EQUILIBRIO QUÍMICO
Velocidades de formación y descomposición del HI.
Es decir, el equilibrio químico se
establece cuando existen dos
reacciones opuestas
que tienen lugar simultáneamente
a la misma velocidad.
Cuando un sistema se encuentra en una situación de equilibrio pierde
la capacidad de evolucionar espontáneamente “se acomoda ” en esa
situación, no existe desnivel.
El sistema alcanza un mínimo de energía y no evoluciona
espontáneamente
EQUILIBRIO DESDE EL PUNTO DE VISTA ENERGÉTICO
EQUILIBRIO
ESTABLE
EQUILIBRIO
INESTABLE
EQUILIBRIO
INDIFERENTE
Conviene diferenciar la situación de equilibrio (o equilibrio
estable) de la de metaequilibrio (o equilibrio metaestable) .
Una situación de equilibrio se
alcanza en el punto en el que el
sistema alcanza el valor mínimo
de energía.
Una situación de metaequilibrio
se alcanza en el punto en el que
el sistema alcanza el valor
mínimo de energía relativo a los
puntos contiguos con su
entorno.
La situación de equilibrio
metaestablese alterará cuando
el sistema reciba un “extra” de
energía suficiente para, saltando
las barreras con su entorno, esto
le permita evolucionar a
situaciones de mínimo
energéticoabsoluto.
Equilibrio
Mecánico Térmico
Material
Equilibrio de fases
Equilibrio químico
T T
 

dq
T T
 

P P
 

dV
P P
 

i i
 
 

dni
i i
 
 

EQUILIBRIO TERMODINÁMICO
No hay cambiosglobales en
lacomposición del sistema,
ni transferencia de materia
ASPECTOS BÁSICOS DEL EQUILIBRIO QUÍMICO.
Estadode equilibrio: estadoen que la composición
del sistema permanece constante en el tiempo.
• Equilibrio dinámico.
• Los sistemas evolucionan espontáneamentehacia un
estado de equilibrio.
• Las propiedades del estado de equilibrio son las mismas,
independientemente de la dirección desde la que se alcanza.
Perspectivacualitativa.
Una reacción está en equilibrio cuando la velocidad con que
desaparecen los reactivos es la misma con que se descomponen
los productos, resultando así un equilibrio dinámico.
Los equilibrios químicos pueden ser:
• Homogéneo
• Heterogéneo
Los equilibrios homogéneos son los que se establecen en un
sistema en el que sólo existe una sola fase. Por ejemplo sistemas
que contienen solamente gases, o una sola fase sólida o líquida.
Los equilibrios heterogéneos se dan en sistemas con más de una
fase. Por ejemplo: sólido-gas, líquido-gas, sólido-líquido.
CONDICIÓN GENERAL DE EQUILIBRIO QUÍMICO
A medida que transcurre una reacción química, la composición del
sistemay sus propiedades termodinámicas cambian.
Debemos introducir en las ecuaciones termodinámicas la dependencia
de la composición.
Para la energía libre de Gibbs, si la composición es fija
dG = -SdT + VdP
Si varía el número de moles (n1,n2, …..) de las sustancias presentes,
entoncesla G =G(T,P, n1, n2,…)
CONDICIÓN GENERAL DE EQUILIBRIO QUÍMICO
aA+ bB  cC + dD
1
1
, , 1 , ,
.... 0
j j j
P n T n T P n
G G G
dG dT dP dn
T P n

 
  
   
   
 
   
  
     
1 , ,
0
j i
j
i
i i T P n
G
dG SdT VdP dn
n


 

    
 

 

i

Potencial químico
Potencial químico: Energía Libre parcial molar
i

Es una propiedad intensiva, no depende de la cantidad de sustancia
Es la variación de energía libre G a P y T
constante por mol de sustancia añadida a
una cantidad muy grande de mezcla tal que
la composición sea constante.
Es la tendencia de un componente a escapar
de una determinada fase. A mayor valor de
i mayor es la tendencia al escape.
0
i i
dG SdT VdP dn

    

Sistema cerrado,
una sola fase,
sólo W(PV)
1 , ,
0
j i
j
i
i i T P n
G
dG SdT VdP dn
n


 

    
 

 

o Gº/ RT
p
K e

Consecuencias:
• Si Gº >> 0 ; Kpº << 1 : poca tendencia r  p
• Si Gº << 0 ; Kpº >> 1 : mucha tendencia r  p
• 0 < Kpº < 
• Gº sólo depende de T; Kpº también.
C D
o
p
A B
eq
P P
Pº Pº
K
P P
Pº Pº
c d
a b
 
   
 
 
 
