Studocu is not sponsored or endorsed by any college or university
Problemas de Clase Tema Refrigeración-a
Termodinámica Aplicada (Universidad Politécnica de Cartagena)
Studocu is not sponsored or endorsed by any college or university
Problemas de Clase Tema Refrigeración-a
Termodinámica Aplicada (Universidad Politécnica de Cartagena)
Downloaded by Carlos Ubaldo Labra Fierro (carlos.labra2101@alumnos.ubiobio.cl)
lOMoARcPSD|11246813
Termodinámica Aplicada
Problemas
Sistemas de refrigeración por compresión de vapor
Problema 1
Un sistema de refrigeración por compresión de vapor tiene una capacidad de 10
toneladas de refrigeración. En el compresor entra flujo másico de refrigerante R-134a en
vapor sobrecalentado a 4 bares y 15 ºC y con una salida de 12 bares. El proceso de
compresión puede considerarse politrópico, con n=1,01, modelado como pv1,01
=K. A la
salida del condensador la presión es 11.6 bar y la temperatura 44 ºC. El condensador es
refrigerado por agua que entra a 20 ºC y sale a 30 ºC sin pérdida de presión. El calor
transferido entre el condensador y el ambiente puede considerarse despreciable.
Determinar:
a) El flujo másico de refrigerante, en kg/s.
b) La potencia mecánica consumida y el calor transferido por el compresor, en kW.
c) El coeficiente de eficacia frigorífica (EER) o coeficiente de operación.
d) El flujo másico de agua de refrigeración, en kg/s.
Problema 2
Un sistema de refrigeración por compresión de vapor utiliza refrigerante R-134a como
fluido de trabajo. Las presiones de evaporador y condensador son 1,4 y 12 bar
respectivamente. El refrigerante pasa por los intercambiadores de calor sin pérdida de
presión. A la entrada y salida del compresor las temperaturas son -10 ºC y 80 ºC,
respectivamente. La transferencia de calor desde el refrigerante en el condensador es de
15 kW y sale líquido saturado a 12 bares. Si el compresor funciona adiabáticamente,
determinar:
a) La potencia mecánica consumida en el compresor.
b) El coeficiente de eficacia frigorífica (EER).
Problema 3
Un sistema de refrigeración por compresión de vapor utiliza el esquema de
funcionamiento mostrado en la figura. El fluido de trabajo es el refrigerante R134a. En
la 1ª etapa el refrigerante entra al compresor en forma de vapor saturado a -30 ºC. La
cámara flash y el intercambiador de calor de contacto directo operan a 4 bar y la presión
en el condensador es de 12 bar. En las válvulas de expansión de alta y baja presión el
refrigerante entra como líquido saturado a 12 y 4 bares, respectivamente. Si cada
compresor funciona isoentrópicamente y la capacidad de refrigeración del sistema es de
10 toneladas de refrigeración, determinar:
a) La potencia de cada compresor, en kW.
b) El coeficiente de operación.
Prof. D. Francisco García-Córdova
Dpto. de Ingeniería Térmica y de Fluidos
Área de Máquinas y Motores Térmicos (UPCT)
1/61
Downloaded by Carlos Ubaldo Labra Fierro (carlos.labra2101@alumnos.ubiobio.cl)
lOMoARcPSD|11246813
Termodinámica Aplicada
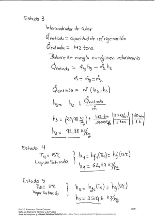
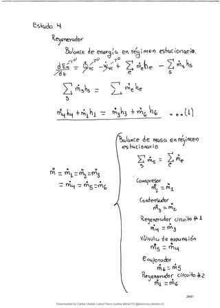
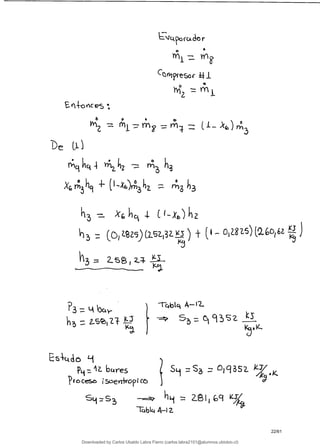
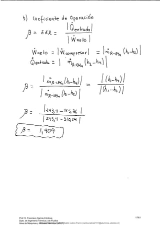
Problema 4
Un ciclo ideal de refrigeración por compresión de vapor se modifica incluyendo un
intercambiador de de calor a contracorriente (regenerador), tal como se muestra en la
figura. El refrigerante es R-134a deja el evaporador en estado vapor saturado a 1 bar y
se calienta a presión constante hasta 5 ºC antes de entrar en el compresor. Después de
una compresión isoentrópica hasta 18 bares, el refrigerante entra en el condensador de
donde sale a 40 ºC y 18 bares. A continuación el líquido pasa a través del
intercambiador de calor, donde se enfría antes de llegar a la válvula de expansión a 12
bares. Si el flujo másico de refrigerante es de 12 kg/min, determinar:
a) La capacidad de refrigeración, en tons.
b) La potencia del compresor, en kW.
c) El coeficiente de operación.
2/61
Downloaded by Carlos Ubaldo Labra Fierro (carlos.labra2101@alumnos.ubiobio.cl)
lOMoARcPSD|11246813
Termodinámica Aplicada
Problema 5
Para refrigerar la cabina de un avión, se extrae aire a 2 bares y 380K del compresor
principal. El aire extraído entra en un intercambiador de calor donde se enfría a presión
constante hasta 320K cediendo calor al aire ambiente. A continuación, el aire se
expande adiabáticamente hasta 0,95 bar en una turbina y se descarga en la cabina. La
turbina tiene una eficiencia isoentrópica del 75%. Si el flujo de aire es de 1kg/s.
Determinar:
a) La potencia desarrollada por la turbina, en kW.
b) El calor transferido del aire al ambiente a través del intercambiador de calor, en
kW.
Prof. D. Francisco García-Córdova
Dpto. de Ingeniería Térmica y de Fluidos
Área de Máquinas y Motores Térmicos (UPCT)
3/61
Downloaded by Carlos Ubaldo Labra Fierro (carlos.labra2101@alumnos.ubiobio.cl)
lOMoARcPSD|11246813
Termodinámica Aplicada
Problema 6
Un sistema de refrigeración por inyección de vapor, que produce agua fría en una
cámara flash. En la cámara se mantiene el vacio con el inyector de vapor, que retira el
vapor generado mediante su arrastre por el chorro de vapor de baja presión y lo
descarga en el condensador. La bomba de vacio retira el aire y gases incondensables.
Para las condiciones mostradas en la figura siguiente, determine:
a) El caudal del agua de reposición o producida, en kg/h.
b) El caudal de agua de refrigeración necesaria, en kg/h.
4/61
Downloaded by Carlos Ubaldo Labra Fierro (carlos.labra2101@alumnos.ubiobio.cl)
lOMoARcPSD|11246813
Termodinámica Aplicada
Problema 7
Un ciclo Stirling de refrigeración, que es el inverso de un ciclo Stirling de potencia que
opera con aire. Al comienzo de la compresión isotérmica, la presión y la temperatura
con 100kPa y 300K, respectivamente. La relación de compresión es de 6, y la
temperatura durante la expansión isotérmica es de 100K. Determine:
a) El calor transferido durante la expansión isotérmica, en kJ/kg de aire.
b) La potencia neta consumida por el ciclo en kJ/kg de aire.
c) El coeficiente de operación.
Problema 8
El diagrama esquemático de un sistema de refrigeración por compresión de vapor con
dos evaporadores, como se muestra en la figura siguiente, utiliza refrigerante R-12
como fluido de trabajo. Esta configuración se utiliza para producir refrigeración a dos
temperaturas diferentes con un solo compresor y un único condensador. El evaporador
de baja temperatura opera a -18ºC con vapor saturado a la salida y tiene una capacidad
de refrigeración de 3 ton. El evaporador de alta temperatura produce a la salida vapor
saturado a 3,2 bares y tiene una capacidad de refrigeración de 2 ton. La compresión es
isoentrópica y la presión del condensador es de 10 bares. No hay pérdidas apreciables
Prof. D. Francisco García-Córdova
Dpto. de Ingeniería Térmica y de Fluidos
Área de Máquinas y Motores Térmicos (UPCT)
5/61
Downloaded by Carlos Ubaldo Labra Fierro (carlos.labra2101@alumnos.ubiobio.cl)
lOMoARcPSD|11246813
Termodinámica Aplicada
de presión en los flujos del condensador y de los dos evaporadores. El refrigerante deja
el condensador como liquido saturado a 10 bares. Determine:
a) El flujo másico del refrigerante en cada evaporador, en kg/min.
b) La potencia necesaria en el compresor, en kW.
c) El flujo de calor transferido desde el refrigerante a su paso por el condensador,
en kW.
Usando R-134a.
a) 4,823 , 2,943
b) 5,329
c) 22,91 3,299
6/61
Downloaded by Carlos Ubaldo Labra Fierro (carlos.labra2101@alumnos.ubiobio.cl)
lOMoARcPSD|11246813
5OLUctÓJ Píz0UEM4 4i
-tO 3O°C
13 i1,kr
T39t C-
3)
CoÑO PtÇ2.
p2. -=. 2 bar
8
VA LIQ.4
_ 0E
L-X p4 ,çj1j
t tbar
EVA, rio jÇ
Covip e sÇi
c
1
CA) rnJ_,34q
b) o1pso
c)
Cpescr
¿
&) 'av4de
fr'yer
QC4rctLc
t(DTriç
tri' erccicÇ
= 7, 11 V--Sirn
iY/.
:=? 7
Prof. D. Francisco García-Córdova
Dpto. de Ingeniería Térmica y de Fluidos
Área de Máquinas y Motores Térmicos (UPCT)
7/61
Downloaded by Carlos Ubaldo Labra Fierro (carlos.labra2101@alumnos.ubiobio.cl)
lOMoARcPSD|11246813
L)
! Cucu cc)r?pofle%4e eli> unctttzcijc, COrio SSCwq
Votr' de cóv'4roL evi r 1/ men cs+aciorKirs.
a) ornedn -rcpc COYIr't LÓ1.
Lo, c. 4e's de Ici vcvuc4 esún
en3 ulctwevt4o.
Li t Cito r ycc Ç,JC YC4 cG CccIScLdor
-s
t Ep 5OVL c
j órctckt.
L UQ e T
l•cioLc A— t.
U k-
, Y
T4 1 ¿5I ts
TI Soc 50
J 'I
e1ct3L.1
V I Sg 1,1
Es 4cio
ioCe
6a r
ioI
ji 01
- PI
v1 J -
-
fr'
Ij .
3/
8/61
Downloaded by Carlos Ubaldo Labra Fierro (carlos.labra2101@alumnos.ubiobio.cl)
lOMoARcPSD|11246813
clo. 4-2.
tZctr
"2
OLÓ +2  3Cf3L.1
ESA-C.i.á0 -
P3 --i btr
':.
4L1, Ct3°C
—vs ¿lSct
Lud c4urctck
ç(-1°c) i12,Za
<S3 Sfl (4Ll
QLjL4
C-s4do 9
c cec e
hL- = Lz 1
¿e tqsc en rv-e
C> - -i
e
C LO^LL%tcc> 4YYCLY4e L
4
mz
-
¿E
e?cvs'o'v)
rfl ( j1 : m3
Prof. D. Francisco García-Córdova
Dpto. de Ingeniería Térmica y de Fluidos
Área de Máquinas y Motores Térmicos (UPCT)
9/61
Downloaded by Carlos Ubaldo Labra Fierro (carlos.labra2101@alumnos.ubiobio.cl)
lOMoARcPSD|11246813
o
m = mL1 =
Ll
/7 Q
¿4:
5
0 ~k
- -
cctck e rt e1 evct por.tdcy- con kt.ccpucdud
tc
c.
0
[O
R- 13 — ___________________
(259, l is- 112, n
)
Crn L
PL ,34ci D ~
l Z 'A 1
2U /)•1ip
~on 60S
') ?óC
Cçç e c % CCk
Uy
¿ =
ve rs
10/61
Downloaded by Carlos Ubaldo Labra Fierro (carlos.labra2101@alumnos.ubiobio.cl)
lOMoARcPSD|11246813
r r) i oIz)
(i1o_
bar
J L
43
- (¿1) (0,052675)
Wc.
