n M O L f l f
m i l
VOLUMEN 2'i ¡ i i y
TERCERA EDICIÓNwww.FreeLibros.com
TOPICOS DE CALCULO
VOL. II
- INTEGRAL INDEFINIDA
- INTEGRAL DEFINIDA
•INTEGRALES IMPROPIAS
- APLICACIONES DE LA INTEGRAL DEFINIDA
- COORDENADAS POLARES
- RECTAS Y PLANOS EN EL ESPACIO TRIDIMENSIONAL
- SUPERFICIES
MAXIMO MITACC MEZA - LUIS TORO MOTA
www.FreeLibros.com
TOPICOS DE CALCULO
VOL. II
TERCERA EDICION
MAXIMO MITACC - LUIS TORO MOTA
IMPRESO EN EL PERU PRINTED IN PERU
Prohibida la reproducción total o parcial por todos los medios
gráficos, sin permiso de los autores.
Número de Inscripción en le Registro Nacional
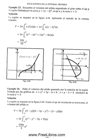
de Derechos de Autor N° 160
Impreso en los Talleres Gráficos de:
Editorial THALES S.R.L.
TERCERA EDICION Mayo del 2009
www.FreeLibros.com
PRÓLOGO
En esta segunda edición de T ópicos de Cálculo Vol. II, nos hem os esforzado por
presentar el cálculo integral para funciones reales de una variable real y la
geometría analítica en el espacio, en form a tal que resulte de m áxim o provecho a
los estudiantes cuyo cam po de especialización no sea estrictamente las
matemáticas. L a orientación principal del libro es hacia aplicaciones en diversas
áreas de la ciencia, lo cual am plía la utilidad del texto.
Aunque en esta edición la estructura básica general no se ha cam biado, se ha
realizado una gran cantidad de revisiones. H em os reestructurado casi la totalidad
del capitulo 6 y el capítulo 7, se han hecho una gran cantidad de m odificaciones a
lo largo de todo el libro, los cuales consisten en ejemplos adicionales
desarrollados y redacción de procedimientos. El conjunto de ejercicios propuestos
se ha m odificado, con la adición de nuevos ejercicios.
E l Libro se divide en siete capítulos. E n los prim eros cuatro capítulos se hace una
presentación de la integral indefinida, integral definida, integral impropia, y sus
aplicaciones. H em os visto por conveniencia desarrollar primero la integral
indefinida con la finalidad de fam iliarizar al estudiante con las técnicas y/o
artificios de integración que luego se usan en los capítulos siguientes. El capítulo
cinco trata sobre las coordenadas polares y sus aplicaciones. En los capítulos
siguientes (del sexto al séptimo), se inicia con una introducción breve de vectores
en el espacio tridim ensional y se continua con recta, plano, superficies y se
concluye con las coordenadas cilindricas y esféricas.
Nuestro propósito es que esta edición no lenga errores, pero es casi un axiom a que
todo libro de Matem ática los presente; por tal m otivo consideram os que este texto
no sea la excepción, a pesar del esmero y la dedicación puesta para detectarlos y
corregirlos antes de su impresión. E n tal sentido, los autores com partim os la
responsabilidad de los m ism os, aclarando que dichos errores han sido com etidos
solamente por uno de los autores.
Querem os expresar nuestro agradecimiento a los profesores y alum nos de todo el
país por la acogida brindada a la edición anterior y esperam os que esta nueva
edición tenga la m ism a preferencia.
L o s Autores
www.FreeLibros.com
I N D I C E
C A P I T U L O 1: I N T E G R A L I N D E F I N I D A
Antiderivada e integración indefinida.......................................... 1
Propiedades de la integral indefinida..................................... 4
Integrales inm ediatas........................................................... 5
M étodos de integración........................................................ 10
Integración por sustitución o cam bio de variable............. 11
Integración por p arte s.................................... 20
Técnicas de integración........................................................ 29
Integrales de algunas funciones trigonométricas e hiperbólicas 32
integrales de la form a / sen™* cos-x dx y f s , n ^ x cosk’ x dx 32
Integración por sustitución trigonom étrica................................ 45
M étodo de integración por descom posición en fracciones parciales 56
Integración de algunas funciones irracionales......................... 68
C A P I T U L O 2: I N T E G R A L D E F I N I D A
Sum atorias............................................................................ 95
Cálculo del área de una región plana por sum atorias.............. 104
Sum a superior y sum a in fe rio r............................................ 112
Integrales inferiores y su p e rio re s.......................................... 115
Integral de Riem ann .............................................................. 116
Propiedades de la integral definida ....................................... 120
Teorem as fundamentales del cálculo integral........................ 121
C am b ia de variable en una integral d e fin id a ........................ 130
Integración por partes en una integral d e fin id a ...................... 134
Cálculo aproxim ado de las integrales definidas................... 144
C A P I T U L O 3: I N T E G R A L E S I M P R O P I A S
Integrales im propias con límites infinitos.............................. 149
Integrales im propias con límites fin ito s............................... 152
Integrales im propias con integrando no negativo............. . 161
C A P I T U L O 4: A P L I C A C I O N E S D E L A I N T E G R A L D E F I N I D A
Área de regiones p la n a s....................... .................................. 167
www.FreeLibros.com
Volum en de un sólido en función de las áreas de las secciones planas...... 181
Volum en de un sólido de revolución..................................... 185
M étodo del disco circular y del anillo circular...................... 185
M étodo de la corteza cilindrica .............................. ............... 191
Longitud de a r c o .................................................................. 201
Área de una superficie de re vo lu c ió n ................................... 208
M om entos y centros de masa (ó centros de grave d a d )........... 214
Aplicaciones de la integral en los n e g o c io s............. ............... 229
C A P I T U L O 5: C O O R D E N A D A S P O L A R E S
Sistem a de coordenadas p o la re s..................................... ........ 237
Relación entre las coordenadas polares y las rectangulares....... 239
Distancia entre dos puntos en coordenadas p o la re s................... 240
Ecuación polar de una re cta .............................. ..................... 241
Ecuación polar de una circunferencia....................................... 243
D iscusión y gráfica de una ecuación p o la r................................ 244
Intersección de curvas en coordenadas p o la re s........................... 248
Derivadas y rectas tangentes en coordenadas p o la re s.............. 251
Á n g u lo entre dos curvas en coordenadas p o la re s...................... 254
Área de regiones en coordenadas p o la re s........................ ....... 262
Longitud de arco en coordenadas p o la re s................................. 266
Volum en de un sólido de revolución en coordenadas polares.... 268
C A P I T U L O 6 : R E C T A S Y P L A N O S E N E L E S P A C I O
T R I D I M E N S I O N A L
Vectores en el espacio tridim ensional....................................... 273
Representación geométrica de un vector en i 3 ....... .................. 274
Vectores paralelos en R 3 .......................................................... 276
M ó d u lo y longitud de un vector en K 3 ...................................... 277
Á n g u lo entre dos ve cto re s......................................................... 278
Vectores ortogonales o perpendiculares..................................... 279 •
Producto ve c to rial............. ....................................................... 283
Aplicaciones del producto ve c to rial............................................ 285
A plicación del triple producto e sc a la r........................................ 287
Recta en el e sp a c io .............................. ..................................... 295
Relación entre los cosenos directores de una recta....................... 296
www.FreeLibros.com
Ecuaciones de un plano en el e sp a c io ......................................... 306
Á n g u lo entre dos p la n o s ............................................................. 319
Proyección ortogonal de una recta sobre un p la n o ...................... 320
C A P I T U L O 7: S U P E R F I C I E S
E s fe ra .................................................................................... 342
D iscusió n y gráfica de la ecuación de una su p e rficie ................. 347
C ilin d r o s ................................................................................. 352
Superficie de re v o lu c ió n ......................................................... 356
Superficies cuadráticas............................................................. 361
Coordenadas cilindricas y coordenadas e sfé ricas........................ 369
Coordenadas esféricas............................................................... 371
A p lic a c io n e s.............................................................................. 373
www.FreeLibros.com
( r ' ........ ....1............................ ^
INTEGRAL
INDEFINIDA
^ ...... .....— ^
1.1 A N T I D E R I V A D A E I N T E G R A L I N D E F I N I D A
En el libro de T ópicos de Cálculo Volum en 1, se trató principalmente el problem a
básico siguiente: “D ada una función encontrar su derivada”. Sin embargo, existen
m uchas aplicaciones del cálculo que están relacionadas con el problema inverso,
el cual es: “D ada una función /, definida en un intervalo /, encontrar una función
F cuya derivada sea la función /, es decir,
F '( x ) = / (x ), V x G /.
D e fin ición 1. Sea / un intervalo y /: / -> M una función. U na función F: / —» M
tal que F '( x ) = / (x ), V x G /, se denomina prim itiva o antiderivada de / en / y
se escribe
F ( x ) = Ant (/ (x )), V x G /
Eje m p lo 1. S e a / ( x ) = 4 x 3 , x G R y g ( x ) = e x , x G B .
Las funciones F(x) = x 4 y G (x) = e x, x G K, son respectivamente antiderivadas
de / y g en E , es decir,
F'(x) = ( x 4) ' = 4 x 3 , V x E R
G '( x ) = (exy = e * , V x G l
Tam bién son antiderivadas de / ( x ) = 4 x 3 las funciones
1007T
F1(x) = x 4 + 2, F2{x) = x 4 + ln7i y F3( x ) = x 4 + -
pues sus derivadas son iguales a / ( x ) = 4 x 3
Análogam ente, otras antiderivadas de g (x ) = e x son, por ejemplo,
V3
G iC x) = e x - 1, G2(x) = e x - e e, C 3( x ) = e x + — y C4(x ) = e x + k
donde k es cualquier constante real.
www.FreeLibros.com
Observación i. Si F{x) = A n t ( f ( x )) en I, entonces F(x) + C, donde C es una
constante real, es también antiderivada de f en l.
lista propiedad es evidente, pues si F(x) = A n t(J{x) ) en I, entonces
F ' ( x ) = f ( x ) , V x e l
Tam bién ( F ( x ) + C ) ' = F'{x) = / ( * ) , V x 6 /. Entonces
F(x) + C = A n t ( f{ x )) en /
U na pregunta natural es: “Si F(x) = A n t ( f ( x )) en el intervalo /, ¿cualquier otra
antiderivada de / en I difiere de F a lo más en una constante?”. D ic h o de otro
modo, si F^x) = A n t ( f ( x )) en /, ¿necesariamente Fr (x) = F(x) + C, V x e l ?
La respuesta es afirm ativa y se deduce de la siguiente proposición.
P rop osició n 1. Sea / :/ -» E una función definida en el intervalo abierto / y
F:I -» E una antiderivada o prim itiva de /. Si :/ -> E es también una
antiderivada de /, entonces
F1(x) = F(x) + C
para alguna constante C.
Demostración
D efinim os la función H por H(x) = F^x) - F (x ). Entonces
H'(x) = Fi(x) - F'{x) = f ( x ) - f ( x ) = 0, V x E l
Luego, H'(x) = 0 , V x e l .
D e aquí se deduce que H( x) = C , V x e l , donde C es una constante (ver
Corolario 1 del T .V .M . T ópicos de Cálculo Vol. 1). Luego, se tiene
H(x) = F iC O - F{x) = C <=> F^x) = F(x) + C , V x e l
Geométricamente, significa que si F(x) = A n t ( f ( x )) en el intervalo /, cualquier
otra antiderivada de / en I es una curva paralela al gráfico de y = F(x) (Fig. 1.1).
TO I% ()S DE CÁ LCU LO - VOLUMEN II
2www.FreeLibros.com
INTEGRAL INDEFINIDA
D e fin ición 2. Sea F ( x ) una antiderivada de f { x ) definida en el intervalo I. L a
integral in d e fin id a 'd e f ( x ) es e f conjunto de todas las antiderivadas de f ( x )
definidas en dicho intervalo y se representa mediante el sím bolo
J f ( x ) d x = F (x ) . + C
donde C es una constante real que se denom ina constante de integración.
L a función / ( x ) se llam a integrando, f { x ) d x es el elemento de integración, x
variable de la integral- y el sím bolo j se denom ina sím bolo de la integral. La
expresión / / ( x ) d x se lee “integral de f ( x ) con respecto a x ” o “integral
indefinida de / ( x ) diferencial x ”.
Observación 2, De la definición 2 se deduce las siguientes propiedades:
i) ^ ( J / ( x ) d x ) — ( J / ( x ) d x ) = ( F ( x ) + c y = f (x ) , es d e c ir :
“la derivada de la integral indefinida es igual al integrando "
ti) d / ( x ) d x j = / ( x ) d x j d x = f { x ) d x
¡ii) Si f es una función derivable en I, entonces una primitiva de f es f. Luego,
J f ' { x ) d x = f ( x ) + C
iv) Como d { f { x ) ) = / '( x ) d x , de (iii) se deduce:
J d ( / ( x ) ) = f ( x ) + C
D e las propiedades ii) y iv), se concluye que la integral indefinida puede
interpretarse com o una operación inversa de la diferenciación, pues al aplicar la
integral indefinida a la diferencial de la función f { x ), ésta reproduce la función
/ ( x ) m ás la constante de integración.
E je m p lo 2. D e l ejemplo 1 se deduce:
i) J e xdx = e x + C
ii) J 4 x 3d x = x 4 + C
E n la figura 1.2 se muestra la gráfica de las antiderivadas de / ( x ) = e x, es decir,
de F ( x ) = e * + C , donde C es una constante real. S i C > 0, la gráfica de y = e x
se desplaza paralelamente C unidades hacia arriba y si C < 0, se desplaza
paralelamente C unidades hacia abajo.
3www.FreeLibros.com
TÓPICOS DE CÁLCULO - VOLUMEN II
Ejemplo 3. Como d (x ln x - x ) = ln x dx, por la obs. 2-iv , se deduce:
J d ( x l n x — x ) = J  n x dx = x l n x - x + C
, , í 1 x
Ejem plo 4. J - ^ —j = - arc ta n -+ C , pues
n x ' 1
(-a r c ta n - + C) = -
1
__ 2__
X^
1 +=r4
1
4 + x 2
1.2 P R O P I E D A D E S D E L A I N T E G R A L I N D E F I N I D A
P rop osició n 2. Si / y g son funciones que admiten antiderivadas en el intervalo /
y k es una constante cualquiera, entonces las funciones / ± g y k f admiten
antiderivadas en / y se tiene:
a) [ íf (x ) ± g ( x ) ] d x = J f ( x ) d x ± J g (x )d x
b) I [k f(x )]d x = k j f ( x ) d x
D em o stració n
a) Com o | J [/ (x ) ± 5 (x )]d x j = / (x ) ± ^ (x ) = / (x )d x j ± J g ( x ) dx ,
entonces J [f(x) ± g ( x ) ] d x y J f ( x ) d x ± J g(x)dx son las antiderivadas
de / ( x ) ± g ( x ) . Por tanto,
j [ / ( * ) ± 9 (x)]dx = J f ( x ) d x ± j g ( x )d x
b) L a dem ostración queda com o ejercicio para el lector.
D e la parte (a) se deduce que la integral indefinida de una sum a algebraica de
varias funciones es igual a la sum a algebraica de sus integrales.
E je m p lo 5. Calcule j (e x - 4 x 3 + ln x )d x .
Solución. E n virtud de la proposición 2 y de los ejemplos 1, 2 y 3 se obtiene:
J (e x - 4 x 3 + ln x ) d x = J e xdx - J 4 x 3dx + J l n x d x
= ( ex + Ct ) - ( x 4 + C2) + ( x l n x - x + C3)
= e x - x 4 + x In x - x + C, d on d e C = Cx + C2 + C3
En lo que sigue solamente usarem os una constante única de integración para la
sum a de 2 o m ás funciones.
4
www.FreeLibros.com
S i conocem os f ' ( x ) , por la observación 2-iii se deduce que
j f ' ( x ) d x = f ( x ) + C ó J d ( f ( x ) ) = f { x ) + C
Esta integral se denom ina integral inmediata. Por ejemplo, una integral inmediata
es / dx = x + C. Enseguida, presentaremos una tabla de integrales inmediatas,
que contiene, además de las integrales de funciones elementales, otras que serán
de m ucha utilidad. Por comodidad, en lugar de la variable x usarem os la letra u.
M á s adelante, verem os que u puede ser una función, es decir, u = u (% ).
F Ó R M U L A S E L E M E N T A L E S D E I N T E G R A C I Ó N
1. J du = u + C 2. j — = ln|u| + C
f un+1 f
3. undu = ---------------- + C ,n — 1 4. e udu = e + C
J n + 1 J
f ciu f
5.  a udu = --------b C 6. | sen u du = - c o su + C
J ln a J
7. J eos u d u = sen u + C 8 .j tan u d u = ln[sec u| + C
9. J c o tu d u = ¡njsen u¡ + C 10. J secu du —ln|secu + tan u| + C
” ■ / ese u du = ln|csci¿ — coti¿| + C 12. Jsec2u du = tan u + C
13. J csc2u du = —cot u + C 14. J secu tan u du = secu 4- C
15. J ese u cot u du = — ese u + C 16. J senh u du = cosh u + C
17. j cosh u du = senh u + C 18. j tanh u du = ln|cosh u| + C
19. J sech2u du = tanh u + C 2 0 . J cschJu du = -c o th u + C
21. J se c h u tpnh u d u = — se ch u + C
22 . J c sc h u coth u d u = — c o sh u + C
INTEGRAL INDEFINIDA
1.3 IN T E G R A L E S INM ED IA TA S
5www.FreeLibros.com
■h
■ h
du
+ u- a
TOPICOS DE CALCULO - VOLUMEN II
1 U
arctan —+ C , (a > 0)
1 u —a
= — ln
2a u + a
1 u + a
= — ln
2a u - a
+ C , (a > 0)
+ C , (a > 0)
26
f du u
—= = = arcsen - + C , (a > 0)
-a rc se c ------1- C , (a > 0)
a
29
30
a rc se n - + C , (a > 0)
a j
f du i ,-----------1
27. I - p = = In u + V u 2 ± a 2 + C
v u 2 ± a 2
r du 1
28. — ;..= -
J u v u 2 — a 2 a
. J yja2 — u 2du = —juVa 2 - u2 + a
j yj'u2 + a 2du = - |u%/u2 + a 2 4- a 2 ln (u + J u 2 + a 2)j 4- C
31. J yju2 - a 2du = - [u v u 2 - a 2 - a 2 ln |u + V u 2 - a 2j] + C
Cada una de éstas fórm ulas se pueden verificar mediante la derivación (respecto a
la variable u).
Por ejemplo, en el caso de la fórm ula 24 se tiene:
dd / 1 iu —ai 1
du  2 a n lu + aU 2a
(ln|u - a  - ln|u + a|)
¡L UU
1 1 1 1
2a u - a u + a
P or tanto
f du 1 iu - ai
■ I —^------j = t;—ln --------- + C
J u'- — a 2 2a lu + al
En el caso de la fórm ula 18, se tiene:
d s e n h u
— (In cosh u|) = — —— .?= tanh u
du cosh u
De lo a n te rio r se deduce que J tanh u d u = ln|cosh u| + C.
6
www.FreeLibros.com
Ejem plo 6. Calcule J ( 6x 4 - x 2 + 3)du.
Solución
U sando las fórm ulas de integración, tenemos
J (6x 4- x 2 + 3)du = J 6x 4dx - J x 2dx + J 3dx
= 6 J x 4dx - J x zdx + 3 J dx
6 x 3
= - x 5 - — + 3x + C
Ejem plo 7. Calcule J (v 2 —[x)2dx.
Solución
C om o (V 2 — V * ) 2 = (2 — 2 V 2 V x + x ), entonces se obtiene
j (V2 - yfx)2dx =2 J dx - 2V 2 J x 1/2dx + J xdx
r 3/2 y 2
= 2 „ _ 2 V 2 _ + y + C
= 2 x - ^ 4 2 x 3/z 4 - ^ x 2 + C
f 3 x 5 — 6x 2 + yfx
Ejem plo 8. Halle I ------------------- ---- dx.
J x 6
Solución
D ividiendo término a término el integrando y aplicando las propiedades de la
integral, se tiene
f 3 x s - 6 x 2 + tJ x f f dx f
I ---------- --------------dx = 3 I x dx - 6 I ------ ¡- x s/2dx
2
- x 3 - 6 nx ~ - x 3l2 + C
En los ejemplos anteriores, el método para hallar las integrales consistió en tratar
de descom poner el integrando como la sum a algebraica de varias funciones y
luego aplicar las propiedades enunciadas en la proposición 2. Este método es
llamado "método de integración por descomposición”. E n ciertas funciones,
descom poner la función en sum as parciales no es tarea fácil, pues depende de la
experiencia, habilidad y práctica del que calcula.
INTEGRAL INDEFINIDA
7www.FreeLibros.com
/
TOPICOS DE CALCULO - VOLUMEN II
dx
Ejemplo 9. Calcule ,
J se nh 2x cosh-x
Solución
1 cosh2x - senh2x
Como -----—----—— = -----------—---------—— = csch^x - sech2x, entonces
se n rrx cosh -x senh2x cosh^x
/ se n h 2x c o sh 2x = / CSCh2* dx ~ / Sech2* dx = ~ COth X “ tanh x + C
r x 2 + 2
Ejem plo 10. Encuentre ■ --------dx.
J x 2(x2 + 4)
Solución
Expresando el num erador del integrando en términos de los factores del
denominador, resulta
2 1
+ 2 = x z + - (x z + 4 - x 2) = - [(x 2 + 4) + x z]
Ahora, escribim os la integral como la sum a de dos integrales (haciendo las
sim plificaciones en cada integrando) y obtenemos
í * ¿ + 2 l f i ! + ( i 2 + 4 ) i r dx 1 r dx
J x 2( x 2 + 4 ) X ~ 2 j x 2( x 2 + 4 ) 2 J x 2"+~4 + 2 J x 2^
1 rl 1
~ 2 l2 í
i ri x
: arctan -
+ 2
1 X 1
-a r c ta n - - — + C
4 2 2x
í x 2 —5
Ejem plo 11. Halle / = — —— — dx
J x 2(x 2 - 9)
Solución
Procediendo del m ism o m odo que en el ejemplo anterior, resulta
x 2 — 5 = x 2 + | ( x 2 - 9 - x 2) = | ( x 2 - 9) i- -”X 2
9 9 9
_ f í * 2 + | ( * 2 - 9 ) 4 r dx 5 r dx
J x 2( x z - 9) d x - 9 j x 2 - 9 + 9 j I 2
4 1
= 9 ' ¿ ln
x + 3
x —3
5 2 ix + 3| 5
~ 9 x + ° ~ 2 7 lnL —31 ~ 9 x + C
8
www.FreeLibros.com
INTEGRAL INDEFINIDA
3 dx
J x 2(x2 + 5)
So lu ción
Usando el m ism o procedimiento de los ejemplos anteriores, se obtiene
3 3 3
3 = - (x2 + 5 — x 2) = — (x2 + 5) - - x 2 . Luego,
3 , 7 . , . , , 3 2 j
Ejemplo 12. Halle
_ r ^ ( x 2 + S ) - ^ x 2 dx ^ 3 r d x 3 r
J x 2(x 2 + 5 ) 5 J x 2 5 J x 2 + 5
3 x
arctan — + C
5x 5 V 5 V 5
Ejemplo 13. Sea /: R -> K una función continua en E tal que
m =2 y = * e
 e x, x > 1
Determine f (x ) .
Solución
( - 1, oo < x < 0 f - x + Cu x < 0
/ '( x ) = | 1 . 0 < x < l =>f ( x ) = I x + C2 , 0 < x < 1
l e * , x > l l e * + C3 , x > l
D e la continuidad de / en E, se tiene
0 / (O ) - l*m / ( x ) = ü m / ( x ) <=* 2 = C, = C2 (1 )
x-»0_
ii) / ( l ) = lim _ / (x ) = lim + / ( x ) «=> 1 + C2 = e + C3 ( 2)
Resolviendolas ecuaciones (1) y(2), se obtiene: = 2, C2 = 2 y C3 = e - 3.
í - x + 2 , x < 0
P o r tanto, / ( x ) = | x + 2 , 0 < x < 1
le* +e - 3 , x > 1
Observación 3. Una identidad útil en el proceso de integración es
1 1
a2- u2 2a a —u a -r u
9www.FreeLibros.com
TÓPICOS DE CÁLCULO - VOLUMEN II
f dx
Ejem plo 14. Calcule I — —
Solución
U sando la identidad de la observación 3, se tiene
(■ dx _ 1 f r 1 1
J x 4 —9 ~ ~ 6 J ix 2 + 3 + 3~—~}
111 * 1
- — a rc ta n — + — — ln
6 LV3 V3 2V3
x 2 + 13
dx
+ V 3
- V 3
+ C
f x + 13
Ejem plo 15. Encuentre - -- dx.
J V F T 9
Solución
Trabajando de manera adecuada en el numerador del integrando, se obtiene
f x 2 + 13 , f ( x 2 + 9 ) + 4 f r—------ f dx
. dx = — — dx =  yjx2 + 9 dx + 4 1
J V x 2 + 9 J V x 2 + 9 J J V * 2 + 9
= - j * V * 2 + 9 + 9 ln (x + yjx2 + 9 )] + 4 ln (x + j x 2 + 9) + C
= 2 [ W * 2 + 9 + 17 ln (x + J x 2 + 9)] + C
1.4 M ÉTO DOS DE INTEGRACIÓN
Antes de presentar los métodos de integración “por sustitución o cam bio de
variable” y “por partes”, es necesario hacer notar una diferencia esencial entre las
operaciones de derivación y de integración. Dada una función elemental (función
que se obtiene mediante un número finito de operaciones de suma, resta,
multiplicación, división y com posición de funciones de las funciones: constante,
potencia (y - x a ), exponencial (y = a x), logarítm ica (y = lo g a x),
trigonométricas y trigonom étricas inversas), su derivada mantiene la m ism a
estructura, es decir, también se expresa com o una función elemental, mientras que
en la integral indefinida, esto solamente sucede en condiciones m uy especiales.
Por ejemplo, las integrales sim ples com o
l ^ i x . f e * d x .
J V i + x 3 dx , J ser¡(x2) d x , j c o s( x 2) dx
no pueden ser expresadas en términos de “com binaciones finitas” de funciones
elementales.
10www.FreeLibros.com
INTEGRAL INDEFINIDA
Del punto de vista práctico, la integración se presenta como una operación más
com plicada que la derivación, pues ésta tiene reglas generales de derivación;
mientras que para la integración es posible hacer artificios que son válidos para
clases particulares de funciones. Cada caso particular requiere un ensayo, una
tentativa, por lo que se recomienda práctica, más práctica y más práctica.
1.4.1 I N T E G R A C I Ó N P O R S U S T IT U C IÓ N O C A M B I O D E V A R I A B L E
Para hallar la integral indefinida por este método, dividim os nuestro análisis en
dos partes: reconocim iento del m odelo y cam bio de variable.
En el reconocim iento del m odelo realizamos la sustitución mentalmente, mientras
que en cam bio de variable escribim os los pasos de la sustitución.
El procedimiento de sustitución en la integración es comparable con la regla de la
cadena en la derivación. Recuerde que para funciones derivables y = f { u ) y
u = g (x ), la regla de la cadena establece
Si hacem os la sustitución u = g(x), entonces a partir de la definición de la
integral definida tenemos
A sí, hem os probado la siguiente proposición:
]
P ro p o sició n 3. Si y = f ( u ) es una función derivable de u, u = g ( x ) es una i
función derivable de x y F es una antiderivada de /, entonces |
J f ( g ( x))g'(x)dx = F(g(x)) + C (Reconocim iento del m odelo)
Si hacemos el cam bio de variable u = g(x), entonces du = g '( x )d x . Luego,
d
J f ' { g ( x ) ) g ' ( x ) d x = f { g ( x ) ) + C = f ( u ) + C
J f ( g ( x ) ) g ' ( x ) d x = J f ( u ) d u = F ( u ) + C
Ejem plo 16. Calcule J (x 3 + l ) 4 3x2 dx.
Solución
Sea t = x A + 1 . entonces d t = 3 x 2 dx . Luego,
IIwww.FreeLibros.com
TOPICOS DE CÁLCULO - VOLUMEN II
í X 4
Ejemplo 17. Halle la integral I -dx.
J Vx5 + 1
Solución
Si t = x 5 + 1 , setiene d t = 5x 4d x . Entonces
f x 4 , 1 f 5x 4dx i r ,,, 1 7 £í„
T 'f •- dx = r Tr , = c f “ d t = - - - t 6/7 + C
J Vx5 + 1 5 J Vx5 + 1 5 J 5 6
= ¿ 7 ( * 5 + i ) 6 + c
r Sexdx
Ejem plo 18. Calcule la integral J - ^ = = = = .
Solución
Si u = e x , se tienedu = e * d x . Luego, se obtiene
f S exdx f du
...... = 5 --- = 5 arcsen u + C = 5 arcsenfe*) + C
J Vi - e2* J V l^ ü 2
f s e n h x c o s h x
Ejem plo 19. Calcule I = — ----------— - — dx.
J (1 + senh 2x ) 5
Solución
S i consideram os u = 1 + se n h 2x , se tiene d u = 2 senh x cosh x d x . Luego,
f ? du 1 í 1 u“4 1
/ - J - ¡ ^ - 2 j U d U ~ 2 ( ^ ) + C - - 8(1 + s e n V x y + C
f arcsenV x dx
Ejem plo 20. Halle I — ■ = = — .
■/ V x — X 2
Solución
r- . ' 1 d x d x
Si se hace u = a rc se n V x , se tiene du = ------- — = = — ■— ..... . Por tanto,
V T ^ x 2V x 2V x - x 2
r arcsenVx dx f 2
J — — = J 2u d u = u + C = [arcsenVx] + C
= arcsen2Vx + C
Observación 4. En ciertos casos, es necesario realizar algunas operaciones en el
integrando para que el cambio de variable sea másfácil de realizar.
12www.FreeLibros.com
INTEGRAL INDEFINIDA
Ejemplo 21. Calcule I
I 2 + J2 + J 2 + 2cos (5/x + 4) •x 1/2dx.
Solución
En el integrando, aplicam os la identidad trigonométrica
9 1 + eos 9
eos — = ------ —
2 2
Q
ó 1 + eos 0 = 2 e os2 —
- í
1 = 2 + 2 + |2 [ l + eos (5V3c + 4)] •x i/2dx
-i.
!2 + 12 + 2 cos 5-^ + 4 ■x~1/ 2dx = J 2 + 2 eos
5 V * 4- 4
1/2dx
5 V x + 4 5 _ . 16
Si u = ----- — -, entonces du = —~x ,¿dx <=> — du = x ' ‘ d x . Luego,
8 16 5
32 f 32 32 / 5 V x + 4 
/ = — I eos u du = — sen u + C = — sen I ----- g— | + C
Ejem plo 22. Halle / = J
x dx
e3* ( l - x)4
Solución
Luego de expresar el denom inador en una sola potencia, tenemos
x e x dx C x e x dxf xe dx r xe
= J e 4x( l —x ) 4 = J (ex —.e 4x( l —x ) 4 J (ex - x e x)4
Lucho, hacemos u = e x —x e x . Entonces du = —x e xdx ■*=> —du = x e xdx
l)c esiii manera, se obtiene:
/
f du _ 1
J u4 3u 3
+ C =
3 e 3* (l - x ) 3
+ C
13
www.FreeLibros.com
TOPICOS DE CALCULO - VOLUMEN II
Ejemplo 23. Calcule / = J
(x 2 - 1)dx
(.x 2 + l)V x 4 + 1
Solución
D ividiendo el numerador y el denominador entre x 2 , se tiene
, = f f t 1 ~ x 1) dx
Si u = x + - , entonces du = ( l -----t ) dx
x  x 2)
V u2 = x 2 + — + 2 ^ u 2 — 2 = x 2 + — . Por tanto, se obtiene
x 2 x-
r du 1 |u| 1 ( x 2 + 1
I = — ...... = — aresee — + C = — aresee ■
J x W u 2 — 2 V 2 V 2 V 2  V 2 |x|
f x + 2
Ejemplo 24. Calcule / = I -------- ^ “.x.
J (X — i-J
Solución
Si hacemos u = x—2 , se tiene du = dx . Luego,
/ = J (U +J )dU =| (u~3 + 4u-4)du
u “2 4 , 3 x + 2
= - — " 3 “ +C = - ^ 2 F +C
r xíix
Ejem plo 25. Calcule / = | f = .
Ii + x 2 + 7 ( i + x 2) 3
Solución
La integral puede escribirse com o
x d x f x d x
/
1 + x z + V ( l + x 2) 3 V l + W l + V l + x 2
,--------- x dx
Si consideram os i¿ = 1 + V x 2 + 1< entonces d u = . Luego,
V x 2 + 1
/ = J — = J u í/2du = 2 Vü + C = 2J 1 + V 1 + x 2 + C
14www.FreeLibros.com
Ejem plo 26. Calcule I = J x V x + 4 dx.
So lu ción
Si se hace u = V * + 4 , entonces u 2 = i + 4 y d x
/ = [ (u2 - 4 )u. 2u du = j (2 u4 - 8u 2)du
INTEGRAL INDEFINIDA
2u du . Por consiguiente,
(x + 4 ) 3/2
15
( 6 x - 1 6) + C
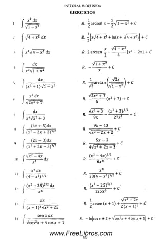
E J E R C I C I O S
J 4 x(x + 1)dx
4 d x
Vó — x ^
d x
/?. - x 3/2 + 3 x + C
R. ^ x 5/z + 3 x3/2 + C
/?. 4 arcsen — + C
V6
x ( x 2 — 8 )
7 x 2 + 16
x 4 + 4 x 2
18 d x
9 x z - x 4
3 d x
x 2 + 4 x - 5
4 dx
V — 4 x 2 — 2 0 x — 9
J V ~ 4 x 2 - 12x - 5 d x
1
* ~ 16ln x 2 - 8
+ C
3 x 4
/?. - a r c t a n ---------- 1- C
2 2 x
/?.
2 1
in
x 3
n
x - 1
x + 5
x + 3
+ C
+ C
2 x + 5
R. 2 a rc se n ------------ i- C
R. (2 x + 3 ) V ~ 4 x 2 - 1 2 x - 5 + 4 arcsen
2 x + 3
+ C
10.
II.
2X3X
-dx
(D'ÍE^s)-3 /6' *
25
scn h x d x
(1 + cosh x ) 3
dx
c o s 2( l - 4 x )
R. -■ ■+C
2(1 + c o s h x ) :
R. - - t a n ( l — 4 x ) + C
4
15
www.FreeLibros.com
TONICOS Dii C Á LC U LO - V O LU M LN II
13. J cos(7x + 4 ) d x
14. J c l'2x~r,) dx
15. J (lnX+ l ) e xlnxdx
16.
dx
x ln2x
f dx
17. ---------
J x lnx
18. J 4 xe x dx
dx
19.
20./
sen2x V c o tx - 1
tan2x
sen x e
c o sJx
ev*3e
2'. I
‘I
dx
23.
(1 4- x 2) ln(x 4- Vi + x 2)
arctan* + x l n ( x 2 + 1 ) 4 - 1
1 -f X 2
1
R. - s e n ( 7 x 4- 4) 4- C
R. - e i2x- ^ 4- C
R. x x + C
R. —--------b C
In x
R. ln IIn x I 4- C
(4 e )x
R. ------ ~ + C
1 4- In 4
3
R. - - ( c o t x - 1 )2/3 4- C
R. - e ta,>2* 4- C
2 ( 3 eÆ )
R. t~ T ~ + cIn 3
R- 2 J l n ( x 4- -J1 4- x 2) 4- C
dx
R■ e arctanx 4- — ln(x2 4- 1) 4- arctan x 4- C
4
24,
25
26
J i
I
■ /
sen x
dx
■dx R. sen x 4- ■ •*+■ C
1 4- cos lO x
dx
R. — tan 5 x 4- C
V 2 x 4- 1 - yjx
R. 2 ( V 2x 4- 1 4- V x ) — 2 [a rc ta n V 2 x 4- 1 4- a rcta n V x ] 4- C
^ f ( X 2 - 2 x + l ) 1/5 j
27. -------- ---------------- dx
J 1 - x
R. - - ( x - 1 ) 2/5 4-C
16www.FreeLibros.com
28. J x 2x(nx + 1)dx
' V2 + x 2 —V2 —x 2
x 2x
R . — + C
INTEGRAL INDEFINIDA
29.
30.
31.
32.
33.
34.
35.
36.
37.
38.
39.
40.
41.
42.
f
/ V ^ T
h
V4 — x 4
dx
-dx
+ sen x
x - arctan 2x
+ 4 x 2
ln ( ln x )
■dx
f ln (ln x j
J x l n x
I
dx
2X 4- 3
dx
V e * - 1
x c o s x
/
f sen x
J
/
V2 - se n 4x
dx
4 + 5 c o s2x
dx
4 + 5 se n 2x
dx
-.dx
ex + 4
In 3x
x In 5 x
d x
ln (x + V x 2 + 1)
/
i
/
/ v r
43. j Vl + c o s x dx
«. J.
1 + x2
+ se n x d x
d x
*• arcsenf t ) - senl’" ' © + c
/?. - [(x + l ) 3/2 — (x - l ) 3/2] + C
R. tan x - s e c x + C
1 1
/?. - l n ( l + 4 x 2) - - a r c t a n 2(2 x ) + C
o Z
1
R. - l n 2( ln x ) + C
R. - x - ^ K 2^ 3) + c
R. 2 arctanVfc^ - 1 + C
R. - a r c s e n _
2  V2
+ C
1 (2 tan x 
R. - a r c t a n ) — -— ) + C
R.
1
(L tan x 
A 3 J
(2 cot x
V 3 )■
arctan ( — =— |+ C
1
R. - - l n ( l + 4e x) + C
R. In — ln|ln5x| + ln x + C
R. - [ln (x + V x 2 + 1)] + C
R. — 2 V l — sen x + C
e x + e x
R. 2 V l - c o s x + C
R. a rc ta n (e *) + C
17www.FreeLibros.com
y f W -
TOPICOS DE CÁLCULO - VOLUMEN II
d x 4f dx 4
45' ~ r = = /?• ~(Vx + 1) 3/2 - 4(Vx + 1)1/2 + C
J vvx + 1 á
4 8 . I j;Z sen l 'fsenx + x ros r In r id r ß , ì x 2 senx + ^
2 '
f arctanVx
• J v ï + æ + x * d x R • tarctan^ r+ C
*n í ( x - 2 ) , _ _ f y f x 2 - X + l 
' j *• 2 arcse" (-----Ï----- ) + c
3. j x2senx~i(senx +xcosx Inx)dx
'■ í ~ i------ —------ R. J l n x + V l n x + ... + C
e lr,(2x)4 in x + V ln x + ... + o o — x
f eos 6x + 6 eos 4x + 15 eos 2x + 10
J eos 5x + 5 eos 3x + 10 c o s x dX R - 2 s e n x + C
f sen 8 x d x 1/'sen24x 
5L I 9+ senHx R' J^arctan(— 3— j + C
f c o s2x (t a n 2x + 1) 1
52. —---------- ----------- —— dx R --------------------- 1- r
J (sen x + c o s x ) 2 1 + tan x
49.
f Ise c x - tan x
b3‘ J Jse c x + t a n x d* R' >n|secx + tanx| - ln(secx) + C
54. J c s c 3x d x R. - - [ e s c x c o tx 4- ln|csc x - cotx|J + C
55. J s e c 3x d x R. - [ln lse c x + tan x| + s e c x tan x] + C
f e 2x 2
5 6 ' J 4 t+~é*dX fi- - ( e í - l ) 3/2 - 2 (e I + l ) 1',2 i - C
r V ^ T e arctan * + ln f ( l + x 2)'íx2eX- x2] + V é ^ = T
57. I ---------------- *-------------dx
J l1 4- y ^-!p x 4- y2pX — v2 — 1
R. earctan* + ^ ln 2 ( l + x 2) + arctanx + C
4
q s f x d x n 1
J ( x - l ) 5e4x R■ ~ 4 (x —l ) 4e4Ar + C
18www.FreeLibros.com
2ex + e x
59- 1 3^ - ^ dx
In x dx
x 3( ln x — l ) 3
4 dx
60
61
/
/
f ---------- =
J cos x v l -
INTEGRAL INDEFINIDA
fi. l n |V 3 e 2* - 4 V 3 - e " 2*| + C
1
R. -
2 x 2( ln x - l ) 2
+ C
se n 2x + 2 c o s2x _____________________
R. 4 ln [(tan x — 1) + V ta n 2x - 2 tan x + 3] + C
62. J (4 — 3 l n x ) 4 d ( ln x )
f e * V e * + 2
J ex + 6
x 5 dx
63 •dx
■ /
■ J
x 3 - 8
. 1 + tan x
65. | -------- — d x
sen 2x
/?. - — ( 4 - 3 1 n x ) s + C
Ve* + 2
fi. 2 V e * + 2 - 4 a rc ta n ----- -------- h C
x3 8
fí. Y + - ln | x 3 - 8 | + C
/?. -ln | c sc 2 x - cot 2x + tan x + C
6 6 . U n a función /: R -
«o ) = - f y / ' W = l2 + 1
es continua en E y satisface:
x + |1 - x|
Halle f(x ).
x < 1
R. /W = arctan* - 2 '
(. ln ( x 2 + 1) - arctan x - In 2 , x > 1
67. H alle la ecuación de la curva para el cual y" = y que es tangente a la
x
2
recta 2 x + y = 5 en el punto (1; 3) R. y = —+ 1
68. Halle la ecuación de la curva cuya tangente en el punto (0; 2) es horizontal y
/ 10
tiene punto de inflexión en ( — 1; "g- ) y y " ; = 4.
2 vR. y = - x 3 + 2 x 2 + 2
x 2 + V i + x
69. E n cuentre la an tid eriva d a de / ( x ) = — j---— — , de m od o que dicha
antiderivada pase p o r P ^0;
VTTx
7 0 9 
2 80/
, „ r3 , 6 3 6 _______
R. (1 + x ) / - (1 + x ) - - (1 + x ) + - + - V l T x
L8 5 L 1
+ 1
19www.FreeLibros.com
Sean u y v dos funciones definidas y derivables en el intervalo /. Por la regla de
la diferencial del producto, se tiene
d ( u v ) = u d v + vdu
Podem os reescribir la expresión como
u dv = d ( u v ) - vdu
Integrando am bos lados de la igualdad se obtiene la fórm ula
J u d v = u v —j vdu
Esta fórm ula es conocida com o fórmula de integración por partes.
Observación 5. La idea básica de la integración por partes consiste en calcular
la integral original mediante el cálculo de otra integral, la cual se espera que sea
más simple de resolver que la integral original dada.
Para descomponer el elemento de integración en dos factores u y dv,
normalmente se elige como la función u aquella parte del integrando que se
simplifica con la derivación y d v será el factor restante del elemento de
integración. Esta no es una regla general, pues en la práctica la habilidad y la
experiencia del que calcula son las mejores herramientas.
Observación 6. Cuando se determina la función v a partir de su diferencial dv,
no es necesario considerar la constante de integración, pues si en lugar de v se
considera v + C, C constante, entonces
j u d v = u ( v + C) - j (v + C)du = uv - J v du
Esto significa que la constante C considerada nofigura en el resultado final.
Ejem plo 2 7 . Calcule j ln x dx.
Solución
De acuerdo con la sugerencia dada en la observación .2, elegim os
1
u = ln x = > du = - dx
x
dv = dx = s v = J dx = x (no se considera la constante de integración)
Por la fórm ula de integración por partes, se obtiene
í , f x dx
J ln x dx = x ln x - I - x  n x - x + C
TOPICOS DE CÁLCULO - VOLUMEN II
1.4.2 M ÉTO D O DE INTEG RA CIÓ N POR PARTES
20www.FreeLibros.com
Ejem plo 28. Calcule I = J (x2 + 3x - 1) e Zxdx.
Solución
Escogem os
u = x 2 + 3x — 1 = > du = (2 x + 3)d x
d v _ g 2x^x ^ v — J e 2xdx = — e 2x
Luego, obtenemos
/ = - ( x 2 + 3x - l ) e 2x - J ( * + 2 )
En la última integral (m ás sim ple que la original) aplicam os nuevamente la
integración por partes con
( 3
¡u = x + - = $ d u = dx
d v = e 2xdx = * v = - e 2x
2
INTEGRAL INDEFINIDA
Por lo tanto,
/ = - ( x 2 + 3x - l ) e 2x
02x
= ( x 2 + 2x - 2) — •+ C
Ejem plo 29. Calcule / = J e ax cosbx dx.
Solución
Escogem os
<u = e ax => du = a e ax dx
1
d v = eos bx dx = > v = 7- sen 6x
b
Entonces,
1
/ = - e a* sen 6 x
b ~í¡ e axsen bx dx = - — sen bx
b ¡íe axsen bx dx
Integrando nuevam ente p o r partes en | e ax sen bx d x , escogem os
Cu = e ax = > d u = a e ax dx
/'
|d y = sen bx dx =* v = — —cosbx
21www.FreeLibros.com
^ = ~be<XX' S6n ~ ~b [ ~ b G<ÍXC° S + b í eaXQ0S^x d x  ó
1 a a 2
1 = - e ax sen bx 4- — e a* c o s b x - ~ I
o b z b 2
Ahora, se despeja / dela última ecuación y al resultado final se sum a la constante
de integración
1 . a2 , a x í s e n b x a c o s b x 
e ax
1 = — — (b sen bx 4-a eos bx) + C
a 2 + b 2 '
Ejem plo 30. Calcule / = j sec5x dx.
Solución
En primer lugar, escribim os la integral dada como
TÓPICOS DE CÁLCULO - VOLUMEN II
De esta manera, se obtiene
/ = J se c 5x d x = J sec3x. sec2x d x
jltima integral,
f u = se c3x =
'■dv = se c 2x i
En la última integral, utilizam os integración por partes eligiendo
(u = se c3* = * du = 3 se c3x tan x dx
• dx =$ v = ta n x
Entonces,
/ = tan X se c 3x - J 3 sec3x ta n 2x dx
l = tan x se c 3x - J 3 se c3x (s e c 2x - 1)dx
I = tan x se c3x - 3 j se c 5 x dx 4- 3 J sec3 x dx
I = tan x sec x - 3 / 4 - 3 J V I + tan2x se c 2x dx
3
41 = tan x se c Jx 4- - (s e c x tan x 4- ln|secx 4- ta n x| )
1 3
/ = - tan x se c 3x 4- - (sec x tan x 4- ln|secx 4- ta n x | ) 4- C
22
www.FreeLibros.com
INTEGRAL INDEFINIDA
Ejempia 31- Calcule J x arctan x dx.
So lu ció n
Escogem os
dx
u = arctan x => du — ■
1 f x 2 dx
/ =  x arctan x dx = — arctan x
2 2 J 1 + x 2
x 2 d x 'f x dx
Para calcu lar la integral ------- r , se efectúa la d ivisió n y se tiene:
J 1 + r
, = T araan)I‘ l / ( i - r í ^ ) * r
X 2 1 ( x 2 + 1) 1
= — arctan x - - ( x - arctan x) + C = ----- ------ arctan x - - x + C
¿ L> £* Lt
f c o sx + x sen x — 1
E je m p lo 32. Calcule / = J ----- ^ x— ^ 2—
c o sx + x sen x —í
32. Calcule / = j
So lu ción
Utilizando la identidad se n 2* + c o s2x = 1, escribim os la integral com o
f c o s x + x sen x - se n 2x - c o s2x
Í = J (se n x - x ) 2
f - c o s x ( c o s x - 1) - sen x (se n x - x)
1 I ---------------^ ^
/
(se n x - x ) 2
■c o s x ( c o s x — 1) f sen x dxf - c o s x ( c o s x - 1) f
J (sen x - x ) 2 J (sen x - x)
I
Para la integral J, aplicam os la integración por partes con
Í u = —eos x => du = sen x dx
( c o s x - 1 )dx ^ _ 1
dV ~ (se n x - x ) 2 ^ v ~ (Sen x - x)
Luego,
c o s x " f s e n x d x f s e n x d x
/ = --------- +
f sen x d x f
J (se n x - x ) Jsen x - x J (se n x - x ) J (se n x - x )
Por lo tanto,
cosx
/ = -------------- + C
sen x - x
www.FreeLibros.com
Ejem plo 33. Calcule / = J dx.
Solución
Separando la integral en la sum a de dos integrales, se tiene
I = J ~ d x + J e x n x d x
¡
Para la integral / , hacemos j u ~ ^ n x = > d u = —
vdi? = e x d x =$ v — e x
A sí,
1= j ~xdx+eX]nx~I ~^dx=e * l n * +c
r ^.garctan*
Ejem plo 34. Calcule / = í -----------------dx.
J (1 + x2)3/2 ux
Solución
g arctan x
Como la integral de — ^ 2 es inmediata, elegimos
garctan x
d v = - ..2 dx
1 + x 2
TÓPICOS DE CÁLCULO - VOLUMEN II
Luego, tenemos
x e ar<
V T + x 2 J ( 14*2)372
1 ~ ’'n- ■ --- ~ j — ---~dx
J
E n la integral J consideram os
1 , x dx
u = ■■■•. = * du = - -
V í T ? ( i + * 2) 3/2
g arctan x
dv = — ------—dx => v = e arctanjc
1 + x 2
Luego, se tiene
~ ”—^an x r
i =
V i + x 2 v r + i ^ j ( i + * 2) 3/2
dx
-i «arcían x ( v _ < 
Portante, l = i - -■_ !? i i + c
2 V i + x 2
24
www.FreeLibros.com
INTEGRAL INDEFINIDA
Otra form a de calcular la integral del ejemplo anterior es hacer el cam bio de
variable t = arctan x y la integral se transform a en J e csert t dt.
E je m p lo 35. Calcule / = [ ■
J
senh2x dx
(x cosh x — senh x ) 2
S o lu c ió n ,
M ultiplicando y dividiendo entre x, se tiene
/
f senh x x senh x dx
J x (x cosh x - senh x ) 2
A hora escogem os
s e n h x x cosh x - s e n h x
u = ----------=¡> du = ----------■— ---------------dx
x x l
x se nh x 1
d v = -------- -------------- -— — dx = > v
(x co sh x - senh x ) 2 x cosh x - s e n h x
Entonces
senh x r dx
x (se n h x - x c o s h x ) J x 2
se nh x 1
1 = — ----- :---------------- r - r - - - + C
x (se n h x - x c o s h x ) x
f e enx(x co sJx — sen x)
E je m p lo 36. Calcule / = I ----------------- --------------- dx.
J CQS¿X
So lu ción
T enem os l = J x e sen x eos x dx - J
sen x
sen* ---------- d x
C O S2X
( u = x = > d u = d x ...
h n h a c i e n d o < , ,en _ , _ se obtiene
t d f = e eos x d x = > v = e
" J
'i
Kn /2, haciendo
U = x e senx
(u = e sen * = > d u = e sen * eos x d x
, sen * . 1 resulta
d v = — — a * = * v = -------
co s^ x c o s x
l2 = ----------- [ e senx dx = e senx sec x - [ e senx dx
co s x J J
25www.FreeLibros.com
v3
TÓPICOS DE CÁLCULO - VOLUMEN II
E JE R C IC IO S
Calcule las siguientes integrales indefinidas.
1. J x 2 ln x dx
2. J (7 + x — 3 x z)e~x dx
3. J x se c2x dx
4. J a rc se n (2 x)dx
_ f ln x
* J ^
6 . J ln (x + V i + x 2) dx
7. j eos ( ln x ) dx
8 . J s e n ( ln x ) d x
9. J x a rcta n 2x dx
R. — (3 ln x — 1) + C
ñ. ( 3 x 2 + 5 x - 2 ) e _* + C
fí. a :ta n x + ln|eosx| + C
V i - 4 x 2
/?. x aresen 2x h------------------ 1- c
1 + 2 ln x
-— --------1- C
4 x 2
R. x ln (x + V 1 + x 2) - V 1 + x 2 + C
X
R. - [ s e n ( ln x ) + eos (ln x ) ] + i'
/?. - [ s e n ( ln x ) — eos (ln x ) ] + C
R- 2 [(*2 + l)a rc ta n 2x - 2x arctan x + ln ( x 2 + 1)] + C
10 / a rc se n 2x dx
ii.
fx,n(hr)
Lí,J i r r n c v — c o n v V
f —
J (x + i y
R. x aresen2* + 2VI - x 2 aresen x - 2x + C
R. lnx |ln(lnx) - 1| + C
x 2 + 1 ( X — 1
x 2 dx
( x c o s x - sen x ) 2
( x 2 + l ) e x
R.
R.
R.
-ln (— )
Vx + 1/
sen x ( e o s x - sen x )
2x e x
x + C
eot x + C
x + 1
e x + C
26www.FreeLibros.com
INTEGRAL INDEFINIDA
15.
16.
17.
18.
19.
2 0.
2 1 .
22.
23.
24.
25.
27.
2H.
x e*
(1 + x ) 2
dx R. ----------+ e x + C
1 + x
x e
_ 1 ^
x arctan yjx2 — l d x R. - x 2 a rc ta n V * 2 - 1 - 1 + C
(1 - x 2) 3/2
arctan *
d x
arcsen x 1
/?. +—ln
-dx R.
V i - x 2 2
arctan x
1 - x
+ C
1 + x
+ In|x| — l n i / l + x 2 + C
esc5x d x R.
X (X + 1 
V i — X 2
e 2*c o s ( e * ) d x
e a*se n ¿ x d x
- c s c 3x c o tx - - ( e s e x c o tx + ln|cscx + cotx|)j + C
R. Vi - x 2 ln f------ + 2 arcse n x + C
Vx + 1 /
/?. e*sen(e*) + cos(e*) + C
■[a sen bx —b cos bx J + C
a rc ta n (V x + 1) d x
ln (V x + V i + x ) dx
se n 2( In x ) dx
a 2 + b 2
R. (x + 2 )a rc ta n V x + 1 - V x + 1 + C
R. {x + ln (V x + V x + 1) — ~ V x 2 + x + C
R. x se n 2(ln x ) - - [x se n (2 ln x ) - 2 x eos (2 In x )] + C
^gS en x C 0 S 4 X _ ^
C O SJX
d x
R. e sen x - - [see x tan x + ln |secx + tan x |] + C
( x 2 - se n 2x )
-dx R. x ( c s c x - c o t x ) + C
x - sen x eos x + x eos x - sen x
(arccos x - ln x) dx R. x árceos x - V 1 - x 2 — x ( In x - 1) + C
27www.FreeLibros.com
29. Si / (x ) = —a / ( x ) y g"(x) = b g(x), donde a y b son constantes, hallar
la integral:
TOPICOS DE CÁLCULO - VOLUMEN II
j f M g " ( x ) dx
’• /
30. I 4 x 3 arcsen —dx
x arctan x
31. I ~~7Z-----T^rdx
í
’-P
I
35. I
(1 + x 2) 4
x 4 — x arctan x
32. | — — -------— — dx
(1 + x2)2
, a rc se n V x
33. | ------ —— dx
V x
, 1/ x
■dx
.. r x 2se c 2x
37. I — -------------------^~z^dx
J (tan x - x sei
> /
^ 2cai.2,
(tan x - x se c 2x ) 2 '
1
dx
arcsen
39 1 ---------- *
x3
41. j arctan^jVx - 1 dx
43.
/ senh" ‘J r
-d x
(e 2* - x 2) ( x - 1)
45. J -------- d x
x 2ex
se n x + 1
(x + c o s x ) 2
a ln (x + a + V x 2 + 2 a x )
(x + a ) 2
a + b
lf(x)g'(x) - f'(x)g(x)} + C
-yx 2 - 1 + c
/
34. eos x ex dx
36.
38.
:eos x d xJ x e x i
J x arctan V x 2 - 1 d x
• /
’■ /
c o sh 2x d x
(x senh x - c o s h x ) 2
ln (2 + Vx)
42. | — ' ' ' dx
Vx
44.
I
(x sen x + eos x ) ( x 2 - c o s2x )
d x
f x c o s x
J (x -
■ /
f
• J - = = [ l n ( l + X )* - ln (l - x )*]
46. J cosh 3 x eos 2 x dx
í * 5 /l+*48. I :In ( --------Jd x
J VI - x 2 Vi - x /
d x
28www.FreeLibros.com
1.5.1 Integrales de algunas funciones que contienen un trinomio cuadrado
de la form a: /
dx f dx
I
INTEGRAL INDEFINIDA
1.5 TÉC N IC A S DE IN T E G R A C IÓ N
I. í — 5— --------- II. í —
J p x 2 + qx + r J j rp x 2 + qx + r J j p x 2 + qx + r
n ] [ (ax + b)dx f ( ax 4- b)dx
J p x 2 + qx + r J J p x 2 + qx +r
En los casos (I) y (II), es suficiente completar cuadrados en el trinom io y aplicar
las fórm ulas que correspondan: (23), (24), (25) ó (26).
En los casos (III) y (IV ) se usa el siguiente artificio:
a aq
ax + b = — (2 px + q) — — + b
2p 2p
La expresión 2px + q es la derivada del trinom io cuadrado. Entonces
(ax + b)dx a f (2px 4- q)dx ( a q  f dxr (ax 4- b)dx a C (2px + q)dx / aq f
J p x 2 + qx + r 2p j px2 + qx + r V 2 p) ) ;p x 2 + qx + r
a / a q 
= —— ln [p x ¿ + qx + r| + I b - — 1A
2 p V 2 p)
Por otro lado,
(ax + b)d x a f (2px + q)dx / aq  f dxI' (ax + b)dx __ a f (2px + q)dx ^ ^ aq^ f
J yjpx2 + qx + r J J p x 2 + qx + r '2p/ J J p x 2 + qx + :
a /—^--------- ( acl
= - V p x 2 4- qx + r 4-  b - — j B
p  2p)
I ,as integrales (¿4) y (B) son de los casos I y II, respectivamente.
Ejem plo 37. Calcule las siguientes integrales:
3 dx f dxf 3 dx f
J 4 x z 4- 4x - 3 J x 2 - 2x 4- 10
f 2 dx í 5 dx
J lx 2 4- 6x 4- 18 ^ i V — x 2 —8x — 12
Solución
Com pletando el cuadrado en cada trinom io y aplicando las fórm ulas de
m ig ra ción , tenemos
29www.FreeLibros.com
f 3 dx 3 r
J 4x2 + 4 x - 3 ~ 2 J
TOPICOS DE CALCULO - VOLUMEN II
2 x - l ¡3 dx 3 f 2 dx 3
=^ln(2x + l ) 2 - 4 2x + 3
+ C
f dx f dx 1 ( x - l 
■) J x 2 - 2x + 10 J ( x - l ) 2 + 9 “ 3 arCtan( _ 3~ J + C
( 2 dx r dx , ,--------------------,
c) 7 f ■ ¿ . T i = 2 1 t =~ = 2 ln * + 3 + V x 2 + 6x + 18 + C
J V x 2 + 6x + 18 J J ( x + 3 )2 + 9 L J
„ f 5 d x r d x /x + 4 
d) I 7 ' 0 ~ „ „ = 5 — — ■ = = 5 arcsen ( — -— ) + C
i V - x 2 - 8x — 12 J ^ 4 - (x + 4 )2 v 2 )
Eje m p lo 38. Calcule las siguientes integrales:
f (3 x - 5 )d x r (1 - 4 x )d x
J x2+ 6x + 18 J V9x2+ 6 x ^ 1
c) í 2 ~ ‘ i x d) ( - ( i i i í W í
J V x 2 + lO x + 21 J x (x + 3)
Solución
Com pletando cuadrado en cada trinom io y usando el artificio indicado, se tiene
3 3
a) 3x — 5 = — (2 x + 6) — 9 — 5 = — (2 x + 6 ) — 14. Entonces
f (3 x — 5 )dx _ 3 r (2x+ 6)d x f dx
J x 2 + 6x + 18 2 J x 2 + 6x + 18 1 4 J ( x + 3 )2 + 9
3, / , 14 /x + 3
= 2 (x + 6x + 18) — — arctan — -— J + C
4 4 2 7
b) 1 — 4 x = — — (1 8 x + 6 ) + l + — = — - (1 8 x + 6 ) + — . Luego,
f Cl ~ 4 x )d x _ _ 2 [ (1 8 x + 6)d x ^ 7 1 f 3 dx
J V 9 x 2 + 6x - 3 9 J V 9 x 2 + 6x - 3 + 3 3 J y/ ( 3x + l ) 2 - 4
4 : 7 ----------------------------------------------------
= — - V 9 x 2 + 6x - 3 + - l n 3 x + 1 + V 9 x 2 + 6x - 3 + C
y y i i
1 1
c) 2 — x = — — (2 x + 10) + 2 + 5 = — - (2 x + 10) + 7. Entonces
(2 - x )d x 1 f (2x + 10)d x f dxf __ ( 2 —x)dx _ i r (2x + 10)dx f
J Vx2 + lO x + 21 ~ 2 j Vx2 + lO x + 21 + 7 i 'V x 2 + lO x + 21 J V ( x + 5 )2 - 4
= - V x 2 + 10x + 21 + 7 ln Ix + 5 + V x 2 + 10x + 2 l| + C
30
www.FreeLibros.com
d)
INTEGRAL INDEFINIDA
(4 4- 5x) 5 f 2x 4- 3 7 f dxf (4 4- 5x) 5 f 2x 4- 3 7 f
J x (x + 3 ) dX 2 j x 2 + 3 x dX 2 J í 3V 9
 x + 2) 4
5 7 i x
= - ln | x 2 + 3x — - l n
2 6 I* 4- 3 '
Eje m plo 39. Calcule las siguientes integrales:
^ f (3e2x - 4 ex) ^ ^ ^ (senh x + 3 coshx) ^
J V 4 e* — ex — 3 J coshx(6 senh2x 4- senh 2x + 5)
Solución
a) I
(3e2x - 4 e x) f (3ex - 4 )e *d x
v'4 e * - e * - 3 J V 4 e * - e 2* - 3
Si se hace t = e x , entonces d t = e x dx . Luego,
f ( 3 1 - 4 ) d t 3 f (4 - 2 t ) d t f d t
l =
j- ( 3 1 - 4 ) d t _ 3 I" (4 — 2 t ) d t + ^ [ d t
J V 4 t - t 2 - 3 2 j V 4t - t 2 - 3 J yjl - (t - 2 ) 2
= - 3 V 4 í - t 2 — 3 + 2 arcsen(t — 2) + C
= —3yj4ex — e 2* — 3 4- 2 arcsen(e* — 2) 4- C
r (senh x + 3 cosh x ) dx
^ ^ J c o s h x (6 se nh 2x 4 -senh 2x 4 -5)
= /:
(senh x + 3 c o sh x ) dx
cosh x (6 se n h 2x 4- 2 senh x cosh x 4- 5)
D ividiendo num erador y denom inador entre c o sh 3x , se tiene
J
= J
(tanh x 4- 3) sech2x dx
6 tanh2x 4- 2 tanh x 4- 5 sech2x
(tanh x 4- 3) sech2x dx
J 6 tanh2x 4- 2 tanh x 4- 5(1 — tanh2x )
A h o ra bien, si t = tanh x , entonces d t = se ch 2x dx. Por consiguiente.
r (t 4- 3)d t _ 1 f (2t + 2)d t n f dt
1 ~ J t 2 + 2 t+ 5 ~ 2J t 2 + 2t + 5 + 2 J (t 4- l )2 4- 4
1 , , /tanh x + 1
-ln | ta n h 2x 4- 2 ta n h x 4- 5| 4- arctan ^------ --------J 4- C
31www.FreeLibros.com
Recordem os las siguientes identidades:
1. sen2u + cos2u= 1 2. sec2u _ tan2u = 1
3. csc2u- cot2u = 1 4 sen2u _ 1 ~ cos 2u
2
r , 1 + cos 2u
5. cos2u =-------------------- 6 cosh2u _ senh2u = 1
7. sech2u + tanh2u = 1 8. coth2u _ csch2u = 1
9. senh2u = ~ 1 10 cosh2u = cosh2u + l
¿ 2
Estas identidades son m uy importantes en los artificios para resolver ciertos tipos
de integrales de funciones trigonométricas e hiperbólicas.
TÓPICOS DE CALCULO - VOLUMEN II
! '5‘2 rH IPE R B Ó U C A ESALGUNAS FUNCI° NES TRIG ONOM ÉTRICAS
I. IN T E G R A L E S D E L A F O R M A : J se nmx cosnx dx y j se n h mx e o sh n* dx.
Se consideran 2 casos:
CASO 1: Uno de los exponentes m ó n e s un entero im par positivo.
0 Si m es impar positivo, se factoriza sen x dx (o se n h * dj) y se expresa los
senos o senos hiperbólicos) restantes en función de cosenos (o cosenos
hiperbólicos) usando la identidad
se n 2* = 1 — e o s2* (ó se n h 2* = c o sh 2* - 1)
ii) S. n es impar positivo, se procede de manera similar, es decir, se factoriza
eos * dx (o cosh x dx) y se expresa los cosenos (ó cosenos hiperbólicos)
restantes en función de senos (o senos hiperbólicos) usando la identidad.
e o s2* = 1 - se n 2* (o c o sh 2* = 1 + se n h 2* )
Ejemplo 40. Calcule las integrales
a) I se n 3* eos4* dx b) J senh5* V ^ i h 7 dx
Solución
a) / = J se n 3* eos4* dx = J sen2* eos4* (sen * dx)
= - cos2*)cos4* (sen * dx)
www.FreeLibros.com
INTEGRAL INDEFINIDA
E n la últim a integral, hacem os u = eos x =* du = - s e n x dx . A sí, se tiene
/ = J (1 - ii2) u 4 ( - d u ) = - f Cu4 - u6)du = - y + y + C
•(5 eos2* - 7) + C
co s5x
35
b) f se n h 5x V ^ i h l d x = J (cosh2x - l ) 2(cosh x ? ' 2 (senh x dx)
= J (cosh9/2x - 2 cosh 5/2x + cosh 1/zx )(se n h x dx)
= J L c o s h 11/2x - ~ cosh7/2x +  cosh3/2x + C
11 7 3
CASO 2: Ambos exponentes m y n son pares y mayores o iguales a cero.
En este caso, se usan las identidades:
1 - eos 2x , 1 + eos 2 x
se n 2x = -------^------- y C° = -------2-------
/ eosh 2 x - 1 . , cosh 2 x +
í ó se n h 2x ------------- y cosh x = ----- - J
A l efectuar las operaciones, se obtienen términos que contienen potencias pares e
impares de eos 2 x (ó cosh 2 x). L o s términos que tienen las potencias impares se
integran teniendo en cuenta el caso 1. L o s términos que tienen las potencias pares
se reducen de nuevo usando sucesivamente las identidades indicadas.
Ejemplo 41. Calcule las integrales:
a) J se n h 43 x dx b) f se n 2x c o s4x d x
Solución
a, f senh-3, ¿ r = / ( E S Í J p i ) 2 dx = i J(c o Sh>6* - 2 cosh 6 * + 1) dx
= 1 f ( £ £ í < y í l í l _ 2 c0 sh 6 , + l ) d ,
= ^ | (cosh 1 2 x - 4 cosh 6x 4- 3) dx
= i f — senh 1 2 x - ^ s e n h 6x + 3 x ) + C
8 12 3 >
33
www.FreeLibros.com
TOPICOS DE CALCULO - VOLUMEN II
. 2
u f 4 , f / I - c o s2 x /I 4-cos2x
b) J sen-x cos4x dx = J (------- ------- j ( -------------- J dx
= - J (1 + eos 2x - cos22x - cos32 x) dx
1 f / 14- cos4x 1 [
- g J ^1 4- eos 2 x ----------------- j dx - - I (1 - sen22 x)(cos 2x dx)
= ¿ J (j +C0S2X~  C0S 4X) d X ~ l 6j <'1 ~ sen22x)(2 cos 2x dx)
1/x 1 ^ 1  1 / 1 
= 8 (2 + 2 SGn 2* ~ 8 Sen 4X) ~ T 6 [ Sen 2X ~ 3 sen32x) + C
1 ( sen 4x sen32 x 
= 16{ X — 4- +— ) + C
II. IN T E G R A L E S D E L A F O R M A : J tanmx secnx d x , j cotmx c sc nx dx ,
J tan h mx sechnx dx y J cothmx cschnx dx.
Se consideran 2 casos: m entero positivo impar y n entero positivo par.
C A S O 1. S i m es un entero im p a r positivo, se factoriza t a n x s e c x d x
(ó c o t x c s c x d x ó tanh x sech x dx ó coth x csch x dx) y se expresa las
tangentes (ó cotangentes ó tangentes hiperbólicas ó cotangentes hiperbólicas)
restantes en términos de s e c x (ó e se x ó se c h x ó c s c h x ) mediante la
identidad: ta n 2u = se c 2u - 1 (ó cot2u = c sc 2u - 1 ó ta n h 2u = 1 - se ch 2u
ó coth2u = 1 4- c sch 2u).
