1               UNIDAD V




                                Unidad V
                          Máquinas Térmicas y Refrigeradores.
            Segunda Ley de la Termodinámica. Entropía

Esta unidad presenta la segunda ley de la           CONTENIDO
termodinámica, que afirma que los procesos
suceden en cierta dirección y que la energía
tiene calidad así como cantidad, en la primera      Pag. Descripción
                                                    2    Procesos físicos de equilibrio
ley de la termodinámica se centró la atención            espontáneo
en analizar que la energía se conserva durante      2    Máquinas térmicas
un proceso. Un proceso no es posible a menos
que satisfaga tanto la primera como la segunda      3    Enunciado de Kelvin-Plank
ley de la termodinámica. En esta unidad se          3    Equipos de refrigeración y bombas de
presenta los depósitos de energía térmica, los           calor
procesos reversibles, las máquinas térmicas y       4    Enunciado de Claussius
los equipos de refrigeración. Después, se           4    Máquinas de movimiento perpetuo
analizan los enunciados de la segunda ley, las      4    Procesos reversibles e irreversibles
                                                    5    Ciclo de Carnot
maquinas de movimiento y las escalas de             7    Escala Termodinámica de temperatura
temperaturas absolutas, para hacer una              7    Entropía
introducción al estudio de la máquina de            8    Trabajo de flujo permanente en
Carnot. Posteriormente se aplica la segunda ley          dispositivos
a     procesos,    analizándose     una   nueva     8    Eficiencias isentrópicas en diversos
propiedad, la entropía, la cual es una propiedad         dispositivos técnicos
que no se conserva y no presenta postulados         12   Presentación y analisis de los diagramas
como un “principio de conservación de                    T-s y h-s
                                                    13   Ejemplos
entropía”, Concluyendo con la aplicación de la
segunda ley de la termodinámica al estudiar el      21   Resumen
trabajo de flujo estable reversible y las           22   Revisión Bibliográfica
eficiencias isentrópicas en diversos dispositivos   23   Actividades propuestas
técnicos como turbinas, compresores y toberas.      25   Tablas y gráficos de interés

…



Apuntes para TERMOFLUIDOS, Enero-Abril 2010
TERMOFLUIDOS: Máquina térmicas y Bombas de Calor. Segunda ley de la Termodinámica. Entropía.     2


                                                              Notas:




                                                                                           Profesor: Gustavo Tudare
3   UNIDAD V



                                              NOTAS:




Apuntes para TERMOFLUIDOS, Enero-Abril 2010
TERMOFLUIDOS: Máquina térmicas y Bombas de Calor. Segunda ley de la Termodinámica. Entropía.     4




NOTAS:




                                                                                           Profesor: Gustavo Tudare
5   UNIDAD V



                                              NOTAS:




Apuntes para TERMOFLUIDOS, Enero-Abril 2010
TERMOFLUIDOS: Máquina térmicas y Bombas de Calor. Segunda ley de la Termodinámica. Entropía.     6


                                                           NOTAS:




                                                                                           Profesor: Gustavo Tudare
7   UNIDAD V




NOTAS:




Apuntes para TERMOFLUIDOS, Enero-Abril 2010
TERMOFLUIDOS: Máquina térmicas y Bombas de Calor. Segunda ley de la Termodinámica. Entropía.     8




                                                         NOTAS:




                                                                                           Profesor: Gustavo Tudare
9   UNIDAD V




                                              NOTAS:




Apuntes para TERMOFLUIDOS, Enero-Abril 2010
TERMOFLUIDOS: Máquina térmicas y Bombas de Calor. Segunda ley de la Termodinámica. Entropía.    10




                                                                                           Profesor: Gustavo Tudare
11   UNIDAD V




NOTAS:




Apuntes para TERMOFLUIDOS, Enero-Abril 2010
TERMOFLUIDOS: Máquina térmicas y Bombas de Calor. Segunda ley de la Termodinámica. Entropía.    12




                                                                                           Profesor: Gustavo Tudare
13   UNIDAD V




Apuntes para TERMOFLUIDOS, Enero-Abril 2010
TERMOFLUIDOS: Máquina térmicas y Bombas de Calor. Segunda ley de la Termodinámica. Entropía.    14




                                                                                           Profesor: Gustavo Tudare
15   UNIDAD V




Notas:




Apuntes para TERMOFLUIDOS, Enero-Abril 2010
TERMOFLUIDOS: Máquina térmicas y Bombas de Calor. Segunda ley de la Termodinámica. Entropía.    16



Ejemplo para interpretar y aplicar la segunda ley de la termodinámica en un ciclo de una
maquina refrigeradora, analizando compresor, válvula de expansión e intercambiadores
de calor.

Enunciado:
Durante el funcionamiento de un equipo de aire acondicionado entra refrigerante 134ª a un
compresor adiabático como vapor saturado a 120 kPa con un flujo volumétrico de 0,3 m3/min y
sale a una presión de 1 MPa. La eficiencia isentrópica del compresor es 80%. El refrigerante
es condensado luego de la descarga del compresor en un condensador a presión constante
hasta su condición de líquido saturado, utilizando como fluido refrigerante aire que atraviesa el
condensador. Luego de ser condensado el refrigerante R-134ª es estrangulado en una válvula
de expansión hasta una presión de 120 kPa, entrando inmediatamente a un evaporador de
donde sale como vapor saturado a la misma presión. La sección del evaporador es atravesada
por una corriente de aire a 27 ºC y 100 KPa con flujo volumétrico de 6 m3/min. a) Represente
el recorrido del refrigerante R-134ª en los dispositivos nombrados en un diagrama P-h, y
determine:
b) Potencia de entrada en el compresor (en kW).
c) Disminución de temperatura durante el proceso de estrangulamiento en la válvula de
expansión.
d) Temperatura de salida del aire después de atravesar el evaporador.
e) Coeficiente de operación del equipo de aire acondicionado.