-
R-L3 4}
P t e q c.e Y
-A 4yuJa c4 Coeór
0
f W
tOlZ99)(13/2.J)JFJ
LN covx Yeso
'-1co1ipresbr —5, 64Yv
C_) Ccj - por cçsor
CoipTesor.
durce de evter3(L& e te
QVC
wvc 4 rn
c c = -
(O v%9vesor
Qvc ( - s69vvv)
COfl1p(e5Ø
•1
por CbIMpIeSIÓr)
_s4'1
pso -0Ib(Q0(o v)
Prof. D. Francisco García-Córdova
Dpto. de Ingeniería Térmica y de Fluidos
Área de Máquinas y Motores Térmicos (UPCT)
11/61
Downloaded by Carlos Ubaldo Labra Fierro (carlos.labra2101@alumnos.ubiobio.cl)
lOMoARcPSD|11246813
¿ AC eOeecci
?
lle ~o
/3 =
~ovi
S1"w / 137S i
(tç
1
n'l&S,'co dectjvci dE rf - jerctc:
(
o
ele 1eo en
•
,cyc + m
N¿-k3
) n
/d€
ercck
O
ULefie'cdc4
C3
Pe.y yQJq
el orlcle hs = hf5 (T) k
fs
(3ó 
vi
I26i Ei
Lrdo
E (r) kf 3,
12/61
Downloaded by Carlos Ubaldo Labra Fierro (carlos.labra2101@alumnos.ubiobio.cl)
lOMoARcPSD|11246813
-
fi eada
 [
Z113 - H?-1 22
1L5 1 T9 -
F3,96)
u CA Q L3
k 1/5
:o ~
'-Ii
fc-.Ma T- S
Fi
fLbr
'I9'c 9bur
r
j
VLe,( COYtÁptÇcu1or UflL cÍe. preo '
t.
Át Code.çcdor 'hii3j, e'44rct C( U4c
rec,'o', de '- kctres k, sctle Cori
>' (ø/c4 j)e'rdad c de pre»-s io'n O,, 9 hcsr.
Prof. D. Francisco García-Córdova
Dpto. de Ingeniería Térmica y de Fluidos
Área de Máquinas y Motores Térmicos (UPCT)
13/61
Downloaded by Carlos Ubaldo Labra Fierro (carlos.labra2101@alumnos.ubiobio.cl)
lOMoARcPSD|11246813
O Lu C1Ori P R.O ( LP4 14
L(udo s 4+,rcb
f H Coflcliçco.
d' xç7wt9'o'1
bar
P4 :: l46ür
P tz.b
T2. 'ÓC
Co
a -.-. T= — LO °C
lj 4bar
R_134c
C Mpreor
4 bd-Í- co.
q) Vcov7preor
??
LS
/ cci;dero.ct'ofleS
a) (cu COe(4 crLdzCLo COVYIO yó [ovnI
on áe Coflr4
bl
e"t
U>s e4eci-os ¿ceccctcs
EfQj?O fUdbr
1,M
c)  c. á Ia'ícV.,[c4 e u& proc&5
d ,frctutQ vnDr-k.
Es4c*.co1 R- 13'4c
Tc414 A.-(L
h 1 2LjL(Q K/3
- 1O Sobrec[ j 4r
a
E4o 2-
~7- = 3 1 (:Di ¿ L~
V
vr-,
T .
'2
14/61
Downloaded by Carlos Ubaldo Labra Fierro (carlos.labra2101@alumnos.ubiobio.cl)
lOMoARcPSD|11246813
kdo
z 7= 11 51
9/
Escb Lj
Pce'o de
TQDct A-1
k
k 9 h
7
T-
t2 bc.r
- k:F3
Y-
--- 9 o c
.(t.1 Iy'
ck)
5
?o --ertcc4. ¿eI coç)ese-
CÓYMp(esc r
,Çyc — wvc-+
CoPq(er C
rWv c
ttJo
R-ntev)
e
• fL 1
R-Iu
"1I-MZ
Prof. D. Francisco García-Córdova
Dpto. de Ingeniería Térmica y de Fluidos
Área de Máquinas y Motores Térmicos (UPCT)
15/61
Downloaded by Carlos Ubaldo Labra Fierro (carlos.labra2101@alumnos.ubiobio.cl)
lOMoARcPSD|11246813
o
YTI
k =
e c - t. ScAc<ncede ,e 1 q ev
Apt~~
C-
. -
c)
o-
m R3
rn 3
O
1 43(4 -
' _w
3LIct
-
L3t
i2L
5
jtLVJ
kvces etC U'
COMteSor
DOH- (293,L4 -IO2-1)
COreSiÓV 16/61
Downloaded by Carlos Ubaldo Labra Fierro (carlos.labra2101@alumnos.ubiobio.cl)
lOMoARcPSD|11246813
ce Gíctcfl
1 Qe4rS)
)We)
o
m134q
¡
E
J9 - i
ii,q:
O g:j
3:
Prof. D. Francisco García-Córdova
Dpto. de Ingeniería Térmica y de Fluidos
Área de Máquinas y Motores Térmicos (UPCT)
17/61
Downloaded by Carlos Ubaldo Labra Fierro (carlos.labra2101@alumnos.ubiobio.cl)
lOMoARcPSD|11246813
SDLUCIO'Ñ !L&M A4 3
Ps ¿CA
P4` iz
- res
CA
1_Ccór
Lcudb
4urccb
'w COr$w5o &)c
¿ t
(4M*k çs)Vo'zAuo'
FLibar
IdeCc.tcrde tjbr)
[on4-cc1-c,
cii W!7
0
cl-X)
L4 6c4
-qudo
scL rct___
viut.. de
)C4uYt%dV3
vi
1 (i-x)
Tz - 3cD°C.
Q ev'-rci (D4o
Jq 54.rctd
S5ewo ¿e
uSQv%ck
L 5 Coe(5
vtc2-
r.
tYECtCIOI r cOv1pe5IOr devctpor
CÓv7pes&1 de coS e-k4pcLs.
cecn oe4cY1eA.
18/61
Downloaded by Carlos Ubaldo Labra Fierro (carlos.labra2101@alumnos.ubiobio.cl)
lOMoARcPSD|11246813
E0 1
L SZ
tcbtQ 4- 10
-3oc
j9,0 Sq4jrcdc
1as4cco
a2cy1 L3/
j
Óq93L
2.
Lj
52S ) O19Ljqr
k,)Ç
Tbk 4- ¡a
/ > 2G0 1 62
Esk.do .5 TcbL.c4 A- 11
. bctr b
L(U%do Sqirwj
Es
e
I
T*41-4/C,j,¿j
-
Ysro
9 bar Çq 1CiC.L J cApuns
de Q14C4
TQ
_bIQ A- 11
2 -=
hJ34 -
1% 3z V-Y
~l
v~31 = 2-s 2-~ 3 z YIY95
19O3Z.
xr
Prof. D. Francisco García-Córdova
Dpto. de Ingeniería Térmica y de Fluidos
Área de Máquinas y Motores Térmicos (UPCT)
19/61
Downloaded by Carlos Ubaldo Labra Fierro (carlos.labra2101@alumnos.ubiobio.cl)
lOMoARcPSD|11246813
Eskd0 Tq blc4 A- 4 4
bar
a
~uio z
lrocew de es-4 rcnu1LlMi1 i'eMo
2. K y4
-
E4cJo cj
pq = L4
6",.
V or Sq- urQcj
To14 4-ti
z521 32. k-/
Es ~4do ~
C4tCtVt(e $Cc e re r3er-
.ç-1 • o
-
e
Co
lis~~=
Cct'yflctrck tck
n 4tic
(onieseç .4 2.
YN r) 3
Çondeviso.cr
cl xnio de t1-4
rn
4oces MS A3 20/61
Downloaded by Carlos Ubaldo Labra Fierro (carlos.labra2101@alumnos.ubiobio.cl)
lOMoARcPSD|11246813
Ck 1tcih
yn 3TZ c
de lc ci-u,
-í Jcdi en
úna rm
-
frcccr'ci de )(c L-) de
çortCeS
rY)cj r Grn3
3q Lance e erev ít viev1 &-c4c (crLcLrio
cj€ I.q ccXrvtctro -ftcush o vc(Forctdc'r
70 • /1 - —4 i
-pvc c 1 ~.. fle
c
, s
e. S
—(e
4O1S'15 2r1'eJ
hchcz 6 h10
—* ierccr)1bicÁcor
Ccttór-
T Cuyt(e e ener q (-4 1qvev) eCOfl(U-'O
uYC&  c.tck decLr de ccktd-7j
D;recÁ-o
rc +A1 6
c&v(e M1íCo
~ LYI5 =
5 3
CO
Vctvo[(.Ack cpus;o'o cie
Prof. D. Francisco García-Córdova
Dpto. de Ingeniería Térmica y de Fluidos
Área de Máquinas y Motores Térmicos (UPCT)
21/61
Downloaded by Carlos Ubaldo Labra Fierro (carlos.labra2101@alumnos.ubiobio.cl)
lOMoARcPSD|11246813
r
M1
( 1 é)r
De [L)
el
r9kc4 22 - rn k~
X0 r 3 hc -1-- rn3
Ác, k,-, ~ c 1 - xi, ) k 2
h 3 + s— o1 al5)2o1 6zj
P3 = DCt'r
lcibtq Á-12
= el 3Z
1 oI&
Es4Q 9
la bctre 59 =S3 Ójq3sl
Proceso , evt+rOCÓ
_-
TQq 4—iz
22/61
Downloaded by Carlos Ubaldo Labra Fierro (carlos.labra2101@alumnos.ubiobio.cl)
lOMoARcPSD|11246813
-°c
1 i'c.ruYvC&. _ cE
11 bq ,-
11
s
e os co'tpcesares.
Bu1L&r.ce d r1er fci'orcqi
Corre5ore.s cevt4-rcp ccS
o
=rn(k a )
n (k 3
's
c.vtLe ¿e e teg hi e
~n ret'rPte
-
o
b
O e
Prof. D. Francisco García-Córdova
Dpto. de Ingeniería Térmica y de Fluidos
Área de Máquinas y Motores Térmicos (UPCT)
23/61
Downloaded by Carlos Ubaldo Labra Fierro (carlos.labra2101@alumnos.ubiobio.cl)
lOMoARcPSD|11246813
ev4rctclq
rv 1
lOpi
'at' ±fl1
J-1or 6os
_x)
o
yn
rn
(1_X)
En-cyçe e (a) ~ W
= ) (2~2q, ILI-2G0, 6Z)
=KW
Q
-Z -~ ,
= (ol t
b)
E P- r- p —
de. °ídc
/ Qe4rcdc.4]
)
1 Q en rudu) = lo
24/61
Downloaded by Carlos Ubaldo Labra Fierro (carlos.labra2101@alumnos.ubiobio.cl)
lOMoARcPSD|11246813
Wc ¿ i
lo Oy a 1 wl" n
/ Lo <5 V-
1/5
¿IEIII'
Prof. D. Francisco García-Córdova
Dpto. de Ingeniería Térmica y de Fluidos
Área de Máquinas y Motores Térmicos (UPCT)
25/61
Downloaded by Carlos Ubaldo Labra Fierro (carlos.labra2101@alumnos.ubiobio.cl)
lOMoARcPSD|11246813
LuCtQ'tJ 1I0eL444 .4=(- L1
4#4ONI4CO
lla bc-
LOc
(octc4Or
bctre
Z,:: (2bc4r
eç
C~ ',
Pi = .1-bar
T 5 °C
Rj Lba r
sS
o
1-
In ercQM'ciclr
cL Cucr- krzgp
¿e
ç-2.. Káin;
Qc4dq
?
4?
eJct?c y-c*.do r
ICLDI SQQo4O
0 en ~ycj,¿C~
26/61
Downloaded by Carlos Ubaldo Labra Fierro (carlos.labra2101@alumnos.ubiobio.cl)
lOMoARcPSD|11246813
Covxs ; eyaC es
( ctdc C ipoflevi4-e cis c cicLde comoj ¿
COP+YI en
za') Tdo s cc'çc sÓrt at@I1-e reverb).
ckn ó'vi se vi cdx4-'r'
L{')
'-OS e-f1c 4-cs ¿e E c y gp 5oyi 13noreJeS.
Se ciSot'Vl& que fo Y'(i'( Pe- (c ctc& ¿ CcOr a
ex4erør en e( ercuwcidór ck ccttor
neYa--vo'
Eskido 6
tcq -1M
?Ç Lb- 4 ¡S/
Scraco /J•
S4ctd 1
TI z SC
Sobreat (ev4cLdo
Tqq t-(S
•'t_=-
t9'31Zt: /KL
5-;.
