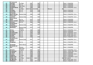
Periódicos Microfilmados existentes en la Biblioteca Pública de la UNLP. Centro de Documentación. 176 Títulos.

            Título            Lugar       1º Rollo Último Rollo Posit. Negat.   Editorial   Edición Rollos         Observaciones
 1     Aniceto El Gallo   Bs. As.             1858         1858                                     Bs. As. Rollo 2 07(82) PRE / Cd 2
       Archivo
 2     Americano          Bs. As.        12/06/1843 24/12/1851              x                             4 16 mm.
       Boletín
 3     Comercial          Bs. As.              1852         1852                                              Rollo 1 07(82)PRE / Cd 1
       Boletín de la
 4     Epidemia           Buenos Aires         1871         1871                                              Rollo 5 07(82)PRE
 5     Boletín Oficial    San Luis             1866         1869                                              Rollo 4 07(82)PRE / Cd 3
       Boletín Oficial
 6     Nac.               Bs. As.              1867         1868                                              Rollo 4 07(82)PRE / Cd 3
       Catálogo de
       Periódicos                                                             Biblioteca
       Sudamericanos.                                                         Pública.
 7     (Palcos)           La Plata       01/01/1791 30/12/1861              x UNLP             1934       1
                                                                              Microfilm                     Falta: Agosto 1950 a
8      Clarín             Buenos Aires 11/07/1946 18/01/1959         x        Argentina                  72 Noviembre 1951
9      Constancia         Bs. As.      03/04/1892 08/11/1896                x Garau            1988       1
10     Correo Argentino   Bs. As.             1852         1852                                             Rollo 2 07(82) PRE / Cd 1
       Correo de las
11     Niñas              Bs. As.              1867         1873                                              Rollo 4 07(82)PRE / Cd 4
       Correo Pol. y
       Merc. Prov. Uni.
12     Río de la Plata    Buenos Aires         1827         1828                                              Rollo 1 07(82)PRE / Cd 1
       Cutter's Three
       Figure Alfabetic
13     Order                                                                x                             1
14     Don Quijote.       Bs. As.              1857         1857                                              Rollo 2 07(82) PRE / Cd 2
15     Ecos Perdidos      Bs. As.              1872         1872                                              Rollo 5 07(82)PRE
16     El Alba            Bs. As.              1868         1869                                              Rollo 4 07(82)PRE / Cd 4
       El Amigo del       Carmen de
17     Pueblo             Las Flores           1874         1874                                              Rollo 6   07(82)PRE
18     El Argentino       Bs. As               1867         1867                                              Rollo 4   07(82)PRE / Cd 4
19     El Artesano        Bs. As.              1865         1865                                              Rollo 3   07(82)PRE / Cd 3
20     El Autonomista     Chivilcoy            1876         1876                                              Rollo 6   07(82)PRE
21     El Cencerro        Bs. As.              1869         1869                                              Rollo 5   07(82)PRE / Cd 4
       El Centinela del
22     Norte              San Nicolás          1873         1873                                              Rollo 5 07(82)PRE
23     El Chismoso        Bs. As.              1859         1859                                              Rollo 3 07(82)PRE 7 / Cd 2
       El Ciclista
24     Platense           La Plata             1900         1900                                              Rollo 7 07(82)PRE
25     El Cóndor          Chascomús            1872         1873                                              Rollo 5 07(82)PRE
       El Correo del
26     Domingo            Buenos Aires 14/08/1864 15/12/1867                x Garau            1988       1 16 mm.
El Correo del
27   Domingo           La Plata              1897         1897                       Rollo 7   07(82)PRE
28   El Criollo        Bs. As.               1878         1878                       Rollo 6   07(82)PRE
29   El Debate         San Pedro             1895         1896                       Rollo 7   07(82)PRE
30   El Dependiente    Bs. As.               1866         1866                       Rollo 3   07(82)PRE / Cd 3
31   El Día            La Plata       03/01/1894 31/12/1936      x   Microser   96
32   El Diablo         Bs. As.               1878         1878                       Rollo 6 07(82)PRE
33   El Duende         Bs. As.               1878         1878                       Rollo 6 07(82)PRE
     El Duende.
34   Barrio del Alto   Buenos Aires         1869         1869                        Rollo 5 07(82)PRE / Cd 4
     El Eco de la
35   Juventud          Buenos Aires         1864         1864                        Rollo 3 07(82)PRE / Cd 3
     El Eco de las
36   Niñas             Bs. As.              1872         1872                        Rollo 5 07(82)PRE
37   El Eco Juvenil    Mendoza              1877         1877                        Rollo 6 07(82)PRE
38   El Enano          Bs. As.              1860         1860                        Rollo 3 07(82)PRE / Cd 3
     El Estudiante.
39   Periódico         Buenos Aires         1867         1867                        Rollo 4 07(82)PRE / Cd 3
     El Estudiante.
40   Semanario         Buenos Aires         1872         1872                        Rollo 5 07(82)PRE
                       Colonia.
41   El Faro           Uruguay              1868         1868                        Rollo 4 07(82)PRE / Cd 4
42   El Fraile         Bs. As.              1878         1878                        Rollo 6 07(82)PRE
43   El Gobernador     Bs. As.              1869         1869                        Rollo 5 07(82)PRE / Cd 4
44   El Granizo        Bs. As.              1827         1827                        Rollo 1 07(82) PRE / Cd 1
45   El Grillo         Bs. As.              1865                                     Rollo 3 07(82) PRE/ Cd 3
46   El Gringo         Paraná               1869         1870                        Rollo 5 07(82)PRE / Cd 4
     El Grito de los
47   Pueblos           Buenos Aires         1831         1831                        Rollo 1 07(82)PRE / Cd 1
     El Grito
48   Paraguayo         Bs. As.              1858         1859                        Rollo 3 07(82)PRE / Cd 2