Solución:
Conocido: Procesos termodinámicos ocurriendo en un equipo de aire acondicionado, el fluido
de trabajo es el refrigerante R-134ª, dos propiedades intensivas independientes en cada
estado termodinámico mencionado.

Buscar: b) Potencia de entrada en el compresor (en kW), c) Disminución de temperatura
durante el proceso de estrangulamiento en la válvula de expansión, d) Temperatura de salida
del aire después de atravesar el evaporador, e) Coeficiente de operación del equipo de aire
acondicionado.
.
Se asume: 1) Cambios de energía cinética y potencial muy pequeños comparados con los
cambios de entalpía en cada proceso. 2) Proceso en el condensador es isobárico. 3) La
cantidad de calor que pierde el refrigerante en el condensador lo adquiere el aire de
enfriamiento.

Esquemático:


                                           3
                                                                2


                                           4                   1

                                                                                           Profesor: Gustavo Tudare
17            UNIDAD V




Propiedades:
Calculo de propiedades termodinámicas: De la tabla de propiedades termodinámicas del
refrigerante R-134ª en saturación índice de presiones, Tabla A-11 Moran & Shapiro, 5ta
edición.
Entrada al compresor (1):
Fase, vapor saturado a P1=120 kPa             h1=233,86 kJ/kg, υ1 = 0,1614 m 3 /kg s1 = 0,9354kJ / kg.K

Salida del condensador (3):
P3=1 MPa y X3=0    h3=105,29 kJ/kg y T3=39,39 ºC

Entrada al evaporador (4):
P4= 120 kPa y h4= h3=21.32 kJ/kg (estado de mezcla saturada líquido-vapor) y T4=-22,36 ºC

Cp @aire a 300 K = 1,0035 kJ/kg.K (tabla Cp para algunos gases, C&B)
ρ@aire a 27 ºC = 1,162 kg/m3 (tabla A-15, propiedades del aire a 1 atm Apendice 1, transferencia
de calor por Cengel)
R @aire = 0,287 kPa.m3/kg.K (tabla de propiedades y punto critico de algunas sustancias, C&B)

Cálculos/Análisis:

a) Represente el recorrido del refrigerante R-134ª en los dispositivos nombrados en un
   diagrama P-h




b) Potencia de entrada en el compresor (en kW).

Del compresor se conoce que el flujo volumétrico de 0,3 m3/s y la presión de descarga es 1
MPa, con una eficiencia isentrópica de 80%. Al calcular la entalpía en la salida del compresor,
se podrá sustituir todos los datos para obtener la potencia del compresor.
                           .                              .
                          V                              V
W = m.∆h; como m = , y ∆h = (h2 - h1 ) ⇒W = (h2 - h1 )
& &            &                        &
                          υ                              υ
La entalpía h2, se calcula aplicando la segunda ley de la termodinámica:



       h2i − h1
ηc =
       h2 r − h1
h2i representa la entalpía como producto de un proceso isentrópico, que da lugar al trabajo
ideal, esta entalpía se calcula suponiendo que s2=s1 (la entropía en el estado termodinámico 2
Apuntes para TERMOFLUIDOS, Enero-Abril 2010
TERMOFLUIDOS: Máquina térmicas y Bombas de Calor. Segunda ley de la Termodinámica. Entropía.          18



es igual a la entropía en el estado termodinámico 1)   s2=s1=0,0879 kJ/kg.K.
 De la ecuación de eficiencia del compresor, se puede obtener h2r:

       h2i − h1         h −h
ηc =             ⇒ h2r = 2i 1 + h1
       h2 r − h1          ηc
De la ecuación se visualiza que h2i, no se conoce, pero puede obtenerse aplicando el
postulado de estado, que indica que un estado termodinámico puede definirse completamente
si se conocen dos propiedades intensivas independientes, como en este caso (descarga del
compresor que se a marcado como estado 2), se conoce la presión y la entropía, se podrá
conocer la entalpía ideal.

Descarga del compresor (2):
Fase, vapor sobrecalentado a P2=1 MPa y s 2 = s1 = 0,9354kJ / kg.K ⇒ h2i = 275kJ / kg
Se obtuvo h2i, interpolando en la tabla de propiedades termodinámicas del refrigerante R-134ª
como vapor sobrecalentado, Tabla A-12 Mora & Shapiro, 5ta edición.