Tctc1 A-lS
= le> bce r t 63
?eceço ioedpc
-
O 2-5 SL4
5oirc, tev4do
krcLd0 •3 A- f3
T'3 = L40 bc
h (oc) 3 IJ 35
bendo
Prof. D. Francisco García-Córdova
Dpto. de Ingeniería Térmica y de Fluidos
Área de Máquinas y Motores Térmicos (UPCT)
27/61
Downloaded by Carlos Ubaldo Labra Fierro (carlos.labra2101@alumnos.ubiobio.cl)
lOMoARcPSD|11246813
ke)eyv-oycldcv-
i tOv de evrc. e r CtCOv1Ctri'O.
C) -
-
Zwe -
s
-
/d1 e s
>y~
= r 3 3 rn tm lb c ~1)
Luvtce de WtCtSC
es ~Qci
l~ e
=
fl 1 = m5 (Ç - Mj
4 1
M
14 ¿ ¿Y)
V:- fl1
Rejevt&rctdoç CI'ÍCO'40 442
Y,1 m
28/61
Downloaded by Carlos Ubaldo Labra Fierro (carlos.labra2101@alumnos.ubiobio.cl)
lOMoARcPSD|11246813
VtYi(Q5 ce CL
rH-rl
Y9 = vil
-
- 3i-1 1 s 4qe 1 4
2'G j 1
?voce'c ¿e cs ~ycjgyjLm ev~~o
::-
2-SL1LS4
-r
-
lii - -
mal
LS°c)
5
:D 1Ct3fCiY1Ls
_Çc
Prof. D. Francisco García-Córdova
Dpto. de Ingeniería Térmica y de Fluidos
Área de Máquinas y Motores Térmicos (UPCT)
29/61
Downloaded by Carlos Ubaldo Labra Fierro (carlos.labra2101@alumnos.ubiobio.cl)
lOMoARcPSD|11246813
¿ie C% c 'n
1 cvice de evier5ll ei lesi
Ca
rn
Qvc -
Q eNtYCLdcl rn -
c;)
0
. rn5
Q,e v~~t 2961
5) y
~
q
jTon
e j
v4,f cáj
x= L~
=
kcc--~Y'~~
b) ?orencct. Jet CÓPI,tpresor.
0 nkpveso y' 1
Lktvl.ce c en çrnel es~uc i OYICL r Ib
Wc v íh j -Jii )
r dl
' J
C :
,—: Y-- W
30/61
Downloaded by Carlos Ubaldo Labra Fierro (carlos.labra2101@alumnos.ubiobio.cl)
lOMoARcPSD|11246813
c) C radc(v' rl
%
- 1n (h6_hsfl
 eo  ynC1
1391,41 _ a,1 s
-
14931 2S_20l5, 2 )
«IIIII3iI3
e&r i cS
E Qrtercclor &fchcdor ¿ecc1cy-)
1') T e n¿e ctu -t- Cc puc
kzeíf 19 e Yu-c
l Ádc o {e&er Uv vc&poc
5obi-ecct(&+Ud E>n k el-rcLdc4 del covii .esoi'.
3') & Vo1UvVtv feC(-fCO 'td ¡t
C Y 9'pr 1 pos' 15tvt+€j ccurver4c
Cl
Íctu&U
Prof. D. Francisco García-Córdova
Dpto. de Ingeniería Térmica y de Fluidos
Área de Máquinas y Motores Térmicos (UPCT)
31/61
Downloaded by Carlos Ubaldo Labra Fierro (carlos.labra2101@alumnos.ubiobio.cl)
lOMoARcPSD|11246813
&LUCLÓN Pm b~úmia- 44 5
5{Yev1c(c
die Cci lo~'CLI
P2x.ir
T32OK
AIRE
o
P, -:. ZiDcLrs
T1 3OK
/
o.re e..drudó
-
'VI 1
ktevci q
)c t cL
13 Z o1qs beir
V?
c t
7
b
32/61
Downloaded by Carlos Ubaldo Labra Fierro (carlos.labra2101@alumnos.ubiobio.cl)
lOMoARcPSD|11246813
l~ u cjrcn'ta. T-
----3lOL
7
F3
5 (-Ohtvt6riÓ5 el Ponk C
3)
es a¡ porvio D
9,5 porqve
çd ser*d'pi'cc*
') (ctclq 42 n r 9 V%'%@V)
b') No (cdc4 de ese' ct$rayEi3 dEj
CC4VvibCdO ( de Cctlor.
c) -cs efc4cs E E p 5cn dsçecc.dos.
d) La -Tu b 1 n Ct operc dc -r^A nerq. adia cci
e)Ft Ccirp~ es n.iod&kccío Co4C9
3
Q S ,dcwL
C4) #tcro desQrtoack4 ectTurnq
Ttj ç bnq
BQECvICe ¿5 Erterq evi r9'rnevi hZCPQ,2QÍIb
o 7O
-
VVT_
Prof. D. Francisco García-Córdova
Dpto. de Ingeniería Térmica y de Fluidos
Área de Máquinas y Motores Térmicos (UPCT)
33/61
Downloaded by Carlos Ubaldo Labra Fierro (carlos.labra2101@alumnos.ubiobio.cl)
lOMoARcPSD|11246813
IiÇIÇII)
T b nu PtcDCe$o ¿
..
apuVISWn
CQ eY4 rcp D
SS2
s35S3 1 QV4C ¡
) L5Oe4+ÇOpI
(3s)
ele tUSu evt te
5kL(%o vtctrO
;w15
e
L.4CuMftLctcr de cctor
Tuf bina
2
cbn.ck
YA = A
3
E
rt; t1) Pl3
Pedernos 4Tu6ctY con cts çeskDnes rekt4-ici,s
-e e ( prceso e ¡ Sc eivkdpi'Co.
iSoY4fp%CC1
Pr
Pr3
P3 5
Fr3 ( )
TI =. 3ZOV,
ky
h3ZO 1 lct
ij
)
01 95
Pf2.
22,
L1 35
p(3S «z 01 ~ 7- 153 )
34/61
Downloaded by Carlos Ubaldo Labra Fierro (carlos.labra2101@alumnos.ubiobio.cl)
lOMoARcPSD|11246813
]e tc-t. Tcbk. 4-aa
O ''2 —3
7
De (L) doyde 335 orServnprcoc
eXpero oev+rdpc.
w 0 (hi--k3s)
vvl .i  (o1zc - LS8
S 9-k
l
o
Lyj
16 1
5
~~7)ret -
-
Ql ~T
~.r)recti z: c5t-fs ~ Gi, 6 z
b or 4Y CLA<Sfer i
-do de. CLi (j a14Q(t4e
cumbi'cickr ¿ ccbr
e En mí
o
-
o
jo
Qiscxit ~cx -
- m c ~ 2. As
Prof. D. Francisco García-Córdova
Dpto. de Ingeniería Térmica y de Fluidos
Área de Máquinas y Motores Térmicos (UPCT)
35/61
Downloaded by Carlos Ubaldo Labra Fierro (carlos.labra2101@alumnos.ubiobio.cl)
lOMoARcPSD|11246813
L2Ü 4-Z
-=
JAJ
(K,)
C0
He~
ác
Q ~ :ii ::
36/61
Downloaded by Carlos Ubaldo Labra Fierro (carlos.labra2101@alumnos.ubiobio.cl)
lOMoARcPSD|11246813
fi fi
UPCT
industriales
Termodinámica Aplicada etit JP(
-LjCi PoiE-s.i4 44 Co
4 ?RL6JTG
(yQPbV cc4rc&c)
Saturated vapor
at 200 kPa
Air A
YAC lo
C~/4iUQ d
li )
Make-up
water
at 15°C
@ + r-
CoMQ&v5400J..
d e Re ii Q )rq Ci
de I4a-frcç
Condensate
return
to dram
25,000
kg/h
( Bo»i bu)
ÁuA- D
A)PtZ, 4M 1 t91 1Ó
De GALI D/-
S4LsW DL
CÓtJQ#p0 4
A4J
Prof. D. Francisco García-Córdova
Dpto. de Ingeniería Térmica y de Fluidos
Área de Máquinas y Motores Térmicos (UPCT)
37/61
Downloaded by Carlos Ubaldo Labra Fierro (carlos.labra2101@alumnos.ubiobio.cl)
lOMoARcPSD|11246813
;derac,'oLOS
j Cudu componeq4e 5 Co4'U. Uvi yo !urnn de covi1ro
evx rmev
21) t ccó de LLbCnbQ es dsFrEcable.
3 cr' dFrecJdcis.
N ¿, W,y ?rd d coc fec 4fa ns
fp-red c~c~
COri
E %~Qdb i
T1 '°C
L(ctudo &dorado
sk1d0 a
A-
h2 ZO) q8 K
G.
Wgombck despitoci cx
W 0yp
-'7
 jí35 k' NA2.)
2C)1 k,r/
25OOO
( Bk4C ¿
Ofl(jrl'Q
s c
o
m2
o
o
E 6ce k); rfl
38/61
Downloaded by Carlos Ubaldo Labra Fierro (carlos.labra2101@alumnos.ubiobio.cl)
lOMoARcPSD|11246813
Ec4co 3
crcub' 1d0 d (ce k
Qen4íctdct cc cdad c4e F e 1
,
13 e
3r-N n&ralícA e m y 41vj kci'o,iÚ 11,0
Q4rd 3 - z ha
-::
Qera yyj
a -
Qe4ro'4c4
(zo1 L
li+
Ki ) oOOh TJ-
92-
Eis1uic) L
°C
Lcuo 4çckck)
(Ti,) (s
r9. GZ19c LJ/
.5
T 5°C
V?r Sq4.rQQ
(T)8 (°c)
s=Qslq ks/K
Prof. D. Francisco García-Córdova
Dpto. de Ingeniería Térmica y de Fluidos
Área de Máquinas y Motores Térmicos (UPCT)
39/61
Downloaded by Carlos Ubaldo Labra Fierro (carlos.labra2101@alumnos.ubiobio.cl)
lOMoARcPSD|11246813
Ertd G
o
'jctoY
Ekd0 -
KPc k
ci) -~
Pi:i Li ~-, p, ~ 1 = ~i,( ~1) — f2-1 ur/
LoS1ra
colo de( auc& fy-(fck TOUCU
( ~e Po Idv) )
ZckC On
(H) ¿e (C4 e
Ejv-y)
Y'
---1
V '15 + rn
= M i oeo
o
eyCA
Ç)JQCC& 93r
1Lk
40/61
Downloaded by Carlos Ubaldo Labra Fierro (carlos.labra2101@alumnos.ubiobio.cl)
lOMoARcPSD|11246813
Lfl4oyce5
b /
( 2 S-000
q-9z/g
rn )
m1 (h9 (4z, q q —25101
caodql de repoi'cOP
b) C)dc&l Qj UCA de frurio
Y-
B:í1üv ¿' EV1E(C& Ebt
acOflarO
ZL -
0 11,9
0
k
yn
jiCt rfYI'C e'dq
c*ldc
Ake
Qc4
p
a
e vljYCt
T r
ífl —4 OucÁ
vlor)c
ít
ri— e
—y,

Prof. D. Francisco García-Córdova
Dpto. de Ingeniería Térmica y de Fluidos
Área de Máquinas y Motores Térmicos (UPCT)
41/61
Downloaded by Carlos Ubaldo Labra Fierro (carlos.labra2101@alumnos.ubiobio.cl)
lOMoARcPSD|11246813
i el Inyec4-c),- de 'apor-
-& evt re í jm(20
P5k(C'oyK) c
2EI vh3
rn
• 6 h +n5
_dE( Si
- 1avrec
Oq
w 4
r5 -Qc0 >j ct
Ion(, 6DS
h 5
r
5
o (L L
r- 5 r is , i
rn 9 )/h
38 ky/
2S5L11 L1 ._ ZfO6rf
Ll
95 1gB
iÁ
42/61
Downloaded by Carlos Ubaldo Labra Fierro (carlos.labra2101@alumnos.ubiobio.cl)
lOMoARcPSD|11246813
'T ) 4
TE Z1 9 1%
Ts k s°c k h25°) oq1qk
be 1(~
ecQC(`01,1 (L)
irn-T ( b-118)
re Çn,erod
0
íefi-
j
cdq
_zI
Q
Lis
re~ ~je rc(dc4 /
------ -.-----
/
5b5 ¡
¡
Prof. D. Francisco García-Córdova
Dpto. de Ingeniería Térmica y de Fluidos
Área de Máquinas y Motores Térmicos (UPCT)
43/61
Downloaded by Carlos Ubaldo Labra Fierro (carlos.labra2101@alumnos.ubiobio.cl)
lOMoARcPSD|11246813
-~Irlo T
NV
- 1
N
P T -r= C
:4
50LJCÑ OLEM , #
Cft[0 1LWC-1 d ecc
Proceso i-..z. : ?cxeo ¿ecowes;cv1 rcc (T=C4,C.)
cxeso 2-3 . c cee O. (oJcyen
crs4u(i 4e L koces& Occv cci
oceso _w, ?Y ecesc> ¿e i se+efr^i CCA (jzc4e).