Eje m p lo 42. Calcule las siguientes integrales:
f tan3x r
3) J : dx b) J cotSxdx
c) J tanh3x V se c h x dx d) j cothsx csch3x dx
So lu ción
f tan3x f tan2x r sec2x - 1
3) J ^ c dx= J i ^ (tan* Sec* dx)= J - ^ i^ ( t a n x s e c x d x )
= j (sec~3x - sec~5x ) (tan x sec x dx)
(si u = s e c x , du = se c x tan x dx)
1 -9 1 1 ,= - - s e c x 4- - s e c 4x 4-C = - c o s 2x (c o s2x - 2) 4-C
2 4 4
34www.FreeLibros.com
f f C0t4X ,
b) cot5x d x = -------- ( c o t x c s c x d x )
J J CSC X
INTEGRAL INDEFINIDA
f (csc2x — l ) 2
= -------------------(cot x csc x dx)
J cscx
= - í (csc3x - 2 cscx 4-------- ) ( - c o t x e scx dx)
J cscx
c4x 
--------csc2x + ln|cscx| I + k
f , ,--------- f tanh2x
c) tanh3x v s e c h x d x = ,........: (tanh x sech x x a x )
J J V se c h x
1— sech2xf 1 - se c rrx
= — ^ = = _ (tanh x sech x dx)
J V se c h x
= - J (sech~1/2x — sech3/,2x ) (— tanh x sech x dx)
= —^2V se c h x — - s e c h 5/2x j + C
d) j coth5x csch3x d x = J coth4x csch2x(coth x c sc h x ) dx
= J (1 + csch2x ) 2 csch x (coth x csch x d x)
= - J (csch x + 2 csch3x + csch5x )(-c o t h x c sc h x d x)
n i i 
= — I - cschzx + - csch4x + - csch6x 1+ C
2 2 6 /
CASO 2. Si n es un entero par positivo, se factoriza se c2x d x (ó c sc 2x d x ó
sech2x d x ó c sch 2x d x ) y el resto de las secantes (ó cosecantes ó secantes
hiperbólicas ó cosecantes hiperbólicas) se transforman en térm inos de
tan x (ó c o tx ó tanh x ó coth x) usando la identidad se c 2x = 1 + ta n 2x
(ó c sc 2x = 1 + cot2x ó se ch 2x = 1 - tan h 2x ó csch 2x = co th 2x - 1).
www.FreeLibros.com
c) J tanh2x sech4x dx d) j csch6xdx
Solución
a) j tan3/2x s ec4x d x = J tan3/2x s ec2x(sec2x dx)
= j tan3/2x ( l + tan2x )(se c 2x dx)
- J (tan3/<2x + tan7/2x )(se c 2x dx)
(si t = tan x , dt = se c 2x dx)
2 2
= - t a n 3/2x + - t a n 5/2x + C
O 7
b) J csc4x dx = J csc2x (c sc 2x dx) = - J (1-f cot2x ) ( - c s c 2x dx)
(si t = cot x , dt = — csc2x dx)
= - ^cot x + ^ cot3x j + C
c) j tanh2x sech4x d x = / tanh2x ( l - tanh2x )(se c h 2x dx)
= J ( tanh2x - tanh4x )(se c h 2x dx)
1 , 1
= - t a n h 3x - - t a n h 5x + C
d) J csch6x dx - J (coth2x - l ) 2(csch2x dx)
= - J (coth4x - 2 coth2x + l ) ( - c s c h 2x dx)
TOPICOS DE CALCULO - VOLUMEN II
Ejemplo 43. Calcule las siguientes integrales:
a) J tan3/2x sec4x dx b) j csc4x dx
= - ^ -c o th 5x - - coth3 x + coth xj + C
36www.FreeLibros.com
INTEGRAL INDEFINIDA
III. I N T E G R A L E S D E L A F O R M A :
J se n (mx) cos(nx) d x , J sen(mx)sen(nx)dx, J eos(mx) cos(nx) d x ,
J senh(mx) co sh (n x ) d x , J senh(mx)senh(nx)dx y
j co sh (m x) co sh (n x ) dx.
Para calcular estas integrales se usan las fórmulas:
1
a) sen (mx) eos (nx) = - [sen(m - n)x + sen (m + n)x]
b) se n (m x )se n (n x ) = - [cos(m - n ) x - eos(m + n) x]
c) eos (mx) eos (nx) = - [cos(m - n) x 4- eos (m + n) x]
1
d) se n h (m x) co sh (n x ) = - [senh(m + n)x + senh(m - n)x]
1
e) se n h (m x) se n h (n x ) = - [cosh(m + n)x —eosh(m — n)x]
1
f) co sh (m x) co sh (n x ) = — [cósh(m + n) x + eosh(m — n)x]
E jem plo 44. Calcule las siguientes integrales:
a) J sen 2x eos 3x dx b) j eos 3x eos 4x dx
c) j senh d) J cosh 4x senh x dx
Solución
a) J sen 2 x c o s 3 x dx = - J [sen(2 — 3 )x + se n (2 4- 3 )x ]d x
= 2 / ^S6n ~ S8n X^ X ~ 2 ( ------ 5-*" C°S * ) +
b) J c o s 3 x c o s 4 x d x = - J [ c o s ( —x ) 4-eos 7 x]d x = - ^ s e n x 4-- s e n 7 x )
c) J senh 3x senh 4 x d x = - J [ c o s h 7x — c o sh x jd x
www.FreeLibros.com
d) J cosh 4 x se nh x d x = —j [senh 5 * - senh 3 x ] d x
1/1 1 
= 2 5 C° S ~ 3 C0S 3x) + ^
E n este ejemplo, se han usado las identidades:
s e n h ( - u ) = - s e n h u , s e n ( - u ) = - s e n u
c o sh (— u ) = c o s h u , c o s ( - u ) = c o su
E je m p lo 45. Calcule las integrales:
y í i ~ . í sen4* + eos4*
a) I se n 3( 3 * ) t a n 3 * d * b) ------ ------------T-dx
J J sen2* — eos2*
f e o s * r
c) ■ ■dx d) I eos3* sen 3* dx
J V'sen7 (2 *)eos* J
So lu ción
f f sen43x
a) / = se n 3(3 * ) tan 3 * dx = ------— dx
J J eos 3 *
_ J (1 - cos23 * ) 2
TOPICOS DE CALCULO - VOLUMEN II
eos 3 *
-dx
b)
= J(sec3x - 2 eos 3* + cos33*)d*
1 2 1 f
= -ln |sec3 x + tan 3*| - - sen 3* + - I (1 - sen23*)(3 eos 3* dx)
1 2 1/ 1 
= -ln |sec3 * + tan 3*| - - sen 3* + - (sen 3* - -s e n 33* + C
j 3 3 V 3 /
1 , 1 1
= -ln |sec3 * 4- tan 3*| - -se n 3* - - s e n 33* + C
■J J 7
f sen4* + eos4* r 4 (2 + 2 cos22*)
-----i -----------J~ d x = ------------- ñ--------d x
J sen2* - eos2* J - e o s 2*
-lí (se c 2* + eos 2x )d x
1 , 1
= --rh i(s e e 2 * + tan 2*| - -s e n 2* + C
4 4
38www.FreeLibros.com
c) /
INTEGRAL INDEFINIDA
cos * I f cos x dx
- f C0SX H - 1 f
J Ysen^(2xT co sx V 2 7 J V s e n 7x c o s8*
Se observa que esta integral no se adapta a ninguno de los tipos estudiados en
(I). Cuando se presentan estos casos, a veces, es conveniente transform ar a los
otros casos, es decir, a productos de tangentes y secantes ó cotangentes y
cosecantes. E n este ejemplo, transform ando a tangentes y secantes (dividiendo
entre e o s5*, numerador y denominador) se obtiene:
1 f se c4* 1 f 1 + tan2*
' = V l 2 8 J ta n 7/3* = Í V f J ta n 7/3* O 0" * d * )
1
, . .tan 7/3x + tan 1/3* ) s e c 2* d *
4V2J v J
= —rrz ( —- cot4/3* + - t a n 2/3* ) + C
4V2V 4 2 )
f 7 f (1 + eos 4*
d) } = I cosJ2* sen 3* dx = J ^-------------J eos 2* sen 3* dx
4 / ( c „ s 2 x Sen 3 ^ + Í J eos 4*(cos 2* sen 3x)dx
= - J [sen * + sen 5*]dx + - J [eos 4* sen *+ eos 4* sen 5x]dx
1 1 1 ir
= — —eos * - - eos 5* + - I [-sen 3* + sen 5* + sen * + sen 9x]dx
 ( 1  1/1 1 1 
= - —eos * - - eos 5 * I + - - eos 3* —- eos 5 * - eos * -----eos * + C
4 V 5 / 8 3 5 9 /
3 1 3 1
= - - eos * + — eos 3*- — eos 5 * - — eos 9* + C
8 24 40 72
E je m plo 46. Calcule las siguientes integrales:
f f f sen^x
a) j tanh42 * d x b) I seeh3x d x e) I —— dx
, ^
d)
e o s“*
f s e n 43 * f
----- T¿—dx e) ta n ¿ x s e c * d *
J e o s33 * J
Solución
Se observa que ninguna de las integrales se adaptan a los casos estudiados, por lo
que será necesario efectuar algunas transformaciones. E n efecto, •
39
www.FreeLibros.com
TÓPICOS DE CÁLCULO - VOLUMEN II
a) I tanh4 2 x dx = J (1 - sech2x )2dx = J ( 1 - 2 sechz2 x + sech4 2 x) dx
= x —tanh 2x + J (1 —tanh22 x) sech2x dx
1 / 1
= x - tanh 2x + -(ta n h 2x - -ta n h 3 2x) + C
1 1
= x - - t a n h 2x - - t a n h 32 x + C
¿ O
b) J sech3x dx = J - J l - tanh2* (sech2* dx)
(Si u = tanh x , du = sech2x dx)
= —[tanh x Vl - tanh2x + arcsen(tanh x)j + C
l r
= - [tanh x sech x + arcsen(tanh x)] + C
f sen2x f r
^ J cös^xdx = J tan2x Sec4* dx = I tan2x^1 + tan2x)(sec2x dx)
= I (tan2* + tan4x)(sec2x dx) = ^tan3x + ^tansx + C
J 3 5
(sen43x r (1 - cos23x)2 r
3 J cos33x “ J ^ 3 *dx = J(sec 3* ~ 2sec 3* + cos 3* )
= J Vl + tan23x sec23x dx - ^In|sec3x + tan 3x| + ^sen3x
A
1 r
= ~ |tan 3x sec 3x + In|sec 3x + tan 3x|] - A
1 1 1
= gtan 3x sec 3x - -In|sec 3x + tan 3x| + ^ sen 3x + c
e) I tan2* secx d x = J y/sec^x^l(tan x s e c x d x )
1 ,
= - | s e c x t a n x - ln|secx + tanx|] + C
www.FreeLibros.com
INTEGRAL INDEFINIDA
dxf dx
l:)riii|)lo 47. Halle la integral J + usando la su stitu ció n x = 2 tan i
Sol ut-ion
( .uno x = 2 tan 0 , dx — 2 sc c 29 d9. Entonces
dx l f sec29 dB 1
i
f dx I f see 0 dB 1 f
1 f (1 + cos 2 9 )d 9 1
'i
)
- i J
1
( arctan - 4- , ,
16 V 2 4 + x 2
2 16
x 2 x
sen 20
+ C = — [0 + sen 0 cos 0] + C
16
4 -C
l’.tra regresar a la variable original x, en vista de que tan # = - , se construye
d triángulo
A partir de este triángulo, se obtiene que
sen 0 =
V x 2 + 4
y eos ti = —
V x 2 4- 4
E J E R C I C I O S
Calcule las siguientes integrales indefinidas:
1.
/
+ 2x — 8 dx
R.
9 dx
3.
V 9 x z - 12x + 13
3 dx
4 x 2 — 16x 4-17
4 — Ix
-[(x 4- l)Vx2- « x - 8 - 9 ln |x 4- 1 4- J x 2 4- 2x - 8|J 4- C
fl. 3 ln [3x - 2 4- V 6 * 2 - 1 2 x T l 3 ] 4- C
fi. -a rc t a n (2 x - 4) 4- C
V x 2 4- 2x —8
:dx
ß. - 7a/x2 4- 2x - 8 4- 11 ln x 4- 1 4- v x 2 4- 2x - 8| 4- C
41
www.FreeLibros.com
3 + 5*
12* + 13
i u n c u s U t CALCULO - VOLUMHN II
dx
1.
8.
5. f — !
J 9* 2 -
R- — In(9* 2 - 12* + 13) + y arctan ( ^ y ~ ) + C
j f (2 — x)dx _______________ ^ ^
J V —* 2 — 10* — 21 ^ ~ xZ~ 10* — 21 + 7arcsen + C
J sen 2 * + 3 c o s *
dx
16 12 tanh * + 5
n * sen 2*
*• 2 ---- i ~ +C
D X 1
R- 2 + ^ se n ( ! 0 * } + C
3 * sen 2 * sen 4 *
*• T — 4~ +— +c
n 2 1
sen * - - s e n 3* + - s e n 5* + C
V 9 + 4 s e n * - cos2*
*■ 2 V s e n 2* T T s e n * T 8 - In | se n * + 2 + x » 7 T 4 l i I 7 T T 8 | + c
[ (5 senh * + 4 cosh x)dx
J cosh * ( 9 senh2* + 6 senh 2* + 5)
R- rln | 4 tanh2* + 12 tanh *| - — In l- ta n h * + 1 l
16 12 tanh I
9. J se n 2* dx
10. J cosh 25 * dx
n . / se n 4* dx
12. / c o s5* dx
, 3 . / co s7* se n 3* d *
„ „ f se n 3*
14. I -----r - d *
J co s4*
cos8*
40
1
3 cos3*
(4 co s2* - 5) + C
- s e c * + C
15. J se n h 3* dx
16. j se n 2(3 *)c o s 43 * dx
17. J se n h 8* cosh 5* dx
18. j tan6* dx
1
R■ - c o s h * ( c o s h 2* — 3) + C
* sen 12* se n 36*
' 16 192 + ~ 1 4 4 ~ + C
1 2 i
R. - se n h 9* + - s e n h 3* + - s e n h 5* + C
1 1
g tan * - - t a n 3* - tan * + * + c
42
www.FreeLibros.com
INTEGRAL INDEFINIDA
19. J cot5* dx
20. J tanh4* dx
21. J sec4* V cot3* dx
22. J tan5* V e o s 3x dx
23. J tanh6* sech4* dx
V2 dx
24.
co s3*V s e n 2*
25. J sen 3 * sen 5 * dx
26. I eos 2* eos 7x d x
í
J
I
27. J se n 52* co sB2* dx
28. j se n 3* eos3* dx
29. J (1 4- eos 4* ) 3/2 dx
30. J cot4(3x)dx
i ax ->x ,
31. | sen4- cos'1- dx
32. J tan3* dx
33. J tan3(3 *)s e c 3(3 *)c ¿*
1 A 1 ,
R. —- c o t 4* + - c o t z* + ln|sen*| + C
R. x —t a n h * - - t a n h 3* + C
R. —2Vcot* + - Vtan3* + C
2 2
R. -sec5/2* —4 sec1/2* —-cos3/2x + C
R. - t a n h 7* — - t a n h 9* + C
7 9
R. - V t a n * ( 5 + tan2* ) + C
sen 2* sen 8*
R■ — ------77— + C
4 16
1 1
R. — sen 5 * + — sen 9 * + C
10 18
1 1
R. - s e n 6( 2 * ) - - s e n 8( 2 * ) + C
R. - eos( 2 * ) + - i-e o s 3( 2 * ) + C
16 48
V 2 V 2 , '
R. — sen 2 * — — sen32 * + C
2 3
1 , 1
R. —- c o t 33 * + - c o t 3 * + * -I- C
9 3
* 1 1
R■ TZ ~ To sen 2 * — — sen * + C
16 32 24
tan2*
R. — ------h ln|cos*| + C
1 1 ,
R. — sec53 * - - s e c 33 * + C
15 9
www.FreeLibros.com
1
TÓPICOS DE CÁLCULO - VOLUMEN II
f s c n 3x _____ ,3
' i V ^ dX R' 3V i¿ n ( - c o s 2x + 3) + C
dx
se n 2x co s4x 2 ta n x + ^ t a n 3x — c o tx + C
36. /
37. f dx 1 3 1
J sen5x c o s 5x ? tan * ^ ^n l^an x  ~ ~cot2x — — cot4* 4* C9 ~ 1 ^“«i«»ai — ——(
^ ¿ 4
3 8 ’ / v s e n x c o s 3x R-2Vtáñx + C
oq í Sec4*H 1
■ J tan4x R-- cotx - 3 c° t3x + C
40. I S o t x c o s ^ x dx R. 2-sfséñx - ^ s e n 5' 2x + ^ s e n 9' 2x + C
í se n 2(nx) i ^ ^
J co s6(jrx) dx R •“ [3 tan3C^x)+ - t a n s (7rx)J + C
42. J sen x sen 2x sen 3x dx R. ¿ c o s 6x - A Co s 4x ^ cos2x + C
.43. f sen 4x eos 5x dxr cos9x cosx
J 18 2
44. í sen 8x sen 3x dx r sen x _ sen , r
J 22 10
45. J cosh 3x cosh x dx r .i senh 4x + ^senh 2x + C
o 4
46. j senh 4x senh x dx R. _ COsh 5x + ^ cosh 3x + C
47. J sen3x eos 3x dx R. l c o s 2 x - ¿ c o s 4 * + ¿ c 0S6x + C
48. f cos2x sen24x d x R x ^en i sen 2x sen 6x sen lOx
J ' 4 32 -8 ~ 48 8 Ó ~ + C
49. f senh2x cosh 5x dx r sen^ ^x j_ senh 3x senh 5x
J 90 n tt:—
5 0 . /
dx
28 ' 12 10 +C
2
V se n 3x c o s ^ x R‘ ~ 2 ^ x + 3 t a n x V t l F * + C
44
www.FreeLibros.com
INTEGRAL INDEFINIDA
1.5.3 IN T E G R A C IÓ N P O R SUSTITU CIÓ N T R IG O N O M É T R IC A
Las integrales de la form a f R(x , J p x 2 + qx + r )d x , donde R es una función
racional de las variables x y J p x 2 + qx + r , se puede sim plificar por m edio de
una sustitución trigonom étrica adecuada.
Com pletando el cuadrado en el trinom io p x 2 + qx + r se obtiene una expresión
de la form a u2 + a 2 ó u2 —a2 ó a2 —u2, donde a es una constante.
I) S i el trinom io tiene la form a a2 —u2, mediante la sustitución
u - a se n 9 , a > 0
se elim ina el radical, pues V a 2 - u 2 = a eos 9 . Tam bién se tiene que
d.u = a eos 9 dO
Para regresar a la variable original u, se emplea el triángulo form ado con la
u
sustitución sen 6 = — (Fig. 1.3 a).
(a)
Fig. 1.3
II) Si el trinom io tiene la form a a 2 + u 2, mediante la sustitución
u - a tan Q , a > 0
se elim ina el radical, pues Va2+ u 2 = a sec 9 . Tam bién se tiene que
du = se c 29 d 8
Para regresar a la variable original u, se utiliza el triángulo form ado con la
u
sustitución tan 9 = - (Fig. 1.3 b).
a
III) S i él trinom io tiene la form a u2 t - a 2 ,mediante la sustitución
u = a sec 6 , a > 0
se elim ina el radical, pues Vu2- a 2 = a tan 6 . Tam bién se tiene
du = a sec 9 tan 9 d9
Para expresar la integral original en términos de su variable u, se emplea el
u
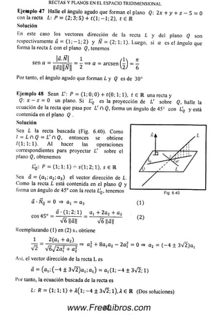
triá n g u lo e la b o ra d o con se cfi = - (Fig. 1.3 c).
45www.FreeLibros.com
TOPICOS DE CÁLCULO - VOLUMEN II
Ejemplo 48. Calcule / = J ^9 - x 2 dx.
Solución
Haciendo ia sustitución * = 3 sen 8, dx - 3 eos 8 dd y calculando la integral
trigonométrica que resulta, se tiene
/ = j V 3 2 — x 2 dx — J ^p^-^^señ2d 3 eos 9 dd
= J 9 eos26 dd = - J (1 + eos 29) dd
cos20 .3 eos 6 dd
9 9 ( x xV9 - x2
= - ( 0 4-sen 0 eos 9) + C = - I arcsen-4------- -------
-( Xy¡9 - x 2 + 9 aresen - ) + C
E je m p lo 4 9. Calcule / = /
dx
x 2-J16+ 9X 2
Solución
Sea 3x = 4 ta n 0 , dx = - s e c 28 dd. Luego,
í dx _ 4 f
J x 2V l 6 4- 9x2 ~ 3 J
sec2d dd
x 2V l 6 4- 9x2 3 J ^ t a n 20 V 1 6 4- 16tan20
3 f secd 3 f c o sí
= — -----T - d d = — -----— d 0
16 J tan2d 16 Jsen2d 16
-C S C 0 4- C
3 V 1 6 4 -9 x 2 V 1 6 4-9X 2 „
. + c = ----------—-------- + c
16 3x 16x
:dx.E je m p lo 50. Calcule / ,
J V x 2 — 9
Solución
Haciendo x = 3 sec 9, dx = 3 sec 9 tan 9 d9 , se obtiene
27 sec30 .3 sec d tan d dd
V 9 sec20 — 9
( x J f :
= d x =
J V x 2 — 9 J
= 27 J ( 1 4- tan20 )se c 20 d d = 27 (tan d 4- - t a n 3flj 4-
= 9 v 'x 2 — 9 4- - ( x 2 — 9 )2 4- C
O
46www.FreeLibros.com
I'li'iiiplo 51. Halle I = J
INTEGRAL INDEFINIDA
X 3 dx
V x 2 + 2x 4- 5
Solución
i ompletando el cuadrado en el trinom io y
Imi icndo la sustitución
v I 1 = 2 tan 9 , dx = 2 secz 9 dd
M' obtiene
x 3 dx f x 3 dx
/ V x 2 + 2x + 5 J J ( x + l ) 2 + 4
I (2 tan 0 — l ) 3 2 see20 dd
2 se c 0
= J (2 tan 0 - l ) 3 see 8 dd
(8 tan30 see 6 - 1 2 tan20 see 0 4- 6 tan 6 see 0 - see 0) dd
H
see30 - 6 see 8 tan 8 + 5 ln|see0 + tan 8  - 2 see 8 + C
1 3 t____________________
(xz + 2x + 5 ) 3/2 - - (x + 1)V* 2 + 2x + 5 + 5 In x + 1 + *Jx2+ 2x + s| - J x ^ T Y T s + C
( 2 x 2 - 5 x - 5 ^
lije m p lo 52. Halle /
Solución
/
4- 5 ln ¡x + 1 + V * 2 + 2 x + 5| + C
dx
(1 + X 4)a//T + X 4 - X 2"
se c20
Si se hace x ¿ = tan 0 => dx = — ;— . dft.
líntonces
/
dx
-/■
see20 d 0
(1 +x4)VVl + x 4 - x 2 ■> see20 Vsee 0 — tan 0
e o s0 d 0
V sen 0 — se n 20 1 / l T
eos 0 d8
z 2
-a rc se n + C
1 1 / 2x 2
= -a re se n (2 sen 0 - 1 ) 4- C = - arcsen - ^ =
2 2 V v i + x 4
1 4-C
47www.FreeLibros.com
TOPICOS DE CALCULO - VOLUMEN II
12 dx
/;
Ejemplo 53. Calcule / - , __________________
(2x - l ) / ( 4 x 2 - 4x - 8 )3
Solución
Com pletando el cuadrado en el trinom io y haciendo la sustit jción
2x - 1 = 3 sec 9, dx = - sec 9 tan 9 d.9
Resulta
/
= /
- /
■ /
12 dx
(2x - 1 ) V (4x2 —4x —8)3
12 dx
{2.x —l) [ ( 2 x — l ) 2 — 9 ]3/2
18 sec 8 tan 9 dd 2
3 s e c 0 2 7 t a n 30 9
J cot26 d9 = — j (esc29 —1)d 6
2 , 2 /
= — [—cot 6 — 0] + C = — (■
Ejem plo 54. Calcule J
Solución
Si se sustituye
/
9 V V 4 x 2 - 4x - 8
e _:>f dx
2x - 1
+ aresen— -— J + C
(9e~2x + 1)3/2'
3e * = tanfl, e = - - s e c 29 d9 , se tiene
= J
e x dx
[(3 e ~x) 2 + I ]3/2
r ~ 3 sec29 d9  r
J sec39 3 J eos 9 d9
--se n 9 + C
Vi + 9e~2*
+ C
48
www.FreeLibros.com
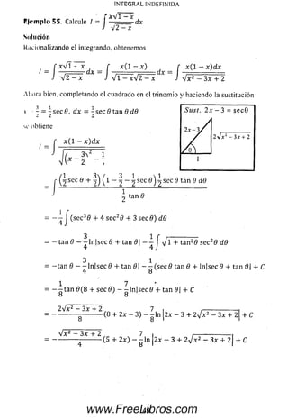
R|cinplo 55. Calcule / = I XV * X-d*
J V 2 —x
Solución
Racionalizando el integrando, obtenemos
f x  [ i - x f x ( l ~ x ) r x ( l - x) dx
J V 2 - x X ~ J V l ^ / 2 ^ X ~  V x 2 - 3 x + 2
INTEGRAL INDEFINIDA
Aliora bien, completando el cuadrado en el trinom io y haciendo la sustitución
3 1 1
- = - sec 8, dx = - sec 8 tan 8 d8
2 2 2
Sust. 2x - 3 = se c 9
c obtiene
2x-3/
ly / x 1 - 3 x + 2
f x ( l - x ) d x
 ( y 1
/ Q 
1
2
r ^ sec 8 + ( l - ^ - i sec ^ sec 6 tan 0 dd
^ tan 8
= - - J (se c 38 + 4 se c28 4- 3 sec 8) dd
3 1 r ------------------
= - tan 8 - - ln | s e c 0 + tan 8 - - y/l + tan 20 sec2d dd
4 4 J
3 1
= - t a n 8 - - ln | s e c 0 4- tan 8 |- - ( s e c 8 tan 8 + ln|sec0 4- tan 0 4- C
4 o
1 7
= - - t a n 0 (8 4- s e c 0 ) - -ln | s e c 0 4- tan 8 4- C
O O
2sJx 2 —3x 4- 2 7 i ____________
= -----------------------(8 + 2x - 3) - - l n 2x - 3 4- 2 j x 2 - 3x 4- 2 4- C
O O ' '
y j — 3x “h 2 7 i ____ i
= ------------ -----------(5 4- 2 x ) - -  n  2 x - 3 4- 2 V * 2 - 3x 4- 2| 4- C
49www.FreeLibros.com
TÓPICOS DE CÁLCULO - VOLUMEN II
Observación 7. Si el integrando contiene una expresión de la forma V a 2 —u
ó Va2 + u2 ó Vu2 - a2, a veces una sustitución hiperbólica es más efectiva.
Para V a 2 - u 2 , la sustitución es u = a tanh t.
Para Va2 + u 2 , la sustitución es u = a senh t.
Para Vu2 —a2 , la sustitución es u = acoshí.
En el primer caso, Va2 - u2 = a sech t.
En el segundo caso, 'Ja2 + u 1 = a cosh t.
En el tercer caso, V u 2 - a 2 = a senh t.
E je m p lo 56. Calcule / = J x 2J x 2 + 4 dx.
So lu ción
Usando la sustitución
x = 2 se nh í , d x = 2 co sh í dt
tenemos
/ - J x 2y¡x2 + 4 d x = J 4 senh2t 2 cosh t 2 cosh t dt
- 16 J senh2t cosh2t d t = 4 J senh22 í d t = 2 J (cosh 4 t - l)d £
1
- -s e n h 4 í - 2 t + C = 2 senh tco sh t(senh 2t + cosh2t) - 2 1 + C
xV 4 + x 2 / x 2 4 + x 2  x
j _ 2 Se n h -1 - + í:
xV 4 + x 2
4 2
x 2 dx
Ejem plo 57. Calcule / ~ f ■
J <V x2 + 4x - 5
Solución
Completando el cuadrado en el trinomio y haciendo la sustitución
x + 2 = 3 cosh t , d x = 3 senh i d t
resulta
I rn { __*2dx f * 2 d x f (3 cosh t ~ 2 ) 2 3 senh t dt
J + 4* - 5 ~ J / (* + 2)z - 9 i 3 senh t
50www.FreeLibros.com
INTEGRAL INDEFINIDA
(3 cosh t - 2 )2 dt = J (9 cosh2í - 12 cosh t + 4)dt
í
/cosh 2t + 1
9 ^-----------------) - 12 cosh t + 4) dt
9 17
- c o s h 2t - 12 c o sh t + —
2 2
dt
9 17
= - s e n h 2t - 12 se nh t + — t + C
4 2
9 17
= - senh tc o s h t — 12 senh t + — -t + C
2 2
V x 2 + 4 x - 5 17 (x 4- 2 
--------- - --------- (x — 6) + — c o sh - ( - J + ^
Obs er vaci ón 8 . Si la integral tiene la f o r m a I R [ xn ; J a 2 ± x 2) dx ó
I R ( x n ; J x 2 —a2) d x , donde n es entero impar positivo, es preferible
usar ia sustitución z 2 = a 2 ± x 2 ó z 2 = x 2 - a 2.
I.jem plo 58. Calcule las siguientes integrales:
J)
<0
x3 dx f ( x s - x)
b) —
J V.V x 2 - 9
x 3 dx
« J
Vx2 + 3
x 3 d x
(3 — x 2) 4
d x
( x 2 + 9 ) 3/2
Solución
a) Utilizando z 2 = x 2 - 9, 2 z d z = 2 x d x <=> z d z = x dx se tiene
x 3 dx x 4( x d x ) f ( z 2 + 9 ) 2z d zr x (x dx) f
J Vx2 - 9 JV x 2 — 9 J Vx2 — 9
= J (z 4 + 1 8 z 2 + 9 )d z = ^ z 3 + 6 z 3 + 9z + C
= - ( z 4 + 3 0 z 2 + 4 5 ) + C
V x 2 - 9
(x 4 + 12x - 144) + C
51 /
www.FreeLibros.com
f ( x 5 - x ) _ r (x * - l ) ( x dx) f [(z 2 - 3) 2 - ] z dz
J V ^ T 3 JV F T 3 " J z
f z **
= J ( z 4 - 6 z 2 + 8 ) d z = Y - 2 z 3 + 8z + C
TÓPICOS DE CÁLCULO - VOLUMEN II
b) Haciendo z 2 = x 2 + 3, z dz = x dx se obtiene
z
= - [ z 4 - 1 0 z 2 + 4 0 ] + C
Vx2 + 3 ,
= ----- ------( x 4 - 4 x 2 + 19) + C
c) Si se sustituye z 2 = x 2 + 9, z dz = x dx resulta
r x 3 dx _ r x 2(x dx) f ( z 2 - 9) ( z dz)
J (X2 + 9)3/2 - J ( x2 + 9)3/2 - J
dz
9 1 ,
= z H ------h C = - (z + 9) + C
z z
1
( x 2 + 1 8) + C
V x 2 + 9
d) Haciendo z — 3 — x 2, x dx = - - d x se obtiene
f x 5 dx í x 4(x dx) f (3 - z ) 2( - í dz)
J (3 - x 2)4 ~ J ( 3 - x 2)4 = J i?
1 f / 9 6 1 
2 J +
1 / 3 3 1
“ 2  ^ ~ I * + z ) + C
x 4 - 3 x 2 + 3
~ 2 (3 - x 2) 3 + C
www.FreeLibros.com
f x~ dx
J v f ^ F
J * + x 2 dx
j x z¡4 - x z dx
f dx
J x 2v l + x 2
dx
J ( X 2 -r 1 ) V 1 - X 2
' x 3 dx
v 2 x 2 + 7
dx
x 4V x 2 + 3
r (4 x + 5 )d x
J ( x 2 — 2x + 2 ) 3/2
f - 4I ( X 2
( 2x - 3 )d x
J ( x 2 4- 2 x - 3 ) 3/2
f V x 2 — 4 x
d x
x 4 d x
I 1
(4- x 2y /z
( x 2 - 2 5 ) 3/2 d x
x 6
d x
INTEGRAL INDEFINIDA
E JE R C IC IO S
(x ■+■l)3Vx2 + 2x
r sen x dx
J Vcos2x + 4cosx 4- 1
1 x /-------- -
R. - - a r c s e n x - - v l - x 2 4 -C
R. - jx V 4 + x2 + ln(x + J 4 + x2)j 4- C
x V 4 - x 2
R. 2 arcsen ----------- -— |x - 2xj + C
V l + x i
R . --------------- 4- C
I y[2x ,
R. — a rc ta n l - = = ) + C
1
v f  V 1 - X 2
V 2 x 2 4- 7 ,
R. — — ------- ( x 2 + 7) + C
V x 2 4- 3 ( x 2 + 3 ) 3/2
R. ---- r--------- -- ---- + C
R.
9x 2 7 x 3
9x - 13
^ _______ :4~ C
V x 2 - 2x 4- 2
5 x - 3
4 V x 2 + 2 x - 3
( x 2 - 4 x ) 3/2
:+ C
6 x 3
v s
R.
2 0 (4 - x 2) 5/2
( x 2 - 2 5 ) s/2
4- C
+ c
1 2 5 x 5
1 V x2 4- 2x
if. - a r s e n ( * + l ) + i 5 r n 5 j + C
/?. - l n jc o s x + 2 + V c o s 2x + 4 c o s x + l j + £
www.FreeLibros.com
TÓPICOS DE CÁLCULO - VOLUMEN II
5 /
e x¡e2x - 4 - 2 e 2x( e x + 2)
15. | — ------------- — "■■■■■ ■■ —— —dx
2{ex + 2 ) 4 e 2x~ - 4
R. —nex + 2| - V e 2* - 4 + c
_ f 2 x 2 - 4 x 4- 4
16. j - — dx
J 4 3 + 2x —x 2
R. aresen - (x - 1 )V 3 + 2 x - x 2 + C
17
18.
dx
( x2 - 2 x + 5 ) 3/2
( x 2 + 3 x )d x
R.
x - 1
4 V x 2 - 2x + 5
í ( x2 + 3x
J (x - l W x 2 -(X - l ) V x 2 - 2x + 10
R . V * 2 - 2a: + 10 + 5 In |V*2 - 2x + 10 + x + l| + - ln
V x 2 - 2x + 1 0 - 3
x - 1
+ C
m Í 4 ^ L
J V 4 — x 2
(3 + x 2) 2 x 3
2 0 '
V4 - x2
/? .------ -----(8 + x2) + C
21
22
23
/
f V y 2 ~ 4
i y 4
‘ J
■/
R. - -
. 2
( *2 + l ) 2 , 7 , 4
-------------+ (x 2 + 1) + -f* €
d y
(x2 —l)Vx2 - 2
2x2 4- 1
( x 2 + 4 ) 2
dx
dx
161
r — ( y 2 - 4 ) 3/2
■ Í 2 y 3 + C
_ Vx2 - 2
k. arctan--------- + C
x
x 1 4 x
2 x 2 4- 4J
( 2x 2 4- l ) V x 2 + 1
f 3 x a r c s e n x
25. I — . dx
R- r r la r c t a n r ----— — - 14- C
fi. arctan * ) + C
W 1 4- r 2/
J V ( i - * 2) 5
J V i - x 2 v i - x /
aresen x 1 [ x
(1 — x 2)3/7
i r x
2 l ~
-4-in
■Vi 4- x 2
AT+ 1
V T
4- C
dx
R ] n f 1 + X ) ( 2 7 3 1 s  , 89 /25 + 6x 2
*■ ln l T ^ I A 3 z ~ 5 - zJ + g ó arcsen* “ * 2 ( — e T ' j + c-
donde z = J l - x 2
54www.FreeLibros.com
i t
x ¿ - 3
A v/x4 - 4
:d x
INTEGRAL INDEFINIDA
1
In |x 2 + V * 2 _ 4| - -a r c s e n —
x dx
¿'t
(x 2 - 2 ) V x 4 - 4 x 2 + 5
x 2 d x
1
/?. -In
V x 4 — 4 x 2 4- 5 — 1
x 2 - 2
+ C
4- C
l 4 x 2 — 1 2 x — 5
(2x 4- 3 i------------------------
11 arcsen^— -— j 4- -J—4-x2 - 12x — 5(3 — 2x)
411
I I
1,’
4 I
x z dx
( x 2 4- 4 ) 3
2x :i dx
1
R ‘ 64
x 2 x ( 4 - x 2) 1
arctan - -
'2 (4 + x 2) 2
4- C
4- C
( v ’ - l ) 4
dx
1 - 3 x 2
R ■ ^------T“TT 4- C
(() _ x 2)3
( 4 x 2 4- l ) d x
R.
3
■4- - In
6 ( x 2 — l ) 3
(3 + x f
3 6 ( 9 - x 2) 2 1 6 ( 9 - x 2) 4 9 — x 2
4- C
It
( v - 3 )V 6 x — x 2 — 8
/Í. 24 a rc se n (x — 3) 4- 37 In
e 2x dx
1 - V ó x - x 2 - 8
x — 3
J ( c ¿x - 2 e x 4- 5) ) 3
se nh 2x dx
R.
4y¡6x — x 2 — 8 4- C
e * - 5
4 V e 2* - 2 e * 4- 5
4- C
(2 c o sh 2x — 3 se n h 2x — 2 cosh x ) 3/2
R
3 — cosh 2 x
2V 2 c o sh 2x - 3 se n h 2x - 2 c o s h x
:4- C
ill
I ,
!sen 2x sen x d x
( - 4 sen 2 x - 19 se n 2x ) 5/2
4 tan x — 16 / 5 ( t a n x - 4 ) 2
</
W t.m 2* - 8 tan x + 20 ta n 2x - 8 tan x 4 20
dx
+ 12 +
128
3 (tan 2x - 8 tan x + 20 )3/
" t C
(* 1)(x 2 - 2x + 5 )2
R- 32
(x - l ) 2
x 2 — 2x + 5
4-
1
8 (x 2 - 2x + 5)
+ C
55www.FreeLibros.com
I.5.4.1 I N T E G R A C I Ó N D E F R A C C I O N E S S I M P L E S
Se denom inan fracciones sim ples a ias funciones que se presentan bajo una de las
formas siguientes:
0 f W =
TÓPICOS DE CALCULO - VOLUMEN II
1.5.4 M ÉTO D O DE IN TEG RA C IÓ N PO R D E SC O M PO SIC IÓ N EN
FR A CC IO N ES PA RCIA LES
x —r
•*) /O ) = 7— , n > 2 , n e N
(x —r ) n
ax + b
ill) f ( x ) — 2 '------ :— , donde px2 + qx + r no tiene raíces reales, es decir,
JjX “t” CJX T Y
qz —Apr < 0.
^ s CLX+ b
IV) f ( x ) = -— — -----------— ,donde n > 2 , n e N , q 2 - Apr < 0.
(;px2 + qx + r)n ^ p
Las integrales de estas fracciones sim ples son inmediatas, pues
f a
i) dx = a ln¡x - r| + C
J x —r
U) í (x - r ) n dX ~ (1 - n)(x - r ) n_1 + C
f ax + b
iii) — 7 - -------- ;— dx (desarrollado en 1.5.1 caso III)
J p x 2 + q x + r J
f ax + b (2px + q)dx
J (px 2 + qx + r ) n X 2pJ (px2 + qx + r ) n + 
2p(n - 1)(px2 + qx + r ) n~
- +
( * - S ) /
f dx
i (px2 + qx + r ) n
f
dx
J (px2 + qx + r)n
;
Para calcular la integral /, al completar el cuadrado en el trinomio, se obtiene
r í du j j r~ R , 4 r P _ <7
J = ~ T i , i n , ' donde u = J p . x + — = y k = ------------
J v J ( u 2 + k 2Y y 4 n( u 2 + k 2r ’ y 4 p
En esta últim a integral, se puede usar la sustitución trigonom étrica u = k tan 0 ó
la siguiente fórm ula de reducción:
56www.FreeLibros.com
INTEGRAL INDEFINIDA
dx
Solución
l n este caso n = 2 y k = 2. Entonces
r dx x 2 (2 ) - 3 f dx
] (x 2 + 4 )2 “ 2.22(2 - l)(x2 + 4 )2-1 + 2.22(2 - 1) J (x2 + 4)
x 1 1 x 1 / x 2x 
“ 8 ( ^ 4 ) + 8 ' 2 arCt3n 2 + C = 16 l arCtan 2 + Í ^ T í) + C
l'lem plo 59. Usando la fórmula de reducción, calcule / = J + .
1.5.4.2 I N T E G R A C I Ó N D E F U N C I O N E S R A C I O N A L E S P O R
D E S C O M P O S I C I Ó N E N F R A C C I O N E S S I M P L E S
P (x )
Sim la función racional f ( x ) = — -r, donde P (x ) y Q{x) son polinom ios
Q(x)
i <«primos de grados m y n (m ,n e N), respectivamente.
Si m < n, se dice que la función racional es propia y cuando m > n, se dice que
rs una función racional impropia.
Por ejemplo, las funciones racionales
x 5 - 6x2 + 7
y a t o2 x 4 + 8 J " 2x&+ 3 x 3 + 2
mm propias, pues el grado del polinom io del num erador es menor que el giado del
polinom io del denominador; mientras que las funciones racionales
3 x 4 - 2x2 + 7 _ 5 x 3 - 3 x 2 + 1
F(X) ~ x2 + 2x + 3 y " 2 x 2 - 7 x 3 + 4
son impropias.
P(x)
Si / (x) = es Una función racional impropia, por el algoritm o de la división,
uxisicn polinom ios C(x) y /?(x) únicos tales que
l’t o r r ^
-------= C(x) +
Q(x) Q(x)
ilmule el grado de R(x) es m enor que el grado de Q(x). C(x) y R( x ) son,
ii'speclivamente, el cociente y el resto de la división de P( x ) entre Q(x) .
I tío significa que toda fracción im propia puede ser expresada com o la sum a de un
polinom io y de una fracción propia. A sí, la integral de una fracción im propia
IMifilc ser escrita com o
í p t o , f , ( R t o dx
57www.FreeLibros.com
Enseguida, verem os el método de integración para una fracción propia, el cual se
basa en que “toda fracción racional propia puede ser descompuesta en la sum a de
fracciones sim ples”. Este hecho se sustenta en el conocim iento de dos teoremas
del Á lgebra que adm itirem os sin demostración.
Teorem a 1. Si Q (x ) es un polinom io de grado n (n > 1) , entonces Q( x) se
descompone com o un producto de factores de 1er grado y de factores de 2 do
grado irreductibles en M, de la siguiente forma:
Q(x) = a(x — rj) " 1(x — r2)n2 ... (x - rk)nk(x2 + p^x + q1)m» ...(x2 + psx +qs)m>(*),
donde n = TI-L+ n 2+ ... + nk + 2 m l + ... + 2m s
T eorem a 2. Si el polinom io ( ? ( * ) posee la descom posición '( * ) y P ( x ) es
P (Xj
un polinom io de grado m enor que n, entonces la fracción propia
se descom pone unívocamente en fracciones sim ples como
P(X) _ ^11 A12 ^21 ^22
Q(x) x — + (x — rx) 2 (x - rj)ni + (x - r2) + (x - r2) 2 + ^
+ - Alnt- + . - 4 - A k l - + Ak2 + . . . + Akn*__ +
( x - r 2)"2 (x - rk) (x — rk) 2 (x - r k)nk
^ Bllx + ^11 ^ Bl2x + ^12 ^ J ^lm, + ^
(x 2 + p 1x + q1) (x 2 + p xx + Ch) 2 (x 2 + pjX + Q i)mi
_l_ B S1X + Csí ^ B s2X + CS2 ®smj "t" Q m s
x 2 + psx + qs (x 2 + psx + qs) 2 ( x 2 + psx + qs)ms
En resumen, podem os afirmar que la integración de una función racional (propia ó
impropia) se reduce a integrar a lo más un polinom io y las fracciones simples.
Recuerde que si ei grado del numerador es m ayor o igual que el grado del
denominador, primero se debe dividir (salvo que se emplee otro artificio de
integración).
Cuando se descom pone una función racional en fracciones simples, la ecuación
resultante es una identidad, es decir, es verdadera para todos los valores
significativos de la variable x. E l método para determinar las constantes que se
presentan en los numeradores de las fracciones sim ples se basa en un Teorem a del
A lgebra que establece que los polinom ios de un m ism o grado son idénticos
cuando son iguales los coeficientes que corresponden a potencias iguales. Estas
constantes también se pueden determinar resolviendo la igualdad de polinom ios
para un núm ero suficiente de valores de x.
En el siguiente ejemplo, sin determinar las constantes, mostrarem os com o se
descom pone una fracción propia.
TÓPICOS DE CÁLCULO - VOLUMEN II
58
www.FreeLibros.com
Sea la fracción propia
P(x) 7 x 4 — 2 x 3 + x 2 —%/2x + n
Q(x) = (x + l ) ( x - 4 )3( x 2 + 9 ) ( x 2 + 1) 2
I .1 descom posición de esta fracción en fracciones sim ples se expresa com o
P(x) A B C D Ex + F Gx + H Jx + M
■+ -------r + 7------ :tt + -:------ ;tt + — ---- — H---- ^---- - + -
INTEGRAL INDEFINIDA
Q(x) x + 1 x - 4 (x - 4) 2 (x - 4 ) 3 x 2 + 9 x 2 + 1 ( x 2 + l ) 2
donde A, B, C, D, E, F, G, H, J y M son constantes a determinar.
f x 3 —3x + 3
lile m p lo 60. Calcule / = — :---------- irdx.
H J x 2 + x - 2
Solución
I n primer lugar, se divide, ya que el integrando es una fracción racional impropia.
x 3 — 3x + 3 1 1
= x — 1 + — ---------- - = x - 1 + ■
x 2 + x - 2 x 2 + x - 2 ( x - l ) ( x + 2)
1iit'í’o, J = j (x —l)d x + J •
dx x 2
— —X
(x — l ) ( x + 2) 2
Al descom poner el integrando de I en fracciones simples, se tiene
1 A B
(x — l) ( x + 2) x — 1 x + 2
donde A y B son constantes a determinar. M ultiplicando esta ecuación por el
m ínim o com ún m últiplo del denominador, se obtiene la ecuación p rin cip a l
1 = A(x + 2) + B(x - l ) , V x £ l
Ahora bien, para determinar las constantes A y B se debe escoger valores
npi opiados de x. Estos valores son aquellos que hacen igual a cero el denom inador
de cada fracción simple. A sí, tenemos:
l'm a x = 1 en la ecuación principal, nos queda: 1 = 3A <=> A = 1/3
l'nia x = - 2 en la ecuación principal, resulta: 1 = - 3 B «=> B = - 1 / 3
I ui'^o,
x .
/(:
1/3 1/3  1 , 1 , 1.
dx = -ln|x —1| — -ln|x + 2| + C = -in
1 x + 2) 3 3 3
'ni lauto.
x + 2
+ C
X 2 X 1
/ = y - í + ^ T - x + 3 1" x + 2
+ C
I ti el ejemplo anterior, para calcular la integral I no es necesario descom poner en
li h it iones simples, pues tam bién se puede calcular completando cuadrados. En los
llám enles ejemplos, usarem os el método m ás adecuado.
59www.FreeLibros.com
TOPICOS DE CALCULO - VOLUMEN II
X2 — 6x + 8f x ¿ —6x + 8
Ejemplo 61. Halle I = I — — ------ - d x
J x2 + 2x + 5
Solución
C om o el integrando es una fracción impropia, primero se divide y luego se aplica
el artificio presentado en 1.5.1. A sí, se obtiene
f x z - 6x + 8 f 3 - 8x i f (8 x - 3)dx
= I 7' , o — r ? d x = I 1 + - ^ — =------ - d x = x -
J x 2 + 2x + 5 J L x 2 + 2x + 51 J
f 2x + 2 f
= x —4 I —-— ------ dx + 11 I ,
J x 2 + 2x + 5 J (x + l ) 2 + 4
x 2 + 2x + 5
2x + 2 r dx
, 11 ¡x + 1
x —4 ln (x 2 + 2x + 5) + — arctan ^— - — J + C
dx
Ejem plo 62. Halle J . ,
. J x3+ 1
Solución
La descom posición que corresponde a la'fracción propia del integrando es
1 1 A Bx + C
x 3 + 1 (x + l ) ( x 2 - x + 1) x + 1 x 2 - x + l
P
Elim inando denominadores, obtenemos la ecuación principal:
1 = A( x2 - x + 1) + (Bx + C)(x + 1) (*)
Para x — — 1 en la ecuación (*), se tiene: l = 3A ==> A = 1/3.
Igualando coeficientes de x 2 en (*), resulta: 0 = i 4 + í ? = > f i = — 1/3.
Igualando coeficientes de x en (*), obtenemos: O = - A + B + C =$ C = 2/3.
En esta integral, el problema m ayor es la integración de la fracción sim ple /?. U n
método que facilita la integración de este tipo de fracciones sim ples (y que se usa
cuando el denom inador presenta factores cuadráticos irreducibles) consiste en
expresar el integrando como
1 1 A D(2x - 1 ) t E
X 3 + 1 (x + l ) ( x 2 — x + l ) x + 1 x 2 — x + 1
donde 2 x - 1 es la derivada del denom inador x 2 - x + 1. Obsérvese que para
integrar la segunda fracción es suficiente separar en dos integrales tal com o
veremos a continuación.
En la igualdad anterior, m ultiplicando por el denom inador se obtiene la nueva
ecuación principal:
www.FreeLibros.com
INTEGRAL INDEFINIDA
1 = A(x2 - X + 1) + [D (2X - 1) + E ](x + 1)
Para x = - 1 en (**), se obtiene: 1 = 3A = > A = 1/3.
Igualando coeficientes de x 2 en (* * ) , resulta: Q = A + 2 D = $ D = — 1/6.
Igualando coeficientes de x en (* * ) , se tiene: 0 = —A + D + E = > E = 1/2.
fuego,
líje in p lo 63. Calcule J ■
Solución
C om o x 3 - 1 = (x - l ) ( x 2 + * + 1), aplicam os el método del ejemplo anterior.
1)c este modo, la descom posición en fracciones sim ples es
1 A B (2 x + 1 ) + ^
x 3 - 1 ~ x - l + x 2 + x + 1
Elim inando denom inadores.se obtiene A = 1/3, B = -1 / 6 . C = -1 / 2 . P or tanto.
1 1 1 í 2x ~~
= -ln|x + 1| - gln(x2 - x + 1) + -^arctan + c
dx
dx
E je m p lo 64. Halle / - J <•* _ 2) 2^ - 4 x + 3 ) 'm plo 64. Halle / —
Solución
( orno (x - 2 ) 2( x 2 - 4 x + 3) = (x - 2 ) 2(x - 3 )(x - 1), entonces
(x —2 )2( x 2 — 4 x + 3) x — 2 (x - ¿V x - i x - 1
l lim inando denominadores, obtenemos la ecuación principal:
www.FreeLibros.com
TOPICOS DE CÁLCULO - VOLUMEN II
l = A ( x - 2)(x - 3 )(x - 1) + B(x - 3)(x - 1) + C(x - l)(x - 2)2 + D(x - 3 )(x - 2) 2
Trabajando con esta ecuación principal, se tiene
Para x = 2 = > 1 = —B = > B - - 1
Para x = 3 => 1 = 2C = > C = 1/2
Para x = 1 => 1 = - 2 D =¡> D = - 1 / 2
Igualando coeficientes de x 3 resulta: 0 = i4 + C + D = > . 4 = 0
Por consiguiente,
dx r dx
I
S o r :( x - 2 ) 2 ( * - 3 ) ( x - l )
x - 3
_ f dx 1 r dx 1 f dx
( x - 2 ) 2+ 2J x —3 ~ 2 J x - 1
1 1
: ------^ + r l n
x - 2 2 x —1
+ C
E je m p lo 65. Halle I- j
Solución
Escribim os la integral com o
' VserTx
Vsen x
c o sx
-dx.
f v s e n x f v se n x c o sx
/ = ----------dx = — ----------- — dx
J cosx J l - s e n 2x
Haciendo u 2 — s e n x => eos x d x = 2u d u y descom poniendo el resultado en
fracciones simples, se tiene
r 2u2 du _ í 2u2 du r r i /2 1/2 1
" J 1 - u4 ~ J (1 - U2)(l + u2) ~ J l l - u + 1 + u " l T ^
2u 2 du
du
1 , |u+li 1 IVsenx + 1
~ ln ------ r - arctan u + C = - l n , ------
2 l u - H 2 V ü ñ x - 1
arctanVsen x + C
E je m p lo 6 6 . Cacule I= j
So lu ción
dx
x ( x 69 + l ) 3 '
dx 1 f 69 x 68 dx
Se tiene que / = I - —^7----------- — ¡ ------------------
J x( x69 + l ) 3 69 J x 69(x 69 + l ) 3
»Si en la últim a integral se hace u = x 69 + 1 => du = 69 x 68 dx, resulta
/ - 1 f du 1 f A B c D 1
69 Ju 3(u - 1) 69 J [u + u 2 + i í 3+ w - lj
62www.FreeLibros.com
INTEGRAL INDEFINIDA
Determinando las constantes A, B, C y D por el procedimiento usado en los
ejemplos anteriores, se obtiene
1 . Í L Í _ j L _ - L 1
i9 J i u u2 u 3 + u - 169
1 >.69
69 r " k 69 + 1
1 1
du = -ln |u | H------t - r - r + ln|u - 1| + C
u 2u2
+ C
+ 1 2 (x 69 + l ) 5
K|em plo 67. Calcule 1 = J V tan x dx.
.Solución
SI lineemos t 2 = ta n x =» x = a rcta n t2 y d x =
21 dt
1 + t
entonces
f 2 t 2 dt _ f
1 ~ J i + t4 “ J ( T
2 t z dt
+ V 2 t + t z) ( l - V 2 t + t 2)
I ,ii l'actorización de 1 + t 4 se realizó del siguiente modo:
I f t4 = (t 2 + l ) 2 - 2t 2 = (t 2 + l ) 2 - ( V 2 t) 2 = ( t 2 + 1 - V 2t ) ( t 2 + 1 + V 2t)
I ,¡t descom posición del integrando es
A ( 2 t + V 2 ) + B t C(2t - s / 2 ) + D _ 212
t 2 + V 2 t + l t 2 - V 2t + l “ l + t4
Elim inando denominadores, se tiene
212 = [¿(2t + V2) + B][t2 - V2t + 1] + [C(2t - V2) + Z>][t2 + V2t + l]
Igualando los coeficientes de las potencias de t en los dos polinom ios, se obtiene
2A + 2 C ^ = 0 , (B + D ) + V 2 (C —A) = 2 ,
yj2(B - D) = 0 , V2G4 - C) + B + D = 0
Kesolviendo las ecuaciones, resulta
i4 = — V 2 / 4 , C = V 2/4 , B = — 1/2 , D = 1/2
I uego,
V 2
’ 4
r 2t + V2 _ i r _
J t 2 + V 2t + 1 f 2 J t2
dt V 2 f 2t - V 2 1 f
J t2 - V 2t + 1 t + 2 j t2 -t2 + V 2t + 1 4
hiiegrando y sim plificando, se obtiene
t 2 - V 2 t + 1
dt
V2t + 1
V 2 ,
/ = T ln4 t 2 + V 2 t + 1
donde t = Vtan x.
/^ ^2
— — arctan(V 2 t + l ) + — arctan (V 2 t — l ) + C
63www.FreeLibros.com
r
Ejemplo 68. Calcule I = í ------—
J 3 + 4
TOPICOS DE CÁLCULO - VOLUMEN II
sec2x dx
tan x + sec2x '
Solución
Escribim os la integral com o
l = [ x sec2* dx - f _____ x se ^ x dx _ f x sec2x dx
J 3 + 4 tan x + sec2x J 3 + 4 tan x + (1 + tan2* ) ~ J (tan x + 2) 2
Aplicando el método de integración por partes, elegim os
( u = x => du = dx
sec2x dx
 dv = 71--------V = - -
(tan x + 2)2 tan x + 2
Luego,
dx
l = -----------_ +
r dx
J tan xtan x + 2 J tan x + 2
J
H aciendo t = tan x =* d t = sec2x dx en la integral ], se tiene
dxf sec2x dx r dt, f dx _ r _______ sec2x dx_______ r
J tan x + 2 J (tan x + 2)(1 + tan2x) J '(t + 2) ( 1 + t 2)
Descom poniendo el integrando en fracciones simples, tenemos
1 _ 5 . ~ l ñ ( 2t) + 5
■+ •
( í + 2) ( l + t2) t + 2 1 + t 2
Luego,
l r dt 1 r 2t dt 2 r dt
5 j t + 2 1 0 J 1 + t 2 + 5 J 1 + t 2
1 1 2
J = p ln|t + 2| — —— ln|l + t 21+ - a r c t a n t + C
b 10 5
1 1 2
7 = g In|tan x + 2| - — ln|l + tan2x| + -a rc ta n (ta n x) + C
Finalmente, obtenemos
(tan x + 2) 3* 1
/ — ------------- “ H----- ln
tan x + 2 10 sec2x
2
+ - * + C
www.FreeLibros.com
INTEGRAL INDEFINIDA
E J E R C I C I O S
II,illc las siguie ntes integrales indefinidas:
4 x 2 + 6
/
í
I
/
/;
h
r -
x 3 + 3x
dx
-dx
( x 2 4- 4 ) 2
x 4 - 4 x 2 - 14a:
x 2 —2x — 8
dx
( x 2 + 2x + 5 ) 3
X ‘
^ ' 2 x 2 + 4
R. ln [x 2( x 2 + 3)] 4- C
8
4 ln [ x 2 4- 4| + C
-dx
R.
x ■> 68 , , 14 ,
R. — 4-x 4 -8 x 4 -— ln[x — 4 | — — ln|jí + 2| + C
2(x 4 1) 3 (x -t-l) 3 (x + 1
•4- , . „— ~ a rc ta n (— -— j 4- C
(x 2 4- 2x 4- 5)2 4 (x 2 4- 2x + 5) 8
X 2 4- X - 1
:3 - x 2 - x + 1
dx
x 4- 1
2 x 2 4- 3x
dx R.
R. ------------— + -ln | x - 1 | - - ln | x 4 - l| 4- C
2(x - 1) 4 4
ln|x| ln(x2 - 2x 4- 3) 2
•+ - arctan
3 <c t )
+ x
«)
10.
i
X 3 4- X 2
x 2 + x — 2
dx
1 I x 2 I
R. — 4 -ln ------ -
X x 4- 1
4- C
+ c
-dx
4 4- 5 x 2 4- 4
2 x 2 —3 x — 3
l ) ( x 2 - 2 x + 5)
1 ( x 2 + 1
R. - l n —z------
6  x 2 4- 4
arctan x 4- arctan - 4- C
dx
1
R. - l n ( x 2 — 2x 4 -5) - ln|x — 1 | -F -a rc ta n
( ^ )
4-C
r x 2
J 1 - x
■dx6
x 2 dx
x 6 - 10 x 3 4- 9
1
R. - l n
6
B. i l n
X 3 4- 1
4- C
+ C
4x 4- 1
X 2 4 -1
-dx
1 2x + 1
R. - ln (x 2 4- x + 1) — V 3 arctan
I I
2x
X 2 4- 1
-dx
V3 V3
2
4 /2 x
+ — arctan
V V 3 i )
+ C
/2 x 2 4- V
R. — arctan ----- —— 4- C
V3 V V3
65www.FreeLibros.com
TOPICOS DE CALCULO - VOLUMEN II
f Zx<■
14. --------
J x 4 + x- ■
-dx
• /
/ i
+ 1
Ä-. |m
x 2 dx
x 6 - 10x3 + 9
dx
x 2 - X + 1 1 /2 x + 1  1 /2 x - 1
+ — arctan — =r— + — arctan — = — + C
V V3 ) V3V3
i ( ^ ) V 3 /
fi' 2 4 ln
V 3
X 3 - 9
x 3 — 1
+ C
17.
V 2
/?. — ln
dx
x 8 + x 6
7 .
1 + V 2x + x 2
1 — V 2 x + x 1
+ -^ -a rctan (V 2x + l ) — arctan(V 2x — l ) + C
1 1 1
ñ. - + — — ---------- arctan x + C
b x 3 3 x 4 x
r x + x J
18' J - 2 4 ' + 1 d%
1 9 . /
d x
2 0.
x ( x 7 + l ) 2
f dx
I X ( X 999 + l ) 2
dx
/
■ /
x ( x 9 + l ) 3
d x
X 12(X 11 + 1)
„ . 4 1 , , , 4 , 1 |2x4 + 1 — V5|
R. :rln|x4 - 1 |- - l n [ x 6 + x 4 - 1 -------— l n ----------------- = + C
2 4 2 V 5 |2x4 + 14- v 5 i
R. ¡ n | x | - ^ in | x 7 + 1 | + — — + C
7 7 ( x ■t t j
1 1
R. ln|x|-------- lnjx999 •<- ll + --------- — ------- + C
999 9 9 9 (x 9" + 1)
1 1 1
R. ln|x|— -ln | x + l| + „ 4-------- — ^— ? + C
9 9 (x 9 + 1) I 8(x9 + l ) 2
R •r r l n l x 11 + 1| - 1■/ - ln|x| + L
11 l l x 11
f cot x dx
23 i c i S í
24.
7x + 1)
f tan x dx
J ( c o s " x + 1)
R. ln | sen xj— ln|sen'x + 1| + — -----:--------~
7 7 (se n 'x + l j
R. — ln|cos x + l| - lnjcos x ) -
9 9 ( c o s "x + l)
+ C
+ C
' x 4V s e n x + V s e n x + c o s x
25. I ---------- , , ----------------- dy.
P ( x4 + 1) c o s x
Ä. | m
V se n x + 1 V 2 . x 2 + V 2 x + 1
-------- arctanfVsen x ) + —— ln ----------------------—--------
V se n x - 1 8 x 2 - V 2 x + 1
+ — arctan(V 2x + l ) - arctan(V 2x - l ) + C
66www.FreeLibros.com
IIN1cvjKAL LNUfcMINIUA
lU.
/
dx
X s + 1
V 5
R- ™ ln
20
2x2 - ( l - V5)x + 2
2x2 - (1 + V 5 )x + 2
V lO — 2 V 5 / 4 x - ( l + V 5 ) 
+ ------ — ------ arctan — +
1 0 V V 10 - 2V 5 /
V IO + 2V 5 ^ ( Ax - (1 - V 5 )  , „
--------— ------ arctan — |+ C
10 V V 10 + 2V 5
,'7.
2').
<0.
1!.
;»2.
u .
j V t a ñ h x d x
c o s x V s e n x + 1
1
Ä. - In
2
tanh X + 1
— — arctan(tanh x) + C
sen x + 2
dx
dx R. 2 V se n x + 1 — 2 a rc ta n V se n x + C
sen 5 x ( l + cos 5 x )
2 dx
1
R. - In
4
cos 5x - 1
•+ C
V c o s x sen x
5
/?. In
1 - V c o s x
1 + V c o s x
c o s 5 x + l 2 ( c o s 5 x + l )
+ 2 a rc ta n (V c o s x ) + C
C X 3
J i 1 3 !
/
/
d x fi. - [ x 3 - ln ( x 3 - 1)] + C
dx
x 3 + x - 1
( x 2 + 2 ) 2
4 x 2 - 8 x
( x - l ) 2( x 2 + l ) 2
Ä.
2 — x
I nJx2 + 2 ------ — arctan — + C
4(x2 + 2) ^ 4V 2 V 2
dx
R.
3 x - 1
(x - l ) ( x 2 + 1)
, ( * ~ 1 ) 
+ In — ■■ . 1 + arctan x + C
x 2 + 1 )
(■I
/
/
dx
( x 2 — x ) ( x 2 - x + l ) 2
x - 1
Æ. In
10
3 V 3
/2x - 1
arctan — —
V V 3
2 x — 1
3 ( x 2 — x + 1)
3 x + 2
x ( x + l ) 3
dx
4x + 3 x
R. — ------ —w + ln -
2 ( x + l ) 2 (x + l ) 2
+ C
+ C
67
www.FreeLibros.com
TÓPICOS DE CÁLCULO - VOLUMEN II
Hem os visto que las funciones racionales poseen integrales que se expresan com o
com binaciones lineales finitas de funciones elementales. Esto no sucede con las
funciones irracionales salvo en algunos casos particulares.
E n esta sección y en las siguientes, vam os a estudiar algunos tipos de funciones
irracionales cuyas integrales pueden ser expresadas com o una sum a finita de
funciones elementales. Para esto, es necesario un adecuado cam bio de variable de
manera que el integrando de la nueva integral sea una función racional.
1.6 IN TEG R A C IO N DE ALGUNAS FUN CIO N ES IR R A C IO N A L E S
f í /a + bx mi/ni /a + b x  mk/nk
1 .6 .1 IN T E G R A L E S D E L T IP O j A ( _ ) ;...; ( — )
En este caso, R es una función racional de variables
/a.+ b x  mJni / a + bx mk/nk .
x ■f c r s ) ■ •••y '*>"*»•>...................."• 6 :
a + bx
Por tanto, los exponentes de -------— son núm eros racionales.
c + dx
E n esta situación, se hace el cam bio de variable
a + bx
dx
= t n , dond e n = m. c. m. {ri!, n2, - , nk}
c + dx
Despejando x, se obtiene
t nc —a (be —a d ) n í n_1
y d x = ■í b - d ñ ‘ - i c
Sustituyendo estas expresiones en el integrando, se obtiene que R es una función
racional de variable t.
dx
E je m p lo 69. Calcule J = f xl/2(1 + xl/4)•
So lu ción
E n este caso, los exponentes fraccionarios de x son 1/2 y 1/4. Entonces
m .c. m .{2 ,4 } = 4
Haciendo el cam bio de variable x — ? 4 =* d x = 4 13 d t resulta
f 4 t 3 d t r 4 t f ( 4 
^~ jt 2( 1 + t) ~ J 1 + t d t ~ j ~ t +1/
= 4 t - 4 ln |t + 1| + C = 4 x 1/4 - 4 ln |x 1/4 + l | + C
www.FreeLibros.com
Solución
I .ds cxponcntes fraccionarios de x - 1 son 1/2 y 1/3 .
Si se hace x ~ 1 = t 6 (6 = m. c. m. {2 ,3 }) => dx = 6 t sdt.
I liego,
f 6 t 5 d t r t 3 r , i .
J t 3 + t 2 ~ 6 ] T T i dt = 6 l ( t 2 ~ t + 1 - ^ ) dt
= 2 t 3 - 3 t 2 + 6 t - 61n|t + 1| + C
- 2¡x - 1 - 3 V x - 1 + ó V x - 1 - 6 1 n | V x — 1 + l l + C
INTEGRAL INDEFINIDA
Kjcinplo 70. Halle I = f dx
J V X - 1 + jx - 1 '
Eje m p lo 71. Calcule / = í í— — 1 —
J y] 1 + x 2 x
Solución
Se escribe
i ~ r 1 ■ —
/ = í I** ~ 1 ^ - 1f ;x2 “ 1 2* dx
J j l + x 2 x 2 J J i + x 2 ' ~ P ~
I luciendo el cambio de variable z = x 2, se obtiene
/ = - [ ,2 ~ 1 dz
2 J 1 + z z
I n ''sta últim a integral, el criterio estudiado nos sugiere reem plazar — = ^
I »namos al lector seguir este camino. Resolvem os la integral usando el siguiente
l = ± r _ j £ Z l ) d z _ _ l r ( z - l ) d z i r dz i r dz
2 J z v 1 + z V z — 1 2 j zVJ T T J 2 ) 4 ^ 1 2 J ¡ V P ^ T
1 , --------- , i
- ln | z + V z 2 - 1¡ -~ a rcse c| z| + C
www.FreeLibros.com
E je m p lo 72. Calcule / = J -Jtan2x + 2 dx.
So lu ción
Escribim os la integral como
tan2* + 2 r sec2x + 1 f sec2x dx [ dx
TOPICOS DE CALCULO - VOLUMEN II
l
r tan2* + 2 [ sec2x + 1 _ f sec x “x + f
J V tan 2* + 2 J V tan 2x + 2 J V tan 2x + 2 JV tan 2x + 2 i V tan 2x + 2
'i '2
Aplicando las fórm ulas de integración correspondiente a cada integral, tenemos
/* = ln jtan x + + C1
[ eos x d x f eos x d x ( s e n x 
/, = , = ■— -- aresen I — — + C2
J V s e n 2x + 2 e os2* J V 2 — se n 2* ' v 2 /
Por consiguiente,
i ---------------1 /sen x 
I = ln |tan x + V t a n 2* + 2 1+ aresen ^ j + C
1 .6 .2 IN T E G R A L E S D E L A F O R M A
dx
(x - a)n4 p x 2 + qx + r
, n e
Para calcular esta integral, se debe usar la siguiente sustitución recíproca
1 dt
x - a = j = > d x = - j j
E je m p lo 73. Calcule / = I —
J x
dx
2y/4x2 + X + 4
So lu ción
1 1
H aciendo la su stitu ció n x = - = > dx = — - r d t , se obtiene
t t z
dt
t 2
f — = U L = = - Í
J 1 4 , 1 , , J
t dt
1 ¡ A
t2 |t2
-~í8 J
+ 7 + 4
(8 t + l) d t
V 4 t 2 + 1 + 4 ' 8 j
i f
8.1
V 4 t 2 + t + 4
dt
- s
dt
= - - V 4 í 2 + t + 4 + — í = l n | 2 t + 7 + V 4 t 2 + t + 4
4 V 2 V 6 3 I 4_ '
1 V4 + 4x2 + x 1
-----------------------+ — = = ln
4 x 2V63
8 + x V 4 x 2 + x + 4
+ --------------------
4x
+ C
+ C
70www.FreeLibros.com
Ejemplo 74. Calcule /
So lu ción
INTEGRAL INDEFINIDA
dx
= [ _____ i
J (x —2)yfx(x - 2)y/x2 + 3 x - 9
1 1
C om o x —2 = — => dx = —— dt, entonces
- / í T 3
d t
t 2
| J ( i + 2^ + 3(l + 2)-9
dt
= = - ln t + - + V t2 + 7t + 1
45 I 2
+ C
- l n
7x - 12 V x2 + 3x - 9
2 (x - 2) x - 2
E je m p lo 75. Calcule J = f ..+ 3)dx —
J x 2yj3x2 + 2x + 1
So lu ción
1 1
Si se hace x = - = > d x = - ^ -d t. Luego,
= _ f ( í +3) f f
J 1 / 3 + 2 + 1 - J
t 2y J F + t + 1
3 f 2t + 2
dt
t 2 (1 + 3 t)d t
V t2 + 2 í + 3
d t “h 2
2 J Vt2 + 2t + 3 J V(t + l )2 + 2/:
dt
= — 3-y/t2 + 2t + 3 + 2 ln |t + 1 + V i 2 + 2 t + 3¡ + C
x + 1 + V 3 x 2 + 2 x + l l3 V 3x2 + 2 x + 1
+ 2 In + C
1 'i algunos casos, la sustitución recíproca puede facilitar el
integración, com o verem os en los dos ejemplos siguientes.
proceso de
71www.FreeLibros.com
TÓPICOS DE CÁLCULO - VOLUMEN II
Vx -;r -yx —■X
E je m p lo 76. Calcule / = J — — — dx.
So lu ción
1 1
Si se hace x = - = > d x = — ^dt. Luego,
t t2
* 11 _ J_
= - J - - ^ = - J V t 2 - 1 t d t , (u = t 2 - l , d u = 2 t d t )
E je m p lo 77. Calcule / = J ■
dx
(x + l ) 4 x 2 ‘
So lu ción
1 1
t * ~~ t
dt
Si se hace x + 1 = 7 = > dx = - - ^ d t . Luego,
t4 H
= - f y + t 2 + 3 í + 4 ln ( l - 1) + + c
1 1 3 1 x 1 x + l i „
-------- — H-------------- H-----------f- 4 ln -------r H--------- 1 + C
.3(x + l ) 3 (x + 1) 2 x + l ljc + l l x i
1 .6 .3 IN T E G R A L E S D E L A F O R M A J R [ x-. Jax2 + bx + c ) dx
E n este caso, R es una función racional en las variables x y V a x 2 + bx + c. U n a
integral de esta form a se calcula usando las ‘‘sustituciones de E u le r”. Estas
sustituciones permiten transformar el integrando en una función racional de
variable t. Se presentan 3 casos:
C A S O I. Si c > 0 , el cam bio de variable es V a x 2 + bx + c = tx + Ve.