De la ecuación de eficiencia del compresor:

       h2i − h1          h −h                               275kJ / kg − 233,86kJ / kg
ηc =             ⇒ h2 r = 2i 1 + h1 ; sustituyendo ⇒ h2 r =                            + 233,86kJ/kg = 285,28kJ/kg
       h2 r − h1           ηc                                          0,8

Retomando la ecuación de potencia:
                                            .
 . 0,3m 3 / min                  .  V  0,005m 3 / s
V=              = 0,005m 3 / s ⇒ m = =               = 0,031kg / s
    60s / min                       υ 0,1616m 3 / kg

       .
       V               .
W=
&          (h 2 - h 1 ) = m(h 2 - h 1 ); sustituyendo ⇒ W = 0,031kg / s(285,28 - 233,86)kJ / kg = 1,59kJ / s = 1,59kW
                                                         &
       υ

c) Disminución de temperatura durante el proceso de estrangulamiento en la válvula de
expansión.

Conocida la calidad X3=0 y presión P3=1000 kPa=1MPa, en la salida del evaporador, por las
tablas de propiedades del refrigerante, un diagrama de propiedades o un programa de
computación, se determina la temperatura en ese estado termodinámico: T3=39,39 ºC.

Al aplicar la primera ley de la termodinámica en una válvula de expansión (proceso de
estrangulamiento) se puede demostrar que:
                                             Por lo tanto:
                                             h4= h3=105,29 kJ/kg

                                                              Para el refrigerante R-134ª , con P4=120 kPa
                                                              y h4= 105,29 kJ/kg, por las tablas de
                                                              propiedades del refrigerante, un diagrama de
                                                              propiedades o un programa de computación,
                                                              se determina que el fluido está en fase de
                                                              mezcla, y la temperatura de saturación para
                                                              120 kPa del R-134ª es T4=-22,36ºC.

                                                                                                 Profesor: Gustavo Tudare
19             UNIDAD V




 Entonces, la disminución de temperatura del refrigerante durante el proceso de estrangulación
viene dada por

∆T = T3 − T4 = 39,39º C − (−22,36º C ) = 61,75º C


d) Temperatura de salida del aire después de atravesar el evaporador.

Es igual al calor ganado (adquirido) por el aire, aplicando primera ley de la termodinámica, se
tiene:
                                                 &
                                                Qaire
Qaire = maireC p,aire ∆Taire ⇒ ∆Taire =
&       &
                                             &
                                             maireC p ,aire
                                                                               .
&
Qaire es el calor cedido por el aire en el evaporador                  Qaire = Q L
                                                                       &

Donde QL es el calor transferido en el evaporador (energía en forma de calor que adquiere el
refrigerante en el evaporador), se calculará de la siguiente forma:
                                         .                .
                               V  .    V
QL = m∆h = m(h4 − h1 ) como m = ⇒ Q L = (h 4 - h 1 )
&    &     &                &
                                        υ             υ4

Donde:

υ 4 = υ f + [ X 4 (υ g − υ f )]

Para el estado termodinámico 4 (entrada del evaporador), con P4=120 KPa
υ f = 0,7323x10 −3 m 3 / kg ; υ g = 0,1614m 3 / kg;
De la tabla de propiedades termodinámicas del refrigerante R-134ª en saturación índice de
presiones, Tabla A-11 Moran & Shapiro, 5ta edición.

Calidad X4 se puede calcular con los valores de entalpía para ese estado:

                                         h4 − h f         105,29kJ / kg − 21,32kJ / kg
h4 = h f + [ X 4 (hg − h f )] ⇒ X 4 =                 =                                = 0,394
                                        (hg − h f )       233,86kJ / kg − 21,32kJ / kg
Sustituyendo en:
υ 4 = υ f + [ X 4 (υ g − υ f )] = 0,7323x10 −3 m 3 / kg + [0,394(0,1614 − 0,7323x10 −3 )m 3 / kg ] = 0,0640m 3 / kg

Retomando la ecuación de QL:

 .      .
 Q L = m(h 1 - h 4 ) = 0,031kg / s ( 233,86 - 105,29) kJ / kg = 3,98kJ / s = 3,98kW

                              .                                         &
                                                                       Qaire              3,98kJ / s
Ahora, haciendo Qaire = Q L y sustituyendo ∆Taire =
                &                                                                 =
                                                                    &               &
                                                                    maireC p ,aire maire *1,0035kJ / kg.K

Apuntes para TERMOFLUIDOS, Enero-Abril 2010
TERMOFLUIDOS: Máquina térmicas y Bombas de Calor. Segunda ley de la Termodinámica. Entropía.    20



                                                  Para calcular el flujo másico del aire, se plantea la
                              Aire                ecuación de estado de gas ideal:



                                                  Para obtener flujo másico en kg/s, se realiza la
                                                  conversión de unidades:
                                                   .
                                                   .    6,97kg / min
                                                   m=                = 0,116kg / s
                                                          60s / min

Otra manera de calcular el flujo másico:
ρ@aire a 27 ºC = 1,162 kg/m3 (tabla A-15, propiedades del aire a 1 atm Apéndice 1, transferencia
de calor por Cengel), 42,86

                    .                             1min
maire = ρ aire *V = 1,162kg / m3 * 6m3 / min*
&                                                      = 0,116kg / s
                                                   60s

                                 &
                                Qaire                3,98kJ / s
Calculando: ∆Taire =                       =                              = 33,77K
                             &
                             maireC p ,aire 0,1176kg / s *1,0035kJ / kg.K


∆Taire = Tentrada − Tsalida ⇒ Tsalida = Tentrada − ∆Taire = 27º C − 33,77º C = −6,77º C = 266,37K


e) Coeficiente de operación del equipo de aire acondicionado.

