros que por razones de trabajo pedagógico lo ameritan, por lo tanto se debe conservar apagado mientras se está en espacios diferentes a los descansos. La institución no se hace responsable frente a robos, daño, perdida o avería causados en estos aparatos. Su utilización se hará para casos de emergencia. Parágrafo 1: La desatención a esta medida se considerará falta grave. Parágrafo 2: En caso de que el teléfono móvil comience a causar desorden institucional, será suspendido inmediatamente con el aval del Consejo Directivo. Artículo 67. PROYECTOS OBLIGATORIOS. La institución cumple con los proyectos educativos y pedagógicos establecidos en la
  • 73.
    normatividad vigente: (Artículo14 Ley 115 de 1994). • Educación Sexual, impartida de acuerdo con las necesidades síquicas, físicas y afectivas de los educandos según su edad. • Educación para la justicia, la paz, la democracia, la solidaridad, la confraternidad, el cooperativismo y en general Formación en Valores Humanos • La enseñanza de la protección del ambiente, la ecología y la preservación de los recursos humanos, de conformidad con lo establecido en el artículo 67 de la Constitución Política. • El aprovechamiento del tiempo libre, el fomento de las diversas culturas, la práctica de la educación física, la recreación y el deporte formativo, para lo cual el gobierno promoverá y estimulará su desarrollo. • El estudio, la comprensión, la práctica de la Constitución y la Instrucción Cívica de conformidad con otros proyectos de carácter legal en el Articulo 41 de la Constitución Política de Colombia. • Prevención, atención de emergencias y desastres (PRAE) Res. 7550 de 1994. • Educación Vial - El Decreto Nacional 463 del 11 de marzo de 1932 obliga a todos los establecimientos de educación la enseñanza de las reglas de circulación y tránsito. • Prevención y Atención de Emergencias y Desastres (CEPAD-PRAE) • Manejo Integral de Residuos sólidos (Resolución Metropolitana 10202- 000526 de 23 de septiembre de 2004 • Prevención Integral (Drogadicción). • Cátedra de Estudios Afrocolombianos. • Atención a poblaciones con limitaciones, capacidades o talentos excepcionales. • Atención educativa a Grupos Étnicos. • Izada de la Bandera Nacional: Según la Ley 198 de 1995, en todos las instituciones educativas del país, se deberá celebrar una vez a la semana , durante los períodos académicos, una ceremonia cívica con la participación de todo el estudiantado en la cual se procederá a izar la Bandera Nacional y a cantar el Himno Nacional de la República de Colombia . CAPÍTULO VIII. EL PROCESO DE ADMISIONES Y DE MATRICULA Artículo 68. EL PROCESO DE INSCRIPCIÓN • Divulgación de información de inicio de inscripciones a la Comunidad Educativa a través de circulares y volantes. • Solicitar, diligenciar y devolver el formato de inscripción en las fechas señaladas, junto con la documentación requerida en la secretaria de la Institución. • Para preescolar los alumnos deben tener cinco años cumplidos o cumplirlos máximo el 31 de marzo.
  • 74.
    Los alumnos de primero deben tener los seis años cumplidos o por cumplir al treinta uno de marzo. • Los alumnos nuevos presentaran hoja de vida en la que conste el rendimiento académico y disciplinario. • Presentarán informe académico y disciplinario del último período cursado, paz y salvo de donde proceden Artículo 69. EL PROCESO DE RECEPCIÓN Y ADMISIÓN. • Revisión de la papelería, que esté completa. • Selección de los educandos mediante análisis de la hoja de vida y evaluación de admisión. • Inducción a los educandos nuevos y a los acudientes. • Conocimiento del Manual de Convivencia. • Entrega del Ficho de Matrícula y requisitos para la misma. Artículo 70. COMITÉ DE ADMISIÓN. El Comité de admisión para la asignación del cupo estará conformado por el Equipo Directivo de la Institución: Coordinadores(as) y Rectoría. Artículo 71. PROCESO DE MATRÍCULA Es el acto por el cual el aspirante admitido, siempre y cuando hallan cupos para el grado solicitado, adquiere la calidad de estudiante de la Institución Educativa Juan de la Cruz Posada. Ésta se hace por una sola vez con posibilidad de renovarse y se legaliza con el acto correspondiente, el cual debe llevar la firma del Rector y de la Secretaría de la Institución, del Padre de Familia o Acudiente. Con la Suscripción del Acta de Matrícula, el estudiante y el padre o acudiente aceptan la filosofía y los principios fundamentales de la institución; se comprometen a respetar y cumplir sus orientaciones, circulares, Manual de Convivencia y demás disposiciones emanadas de la misma, como también a cancelar oportunamente los derechos y costos educativos y a responder por los daños causados en la Institución. Son requisitos de matricula los siguientes: Haber sido oficialmente admitido. Constatado por ficho de matrícula que debe ser debidamente diligenciado y presentarse a la hora y fecha indicada por la Institución Educativa Juan de la Cruz Posada acompañado por el padre de familia o acudiente con la documentación correspondiente a saber: Alumnos antiguos (Legalización de la matrícula)
  • 75.