Elevando al cuadrado, resulta
a x 2 + bx + c = t 2x 2 + 2V e tx + c
<=> (a - t 2) x 2 + (b —2 V c t ) x = 0
«=* x [ ( a - t 2) x + ¿ - 2 V c t] = 0
72www.FreeLibros.com
En esta última ecuación, elim inando la solución x = 0, se obtiene x = <p(t), que
es una función racional de t, y dx = (p'(t)dt. donde <p'{t) es también una
función racional de t. Por lo tanto,
J R(x,]y]ax2 + bx + c )d x = J R(<p(t); tcp(t) + Ve) <p'(f)dt
donde el integrando del segundo m iem bro es una función racional de variable t.
INTEGRAL INDEFINIDA
E je m p lo 78. Calcule ] =  ■
J .
dx
x V 2x2 + x + 1 '
So lu ción
Haciendo y = V 2 x 2 + x + 1 = tx + 1 y elevando al cuadrado, se obtiene
2 x 2 + x = t 2x 2 + 2 tx
Elim inando la solución x = 0, se obtiene
2 t ■
dx
2 ( t 2 — t + 2)
dt, y =
t ( 2t - 1)
+ 1 =
t + 2
2 —t 2 ' (2 — t 2) 2 " 2 —t 2 1 ‘ 2 — t 2
Luego, reemplazando estos valores en la integral y sim plificando, nos queda
J' = f 2 d t
. . J 21 - 1
= ln|2t — 1| + C = ln
2 V 2 x 2 + x + 1 - 2
+ C
C A S O II. S i a > 0 , se hace la sustitución V a x 2 + bx -f c = V a x + t.
Elevando al cuadrado y sim plificando, se obtiene bx + c = 2V a íx + t 2. De esta
dx
ecuacion.se obtiene que x y ~ son funciones racionales de t y p or tanto, el
nuevo integrando es también una función racional de variable t.
E je m p lo 79. Calcule / = j
So lu ción
dx
x V x 2 + x + 1
Sea y = v x 2 + x + l = x + t.
Elevando al cuadrado, se obtiene x 2 + x + 1 = x 2 + 2tx + t 2. Lue«o,
1
1 - 2 1
, dx - 2
- t c + t •
d x , y =
- r + 1 - i
i - 2 1(1 - 2 t ) 2
Finalmente, reemplaitando estos valores en I y sim plificando, se tiene
V x 2 + x + 1 - x - 1
' J
dt
= ln
t — l i
t + 1
+ C = ln
V x 2+ x + 1 ~ X + 1
73www.FreeLibros.com
TOPICOS DE CÁLCULO - VOLUMEN II
C A S O III. El trinom io a x 2 + bx + c tiene dos raíces reales r y s. E n este
caso, la sustitución es y - V a x 2 + bx + c = t{x - r).
Elevando al cuadrado, se obtiene
a x 2 + bx + c = a(x - r)(x —s) = t 2(x - r ) 2
Cancelando el factor x —r, resulta a(x —s) - t 2{x - r).
dx
De esta igualdad, se sigue que x , — e y son funciones racionales de t y, por
dt
ende, el nuevo integrando es también una función racional de variable t.
dx
=/;
E je m p lo 80. Calcule / , ____________
W x 2 - 3x + 2
So lu ción
C om o x 2 - 3x + 2 = (x - 2)(x - 1) , reemplazamos
y = y/x2 - 3x + 2 = y/{x - 2)(x - 1) = t(x - 1)
Elevando al cuadrado y sim plificando el factor x — 1, queda x - ¿ — t 2(x - 1).
Luego, se obtiene
2 — t 2 2t d t t
d x = ó ^ w A
Finalmente,
, dt V 2
Í = - 2 I — = - T ln
t-V 2
t + y¡2
V 2
+ C = T ln
4 x - 2 4- y¡2(x - 1)
4 7 = 2 - J 2 ( x - 1 )
+ C
1 .6 .4 IN T E G R A L E S D E L A F O R M A : J x m(a + bx n)p dx
A una expresión de la form a x m(a + b x n) p d x , donde m, n y p son números
racionales, se llam a binom io diferencial. Pafnuty L vo vic h C hevysh ev (1821-
1894), el matemático ruso m ás eminente del siglo X IX , dem ostró que la integral
de los binom ios diferenciales con exponentes racionales puede expresarse
mediante funciones elementales solamente en los casos siguientes (siem pre que
a ^ 0 y b 0):
C A SO I: p es un número entero
m + 1
C A S O II: ---------es un num ero entero
n
m + 1
C A S O III: — :-----hp es un núm ero entero
’ n
m + 1 m + 1
Si ninguno de los núm eros p , ---------, — -------h p es entero, la integral no puede
ser expresada mediante funciones elementales.
74www.FreeLibros.com
C A SO I. Si p es un número entero, se hace la sustitución x = z r , donde
r = m. c. m. de los denominadores de las fracciones m y n .
m + 1
C A SO II. Si — - — es un núm ero entero, hacem os la sustitución a + bx11 — z s,
donde s es el denom inador de la fracción p (com o p es un número
r
racional, P = ~> con r y s núm eros enteros coprim os)
m + 1
C A SO III. S i ---------- 1- p es un núm ero entero, se utiliza la sustitución
n
a + b x n — z sx n ó ax~n + b = z s
donde s es el denom inador de la fracción p.
E je m p lo 81. Calcule / = J x 2 ^1 + x ^ ¿Lx.
So lu ción
En este caso, m = 1/2, n = 1/3, p - - 2 e l (caso I) y m. c. m. {2,3} = 6.
La sustitución es x = z 6, dx = 6z 5dz, x 1/2 = z 3 y x 1/3 = z 2.
Así, tenemos
, ~ 1/z f z 3. 6 z 5 dz .
I = I „ . == I TT— 7TT - 6 I ( 1 + z 2 ) 2 dz
Efectuando la d ivisión en el integrando, se obtiene
INTEGRAL INDEFINIDA
f x i/¿ r z s. 6z b dz r
= J ( l + X 1/3)2dX = J (1-fz2)2 ZZ6J I
do la d ivisión en el integrando, se obtiene
f / , 4 z 2 + 3  / z5 2 z 3  r
= 6 J ( z4 + 2z2 + 3 - a ^ r ) d z - 6 ( j - - + 3 z ) - 6 I - l
, , , , 4 z 2 + 3  ( z s 2 z 3  f 4z 2 + 3
/ = 6 | |z + 2 z 2 + 3 — , _,N, )d z = 6 ( - - — + 3 z ) - 6 f - - + ^ 2 )2 dz
” 7 ” ’
Para calcular la integral J, usam os la sustitución trigonométrica z = tan 6.
f 4 z 2 + 3 f (4 tan20 + 3)sec28dB [
1 ' J I T T ^ P = J- - - - - - - -= J (4sen " + 3
= /( 3 + s e n = / (3 + l ^ H ) M = 1 8 - ^ + C,
7 sen 0 eos 0 7z
= 2 « ---------- 5-------+ C > = 2 arCta" Z “ 2 ( T T P j + C '
Por lo tanto,
6 3z
/ = - z 5 - 4 z + 1 8 z - 21 arctan z + --------r + C
5 1 + z 2
= %xs'b - 4 V x + 1 8 V x - 21 arctan  [ í + + C
5 1 + V x
75www.FreeLibros.com
TOPICOS DE CALCULO - VOLUMEN II
E je m p lo 82 Calcule } = J x1/3(2 + ^ 2/3) 1/4 dx.
So lu ción
1 2 1 m + 1
En este caso, se tiene m = - , n = - , p = - y ---------= 2 E 2 ( c a s o i I ) ,
3 3 4 n
Ahora, la s titución es '
2 + x 2/3 = z 4 , ¡ X~X,Z dx = 4 z 3d z ó dx = 6 x 1/3z 3dz
Luego,
y J x 1/3( z 4) 1/,46 x 1/3z 3 dz = 6 J x 2/3z 4 d z = 6 j ( z 4 - 2 ) z 4dz
= 6 ( t -- % r ) + c = I ( 2 + " 2 / 3 ) 9 / 4 - ^ ( 2 + " 2 / 3 ) s / 4 + c
E je m p lo 83. Calcule / = J ^
3 V ' 5
dx
t 6( 6 5 - x 6y / 6 '
So lu ción
Escribim os la integral com o / = J x -6 (65 — x 6)~1/6 dx.
1 m + 1
Puesto que m = —6, n = 6, p = - - y ------ — + p = — 1 a TL (caso III),■
6 n
hacemos la sustitución
6 5 - x 6 = z 6x 6 ó z 6 = 6 5 x -6 - 1, dx = - — x 7z 5 d z
65
Por tanto, tenemos
I = J x ~ 6( z 6x 6)~6 — x 7z 5 d z j = - — J z 4 dz
1 _ (6 5 - x 6) 5/6
= z 5 + C = - - - — 7 — + C
3 2 5 3 2 5 x 5
E je m p lo 84. Calcule 1 = J V x V * 3 + 1 d i ­
so lu c ió n
La integral tiene la form a 1 = J x 1/2( l + x 3) 1/í2 d x . Luego,
1 1 m + 1
m = - , n = 3, p = — y — --------------------1- p = 1 £ TL
Ahora, hacemos 1 + x 3 = z 2x 3 ó x~3 + 1 = z z, dx= - 2 / 3 x 4z dz.
76www.FreeLibros.com
INTEGRAL INDEFINIDA
Entonces
/ = J x 1/2( z2x 3')1/2 ^ - - x 4z dz'j = - - | x 6z 2 dz —
2 r 1
_ 3 J ( z 2 - 1)2
z 2 c¿z
Para calcular la última integral, usam os la sustitución z = secB. A sí, se tiene
/ = -
2 f sec20 see 0 tan 0 dff
I /
2 f sec30 2 f
3 J tan3fl 3 jtan40
csc30 dd
1 4- cot20 ( - c s c 20 )d 0
= - [ c o t 0 c s c 0 4- ln|cote 4- cscfl|] 4- C
•+ ln
14- z
V P -
+ c
x V x 4 4 -x 1 i ,--------- ¡
-------------+ - ln x 3/2 + j l + x 3 4- C
J 6 1 l
V i + e 4x
E je m p lo 85. Calcule / = J
Solución
dt
Haciendo t = e x, dx —— resulta
t
-dx.
r V T T e 4* r v i + t4 r
' = J — ^ - d r = } - p - d “ l
V i + 14
r 2( l + 14) 1/4 dt
1 m 4-1
Com o m = — 2 , n = 4, p = — , ----------1- p = 0 E TL entonces
4 n
1 + t 4 = z 4t 4 ó t~4 4- 1 = z 4 y dt
Lueao, se tiene
- t 5z 3 dz
/= - j t 2(z 4t 4) 1/4t bz 3 dz = - J t 4z 4 dz = - J —-
- ' - 1 /
dz
1
- z - - l n
z 4 - 1
z — 1
1 z 2 + 1
4- -a rc ta n z 4- C
z 4-1
Finalmente, retornando a ia variable inicial x, se tiene
V i 4- e 4x 1
/ = ------------------------ln
e * 2
V i 4- e 4x - e >
V i 4- e 4x 4- e*
1 / V i 4- e 4ArN
4- - arctan I ------—----- | 4-
77www.FreeLibros.com
TOPICOS DE CALCULO - VOLUMEN II
6 dx
Ejemplo 86. Calcule J , _______________
s e n x v e o s3* + sen3x
Solución
Dividiendo numerador y denom inador entre cos2x, se obtiene
¡ _ f 6 dx r 6 se c2x dx
J sen x V c o s ^ F T s e ñ ^ x Jtan x Vi4- tan3x
Haciendo t = tan x, tenemos
6 dtf 6 d i r
/ = - j = = = = ó r H i + t 3) '
J t Vi 4- t 3 J
^ d t
1 m + 1
Puesto que m = - 1 , n = 3 , P =Y — - — = 0 e Z , h acem os
1 + t 3 = z 3, d t = t _2z 2 d z
Luego,
J - f 6 t ~ 1( z 3)~1/3t~2z 2 dz = j 6t~3z dz = f 62 dZ
Para calcular la última integral, usam os el método de descom posición en
fracciones sim ples, esto es,
J
■ /
i4 B ( 2 z 4- 1) 4- C
z 1 z 2 4- z 4- 1
d z
Mediante operaciones, se obtiene que los valores de A, B y C son: A = 2,
B = - 1 y C = 4.
Por lo tanto,
2 f 2z + 1 f dz
1
f 2 f 2 z + l f d
------ Td z ~ ~2~.----- — d z 4- 4 ----------
J z - 1 J z 2 z 4- 1 ) , i
(Z4' Í ) + l
= 2 ln|z — 1| — ln|z2 4- z 4- 1| + arctan ( — ——) + C
V 3 V V 3 >
= 2 ln | (l 4 - 13) 1'3 - l| - ln | (l + 13) 2/3 4- (1 4 -13) 1/3 + 1| 4-
8 /2 V i 4- £3 4- 1 
4- —=. arctan I ---------- —-------- ) 4- C , donde t = tan x
V 3  V3
78www.FreeLibros.com
Calcule las siguientes integrales:
f ¿x
1. I — — 57= R. 2 V x — 3 x 1/l3 + 6x 1/6 — 6 l n ll + x 1/6 ! + C
J Vx + Vx 1 1
r -J~x Hy 1n
2 ‘ J y + x 4/5 2x1/2 ~ Y xV 1° + 10x1/10 - 10arctan(x1/10) + C
f 5 x 2 + 2 0 x - 24
3. -------- ;-------- ------ fl. 2(x + 5 ) s/2 - 20(x + S ) 3/2 + 2(x + 5 ) v " + C
J V x + 5
4. [ ............... ....... ... ................. R. - arctan (1 + - V 2x — 3^ + C
J (2x + 5 ) V 2 x - 3 + 8 x - 12 2 V 2 /
f 8 x + 2 l V 2 x - 5 (2 — x — 5 ) ( 8 V 2 x — 5 + 1 5)
5. -----------; ....... d x R. ------------------------------------------ - + C
J 4 + V 2 x - 5 6
r dx
6. I ------ — 777— ;----------------------------------------------------------------------------------- t t f t t
J (x + I ) 3/4 - (x + I ) 5/4 7 J
f (x — 2 ) 2/3 d x _____ / V x - 2 
Z ] ( X - 2 ) V > + 3 *. + C
f x 1/7 + x 1/2
8. x 8/7 1S/14 dx /?. 7 X 1/7 - 1 4 X 1/14 + 2 8 In C x1/14 + 1) + C
f V x + i
9. I - = ---- 1
J V F + i
INTEGRAL INDEFINIDA
E JE R C IC IO S
■dx
4 4
R. — x 5/4 — - x 3/4 + 2 x 1/2 + 4 x 1/4 - 2 l n ( l + V x } - 4 arctan - + C
11
12.
x - 9 , 4 /3x - 1 2 
d x R. - ln|x + 9| - ^ a r c t a n I - -------— ) + C
x + 9 ' 3 V2x + 18/
f 9 V T =rx ,----------
— ........d r R. a rc s e n x + V 1 - x 2 + C
J V T T x
í-j
f 2 3 ¡2 - x 3 / 2 + x z/3
J ( 2 - x ) 2 d X 4 (2^ ) + C
13. j sjsen2x + sen x dx /?. - Vsen x - sen2x - arcsenVl - sen x + C
14. J V cos2x + c o s x dx Ä. V c o s x -c o s 2x + arcse n V l-e o s x + C
79www.FreeLibros.com
TOPICOS DE CALCULO - VOLUMEN II
I
í
dx
(eos x - sen x)Vcos 2x
¡1 -i- tan x
R. --------------+ C
J 1 - tan x
1 - x dx
1 + x x 2
R. - l n
1 - V i - x 2 Vi - x 2
■+C
f 2 —s e n x
17- --------------eos x dx
J J 3 4- sen x
-------------- ,------------- ¡3 4 -sen x
R. V 3 4- sen x V 2 - sen x 4- 5 aresen ---------------y-C
18.
f dx
J x 2V x z —2x 4- 4
. R.
19
20
Vx2- 2 x + 4 —2
dx
3 x
32(x - 4 + 2 V z2 —2 x + 4)
+ ln
x - 4 + 2Vx2 - 2 x + 4
+ C
/ x V x 2 4- 2 x - 3
f dx
J (x - 1) V x 2 - 3 x 4- 2
2 / V x 2 + 2 x - 3 - x >
R. — arctan --------------—----------- + C
V 3 V v 3
¡x - 2
R. 2. I-------- 4 -C
■vi x 1
f 4 2 - y
21' J —
x - x ‘
■dx
•/
/
42 —x —;.2 42
R . ---------------------4- — ln
x 4
dx
•42- x - . V2| /2x + 1
— — aresen ( - j 4-C
(x - 2 ) 4 x 2 — 4 x + 1
1 / V 3 ,
R . ---- —aresen ------- 14- C
V 3  x 2 ¡
i - v n 4" X X
23. I ------ — rir
x V l
R. ln
24 /
-t- X 4- X ¿
dx
X 4- 2 - 2 V l 4- X -r X 2 !
X a
-| -t-c
(1 4- x)Vl 4- x 4- x2
R. ln
X 4- Vi 4- X 4- X 2
x 4 * 2 4 - V l 4 * x 4 - x ¿
www.FreeLibros.com
INTEGRAL INDEFINIDA
26.
/
(1 - V i + x + x 2) 2
x 2V l + x + x 2
d x
— 2 ( v x 2 4- x + 1 — 1)
R----------------------------------f- In
' 4- V l 4- x + x 2 - 1
x —V l 4- x + x 2 + 1
4- C
27.
28.
29.
30.
31.
' x 4- x 4- 1
x V x 2 - x 4- 1
dx
2x - 1 r - ------------ 19 I ,------------ — ,
R' — ^ ¡ ~ v * - x 4- 1 + — in | 2 x - 1 + 2V x 2 - X ‘+ lj + C
x + 2
(x - l ) v x ‘ + 1
dx
-.dx R. In(x + yjx2 + ir}-----— In
v2
1 V x 2 + 1
■+
X - 1 s [2
R, In
tan x — v s e c 2x + tan x
tan x + 2 + V se c 2x + tan x
+ C
+ c
dx
V ? Zx + 4 e ;c — 4
dx
1 /e* - 2 
ft. - a r c s e n ------ — + C
2 V e * V 2 /
(x - l ) 3V 5 x 2 - 8 x + 4
V
32.
R.
dx
5 x 2 —Sx + 4 (4 - 3 x )
2 (x - l ) 2
+ In
V 5 x 2 — 8 x + 4 + .
x - 1
-t- C
f dx
J (x 2 - D v x 2(x 2 - 1)VX2 + X - 6
1 / I I - 3 x 
R. - - arcsen — ---------
 4 x - 4 /4
i
2 v 6
¡ X -r 1'3
arcsen ( --------- + C
k' dx + b/
33.
34.
35.
36.
f 3_VX dx
J (Vx + l )2
f ( V x + I f 2
J V x
3 °
R. - x 2/3 - 6 x :/3 + — ... . + 9 + i f + C
2 + 1
R. - ( x 1'3 + I ) 5' 2 - 2 ( x 1/3 + I ) 3' 2 + C
r dx
J (1 + x 2) 3/2
f dx
J Vx2(l + Vx2)
R. 4- C
V X 2 + 1
R. 3 arctan x + C
www.FreeLibros.com
TÓPICOS DE CÁLCULO - VOLUMEN II
38.
/
dx
X 2 ( l + X2) 3/2
39. J J ( 1 + V x ) 3 dx
An , V 2 - V í
40. | ----- — ----d x
41. | x 5 V ( H - ; t 3) 2 d x
42.
V i + X 1/3
-d xx 2/3
43. J Vx(2 + Vx^) 1/4 dx
4 4 . / ;
d x
45.
/
x 3( l + X3) 1/3
dx
V T T x *
. x 3 + 2 x 2
46. I —------- — d x
*■/
47 j
(1 + x 3) 3/2
dx
x 5(2 5 — x 5) 1/5
48. J e 7* ( l - e 3* ) 5/4 d x
4
R. - -
3
Vi + x2
V i + x 2
+ C
K. — ( 7 V x — 4 ) (1 + V x ) 7/4 + C
n 2 ( 4 + 3 V x ) ( 2 - V x ) 3/2
fí. ----------------- ------' — + c
b
5 x 3 - 3
40
(1 + x 3) 5/3 + C
/?. 2 (1 + V x ) 3/2 + C
(2 + x 2/3) 5/4
15
- ( l 0 x 2/3 - 1 6 ) + C
(1 + x 3) 2/3
R. + C
2 x *
i?, - ln
4
V i + x 4
V i + X 4 + .
+ - arctan |
1 + x4
R. -V I +X3 -----—
3 3 V 1 + x 3
+ C
■x 3X 4/E1 Z 25 - í
R . ------------------------ - C
100  x a )
1 ( 1 — g 3 * ) l / 4 _ A . ( 1 - e 3*)13/4 + _ L ( i _ e 3X y 7/4
+ c
49
' ■ /
c o s x s e n 7x dx
(se n 2x + c o s2x + se n 4x ) 3/2
«. i f v ' l s e r r x
<;pn4 r /V I -r se n 4x
50. 3 r « • ^ í 8* 3 + 27) S/9- ^ ( 8x 3 + 27)
1 / I + x
*■ - 5 h r
27
51- h
V 8 x 3 + 27
dx
( x ~ 3 -t- I )4/3
2/9
128
, 3 x 2/ 3
2  x : ( l + x 3) 1^
82www.FreeLibros.com
En general, las funciones que contienen com binaciones de funciones
trigonométricas no son integrables por m edio de procedim ientos elementales.
Verem os algunos casos en los cuales si es posible la integración.
INTEGRAL INDEFINIDA
1.8 IN T E G R A C IÓ N DE FU N CIO N ES R A C IO N A LES
T R IG O N O M É T R IC A S
1 .8 .1 IN T E G R A L E S D E L A F O R M A : J R ( c o s x ; s e n x ) d x
En este caso, R es una función racional que contiene senos y cosenos. Para
transformarla en una función racional de variable z, se utiliza la sustitución
universal
x
z '= tan 2 <^> x ~ 2 a rc ta n z
En consecuencia,
2 dz 1 — z 2 2z
dx = --------, eos x = —----- y sen x —---------
1+ z 2 1 + z 2 * 1 + z 2
D e esta manera, el integrando, que es una función racional que contiene senos y
cosenos, se transform a en una función racional de variable z.
f dx
E je m p lo 87. Calcule I = ----------- --------------
J c o sx + 2 sen x + 3
Solución
x
Si hacem os z = tan - , entonces
2 dz
, _ f T T z 2 _ f dz _ f dz
J 1 - z 2 ,4z , „ J z2 + 2z + 2 J (z + l ) 2 + l
l + z 2 + l + z 2 + ó
= a rcta n (l + z) + C = arctan ^1 + ta n -^ + C
Observación 9. La “sustitución universal’’ ofrece la
posibilidad de integrar cualquier función racional de
sen x y eos x . Sin embargo, en la práctica, conduce a
menudo a funciones racionales demasiado complicadas. Por
esta razón, en algunos casos, es preferible usar la sustitución
auxiliar
t — tan x (*)
Con esta sustitución se tiene
d t t 1
dx —------r, sen x = . eos x =
1 + t 2 ’ VI + t2' * VI + t2
83www.FreeLibros.com
TOPICOS DE CALCULO - VOLUMEN Ii
Esta sustitución (*) debe ser usada cuando la función racional trigonométrica
tiene iaforma
i) J R(senkx ; eosnx ) d x , donde k y n son números enteros pares.
ii) J R(tanx)dx
dx
J:
E je m p lo 88. Calcule ) ,
J 3 + cos2x
Solución
Considerando la observación anterior, usam os la sustitución auxiliar t = tan x.
D e esta manera, se obtiene
f T + F f dt 1 t / V 3 t  , „
= -----------i— = — ;----- = — = arctan — — + C
J 3 ¡ 1 J 3t2 + 4 2V 3  2
ó + l + t 2
1 /V3 t a n x 
— arctan ---------- 4- C
V3  2 /2V3
x
En este ejemplo, si utilizam os la sustitución universal z = t a n - , obtenem os
2 dz
j J 1 + z2 2(1 4- z 2)dz
- , A - z 2V J 4 ( z H z 2 + l )
1 + z 2/
y es evidente que esta última integral ofrece m ayores dificultades.
f tan x
E je m p lo 89. Calcule I = -----------— dx.
J 2 4- tan2*
So lu ción
Em pleando la sustitución auxiliar t = tan x, se obtiene
t _ f íc^í f í t t  j,
1 ~ J (2 + t 2)(i + t 2: = J u T F ~ 2 T ^ J
■= j l n ( t 2 4 - l ) - ^ l n ( 2 + t 2) 4 - C
1, / t 2 + 1 1 /ta n 2x + l
~ 2 U 2 + 2 j + C ~ 2 (ta n 2* 4- 2 j + ^
84www.FreeLibros.com
f 2 4
E je m p lo 90. Calcule / = I -------
J eos X
So lu ción
D escom poniendo la integral, se tiene
2 4 -3 eos x
INTEGRAL INDEFINIDA
2 4- 3 e o s x
4- 4 eos2*
dx.
c o s x ( l 4- 4 c o s x )■ /
~ J 2 se c x dx - j y
dx
= [ ( —J V co sxc o s x l 4 - 4 e o s x /
I d x
5 dx
= 2 ln jse c x 4- tan x- J -
+ 4 e o s *
5 dx
4- 4 eos x
J
x
Para calcular la integral J, usam os la sustitución universal z = t a n - . Luego,
1 4- z
10 1
(V 3 z ) 2 V 3 2V5
ln
V 3 z 4 - V 5
V 3 z - V 5
4- C
= J l
V 3 ta n ^ 4- V 5
V3 ta n ^ — V 5
+ C
Por lo tanto,
1 = 2 ln |secx 4- tan x - - ln
V 3 tan ^ 4- V 5
V 3 tan j - V 5
+ C
dx
4 - 2 V 1 - X 2 '
E je m p lo 91. Calcule / = I --------
J 3 —x
So lu ción
U sam os la sustitución trigonométrica x = sen 0. Entonces
eos 8 dd
I
sen 0 4-2 eos 8
zlhora, usam os la sustitución universal z = tan — . Luego,
¿
1 — z 2 2 dz
f 1 4 z z 1 4- z 2 _ f ________ v
J , 2z . 2 ( 1 - z 2) ~ J (z2 -
(2 — 2z2)dz
3 1 -i- z 2 1 4- z 2
2 z 4- 5 ) ( z 2 4 - 1 )
85www.FreeLibros.com
TÓPICOS DE CÁLCULO - VOLUMEN II
Descomponiendo la última integral en fracciones simples, se obtiene
f [1 /2z + 4  1 í {2z - 2) + 12
1 ~ ] [ s U 2 + l J 5  z 2 — 2z + 5
dz
- 1 í f 2z 4 ___ —
5 J iz 2 + 1 + z 2 + 1 z 2 -
2z — 2 12
dz
2z + 5 (z —l) 2 + 4J
= ^ Jln(z2 + 1) + 4 arctan z - ln(z2 - 2z + 5) - 6 arctan ( ^ y ~ ) ] + c
+ C
i r ( z 2 + i
“ 5 r i z 2 - 2 z + 5
+ 4 arctan z - 6 arctan^
tan2ó + 1
ln + 2x - 6 arctan ^
/ tan 2 - 1
+ C
E J E R C I C I O S
Calcule las siguientes integrales:
dx
1.
2.
4.
5.
6.
7.
/
í
/
/
/ I
4 + 3 e o s *
dx
2 + sen x + 3eos*
dx
2 + sen *
dx
5 - 3 eos *
sen x dx
+ sen x
f sen2*
J 1 + eos2*
dx
tan:
R. - arctan — —
7 l V 7
V 6 ,
fí. — ln
6
t a n ^ - 1 + V ó
+ C
4* C
2 2 tanj + 1
R. — arctan --------— ------1 + C
V 3  V 3
■t / x  „
R. -arctan ^2 tan-J + C
R. X
1 + tan 2
/tan *^
7 T
+ * + c
S
dx
sen24* + tan24*
/tan *
Æ. v 2 arctan ^ j - * + C
I r 1 /tan 4 x M „
». - g [ « ( 4 * ) + ^ arctan + C
86www.FreeLibros.com
f d x ^¡2 _
Ö' J 3 + se n 2x - c o s2x R' T arCtan(V2 ta,,JC) + ';
f sen 2x
9 ■ J se n 4x + c o s4x ^X R' a rcta n ( ™ s 2 * ) 4- C
f 3 s e n x 4 - 2 c o s x 12 5
1 0 - h c p n v , i ™ C v dj: fl. t ^ x - — l n | 2 s e n x + 3 c o s x | + C
INTEGRAL 1NDEFINIDA
11
2 sen x 4 -3 c o s x ' 1 3 13
1 + tan xT 1 + tan x
• J T - t a n x ^ * — ln lc o s x — se n x| -f- C
, d x 1
12' I ¡e n 2x - 5 s e n x c o s x fl. 7 ln|l - 5 cotx| + CD
r cos x i
1 3 - ----- i-------7----------- fl. - l n
J se n 2x - 6 sen x + 5 4
sen x - 5
sen x -i- 1
~r C
1/I f dx 1 /V 3 tan x 
q------ 2— T c --------- 3 fl- - ^ r a r c t a n ------- —— j -i- C
J 3 se n 2x + 5 c o s2x ^1 5  ^5 j
1C f dx 1 | 2 t a n x + 3 - v l 3
~ n— ; ~--------------------------- z - fl. - = l n
16.
se n 2x 4 -3 sen x c o s x - c o s2x ' v i 3 2 tan x 4 -3 4 - V T 3
f dx
J ;c o s2x -f 5 cos x 4- 6
1 / n ?  2 / t a n ö 
f l - - — arctan — 4- — arctan — =r=- 4- C
V 2 ^ v 2 y V 3 ^ v'3 y
dx
~ ~ 1 — r-x----------------------- ----- 5— fl. arctan(2 tan x 4- 1) 4- C
c o szx 4- 2 sen x cos x -t- 2 se n 2x
f se n 2x - 2 c o s 2x 8 /v'3 tan x',
5----------;-------dx fl. 3 x — — a r c t a n ------— — j -4- C
J 3 - c o s2x • v 6 'v v/2 J
C S P n^ Y 4- r n ^ ^ r
1 9 ‘ j V e n 2x - c o s 2x d * * " ln|sec 2x + tan 2x| - sen 2 x C
f 1 4- tan x 1 1
2 0 - ^------------------d x ft. - In | c s c 2 x — cot 2x| 4- - tan x 4- C
J 2 sen x c o s x 2 2
f sen x tan x 1
2L J sen 3x —cos3x R~3 " 11 + C
87www.FreeLibros.com
TOPICOS DE CÁLCULO - VOLUMEN II
EN TR ETEN IM IEN TO
1.
2.
4.
6.
9.
í - —J x J x + 1
f dx
J x 6 + 1
dx R. a rc se n — I----------------- f- C
x x
1 V x2 - 1
arctan x V3 fx'¿ 4-V3x + 1 1 1
----g----- ^12 ( + 1 ) + garctan(2* + v3) 4--arctan(2x - VI) + C
3. ( arcsen x + , X — ^
J v. vr^2/
x + 2 dx
dx R. x arcse n x 4- C
í V 2 x
2 x + 3 3 x 2 + l l x 4- 10
dx
¡2x 4- 3
R. 2 arctan j------------ (- C
x 4- 2
V2x - Vx 4- 4
R. 2Vx 4- 4 4- 2V2x 4- 4 V 2 ln
Vx - 2Vx 4- 4 4- 4V2I
x - 4
J v x
dx
Vx Vx (1 4- Vx)2
R. 3 arctan x
3 V i
4- C
c
I
7. J e*(cotx-i-lnsen x)dx
8' f >1 X ~ ^ 2 dxJ (1 x )
R.
1 4- Vx
r. e* ln js e n x¡ ■+• C
1
• 4- — ln| 1 — x |4- C
f 6 e4*
J í T ^
4 (1 — x 4) 4
R. - 2 e 3x - ? e Zx - 6 e x - 6  n  e x - 1| 4- C
f Va —x
10. — ----- —dx
J Va - vx
/
11.
R. a a rc se n — 2 V a v a - x - i a - x v x - r C
a 
sen x 4- sen 2 x 4- ... 4- s e n (n x )
eos x 4- eos 2 x 4-... 4- eos (n x )
dx fl. - ■ -ln
n 4-
cos
f r
12. v 4 + ex dx R. 2 ^ 4 4- e 2* + 2 ln
-v/4 1- e x - 2¡
V 4-i-e* 4-2Í
-I -1- C
88www.FreeLibros.com
INTEGRAL INDEFINIDA
3x~ ■+■
2V x (4 — 3 x 2) V 3 x 2 4- x — 4
Sugerencia: hacer tan 0 —
dx
'JX
R. in
V 3 x 2 + x - 4 4- Vx
a/3x 2 - 4
V 3 x 2 - 4
14.
x 2 dx
!
J l 4 - X 3 4- 7 ( 1 + X 3)
|2 4- 3 x
X - 3
d x
11
fí. V 3 x 2 — 7 x — 6 H------ — In
2a/3
7 7
x ------ 1- x 2 ---- x — 2
6 ^ 3
4- C
16.
17.
18.
(x 4- l ) d x
(2x 4- x 2)a/2x 4- x 2
2 *
/2x 4- x 2
1 — 4 *
d x
R - i- r inIn 4
1 4- 2X
1 — 2*
r x - Vx - 2
------------ d r
J x 2 ~ ^ ( x - i y
R. - ln | ^ x — 2 4-1| 4- — ln|(x - 2 )2/3 - (x - 2 )1/3 + £|
1 ( 2 W = 2 - l 
------ ■= arctan ---------= -------|4- C
4 V 7 V V 7
(4 4- x 2) 1/2
( 4 + x 2) 1/2
d x
/?. x - 5 In
I 25
4- x -----= l n
1 V21
/7 — V 3 tan arctan
20. j dx R. e ^ ¡4x 3/4 - 1 2 x 1/2 4- 2 4 x 1/4j + C
r 1 1
21.—=• s e n - d x
j x J x
1 1 1
/?. - c o s — sen - 4- C
x x x
22. f I
J V x - a
-dx R. yjx(x - a) ■+• a in jv x 4- v * - a| -1- C
www.FreeLibros.com
Ix V l - x
24. I — ■ dx
4 T = x
■ í
i ' :
I
dx
V i + cosx
a rc se n V 2 x
26. | rfr
V 1 - 2 x
,'4* + l
27. | — d *
n
m + x
--------- dx
fl. - V 4 x 2 - 12x + 8 - l ( 2 x - 3 )V 4 x 2 - 12x + 8 -
O
7 . _______________
- - ln 2x — 3 4- V 4 x 2 - 1 2 x + 8 + C
O I I
/?. V 2 ln jse c ^ + tan^| + C
R. V 2 x - ( a r c s e n V 2 x ) ( V l - 2 x ) + C
R . x - 2 ln|2* + l| + C
/?. yjmx + x 2 + m ln (V x + 4 m + x ) + C
TÓPICOS DE CÁLCULO - VOLUMEN II
29.
30.
/
íi
V i — x 2
x “1
se n 2x d x
arcse n x d x
+ b c o s2x
, 2 a + x l a - x
31. 1 ---------- I-------- d x
/
■ /
x — x
V x + 1 - V x 2 + 1
d x
->3/2
(1 — x ) arcsen x 1 ln x
D _ _____ ____________________ , f*
' * 3 x 3 6 x 2 3
( a + b  1/2 fyfa t a n x  x
r~z--------r u — x
R. V a 2 - x 2 - 2 a I---------- 1- C
y a + x
2 ^
/?. - (x + 1 )3/2 + - [ x V x 2 4- 1 + ln (x + V x 2 + 1)] + C
r ( x 2 - l ) d x 1
33‘ J (Su& u=x+-)x V l + 3 x 2 + x 4
/?. i c o s h - ^ ^ i l ^ + t a n h - 1
3 + V 5 ^ ^arcse c ( 2 x 2 + 3 ) 
“ 1 )
+ C
34. J V i
d x
V a 3 — x 3 .
2
3
/?. x arcse n ( |+ C
 a 3/2
35.
/
4 —x
2 + x
dx i?. 3 arccos ( ~ y —) + 3V x2 - 2x + 8 4- C
90www.FreeLibros.com
INTEGRAL INDEFINIDA
36.
37.
/
dx
( * + l ) V T + 3l T l F <S“8ere" “ : “ = I T Í y usar binomios)
x + V i + 3x + 3 x 2
R. fin
1
•— ln
D
(1 + 3x + 3x2)3/2 V i + 3x + 3x2
+ 1
1 / 2 V l + 3x + 3X2 —x 
' v f arctan [ ----------- W x ----------- ) + c
J secx see 2x dx R. — ln
V 2
1 + V 2 sen x
1 - V 2 sen x
1
---- ln
2
1 4- sen x
1 — sen x
+ C
38. x z + x 4- 2 + 2yjx3 4- x 2 4- x 4- 1 d x
2 1
/?. - (x + 1 )3/2 4- - [x-/l + x 2 4- ln (x + y¡x2 + l) j + C
39.
40.
(1 4- e * ) V e * - 1
s e c x V s e c 2 x
d x
aresen (tan x )
d x
e * — 1
/?. V 2 arctan — ------- h C
R. ln|arcsen(tan x)| 4- C
41.
í I—J J c o s a
1 — eos x
e o s x
-d x , 0 < a < x < n R. - 2 aresen | ------2  + C
co s-
a
■ /
■ /
/
■/
V T m
-.dx
dx
(c o s2x 4- 4 se n x - 5) eos x
R. — ( 2 e * - 3 )(1 4 - e * ) 2/3 4 - C
R. ln|(l - sen x ) 1/2( l 4- sen x) 1/18(2 - sen x )~ 4/9|4-
1
d x
eos x V 2 4- sen x
tan x d x
(se c 999x + l ) 2
í?. ln|V l + sen x H----- — ln
1 2a/3
6 — 3 sen x
V 3 4- V 2 4- sen x
-¡3 — V 2 4 sen x
+ C
4- C
R. ln|secx| - — -ln|sec999x 4 -1| 4- — — — — ■—
999 9 99 (se c999x 4- 1)
4-C
91
www.FreeLibros.com
46. r ____^ ____
J x 4 + a 2x 2 + a 4
TÓPICOS DE CÁLCULO - VOLUMEN II
x 2 + ax + a 2
x 2 - ax + a 2
1 / aV3x ,
-i--------- = arctan — -------- | + C
2 a 3V 3  a 2 — x 2
47. Determ ine un polinom io cuadrático P ( x ) tal que P ( 0 ) = 1 y P '( 0 ) = 0, de
48
f P(x) dx
™ doque 1
i. J x 17 ln ( x 2) dx
49. J ta n (ln x )G Íx
, f v r - r
52. i se n h “ 1 - d x
K a
53. i ta n h - 1 - dx
J a
50. | V i - eos x d x
e a da
x e ax dx
(1 + a * ) 2
55. I x 2 arccos - dx
a
56. I * 2 a r c t a n - dx
a
57
58
59
I
/
/
/ c o t h - 1 © * *
r arccos j d x
I I _______
' J x 2
a rc ta n :
sea una función racional. R. P (x ) = - 3 x 2 + 1
fl. 2 x 18
R. x — 2 arctan x 4- C
, / l n x 1 
 1 8 ~ 3 2 4 / + C
R. —2 V i + c o s x + C
1
K.
1 + x
:e° t-C
. x
R. x se nh 1 — J x 2 + a 2 + C
a
R. x tanh | ln ( a 2 - x 2) + C
rtCLX
R.
a 2( 1 + a x )
+ C
Ä. — arccos - - - (x 2 + 2a2)s¡ a2 - x 2 + C
3 a 9
X^ X Í7Y2
i?. — arctan------- — + — ln (a2 + x 2) + C
i a 6 6
1 x 1 a + x
R. — arctan - + — I n ------r------ h C
x a 2a x 2
R. x co th -1 - + ^ l n ( x 2 - a 2) + C
a 2
_ 1 x 1 a + V a 2 - x 2
R. — a r c c o s - + - l n ---------------------- h C
x a a x
92www.FreeLibros.com
INTEGRAL INDEFINIDA
(cosx - sen x)
6 0 . ¡(x+s^rdx
1
2
u ‘~‘ w
J T + ~9
/■
i
5 + sen 2x
dx
+ C , u = x + V * 2 + 1
1 / se n x + c o s x 
B ' ¿ " " “ I------2,-----)
+ C
dx
( x 2 eos2a + x sen 2a + 1)2
x cos a + sen a
eos3a Vx2 cos2a + x sen 2a + 1
:“i- C
63. f sech5x dx
J
1 3
R. —sech3x tanh x + - [sech x tanh x + arcsen(tanh x)] + C
64. / (tan x + secx)20 sec2x dx
6 5 . /
■ í ,
J cos4xV4 - cot2x
V(1 + x 2)5
66
dx
V(x - l ) 3(x + 2)5
(eos 2x —3) dx
4 ix - 1
R • ö ------
3 ^ x 4- 2
ñ . ---- tan x(2 + tan2x ) V 4 — cot2x + C
3
67
J: -dx
,------- v ( i + *2)5 J ( i + x2y v i + x2
R. ln (x + V I + x ) 2 - _ , — - V „„ -------------------- + C
5 x 5 3 x 3
68
j- v'sen3(2x)
dx
4 V 2 r-
j se n bx
Sugerencia: hacer u = c o tx
' V i + X 8
<>9. I ---------- dx
>r ,13
R . ----- — V c o t 5x + C
(1 + x 8) 3/2
r . - , „ -i- c
f 3i sen2x
7<)-J
7L í “J C O SJ
dx
cos3x v sen 2x
12x12
R. — Vtan5x(5 tan2x + 11) + C
V 2 1 ,_____
R. (tan2x + 5)Vtan x ■+■C
93www.FreeLibros.com
TOPICOS DE CÁLCULO - VOLUMEN II
7 2 . /
1 + se n 2x
2 c o s2x V se n x
dx
, ' V x - 1 + V x - í
73. | --------------- r ---------dx
* J : x - 2
e x( x 2 - 8)
75. j e sen* ( s e c 2x - csc 2x + c s c x ) d x
J e *enh_1* ( x V l T x 2 + i )
76
(1 + x 2) 3/2
x 2In 2x ( l -r ln x )
■dx
ñ77. | — — — y ~ --, / dx
•t- x ¿ Inr
:(x + l )
+ e 2xx 2
f e x (x + 1)
78, j _ i 4- a2xv 2 dx
■e 3 x x 2 ^ x +
79. i .■„ .  d s
f e**
’ J ~1
• /
■/
-t- x ze2¿>2at
(1 + g Z a rc ta n *)^ + * 2 )
sen x + xcos x
dx
R. ---------- + C
c o s x
Vsen x
e * ( x + 2 )
R■ — - ..+ C
x - 2
fi. efefl*(tan x + c o tx ) -f C
,senh-1jr
(1 + x 2) 3/2
i?, x ln x - a rc ta n (x in x ) + C
R. - l n
2
x e x — 1
C
(1 - x se n x ) V - l + x 2 - x 2c o s2x
:dx
x + 20
82. - - ... ......dx
83.
y¡ (5 - 4 x - x 2) 3
I n 2 ( 4 * + 2 (1+A:))
( 2X + 5 )V 5 - 4 2 * - 4 *
dx
x e x + 1
R. x e x —arctan (x e x) -t- C
ñ. arctan (e arctan* ) - r C
1 + x se n x
/?. - .... - + r.
V x 2^ en 2x — 1
2 x + 5
R. - + r
V 5 - 4 x - x 2
1 - 2 * ( 2X + 2
r — .. + arcsen
84
. r
V5^ 4 2 ^ 74 7 l 3 y ’1"
J e senx(csc2x - sec2x - cs cx) dx R. - e sen* ( c o t x + t a n x) + C
94www.FreeLibros.com
INTEGRAL
DEFINIDA
2.1 S U M A T O R I A S
Sean m y n dos núm eros enteros tales que m < n y / una función definida
para cada i e 1, con m < i < n. E l sím bolo
i m
¿=m
representa la sum a de los términos f ( m ) , f ( m + 1), ...,/(n); esto es,
n
/ ( 0 = f { m ) + f ( m + 1) + / (m + 2) + + / (n )
t=m
La letra griega S (sigm a) es llamada sím bolo de la sumatoria, i es el índice o
variable, m es el límite inferior y n es el límite superior.
Por ejemplo, si / ( i) = i2 , entonces
5 5
^ T / ( 0 = i2 = 2 2 + 3 2 + 4 2 + 52
i-2 i=2
De la m ism a manera, si n > 1,
n
y sen(¿j¡:) = sen x + sen 2x + ... + sen nx
í = i
2.1.1 P R O P I E D A D E S D E L A S U M A T O R I A
n
1. a) ^ k = (.n - m + 1)/í , /c es constante
¿=m
n
b) ^ k = nk , k es constante
i=i
n n
2. fc ./ (i) = fey /(/) , k es constante
www.FreeLibros.com
TOPICOS DE CALCULO - VOLUMEN II
3. ^ [/ (i) ± g ( i )] = ^ / (i) ± ^ 5 ( 1) (Propiedad Distributiva)
¿~m i=m i-m
n
4. a) ^ [ / ( i ) - / ( ¿ - 1)] = f ( n) - f ( m - 1) (Propiedad Telescópica)
:=m
n
b) 2][/(0 - /(£ - 1)] = - /(O)
n
5- a) ^ [/(i + 1) - f ( i - 1)] = f ( n + 1) + / (n ) - f ( m ) - f ( m - 1)
i~m
(Propiedad Telescópica)
n
b) £ [ f ( i + 1) - /( i - 1)] = f i n + 1) + /(n ) - f { 1) - /(O)
400
E je m p lo 1. Calcule el valor de ^ ( V ¿ — V i — 1 + 4).
¡=5
Solución
Por la propiedad 3, se tiene
400 400 400
^ ( V 7 - V i — 1 + 4) = ^ ( v '7 - Vt - l ) -r y 4
; = £ ; = 5 i = S
E n la primera sumatoria, aplicando la propiedad 4-a para / ( i) = V i , m = 5 y
n = 400, se obtiene
400
^ ( V 7 - V i - 1) = (V4Ó 0 - v 4 ) = 18
1= 5
En la segunda sumatoria, aplicando la propiedad 1-a para k = 4, m = 5 y
n = 400, se tiene
^ 4 = (4 0 0 — 5 + 1)4 = 1584
Por tanto,
400
]T(V7 - Vi - 1 + 4) = ^ ( V i - Vi - l ) + ^ 4 = 18 + 1584 = 1602
96
www.FreeLibros.com
INTEGRAL DEFINIDA
Ejemplo 2. Calcule una fórmula para ^ [ ( ¿ + l ) 2 - (i - l ) 2].
Solución
- ;2Si / ( i) = i 2 , entonces /(/ + 1) = (t + l ) 2 y f ( i - l ) 2 = (¿ _ i ) 2. p or tant0)
por la propiedad telescópica 4-b, se tiene:
n
^ [ ( ¿ + l ) 2 - (¿ - l ) 2] = (n + l ) 2 + n 2 - l 2 - O2 = 2n2 + 2n ó
1=1
n
^[(¿ + l)2- ( i - l ) 2]) = 2n(n + l) (a)
í—1.
C'omo (¿ + l ) 2 - (i - l ) 2 = 4¿, reemplazando esta igualdad en (a ) se obtiene
n
^ 4i = 2n(n + 1)
1=1
De esta parte se deduce una fórm ula m uy conocida:
V 1. n (n + 1)
L 1~ 2
í = i
E jem plo 3. U sando las propiedades de la sumatoria, demuestre que:
, V - n(n + l) , v V , n(n + l)(2n + 1)
1=1 1=1
c) ^ ¿3 = n2(n + 1)2 d) ^ ,4 _ n (n + 1 )(6 n 3 + 9 n 2 + n - 1)
30
i=i 1=1
Solución
a) V e r ejemplo 2.
b) Consideram os / ( i) = ¿3. Usando la propiedad 5-b, se tiene
n
^ [ ( t + l ) 3 - (i - l ) 3] = (n + l ) 3 + n 3 - l 3 - O3
í = i
Sim plificando en am bos lados y luego aplicando las propiedades 3-b, 2-b y 1-b
de la sumatoria, obtenemos
n n n
^ T ( 6 i2 + 2 ) = 2 n 3 + 3 n 2 + 3 n <=> 6 t2 + 2 = 2 n 3 + 3 n 2 + 3n
Í=1 1=1 1=1
n n
<=> 6 ^ í 2 + 2 n = 2 n 3 + 3 n 2 + 3n 6 i 2 = 2 n 3 + 3 n 2 + n
i= i ¿=i
97www.FreeLibros.com
Finalmente,
n (n + 1 )(2 n 4-1)
TÓPICOS DE CÁLCULO - VOLUMEN II
I 6
í =i
c) y d) Ejercicios. Sug. para c): considere / ( i) = ¿4 y use la prop. 4.
Z
a (a n — 1)
a 1 = -------------- .
a — 1
£=1
Solución
Aplicando la propiedad 4-b a / ( i) = a' y luego aplicando la propiedad 2, se tiene
n n ■ n
^ ( a ‘ - a '- 1 ) = a " - 1 <=> ^ T ( a ' - — ) = a " - 1 <=> ^ ( - --------)a‘ = an - 1
i = i 1=1 i = i
Finalmente,
V i _ a ( an ~ 1)
Z a ( a - 1 )
n
E je m p lo 5. Determ ine una fórm ula para ^ sen kx.
k = l
So lu ción
Para calcular la sumatoria de senos o cosenos, se considera como / ( i) la
cofunción de la función que aparece en la sumatoria y se aplica la propiedad
telescópica 5-b. En este caso, f ( k ) = eos kx. Así, se tiene
n
^ [c o s (k + 1) x —eos(k —1) x] = cos(n + 1) x + eos nx —eos x — 1
k =i
Utilizando las identidades trigonométricas para c o s(a ± b) y sim plificando, se
sigue
n
^ ( - 2 sen x sen kx) = co s(n + l ) x + c o sn x — c o sx — 1
k =i
n
- 2 sen x ^ sen kx —eos(n + 1) x + eos n x — eos x —1
k = 1
Finalmente,
z
cos(n + l ) x + cosnx —e o s * — 1
sen kx = ---------------------------------------------------
2sen x
98www.FreeLibros.com
INTEGRAL DEFINIDA
n
Ejemplo 6. Halle una fórmula para ^ fc fe!
fc=i
Solución
Si f ( k ) = (k + 1)!, p o r la propiedad 4-a, se tiene
n
^[(fc+ l)!-/c!] = (n + 1)1-1
k = 1
n
J][fc!(fc + l)-fc!] =(n + l ) ! - l
k=l
Finalmente,
^fcfcl = (n + l ) ! - l
, „ r, v-> ta n h l9 / c x
E je m p lo 7. Determ ine una form ula para > --------------- .
Z_i sech 19 kx
k=1
Solución
Z
tanh 19 kx v~>
— — = > se nh 19 kx
sech 19 kx í-u
k= 1 k=l
Se procede de manera sim ilar a lo realizado en el ejemplo 5 para la función
trigonométrica. Si /(/c) = cosh 19 kx , por la propiedad 5-a, se tiene
H
^ [cosh 1 9 ( k + l ) x - cosh 1 9 (fc - l) x ] = cosh 1 9 (n + l ) x + cosh 19 n x - cosh 19 x - 1
k-1
n
2 senh 1 9 x ^ senh 19 kx = cosh 19(n + l ) x 4- cosh 19 nx — cosh Í9x - 1
k=l
finalmente,
n
V 1 cosh 1 9 (n + í ) x + co sh 19 nx - cosh 19 x - 1
> senh 19 kx = ------------------------------------------------------------------------
Z-j 2 senh 19 x
k=1
99www.FreeLibros.com
TÓPICOS DE CALCULO - VOLUMEN II
n
E je m p lo 8. Halle una fórm ula para /? = ^ bk se n(x + ky).
k = 1
Solución
A plicando la propiedad 4-a a f ( k ) = bk se n(x + ky), se tiene
n
s e n (x 4- ky) - ¿ k_1 s e n (x + (k - l ) y ) ] = b n s e n ( x + n y ) - s e n *
k = l a
n ^ n
^ b k se n (x + k y ) — bk se n(x + ky —y ) = a
fc=l_________________ k= l
P
1 n
P —— ^¡T &fc[se n (* + /cy) eos y — sen y eos (x + /cy)] = a
fc=i
n
/c o s y  se n y v-» ,
( l
-
- — J p -— - — ^ bk cos(x + ky) = a (1)
k =l ___________________ (
5
Para determinar (5), aplicamos el criterio inicial.
n
cos(x + ky) - ¿?/£_1cos (x + (k —1)y)] = bn co s(x + n y ) — e o s *
k = l
^ n
S —— ^ ¿ fc[cos(x + ky) eos y + se n(x + ky)sen y] = bn cos(x + n y ) - c o sx
k= 1
Luego,
sen y b -
S = ------------ ( « ) + - ; ------------- [í>n eos (x + n y ) — co sx ] (2)
o - e o s y o - e o s y
Finalmente, reemplazando (2) en (1) y efectuando las operaciones correspondientes,
obtenemos
b ( b - c o s y )
b2 —2¿cosy + 1
sen y(bn cos(x + ny) - eos x)
sen(x + ny) —sen x ----------
b —eos y
100www.FreeLibros.com
INTEGRAL DEFINIDA
E je m p lo 9. Determ ine una fórm ula para ^ ln(fe + 1).
k=1
Solución
Desarrollando la sumatoria y aplicando las propiedades del logaritmo, se obtiene
n
^ ln(fc + 1) = ln 2 + ln 3 + ... + In n + ln (n + 1)
k=l
= ln [2.3.....n. (n + 1)]
= ln [(n + 1)!]
E J E R C I C I O S
Determine una fórm ula para cada una de las siguientes sumatorias.
n
1
: = 1
. ^ ( V 2 i + 1 - -y/2i - 1) R. y/2n + 1 - 1
Í = 1
100
I ln(¡d h ) R- - ' " ( 5151>
k=i
3- I
n
4 4n
R.
(4fe - 3)(4fe + 1) ' 4n + 1
k- 1
4
Sugerencia: descom poner en fracciones parciales a:
4
■I
(4fc - 3)(4fe + 1)
2k + 3k 3 1 1
6k ' 2 2 .3 n 2"
k= l
2k + fe(fe + 1) 1 1
R. 1
Z
2 +
2 ^ " (fe2 + fe) ' 2 n + 2 2 n_1
/í= 1
e fc + 2 e 3n - e'1
k ~ 1
101www.FreeLibros.com
7.
8.
9.
10
11
12
13
14.
15.
16.
17.
TOPICOS DE C Á LC U LO - V O LU M E N II
n
Y —
k= 2
^ V/c + i - Vfc
fl. 3
2?i + 1
?i(n 4- 1)
fc=i
il
1¡i=1
n
I
V F T T
v ’n r 1 - 1
y 'n + 1
(/c + l)(/ c 2 + 5/c 4- 6 )
R.
n 2 + 3 n + 3
2 (n + 2 ) ( n + 3 )
( k 4- x ) ( k + x + 1 ) ( k + x + 2)
Z i lnkk[n(k + l ) ^ 1]
k = 1
I
fe=i
2k + 1
k 2(k + l ) 2
U
^ c o s ( 3 k x )
/¿=i
A V IO '' 100'=/
fe= l
100
+ 6k -f 4
^ s e n 2/c( 2 x )
k ~l
100
f í .
n ( 2 x + n + 3)
2 ( n + a: 4- l ) ( n 4- x 4- 2 ) ( x 4- 2 ) ( x 4- 1)
/?.
1
R.
2 ln 2 ( n 4- 1) ln ( n 4- 1)
n ( n + 2)
R. ------------ -
(n + l ) z
se n 3 (n + l ) x 4- se n 3 n x — se n 3 x
2 se n 3 x
2 6 9 / 1 0 2n - 1
R.
9 9 9 V 1 0 2n
R.
4 (n 4- 2)
/?. t a n 2 ( 2 x ) (1 - s e n 2002 x )
/?.
1
fc=i
1
16 1 6 (5 " ) 598
102www.FreeLibros.com
ì. ^ k x k 18 . > k x K~' fi.
n x n+1 - (n + l ) x n + 1
IN T EG R A L D E F IN ID A
ix
fc=l
II
19. ^ 5 k s e n (5 k - x)
k=l
5[(5 —cos 5)(5n sen(5n —x) + sen x) + sen 5(5n cos(5n —x) —cosx]
R.
4(13 —5 cos 5)
I ; " "
n r
16 csc kx
20
2 1 .
cot5/ex see9kx
k = 1
4[sen(2n + l)x + sen(2ruc) —sen 2x]
R. 6n + -------------------------— — ------------------------+
sen(2x)
[sen 4(n + l)x + sen(4nx) —sen 4x]
sen 4x
1e h - [3 sen a cos a]k
3k
k=l
Z :
e [ ( 3 ) ~ l] sen 2 a [(se n a cos a ) n - 1]
e - 3 se n (2 a ) - 2
!- Z
" 1 0 1 1 5
2 4 + lQk - 2 5 k 2 ^ 5 n + 4 + 5 n - 1 4
k=l
23.
k=i
^ k 2k fi. (n - l ) 2 n+1 + 2
k = i 
n
24. ^ c o s 2k3;c fi. cot23 x [ l - c o s 2n (3 x )]
k=l
k=l
25- Z l o g „ r 2 2k) lo g „ r 2 2k+2ì ( l o g ^ v G 2 ( n + l ì )
V 1.-,-------- nfc V 3 + x [(3 + x ) n/2 - l]
26. > [ V à T x ] fi. - 1 J
k=l
V 3 + X - 1
103www.FreeLibros.com
2.2.1 PARTICIÓN DE UN INTERVALO CERRADO
Definición 1. Sea [a;b] un intervalo cerrado. Una partición del intervalo [a; b]
es el conjunto P de puntos Xo,x1(x2, - . x n; con a = x0 < x v < x2 ... < xn = b.
Se denota con P - {x0,xv x2, ..., x„}.
Observación 1
i) Toda partición P de [a; b] divide en n subintervalos al intervalo [a; b],
ii) La longitud de cada subintervalo [x¡„1;xt, para i = 1,2, ...,n , se denota
con Atx = x, — . Se verifica
n
y A¿x - b - a
(.=1
iii) Se llama norma o diámetro de la partición P al número
||P|| = máx{AiX / i = 1,2, ...,n}
iv) Cuando el intervalo [a; b] se divide en n partes iguales, la longitud de cada
subintervalo es
TOPICOS DE CALCULO - VOLUMEN II
2.2 CÁ LCULO D EL ÁREA DE UNA REGIÓN PLANA P O R SUM ATORIAS
Ax =
b —a
n
En este caso, los extremos de cada subintervalo son
x Q = a , xx - a + A x , x 2 = a + 2 A x ,..., x¡ = a + ¿ A x ,..., x n = b
2.2.2 A P R O X I M A C I Ó N D E L Á R E A D E U N A R E G I Ó N P O R Á R E A S D E
R E C T Á N G U L O S
Sea /: [a; b] -> R una función continua y no
negativa ( / ( x ) > 0) en [a;b]. Sea R la
región plana limitada por las gráficas de
y = / ( * ) > las rectas x — a , x — b y el eje
x (llam ada región bajo la gráfica de / de a
hasta b) (fig. 2 .1).
Sea P = { x 0, x 1, x 2, ...,xn} una partición [a; b].
Por la continuidad de / en [a;b], podem os
elegir un conjunto de puntos u t , u 2, —,u n, de
tal manera que / ( u ¿) sea el valor m ínim o de /
en [ x i- ij x j , i = 1 ,2 ,..., n. F'9' 2-1
104
www.FreeLibros.com
Asi, construim os n rectángulos cuyas bases son los subintervalos de P y cuyas
respectivas alturas son / ( u 1) , / ( u 2), ...,f (u n). La s áreas de estos rectángulos son
/ ( iíJ A j X , / ( u 2) A2x , . . . , f ( u n)Anx respectivamente.
I.os n rectángulos considerados forman el llamado polígono rectangular inscrito
en R (fig. 2.2). E l área de este polígono lo denotamos con /(P ) , es decir,
71
K p ) = ' Y Jf(M i)Aix
¡=i
INTEGRAL DEFINIDA
De manera similar, elegim os v x, v 2, ..., vn en los n subintervalos de P, de modo
que / '(v ¿) es el valor m áxim o de f en [x ^ ^ x i], i = 1 , 2 , ..., ?i, y construim os los
n rectángulos cuyas bases son los subintervalos de P y cuyas alturas respectivas
son f ( v 1) , f ( v 2) ,. .. , f ( v n).
Kl polígono rectangular form ado por estos n rectángulos está circunscrito a la
región R (fig. 2.3) y su área, denotada por C (P ), está dada por-
n
C(P) = 2 J f ( v ¡)Aix
¡=i
Dadas dos particiones / y P2. Si / ( P J es el área del polígono inscrito y C (P 2)
es el área del polígono circunscrito, se verifica
l(P ) < C (P 2) para toda partición P1 y P 2 de [a; b] (I)
Sea L el conjunto de todas !as áreas de los polígonos rectangulares inscritos en R,
es decir,
i = {/ (P ) / P e s partición de [a; b]}
y U el conjunto de todas la áreas de los polígonos rectangulares circunscritos a R,
esto es,
U = ( C ( P ) / P e s partición de [a; b]}
105www.FreeLibros.com
TOPICOS DE CALCULO - VOLUMEN U
C om o cada número del conjunto L es menor o igual que cualquier núm ero del
conjunto U (por I), entonces L es acotado superiormente y U es acotado
inferiormente. Por lo tanto, existen
= su p (L ) y As = in f (U)
Por definición de ínfim o y de supremo, se verifica
/ (P ) < A¡ < As < C(P), de donde A¡ < As
Por lo tanto, el áreai4 de la región R (fig. 2.1), si existe, debe estar entre At y As,
es decir, A¿ < A < As
Se demuestra m ás adelante que A¡ = A¡. Luego, se puede definir el área A de la
región R com o
Tam bién se demuestra que si t1( t2, —, tn son puntos elegidos en los n
subintervalos, es decir, t¿ E [xi_1;x¡], i = 1, ...,n; entonces
Observación 2
i) Considerando la parte (iv) de la observación 1, si cada t¿ es el extremo
derecho de cada subintervalo (t¡ = a + ihx, i = 1,2,...n ) y teniendo en
cuenta que ||P|| -> 0 <=> n -* oo, entonces (II) puede ser escrito como:
(Estafórmula es un caso particular).
ii) Si cada t¿ es elextremo izquierdo de cada subintervalo. entonces
t¿ = a + (i - l)A x , i = 1,..., n
Eje m plo 10. Por rectángulos inscritos, calcule el área de la región Rlimitada por
las gráficas de y = x + 1, * = 0 , x = 3 y el eje x.
L a gráfica de la región se muestra en la Fig. 2.4. En este caso, f ( x ) = x + 1,
a = 0 y b = 3. C om o / es creciente en [0; 3], / presenta m ínim o en el extremo
izquierdo de cada subintervalo, es decir,
A — A¿ —As
(10
(III)
b —a
donde Ax = , = a + ¡Ax , i = 1, ...,n
n
Solución
3 - 0 3
t¿ = a + (t — l)A x , i = 1.... n , donde A x = ---------= —
n n
106
www.FreeLibros.com
3 3 3 3 3
Kntonces t¡ = 0 + (/ - 1) - = - i -----y f ( t i) = ti + l = - i + l -------- .
n n n n n
l’or tanto, utilizando la fórm ula dada en la observación 2 y la sum atoria de i,
leñemos
INTEGRAL DEFINIDA
A = lim
n-»co
= lim -
*->oo /n
Fig. 2.5
Ejem plo 11. Por rectángulos circunscritos, calcule el área de la región R limitada
por las gráficas de y = x 2 , x = 3 y el eje x.
So lu ción
l;.l gráfico de la región R se muestra en la fig. 2.5. A partir del gráfico, se deduce
que a = O , b = 3 y, por tanto, Ax = 3/n.
C om o / es creciente en [0; 3], / tiene valor m áxim o en el extremo derecho de
cada intervalo. A sí,
t¡ = a + iAx ó ti = - i y f ( ti ) = — i2
Luego,
A = limI-YVn-*co  n Z - i n¿
i=i
n-*co  u J n-*co  j l '
27 n(n + l)(2n + l)
3 £
www.FreeLibros.com
TÓPICOS DE CÁLCULO - VOLUMEN 11
E n los ejemplos que siguen, no se tendrá en cuenta los rectángulos inscritos ni los
rectángulos circunscritos. L o s puntos serán considerados com o los extremos
derechos de los subintervalos.
Ejemplo 12. Calcule el área de la región R limitada por las gráficas de
y = 3 + x + x 3, x = — 1, x = 2 y el eje x.
Solución
a = — 1, b = 2 , f ( x ) = 3 + x + x 3
12 27 „ 273 3
A x = — , ti = —1 + — i
n n
y /(t,) = i + Ir¿ - - t í 2
Para calcular el área de la región (Fig. 2.6), se tendrá en cuenta la sumatoria de i,
de t2 y de i3.
A = lim
n-*oo
3 ^ / 12 27 27 
- ) 1 + — i - — i 2 + — i 3
n ¿ j  n n2 r? )
¡ = i
[3 f 12 n ( n + 1) 2 7 n ( n + l) ( 2 n + 1) 2 7 n 2 (n + l ) 2
= lim — n H ----------------------------------------------------------1- — -----------------
n n 2 b 4
= lim
n-*oo
3 1 + 6 5 7 2
Fig. 2.6 Fig. 2.7
Ejemplo 13. Calcule el área de la región R limitada por las gráficas de y = e x.
x = O , x = 1 y el eje x.
Solución
La región se m uestra en la Fig. 2.7. La longitud de cada subintervalo es Ax = — ,
1 h 71
ti = ~ i Y f(t¡) = en
108www.FreeLibros.com
IN T E G R A L D E F IN ID A
I n este caso, usaremos el resultado obtenido en el ejemplo 4 para a = Así,
1 e l/ n [(g l/ n y l _ j y
A = lim
lim
n-»cn
— / en
n L-a
= lim
n —»co
1 en(e — 1)
n e 1/11 — 1
,1¡n _ ]_
1
= (e - l) lim
,1/n
n
(*) Se hace el cam bio de variable x = — => lim
- e l/n
= (e - 1) u 2 (*)
x e
= lim — — - = 1.
n n->oo e 1/n —1 x->o ex —1
(A l aplicar la Regla de L ’Hópital al últim o límite)
Eje m plo 14. Calcule el área de la región bajo la gráfica de f { x ) = s e n * en
10; 7T/2J.
Solución
La gráfica de la región se muestra
en la Fig. 2.8. Así, tenemos
n
= s e n ^ ¿.
lim
n-*-»oo
TT V “ * TI
— > se n — i
2n jLu 2n
í=i
= lim
n-*oo
71
2n
i 1 + c o s £ ) - cos ( n S - cos (n + i
2sen®
( * * )
= lim
1+ cos(ín ) “ cos(§) ~ cos
sen
(s )
( s )
[1 + 1 - 0 - 0]
■ W ) .
1u2
( * * ) Se usa el resultado del ejemplo 5 para x = n¡2n.
109www.FreeLibros.com
TÓPICOS DE CÁLCULO - VOLUMEN II
E je m plo 15. Calcule el área de la región bajo la curva y = senh x en [0 ; 1],
Solución
La región R se muestra en la fig. 2.9.
Se tiene
1 1 ( 
Ax = - , t ¿ = - ¿ y / (tí) = senh - ¿
n n n J
í É senhG i)
1= 1
i c o sh (n + 1 ) —+ cosh ( n ■—^ — cosh i
1 v Jn  nJ n
A = lim
n-> co 7
y - senhx
/
Fig. 2.9
lim
n->cc
- lim
n-*co
2 Se „ h ( i)
cosh ( l + i ) + cosh 1 — cosh ^ — 1 2 c o sh (l) - 2
(c o sh (l) - l ) u 2
Eje m plo 16. Calcule el área de la región limitada por las gráficas de y = 2¡x ,
eje x, y x = 9.
Solución
Para evitar la sumatoria de la raíz cuadrada, tom am os com o variable
independiente a la variable y, es decir, / ( y ) = y 2/4. La región está limitada por
las curvas / ( y ) = y 2/4, .9 (y ) = 9, las rectas y = 0 c y = 6 (fig. 2.10).
•El área del i-ésím o rectángulo es [g(Zi) - / (z ,)]A y .
Por tanto, el área de la región está dada por
110www.FreeLibros.com
INTEGRAL DEFINIDA
^ = *im4 AyZ ^ (zí)- /(z4
donde A y = £ , z i = 0 + iAy = ^ i , g ( Zi) = 9 y f(z¡) = Í ( - A = ~ i
n n 4 rc ) n ¿
6V 9
- ) ( 9 ------ i 2)
ruL-¡ n-
9
(.orno g(z,) - f (z¡) = 9 - — i2, se tiene 4 = lim
n*- n-* oo
= 36 u 2.
E J E R C I C I O S
i:n cada uno de los ejercicios siguientes, encuentre el área de la región limitada
por las curvas dadas.