La ecuación del coeficiente de operación COP, es:

          .
         QL             QL
COP =     .
                =
         W in       W in

QL es el calor transferido en el evaporador y W in es el trabajo efectuado por el compresor.

Sustituyendo los valores ya calculados:

          .
         QL         3,98kW
COP =     .
                =            = 2,5
         W in       1,59kW

Comentario: Los resultados son validos solo con las suposiciones planteadas. Se aplicó
segunda ley de la termodinámica en el análisis del consumo de potencia del compresor, se
observa que el trabajo real es mayor que el trabajo ideal (o isentrópico, reversible). Se
visualiza que el proceso en el evaporador es isotérmico e isobárico al igual que en el
condensador, en la válvula de expansión es isentálpico (entalpía constante). Se han analizado
tres dispositivos en un solo problema.
.
                                                                                           Profesor: Gustavo Tudare
21   UNIDAD V




RESUMEN




Apuntes para TERMOFLUIDOS, Enero-Abril 2010
TERMOFLUIDOS: Máquina térmicas y Bombas de Calor. Segunda ley de la Termodinámica. Entropía.    22




…

REFERENCIAS BIBLIOGRAFICAS
1. CENGEL Yunus A. Termodinámica. Mcgraw-hill, 2006, 5ª edición, México DF.

2. WARK Kenneth. Termodinámica. Mcgraw-hill, 2001, 6ª edición, México DF.

3. MORAN M, SHAPIRO H. Fundamentals of engineering thermodynamics. Wiley,
2006, 5ª edición. Great Britain, East Lothian.




…
                                                                                           Profesor: Gustavo Tudare
23   UNIDAD V




ACTIVIDADES PROPUESTAS




Apuntes para TERMOFLUIDOS, Enero-Abril 2010
TERMOFLUIDOS: Máquina térmicas y Bombas de Calor. Segunda ley de la Termodinámica. Entropía.    24




 Fluye vapor de manera estable a través de una turbina adiabática de una central termoeléctrica.
 condiciones de entrada del vapor son 6 MPa, 600 ºC y 80 m/s y las de salida son vapor saturado a 50 kPa,
 ºC y 140 m/s, generando una potencia de 8 MW, el vapor se va a condensar con el agua de un río cerc
 que circulará por los tubos del condensador. El fluido de trabajo al salir del condensador como líquido satu
 a 50 kPa, es succionado por una bomba que eleva la presión a 6 MPa para ingresar hacia una caldera do
 se obtienen nuevamente las condiciones del vapor que será suministrado a la turbina.
 Determine: a) Flujo másico de vapor que fluye por los dispositivos nombrados.
 b) Eficiencia adiabática de la turbina.
 c) Consumo de potencia de la bomba.
 d) Eficiencia del ciclo de la central termoeléctrica.


 En el compresor adiabático de una turbina a gas ingresa aire a condiciones ambientales de 100 kPa, 2
 con flujo volumétrico de 2,4 m3/s y sale a 275 ºC. La eficiencia isentrópica del compresor es 84%. Luego el
 entra a una cámara de combustión y con la presión de descarga del compresor, a la salida de la cámar
 combustión el fluido de trabajo fluye de forma estable por una turbina adiabática, entrando a esta a 800
 expandiéndose (saliendo) a 200 kPa con velocidad de 80 m/s, generando una potencia de 370 kW. Lueg
 pasar por unos quemadores posteriores a la turbina, el fluido de trabajo entra de manera estable a una to
 adiabática a la presión y velocidad de descarga de la turbina a 747 ºC, saliendo a 85 kPa, la tobera es
 eficiente.
 Determine: a) La potencia requerida para accionar el compresor.
 b) Eficiencia adiabática de la turbina.
 c) Velocidad del fluido de trabajo a la salida de la tobera.
 d) Temperatura del fluido de trabajo a la salida de la tobera.




                                                                                           Profesor: Gustavo Tudare
25   UNIDAD V




TABLAS DE INTERES




Apuntes para TERMOFLUIDOS, Enero-Abril 2010
TERMOFLUIDOS: Máquina térmicas y Bombas de Calor. Segunda ley de la Termodinámica. Entropía.    26




                                                                                           Profesor: Gustavo Tudare
27   UNIDAD V




Apuntes para TERMOFLUIDOS, Enero-Abril 2010                   .
TERMOFLUIDOS: Máquina térmicas y Bombas de Calor. Segunda ley de la Termodinámica. Entropía.    28




                                                                                           Profesor: Gustavo Tudare
29   UNIDAD V




Apuntes para TERMOFLUIDOS, Enero-Abril 2010
TERMOFLUIDOS: Máquina térmicas y Bombas de Calor. Segunda ley de la Termodinámica. Entropía.    30




                                                                                           Profesor: Gustavo Tudare
31   UNIDAD V




Apuntes para TERMOFLUIDOS, Enero-Abril 2010
TERMOFLUIDOS: Máquina térmicas y Bombas de Calor. Segunda ley de la Termodinámica. Entropía.    32




                                                                                           Profesor: Gustavo Tudare
33   UNIDAD V




Apuntes para TERMOFLUIDOS, Enero-Abril 2010
TERMOFLUIDOS: Máquina térmicas y Bombas de Calor. Segunda ley de la Termodinámica. Entropía.    34