49   El Heraldo        Bahía Blanca         1900         1901                        Rollo 7 07(82)PRE
     El Heraldo del
50   Sud               Dolores              1899         1899                        Rollo 7 07(82)PRE
                       Mercedes.
51   El Hurón          Uruguay               1867         1867                     Rollo 4 07(82)PRE / Cd 4
52   El Industrial     Bs. As.               1856         1856                     Rollo 2 07(82) PRE / Cd 2
53   El Liberal        Bs. As.               1878         1878                     Rollo 6 07(82)PRE
54   El Lince          Bs. As.               1869         1869                     Rollo 5 07(82)PRE / Cd 4
55   El Mentor         La Plata              1888         1888                     Rollo 6 07(82)PRE
56   El Mercantil      Bs. As.               1866         1866                     Rollo 3 07(82)PRE 7 / Cd 3
57   El Mercurio       La Plata       10/02/1894    12/31/1908                  33 07(821.2)ELM
58   EL Mercurio.      Bs. As.               1854         1854                     Rollo 2 07(82) PRE / Cd 2
59   El Misterio       Bs. As.               1869    2/11/1905                     Rollo 5 07(82)PRE / Cd 4
60   El Mosquito         Buenos Aires 19/12/1863 26/01/1868            x                      1 Rollo 6 07(82) PRE
61   El Movimiento       Bs. As.             1869         1869                                  Rollo 5 07(82)PRE / Cd 4
62   El Municipio        Bs. As.             1878         1878                                  Rollo 6 07(82)PRE
63   El Murciélago       Bs. As.             1868         1868                                  Rollo 4 07(82)PRE / Cd 4
                                                                         Microfilm
64   El Nacional         Buenos Aires 02/05/1852 18/10/1864            x Argentina           23
                                                                         Microfilm
                                        02/05/1852 18/10/1864          x Argentina           24
                                                                         Microfilm
                                        03/11/1879 29/08/1882          x Argentina            2
                                                                         Microfilm
                                        02/01/1884 30/10/1886          x Argentina            6
65   El Nacionalista     La Plata       07/07/1896 25/10/1896                                 1 07(821.2)ELN
66   El Novel            Bs. As.               1863         1863                                Rollo 3 07(82)PRE / Cd 4
                                                                         Cpex Ortho
67   El Obrero           Buenos Aires 12/12/1890 30/04/1893        x   x Rapid        1970    1
68   El Obrero           Baradero            1902         1902                                    Rollo 7 07(82)PRE
     El Padre
69   Castañeta           Bs. As.              1852         1852                                   Rollo 2    07(82) PRE / Cd 1
70   El Padre Cobos      Santiago             1884         1884                                   Rollo 6   07(82)PRE
71   El Padre Cobos.     Bs. As.              1856         1856                                   Rollo 2    07(82) PRE / Cd 2
72   El Periódico        Bragado              1902         1902                                   Rollo 7   07(82)PRE
73   El Petroleo         Bs. As.              1875         1875                                   Rollo 6   07(82)PRE
74   El Pichín           Bs. As.              1878         1878                                   Rollo 6   07(82)PRE

75   El Plata            Buenos Aires 01/01/1854 30/07/1855            x                      1 16 mm.

     El Poder Ejec. A
     la H. Represent.
76   De la Provincia     Buenos Aires         1836         1837                                   Rollo 1 07(82)PRE / Cd 1
77   El Porteño          Bs. As.              1869         1869                                   Rollo 5 07(82)PRE / Cd 4
78   El Porvenir         San Luis             1863         1865                                   Rollo 3 07(82)PRE / Cd 3
     El Porvenir de la
79   Juventud            Córdoba        27/10/1872 25/10/1874          x Garau        1988    1 16 mm.

80   El Progreso         Buenos Aires 01/04/1852 31/12/1852            x              1970    1
81   El Progreso         Chivilcoy           1901         1901                                    Rollo 7 07(82)PRE
     El Progreso de      San José de
82   Flores              Flores              1873         1873                                    Rollo 5 07(82)PRE
83   El Proletario       Bs. As.             1858         1858                                    Rollo 3 07(82)PRE / Cd 2
84   El Pueblo           Bs. As.             1853         1854                                    Rollo 2 07(82) PRE / Cd 2
     El Puente de los
85   Suspiros            Buenos Aires         1878         1878                                   Rollo 6 07(82)PRE
86   El Puntano          San Luis             1870         1870                                   Rollo 5 07(82)PRE / Cd 4
87   El Racionalista     Bs. As.              1863         1863                                   Rollo 3 07(82)PRE / Cd 3
88    El Rebenque        Bs. As.                  1867         1867                                  Rollo 4 07(82)PRE / Cd 4
89    El Rematador       Bs. As.                  1867         1867                                  Rollo 4 07(82)PRE / Cd 4
90    El Río de la Plata La Plata          06/08/1869 31/12/1869                                   1 07(821.1)DIA
                                           04/01/1870 22/04/1870                                   1
                                                                            Cpoex Ortho
91    El Socialista         Buenos Aires 11/03/1893 01/05/1893        x   x Rapid          1979    1 Números sueltos
      El Telégrafo
92    Mercantil             Buenos Aires         1866         1866                                  Rollo 3 07(82)PRE / Cd 3
93    El Teósofo            La Plata             1887         1887                                  Rollo 6 07(82)PRE

      El Tiempo. Diario
      político, literario
94    y mercantil           Buenos Aires         1828         1829                                   Rollo 1 07(82)PRE / Cd 1
95    El Trabajo            Patagones            1895         1897                                   Rollo 7 07(82)PRE
96    El Trueno             Bs. As.              1860         1860                                   Rollo 3 07(82)PRE / Cd 3
97    El Virutín            Bs. As.              1878         1878                                   Rollo 6 07(82)PRE
      Histoire Literaire                                                   Microsuranc               Contiene: Historia desde s.I
98    de la France          Paris          01/01/1733 30/12/1963      x    e Filadelfia    1963   17 a.de J.C. hasta s. XIV
      Ilustración
99    Nacional              La Plata       08/12/1888 04/01/1890                                   1 07(821.2)ILU Deteriorado
                                                                            Garau
                                                                            Micromatizac
100   Justicia              La Plata       17/09/1917 31/10/1919          x ión            1988    4 16 mm.
      L' Echo du
101   commerce              Buenos Aires         1854         1854                                  Rollo 2 07(82) PRE / Cd 2