Proceso • ?çocçc c o &ú(YeA
cóvsctr4e ( proCSo -?Soccft 'co )
rPJCc 1- CI AMENtO PL4109- T1RLtJG
---VI bÚSICO ce n'ev -O ck rno-kr
- cctl&r.4c4r
medt'a a'c' ya Seq heto 1 kdrceno
o iY1CtJ50 c1IJvtci. cLase cle
)t Ccdeyi4-ar el rnecIo de coEqireo
que (rcrevnen4e s $E 44/61
Downloaded by Carlos Ubaldo Labra Fierro (carlos.labra2101@alumnos.ubiobio.cl)
lOMoARcPSD|11246813
CtCLO tiWC7 PcE
ese Mowen4o de ex)uy1SC1 PQru dpkatr
uu puí4-e del o+er, Ço -e mev1-e1 c
ertf- c. y de iuevc e md 'o d e- +rct 10 c, re ¿ JCe
S YoLjnie'pi Lorpíesidr) ) 5e co,iciqie qu e e
rno+ore..ivc ctu p'co órnYd o
- mo4o' ieipíe cÓ l misrno rY)ecO
de +rao ,
10 ce eÁ vno+or debe .Se v-
her
Izc4e
7 TOOK
1 c
TF-
¡ Qefradc4
CICLO tIJy€í$o D srgLtÑC1
1 - 3 ' coÍvçesic o4et'rn ' Cc4
?vcceso .-t- a Expcni df ni
o g16gAhJr AiR-
4j
rn
¿e compieslov,
G
p = Cój =T coef; e n4e Je ópeíucd'v,
Prof. D. Francisco García-Córdova
Dpto. de Ingeniería Térmica y de Fluidos
Área de Máquinas y Motores Térmicos (UPCT)
45/61
Downloaded by Carlos Ubaldo Labra Fierro (carlos.labra2101@alumnos.ubiobio.cl)
lOMoARcPSD|11246813
) .
) E C, i fe Se Có rxvo(+ti. w me aps iC, eq
a. CortpeS'O'ø or So+e '
rcv °cc&5
Lt') T05 Os prcceS Son eveçshk.
s) Lo5 4.cos ¿e k Fc y Ep son ck3?íecdo.
Un erierctdcr rdectl es de obe aci
o evexc& çeckz-adu ¿orox4e e ?(cceÓ 3_L4
Ser usadc4 cómc ce
djç(n4-e e 1-2..
- -
q) Co.. k r íCtfl5fer db ¿ o ra exp ç ' ¿y ;
c%Lctn(e Qe enq afa
4 ?° y-!
Q w
¿u4l
CU-S-ULJrK
-Tew 1111 a
'LI4 -= 1 Cy (T ) dT
,tAi-(-4tt=
46/61
Downloaded by Carlos Ubaldo Labra Fierro (carlos.labra2101@alumnos.ubiobio.cl)
lOMoARcPSD|11246813
a&
1 Tcx 'o
ES-tudo 2
•—* Tc. TeMe. Çóco cceb"k
Eodo 3
T3
1k
tLj = '.00'
--
1.L
Re-tel£i&N ¿e co(yreS cVI
EE
=
T2- Z"3
vz_, ?
V'6 -
Prof. D. Francisco García-Córdova
Dpto. de Ingeniería Térmica y de Fluidos
Área de Máquinas y Motores Térmicos (UPCT)
47/61
Downloaded by Carlos Ubaldo Labra Fierro (carlos.labra2101@alumnos.ubiobio.cl)
lOMoARcPSD|11246813
le- Q vCCtQ) ()
ci-)
70
u- QL.(_WII
FQL, 1 -Z- WL4 1 -
LQW 1- _
o-?roceo 4-1
nl
vT a— iDolis c
JL1
EdV
Ir y9
(,34 r
_ -
28iJ
lo =
48/61
Downloaded by Carlos Ubaldo Labra Fierro (carlos.labra2101@alumnos.ubiobio.cl)
lOMoARcPSD|11246813
b 'ie4o, ¿eÁ ci clo
TcDcesc i2
w jáv J:: c4
m
PÇOCeS 2--- ,
W2.1 c
yn Y2.
Z_ M14 ~Bco K) ~n J')
~-
22—
ct-~ 5.K CO
S 1 2t
P'oceso 3-LA
ÇPv
J3
Mefl.Ck¼ )e'k
N CtCLQ L4
1-31rIC,
Wc10 = - tSZ41Z6 .o #
Prof. D. Francisco García-Córdova
Dpto. de Ingeniería Térmica y de Fluidos
Área de Máquinas y Motores Térmicos (UPCT)
49/61
Downloaded by Carlos Ubaldo Labra Fierro (carlos.labra2101@alumnos.ubiobio.cl)
lOMoARcPSD|11246813
c Coefden-k kcpe aco'
t/m 1
ccLO
5i Lj
toz I gH
L
/'3 =:E ERIJj
'T)
0rnc
1cTF - 3m—LOO
50/61
Downloaded by Carlos Ubaldo Labra Fierro (carlos.labra2101@alumnos.ubiobio.cl)
lOMoARcPSD|11246813
-OLuCiÑ OLEMA 4
cIJ
4
4 stdc
loar 1
Lct. Sc rudo 1
de exiota~¿In
Ci
Wc
0
cJ,yfl reSÓn
cq
tL1c
:14z
L4b
C-4) (i)
S 44r4cVu1c.ç ¡
ipcy)
Qa
VáMo kcx 1e
exvçgr,
ac4cor
1 1%
IG, , 1 z c,
VC(?OÍ 1-tiíct&
OY
Sluio rvtko de cuJ« evcracbr
)
t4enc1q de( compíesor (v)
rl
c,.1dc
Prof. D. Francisco García-Córdova
Dpto. de Ingeniería Térmica y de Fluidos
Área de Máquinas y Motores Térmicos (UPCT)
51/61
Downloaded by Carlos Ubaldo Labra Fierro (carlos.labra2101@alumnos.ubiobio.cl)
lOMoARcPSD|11246813
CçtccQ íccktes
t) Codq vei4e o.nct ctc como volumen de ccvi4rol
¿) Tdo b5 pÍOCeSS en cie 4*CA bctiq e(
Sor ertctmer -1e e 'erç b (eç.
Lc cvuu5 de expunsk
io y
ti sufren el proceso
d e~5 +rCtr,90 en-~o.
1') crnv?rSor opero. QCCJSrl&n4e
s) -c efec1-cs
• s L bk&s ce' Re-Ç te iqy4e
E5ftd 3
O bQr
L9. Sct4uçcdo
i5
E- L4
PwCso de -rccerd3
=
Ea0 5
?'róceSo cte Qr-.>4yan
5 0
tant i o- VX~o
 =.
T - t°C
52/61
Downloaded by Carlos Ubaldo Labra Fierro (carlos.labra2101@alumnos.ubiobio.cl)
lOMoARcPSD|11246813
P1:3,Zbcir _)
Va ç = ¡
E4ttc10
Vroce cukert4
B
OSe(vq qu e ert Q 4 se e r va. a.
ccro4rç -W?- cic '.idvL,k, cviSO'r
e Octjc. Lct ev-4alpictS eri esc
Sv isr1a pero vio [os
fluios mávicoj
ue Pcxscin
/
1 'ci1tnCe c.eÇuo rvxcLcIct
)7
v ie'i
ÇZ6
¿- rn
CoyreSó r
C r
"
¿se. AcL
0
Prof. D. Francisco García-Córdova
Dpto. de Ingeniería Térmica y de Fluidos
Área de Máquinas y Motores Térmicos (UPCT)
53/61
Downloaded by Carlos Ubaldo Labra Fierro (carlos.labra2101@alumnos.ubiobio.cl)
lOMoARcPSD|11246813
cte eKç7crn'n ce bcqcl
0 b
Y s =A
ccLdc ç * $
Ecoç 2
flL
fcWkk e co ác
YYN
YYIB
yn Y'= rnL
o o
-
Tj
bservc% 
Ll
-
- O
o
u lo
a % cÇs;co á ccdc evcorador, e
s/n, i n a
54/61
Downloaded by Carlos Ubaldo Labra Fierro (carlos.labra2101@alumnos.ubiobio.cl)
lOMoARcPSD|11246813
1
(%1U'tC e e
o
rl 1
m _ri
¿
E i 3-ov
-
IIIE
eç-cc10ncir t
ton
(K4AH)
o
att_/r3i 'fl
-
J-±ov
1
1
D
n
h ?e Ccp So r, e v kkJ.
Itnce E? 1e&4 e ekectbru r to
(i)
Prof. D. Francisco García-Córdova
Dpto. de Ingeniería Térmica y de Fluidos
Área de Máquinas y Motores Térmicos (UPCT)
55/61
Downloaded by Carlos Ubaldo Labra Fierro (carlos.labra2101@alumnos.ubiobio.cl)
lOMoARcPSD|11246813
r r4-8
ri -= 3, /1;Y
Lc rezclq ¿j por° E
twCe d€ e yect y fl4uSq e
Qs-ktc c»1ctrO
rkt
i5/
Pi -=bc-
h1. I828 2
EMctclo 1
=
Se by ecck levtvqc(b
Ectc10 L
P tOkctr5 SSLOtU
?OCeCc ,ceniT c
'obre ccenkLc1o.
56/61
Downloaded by Carlos Ubaldo Labra Fierro (carlos.labra2101@alumnos.ubiobio.cl)
lOMoARcPSD|11246813
e 1 co y-vxesor c. e. 1 cx e cuqd olviCI)
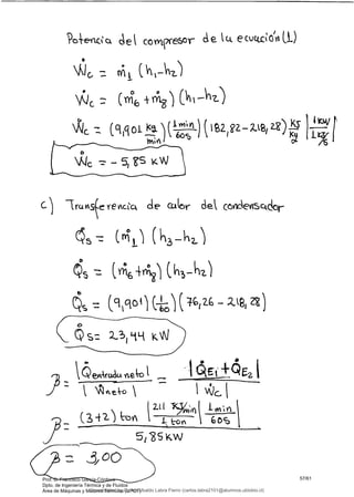
wc,
íi c +r
(q iqol ~
). )~1 yvl«% n
(z,a- 1 a)
Ls'
/6
C ) ruvtS e y e vxc-L"Ck de calor áek ccesck.dor
ri (k3 j
C 6 4r
boJ ¡
:1 ±' z (
-
-
KIIIEI.IIII
5 KW
Prof. D. Francisco García-Córdova
Dpto. de Ingeniería Térmica y de Fluidos
Área de Máquinas y Motores Térmicos (UPCT)
57/61
Downloaded by Carlos Ubaldo Labra Fierro (carlos.labra2101@alumnos.ubiobio.cl)
lOMoARcPSD|11246813
— Lpc
3,lbar
/
/
/
Qr4
5
3 1- a
i runw T-5
58/61
Downloaded by Carlos Ubaldo Labra Fierro (carlos.labra2101@alumnos.ubiobio.cl)
lOMoARcPSD|11246813
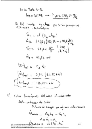
uSJtó
Es4 3
PLbbtr 1 105,c 3/
L' q . S-urctcLo
E& L
hL h 10'5 1 ac s/
h9 : 1051 z
h Z361 Ç3
V4?o( S&rrctdo
1ctcb '.
Pf = 312bcir —?
-: ')Ç
SC%JÍC.LdO
= J7
q Çtu/
O t$Cc5
L4 z3 in
P-encci. en E?it escr-
2.H 1 1 13
-4, 1
- Evctporc*dor #2.