 
 
 

 
   
 
   
 
   
 
EQUILIBRIOS HETEROGÉNEOS.
Aquéllos en los que las sustancias están en fases distintas
CaCO3 (s)  CaO (s) + CO2 (g)
La situación de equilibrio no se ve afectada por la cantidad de sólido
o líquido, siempre y cuando estas sustancias estén presentes.
La constantede equilibrio es independiente de las cantidades
de sólidos y líquidos en el equilibrio.
CaCO3 (s)  CaO (s) + CO2 (g) Kc = [CO2]
i i i
G
   
0 0
Por definición, paralíquidoso sólidos
puros
o Gº/ RT
p
K e

[Co(OH2)6]2+ + 4 Cl-  [CoCl4]2- + 6 H2O
Si
Hº = cte
o
p 2
o
p 1 1 2
K (T ) Hº 1 1
ln
K (T ) R T T
 

 
 
 
Ecuación integrada
de van’t Hoff
o
p
2
ln K Hº
T RT
d
d


o
p
Hº
dln K dT
RT


  2
Consecuencias: o
p 2
o
p 1 1 2
K (T ) Hº 1 1
ln
K (T ) R T T
 

 
 
 
a) Si Hº > 0 (endotérmica)
Si T2 > T1
Hº
0
R


1 2
1 1
0
T T
 
 
 
 
o
p 2 o o
p 2 p 1
o
p 1
K (T )
ln 0 ; K (T ) K (T )
K (T )
 
T  Kpº 
Al aumentar T se favorece la formación de productos.
b) Si Hº < 0 (exotérmica)
Consecuencias: 










2
1
1
o
p
2
o
p
T
1
T
1
R
º
H
)
T
(
K
)
T
(
K
ln
Tomemos T2 > T1
0
R
º
H


0
T
1
T
1
2
1










)
T
(
K
)
T
(
K
;
0
)
T
(
K
)
T
(
K
ln 1
o
p
2
o
p
1
o
p
2
o
p


T  Kpº 
Al aumentar T se favorece la formación de reactivos.
Se desplaza hacia la izquierda.
o
p 2
o
p 1 1 2
K (T ) Hº 1 1
ln
K (T ) R T T
 

 
 
 
Hº
0
R


1 2
1 1
0
T T
 
 
 
 
o
p 2 o o
p 2 p 1
o
p 1
K (T )
ln 0 ; K (T ) K (T )
K (T )
 
< 0
< 0
c) Si Hº = 0
Consecuencias:
o
p 2
o
p 1 1 2
K (T ) Hº 1 1
ln
K (T ) R T T
 

 
 
 
Si T2 > T1
o
p 2 o o
p 2 p 1
o
p 1
K (T )
ln 0 ; K (T ) K (T )
K (T )
 
La constante de equilibrio no cambia con T
RESPUESTA DEL EQUILIBRIO A UN CAMBIO DE
CONDICIONES. PRINCIPIO DE LE CHÂTELIER.
¿Cómo se puede modificar la situación de equilibrio?
Cambiando la constante de equilibrio
Cambiandola temperatura
Sin cambiar la constante de equilibrio
Cambiandoel resto de condiciones
Principio de Le Châtelier
“Si un sistema químico que está en
equilibrio se somete a una perturbación
que cambie cualquiera de las variables
que determina el estado de equilibrio,
el sistema evolucionará para contrarrestar
el efecto de la perturbación”.
1. Efecto de un cambio de temperatura (a P cte)
• Si Hº > 0 (endotérmica): T   K
0 
• Si Hº < 0 (exotérmica): T   K
0
2. Efecto de la adicción/sustracción de reactivos
o de productos gaseosos (a T y V ctes)
eq
c
eq
[prod] [prod]
K ;
[reac] [reac]
Q
 
• Si se añanden productos: Q > Kc  se formarán más reactivos
• Si se añaden reactivos: Q < Kc  se formarán más productos

3. Efecto de la presión total (a T cte)
KP
0 no varia.
La variación de P  variación de Pi = Xi P
QP  KP
0Pi
i  Xi deben variar para restablecer el equilibrio
KP
0 no varia.
4. Efecto de un cambio de volumen (a T cte)
La disminución de V conlleva que la concentración de total de
moléculas aumente. El sistema tenderá a reducirla.