      L' Echo Français.
      Organe Interets
102   Français La Plata     Bs. As.               1865         1865                                  Rollo 3 07(82)PRE / Cd 3
103   L' Emigration         Bs. As.               1856         1856                                  Rollo 2 07(82) PRE / Cd 2
104   La Africana           Bs. As.               1870         1871                                  Rollo 5 07(82)PRE / Cd 4
105   La Avispa             Corrientes            1869         1869                                  Rollo 5 07(82)PRE/ Cd 4
106   La Bruja              Bs. As.               1860         1860                                  Rollo 3 07(82)PRE / Cd 3
107   La Campana            Bs. As.               1872         1872                                  Rollo 5 07(82)PRE
108   La Capital            La Plata       16/07/1886 19/03/1891                                  10 07(821.2)LAC Deteriorado
      La Cartera de
109   Orión                 Bs. As.              1869         1869                                  Rollo 5 07(82)PRE / Cd 4
      La Cartera
110   Misteriosa            Buenos Aires         1872         1872                                  Rollo 5 07(82)PRE
111   La Coalición          San Isidro           1901         1902                                  Rollo 7 07(82)PRE
      La Crónica del
112   Progreso              Buenos Aires         1867         1867                                  Rollo 4 07(82)PRE / Cd 4
      La Defensa
113   Nacional              La Plata              1893         1893                                  Rollo 6 07(82)PRE
114   La Discusión          La Plata       02/09/1889 12/07/1890                                   2 07(821.2)LAD Deteriorado
La Espada de
115   Lavalle            Buenos Aires         1857         1857                                   Rollo 2 07(82) PRE / Cd 2
116   La Esperanza       Bs. As.              1870         1870                                   Rollo 5 07(82)PRE / Cd 4
117   La Estafeta        Bs. As.              1866         1866                                   Rollo 3 07(82)PRE / Cd 3
118   La Flor del Aire   Bs. As.              1864         1864                                   Rollo 3 07(82)PRE / Cd 3
                                                                                                  Falta:Enero1830 a Abril
                                                                                                  1832,      Febrero a
      La Gaceta                                                          Copex Ortho              Sept.1836, Octubre 1836 a
119   Mercantil          Buenos Aires 01/10/1823 31/12/1845            x Rapid          1969   33 Diciembre 1837
      La Guepe
120   Argentine          Bs. As.              1866         1866                                     Rollo 3   07(82)PRE / Cd 3
121   La Guirnalda       Bs. As.              1858         1859                                     Rollo 3   07(82)PRE / Cd 2
122   La Iberia          Bs. As.              1867         1867                                     Rollo 4   07(82)PRE / Cd 4
123   La Ilustración     Bs. As.              1854         1854                                     Rollo 2   07(82) PRE / Cd 2
      La Ilustración
124   Nacional           La Plata              1888         1890                                1 07(821)2ILU
125   La Jeringa         Bs. As.               1869         1869                                  Rollo 5 07(82)PRE / Cd 4
126   La Junta           Belgrano              1876         1876                                  Rollo 6 07(82)PRE
127   La Lanceta         Bs. As.               1853         1853                                  Rollo 2 07(82) PRE / Cd 2
128   La Liga Liberal    La Plata       04/02/1897 31/12/1897                                   1 07(821.2)LAL
129   La Lira            Bs. As.               1869         1869                                  Rollo 5 07(82)PRE / Cd 4
130   La Lotería         Bs. As.               1878         1878                                  Rollo 6 07(82)PRE
131   La Lucha           La Plata              1889         1889                                  Rollo 6 07(82)PRE
132   La Matraca         Bs. As.               1878         1878                                  Rollo 6 07(82)PRE
                                                                                                  Falta:01/10/1874 a
133   La Nación        Buenos Aires 01/01/1870 31/12/1885          x    Microcop               31 31/12/1874
                                    1/1/1965    11/30/1969         x    Microcop               64
134   La Nueva Época Bs. As.               1852          1852                                     Rollo 2 07(82) PRE / Cd 1
      La Nueva
135   Generación       Buenos Aires        1860          1860                                       Rollo 3 07(82)PRE / Cd 3
136   La Orquesta      Bs. As.             1878          1878                                       Rollo 6 07(82)PRE
137   La Palabra Libre Rojas               1900          1901                                       Rollo 7 07(82)PRE