                                                                                           Profesor: Gustavo Tudare
35   UNIDAD V




Apuntes para TERMOFLUIDOS, Enero-Abril 2010
TERMOFLUIDOS: Máquina térmicas y Bombas de Calor. Segunda ley de la Termodinámica. Entropía.    36



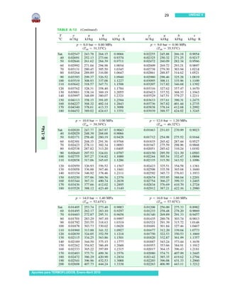
Diagrama Presión entalpía (P-h) para el Refrigerante R134a (SI)




                                                                                           Profesor: Gustavo Tudare

Unidad 5

  • 1.
    1 UNIDAD V Unidad V Máquinas Térmicas y Refrigeradores. Segunda Ley de la Termodinámica. Entropía Esta unidad presenta la segunda ley de la CONTENIDO termodinámica, que afirma que los procesos suceden en cierta dirección y que la energía tiene calidad así como cantidad, en la primera Pag. Descripción 2 Procesos físicos de equilibrio ley de la termodinámica se centró la atención espontáneo en analizar que la energía se conserva durante 2 Máquinas térmicas un proceso. Un proceso no es posible a menos que satisfaga tanto la primera como la segunda 3 Enunciado de Kelvin-Plank ley de la termodinámica. En esta unidad se 3 Equipos de refrigeración y bombas de presenta los depósitos de energía térmica, los calor procesos reversibles, las máquinas térmicas y 4 Enunciado de Claussius los equipos de refrigeración. Después, se 4 Máquinas de movimiento perpetuo analizan los enunciados de la segunda ley, las 4 Procesos reversibles e irreversibles 5 Ciclo de Carnot maquinas de movimiento y las escalas de 7 Escala Termodinámica de temperatura temperaturas absolutas, para hacer una 7 Entropía introducción al estudio de la máquina de 8 Trabajo de flujo permanente en Carnot. Posteriormente se aplica la segunda ley dispositivos a procesos, analizándose una nueva 8 Eficiencias isentrópicas en diversos propiedad, la entropía, la cual es una propiedad dispositivos técnicos que no se conserva y no presenta postulados 12 Presentación y analisis de los diagramas como un “principio de conservación de T-s y h-s 13 Ejemplos entropía”, Concluyendo con la aplicación de la segunda ley de la termodinámica al estudiar el 21 Resumen trabajo de flujo estable reversible y las 22 Revisión Bibliográfica eficiencias isentrópicas en diversos dispositivos 23 Actividades propuestas técnicos como turbinas, compresores y toberas. 25 Tablas y gráficos de interés … Apuntes para TERMOFLUIDOS, Enero-Abril 2010
  • 2.
    TERMOFLUIDOS: Máquina térmicasy Bombas de Calor. Segunda ley de la Termodinámica. Entropía. 2 Notas: Profesor: Gustavo Tudare
  • 3.
    3 UNIDAD V NOTAS: Apuntes para TERMOFLUIDOS, Enero-Abril 2010
  • 4.
    TERMOFLUIDOS: Máquina térmicasy Bombas de Calor. Segunda ley de la Termodinámica. Entropía. 4 NOTAS: Profesor: Gustavo Tudare
  • 5.
    5 UNIDAD V NOTAS: Apuntes para TERMOFLUIDOS, Enero-Abril 2010
  • 6.
    TERMOFLUIDOS: Máquina térmicasy Bombas de Calor. Segunda ley de la Termodinámica. Entropía. 6 NOTAS: Profesor: Gustavo Tudare
  • 7.
    7 UNIDAD V NOTAS: Apuntes para TERMOFLUIDOS, Enero-Abril 2010
  • 8.
    TERMOFLUIDOS: Máquina térmicasy Bombas de Calor. Segunda ley de la Termodinámica. Entropía. 8 NOTAS: Profesor: Gustavo Tudare
  • 9.
    9 UNIDAD V NOTAS: Apuntes para TERMOFLUIDOS, Enero-Abril 2010
  • 10.
    TERMOFLUIDOS: Máquina térmicasy Bombas de Calor. Segunda ley de la Termodinámica. Entropía. 10 Profesor: Gustavo Tudare
  • 11.
    11 UNIDAD V NOTAS: Apuntes para TERMOFLUIDOS, Enero-Abril 2010
  • 12.
    TERMOFLUIDOS: Máquina térmicasy Bombas de Calor. Segunda ley de la Termodinámica. Entropía. 12 Profesor: Gustavo Tudare
  • 13.
    13 UNIDAD V Apuntes para TERMOFLUIDOS, Enero-Abril 2010
  • 14.
    TERMOFLUIDOS: Máquina térmicasy Bombas de Calor. Segunda ley de la Termodinámica. Entropía. 14 Profesor: Gustavo Tudare
  • 15.
    15 UNIDAD V Notas: Apuntes para TERMOFLUIDOS, Enero-Abril 2010
  • 16.