Se desplaza hacia donde haya un menor número de moles gaseosos
Un aumento de P tiene el mismo efecto que una disminución de V

Se desplaza hacia donde haya un menor número de moles gaseosos
5. Adición de un gas inerte (a T y V ctes)
6. Adición de un catalizador
No altera el equilibrio
prod
reac
n / V
[prod]
[reac] n / V

No afecta al equilibrio
7. Adición de un reactivo/producto sólido o líquido
No altera el equilibrio
Tema de Equilibrio_Quimico_2020_MEDL.pdf
Tema de Equilibrio_Quimico_2020_MEDL.pdf

Tema de Equilibrio_Quimico_2020_MEDL.pdf

  • 1.
  • 2.
    Velocidades de formacióny descomposición del HI. Es decir, el equilibrio químico se establece cuando existen dos reacciones opuestas que tienen lugar simultáneamente a la misma velocidad.
  • 3.
    Cuando un sistemase encuentra en una situación de equilibrio pierde la capacidad de evolucionar espontáneamente “se acomoda ” en esa situación, no existe desnivel. El sistema alcanza un mínimo de energía y no evoluciona espontáneamente EQUILIBRIO DESDE EL PUNTO DE VISTA ENERGÉTICO EQUILIBRIO ESTABLE EQUILIBRIO INESTABLE EQUILIBRIO INDIFERENTE
  • 4.
    Conviene diferenciar lasituación de equilibrio (o equilibrio estable) de la de metaequilibrio (o equilibrio metaestable) . Una situación de equilibrio se alcanza en el punto en el que el sistema alcanza el valor mínimo de energía. Una situación de metaequilibrio se alcanza en el punto en el que el sistema alcanza el valor mínimo de energía relativo a los puntos contiguos con su entorno.
  • 5.
    La situación deequilibrio metaestablese alterará cuando el sistema reciba un “extra” de energía suficiente para, saltando las barreras con su entorno, esto le permita evolucionar a situaciones de mínimo energéticoabsoluto.
  • 6.
    Equilibrio Mecánico Térmico Material Equilibrio defases Equilibrio químico T T    dq T T    P P    dV P P    i i      dni i i      EQUILIBRIO TERMODINÁMICO No hay cambiosglobales en lacomposición del sistema, ni transferencia de materia
  • 7.
    ASPECTOS BÁSICOS DELEQUILIBRIO QUÍMICO. Estadode equilibrio: estadoen que la composición del sistema permanece constante en el tiempo. • Equilibrio dinámico. • Los sistemas evolucionan espontáneamentehacia un estado de equilibrio. • Las propiedades del estado de equilibrio son las mismas, independientemente de la dirección desde la que se alcanza. Perspectivacualitativa.
  • 8.
    Una reacción estáen equilibrio cuando la velocidad con que desaparecen los reactivos es la misma con que se descomponen los productos, resultando así un equilibrio dinámico. Los equilibrios químicos pueden ser: • Homogéneo • Heterogéneo Los equilibrios homogéneos son los que se establecen en un sistema en el que sólo existe una sola fase. Por ejemplo sistemas que contienen solamente gases, o una sola fase sólida o líquida. Los equilibrios heterogéneos se dan en sistemas con más de una fase. Por ejemplo: sólido-gas, líquido-gas, sólido-líquido.
  • 9.
    CONDICIÓN GENERAL DEEQUILIBRIO QUÍMICO A medida que transcurre una reacción química, la composición del sistemay sus propiedades termodinámicas cambian. Debemos introducir en las ecuaciones termodinámicas la dependencia de la composición. Para la energía libre de Gibbs, si la composición es fija dG = -SdT + VdP Si varía el número de moles (n1,n2, …..) de las sustancias presentes, entoncesla G =G(T,P, n1, n2,…)
  • 10.
    CONDICIÓN GENERAL DEEQUILIBRIO QUÍMICO aA+ bB  cC + dD 1 1 , , 1 , , .... 0 j j j P n T n T P n G G G dG dT dP dn T P n                              1 , , 0 j i j i i i T P n G dG SdT VdP dn n                 i  Potencial químico
  • 11.
    Potencial químico: EnergíaLibre parcial molar i  Es una propiedad intensiva, no depende de la cantidad de sustancia Es la variación de energía libre G a P y T constante por mol de sustancia añadida a una cantidad muy grande de mezcla tal que la composición sea constante. Es la tendencia de un componente a escapar de una determinada fase. A mayor valor de i mayor es la tendencia al escape.