1. y = (x - l ) 3 , x = 3 , x = 8 y el e j e * R. 2 3 8 5 / 4 u 2
2. y = x 2 , x = 0 , x = 2 y el eje x R. 8/3 u 2
3. y = 4 - x 2 y el eje x R. 3 2 / 3 u 2
4. y = 4 - |x|, x = - 4 , x = 4 , el eje x R. 8 u 2
5. y = 2 v x , eje x , x = 0 , x = 4 R. 3 2/ 3 u 2
6 . y = x 3 , x = - 1 , x = 1 , eje x R. 1 / 2 u 2
7. y = 12 - x 2 ,e je x , x = - 3 , x = - 2 R. 3 0 5 / 6 u 2
8 . y = 2 - '! * ( , e je x , x = - 2 , x = 2 R. 4 u 2
9. y = x 2 , y = 4 - 3.x2 /?. 16/3 u 2
10. y = m x , m > 0 , eje x , x = a , x = b , con 0 < a < b
m ( ¿ 2 - a 2)
R- ------- V
• 2
11. y = x 2 - 2 x - 1, eje x , x = 1, x = 4
/ 1 3 V 2  ,
"■ l 3 - 4 j "
4
12. y = 3 x - 3 x ‘ - - x 3 , eje x , x = 0 , x = i /?. 1/6 u 2
13. y = cosh x , x = 0 , x = l , e je x ñ. s e n h ( l)w 2
• n n
14. y = e o s x , x = x = - , e je x /?. 2u
15. 4 y = (x t _ 4 ) 2 , 4 y = (x + 4 ) 2 , 4 y = - ( x - 4 ) 2 , 4 y - - ( 4 + x ) 2
16. y = 3 x 2 , y = - 1 - 3 x 2 , x = 0 , x = 3
K. 6 4/ 3 u 2
R. 57u l
111
www.FreeLibros.com
E n esta sección y en las siguientes, hasta la sección 2.10, las funciones
consideradas están definidas en un intervalo / = [a; b], con a < b.
Definición 2. S i Px y P2 son dos particiones de /, se dice que P2 es un
refinamiento de Px cuando c P 2, Se comprueba fácilmente que si P2 es un
refinamiento de Pj , entonces ||P2|| < H H .
Definición 3. Sea una función acotada en / = [a; b] y
P = {x0,x 1, ...,xn } una partición de /. C on I¡ denotamos al j-ésim o subintervalo
de /, es decir, l¡ = xj_x)Xj, j = 1,
C om o / es acotada en ¡ , existen m¡ y Mj tales que
m¡ = in f{/ (x ) / x e Ij} ; M¡ = s u p {/ (x ) / x G !¡}
Se cumple: m¡ < / ( x ) < M¡, V x £ I¡, j = 1,2, ...,n.
Definim os:
a) La su m a in fe rio r de / para P, que se designa con S (/ ; P ), se define com o
n n
S(f; P ) = ^ m j(xj - xH1) = £ m ;Ayx
7=1 7=1
b) L a strma su p e rio r de / para P, que se denota con 5 (/ ; P ), se define com o
n
S ( / ; P ) = ^ M , A , x
j'=l
Eje m p lo 17. Sea / ( x ) = k la función constante definida en / = [a; b}. L a
gráfica de la función se muestra en la fig. 2.11. Se tiene
n n
S_(f. P) = ^ kAjX = k ^ áj-x = k(b - a), donde k = inf{/(x) / xe //}
■ • 7= 1
n n
S (f ,P ) - ^ fcA/X = k y A ,x = k ( i - a ) , d on d e /c = s u p { / ( x ) / x E /,}
TÓPICOS DE CALCULO - VOLUMEN 11
2.3 SUM A SU PE R IO R Y SUM A IN FER IO R
Fig. 2.11
112
Fig. 2.12
www.FreeLibros.com
(
Ejem plo 18. Si f ( x ) = x , x e 1 = [a;b], entonces
n
£ ( / . p ) - * j - i A jx, donde xh x = in f{/ (x ) / i e l¡],j = 1 ,2 , , n
j = i
n
= ^ ]xjA jX , donde = su p {/ (x ) / x E 1¡},¡ = 1,2
j~1
I ;i gráfica de la función se muestra en la Fig. 2.12.
I.jcm plo 19. Considerem os "la función de Dirichlet”
c , s ( 1 , si x es racional , r ,
lo , si x es irracional 1 x e ~ ]
l’ara cualquier partición P se verifica que m¡ = 0 y M¡ = 1, j = 1,2, ...,n.
Luego,
n n
O.A;x = 0 y 5 (/ ,P ) = l. A ;x = ¿ - a
¡=i j=i
2.3.1 S I G N I F I C A D O G E O M É T R I C O D E L A S S U M A S S U P E R I O R E S E
I N F E R I O R E S
Las sum as superior e inferior poseen una interpretación geométrica simple.
Ln primer lugar, analicem os el significado del producto hjAjX, donde h¡ es nij
ó Mj y Aj'x es la longitud del subintervalo Ij = [ x j ^ x j ] .
Si hj > 0 . entonces hjAjX es numéricamente igual al área del rectángulo de base
/, y altura h¡. Si h¡ = 0 , entonces hjAjX = 0; y si hj < 0 , entonces hjA¡x es
numéricamente igual al opuesto del área del rectángulo de base ¡¡ y altura - h¡.
Por esta razón, al núm ero hjAjX lo denom inarem os área a lge b raica del
rectángulo cuya base es Ij y altura es hj , es decir, el área algebraica es positiva
si el rectángulo esta sobre el eje x y negativa, si está debajo de eje x.
lin la sección 2.2.2 (figuras 2.2 y 2.3), vim os que cuando / es no negativa en /,
S_(f>P) y S (f .P ) (que denotam os por I{P) y C ( P ) ) son, respectivamente, las
áreas de los polígonos rectangulares inscrito y circunscrito a R, donde R es la
región lim itada por las gráficas de /, las rectas x = a , x = b y del eje x.
INTEGRAL DEFINIDA
S(f,P) = Y
113www.FreeLibros.com
E n las figuras 2.13 y 2.14 se muestran, respectivamente, S ( f , P ) y S ( f ,P ) $ m a
una función que no necesariamente es positiva.
TÓPICOS DE CÁLCULO - VOLUMEN II
La condición de que / esté acotada en / = [a; b] es esencial para que existan los
valores m¡ y M¡ . Estos números se definieron com o los ínfim os y suprem os, en
vez de m ínim os y m áxim os (com o se hizo en la sección 2 .2 .2), ya que en esta
oportunidad no se exigió qug / sea continua.
2.3.2 P R O P I E D A D E S D E L A S S U M A S S U P E R I O R E S E I N F E R I O R E S
C om o / es acotada sobre /, existen m y M tales que
m = in f { / 0 ) / x E I } y M = s u p { / 0 ) / x E /}
P ro p o sició n 1. Sea / una función acotada i'n / = [a;b] y P = [x0,x-i. ...,x n }
una partición de /. Entonces
m (b - a) < S ( f , P ) < S ( f , P ) < M(b - a ) ( 1)
D em o stració n
Se tiene m < m, < Mj < M. M ultiplicando todos ios términos por A¡x > U y
sum ando las relaciones obtenidas para j = 1,2,..., n , obtenemos
n n n n
^ mAjX < nijAjX < ^ MjAjX < MA¡x ó
7= i 7= i ;= i j= i
« n
m X A¡x - ajx
j=i j=i
n
Com o ^ Ayx = b - a, entonces m (b - u) < 5(/, P ) < 5(/, P) < M(b - a).
www.FreeLibros.com
INTEGRAL DEFINIDA
P rop osició n 2. Si / es una función acotada en /, y Px y P2 son dos particiones
de I tales que P2 es un refinamiento de Pr , (Pt c P2), entonces
‘0 •!(/. Pi) < S(f, P2) y S(f, Px) > S(f, P2)
b) Si P2 —/ tienen r puntos, entonces
í ( f , P 2 ) - S ( f , P í ) < r ( M - m )   P 1
S(f.P1)-Sif,P2)<r^M-m)Pi
D em ostración (se deja com o ejercicio para el lector).
Prop osició n 3. Sea / una función acotada en /, y Px y P2 dos particiones
arbitrarias de /. Entonces
• S ( / . P 1) < 5 ( / . P 2) ( 2 )
D em ostración
Sea P — P1 U P2. C om o Pt c P y P2 c f , por la proposición anterior, se tiene
S t f . P j l Z S i f . P ) y S ( f , P ) < S ( f , P 2)
Por la proposición 1, se tiene SJJ.P) < S(f , P) . Luego.
S ( M ) < S ( f , P 2)
2.4 I N T E G R A L E S I N F E R I O R E S Y S U P E R I O R E S
Denotem os con D al conjunto de todas las particiones posibles de l. Si f es
acotada en /, la desigualdad (1) es verdadera para todo P e D y asegura que el
conjunto {S( f , P) /■ P 6 D) es acotado superiormente v- el conjunto
 S ( f , P) / P e o ) es acotado inferiormente.
D efinición 4. S i / es una función acotada en /, el número su p {£ (/, P ) / P 6 D}
se denom ina integral inferior de / en / y se indica com o
]_= f f ( x ) d x = sup (S(f, P ) / P e D]
Ja
El número in f(S(f,P) / P e D) se denom ina integral superior de f en / y se
indica como
1 1 5www.FreeLibros.com
2.4.1 P R O P I E D A D E S D E L A S I N T E G R A L E S S U P E R I O R E S E
I N F E R I O R E S
TOPICOS DE CALCULO - VOLUMEN II
Si / es función acotada en /. entonces
_ r b r b
]_ < J ó I f { x ) d x < I f { x ) d x
Ja Ja
(3 )
2. Si / es función acotada en /, entonces
m { b - a) < ) _ < ] < M(b - a) (4 )
donde m = in f { f ( x ) / x E 1} y M = su p { f ( x ) / x E /}.
3. Si / es acotada en /, existen q y c2 E I talesque
¿ = f ( c - j ( b - a) y / = / (c 2) ( ¿ - a ) (5 )
de m odo que m < / ( q ) < f ( c 2) < M.
4-. S i / es acotada en / y cE ( a ; b ) , se tiene
'•O pC rO
f ( x ) d x = j f ( x ) d x + I f { x ) d x
b r C r b
f ( x ) d x = J f ( x ) d x + J f ( x ) d x
2.5 I N T E G R A L D E R I E M A N N
D e fin ición 5. Se dice que una función acotada f : ¡ - > K es integrable R ie m a n n
en / si
r b
íJa
J = [ f(x)dx = í f ( x ) dx = f f ( x) dx
*'a Ja Ja
Por sim plicidad, se llama integral de / sobre / o integral definida de / sob re /
o integral de / de a hasta b.
En j f ( x ) d x , el sím bolo j es llam ado sím bolo de in tegración.
Este sím bolo, que es una S alargada, fue introducido por Leibniz para representar
la suma, que proviene de la palabra latina “sum m a”. Adem ás, f ( x ) es el
integrando, f { x ) d x es el elemento de integración, el número a es el límite
inferior y b es el límite superior. L a variable x no tiene significado especial, ya
que
í f f á d x = í f(z )d z = í f ( t ) d t = í f ( y ) d y - í f{u)du
Ja Ja Ja Ja Ja
etc.
www.FreeLibros.com
l'.jcinplo 20. Sea f ( x ) = k la función constante. Por el ejemplo 16, pars
/ = [a; b] se tiene S(f, P) = S(J, P = k (b —a).
Entonces J = ] = k(b —a). P or lo tanto, / es integrable en [a; b] y se tiene
r b
k d x — k (b - a )
INTEGRAL DEFINIDA
JJa
Ejem plo 21 (función no integrable). Considerem os la función de Dirichlet
/': [0; 1] -» IR, definida por
x es irracional
x es racional
Para cualquier partición P de 1 = [0; 1] (ejemplo 19), se tiene:
S ( / ; P ) = 0 y 5 ( / ; P ) = l
Entonces 7 = 0 y J = 1 y, por tanto, / no es integrable en ¡.
Observación 3. Interpretacióngeométrica de la integral definida de una función
continua f en [a; b].
De la interpretación geométrica de las sumas superiores e inferiores (secc. 2.3.1),
deducimos que si R es la región plana limitada por las gráficas de f, las rectas
X = a , x = b y el eje X, y /4(fl) representa numéricamente al área de la región
R; entonces
a) Si f ( x ) > 0, V x 6 [a; b ] , A(R) = f f(x )d x
*a
b) Si f ( x ) < 0 , V x e [a; b] ► - A(R) = f f ( x ) d x
JQ
c) Si al número I f ( x ) d x lo llamamos área algebraica, para una función
Ja
arbitraria f continua en [a; b], esta integral definida de f en [a; b] representa
la suma de las áreas algebraicas de las regiones determinadas por la gráfica de f
y el eje X, desde x = a hasta x = b.
www.FreeLibros.com
TOPICOS DE C A L C U L O - V O LU M E N II
E je m plo 22. L a gráfica de / consta de
segmentos de recta y una semicircunferencia,
com o se indica en la figura adjunta. Halle:
a) í / ( x ) d x b) í f ( x ) d x
J o J -6
c) f / ( x ) d x d) f |/(x)|dx
•'-6 J-6
e) E l área de la región limitada por la gráfica
de /, el eje x y las rectas x = —6 y x = 8 .
Solución
a) C om o el área del círculo de radio r = .4 es Ax = n r 2 = Ió ít u 2, entonces
A= —4ti
i
4
k
i
i 
i 
y *
/■ i
/ * i
/ ! !
“6 V y 5 ¿ x
-4
í A,
J / W ^ = - T = -
b) Dado que el área de un triángulo de base b = 2 y altura h = v es /12 = 4 u 2
/4
y el área del sem icírculo es A = — = 8n u 2, entonces
í f ( x ) dx = í / (x )d x + í f ( x ) d x = Az - A = 4 - 8tt.
J - 6 J - 6 J —4
c) Puesto que la integral definida desde —6 hasta 8 está form ada por la sum a de
/ A2 
áreas algebraicas de un triángulo (A2 = 4 ), de un sem icírculo — = — 8n j,
de un triángulo (Á3 — 2) y de un rectágulo (A 4 = 12), entonces
r 8 r —4 /•4 r 5 /*8
I / ( x )d x = I / (x )d x + I f ( x ) d x + I / (x )d x + I / (x )d x
J - 6 J - 6 J - 4 J 4 J s
= 4 + ( — 87t) + 2 + 12 — 18 ■ 87T
d) C om o |/(x)| = — / (x ), V x G [ - 4 ; 4 ] , entonces
í / (x )d x = f / ( x ) d x - í f (x ) d x + í f ( x ) d x + í f ( x ) dx
j - ó J -6 ■'-4 **4 Js
= 4 - C— 8 tt) + 2 + 12 = 18 + 8 tt
e) El área de la región pedida es
4 ( R ) = í |/(x)| dx = [ f ( x ) d p T h ( ( - / ( x ) ) d x + [ / ( x ) d x + í f (x ) d x
J -6 J - 6 • '- 4 -M ->5
'= 4 — ( —87r) + 2 + 1 2 ( 1 8 + 87r) u 2
118www.FreeLibros.com
INTEGRAL DEFINIDA
Teorema 1 (C riterio de integrabilidad de Riemann). Si / es una función
;icotada en /, una condición necesaria y suficiente para que / sea integrable en / es
que dado e > 0 arbitrario, exista una partición P de 1 tal que
S ( f , P ) - S ( f , P ) < £ (6)
Demostración
;i) ( = * ) Por hipótesis, / es integrable en /. Si ¿ = su p [S{f,P) / P e D }, dado
£ > 0, existe una partición P1 de / tal que
J _ - ¿ < S ( f . P i ) ó ¿ - K f . P J < | (7)
Por otro lado, siendo ] = inf{ S(f, P) / P e D) y tomando el m ism o e > 0 ,
existe una partición P2 tal que
S(f,P2) < 7 + | ó S(f,P2) ~ ] < E- (8)
Sum ando m iem bro a m iem bro las desigualdades (7) y (8) y considerando que
/ = ], obtenemos
S(jr,P2) - S ( f , P 1) < E
Considerando Pí U P2 = P (es un refinamiento de P, y P2), tenemos
S(f, P ) - S(f, P) < S(f. P2) - S(f, P J < £
b) (< = ) Supongam os que dado £ > 0, existe una partición P de I tal que (7) es
verdadero. C om o
J_ > S ( f , P ) y ] < S ( f , P )
se obtiene 0 < J — J < 5(/, P ) - S(/, P ) < e. C om o £ es arbitrario, se obtiene
7 - 7 = 0 o 7 = 7
Por tanto, / es integrable en /.
Hasta ahora, I f ( x ) dx se ha definido solo si a < b . Por conveniencia, se dan
¿as siguientes definiciones:
Definición 6. Si a < b , se define
I f ( x ) dx = — ¡ f ( x ) d x , siem pre que I f {x ) d x exista.
h Ja Ja
Definición 7. Si / es una función definida en o. se define
I
,-a
f ( x ) d x = 0
a
119www.FreeLibros.com
TOPICOS DE CALCULO - VOLUMEN II
P rop osició n 4. Si f es una función continua en / = [a; b], entonces / es
integrable en /.
La demostración se deja com o ejercicio al iector.
2.5.1 P R O P IE D A D E S D E L A I N T E G R A L D E F I N I D A
1. Si / es una función integrable en /, entonces es integrable en cualquier
subintervalo [c; d] c /.
2. Si f es una función integrable en /, entonces para toda constante real k , k f es
integrable en / y se tiene:
f k f { x ) d x = k í f ( x) dx (9 )
Ja Ja
3. Si / y g son funciones integrables en I, entonces / ± g es integrable en / y se
tiene:
r b p b rb
l f ( x ) ± g ( x ) ] d x =  f (x ) d x ± I g(x)dx ( 10)
Ja Ja Ja
4. Si f es integrable en los intervalos [a; c] y [c; b], entonces / es integrable en
I = [a; b] y se tiene:
f f ( x ) dx = í f ( x ) d x + í f ( x) dx (11)
Ja Ja Je
(Propiedad aditiva respecto al intervalo de integración).
Esta propiedad es válida para tres números arbitrarios a, b ,c siempre que las
tres integrales existan.
5. Si / es integrable en I = [a; b] y f ( x ) > 0 , V x E I. entonces
f f ( x ) d x > 0 ( 12)
Ja
6 . Si / y g son funciones integrables en /y f ( x ) < g(x), V x E /, entonces
í f ( x ) d x < í g(x)dx (13)
Ja Ja
7. Si / es integrable en / = [a; b] ym< f ( x ) < M, V x E /, entonces
m(b - a) < í f ( x ) dx < M{b- a ) (14)
-'a
8. Si / es integrable en I, entonces
f /(x)dx| S í f(x)dx (15)
Ja I Ja
120www.FreeLibros.com
1N I hC jKA L D t r lN IU A
2.5.2 T EO R EM A D EL V A LO R IN TERM ED IO PARA IN TEG R A LES
Teorem a 2. Si / es una función continua en I = [a; 6], entonces existe un
número c G / tal que
í f ( x ) dx = f ( c ) ( b - a )
Ja
Demostración
El Teorem a del V a lo r Intermedio de una función continua indica: “Si f es
continua en [a; b] y se cum ple que / ( a ) / '( ¿ ) , entonces para cualquier o)
entre / ( a ) y f ( b ) existe un número c entre a y b tal que / (c ) = 6)".
Por hipótesis, / es integrable en /, pues / es continua en I (Prop. 4). Luego, por
(14), se tiene:
m(b — a) < f f ( x ) dx < M(b - a)
Ja
donde m y M son el m ínim o y el m áxim o absolutos de / en I, respectivamente
(estos valores existen porque / es continua).
Luego, m = f ( x m) y M = f ( x M ) , con xm y x M G /, y
f bf ( x ) d x
f(Xm) ~ b - a ~ / (* m)
Por el teorema del valor intermedio para funciones continuas, existe c entre xm y
xM (c G /) tal que
fb f ( x ) dx r b
f (c) = — ------------, es decir, I f { x ) d x = / ( c ) ( ¿ — a ) , con c e I
b - a Ja
2.6 T EO R EM A S FUN D AM EN TA LES D EL C Á LC U LO IN TEG R A L
Teorema 3 (Prim er Teorem a Fundamental del Cálculo Integral o Teorem a de
Barrow )
S i f es una fu n c ió n c o n tin u a en / = [a;b ] y F es la fu n c ió n d e fin id a por
F(x) = I f { t ) d t , x G /, entonces se tiene
F '( x ) = ¿ ( / f ( t ) d t j = f ( x ) , v x e i
Demostración
Por definición, para x G [a; b] {x fijo), se tiene
, ,. F(x + h ) - F ( x ) f * +h f ( t ) d t - f i f ( t ) d t
F (x ) = lim -------------------------- lim ----------------- r-----------------
h-*o hh-*oh
, ! * f w t + c k f w t - s * f w t r v ( í ) d í
= h m ---------------------------- :-----------------------------= u m -------------------
h-*o h h-o n
121www.FreeLibros.com
Por el teorema del valor intermedio para integrales, para el par de números x y
x + h e [a; b] existe c entre x y x + h tal que
r X + h .
I f ( t ) d t = / (c )(x + h - x ) = hf(c)
Jx
Luego,
F'(x) = lim , c entre x y x + h
h->o h }
F '( x ) = lim f(c) , c entre x y x + h
h-0
F'(x) = / (x), V x E / , e s decir, F es una antiderivada de / en /.
Observación 4. Este teorema establece un enlace entre los conceptos de integral
definida e indefinida. Se prueba que una función f continua en I admite una
antiderivada dada por F(x) = / * f ( t ) d t , pues F '( x ) = f ( x ) , V x € /.
es un teorema de existencia, pues si f es una función continua en l, existe
F(x) = / * f ( t ) d t tal que F'(x) = f(x) , V x G7. Como F(a) = 0 , F es la
antiderivada de f en l cuya gráfica pasa por el punto (a; 0).
TÓPICOS DE CÁLCULO - VOLUMEN II
Teorem a 4 (Segundo Teorema Fundamental del Cálculo Integral)
Si / es una función continua en / = [a; b] y F es una antiderivada de f en /
( F '( x ) = f ( x ) , V x E /), entonces
[ f ( x ) d x = F ( b ) - F ( a ) = [F(x)]b (1 6 )
Ja a
Demostración
C om o F es una antiderivada de / en / y, por el primer teorema fundamental,
F definida por F (x ) = / f ( t ) d t es también una antiderivada de / en /, entonces
existe una constante c tal que F(x) = F(x) + c , V x E l.
Así, tenemos
F(b) = F(b) + c = f f ( t ) d t + c y F(a) = F(a) + c =
*a
C om o /Qa / ( t ) d t = 0, entonces
F(b) - F ( a ) = f f ( t ) d t
Ja
C om o la variable t no tiene significado especial, se concluye
í f ( x ) d x = F(b) - F ( a )
■'a
1
f ( t ) d t 4- c
122www.FreeLibros.com
INTEGRAL DEFINIDA
Observación 5
n) F (x)]ba es una notación para F(b) —F(a).
h) La fórmula dada en (16) es llamada “Fórmula de Newton-Leibniz” debido a
que estos dos matemáticos establecieron, independientemente uno del otro, la
relación íntima entre los conceptos de la derivada y de la integral. -El nombre
que se le da a esta fórmula es convencional, ya que ni Newton (1642-1727) ni
Leibniz (1646-1716) dieron exactamente con esta fórmula.
c) Obsérvese que la diferencia F(b) - F(a) no depende de la elección de la
antiderivada F, puesto que todas las antiderivadas se diferencian en una
constante, la que desaparece al efectuar ¡a diferencia. Por eso, al calcular una
integral definida no es necesario considerar la constante en la antiderivada.
a) Siendo / ( t ) = 1/(1 + t 2) una función continua, por el prim er teorema
fundamental, se tiene F'(x) = 1/(1 + x 2) , V x > 0 (es necesario notar que
F'{x) = 1/(1 + x 2) es válido para todo x e R). C om o F'(x) > 0 , V x R ,
entonces F es una función estrictamente creciente en R .
b) F"(x) = —2 x / { l + x 2) 2 (F presenta punto de inflexión en x = 0).
c) F '( 1) = 1/ 2 .
Finalmente, dado que F'(x) = 1/(1 + x 2) , entonces F (x) = arctan x + C para
alguna constante C. C om o F ( 0 ) = 0, entonces
0 = arctan(O ) + C => C = 0, es decir, F(x) = arctan x
Ejem plo 24. Calcule el valor de cada una de las integrales
So lu ción
a) U n a antiderivada de f ( x ) = 1/(1 + x2) en l = [ - 1 ; 1] es F ( * ) = arctan x
(en esta antiderivada, por la obs. 5-c, no se considera la constante). Luego,
E je m p lo 23. Sea la función F { x ) = ------- - d t . Calcule
Jn 1 + t0
a) F '0 0 b) F"(x) c) F’( 1)
Solución
f dx 1 ■■■ 7T y 7T n
J T + x 2 = [arctan x ] _ 1 = a rcta n (l) - a r c t a n ( - l) = - - - J = -
r 1t/2 jj.
b)J sen x dx = - [ c o s x ] ^ 2 = - ^ c o s - - cosOj = 1o
123www.FreeLibros.com
= C
o
TOPICOS DE CÁLCULO - VOLUMEN II
c) f e* dx = = e 1 — e° = e —1
Ja
f 1 1
d) I senh x d x = [coshx] = c o sh (l) - 1
Jq u
Com pare las respuestas obtenidas en (b), (c) y (d) con las obtenidas en los
ejemplos (13), (14) y (15) de este capítulo.
Eje m p lo 25
i) Sea G ( x ) = / “ f ( t ) d t , donde /: / = [a; b] ->R es continua y u = w (x ) es
una función derivable (u: —» /). Pruebe que
d
G'(x) = / ( u ) . u ', donde u' = — (u (x ))
ax
ii) Sea H(x) = f^ f ( t ) d t , d o n d e / y u = tt(x) tienen las condiciones dadas en
(i). Dem uestre que
d
H'(x) = - / ( u ) . u ', donde u ' = — (u (x ))
dx
Solución
i) S i F ( x ) = / * f ( t ) d t y u = u ( x ) , entonces
(F o u ) ( x ) = F ( u ( x ) ) = f ( t ) d t = G(x). Por laregla de la cadena, setiene
G'(x) = F '( u ( x ) ) . u '( x ) = F '( u ) . u ' = f (u). u ', pues F '( x ) = / (x ).
E n resumen, G '( x ) = / (u ).u '.
ii) H(x) = f “ f ( t ) d t = - / “ / ( t ) d t
Por (i), t f '( x ) = - ( / ( u ) . u ') = - / ( u ) . u '.
3 12 + 9 sen t + 15 ^
E je m p lo 26. S e a G (x ) = í — — -— —dt y W (x) = f
J_3 1 + 9 sen2t
Halle: a) G '( x ) b) t f '( x )
Solución
a) U sando el ejemplo 23-i), para / ( t ) = 1/(1 + 9 se n 21) y u = x 4, se tiene
1 4 x 3
C 'W = 3 - r ^ ------^ ‘ 4 x 3
l + 9 s e n 2(x 4) l + 9 s e n 2(x 4)
b) U sando el resultado del ejemplo 23-ii), obtenemos
. 1 , 3 x 2
H M = -----r — :-----r r — - • 3x
x 6 + 9 sen(x3) + 15 x 6 + 9 sen (x 3) + 15
124www.FreeLibros.com
rX*
INTEGRAL DEFINIDA
Ejem plo 27. Si G(x) = [ Ijl + y 3 d y,h alle G '(x ).
Jx2
Solución
C om o / ( y ) = ^/1 + y 3 es continua en M, entonces
G (x ) = f y i + y 3 d y = f  ] l + y 3 d y + í X j l + y 3 d y
Jx2 ¿x2 Jo
Luego,
G '( x ) = -  ¡ l + x * •2 x + V l + x 9 •3 x 2
= x [3x V i + x 9 - 2 3V l + x 6]
r 1 jx ld x
Ejem plo 2 8 . Calcule el v a lo r de -------- -
1 + x 2
Solución
Si / ( x ) = { ^ 2 ’ entonces / ( * )
1 + x 2 '
X
“ l + x 2
si x > 0
, si x < 0
Para calcular esta integral, se aplicará la propiedad aditiva respecto al intervalo de
integración. E n efecto,
f f ( x ) dx = f f ( x ) d x + f f ( x ) dx = = — i —l dx + í ■ * dx
J- 1 J - i J_x l + x 2 J0 1 + x 2
r l i° r l i 1
= - [ - l n ( l + x 2)j - l n ( l + x 2)]^
= ln 2) + | ( l n 2) = l n 2
Ejemplo 29. Calcule J = í |x2 + x — 6 |dx.
J~4
So lu ción
La variación de signos de x 2 + x - 6 = (x + 3 ) ( x - 2 ) es
+ - +
- 3 2
lu e g o |;t2 + x - 6 | = í A:2 + * _ 6 ' si x 6 ( - 00; - 3 ] u [2 ;+co)
i.uego, |x + x 6 | l _ ( x 2 + x _ 6 l s i x 6 < _ 3;2>
1 2 5www.FreeLibros.com
Aplicando la propiedad aditiva de la integral respecto al intervalo de integración,
se tiene
TOPICOS DE CÁLCULO - VOLUMEN II
f x2 + x - 6dx = í (x2 + x - 6 ) d x - f (x2 + x - 6 ) d x + f (x 2 + x -
«'—4 ■'—4 J—3Jo
2
(
3
3 v 2
6)dx
-3
+ lT + T - 6,
■ i - i "
125 38 109
6 ) + T - T ~
Eje m p lo 30. Sabiendo que x > 9, resuelva la ecuación:
16 dt
i9 V2(16 - t 2) 3
27T / 2 + yfx  3
=— + ln1 ------ I- 2arctan- —ln5 ... (a)
Syfx - 10
So lu ción
, , f 16 dt
En prim er lugar, calculam os la integral I -=------------- usando la sustitución
J Ví(16 —t2)
t = u2 y dt = 2udu. D e esta manera,
f 16 dt _ f 32 u du f 32 f 4 f 4
i Vt(16 - t 2) ~ J u( 16 - u4) ~ J 16 - u4dU“ J 4 - u2 + J 4+ü* d“
, |u + 2| aín lVF+21 ' /Vt
= ln ---- - + 2arctan(-) + C= ln —---- + 2 arctan —- + C
 u - 2  '2' V t-2  2
Luego,
i
16 dt
9 Vt(16- t 2)
Vt + 2 Vt 1
In
V t-2
+ 2 arctan(—)
Vx 3
+ 2 arctan — — 2 arctan - - In 5
O'
V i
, , + 2 arctan—— 2 a rc t a n - ... (ß)
V s V z - 10) 2 2^
Reem plazando (/?) en (a), se tiene
. / Vx + 2  V? 3 2ir
ln + 2 arctan T - 2 arctan 2 = T +
<=>
ln ( 4 ± i L ) _
 S y i x - l Q )
V * 2n A / x  n 4x ,ns V *
2 arctan— = y » arctanI— 1= - <=>— = tan(-J » — = V3
2arctan
Finalmente, x = 12.
126
www.FreeLibros.com
I . Kn cada uno de los siguientes ejercicios, calcule la derivada de las siguientes
(unciones.
INTEGRAL DEFINIDA
E JE R C IC IO S
..) /■
I»)
■'(x )- j co sh (2 t 2 + 1) dt
J
”Senx ^
------------dt
a arcsen t
C) f í [ y -— ^ — r d t ) dy
'2  J 8 1 + 1 + sen2t j *
d) F(x) =
•'a
R. F'(x) = 2 cosh ([8x2 + 1)
*■F 'w = Í t t A + sen2t
d t
r*3 1 j.
rJ0 i+ s e n 2t
eos2( y 2 + 4)dy
e) FQ t) = sen |J s e n ^J sen3t d t ] d y
2. Sean
/•arcsen^cosArj
F (x ) = / (se n t)dt -
A /3
J -s e n x ______ ____________
<Jg(t) dt = V i - . e o s x
sñ
J
1 — sen x
1 4- sen x
r f W dt
Halle H'(x) si H(x) = í ____
•'g(x)( 1- V l - x 2) ^
1 16
T '
/?. a = — 2 ó 1
f3 X + 1 2 / I
3. Si fCtjdt = ----- h a x ,calcule los valores de a de m odo que f -
JQ ax 4.
[ x* t s
4. Si F(x) — J ^ 1 + {4 dt , halle F'(x).
s X + X 2
5. Si G(x) = I 2 ~t2 d t , calcule G '(x ) y G '(l).
■>x2+i
r e*
6. Si F (x ) = I x ( t 2 + l) d t , calcule F '(x ).
7. Sea G(x) = I f ( t ) d t , donde f • 1 -* R es una función continua y las
•Vi(x)
funciones , <Pz'.]-*I, que son funciones derivables. Dem uestre que
G'(x) = f(<p2(x)) • <p'2 ( x ) - /O P iO O ) • < p 'i(x )
127
www.FreeLibros.com
TOPICOS DE C A LC U LO - V O LU M E N II
8. Sea / : [ —!; 2] -> E una función continua. Si F es una antiderivada de / en
[-1 ; 2], con F ( - 1) = 3 y F(2) = 7, calcule J f(x)dx. R. 4
9. En la figura adjunta se muestra la gráfica de una función g. Si f es la función
definida por f ( x ) = J^gCOdt , x G [-3 ; 8], y t
Calcule gráficamente:
a) / ( — 3) b) / (O ) c) / ( 8 )
R. a) 0 b) 6 c) 34 -3 6 8
10. Sea /: [ - 6 ; 6] -> E una función continua y g: [ - 6 ; 6] ->
im par continua, tal que I / (x )d x = 10 y I g(x)dx = — 2. Halle:
J-6 “'-6
rO
una ¿unción
a) í t/(x) + £ (x )] dx fí. 12 b) [ [/(x) + s # ( x ) ] d x R. 20
•'-6 •'-6
11. En los siguientes ejercicios, calcule / (2 ) sabiendo que / es continua y
verifica la ecuación dada para todo x > 0 .
a) [ f { t ) d t = x 2( l + x )
Jo
b)
X2
í f ( t ) d t
■'O
x 2( l + x )
R. 16
2 + 3 V 2
r f W
c) I t 2 dt = x 2( l + x )
Jo
r X 2 {l + l)
R.
L
R. V 3 6
1
d) f f ( t ) d t = x
12. Dem uestre que si / es continua, entonces
J f ( u ) ( x - u ) d u = J ^ J f (t ) d t ^ j d u
Sug: considere F(x) = I f (u ) ( x - u ) d u , entonces F '( x ) = I f(u)du.
Jo Jo
Luego, halle su antiderivada y calcule F ( 0 ) para su constante.
13. A partir del ejercicio anterior, demuestre que
du[ Xf ( u ) ( x - u )2du = 2 f i f í f Zf ( t ) d t ) dz
Jo •'o lyo Jq J
128
www.FreeLibros.com
14. H alle f ( x ) si = ■ 1 , V x > 0.
v i + se n 2*
15. Calcule el valor de las siguientes integrales:
a) J x 3 dx b) J (x + l ) 3 dx
f 1/2 1 r 2 x
c) I i d) ;------- 7 dx
Jo V i - x 2 Ji 1 + x
INTEGRAL DEFINIDA
e)
J-i 1+ 1*1 J3
i
5 5 x - 20
(2 - x ) ( x 2 + 1)
g) I | co sx| d x h) I se n 2(3 x )d x
Jo Jo
d x R. 1,336685 ...
ln x d x
r a! r
° L — i “* ° I
16. Sea / : [ - 6; 6] -» IR una función continua. Si f es im par y I f ( x ) d x = 3,
6
halle J (/ (x ) - 2x) dx. R. - 3 5
17. Para cierta población, suponga que N es una función continua tal que N(x)
es el número de personas que alcanzan la edad de x en cualquier año. Esta
función se llama función de la tabla de vida. Bajo condiciones apropiadas, la
integral J*+n N ( t ) d t da el número esperado de gente en la población que
tiene exactamente entre x y x + n años, inclusive. Si N(x) = 3 0 0 V 1 0 0 - x,
determine el número de personas que tienen entre 36 y 64 años.
R. 5 9 2 0 0 personas
18. Sea una recta tangente a la curva C : y = g ( x ) en el punto P (2 ;3 ).
Adem ás, la recta Lx pasa por el punto Q (1 0 ; 7) que no está en la curva C.
Si f ( x ) = J J t 2 + 7 d t , h a lle / '(2 ). R. 2
129www.FreeLibros.com
Teorem a 5. Si / es una función continua en / = [a; b] y si se reemplaza la
variable x de la integral por g { t ) (es decir, x = g(t)), donde g: [a;ß] -> / tiene
derivada continua en [a; ß], con g ( a ) = a y g ( ß ) = b ; entonces
TOPICOS DE CALCULO - VOLUMEN II
2.7 CAMBIO DE VARIABLE EN UNA INTEGRAL DEFINIDA
í f ( x ) d x = í f { g ( t j ) - g'(t)dt (17)
Ja Ja
D e m o stració n
ry
Sea F (y ) = í f ( x ) d x , y 6 I . Por el Prim er Teorema Fundam ental del Cálculo, se
Ja
tiene F '{y) = / (y ), V y 6 /.
Por la regla de la cadena ó derivada de una función compuesta, tenemos
í F í g m ' = F ' i m ) ■s '( t ) = / ( s e o ) •5 '( o
Por tanto, F ( g ( t )) es una antiderivada de f ( g ( t ) ) - g ' ( t ) . Por el Segundo
Teorem a Fundam ental del Cálculo, se tiene
C f ( f i( 0 ) •g ' W d t = [ F ( g m ß = F{g(ß)) - F( g(a)) = F (b ) - F (a )
•^a
= í / (x )d x
•'a
Observación 5. Si la función g  [ a  ß ] -* [a; b] es tal que g ( ß ) = a y g { a ) = b,
por lafórmula (17), se tiene
f f ( x ) d x = í f(gCO) ■g'{t)dt
Ja J ß
f3 x2
E je m p lo 31. Calcule I = I 3 3 dx.
J2 (1 + x )
So lu ción
Haciendo t = 1 + x 3, se tiene que x = g(t ) = V t - 1 , g'(t) =
3 V ( t - l ) 2 '
g( 9) = 2 y g ( 2 8 ) = 3. D ado que g y g' son continuas en [9; 28], entonces
I _ J2 ( 1 + a : 3)3 t _ J9 t3 2j(t —l ) z f
1 f 28 , l r l ]28
- j L -
’28 703
j9 381024
www.FreeLibros.com
INTEGRAL DEFINIDA
Hn la práctica, no es necesario dar la función g ( t ) explicitamente. Considerando
que el lector está habituado a cambiar la variable en una integral indefinida, sólo
nos queda decir que para cambiar los límites de integración basta reemplazar la
variable original x por los límites de integración en la correspondiente sustitución
y así obtener los nuevos límites de integración (que son los valores de la nueva
variable). En el ejemplo anterior, procederíamos así:
C om o la sustitución es t = 1 + x 3, entonces d t = 3x 2dx.
Para x = 2 => t = 9 = a ; para x = 3 = > t = 2 8 = / ? .
Por tanto,
x 2 dx 1 r 3 3 x 2 dx 1 f 2Bdt 703_ x ¿ dx 1 r 3 3x ¿ dx 1 r 2
~ J2 ( 1 + x 3)3 ~ 3 J 2 (1 + x 3) 3 = 3 J9 t 3 3 8 1 0 2 4
f i (x^ — 1^dx
E je m p lo 32. Calcule el valor de 1 = I ---------------
•'1/2 (x2 + l ) V x 4 + 1
So lu ción
Antes de efectuar el cam bio de variable, dividim os numerador y denom inador por
x 2 ( x z > 0, pues x 6 [1/2; 1]) y luego reemplazam os t = x + 1/x. Entonces
_ f 1 ( x2 - l ) d x f 1 ( l - - p ) d x
Ji/2(x2 + l ) V x 4 + 1 J i/2 1 | 1
_ r 2 dt i /,ilNl2
- ' s / 2 í V t 2 - 2 V 2
, |f|aresee |—
V 2. 5/2
= - ^ ( a r c s e c ( V 2) - aresee^) = - aresee^)
V 2 V v 1 2) V 2
Eje m p lo 33. Demuestre que
a) Si / es continua en [0; a], entonces I f ( x ) d x = I f ( a - x ) d x .
Jo Jo
/*d r a.
b) Si fe s función par y continua en [-a ; a], entonces I / (x )d x = 2 I f ( x ) dx .
j-a Jo
c) Si f es función im par y continua en [- a; a], entonces I f ( x ) d x = 0.
•'-a
131www.FreeLibros.com
TÓPICOS DE C Á LC U LO - V O LU M E N II
f" í nI2
d) Si fe s función par y continua, entonces | x / ( c o s x ) d x = n f / (c o sx )d x .
^ 0 J o
f n 7r r
e) S i/ e s continua, entonces I x f ( s e n x ) d x = - / ( s e nx) dx.
-'o 2 J0
Solución
a) En la integral J ^ f ( a —x) dx reemplazamos a —x ~ z y dz = - d x .
Entonces para x = 0 = * z = a , y para x = a => z = 0. Por tanto,
f f ( a - x)dx ~ - f f ( z ) d z = f f ( z ) d z = f f (x ) d x
J0 j a j o Jo
(La última igualdad es válida porque ia variable z no tiene significado especial)
b) f f { x )d x = f f ( x ) d x + f f ( x ) d x ... (a)
J - a J - q _________ J q
J
En la integral / reemplazam os x = - y . Enseguida, utilizam os el hecho de que
por ser / par se verifica / ( - y ) = / (y ).
7 = [ / ( x )d x = - f / ( - y ) d y = f f ( y ) d y = f f ( x ) d x ... (/?)
J - a J a J q J o
Reem plazando (/?) en (a), se obtiene
f f ( x ) d x = f f ( x ) dx + f / (x )d x = 2 [ / (x )d x
*'-a ^0 ¿O
c) Siguiendo el m ism o procedimiento empleado en la parte (b) y utilizando el
hecho de que / ( - y ) = - / ( y ) (por ser / impar), se prueba que
J - ¡ f { x ) d x - - f f ( x ) d x
J - a J q
Reem plazando este resultado en (a), se sigue que f f ( x ) d x = 0.
J - a
d) y e) Ejercicio. E n am bos casos reemplazar x = n —y.
E je m p lo 34. Calcule I = [ dx.
JQ 1 4" X
Solución
S i utilizam os la sustitución x = tan 8, tenemos
r M n í l + x ) f nl*n(l + x.an0) , r*/4
Jo ~TTx*~ J0 ■ **'« ‘‘' = 1 to(l + ta„«)JÍ
www.FreeLibros.com
rXT/4
IN T EG R A L D E F IN ID A
f r M
1 = 1 In l + t a n í------- 6) I dd(aplicando el ejemplo 32 - a)
Jo 4
/■n/4 , l - t a n 0  f ^ 4 / 2 
, = j0 ln V1 + lT tañfl) = i (íT ia ñ d )
rn¡ 4 /-rt/4
1=1 In2d0- I ln(l+ tanfl)c¡0
Jo ¿o________ __________ ,
i
/■ir/4 7r 7T
Por tanto, 2 1 = ln 2 d6 = - l n 2, de donde se concluye que I = — ln 2.
Jo 4 8
r Itx s e n x dx
E je m p lo 35. Calcule 1 = — —----— .
Jq 1 "i eos X
So lu ción
Teniendo en cuenta que e o s2x = 1 — se n2x, se tiene
r n x s e r ¡ x d x í 71 s e n x
1 = ------------— = x -----------dx
J0 1 + e o s2* J0 2 - se n 2x
sen x
Puesto que el integrando es de la form a x / (se n x), donde / (se n x ) = ^ _ ser)2' ~»
usando el ejemplo 32-e, obtenemos
rn s e n x n f n s e n x
1 = x - --------- - dx = — I ---------- 5- dx
J0 2 - se n 2x 2 J0 2 - sen2x
7T [ n Sen X 7T
= 2 Í = - 2 [arctan(coS* :'] 0
7T TTr 7T 7Tl 7T2 ’
= - - [a r c t a n (-l) - a rctan (l)]
2 L 4 4J
r^/4
<
-tt/4
r '■ 2
E je m p lo 36. Calcule J = (x 9 eos x + Vtan x + sen x e t o s I + eos2 x)dx.
J - n / 4
So lu ción
/•tt/4 r n / 4
J = ] (x 9 eos x + Vtan x + sen x e cos2jc)d x + cos2x dx
J — ir/4 J-7I/4
r^ 4 r 'r/41 + eos 2x
dx
/•TT/4 /-TI
j 2 - I co s2x d x = I
J —Í t l 4 *'-7
1 r sen 2x i'r/4 1 /7r  re + 2
= ü b — L /. = í f e + 1 ) = —
133
www.FreeLibros.com
E l integrando de es f ( x ) = x 9 eos x + V se n x + sen x e cos2* y es una
función impar, pues
TÓPICOS DE CÁLCULO - VOLUMEN II
/ ( - x ) = ( ~ x ) 9 c o s (- x ) + 7 t a n ( - x ) + s e n ( - x ) e cos2( x~>
= —x 9 eos x - V tan x - sen x e cos2x = - f ( x )
rn /i
Luego, p or el ejemplo 31 - a, se sigue que J i = f ( x ) d x = 0
J-n/4
n + 2 n + 2
P o r tanto, / = 0 H---------- = --------- .
2.8 I N T E G R A C I Ó N P O R P A R T E S E N U N A I N T E G R A L D E F I N I D A
Teorem a 6. Si u = u(x) y v = v ( x ) son funciones con derivadas continuas en
I = [a; b] , entonces
J u d v = [u v ]^ - J v du (1 8 )
D em ostración
De la diferencial de un producto se deduce que u d v = d (u v ) - v du.
r b r b r b r b
Luego, I u d v = I [ d ( u v ) - v d u ] <=> u d v = d ( uv ) - I v du
Ja Ja Ja Ja a
f *> . r b
=> u d v = [uv] -  v du
•'a ® ■'a
(Todas estas integrales existen, pues u, v, u ', v ' son continuas)
E je m p lo 37. Calcule / = f x 2 lnx
'i
So lu ción
dx.
Haciendo
y =
^u = ln x => du = - d x
x o , obtenem os
A
dv = x 2 dx =» v = —
3
x 3 l3
■ j l n x - Í / ^ c Í A : = ( 9 |n3 - Í |n 1) - [ i ^
1 26
= 9 ln 3 — - (2 7 — 1) = 9 ln 3 — —
1 3 4www.FreeLibros.com
E je m p lo 38. Calcule el valor de J = j arctanJ^jx - 1 dx.
So lu ción
Si z = a r c t a n V V * — 1 => V * = se c2z => x = sec4z y dx = 4 se c4z tan z dz.
Para x = 1 => z = 0 y para x = 16 => z = tt/3. Entonces
rii/3
} = I z •sec4z tan z dz
Jo
Para integrar por partes a esta última integral, consideram os
f u = z => du — dz
-dv = 4 se c 3z •s e c z tan z d z => v = sec4z
Entonces
f *''3
7 = [z sec4z]o 3 — I sec4z dz (*)
Jo
j j . r^/3
— (—) (1 6) — I (1 + tan2z)se c2zdz
1Ó7T í tan3z n^
INTEGRAL DEFINIDA
•— tan z +
3 3
1Ó7T r-
= — - 2 V 3
0
(*) Para integrar sec4z es suficiente considerar que sec2z = 1 + tan2z.
2.9 I N T E G R A C I O N D E F U N C I O N E S D I S C O N T I N U A S
D e fin ición 6. Sea /: [a; b] -» IR una función acotada y sea P = {x0lxlt ...,xn}
una partición de / = [a; b]. Sean clt c2,...,cn elementos de /, de tal m anera que
Cj £ Ij Xyj , j 1/2, .../TI.
L a sum a
n
S ( / , P ) = £ / ( c , ) A ; x
;= i
se denom ina S u m a de R ie m a n n de f con respecto a la partición P.
Sean m ; = i n f { f ( x ) / x £ /,} y M¡ - su p { f ( x ) / x e 1¡}. Entonces
rtij < f ( c j ) < Mj, j = 1,2, ...,n y m ás aún
S ( / , P ) < S ( / , P ) < S ( / , P )
La sum a de Riem ann es un tipo de sum a que no necesariamente es una sum a
inferior o una sum a superior, sino m ás bien está com prendida entre ellas.
13 5www.FreeLibros.com
D e fin ición 7. Se dice que S(f, P ) tiene límite J e R cuando ||P|| —» 0 y se
escribe 5 ( / , P ) = / si dado e > 0 (arbitrario), existe 5 > 0 tal que para
toda partición P, con 0 < ||P|| < 8 , y para cualquier c¡ se tiene
 m , P ) - )   < £
TÓPICOS DE CÁLCULO - VOLUMEN II
T eorem a 7 (de D a rb o u x). Si / es una función acotada en /, una condición
necesaria y suficiente para que f sea integrable en / es que exista / G IR tal que
Jim 5 ( / , P ) = / ; ( j = j j ( x ) d x ^
D e m o stració n (Ejercicio).
T eorem a 8. Sean f , g ■■l = [a ;b ] -» M dos funciones tales que f ( x ) = g(x),
V x E I, excepto para un número finito de puntos. S i g es integrable en /, entonces
/ es integrable en ¡ y se tiene
r b r b
í f ( x ) dx = í g(x)dx (1 9)
Ja Ja
D e m o stració n
S i g es integrable en / y g { x ) d x = J, por el teorema de Darboux, dado e > 0,
existe 8X > 0 tal que para todo P, con 0 < ||P|| < 5 1; y V c¡ E l¡ se tiene
 S { g , P ) - J  < £-
Por otro lado, si A = {x e / / f ( x ) * g ( x ) } posee r puntos (r finito) y sea
L = s u p {  f ( x ) - fl(x)| / x E /}, para toda partición P, con ||P|| < , se tiene
 S ( f . P ) - S ( g , P ) l = < r L P -
2rL 2
Luego, si 8 = mín|<51( se tiene
IS(f. P ) - ]  < m , P ) ~ S(g, P ) |+ 15(5 ,P ) - J | < | 1 = £
E n resumen, para toda partición P, con ||P|| < 5, y V c¡ E / se verifica
 S ( f , P ) - J  < E
Por tanto, por el teorema de Darboux, / es integrable en / y
f f ( x ) d x = í g(x)dx
J a J a
1 3 6www.FreeLibros.com
I roi cm a 9. Si / es continua en / = [a;b] excepto en ios puntos a ó b, en los
mi.îles existen lim< / ( x ) = / ( a + ) y lim f ( x ) = f ( b ~ ) (finitos), e n to n c es f es
j:-*b~
iiiii-i'.iahle en / y existe una función F, con F'(x) = / (x ), V x E (a; b), tal que
■b
f ( x ) d x = F { b ) - F ( a )
IN T EG R A L D E F IN ID A
f■Jn
Dem ostración. Ejercicio para c! lector.
D efinición 8 (F u n c ió n seccionalm ente continua en l ~ [a ;¿]). Se dice que la
lim dón /: / -> 1 es seccionalmente continua en / cuando / es continua para todo
 ' / excepto para un número finito de puntos c¡ , j = 1 , 2 m , para los
i nales existe
f ( c ~ ) = lim_ f ( x ) y f ( c f ) = l i m / ( * )
x ' * ci x ~,cj
‘.i i) - a a c¡ = b, debe existir / ( a + ) o f ( b ~ ) respectivamente.
r O K O L A R I O . Si / es seccionaimente continua en / = [a;b], entonces / es
mu-arable en /.
í - 2 , si - 2 < x < - 1
I jcm plo 39. Sea la función / ( x ) - ] x 3, si - 1 < x < 1 .
( 2 , si 1 < x < 2
Sr pide:
.i) I race la gráfica de /.
Ii) ;,/ es integrable en [— 2 ; 2 ]?
i ) Calcule I f(x)dx.
J-2
il) Halle F ( x ) = f f ( t ) d t , x £ [ - 2; 2] y trace su gráfica.
J-2
i ) Determine el conjunto donde F es derivable y halle F '(x ).
Solución
,i t I a gráfica de / se muestra en la Fig. 2.15.
I>) / es integrable en [— 2 ; 2]porque / es seccionalmente continua en [— 2 ; 2]
(/' es discontinua en x = - 1 , en x = 1 y en x = 2 ;pero en estos puntos
existen los límites laterales. E n x = 2 existe el límite lateralporizquierda).
i ) í f ( x) dx = f f ( x ) dx +í f ( x) dx + f f ( x ) dx
J -2 ■J-2 J-l •'1
= í ( - 2)d x + í x 3d x + í 2 d x = - 2 + 0 + 2 = 0
J-2 ■'-1
137www.FreeLibros.com
TOPICOS D E C A L C U L O - V O LU M E N II
d) Si x e [-2 ; -1 > => F (x ) = f ( - 2 )dt = - 2 x - 4
J-2
Si x E [—1,1] =* F (x ) = J f ( t ) d t = J ( - 2 )dt + J t
Si x E (1; 2) =* F(x) = J f ( t ) d t —J (— 2)dt + J t 3 dt + J 2 dt = 2x —4
t 3 dt = ■
x 4 9
T _ 4
í - 2 x - 4 , - 2 < x < - 1
Por tanto, F ( x ) = | (x 4 - 9 ) / 4 , - 1 < x < 1
 2 x - 4 , 1 < x < 2
La gráfica de F se muestra en la Fig. 2.16.
í —2 , - 2 < x < —1
f) F'(x) =  x 3 , — 1 < x < 1
i 2 , 1 < x < 2
Luego, F es derivable en [— 2; 2) excepto en los puntos x = —1 y x = 1.
Fig. 2.15
F(x) = f 2te~cZ
Jo
d t , x e R.E je m p lo 40. Trace la gráfica de
Solución
i) D(F) = E
ii) Intersecciones con el eje x: P ( 0; 0), pues F ( 0) = 0.
iii) F '( x ) = 2 x e ~ * 2. E l único punto crítico es x = 0 y se tiene
Signo de F'(x) < - +
Luego, F es creciente en (0; +oo) y F es decreciente en (— oo; 0>. E l valor
m ínim o relativo es F ( 0 ) = 0.
138
www.FreeLibros.com
iv) F"(x) = 2 e~x l - 2 x 2).
L o s puntos críticos de inflexión son x = V 2 / 2 y x = - V 2 / 2 .
Signo de F”(x) •<------- °-----------1-------------------- 1------------------►
- V 2/2 V 2/2
Por tanto, F es cóncava hacia abajo en ( - 00; — ¡2/2) U (V 2 / 2; + 00) y
cóncava hacia arriba en (~ V 2 / 2 ; V 2/2). Las abscisas de los puntos de
inflexión de F son x = V 2 / 2 y x = —V 2/2.
v) Integrando se obtiene que F(x) = 1 - e “*  por lo que y = 1 es asíntota
horizontal. L a gráfica de F se muestra en la fig. 2.17.
INTEGRAL DEFINIDA
F iq . 2.17
E J E R C I C I O S
I. Calcule el valor de las siguientes integrales:
r° dx 71 f 2 dx 1
1 J_14x2 + 8x + 8 16 J1 x2 - 4x - 5 6*n2
dx ti r 1 3
3. ■ ■■ R. - 4. x 8e - x
Jo V2 - x2 4 J0
2 5
dx R. - - —
3 3e
r * 1 r /3 7
5. I senh x sen x d x /?. - s e n h ír '6 . I tan x dx R. 0
-'o 2 J_„/3
f ax s/2dx 57ra 3 f 2 x 5 dx
J0 ‘~ Í6 ~ 8 ' i ( 1 + x 3) 3/2 9
139
www.FreeLibros.com
> ■ /;
dx
TOPICOS D E C A L C U L O - V O LU M E N II
1023
10. f x 8( l — x 3) 5/4 dx
■>1
11.
x 6(65 - X 6) 1/6
X dx
. f x 4( l — x 2)3/2 dx
Jo
f V v r
Jq
f :
c - ,
f ln yjl — x
Jo
1Vi - x
13. I —= d x
J Z ^ x
x e x
(1+ x ) 2 d
■x dx
f 1/2 1 + x
16-L J — dx1 / 2 -
¡■n/3
7- J
17. I c o tx (ln se n x )d x
18.
í
11/3 V ía n x dx
„/ó Vtan x + V c o tx
tt/4/•7T/4
19. I |tan5x|dx
J-7T/4
r 2*
20. I |senx — cosx|d x
Ja
íJo
x sen x
21. ---------- — d x
22.
1 + co s2x
4'X + 1
x + 6
dx
rn/:
23.
‘'ir/ó
11/3 V s e c x dx
V se c x + V c sc x
fi.
i?. -
12300
128
5967
2n
R’ "256
71
R' 4
R . y ¡ 2 - ln ( l + V 2)
e - 2
fi.
fi. ln 2 -----
2
fi. — 4- ln 2
2
fi. 4 V 2
7T
T
fi. 5 + 5 ln-
fi.
140www.FreeLibros.com
cn eos x f ^ 2sen x c o sx
Si I 7— — --; 7 dx = A, calcule el valor de la integral --------------- dx en
h (x + 2 )2 J0 x + 1
función de A. R - ( - 4 ------ -------
2 2 n + 2 )
f n c o s x d x [2 c o sx f 71e o sx dx
Sugerencia: exprese ¿ J,
Luego, calcule cada una de las dos integrales usando integración por partes y
finalmente haga el cam bio de variable x = 2 u.
f 1 e x
III. Si k = I dx, exprese los valores de las siguientes integrales en función
J q X T i-
de k.
'• l - , 7 ^ T T dx ~*ce~a <Sug: u = a —x — 1)
IN T EG R A L D E FIN ID A
? f 1 x e x¿
J0 x2 + 1
s. f -
Jo I
dx
e x 1
dx /?. k + 1 - - e
(x + 1 )2 2
4. í e * l n ( l + x ) fi. e l n 2 - f c
Jo
IV . Ejercicios diversos.
1. C alcular/(O ) sabiendo que / ( n) = 2 y f [/(x) + f"( x)] senx dx = 5.
Jo
R. 3
[ bs enx cosa eos b f b c o sx
2. Pruebe que ------- dx = -----------------— + — -- d x .
Ja x a b Ja x 2
Í 12x — 12 , si x < 1 , . f 2*
3. Si / (x ) = _ s i x > 1 : 3 (1 ) = ^ m d t , X E R .
Calcule el valor de f g( x)dx. R. 3 6 9 7 / 4
2
4. Si n es cualquier núm ero natural, calcule el valor de
r^ se n (n + j ) x
J x
sen 2
-dx /?. 7T
141www.FreeLibros.com
TOPICOS DE CALCULO - VOLUMEN II
5. Calcule el valor de las siguientes integrales:
-1' 2 f l + X
a) Jcos(sen x ) In — - J + 3x + 4
r n / 2
b) I x sen x dx
-'-71/2
çn/2
c) I x 81c o s(x 9) dx
J-ji/2
/•tt/4
d) I [x14se n (x 7)] dx
J-nj
dx
TI¡A
e) f [(x 5 + x 3 + x ) V l + x 4 + 3j dx
J - 7
R. 4
R. 2
R. 0
R. 12
6 . Sea /: 1 una función continua. Si se sabe que í f ( t ) d t = 6 ,
•/-i n
calcule
f / ( 2x — 2) dx.
J — 4
7. Sea / ( x ) =
si 0 < x < 2
- 1 , si 2 < x < 3
. x - 3 , s i 3 < x < 4
a) Esboce la gráfica de /.
b) Calcule JQ4 / (x )d x .
c) Calcule F ( x ) = f * f ( t ) d t , x G [0;4],
d) Trace la gráfica de F.
e) Determ ine en qué puntos F es derivable.
8 . Sea F (x )
f * e‘2
= ^------ ? d í-
J0 1 + t2
a) Pruebe que F es función impar.
b) Pruebe que F ( x ) > x ,V x 6 i j = [0; +oo).
9. Calcule el valor de
çtt/3
L * 1
Veos X
n/6 V se n x + V c o s x
dx.
10. La ecuación param étrica de una curva es H
h ;
co sz
dz
sen z
, t > 1. Halle
-dz
d y
dx '
www.FreeLibros.com
INTEGRAL DEFINIDA
11. La función / y su inversa / _1 son continuas y / (O ) = 0. Pruebe que
-5 r f ( 5)
/ ( x ) d x + f ~ 1( t) d t = 5 / ( 5 )
-'o •'o
dx
12. Calcule el valor de
r 3
13. Calcule el valor de
-3
r
i
(2x 2 + l)^/x2T í '
x 2 - 4
f A - T
14. Calcule el valor de I 7-^— 7-71dx.
x 2 - 2 5
3 x 2 _ 4
3 I* 2 - 1 6 1
dx.
15. Sea / una función continua tal que / '( x ) < 0 en [1; 4].
Si / ( 1) = —2 , / ( 4 ) = —6 y J14 / ( x ) d x = —10 , calcule el valor de
f f ~ 1( x)dx. R. 12
J-f,J-6
x < 2
16. Si / ( x ) = j ’^2 ^ X < ° , calcule J [/ (x) - x]dx.
-1 + x 3
x > 0
r271
17. Calcule I (|sen x| + x)dx.
•'O
{ e2- l
18. Calcule f [4 - 2 ln (x + 1)] dx. R.'2 (e 2 - 3)
•'O
f5|x3 -
■'-1
19. Calcule |x3 - 4 x | d x .
d x 15?r + 44
Calcule — =— — 7 . R.
(x 2 + l ) 4 96
/ * sen(t — l ) 2 dt 1
.’.l. Calcule lim -------—-------— ------ .
*-1 (1 — x ) 3
cn/2 dx n
Calcule ------- ---------p . R. —
J0 1 + f t a n x ] ^ 4
Sugerencia: hacer u = - —x.o 2
143www.FreeLibros.com
TÓPICOS DE C Á LC U LO - V O LU M E N II
Para calcular una integral definida por la fórmula de N ew ton-Leibnitz se necesita
hallar una antiderivada del integrando; pero en el capítulo I hem os m encionado
que no toda función continua tiene una antiderivada expresada mediante funciones
elementales, por lo que es necesario los métodos aproxim ados para su cálculo. En
esta sección tendremos en cuenta que, por el teorema de Darboux,
I f ( x ) d x = ||Hmo ^ / ( t , ) A ¿ x , donde P = {x 0, x 1(
“ i= i
es una partición de [a; b] , A ¡x = x¡ —x ^ y t¡ 6 [xi_1; xi],
2.10.1 A P R O X I M A C I Ó N P O R R E C T Á N G U L O S
Sea /: [a; b] -> E una función continua.
Sea P = [x0 = a , x 1, x 2, ...,xn = b} una partición de [a; b] de tal manera que el
intervalo [a; b] quede dividido en n partes iguales. L a longitud de cada uno de los
subintervalos es
b - a
Ax = --------
n
S ea y¿ = /(* ,-), i = 0 , 1 , 2 ,..., n.
Cada una de las sum as
y 0Ax + y xAx + y 2Ax + ... + y n. xAx
y xAx + y 2A x + y 3A x + ... + y nA x
expresa aproximadamente la integral
í f ( x ) d x
Luego,
[ f ( x ) d x s A x ( y 0 + y ! + y 2 + + y,,^!) (2 0 )
Ja
í f ( x ) d x = Ax ( y x + y 2 + y 3 + - + yn ) ( 2 1 )
Ja
Teniendo en cuenta que y kAx es el área algebraica del rectángulo debase A x y
altura y k, en la figura 2.18 se muestra el polígono rectangular cuya áreaalgebraica
es la aproxim ación del valor de /a&/ ( x ) d x usando la fórm ula 19.
E l error que se comete al calcular el valor de la integral por la fórm ula de los
rectángulos (19) ó (20) es m enor cuanto m ayor es el número n.
2.10 CÁLCULO APROXIMADO DE LAS INTEGRALES DEFINIDAS
144
www.FreeLibros.com
IN T EG R A L D E FIN ID A
I n este caso, se usan trapecios rectangulares en lugar de los rectángulos
tunsiderados en el ítem anterior. Sean los puntos P0(x0; y 0), Pi(x1; y 1), ... ,
/;,(.Y„;y„), donde x0, xn , y 0, yi,..., y n han sido definidos en el ítem
anterior. Consideram os los n trapecios rectangulares 71,7 2l ...,7n que están
limitados por las cuerdas , P1P2, Pn-í^n respectivamente. C o m o las
.ucas algebraicas de estos trapecios son, respectivamente, ¡guales a
yo + y i A y i + y z . y n-1 + yn .
— -— Ax , — -— Ax , ... , ------ ------- Ax ; entonces
2.10.2 A PR O X IM A CIO N PO R T R A PEC IO S
b y ° + y i a , y i + y 2 A , , y* -i + y n .f { x ) d x - — - — A x H------- — A x H— H-------- ------ A x
a ¿ ¿ ¿
f ( x ) d x = ¡ ^ -^ 1 + y 1 + y z +■■■ + y n- l^Ax (22)
l,n la figura 2.19 se muestra el polígono rectangular cuya área algebraica es la
aproxim ación del valor de f ( x ) d x usando la fórm ula 2 2 .
Igual que en el caso anterior, cuanto m ayor es el número n, es mejor la
aproxim ación al valor de la integral.
Fig. 2.19
145www.FreeLibros.com
P rop osició n 5. Sea g( x ) = A x 2 + Bx + C , donde x 6 [a; b ] , y 0 = g ( a ) ,
( a + b
yi = s ( — 2~ J ' y 2 = 9 Entonces
A x , b — a
TÓPICOS D E C Á L C U L O - V O LU M E N II
2.10.3 APROXIMACIÓN POR PARÁBOLAS (FÓRMULA DE SIMPSON)
/* Ax
I G4x2 + B x + C )d x = — [y0 + 4yt + y 2] , donde Ax
Ja ^
D em ostración
Por el segundo Teorem a Fundamental del Cálculo,
rb
(.Ax2 + B x + C )d x =
(23)
Ax3 Bx2
~ T + ~ + C *
Luego de efectuar las operaciones indicadas se demuestra que
fb Ax
j (Ax2 + B x + C)dx = — [y2 + 4 y 1 + y 0].
Considerando esta proposición, si la parábola y = A x 2 + Bx + C pasa por los
puntos
/a + b 
P0(a-,y0) , Pi 2~ ¡ y i ) ■ p2(b;y2) .
entonces el área algebraica bajo la parábola está dada por (23).
Sea f una función continua en [a; b]. Para hallar una aproxim ación de f ( x ) d x ,
la idea básica es aproxim ar la gráfica de f por arcos de parábolas. Para
dividim os el intervalo [a; b] en n partes iguales, donde n es par. Sean
{x 0,x 1,x 2, ...,xn } los extremos de los subintervalos, y y¡ = / (x ¡), i = 1,2 , ...,n.
E l área algebraica bajo la parábola que pasa por los puntos (x 0; y 0), ( x ^ y - J
Y i x2; y 2) está dado por ( y 0+ 4 y 1 + y 2)A x/3 . A s í m ism o, el área algebraica bajo
la parábola que pasa por los puntos (x 2; y 2), (x 3; y 3) y (x 4; y 4) , está dado por
(y 2 + 4 y 3 + y 4)A x / 3 y así sucesivamente, hasta llegar al área algebraica bajo la
parábola que pasa por los puntos (x n _2; y n_ 2) ' ( X i - n 'y n - i X (x n ;y„ ) está dado
por (y n- 2 + 4 y n _! + y n)A x/3 .
Por tanto,
f b Ax „ A x , . Ax
J f{x)dx = — (y0 + 4 y x + y 2) + — (y2 + 4 y3 + y4) + + — (y„_2 + 4 yn_1 + yn)
f ^ Ax
J f(x)dx s — [(y0 + yn) + 2 (y2 + y4 + ... + y n_2) + 4 (y t + y 3 + ... + y n- i)] (24)
Esta fórm ula es llamada fó rm u la de Sim p son .
146www.FreeLibros.com
INTEGRAL DEFINIDA
Ejem plo 41. Para n = 10, calcule por aproxim ación el valor de
"1 4 dxf 1 4 dx
J0 1 + X 2
Solución
Si n = 16, entonces Ax - (1 - 0 )/ 1 0 = 0,1.
x í
f ( x  _ 4
x i / (*« )' C 1 + x 2
o
il
o
X
O
(i1
4*1
O1 X (y = 0 ,6 y 6 = 2 ,9 4 1 1 7 6 4 7
x i = 0,1 y x = 3 ,9 6 0 3 9 6 0 4
1!
o
Vj
y 7 = 2 ,6 8 4 5 6 3 7 5
x 2 = 0,2 y 2 = 3 ,8 4 6 1 5 3 8 4
*co
II
O
00
y 8 = 2 ,4 3 9 0 2 4 3 9
x3 = 0.3 y 3 = 3 ,6 6 9 7 2 4 7 7 x9 - 0,9 y 9 = 2 ,2 0 9 9 4 4 7 5
x4 = 0,4 y 4 = 3 ,4 4 8 2 7 5 8 6
T“l
II
O
*
o
II
NJ
O
x 5 = 0,5 ys = 3,2
Por la fórm ula (20) (aproxim ación por rectángulos),
í 1 4
7 T T T dx = 0, í [y0 + Vi + y 2 + ■■■+ y 9] = 3 ,2 3 9 9 2 5 9 8 9
-'o + x
Por la fórm ula (21) (aproxim ación por rectángulos),
-i 4
f 4
i Í T ^ dX - 0,1 [}>1 + y2 + ■■■+ y 9 + y io ] = 3 ,0 3 9 9 2 5 9 8 9
Por la fórm ula (22) (aproxim ación por trapecios),
4
--dx = 0,1
í r
= 3 ,1 3 9 9 2 5 9 8 9
+ x 2
Por la fórm ula (23) (aproxim ación por parábolas o método de Sim pson),
f 1 4 0,1 r
J i + x z dx ~~3~'-y° + y i ° + 4(-y i + y 3 + y s + y ? + y ^ +
+ 2 ( y 2 + y 4 + y 6 + y 8)] = 3 ,1 4 1 5 9 2 6 1 4
Este últim o valor com parado con el valor real de la integral
"1 4 dx
= n = 3,14159265..
í0 1 + * 2
es exacto hasta la séptima cifra decimal.
1 4 7www.FreeLibros.com
Calcule los valores aproxim ados de las siguientes integrales:
f ^ dx
1. I — , por la fórm ula de los trapecios y la de Sim pson (n = 2).
R. 1,6182 y 1,6098 respectivamente
r 2 dx
2. — , p or la fórm ula de los trapecios y la de Sim pson (n = 10).
'i x
R. 0,69377 y 0,69315 respectivamente
3 . í V 1 —x } d x , p or la fórm ula de los trapecios (n = 6).
■'o
R. 0,8109
TOPICOS DE CALCULO - VOLUMEN II
EJERCICIOS
f 3 dx
4. , p or la fórm ula de Sim pson (n = 4).
Ji 2 x - l
R. 0,8111
www.FreeLibros.com
3ti*
<......... 1- ...................... • " ^
INTEGRALES
IMPROPIAS
En la definición de la integral definida í f { x ) d x , fueron establecidas ias dos
Ja
restricciones siguientes:
I o El intervalo / = [a-,b] es acotado
2 o / es acotada en /D
Ahora trataremos de librarnos de estas restricciones, extendiendo el concepto de
integral definida al caso en donde el intervalo de integración es infinito o el caso
en donde la función del integrando / presenta discontinuidad infinita en [a; b].
Las integrales que tienen estas características se llaman integrales im p ro p ia s y
son de dos tipos:
T ip o 1: Integrales im propias con límites infinitos.