    Registro civil de nacimiento original si aún no lo ha traído en años anteriores. • Fotocopia de T.I. ampliada al 150 % si la tiene y si aún no la ha traído. • Boletín del último informe, 5º informe de valoraciones. • Paz y Salvo lo da el director de grupo. • Fotocopia de E.P.S o SISBEN actualizado • Tres fotos tamaño cédula marcadas al respaldo • Consignación de derechos académicos marcada al respaldo con el nombre del alumno • Ficho de matricula debidamente diligenciado Alumnos nuevos • Registro civil de nacimiento original (No se aceptaran fotocopias • Fotocopia de T.I ampliada al 150 % si la tiene. • Calificaciones en papel membrete del ultimó grado cursado si va para primaria. Si es para bachillerato las calificaciones en papel membrete desde quinto hasta el último grado que curso. • Fotocopia de E.P.S o SISBEN:ACTUALIZADO. • Tres fotos tamaño cédula marcadas al respaldo • Consignación de derechos académicos marcada al respaldo con el nombre del alumno • Ficho de matricula debidamente diligenciado • Hoja de vida original de la institución de donde proviene o Ficha de seguimiento u observador del estudiante Parágrafo 1: Con estudiantes de casos especiales o repitentes se efectuará y celebrará un compromiso de matricula al cual se le hará un estricto seguimiento. Esto aplica igualmente para los estudiantes con matricula vigente en la institución (antiguos) previo estudio en el Consejo Directivo de dichos casos al momento de legalizar la matricula. Parágrafo 2: El retraso en la presentación de los documentos requeridos, en las fechas previstas, podrá ser causal para excluir al aspirante del proceso de matrícula. Anualmente la institución establece unas fechas específicas para la renovación y legalización de la matrícula tanto para los alumnos nuevos como para los alumnos antiguos. Si la matrícula no se realiza en las fechas indicadas, el colegio podrá asumir que el alumno no se matriculará y por lo tanto podrá disponer del cupo. Parágrafo 3. Al momento de la matricula el padre de familia o acudiente al igual que el estudiante firmarán un compromiso de que conocen y aceptan el Manual de Convivencia. Parágrafo 4: Al momento de la matrícula el padre de familia o acudiente recibirá una constancia de matrícula indispensable para ingresar a la institución en el primer día de clases y en las semanas siguientes al inicio de clases
  • 76.
    CAPÍTULO IX. LA ORGANIZACION INSTITUCIONAL Y EL GOBIERNO ESCOLAR Artículo 72. COMUNIDAD EDUCATIVA La Comunidad Educativa esta constituida por las personas que tienen responsabilidades directas en la organización, desarrollo y evaluación del Proyecto Educativo Institucional y por las que en otra forma participan de la vida de la Institución Educativa Juan de la Cruz Posada: Estudiantes matriculados, padres de los alumnos o sus acudientes, los docentes vinculados a la institución educativa, , los directivos docentes, Secretarios(as), Personal de mantenimiento, vigilancia y aseo y egresados. Artículo 73. ORGANIZACIÓN INSTITUCIONAL GOBIERNO ESCOLAR: • Rector. • Consejo Directivo • Consejo Académico ORGANOS DE PARTICIPACIÓN DE LOS ESTUDIANTES • Consejo Estudiantil • Personero • Representante de los estudiantes ante el Consejo Directivo. ORGANOS DE PARTICIPACIÓN DE LOS PADRES DE FAMILIA • Consejo de Padres • Asociación de Padres de Familia. Artículo 74. RECTOR. OBJETIVOS CENTRALES DEL ESTAMENTO • Representar legalmente al establecimiento ante las autoridades competentes. • Dirigir técnica, pedagógica y administrativamente la labor de un establecimiento educativo. • Ejecutar las decisiones del Gobierno Escolar. PROCESO DE SELECCION Y CONFORMACION EI Rector o Director de las Instituciones Educativas Públicas es designado por concurso y nombrado mediante decreto y dentro de la planta de personal aprobada por el Municipio. FUNCIONES DEL RECTOR
  • 77.