  • 12.
    0 i i dG SdTVdP dn        Sistema cerrado, una sola fase, sólo W(PV) 1 , , 0 j i j i i i T P n G dG SdT VdP dn n                
  • 15.
    o Gº/ RT p Ke  Consecuencias: • Si Gº >> 0 ; Kpº << 1 : poca tendencia r  p • Si Gº << 0 ; Kpº >> 1 : mucha tendencia r  p • 0 < Kpº <  • Gº sólo depende de T; Kpº también. C D o p A B eq P P Pº Pº K P P Pº Pº c d a b                                       
  • 18.
    EQUILIBRIOS HETEROGÉNEOS. Aquéllos enlos que las sustancias están en fases distintas CaCO3 (s)  CaO (s) + CO2 (g) La situación de equilibrio no se ve afectada por la cantidad de sólido o líquido, siempre y cuando estas sustancias estén presentes. La constantede equilibrio es independiente de las cantidades de sólidos y líquidos en el equilibrio. CaCO3 (s)  CaO (s) + CO2 (g) Kc = [CO2] i i i G     0 0 Por definición, paralíquidoso sólidos puros o Gº/ RT p K e 
  • 21.
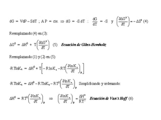
    [Co(OH2)6]2+ + 4Cl-  [CoCl4]2- + 6 H2O Si Hº = cte o p 2 o p 1 1 2 K (T ) Hº 1 1 ln K (T ) R T T          Ecuación integrada de van’t Hoff o p 2 ln K Hº T RT d d   o p Hº dln K dT RT     2
  • 22.
    Consecuencias: o p 2 o p1 1 2 K (T ) Hº 1 1 ln K (T ) R T T          a) Si Hº > 0 (endotérmica) Si T2 > T1 Hº 0 R   1 2 1 1 0 T T         o p 2 o o p 2 p 1 o p 1 K (T ) ln 0 ; K (T ) K (T ) K (T )   T  Kpº  Al aumentar T se favorece la formación de productos.
  • 23.
    b) Si Hº< 0 (exotérmica) Consecuencias:            2 1 1 o p 2 o p T 1 T 1 R º H ) T ( K ) T ( K ln Tomemos T2 > T1 0 R º H   0 T 1 T 1 2 1           ) T ( K ) T ( K ; 0 ) T ( K ) T ( K ln 1 o p 2 o p 1 o p 2 o p   T  Kpº  Al aumentar T se favorece la formación de reactivos. Se desplaza hacia la izquierda. o p 2 o p 1 1 2 K (T ) Hº 1 1 ln K (T ) R T T          Hº 0 R   1 2 1 1 0 T T         o p 2 o o p 2 p 1 o p 1 K (T ) ln 0 ; K (T ) K (T ) K (T )   < 0 < 0
  • 24.
    c) Si Hº= 0 Consecuencias: o p 2 o p 1 1 2 K (T ) Hº 1 1 ln K (T ) R T T          Si T2 > T1 o p 2 o o p 2 p 1 o p 1 K (T ) ln 0 ; K (T ) K (T ) K (T )   La constante de equilibrio no cambia con T
  • 25.
    RESPUESTA DEL EQUILIBRIOA UN CAMBIO DE CONDICIONES. PRINCIPIO DE LE CHÂTELIER. ¿Cómo se puede modificar la situación de equilibrio? Cambiando la constante de equilibrio Cambiandola temperatura Sin cambiar la constante de equilibrio Cambiandoel resto de condiciones
  • 26.
    Principio de LeChâtelier “Si un sistema químico que está en equilibrio se somete a una perturbación que cambie cualquiera de las variables que determina el estado de equilibrio, el sistema evolucionará para contrarrestar el efecto de la perturbación”.
  • 27.
    1. Efecto deun cambio de temperatura (a P cte) • Si Hº > 0 (endotérmica): T   K 0  • Si Hº < 0 (exotérmica): T   K 0 2. Efecto de la adicción/sustracción de reactivos o de productos gaseosos (a T y V ctes) eq c eq [prod] [prod] K ; [reac] [reac] Q   • Si se añanden productos: Q > Kc  se formarán más reactivos • Si se añaden reactivos: Q < Kc  se formarán más productos 
  • 28.
    3. Efecto dela presión total (a T cte) KP 0 no varia. La variación de P  variación de Pi = Xi P QP  KP 0Pi i  Xi deben variar para restablecer el equilibrio KP 0 no varia. 4. Efecto de un cambio de volumen (a T cte) La disminución de V conlleva que la concentración de total de moléculas aumente. El sistema tenderá a reducirla.  Se desplaza hacia donde haya un menor número de moles gaseosos Un aumento de P tiene el mismo efecto que una disminución de V  Se desplaza hacia donde haya un menor número de moles gaseosos
  • 29.
    5. Adición deun gas inerte (a T y V ctes) 6. Adición de un catalizador No altera el equilibrio prod reac n / V [prod] [reac] n / V  No afecta al equilibrio 7. Adición de un reactivo/producto sólido o líquido No altera el equilibrio