T ip o 2: Integrales im propias con límites finitos (con discontinuidades infinitas).
3.1 I N T E G R A L E S I M P R O P I A S C O N L Í M I T E S I N F I N I T O S
D efinición 1. Sea / :/ = [a ;+ o o ) -* R una función continua en el intervalo /.
La integral impropia de / de a a +co se denota y se define como
í f ( x ) d x = lím f f ( x ) d x
Ja t~’+' Ja
r+CO
Se dice que la integral im propia I f {x)dx c o n v e rg e cuando el límite existe.
•'a
Si el límite no existe o es infinito, se dice que la integral im propia diverge.
Observación 1. Como vimos en el capítulo anterior, si f (x) > 0 , la integral
definida I f ( x) dx representa el área de la región plana limitada por
la gráfica de f , el eje x y las rectas verticales x = a y x = t. Luego, cuando Ia
integral impropia es convergente podemos interpretar que el valor de la integra!
es el área de la región plana infinita que se encuentra a la derecha de la recta
x = a y está comprendida entre la gráfica de f y el eje x (Fig. 3.1).
www.FreeLibros.com
TÓPICOS DF C A I C U I.O - VOI I'M F N II
Fig. 3.1 Fig. 3.2
D efinición 2. Sea /: / = (— °°;b] -» R una función continua en el intervalo /.
La integral im propia de / de — oo a a se escribe y se define com o
" b r b
í f ( x ) = l‘m í f { x ) d x
J—00 t-»-00 J
Si este límite existe, se dice que ¡a integral impropia es convergente; en caso
contrario se dice que es divergente.
Por otro lado, si f ( x ) > 0, V x e / y la integral im propia I f { x ) d x converge,
j — 00
entonces elvalor de la integralrepresenta el área de la región plana infinita
ubicada a izquierdade la recta x = b y está limitada por la gráfica de. / y el eje x
(Fig. 3.2).
D efinición 3. Sea /: E -* K una función continua en el intervalo {-o o ;+ c o }.
La integral im propia de f de — oo a + co se escribe com o
r + 00 f b r + co
I f ( x ) dx = I f ( x ) dx + I f ( x ) dx
J — 00 J —OO J b
donde b es cualquier número real.
,.+ 0 0 r b
La integral im propia f ( x ) d x es c o n v e rg e n te si tanto I f ( x ) d x como
J —00 —00
í
/ (x ) dx son convergentes, y es d iv e rg e n te si alguna de las integrales
impropias del lado derecho diverge.
E je m p lo 1. Determ ine si la integral | (x - 2) exdx converge o diverge.
J-00
Solución
En esta integral se aplica la integración por partes con u = x — 2 y d v = e xdx.
150www.FreeLibros.com
INTEGRALES IMPROPIAS
De la definición de la integral impropia, se tiene
[ (x - 2 ) e xdx = lim f (x - 2) e xdx = lim [(x - 2 ) e x- e x]2
■Leo t-f-CO Jt t->-CO t
= lim [ - e 2 - (t - 2 ) e t + e c] = - e z - lim (t - 2 ) e c
t —*—oo
El últim o límite es de la form a 0. Aplicando la R egla de L ’Hópital, se obtiene
0
t - 2 1
lim (t - 2) e c = lim — — = lim -----
t-*—oo t -+—co Q 1 t-» -c o —Q~
Por lo tanto, concluim os que
r 2
(x - 2) e xdx = - e 2
fJ — (
En conclusión, la integral im propia es convergente y converge a — e 2.
r+°° ^ _j_ 2X
E je m p lo 2. Determ ine si la integral —— — — - d x converge o diverge.
x "f- 3x 5
So lu ción
+0° x 2 4- 2x
i x 3 4- 3 x 2 4- 5
dx
i r +0
lim -
t->+cc 3 J1
3x2 + 6x 1 t
d * = x lim [ln x 3 + 3 x 2 + 5|]
x 3 + 3x2 + 5 3 t-*+oo J1
1 1
— lim [ln|t 3 4- 3 t2 4- 5| - ln 9] = ~ ( + o o ) = + o o
3 t-»°° 3
Por tanto, la integral im propia dada diverge.
r+ CO
E je m p lo 3. Calcule -------- rd x .
L o o 1 + X 2
Solución
Eligiendo b = 0 , se obtiene
r +0° dx _ r° d x r +co
J_00 1 + X 2 ~ J_!x¡1 + X 2 + Jg 1
' r° dx f b dx
= lim -------7 + lim ------- 7
a->-oo J 1 + X 2 b-*+oo J 1 + x 2
dx
+ x 2
.y =
1+ x2
Fig. 3.30 b
= lim [arctan x] 4- lim [arctan x]
a-> -°O a b-*+co o
= lim [arctan(a)] 4- lim [arctan(b)] = - ( — rr/2) 4- n/ 2 = n
a->-co ö-»+oo
[ +°° dx
Por lo tanto, la integral im propia I ------- - es convergente y converge a n
J-oo i + x l
1
En la Fig. 3.3 se m ue stra la gräfica de f ( x ) = + x 2 ■
151www.FreeLibros.com
TÓPICOS DE C Á LC U LO - V O LU M E N II
f ax
E je m p lo 4. M uestre que la integral I — converge si p > 1 y diverge si p < 1.
J x^
f cdx _
J i xp ~ —p + 1
Solución
Para p 1, se tiene que
Luego,
C+codx f
a) Si p > 1, — = lim
XP t^ +QO
y la integral considerada es convergente.
/•+cod x r Édx t 1'?
b) Si p < 1, I— = lim — = lim
Jjx p + x p +°
y la integral considerada es divergente.
rt dx
— = lim
XP Í-.+CO
1
(1 - P ) t p -1 1 - p . p - 1
1 - p 1 — p
= : 4-00
c)
f +” dx r £dx
Si p = 1 , I— - = lim I — = lim [ln
Jj XP t->+co X t-*+00
y así la integral dada es divergente.
t] = + C
En resumen.
■/; xP
es convergente si p > 1 y divergente si p < 1.
3.2 I N T E G R A L E S I M P R O P I A S C O N L Í M I T E S F I N I T O S
D efinición 4. Sea /: I-» R (donde I = [a; ó » una función continua en / y
lim / ( x ) = co. La integral im p ro p ia de / de a a b se define com o
x-*b
f f ( x ) d x = lim í / ( x ) d x
Ja t-*»' Ja
Si ellímite existe, se dice que laintegral im propia es convergente; encaso
contrario se dice que es divergente.
L a definición dada también es equivalente a
r b r b - E
I f { x ) d x = lim I / ( x ) dx
Ja E" 0+ Ja
Si/ (x ) > O, V x £ [a ; b ], y la integralim propia I/ (x ) d x esconvergente, el
valor de esta integral representa el área de la región infinita lim itada por la gráfica
de /, el eje x y las rectas x = a A x = b (Fig. 3.4).
152www.FreeLibros.com
INTEGRALES IMPROPIAS
a t
Fig. 3.5
D efinición 5. Sea /: / -* E (donde / = (a; b]) una función continua en / y
Jim / (x ) = oo . La integral im propia de / de a a b se escribe com o
f f ( x ) d x = lim í / (x )d x
Ja a A
Si el límite existe, se dice que la integral im propia es convergente; en caso
contrario se dice que es divergente.
La definición dada también es equivalente a
r b r b
I f ( x ) d x = lim I f ( x ) d x
Ja e~>0 Ja+e
Si / (x ) > O, V x e [a; ¿] y la integral im propia I / (x ) dx es convergente, el valor
de esta integral representa el área de la región infinita limitada por la gráfica de /,
el eje x y las rectas x = a A x = b (Fig. 3.5).
Definición 6. Sea f: I -» E (donde / = [a; £>]) una función continua en /,
excepto en algún punto d G (a; b) en donde lim / (x ) = o o ó lim / ( x ) = oo.
x-*d+
Entonces se define
f f (x ) d x = í f ( x ) d x + í / (x )d x
•'a •'a Jd
r b f d r b
l.a integral im propia I f(x)dx es convergente si tanto I f(x)dx com o I f(x)dx
ja 'a Jd
son convergentes, y es divergente si alguna de las integrales im propias del lado
derecho diverge.
153
www.FreeLibros.com
Observación 2. Si la función f definida en (a; b) (a puede ser —oo y b puede
ser + 00) tiene dentro del intervalo (a; b) un número finito de puntos de
discontinuidad infinita c1(c2, ....,cn , entonces la integral de la función f en
(a; b) se define como
f f ( x ) dx = f f ( x ) d x + f f ( x ) d x + . . . + f f ( x ) dx
•'a *a *Cx cn -i
siempre que cada una de las integrales impropias del segundo miembro sean
convergentes. Si por lo menos una de las integrales diverge, entonces
f b
I f ( x ) dx también diverge
Ja
f 2 dx
E je m p lo 5. Determine, si existe, I —
J1 V x - 1
Solución
1
La función / ( * ) = — .- es continua en (1; 2] y lim f ( x ) = + 00.
Luego,
/ = [ = lim í = lim Í2V x - 1 ]2 = lim Í2 - 2V t - 1 1 = 2
Por lo tanto, la integral im propia / es convergente y converge a 2.
f 1dx
E je m p lo 6 . M uestre que la integral I — converge si 0 < p < 1 y diverge si
Jq x
p > 1.
So lu ción
a) Para 0 < p < 1, nos queda
TOPICOS DE CALCULO - VOLUMEN II
[ v d x f 1 dx
— = lirn —- = lim
J0 xP t-*o+Jt x p t->o+
t i - P
1 - p 1 - p
y la integral considerada es convergente.
1 - p
f * dx f * dx
b) Parap = 1 , I — = lirn — = lim ( - ln t) = +00
J0 x t-*o+ x t-o+
y la integral dada es divergente.
[ ' d x f 1dx 11
c) Parap > 1 , I — = lim I — = lim
J0 x pt-»o*Jt xP t-o+( p - l ) t P - 1 p - 1
+00
y la integral es divergente.
www.FreeLibros.com
INTEGRALES IMPROPIAS
/■*/«
Ejemplo 7. Calcule, si existe, la integral I cot 9 d.6.
■'-fr/4
So lu ción
Se observa que la función / (fl) = cot 6 = tiene discontinuidad infinita en
sen 8
9 = 0. A si, la integral dada se escribe como
r*r/ 4 r 0 rít/ 4
I cot 8 d.8 = i c o t 9 d8 + cot 8 d8
J - n/4 J-n /4 Jo
Puesto que la integral
í cot 8 dd = lim í cot 8 d8 - lim [ln|sen 0 |] I l M
J —n / 4 e - 'O + J - n / 4 ^ 0+ '
- J[im+ [ln|-sen(e)| - ln ( V 2 / 2 )] = -o o
es divergente, entonces la integral dada también es divergente
r o e i/x
Ejemplo 8. Calcule I — j~dx (si existe).
J x
So lu ción
C
La función f ( x ) = — tiene discontinuidad infinita en x = 0. Entonces, usando el
x
método de integración por partes, se obtiene
r0 gl/X f - £ p i/x r -1
' ■ - 1 ■ - [ei / * _ _ ei/*l
X
2
r e f ~ £e 1/x r
— z -d x = lim I — j - d x = lim e
J_! Ï 3. £->0+J_! X3 £->0+1
— lim + - e _1/£ - 2 e '
£-*0+ L £
e _1/£ 0
NOTA: El limite Um+ — -— es de la form a - . Aplicando la Régla de L’Hôpital,
résulta
e -1/£ 7 - l / e 2 î
lim ,--------= lim — T7- = l i m -------------r-4 = 0
£-♦0
i — u n i — t t = n m -------------2—* ■
+ e £-*o+ e1'* £-*0+ei/£^_
+00
dx
Ejemplo 9. Calcule, si existe, I
J - c o ¿ )
Solución
La función / (x ) = — — — tiene discontinuidad infinita en x = 0 y x = 2.
x{x - 2) 3
E ligiend o los puntos * = - l , x = l y i = 3 , la integral dada se escribe
155
www.FreeLibros.com
TOPICOS DE CALCULO - VOLUMEN II
r +" dx _ r -1 dx r° dx r 1 dx r 2 dx
J_M x ( x - 2 ) J_m x ( x - 2) + J_t x (x - 2 ) + J0 x(x - 2 ) + Jx x(x - 2)
J, x(x - 2) J3
’3 dx ^ f + ” d x
i2 *(* - 2) J 3 x(x - 2)
Puesto que la integral
lim
t->0-
rt d t
J-i 0 ~ 1)
2 _
lim
rl
2 ln
t - 2
t
-
= lim
1
2 ln
x - 2
-ln 3 = 4-00
dx
es divergente, entonces la integral I —-------— es divergente.
J —oo X(.X — ¿ )
Eje m plo 10. Determine el valor de n para el cual la integral im propia
-+ » / « 3X x
[ ( —J, Vx + 1
dx
2 x 2 + n)
es convergente. Adem ás, calcule la integral para dicho valor de n.
So lu ción
A l aplicar la definición de la integral impropia, se tiene
f +co / n 3 x  n 3 x 
l V ÍT Í " 2x 2 + n) dX ~ I t n ~ 2x 2 + n )
dx
lim
t-*+ 00
ln
(t + l ) n
ln -
2n
C om o
(2 t 2 + n ) 3/4 (2 + n ) 3/4J
( t + l ) n( f + 1) n
lim =--------T77 = lim .....— --------------------------------
t^+co ( 2 í 2 + n ) 3/4 V 8 Í 6 + 12n t 4 + 6 n 2t 2 + n 3
3 3
entonces este lím ite existe cu an d o n = - ó n < -
a) Si n = - , lim
2 t-»+oo
b) Si n < - , lim
2 t —*+oo
ln
2 5/2
( t + i r i - ' - i — 3
(2 t 2 + ±)3/y  ( 2 -f-|)3/4;
3 7 3
= 7 ln 7 _ o ln24 4 2
, (t + 1 )" , 2"
ln — ------- TT7T - ln -
(2 t 2 + n ) 3/4 (2 + n ) 3/4
3 3 7 3
Por tanto, el valor de n es - y d valor de la integral es - ln — — - ln 2.
www.FreeLibros.com
Determ ine si las siguientes integrales son convergentes o divergentes. Si es
convergente, calcule su valor.
INTEGRALES IMPROPIAS
EJERCICIOS
r +00
1. I sen x dx
í
í
r +00
3- I e ~* dx R. i
J o
f +c°
4. I xe x dx R' i
J—03
r+OO .
2- 1 P « *
5
6 . r *
JO Ve*
r +0° d x
J-co 4 x 2 + 1
9.
/•+00
Jo l
dx
n .
-2
17 r
J0 1 + cosx diverge
i?, diverge
f ' dx 5 V 4
' 1 ( * - 2 ) 3 / 5 r
fi. 2
r 1 dx
7' J ^3 fi- diverge
n
* * 2
x d x i
fi- —(x2+ 9) 2 l a
'» ■ / , *.
J0
r — ~
J-2 VxTT
7T
V 9 ^ 2
0 dx
fi. O
157
www.FreeLibros.com
/• ig i/x
13. J —— R. diverge
Jo x
TÓPICOS DE CÁLCULO - VOLUMEN II
r +“ d x
14- { ^ R- 100
r /2 dx
I í— Rú diverge
J q 1 — ~sen a:
r+" x 5 dx
(1 + x 3) 7/4
r ..
16- I diverge
r +0° dx
17. — — ------------------------------------------------------------------ R.n
J-o* * '2 + 2x + 2
r+ O O
f +0° a
19. I e a* eos fax d x R. t (a > 0)
'o
f +0° a rcta n x
21' J P
? í +0° d*
Jn X 3 + 1
18. í e-a*sen bx dx R. —— — (a > 0)
J0 a ¿ + o ¿
a 2 + fc2
+" d x 7T
x V x 2 — 1 2
•+0° d x 2tt
22. — — - R.
2V 3
r 1 d x
23- J„ *• ‘«''“ se
r +co
24. í e -|x| d x R .2
J —03
25. J V i + x “2/3 d x /?. 2 ( 2V 2 — 1)
158www.FreeLibros.com
r+ca
26. I x
J—OO
+00
2e ~x3 dx
INTEGRALES IMPROPIAS
f —X —¿JL
27- I u. ;------7T~ dx
Jo
r+“ — 1 — 2x
3 x 2/3(x - l ) 2 '
dx
28
■/:
29. /_
3o- c
| V F + T |
+0° dx
_œ e* + e~x
1 ( I - * 3) 1' 3
dx
[ +0° x
3 1 - ^-------i d x
J-œ 1 + x 4
32. J
-00
-1 dx
,2 x 3( l + x 3) 4/3
„ lr+"Vxr=T
3H — dx
r+œ dx
35. '
/•'0 (a2+fc2)(è2+ x2)
r-+00f
36. e d x
* — 00
( a a i - e
37. — =
Jo V a 2 -
38. f
Jo
4 dx
V4x —x 2
fi. diverge
fi. diverge
fi. 3
fi. diverge
fi. 0
fi. diverge
fi. diverge
^ ________ _
2ab(a + b)
fi. 1
f i. 7T
159www.FreeLibros.com
f n sen 6 dd r- .
39. —............... R. 2V2
J0 VI + eos 9
r 4 x dx
40. , R. 4
Jo V l6 —x 2
f 1 dx
41. ------------------------- R. n
Jo V x ^ x 2
x 5 4
42. dx R. - -
■/-iVTT^ 3 9
TÓPICOS DE CÁLCULO - VOLUMEN II
r+0° x 5 dx 5 V 2
44 ----------------- /?. ------
1 ( 1 + x 3) 5/2 18
' s d x
l ) ( x ~ 8x + 15)4 5- f o.. . ^ diverge
: 2 x 3 dx 192
4 6 ‘ 1 = R' ~3S
2
r ¿ x á dx
Ji Vx - 1
r+ C O
7. x 2
Jo
- +co
47. I x 2e~3* dx
27
f 4 dx
48. —------ /?. diverge
Ji x 2 - 4
<•+00
49. x ne~x dx R. ni
Jo
r +00cosx /Tf f +0°se n x
50. Sabiendo que I — p - d x = I— , halle el valor de la integral I ,— dx.
Jo Vx n 2 J0 V x3
/?. V 2tt
dx
51. Muestre que I —------ converge si 0 < p < 1 y diverge si p > 1.
160www.FreeLibros.com
INTEGRALES IMPROPIAS
'•+00 dx
52. Si G (a ) = ^ - + x a ) X( 1 + x 2 ) . calculeG (0), G ( 1), G(2).
/?. 7t/4 ; nr/4; tt/4
f +°°senx tí f +0° se n 2x
53. Sabiendo que I ------- d x = — , calcule el valor de I — r — dx.
J0 x 2 J0 x 2
R. n /2
54. Esboce la gráfica de la función F (x ) = I f ( t ) d t en los siguientes casos:
J — 00
si |t| > 1
( 1 , si t < 1
b) m = | i
2 , Si |t | > 1
55 Sea f ( x I - í™ ** ’ SÍ |x| ~ 355. Sea / ( x ) - ^ si W > 3
f+co 1
Determ ine m de m odo que I / (x )d x —1. R. m = —
J-œ 18
3.3 I N T E G R A L E S I M P R O P I A S C O N I N T E G R A N D O S N O N E G A T I V O S
P rop osició n 1. Sea / una función no negativa en [a ; b ) (esto es, / ( x ) > 0) e
integrable en [a; t] para todo t 6 [a; b).
Si la función F (t) = I / ( x )d x es acotada en [a; £>), entonces I / ( x )d x converge.
•'a Ja
D em ostración
Com o / (x ) > 0, V x £ [a; fe), entonces F (t) = I / (x )d x es creciente en [a; 6).
Ja
Por hipótesis, F ( t ) es acotada. Entonces F ( t ) es creciente y acotada en [a; b).
Por tanto, lim_ F (t ) existe y es finito, es decir, I / (x )d x es convergente,
t— /•'a
161www.FreeLibros.com
TÓPICOS DE CÁLCULO - VOLUMEN II
Proposición 2 (C riterio de Com paración)
Sean / y g funciones tales que 0 < / ( x ) < g(x), para todo x e [a;b), e
integrables en [a; t], V t e [a; b). Luego,
a) Si I g(x)dx converge, entonces I / (x )d x converge.
•'a “'aJa
b) Si I f(x )d x diverge, entonces s ( x ) d x diverge.
•'a *'a
Demostración
Se sigue inmediatamente de la proposición 1 y de la desigualdad
í f(x ) d x < í g (x )d x , V t 6 [a ;b)
•'a ■'a
f +0° dx
Ejemplo 11. Verifique si J 4^ "i converge o diverge.
Solución
1 1 r , f +codx
Com o 0 < ----- < — , Mx £ [2; + 00), y— - es convergente (ver
h x 6
dx
2 x - V l + :
'2
f +°° dx
ejemplo 2, p = 6), entonces se concluye que J ——j = = = es convergente.
f 1 dx
Ejemplo 12 . Analice el com portam iento de la integral , = .
Jo V x 2 + 2x
Solución
1 1 , , f 1 * ' ,
Com o 0 < - < - = , V x £ (0; 1], y - p es convergente (ver ejemplo
V x 2 + 2x V x Jo V x
f 1 dx
4, p = 1/2) , se concluye que es convergente.
Jo V x 2 + 2x
f -3 dx
Ejemplo 13. Verifique si . „■= es convergente o divergente.
V x 2 + 3x + 2
r 3 dx
i-o, V x 2 + 3x + 2
Solución
I
1 1 f 3 d x
- <
x V x 2 + 3 x + 2
3 dx
í dx
Com o 0 < — < — - , V x £ ( - 00; - 3 ] , y ---------------------- diverge, entonces
j -00 *
Vx2 + 3x + 2
es divergente.
162www.FreeLibros.com
rb
IN T EG R A LES IM PR O PIA S
Definición 7. Se dice que la integral impropia f f ( x ) dx es ab solu tam en te
b
convergente cuando I |/(x )|d x es convergente.
Ja
Proposición 3. Si la integral I /(x )d x es absolutamente convergente,
Ja
entonces es convergente.
Demostración
Como 0 < |/(x )| — f ( x ) < 2 |/(x )| , se sigue, por la proposición anterior, que
l / M I —/"(■*) es convergente. Luego,
r b r-b r b
I /(x )d x = I |/(x )|d x — I [|/(x )| - /(z )] dx converge
Ja Ja Ja
f +coCOS O 2)
Ejemplo 14. Analice sí I -------— dx es convergente o divergente.
Ji x
Solución
La integral dada es absolutamente convergente, pues
eos (x 2) 1 r * f +c°d x
< — , V x e [1 ;+ c o > , y la integral — es convergente.
* Ji x
f +° ° c o s ( x 2)
Luego, por la proposicion anterior, I ----- -— dx es convergente.
Jl X
Proposición 4 (Criterio del Límite)
Sean / y g funciones no negativas integrables en [a; t], V t 6 [a; b), y
supongam os que
m
lim — — = r .
x-*b- g(x)
i) Si 0 < r < +oo, entonces las integrales im propias •
F = í f W d x y G = í g (x )d x
Ja Ja
son ambas convergentes o ambas divergentes.
b) Si r — O y G converge, entonces F converge.
c) Si r = ±oo y G diverge, entonces F diverge.
Demostración, (ejercicio para el lector).
163www.FreeLibros.com
C o ro la rio 1. Sea f una función integrable en [a; t ] , V t G [a; + 00), y
supongam os que lim x p/ ( x ) = r < + 00.
X->+oo
Luego, se tiene:
a) Si p > 1, entonces Ja+°°/(x)dx converge.
b) Si r 0 y 0 < p < 1, entonces f(x )d x diverge.
C o ro la rio 2. Sea / una función integrable en [a; t ] , V t 6 [a; b), (b e l ) y
supongam os que lim (b - x ) p/ ( x ) = r < + 00.
x-*b
Luego, se tiene
a) Si 0 < p < 1, entonces I / (x )d x converge.
Ja
b) Si r o y p > 1, entonces I / (x )d x diverge.
Ja
TÓPICOS DE CÁLCULO - VOLUMEN II
r ” d *
E je m p lo 15. Analice si ----- ----- converge o diverge.
h x 3V 4 x 5 + x 3 — 1
Solución
Considerando que
lim x 11/2-----, .....--.......— ■= — (en este caso p = — >
X - . + 0 0 x 3 V 4 x 5 4 - x 3 — 1 2  2 /
r +0° dx
se concluye, p or el corolario 1, que la integral I -----converge.
J2 x 3V 4 x 5 + x 3 — 1
f 5 dx
E je m p lo 16. Verifique si I — 2---------- ,2 converge o diverge.
^2 ^ )
Solución
1 1
Teniendo en cuenta que lim (x — 2 )3/2 ■------- - ------- ttttt = — 7= (en este
M J (x - 2 )3/2(x + 1 )3/2 3 ^3
caso p - 3/2 > 1), la integral es divergente (se usa el corolario análogo al
corolario 2, reemplazando (í> - x )p por (x - a )p).
f°
lice si I
J—oo
x dx
Ejemplo 17. Analice si j p = = = = = = ^ = converge o diverge.
V 2 x 9 4- 8 x — 10
Solución
x 1
La integral converge, pues lim x • ,-------- - (b = 2 > 1).
*-*+ “ V 2 x 9 + 8 x - 10 V 2
164www.FreeLibros.com
1INitOKALhb lívlrKUrlAÍS
EJERCICIOS
Analice la convergencia o divergencia de las siguientes integrales impropias.
" +0° dx
1.
J 2í
dx
x 2 + 3x + 4
r+CO
(x + l) d x
x 3 - 1
+0° x + 3
■ l
X3 + X2
+0° dx
c3 Mx2 + 4
2 V x 2 - 1
dx
> 1
o x 2 Mx2 + X + 1
+” e -2* d x
x 2 + 3x + 5
/?. converge
/?. converge
/?. converge
í x + 3
4- J X4 + x dx R- converge
' í R. converge
r +0° x 3 + 1
7- J2 j^ n r j dx diverge
R. diverge
R. converge
r-ruo
10. e _Arse n (x 2)d x R. converge
r + 0 0
11. I e~x dx R. converge
0
f +" dx
12' i x 2( i + ex) R; ¿o n ve ree
165www.FreeLibros.com
14 f 3 * 3 + L dx R. converge
’ h 4 ^ 1
TÓPICOS DE CÁLCULO - VOLUMEN II
i , f S d x R. converge
' J4 xV 2 5 ^ F
15. f x s e n ’ Q d x R. converge
l"1 _______ ^ _______ R. converge
r 1se n (x 3)d x R converge
17- í r *
18 f ' _ i ---- dx R. converge
Jo "i-
r +co rlv
9n .__________ ____________ R. converge
J1 x4+ 5x3+x2+x + l
www.FreeLibros.com
(F' APLICACIONES DE 'tts
LA INTEGRAL DEFINIDA
Hn este capítulo abordaremos algunas aplicaciones de la integral definida a ios
problemas geométricos, físicos y económicos.
4.1Á R E A D E R E G I O N E S P L A N A S
C A S O I: Sea /: [a;b] -» IR una función continua y f ( x ) > 0, V x 6 /. De la
interpretación geométrica de la integral definida se sigue que el área de la región
R limitada por la gráfica de /, el eje x, las rectas x = a y x = b (Fig. 4.1) está
dada por
A(R) = f ( x ) d x ^ u 2
C A S O II: Sean / y g dos funciones continuas en [ab] y g ( x ) < f ( x ) ,
V x £ [a; b]. E l área de la región íl limitada por las rectas x = a A x = b y
las gráficas de / y g (Fig. 4.2) está dada por:
A (n ) = ( í [f(x ) - g ( x ) ] d x ) u 2
Para demostrar esta fórmula, considerem os el número real k tal que k < g(x),
V x £ [a; b].
www.FreeLibros.com
TÓPICOS DE CÁLCULO - VOLUMEN II
Efectuando una traslación de ejes al origen 0 '( 0; fc), las nuevas ecuaciones de las
curvas y = f(_x), y = g (x ) y de las rectas x = a y x = b son,
respectivamente, y x = f ( x ) —k , y x —g (x ) - k , x = a y x - b (por las
fórm ulas de traslación y x —y —k A xx —x). Por lo tanto, en el nuevo sistema
cartesiano x 10 ' y 1 se verifica
0 < g (x ) —k < f ( x ) - k , V x e [a; b]
Luego, teniendo en cuenta la fórm ula del caso I, se tiene
Observación 1. Si la región R está limitada por las gráficas de x = / (y ),
x = g (y), las rectas y — a A y — b (Fig. 4.3), donde f y g son funciones
continuas en [a; b] y g ( y ) < / (y ), V y E [a; b], entonces el área de la región R
es
a
y - o
Fig. 4.3
Fig. 4.4
E je m plo 1. Calcule el área de la región limitada por
71
y = sen x , x - 0 , x • y ~ ®
So lu ción
De la definición dada en el caso 1 y de la figura 4.4, se obtiene
www.FreeLibros.com
APLICACIONES DE LA INTEGRAL DEFINIDA
I ¡implo 2. Calcule el área de la región S limitada por
2|x|
y , el eje x y las rectas x = — 2 y x = 1
1 + x 2
Solución
l'itr la definición de valor absoluto, se tiene que
r - x , x < 0
U , . x > 0
A m , por la fórm ula dada en el caso I y la figura 4.5, resulta
-1 2|x| ,
1*1 = {;
x r o = [ j
f° 2x f 1 2x
= - ------- r dx + ------- Tdx
J-2 1 + x J0 l + x 2
= - [ l n ( x 2 + 1 )]° 2 + [ln (x 2 + 1)]q = ln 5 + ln 2 = (ln 1 0 ) u 2
r.jemplo 3. Calcule el área de la región limitada por la parábola y = x 2 + 4x, el
eje x y las rectas x = - 2 A x = 2.
Solución
( »bservando la gráfica de la región (Fig. 4.6), se tiene que para / ( x ) = x 2 + 4 x se
m inple
/ ( x ) < 0, V x 6 [ - 2 ; 0] y / ( x ) > 0, V x 6 [0; 2]
l’or tanto, el área de la región pedida se descompone en la sum a de las áreasdelas
regiones y R2, es decir,
A ( R ) = A ( R 1) + A ( R 2)
f0 f 2 16 32
= - l ( x 2 + 4 x ) d x + I ( x 2 + 4 x ) d x = — + — •= 16 u 2
J-2 J0 J 3
169www.FreeLibros.com
Ejem plo 4. Halle el área de la región F limitada por las gráficas de
y - x 2 , y — x 3 , x - - 1 , x = 2
Solución
lin la gráfica de la región F (Fig. 4.7), se observa que
x 3 < x 2 , V x 6 [ - 1 ; 1] y x 2 < x 3 , V x e [1; 2]
Luego,
r 1 r 2 , 8 17 2 5 _
A(F) = J ( x 2 - x )d x + J( x 3 - x 2)dx = — + — = — u
I»
TÓPICOS DE CÁLCULO - VOLUMEN II
Ejem plo 5. H alle el área de la región limitada por las gráficas de
y = arcse n x , y = arccos x , y = 0
Solución
Las gráficas de las funciones y = arcsen x y y = arccos x están dadas en la Fig.
4.8. Ahora bien, por la definición de las inversas de estas funciones, resulta
x = sen y < x = eos y ,V y 6 [ü; - ]
Por consiguiente, el área de la región pedida es
,-71/4
,4 (12) = I (e o s y - sen y ) d y = ( V 2 - l ) u 2
Jo
liste ejemplo se puede resolver usando a x com o variable independiente, esto es,
/•>/2/2 r 1
/l(/2) = I arcsen x dx + f a rc c o s x d x
Jo J/2/2
lis evidente que en este caso el procedimiento es m ás com plicado que el anterior,
por lo que recom endam os al lector escoger adecuadamente la variable
independiente antes de aplicar la fórm ula del área.
170
www.FreeLibros.com
APLICACIONES DE LA INTEGRAL DEFINIDA
Kjcm plo 6. H alle el área de la región R limitada por las gráficas de
y = 4 - x 2 , y = ln(2x - 3) , y = 1
Solución
I ;i gráfica de la región R se muestra en la fig. 4.9. Por com odidad consideram os a
co m o v a ria b le in d e p e n d ie n te , e s to es, x = ^ 4 - y a x
ey + 3
-. Luego, se
obtiene
y - ^ y + ^ - y ) 3/2A(R)~ l (L r ^ ~ J * : r y ) dy = Tey 3 2
I ji-m pío 7. Halle el área de la región R limitada por las gráficas de
y = |x3 - 4 x 2 + x + 6 | , 3y + x 2 = 0 , x = 0 , x = 4
Solución
I ti gráfica de la región R se muestra en la fig. 4.10 y su área de la región es
A(R ) = J j|x3 - 4 x2 + x + 6¡- y j j d x
f 4 í 4x 2
= |x3 - 4x2 + x + 6| d x + — dx
Jo Jo 3
l'íii.i hallar la integral del valor absoluto, tenemos en cuenta que
|x3 - 4 x 2 + x + 6| = |(x + l ) ( x - 2 ) ( x - 3)|
[x3 - 4x2 + x + 6, 0 < x < 2
|x3 - 4 x 2 + x + 6| = •{ - ( x 3 - 4 x 2 + x + 6 ) , 2 < x < 3
3 - 4 x 2 + x + 6 , 3 < x < 4
171www.FreeLibros.com
TÓPICOS DE CÁLCULO - VOLUMEN II
Luego,
r 4
/ = í x3 —4x 2 + x + 6dx
'o
= í (x3 - 4x2 + x + 6 )dx - f (x3 - 4x2 + x + 6)dx + f (x3 - 4x2 + x + 6 )dx
Jo J2 h
_ 22 1 47 _ 71
_ T + 12 + 12 ~ T
Por tanto, el área de la región R es
2 ( r *
u 1 1
71 6 4 341
A (R)
4V2 64
dx = -
Eje m p lo 8. H alle el área de la región íí que se encuentra en el primer cuadrante y
está limitada por las curvas xy = 1, x y = 3 , x - x y = 1 , x —x y = 3.
Solución
Se verifica fácilmente que las gráficas de las curvas se intersecan en los puntos
>1(2; 1/2) , 6(4; 1/4) , C(6; 1/2) y D (4; 3/4)
La gráfica de la región Q se muestra en la fig. 4.11. Finalmente, el área de la
región Q es
A W =A W ¿ +M B O =[ [(i - i) - 1} ix +j ‘ | ■-(i - ;)
= (2 — ln 4 ) + ^6 ln ^ — 2j =
dx
7 2 9 .
I n 2 5 6 "
172
www.FreeLibros.com
E jem plo 9. H alla el área de la región F, ubicada en el primer cuadrante y que está
limitada por las gráficas de y = x 2 , x 2 = 4y , x + y = 6.
Solución
La región F se muestra en la Fig. 4.12. Los puntos de intersección de las curvas
en el primer cuadrante se hallan resolviendo simultáneamente los pares de
ecuaciones:
y = x 2
y
APLICACIONES DE LA INTEGRAL DEFINIDA
_ 6 _ x <=> x = 6 - x<=>x2 + x - 6 = Q=*x = 2 (para el prim er cuadrante)
y = x 2/4
y = 6 — x
.uego, el área de la región F es
y = 6 - x <=> — - 6 - x x - 241 - 2 (para el prim er cuadrante)
A(F) - A(Fi) + A(F2) = J ( x 2 - ^ x 2^Jdx + j ^ 6 - x - ^ j d x
1 1
= 2 + - ( 2 8 V 7 - 6 8 ) = - ( 2 8 a/7 - 6 2 ) u 2
Kjem plo 10. L a región F, limitada por la curva y = 1 0 * - 5 x 2 y el eje x, es
dividida en dos partes iguales por una recta que pasa por el origen. Halle la
ecuación de dicha recta.
Solución
La región F se muestra en la Fig. 4.13.
La pendiente de la recta L que pasa por
el origen y por el punto (a; 1 0 a -
.r>a2) es
1 0a — 5 a 2
m = --------------- = 10 - 5a.
a
Así, la ecuación de la recta L es
y = (1 0 - 5 a)x .
I’or otro lado, el área de la región F es
20
Fig. 4.13
/K F ) = I ( 1 0 * — 5x 2)dx —-—u2
Jo 3
A(F) 10
Ahora, com o F = F1 U F2,conA(F1) = A(F2), y A(Ft ) - —— = — , entonces
r a 5 10
M F i) = I [(1 0 x - 5 x 2) - (1 0 - 5 a)x]dx = - a 3 = — = > a = V 4
JQ 6 3
l’or lo tanto, la ecuación de la recta L es y = (1 0 - 5 Í4)x.
173www.FreeLibros.com
E je m p lo 11. U n a parábola de eje vertical corta a la curva y = x 3 + 2 en los
puntos ( — 1; 1) y (1; 3). S i se sabe que las curvas m encionadas encierran una
región de área 2 u 2, halle la ecuación de la parábola.
Solución
Este problema tiene dos soluciones.
Primer caso: Cuando la parábola está por debajo de la curva y — x 3 + 2.
Segundo caso: C uando la parábola está por encima de la curva y = x 3 + 2.
P rim e r caso: Sea (Fig. 4.14) la región limitada por la parábola buscada y la
parábola sem icúbica y = x 3 + 2.
Considerando que la ecuación general de una parábola de eje vertical es
y = A x 2.+ Bx + C
y que los puntos ( — 1; 1) y (1; 3) pertenecen a dicha parábola, se tiene
1 = A - B + C ... (a )
3 = A + B + C ...(/?)
Com o ^ C fi) = f (x3 + 2 - Ax2 ~ Bx - C)dx= 2 = > A+ 3C = 3 ... (y)
J-i
Resolviendo ( a ) , (/?) y (y ) se obtiene
B = 1 , A = 3/2, C = 1/2
Luego, la ecuación de la parábola es 2y = 3 x 2 + 2x + 1.
TÓPICOS DE CÁLCULO - VOLUMEN II
Se cu n d o caso: Sea F-¿ U ig- l l í j región limitada por ¡a parabola buscada y la
parábola sem icúbica y = x 3 + 2.
Com o A(F2) = j (Ax2 + Bx + C - x 3 - 2)dx = 2 = > /I + 3C = 9 ... (A)
Resolviendo (a ), (/?) y (A) se obtiene que la ecuación de la parábola es
2y = 7 + 2x - 3 x 2.
174www.FreeLibros.com
K jcm plo 12. Calcule, si existe, ei área de la región infinita com prendida entre ia
nirva ( 2 a - x ) y 2 = x 3, (a > 0) y su asíntota vertical.
Solución
I ;i asíntota vertical de la curva es x = 2a. En la fig. 4.16 se muestra la gráfica de
l;i región infinita Q. Luego,
APLICACIONES DE LA INTEGRAL DEFINIDA
A(íi) --------- dx —2 lim
2a —X t->2a= 2 Í-'o
= 2 lim I —= =
t_>2a Jo J a 2 —
- Í 't Í,2a Jo V 2 ax —:
-.dx
^ a 2 - (x - a ):
I laciendo u — x —a se obtiene
:dx
A (ü ) = 2 t lim _ a 2 ^ a r e s e n ( — ^ ~ ) - ^ (.* + 3 a ) v 'x ( 2 a - x )
=2«¿‘12-“2[iarcse" ( - ir ) - ¿ (t +3“)V«2a-t) +
= 2“2( t + t ) = (3,i“2)“2
Fig. 4.17
Kjem plo 13. D ada la región infinita í í limitada superiormente por x y = 1,
inferiormente por y x 2 + y - x - 0 y a la izquierda por x = 1; calcule su área
si existe. ’
So lu ción
La región Í2 se muestra en la figura 4.17 y su área requerida es
www.FreeLibros.com
I) Som bree la región Í2 limitada por las curvas dadas y calcule su área.
TÓPICOS DE CÁLCULO - VOLUMEN II
E JE R C IC IO S
TI 71
1. y = cosx,x = - - , x = - , y - 0 .
2. y = x 2 + 2 x - 3 , x = - 2 , x = 0, y = 0.
3. y = 9 - x 2 , y = x 2 + 1.
4. y
x - x
, y = 0, x = - 1 , x = 2.
1 + x 2 '
5. y = 3 x - x 2, y = x 2 - x.
6. x = 0 , y = t a n x , y = - c o s x .
7. y = x 3 + x , x = 0 , y = 2 , y = 0.
8. y = ln ( x 2) , y = ln 4 , x = e.
9. x = ey , x = 0, y = 0 , y = ln 4 .
3x
10. y = a r c t a n x , y = arccos — , y = 0.
11. y = a r e s e n x , y = arccos x , x = 1.
3 2
22 ,
/*. T u
6 4 .
fi. y u 2
, n 1 8
/?. (1 + - - arctan 2 + “
8 ,
R : 3 tt
, ( l
1 8
- - ln — ) u
2 5/
5 2
R. - u 2
4
R. (4 - e ln 4 ) u 2
R. 3 u 2
/2 4  2
fi- u 2 i )
». g - V l ) u 2
12. y = x 3 - 3 x 2 + 2 x + 2 , y = 2 x 2 - 4 x + 2.
13. y = 4 - ln (x + 1 ), y = ln (x + 1) , x = 0. R. 2 (e 2 - 3) u 2
14. í í es la región encerrada por la elipse a 2x 2 + b 2x z = a 2b 2. R- nab
15. Í1 es la región de m ayor área encerrada por las curvas x 2 — 2 y 3 = 0 ,
x 2 - 8 y = 0 , y = 3. R■ ( _5_ + 5 ^ ) u2
16. í í es la región de m enor área limitada por las curvas x 2 + y 2 = 20 ,
í 2 8R. I 2 0 aresen — - - J uy 2 = 2x3.
www.FreeLibros.com
17. í í es la región de m ayor área encerrada por las gráficas de S x2 - 4 y = 0 y
la elipse cuyos focos son los puntos (0, ± 6 ) y cuya longitud de su eje menor
es R- V5 n — 9V 5 arcsen — —
V V3 2 J
18. y 2 ~ x = 0 , y - x 3 = 0 , x + y - 2 = 0.
( 4 x - x z ( x 2 + 8 x — 40
l 9 - y = 4 ' . y = --------- 16--------• * > - ‘ . R .1 7 u >
x < 0  - 3 x - 1 6 , x < - 4
20. y ( x 2 + 4 ) = 4 (2 - x) , y = 0 , x = 0. /?, ^ _ l n 4 j u 2
2 1 . y = x 3 + x - 4 , y = x, y = 8 - x .
22. y — e x , y - e~x , x = 1. r ^e ~ ^
APLICACIONES DE LA INTEGRAL DEFINIDA
e
4
u 2
23. y — 2x + 2 , x = y 2 + l , x = 0 , y = 0 , x = 2. R. ( i s + í v ^
24. y =  x ~ 2  , y + x 2 = 0 , x = 1 , x = 3. R — u 2
' 6
25. y = y/'x2 - 3 , y = x - 1|, y = 0. ^ ] n 3 - i ) u 2
26. y = |sen x| con x e [0; 2tt] , y + x = 0 , x - 2n = 0. R. (4 + 2 n 2) u 2
x 2 - 4
27- y = ^ T _ 16 > x = - 3 ' X = 3 . y = 0.
28. y = arcsen x , y = arccos x , x = 0. R. ( 2 - y j l ) u2
29. y = arcsen x , y = a r c c o s x , y = 0. r_ (y¡2 - i ) u 2
30. y = x 3 + 3 x 2 + 2 , y = x 3 + 6x 2 - 25. r . 10 8 u 2
31. y = x 2 , y = 8 — x 2 , y = 4x + 12. R. 6 4 u 2
32. y = x 2 , 2 y = x 2 , y = 2x. K. 4 u 2
<3. y + * = o , y = [ / ( t ) d t , d on d e / ( í ) = í 3 f2 1 f < 2 .
Jo l — 2 t — 1 , t.> 2
www.FreeLibros.com
TÓPICOS DE CÁLCULO - VOLUMEN II
34. y = ta n 2* , y = 0 , x - — , x = 0.
35. x zy — 2 , x + y = 4 , * = 1 , * = 2.
36. y = x 4 , y = 8x.
37. y = x 3 - x , y = se n fa x ).
38. x = 4 y - y 2 , x + 2 y = 5.
39. y = se c 2x , y = ta n 2x , x = 0.
1
3 V 3 -7 T
40. y = , 2 y = x 2.
1 + x 2
41. x 2^3 + y 2/3 = a 2!3.
8 a 3
42. x = 4 a y ,
43. y = |20x + a:2 - x 3 , y - 0.
44. x = y 3 —2 y 2 — 5 y + 6 , x = 2y 2+ 5 y - y 3 - 6 .
V 3
45. y = arcse n 2 x , x = — ■
J 4
46. y = x e 8_2x y = x.
47 y = ^ T 4 ' y = 0 , * = 0 ' x = 4'
48. y = x 3e 8-2* 2, y - 4x .
4 9 , y = | j c - l | , y = x 2 - 2x , x = 0 , x = 2 .
R.
 ó
R. (9 / 4 ) u 2
R. (7 9 / 5 ) u 2
fi- ( í 4 ) " 2
R. (3 2 / 3 ) u 2
« . ( í - i y
*■ ( I 4 ) “2
R. ( 3 n a 2/ 8 ) u 2
/?. 2 a 7r — •
4a"
/?. (2 3 2 1 / 1 2 ) u 2
R. (2 5 3 / 6 ) u 2
'1 V 3
R.
/?.
n u
R.
e — 73
50. y = V x T T - Vx - 1, x = - 1 , x = 1.
51. (x + y ) 2 = 16x, 5x + y = 8 .
52. y = |x - 2| - |x - 6|, x - y = 4.
53. y = |x - 5| - |x + 3|, x + y - 2 - 0.
5 4 . y = sen x + |cosx|, x = - n , x - n , y = 0 .
R. (7 / 3 ) u 2
R. 3 V 2 u 2
R. 18 u 2
R. 8 u 2
fí. 3 4 u 2
fi. 4
178
www.FreeLibros.com
APLICACIONES DE LA INTEGRAL DEFINIDA
T>5. y =
X2
r, x 0, x — 1, y — 0. R,
(4 —x 2)3/2’ ' X ~ L> y ~ u- t y f '
56. y = 60(xs - x 4 + x 3),y = - 2 x , x 2 = 1. R. 52u 2
.r)7. y = x + sen x, y = x,x = 0, x = - . R —~ ^
6 ’ 2
58. 8 x = 2 y 3 + y 2 - 2y, 8 x = y 3, y 2 + y - 2 = 0. R.— u 2
u 2
59. x + y - y 3 = 0 , x - y + y 2 = 0. R. — u 2
96
37
12
2
,2
,2
60. y - c se n ( - ) ln ( s e n , x = 0 , x = a n . R. 2ac(l - ln 2 ) u
61. y 3 ( x - 2 ) 2 = 1 , y = 0 , x = 1 , x = 10. R. 9 u
62. y ( x 2 + 4) = 8 , 3 x 2 - 4 y - 8 = 0. R. 2(7r + 2 )u
63. Í2 es un arco de la cic lo id e cu ya ecuación param étrica es
x ci(t se n t), y = íz(1 — e o s £). R. 3 tccl2
f 2n
Sugerencia: 4(.fi) = y dx.
64. D. es la re gión lim itada p o r el astroide x = a e o s 3t , y = a s e n 3 t.
3
/? . - 7 T U 2
8
65. D. es la figura com p re n d id a entre la hipérbola x 2 - y 2 = 9 , el eje x y el
diám etro de la hip é rb ola que pasa por (5; 4). R. 9 l n 3
2 x 
66. fí es la re gió n lim itad a p o r la gráfica de / ( x ) = -------- - , el eje x y las dos
1 -f* X
rectas verticales correspondientes a las a b scisa s de los pun to s m á x im o s
absolutos. A (]n 4)u 2
67. í í es la re gión lim itada por la gráfica de / ( x ) = 2 x 4 - x 2 , el eje x y las dos
rectas verticales que pasan p o r los puntos m ín im o s relativos.
R. (7 / 1 2 0 ) u 2
60. es la re gión encerrada p o r y 2 = x 2 - x 4. R. (4 / 3 ) u 2
69. Cí está lim itada p o r un lazo de la cu rva a 2y 4 = x 4 ( a 2 - x 2).
n 4íj2 ?
R. — u2
5
179
www.FreeLibros.com
TÓPICOS DE CÁLCULO - VOLUMEN II
70. £2 e s tá encerrada por un lazo de la curva 16a4y 2 = b2x (a —2cu).n h
R. - u 2
ab
30
71. Q está encerrada por el lazo de la curva ( x2 + y 2)3 = 4 a 2x y ^
72 Q está encerrada por la lemniscata ( x 2 + y 2) 2 a (x V )■
R. a 2 u 2
73. Q está acotada por y (4 + x 2) = 5 y el sem icírculo superior de ^
x 2 + y 2 — 2 y = 0. S. ( 2 - 5 a r c t a n - + 5 ) u 2
7 4 Q está encerrada por la elipse (de eje oblicuo) (y - x + 3 ) - 4 - x .
R. 4n u 2
7 5 . y = 9 - x 2 , y = ln (x - 2) , y = 2 .
II E n cada uno de los siguientes ejercicios grafique ía región ilimitada Q. y halle
su área (si existe), si se sabe que Q está comprendida entre las graficas de.
n 2
1. y = se c h x y su asíntota. 2 U
2 y = y su asíntota. R. 16tt u 2
x 2 + 16
3 (4 — x 2) y 2 = x 4 y s u s asíntotas verticales. R- 2nu2
4 . y = arctan x , 2y = i r , x = 0 .
7T 2
5 . y = sech_1x y su asíntota vertical. R■ ~^u
R. no existe
n
2 W 4|xl m R . 3 n u 2
6 ' y ~ 1 + x 4 ' V 1 + x 4 '
III Determine m de manera que la región que está por encim a de y m x y
debajo de la parábola y = 2x - x 2 tenga área igual a 3 6 u . K. m -
IV I I área de la región com prendida entre la parábola y = 1 2 x - 6 x 2 y el eje
x es dividido en dos partes iguales por una recta que pasa por el origen.
I lullc la ecuación de dicha recta. R. y ~ 6 (2 - V 4 J x
V L a h ip é rb o la equilátera x 2 - y 2 = 8 divide en 3 regiones a la
circunferencia x 2 + y 2 = 16 . Halle el área de cada una de las regiones.
www.FreeLibros.com
4.2 V O L U M E N D E U N S Ó L I D O E N F U N C IÓ N D E L A S Á R E A S D E L A S
S E C C I O N E S T R A N S V E R S A L E S
Sea S un sólido limitado en el espacio. Bajo ciertas condiciones es posible hallar
el volum en de este sólido. P or ejemplo, sea Sx una sección plana del sólido S
obtenido al cortar el sólido con un plano perpendicular al eje x en el punto de
abscisa x (Fig. 4.18) y supongam os que existe un intervalo [a; b] tal que
APLICACIONES DE LA INTEGRAL DEFINIDA
- u
xe[a:b]
Si >5(5X) es la función área de la sección plana (llam ada sección transversal de S)
y es continua, V x e [a; b], entonces el voium en del sólido 5 está dado por
í A(Sx)dx
Jn
Fig. 4.18 Fig. 4.19
Ejem plo 14. L a base de un sólido es la región limitada por la elipse
b 2x 2 + a 2y 2 - a 2b 2 .
I lalle el volum en del sólido S si las secciones transversales perpendiculares al eje
x son:
¡i) Triángulos rectángulos isósceles, cada uno con hipotenusa sobre el plano xy.
b)Cuadrados. c) Triángulos de altura 2.
Solución
a) La gráfica de la sección transversal del sólido se muestra en la Fig. 4.19. E l
sólido es la unión de los Sx, x 6 [— a; a], donde Sx es un triángulo rectángulo
isósceles de área
MSX) ~  b h = ^ ( 2 y)h =  ( 2 y ) y = y 2 = ^ ( a 2 - x 2)
Luego,
f a b2 /4 
F=J —(a2 - x 2)dx - i^-ab2J u 3
18!
www.FreeLibros.com
h) Si las secciones transversales son cuadrados (Fig. 4.20), el sólido queda
descrito com o la unión de los Sx, x E [ - a ; a], tal que Sx es un cuadrado e
lado 2y = — y¡a2 - x 2 . Luego, el área de la sección Sx es
¿ ( S * ) = ( 2y ) 2 = 4 y 2 = 4 ^ ( a 2 - x 2)
TÓPICOS DE CÁLCULO - VOLUMEN II
= í 4 ^ j ( a z - x z)dx = ( ^ - a b ^ u 3
J~-n &
Por tanto, el volum en del sóiido es
b 2
y
J~a
c) S i las secciones transversales son triángulos de altura 2 (Fig. 4.21), ei solido es
la unión de los S*, x 6 [ - a ; a], tal que S * es el triángulo de altura 2 y base
2 y = — J a 2 - x 2 . Así, el área d éla sección plana es
a
1 2b r— —
A(.Sx) = - ( 2 y ) 2 = 2 y = — J a 2 - .
Por tanto, el volum en del sólido resulta
/-fl U _______ _
V = — y/a2 - x 2 dx = (n a b )u 3
L a a
l'ic m n lo 15 U na recta se mueve paralelamente al plano y z cortando a las dos
elipses b 2x 2 + a 2y 2 = a 2b 2 A c 2x 2 + a 2z 2 - a 2c 2, que se encuentran en los
planos x y y x z respectivamente. Calcule el volum en del cuerpo asi engendrado.
Solución
Kn este sólido, la sección Sx es un rom bo (Fig. 4.22) cuyas diagonales son
2 y A 2z. Luego, el área de la sección plana es
www.FreeLibros.com
APLICACIONES DE LA INTEGRAL DEFINIDA
U --------------- , ........ .....
(lomo y = — y a 2 — x2 A z — — J a 2 — x2,
a a
entonces el volum en del sólido es
[ a be
= | 2 — ( a 2 - x 2)dx
J —a ^
= ( ? a f , c ) U =
E J E R C I C I O S
1. La base de un sólido es un círculo de radio r. Todas las secciones transversales
del sólido, perpendiculares a un diámetro fijo de la base son cuadrados.
Determine el volumen del sólido.
R. ( 1 6 r 3/3) u 3
U n sólido tiene por base un círculo de radio 1 y sus intersecciones con planos
perpendiculares a un diámetro fijo de la base son triángulos rectángulos
isósceles cuyas hipotenusas son las respectivas cuerdas de los círculos.
Determine el volum en del sólido.
R. (4 / 3 ) u 3
V Halle el volum en del sólido S que es la parte com ún a dos cilindros circulares
rectos de radio r, suponiendo que sus ejes se cortan perpendicularmente.
R. ( 1 6 r 3/ 3 )u 3
4. La base de un sólido es una elipse cuyos ejes miden 20 y 10 unidades. La
intersección de este sólido con un plano perpendicular al eje m ayor de la
elipse es un cuadrado. Calcule el volum en del sólido.
R. (4 0 0 0 / 3 ) ií3
5. Halle el volum en de un sólido S cuya base es un círculo de radio 3 y cuyas
secciones planas perpendiculares a un diámetro fijo son triángulos equiláteros.
R. 3 6 v Í u 3
(>. L a base de un sólido es la región entre las parábolas x = y 2 y x = 3 — 2 y 2.
Halle el volum en del sólido si las secciones transversales perpendiculares al
eje x son cuadrados.
R. 6 u3
183www.FreeLibros.com
TÓPICOS DE CÁLCULO - VOLUMEN II
/ 1 ;i base de un sólido es la región entre las parábolas y = x 2 A y - 3 — 2 x 2.
Halle el volum en del sólido si las secciones transversales perpendiculares al
eje y son triángulos rectángulos isósceles, cada uno de ellos con la hipotenusa
sobre el plano xy.
R .( 3 / 2 ) u 3
8. El punto de intersección de las diagonales de un cuadrado (de lado variable) se
desplaza a lo largo del diámetro (fijo) de una circunferencia de radio 3. El
plano del cuadrado permanece siempre perpendicular al plano de la
circunferencia, mientras que dos vértices opuestos del cuadrado se desplazan
por la circunferencia. Halle el volum en del cuerpo así engendrado.
R. 72u 3
9. U n cilindro circular recto de radio r es cortado por un plano que pasa por un
diámetro de la base bajo un ángulo a respecto al plano de la base. H alle el
volum en de la parte separada.
R. ( 2 r 3tan a / 3 ) u 3
10. El triángulo cuyos vértices son 0 (0 ; 0), A(a; b) y B ( 0; b) gira alrededor del
eje y. Halle el volum en del cono obtenido.
R. (n a 2b /3 ) u 3
11. L a base de un sólido es un círculo de radio 3. T odo plano perpendicular a un
diámetro dado interseca al sólido en un cuadrado que tiene un lado en la base
del sólido. Calcule el volum en del sólido.
R. 1 44 u 3
12. L a base de un sólido es la región limitada por y = 1 —x 2 , y = 1 —x 4 .
Las secciones transversales del sólido determinadas por planos
perpendiculares al eje x son cuadrados. Encuentre el volum en del sólido.
13. E n un sólido las secciones transversales perpendiculares al eje y son círculos
cuyos diám etros se extienden entre la curva x = ^[y y la recta x = y.
Calcule su volum en.
R. (ti/ 1 2 0 ) u 3
14. La base de un sólido es un círculo limitado por x 2 + y 2 = 25 y las
secciones transversales perpendiculares al eje y son triángulos equiláteros.
Calcule su volum en.
15. U n cilindro recto cuya base es una elipse está cortado por un plano inclinado
que pasa por el eje m enor de la elipse. Calcule el volum en del cuerpo
engendrado, sabiendo que la longitud del eje m enor de la elipse es 8 y la
longitud del semieje m ayor es 10.
www.FreeLibros.com
APLICACIONES DE LA INTEGRAL DEFINIDA
4.3 VOLUM EN DE UN SÓ LID O DE REV O LU C IÓ N
plana'urededor^e u n a íe c í fí^ c l)™ id a n ne r lt 7 d bT 'd0 ^ ^
llama eje de revolución. P 6 la regloa La recta fiJa se
4.3.1 M E T O D O D E L D I S C O C I R C U L A R Y D E L A N I L L O C I R C U L A R
: * , " < £ 4 M t 'o t o i i a d T T r a y - X = * ' (F ig - 4 2 n U secció" tra sv e rsa l
•'! q « p a l l l r e 'r T / “ “5" del SÓW0 5 P'“ o Perpendicular
• i ^ r , Por x e es un círculo de radio ivi = If f r 'U m « *
circular). El area de esta sección es 1/ M I (disco
A (sx) = n y 2 = n [ f ( x y2 i x e[a;b]
I -ucgo, por el método de las secciones transversales, el volum en de 5 es
Observación 2. Sea S el sólido de
't'volucion obtenido por ¡a rotación en
h>rno al eje y de la región plana R limitada
,a cu n a x = 9 (y) (g continua en el
intervalo [c ;d ]), el eje y y ¡as rectas
v - c A y - d (Fig. 4.25).
/ monees el volumen del sólido es
n fc [g(y)l2 d y ' j u 3
www.FreeLibros.com
TÓPICOS DE CÁLCULO - VOLUMEN II
Observación 3. Sean f ,g[a-,b] R funciones continuas cuyas gráficas se
encuentran a un mismo lado del eje x, y además g(x) < ]/ (x )| , V x 6 [a; ó].
Sea S el sólido de revolución que se obtiene por la rotación en torno al eje x de la
región ü acotada por las curvas y = f(x) , y = g ( x) y ¡as rectas verticales
x —a , x = b (en la fig. 4.26, solamente se muestra el caso 0 < g{ x) < / (x )).
Como la sección transversal Sx obtenida por la intersección de S con un plano
perpendicular al eje x que pasa por x G [a; b] es un anillo circular (Fig. 4.27),
entonces el área del anillo circular es
¿ ( S * ) = Tt{[f(x)]2 - [g(x)]2} , x G [a; b]
Luego, el volumen del sólido de revolución S resulta
[g(x)¡2] d x u
revolución es
- a v - r ¿)dx u
donde R es el radio m ayor del anillo circular y r es el radio m enor (fig. 4.26), Si
r = 0 , la fórm ula es la que se obtiene por el método del disco circular.
Observación 4. Sean f ,g: [a;b] -> E funciones continuas cuyas gráficas se
encuentran en un mismo lado de la recta y = c y g(x) —c| <  f(x) —c,
V x G |a; b]. Sea S el sólido de revolución que se obtiene al hacer rotar en torno
a la recta y = c la región Q 1imitada por ¡as gráficas de y = f (x), y —g{x),
x a y x = b (Fig. 4.28).
/■'.monees el volumen del sólido S es
V -• J ( l / 'M - c]2 - [g (x ) - c]2} d x j u 3
186
www.FreeLibros.com
APLICACIONES DE LA INTEGRAL DEFINIDA
Observación 5. Si la región Q limitada por las gráficas de x = / (y ), x = g ( y )
r las rectas horizontales y = c , y = d gira alrededor de la recta vertical
x - k (Fig. 4.29), donde las gráficas de f, g están a un mismo lado del eje de
rotación y g(y) - k < |/(y) - k  , V y 6 [c;d]. Entonces el volumen del
sólido de revolución obtenido es
v = (rc /cV ( y ) - k ]2 - [g(y) - k ^ d y ^ j u 3
Ejem plo 16. Calcule el volum en del sólido generado por la rotación alrededor
del eje x de la región limitada por las gráficas de y = e x, x = 0, x = 1, y = 0 .
Solución
l-a región se muestra en la figura 4.30. Aplicando el método del disco (R - e x), ■
se obtiene
V = n f (ex) 2 dx = n í e 2x dx = ^ ( e 2 - 1) u 3
Jo Jo 2
www.FreeLibros.com
TÓPICOS DE CALCULO - VOLUMEN II
Ejem plo 17. La región limitada por las gráficas de y — a re se n x , y — 0 y
x ~ —1 gira alrededor del eje y. Calcule el volum en del sólido engendrado.
Solución
C om o el eje de rotación es el eje y, consideramos a y com o variable
independiente. L a región se muestra en la Fig. 4.31.
C om o R = 1 y r = - sen y, entonces el volum en del sólido es
Ejem plo 18. L a región limitada por las gráficas de y - x 2, y - V * y x - 2
gira alrededor del eje x. Calcule el volum en del sólido.
Las curvas y = x 2 y y = V * se cortan en los puntos (0; 0 ) y (1; 1). En la
Fig. 4.32 se muestra la región entre ellas y la recta x = 2. E n la primera región,
(0 < x < 1) una sección transversal es un anillo circular con radio m enor r = x
y radio m ayor R — V * . E n la segunda región (1 < x < 2), la sección transversal
es un anillo circular con radio menor r = yfx y radio m ayor R = x 2.
Por lo tanto, el volum en del sólido S es
ry 1 1° n 2
= ir - + - s e n ( 2y ) = — - u 3
2 4 J-E 4
2
1 1
+ - s e n ( 2y )j
Solución
V = n - ( x2) 2]dx + n ¡  ( x 2) 2 - ( ^ f ) d x
3
X
x = 3
Fig. 4.32 Fig. 4.33
1 8 8
www.FreeLibros.com
Ejemplo 19. L a región limitada por la circunferencia (x + 2 ) 2 + ( y >- 2 ) 2 = ]
j'.iiii aliededor de la recta x — 3. Calcule el volum en del sólido generado (toro de
revolución).
Solución
I .a región se muestra en la fig. 4.33, donde
/ ( y ) = - 2 - V i - (y - 2 ) 2 A g ( y ) = - 2 + / i - (y - 2)T
Así, el radio m ayor /? y el radio menor r son, respectivamente,
= 3 - / ( y ) = 5 + V i - (y - 2) 2 y r = 3 - 5 (y ) = 5 - v' l - ( y - 2)2
Luego, el volum en del sólido de revolución es
V = 7i (R2 - r 2) d y = n 2 0 ^ Y ^ ( y ^ 2 y d y
= ÍOn [(y - 2) V i - (y - 2 ) 2 + a rc se n (y - 2 )] = ( 1 0 n:2) u 3
Ejemplo 20. La región limitada porla elipse b 2x 2 + a 2y 2 = a 2b z con
0 < b < a gira alrededorde su eje mayor. Calcule el volum endel sólido
generado.
Solución
C om o la elipse es simétrica respecto al
eje mayor, podem os considerar que el
sólido es generado por la rotación de
la región som breada en la fig. 4.34
alrededor de! eje x. A sí, el radio de
giro del disco circular es
b i------------
R = y = - V a 2 - x 2
a
Por consiguiente, el volum en del
sólido de revolución es
í a í a b 2 /4 
V = n j R2d x = n J — ( a 2 - x z)dx = y - a b 2n j u 3
Ejemplo 21. L a región infinita comprendida entre la curva x + x y 2 - y = 0 y
su asíntota vertical gira alrededor de su asíntota vertical. Calcule, si existe, el
volum en del sólido.
Solución
Al despejar x de la ecuación, obtenem os x = „ V , con lo cual la asíntota
1 + y 2
vertical de esta curva es x = 0 (eje y), pues y -> ±00 <=> x -> 0 .
APLICACIONES DE LA INTEGRAL DEFINIDA
189www.FreeLibros.com
TÓPICOS DE CÁLCULO - VOLUMEN II
Considerando que la curva (Fig. 4.35) es simétrica con respecto al origen y el radio
de giro en el p rim er cuadrante es R = x = ^ -j . entonces el volum en del sólido
es
V = 2tc í R2d y = 2n í
J o J o (i+ y 2) 2
Haciendo y = tan 9, la integral resulta
y = 2K, ! iS . [ íarctan(>,)- 2 ( i + 7 ) ] 0
= 2” tÜ !S ,[iarctan(t)- 2 c T T F ) ]
+ oo 2 f t y 2
d y = 2n Jim _ „ , d y
/ní-+oo J0 ( i + y 2Y
Eje m plo 22. Determine el volum en del sólido de revolución generado al rotar
alrededor del eje x la región infinita com prendida entre la recta y = O y la curva
y = L
Solución
1.a resiión se muestra en la Fig. 4.36. A l aplicar el método del disco, se obtiene
r + “ / i 2 r +" _ !
i' H 1 t e ) ; t 3 ‘b
= , M im j V « «fe = ’', l i ? „ l - 3 * ' ‘/3 l'l = * tü 5 . ( - í r o + 3 )
= 37T u 3
www.FreeLibros.com
Sea f [a;b] -» K , a > 0 una función continua y no negativa y S el sólido dé
revolución obtenido al hacer rotar en torno al eje y la región í í limitada por las
f raileas y = / ( * ) , y = 0, x = a A x = b (Fig. 4.38)
APLICACIONES DE LA INTEGRAL.DEFINIDA
4.3.2 M ÉTO D O DE LA C O R TE Z A C ILIN D R IC A
i:i sólido S (Fig. 4.39) puede ser considerado com o la unión de los cilindros C
x G [a; b], es decir, * ’
5 = U Cx
x e[a :b ]
C om o el área (lateral) de cada cilindro circular recto Cx está dado por
A(CX) = 2nx f ( x ) ; x 6 [a,b]
se deduce que el volum en del sólido S es
K = í A(Cx)d x - 2n f x f ( x ) d x
Ja
Observación 6. Sean f ,g: [a; b] -> M
funciones continuas en [a;b] tales que
,<l(x) < / ( * ) , V x e [a; b], y S el sólido de
revolución obtenido al hacer rotar alrededor
de la recta x - c , con c < a, la región Q
limitada por las curvas y = f ( x ) , y = g(x)
r las rectas x = a y x = b (Fig. 4.40).
l-.ntonces el volumen del sólido S es
V = Í2 n (x - c) [ f(x) - g ( x ) ] d x u
Fig. 4.40
191www.FreeLibros.com
TÓPICOS DE CÁLCULO - VOLUMEN 11
Observación 7. Sean f ,g [a; b] •-> E
funciones continuas en [a; b] tales que
g ( x ) < f [ x ) , V x e [a,b], y S el sólido de
revolución obtenido al hacer girar alrededor
de la recta x = c, con c > b, la región Q
limitada por las gráficas de x = a , x = b ,
y = f(x) , y = g ( x ) (Fig. 4.41). El volumen
del sólido S es
K = ( 27t J (c - x) [ f ( x ) - g(x)]dx"ju3
Fig. 4.41
Observación 8. Sea Q la región limitada
por las gráficas x = f ( y ), X = g(y),
y = a A y = b (Fig. 4.42), donde f y g son
continuas en fa; b] tales que g ( y ) < / (y ),
V y G [a,b], y S el sólido de revolución que
se obtiene a! hacer rotar la región Q
alrededor de la recta y = c, con c < a . El
volumen de S es
V = (^2n j (y - c)[/(y) - s(y)]d yj u3
Observación 9. Sea Q la región limitada por
las gráficas de x = g (y), x = f ( y ), y = a
A y — b (Fig. 4.43), donde f y g son
continuas en [a; fa] tales que g { y ) < / (y ),
V y 6 [a; b], y S el sólido de revolución que
se obtiene al hacer rotar la región Q
alrededor de la recta y = c, con b < c. El
volumen del sólido S es
V = ^2n J ( c - y ) [ f ( y ) - g ( y ) ] d y j u 3
Fig. 4.43
www.FreeLibros.com
l'.jemplo 23. Encuentre el volum en del sólido engendrado al girar sobre el cíe y
l:i región limitada por la curva y = (x - 2 ) el eje x y la recta x = 3 .
Solución
1.a región se muestra en la figura 4.44. Aplicando el método de la corteza
leñemos
V = ZU i X ^ dx = ¿Tl2 x (x ~ 2 ^ dx
= 2n í (x4 - 6x3 + 12x2 - 8x)dx
h
147r
=
A P L IC A C IO N E S D E L A IN T E G R A L D E F IN ID A
l'.jemplo 24. Halle el volum en del sólido generado por la rotación de la región
limitada por las gráficas de x + y2 + 3 y - 6 = 0 , x + y - 3 = 0 alrededor de
la recta y = 3.