      La Plata         Buenos Aires
138   Monatsschrift    (La Plata)          1874         1874                                        Rollo 6 07(82)PRE
      La Presse. Revue
      hebdomadaire de Buenos Aires
139   La Plata         (La Plata)          1862         1862                                      Rollo 3 07(82)PRE / Cd 3
140   La Primavera     Bs. As.             1863         1863                                      Rollo 3 07(82)PRE / Cd 3
141   La Propaganda La Plata               1883         1883                                      Rollo 6 07(82)PRE
142   La Redención     Bs. As.             1873         1873                                      Rollo 5 07(82)PRE
143   La Sotana        Bs. As.             1878         1878                                      Rollo 6 07(82)PRE
144   La Tarde         La Plata     04/10/1893 01/06/1896                                       2 07(821.2)LAT Deteriorado
                                                                         Microfilm
145   La Tribuna         Buenos Aires 07/08/1853 01/06/1880            x Argentina              2
                                      07/08/1853 31/12/1864        x     M. Argentina          22
La Tribuna                                                         Microfilm
146   Argentina          Buenos Aires 02/11/1880 22/01/1883            x Argentina            2
      La Unión
147   Americana          Bs.As.                1866         1867                                Rollo 4 07(82)PRE / Cd 3
148   La Universidad     Bs. As.               1864         1864                                Rollo 3 07(82)PRE / Cd 3
149   La Verdad          La Plata       27/01/1896 1/02/1898           x Garau        1988    1 16 mm.
                                        03/08/1899 12/29/1907                                14
150   La Viuda          Bs. As.                1869                                             Rollo 5 07(82)PRE / Cd 4
      La Voz de
151   América           Nueva York 21/12/1865 11/02/1867           x   x no figura    2000    1 Julio 1866, 2º época
152   Las Novedades Bs. As.               1859         1859                                     Rollo 3 07(82)PRE / Cd 3
      Le Commerce.
      Organe etrangers
153   residant La Plata Buenos Aires      1853         1854                                       Rollo 2 07(82) PRE / Cd 2
154   Los Meteoros      Bs. As.           1870         1870                                       Rollo 5 07(82)PRE / Cd 4
155   Los Negros        Bs. As.           1869         1871                                       Rollo 5 07(82)PRE / Cd Cd 4
      Marcha de la
156   Epidemia          Buenos Aires      1871         1871                                       Rollo 5 07(82)PRE
      Mensage (sic) del
157   Gobierno          Buenos Aires      1829         1829                                       Rollo 1 07(82)PRE / Cd 1
      Mensage (sic) del
      Gobierno a la
158   Legis.            Buenos Aires      1833         1833                                       Rollo 1 07(82)PRE / Cd 1
      Mensagero (sic)
159   Argentino          Bs. As.              1826         1827                                   Rollo 1 07(82)PRE / Cd 1
160   Nueva Era          Patagones            1895         1896                                   Rollo 7 07(82)PRE

161   Ondina del Plata Buenos Aires 07/02/1875 26/12/1875              x Garau        1988    1 16 mm.
                                                                         Estudio 3.
      Periódicos de La                                                   Biblioteca             Varios. Números sueltos.
162   Plata              Buenos Aires                              x     Nacional.            1 Distintos años. Deteriorados
      Progreso de
163   Quilmes            Quilmes              1873         1874                                   Rollo 6 07(82)PRE
      Recreo de las
164   Niñas              Bs. As.              1872         1872                                   Rollo 5 07(82)PRE
165   Reforma Pacífica   Bs. As.              1857         1858                                   Rollo 2 07(82) PRE / Cd 2
      Registro
      Provisional del
166   Gob. de Bs. As.    Buenos Aires         1833         1833                                   Rollo 1 07(82)PRE / Cd 1
      Rejistro (sic)
167   Oficial            San Luis             1870         1871                                   Rollo 5 07(82)PRE
      Revista del
168   Paraná             Paraná         28/02/1861 30/09/1861          x                      1 16 mm.
169   Sancho             La Plata              1897         1897                                Rollo 7 07(82)PRE
Seistrang,
      Arturo. Informe
      de la comisión
170   explor.          Buenos Aires             1877                    x       x                              1 Libro.
      Semanario de las
171   Niñas            Buenos Aires             1872          1872                                                 Rollo 5 07(82)PRE

172   Sud América          Buenos Aires 20/01/1851 17/07/1851                   x                              2 16 mm.
      The British
      Packet and
173   Argentina News       Buenos Aires 13/01/1827 25/09/1858           x       x Duplocopy          1967      5
      The Buenos
174   Aires Herald         Buenos Aires         1852          1852                                                 Rollo 1 07(82)PRE
      Union List of                                                               University
175   Microfilms           Philadelphia 01/01/1951 30/12/1951           x         Microfilms         1969      1 Union Library Catalogue
                                                                                  Cpex Ortho
176   Vorwarts             Buenos Aires 04/07/1891 15/03/1901                   x Rapid              1970      4
                                                                                  Copex Ortho
                                          02/10/1886 27/06/1891         x       x Rapid              1970      1 Números sueltos




      Periódicos de La Plata microfilmados existentes en la Biblioteca Pública de la UNLP. Centro de Documentación

             Título           Lugar        1º Rollo    Último Rollo Posit. Negat.     Editorial   Edición Rollos          Observaciones
      Catálogo de
      Periódicos                                                                    Biblioteca
      Sudamericanos.                                                                Pública.
 1    (Palcos)             La Plata       01/01/1791 30/12/1861                     UNLP             1934      1
      El Ciclista
 2    Platense             La Plata             1900          1900                                                 Rollo 7 07(82)PRE
      El Correo del
 3    Domingo              La Plata              1897         1897                                                 Rollo 7 07(82)PRE
 4    El Día               La Plata       03/01/1894 31/12/1936                     Microser                  96
 5    El Mentor            La Plata              1888         1888                                               Rollo 6 07(82)PRE
 6    El Mercurio          La Plata       10/02/1894    12/31/1908                                            33 07(821.2)ELM
 7    El Nacionalista      La Plata       07/07/1896 25/10/1896                                                1 07(821.2)ELN
 8    El Río de la Plata   La Plata       06/08/1869 31/12/1869                                                1 07(821.1)DIA
                                          04/01/1870 22/04/1870                                                1
9    El Teósofo          La Plata          1887          1887                     Rollo 6 07(82)PRE
     Ilustración
10   Nacional            La Plata    08/12/1888 04/01/1890                       1 07(821.2)ILU Deteriorado
11   Justicia            La Plata    17/09/1917 31/10/1919       Garau   1988    4 16 mm.