    Dirigir la preparación del proyecto educativo institucional con la participación de los distintos actores de la Comunidad Educativa. • Presidir el Consejo Directivo y el Consejo Académico de la Institución y coordinar los distintos órganos del Gobierno Escolar. • Presentar el establecimiento ante las autoridades educativas y la Comunidad Escolar. • Formular planes anuales de acción y de mejoramiento de calidad y dirigir su ejecución. • Dirigir el trabajo de los equipos docentes. establecer contactos interinstitucionales para el logro de las metas educativas. • Realizar el control sobre el cumplimiento de las funciones correspondientes al personal docente y administrativo; y presentar las novedades e irregularidades del personal a la Secretaría de Educación Municipal. • Administrar el personal asignado a la Institución en lo relacionado con las novedades y los permisos. • Participar en la definición de los perfiles para la selección del personal docente y en su selección definitiva. • Distribuir las asignaciones académicas y demás funciones de docentes, directivos docentes y administrativos a su cargo de conformidad con las normas sobre la materia. • Realizar la evaluación anual del desempeño de los docentes, directivos, docentes y administrativos a su cargo. • Imponer las sanciones disciplinarias propias del sistema del control interno disciplinario de conformidad con las normas vigentes. • Proponer a los docentes que serán apoyados para recibir capacitación. • Suministrar información oportuna al departamento, Núcleo o Municipio, de acuerdo con sus requerimientos. • Responder por la calidad de la prestación de servicios en su Institución. • Rendir un informe al Consejo Directivo de la Institución Educativa al menos cada seis meses. • Administrar el fondo de servicios educativos y los recursos que por incentivos se le asignen en los términos de la presente Ley. • Publicar una vez al semestre en lugares públicos y comunicar por escrito a los padres de familia, los docentes a cargo de cada asignatura, los horarios y la carga docente de cada uno de ellos. • Las demás que le asigne el alcalde para la correcta prestación del servicio educativo. Artículo 75. CONSEJO DIRECTIVO. OBJETIVOS CENTRALES DEL ESTAMENTO • Participar en la organización, desarrollo y evaluación del proyecto educativo Institucional. • Fortalecer el proceso democrático participativo entre los estudiantes que Integran la Comunidad Educativa y toma de decisiones de carácter financiero, administrativo y técnico pedagógico en la Institución.
  • 78.
    PROCESO DE SELECCIONY CONFORMACION EI Rector preside y convoca el Consejo Directivo.: • Dos representantes de los docentes elegidos en una asamblea de docentes representando quien obtenga la mayoría de votos. • Dos representantes de los padres de familia se eligen por la junta directiva de los padres de familia. • Un representante de los estudiantes se elige por los alumnos del último grado de la Institución Educativa. Debe ser diferente del alumno que fue elegido como Personero Estudiantil. • Un representante de los ex alumnos elegido por el Consejo Directivo podrá ser aquel que en el año anterior haya ejercido sus funciones de representante de los estudiantes. • Un representante del sector productivo o comercial de la zona es elegido por el Consejo Directivo para el cual los representantes de estos sectores deben proponer candidatos. • Tomar las decisiones que afecten el funcionamiento de la Institución, excepto las que sean competencia de otra autoridad. • Servir de instancia para resolver conflictos que se presenten entre docentes y administrativos con los alumnos del establecimiento educativo, después de haber agotado los procedimientos previstos en el reglamento o Manual de Convivencia. • Adaptar el Manual de Convivencia y el reglamento de la Institución. • Fijar los criterios para la fijación de cupos disponibles para la admisión de nuevos alumnos. • Asumir la defensa y garantía de los derechos de toda la Comunidad Educativa, cuando algunos de sus miembros se sientan lesionados. • Aprobar el plan anual de actualización académico del personal docente y presentado por el Rector. • Participar en la planeación y evaluación del proyecto educativo institucional. • Estimular y controlar el buen funcionamiento de la Institución Educativa. • Establecer estímulos y sanciones para el buen desempeño académico y social del alumno. Participar en la evaluación de los docentes, directivos y personal administrativo de la Institución. Artículo 76. CONSEJO ACADÉMICO. El Consejo Académico está integrado por el Rector quien lo preside, los Coordinadores, un docente por cada una de las áreas según el Plan de Estudios. PROCESO PARA SU CONFORMACIÓN. En Asamblea de docentes convocada y precedida por el Rector los docentes se reunirán por áreas y elegirán entre ellos el docente que conformará el Consejo Académico para el año lectivo en curso. De ello quedará evidencia escrita (Formato apropiado para la
  • 79.
    elección) además delActa de Conformación. Los elegidos serán los responsables por cada área ante la institución y el Consejo Académico. El Consejo Académico es el responsable de los procesos investigativos y pedagógicos que tengan relación con el diseño, desarrollo y organización del Currículo y/o la propuesta de formación de la institución educativa. REPRESENTANTES AL CONSEJO ACADÉMICO (Artículo 24, Decreto 1860 de 1994). Los representantes al Consejo Académico serán elegidos por voto secreto de los educadores por cada área definida en el Plan de Estudios, un representante por grado en los Niveles de Preescolar y Básica Primaria y un representante por nivel de la Educación Formal de Adultos (Jornada Nocturna). FUNCIONES DEL CONSEJO ACADÉMICO (Artículo 24, Decreto 1860 de 1994). Se establecen como funciones del Consejo Académico en concordancia con el Decreto 1860 de 1994, las siguientes: 1. Servir de órgano consultor al Consejo Directivo en la revisión de la propuesta del Proyecto Educativo Institucional. 2. Estudiar el currículo y propiciar su continuo mejoramiento, introduciendo las modificaciones y ajustes de acuerdo con el procedimiento previsto en el Decreto. 3. Organizar el Plan de Estudios y orientar su ejecución. 4. Participar en .la evaluación institucional anual. 5. Integrar las comisiones de docentes para la evaluación periódica del rendimiento de los estudiantes y para la promoción, asignar sus funciones y supervisar el proceso general de la evaluación. 6. Liderar la orientación pedagógica de la institución. 7. Recibir reclamos sobre aspectos de la práctica evaluativa por parte de los estudiantes o cualquier miembro de la comunidad educativa. 8. Recomendar políticas para la dotación del material y medios auxiliares de enseñanza. 9. Las demás funciones afines o complementarias con las anteriores que le atribuya el Proyecto Educativo Institucional -PEI- Artículo 77. CONSEJO ESTUDIANTIL. OBJETIVO CENTRAL DEL ESTAMENTO Asegurar y garantizar el continuo ejercicio de la participación por parte de los educandos. PROCESO DE SELECCION Y CONFORMACION: EI Rector o sus delegados para este fin, deberá convocar en una fecha dentro de las cuatro primeras semanas del calendario académico la conformación del Consejo Estudiantil. Ya que la institución cuenta con varios grupos por grado, cada grupo elegirá un representante por grupo en la fecha señalada (Asamblea de grupos) precedidas por los directores de grupo. Los elegidos a su vez, en fecha posterior a la anterior y definida por el Rector o sus delegados, se reunirán y elegirán los candidatos por grado. Quienes se constituirán en el representante e integrante oficial del Consejo Estudiantil para el año
  • 80.