Solución
l a región se muestra en la figura 4.45. C om o el eje de revolución es horizontal, el
volum en del sólido es
V = 2n f (3 - y ) l (6 - 3 y - y 2) - (3 - y ) ] d y
J - 3
= 2n f ( y 3 - y 2 - 9 y + 9) d y
J_3
256tt ,
= — ^— Uá
www.FreeLibros.com
TOPICOS DE CÁLCULO - VOLUMEN II
Ejem plo 25. Calcule el volum en del sólido de revolución que se obtiene al girar
alrededor de la recta x = 1 la región limitada por las gráficas de
y — ¡x2 — 2x — 3  , y + l = 0 , x — 1 = 0 , x —4 = 0
Solución
La región se muestra en la figura 4.46. A l aplicar el método de la corteza
cilindrica, el volum en del sólido es
V = 2n J (x - l) [ | x 2 - 2x - 3| + 1]dx
Usando la figura 4.46 y la definición de valor absoluto, se tiene
¡xz - 2x - 3| = | 0 - 3 ) 0 + 1)1 = { _ ( * 2 ~ 2X ~ 3) ' 1 ~ x < 3
De aquí resulta
V
2 x - 3 , 3 < x < 4
= 27r|j O _ 1)[(3 + 2x - x 2) + l]dx + J (x - 1) [ 0 Z _ 2x - 3) + 1] dx
= 2n ( - 4 + 2x + 3x2 - x 3) dx + J O 3 - 3 x 2 + 2)dx
( 3 5 ^ 59 ,= 2^ ( 6 + T ) = y 7 r u 3
Ejem plo 26. Calcule el volum en del sólido que se obtiene al rotar alrededor de
la recta y = 3 la región Í1 = { O ; y ) e M 2 / O < x < c o sh - 10 ) - O < y < 2}.
Solución
La región £2 se muestra en la Fig. 4.47. Esta región está limitada por x = c o sh y ,
x - O, y O A y = 2. C om o el eje de giro es la recta horizontal y — 3,
entonces el volum en del sólido de revolución es
V = 2n í (3 - y )(c o s h y ) d y = 27r[senh(2) -!- c o sh (2 ) - l ] u 3
Jo
1 9 4
www.FreeLibros.com
Ejem plo 27. L a región infinita comprendida entre la gráfica de x y 2 = ( 3 a —x )
(<i > 0) y su asíntota vertical x = 0 gira alrededor del eje y. Calcule el volum en
del sólido generado.
Solución
Con la ayuda de la región que se muestra en la figura 4.48, el volum en del sólido
pedido es
A P L IC A C IO N E S DE LA IN T EG R A L D E F IN ID A
9a2n 2
— ^— u
Fig. 4.48
E JE R C IC IO S
Ivn los siguientes ejercicios, calcule el volum en del sólido generado por la
rotación de la región Q alrededor de la recta L, donde
1. L ■ eje x ; 12 : y = x 2 , y = 4x. (*)
(*) Entiéndase Q lim itado por las gráficas de y = x 2 Ay = 4x.
, 3 17T ,
2. L: y — 0 ; I] ■■y = (x — 1) 3 , x = —1,x —0 , y — 0. R. — - u 3
160
3. L ■ y = 0 ; SI : x 3 - 5 x 2 + 8x — 4 , y = 0. R. - ™ u '
195www.FreeLibros.com
5. L: eje x ; ü: x 2 + y 2 - 2 by + b 2 - c2= 0 (b > c > 0 ) R. ( 2 n 2b c 2)u 3
s e n x 7r 2 /3
6 . L:e je x ; /2:y = -------------- ,x = - , x = - n R. l n l - l u
1 - c o s x 2 3 2/
71 / V 2 
7. L :e j e x ; /2:)' = e * s e n ( e *) ,x = 0 ,x = l n — R. I c o s l — 2~ ) u
1 2 8 V 2 tt ,
8 . L:y = 4 ; Í2: y 2 = 4 (2 — x ) , x = 0 ----- ------ u
Tí
9. L: eje x ; íl-.y = sen x , y = 0 ,x = 0 , x = —
10. L : x = 4 ; /2:x2 + y 2 = 1
1 1 . L: x = —2 ; , íh y 2 = x , y = x 2
12. L: y = - 1 ; Í2:y = a rc c o s x , y = a r c s e n x , x = 1
13. L:x = 0 ; /2: y = V x 2 + 10 , x = 3 , x = 4
T OPI COS Di; C Á L C U L O - V O L U M E N II
A. L:y = 0; Í2: x 2 + ( y — 3 ) 2 = 1 R. 6 n 2u 3
R.
3
R. — u 3
4
R. 8 tc2u 3
49rr ,
R. ------u 3
30
R. (2 6 V 2 6 - 1 9 V l 9 ) u 3
71
14. L : x = 0 ; í l : y = c o s x , y = 0 , x = 0 , x = -
15. L : y = 0 ; i2 :y = ( v x - - ^ ) , x = 1, x = 4, y = 0 R. 7r ( l n 4 + - ) u
¡—------ / 2V 2 - 1
16. ¿ : y = 0 ; fi: y = 0, y = 2, x = 0, x = y j y 2 + 4 /?. 16tt (■
V 3
71
17. L .y = - 1 ; Í2 :y = a rc se n x , y = 0, x = —
18. L y = - 1 ; Í 2: y = V x 2 - 3 , y = x - 1, y = 0
1 Í7T ,
19. L : x = 0 ; /2:y = ----- -t-jt , x = 0, x = y = 0 fí. 7r u 3
c o s ( x 2)  4
1671 3
20. L: x = 0 ;íl: y = x 3 + x, x = 1, x = 0 i?. -y^r- u
21. L:x = 1 ; /2:y = |x2 - 2 x - 3|, y + 1 = 0,x = 2, x = 4
45 ,
22. L .y = 0 ; í l  y = x + 2, y 2 - 3 y = 2 x R . — n u 3
23. ¿ : e j e y ; Í2 :y = | se n x | , 2 x = 7r ,2 x = 37r,y = 0
196www.FreeLibros.com
25. L-.y = 0 ; 12: x + y - 1, V x + ^/y = 1 ^ u 3
.'6 . L: x — —1 ; Í2: x = 0, y = 2, y = yfx
n . ^ = 0 ; ^ = g ; ^ ; . y = o , * = 2
2H. L : x = 0 ;.fi :y = 2 + s e n x, y = x, x = 0, x = ^
2 3 3
29. L:x = 0; Í2:y = x 5,x = - 1 , x - - 2 , y = - 1 /?. -------t t u 3
7
30. L:x — O - ñ  a 2y 2 —b 2x 2 = a 2b 2, |x| = a R. 4 ?m — 12 u
31. L:x = 4‘;. Í2 :y = ( x - l ) 2, y = x + 1
32. L y = 0 ; i2: ( x 2 + y 2) 2 = 4 ( x 2 - y 2) fl. 2tt|V 2 ln ( l + V 2 ) -
33. L:x = 0r; Ñ :y = 3 x 2, y = 4 - 6x 2 /?. — u 3
9
28
34. L : x = 0 ; íl: x 2 + y 2 = 1, x 2 + y 2 = 4 (Í2: co ro n a) R . — n u 3
OCA
35. L:x = 0 ; ú : x - y 2, x = 8 - y 2 /?. -------n u 3
3
36. L:y = — 4; /2;2x + 3 y = 0, 4 x 2 + 9y 2 = 36
37. ¿ : y = 0 ; /2: x 4 + y 4 = 4 x 2 . fl. y j r u 3
38. Lx ——2 ; /2: )x |3 - y + 1 = 0,x + 1 - 0 , x - 2 = 0, y = = 0
39. L : x = 5 ; / 2 :y (l + x 2) = 2,y = x 2
40. L : y = 4 ; / 2 :y (l + x 2) = 2,y = x z
x 2 y 2 4
41. L : e j e x ; Í2 : — + — = 1 /?. - n c ib 2u 3
a 2 b 2 3
2 2
42. ¿ : e j e y ; /3: + 1 R. ~ n a 2bu 3
a 2 b 2 3
7T 7T
13. L y = - ; y = a rc ta n x , x = 0, x = y = 0
APLICACIONES DE LA INTEGRAL DEFINIDA
¡A. L:y = 0 ; í¡:y = V4 - x 2 , y = l J x = 0 , x = V3 R. 2nÍ3u^
44. L: x + 1 — 0 ; üy = arctan x, x = 0,4x = n, y = 0
19?
3
00|N)
www.FreeLibros.com
TÓPICOS DE CÁLCULO - VOLUMEN II
45. L y = 2 ; íl-.y = l n x , y = 0, x = 0, y = 2
46. L:x = e 3 ; i2 :y = ln x , y = 0 , x = 0 , y = 2
1 28
~3
40
~3
47. L:x = - 2 ; íl: y = 0, y = 4 - x 2 R . ^ - t c u 3
r- 40 *
48. L-.y = 2 ; Í2 :y = 0, x = 4, y = Vx R. — n u 3
1 ( 1 4 5  ,
4 9 . L : y = - 2 ; ¿2:y = V x - -^=, x = 1, X = 4, y = 0 K. 7r ( h i 4 + — J u ó
n
SQ. L: y = — 2 ; /2:x = y sen y, x = 0, y = g
C O S % 7T 7T
51. L: eje x ; ¿2:y = ' ^ sen' ¿ - y = 0, x = a, x = - con 0 < a < -
7T y - cos a + ln ( V 2 - 1) - ln (c sc a - ept a ) u 3
52. L: y = 0; ¿2:y = (x + l) e * , x = 0 , x = l,y = 0
53. L : x = 0; /2:y = e x y = 0, x = 0, x = 1 R. 7r(e - l ) u 3
54- Lx = 7) ü : y = x e 2*, x = l , x = 3, y = 0
55. L : y = - 1 ; J3:y = ln x , y = 0, x = e R. 7ieu3
56. L: eje x ; Í2: x 2y 2 + 1 6 y 2 = 16, x = 0, y = 0, x = 4 R. n z u 3
/a V 3
57. ¿ : e j e x ; /2: T riá n g u lo equilátero con vértices (0; 0), (a ; 0), I - ; — a
n a 3
*• —
58. L : x = - 3 ; /2: y = x 5 + 8 , y = ( x 3 - 2 ) 2, x = 0
59. l eje y ; /2: es la región cerrada por el lazo de la curva ( y 2 - b 2) 2 = a 3x
2 5 6 n b 9 _
R. ------.— r- u 3
3 1 5 a 6
60. L’. e j e x ; Í2 es la región encerrada por el lazo de la curva
= q x ( x - _ 3 a ) a > 0 R ™ (15 _ 16 ln 2 ) u 3
x - 4 a ¿
61. L: x = 4 ; Í2: x 2y 2 + 1 6 y 2 = 16, x = 0, y = 0, x = 4
R. 3 2 tt[1 - V 2 + ln ( 1 7 V 2 ) ] u 3
62. L : e j e x ; fl es la región, en el primer cuadrante, acotada por:
16 ,— o
www.FreeLibros.com
__________ 2 3
(.3. L:e]ex; H: y = e~xJ c o s ( e ~x) , x = l n - , x = l n -
n n
R■ —[(3 - V 3 )n - 3 ]u 3
6 25
()4. L: x = 1 ; ú : x 2 - 4 = y, y = - 3 x fl. ------- t t u 3
6
(i.r>. eje y ; /2 es la región que se encuentra al lado derecho del eje y limitada
por x = 0 , (4 + x 2) y 2 = 4 - x 2 /?. 47r (7r - 2 ) ií3
(>6 . A la curva ^/xy - 2 x + 3 y - 6 = 0, en el punto (3; 3) se trazan las rectas
tangente y normal. Calcule el volum en del sólido generado por la rotación
alrededor de la recta y = - 3 , de la región limitada por la tangente, la normal
10222
norm al trazada y el eje y. R. ----------n u3
49
(i7. A la parábola y 2 = 12x, en el punto de abscisa 6 , se ha trazado una
tangente. Calcule el volum en del sólido generado al girar alrededor del eje x,
la región limitada por la tangente trazada, el eje x y la parábola.
R. 72n u 3
(.8. L: eje x ; íl: y = x e x, y = 0, x = 1 ' R. - <e 2 - l ) u 3
4
69. L: eje x , ü: es la región limitada por y = 0 y un arco de la cicloide
x — a ( t sen t), y = a ( l - eos i) R. 5 n 2a 2u 3
70. L : e j e y ; fl es la región del problema 69 R. 6 n 3a 3u 3
KCL3
71. L:x = a n ; SI es la re gión del problem a 69 R. ------( 97r 2 - 1 6 )u 3
6
72. L .y = 2 a ; ü es la región del problema 69 R. 7 n 2a 3u 3
73. L: eje x ; fí es la región limitada por x = a e os3t , y = a se n 3t.
74. Sea /; [ 0 ; + 00) -» ffi una función continua tal q u e / (x ) > 0 , V x > 1. Para
todo a > 1, el volum en del sólido generado por la rotación de la región
limitada por las gráficas de y = / (x ), x = 1 , x = a y el eje x, alrededor
/ -a
APLICACIONES DE LA INTEGRAL DEFINIDA
del eje x es: V = + 2 a 2 - - j u 3. Determ ine f(x).
R. f ( x ) = .V x 2 + 4 x
Vtt
75. Sea /: [0; + 00) -> K una función continua. Para todo a > 0, el volum en del
sólido generado por la rotación en torno al eje x de la región que se encuentra
entre la gráfica de y = / ( x ) y el eje x, desde x = 0 hasta x = a con a > 0
es V = ( a 2 + a ) u 3 . Determine / (x ).
199www.FreeLibros.com
1. L a curva y 2(2a —x) = x 3 gira alrededor de su asíntota vertical. Halle el
volum en del sólido generado.
R. 2 n 2a 3u 3
1 x
2. Sea fl la región infinita com prendida entre las gráficas de y = - A y =
y que se encuentra a la derecha de la recta x = 1. El eje de rotación es el eje
x. Calcule el volum en del sólido generado.
1
3. n es la región com prendida entre la curva y = - 2 — ^ y su asíntota y el eje
de rotación es el eje x. Calcule el volum en del sólido generado.
7T2 „
R. Y u>
C _ 4 t
4. fí es la región com prendida entre la curva y = J — ------ d i (x e IR) y
su asíntota y el eje de rotación es su asíntota.
3
1 6 '
5. £2 es la región com prendida entre la curva x y z - 4 a 2(2 a — x) y su asíntota,
y e! eje de revolución es su asíntota. Halle el volum en del sólido generado.
R. Anz a 3 u 3
TOPICOS DE CÁLCULO - VOLUMEN II
En los siguientes ejercicios, Q. es una región infinita.
6 . fl es la región com prendida entre la curva y 2 = — — - y su asíntota x = 2a
y el eje de revolución es x = 2a. Calcule el volum en del sólido engendrado.
R. 2 n 2a 3 u 3
7. fi es la región com prendida entre la curva
rse n x
x > 0
y =  x
( o , x = 0
y su asíntota, y el eje de revolución es el eje x. Calcule el volum en del sólido
generado sabiendoi que í
J0
Tí
dx = 2'
TI ,
R. — u 3
2
200
www.FreeLibros.com
APLICACIONES DE LA INTEGRAL DEFINIDA
i. i LO NG ITUD DE A RC O
Se;; / : [a; b] -» R una función con derivada continua en [a;b] y
P - {x0, x1 , una partición de [a;6], Esta partición define una poligonal
c o n flu id a por los segmentos rectilíneos desde ^ ( x , ^ ; / ( * , _ , ) ) hasta
< M * ¿ ; / ( * ¡ ) ) , p a r a i = 1,2, ... , n (Fig. 4.49).
n n
L{p) = = Z V O i - * ¡ - i ) 2 + (/ (.rj -
¿=1 i=1
i I numero ¿ - ¡|{i|m o L(P), si existe, se llama longitud de arco de la curva
y = f { x ) desde ei punto(a ;/(a)) hasta el punto (£>;/(£)). Dem ostrarem os
que eneste caso el número Lsiempre existe.
Com o f es derivable y continua en [xt_ i ; x t] , i = 1,2.....n, por el teorema de
Lagrange o del V a lo r M edio, 3 t ¡ 6 ( x ^ X t ) tal que
f (x¿) — = f (ti)(x ¡ — x ¡_ x) , i = 1,2,..., n
I laciendo A¿x = x¿ —x , i = 1,2,..., n , tenem os
■ A n
= V (A¡ * ) 2 + [ / '( t i)]2.(A 1x)2 = V V i + [ / '( t ¿)]2
Í=1 fet
l’or tanto, la longitud de arco de la curva y = / ( * ) desde x = a hasta x = b es
n
1 ~ I & I W M . es decir
www.FreeLibros.com
TOPICOS DE CALCULO - VOLUMEN II
Observación 10. La longitud de la curva x = g ( y ) comprendida entre las rectas
y = c A y = d, donde g es unafunción con derivada continua en [c; d], es
1 = (j ■/1+ífj'(y)]-dyju = | J j l +
4
Observación 11. Si la ecuación de la curva C viene dada en forma paramétrica
mediante un par de funciones con derivadas continuas, esto es,
C:£ : $ r
Entonces la longitud de la curva C desde t = a hasta t = fi es
¿ = Vl*'(t)]2+ [y'(OP dt'Ju
E je m p lo 28. H alle la longitud de la curva
,-------------- (1 + Vsec2x + 1 n n
y = v sec2x + 1 - ln ---------------------- desde x = — hasta x = -
'  secx J 4 3
So lu ción
A l aplicar las reglas de derivación y sim plificando se obtiene
^ = tan x V se c 2x + 1
dx
Por lo tanto, con la fórm ula de la longitud de arco resulta
L = f 1 + ® dx = f * [1 + tan2x (se c 2x + l )]1' 2 dx
4 / 4 4 K d x J J ” / 4
rn/3
= I sec2x dx = [tan x nJ^ = (V 3 - l ) u
E je m p lo 2 9 Encuentre la longitud de la curva cuya ecuación es
desde x = —2 hasta x = — 1 .
So lu ción
1 x4 d y x 3 1
Com o y = — r + — ,entonces — = —-Luego, la longitud de arco es
J 2x216 dx 4 x 3
l = £ 4 T 7 W ? = £ J ( £ + i ) ¡ i - + 1
- Í T ( ^ ¿ )
dx
(x 3 1  21
■+ — I dx = — u
202
www.FreeLibros.com
APLICACIONES DE LA INTEGRAL DEFINIDA
Ejem plo 30. Calcule 4a longitud total de la curva cuya ecuación es:
n n
- < x < -
2 ~ 2
y - J ^ V c o s t d t , - ^ < x < ^
~2
Solución
C r 7T 7Ti
Como f ( x ) = J ^ V e o s t dt, V x 6 entonces f ' (x) = V c o s x es
~2
. r ^
continua en el intervalo - j . Por lo tanto,
2 5 ___________ re
L = J * V 1 + c o s x d x = dx = P e o s ( | ) d x = 4 u
~2 “ 2 “ 2
Ejem plo 31. H alle el perímetro del triángulo curvilíneo lim itado por el eje de las
abscisas y por las curvas cuyas ecuaciones son *
y = In ( c o s x ) , * e A y = l n ( s e n x ) , x 6 ( 0 ; n )
Solución
Las gráficas de f ( x ) = ln ( c o s x ) , x 6 y de g ( x ) = ln ( s e n x ) , x 6 (0;n)
se muestran enla figura 4.50. La s longitudes de los lados del triángulo curvilíneo
son
n
¿1 = 2 “
[ n / * _________________ r n ¡ 4
¿ 2 = 1 V 1 + [ / 'O O P d x = | V i + ta n 2x d x = ln ( V 2 + l ) u
h Jo
( n,z /------------------- ( n'2 /---------------
¿3 = j V 1 + [5 '( x ) ] 2 = V i + cot2x dx = ln ( V 2 + l ) u
•'/r/4 ^rr/4
Por tanto, el perím etro del triángulo curvilíneo es P = + 2 ln (V 2 + 1)] u
203www.FreeLibros.com
Ejem plo 32. Calcule la longitud de la parábola sem icúbica 2y 3 = x 2,
comprendida dentro de la circunferencia x 2 4- y 2 = 2 0 .
Solución
La gráfica de la parábola sem icúbica se muestra en la Fig. 4.51. L o s puntos de
intersección de las dos curvas son ( - 4 ; 2) y (4; 2). Ahora, derivando
implícitamente la ecuación 2y 3 = x 2 con respecto a y se tiene
dx 3 y 2 ( d x  2 9y 4 / y 3 9 y
— = — = > 1 + — ) = 1 4- — 5- = 1 4 -9 y . I — = 1 + —
d y x Vdy/ x 2  x J 2
C om o la gráfica de la parábola sem icúbica es simétrica con respecto ai eje y,
entonces la longitud de arco com prendida dentro de la circunferencia es
TÓPICOS DE CÁLCULO - VOLUMEN II
->r•'0
i +  y dy = (Viooo - i)u
Ejemplo 33. La posición de una partícula en el instante t es
x (t) = 1 - eos t , y (t) = t - sen t
Halle el recorrido total entre t = 0 y t = l
Solución
El recorrido total de la partícula es
www.FreeLibros.com
lin cada uno de los ejercicios siguientes, determinar la longitud del arco de la
curva descrita por
c , ,a + V a 2 - x 2 i---------- ra ai
/ ( x ) - a ln(----------------- ) - V a 2 - x 2 ,x e R. (a ln 3 )u
APLICACIONES DE LA INTEGRAL DEFINIDA
E JE R C IC IO S
/ ( * ) =
a:4 + 3
6x
* 6 [1 ; 3] R.
( y ) “
,i. / O ) = X1' 2 - - x 3/2, x £ [0 ; 1]
/ ( x ) = V e2* - 1 - arcsec(e*) - 1 , x -£ [0; 4]
f W =
6 2x
O.
7.
I).
9.
10,
11.
12.
13.
14.
x e [2; 5]
/ (x) = ln (-x ) , x e [-V 8 ; - V I ]
X X —— —
f (x ) = - a r c s e n x - - V l - x 2 , x e
4
R. - u
R. (e4 - 1)U
393
fi' lo-“
* . ( l + í !»§)<*■
*•
/ ( x ) = ¿ W * 2 - 1 - ^ ln ( x + V x 2 - 1) , X £ [3; 5] R. 8 u
x = i y5/3 ~ ^ y 1/3-y e [0;i]
y = (9 - x 2/3) 3/2, x £ [1; 2]
2 7
/?. — u
20
9 3/—
R. - ( V í - 1)u
y = - W 3 - x 2 + ^ a r c s e n ^ x j , x £ [0; 1] /?. +
y - 1 - ln (c o s x ) ,x £ ¡0 ;£ ] fí. In ( V 2 + 1) u
y = arcse n (e *), x £ [0 ; 1]
x
y = a c o s h - , x € [0 b]
a
y 2 i
x = T ~ 2 l n y , y e[1;e]
l(>. / ( x ) = ln ( c o t h - ) ,x £ [ a ; b ] , a > 0
R. ln(e + V e 2 - 1) u
/b>
R. a senh
( e 2 + 1
R.
R.
’ e 26 - 1
ln^ _ i ) + a ~ b
205www.FreeLibros.com
TÓPICOS DE CÁLCULO - VOLUMEN II
17. / ( * ) = y + ¿ . * e [ 1;2]
18. x = (a 2/3 - y 2/3)3^2 , y e [-a ; a]
59
R- 7T7U
2 0 . x =■e c sen t , y = eos t, t e [0 ; 7r] R. v 2 (e ’r - 1)u
R. 3 a u
R. — [ V 2 + l n ( l + V 2 )]u
R. V 2 ( e ’r - l ) u
punto m ás próxim o donde la tangente es vertical. R. ln — u
2 2 . x = a (eos t + t sen t) , y = a (se n t - t eos t ) , t e [0 ; a]
R. ~ a a 2u
II. E n los siguientes ejercicios, halle la longitud de arco de las curvas que se
indican.
1. L a longitud total de la circunferencia x 2 + y 2 = a 2 R. 2na u
2. L a longitud total del astroide x = a e os3t , y = a se n 3t R. 6 a u
3. L a longitud del arco de la rama derecha de la tractriz
7. La longitud de la curva 9 y 2 = 3 x 2 + x 3 desde x = - 3 hasta x - 0
desde y = a hasta y = b con 0 < b < a. R. a l n ^ - J u
/Xn2/3 /y>.2/3
4. La longitud de la curva ( - J + M = 1 en el p rim er cuadrante.
a 2 + ab + b 2
R. -------------:------ u
5. L a longitud total de la curva cuya ecuación es
4 ( x z + y 2) - a 2 = 3 a 4/3y 2/3 R. 6au
6 . L a longitud total de la curva 8y 2 = x 2 - x 4 R. W 2 u
R. 4V 3i¿
206
www.FreeLibros.com
II l a longitud de arco de la parábola semicúbica 5 y 3 = x 2 com prendida dentro
134
de la circunferencia x 2 + y 2 = 6 R. — -u
27
•J. Calcule el perímetro de la región de menor área limitada porlas gráficas
y 2 = 2 x 3 A x 2 + y 2 = 20
X2
II). I,a longitud de la curva y = - - In V x ,desde x = 2 hasta x = 3 .
II. La longitud de la
uirva y = V x - x 2 + arcse n V x. R. 2 u
I L a longitud total de la curva dada por (y - arcsen x ) 2 = 1 - x 2 R. 8u
2
13. La longitud del arco de la curva y 2 = - ( x - l ) 3 com prendida dentro de la
x
parábola y — —
14. La longitud del arco de la curva dada por x = ( t 2 - 2 )se n t + 2 t eos t ,
71^
y = (2 - t2) eos t + 2t sen t, desde t = 0 hasta t = n
15. La longitud del arco de la curva y = ln ( l - x 2) desde x = 0 hasta x = 1/2
R. [ - ¿ + I n 3 ] u
III. L o s siguientes ejercicios tratan del m ovim ientode una partícula.
1. En el tiempo t, una partícula se encuentra en el punto
P (c o s t + t se n t ; sen t - t eos t)
Encuentre la distancia recorrida desde el instante t = 1 hasta t = n
2. En el instante t, la posición de una partícula es
x = 1 + arctan t ,y = 1 - ln  / 1 + t 2
Halle el recorrido desde el instante t = 0 hasta t = 1 R. ln ( l + V 2 ) u
APLICACIONES D E L A INTEGRAL DEFINIDA
207www.FreeLibros.com
TÓPICOS DE CÁLCULO - VOLUMEN II
4.5 ÁREA DE UNA SU PER FIC IE DE R EV O LU C IÓ N
Sea /: [a, b] -> M una función no negativa, con derivada continua en [a; £>].
Haciendo girar la gráfica de / desde x = a hasta x = b , alrededor del eje x, se
obtiene una superficie de revolución (Fig. 4.52). E l área de esta superficie de
revolución está dado por
i4(S) = (271 f f(x)yj 1 + [ f ( x ) ] 2dx
Fig. 4.52
Observación 12, Si la curva se describe por la ecuación paramétrica
C :x = x(t), y = y (t), t e [a;/?]
donde x( t ) y y ( t ) son funciones con derivadas continuas en [a; /?J, entonces el
área de la superficie generada al hacer girar la curva C alrededor del eje x es
A(S) = ( l n J % ( t ) V [ * '( O P + ty'(t)]2dt
Observación 13. Sea f: [a, b] -> E unafunción con derivada continua en [a; b]
tal que su gráfica está a un mismo lado de la recta y = c . Haciendo girar la
gráfica de f desde x = a hasta x = b alrededor de la recta y - c se obtiene
una superficie de revolución (Fig. 4.53) cuya área es
www.FreeLibros.com
.APLICACIONES DE’LA INTEGRAL DEFINIDA
Observación 14. Si la curva C se describe con la ecuación x = g (y ), V y 6
I": H donde g es unafunción con derivada continua en [a; b] y S e s la superficie
./<• revolución que se obtiene al hacer rotar la curva C alrededor de la recta
 = c , (Fig. 4.54), entonces el área de la superficie S es
4(5) = i^2n J g(y) - c^jí + [ g '(y W d y ^ ju 2 (*)
Si la ecuación de la curva C está dada en su form a paramétrica por
x = x ( t  y = y(t), Vt 6 [a; /?]
donde las funciones x = x(t), y = y ( t ) tienen derivadas continuas en [a;/?]
entonces la fórm ula ( * ) se transforma en
A(S) = Í 2 n ( |ar(t) - c|V"[x'(t)P + [y'(t)]2 d i) u2
Y
b
k C >
-----------------. c
/ n(y)
i
S
c
a - - J *x - 
.Y C
.....w -----------►
x
.Y - C
Fig. 4.54
Ejem plo 34. H a lle el área de la superficie generada al hacer girar la gráfica de
/ (x) = V24 — 4x , x £ [3; 6], alrededor del eje x.
Solución
—2
(.orno f' (x) - — , el área de la superficie resultante es
V 2 4 - 4x
4
6
f ( x y i + [ f ( x ) ] 2dx
= 2 n  V 2 4 - 4x 11 + — 4 dx
h y] 24 - 4x
= 2n I V 2 8 — 4x dx = ----- u2
h 3
l a gráfica de f ( x ) = /24 - 4x se muestra en la figura 4.55.
4 ( S ) = 2n f
Ja
209www.FreeLibros.com
TÓPICOS DE CÁLCULO - VOLUMEN II
Eje m plo 35. Halle ei área de la superf
del eje y del arco de la curva y = a eos
So lu ción
Considerando que la curva (Fig. 4.5«
superficie generada es
A(S) - 2tt f /(y)V 1 + [/'(y
•'o
/y dx
donde x = / ( y ) = a cosh y —
Luego.
A(S) = 2n J a cosh Jl-<
= 2n J a c o sh 2 d y
Eje m p lo 36. Halle el área de la super
2x = y v V - 1 + ln ¡y - J y 2 - l | ,
So lu ción
L a ecuación paramétrica de la curva e:
.* (0 = ^[t%/t2 - l + l n | t -
y ( t ) = t
de donde x' (t ) = V t 2 - 1 A y'(t)
Por tanto, el área de la superficie es
a (s ) = í y c o T I x ' M F n / M F í
h
YJ
c >
y
a: = a c o sh (— )
a
'" " A .
C7i
— y <
f > r0 a a cosh(l) x
Fig. 4.56
cié engendrada por la revolución airededor
- 'i desde x = a hasta x = a cosh ( 1)
a '
>) gira alrededor del eje y, el área de la
)]2dy
= f ' ( y ) = s e n h Q
- se n h 2(^ )d y
n a 2 , „ ,
= ------(2 + senh 2 )u
2
ície cuando la curva
y e [2 ; 5], gira alrededor del eje x.
^ f2 ~ 1 B , t 6 [2; 5]
= 1
!t = 2jt í t-J (t2 - 1) + 1 dt = 78n u2
210www.FreeLibros.com
APLICACIONES DE LAINTEGRAL DEFINIDA
I1'templo 37. Halle el área de la superficie generada por la revolución en torno al
r l r y del arco de la curva y = - [x2 - 21n x], x e [ l ; 4 ].
Solución
1.1ecuación paramétrica de la curva es
(x(t) = t
y ( 0 = ^ [ t 2 - 2 1 n t ] ’ 1e [1;4]
1 1
tic donde x'(t) - 1, y '(t) = - (t - -)
ucgo,
A(S) = 2?t J| x ( t y [ x ' ( t ) ] 2 + [y'(t)]2dt
= 2„ J , J l + i ( , - i) * d t = 2 , J ‘ l (, + | ) d t = 2 4 ™ ’
I jemplo 38. Calcule el área de la superficie de revolución que se obtiene al hacer
líirar la curva y = 2 - e x , desde x = 0 hasta x = 2 , alrededor de la recta
V - 2
Solución
I .i gráfica de la curva se muestra en la
ligura 4.57.
Se tiene que
dy
¿ = f ' M = - e x
luego, según la fórmula, el área de la
superficie es
¿(S ) = 27r f ( 2 - f M ) J l + [f'(x)]dx
*'0
= 2n í exyfí'+ (ex)2 dx
“'O
: 7r |e 2V l + e4 - V2 + + ln
e 2 + V i + e ‘
1 + V 2
211
www.FreeLibros.com
Ejem plo 39. Halle el área del elipsoide de revolución que se obtiene al hacer
x 2 v 2
girar la elipse — + — = 1,alrededor de:
a) su eje m ayor b) su eje menor
Solución
a) Cuando la elipse gira alrededorde su eje mayor, es suficiente considerar la
curva C descrita p o r / ( x ) = --^ 2 5 - x 2, x e [— 5; 5] (Fig.4.58).
4 i----------- 4 x , , , ,
Al em plear / (x ) = - V 25 - x 2 A / '( x ) = - ^ = = = , el area de la
TÓPICOS DE C Á LC U LO -V O LU M EN II
superficie resulta
r 5 ¿J, __________
A(S) = 2n j - V 2 5 - X ' l f
1 6 x 2
25(25 - x 2)
dx
/ 100 3
= 27r ( l 6 + — arcsen -Jw
b) Cuando la elipse gira alrededor de su eje menor, es suficiente considerar la
curva x = - V l 6 - y 2, y 6 [-4 ; 4] (Fig.4.59).
4
Luego, el área del elipsoide generado es
5
A(S) = 2n J j V l 6 - y 2
/ 8071,  ,
= Í507T + - ^ - l n 4 J u 2
1 +
2 5 y z
1 6 ( 1 6 - y 2)
dy
2 1 2
www.FreeLibros.com
I. E n cada uno de los siguientes ejercicios, halle el área de la superficie de
revolución que se obtiene al girar alrededor del eje x, las curvas dadas por
1. / ( x ) — —x 3 , x £ [0 ; 2] /?. (9 8 tt/ 8 1 )u 2
2. / ( x ) = c o s x , x e [ - j ; | ] R. 2jt[V2 + l n ( l + V 2 )]u 2
3. Un lazo de la curva 8 a 2y 2 = a2x 2 - x 4 R. (na2/4 ) u 2
4. 6azx y = x 4 + 3a 4 desde x = a hasta x = 2a R. (47rra2/16) u 2
5- / O ) = - x 3, x e [0 ; 2 ] R. ^ ( 1 7 3/2 - l ) u 2
6. y 2 + 4x = 2 ln y desde y = 1 hasta y = 2 R. (IO tt/ 3 )u 2
7. x = a c o s 3t, y = a s e n 3t /?. (127ra2/ 5 ) u 2
8. y = e ~x , x > 0 R. ;r[V 2 + ln ( l + V 2 ) ] u 2
9. x = etsen t, y = e ceos t desde t = 0 hasta t = |
R. 2nyÍ2(en - 2 )/ 5 u 2
10. y = e - *, x > 0 R. ^ [V 2 + l n ( l + V 2 ) ] u 2
11. x = a (e o s t + ln ( t a n | ) ) , y = a sen t fi. 47r a 2u 2
12. y = ta n x desde (0; 0) hasta (£ ; l ) /?. t t ( V s - V 2 + l n ^ + 2
V4 ' V V5 + 1
13. E l lazo de la curva 9 a y 2 = x ( 3 a - x ) 2 R. 3 n a 2u 2
14. x 2 + ( y - /j) 2 = a 2, 0 < a < b (toro de revolución) R. 4 n 2abu
x 3 1
15- y = y + 2 ¿ ‘ x e t1; R ■(208rr/9)u2
16. y = 2x, x e [0 ; 2] r . 8 n V 5 i¿2
17. y 2 = 4 a x desde x = 0 hasta x = 3a R. (56/ra2/ 3 )u 2
APLICACIONES DE LA INTEGRAL DEFINIDA
E JE R C IC IO S
2
II. Halle el área de la superficie generada por la rotación en torno al eje y, de cada
una de las siguientes curvas
1. x = y 3 , y 6 [0; 3] R. — [(7 3 0 )3^2 - l ] u
2. 6 a 2x y = x 4 + 3 a 4 desde x = a hasta x = 3 a R. (2 0 + ln 3) n a 2u 2
213
www.FreeLibros.com
TÓPICOS DE CÁLCULO - VOLUMEN II
3 . 2 y = * V F ^ T + l n ( * - V F ^ T ) , x e [ 2 ; S ] K . 7 8 U U 2
4. x 2 + 4 y 2 = 16
5. y - x 2 , x £ [1; 2]
6. y = x4/3, x e [1; 8]
III. H alle el área de la superficie de revolución form ada cuando la curva indicada
gira alrededor del eje dado.
1. y = x 3/z , x G [1; 8]; alrededor de y = 1
2 V = í l + _ L ( x £ [1; 2]; alrededor de y = 1
' ^ 3 4x
3. y = x 3, x 6 [1; 2]; alrededor de y = - 1
4. y = ln (x - 1 ), x G [2; e2+ 1]; alrededor de x = 1
5. y = 4 + e x, x G [0; 1]; alrededor de y = 4
6. y = 2 x , x £ [0; 2]; alrededor de y = - 1 R - 1 2 V 5 ttuz
4.6MOMENTOS Y CENTROS DE MASA (ó CENTROS DE GRAVEDAD)
E l momento de masa de una partícula respecto a una recta L se define com o el
producto de su m asa y su distancia a la recta L. A si, si m es la m gsa de la particu
y d su distancia a la recta L Fig. 4.60, entonces el momento de la partícula
respecto a la recta L está dado por
Ml = m d
Fig. 4.61
www.FreeLibros.com
Mx
•
Es conveniente considerar la partícula localizada en un plano de coordenadas y
determinar el mom ento de la partícula respecto a un eje de coordenadas ( o a una
recta paralela a un eje de coordenadas). E n este caso se usan las distancias
dirigidas, así el mom ento será positivo o negativo o cero, según la ubicación de la
partícula; por ejemplo si la partícula de masa m está en el punto ( x ; y ) Fig. 4.61 ,
entonces sus m om entos Mx y My respecto a los ejes x e y, respectivamente son
Mx = m y , My = m x
Si un sistem a de n partículas de m asas m 1, m 2l..., m n están situados en los
puntos ( * ! ;y i), (x 2; y 2), (x n ;y n) respectivamente, los m om entos Mx y My
del sistema de n partículas se definen como
n n
= ™ ¡y ¡ - M y = ]jrrriiXi (I)
í= l i= 1
El centro de m asa o centro de grave dad de un sistema de partículas es un punto
P(x;y) tal que, supuesto que la masa total m del sistema esta concentrada en el
punto P, los m om entos de P y del sistema coinciden.
Si el sistema de m partículas de masas m u m 2, ■■■, m n ubicadas en los puntos
(x'<yi),f e ) y2). - (xn>Vn) tienen su centro de gravedad en el punto P{x; y ) y
que la m asa total del sistema es
n
m = ^ mi
i= i
entonces los m om entos Mx y My de P están dados por
Mx = m y , My = m x
Luego, de (I) se obtiene
n n
APLICACIONES DE LA INTEGRAL DEFINIDA
= m¿y; y m x = ^m y
i= l ¡=1
De donde resulta
_ Z "= 1m ¿x ¡ _
x = -------------- y y=--------------
m m
En resumen , si Mx y My son los momentos de un sistema de partículas respecto
;i los ejes x e y respectivamente y P (x ;y) es el centro de gravedad o centro de
masa del sistema, entonces
My Mx
* = -T y = - f (II)m m
donde m es la m asa del sistema.
2 1 5www.FreeLibros.com
Ejemplo 40 Cuatro partículas están en los puntos Pt ( — 1; — 2), P2(1; 3),
P3(0; 5), P4(2; 1) y sus m asas son m 1 = 2, m 2 = 3, m 3 = 3, m 4 = 4
respectivamente, determine el centro de gravedad del sistema form adopor estas
cuatro partículas.
Solución
Tenem os Mx = 2 ( — 2 ) + 3 (3 ) + 3 (5 ) + 4 (1 ) = 24
My = 2 ( — 1) + 3 (1 ) + 3 (0 ) + 4 (2 ) - 9
m = 2 + 3 + 3 + 4 = 12
Luego,
- _ M y _ 9 _ 3 - _ M X _ 2 4 _
X - ñ r ~ 1 2 - 4 ’ V ~ ~ m ~ Y 2 ~ 2
Por tanto, el centro de grayedad está ubicado en el punto P (3 / 4 ; 2)
4.6.1 C EN TR O D E GRAVEDAD DE UNA REGIÓN PLA N A ó LÁM IN A
En primer lugar, es necesario tener en cuenta las siguientes consideraciones
a) U na lám ina es llamada homogénea si dos porciones de igual área tienen el
m ism o peso.
b) L a d en sidad p de una lám ina es la masa de una unidad cuadrada de lámina.
Si una lám ina es homogénea, entonces su densidad (de área) p ■es constante y
si A es el área de dicha lámina, entonces su masa es m = pA
c) E l centro de m asa de una lám ina homogénea, puede pensarse com o el punto de
balance de la lámina; si esta lám ina tiene un centro geométrico, este será
también el centro de masa ó centro de gravedad. Por ejemplo, el centro de
masa de una lám ina circular hom ogénea es el centro del círculo; el centro de
masa de una lámina rectangular hom ogénea es el centro del rectángulo
(intersección de las diagonales). Se define el momento de una lám ina de masa
m respecto a una recta, com o el momento de una partícula de masa m situado
en el centro de masa de la lámina.
d) Si una lám ina se corta en trozos, el momento de la lám ina es la sum a de los
m om entos de sus partes.
Ejemplo 41 Encuentre el centro de m asa de una lám ina hom ogénea de densidad
p, que tiene la form a propuesta en la Fig. 4.62 (las m edidas están en cm.)
Solución
L a lám ina está form ada por 3 rectángulos y el área total de la lám ina es igual a
9 3 c m 2. Si colocam os los ejes de coordenadas tal com o se indica en la figura, los
centros de m asa de los rectángulos Rlt R2 y R3 son:
TOPICOS DE CALCULO - VOLUMEN II
216www.FreeLibros.com
U t L A 1ÍN 1 t O K A L U t , r 1 ÍN 1U A
respectivamente. Luego,
Mx = (2 1 p ) ( y ) + (6 0 p )(6 ) + (1 2 p ) = ^ p
/13 9 6 9
My = (2 1 p ) ( y ) + (6 0 p ) ( S ) + (1 2 p )(8 ) = — p
Por tanto, el centro de m asa (x ;y ) de la lámina está dado por
9 6 9
_ My - J - P
x = ^ = = 5 ,2 0 9 6 7 7 4 1 9
m 93 p
1 1 9 7
~ 2 ~ P
y = — - = — = 6 ,4 3 5 4 8 3 8 7 1
' m 9 3 p
Sea F una lám ina hom ogénea cuya densidad es constante e igual a p.
Supongam os que F es la región limitada por las gráficas de:
y = /(*), y = a(x), x = a , y x = b
donde f y g son funciones continuas en [a ;b ] y / ( x ) > g(x), V x G [a;fr]
(Fig. 4.63)
Sea P = {x1, x 2, ■■■,xn} una partición de [a;b] y c¡ es el punto m edio de
[x¿_ x; x¡] , entonces se tiene que:
m = p [/ (c ,) - 5 (c¡)]A ¡x , i = 1,2,......n (A ix = x¡ - x ^ )
es la masa del i-ésim o rectángulo som breado en la figura 4.63
2 1 7www.FreeLibros.com
TÓPICOS DE CÁLCULO - VOLUMEN II
lil centro de gravedad del i-ésim o rectángulo se encuentra en el punto
( f ( c¡) + g (c¡)>
[ Ci) 2
Sustituyendo cada rectángulo por un punto material y localizando la m asa de cada
rectángulo en su centro de gravedad se obtiene que los m om entos de m asa de los
n rectángulos, determinados por la partición, respecto a los ejes x e y son:
Mr
M,
lí /l
Z ™ ¡y¡ = p[/(c¡) - 5(c¡)]
/(c¡) + g ( a )
AjX
Luego, el centro de gravedad (x ; y ) estará aproximadamente en el centro de
gravedad de los rectángulos determinados por la partición, es decir:
x
My _ P'Z’j=iCi[f(ci) - g j c ^ A j X
m pEH iE /(c¡) - S(c¡)]A¡*
Mx I p i u m c d r - i g í c d ] 2} ^
y X m ~ p l U l f i c d - g i c ^ x
Pasando al límite cuando ||P|| -» 0, se obtiene que las coordenadas ( x ; y ) del
centro de gravedad de la lámina F están dadas por
Ja * [/(* ) - g(x)]dx ^ _ ^Jq{[/(*)]2 - to(*)]2}
£ [ f t o - g ( x ) ] d x A y t f  f ( . x ) - g ( x ) ] d x
C om o se observa, las coordenadas del centro de m asa de la lám ina hom ogénea no
dependen de su densidad p, sólo depende de su forma. Usualm ente el centro de
m asa de una lám ina se denom ina centro de gravedad o centroide, reservando el
término centro de m asa para un sólido.
Observación 1S
a) Si la región plana F es simétrica con respecto a la recta x = x0 , entonces
x = X0
b) Si la región plana F es simétrica con respecto a la recta y — y 0 , entonces
y = yo
2 1 8
www.FreeLibros.com
Observación 16 Si la regiónplana F esta limitadopor las gráficas de:
x = f ( y ) , x = g (y), y = c , y = d
donde f y g son funciones continuas en [c; d] y f ( y ) > g (y ), V y g [c;d ]
l'ig. 4.64, las coordenadas del centro de gravedad (x; y ) de la región F son
APLICACIONES DE LA INTEGRAL DEFINIDA
_ _ 2/cd{[/(y)32-[g(y)]2}dy
/,d[/ (y ) - g ( y ) ] d y
~ -= C y t f W - 9 ( y ) ] d y
CifXy) -g(y)d y
Ejem plo 42 Encuentre el centroide de la región acotada por las curvas y = x 3 ,
y = 4x en el primer cuadrante. ,
Solución
El área y los m om entos con respecto a los ejes x e y de la región son
A(R) = í (4x - x 3) d x = 4
Jo
_2 2
My = i x [ f( x ) - g ( x )]d x = í x(4x - x 3)dx = ^
Jo 15
Mx =z2 ¡ 0 “ Í9 (x)]2} d x = ^ J ( 1 6 x 2 - x ü)dx =
256
J T
_ My 6 4 / 1 5
Luego, x = — = ---------
m m
Mx 2 56 / 21
„ , /16 6 4
l’or tanto, el centroide es P — :—
V15 21/
219www.FreeLibros.com
Ejem plo 43 Halle el centro de gravedad de la región lim itada por las ciirvas
x 2 - 8 y = 0 , x 2 + 1 6 y = 24
So lu ción
C om o la región F (Fig. 4.66) es simétrica respecto al eje y, se sabe que x = 0
El área de la región y el momento con respecto al eje x son
TÓPICOS DE CÁLCULO - VOLUMEN II
A
■ a
■ r ' d
16
dx = 4 V 2
2 4 - x
16~
dx =
1 6 V 2
/ 4 _ Mx 4 _
Por tanto, el centro de gravedad es ^0; - J porque A
Eje m p lo 44 Encuentre el centroide de la región lim itada por las curvas
x = 2y - y 2 , x = 0
So lu ción
C om o el centro de m asa está situado en el eje de sim etría y = 1 (Fig. 4.67),
entonces y = 1.
Aplicando las fórm ulas dadas en la observación 16 se obtiene
i l o ( 2y - y 2)2dy _ e /is _ 2
f g ( 2 y - y 2) d y 4 /3 5
Luego, el centroide es P ; 1j
220
www.FreeLibros.com
(CJemplo 45 Determ ine el centroide de la región plana limitada por las curvas
y = / ( * ) . y = - x 2 , x = - 1 , x = 2, donde
f ( x ) = í 1 ~ x ’ x ^ °
n ) l x 2 + 1, x > 0
Solución
La región se ilustra en la Fig. 4.68. D ividiendo la región en dos partes se obtiene
APLICACIONES DE LA INTEGRAL DEFINIDA
A = í ( í - x + x 2)d x + f ( x 2 + 1 + .
J- 1 J0
11 2 2 55
M,
16 11 _ 71
15 + ~3~ — 15
= 2 / K 1 “ * ) 2 “ x *]dx + + ! ) 2 “ x *~idx
f ° r 2 13
- x ( l - x + x 2) d x + x (x 2 + 1 + x 2)dx = ------+ 1 0 =
J-i J0 12
1 07
~12
_ 107/12 _ 71/15 ^ , /107 1 4 2 
,uego, x - ■ , y = -=— r , de donde el centroide es P ----- ;------ )
55/6 ' 55/6 V110 275/
Fig. 4.68
Eje m plo 46 H alle el centro de gravedad de la región infinita, en el primer
cuadrante, com prendido entre la curva y = x e~x y el eje x.
So lu ción
La región se ilustra en la Fig. 4.69. Luego, se tiene
A
J
" +CO
x e~x dx = lim [ - x e~x - e~x]o = 1
o t-*+0°
2 2 1www.FreeLibros.com
TÓPICOS DE CÁLCULO - VOLUMEN II
+00 r+00
My
/*i-to /■ + »
= I x f ( x ) d x = I x 2e~xdx
Jo Jo
= lim [-x2e * —2xe * —2e *]£ = 2
t->+°0
i r +”
Mx=-J [x2e~2 x -Q]d.x‘ X
Jo
1 r 1 1 1 i* 1
= - lim — - x 2e 2x —- x e ~ 2x —- e ~ 2x¡ = -
2 t-.+« L 2 2 4 J0 8
My _ MX 1
Luego, * = T = 2 . y = T = 8
Por tanto, el centro de gravedad de la región es P ^2;
Teorem a (Teorem a de Pappus para volúmenes)
S i un sólido S es obtenido al hacer rotar una región plana F (Fig. 4.70) en torno de
una recta del m ism o plano, que no sea secante a la región F, entonces el volum en
de S es igual al.área de la región F m ultiplicado por 2nr, siendo r la distancia del
centro de gravedad de la región F al eje de rotación, esto es,
V = 2nr. A
donde A es el área de F.
www.FreeLibros.com
APLICACIO NES DE LA INTEGRAL D EFIN IDA
Ejemplo 47 Calcule el volumen del sólido 5 generado por la rotación de la
S a a P ° rlaP aráb 0,a y = * 2 y ,areC ía y = * + - 2 en tomo a esta
Solución
Para determinar el centro de gravedad.de la región F (Fig. 4.71) se tiene
A (F) = í (x + 2 - x z)d x = -
J-1 2
My = í x (x + 2 - x 2)d x = -
•'-i 4
Mx =  í [(x + 2 y - x 4] d x = —
¿ J - i 5
Por tanto, el centroide (x; y ) de la región tiene las coordenadas
A ~ 2 ‘ y _ T " 5
Calculando la distancia r del punto C ^ a la recta y = * + 2 se tiene
r = ^ ~ y + 2l = l l ~ l + 2|_ 9V2
V i + 1 V2 20
Luego, por el teorema de Pappus, el volum en del sólido S es
V = 2ur. A = 2n Q = «3
Y' i.
l  F
1 Vv.7,
i i i 1 v
f
¡  L
. / 1 %
 / 1 /
Y 1 /
y ( V s "x
' ►(-! ;0)
www.FreeLibros.com
r
Ejemplo 48 L a región limitada por las gráficas de y = x 2, y = 5 gira alrededor
de una recta oblicua que pasa por el punto ¿4(1; 0). H alle la ecuación de dicha
recta, si el volum en del sólido generado es igual a 4 0 V 5 ttu 3
Solución
L a gráfica de la región se muestra en la fig. 4.72. E n primer lugar determinaremos
el centroide de la región F. C om o el centro de m asa está situado en el eje de
simetría (eje y), entonces x = 0.
Por otro lado, la ordenada del centroide de la región es
- _ M* _ ~ x ^ dx _ 2 0 v ^
A / ^ r ( 5 - x 2) d x 2 0 V 5 / 3
Luego, el centro de gravedad es ( x ; y ) = (0; 3)
2 0V 5
C onsiderando que el área de la región F es A = — -— ,se tiene
V = 40V 57t = 2nr = * r - 3
Finalmente, si m es la pendiente de la recta L (eje de rotación) que pasa por el
punto A(l-, 0), entonces su ecuación es
y - 0 = m ( x - 1) ó m x - y - m = 0
Puesto que, r — 3 es la distancia del punto (x; y ) = (0; 3 ) a la recta L, entonces
 m x - y - m  | - 3 - m |
3 — . >—»* 3 — .
V m 2 + 1 V m 2 + 1
<=> 9 (m 2 + 1) = 9 + 6 m + m 2 <=> m (4 m — 3) = 0
3
<=* m = 0 ó m = -
4
3
Com o la recta L es oblicua, m = - . P or tanto, la ecuación de la recta L es
4
3x — 4 y — 3 = 0
TÓPICOS DE CALCULO - VOLUMEN II
224
www.FreeLibros.com
APLICACIONES DE LA INTEGRAL DEFINIDA
E JE R C IC IO S
I. En cada uno de ios ejercicios, encuentre el centroide de la lámina
hom ogénea de densidad p que tiene la forma mostradas en la figura.
12
■ 10-
A. < ^ 5 )
II. En los siguientes ejercicios, encuentre el centro de gravedad de cada una de
las regiones limitadas por las siguientes curvas.
1. y = x 2 - 4 , y = 2x - x 2
2. y - v a 2 - x 2, y = 0
3. y = 3x, y = x 2, y — 1, y = 2 (en el primer cuadrante)
*■ ( H )
"■ (o:S
( 67 2 ( 7 2 ^ 2 - 5 3 )
U 8 ( 8 V 2 - 7 ) ' 1 5 (8 > / 2 -7 )
225www.FreeLibros.com
4 . y - X 2, y = x - x 2 R. Q j g )
5. y = ln x , y = 4 , y = 4 - 4 x 2 (en el primer cuadrante) R. (1 4 ,6 1 ; 3,15)
6. y - x 2 + 1 , y = x 3 - 1 , x = 0 , x =1
n
7. y = s e n x, y = cosa:, y = 0 desde x = 0 hasta x = —
"■ G 4 (f - i)(2+V5))
8. y 2 = 4 - 2x, el eje y, y = 3
(12 3
9. x = 4 y — y 2 , y = x R.
ñ 9 
10. Vx + ,/y = 3 , y = 0 , x = 0 R.
11. y = |x|3 + 1 , x = - 1 , x = 2 , y = 0
12. x + x y 2 - 2 = 0 , x - y 2 = 0
13. y 2 = 2 0 x , x 2 = 20 y R. (9; 9 ) •
t x , si x < 1 _
14. y = —x , y = j 2 , x = 2
' [X , SI X > 1
/8 8 50
15. x - 2 y + 8 = 0 ,x + 3y + 5 = 0 ,x = - 2 , x = 4 fi.
16. y = 3 + 2x — x 2 , y los ejes coordenados encierran dos regiones. Determine
el centroide de la región de menor área.
17. y ( x 2 + 4 a 2) = 8 a 3 y el eje x (región infinita) R. ( o ; - a )
l 12 
18. La región limitada por el lazo de y 2 = x ( x - 4 )z R. ; 0J
19. La región limitada por el lazo de y 2 = x 4(3 - x ) R. (2;0)
20. y = aresen x , y = 0 , x = 1
/1 6 5
21. y 2 = 4 x 2 - x 3 , y = 0 en el prim er cuadrante R.
TÓPICOS DE CÁLCULO - VOLUMEN II
www.FreeLibros.com
APLICACIONES DE LA INTEGRAL DEFINIDA
.12. y = x 2 - 2x - 3 , y = 6x - x 2 - 3 R. (2;1)
¿3. y = x 3 - 3x , y = x ,sob re el lado derecho del eje y R,
x y
¿4. La región encerrada p or — + — = 1, en el p rim er cuadrante
/ 4a 4£»
D I . 1
R'  3 n ' 3 n )
25. La región está limitada por los ejes coordenados y x 2/3 + y 2/3 = V 2 5
/ 2 5 6 2 5 6 
637r'637T/
26. L a región es un sector circular de radio r y ángulo central 2 a
28. y = c o s h x , y = 0 , x = —1, x = 1
29. y = arccos x , y = n , x = 1
III. Centro de gravedad y volúmenes.
1. E l centro de gravedad de la región acotada por las curvas x 2 = 4 y , y = mx
es un punto de abscisa igual a 2. Determine el valor de m R. m = 1
2. /1(0;0), B ( a ; 0 ) y C (0 ; a / 2 ) con a > 0 , son los vértices de un triángulo.
C alcule el volum en del sólido obtenido por la rotación en torno a la recta
5V27ra3
y = x - a, de la región lim itada por el triángulo ABC. R. -----------
24
3. Sea R la región del plano limitado por la parábola y = x 2 - 1 y la recta
y = x — 1 . Determ ine el volum en del sólido obtenido por la rotación de la
7rV2
región R alrededor de la recta y = x ~ 1. R. ------
60
4. L a región limitada por las gráficas de y 2 = 2 0 x , x 2 - 2 0 y gira alrededor de
la recta 3x + 4 y + 12 = 0. Calcule el volum en del sólido generado.
R. 4000tt
R. En el eje de simetría, a la distancia - r -------- del vértice del sector
3 a
27. y = se n x, (0 < x < n), y = 0
227www.FreeLibros.com
TÓPICOS DE CÁLCULO - VOLUMEN II
5, La región limitada por las gráficas de y = x 2 , y = 5 gira alrededor de una
recta oblicua que pasa por el punto ( - 1 ; 0). Halle la ecuación de la recta si el
volum en generado es igual a (4 0 V 5 n ) u 3 R. 3 x + 4 y + 3 = 0
IV . E l centro de gravedad ( x ; y ) del arco de una curva (hom ogénea), cuya
ecuación es y = f ( x ) con x 6 [a; b] , donde / es una función con derivada
continua en [a; b] , está dado por
_ f c x j i + i f ' i x w d x f / w y i + i / ' M P d *
j ^ i + [ f ( x ) Y d x ' y jab y i + [f'( x ) ) 2 dx
U sando estas fórmulas, determine el centro de gravedad de las curvas cuyas
ecuaciones son
2,------------ / 2 a
1. y = V a 2 - x 2 R. —
x ( a ( e 4 + 4 e 2 - 1)
2. y = a c o s h - , x £ [ - a ; a ] R■ (0 ;
a ' 1 ' J V ' 4e(e2 -
/ '
3. x = a (t - sen t ) ,y = a ( l - eos t) ,t e [0;27r] R. (?ra;-
4 a 
3 /
r Til /2a 2 a 
4. x = a c o s 3t , y = a s e n 3t , t e [ 0 ; - j R.
228
www.FreeLibros.com
APLICACIONES DE LA INTEGRAL DEFINIDA
4.7 APLICACIONES DE LA INTEGRAL EN LOS NEGOCIOS
4.7.1 E X C E D E N T E D E L C O N S U M I D O R
( onsiderem os la función dem anda p = f ( q ) de un determinado artículo, donde
1/ representa la cantidad de artículos que se demandan al precio unitario p. La
l’iáfica de esta función es la curva de demanda.
Si el precio en el mercado del artículo en m ención es p0 y la correspondiente
cantidad dem andada es q0, entonces los consum idores que estuviesen en
condiciones de pagar por el artículo un precio m ayor que p 0 ganan, por el sim ple
hecho de que el precio en el mercado es menor.
Majo ciertas hipótesis económicas, la ganancia total del consum idor se representa
por el área bajo la curva de demanda y sobre la recta p = p 0 (Fig. 4.73). A esta
arca se le denom ina excedente del c o n su m id o r (E C ) y está dado por
/ fQo  / rqn
V -'O / V -'O /
IJna form a alternativa de calcular el excedente del consum idor es
(u. m. significa unidades monetarias)
p = /(?)<=> ? =
Q
Fig. 4.73
229www.FreeLibros.com
Considerem os la función oferta p = f ( q ) de un determinado artículo, donde q
es la cantidad de artículos ofertados al precio unitario p. L a gráfica de esta
función es la curva de oferta.
S i el precio en el mercado del artículo en m ención es p 0 y la correspondiente
cantidad ofertada es q0, entonces los productores que estuviesen en condiciones
de vender el artículo a un precio menor, ganan, por el sim ple hecho de que el
precio en el m ercado es mayor.
Bajo ciertas hipótesis económicas, la ganancia total del productor se representa
por el área sobre la curva de oferta y bajo la recta p = p 0 (Fig. 4.74). A esta área
se denom ina excedente del p ro d u c to r (E P ) y está dado, por
Ep = ( f [ P o - f ( ‘})]dqSju .m .= ^p0q0 - J f(q)dqju.m .
U n a form a alternativa de excedente del productor es '
EP = ( í 9 (.P)dp^u.m., donde g = / -1 y Pi = /(O )
TÓPICOS DE CÁLCULO - VOLUMEN II
4.7.2 EX CED EN TE D EL PR O D U C TO R
www.FreeLibros.com
l' Jt'iiiplo 49 S i la función demanda es p = 9 - a 2 v o - 5 Hallp m ^ )
ili'l consumidor. q > Po “ Halle el cxccdcnie
A P L IC A C IO N E S D E LA IN T EG R A L D E F IN ID A ’
Sol ución
I .i región se muestra en la figura 4.75. Con la ayuda de ¡a figura se obtiene
EC = f (9 — q 2) — 5jcJ<7 =
-Ai
16
i!, m.
excedente del productor.
Solución
a región se muestra en la figura 4.76. A sí, resulta
EP — f [16 - (4 + 3 q 2)] dq = 16 u.
Jo
m.
Ejem plo 51 Las funciones de demanda y de oferta, en situación de competencia
perfecta son p = 227 - - q 2 y p = 2 + 2q2 respectivamente. Determ ine el
el correspondiente excedente del consum idor y el excedente'de productor.
Solución
LI precio en el mercado y la correspondiente cantidad está determinado por el
punto de equilibrio E (Fig. 4.77). E l punto de equilibrio es la intersección de las
curvas de oferta y de demanda, esto es,
2 2 7 4 - 2 + 2q2 => q 2 _ 1 0 0 => qe = 1 0 , de donde pe = 202
231
www.FreeLibros.com
TÓPICOS DE CÁLCULO - VOLUMEN II
Fig. 4.78
Luego,
500
dq = — 11. m.
r 10 1
EC = I 227 - j q 2 ~ 202
J0 4
r 1° 4000
EP = J [202 — (2 + 2q2)] dq = - u.m
Eje m plo 52 L a cantidad vendida y el correspondiente precio, en situación de
m onopolio, se determ inan por la función de dem anda p = — (10 — qY y el costo
3
total es C = — + 5a de tal m anera que se m axim ice la utilidad. Determ ine el
4-
correspondiente excedente del consumidor.
Solución
L a utilidad es U = I —C , / = in gre so y C = costo total
W = 0 =* /' - C' = 0 =» lMg = CMg
"L a utilidad se m axim iza si el ingreso m arginal (/' = IMg) es igual al costc
m arginal (C' = CMg)”.
C om o / = pq donde p = precio de venta y q = cantidad vendida, entonces
1 3 9
/ = -(10 - q)2q =>IM g = 2 5 - 10q + -(?
3 3
Luego IMg = CMg => 25 - lO q + - q 2 = - ^ 2 + 5 => q = 2
En q = 2 , la utilidad es m áxim a porque U " (2) = - 1 0
Por tanto,
r 2
r2ri i 26
= j j - ( i 0 - q ) 2 - 16j de/ = Y (F ig .4 .7 8 )
2 3 2
www.FreeLibros.com
Ejemplo 53 Actualm ente el kilo de huevo cuesta S/. 4,6. L o s estudios realizados
indican que dentro de x semanas, el precio estará cam biando a razón de
0,09 + 0 ,0 0 0 6 x 2 soles por semana. ¿Cuánto costará el kilo de huevos dentro de
10 sem anas?
Solución
dp r 10
(.orno — = 0,09. + 0 ,0 0 0 6 x 2 = * I (0,09 + 0 ,0 0 0 6 x z)d x es el aum ento en el
precio dentro de 10 semanas
Luego, dentro de 10 semanas el kilo de huevo costará
10
(0,09 + 0 ,0 0 0 6 x 2) dx = 4,6 + 1,1 = S/. 5,7
I
Ejemplo 54 Halle la cantidad producida que m axim iza la utilidad y la
correspondiente utilidad total (suponiendo competencia perfecta) si el ingreso
m arginal es ¡Mg = 2 4 - 6q - q 2 y el costo m arginal es CMg = 4 - 2 q - q 2.
Solución
La utilidad se m axim iza (suponiendo competencia perfecta) cuando el ingreso
marginal (/Mg ) es igual al costo m arginal ( CMg ) , luego
2 4 - 6q - q 2 = 4 - 2q - q 2 => q = 5
C om o U' = UMg = IMg —CMg = 2 0 - 4 q y U"(5) < 0, entonces la utilidad
se m axim iza cuando q = 5 y la utilidad m áxim a es
U =
Ejemplo 55 U n a empresa textil ha comprado una m áquina cuya producción
representa ganancias en un tiempo t dadas por 6 = 2 7 - 2 t z , donde G está en
unidades de S /. 3000 y t está en años. E l costo de reparación y m antenimiento en
el tiem po t está dado p o r ñ (t ) = - t 2 + 2 1, donde R está en unidades de S/. 3 0 0 0
y t está en años. Suponiendo que la m áquina puede retirarse sin costo alguno en
cualquier tiempo, ¿cuántos años se debe mantener la m áquina para m axim izar la
utilidad neta?
Solución
Las ganancias son iguales al costo de reparación y mantenimiento (Fig. 4.6)
cuando
1
2 7 - 2 t 2 = - t 2 + 2t => t = 3
J
APLICACIONES DE LA INTEGRAL DEFINIDA
4.7.3 O TRA S A PLIC A C IO N ES
í (2 0 - 4 q ) dq = 50 u.m .
Jn
p = 4,6 +
233www.FreeLibros.com
TÓPICOS DE CÁLCULO - VOLUMEN II
Por tanto, la m áquina debe retirarse después de 3 años. L a utilidad neta después
de 3 años es
Luego, la utilidad neta después de 3 años es de 153 000 soles.
Eje m p lo 56 E l valor de reventa de cierta máquina industrial dism inuye durante
un período de 10 años a una tasa que cam bia con el tiempo.
Cuando la m áquina tiene x años, la tasa a la cual está cam biando su valor es de
2 2 0 (x - 1 0 ) soles por año. ¿E n qué cantidad se deprecia la m áquina al cum plir
dos años y cuál es su precio de reventa si su costo fue de S/. 12 0 0 0 ?
Solución
dV
Si V es el valor de la m á q u in a , — = 2 2 0 0 — 10); luego,
V(x) = J 2 2 0 (x - 1 0 ) =* V{x) = H O x 2 - 2 2(Ubc + C
C om o K 0 ) = 12 0 0 0 => C = 12 0 0 0 y V(x) = 1 1 0 x 2 - 2 2 0 0 x + 12 000.
Por tanto, V(2 ) = 8 0 4 0
E l precio de reventa es de SI. 8040, y la m áquina ha sufrido una depreciación de
SI. 3960.
Otro método para resolver este problema. E l valor de depreciación es
Esto significa que la máquina, en dos años se deprecia en Sí. 3 960 , en este
tiempo el valor de reventa es 12 0 0 0 - 3 9 6 0 = S / . 8 0 4 0
1. S i la función demanda es p = 25 - q 2, halle elexcedente del consum idor si
la cantidad dem andada en el m ercado es q0 = 3 R. 18 u. m.
2. Si la función de oferta es p = 3 ln (q + 2) , halleel excedente del productor
si el precio de venta en el m ercado es p0 = 3
3. Las funciones de dem anda y oferta en situación de libre competencia son
p = _ ( 9 - q)2 y p = - ( 1 + 3 q) respectivamente. Calcule el excedente del
4 4
consum idor y el excedente del productor.
27 - 2 t -
o
E JE R C IC IO S
234
www.FreeLibros.com
■I La cantidad vendida y el correspondiente precio, en situación de m onopolio,
se determinan por la función de demanda p = 4 5 - q 2 y el costo total
C = 7 + 6q + q 3/ 12 de manera que se m axim ice laj utilidad. Calcule el
correspondiente excedente del consumidor. R. 1 6 V 3 u . m.
V El valor de venta de cierta m áquina industrial dism inuye a una tasa que
cam bia con el tiempo. Cuando la m áquina tiene t años, la tasa a la cual está
cam biando su valor es - 9 6 0 e ~ t/,s soles por año. Si ei costo áe ¡a m áquina
fue de S/. 5000, ¿cuál será su valor 10 años más tarde? R. S/. 849,63
(«. U n fabricante calcula que sus ingresos m arginales son de jlOOQQ q soles
por unidad cuando su producción es de q unidades. Se ha encontrado que su
costo m arginal correspondiente es de 0,4 q soles por unidad. Cuando su nivel
de producción es de 16 unidades, su utilidad es de S/. 520. ¿C u á l es su utilidad
cuando su nivel de producción es de 25 unidades? R. S/. 646,20
7. U n fabricante ha encontrado que su costo m arginal es de 6q + 1 soles por
unidad cuando se han producido q unidades. E l costo total de la primera
unidad es de S/. 130
a) ¿C u á l es el costo de producción de las 10 primeras unidades?
b) ¿C u á l es el costo de producción de la décim a unidad?
c) ¿C u á l es el costo fijo?
R. a)S/. 436 b) S/. 58 c) S/. 126
X. La tasa de crecimiento de la población de cierta ciudad cam bia con el tiempo.
Los estudios indican que dentro de x meses la tasa de crecimiento de la
población será de 4 4- 5 x 2/3 personas por mes. L a población actual es de
10000 habitantes. ¿C u á l será la población dentro de 8 m eses?
R. 10125 personas
(). El precio del pollo es actualmente de Si. 4,5 por kilo. Se espera que dentro de
x semanas el precio estará aumentando a una tasa de 0 ,0 3 V x + 1 soles por
semana. ¿C uánto costará el kilo de pollo dentro de 8 sem anas?
R. S/. 5,02 el kiio
10. Halle la cantidad que m axim iza la utilidad y la correspondiente utilidad
m áxim a si el ingreso m arginal es IMg = 2 0 - 2 q y el costo m arginal es
CMg = 4 4- (q — 4 ) 2
11. Las funciones de oferta y demanda son, respectivamente p = 1 f ln (q + 1)
y p - 5 - ln (q 4- 1) . Halle el excedente del consum idor y el excedente del
productor. R. EC = EP = (e 2 - 3)u.m .
12. L o s prom otores de una feria de una ciudad calculan que t horas después de
que se abran las puertas (9 a.m.) los visitantes estarán entrando a la feria a
una tasa de 5 4 (t + 2 ) 2 - 4 (t 4- 2 )3 personas por hora. ¿Cuántas personas
entrarán a la feria entre las 10 a.m. y el m edio día?
APLICACIONES DE LA INTEGRAL DEFINIDA
235www.FreeLibros.com
TÓPICOS DE CÁLCULO - VOLUMEN II
I í. Una empresa lia comprado una máquina cuya cantidad producida representa
ganancias en un tiempo t dadas por G (t) = 20 — 3 t 2 , donde t está en años
y G está en unidades de S/. 10000. El costo de reparación y mantenimiento
en el tiempo está dado por R(t) = 2 t 2, donde R está en unidades de
S/. 10000 y t está en años. Suponiendo que la m áquina se puede retirar sin
costo alguno en cualquier tiempo t, ¿Cuántos años se debe mantener la
m áquina para m axim izar las ganancias netas totales?