    TERMOFLUIDOS: Máquina térmicasy Bombas de Calor. Segunda ley de la Termodinámica. Entropía. 16 Ejemplo para interpretar y aplicar la segunda ley de la termodinámica en un ciclo de una maquina refrigeradora, analizando compresor, válvula de expansión e intercambiadores de calor. Enunciado: Durante el funcionamiento de un equipo de aire acondicionado entra refrigerante 134ª a un compresor adiabático como vapor saturado a 120 kPa con un flujo volumétrico de 0,3 m3/min y sale a una presión de 1 MPa. La eficiencia isentrópica del compresor es 80%. El refrigerante es condensado luego de la descarga del compresor en un condensador a presión constante hasta su condición de líquido saturado, utilizando como fluido refrigerante aire que atraviesa el condensador. Luego de ser condensado el refrigerante R-134ª es estrangulado en una válvula de expansión hasta una presión de 120 kPa, entrando inmediatamente a un evaporador de donde sale como vapor saturado a la misma presión. La sección del evaporador es atravesada por una corriente de aire a 27 ºC y 100 KPa con flujo volumétrico de 6 m3/min. a) Represente el recorrido del refrigerante R-134ª en los dispositivos nombrados en un diagrama P-h, y determine: b) Potencia de entrada en el compresor (en kW). c) Disminución de temperatura durante el proceso de estrangulamiento en la válvula de expansión. d) Temperatura de salida del aire después de atravesar el evaporador. e) Coeficiente de operación del equipo de aire acondicionado. Solución: Conocido: Procesos termodinámicos ocurriendo en un equipo de aire acondicionado, el fluido de trabajo es el refrigerante R-134ª, dos propiedades intensivas independientes en cada estado termodinámico mencionado. Buscar: b) Potencia de entrada en el compresor (en kW), c) Disminución de temperatura durante el proceso de estrangulamiento en la válvula de expansión, d) Temperatura de salida del aire después de atravesar el evaporador, e) Coeficiente de operación del equipo de aire acondicionado. . Se asume: 1) Cambios de energía cinética y potencial muy pequeños comparados con los cambios de entalpía en cada proceso. 2) Proceso en el condensador es isobárico. 3) La cantidad de calor que pierde el refrigerante en el condensador lo adquiere el aire de enfriamiento. Esquemático: 3 2 4 1 Profesor: Gustavo Tudare
  • 17.
    17 UNIDAD V Propiedades: Calculo de propiedades termodinámicas: De la tabla de propiedades termodinámicas del refrigerante R-134ª en saturación índice de presiones, Tabla A-11 Moran & Shapiro, 5ta edición. Entrada al compresor (1): Fase, vapor saturado a P1=120 kPa h1=233,86 kJ/kg, υ1 = 0,1614 m 3 /kg s1 = 0,9354kJ / kg.K Salida del condensador (3): P3=1 MPa y X3=0 h3=105,29 kJ/kg y T3=39,39 ºC Entrada al evaporador (4): P4= 120 kPa y h4= h3=21.32 kJ/kg (estado de mezcla saturada líquido-vapor) y T4=-22,36 ºC Cp @aire a 300 K = 1,0035 kJ/kg.K (tabla Cp para algunos gases, C&B) ρ@aire a 27 ºC = 1,162 kg/m3 (tabla A-15, propiedades del aire a 1 atm Apendice 1, transferencia de calor por Cengel) R @aire = 0,287 kPa.m3/kg.K (tabla de propiedades y punto critico de algunas sustancias, C&B) Cálculos/Análisis: a) Represente el recorrido del refrigerante R-134ª en los dispositivos nombrados en un diagrama P-h b) Potencia de entrada en el compresor (en kW). Del compresor se conoce que el flujo volumétrico de 0,3 m3/s y la presión de descarga es 1 MPa, con una eficiencia isentrópica de 80%. Al calcular la entalpía en la salida del compresor, se podrá sustituir todos los datos para obtener la potencia del compresor. . . V V W = m.∆h; como m = , y ∆h = (h2 - h1 ) ⇒W = (h2 - h1 ) & & & & υ υ La entalpía h2, se calcula aplicando la segunda ley de la termodinámica: h2i − h1 ηc = h2 r − h1 h2i representa la entalpía como producto de un proceso isentrópico, que da lugar al trabajo ideal, esta entalpía se calcula suponiendo que s2=s1 (la entropía en el estado termodinámico 2 Apuntes para TERMOFLUIDOS, Enero-Abril 2010
  • 18.
    TERMOFLUIDOS: Máquina térmicasy Bombas de Calor. Segunda ley de la Termodinámica. Entropía. 18 es igual a la entropía en el estado termodinámico 1) s2=s1=0,0879 kJ/kg.K. De la ecuación de eficiencia del compresor, se puede obtener h2r: h2i − h1 h −h ηc = ⇒ h2r = 2i 1 + h1 h2 r − h1 ηc De la ecuación se visualiza que h2i, no se conoce, pero puede obtenerse aplicando el postulado de estado, que indica que un estado termodinámico puede definirse completamente si se conocen dos propiedades intensivas independientes, como en este caso (descarga del compresor que se a marcado como estado 2), se conoce la presión y la entropía, se podrá conocer la entalpía ideal. Descarga del compresor (2): Fase, vapor sobrecalentado a P2=1 MPa y s 2 = s1 = 0,9354kJ / kg.K ⇒ h2i = 275kJ / kg Se obtuvo h2i, interpolando en la tabla de propiedades termodinámicas del refrigerante R-134ª como vapor sobrecalentado, Tabla A-12 Mora & Shapiro, 5ta edición. De la ecuación de eficiencia del compresor: h2i − h1 h −h 275kJ / kg − 233,86kJ / kg ηc = ⇒ h2 r = 2i 1 + h1 ; sustituyendo ⇒ h2 r = + 233,86kJ/kg = 285,28kJ/kg h2 r − h1 ηc 0,8 Retomando la ecuación de potencia: . . 