    lectivo en curso,teniendo en cuenta que los representantes por grupo serán sus voceros ante todos los demás compañeros. Para tal cometido serán convocados cuando el Consejo Estudiantil así lo decida o lo requiera. Parágrafo: Los estudiantes de preescolar a tercero, elegirán un vocero único entre los estudiantes que cursen el tercer grado. La forma de hacerlo la definirá los coordinadores de la institución con las sugerencias de los directores de grupo y/o las personas delegadas por el Rector. El Consejo Estudiantil, conformado por un representante por grado, se reunirá para elegir entre los alumnos de once el Representante al Consejo Directivo. EI Consejo Estudiantil Asegura y garantiza el continuo ejercicio de la participación por parte de los educandos FUNCIONES • Darse su propia organización Interna. • Elegir el representante de los estudiantes ante el Consejo Directivo del establecimiento educativo para dar cumplimiento a la Ley. • Invitar a sus deliberaciones a aquellos estudiantes que presentan iniciativa sobre el desarrollo de la vida estudiantil • Trabajar mancomunadamente con el Personero en la promoción del ejercicio de los deberes y derechos de los estudiantes consagrados en la normatividad educativa. • Escuchar y analizar las propuestas presentadas por los estudiantes. • Las demás actividades afines o complementarias con las anteriores que le atribuye el Manual de Convivencia. Artículo 78. PERSONERO 1. EL PERSONERO. Es el representante de todos los estudiantes ante todos los estamentos del Gobierno escolar. Debe ser un estudiante que esté cursando el grado Once (11) y estará encargado de promover el ejercicio de los deberes y derechos de los estudiantes, consagrados en la Constitución Colombiana, las leyes, los reglamentos y en este Manual de Convivencia. 2. REQUISITOS PARA SER PERSONERO. El Personero de la Institución debe cumplir con los siguientes requisitos, además de los estipulados en el artículo 94 de la Ley 115 de 1994: • Estar matriculado en el grado 11º de la Institución. • Tener buen rendimiento académico. • Tener buen comportamiento disciplinario. • No tener áreas pendientes de grados anteriores. • No tener procesos disciplinarios. • Tener aceptación dentro del grupo de estudiantes. • Ser emprendedor de programas en bien de la institución. • Promover el cumplimiento del Manual de Convivencia, en especial derechos y deberes, a través de la práctica de buenas relaciones entre directivas, docentes, estudiantes y padres de familia. • Tener disponibilidad de tiempo sin afectar las actividades académicas.
  • 81.