Prof. D. Francisco García-Córdova
Dpto. de Ingeniería Térmica y de Fluidos
Área de Máquinas y Motores Térmicos (UPCT)
59/61
Downloaded by Carlos Ubaldo Labra Fierro (carlos.labra2101@alumnos.ubiobio.cl)
lOMoARcPSD|11246813
cj
= 0
1 9'iq3 k3/t
Na4o- C-IM) cC>b4e (
O coç ¿esetciÁo pt ir ei conáensac6r
Q5 ~ - 1
6
1$:
qeti~rcidu e1' i
1
i
)
(3424on
-. 5,3ZCkKw
31
60/61
Downloaded by Carlos Ubaldo Labra Fierro (carlos.labra2101@alumnos.ubiobio.cl)
lOMoARcPSD|11246813
/
/ / í
-0
wq bu,
— f(8oc-- -
Prof. D. Francisco García-Córdova
Dpto. de Ingeniería Térmica y de Fluidos
Área de Máquinas y Motores Térmicos (UPCT)
61/61
Downloaded by Carlos Ubaldo Labra Fierro (carlos.labra2101@alumnos.ubiobio.cl)
lOMoARcPSD|11246813

problemas-de-clase-tema-refrigeracion-a.pdf

  • 1.
    Studocu is notsponsored or endorsed by any college or university Problemas de Clase Tema Refrigeración-a Termodinámica Aplicada (Universidad Politécnica de Cartagena) Studocu is not sponsored or endorsed by any college or university Problemas de Clase Tema Refrigeración-a Termodinámica Aplicada (Universidad Politécnica de Cartagena) Downloaded by Carlos Ubaldo Labra Fierro (carlos.labra2101@alumnos.ubiobio.cl) lOMoARcPSD|11246813
  • 2.
    Termodinámica Aplicada Problemas Sistemas derefrigeración por compresión de vapor Problema 1 Un sistema de refrigeración por compresión de vapor tiene una capacidad de 10 toneladas de refrigeración. En el compresor entra flujo másico de refrigerante R-134a en vapor sobrecalentado a 4 bares y 15 ºC y con una salida de 12 bares. El proceso de compresión puede considerarse politrópico, con n=1,01, modelado como pv1,01 =K. A la salida del condensador la presión es 11.6 bar y la temperatura 44 ºC. El condensador es refrigerado por agua que entra a 20 ºC y sale a 30 ºC sin pérdida de presión. El calor transferido entre el condensador y el ambiente puede considerarse despreciable. Determinar: a) El flujo másico de refrigerante, en kg/s. b) La potencia mecánica consumida y el calor transferido por el compresor, en kW. c) El coeficiente de eficacia frigorífica (EER) o coeficiente de operación. d) El flujo másico de agua de refrigeración, en kg/s. Problema 2 Un sistema de refrigeración por compresión de vapor utiliza refrigerante R-134a como fluido de trabajo. Las presiones de evaporador y condensador son 1,4 y 12 bar respectivamente. El refrigerante pasa por los intercambiadores de calor sin pérdida de presión. A la entrada y salida del compresor las temperaturas son -10 ºC y 80 ºC, respectivamente. La transferencia de calor desde el refrigerante en el condensador es de 15 kW y sale líquido saturado a 12 bares. Si el compresor funciona adiabáticamente, determinar: a) La potencia mecánica consumida en el compresor. b) El coeficiente de eficacia frigorífica (EER). Problema 3 Un sistema de refrigeración por compresión de vapor utiliza el esquema de funcionamiento mostrado en la figura. El fluido de trabajo es el refrigerante R134a. En la 1ª etapa el refrigerante entra al compresor en forma de vapor saturado a -30 ºC. La cámara flash y el intercambiador de calor de contacto directo operan a 4 bar y la presión en el condensador es de 12 bar. En las válvulas de expansión de alta y baja presión el refrigerante entra como líquido saturado a 12 y 4 bares, respectivamente. Si cada compresor funciona isoentrópicamente y la capacidad de refrigeración del sistema es de 10 toneladas de refrigeración, determinar: a) La potencia de cada compresor, en kW. b) El coeficiente de operación. Prof. D. Francisco García-Córdova Dpto. de Ingeniería Térmica y de Fluidos Área de Máquinas y Motores Térmicos (UPCT) 1/61 Downloaded by Carlos Ubaldo Labra Fierro (carlos.labra2101@alumnos.ubiobio.cl) lOMoARcPSD|11246813
  • 3.
    Termodinámica Aplicada Problema 4 Unciclo ideal de refrigeración por compresión de vapor se modifica incluyendo un intercambiador de de calor a contracorriente (regenerador), tal como se muestra en la figura. El refrigerante es R-134a deja el evaporador en estado vapor saturado a 1 bar y se calienta a presión constante hasta 5 ºC antes de entrar en el compresor. Después de una compresión isoentrópica hasta 18 bares, el refrigerante entra en el condensador de donde sale a 40 ºC y 18 bares. A continuación el líquido pasa a través del intercambiador de calor, donde se enfría antes de llegar a la válvula de expansión a 12 bares. Si el flujo másico de refrigerante es de 12 kg/min, determinar: a) La capacidad de refrigeración, en tons. b) La potencia del compresor, en kW. c) El coeficiente de operación. 2/61 Downloaded by Carlos Ubaldo Labra Fierro (carlos.labra2101@alumnos.ubiobio.cl) lOMoARcPSD|11246813
  • 4.
    Termodinámica Aplicada Problema 5 Pararefrigerar la cabina de un avión, se extrae aire a 2 bares y 380K del compresor principal. El aire extraído entra en un intercambiador de calor donde se enfría a presión constante hasta 320K cediendo calor al aire ambiente. A continuación, el aire se expande adiabáticamente hasta 0,95 bar en una turbina y se descarga en la cabina. La turbina tiene una eficiencia isoentrópica del 75%. Si el flujo de aire es de 1kg/s. Determinar: a) La potencia desarrollada por la turbina, en kW. b) El calor transferido del aire al ambiente a través del intercambiador de calor, en kW. Prof. D. Francisco García-Córdova Dpto. de Ingeniería Térmica y de Fluidos Área de Máquinas y Motores Térmicos (UPCT) 3/61 Downloaded by Carlos Ubaldo Labra Fierro (carlos.labra2101@alumnos.ubiobio.cl) lOMoARcPSD|11246813
  • 5.
    Termodinámica Aplicada Problema 6 Unsistema de refrigeración por inyección de vapor, que produce agua fría en una cámara flash. En la cámara se mantiene el vacio con el inyector de vapor, que retira el vapor generado mediante su arrastre por el chorro de vapor de baja presión y lo descarga en el condensador. La bomba de vacio retira el aire y gases incondensables. Para las condiciones mostradas en la figura siguiente, determine: a) El caudal del agua de reposición o producida, en kg/h. b) El caudal de agua de refrigeración necesaria, en kg/h. 4/61 Downloaded by Carlos Ubaldo Labra Fierro (carlos.labra2101@alumnos.ubiobio.cl) lOMoARcPSD|11246813
  • 6.
    Termodinámica Aplicada Problema 7 Unciclo Stirling de refrigeración, que es el inverso de un ciclo Stirling de potencia que opera con aire. Al comienzo de la compresión isotérmica, la presión y la temperatura con 100kPa y 300K, respectivamente. La relación de compresión es de 6, y la temperatura durante la expansión isotérmica es de 100K. Determine: a) El calor transferido durante la expansión isotérmica, en kJ/kg de aire. b) La potencia neta consumida por el ciclo en kJ/kg de aire. c) El coeficiente de operación. Problema 8 El diagrama esquemático de un sistema de refrigeración por compresión de vapor con dos evaporadores, como se muestra en la figura siguiente, utiliza refrigerante R-12 como fluido de trabajo. Esta configuración se utiliza para producir refrigeración a dos temperaturas diferentes con un solo compresor y un único condensador. El evaporador de baja temperatura opera a -18ºC con vapor saturado a la salida y tiene una capacidad de refrigeración de 3 ton. El evaporador de alta temperatura produce a la salida vapor saturado a 3,2 bares y tiene una capacidad de refrigeración de 2 ton. La compresión es isoentrópica y la presión del condensador es de 10 bares. No hay pérdidas apreciables Prof. D. Francisco García-Córdova Dpto. de Ingeniería Térmica y de Fluidos Área de Máquinas y Motores Térmicos (UPCT) 5/61 Downloaded by Carlos Ubaldo Labra Fierro (carlos.labra2101@alumnos.ubiobio.cl) lOMoARcPSD|11246813
  • 7.
    Termodinámica Aplicada de presiónen los flujos del condensador y de los dos evaporadores. El refrigerante deja el condensador como liquido saturado a 10 bares. Determine: a) El flujo másico del refrigerante en cada evaporador, en kg/min. b) La potencia necesaria en el compresor, en kW. c) El flujo de calor transferido desde el refrigerante a su paso por el condensador, en kW. Usando R-134a. a) 4,823 , 2,943 b) 5,329 c) 22,91 3,299 6/61 Downloaded by Carlos Ubaldo Labra Fierro (carlos.labra2101@alumnos.ubiobio.cl) lOMoARcPSD|11246813
  • 8.
    5OLUctÓJ Píz0UEM4 4i -tO3O°C 13 i1,kr T39t C- 3) CoÑO PtÇ2. p2. -=. 2 bar 8 VA LIQ.4 _ 0E L-X p4 ,çj1j t tbar EVA, rio jÇ Covip e sÇi c 1 CA) rnJ_,34q b) o1pso c) Cpescr ¿ &) 'av4de fr'yer QC4rctLc t(DTriç tri' erccicÇ = 7, 11 V--Sirn iY/. :=? 7 Prof. D. Francisco García-Córdova Dpto. de Ingeniería Térmica y de Fluidos Área de Máquinas y Motores Térmicos (UPCT) 7/61 Downloaded by Carlos Ubaldo Labra Fierro (carlos.labra2101@alumnos.ubiobio.cl) lOMoARcPSD|11246813
  • 9.
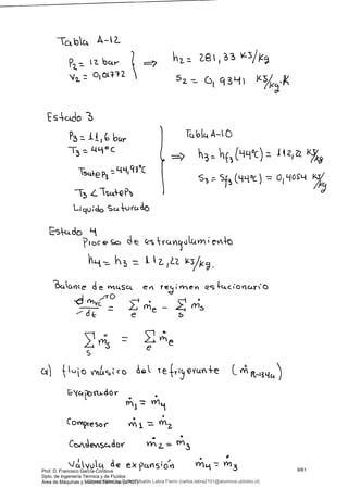
    L) ! Cucu cc)r?pofle%4eeli> unctttzcijc, COrio SSCwq Votr' de cóv'4roL evi r 1/ men cs+aciorKirs. a) ornedn -rcpc COYIr't LÓ1. Lo, c. 4e's de Ici vcvuc4 esún en3 ulctwevt4o. Li t Cito r ycc Ç,JC YC4 cG CccIScLdor -s t Ep 5OVL c j órctckt. L UQ e T l•cioLc A— t. U k- , Y T4 1 ¿5I ts TI Soc 50 J 'I e1ct3L.1 V I Sg 1,1 Es 4cio ioCe 6a r ioI ji 01 - PI v1 J - - fr' Ij . 3/ 8/61 Downloaded by Carlos Ubaldo Labra Fierro (carlos.labra2101@alumnos.ubiobio.cl) lOMoARcPSD|11246813
  • 10.
    clo. 4-2. tZctr "2 OLÓ +2 3Cf3L.1 ESA-C.i.á0 - P3 --i btr ':. 4L1, Ct3°C —vs ¿lSct Lud c4urctck ç(-1°c) i12,Za <S3 Sfl (4Ll QLjL4 C-s4do 9 c cec e hL- = Lz 1 ¿e tqsc en rv-e C> - -i e C LO^LL%tcc> 4YYCLY4e L 4 mz - ¿E e?cvs'o'v) rfl ( j1 : m3 Prof. D. Francisco García-Córdova Dpto. de Ingeniería Térmica y de Fluidos Área de Máquinas y Motores Térmicos (UPCT) 9/61 Downloaded by Carlos Ubaldo Labra Fierro (carlos.labra2101@alumnos.ubiobio.cl) lOMoARcPSD|11246813
  • 11.
    o m = mL1= Ll /7 Q ¿4: 5 0 ~k - - cctck e rt e1 evct por.tdcy- con kt.ccpucdud tc c. 0 [O R- 13 — ___________________ (259, l is- 112, n ) Crn L PL ,34ci D ~ l Z 'A 1 2U /)•1ip ~on 60S ') ?óC Cçç e c % CCk Uy ¿ = ve rs 10/61 Downloaded by Carlos Ubaldo Labra Fierro (carlos.labra2101@alumnos.ubiobio.cl) lOMoARcPSD|11246813
  • 12.