R. Dentro de 2 años y UN'= S/. 2 6 6 6 66 ,6 6
14. U na com pañía está considerando la adición de personal para propaganda. E l
1
costo de adición de este personal está dado por C (x ) = —x, donde C está en
unidades de S /. 600 y x es el número de personas agregadas. E l ingreso
obtenido con el personal adicional es /(x) = 2 -¡x , donde / está en
unidades de S/. 600 y x es el número de personas agregadas. ¿Q u é número
de personas para propagandas deben agregarse para m axim izar la utilidad,
cuál es el ingreso neto adicional (suponer que las funciones son continuas)?.
15. La utilidad m arginal de cierta compañía es de 100 — 2x soles por unidad
cuando se producen x unidades. Si la utilidad de la com pañía es de S/. 700
cuando se producen 10 unidades ¿C uál es la utilidad m áxim a posible de la
com pañía?
R. S/. 2300
16. El costo m arginal de un fabricante es de 3(qr — 4 ) 2 soles por unidad cuando
su nivel de producción es de q unidades.
a) Exprese el costo total de producción del fabricante en términos de sus
gastos generales (costo fijo) y el número de unidades producidas.
b) ¿C u á l es el costo de la producción de 14 unidades si el costo fijo es de
S/. 4 3 6 ?
17. La s funciones de demanda y de oferta, en situación de competencia pura son
respectivamente, p = 30 — q 2 y p = 2q 2 + 3 , halle el excedente del
productor.
18. Si la función de demanda es p = j 20 — q y la cantidad dem andada es
q0 = 4 , halle el excedente del consum idor.
19. Halle la cantidad producida que m axim ice la utilidad (suponiendo
competencia pura) y determinar la utilidad total en dicho punto si las
funciones de ingreso m arginal y de costo total están dadas por
ÍM g = 2 4 - 5 q - 2q 2 y CMg = 1 1 - 3 q - q 2
2 3 6www.FreeLibros.com
COORDENADAS
POLARES
-S Í'
5.1 S I S T E M A D E C O O R D E N A D A S P O L A R E S
La posición de un punto P en un plano
se puede indicar usando las
coordenadas polares. Para ello, se
considera una semirrecta orientada
OA llamada eje polar, que usualmente
se considera en form a horizontal y que
se extiende hacia la derecha (Fig. 5.1);
al origen O del eje polar se denomina
origen o polo.
A cada punto P de! plano se le asigna
un par (r; 9) donde r es la longitud
del segmento OP y 9 es la medida
en radianes del ángulo cuyo lado
inicial es el eje polar y el lado terminal
es el segmento OP.
A l par (r; 9) se denom ina coordenadas polares de P y se denota P (r ; 9), r es
llamado ra d io vector y 9 es el á n gu lo polar. De la Fig. 5.1- podría deducirse que
r > 0 y O < 0 < 2 7 r , pero éstas no son las condiciones generales. Para asociar
las coordenadas polares a un punto y formar el sistem a de coorde n adas polares
en el plano es necesario tener en cuenta las siguientes consideraciones:
1. S i el ángulo AOP se desplaza a partir de OA en sentido antihorario, 9 es
positivo y negativo en caso contrario.
2. A la semirrecta OA' que form a con el eje polar un ángulo de m edida 9 se
denom ina eje 0 . E l radio vector r es positivo si P está situado en el eje 9 , y
es negativo si P está en la prolongación del eje 9 .
3. E l polo 0 está unívocam ente determinado por r = 0 , es decir, al polo se le
puede asignar el par (0; 9), donde 9 es cualquier número real.
www.FreeLibros.com
*
•*(-*;) • ■s(3;ir) •F<3:" 1)
Solución
Para ubicar estos puntos con m ayor facilidad usaremos la roseta polar (Fig. 5.2).
En esta roseta polar, r es constante en cada circunferencia y en cada semirrecta, 9
es constante. A sí, los puntos A,B,C,D,E y F se muestran en la Fig.5.2.
TÓPICOS DE CÁLCULO - VOLUMEN 11
Kjcinplo 1. Ubique en el plano los puntos cuyas coordenadas polares son
Observación 1
a) Para establecer la correspondencia biunivoca entre puntos del plano y las
coordenadas polares se debe considerar los valores principales
r > 0 y 0 < 0 < 2tt (1)
b) Cuando no se considera la restricción (!) aun punto dado, se puedeasociai-
infinitos pares de coordenadas polares (r;9). Si lascoordenadas polares de
P son (r; 0), también son coordenadas de P los pares:
((-l)nr ; 9 + nn ) , n 6 2 (2)
Por ejemplo, ctl punto C ( 2; u) se puede asociar las coordenadas pola) es
(-2; 2rr) , (2; 3tt), (2; -7r), (2; 5rr), (-2; 6tt), ..., etc.
www.FreeLibros.com
5.2 R E L A C I Ó N E N T R E L A S C O O D E N A D A S P O L A R E S Y L A S
C O O R D E N A D A S R E C T A N G U L A R E S
Considerem os el sistema de coordenadas
rectangulares xOy, con Öx = OA , donde
OA es el eje polar (Fig. 5.3).
Si P es un punto del plano cuyas
coordenadas rectangulares y polares son
O ; y ) y ( r ; 0 ) respectivamente, el cambio
de coordenadas rectangulares a coordenadas
polares se efectúa considerando las
relaciones:
x = r cos 9
y = r sen 9 ^
Inversamente, el cam bio de coordenadas cartesianas a coordenadas polares se
efectúa a través de las relaciones
r 2 = x 2 + y 2 ó r = ± / x 2 + y 2
y y
tan 8 = — ó 9 = arctan —
E jem plo 2
n) Halle ¡as coordenadas rectangulares dei punto P
b) Halle las coordenadas polares del punto P ( - v '3; - 1 ) .
Solución
a) r = 4, 6 = - = * x = 4 e o s ^ , y = 4 s e n ^ = » P (2 v 3 ; 2).
b) x = - V 3 , y = - 1 = > r = ± 2
tan 6 = — (3er cuadrante) => 8 —— ==> pÍ2- — 'j
6 V ’ 6 /
Ejem plo 3. En (a) y (b) halle la ecuación polar de la curva dada y en (c) y (d)
halle la ecuación cartesiana de la curva.
a) x 2 + y 2 = a 2 , a > 0 (circunferencia)
b) (x 2 + y 2) 2 = a 2( x z - y 2) , a > 0 (lemniscata de Bernoulli)
C O O R D E N A D A S PO LA RES
239
www.FreeLibros.com
c) r •- 4 sen 0 (circunferencia)
2
d) r = ---------- (elipse)
2 - eos 8
Solución
a) x 2 + y 2 = a 2 =3^r2 = a 2 =» r = ±a
La ecuación polar de una circunferencia de radio a (a > 0 ) y centro en el
origen es r = a ó r = - a .
b) ( x 2 + y 2) 2 = a 2( x 2 - y 2) => r 4 = a 2( r 2 cos2& - r 2 se n 20 )
=> r 2 = a 2 c o s22 0
c) r = 4 sen 0 => r = 4 - =» r2 = 4y => x 2 + y 2 = 4y
' r
x 2 + (y - 2 ) 2 = 4 (circunferencia de centro (0; 2)y radio 2)
2 2 „ 2
d ) r = 2 ^ é 3 r = j n = ,1 = 2 F ^ Í
¿ r
=> 2 r - x = 2 => 4 r 2 = (2 + x ) 2 =* 4 ( x 2 + y 2) = (2 + x ) 2
=> 3 x 2 + 4 y 2 - 4 x - 4 = 0 (elipse)
5.3 D I S T A N C I A E N T R E D O S P U N T O S E N C O O R D E N A D A S P O L A R E S
La distancia entre los puntos
¿ f a ; 0X) y fí(r 2; 02) está dada por
TÓPICOS DE CÁLCULO - VOLUMEN II
d = Jrj2 + r 2 - 2 rtr2 eos (0 2 - 0 ^
La dem ostración se realiza usando la
ley de los cosenos en el triángulo AOB
(Fig. 5.4).
Por ejemplo, la distancia entre los
puntos A ( —3; 7 n /1 2 ) y (5 (5 ; ír / 4 )
es
I 7T
d = 19 + 25 + 30 e o s - = 7 Fig. 5.4
www.FreeLibros.com
COORDENADAS POLARES
I. Sea L una recta que no pasa por el origen. S i N(p; w ) es el par principal de
coordenadas polares del pie de la perpendicular trazada del polo a la recta L y
P(r; 8 ) es un punto de la recta L (Fig.55), la ecuación polar de la recta es
r co s(0 — oj) = p (5 )
5.4 ECU A CIÓ N PO L A R DE UNA RECTA
II. Si la recta L pasa por el origen (Fig. 5.6), su ecuación polar es
8 = a , a constante
Observación 2
i) Si la recta es perpendicular al eje polar y está a p unidades del polo, la
ecuación (5) se transforma en
r = eos 8 = ± p , p > 0 (6 )
El signo de p es positivo si la recta está a la derecha del polo, y es negativo
si está a la izquierda.
ii) Si la recta es paralela al eje polar y está a p unidades del polo, la ecuación
(5) se transforma en
r sen 8 = ± p , p > 0 (7 )
El signo de p es positivo si la recta está por encima del eje polar, y es
negativo si está por debajo del eje polar.
iii) La ecuación polarr e os(8 - ùj) = p es equivalente a la ecuación
(cartesiana) normal de la recta
x eos cü + y sen o) = p
iv) Una ecuación polar de la recta que pasa por los puntos A fa ; 8X) y
B (r2>s 2) es
rxr se n (0 ! - 9) + r 2r se n (0 - 02) = ri r2 se n (0 ! - 0 2) (8 )
241www.FreeLibros.com
TÓPICOS DE CÁLCULO - VOLUMEN II
a) Halle la ecuación de la recta perpendicular al eje polar que pasa por el punto
i4(6; 2n /3).
b) Halle la ecuación de la recta paralela al eje polar que pasa por el punto
B( 2V 2; ff/4).
c) Halle la ecuación polar de la recta cuya ecuación cartesiana es
3 V 3 x 4- 3 y 4- 2 4 = 0
d) Halle una ecuación en coordenadas polares de la recta que pasa por los puntos
/ i(4 ;2 7 r/ 3 )y B ( 2 V 2 ; tt/4)
Solución
a) En la Fig. 5.7 se observa
p = 6 co s(2 7 r/ 3 ) = - 3
Luego, la ecuación polar de la
recta L es
r eos 9 = - 3
Kjcinplo 4
b) p = 2 V 2 cos(7i/4) = 2. Luego, la
ecuación polar de la recta es
r sen 0 = 2
c) Considerando la equivalencia de la ecuación polar con ia ecuación normal, es
necesario transform ar la ecuación dada en su form a normal. Por geometría
analítica, se sabe que si la ecuación cartesiana de una recta es de la forma
Ax 4- By 4- C= 0 , C * 0 ( * ) ____________________
la ecuación norm al seobtiene dividiendo (*) entre +^¡A2 4- B2, donde el
signo del radical es opuesto al signo de C. E n nuestro caso, se tiene A = 3>/3 ,
B = 3 y C = 4-24. Por tanto, dividim os entre - J ( 3 V 3 ) 2 + 3 2 = - 6 y la
ecuación normal de la recta es:
V 3 1
-------x — y = 4
2 2
D e esta ecuación se deduce que coso) = - V 3 / 2 , sen (o = - 1 / 2 y p = 4.
De los valores del seno y del coseno se concluye que o) está en el tercer
cuadrante y a) = 7n/6. Por tanto, la ecuación polar de la recta es
r c o s(0 — 77t/6) = 4
d) La ecuación polar de la recta que pasa por los puntos yl(4;27r/3) y
B (2 V 2 ; ír/4), usando la fórm ula (8), está dada por
4r sen ( y - d'j + 2 V2 r sen ( 0 - = 8 V2 s e n ^ |
www.FreeLibros.com
COORDENADAS POLARES
5.5 E C U A C IÓ N P O L A R D E U N A C I R C U N F E R E N C I A
La ecuación polar de una circunferencia
de centro C(p; a ) y radio a, a > 0, es
r 2 + p 2 — 2rp cos(9 —a) = a 2 (9)
En la Fig. 5.8 se observa que si P(r; 8)
es un punto de la circunferencia,
aplicando la ley de los cosenos en el
triángulo OCP, se obtiene la ecuación
(9).
Observación 3
i) Si la circunferencia pasa por el polo y su centro está en el eje polar (o su
prolongación), la ecuación (9) se reduce a
r = 2p c o s 0 ( 10)
El centro de esta circunferencia es C(p; 0) y su radio es |p|.
ii) Si la circunferencia pasa por el polo y su centro está en el eje n / 2 (o su
prolongación), la ecuación (9) se reduce a
r = 2p sen 9 ( 11)
El centro de esta circunferencia es C(p; n / 2 ) y su radio es p.
iii) Si el centro es el polo (p = 0) , la ecuación (9) se reduce a
r = ± a ( 12)
Eje m plo 5. Halle la ecuación polar de la circunferencia tal que:
a) Su centro es el polo y su radio es 4 b) Su centro es C ( - 5; n/2 ) y su radio es 5
c) Su centro es C(3; 0) y su radio es 3d) Su centro .es C(3; 7r/6 ) y su radio es 8
Solución
Usando convenientemente las fórm ulas dadas en (9), (10), ( 11) ó (12) se tiene
a) L a ecuación de la circunferencia es r = 4 o r = — 4.
b) L a ecuación de la circunferencia es r = 6 c o s 0 .
c) L a ecuación de la circunferencia es r = — 10 sen 9.
d) L a ecuación de la circunferencia es r 2 - 6 r c o s(0 - n / 6 ) = 55.
243
www.FreeLibros.com
5.<» D IS C U S IÓ N Y G R Á F I C A D E U N A E C U A C IÓ N P O L A R
l’ara trazar la gráfica de una ecuación en coordenadas polares E(rQ) = 0, es
conveniente realizar los siguientes pasos:
I) Intersecciones
a) C on el eje polar. Se hace 6 = nn ,n E TL, y se resuelve la ecuación resultante.
b) C on el eje n/2 . Se hace 9 = tc/2 + nn ,n E l , y se resuelve ¡a ecuación
resultante.
c) C on el polo. Se hace r = 0 y se resuelve la ecuación que resulta.
II) Sim e trías
a) Con respecto al eje polar. E n la ecuación se reemplaza (r ; 8) por
( ( _ l ) n r; - 9 + nn), n E l . Si la ecuación no varía para algún valor de n, la
curva es simétrica con respecto al eje polar; si la ecuación varía para todo
n e 2, la curva no es simétrica con respecto al eje polar,
b) C on respecto al eje n /2 . En la ecuación se reemplaza (r; 9) por
( _ ( _ l ) n r; + n7rj ( n E TL. Si la ecuación no varia para algún valor de n, la
curva es simétrica con respecto al eje n/2 si la ecuación varia para todo
n E l , la curva no es simétrica.
c) C on respecto al polo. Se reemplaza ( r ; 0 ) por ( - ( - l ) nr; 9 + nn), n E TL,
en la ecuación de la curva. Si la ecuación no varía para algún valor de n, la
curva es simétrica con respecto al polo; si la ecuación varía para todo n EX,
la curva no es simétrica.
(*) Si P (r ;9 ) es cualquier punto de la
curva cuya ecuación polar es
E (r 9 ) = 0, el punto simétrico de P
con respecto al eje polar es S ( r  - 9 )
(Fig, 5.9).
Por observación 1, también son
coordenadas del punto S los pares
( ( - l ) ’V ; - 9 + nn), n E l . Si el
punto S pertenece a la curva,
( ( - l ) n r; - 9 + nn) también satisface
la ecuación para algún valor de n, es
decir, la ecuación no varía.
Por otro lado, si ( ( - 1 ) nr ; - 9 + nn) no satisface la ecuación de la curva para j
todo n E TL, significa que S no pertenece a la curva, es decir, la curva no es ;
simétrica respecto al eje polar. D e manera sim ilar se deducen las condiciones
para que una curva sea sim étrica con respecto al eje n / 2 y al polo. i
TÓPICOS DE CÁLCULO - VOLUMEN II
i’ (r;6 )
Fia. 5.9
244
www.FreeLibros.com
COORDENADAS POLARES
III) Extensión. Se determina la variación de r y 8
IV ) T abu lación . Se tabulan los valores de r y 8.
V ) T ra z a d o de la gráfica. E n un sistema de coordenadas polares (es preferible
usar la roseta polar) se localizan los puntos obtenidos y se traza la curva con
la inform ación obtenida en la discusión.
E jem plo 6. Determ ine si son simétricas o no respecto al eje polar, al eje n / 2 y al
polo, las curvas cuyas ecuaciones son:
a) r = 4 eos 8 + 2 (caracol) b) r 2 = 9 [sen + l]
c) r — 3 (1 + c o s 0 ) (cardioide)
So lu ción
a) i) Respecto al eje polar. Reem plazando en la ecuación (r; 8) por (r; - 0 ) ,
se obtiene que r = 4 c o s ( - 0 ) + 2 = 4 c o s 0 + 2. Por tanto, la curva es
simétrica con respecto al eje polar.
ii) Respecto al eje n /2 . A l reemplazar (r; 8) por ( - ( - l ) nr; - 8 + nn), se
tiene que - ( - l ) nr = 4 c o s ( - 0 + nn) + 2.
S i n es par => - r = 4 eos 8 + 2 (varía).
Si n es impar => r = 2 - 4 eos 8 (varía).
Luego, la curva no es simétrica porque la ecuación varía para todo n G TL.
iii) Respecto al polo. A l reemplazar (r; 8) por ( - ( - l ) nr; 8 + nn), se tiene
que - ( - l ) n = 4 c o s(0 + nn) + 2.
S i n es par => - r = 4 eos 8 + 2 (varía)
Si n es impar => r = 2 - 4 eos 8 (varía)
L a curva no es simétrica con respecto al polo. L a gráfica del caracol
r = 4 eos 8 + 2 se muestra en la figura 5.10.
b) i) Respecto al eje polar. Para n = 2, es decir, reemplazando (r; 8) por
(r; 2n - 8), se tiene
Por tanto, la curva es simétrica con respecto al eje polar.
ii) Respecto al eje n/2 . Para n = 2, es decir, reemplazando (r; 8) por
( — r; 2n —8), se tiene
Por tanto, la curva es sim étrica con respecto al eje n/2.
iii) Respecto al polo. L a ecuación no varía al reemplazar (r; 8) por ( — r; 8)
(para n = 0). Luego, la curva es simétrica respecto al polo y su gráfica se
muestra en la Fig. 5.1 1.
245www.FreeLibros.com
c) i:i cardioide r = 3 ( l + c o s 0 ) es simétrico con respecto al eje polar. N o es
simétrico respecto al eje n / 2 ni respecto al polo (verificar).
I,a gráfica del cardioide r = 3 ( l + c o s0 ) se muestra en la Fig. 5.12.
TÓPICOS DE CALCULO - VOLUMEN II
110“ ‘
. 
*"*N A V "
i / V ^ s ;
i . . r* l
✓ S/

K j I ' 1 *■*"...I i ' jJ
/ y -s __
2 4 0 °
-  x 
—*^
cosO +2
i
 /  .
jk X ^ *
/ ' > &
i . .
V
" 7
s¡§-3 N g Q /
a  / 
 A
r = 3 (l + co s0)
E je m plo 7. Discutir y graficar la ecuación r —4 eos 9 + 2 (caracol).
So lu ción
Por la periodicidad del coseno, es suficiente considerar 8 6 [0; 2n].
I. Intersecciones
a) C on el eje polar. Reem plazam os 9 = nn en la ecuación y se tiene
r = 4 c o s(n 7 r) + 2.
Si n es par => r = 6 => (6; 0)
Si n es impar => r = — 2 => ( - 2 ; n)
b) C on el eje n /2 . Reem plazam os 9 = (tt/2 + nn) en la ecuación y obtenemos
r = 4 c o s (7t / 2 + nn) + 2
S i n es par => r = 2 => (2; n / 2 )
S i n es impar => r — 2 => (2; 3 n /2 )
246www.FreeLibros.com
c) C on el polo. Haciendo r = 0 en la ecuación, se obtiene 0 = 4 eos 6 + 2 ó
eos 9 = — 1/2. Luego, 8 = 2 n /3 V 9 = 4 n /3 . L a curva pasa por el polo.
II. Sim etrías. E n el ejemplo 6 hemos visto que este caracol es sim étrico
solamente respecto al eje polar.
III. Extensión, fl £ M A - 2 < r < 6,
IV. T a b u lac ió n
COORDENADAS POLARES
9 0 n / 6 7T/4 n /3 n / 2 2 n /3 3 n /4 S n /6 7T
r 6 5,5 4,8 4 2 0 - 0 , 8 - 1 , 5 — 2
V. T ra z a d o de la gráfica. L a gráfica se muestra en la figura 5.10.
se" © + 1
E je m p lo 8. Discutir y graficar la ecuación r 2 = 9
Solución
Procedemos de manera sim ilar a lo realizado en el ejemplo anterior.
I. Intersecciones
a) C on el eje polar. 9 = nn => r 2 = 9[sen(n7r/2) + 1],
Si n = 0 => (3 ;0 ) y ( — 3; 0). .
Si n = 1 => (4,2; 7r) y (— 4,2; 7r).
Si n = — 1 => (0; — 7r).
7T 71
b) Con el eje 6 = - + nn
¿ ¿t
(  + n n 
sen — + 1
Si n = 0 => (3,9; n / 2 ) y (-3 ,9 ; tt/2).
Si n = 2 => (1,6 ; S n/2 ) y ( - 1 , 6 ; Sn/2).
c) C o n el polo, r = 0 => 9 = 3 n , 9 = 7n.
II. Sim etrías. L a curva es simétrica con respecto al eje polar, al eje n / 2 y al
origen (ver ejemplo 6).
III. Extensión. 9 £ K y - 3 V 2 < r < 3V2.
IV. T a b u lac ió n (Ejercicio para el lector. Considerar que el período de la función
es 47r)
V. T ra z a d o de la gráfica. L a gráfica se muestra en la figura 5.11.
247www.FreeLibros.com
TÓPICOS DE CÁLCULO - VOLUMEN II
Ejem plo 9. Trace la gráfica de r = 1 — [2 sen 2 0 ] , 0 e [0; n].
Solución
D ivid im os convenientemente el intervalo [0; 7r] de m odo que |[2 sen 2 0 ] tome un
solo valor entero en el subintervalo considerado.
Si 0 £ [0; 7T/12) => 0 < 2 sen 20 < 1 => |2 sen 20] = 0 => r = 1.
Si 0 e [tt/12; 7t/4) => 1 < 2 sen 20 < 2 => [2 sen 20] = 1 => r = 0.
Si 0 = ti/4 = ^2 sen 20 = 2 => [2 sen 2 0] = 2 =* r = - 1 .
Si 0 G <7t/4; 5tt/ 12] => 1 < 2 sen 20 < 2 => 12 sen 2 0] = 1 => r = 0.
Si 0 6 <5tt/12; jt/2] =* 0 < 2 sen 20 < 1 =* 12 sen 20] = 0 => r = 1.
Si 0 e (j t / 2; 7tt/12] =* - 1 < 2 sen 20 < 0 => 2 sen 2 0] = - 1 => r = 2.
Si 0 6 <7tt/1 2; H tt/ 1 2 ) => - 2 < 2 sen 20 < - 1 =» [2 sen 2 0] = - 2 => r =
Si 0 e [1171/12; 7r> => - 1 < 2 sen 20 < 0 => 12 sen 2 0] = - 1 =» r = 2.
Si 0 = 7r => 2 sen 20 = 0 => [2 sen 2 0] = 0 => r = 1.
La gráfica se muestra en la Fig. 5.13.
5.7 I N T E R S E C C I Ó N D E C U R V A S E N C O O R D E N A D A S P O L A R E S
P ro p o sició n 1. S i r = / ( 0 ) es la ecuación de una curva en coordenadas polares,
entonces
( - l ) n r = / ( 0 + 7i7r) , n £ Z (1 3 )
es también la ecuación de dicha curva.
Considerando esta proposición, para hallar la intersección de dos curvas cuyas
ecuaciones en coordenadas polares son
r = f ( 6 ) y r = g ( 8 )
se siguen los siguientes pasos:
1. Se obtienen todas las ecuaciones distintas de las dos curvas aplicando (13) a
cada una de ellas.
r = f ( 9 ) , r = A ( 0 ) , r = f 2( 9 ) , ...
r = g ( 9 ) , r = g ^ G ) , r = g 2(8 ) , ...
2. Se resuelven, para r y para 9, las ecuaciones simultáneas
r = m fr = /i(0) [r = f(6)
r = g ( 9 ) ' l r = ^ ( 0 ) ’ [ r = 5 l (0 ) ’ eiC'
248www.FreeLibros.com
LO Ü K U tN A D A SPO LA RES
3. Se verifica si el polo es un punto de intersección haciendo r = 0 en cada
ecuación para determinar si existe solución para 0 (no necesariamente la
solución será la misma).
I ara tener una idea respecto a la cantidad de puntos de intersección de dos curvas,
se sugiere trazar sus gráficas previamente de m odo que se sim plifique el trabajo.
Ejem plo 10. Halle las diferentes ecuaciones de las curvas
a) r = 2 + eos 2 0 b) r = 2 + sen 0
a) Aplicando (13), las ecuaciones de r = 2 + eos 20 están dadas por
( - 1 ) nr = 2 + eos 2 (0 + n n ) , n E l
Si n es par = * r = 2 + eos 29 . Si n es impar = > - r = 2 + eos 29.
Luego, las diferentes ecuaciones de la curva son:
r = 2 + eos 29 y r = - 2 - eos 20
b) De manera similar, las ecuaciones de r = 2 + sen 0 están dadas por
( - l ) nr = 2 + se n (0 + n n ) , n E TL
Si n es par => r = 2 + sen 0. Si n es impar = > - r = 2 - sen 0.
Luego, las diferentes ecuaciones de la curva son:
r = 2 + s e n 0 y r = - 2 + s e n 0
Eje m plo 11. Halle los puntos de intersección de las curvas cuyas ecuaciones en
coordenadas polares son V 2 r = 3 y r 2 = - 9 eos 20.
Las gráficas de estas curvas se muestran en la Fig. 5.14. Considerando las
simetrías de estas curvas (respecto al eje polar, al eje n / 2 y al polo), es suficiente
hallar un punto de intersección.
A l resolver simultáneamentesus i— — — — — -
♦ i . , i ' - 7 C O S ( Z t
ecuaciones, se obtiene T
9 1
Solución
Solución
Luego, los puntos de intersección son:
- = — 9 eos 2 0 = > c o s 2 0 = —
2 2
J lr = l
Fig. 5.14
249www.FreeLibros.com
TÓPICOS DECÁLCULO- VOLUMEN II
Kjeinplo 12. Halle los puntos de intersección de las curvas
r = 2 eos 0 y r = 2 sen 6
Solución
Las gráficas de estas curvas
(circunferencias) se muestran en la figura
5.15. E s evidente que el polo es un punto de
la intersección (en r = 2 eos 6 para
G = 7r/2 => r = 0; en r = 2 sen G para
Q - o => r = 0).
N o es necesario hallar las diferentes
ecuaciones de las dos curvas, ya que al
resolver simultáneamente sus ecuaciones se
obtiene
2 eos 6 = 2 sen 6 => tan 6 = 1 => Q = —
4
Luego, los puntos de intersección son P ( V 2; 7r/4) y el polo.
Eje m plo 13. Halle los puntos de intersección de las curvas
r = 4 (1 + sen 6) y r ( 1 - sen 6) = 3
Solución
Las gráficas de r = 4 (1 + sen 6 ) (cardioide) y r ( 1 - sen 0 ) = 3 (parábola) se
muestran en la Fig. 5.16. Se observa que el polo no pertenece a la intersección.
N o es necesario hallar las otras ecuaciones de estas curvas, pues al resolver
simultáneamente sus ecuaciones se obtienen los cuatro puntos que se observan en
el gráfico. E n efecto,
4 (1 + sen 6) = 3 / (1 - sen 6) ^ 4 e os26 = 3 => eos 6 = ± V 3 / 2
llr c
~ 6 ~
Sn 7n
T ’ e - e ’ d
Luego, los puntos de intersección son
4 (6 ; 7r/6) , 6 (6 ; 5n/6),
C(2 ;7 tt/ 6 ) y D (2 ; ll7 r / 6 )
250
Fig. 5.16
www.FreeLibros.com
5.8 D E R I V A D A S Y R E C T A S T A N G E N T E S E N C O O R D E N A D A S
P O L A R E S
Sea r —f (0 ) la ecuación de una curva. D e las fórm ulas
(x = f ( 9 ) eos 9
(y = / ( 0 ) s e n 0
que son las ecuaciones paramétricas con parámetro 0, de donde
C O O R D E N A D A S PO LA R ES
x = r e o s 9 A y = r sen 6 se obtienen P
(y =
d y
d y _ ¿e_ d y _ f ' { 9 ) sen 8 + / ( 0 ) eos 9
dx dx^' dx / '( 0 ) eos 9 —/ ( 0 ) s e n 9
dG
(1 4 )
C om o sabemos, esta derivada es la pendiente de la recta tangente a la curva en el
punto (x ; y ), es decir,
d y
— = tan a
dx
(1 5 )
donde a es el ángulo de inclinación de la recta tangente a la curva.
Sea P ( r  9 ) el punto de tangencia y /? el ángulo que forma el radio vector O P y
la recta tangente. Exam inarem os los siguientes casos:
En el caso (a): a = 9 + p => p = a —9
En el caso (b): p = a + n - 9 => p = n + (a - 9), dedonde:
tan p = tanfrr + (a - 0 )] = ta n (a - 9)
L o que significa que en am bas situaciones se verifica tan p = ta n (a - 0), es
decir,
tan p =
tan a —tan 9
1 + tan a tan 9
(1 6 )
251www.FreeLibros.com
TÓPICOS DE CÁLCULO - VOLUMEN II
C o n s id e ra n d o (1 4 ) y (1 5 ) se o b tie n e
tan /? =
/ '( 0 ) s e n 0 + / ( 0 ) cosd _ fí
f ' ( 9 ) eos 6 - / (fl)se n 6
i 4. f i a s e n e + f{B) cose
1 + f ' fñ'l rnc fí - f fffYcen fí/ '( 0 ) eos 0 - / ( 0 )se n fí
Sim plificando se obtiene
/ (« )
tan/? = -777^ -, esto es,
f i e y
dr
tan P ~ ° d 0 :::rc o ti? <-1 ? ')
l e
“L a derivada del radio vector r respecto al ángulo polar 6 es igual al producto de
la longitud del primero por la cotangente del ángulo form ado por el radio vector y
la tangente a la curva en el punto dado”.
Eje m p lo 14. Halle los valores de P, a y las ecuaciones cartesiana y polar de la
recta tangente a la curva r = a ( 1 — eos 0 ) en 0 = tt/6 (a > 0).
So lu ción
L a gráfica de r = a ( l — eos 0 )
(cardioide) se muestra en la Fig. 5.18.
dr
d6
= a sen 6, de donde
tan /?
a ( 1 - eos 0 )
a sen 0
2 se n 2 2
o 0 0
2 sen 2 eos 2
Luego, tan /? = tan (0 / 2 ), de donde
* = 2 = > *
7T
12
120” J
  y*
I
L 60°
/ S/
^ ^
1 1 J
240"
K /a
p S N T /
270" 300°
El m ism o resultado se obtiene al reem plazar 0 = tt/ 6 en tan /? -
Fig. 5.18
(1 - eos 0)
a = e + p => « = jr/6 + n /  2 => a = rr/4 y la pendiente de la recta
m r = 1
www.FreeLibros.com
COORDENADAS POLARES
O lía form a de obtener la pendiente es usando la fórm ula (14)
d y / '( 0 ) s e n 8 4- / ( 0 ) c o s0 dr
~ TT7ñ-------o-----7 7 7 ------ 7 ■donde f ' { 9 ) = — = a sen 0
dx f ' { 8 ) c o s 8 - f ( 8 ) s e n 8 J d9
Reemplazando 8 = n / 6 en esta expresión se obtiene
d y
— •= m r = 1
dx
Las coordenadas rectangulares (x; y ) del punto de tangencia son
V 3 a / V 3  a ( V 3
x 0 = r c o s 0 = — I 1 - — 1, y 0 = r s e n 0 = - í l - ~
La ecuación cartesiana de la recta tangente es y - y 0 = l ( x - x 0), es decir,
5 - 3 V 3
x - y + • -a = 0
y la ecuación polar de esta recta es
r eos
7n _ 3 V 3 - 5
4 ) 4 V 2
Ejem plo 15. Halle las ecuaciones cartesiana y polar de la recta tangente a la
curva r 2 = 9 eos 2 8 en el punto P ( 3V 2/2; n/6 ).
Solución
C om o r 2 = 9 eos 2 8, derivando
implícitamente se obtiene:
9 sen 28
Luego,
d y
dx
r' se n 8 + r eos 8
r' eos 8 - r sen 8
Reem plazando
3 V 2 7T , 3 V 3
r = - . e = -& y r
obtenemos
d y
dx
3 n À
4 
— 1 ' 1 1
1 1t
s /
s /
.. X p ^ t
V v V V
v / ■
** _
S r 1 —i— j — ►
/ 7
— X s
X 
= 0 = m T
Las coordenadas cartesianas de P son x - 3 ^ / 4 , y
ecuación cartesiana de la recta tangente es y = 3 ^ 2 / 4 .
Fig. 5.19
3/2/4. Por tanto, la
La ecuación polar de està recta es r sen 8 = 3V 2/4.
Ln la fig. 5.19 se muestra la gràfica de r 2 = 9 cos 28 (lemniscata de Bernoulli).
253
www.FreeLibros.com
TÓPICOS DE CÁLCULO - VOLUMEN II
5.9 ÁNGULO EN TR E DOS CURVAS EN CO O RD EN AD A S PO L A R E S
Sean C y C' dos curvas que se
intersecan en el punto P. S i T y T'
son, respectivamente, las rectas
tangentes a las curvas en el punto P, el
ángulo entre las dos curvas en el punto
P es el ángulo form ado por las tangentes
T y T'.
Si las ecuaciones de las curvas C y C'
están en coordenadas polares y /? y /?'
son, respectivamente, los ángulos que
forman el eje polar y las rectas tangentes
T y T' (Fig. 5.20), entonces:
4-TPT' = 4-OPT' - 4-OPT, es decir, 0 = /?' - P
Luego,
tan 0
tan /?' - tan /?
Fig. 5.20
(1 8 )
1 + tan /?'tan /?
(tan/?' y t a n /? se calculan aplicando (17) en elpunto de intersección de las
curvas)
Observación 4. Como la discusión del ángulo puede presentar dificultades, se
calcula el ángulo agudo entre las tangentes a las curvas considerando ¡tan (p.
En todo caso, la interpretación gráfica del problema simplifica los cálculos.
E je m p lo 16. H alle el ángulo de intersección entrelas curvas 4 r c o s 0 = 3 y
r - 3 eos 6.
So lu ción
D e la gráfica de las dos curvas (fig. 5.21),
se obtiene <p = P' ~ P-
Para hallar los puntos de intersección
resolvem os simultáneamente sus
ecuaciones y obtenemos
3
=i> eos 0 = -
4 eos 6
n Sn
“ " = 6 V 6 = ~ 6
L o s puntos de intersección son
P (3/ 2 ; 7r/6) y <2(3/2; S jt/6).
www.FreeLibros.com
Solamente hallarem os el ángulo entre las dos curvas en el punto P (se deja como
ejercicio allector el ángulo en el punto Q).
3 dr 3 sen 6
0 r - -ñ ^ ~T7T = 1------777 Y tan /?' - cot 0
4 cosfl dd 4 co s20 ^
. „ d r
n) r = 3 eos 0 =* — = - 3 sen0 y tan Z? = - 3 cot 0
dd r
Por la dirección de los ángulos y aplicando (18), se tiene:
tanp - tan /?' -cot 0 - cot 0
tan <p= ———---------- tan ó ~ -------------
v 1 + tan p tan /? 9 1 - co t20
Para 0 = n / 6 => tan 0 = - V 3 . Finalmente, (p = 2n/3.
COORDENADAS POLARES
E JE R C IC IO S
I. Exprese en coordenadas polares los siguientes puntos dados en coordenadas
rectangulares.
1) P ( 3 / 2 ; - 3 / 2 ) 2 ) P ( 1 ; - V 3 ) 3) ( - V 3 ; 1)
4) P ( V 8 ; V 2 ) 5) P ( — 8; 8 ) 6) (4; 4 ^ 3 )
II. Exprese en coordenadas rectangulares ios siguientes puntos dados en
coordenadas polares.
I) P (3 ;3 tt/ 4 ) 2) P ( - 2 ; n ) 3) P ( 4 ; - 2 7 r / 3 )
4) P ( — 2; — S tt/ 1 2 ) 5) P ( — 1/2; - tt/ 4) . 6) P ( 3 ; 2 )
III. H alle las ecuaciones polares de:
1 • y - 5 = 0 R. r sen 0 = 5
2. x 2 - x 2y 2 - y 4 = 0
3. x 2 + y 2 —4x + 2y = 0 R. r — 2 (2 eos 0 — se n 0 )
4. 6 x y = 5 /?. 3 r 2 sen 2 0 = 5
5 . y 2 = x 3/ ( 2 a - x ) R. 2a tan 0 sen 0 = r
6. x 2 + y 2 — 2 y = 0 fl. r = 2 sen 0
7. 3 (x — 2 ) 2 + 4 y 2 = 16 ß. r ( 2 - eos 0 ) = 6
8. y 2 - 4x - 4 = 0 R. r (1 - eos 0 ) = 2
2 5 5www.FreeLibros.com
TÓPICOS DE CÁLCULO- VOLUMEN II
9. 3 x 2 + 4 y 2 - 6x - 9 = 0 R. r 2( 3 + sen20 ) = 3 (2 r eos 0 - 3 )
1 0 .2 x y = a 2 R- r 2 sen 20 - a 2
11. x 2 - y 2 = a 2 R. r 2 eos 26 = a 2
IV . H alle las ecuaciones rectangulares de
1. r = a sen 9 - b c o s O Æ. x 2 + y 2 + b x - a y = 0
2. r 2 = a 2 eos 20 R. ( x 2 + y 2) 2 = a 2( x 2 - y 2)
3. r ( l - eos 0) = 4 R. y 2 = 8 (x + 2)
4. r ( 2 - eos 0) = 3 R. 3 x 2 + 4 y 2 - 6x - 9 = 0
5. r ( l - 2 eos 0 ) = 4 R. 3 x 2 — y 2 + 1 6 x + 16 = 0
6. r = a ( l — eos 0) R. ( x 2 + y 2 - ax) = a 2( x 2 + y 2)
7. r 2 eos 2 0 = 3 fí. x 2 - y 2 = 3
8. r = 2 eos 20 R. (x 2 + y 2) 2 = 2 ( x 2 - y 2)
9. r sen 20 = 4 R. x 2y 2 = 4 ( x 2 + y 2)
10. r = a sec 0 + b R. (x - a ) 2( x 2 + y 2) = ¿>2x 2
11. r sen20 = 4 eos 0 Æ. y 2 = 4x
12. r = sen 20 ñ. (x 2 + y 2) 3 = 4 x 2y 2
V . Ejercicios diversos.
1. Dem uestre que el área del triángulo de vértices Cril ^ i). (r 3 ^ 3 )
está dada por
1 rsen (02 - 0 i) sen (03 - 02) sen (0x - 0 3)]
r * ™ í— í — + — ñ — + ü 1
2. Halle la longitud de los lados y el área del triángulo de vértices
a) (1; 7t/ 3) , (2; ít/ 6) y (3; — tt/6)
fí. J 5 - 2 V 3 , V 7 , V lÓ , ^ ( 3 V 3 - 2 )
b) (2; tt/ 8 ) , (4 ; 3 rr/8 ) y ( - 1 ; 7 tt/ 8 ) _________
/?. 2 j s ^ 2 V I , j 5 - 2 V 2 , V Í 7 , ^ ( 5 V 2 - 4 )
www.FreeLibros.com
COORDENADAS POLARES
i. Demuestre que el ángulo entre las rectas:
r co s(0 - o)) = p y r co s(0 - a>') - p ' es a - (o
'1. Halle la ecuación de la recta que pasa por los puntos i4(r1; 0 1) y S ( r 2; 0 2).
Sugerencia: considere un punto P (r; 0 ) cualquiera de las rectas y las áreas de
los triángulos OAB, OBP y OPA.
se n (0 t - 0 2) se n (0 2 ~ 0 ) se n (0 — 0 j)
----------------- - H---------------------- 1-------------------- = 0
r r x r2
5. Halle la ecuación de la recta que pasa por el punto ( r ^ - j y es perpendicular
a la recta r e os(0 - cu) = p.
R. r se n (0 - coi) = T ^ s e n ^ - oj)
6. Si C ( a ; a ) es el centro de una circunferencia de radio a expresado en
coordenadas polares, demuestre que r = 2a eos (0 - a ) es la ecuación de la
circunferencia que pasa por el polo.
7. P es cualquier punto de la circunferencia r 2 - 2re eos(0 - a ) + c 2 - a 2 = 0.
Si O es el polo y Q un punto sobre OP de manera que:
OP _____
i) = = k ii) OP.OQ = d 2
OQ
Halle la ecuación del lugar geométrico descrito por Q en cada caso.
R. i) k 2r 2 - 2 ck r c o s(8 - a) + c 2 - a 2 = 0
ii) (c 2 - a 2) r 2 - 2 c d 2r c o s ( 0 - a ) + d*= 0
8. S i el foco de una cónica (parábola, elipse o hipérbola) está en el polo y la
directriz de lacónica es una recta perpendicular al eje polar que está a una
distancia de 2p (p > 0), la ecuación de la cónica está dada por:
2 ep
r = — ----------- , e es la excentricidad de la cónica (19)
l ± e c o s 0 v J
(la cónica es una elipse si 0 < e < 1 , una parábola si e - 1 y una hipérbola
si e > 1). Si la directriz está a la izquierda del polo, el signo de (19) es en
cambio, si la directriz está a la derecha del polo, el signo de (19) es + .
S i el foco se mantiene en el polo y la directriz es paralela al eje polar, la
ecuación de la cónica está dada por
2 ep
r ~ 1 ± e sen 0 (' 2 0 )
Si la directriz está debajo del eje polar, el signo de (20) es - y si la directriz
está sobre el eje polar, el signo es + .
2 5 7www.FreeLibros.com
a) Halle la ecuación de la elipse con foco en el polo, excentricidad e = - y
directriz perpendicular al eje polar en el punto ( — 4; 0).
4
R. r =
TÓPICOS DE CÁLCULO - VOLUMEN II
2 —eos 8
b) Halle la ecuación de la parábola con foco en el polo y directriz
perpendicular al eje polar en el punto ( — 3; 0).
R. r
1 - eos 0
c) Describa y grafique la curva r =
16
5 + 3 sen 6
R. elipse
V I.T ra ce la gráfica de cada una de las ecuaciones siguientes.
1. r = 5 sen 0 + 4 c o s 0
3. r eos 0 = 6
5. r 2 = 16 sen 20
7. r ( 1 + se n 0 ) = 8
9. r 2c o s30 = a sen 0
11. r = a se n 2 -
13. r = a 0, espiral de Arquím edes
15. r = a ( l + eos 0), cardioide
17. r 2 = a 2se n 20, lemniscata
19. r = 4 eos 30, rosa de 3 pétalos
21. r = a sen 30, rosa de 3 pétalos
23. r = a eos 20, rosa de 4 pétalos
25. r = a eos 40, rosa de 8 pétalos
27. r = a eos 50, rosa de 5 pétalos
28. r = a ( 2 + eos 0), caracol de Pascal.
29. r = a ( l - 2 eos 0), caracol de Pascal
30. r = 12 + 3 sen 2 0 ]
2. r sen 0 = 4
4. r z sen 2 0 = 16
6. r ( 2 — cos 0 ) = 4
8. r ( l - 2 cos 0 ) = 4, hipé'bola
10. r = 2 a tan 0 sen 0, cisoide
3 0
12. r = a se n J -
14. r = e a0, espirai logaritm ica
16. r = a ( l - cos 0), cardioide
18. r 2 — a 2 cos 20, lemniscata
20. r 2 — 4 r + 3 + 2 cos 0 = 0
22. r = a se n 20, rosa de 4 pétalos
24. r = a se n 4 0, rosa de 8 pétalos
26. r = a se n 50, rosa de 5 pétalos
2 5 8www.FreeLibros.com
' 2'
3 tt>
R. ( 2 V 2 ; Í ) ; ( 2 V 2 ;^ )
COORDENADAS POLARES
31. |r| = 3 eos 2 0 , 0 e [0; tt]
32. |r| = - 3 eos 29 , 9 e [0; rr]
V II. Ejercicios sobre simetrías.
1. Determ ine la condición para que una curva sea simétrica con respecto al
eje 7r/4.
2. Determ ine la condición para que una curva sea simétrica con respecto al
eje 7T/3.
V IH . Halle los puntos de intersección de los siguientes pares de curvas
1. r sen 9 = 2 a , r eos {9 - = a R. ( 2a;
2. r = 2 esc 9 , r = 4 sen 0
3. r = a , r = 2a eos 20
4. r = a ( l - e o s 0 ) , r = a c o s 0 /?. y e|p 0 |0
5. 3 r = 4 eos 0 , r ( l + eos 0 ) = 1R. (2/3; ± tt/ 3 )
6. r = 4 tan 0 se n 0 , r = 4 eos 0
7. r 2 sen 20 = 8 , r eos 0 = 2
8. r = 1 + c o s 0 , 2 r = 3
19. r = - sec¿ - , r = 2
2 2
0 1
10. 3 r = 4 eos 0 , r e o s2 — = —
2 2
11. r = l + c o s 0 , 2 r ( l - c o s 0 ) = l
12. r eos 0 = 4 , r = 10 sen 0
13. r = a( 1 + se n 0 ) , r = a ( l - sen 0 )
14. r = 3 + e o s 4 0 , r = 2 - c o s 4 0
15. r = 2 + eos 20, r = 2 + sen 0
259www.FreeLibros.com
IX. I lalle los ángulos /?, a y la pendiente de la recta tangente para las siguientes
curvas en los puntos dados. Trace la gráfica de la curva.
n _ 37r
1. r = 4 (1 + sen 0 ) ; P (4 ; 0 ) P ~ 4 ' “ “ 4
TÓPICOS DE CÁLCULO - VOLUMEN II
2 . r 2 = a z ( c o s 2 0 ) ; p ( - ^ ; - ) P
3. r ( l + sen 0 ) = 4 ; Px (2; —) , P2(4; n )
57T
~6~
7T
4. r = 4 sen 30 ; P(4;—)
7T 271
5. r = a sen 0 ; 0 =
6. r = a sen 20 ; Px ^ 1a; l ) ' ( ° :f )
7. r (l - sen 0); P(a;7r)
8. r = a sec20 ; P (2a;-)
X . Halle el ángulo de intersección entre las curvas siguientes en los puntos que se
indican.
'V 2 n n
1.r = a c o s 0 , r = a s e n 0 ; en P ^ a;4 j R' 2
/ 2 t a ^
2 . r = 4 eos 0 , r = 4 c o s20 - 3 ; en P ^ - 2 ; — J 2
n
3 . r = a , r = 2 a sen a ; en P (a ; - )
4 r = - a se n 0 , r = eos 0 ; enelpolo
X I.Halle los ángulos de intersección de las curvas siguientes:
1. 2r = 3 , r = a + c o s 0 P .jr/6
2. 3 r = 1 0 , r ( 2 - se n 0 ) = 5 R. n / 3
3 . r = 1 — se n 0 , r = 1 4- se n 0
R . 0 o e n e l p o lo , n/2 e n (1 ; 7r ) ; — e n ( l ; 0 )
260
www.FreeLibros.com
C O O R D E N A D A S PO LA RES
4 . r = e o s 0 , r = se n 29
/V 2 TT
R. 0o en (0; n/2) ; 79°6' aprox. en j[ — ;—
 6
5. r 2 s e n 29 = 4 , r 2 = 1 6 se n 2 0 R. tt/3
6. r ( l - eos 0 ) = 4 , r ( 2 + c o s 0 ) = 2 0
7. r = 3 (1 - eos 0 ) , r = 3 eos 0
8. r = a e o s 0 , r = - a se n 2 0
R. 0o en el polo, arctan 3 V 3 en los otros puntos
9. r = s e c 0 , r se n 29 = 2 R. Las curvas no se cortan
X II. En los ejercicios del 1 al 4, demuestre que las siguientes curvas se cortan en
ángulo recto.
1. r( 1 + eos 9) = a , r ( 1 - eos 9) - b
2. r = a ( l + eos 0 ) , r = a( 1 - eos 0)
3. r - 2 a eos 0 , r - 2b sen 0
4. r = 4 co s(0 — n / 3 ) , r 2 — 6r eos 0 + 6 = 0
5. Halle la condición para que las circunferencias
r 2 - 2 cr e o s(0 - a ) + c 2 - a 2 = 0 y
r 2 + 2 c'rcos(9 — a ') + c '2 — a '2 = 0
se corten ortogonalmente.
6. Demuestre que r c o s(0 — oj) = a + c eos (a — w ) es tangente a la
circunferencia r 2 — 2 c r c o s(0 — a ) + c 2 — a 2 = 0.
7. Halle las coordenadas polares de los centros y los radios de ¡as
circunferencias
r = 4 eos ^0 — — J y r 2 - 2r eos 0 - 2 = 0
Pruebe además que las circunferencias se cortan ortogonalmente (dos
circunferencias se cortan ortogonalmente si la sum a' de los cuadrados de
sus radios es igual al cuadrado de la distancia entre sus centros).
R. c 2 + c12 — 2 cc' eos (a — a ') = a 2 + a'2
261www.FreeLibros.com
Ivn esta sección deducirem os una fórm ula que permita obtener el área de una
región F (Fig. 5.22) limitada por una ecuación polar, esto es,
F = {(r; 0 ) É l 2 / a < 9 < p , 0 < r < / ( 0 ) }
donde /: [a; /?] -» E es una función continua y no negativa.
TÓPICOS DE CÁLCULO - VOLUMEN II
5.10 ÁREAS EN CO O RD EN AD A S PO LA RES
Fig. 5.22 m g.
En términos sim ples, F es la región comprendida entre las gráficas de
r = / ( 0 ) , eje a , eje /? (co n a < /?)
Sea 0o e [ a  p ] y sea A(0O) el área del sector limitado por la curva r = f ( 9 )
y por las rectas 9 = a y 8 = 90. Sea 60 + A0 6 [a; /?], con A 0 > 0, y
. m = m ín f { 9 ) A = m áx / ( 0 )
0o<e<eo+Ae tío<0íeo+A0
El área A(60 + A9) - A(90) está comprendida entre las áreas de ios sectores
circulares de radios m y M (Fig. 5.23). Para A0 > 0 se tiene
m 2A9 M2A9
Luego.
< A(80 + A9) - A(90) <
m 2 ^ A (90 + A 9) —A(90) ^ M2
~ Y ~ A 6 “ ~2
C om o f 2/ 2 es continua en [0O; 0 O + A 0 ] , por el teorema de los valores
intermedios, existe 9 G [90 90 + A 0 ] tal que
f 2(9) A (9n + A 0 ) — A(90)
2 A 9
Por la continuidad de f 2/2 en 0 O, se sigue que
A{9a + A0) - A(90) f 2(90)
lim
A9
2 6 2www.FreeLibros.com
C O O R D E N A D A S PO LA RES
Procediendo de m odo análogo, para A0 < 0 . se tiene
lim A (°o + M ) - M Q 0) f 2(Q0)
A 0 -0 - AO 2
l’or tanto,
A ' ( 9 ) = ~ y ^ , V 0 € [ a , P  ( * )
l’or consiguiente, de (*) se deduce que la fórm ula para hallar el área de la región
/■' expresada en coordenadas polares es
1 [P
a ^ = 2 ¡ f 2W 0
Observación 5. Sean f , g: [a; /?] -> M funciones continuas en [a, p] tales que
() S g( 8 ) < f ( 9 ) , V 6 e [a;P], y sea F la región limitada por las gráficas cíe
>' = 9 ( 0 ) , r = f ( 9 ) y ¡as rectas 0 = a y 0 = fJ (Fig. 5.24). Entonces el
área de la región F está dada por
A{F) =  f [ f 2(6) - g  d ) ] d O
Jir
l.jem plo 17. Calcule el área de la región /•’ limitada por la curva r - 2 + eos U y
los ejes 0 = 0 y 0 = n/ 2.
Solución
I .a gráfica de la región F se muestra en la fig. 5.25.
A l aplicar la fórm ula correspondiente para hallar el área, se tiene
+ 1 6 ,
= -----
M F) = + c o s 0 ) 2 d0 = ^ J g2 (4 + 4 c o s 0 + 1-+ .™ S dd
263www.FreeLibros.com
Ejem plo 18. Calcule el área de la región limitada por la lemniscata
r 2 = a 2 eos 20
So lu ción
C om o la lemniscata es una curva simétrica respecto al eje polar, es suficiente
m ultiplicar por 4 el área de la región R (Fig. 5,2o). Entonces
TOPICOS DE CALCULO - VOLUMEN II
A(F) = 4
n
i r*
J 4«Jo
2 eos 29 d9
E je m p lo 19. H alle el área de la región lífnitada por lás parábolas
r ( l + eos 9) = 4 y r ( 1 - eos 0 ) - 4.
So lu ción
E n este ca¿&, una parábola es simétrica á la otra parábola con respecto al eje n / 2
(al reemplazar 9 por n - 9 efl láf' primera ecuación, se obtiene la segunda
ecuación). Estas parábola» son simétricas con respecto al eje polar y sus puntos de
intersección son los puntos 4 (4 ;7 r/ 2 ) y B (4 ;37 r/ 2 ). Considerando las
simetrías, el área de la región enjre estas parábolas (Fig. 5.27) es 4 veces el área
de la región R. En la integral se utilizará la identidad (1 + eos 9 = 2 e o s20/2).
A(F) = 4
1 f I 16 d9 _ ÍJ d9 _ [2
2 J0 ( l + c o s 0 ) 2 32 J0 [2 eos2 6/ 2] 2 J0
Ae
sec — d9
64
Eje m plo 20. Calcule el área de la región que es interior a la curva r = 2a eos 30
y exterior a la circunferencia r = a, a > 0,
So lu ción
La región se muestra en la Fig. 5.28 (parte sombreada). Para hallar el área total es
suficiente m ultiplicar por 6 el área de la región R. Entonces
www.FreeLibros.com
COORDENADAS POI..A RES
90'
120"
150°N.   
60°
/ 30"
R T l M k
r = ; a eos 39
Fig. 5.28 Fig. 5.29
I jeinplo 21. Calcule el área de la región que es interior a las curvas
V 2 r = 3 y r z = - 9 c o s 2 0
Solución
La región es la parte som breada que se muestra en la c ig. 5.29. Por sim etría se
(iene
A(F) = 4
1 [3 2 f ' i 9
- j ¡ ! (-9 c o s 2 S )d e + - l - M
4 3
3 , — ,
= - ( 6 + 7r - 3 ^ 3 ) ^
E jem plo 22. Halle el área de la región que es interior a la curva r = 3 a eos 26 y
exterior a la curva r = a ( l + eos 2 0 ) , a > 0.
Solución
La región es la parte som breada que se ilustra en la fig. 5,30. Por simetría, se tiene
A ( F ) = 4 [A(RX) + A(Rz) l . dondfe
1 f 6
i) = y [9a2cosz.29 - a2( 1 + eos 26) 2]
‘ ^ Jo
. - « ü f
^ i0
d<9
6(3 + 4 eos 4 0 - 2cos 2 0) dfl = ^
^(^2) = 2J [9a2cos22ff - a2( 1 + eos 2 0 )2]d0
(donde a es tal que eos 2a == - 1 / 4 )
= - y J [3 + 4 e o s40 - 2 c o s2 0 ]d 0 = + ~ 7 r ~ “ 3 a
3
Luego, A(F) = a 2 ( 4 7 1 + ^ ^ 1 5 —6aj u2 = (9,95 a 2) u2:
265www.FreeLibros.com
TÓPICOS DE CÁLCULO - VOLUMEN II
5.11 LO NG ITUD DE A RCO EN COORDENADAS PO L A R E S
Para calcular la longitud de arco de una curva expresada por la ecuación polar
r = f ( 9) , 9 6 [a;P], parametrizamos en términos del parámetro 0. A sí. las
ecuaciones paramétricas de la curva son
x = f ( B) e o s 9 A y = / (0 )s e n 8 , 9 6 [a;/?]
donde / es una función con derivada continua V 9 6 [a; /?].
A l aplicar la derivada de un producto, se obtiene
dx dy
— = f ' { 9 ) eos 9 - / (0 )s e n 9 y — = / '(0 )se !n 0 + / ( 0 ) eos 0
uu do
Entonces
ÍS) +Q ’
Luego, aplicando la fórm ula de longitud de arco de una curva dada en ecuaciones
paramétricas, se tiene c}ue la longitud de arco de r = / (9) desde 9 = a hasta
9 = ¡i está dada por ’
L = f V I / ( 0 ) P + [ / '( 0 ) ] 2 d.9
Eje m plo 23. H alle a longitud de arco de la curva r = a se n 3(0 / 3 ) , a > 0.
Solución
L a gráfica de la curva se muestra en la fig. 5.31. L a curva queda descrita si
9 6 [0; 37rJ (es simétrica respecto al eje rt/2).
6 6 0Q
Com o [/ (0 )]2 + l/ '( 0 ) ] 2 = a2 se n 5 ~ + a 2sen4 - eos2 - = a2sen4—, entonces
>J J ví
r37r { 6 f 3n , 0 a f 3n ( 2d 3an
! ! Ja2 sen4 - d9 = a sen2 — d.9 = — j (1 — eos — )d 9 = — — u
¡ . 3 i p 3 2 J„ y j / 2Jo
Fig. 5.31
266
Fig. 6.32
www.FreeLibros.com
E jem plo 24. Halle la longitud de arco de la parte de la parábola r = a se c 2( 6 / 2)
cortada por la recta perpendicular que pasa por eí polo.
Solución
La gráfica se muestra en la fig. 5.32. Se tiene ~ n f 2 < 0 < n / 2 y
dr
¿jj = / '(Ö ) = a sec2(0/2)tan (0/2)
Aplicando la fórm ula correspondiente, se tiene
n
"2 9
secs — d9
COORDENADAS POLARES
1 = / l V [ / ( 0 ) ] 2 + [/ '( 0 ) ] 2 d9 = a f
~Z
— í ® i. ® , I ® e V-
— a sec — ta n — + ln se c— + ta n — J
l 2 2 1 2 2
2
= 2 a[V 2 + ln (V 2 + l) ] u
Ejem plo 25. Halle la longitud de la curva r = 2b tan 0 sen 0, b > 0 desde
0 = 0 hasta 0 = tt/3.
Solución
La gráfica de la curva se muestra en la fig. 5.33. C on la fórm ula de la derivada
obtenemos
dr
d9
- r' = 2b sen 0 (se c 20 + 1)
Luego,
TT
‘ 1 = l J r 2 + ( r ') 2 d9
n
= 2 b j tan 0 V s e c 20 + 3 d9
Ln la última integral hacem os el cam bio de
variable u 2 = se c 20 + 3. Entonces
2 u d u ~ 2 sec20 tan 0 d9 => tan 0 d6 -
u du
u 2 - 3
Cam biando los límites de integración, se tiene
f V? U2 du
; = 2b
J 2
L = 2b
f v u 2 du H 7 3
i ^ 3 = 2 b l i l + ^ Í > du =
2 ¿ ( V 7 - 2 ) + V 3 f c l n f - p + V ^ ( V 7 ~ V I )
l(2-V3)(V7 + V3).
. V 3 lu - V 3
u + — ln ------- -
2 u + V3
V7
www.FreeLibros.com
5.12 V O L U M E N D E U N S Ó L I D O D E R E V O L U C I Ó N E N C O O R D E N A D A S
P O L A R E S
TÓPICOS DE CÁLCULO - VOLUMEN II
En primer lugar, querem os calcular el volum en de un sólido (Fig. 5.35) obtenido
por la rotación alrededor del eje x de un sector circular del plano xOy (Fig. 5.34)
com prendido entre los ángulos 0* y 02.
i
/
/ y 
1 i A
X
Fig. 5.34
E l sector circular puede ser descrito del siguiente modo:
0 < x < r c o s 02 y fi(x) < y < f 2{x) ) sect:or entre Qt y 02
r eos 02 < x < r eos 0, .y ft (x) < y < fl(x))
donde
f x(x) = x tan 0r , /2(x ) = x tan 02, g{ x) = J r 2 - x 2
A l aplicar el método del disco, obtenemos
¡•r cos 0, rr cos0i
V
/•r eos 02 f r CO S0! | - r c o s 0 !
= .jr [f2(x)]2dx + n  [g (x )l2dx — n I l A (x ) ] 2d r
Jq- *^r eos 02
r.r eos 0 2 r r c o s 0 ! f r c o s O j
= tt x 2 tan262 dx + u ( r 2 - x 2) dx - n  x 2 tan201 dx
J n -¡r eos 02 0
Haciendo los cálculos respectivos, se tiene
2 n r 3
1/ = — — (eos 0! - eos 0 2) (21)
Ahora, nuestro propósito es calcular el volum en V del sólido obtenido por la
rotación en torno al eje polar de la región plana
F = ((r; 0 ) / 0 < r < f(fl) , a < 8 < (3}
donde r = / ( 0 ) es la ecuación de una curva en coordenadas polares (/ es
continua en [a; /?]) y F es la región limitada por las gráficas de la curva r =
/ ( 0 ) y los ejes 0 = a y 0 = /? (Fig. 5.36).
2 6 8www.FreeLibros.com
COORDENADAS POLARES
Sean 90 y 80 + A 8 dos puntos de [a;/?], con A 8 > 0. y
m = «, A M = m áx f { S )90<8<60T&e 80<8<60-rAe
I- I volum en obtenido por rotación del sector F com prendido entre 80 y 8n + A 8
(Fig. 5.37) es. según la fórm ula (21).
¿ 7n n 3 2 tzM 3
- J ~ [eos 0O- eos (0O+ A0] < V(6„ + A0) - V(80) < — - [eos 0O- eos (0O-i- A0)j
Dividiendo entre A 0 > 0 se tiene
¿711W? rc o s 0 n - eos (6>0 + A 0 ) 1 V (60 + A 0 ) - V(80) 2ttA/3 rc o s0 c - eos (6  + A fl)i
3 ‘ AS j - re----------- £ — [----------------------------- J
Com o f 3 es continua en [80;8 0 + &8], por el teorema de los valores
intermedios, existe Qx e [0O; 80 + A 0 ] tal que
A 8
2 n f  8 J eos 80 - eos(80 + A 0 )i
3 A 8
I ornando limite cuando A 8 -> 0 + , debido a la continuidad de f en 8n, se tiene
27r / 3(0 o) n
1/ j = ------- --------- sen ^
Del m ism o m odo se hace para A 8 < 0. Por tanto.
f 3(80)
V'(ßo) = -se n 0,
malmente, el volum en del sólido es V = V(ß) - V(a). esto es
2rr f ß ,
i/ = r l f í n ,)se n 8 dB
269www.FreeLibros.com
TÓPICOS DE CÁLCULO - VOLUMEN II
Eje m plo 26. Calcule el volum en del sólido obtenido al hacer girar el cardioide
r = a( 1 + c o s 0 ) , a > 0, alrededor del eje polar.
Solución
En la figura 5.38 se observa que para obtener el referido volum en es suficiente
girar en torno al eje polar la parte del cardioide que está en el sem iplano superior.
Entonces se tiene:
o
(1 + c o : É»)4] 71
r = a(l+ eos 0)
Fig. 5.38
www.FreeLibros.com
COORDENADAS POLARES
E JE R C IC IO S
En c ad a uno de los siguientes ejercicios, calcule el área de la región lim itada
por las curvas (d ad as en coo rd en ad as polares) que se indican y b o sq u e je la
gráfica de la región.
1. r = a eos 6 , 0< 0 < n /3 R. (0,37a z)u 2
2. r = a ( l — eos 9) r , ^ l a 2^u 2
3. r = 4 eos 20 R. 4-nu2
4. r = a sen 26 r , na
5. r = eos 30 r , — u 2
2
12
6. r = a eos 50 fl.
ir a ' ,
~ U
7. r 2 = a 2 sen 40 fi. a 2u 2
8. r = a ( 1 + 2 sen 8), 8 = - ~ v 0 = —
6 ' 6
/?.
(n 3 V 3 
( H J u
9. r = |4 sen 2 0 ¡ fl. Qnu2
10. r = b + a eos 0 (0 < b < a) R. . - ( 2 ¿ 2 + a 2)w :
11. r = a eos 4 0 R.
n a 2
~~T U
12. r z = a 2 eos 80 R. a 2u 2
13. L a región es interior a las curvas r = 3 + eos 48 y r = 2 - eos 48.
R. 37tt/6 u2
14. Laregión es interior a r = 3 + eos 48 y exterior a r = 2 - eos 40.
15. Laregión es interior a r = 2 - eos 40 y exterior a r = 3 + eos 40.
16. Laregión es interior a r = 2 + eos 20 y exterior a r = 2 + sen 0.
R. 5 1 V 3 / 1 6 u 2
17. La región es interior a las curvas r = 2 + eos 20 y r = 2 + sen 0.
www.FreeLibros.com
las curvas r = 3a eos 20 y r = a (l + eos 20),
TÓPICOS DE CÁLCULO - VOLUMEN II
in te rio r a V 2 r = 3 y e x te rio r a ' r 2 = - 9 e o s 20^
2
18. La región es interior a j * g
R. ( 3 7 t - 9 + - V 3 j u 2
19. L a región es interior a
a > 0.
20. La región está com prendida entre la parte ex.erna e intetna de
3 e K- “ 2 ----------5 5 --------- “ 2
r = asen '5-  J
21. L a región está com prendida entre las curvas:
9 n ,
a) r — i — eos 20 , r — 2 (1 eos 2 0 ),
0 < 0 ^ R- ~
b) r = 2 a eos 0 , r = 2 a sen 0
, ^ ) , 2
c) r = a se n 0 , r = a ( l i- eos 0)
d) r = 2 sen 2 0 , r = 2 eos 20 »• ( F 1)
curva.
1 r = sen 9 , 0 S [0; 2rr]
2 . r = 20 , e e lo; 2« ) «■I2W T + 4F + '" t 2 " +
^ n R- 8 a u
3. r = o(l + eos 0 ) , a > 0
4 . e = i ( r + i ) desde r = 1 hasta r = 3 R . Í ( 4 + l n 3 ) U
5. El a l d e t a espiral logarítm ica r = m > 0, ,u e se encuentra
dentro del círculo r - a.
R. a
N
1 + m z
-------- - u
m
www.FreeLibros.com
RECTAS Y PLANOS L=
EN EL ESPACIO TRIDIMENSIONAL
(-.1 V E C T O R E S E N E L E S P A C I O T R I D I M E N S I O N A L
I I objetivo de esta sección, es recordar las operacio n es con v ecto res y sus
propiedades con la finalidad de hacer uso de ellas en la siguiente sección, razón
por la cual no se dem o strarán las propiedades.
(».6.1 E l E S P A C I O E 3
1.1 espacio de d im en sió n tres es el conjunto de to d as las ternas o rd e n ad a s de
núm eros reales y se d e n o ta con
R 3 = { ( x ; y ; z ) / x , y , z 6 IR}
Así, un vector en el espacio IR3 es una terna o rd en ad a de n ú m ero s reales y se
denota con á = ( a ^ a ^ a - ^ )
Igualdad de Vectores
Dos vectores a = ( a 1; a 2; a 3) y b = ( b 1 'l b 2 , b 3 ) en el espacio K 3 son iguales si
solo sí sus co m p o n en tes corresp o n d ien tes son iguales, es decir
d = b <=> a t = b lt a 2 = b 2 y a 3 = b 3
Vector nulo
I s el vector que tiene todas sus co m p o n en tes iguales a cero y se den o ta con
0 -- (0; 0; 0 ). Este vecto r es el único vector que no tiene dirección especifica
Suma de Vectores
Sean á = ( a 1 ; a 2 ; a 3 ) y b = ( b 1 ; b 2 ; b 3) d o s vectores en el esp acio IR3,
enlonces el vector á + b está d efinido com o
á + b = ( a 1 + b 1 -,a2 + b 2 a 3 + b 3)
Multiplicación de un escalar por un vector
Sea r un escalar ( r 6 R ) y a = ( a : ; a 2 ; a :l) un vector en el espacio IR3, entonces
1.1 m ultiplicación del escalar r po r el vector ü está definido com o
r á = (raí,- r a 2; r a 3)
www.FreeLibros.com
Si d , b , c son vectores en el espacio IR3 y r , s G E se verifican las siguientes
propiedades:
1. a + b es un vector en el espacio E 3.
2. á + b = b + á (Propiedad Conm utativa)
3. a + (b + c) = (a + b j + c (Propiedad Asociativa)
4. Existe un único vector cero 0 = (0; 0; 0)tal que á + 0 = a ,V a en l 3
5. Para cada vector a = (a 1; a 2; a 3), existeun único vector(opuestode a),
- a = (~ a 1; - a 2; - a 3) tal que a + ( - a ) = 0
6. r a es un vector en E 3
7. r ( a + b) = r a + r b
8. (r + s ) a = r d + s a
9. r ( s a ) = ( r s) a
10. 1 a = a , V a en M3
Cualquier sistema matemático en el que estas propiedades son válidas, recibe el
nombre' de espacio vectorial real. D e este m odo E 3 es un espacio vectorial real
de dim ensión tres.
Su stracción de vectores
Sean a = (a x; a 2; a 3) y b = (i?x; b2; b3) dos vectores del espacio E 3, entonces
la diferencia de estos vectores se define como
a - b = a + ( — ib), es decir, a - b = (ax - bxa 2 - bza 3 —b3)
6.1.2R E P R E S E N T A C I Ó N G E O M É T R I C A D E U N V E C T O R E N E 3
D ado que un vector es un ente matemático que tiene dirección, sentido y longitud;
es representado por un segmento orientado en el que se distingue un origen y un
extremo.
E l vector que tiene com o origen el origen de coordenadas y extremo cualquier
punto P (x -,y;z) del espacio E 3 (Fig. 6.1) se llama vector de posición y se
denota con
a = OP = (x ;y ;z )
donde O es el origen de coordenadas.