    Tener cualidades y capacidad de liderazgo. • Distinguirse por la práctica de los valores de la institución. • Conocer a cabalidad el Manual de Convivencia. • Ser elegido por la mayoría de los estudiantes. • Tener capacidad de análisis, crítica, equilibrio y objetividad para afrontar problemas, tomar decisiones y asumir riesgos. 3. FUNCIONES DEL PERSONERO: a. Promover el ejercicio de los deberes de los estudiantes. b. Promover y motivar el conocimiento y ejercicio de los derechos, especialmente el derecho de petición y de defensa y debido proceso consagrados en la Constitución Colombiana, las Leyes, los reglamentos y en el presente Manual de Convivencia. c. Asesorar a los estudiantes en todos los casos en donde haya duda. d. Promover campañas tendientes a obtener la convivencia y solución pacifica de los conflictos. e. Desarrollar y ejecutar el Proyecto de la Personería. El cual debe ser dado a conocer con anticipación a sus compañeros. f. Recibir y evaluar las quejas y reclamos que presenten los estudiantes. g. Interponer recurso contra las decisiones de los docentes, directores de grupo o directivas. h. Representar a la Institución, asistiendo a los talleres o reuniones que programe la Administración Municipal. Parágrafo 1. Convocatoria para elegir personero de los estudiantes. El Rector de la Institución convocará a través de la comisión encargada del Gobierno Escolar a elección de Personero Estudiantil dentro de los 30 días calendario siguiente a la iniciación de clases del período lectivo anual. La convocatoria se debe hacer mediante Resolución Rectoral, 30 días antes de su elección, con el fin de que los candidatos se inscriban, hagan sus campañas y presenten sus proyectos. El proceso de votación es un conjunto de actividades que cumplen los estudiantes matriculados en la institución para elegir el personero de los estudiantes de la institución. Parágrafo 2. Instalación de mesa de votación. Los jurados estarán integrados por dos un alumno, un docente y un padre de familia principales y sus correspondientes suplentes. Los principales podrán convenir con los suplentes el cumplimiento de la función alternándose entre si. Los testigos electorales pueden presenciar desde la iniciación todo el proceso de las votaciones hasta su conclusión y entrega de resultados al registrador institucional. La jornada para la elección de personero se cerrará a las 4 pm. En caso de no estar completos los jurados (3 en total), procederán a informar a la autoridad electoral, delegado o registrador, para que provea los que faltan. Acto seguido, los jurados verificarán la existencia de los siguientes elementos: Urna, cubículos, tarjetas para el personero de los estudiantes, sobre con destino a delegados del rector, sobre para depositar las tarjetas electorales no utilizadas o inservibles, bolsa plástica, bolígrafos negros y rojos, lápices. Si la elección del Personero es virtual, se procede a tener disponibles las salas de informática con el tarjetón de los candidatos a Personería, con el fin de hacer buen uso de los medios tecnológicos más avanzados. Parágrafo 3. Lista de formularios de votación. Los jurados deben verificar la existencia de los formularios así:
  • 82.
    Lista de jurados • Lista de sufragantes • Lista de registro de votantes • Acta de instalación y constancia • Actas de escrutinio de jurados En caso de que falte algún elemento, se procederá a avisar a los registradores o a su delegado. Siendo la hora señalada se cerrará la urna o salas de informática y se colocará los correspondientes sellos agregando el formulario con lista de jurados en la parte superior. Parágrafo 4. Iniciación de votaciones. Los jurados en número de tres (3) iniciarán a las 8:00 a.m., a la 1:00 p.m. en punto, las votaciones en cada jornada. Pasos a seguir en la votación. A partir de las ocho (8:00 a.m.) podrá votar el primer estudiante de la jornada de la mañana hasta las 12:00 m. y a partir de la una (1:00 p.m.) y hasta la cuatro (4:00 p.m.) la jornada de la tarde, bien sea en las urnas o en forma virtual. Cuando se acerca el estudiante a votar, se procederá a verificar su calidad de estudiante en el listado correspondiente. Se busca el número de identidad en la lista de sufragantes, se marca con una X anotando en el registro de votantes el número de orden y los apellidos, nombre y sexo del elector en las casillas correspondientes. Se entrega al votante el bolígrafo y la tarjeta electoral del personero de los estudiantes el cual se firmará previamente por uno de los jurados. El alumno se dirige a los cubículos o recinto aislado o computador y marca cada tarjeta con una X, en el espacio del candidato de su preferencia o señala la casilla en blanco. El votante dobla la tarjeta de modo quede a la vista los candidatos, mostrando al jurado el lugar donde firmó para probar que fue entregada por éste. El alumno deposita en la urna la tarjeta electoral debidamente doblada, o señala en el computador el candidato de su preferencia. Se recibe del estudiante el bolígrafo y se devuelve el carné. Parágrafo 5. Prohibición a los jurados. Los jurados no pueden hacer insinuaciones ni indicar candidato alguno a los electores ni efectuar marcaciones en la tarjeta electoral que entregan al alumno. Casos especiales. Si el alumno marca equivocadamente una tarjeta, el jurado anota la palabra inservible, la introduce en el sobre destinado para tal final y en su reemplazo le entregará una nueva tarjeta, si es en la urna, y si es virtual dará al computador la orden correspondiente para anular el voto y proceder nuevamente a votar. Si el alumno se abstiene de introducir en la urna una tarjeta tiene obligación de devolverla. En este caso, los jurados deberán colocar a la tarjeta la palabra inservible y depositarla en el sobre para las tarjetas NO UTILIZADAS E INSERVIBLES. El jurado debe solicitar al rector o registrador o su delegado el llamado de atención y la exigencia de compostura o incluso el retiro de los infractores, así sea en forma virtual.
  • 83.