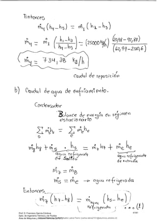
    r r) ioIz) (i1o_ bar J L 43 - (¿1) (0,052675) Wc. - R-L3 4} P t e q c.e Y -A 4yuJa c4 Coeór 0 f W tOlZ99)(13/2.J)JFJ LN covx Yeso '-1co1ipresbr —5, 64Yv C_) Ccj - por cçsor CoipTesor. durce de evter3(L& e te QVC wvc 4 rn c c = - (O v%9vesor Qvc ( - s69vvv) COfl1p(e5Ø •1 por CbIMpIeSIÓr) _s4'1 pso -0Ib(Q0(o v) Prof. D. Francisco García-Córdova Dpto. de Ingeniería Térmica y de Fluidos Área de Máquinas y Motores Térmicos (UPCT) 11/61 Downloaded by Carlos Ubaldo Labra Fierro (carlos.labra2101@alumnos.ubiobio.cl) lOMoARcPSD|11246813
  • 13.
    ¿ AC eOeecci ? lle~o /3 = ~ovi S1"w / 137S i (tç 1 n'l&S,'co dectjvci dE rf - jerctc: ( o ele 1eo en • ,cyc + m N¿-k3 ) n /d€ ercck O ULefie'cdc4 C3 Pe.y yQJq el orlcle hs = hf5 (T) k fs (3ó vi I26i Ei Lrdo E (r) kf 3, 12/61 Downloaded by Carlos Ubaldo Labra Fierro (carlos.labra2101@alumnos.ubiobio.cl) lOMoARcPSD|11246813
  • 14.
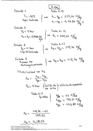
    - fi eada [ Z113- H?-1 22 1L5 1 T9 - F3,96) u CA Q L3 k 1/5 :o ~ '-Ii fc-.Ma T- S Fi fLbr 'I9'c 9bur r j VLe,( COYtÁptÇcu1or UflL cÍe. preo ' t. Át Code.çcdor 'hii3j, e'44rct C( U4c rec,'o', de '- kctres k, sctle Cori >' (ø/c4 j)e'rdad c de pre»-s io'n O,, 9 hcsr. Prof. D. Francisco García-Córdova Dpto. de Ingeniería Térmica y de Fluidos Área de Máquinas y Motores Térmicos (UPCT) 13/61 Downloaded by Carlos Ubaldo Labra Fierro (carlos.labra2101@alumnos.ubiobio.cl) lOMoARcPSD|11246813
  • 15.
    O Lu C1OriP R.O ( LP4 14 L(udo s 4+,rcb f H Coflcliçco. d' xç7wt9'o'1 bar P4 :: l46ür P tz.b T2. 'ÓC Co a -.-. T= — LO °C lj 4bar R_134c C Mpreor 4 bd-Í- co. q) Vcov7preor ?? LS / cci;dero.ct'ofleS a) (cu COe(4 crLdzCLo COVYIO yó [ovnI on áe Coflr4 bl e"t U>s e4eci-os ¿ceccctcs EfQj?O fUdbr 1,M c) c. á Ia'ícV.,[c4 e u& proc&5 d ,frctutQ vnDr-k. Es4c*.co1 R- 13'4c Tc414 A.-(L h 1 2LjL(Q K/3 - 1O Sobrec[ j 4r a E4o 2- ~7- = 3 1 (:Di ¿ L~ V vr-, T . '2 14/61 Downloaded by Carlos Ubaldo Labra Fierro (carlos.labra2101@alumnos.ubiobio.cl) lOMoARcPSD|11246813
  • 16.
    kdo z 7= 1151 9/ Escb Lj Pce'o de TQDct A-1 k k 9 h 7 T- t2 bc.r - k:F3 Y- --- 9 o c .(t.1 Iy' ck) 5 ?o --ertcc4. ¿eI coç)ese- CÓYMp(esc r ,Çyc — wvc-+ CoPq(er C rWv c ttJo R-ntev) e • fL 1 R-Iu "1I-MZ Prof. D. Francisco García-Córdova Dpto. de Ingeniería Térmica y de Fluidos Área de Máquinas y Motores Térmicos (UPCT) 15/61 Downloaded by Carlos Ubaldo Labra Fierro (carlos.labra2101@alumnos.ubiobio.cl) lOMoARcPSD|11246813
  • 17.
    o YTI k = e c- t. ScAc<ncede ,e 1 q ev Apt~~ C- . - c) o- m R3 rn 3 O 1 43(4 - ' _w 3LIct - L3t i2L 5 jtLVJ kvces etC U' COMteSor DOH- (293,L4 -IO2-1) COreSiÓV 16/61 Downloaded by Carlos Ubaldo Labra Fierro (carlos.labra2101@alumnos.ubiobio.cl) lOMoARcPSD|11246813
  • 18.
    ce Gíctcfl 1 Qe4rS) )We) o m134q ¡ E J9- i ii,q: O g:j 3: Prof. D. Francisco García-Córdova Dpto. de Ingeniería Térmica y de Fluidos Área de Máquinas y Motores Térmicos (UPCT) 17/61 Downloaded by Carlos Ubaldo Labra Fierro (carlos.labra2101@alumnos.ubiobio.cl) lOMoARcPSD|11246813
  • 19.
    SDLUCIO'Ñ !L&M A43 Ps ¿CA P4` iz - res CA 1_Ccór Lcudb 4urccb 'w COr$w5o &)c ¿ t (4M*k çs)Vo'zAuo' FLibar IdeCc.tcrde tjbr) [on4-cc1-c, cii W!7 0 cl-X) L4 6c4 -qudo scL rct___ viut.. de )C4uYt%dV3 vi 1 (i-x) Tz - 3cD°C. Q ev'-rci (D4o Jq 54.rctd S5ewo ¿e uSQv%ck L 5 Coe(5 vtc2- r. tYECtCIOI r cOv1pe5IOr devctpor CÓv7pes&1 de coS e-k4pcLs. cecn oe4cY1eA. 18/61 Downloaded by Carlos Ubaldo Labra Fierro (carlos.labra2101@alumnos.ubiobio.cl) lOMoARcPSD|11246813
  • 20.
    E0 1 L SZ tcbtQ4- 10 -3oc j9,0 Sq4jrcdc 1as4cco a2cy1 L3/ j Óq93L 2. Lj 52S ) O19Ljqr k,)Ç Tbk 4- ¡a / > 2G0 1 62 Esk.do .5 TcbL.c4 A- 11 . bctr b L(U%do Sqirwj Es e I T*41-4/C,j,¿j - Ysro 9 bar Çq 1CiC.L J cApuns de Q14C4 TQ _bIQ A- 11 2 -= hJ34 - 1% 3z V-Y ~l v~31 = 2-s 2-~ 3 z YIY95 19O3Z. xr Prof. D. Francisco García-Córdova Dpto. de Ingeniería Térmica y de Fluidos Área de Máquinas y Motores Térmicos (UPCT) 19/61 Downloaded by Carlos Ubaldo Labra Fierro (carlos.labra2101@alumnos.ubiobio.cl) lOMoARcPSD|11246813
  • 21.
    Eskd0 Tq blc4A- 4 4 bar a ~uio z lrocew de es-4 rcnu1LlMi1 i'eMo 2. K y4 - E4cJo cj pq = L4 6",. V or Sq- urQcj To14 4-ti z521 32. k-/ Es ~4do ~ C4tCtVt(e $Cc e re r3er- .ç-1 • o - e Co lis~~= Cct'yflctrck tck n 4tic (onieseç .4 2. YN r) 3 Çondeviso.cr cl xnio de t1-4 rn 4oces MS A3 20/61 Downloaded by Carlos Ubaldo Labra Fierro (carlos.labra2101@alumnos.ubiobio.cl) lOMoARcPSD|11246813
  • 22.
    Ck 1tcih yn 3TZc de lc ci-u, -í Jcdi en úna rm - frcccr'ci de )(c L-) de çortCeS rY)cj r Grn3 3q Lance e erev ít viev1 &-c4c (crLcLrio cj€ I.q ccXrvtctro -ftcush o vc(Forctdc'r 70 • /1 - —4 i -pvc c 1 ~.. fle c , s e. S —(e 4O1S'15 2r1'eJ hchcz 6 h10 —* ierccr)1bicÁcor Ccttór- T Cuyt(e e ener q (-4 1qvev) eCOfl(U-'O uYC& c.tck decLr de ccktd-7j D;recÁ-o rc +A1 6 c&v(e M1íCo ~ LYI5 = 5 3 CO Vctvo[(.Ack cpus;o'o cie Prof. D. Francisco García-Córdova Dpto. de Ingeniería Térmica y de Fluidos Área de Máquinas y Motores Térmicos (UPCT) 21/61 Downloaded by Carlos Ubaldo Labra Fierro (carlos.labra2101@alumnos.ubiobio.cl) lOMoARcPSD|11246813
  • 23.
    r M1 ( 1 é)r De[L) el r9kc4 22 - rn k~ X0 r 3 hc -1-- rn3 Ác, k,-, ~ c 1 - xi, ) k 2 h 3 + s— o1 al5)2o1 6zj P3 = DCt'r lcibtq Á-12 = el 3Z 1 oI& Es4Q 9 la bctre 59 =S3 Ójq3sl Proceso , evt+rOCÓ _- TQq 4—iz 22/61 Downloaded by Carlos Ubaldo Labra Fierro (carlos.labra2101@alumnos.ubiobio.cl) lOMoARcPSD|11246813
  • 24.
    -°c 1 i'c.ruYvC&. _cE 11 bq ,- 11 s e os co'tpcesares. Bu1L&r.ce d r1er fci'orcqi Corre5ore.s cevt4-rcp ccS o =rn(k a ) n (k 3 's c.vtLe ¿e e teg hi e ~n ret'rPte - o b O e Prof. D. Francisco García-Córdova Dpto. de Ingeniería Térmica y de Fluidos Área de Máquinas y Motores Térmicos (UPCT) 23/61 Downloaded by Carlos Ubaldo Labra Fierro (carlos.labra2101@alumnos.ubiobio.cl) lOMoARcPSD|11246813
  • 25.
    ev4rctclq rv 1 lOpi 'at' ±fl1 J-1or6os _x) o yn rn (1_X) En-cyçe e (a) ~ W = ) (2~2q, ILI-2G0, 6Z) =KW Q -Z -~ , = (ol t b) E P- r- p — de. °ídc / Qe4rcdc.4] ) 1 Q en rudu) = lo 24/61 Downloaded by Carlos Ubaldo Labra Fierro (carlos.labra2101@alumnos.ubiobio.cl) lOMoARcPSD|11246813
  • 26.
    Wc ¿ i loOy a 1 wl" n / Lo <5 V- 1/5 ¿IEIII' Prof. D. Francisco García-Córdova Dpto. de Ingeniería Térmica y de Fluidos Área de Máquinas y Motores Térmicos (UPCT) 25/61 Downloaded by Carlos Ubaldo Labra Fierro (carlos.labra2101@alumnos.ubiobio.cl) lOMoARcPSD|11246813
  • 27.
    LuCtQ'tJ 1I0eL444 .4=(-L1 4#4ONI4CO lla bc- LOc (octc4Or bctre Z,:: (2bc4r eç C~ ', Pi = .1-bar T 5 °C Rj Lba r sS o 1- In ercQM'ciclr cL Cucr- krzgp ¿e ç-2.. Káin; Qc4dq ? 4? eJct?c y-c*.do r ICLDI SQQo4O 0 en ~ycj,¿C~ 26/61 Downloaded by Carlos Ubaldo Labra Fierro (carlos.labra2101@alumnos.ubiobio.cl) lOMoARcPSD|11246813
  • 28.