0,3m 3 / min . V 0,005m 3 / s V= = 0,005m 3 / s ⇒ m = = = 0,031kg / s 60s / min υ 0,1616m 3 / kg . V . W= & (h 2 - h 1 ) = m(h 2 - h 1 ); sustituyendo ⇒ W = 0,031kg / s(285,28 - 233,86)kJ / kg = 1,59kJ / s = 1,59kW & υ c) Disminución de temperatura durante el proceso de estrangulamiento en la válvula de expansión. Conocida la calidad X3=0 y presión P3=1000 kPa=1MPa, en la salida del evaporador, por las tablas de propiedades del refrigerante, un diagrama de propiedades o un programa de computación, se determina la temperatura en ese estado termodinámico: T3=39,39 ºC. Al aplicar la primera ley de la termodinámica en una válvula de expansión (proceso de estrangulamiento) se puede demostrar que: Por lo tanto: h4= h3=105,29 kJ/kg Para el refrigerante R-134ª , con P4=120 kPa y h4= 105,29 kJ/kg, por las tablas de propiedades del refrigerante, un diagrama de propiedades o un programa de computación, se determina que el fluido está en fase de mezcla, y la temperatura de saturación para 120 kPa del R-134ª es T4=-22,36ºC. Profesor: Gustavo Tudare
  • 19.
    19 UNIDAD V Entonces, la disminución de temperatura del refrigerante durante el proceso de estrangulación viene dada por ∆T = T3 − T4 = 39,39º C − (−22,36º C ) = 61,75º C d) Temperatura de salida del aire después de atravesar el evaporador. Es igual al calor ganado (adquirido) por el aire, aplicando primera ley de la termodinámica, se tiene: & Qaire Qaire = maireC p,aire ∆Taire ⇒ ∆Taire = & & & maireC p ,aire . & Qaire es el calor cedido por el aire en el evaporador Qaire = Q L & Donde QL es el calor transferido en el evaporador (energía en forma de calor que adquiere el refrigerante en el evaporador), se calculará de la siguiente forma: . . V . V QL = m∆h = m(h4 − h1 ) como m = ⇒ Q L = (h 4 - h 1 ) & & & & υ υ4 Donde: υ 4 = υ f + [ X 4 (υ g − υ f )] Para el estado termodinámico 4 (entrada del evaporador), con P4=120 KPa υ f = 0,7323x10 −3 m 3 / kg ; υ g = 0,1614m 3 / kg; De la tabla de propiedades termodinámicas del refrigerante R-134ª en saturación índice de presiones, Tabla A-11 Moran & Shapiro, 5ta edición. Calidad X4 se puede calcular con los valores de entalpía para ese estado: h4 − h f 105,29kJ / kg − 21,32kJ / kg h4 = h f + [ X 4 (hg − h f )] ⇒ X 4 = = = 0,394 (hg − h f ) 233,86kJ / kg − 21,32kJ / kg Sustituyendo en: υ 4 = υ f + [ X 4 (υ g − υ f )] = 0,7323x10 −3 m 3 / kg + [0,394(0,1614 − 0,7323x10 −3 )m 3 / kg ] = 0,0640m 3 / kg Retomando la ecuación de QL: . . Q L = m(h 1 - h 4 ) = 0,031kg / s ( 233,86 - 105,29) kJ / kg = 3,98kJ / s = 3,98kW . & Qaire 3,98kJ / s Ahora, haciendo Qaire = Q L y sustituyendo ∆Taire = & = & & maireC p ,aire maire *1,0035kJ / kg.K Apuntes para TERMOFLUIDOS, Enero-Abril 2010
  • 20.
    TERMOFLUIDOS: Máquina térmicasy Bombas de Calor. Segunda ley de la Termodinámica. Entropía. 20 Para calcular el flujo másico del aire, se plantea la Aire ecuación de estado de gas ideal: Para obtener flujo másico en kg/s, se realiza la conversión de unidades: . . 6,97kg / min m= = 0,116kg / s 60s / min Otra manera de calcular el flujo másico: ρ@aire a 27 ºC = 1,162 kg/m3 (tabla A-15, propiedades del aire a 1 atm Apéndice 1, transferencia de calor por Cengel), 42,86 . 1min maire = ρ aire *V = 1,162kg / m3 * 6m3 / min* & = 0,116kg / s 60s & Qaire 3,98kJ / s Calculando: ∆Taire = = = 33,77K & maireC p ,aire 0,1176kg / s *1,0035kJ / kg.K ∆Taire = Tentrada − Tsalida ⇒ Tsalida = Tentrada − ∆Taire = 27º C − 33,77º C = −6,77º C = 266,37K e) Coeficiente de operación del equipo de aire acondicionado. La ecuación del coeficiente de operación COP, es: . QL QL COP = . = W in W in QL es el calor transferido en el evaporador y W in es el trabajo efectuado por el compresor. Sustituyendo los valores ya calculados: . QL 3,98kW COP = . = = 2,5 W in 1,59kW Comentario: Los resultados son validos solo con las suposiciones planteadas. Se aplicó segunda ley de la termodinámica en el análisis del consumo de potencia del compresor, se observa que el trabajo real es mayor que el trabajo ideal (o isentrópico, reversible). Se visualiza que el proceso en el evaporador es isotérmico e isobárico al igual que en el condensador, en la válvula de expansión es isentálpico (entalpía constante). Se han analizado tres dispositivos en un solo problema. . Profesor: Gustavo Tudare