    Parágrafo 6. Votode Jurado. Los jurados de votación principales y secundarios deberán sufragar en la mesa donde prestan el servicio por lo cual se anota el numero del carné en la lista de sufragantes en los espacios asignados para este fin y el nombre, con el registro de votantes. El jurado que ha votado en la respectiva mesa en donde prestó su concurso no podrá votar en ninguna otra so pena de hacerse acreedor a las sanciones de conducta según el Manual de Convivencia Parágrafo 7. Comisiones en la lista de sufragantes. Cuando un estudiante se acerque a votar y no figure en la lista de sufragantes, se le devuelve y se le indica acudir al registrador o delegado para que este funcionario, verifique el error de omisión, autorice el sufragio mediante autorización. El jurado marca la casilla correspondiente, en el formulario lista y registro de votantes, previa verificación de la autorización para votar en la respectiva mesa. Parágrafo 8. Cierre de votaciones: La votación se cierra a las 12:00 m., 4:00 p.m. respectivamente según la jornada. Por ningún motivo se permite sufragar después de esta hora aún cuando se encuentren estudiantes haciendo fila para hacerlo. • Cerrada la votación y antes de abrir la urna o pantalla, los jurados deben introducir las tarjetas electorales no utilizadas e inservibles en el sobre destinado para este fin y luego se sella. • A continuación uno de los jurados lee en voz alta el total de los sufragantes que se anota en el formulario de registro de votantes en el espacio correspondiente del formulario a las actas de escrutinio de los jurados. Parágrafo 9. Conteo de votos. Se abre la urna y pantalla y los jurados proceden a: • Seleccionar las tarjetas electorales o votos virtuales. • Contar las tarjetas electorales que conforman cada grupo. • Verificar que la cantidad de tarjetas electorales por cargo coincidan con el número de votantes. Si es mayor se revisa el registro de votantes, el número de votantes y si la diferencia persiste se introducen las tarjetas del grupo afectado en la urna o pantalla. • A continuación se mueve la urna con las tarjetas para alterar la colocación y se saca a la suerte tantas tarjetas cuantas sean las excedentes, y sin desdoblarlas se incineran inmediatamente. De este hecho queda constancia en el acta de escrutinio. Parágrafo 10. Revocatoria: En caso de no cumplir satisfactoriamente con las funciones asignadas, presentar mal comportamiento dentro o fuera de la institución o tener bajo rendimiento académico, podrá ser revocada su elección, en primera instancia por el Consejo de Estudiantes, con la aprobación del Consejo Directivo. En su reemplazo será nombrado el estudiante que al momento de la elección haya obtenido la segunda mayoría de votos. Parágrafo 11. Posesión. Acto especial ante la comunidad educativa o sus representantes que se realizará máximo una semana después de las elecciones, donde se le tomará juramento al nuevo personero (a) acompañado por las directivas de la institución y precedido por la Rectoría.
  • 84.
    Artículo 79. CONSEJODE PADRES Y ASOCIACION DE PADRES DE FAMILIA. Su fundamentación se encuentra El DECRETO No 1286 DE 2005 de 27 ABRIL 2005 el cual establece las normas sobre la participación de los padres de familia en el mejoramiento de los procesos educativos de los establecimientos educativos. Para su aplicación se procederá así: El Rector y los coordinadores en las tres primeras semanas de clase convocarán a reuniones generales de padres de familia en cada una de las secciones de la institución (Asamblea de Padres de Familia). De ellas saldrán 2 o 3 padres de familia representantes por cada uno de los grupos. Estos padres de familia serán citados a una reunión en donde se elegirán los padres de familia que conformarán el Consejo de Padres según lo estipulado en el decreto en mención. Los padres de familia representantes igualmente, podrán entrar a conformar la Asociación de Padres de Familia correspondiente al nuevo año lectivo. CAPÍTULO X. OTRAS REGLAMENTACIONES ESPECÍFICAS Artículo 80. LA SECCION HIPOLITO LONDOÑO MESA La Institución Educativa Juan de la Cruz Posada, considera las siguientes reglamentaciones específicas de la Seccional Hipólito Londoño Mesa, dado su carácter de vinculación con la Arquidiócesis de Medellín y el Hogar San José. 1. La Arquidiócesis de Medellín y el Hogar San José poseen la autonomía para desarrollar el proceso de selección de las alumnas que ingresan al hogar. 2. La Institución Educativa Juan de la Cruz Posada, a través de EDUCAME que expresa los lineamientos y políticas educativas nacionales, posee la autonomía y la responsabilidad legal para desarrollar con la Comunidad Educativa (alumnas, familia, docentes, Coordinador -Docente) los procesos de gestiones administrativas y organizativas, así como los académicos y pedagógicos que le conciernen. Artículo 81. MANUAL DE FUNCIONES PERSONAL DE MANTENIMIENTO Y ASEO 1. DERECHOS Y DEBERES DE LOS VIGILANTES DERECHOS: • Ser tratados. con respeto por los educadores y demás integrantes de la comunidad. • Recibir información veraz y oportuna por escrito. • Ser escuchados en sus justas reclamaciones siempre y cuando se hagan con altura. • Recibir un trato cortes y equitativo de acuerdo a los principios básicos de las relaciones humanas.
  • 85.