    Covxs ; eyaCes ( ctdc C ipoflevi4-e cis c cicLde comoj ¿ COP+YI en za') Tdo s cc'çc sÓrt at@I1-e reverb). ckn ó'vi se vi cdx4-'r' L{') '-OS e-f1c 4-cs ¿e E c y gp 5oyi 13noreJeS. Se ciSot'Vl& que fo Y'(i'( Pe- (c ctc& ¿ CcOr a ex4erør en e( ercuwcidór ck ccttor neYa--vo' Eskido 6 tcq -1M ?Ç Lb- 4 ¡S/ Scraco /J• S4ctd 1 TI z SC Sobreat (ev4cLdo Tqq t-(S •'t_=- t9'31Zt: /KL 5-;. Tctc1 A-lS = le> bce r t 63 ?eceço ioedpc - O 2-5 SL4 5oirc, tev4do krcLd0 •3 A- f3 T'3 = L40 bc h (oc) 3 IJ 35 bendo Prof. D. Francisco García-Córdova Dpto. de Ingeniería Térmica y de Fluidos Área de Máquinas y Motores Térmicos (UPCT) 27/61 Downloaded by Carlos Ubaldo Labra Fierro (carlos.labra2101@alumnos.ubiobio.cl) lOMoARcPSD|11246813
  • 29.
    ke)eyv-oycldcv- i tOv deevrc. e r CtCOv1Ctri'O. C) - - Zwe - s - /d1 e s >y~ = r 3 3 rn tm lb c ~1) Luvtce de WtCtSC es ~Qci l~ e = fl 1 = m5 (Ç - Mj 4 1 M 14 ¿ ¿Y) V:- fl1 Rejevt&rctdoç CI'ÍCO'40 442 Y,1 m 28/61 Downloaded by Carlos Ubaldo Labra Fierro (carlos.labra2101@alumnos.ubiobio.cl) lOMoARcPSD|11246813
  • 30.
    VtYi(Q5 ce CL rH-rl Y9= vil - - 3i-1 1 s 4qe 1 4 2'G j 1 ?voce'c ¿e cs ~ycjgyjLm ev~~o ::- 2-SL1LS4 -r - lii - - mal LS°c) 5 :D 1Ct3fCiY1Ls _Çc Prof. D. Francisco García-Córdova Dpto. de Ingeniería Térmica y de Fluidos Área de Máquinas y Motores Térmicos (UPCT) 29/61 Downloaded by Carlos Ubaldo Labra Fierro (carlos.labra2101@alumnos.ubiobio.cl) lOMoARcPSD|11246813
  • 31.
    ¿ie C% c'n 1 cvice de evier5ll ei lesi Ca rn Qvc - Q eNtYCLdcl rn - c;) 0 . rn5 Q,e v~~t 2961 5) y ~ q jTon e j v4,f cáj x= L~ = kcc--~Y'~~ b) ?orencct. Jet CÓPI,tpresor. 0 nkpveso y' 1 Lktvl.ce c en çrnel es~uc i OYICL r Ib Wc v íh j -Jii ) r dl ' J C : ,—: Y-- W 30/61 Downloaded by Carlos Ubaldo Labra Fierro (carlos.labra2101@alumnos.ubiobio.cl) lOMoARcPSD|11246813
  • 32.
    c) C radc(v'rl % - 1n (h6_hsfl eo ynC1 1391,41 _ a,1 s - 14931 2S_20l5, 2 ) «IIIII3iI3 e&r i cS E Qrtercclor &fchcdor ¿ecc1cy-) 1') T e n¿e ctu -t- Cc puc kzeíf 19 e Yu-c l Ádc o {e&er Uv vc&poc 5obi-ecct(&+Ud E>n k el-rcLdc4 del covii .esoi'. 3') & Vo1UvVtv feC(-fCO 'td ¡t C Y 9'pr 1 pos' 15tvt+€j ccurver4c Cl Íctu&U Prof. D. Francisco García-Córdova Dpto. de Ingeniería Térmica y de Fluidos Área de Máquinas y Motores Térmicos (UPCT) 31/61 Downloaded by Carlos Ubaldo Labra Fierro (carlos.labra2101@alumnos.ubiobio.cl) lOMoARcPSD|11246813
  • 33.
    &LUCLÓN Pm b~úmia-44 5 5{Yev1c(c die Cci lo~'CLI P2x.ir T32OK AIRE o P, -:. ZiDcLrs T1 3OK / o.re e..drudó - 'VI 1 ktevci q )c t cL 13 Z o1qs beir V? c t 7 b 32/61 Downloaded by Carlos Ubaldo Labra Fierro (carlos.labra2101@alumnos.ubiobio.cl) lOMoARcPSD|11246813
  • 34.
    l~ u cjrcn'ta.T- ----3lOL 7 F3 5 (-Ohtvt6riÓ5 el Ponk C 3) es a¡ porvio D 9,5 porqve çd ser*d'pi'cc* ') (ctclq 42 n r 9 V%'%@V) b') No (cdc4 de ese' ct$rayEi3 dEj CC4VvibCdO ( de Cctlor. c) -cs efc4cs E E p 5cn dsçecc.dos. d) La -Tu b 1 n Ct operc dc -r^A nerq. adia cci e)Ft Ccirp~ es n.iod&kccío Co4C9 3 Q S ,dcwL C4) #tcro desQrtoack4 ectTurnq Ttj ç bnq BQECvICe ¿5 Erterq evi r9'rnevi hZCPQ,2QÍIb o 7O - VVT_ Prof. D. Francisco García-Córdova Dpto. de Ingeniería Térmica y de Fluidos Área de Máquinas y Motores Térmicos (UPCT) 33/61 Downloaded by Carlos Ubaldo Labra Fierro (carlos.labra2101@alumnos.ubiobio.cl) lOMoARcPSD|11246813
  • 35.
    IiÇIÇII) T b nuPtcDCe$o ¿ .. apuVISWn CQ eY4 rcp D SS2 s35S3 1 QV4C ¡ ) L5Oe4+ÇOpI (3s) ele tUSu evt te 5kL(%o vtctrO ;w15 e L.4CuMftLctcr de cctor Tuf bina 2 cbn.ck YA = A 3 E rt; t1) Pl3 Pedernos 4Tu6ctY con cts çeskDnes rekt4-ici,s -e e ( prceso e ¡ Sc eivkdpi'Co. iSoY4fp%CC1 Pr Pr3 P3 5 Fr3 ( ) TI =. 3ZOV, ky h3ZO 1 lct ij ) 01 95 Pf2. 22, L1 35 p(3S «z 01 ~ 7- 153 ) 34/61 Downloaded by Carlos Ubaldo Labra Fierro (carlos.labra2101@alumnos.ubiobio.cl) lOMoARcPSD|11246813
  • 36.
    ]e tc-t. Tcbk.4-aa O ''2 —3 7 De (L) doyde 335 orServnprcoc eXpero oev+rdpc. w 0 (hi--k3s) vvl .i (o1zc - LS8 S 9-k l o Lyj 16 1 5 ~~7)ret - - Ql ~T ~.r)recti z: c5t-fs ~ Gi, 6 z b or 4Y CLA<Sfer i -do de. CLi (j a14Q(t4e cumbi'cickr ¿ ccbr e En mí o - o jo Qiscxit ~cx - - m c ~ 2. As Prof. D. Francisco García-Córdova Dpto. de Ingeniería Térmica y de Fluidos Área de Máquinas y Motores Térmicos (UPCT) 35/61 Downloaded by Carlos Ubaldo Labra Fierro (carlos.labra2101@alumnos.ubiobio.cl) lOMoARcPSD|11246813
  • 37.
    L2Ü 4-Z -= JAJ (K,) C0 He~ ác Q ~:ii :: 36/61 Downloaded by Carlos Ubaldo Labra Fierro (carlos.labra2101@alumnos.ubiobio.cl) lOMoARcPSD|11246813
  • 38.
    fi fi UPCT industriales Termodinámica Aplicadaetit JP( -LjCi PoiE-s.i4 44 Co 4 ?RL6JTG (yQPbV cc4rc&c) Saturated vapor at 200 kPa Air A YAC lo C~/4iUQ d li ) Make-up water at 15°C @ + r- CoMQ&v5400J.. d e Re ii Q )rq Ci de I4a-frcç Condensate return to dram 25,000 kg/h ( Bo»i bu) ÁuA- D A)PtZ, 4M 1 t91 1Ó De GALI D/- S4LsW DL CÓtJQ#p0 4 A4J Prof. D. Francisco García-Córdova Dpto. de Ingeniería Térmica y de Fluidos Área de Máquinas y Motores Térmicos (UPCT) 37/61 Downloaded by Carlos Ubaldo Labra Fierro (carlos.labra2101@alumnos.ubiobio.cl) lOMoARcPSD|11246813
  • 39.
    ;derac,'oLOS j Cudu componeq4e5 Co4'U. Uvi yo !urnn de covi1ro evx rmev 21) t ccó de LLbCnbQ es dsFrEcable. 3 cr' dFrecJdcis. N ¿, W,y ?rd d coc fec 4fa ns fp-red c~c~ COri E %~Qdb i T1 '°C L(ctudo &dorado sk1d0 a A- h2 ZO) q8 K G. Wgombck despitoci cx W 0yp -'7 jí35 k' NA2.) 2C)1 k,r/ 25OOO ( Bk4C ¿ Ofl(jrl'Q s c o m2 o o E 6ce k); rfl 38/61 Downloaded by Carlos Ubaldo Labra Fierro (carlos.labra2101@alumnos.ubiobio.cl) lOMoARcPSD|11246813
  • 40.
    Ec4co 3 crcub' 1d0d (ce k Qen4íctdct cc cdad c4e F e 1 , 13 e 3r-N n&ralícA e m y 41vj kci'o,iÚ 11,0 Q4rd 3 - z ha -:: Qera yyj a - Qe4ro'4c4 (zo1 L li+ Ki ) oOOh TJ- 92- Eis1uic) L °C Lcuo 4çckck) (Ti,) (s r9. GZ19c LJ/ .5 T 5°C V?r Sq4.rQQ (T)8 (°c) s=Qslq ks/K Prof. D. Francisco García-Córdova Dpto. de Ingeniería Térmica y de Fluidos Área de Máquinas y Motores Térmicos (UPCT) 39/61 Downloaded by Carlos Ubaldo Labra Fierro (carlos.labra2101@alumnos.ubiobio.cl) lOMoARcPSD|11246813
  • 41.
    Ertd G o 'jctoY Ekd0 - KPck ci) -~ Pi:i Li ~-, p, ~ 1 = ~i,( ~1) — f2-1 ur/ LoS1ra colo de( auc& fy-(fck TOUCU ( ~e Po Idv) ) ZckC On (H) ¿e (C4 e Ejv-y) Y' ---1 V '15 + rn = M i oeo o eyCA Ç)JQCC& 93r 1Lk 40/61 Downloaded by Carlos Ubaldo Labra Fierro (carlos.labra2101@alumnos.ubiobio.cl) lOMoARcPSD|11246813
  • 42.
    Lfl4oyce5 b / ( 2S-000 q-9z/g rn ) m1 (h9 (4z, q q —25101 caodql de repoi'cOP b) C)dc&l Qj UCA de frurio Y- B:í1üv ¿' EV1E(C& Ebt acOflarO ZL - 0 11,9 0 k yn jiCt rfYI'C e'dq c*ldc Ake Qc4 p a e vljYCt T r ífl —4 OucÁ vlor)c ít ri— e —y, Prof. D. Francisco García-Córdova Dpto. de Ingeniería Térmica y de Fluidos Área de Máquinas y Motores Térmicos (UPCT) 41/61 Downloaded by Carlos Ubaldo Labra Fierro (carlos.labra2101@alumnos.ubiobio.cl) lOMoARcPSD|11246813
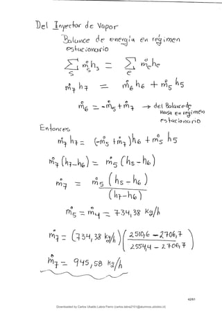
  • 43.
    i el Inyec4-c),-de 'apor- -& evt re í jm(20 P5k(C'oyK) c 2EI vh3 rn • 6 h +n5 _dE( Si - 1avrec Oq w 4 r5 -Qc0 >j ct Ion(, 6DS h 5 r 5 o (L L r- 5 r is , i rn 9 )/h 38 ky/ 2S5L11 L1 ._ ZfO6rf Ll 95 1gB iÁ 42/61 Downloaded by Carlos Ubaldo Labra Fierro (carlos.labra2101@alumnos.ubiobio.cl) lOMoARcPSD|11246813
  • 44.
    'T ) 4 TEZ1 9 1% Ts k s°c k h25°) oq1qk be 1(~ ecQC(`01,1 (L) irn-T ( b-118) re Çn,erod 0 íefi- j cdq _zI Q Lis re~ ~je rc(dc4 / ------ -.----- / 5b5 ¡ ¡ Prof. D. Francisco García-Córdova Dpto. de Ingeniería Térmica y de Fluidos Área de Máquinas y Motores Térmicos (UPCT) 43/61 Downloaded by Carlos Ubaldo Labra Fierro (carlos.labra2101@alumnos.ubiobio.cl) lOMoARcPSD|11246813
  • 45.