     L' Echo Français.
     Organe Interets     Buenos Aires
12   Français La Plata   (La Plata)          1865         1865                     Rollo 3 07(82)PRE
13   La Capital          La Plata     16/07/1886 19/03/1891                     10 07(821.2)LAC Deteriorado
     La Defensa
14   Nacional            La Plata           1893         1893                      Rollo 6 07(82)PRE
15   La Discusión        La Plata    02/09/1889 12/07/1890                       2 07(821.2)LAD Deteriorado
     La Ilustración
16   Nacional            La Plata           1888         1890                    1 07(821)2ILU
17   La Liga Liberal     La Plata    04/02/1897 31/12/1897                       1 07(821.2)LAL
18   La Lucha            La Plata           1889         1889                      Rollo 6 07(82)PRE

     La Plata         Buenos Aires
19   Monatsschrift    (La Plata)          1874         1874                       Rollo 6 07(82)PRE
     La Presse. Revue
     Hebdomadaire     Buenos Aires
20   de La Plata      (La Plata)          1862         1862                        Rollo 3 07(82)PRE
21   La Propaganda La Plata               1883         1883                        Rollo 6 07(82)PRE
22   La Tarde         La Plata     04/10/1893 01/06/1896                         2 07(821.2)LAT Deteriorado
23   La Verdad        La Plata     27/01/1896 1/02/1898          Garau   1988    1 16 mm.
                                   03/08/1899    12/29/1907                     14 07(821.2)LAV
24   Sancho           La Plata            1897         1897                        Rollo 7 07(82)PRE