  • 21.
    21 UNIDAD V RESUMEN Apuntes para TERMOFLUIDOS, Enero-Abril 2010
  • 22.
    TERMOFLUIDOS: Máquina térmicasy Bombas de Calor. Segunda ley de la Termodinámica. Entropía. 22 … REFERENCIAS BIBLIOGRAFICAS 1. CENGEL Yunus A. Termodinámica. Mcgraw-hill, 2006, 5ª edición, México DF. 2. WARK Kenneth. Termodinámica. Mcgraw-hill, 2001, 6ª edición, México DF. 3. MORAN M, SHAPIRO H. Fundamentals of engineering thermodynamics. Wiley, 2006, 5ª edición. Great Britain, East Lothian. … Profesor: Gustavo Tudare
  • 23.
    23 UNIDAD V ACTIVIDADES PROPUESTAS Apuntes para TERMOFLUIDOS, Enero-Abril 2010
  • 24.
    TERMOFLUIDOS: Máquina térmicasy Bombas de Calor. Segunda ley de la Termodinámica. Entropía. 24 Fluye vapor de manera estable a través de una turbina adiabática de una central termoeléctrica. condiciones de entrada del vapor son 6 MPa, 600 ºC y 80 m/s y las de salida son vapor saturado a 50 kPa, ºC y 140 m/s, generando una potencia de 8 MW, el vapor se va a condensar con el agua de un río cerc que circulará por los tubos del condensador. El fluido de trabajo al salir del condensador como líquido satu a 50 kPa, es succionado por una bomba que eleva la presión a 6 MPa para ingresar hacia una caldera do se obtienen nuevamente las condiciones del vapor que será suministrado a la turbina. Determine: a) Flujo másico de vapor que fluye por los dispositivos nombrados. b) Eficiencia adiabática de la turbina. c) Consumo de potencia de la bomba. d) Eficiencia del ciclo de la central termoeléctrica. En el compresor adiabático de una turbina a gas ingresa aire a condiciones ambientales de 100 kPa, 2 con flujo volumétrico de 2,4 m3/s y sale a 275 ºC. La eficiencia isentrópica del compresor es 84%. Luego el entra a una cámara de combustión y con la presión de descarga del compresor, a la salida de la cámar combustión el fluido de trabajo fluye de forma estable por una turbina adiabática, entrando a esta a 800 expandiéndose (saliendo) a 200 kPa con velocidad de 80 m/s, generando una potencia de 370 kW. Lueg pasar por unos quemadores posteriores a la turbina, el fluido de trabajo entra de manera estable a una to adiabática a la presión y velocidad de descarga de la turbina a 747 ºC, saliendo a 85 kPa, la tobera es eficiente. Determine: a) La potencia requerida para accionar el compresor. b) Eficiencia adiabática de la turbina. c) Velocidad del fluido de trabajo a la salida de la tobera. d) Temperatura del fluido de trabajo a la salida de la tobera. Profesor: Gustavo Tudare
  • 25.
    25 UNIDAD V TABLAS DE INTERES Apuntes para TERMOFLUIDOS, Enero-Abril 2010
  • 26.
    TERMOFLUIDOS: Máquina térmicasy Bombas de Calor. Segunda ley de la Termodinámica. Entropía. 26 Profesor: Gustavo Tudare
  • 27.
    27 UNIDAD V Apuntes para TERMOFLUIDOS, Enero-Abril 2010 .
  • 28.
    TERMOFLUIDOS: Máquina térmicasy Bombas de Calor. Segunda ley de la Termodinámica. Entropía. 28 Profesor: Gustavo Tudare
  • 29.
    29 UNIDAD V Apuntes para TERMOFLUIDOS, Enero-Abril 2010
  • 30.
    TERMOFLUIDOS: Máquina térmicasy Bombas de Calor. Segunda ley de la Termodinámica. Entropía. 30 Profesor: Gustavo Tudare
  • 31.
    31 UNIDAD V Apuntes para TERMOFLUIDOS, Enero-Abril 2010
  • 32.
    TERMOFLUIDOS: Máquina térmicasy Bombas de Calor. Segunda ley de la Termodinámica. Entropía. 32 Profesor: Gustavo Tudare
  • 33.
    33 UNIDAD V Apuntes para TERMOFLUIDOS, Enero-Abril 2010
  • 34.
    TERMOFLUIDOS: Máquina térmicasy Bombas de Calor. Segunda ley de la Termodinámica. Entropía. 34 Profesor: Gustavo Tudare
  • 35.
    35 UNIDAD V Apuntes para TERMOFLUIDOS, Enero-Abril 2010
  • 36.
    TERMOFLUIDOS: Máquina térmicasy Bombas de Calor. Segunda ley de la Termodinámica. Entropía. 36 Diagrama Presión entalpía (P-h) para el Refrigerante R134a (SI) Profesor: Gustavo Tudare