    -~Irlo T NV - 1 N PT -r= C :4 50LJCÑ OLEM , # Cft[0 1LWC-1 d ecc Proceso i-..z. : ?cxeo ¿ecowes;cv1 rcc (T=C4,C.) cxeso 2-3 . c cee O. (oJcyen crs4u(i 4e L koces& Occv cci oceso _w, ?Y ecesc> ¿e i se+efr^i CCA (jzc4e). Proceso • ?çocçc c o &ú(YeA cóvsctr4e ( proCSo -?Soccft 'co ) rPJCc 1- CI AMENtO PL4109- T1RLtJG ---VI bÚSICO ce n'ev -O ck rno-kr - cctl&r.4c4r medt'a a'c' ya Seq heto 1 kdrceno o iY1CtJ50 c1IJvtci. cLase cle )t Ccdeyi4-ar el rnecIo de coEqireo que (rcrevnen4e s $E 44/61 Downloaded by Carlos Ubaldo Labra Fierro (carlos.labra2101@alumnos.ubiobio.cl) lOMoARcPSD|11246813
  • 46.
    CtCLO tiWC7 PcE eseMowen4o de ex)uy1SC1 PQru dpkatr uu puí4-e del o+er, Ço -e mev1-e1 c ertf- c. y de iuevc e md 'o d e- +rct 10 c, re ¿ JCe S YoLjnie'pi Lorpíesidr) ) 5e co,iciqie qu e e rno+ore..ivc ctu p'co órnYd o - mo4o' ieipíe cÓ l misrno rY)ecO de +rao , 10 ce eÁ vno+or debe .Se v- her Izc4e 7 TOOK 1 c TF- ¡ Qefradc4 CICLO tIJy€í$o D srgLtÑC1 1 - 3 ' coÍvçesic o4et'rn ' Cc4 ?vcceso .-t- a Expcni df ni o g16gAhJr AiR- 4j rn ¿e compieslov, G p = Cój =T coef; e n4e Je ópeíucd'v, Prof. D. Francisco García-Córdova Dpto. de Ingeniería Térmica y de Fluidos Área de Máquinas y Motores Térmicos (UPCT) 45/61 Downloaded by Carlos Ubaldo Labra Fierro (carlos.labra2101@alumnos.ubiobio.cl) lOMoARcPSD|11246813
  • 47.
    ) . ) EC, i fe Se Có rxvo(+ti. w me aps iC, eq a. CortpeS'O'ø or So+e ' rcv °cc&5 Lt') T05 Os prcceS Son eveçshk. s) Lo5 4.cos ¿e k Fc y Ep son ck3?íecdo. Un erierctdcr rdectl es de obe aci o evexc& çeckz-adu ¿orox4e e ?(cceÓ 3_L4 Ser usadc4 cómc ce djç(n4-e e 1-2.. - - q) Co.. k r íCtfl5fer db ¿ o ra exp ç ' ¿y ; c%Lctn(e Qe enq afa 4 ?° y-! Q w ¿u4l CU-S-ULJrK -Tew 1111 a 'LI4 -= 1 Cy (T ) dT ,tAi-(-4tt= 46/61 Downloaded by Carlos Ubaldo Labra Fierro (carlos.labra2101@alumnos.ubiobio.cl) lOMoARcPSD|11246813
  • 48.
    a& 1 Tcx 'o ES-tudo2 •—* Tc. TeMe. Çóco cceb"k Eodo 3 T3 1k tLj = '.00' -- 1.L Re-tel£i&N ¿e co(yreS cVI EE = T2- Z"3 vz_, ? V'6 - Prof. D. Francisco García-Córdova Dpto. de Ingeniería Térmica y de Fluidos Área de Máquinas y Motores Térmicos (UPCT) 47/61 Downloaded by Carlos Ubaldo Labra Fierro (carlos.labra2101@alumnos.ubiobio.cl) lOMoARcPSD|11246813
  • 49.
    le- Q vCCtQ)() ci-) 70 u- QL.(_WII FQL, 1 -Z- WL4 1 - LQW 1- _ o-?roceo 4-1 nl vT a— iDolis c JL1 EdV Ir y9 (,34 r _ - 28iJ lo = 48/61 Downloaded by Carlos Ubaldo Labra Fierro (carlos.labra2101@alumnos.ubiobio.cl) lOMoARcPSD|11246813
  • 50.
    b 'ie4o, ¿eÁci clo TcDcesc i2 w jáv J:: c4 m PÇOCeS 2--- , W2.1 c yn Y2. Z_ M14 ~Bco K) ~n J') ~- 22— ct-~ 5.K CO S 1 2t P'oceso 3-LA ÇPv J3 Mefl.Ck¼ )e'k N CtCLQ L4 1-31rIC, Wc10 = - tSZ41Z6 .o # Prof. D. Francisco García-Córdova Dpto. de Ingeniería Térmica y de Fluidos Área de Máquinas y Motores Térmicos (UPCT) 49/61 Downloaded by Carlos Ubaldo Labra Fierro (carlos.labra2101@alumnos.ubiobio.cl) lOMoARcPSD|11246813
  • 51.
    c Coefden-k kcpeaco' t/m 1 ccLO 5i Lj toz I gH L /'3 =:E ERIJj 'T) 0rnc 1cTF - 3m—LOO 50/61 Downloaded by Carlos Ubaldo Labra Fierro (carlos.labra2101@alumnos.ubiobio.cl) lOMoARcPSD|11246813
  • 52.
    -OLuCiÑ OLEMA 4 cIJ 4 4stdc loar 1 Lct. Sc rudo 1 de exiota~¿In Ci Wc 0 cJ,yfl reSÓn cq tL1c :14z L4b C-4) (i) S 44r4cVu1c.ç ¡ ipcy) Qa VáMo kcx 1e exvçgr, ac4cor 1 1% IG, , 1 z c, VC(?OÍ 1-tiíct& OY Sluio rvtko de cuJ« evcracbr ) t4enc1q de( compíesor (v) rl c,.1dc Prof. D. Francisco García-Córdova Dpto. de Ingeniería Térmica y de Fluidos Área de Máquinas y Motores Térmicos (UPCT) 51/61 Downloaded by Carlos Ubaldo Labra Fierro (carlos.labra2101@alumnos.ubiobio.cl) lOMoARcPSD|11246813
  • 53.
    CçtccQ íccktes t) Codqvei4e o.nct ctc como volumen de ccvi4rol ¿) Tdo b5 pÍOCeSS en cie 4*CA bctiq e( Sor ertctmer -1e e 'erç b (eç. Lc cvuu5 de expunsk io y ti sufren el proceso d e~5 +rCtr,90 en-~o. 1') crnv?rSor opero. QCCJSrl&n4e s) -c efec1-cs • s L bk&s ce' Re-Ç te iqy4e E5ftd 3 O bQr L9. Sct4uçcdo i5 E- L4 PwCso de -rccerd3 = Ea0 5 ?'róceSo cte Qr-.>4yan 5 0 tant i o- VX~o =. T - t°C 52/61 Downloaded by Carlos Ubaldo Labra Fierro (carlos.labra2101@alumnos.ubiobio.cl) lOMoARcPSD|11246813
  • 54.
    P1:3,Zbcir _) Va ç= ¡ E4ttc10 Vroce cukert4 B OSe(vq qu e ert Q 4 se e r va. a. ccro4rç -W?- cic '.idvL,k, cviSO'r e Octjc. Lct ev-4alpictS eri esc Sv isr1a pero vio [os fluios mávicoj ue Pcxscin / 1 'ci1tnCe c.eÇuo rvxcLcIct )7 v ie'i ÇZ6 ¿- rn CoyreSó r C r " ¿se. AcL 0 Prof. D. Francisco García-Córdova Dpto. de Ingeniería Térmica y de Fluidos Área de Máquinas y Motores Térmicos (UPCT) 53/61 Downloaded by Carlos Ubaldo Labra Fierro (carlos.labra2101@alumnos.ubiobio.cl) lOMoARcPSD|11246813
  • 55.
    cte eKç7crn'n cebcqcl 0 b Y s =A ccLdc ç * $ Ecoç 2 flL fcWkk e co ác YYN YYIB yn Y'= rnL o o - Tj bservc% Ll - - O o u lo a % cÇs;co á ccdc evcorador, e s/n, i n a 54/61 Downloaded by Carlos Ubaldo Labra Fierro (carlos.labra2101@alumnos.ubiobio.cl) lOMoARcPSD|11246813
  • 56.
    1 (%1U'tC e e o rl1 m _ri ¿ E i 3-ov - IIIE eç-cc10ncir t ton (K4AH) o att_/r3i 'fl - J-±ov 1 1 D n h ?e Ccp So r, e v kkJ. Itnce E? 1e&4 e ekectbru r to (i) Prof. D. Francisco García-Córdova Dpto. de Ingeniería Térmica y de Fluidos Área de Máquinas y Motores Térmicos (UPCT) 55/61 Downloaded by Carlos Ubaldo Labra Fierro (carlos.labra2101@alumnos.ubiobio.cl) lOMoARcPSD|11246813
  • 57.
    r r4-8 ri -=3, /1;Y Lc rezclq ¿j por° E twCe d€ e yect y fl4uSq e Qs-ktc c»1ctrO rkt i5/ Pi -=bc- h1. I828 2 EMctclo 1 = Se by ecck levtvqc(b Ectc10 L P tOkctr5 SSLOtU ?OCeCc ,ceniT c 'obre ccenkLc1o. 56/61 Downloaded by Carlos Ubaldo Labra Fierro (carlos.labra2101@alumnos.ubiobio.cl) lOMoARcPSD|11246813
  • 58.
    e 1 coy-vxesor c. e. 1 cx e cuqd olviCI) wc, íi c +r (q iqol ~ ). )~1 yvl«% n (z,a- 1 a) Ls' /6 C ) ruvtS e y e vxc-L"Ck de calor áek ccesck.dor ri (k3 j C 6 4r boJ ¡ :1 ±' z ( - - KIIIEI.IIII 5 KW Prof. D. Francisco García-Córdova Dpto. de Ingeniería Térmica y de Fluidos Área de Máquinas y Motores Térmicos (UPCT) 57/61 Downloaded by Carlos Ubaldo Labra Fierro (carlos.labra2101@alumnos.ubiobio.cl) lOMoARcPSD|11246813
  • 59.
    — Lpc 3,lbar / / / Qr4 5 3 1-a i runw T-5 58/61 Downloaded by Carlos Ubaldo Labra Fierro (carlos.labra2101@alumnos.ubiobio.cl) lOMoARcPSD|11246813
  • 60.
    uSJtó Es4 3 PLbbtr 1105,c 3/ L' q . S-urctcLo E& L hL h 10'5 1 ac s/ h9 : 1051 z h Z361 Ç3 V4?o( S&rrctdo 1ctcb '. Pf = 312bcir —? -: ')Ç SC%JÍC.LdO = J7 q Çtu/ O t$Cc5 L4 z3 in P-encci. en E?it escr- 2.H 1 1 13 -4, 1 - Evctporc*dor #2. Prof. D. Francisco García-Córdova Dpto. de Ingeniería Térmica y de Fluidos Área de Máquinas y Motores Térmicos (UPCT) 59/61 Downloaded by Carlos Ubaldo Labra Fierro (carlos.labra2101@alumnos.ubiobio.cl) lOMoARcPSD|11246813
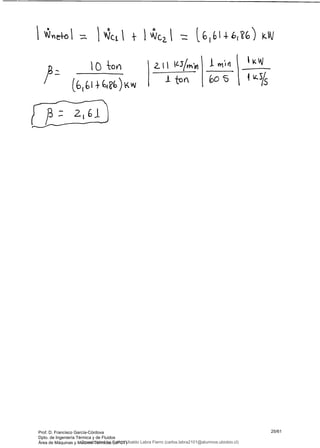
  • 61.
    cj = 0 1 9'iq3k3/t Na4o- C-IM) cC>b4e ( O coç ¿esetciÁo pt ir ei conáensac6r Q5 ~ - 1 6 1$: qeti~rcidu e1' i 1 i ) (3424on -. 5,3ZCkKw 31 60/61 Downloaded by Carlos Ubaldo Labra Fierro (carlos.labra2101@alumnos.ubiobio.cl) lOMoARcPSD|11246813
  • 62.
    / / / í -0 wqbu, — f(8oc-- - Prof. D. Francisco García-Córdova Dpto. de Ingeniería Térmica y de Fluidos Área de Máquinas y Motores Térmicos (UPCT) 61/61 Downloaded by Carlos Ubaldo Labra Fierro (carlos.labra2101@alumnos.ubiobio.cl) lOMoARcPSD|11246813