    • Tomarse eltiempo de descanso dentro de la Institución de acuerdo con el reglamento y ser reemplazado por la aseadora • Disfrutar de su descanso en el horario asignado. DEBERES: • Cumplir can los horarios establecidos por la Institución. • Tratar con respeto y cordialidad a todos los miembros de la Comunidad Escolar. • Cumplir con las funciones asignadas. • Permanecer durante su jornada de trabajo (!os descansos) en la puerta principal. • Velar por su buena presentación personal. • Mantener buenos modales, vocabulario correcto y actitudes positivas frente a todas las personas que lo rodean. • Ser receptivo(a) ante las observaciones y las recomendaciones que se le hagan. • Abstenerse de recibir visitas en horas de trabajo. • Velar por la seguridad de todas las personas que integran la Comunidad Educativa. • Evitar que los niños hagan compras a través de la reja en el descanso. • No permitir la entrada de padres de familia ni personas ajenas a la Institución, sin la debida autorización del profesor o Director(a). • No presentarse al establecimiento en estado de embriaguez o el efecto de drogas psicotrópicas. • Conocer y aplicar el Manual de Convivencia. • Asistir puntualmente a su lugar de trabajo. • Cumplir con la jornada laboral establecida. • Atender los llamados a colaborar en las diferentes actividades programadas por la Institución. • Acatar los llamados de atención que se le hagan. • No guardar armas, ni objetos, a ninguna persona sin autorización del director(a). 2. DERECHOS Y DEBERES DE LAS ASEADORAS DERECHOS: • Ser tratados con respeto por los educadores y demás integrantes de la Comunidad Educativa. • Recibir información veraz y oportuna por escrito. • Ser escuchados en sus justas reclamaciones siempre y cuando se hagan con cultura. • Recibir un trato cortés y equitativo de acuerdo a los principios básicos de las relaciones humanas. • Tomarse el tiempo de descanso dentro de la Institución de acuerdo con el reglamento. • Expresar sus pensamientos e Inquietudes en forma respetuosa. • Ser considerado y tratado como una persona, sin distinción de raza, color, sexo y posición social. • Que le sea aplicado el debido proceso (art. 28 Constitución Política) cuando se responsabilice de una falta. • Conceder permisos en casos de extremada urgencia (muerte, siniestro, entre otras) según lo estipulado por la Ley. DEBERES:
  • 86.
    Llegar puntual a su lugar de trabajo, en su defecto presentar la justificaci6n a su Jefe inmediato. • Utilizar un trato corté y respetuoso con los miembros de Comunidad Educativa y demás personas que asistan a la Institución. • Ser receptivo ante las sugerencias y observaciones que se le hagan. • Ajustarse a las funciones inherentes a su cargo. • Utilizar el conducto regular para solucionar cualquier inquietud o conflicto que se presente. • Abstenerse de hacer comentarios que puedan generar situaciones de conflicto. • Utilizar moderadamente el teléfono y en el tiempo previsto para su descanso. • Uso y ubicación adecuada de los implementos y enseres de la Institución. • Cumplir con responsabilidad y diligencia las actividades asignadas. • Disponer del tiempo asignado para su descanso dentro de la Institución y que no coincida con el descanso de los estudiantes. • Informar oportunamente los motivos de sus ausencias. Llevar adecuadamente el uniforme. • Responder por el inventario entregado y el buen manejo de este. • Conocer y aplicar el Manual de Convivencia. • Atender con agrado los llamados a colaborar en las diferentes actividades programadas por la Institución. • Uso racionalizado de los implementos de aseo y demás. • Abstenerse de traer acompañantes que interfieran el buen desempeño de su labor. • No intervenir en los asuntos de carácter interno y/o organizacional del plantel. • No ingresar a la Institución fuera de horarios de trabajo. Artículo 82. LEY 1098 DE 2006 CODIGO DE LA INFANCIA Y LA ADOLESCENCIA. Al momento de implementar y llevar a cabo alguna decisión contemplada en este Manual de Convivencia se tendrán en cuenta los siguientes artículos, entre otros, propios de la Ley 1098 de 2006 Ley de la Infancia y la Adolescencia: Artículo 26. Derecho al debido proceso. Los niños, las niñas y los adolescentes tienen derecho a que se les apliquen las garantías del debido proceso en todas las actuaciones administrativas y judiciales en que se encuentren involucrados. En toda actuación administrativa, judicial o de cualquier otra naturaleza en que estén involucrados, los niños, las niñas y los adolescentes, tendrán derecho a ser escuchados y sus opiniones deberán ser tenidas en cuenta. Artículo 42. Obligaciones especiales de las instituciones educativas. Para cumplir con su misión las instituciones educativas tendrán entre otras las siguientes obligaciones: 1. Facilitar el acceso de los niños, niñas y adolescentes al sistema educativo y garantizar su permanencia. 2. Brindar una educación pertinente y de calidad. 3. Respetar en toda circunstancia la dignidad de los miembros de la comunidad educativa. 4. Facilitar la participación de los estudiantes en la gestión académica del centro educativo.
  • 87.