Periodicos Microfilmados

  • 1.
    Periódicos Microfilmados existentesen la Biblioteca Pública de la UNLP. Centro de Documentación. 176 Títulos. Título Lugar 1º Rollo Último Rollo Posit. Negat. Editorial Edición Rollos Observaciones 1 Aniceto El Gallo Bs. As. 1858 1858 Bs. As. Rollo 2 07(82) PRE / Cd 2 Archivo 2 Americano Bs. As. 12/06/1843 24/12/1851 x 4 16 mm. Boletín 3 Comercial Bs. As. 1852 1852 Rollo 1 07(82)PRE / Cd 1 Boletín de la 4 Epidemia Buenos Aires 1871 1871 Rollo 5 07(82)PRE 5 Boletín Oficial San Luis 1866 1869 Rollo 4 07(82)PRE / Cd 3 Boletín Oficial 6 Nac. Bs. As. 1867 1868 Rollo 4 07(82)PRE / Cd 3 Catálogo de Periódicos Biblioteca Sudamericanos. Pública. 7 (Palcos) La Plata 01/01/1791 30/12/1861 x UNLP 1934 1 Microfilm Falta: Agosto 1950 a 8 Clarín Buenos Aires 11/07/1946 18/01/1959 x Argentina 72 Noviembre 1951 9 Constancia Bs. As. 03/04/1892 08/11/1896 x Garau 1988 1 10 Correo Argentino Bs. As. 1852 1852 Rollo 2 07(82) PRE / Cd 1 Correo de las 11 Niñas Bs. As. 1867 1873 Rollo 4 07(82)PRE / Cd 4 Correo Pol. y Merc. Prov. Uni. 12 Río de la Plata Buenos Aires 1827 1828 Rollo 1 07(82)PRE / Cd 1 Cutter's Three Figure Alfabetic 13 Order x 1 14 Don Quijote. Bs. As. 1857 1857 Rollo 2 07(82) PRE / Cd 2 15 Ecos Perdidos Bs. As. 1872 1872 Rollo 5 07(82)PRE 16 El Alba Bs. As. 1868 1869 Rollo 4 07(82)PRE / Cd 4 El Amigo del Carmen de 17 Pueblo Las Flores 1874 1874 Rollo 6 07(82)PRE 18 El Argentino Bs. As 1867 1867 Rollo 4 07(82)PRE / Cd 4 19 El Artesano Bs. As. 1865 1865 Rollo 3 07(82)PRE / Cd 3 20 El Autonomista Chivilcoy 1876 1876 Rollo 6 07(82)PRE 21 El Cencerro Bs. As. 1869 1869 Rollo 5 07(82)PRE / Cd 4 El Centinela del 22 Norte San Nicolás 1873 1873 Rollo 5 07(82)PRE 23 El Chismoso Bs. As. 1859 1859 Rollo 3 07(82)PRE 7 / Cd 2 El Ciclista 24 Platense La Plata 1900 1900 Rollo 7 07(82)PRE 25 El Cóndor Chascomús 1872 1873 Rollo 5 07(82)PRE El Correo del 26 Domingo Buenos Aires 14/08/1864 15/12/1867 x Garau 1988 1 16 mm.
  • 2.
    El Correo del 27 Domingo La Plata 1897 1897 Rollo 7 07(82)PRE 28 El Criollo Bs. As. 1878 1878 Rollo 6 07(82)PRE 29 El Debate San Pedro 1895 1896 Rollo 7 07(82)PRE 30 El Dependiente Bs. As. 1866 1866 Rollo 3 07(82)PRE / Cd 3 31 El Día La Plata 03/01/1894 31/12/1936 x Microser 96 32 El Diablo Bs. As. 1878 1878 Rollo 6 07(82)PRE 33 El Duende Bs. As. 1878 1878 Rollo 6 07(82)PRE El Duende. 34 Barrio del Alto Buenos Aires 1869 1869 Rollo 5 07(82)PRE / Cd 4 El Eco de la 35 Juventud Buenos Aires 1864 1864 Rollo 3 07(82)PRE / Cd 3 El Eco de las 36 Niñas Bs. As. 1872 1872 Rollo 5 07(82)PRE 37 El Eco Juvenil Mendoza 1877 1877 Rollo 6 07(82)PRE 38 El Enano Bs. As. 1860 1860 Rollo 3 07(82)PRE / Cd 3 El Estudiante. 39 Periódico Buenos Aires 1867 1867 Rollo 4 07(82)PRE / Cd 3 El Estudiante. 40 Semanario Buenos Aires 1872 1872 Rollo 5 07(82)PRE Colonia. 41 El Faro Uruguay 1868 1868 Rollo 4 07(82)PRE / Cd 4 42 El Fraile Bs. As. 1878 1878 Rollo 6 07(82)PRE 43 El Gobernador Bs. As. 1869 1869 Rollo 5 07(82)PRE / Cd 4 44 El Granizo Bs. As. 1827 1827 Rollo 1 07(82) PRE / Cd 1 45 El Grillo Bs. As. 1865 Rollo 3 07(82) PRE/ Cd 3 46 El Gringo Paraná 1869 1870 Rollo 5 07(82)PRE / Cd 4 El Grito de los 47 Pueblos Buenos Aires 1831 1831 Rollo 1 07(82)PRE / Cd 1 El Grito 48 Paraguayo Bs. As. 1858 1859 Rollo 3 07(82)PRE / Cd 2 49 El Heraldo Bahía Blanca 1900 1901 Rollo 7 07(82)PRE El Heraldo del 50 Sud Dolores 1899 1899 Rollo 7 07(82)PRE Mercedes. 51 El Hurón Uruguay 1867 1867 Rollo 4 07(82)PRE / Cd 4 52 El Industrial Bs. As. 1856 1856 Rollo 2 07(82) PRE / Cd 2 53 El Liberal Bs. As. 1878 1878 Rollo 6 07(82)PRE 54 El Lince Bs. As. 1869 1869 Rollo 5 07(82)PRE / Cd 4 55 El Mentor La Plata 1888 1888 Rollo 6 07(82)PRE 56 El Mercantil Bs. As. 1866 1866 Rollo 3 07(82)PRE 7 / Cd 3 57 El Mercurio La Plata 10/02/1894 12/31/1908 33 07(821.2)ELM 58 EL Mercurio. Bs. As. 1854 1854 Rollo 2 07(82) PRE / Cd 2 59 El Misterio Bs. As. 1869 2/11/1905 Rollo 5 07(82)PRE / Cd 4
  • 3.
    60 El Mosquito Buenos Aires 19/12/1863 26/01/1868 x 1 Rollo 6 07(82) PRE 61 El Movimiento Bs. As. 1869 1869 Rollo 5 07(82)PRE / Cd 4 62 El Municipio Bs. As. 1878 1878 Rollo 6 07(82)PRE 63 El Murciélago Bs. As. 1868 1868 Rollo 4 07(82)PRE / Cd 4 Microfilm 64 El Nacional Buenos Aires 02/05/1852 18/10/1864 x Argentina 23 Microfilm 02/05/1852 18/10/1864 x Argentina 24 Microfilm 03/11/1879 29/08/1882 x Argentina 2 Microfilm 02/01/1884 30/10/1886 x Argentina 6 65 El Nacionalista La Plata 07/07/1896 25/10/1896 1 07(821.2)ELN 66 El Novel Bs. As. 1863 1863 Rollo 3 07(82)PRE / Cd 4 Cpex Ortho 67 El Obrero Buenos Aires 12/12/1890 30/04/1893 x x Rapid 1970 1 68 El Obrero Baradero 1902 1902 Rollo 7 07(82)PRE El Padre 69 Castañeta Bs. As. 1852 1852 Rollo 2 07(82) PRE / Cd 1 70 El Padre Cobos Santiago 1884 1884 Rollo 6 07(82)PRE 71 El Padre Cobos. Bs. As. 1856 1856 Rollo 2 07(82) PRE / Cd 2 72 El Periódico Bragado 1902 1902 Rollo 7 07(82)PRE 73 El Petroleo Bs. As. 1875 1875 Rollo 6 07(82)PRE 74 El Pichín Bs. As. 1878 1878 Rollo 6 07(82)PRE 75 El Plata Buenos Aires 01/01/1854 30/07/1855 x 1 16 mm. El Poder Ejec. A la H. Represent. 76 De la Provincia Buenos Aires 1836 1837 Rollo 1 07(82)PRE / Cd 1 77 El Porteño Bs. As. 1869 1869 Rollo 5 07(82)PRE / Cd 4 78 El Porvenir San Luis 1863 1865 Rollo 3 07(82)PRE / Cd 3 El Porvenir de la 79 Juventud Córdoba 27/10/1872 25/10/1874 x Garau 1988 1 16 mm. 80 El Progreso Buenos Aires 01/04/1852 31/12/1852 x 1970 1 81 El Progreso Chivilcoy 1901 1901 Rollo 7 07(82)PRE El Progreso de San José de 82 Flores Flores 1873 1873 Rollo 5 07(82)PRE 83 El Proletario Bs. As. 1858 1858 Rollo 3 07(82)PRE / Cd 2 84 El Pueblo Bs. As. 1853 1854 Rollo 2 07(82) PRE / Cd 2 El Puente de los 85 Suspiros Buenos Aires 1878 1878 Rollo 6 07(82)PRE 86 El Puntano San Luis 1870 1870 Rollo 5 07(82)PRE / Cd 4 87 El Racionalista Bs. As. 1863 1863 Rollo 3 07(82)PRE / Cd 3
  • 4.
    88 El Rebenque Bs. As. 1867 1867 Rollo 4 07(82)PRE / Cd 4 89 El Rematador Bs. As. 1867 1867 Rollo 4 07(82)PRE / Cd 4 90 El Río de la Plata La Plata 06/08/1869 31/12/1869 1 07(821.1)DIA 04/01/1870 22/04/1870 1 Cpoex Ortho 91 El Socialista Buenos Aires 11/03/1893 01/05/1893 x x Rapid 1979 1 Números sueltos El Telégrafo 92 Mercantil Buenos Aires 1866 1866 Rollo 3 07(82)PRE / Cd 3 93 El Teósofo La Plata 1887 1887 Rollo 6 07(82)PRE El Tiempo. Diario político, literario 94 y mercantil Buenos Aires 1828 1829 Rollo 1 07(82)PRE / Cd 1 95 El Trabajo Patagones 1895 1897 Rollo 7 07(82)PRE 96 El Trueno Bs. As. 1860 1860 Rollo 3 07(82)PRE / Cd 3 97 El Virutín Bs. As. 1878 1878 Rollo 6 07(82)PRE Histoire Literaire Microsuranc Contiene: Historia desde s.I 98 de la France Paris 01/01/1733 30/12/1963 x e Filadelfia 1963 17 a.de J.C. hasta s. XIV Ilustración 99 Nacional La Plata 08/12/1888 04/01/1890 1 07(821.2)ILU Deteriorado Garau Micromatizac 100 Justicia La Plata 17/09/1917 31/10/1919 x ión 1988 4 16 mm. L' Echo du 101 commerce Buenos Aires 1854 1854 Rollo 2 07(82) PRE / Cd 2 L' Echo Français. Organe Interets 102 Français La Plata Bs. As. 1865 1865 Rollo 3 07(82)PRE / Cd 3 103 L' Emigration Bs. As. 1856 1856 Rollo 2 07(82) PRE / Cd 2 104 La Africana Bs. As. 1870 1871 Rollo 5 07(82)PRE / Cd 4 105 La Avispa Corrientes 1869 1869 Rollo 5 07(82)PRE/ Cd 4 106 La Bruja Bs. As. 1860 1860 Rollo 3 07(82)PRE / Cd 3 107 La Campana Bs. As. 1872 1872 Rollo 5 07(82)PRE 108 La Capital La Plata 16/07/1886 19/03/1891 10 07(821.2)LAC Deteriorado La Cartera de 109 Orión Bs. As. 1869 1869 Rollo 5 07(82)PRE / Cd 4 La Cartera 110 Misteriosa Buenos Aires 1872 1872 Rollo 5 07(82)PRE 111 La Coalición San Isidro 1901 1902 Rollo 7 07(82)PRE La Crónica del 112 Progreso Buenos Aires 1867 1867 Rollo 4 07(82)PRE / Cd 4 La Defensa 113 Nacional La Plata 1893 1893 Rollo 6 07(82)PRE 114 La Discusión La Plata 02/09/1889 12/07/1890 2 07(821.2)LAD Deteriorado
  • 5.
    La Espada de 115 Lavalle Buenos Aires 1857 1857 Rollo 2 07(82) PRE / Cd 2 116 La Esperanza Bs. As. 1870 1870 Rollo 5 07(82)PRE / Cd 4 117 La Estafeta Bs. As. 1866 1866 Rollo 3 07(82)PRE / Cd 3 118 La Flor del Aire Bs. As. 1864 1864 Rollo 3 07(82)PRE / Cd 3 Falta:Enero1830 a Abril 1832, Febrero a La Gaceta Copex Ortho Sept.1836, Octubre 1836 a 119 Mercantil Buenos Aires 01/10/1823 31/12/1845 x Rapid 1969 33 Diciembre 1837 La Guepe 120 Argentine Bs. As. 1866 1866 Rollo 3 07(82)PRE / Cd 3 121 La Guirnalda Bs. As. 1858 1859 Rollo 3 07(82)PRE / Cd 2 122 La Iberia Bs. As. 1867 1867 Rollo 4 07(82)PRE / Cd 4 123 La Ilustración Bs. As. 1854 1854 Rollo 2 07(82) PRE / Cd 2 La Ilustración 124 Nacional La Plata 1888 1890 1 07(821)2ILU 125 La Jeringa Bs. As. 1869 1869 Rollo 5 07(82)PRE / Cd 4 126 La Junta Belgrano 1876 1876 Rollo 6 07(82)PRE 127 La Lanceta Bs. As. 1853 1853 Rollo 2 07(82) PRE / Cd 2 128 La Liga Liberal La Plata 04/02/1897 31/12/1897 1 07(821.2)LAL 129 La Lira Bs. As. 1869 1869 Rollo 5 07(82)PRE / Cd 4 130 La Lotería Bs. As. 1878 1878 Rollo 6 07(82)PRE 131 La Lucha La Plata 1889 1889 Rollo 6 07(82)PRE 132 La Matraca Bs. As. 1878 1878 Rollo 6 07(82)PRE Falta:01/10/1874 a 133 La Nación Buenos Aires 01/01/1870 31/12/1885 x Microcop 31 31/12/1874 1/1/1965 11/30/1969 x Microcop 64 134 La Nueva Época Bs. As. 1852 1852 Rollo 2 07(82) PRE / Cd 1 La Nueva 135 Generación Buenos Aires 1860 1860 Rollo 3 07(82)PRE / Cd 3 136 La Orquesta Bs. As. 1878 1878 Rollo 6 07(82)PRE 137 La Palabra Libre Rojas 1900 1901 Rollo 7 07(82)PRE La Plata Buenos Aires 138 Monatsschrift (La Plata) 1874 1874 Rollo 6 07(82)PRE La Presse. Revue hebdomadaire de Buenos Aires 139 La Plata (La Plata) 1862 1862 Rollo 3 07(82)PRE / Cd 3 140 La Primavera Bs. As. 1863 1863 Rollo 3 07(82)PRE / Cd 3 141 La Propaganda La Plata 1883 1883 Rollo 6 07(82)PRE 142 La Redención Bs. As. 1873 1873 Rollo 5 07(82)PRE 143 La Sotana Bs. As. 1878 1878 Rollo 6 07(82)PRE 144 La Tarde La Plata 04/10/1893 01/06/1896 2 07(821.2)LAT Deteriorado Microfilm 145 La Tribuna Buenos Aires 07/08/1853 01/06/1880 x Argentina 2 07/08/1853 31/12/1864 x M. Argentina 22