    5. Abrir espaciosde comunicación con los padres de familia para el seguimiento del proceso educativo y propiciar la democracia en las relaciones dentro de la comunidad educativa. 6. Organizar programas de nivelación de los niños y niñas que presenten dificultades de aprendizaje o estén retrasados en el ciclo escolar y establecer programas de orientación psicopedagógica y psicológica. 7. Respetar, permitir y fomentar la expresión y el conocimiento de las diversas culturas nacionales y extranjeras y organizar actividades culturales extracurriculares con la comunidad educativa para tal fin. 8. Estimular las manifestaciones e inclinaciones culturales de lo niños, niñas y adolescentes, y promover su producción artística, científica y tecnológica. 9. Garantizar la utilización de los medios tecnológicos de acceso y difusión de la cultura y dotar al establecimiento de una biblioteca adecuada. 10. Organizar actividades conducentes al conocimiento, respeto y conservación del patrimonio ambiental, cultural, arquitectónico y arqueológico nacional. 11. Fomentar el estudio de idiomas nacionales y extranjeros y de lenguajes especiales. 12. Evitar cualquier conducta discriminatoria por razones de sexo, etnia, credo, condición socio-económica o cualquier otra que afecte el ejercicio de sus derechos. Artículo 43. Obligación ética fundamental de los establecimientos educativos. Las instituciones de educación primaria y secundaria, públicas y privadas, tendrán la obligación fundamental de garantizar a los niños, niñas y adolescentes el pleno respeto a su dignidad, vida, integridad física y moral dentro de la convivencia escolar. Para tal efecto, deberán: 1. Formar a los niños, niñas y adolescentes en el respeto por los valores fundamentales de la dignidad humana, los Derechos Humanos, la aceptación, la tolerancia hacia las diferencias entre personas. Para ello deberán inculcar un trato respetuoso y considerado hacia los demás, especialmente hacia quienes presentan discapacidades, especial vulnerabilidad o capacidades sobresalientes. 2. Proteger eficazmente a los niños, niñas y adolescentes contra toda forma de maltrato, agresión física o sicológica, humillación, discriminación o burla de parte de los demás compañeros y de los profesores. 3. Establecer en sus reglamentos los mecanismos adecuados de carácter disuasivo, correctivo y reeducativo para impedir la agresión física o psicológica, los comportamientos de burla, desprecio y humillación hacia niños y adolescentes con dificultades en el aprendizaje, en el lenguaje o hacia niños y adolescentes con capacidades sobresalientes o especiales. Artículo 44. Obligaciones complementarias de las instituciones educativas. Los directivos y docentes de los establecimientos académicos y la comunidad educativa en general pondrán en marcha mecanismos para: 1. Comprobar la inscripción del registro civil de nacimiento. 2. Establecer la detección oportuna y el apoyo y la orientación en casos de malnutrición, maltrato, abandono, abuso sexual, violencia intrafamiliar, y
  • 88.
    explotación económica ylaboral, las formas contemporáneas de servidumbre y esclavitud, incluidas las peores formas de trabajo infantil. 3. Comprobar la afiliación de los estudiantes a un régimen de salud. 4. Garantizar a los niños, niñas y adolescentes el pleno respeto a su dignidad, vida, integridad física y moral dentro de la convivencia escolar. 5. Proteger eficazmente a los niños, niñas y adolescentes contra toda forma de maltrato, agresión física o psicológica, humillación, discriminación o burla de parte de los demás compañeros o profesores. 6. Establecer en sus reglamentos los mecanismos adecuados de carácter disuasivo, correctivo y reeducativo para impedir la agresión física o psicológica, los comportamientos de burla, desprecio y humillación hacia los niños, niñas y adolescentes con dificultades de aprendizaje, en el lenguaje o hacia niños o adolescentes con capacidades sobresalientes o especiales. 7. Prevenir el tráfico y consumo de todo tipo de sustancias psicoactivas que producen dependencia dentro de las instalaciones educativas y solicitar a las autoridades competentes acciones efectivas contra el tráfico, venta y consumo alrededor de las instalaciones educativas. 8. Coordinar los apoyos pedagógicos, terapéuticos y tecnológicos necesarios para el acceso y la integración educativa del niño, niña o adolescente con discapacidad. 9. Reportar a las autoridades competentes, las situaciones de abuso, maltrato o peores formas de trabajo infantil detectadas en niños, niñas y adolescentes. 10. Orientar a la comunidad educativa para la formación en la salud sexual y reproductiva y la vida en pareja. Artículo 45. Prohibición de sanciones crueles, humillantes o degradantes. Los directores y educadores de los centros públicos o privados de educación formal, no formal e informal, no podrán imponer sanciones que conlleven maltrato físico o psicológico de los estudiantes a su cargo, o adoptar medidas que de alguna manera afecten su dignidad. Así mismo, queda prohibida su inclusión bajo cualquier modalidad, en los manuales de convivencia escolar. Artículo 83. BIENES Y VALORES Es deber de los docentes y de todo funcionario público “Vigilar y salvaguardar los bienes y valores que le han sido encomendados y cuidar que sean utilizados debida y racionalmente, de conformidad con los fines a que han sido destinados” (Ley 734 de 2002, C.P. 397 a 400) Si no estás pensando en trastearte, cuida tu casa. El mundo es nuestra casa. Exige que lo cuiden !