  • 6.
    La Tribuna Microfilm 146 Argentina Buenos Aires 02/11/1880 22/01/1883 x Argentina 2 La Unión 147 Americana Bs.As. 1866 1867 Rollo 4 07(82)PRE / Cd 3 148 La Universidad Bs. As. 1864 1864 Rollo 3 07(82)PRE / Cd 3 149 La Verdad La Plata 27/01/1896 1/02/1898 x Garau 1988 1 16 mm. 03/08/1899 12/29/1907 14 150 La Viuda Bs. As. 1869 Rollo 5 07(82)PRE / Cd 4 La Voz de 151 América Nueva York 21/12/1865 11/02/1867 x x no figura 2000 1 Julio 1866, 2º época 152 Las Novedades Bs. As. 1859 1859 Rollo 3 07(82)PRE / Cd 3 Le Commerce. Organe etrangers 153 residant La Plata Buenos Aires 1853 1854 Rollo 2 07(82) PRE / Cd 2 154 Los Meteoros Bs. As. 1870 1870 Rollo 5 07(82)PRE / Cd 4 155 Los Negros Bs. As. 1869 1871 Rollo 5 07(82)PRE / Cd Cd 4 Marcha de la 156 Epidemia Buenos Aires 1871 1871 Rollo 5 07(82)PRE Mensage (sic) del 157 Gobierno Buenos Aires 1829 1829 Rollo 1 07(82)PRE / Cd 1 Mensage (sic) del Gobierno a la 158 Legis. Buenos Aires 1833 1833 Rollo 1 07(82)PRE / Cd 1 Mensagero (sic) 159 Argentino Bs. As. 1826 1827 Rollo 1 07(82)PRE / Cd 1 160 Nueva Era Patagones 1895 1896 Rollo 7 07(82)PRE 161 Ondina del Plata Buenos Aires 07/02/1875 26/12/1875 x Garau 1988 1 16 mm. Estudio 3. Periódicos de La Biblioteca Varios. Números sueltos. 162 Plata Buenos Aires x Nacional. 1 Distintos años. Deteriorados Progreso de 163 Quilmes Quilmes 1873 1874 Rollo 6 07(82)PRE Recreo de las 164 Niñas Bs. As. 1872 1872 Rollo 5 07(82)PRE 165 Reforma Pacífica Bs. As. 1857 1858 Rollo 2 07(82) PRE / Cd 2 Registro Provisional del 166 Gob. de Bs. As. Buenos Aires 1833 1833 Rollo 1 07(82)PRE / Cd 1 Rejistro (sic) 167 Oficial San Luis 1870 1871 Rollo 5 07(82)PRE Revista del 168 Paraná Paraná 28/02/1861 30/09/1861 x 1 16 mm. 169 Sancho La Plata 1897 1897 Rollo 7 07(82)PRE
  • 7.
    Seistrang, Arturo. Informe de la comisión 170 explor. Buenos Aires 1877 x x 1 Libro. Semanario de las 171 Niñas Buenos Aires 1872 1872 Rollo 5 07(82)PRE 172 Sud América Buenos Aires 20/01/1851 17/07/1851 x 2 16 mm. The British Packet and 173 Argentina News Buenos Aires 13/01/1827 25/09/1858 x x Duplocopy 1967 5 The Buenos 174 Aires Herald Buenos Aires 1852 1852 Rollo 1 07(82)PRE Union List of University 175 Microfilms Philadelphia 01/01/1951 30/12/1951 x Microfilms 1969 1 Union Library Catalogue Cpex Ortho 176 Vorwarts Buenos Aires 04/07/1891 15/03/1901 x Rapid 1970 4 Copex Ortho 02/10/1886 27/06/1891 x x Rapid 1970 1 Números sueltos Periódicos de La Plata microfilmados existentes en la Biblioteca Pública de la UNLP. Centro de Documentación Título Lugar 1º Rollo Último Rollo Posit. Negat. Editorial Edición Rollos Observaciones Catálogo de Periódicos Biblioteca Sudamericanos. Pública. 1 (Palcos) La Plata 01/01/1791 30/12/1861 UNLP 1934 1 El Ciclista 2 Platense La Plata 1900 1900 Rollo 7 07(82)PRE El Correo del 3 Domingo La Plata 1897 1897 Rollo 7 07(82)PRE 4 El Día La Plata 03/01/1894 31/12/1936 Microser 96 5 El Mentor La Plata 1888 1888 Rollo 6 07(82)PRE 6 El Mercurio La Plata 10/02/1894 12/31/1908 33 07(821.2)ELM 7 El Nacionalista La Plata 07/07/1896 25/10/1896 1 07(821.2)ELN 8 El Río de la Plata La Plata 06/08/1869 31/12/1869 1 07(821.1)DIA 04/01/1870 22/04/1870 1
  • 8.
    9 El Teósofo La Plata 1887 1887 Rollo 6 07(82)PRE Ilustración 10 Nacional La Plata 08/12/1888 04/01/1890 1 07(821.2)ILU Deteriorado 11 Justicia La Plata 17/09/1917 31/10/1919 Garau 1988 4 16 mm. L' Echo Français. Organe Interets Buenos Aires 12 Français La Plata (La Plata) 1865 1865 Rollo 3 07(82)PRE 13 La Capital La Plata 16/07/1886 19/03/1891 10 07(821.2)LAC Deteriorado La Defensa 14 Nacional La Plata 1893 1893 Rollo 6 07(82)PRE 15 La Discusión La Plata 02/09/1889 12/07/1890 2 07(821.2)LAD Deteriorado La Ilustración 16 Nacional La Plata 1888 1890 1 07(821)2ILU 17 La Liga Liberal La Plata 04/02/1897 31/12/1897 1 07(821.2)LAL 18 La Lucha La Plata 1889 1889 Rollo 6 07(82)PRE La Plata Buenos Aires 19 Monatsschrift (La Plata) 1874 1874 Rollo 6 07(82)PRE La Presse. Revue Hebdomadaire Buenos Aires 20 de La Plata (La Plata) 1862 1862 Rollo 3 07(82)PRE 21 La Propaganda La Plata 1883 1883 Rollo 6 07(82)PRE 22 La Tarde La Plata 04/10/1893 01/06/1896 2 07(821.2)LAT Deteriorado 23 La Verdad La Plata 27/01/1896 1/02/1898 Garau 1988 1 16 mm. 03/08/1899 12/29/1907 14 07(821.2)LAV 24 Sancho La Plata 1897 1897 Rollo 7 07(82)PRE