TOPICOS DE CALCULO - VOLUMEN II
6.1.1.1 PROPIEDADES
www.FreeLibros.com
RECTAS Y PLANOS EN EL ESPACIO TRIDIMENSIONAL
l'n vector que tiene como origen un punto inicial P0 y extremo el punto A
(l i;;. 6.2) se denomina vector libre y se denota con
a = P0P:
l'n la figura 6.3 se representa geométricamente las operaciones entre dos vectores
tí y b.
d - P,P2 - OPz - OPx = (x2; y2;z2) - (x1;y1;z1) = (x2 - Xl;y 2 - y i -.z2 - z j
275
www.FreeLibros.com
Se dice que dos vectores a y b en el espacio R 3 son paralelos, si uno de ellos es
múltiplo escalar del otro, es decir,
a II í « a = r í V 5 = r ,s G R
D o s vectores paralelos á y b tienen el m ism o sentido si
á = rb, r > 0
D o s vectores paralelos a y b tienen sentidos opuestos si
a = rb, r < 0
TOPICOS DE CALCULO - VOLUMEN II
6.1.3 VECTORES PARALELOS EN E 3
Ejem plo I
¡a) Si a = (1; 3; - 4 ) y b = ( 2 ; - 1 ; 2), encuentre los vectores a + b, d + b y
3 a - 2 b
b) Determ ine s; cada par de los vectores dados a — (—1; 2; — 3) y
b = (5; - 1 0 ; 1 5) , c = ( - 2 ; 4; - 6 ) y d = (0; 1; 3) son paralelos.
So lu ción
a) A l aplicar las definiciones dadas se tiene
a + b = (1; 3; - 4 ) 4- (2; - 1 ; 2) = (3; 2; - 2 )
a — b = (1; 3; - 4 ) - (2; - 1 ; 2) = ( - 1 ; 4; - 6 )
3 a - 2 b = 3(1; 3;- 4 ) - 2 ( 2 ; -1 ; 2) = (—1; 11; —16).
b) Tenem os
b = — 5 a = > a II b y tienen sentidos opuestos
c = 2a => a  c y tienen el m ism o sentido
L os vectores a y d no son paralelos
www.FreeLibros.com
I.» longitud o norm a o módulo de un vector a — ( a ^ a 2; a 3) en el espacio M 3
se denota y se define com o
Hall = V ai2 + a 22 + CL32
l’or ejemplo, si a = (1; 2; - 2 ) => ||a|| = j l 2 + 2 2 + ( - 2 ) 2 = 3
Observación 2
ti) La norma de un vector es la longitud
del segmento orientado que lo
representa (Fig. 6.5)
■h) Todo vector de longitud igual a 1 se
llama vector unitario, es decir u es
unitario si ||u|| = 1
¡'i El vector unitario en la dirección del
vector no nulo a es el vector
_ 3.
6.1.4 MÓDULO O LONGITUD DE UN VECTOR EN M3
6.1.4.1 P R O P I E D A D E S
Si a y b son vectores en el espacio R 3 y r es un escalar, entonces
1. ||a|| > 0 y ||a|| = 0 <=> a = 0
2. ||r a|| = |r|||a||
3. ||a + b || < ||a|| + ||¿|| (Desigualdad triangular)
4. ||a||= ||—a||
6.1.5 P R O D U C T O I N T E R N O O E S C A L A R D E V E C T O R E S E N E 3
Si a = (a t ;a2; a3) y b = (bt ; b2;b 3) son vectores en el espacio IR3 , entonces
el producto interno o producto escalar de a y b es el número real definido y
denotado por
a • b = a xb1 + a 2b2 + a 3b3 (se lee " a punto ¿ ”)
l’or ejemplo, si a = (5; 4; - 1 ) y b = (2; - 1 ; 3), entonces
d - b = 5 (2 ) + 4 ( — 1) + ( - 1 ) 3 = 3
2 7 7
www.FreeLibros.com
TOPICOS DE CALCULO - VOLUMEN II
6.1.5.1 P R O P IE D A D E S
Sean á ,b y c vectores en el espacio R 3 y sea r un escalar. Entonces se tiene
1. á -b = b ■a (Propiedad Conm utativa)
2. ( r a) ■(b ) = r (a - b)
3. á - ( b ± c ) = d - b ± á - c (Propiedad Distributiva)
4. a •a = ||al|2 ; a ■a = 0 <=>á = 0
5. ||a+ ¿||2 = Hall2 + ||£||Z + 2a-b
6. ||a— b2 = Hall2 + ||fe||2 - 2a •5
7. ||a+ b||2 + ||a - fc||2 = 2[|a[|2 + 2||fo||2 (Ley del paralelogram o)
6.1.6 Á N G U L O S E N T R E D O S V E C T O R E S
Sean a y b vi
espacio R 3. E l ár
a y b es el ]
0 (0 < Q < n) del
partir de un m ism o
Teorem a 1 S i 6
vectores no nulos
entonces
á
eos 6 = —
Ha
D e m o stra ció n Ejercicio para el lector
Observación 2 D el teorema 1 se deduce que unaform a alternativa para calcular
el producto escalar de los vectores á y b es
a - b = l|a||||£|| eos 9
setores no nulos en el
igulo entre los vectores
menor ángulo positivo
lerminado por ambos al
origen com ún (Fig. 6.6)
es el ángulo entre dos
á y b del espacio R 3,
~b
y e / a
O(origen)
Fig. 6.6
2 7 8www.FreeLibros.com
i i L A I N U O LIN l l W I V U . 1 U 1 K l U l l V I t I N j I U W A L
(>■1.7 V E C T O R E S O R T O G O N A L E S O P E R P E N D I C U L A R E S
Dos vectores no nulos a y b en el espacio R 3 son ortogonales o perpendiculares
si el ángulo determinado por ambos es de 9 0 c
T eorem a 2 D o s vectores no nulos á y b en ei espacio R 3 son perpendiculares si
y solamente si á - b = 0
Observación 3 Sean a. y b vectores no
nulos en el espacio R 3. De la figura 6.7
se tiene:
u a 1 ¡b <=> ¡|a + ¿||" = j|a||2 + ||¿||“
{Teorema de Pitágoras)
ií) á I b «=> ||a — b 'f = ||a||2 + ||fc||‘
Ejem plo 2 Halle el ángulo que forman los vectores d = ( 1 2 ; 0 ; - 6 ) y
/>' = ( — 6; 0; 3)
Solución
a ■b - 7 2 + 0 - 18 - 9 0 - 9 0
eos 9 = --------— = — ---------------- = ----------------= --------= — i = > q —n
||a||¡¡¿>|¡ v l 8 0 v 4 5 2 V 4 5 V 4 5 90
Ejem plo 3 Calcule el producto escalar de los vectores a y b si se sabe que
forman un ángulo de 30°, ||a|| = 4 y ||fe|| = 6 V 3
Solución
a - b = l|a||p|| eos 30° = 4 (ó V 3 ) = 36
Ejem plo 4 Sean a y b dos vectores que forman entre sí un ángulo de 45° y
¡|a|¡ = 3. Calcule |¡¿|¡ si se sabe que el vector a - b e s perpendicular al vector a.
Solución
l’uesto que el vector a — ¿ es perpendicular al vector a. se tiene
(a - b) ■á = 0 <=* á • a = b ■a <=> ||a||2 = ||¿>||||a|| eos 45°
» 9 = ||¿ ||(3 )(-^ j ~ ¡|¿|| = 3V2
Á
a + b /r
b b
a
Fig. 6.7
2 7 9
www.FreeLibros.com
TOPICOS DE CALCULO - VOLUMEN II
Ejem plo 5 Sean a ,b y c vectores en el espacio IR3 tales que ||a[| = 6.
p|| = 2 V 3 y ||c|| = 2. Sabiendo que los vectores a y b forman un ángulo de
30°, los vectores b y c un ángulo de 6QC y los vectores a y c un ángulo de
90°, calcule
a) a - ( b + c) b) ||a - c||
So lu ción Tenem os
a) á - ( b + c) = á - b + d - c = H a llp H eos 30° + ||a||||c]| eos 90°
= 6 ( 2 V 3 ) ^ ~ j + 6 (2 )( 0 ) = 18
b) ||a - c||2 = ||a||2 - 2 a •c + |lc|l2 = 36 - 2||a||l|c|| eos 90° + 4 = 40
D e donde se obtiene
||a - c|| = V 4 Ó
6.1.8 C O M P O N E N T E Y P R O Y E C C I Ó N O R T O G O N A L D E U N V E C T O R
E N L A D I R E C C I Ó N D E O T R O V E C T O R
Sean a y b vectores no nulos en el espacio K 3
A l vector OM (Fig. 6.8) se llama vector proyección orto go n al de a sobre b y
se denota com o
OM = P ro y ^ a
En el siguiente teorema verem os el procedimiento para determinar este vector
www.FreeLibros.com
RECTAS Y PLANOS EN EL ESPACIO TRIDIMENSIONAL
Teorem a 3 Sean a y b vectores no nulos en el espacio K 3, entonces
¡i) E l vector proyección ortogonal de a sobre b es el vector dado por
d - úP ro y r a = b =
pii; pii
I)) A l escalar que m ultiplica al vector u n ita rio ur = - J - se denom ina
IMI
com ponente del vector a en la dirección b (se denota Com pga), es decir,
~ . a - b
C o m p g a =
Ejem plo 6 Halle el vector proyección ortogonal de a sobre b y la componente
del vector á en la dirección b de los vectores a = (5; 0 :4 ) y b = (2; - 1 ; 2)
Solución
El vector proyección ortogonal de a sobre b es el vector
-— . „ ( á - b  r /10 + 0 + 8 
n a = F F v— 9— J (2: ~ 1; 2 ) = 2(2; _ 1 ; 2 ) = (4; _ 2 ;
.a componente del vector a en la dirección de b es el escalar
a - b 18
6.1.8.1 P R O P IE D A D E S
C o m p g a = = — = 6
Sean a , b y c vectores no nulos en el espacio K 3 y k un escalar cualquiera
distinto de cero. Entonces
I . P ro y ¿(a ± b ) = P roy f a ± Proy,? b
2. P ro y ¿(ka) = k P roy ¿a
3. P ro y (fcf)a = P ro y c-a
4. C o m p ¿(a ± b ) = C o m p ra ± C om p ró
5. C o m p ^ fc a ) = kCom p¿a
, „ f C o m p ra , si k > 0
' C - W Í - c ün, p , i , s i K ,
281www.FreeLibros.com
Eje m p lo 7 Sean a y b vectores en el espacio E 3 que verifican a + 3b = 0 y
c o m p ga = - 6 . Calcule el valor de A = 5 (3 a + 2b) • (3 a - 2b)
Solución
C om o a = - 3 b , entonces los vectores a y b tienen sentidos opuestos. Luego,
el ángulo que forman estos vectores es 9 = rr. Adem ás,
||a|l = 1I-35H = 3||b|| (1 )
Por otra parte, •
TOPICOS DE CALCULO - VOLUMEN II
á - b Ha|| b I eos ti
Compga = = ---------¡r^ --------= -||a|| - - 6 = * ||a|| - 6 (2 )
' W MI
Reem plazando (2) en (1) obtenemos ||5|| = 2
A h o ra bien, usando las propiedades del producto escalar resulta
A = 5 ( 3 a + 2b) •(3 a - 2b) = 5 (9||a|i2 - 4||b||2) = 5 [9 (3 6 ) - 4 (4 )]
= 1 5 4 0
E je m p lo 8 D ado el triángulo de vértices ¿4(5; 2; 3), B (8 ; 2 ; - 1 ) y C ( 3 ; 3 ; 5 )
a) Halle las componentes del vector Proy-^M N si se sabe que el vector MN es
paralelo al vector AC , donde M está sobre el lado AB, N sobre el lado BC y
MN = 18
b ) Calcule A = 5 ( AC ■üjg + - C o m p ^ ^ f l j
Solución
Sean los vectores AB = (3; 0; - 4 ) y AC = ( - 2 ; 1; 2)
a) C om o MN || ~AC, entonces P roy ^ M N = MN. Adem ás,
WÑ = kAC = fc( — 2; 1; 2) (fc > 0)
Por otra parte, |¡MW|| = V 9 k 2 = 3fc = 18 = > k = 6
Por consiguiente, P royjgM N = 6 ( — 2; 1; 2) = ( — 12; 6; 1 2)
b) A q u í tenemos
AB 1 N 3 ^ 4^
^ " p f ¡ “ 5 C 3 : 0 ; _ 4 ) " ( 5 ; ; 5
__ , ¿ f l - Z C - 6 - 8 14
ComPrcAB = = — 3— - - y
AC
Luego resulta
/__ , 3 ___a ( 14 1 4 
A = 5 yAC • Ujg + - C o m p ^ y lñ J = 5 ( - y - y ) = - 2 8
282www.FreeLibros.com
a) Ln el triángulo ABC que se muestra en la
figura adjunta se tiene ,4(3; 1; 1) y
^r° y j c ^ = (2; — 1; 5). Determine las
coordenadas del punto M , que es el pie de
la perpendicular trazada del vértice B al
lado AC.
Ii) Si se sabe que los vectores unitarios
u y v forman un ángulo de 120° y los
Rectores w y v un ángulo de 90°,
calcule el valor de ||Proyij(4u + vv) j|
Solución
,i) Utilizando la definición de la proyección de un vector sobre otro, tenemos
AM = P ro y^ A B = (2; - 1 ; 5)
<=> O m - 3;y M - l;z M- 1) = (2; —1; 5)
xM = 5 ,y M = 0 A z M = 6
Por lo tanto, las coordenadas del pie de la perpendicular trazada del vértice B
al lado A C es A í( 5; 0; 6)
I)) Tenem os ||u|| = ||i?|| = i, ü - v = ||u||||v|| eos 120° = - ^ y w - v = 0. A sí,
ñ— • f*- —n /(4 u + vv) ■ / u
Proyp(4u + w) - I ---------------- I v = (4u -v + w- v)v = 4 - J = - 2 v
Por lo tanto, el módulo buscado es
J|Proy^j (4 u + ív)|| = ||-2v|| = 2||í5|¡ = 2
(.1.9 P R O D U C T O V E C T O R I A L
Sean a = ( a 1; a z; a 3) y b = (b1;b 2;b 3) dos
vectores en el espacio E 3
Se denom ina producto vectorial de los vectores
d y b al vector que es perpendicular al plano que
contiene a los vectores á y b y se denota con
ti x b. Antes de dar su definición precisa, es
^inveniente tener en cuenta la siguiente
observación.
RECTAS Y PLANOS EN EL ESPACIO TRIDIMENSIONAL
E je m p lo 9
B
283www.FreeLibros.com
Observación 4 Los vectores unitarios que siguen el sentido positivo de los ejes
coordenados son
TOPICOS DE CALCULO - VOLUMEN II
i = (1; 0; 0), / = (0; 1; 0) y k = (0; 0; 1)
A estos vectores también se ¡es llanta vectores
de la base canónica en M 3
Los vectores unitarios T, j y k se utilizan
para representar cualquier vector del espacio
R 3 en su form a algebraica. En efecto, si
a = (a-L; a 2; a 3) , entonces se tiene
a = ( a i, a 2; a 3) = (a x; 0; 0) + (0; a 2; 0) + (0; 0; a 3)
= a x(1; 0; 0 ) + a 2(0; 1; 0 ) + a 3(0; 0; 1) = a xí + a 2j + a3k
Luego, todo vector a = (a 1(- a 2; a 3) se puede escribir en su form a algebraica
cí = a-t i + a2J + a3k
A hora podernos expresar el vector á x b en términos de los vectores í, / y k
mediante el siguiente determinante de orden 3 x 3
a x b =
T j k
a l a 2 a 3
b, b2
a 2 a 31 | a l a 3
¿1 b3J + b:
a l a 2|
= (a 2b3 - a 3b2)i —(a xb3 - a ^ ) / + (« 1^2 ~ a 2bx)k
= (a 2b3 - a3b2; a 3foj - a x¿ 3; axb2 - a2bt )
Se verifica fácilmente que a • (a x b) — b • { a x b)= 0, es decir, elvector
a x b es perpendicular a los vectores a y b.
E je m p lo 10 Considerando los vectores a = ( ( 1 ; — 1;1) y b = (2 ;0 ; 1), halle
un vector que sea perpendicular tanto a a com© a b
Solución
E l vector que es perpendicular a am bos vectores, es el vector á x b . A s í tenemos
á x b =
l J k
1 - 1 1
2 0 1
- 1 11
0 I I
|1 lf - |1
12 i r I2k = - 1 + j + 2k
284www.FreeLibros.com
RECTA S Y PLANOS EN EL ESPACIO TRIDIM ENSIONAL
6.1.9.1 P R O P I E D A D E S
Sean á, b y c vectores en el espacio R 3 y k cualquier escalar. Entonces
I á x b = —b x a (Propiedad Anticonm utativa)
á x (b ± c) = (á x b) ± (á x c))
, „ >Leyes d istrib u tiva s
<. {a + b ) x c = a x c + b x c J
l k d x b = a (k b ) = ká x ~b
V a x á = 0
><. a x b = Q < = > á   b
/. á ■(a x b) = 0
S.. b ■(a x b) — 0
'). ||a x ¿|| = ||a||||¿|| sen 6, donde Q es el ángulo entre a y b
10. ||a x ¿||2 = ||a||2 ||5||2 - (a •b) 2
11. S i a l i y a l c => a | | ¿ x c
12. X x J = k , j x k = l , k x~í = J
6.1.10 A P L I C A C I O N E S D E L P R O D U C T O V E C T O R I A L
6.1.10.1 Á R E A D E U N P A R A L E L O G R A M O
Sean á y b vectores no nulos y no paralelos en el espacio K 3 . Ahora,
considerem os que estos vectores son los lados de un paralelogramo, tal com o se
muestra en la figura 6.10. El área A ^ del paralelogramo es
A = (base) • (altura) = (||a||)(||6||sen 9) = ||<T x 1>|| u 2
Fig. 6.10
285
Fig. 6.11
www.FreeLibros.com
TOPICOS DE CALCULO - VOLUMEN II
6.1.10.2 ÁREA DE UN TRIÁNGULO
Sean a y b dos vectores no nulos y no paralelos en el espacio
triángulo determinado por lós vectores a y b (Fig. 6.11) es
, _ 11“ X ^11 -.2
E l área del
6.1*11 E L T R I P L E P R O D U C T O E S C A L A R O P R O D U C T O M I X T O D E
V E C T O R E S
Sean á = ( a 1; a 2; a 3), b = (£>!,- ¿?3) y c = (c i;c 2;c 3) vectores en el espacio
R 3. E l triple producto escalar de los vectores a, b y c está definido y denotado
por
a. ( b x c) =
a l a 2 a 3
¿1 ¿2 ^3
c  c 2 c 3
E je m p lo 11 D ados los vectores a = (1; - 1 ; 1), b = (0; 2; - 1 ) y c = (1; 0; 2),
halle á ' ( i x c )
So lu ción
Por la definición, se tiene
1 - i 1
a • (b x c) = 0 2 - 1
1 0 2
= 4 + 1 — 2 = 3
6.1.11.1 P R O P I E D A D E S
Sean a, b y c vectores en el espacio M 3
1. E l triple producto escalar de los vectores a , b y c es independiente del
orden circular de la operación, es decir,
a •(b x c) = b • (c x a ) = c • ( a x b )
2. L o s vectores a, b y c son coplanares (están en el m ism o plano) si y
solamente si á ■(b X c) = 0
3. Si a ■(b x c) = 0, entonces uno de los vectores es el vector nulo o dos de'los
vectores son paralelos o los tres vectores son coplanares.
www.FreeLibros.com
RECTAS y PLANOS EN EL ESPACIOTRIDIMENSIONAL
6.1.12 A P L I C A C I Ó N D E L T R I P L E P R O D U C T O E S C A L A R
6.1.12.1 V O L U M E N D E U N P A R A L E L E P Í P E D O
■'<-an á — AB, b AD y c = AE vectores determinados por las arism
adyacentes de un páralelepípedo ABCDEFGH (Fig. 6.12).
S d o ° ^ r n Vp del para,elepíped0 determinado por los vectores á, b y c está
VP =  d - ( b x C)| =  A B - ( A D x AE)| u 3
D
/ j ^ A
A Q A - ^ Dn a
v= la.( ?Xc)| v =^|2.(*xc)|
Hg. 6.12 — --------------------- ----------------
6.1.12.2 V O L U M E N D E U N T E T R A E D R O
Fig. 6.13
Sean a AB, b - AC y c = AD vectores determinados por las aristas
adyacentes de un tetraedro D- ABC (Fig. 6.13).
IA volumen VT del tetraedro determinado por los vectores a ,b y c está dado
1
6
1 . i ___>
VT = -  a - ( b x c )  = -  A B - ( A C x A D )  u 3
por
Ejem plo 12 El vector de posición a se encuentra en el plano y z y elvector de
* sobre el^ eje y negativo, de manera que el ánguloentreellos es120°.
II&II = v 2 7 y ||¿|| = 8, halle el vector a x b
Solución
Dado que d = (0; a 2; a3) y b = (0; b2; 0 ) (b2 < 0), se tiene
') ||6|| = = 8 = > b2 = - 8 = > b = (0; - 8 ; 0 )
í¡) l|5 x ¿|| = ||a||p ||sen 120° = V27 (8) = 36
287www.FreeLibros.com
TOPICOS DE CALCULO - VOLUMEN 1!
iii) á x b
l J k
0 a 2 a3
0 - 8 0
= ( - 8 a 3; 0; 0)
De ii) y iii) se obtiene ||a x b|| = j 6 4 a 3 - 36 = » a 3 = ± -
Por lo tanto, el vector es a x b — (+ 3 6 ; 0; 0)
E je m p lo 13 E n el paralelepípedo que se muestra en la figura adjunta se tiene
A ( 1; 1; 1), B (3; 1; 1), C (3; 4; 1) y E ( 3; 1; 5)
Calcule: ^
a) E l área del paralelogramo CDHE
b) E l volum en del tetraedro de vértices A,
B, C y H.
Solución
a) De la figura se obtiene
CD = BA — (— 2; 0; 0), CE = (0; — 3; 4). Entonces
CD x C S =
? 7 k
-2 0 0
0 , - 3 4
(0;8;6)
Luego, el áreft paralelogramo CDHE es
A ^ = ||CD X C£|| = V 8 2 + 6 2 = 10 u 2
b)' D e la figura resulta //(l; 1; 5), entonces
B C = (0; 3; 0), BA = ( - 2 ; 0; 0) y &H = ( - 2 ; 0; 4). Luego,
BC x BA
i J k
0 3 0
- 2 0 0
= (0;0;6)
Por tanto, el Volum en del tetraedro H-BCA es
VT — BH ■(BC x WÁ) — |24| = 4 u 3
6 6
Eje m plo 14 D ados los puntos >1(1; 0; 0), B (0; 3; 0), C (0; 0; 2 ) y D(x-, 0; 0)
a) Determ ine el vector á , si se sabe que es perpendicular al plano que contiene
al triángulo A B C y que ||a|| = 1 4 u
b) Si el volum en del tetraedro C-ABD es 3 u 3, determine las coordenadas del
punto D.
2 8 8www.FreeLibros.com
Solución
a) L o s vectores AB = ( — 1; 3;G ) y AC == ( — 1; 0; 2 ) se encuentran en el m ism o
plano del triángulo A B C , entonces
RECTAS Y PLANOS EN EL ESPACIO TRIDIMENSIONAL
i j k
- 1 3 0
- 1 0 2
(6; 2; 3)
C om o á   A B x A C * = * a = kAB x AC = (6 k 2k; 3k).
Puesto que ||a|| = 14, entonces
||a|| = V 3 6 fc 2 + 4/c2 + 9 k 2 = 14 <=> 7|fc| = 14 <=> k = ± 2
Por tanto, a = (12; 4; 6) V a = ( - 1 2 ; - 4 ; - 6 )
b) L o s vectores aristas adyacentes del tetraedro C - A B D son
AB = ( - 1 ; 3; 0), A D = (x — 1; 0; 0) y AC = ( - 1 ; 0; 2)
E l triple producto escalar de estos vectores es
___ - 1 3 0
AB ■(AD x AC) = x - 1 0 0 = - 6 ( x - 1)
- 1 0 2
D ado que el volum en del tetraedro es 3 u 3 , entonces se tiene
1 ,— _ — . 1
Vt = -  A B •( ADx AC ) l = — —6(x —1)| = x - 1| = 3
o 6
Por consiguiente, D ( — 2; 0; 0 ) V D ( 4 ; 0 ; 0 )
-2 V x = 4
E je m p lo 15 C on los puntos ^4(8; 0; 0), C (4; — 1; 1), D (6; 0; 5) y B (punto del
primer octante) se form a un paralelepípedo cuyas aristas son los vectores A S ,
AC y AD
a) Calcule el área de la cara del paralelepípedo que contiene a los puntos ¿4, C y
D.
b) Sabiendo que el vector AB es paralelo al vector n = (1; 1; 1) y el volum en
del paralelepípedo es de 4 4 u 3, determine las coordenadas del punto B.
Solución
a) D ado que los vectores adyacentes que forman la cara A C H D (paralelogram o)
del paralelepípedo son AC = ( - 4 ; - 1 ; 1) y AD = ( - 2 ; 0; 5), entonces
A C x A D =
i
- 4
- 2
J k
- 1 1
0 5
= ( - 5 ; 1 8 ; - 2 )
Luego, el área de la cara del paralelepípedo es
A ^ = AC x AD = V 25 + 3 2 4 + 4 = V 3 5 3 u 2
289www.FreeLibros.com
TOPICOS DE CALCULO- VOLUMEN II
b) C om o AB II ñ — (1; 1; 1) = * AB = kn = (fc; k ; fc) (fc > 0). Luego,
k k k
AB ■(AC x AD = - 4 - 1 1
- 2 0 5
= 1 1 *
Puesto que el volum en del paralelepípedo es 4 4 u 3 , entonces se tiene
VP =  A B - ( A C x AD)| = |llfc| = 4 4 <=> k = 4
Por tanto, de AB = (4; 4; 4 ) resulta B = (12; 4; 4)
E je m p lo 16
a) Si los vectores á ,b y e son unitarios y satisfacen la condición:
a + b + c = 0, calcule el valor de M = a -b + b ■c + a ■c
b) L o s vectores a y b son tridimensionales y forman un ángulo de 30°. Si
||a|| = 4 , ||ft|| = 6, utilizando el álgebra vectorial, calcule el área del
triángulo cuyos lados adyacentes son los vectores a y b .
So lu ción
- » 2
a) D ado que a + b + c = 0 = > ||a + b + c|| = 0 <=> ||a + b + c|| = 0
<=> ||a||2 + ||¿|| + ||c||2 + 2a ■b + 2a ■c + 2b • c = 0 (*)
C om o los vectores a ,b y e son unitarios, entonces ||a|| = ||fo|| = ||c|| = 1
Reem plazando estos valores en (*) se obtiene
- - 3
l + l + l + 2 a - b + 2 a ' C + 2 b - c = 0 = * M = a - b + a - c + b - c = —
2
b) E l área del triángulo cuyos lados adyacentes son los vectores a y b es
¿a = ja x ¿|| = ^ ||o||p||sen(30°) = ^ (4 )(6 )^ j = 6 u 2
Eje m p lo 17 L o s puntos .4(4; 2; 0), 5 (4 ; 8; 0), D (—2; 2; 0 ) y W ( - 2 ; 4 ; 8 ) son
los vértices del paralelepípedo ABCDEFGH
a) Calcule su volum en
b) Determine la altura del paralelepípedo
So lu ción
a) L o s vectores de las aristas adyacentes del paralelepípedo son
AB = (0; 6; 0), A D = ( - 6 ; 0; 0 ) y AE = DH = (0; 2; 8)
290www.FreeLibros.com
RECTAS Y PLANOS EN EL ESPACIO TRIDIMENSIONAL
Luego, el volum en del paralelepípedo es
0 6 0
y = |i4B • G4D X j4£)| = - 6 0 0 = |288| = 2 8 8 u 3
0 2 8
b) Tenem os
AB x A D =
í f k
0 6 0
- 6 0 0
= (0; 0; 3 6 )
A sí, el área del paralelogram o ABCD es A¿? = ||AB x AD|| = 3 6 u 2
Puesto que el volum en del paralelepípedo ABCDEFGH es
Vp = (área de la b a se )(a ltu ra ) = (3 6)(7i) = 2 8 8 = > h = 8 u
Observación 5 Sean P^x^, y t ;z x) y P2(x 2; y 2; z 2) los extremos de un segmento
P iP 2. Entonces las coordenadas del punto P (x ; y; z ) que divide al segmento en
PtP
la razón dada r = —-= ( r í - 1) son
P °2
X1 + rx 2
1 + r
y =
y 1+ r y 2
1 + r
z =
Zj + r z 2
1 + r
Observación 6 Si M (x; y; z ) es el punto medio del segmento cuyos extremos
son los puntos P if e ; y x; z x) y P2(x 2; y 2;z 2) , entonces
X, + x.
x =
y i + y 2
z =
Zi + z 2
E je m p lo 18 D a d o s los puntos P i(5 ; 7; 9) y P2(3; - 5 ; - 7 ) , halle los puntos de
trisección del segmento PXP2
So lu ción
Sean A1(x1; y 1;z 1') y ¿42(x 2;y 2; z 2) los puntos de trisección del segmento P iP 2
P A 1
Para encontrar las coordenadas del punto Av la razón es r =
Luego, por la observación 5 se tiene
AP-,
x 1 =
5 + ^ (3) 13 7 + 7 Í - 5 )
1+ 3 '
y  = 3 , Zi =
9 + ¿ C - 7 ) 11
1 4- • 1 + ;
Pt A2 2
Analogam ente, para el punto A2 la razón es r = — — = - = 2
A2P2 1
Por consiguiente, las coordenadas del punto A2 son
*2
5 + 2 (3 ) 11
1 + 2 3 ' yz
7 + 2 ( — 5)
1 + 2
= - 1 , z 2 =
9 + 2 (-7 )
1 + 2
291www.FreeLibros.com
1. Exprese el vector a com o la sum a de un vector paralelo b y un vector
ortogonal a b , si á = (2; 1; - 1 ) y b = (1; 4; - 2 )
2. Halle el ángulo entre los vectores a = (3; 1; 2) y b = (1; 1; 2)
3. Si el ángulo que forman los vectores a y b es de 45° y ||a||= 3, halle el
m ódulo de b para que a + b forme con a un ángulo de 30°.
R. 3 ( V 2 + V 6 ) / 2
4. Sean a y b dos vectores unitarios en R 3. Demuestre que á+ b es un
vector unitario <=> el ángulo form ado por ellos es de 120°.
5. D ado el paralelogramo ABCD, E está a 2/3 de la D F C
distancia de B a C y F es el punto medio de CD.
Halle r y s de m odo que YF = r ~AB + s ~AC
R. r = - 1 / 2 , 5 = 1/3
6. Sean a ,b y c tres vectores de m ódulos r, s y t respectivamente. Sea a el
ángulo entre b y c, B el ángulo entre a y c y y el ángulo entre a y b
Pruebe que el m ódulo S de la sum a de tres vectores está dado porla fórm ula
S 2 = r 2 + s 2 + t 2 + 2s t eos a + 2 r t eos/? + 2 rs c o s y
7. Si a = (1; 3; 2) , b = ( 1 ; - 1 ; 3) y c = (2; 3; — 4 }
i) Hálle el área del paralelogramo determinado por a y b
ii) H alle el área del triángulo determinado por a y c
iij) H alle el volum en del paralelepípedo determinado pora ,b y c
S. L o s vértices de un triángulo son los puntos 4 (1 ; 2; 3), 6 (0 ; 2; 1) y
C ( — 1; - 2 ; - 4 ) . HaJle el área y el perímetro del triángulo.
9. L o s vértices de un tetraedro son los puntos ,4(2; 1 ;0), 5 ( 1 ; - 1 ; 1 ) ,
C (3; 4; 2) y D ( 0; 0; - 1 ) . Calcule el volum en deltetraedro.
10. E n el triángulo de vértices i4(3; 0; 0 ) , 5 (0 ; 4; 0) y C {0; 0; 5) , halle
i) La s longitudes de cada mediana
ii) La s longitudes de cada altura
iii) E l centro de gravedad del triángulo
11. Sean P {3; 1; — 1) y Q (4; — 1; 2 ) . Halle las coordenadas del punto R que se
encuentra en la prolongación de ~PQ y extendiendo 3 veces su longitud.
TOPICOS DE CALCULO - VOLUMEN II
EJERCICIOS
292www.FreeLibros.com
13. U n auto recorre 20km hacia el norte y después 4 0 V 2 en una dirección 60° al
oeste del norte. Halle el vector desplazamiento resultante del auto y su
longitud.
R . f = ( - 2 0 ; 4 0 ) y ||r+J = 2 0 V 5 km .
14. Sean a y b son vectores en el espacio R3 que verifican: a + 2 b = 0 y
c o m p ra = — 8. Determ ine el valor d e A Í = 2 ( a + 3 f o ) - ( a — 3 b ) .
R . M = - 1 6 0 .
15. D ado el triángulo de vértices A ( 2 ; — 2 ; 4 ) , ñ ( 4; 2; 6 ) y C ( 4; 8; 10 ).
a) Halle el vector unitario de MN, si MN es paralelo al lado AB, M sobre el
lado AC y N sobre el lado BC.
b) Determ ine las componentes del vector MN, si se sabe que MN ■AC = 56.
R. WÑ = ( 2 ; 4; 2 ).
16. E n la figura adjunta, M y N son los centros de las caras GDEF y OAFE
respectivamente.
RECTAS Y PLANOS EN EL ESPACIO TRIDIMENSIONAL
Si ||p|| = 10 y ||q|| = 4 V l 3 , determine las componentes del vector 2 p - 3 q.
R. 2 p - 3 q = (34; 16; 4 8 )
17. Sean a , b , c y d vectores unitarios en el espacio R3. Si se sabe que los vectores
a y b form an un ángulo de 60° y los vectores c y d un ángulo de 120°, halle:
a) C o m p g (4 a ) b ) P r o y 4 ¿ ( 4 a ) c) ( P ro y 2¿ ( 2 c + 3 d ) ) ■ d
R. a) 2 b) 2 b c)2.
18. E l vector posición a se encuentra en el plano y z y el vector posición b sobre el
eje y negativo, de manera que el ángulo entre ellos es 120". Si ||a|| = V 2 7 y
b - 8, halle las componentes del vector a x /;.
R. ( ± 3 6 ; 0 ; 0 ) .
19.Sean a , b y c vectores no nulos tales que ||tí|| = 3, ||¿|| = 1, ||c|
a + b + c = 0. Calcule el valor de A = d - b + b- c + d- c.
R . —13
4 y
293www.FreeLibros.com
20. Dados los puntos: /1(8; 0; 0), C(4; — 1; 1), D (6; 0; 5) y 5 un punto del primer
ociante.
a) En el espacio R3, grafique el paralelepípedo cuyas aristas son los vectores
AB, AC y AD.
b) Calcule el área de la cara del paralelepípedo que contiene a los puntos A, C
y d .
c) Si se sabe que el vector AB es paralelo al vector n = (1; 1; 1) y el volum en
del paralelepípedo es de 4 4 ií3, determine las coordenadas del punto B .
R. b ) V 3 5 3 u 2 c ). B ( 1 2 : 4 ; 4 ) .
, 19. a) D ado el triángulo de vértices 4 (3 ; 1; 1), 6 (2 ; 1; 4 ) y C (5; 4; 6). Halle las
componentes del vector P r o y ^ MN, si se sabe que el vector MÑ es
paralela al lado AC del triángulo, M está sobre el lado AB, N sobre el lado
BC y ||M77|¡ = V 3 8/ 3 .
b) D ados los vectores a = ( 2 ; - l ; l ) , b = ( - 2 ; l ; 2 ) y c = ( 4 ; 3 ; - 3 ) .
Calcule 6 (a •üj¡ ) + V S íC o m p ,? b.
R. a) (2 / 3 ; 1; 5 / 3 ) b) - 1 7 .
21. Dados los puntos A( 2; 4; 3), 6 (4 ; 5; 5 ) y C ( - 1; 4; 0).
a) Halle dos vectores unitarios perpendiculares simultáneamente a los
vectores AB y AC.
b) Sea M un punto interior del segmento AC tal que d( A; M) =  d(A-,C).
Si Q( —1; 4; 2), determine si el ángulo form ado por los vectores QC y QM
es agudo o no.
R. a) i¡ = ( + 1/H l ;0; ± 1 / V 2 ) b) E s agudo
22. Sean a, b y c tres vectores en el espacio E 3 ales que a = 2 r. |[c|| = 2 y
b ■ c = 4. Si se sabe que los vectores b y c forman un ángulo de 60°. halle
la longitud del vector V 3 a x b ^ 5 a x c.
23. Sean a, b y c vectores no nulos en el espacio E 3 tales que ||c|| = 4. P ro y c- b =
b y P ro y g +(? a = 0. Si se sabe que los vectores a y b son Ui’itarios, halle el
m ódulo del vector a x b i- a X c . P..2S
25. D ados los puntos ¿4(— 1; 5; 3) y 6 (0 ; 3; 1).
a) Halle dos vectores unitarios paralelos al vector AB .
b) Determ ine dos vectores unitarios perpendiculares al vector AB y paralelo
al vector b = (1; 1; - 1/2 ) .
R. a) w = ( ± 1/3 ; + 2 / 3 ; + 2/3 ) b) ü = ( ± 2 / 3 ; ± 2 /3 ; + 1 /3 )
TOPICOS DE CALCULO - VOLUMEN [[
294www.FreeLibros.com
RECTA S Y PLANOS EN EL ESPACIO TRIDIM ENSIONAL
(>.2 R E C T A E N E L E S P A C I O
6.2.1 Á N G U L O S , C O S E N O S Y N Ú M E R O S D I R E C T O R E S D E U N A
R E C T A
Definición 1 Sea L una recta en el
espacio M 3. Se llama conjunto de
ángulos directores de la recta L al
conjunto ordenado {a, p, y}, donde a,
¡i, y son *os ángulos que form a la recta
L con los rayos positivos de los ejes de
coordenadas x, y A z respectivamente
(Fig. 6.14)
Los ángulos directores toman valores
entre 0 o y 180°, es decir,
0 C < a , p , y , < 180°
Observación 7 El ángulo entre dos rectas que no se intersecan, se define como
el ángulo form ado por rectas que se intersecan y que, al mismo tiempo son
paralelas a las rectas dadas.
Si una recta no está orientada (con respecto al sentido que debe tomar) tiene dos
conjuntos de ángulos directores que son:
{ a , p, y ) y { 1 8 0 ° - a , 1 8 0 ° - / ? , 1 8 0 p - y }
En lo que sigue, las rectas serán consideradas sin orientación.
Definición 2 L o s cosenos de los ángulos directores de una recta se llaman
cosenos directores de la recta.
U na recta tiene dos conjuntos de cosenos directores.
(eos a, eos /? ,eos y } y { - e o s a , - e o s / ? , - e o s y }
O b se rv a c ió n 8 D o s rectas son paralelas si y solo sí tienen los m ism os cosenos
directores.
D e fin ición 3 U n conjunto [a; b; c] es llamado números directores si existe una
constante fe ^ 0 tal que
a = k eos a, b = kcosp, c = kcosy
295www.FreeLibros.com
6.2.1.1 EXPR ESIÓ N DE LOS COSENOS D IR EC T O R ES D E UNA R EC T A
Q UE PASA PO R DOS PUNTOS
TOPICOS DE CALCULO - VOLUMEN II
Sea L una recta que pasa por los
puntos P1(x1-,y1-,z1) y P2(.x2:y 2, z 2)
y sean d = ||PXP2 1| y a > P, Y l° s
ángulos directores de L.
L o s cosenos directores de la recta L
que pasa por los puntos y P2 son
------
cos a = -, eos /? =
y z - y i
c o s y =
z 2 - z x
Fig. 6.15
Si la recta L está orientada en el sentido de P2 a Px, entonces los cosenos
directores de la recta son
*2- *1 „ yi-y-L 22-Zlcosa = ------- — , cos/? = ------- — , cosy = ------ —
donde d es la distancia entre Pr y P2
6 4 .1 .2 R ELA C IO N EN T R E LO S COSEN OS D IR EC T O R ES DE UNA
R EC T A
Si elevam os al cuadrado cada una de las expresiones de los cosenos directores de
la recta L que pasa por los puntos Px y P2 y sum am os, se obtiene
2 , 2 n i 2 (*2 - * ) 2 + (y 2 - y i ) 2 + 0 2 - Z l ) 2 „
cos*a + eos ¡s + cos¿y = --------------- d 2 d 2
Por lo tanto, una relación fundamental entre los cosenos directores de una recta es
co s2a + c o s2p + co s2y = 1
Ejemplo 19
a) Halle los cosenos directores de una recta determinada por los puntos
P ! ( l; 0 ; 2 ) y P2(3; 2; 3) y dirigido de Px a P2
b) Si {45°, 60°, y } es un conjunto de ángulos directores de una recta, calcule
los posibles valores del ángulo y
296
www.FreeLibros.com
Solución
a) La distancia entre Px y P2 es d = V 4 + 4 + 1 = 3. Luego, los cosenos
directores de la recta que pasa por Pt y P2 son
3 - 2 1 2 1
eos a = — -— = - ,eos B = - ,eos y = -
3 3 F 3 3
b) D e la relación entre loscosenos directores de una recta, se tiene
1 1
c o s245° 4- c o s260° + c o s2y = 1 = > eos 2 y = - = > eos y = ± -
De donde resulta eos y = 60° V y = 120°
6.2.2 E C U A C I O N E S D E U N A R E C T A E N E L E S P A C I O K 3
U na recta es un conjunto de puntos que se desplazan en el espacio R 3 en una
dirección constante (Fig. 6.16)
RECTAS Y PLANOS EN EL ESPACIO TRIDIMENSIONAL.
6.2.2.1 E C U A C IÓ N V E C T O R I A L D E U N A R E C T A E N E L E S P A C I O K 3
Sea L una recta que pasa por el punto Pn(xn-,y 0;z 0) y sigue la dirección dei
vector á = -(a 1;a 2',a3) (Fig. 6.17;. E l vector a se llama vector dirección.de la
recta L.
Sea P ( x ; y  z ) un punto cualquiera de la recta L. Entonces PaP es paralelo al
vector a, luego existe t e M tal que P0P = ta <=> P = P0 + ía , t £ E
Por lo tanto, la ecuación vectorial de la recta L es
i : i
| L : ( x ; y; z ) = (x0; y 0; z0) + t á , t e R j
297www.FreeLibros.com
Ejem plo 20 Encuentre la ecuación de la recta que pasa por los puntos
/»,(3 ; 2 ; - l ) y P2( 5 ; - 2 ; 4 )
So lu ción
TOPICOS DE CALCULO - VOLUMEN II
El vector dirección de la recta que pasa por P1 y P2 es a = P1P2 = (2; — 4; 5)
Tom ando el punto P i ( 3 ; 2 ; - l ) com o P0, Ia ecuación de la recta es
L-. ( * ; y ; z ) = ( 3 ; 2 ; - l ) + t ( 2 ; - 4 ; 5 )
6.2.2.2 E C U A C I Ó N P A R A M É T R I C A D E U N A R E C T A E N E L E S P A C I O
D e la ecuación vectorial de la recta L: 0 t ; y ; z ) = (x 0; y 0;zo ) + se tiene que
cualquier punto P (x ; y ; z ) E L verifica la igualdad
O ; y; z ) = (x 0;y 0; z 0) + ¿0 % ; a 2; a 3)
Luego, de la igualdad de vectores resulta
I
x = x Q+ ta t
y - y0+ ta2
z = z 0 + t a 3
Estas ecuaciones se denom inan ecuaciones p aram é tricas de la recta L que pasa
por el punto P0(x0;y 0; z 0) y es paralela al vector a , y t se llam a p arám e tro de
la ecuación.
Eje m plo 21 H alle las ecuaciones paramétricas de la recta que pasa por los puntos
P i( 2 ; 3 ; 4 ) y P2( — 1 ; — 3 ;2 )
So lu ción
E l vector dirección de la recta es a = PXP2 = ( - 3 ; — 6; - 2 ) . A sí, las ecuaciones
paramétricas de la recta son
(x = 2 - 3 1
L: y = 3 - 6 t , t e
z = 4 - 2t
6.2.2.3 E C U A C I O N S I M E T R I C A D E U N A R E C T A E N E L E S P A C I O
Sea L una recta cuyas ecuaciones paramétricas son
x = x 0 + t a t
L: y = y 0 + t a 2 , t e r
z = z 0 + t a 3
Si ninguno de los núm eros at , a 2 y a3 es cero, entonces despejando t de cada
una de las ecuaciones paramétricas e igualando los resultados se obtiene
x - x 0 y - y o z - z Q
L -----------= ------------ = ------------ ( * )
a l a 2 a 3
298
www.FreeLibros.com
Estas ecuaciones se llaman ecuaciones sim étricas de la recta L que pasa por el
punto P o (x 0; y 0; z 0) y es paralela al vector á = (ax; a 2; a3). Las componentes
del vector a 1 , a 2 y a3 son los números directores de la recta L. v
Observación 9
a) Si uno de los números directores a i, a 2 ó a 3 es igual a cero, no podem os
usar la ecuación (*). En este caso se emplean otras relaciones
Por ejemplo, si a x = 0, la ecuación de L se escribe como
, A y - y 0 ¿ - ¿ o
L: x = x0 A --------- = ----------
a2 a 3
Si a 2 = 0, la ecuación de la recta L se escribe como
x - x 0 z - z0
L: — = — A =
S i a3 = 0. La ecuación de L se escribe como
x - x 0 y — yoL: -------------= -------- A z = zn
a, a 2
b) Si dos de los números directores a, ,a 2 ó a3 son iguales a cero, tampoco se
puede usar (*). Por ejemplo, si a , = a 3 = 0, la ecuación de la recta L se
escribe como L: x = x0 A z = z 0
Eje m plo 22 Determ ine ¡as ecuaciones vectorial, paramétricas y sim étricas de la
recta que pasa por el punto -4(1; 2; 2) y es perpendicular a las rectas
Lx (x ;y ;z ) = ( 3 ; 2 ; - l ) + t ( 2 ; - l ; 0 ) y
L2: ( x : y ; z ) = ( 0 ; - 3 , 0 ) - r s ( — 12; 3; 13)
Solución
A q u i el vector dirección a. de la recta L que pasa por el punto A es perpendicular
a los vectores ¿ = ( 2 ; - l ; 0 ) (vector dirección de Lx) y c = ( - 1 2 ; 3; 13)
(vector dirección de L2)• Entonces a b x c , donde
RECTAS Y PLANOS EN EL ESPACIO TRIDIMENSIONAL
b x c
i J k
2 - 1 0
- 1 3 3 13
= ( - 1 3 ; - 2 6 ; - 6 )
Ahora, tomando el vector á = (13; 26; 6), las ecuaciones de la recta L son:
Form a vectorial L: (x :y, z) = (1: 2; 2) + £(13; 26; 6), t £ IR
IX = 1 4- 1 3 t
Form a paramétrica L: |y = 2 + 2 6 t
l z = 2 + 6t
x — 1 y — 2 z — 2
Form a sim étrica L: -------- = --------- = ---------
13 26 6
2 9 9www.FreeLibros.com
En el espacio R 3 las rectas Lx: ( x;y ;z ) = P0 + ta y L2: ( x ; y ; z ) = Q0 + tb
pueden tener las siguientes posiciones relativas
6.2.3.1 R E C T A S P A R A L E L A S
Las rectas y L2 son paralelas si sus vectores dirección d y b son paralelos.
C om o consecuencia de este resultado tenemos
TOPICOS DE CALCULO - VOLUMEN II
6.2.3 POSICIONES RELATIVAS DE DOS RECTAS EN EL ESPACIO
Observación 10
i) Para todo punto Px de R 3 y toda recta Lt : (x y: z) — P0 + tá , t E R , existe
una única recta L que pasa por el punto Px y es paralela a la recta Ll
ii) Si Li y ¿ 2 son dos rectas paralelas, entonces = l 2 ó L1 n L2 — 0
6.2.3.2 R E C T A S S E C A N T E S
La s rectas Lr y ¿ 2 son secantes si se intersecan en un único punto, esto es,
¿ i n L2 — {Po}
6.2.3.3 R E C T A S Q U E S E C R U Z A N
La s rectas Lx y i 2 se cruzan si no se cortan y no son paralelas. D o s rectas que se
cruzan están en planos paralelos, esto es, no se encuentran en un m ism o plano.
6.2.4 A N G U L O E N T R E D O S R E C T A S
El ángulo entre las rectas L t  (x y -,z) = P0 + tá y L2: ( x; y ; z ) = Q0 + sb
(Fig. 6.18) es el ángulo 0 com prendido entre los vectores dirección a y b
£)<¿ la definición del ángulo entre dos
Véctores, una relación para calcular el
ángulo entre las rectas y l 2 es
eos 0
a ■0
¡|a|| b
Si el ángulo entre las rectas L, y Lz es
recto. 9C dice que las rectas son
ortogonales o perpendiculares, esto es.
L i ± L 2 s = > ü ± b < ^ > á - b = Q
300
www.FreeLibros.com
RECTAS Y PLANOS EN EL ESPACIO TRIDIMENSIONAL '
6.2.5 D I S T A N C I A D E U N P U N T O A U N A R E C T A
Sean un punto y
L: (x -,y;z) = P0 + tá una recta en el
espacio IR3.
Ahora, si d es la distancia del punto P, a la
recta L (Fig. 6.19), entonces
d = ||v|| sen 9
donde 8 es el ángulo que forman los
vectores a y v = P0P1
Por una propiedad del producto vectorial se
sabe que
Ha x y|| = Hallllvll sen 9 = ||a||(d)
De donde resulta
Fig. 6.19
a X 17 j a x P0Pt
Eje m p lo 23 Calcule la distancia del punto 4 (3 ; 2 ; - 1 ) a la recta
L: P — (1; 3; 2) + í ( — 1; 2; 3), t € K
So lu ción
En este caso d = ( - 1 ; 2; 3) y v = 1A - (2; - 1 ; - 3 ) . entonces
á x v = ( - 3 ; 3; - 3 ) . Luego,
V 9 + 9 + 9 _ 27
V 9 + 4 + 1 ^ 14
Eje m p lo 24 Sean las rectas;
L^. P = ( - 2 ; 1; 0 ) + £ ( - 2 ; 1; - 1 ) , t 6 R
L2:Q = (3 ; 7; 1) + <>(— 1; 2; 3 ),s 6 R
¿ 3:x = 2 + 4 t , y = - 1 - 2t , z = 2 + 2t
x - 9 z - 3
LS:R = (3;4; 0) + r ( 4 ;- 2 ;2 ), r e IR
3 0 !www.FreeLibros.com
Determine si son o no paralelas cada uno de los siguientes pares de rectas, en caso
que sean secantes determine su intersección.
a) y Lz b) ¿ i y l 3 c) Lx y Ls
d) l 2 y L 4 e) L2 y L3 f) ¿ 4 y Ls
Solución
a) C om o los vectores dirección á= ( - 2; 1; — 1) y 6 = ( — 1 ;2 ; 3 ) no son
paralelas, entonces las rectas Lt y L2no son paralelas.
Supongam os que A ( x ; y ; z ) £ n L2, entonces existen valores únicos para t
y s para los cuales
A = ( - 2 ; 1; 0) + t ( — 2; 1; - 1 ) = (3; 7; 1) + s ( - 1; 2; 3)
Por la igualdad de vectores, se obtiene
— 2 — 2 t = 3 — s (1 )
1+ t = 7 + 2 s (2 )
- t = 1 + 3s (3 )
7 26
Resolviendo (2) y (3) se obtiene s = - - y t = — , pero estos valores no
5 5
satisfacen (1). Luego, no existe punto de intersección entre las rectas L 1 y Lz, es
decir, Lx y L2 se cruzan.
E n form a análoga se prueba los siguientes resultados.
b) Lx || ¿ 3 A ■= ¿ 3
c) ||¿ 5 A n ¿5 = 0
d) L 2 t t L 4 AL x n L s = >1(5; 3; - 5 )
e) L2 l/¡ L3 A Lz A ¿ 3 se cruzan
E je m p lo 25 H alle la ecuación de la recta que pasa por el punto P0( 3 ; l ; 5 ) y e s
paralelo a la recta L t : 2 x — 2 = 1 — y A z = 4
So lu ción
En primer lugar reordenando la ecuación de la recta Lx tenemos
y — 1
2 x - 2 = l - y A z = 4 <=> x - 1 = — — A z = 4
—2
Luego, la ecuación vectorial de L1 es L^.P = ( l ; l ; 4 ) + t ( l ; - 2 ; 0 ) , t E R
C om o L || => L || a , donde a = (1; - 2 ; 0 ) es el vector dirección de Lx
Por tanto, la ecuación de la recta buscada es
L: Q = (3; 1; 5 ) + A ( l; - 2 ; 0), A £ R
TOPICOS DE CALCULO - VOLUMEN II
302
www.FreeLibros.com
E je iilp fo 26 Halle la ecuación de la recta que pasa por P0(3; 1; — 2) e interseca
y es perpendicular a la recta Lx:x -r 1 = y + 2 = z + í
RECTAS Y PLANOS EN EL ESPACIO TRIDIMENSIONAL.
So lu ción
La form a vectorial de !a ecuación de la
recta es
Ly.Q = ( —1; —2; —1) + A(l; 1; 1), A g R
Sea A el punto de intersección de las rectas
Lx y L (Fig. 6.20). C om o A G Lv
entonces 3 k G K tai que A(—l +
k : ~ 2 -'r k ' , — 1 -r k ) .
Por la condición de perpendicularidad
resulta
P0A = {k - 4; k - 3; k + 1) 1 a = (1; 1; 1)
<=> PfíA. a. — k —4 i- k —3 + fc -i- 1 = 0
«=> k = 2
A sí, / 4(1;0;1)
Luego, la ecuación de la recta que pasa por los puntos P0(3; 1; - 2 ) y ¿4(1; 0; 1) es
L: P = (3; 1; - 2 ) + t ( 2; 1; - 3 ) , t £ R
Eje m p lo 27 Determ ine la ecuación de la recta que pasa por P0( l ; 4 ; 0 ) y e s
perpendicular a las rectas
x + 4 2y -  1
L^.x = 3 + t ,y = 4 + t ,z = - 1 + t A ¿ 2 : --------= ----------- A z — —
Solución
Sea a el vector dirección de la recta
L buscada.
Un vector dirección de L2 es
v = (4; 1; 0 ) y el vector dirección de
es b = (1; 1; 1). C om o L 1 L2 y
L i ¿ i ^ a l í y a i i
=> a || v X b = (1; - 4 ; 3)
Luego, la ecuación de la recta buscada
es
L:P = (1; 4; 0) + t( l; —4; 3), t 6
Fig. 6.21
303www.FreeLibros.com
Kjcinpln 28 Determine la ecuación de la recta que pasa por el punto m edio de
AH y corta bajo un ángulo de 6 0 c a la
recta que pasa por los puntos R y S.
donde 4 (2 ; 4; OV 2?(0; 0; — 2), R (3; 3; 3)
y S ( - l ; 3 ; 3 ) .
So lu ción
Este problema tiene dos soluciones (Fig.
6.22).
E l punto 'medio del segmento AB es
M ( 1; 2; — 1) y la ecuación de la recta L-¡_
que pasa por R y S es
IOl’lCOS DE CALCULO - VOLUMEN II
p = ( _ i ; 3; 3) + t ( l; 0; 0), t 6 R
Sea / el punto de intersección de L con Lr
=> I £ => 3 t £ E / / ( - 1 + t; 3; 3)
De la condición de que la recta L interseca a la recta L x bajo^un ángulo de 60°
resulta
eos 6 0 “ = ■
a ■t>
, donde d = (1; 0; 0 ), b = MI = (t - 2; 1; 4)
t = 2 ± ^ 1 7 / 3 => / (I ± ^ 1 7 / 3 ; 3 ; 3)
Ma ll|!u li
D e donde soobtiene
1 t - 2
2 _ ¿ ( t ~ 2 )2 + 1 + 16
Luego, tas ecuaciones de las rectas buscadas son
L: Q = (1; 2; - 1 ) 4- r ( V l7 / 3 ; 1 ;4), r £ U
L':Q' = ( 1 ; 2 ; - 1 ) + A ( - V l7 / 3 ; 1 ; 4 ) , A E R
E jem plo 29 Halle el punto en la recta L: F = (2; 11; 1 4) 4- í (2;. 4; 5), t £
que equidista de las rectas
L¡: Eje x A
/,2:<2 = (1; 7; 0) -r s(0 ; 0; 1), s £ l
Solución
Un bosquejo de este problema se muestra en
la l'ig. 0.23.
La ecuación del eje x e s
Lx R = (0; 0; 0 ) + í ( l ; 0 ; 0 ) , t £ E
304www.FreeLibros.com
RECTAS Y PLANOS EN EL ESPACIO TRIDIMENSIONAL
Sea A 6 L el punto que equidista de Jas rectas L, y ¿ 2, entonces
A (2 + 2t; 11 + 4t; 14 + S í)
Luego,
d(>l- L ) = X - í,(2 + 2 í ’ 11 + 4 t ' 14 + 5 í) X (1: ° ; 0)11
Ü(l; 0; 0)|!
= V ( 1 4 + 5 t ) 2 + ( l l + 4 t ) 2
d ( A . L -) _ 110^4 x 6j| ||(1 + 2 t, 4 + 4 t, 1 4 + 5 t) x (0; 0; 1 )||
1 2 p|| 11(0; 0; 1)||
- V ( 4 + 4 t ) 2 + ( l + 2 f ) 2
Resolviendo la ecuación que resulta de d(A; Lx) = d( A L2) se obtiene
í = - 2 V t = - 5 0 / 7
Luego, los puntos de la recta L que equidistan de las rectas y L¿ son
i4v( - 2 ; 3 ; 4 ) y A z( — 6 6 / 7 ; - 1 2 3 / 7 152 / 7)
E J E R C I C I O S
1. Encuentre la distancia del punto Á(Z2-,Y) a la recta que pasa por los puntos
P0( l; 2; 9 ) y P i ( - 3 ; - 6 ; - 3 )
2. S i L,: P = ( 1 ; 0 ; - 1 ) + t ( l ; l ; 0 ) , t € K y L2: Q = (0; 0; 1) + s ( l; 0; 0),s e US.,
halle la ecuación de la recta L que es perpendicular a Lt y l 2 y las interseca.
3. Determ ine la ecuación de la recta que interseca a las rectas
¿j: P = (1; — 1; 1) + t ( l ; 0 ; - l ) , t £ M y L2: Q = (1; 0; 0 ) . + s ( - l ; 1; 1), s £ K
en los puntos A y B respectivamente, de tal manera que la longitud del
segmento AS sea minima.
4. Halle la ecuación de la recta que pasa por el punto / 4(1 9 ;0 ;0 ) y corta a las
rectas L x: P = (5; 0; - 1 ) -f t ( l; 1; 1), t c K
L2: Q = ( - l ; 2 ; 2 ) + s ( — 2 ;1 ;0 ), s E R
5. U na recta pasa por el punto A{1 1; 1) y forma ángulos de 60° y 30° con los
ejes x e y respectivamente. Halle la ecuación vectorial de dicha recta.
R. L: P — (1; 1; 1) -f- t ( l; ± V 3 ; 0 j,t E K
6. U n a recta que pasa por el punto A ( - 2 ; 1; 3 ) es perpendicular e interseca a la
recta Lx: P = (2; 2; 1) 4- t( 1; 0; — 1), t E R . Halle la ecuación vectorial de
dicha recta. R. Q = ( - 2 ; 1; 3) -i- 5(1; 1; 1), s e l .
305www.FreeLibros.com
Un plano en el espacio es un conjunto de puntos que se desplazan de tal manera,
que el vector que form a estos puntos con un punto fijo es perpendicular al vector
dirección del plano (Fig. 6.24). E l vector dirección se llama vector n o rm a l del
plano y se denota con N.
TOPICOS DE CALCULO - VOLUMEN II
6.3 PLANO EN EL ESPACIO
Observación 11 La ecuación de un plano queda completamente determinado
cuando se conoce:
i) Un punto de paso y su vector normal ó
ii) Un punto de paso y dos vectores paralelos al plano ó
iii) Tres puntos no colineales del plano
6.3.1 E C U A C I O N E S D E U N P L A N O E N E L E S P A C I O
6.3.1.1 E C U A C I Ó N V E C T O R I A L D E U N P L A N O E N E L E S P A C I O
Sea Q un plano que pasa por el punto PQ(x0-,y 0;z 0) y es paralelo a los vectores
a. = ( a 1(- a2; a 3) y b = (b1;b2; b3), donde el vector a no es paralelo al vector
b (Fig. 6.25)
Sea P ( x  y , z ) un punto cualquiera del plano Q, entonces existen r , s £ 1 tai
que P0P = r á + sb
D e donde, P - P0 = r á + sb ó P = P0 + r a + sb
Por consiguiente, la ecuación vectorial del plano Q es
l------------------------------------------—-- ---------------1
Q: (x; y, y.) = P0 + rd + sb, r, s 6 E ¡
306www.FreeLibros.com
RECIAS Y PLANOS EN EL ESPACIO TRIDIMENSIONAL
6.3.1.2 E C U A C IÓ N P A R A M É T R I C A D E U N P L A N O E N E L E S P A C I O
De la ecuación vectorial del plano Q: P = P0 + rá + s b , se tiene que cualquier
punto P(x y ; z ) £ Q verifica la igualdad, es decir
(x; y; z) = (x0;y 0; z 0) + r ( a j ; a 2;a 3) + sC£>i.; b2; b3)
Luego, por la igualdad de vectores resulta
Í
x = x 0 + r a x + sb x
y = y 0 + r a 2 + sb 2 , r , s 6 R
z = z 0 + r a 3 +
Estas ecuaciones se llaman ecuaciones p aram étricas del plano Q que pasa por el
punto P0(x 0; y Q-,z0) y es paralelo a los vectores a y b, r y s se llaman
p arám e tros de la ecuación.
Eje m plo 30 Halle las ecuaciones vectorial y paramétrica del plano que pasa por
los puntos P0( 3 ; l; 2 ) , P ^l - , - 1; 2) y P2(2 ;0 ; 3 )
So lu ción
L o s vectores paralelos al plano Q que pasa por
P0 ,P i y P2 son á = P ¿ P ¡ = ( - 2; — 2; 0) y
5 = P„P2 = ( - l ; - l ; l )
Luego, la ecuación vectorial del plano Q es
Q: P = ( 3 ; l ; 2 ) + r ( - 2 ; - 2 ; 0 ) + s ( - l ; - l ; l ) , r , s 6 R
y su ecuación paramétrica es:
íx = 3 — 2r —s
Q:  y =  - 2 r - s , r ,s 6 R
Iz = 2 + s
O b se rv a c ió n 12
i) De la ecuación vectorial del plano se obtiene que N = a X b es un vector
perpendicular al plano. En general, todo vector no nulo perpendicular al
plano es llamado norm al del plano.
ii) Si N es una normal del plano Q: P = P0 + r a + s b , r , s E 1 y Px y P2
son dos puntos del plano, entonces N 1 PP2.
iii) Si N es la normal del plano Q: P — P0 + r á + s b , r , s 6 R y P0P1 1 N
entonces Px 6 Q
iv) Si N es la normal del plano Q: P = P0 + r á + s b , r , s G R , entonces
Q = { P ( x ; y ; z ) / Ñ.P^P = 0 } y es el único plano que pasa por P0 con
normal N
307www.FreeLibros.com
TOPICOS DE CALCULO - VOLUMEN II
6.3.1.3 ECUACION GENERAL DE UN PLANO
Sea Q un plano que pasa por el punto
Po(x o’>yo'' z o) Y cuyo vector normal es
Ñ = (A-.B-.C).
Sea P ( x ; y ; z ) un punto cualquiera del
plano Q, entonces
P ¡P 1 Ñ «=* Ñ.P^P = 0
<=* (A;B;C). (x - xQ; y - y 0;z - z Q) = 0
<?=> A (x - x0) + B( y - y 0) + C (z - z 0) = 0
Por lo tanto, la ecuación general del plano Q es de la forma
j ' " I
i Q; Ax + B y + Cz + D = 0 ¡
Esta ecuación también es llamada ecuación cartesiana del plano.
En lo que sigue, por ecuación del plano se entenderá a la ecuación cartesiana.
Ejemplo 31
a) Halle la ecuación del plano que pasa por el punto P0( 2 ; 3 ; - 5 ) y esortogonal
al segmento PQt , donde P ( 3; - 2 ; 1) y ( ^ ( l; 3; 0)
b) Halle la eEttación del plano que contiene a los puntos P0, P yQt dados en (a).
Solución
a) Sea Ñ = = (2; — 5; 1) y P0( 2 ; 3 ; - 5 ) .
entonces la ecuación general del plano es
Q: 2{x - 2 ) - 5 ( y - 3) + 1 (z + 5) = 0 ó
Q: 2x - 5 y + x + 16 = 0
b) De la Fig. 6.26 se tiene
& = PaQi = ( - 1 ; 0; 5 ) y
b = P ¿P = (1; — 5; 6)
Enionces Ñ II á x b = (25; 11; 5)
Tom ando Ñ - (25; 11; 5), la ecuación del plano es:
Q: 2 5 (x - 2 ) + U ( y - 3 ) + 5 (z + 5 ) - 0 ó
Q: 25x + l l y + 5z - 5 8 = 0
308
www.FreeLibros.com
Observación 13 Sea Q un plano cuya normal es N y L una recta cuyo vector
dirección es á , entonces se tiene
i) L   Q < = $ N ± a < = * N ' á = 0 (Fig. 6.27)
ii) L ± Q « N II a (Fig. 6.28)
KtUIAS Y PLANOS EN EL ESPACIO TRIDIMENSIONAL
L
Ñi k
l ] /
Fig. 6.27 Fig. 6.28
iii) Si L  Q => L n Q = <Ji ó L c Q
iv) L c Q =$ N 1 a y P0 e L => P0 6 Q (Fig. 6.29)
v) Si L # Q => L fl Q = / es un punto. (Fig. 6.30)
Ni k
/ J
h
Fig. 6.29 Fig 6.30
E je m p lo 32 Halle la ecuación del plano que contiene a la recta
L: P — (1; 2; 2) + t(0; 3; 1), t 6 M y el punto Q0(2; - 3 ; 8 ) ,
So lu ción
Sea N el vector norm al del plano Q que
contiene a la recta L y al punto Q0 , entonces
N 1 á = (0; 3; 1) A N I P0Q0 = (1; - 5 ; 6),
d o n d e P 0( l ; 2 ; 2 )
309
www.FreeLibros.com
Por lo tanto, al tomar N = (23; 1; 3) como vector normal del plano Q que pasa
por el punto Q0, su ecuación es
Q: 23(x - 2) + (y + 3) + 3 (z - 8) = 0 ó
Q 2 3 x + y + 3 z — 9 7 = 0
6.3.2 P O S I C I O N E S R E L A T I V A S D E D O S P L A N O S E N E L E S P A C I O
En el espacio los planos
Q[: A1x + B1y + Ct z + Dx = 0 y Q2 A2x + B2y + 2z + D2 = 0
pueden tener las siguientes posiciones relativas
6.3.2.1 P L A N O S P A R A L E L O S
L os planos y Qz son paralelos <=> ÑQl II ÑQi » ÑQi =A- Ñq
Observación 14 Si Qy y Q2 son dos planos paralelos, entonces
0 Q1 - Q 2 (plan os coin ciden tes)
ii) Qt fl Q2 = 0 (planos paralelos no coinCidenles)
6.3.2.2 P L A N O S S E C A N T E S
L o s pianos Qr y Q2 son secantes «=» ÑQl # ÑQi <=> n Q2 = L, donde L es la
recta de intersección de los planos. 1
La ecuación de la recta de intersección d^ los planos y Q2 se escribe como
(A-^x + Bxy + CjZ + D j = 0
 a 2x + B2y + C2z + D2 = 0
ó L: Axx + Bt y + Cxz + Oj = 0 A A2x + B2y + C2z + D2 - 0
Observación 15
i) Los planos secantes Qx y Q2 son perpendiculares si y solamente sí sus
vectores normales son perpendiculares, esto es.
Plano Qx 1 plan o Q2 <=> Nqi 1 ^ ' Ñqz
ii) Si Qx: AjX + Bry + C1z+ Dj= 0y Q2:A2x + B2y + C2z + D2— 0
planos secantes, entonces Iaecuaciónde lafam ilia de planos que pasan porla
intersección de estos planos es
QF A-^x + Bxy + C ,z + Dj + k(A2x + B2y + C2z + D2) = 0
donde k es el paramétro de lafamilia.
TOPICOS DE CALCULO - VOLUMEN II 1
Luego. Ñ || & x P ¡ ÍQ ¡ = (23; 1; 3) ;
3 1 0
www.FreeLibros.com
K t C lA Í> Y r L A N U S t N t L t S P A U Ü 1K lU lM b N S lO N A L
Observación 16 Las ecuaciones de los planos coordenados y de los planos
paralelos a estos son
i) Ecuación del plano coordenado xy: z = 0
ii) Ecuación del plano coordenado xz: y = 0
iii) Ecuación del plano coordenado yz: x = 0
iv) Ecuación del plano paralelo al plano x y que pasa por el punto (0; 0; k) es
z = k
v) Ecuación del plano paralelo al plano x z que pasa por el punto (0; k; 0 ) es
y = k
vi) Ecuación del plano paralelo al plano y z que pasa por el punto (k ; 0; 0 ) es
x = k
E je m p lo 33
a) Halle la ecuación del plano que contiene al punto P0(2; 6; - 1 ) y es paralelo
al plano Q 4x — 2 y + z - 1 = 0
b) Halle la distancia del punto @0( 2 ; — 1 ;3 ) a la recta
L: 2x - y + z - 3 = 0 A x + 2 y - z + l = 0
So lu ción
a) Sea el vector norm al al plano que pasa por el punto P0, entonces
Ñx II ÑQ = (4; - 2 ; 1). A sí, al tomar Nt - (4; - 2 ; 1), la ecuación del plano
Qi es
Qi. 4(x - 2) - 2 ( y - 6 ) + l ( z + 1) = 0 ó 4x - 2y + z + 5 = 0
b) Para hallar la distancia del punto Q0 a la recta L, es necesario tener la ecuación
de la recta en su form a vectorial. A sí, al resolver simultáneamente las
ecuaciones de los dos planos que da origen a la recta L, se tiene:
(2x —y + z — 3 = 0 (1 )
 x + 2 y —z + l = 0 (2 )
Sum ando (1) y (2) resulta 3x + y - 2 = 0 => y = 2 - 3x (3 )
Reem plazando (3) en (1) se obtiene z = 5 - 5 x (4 )
Haciendo x = t, se tiene la ecuación paramétrica de la recta L, esto es,
x — t
L: y = 2 - 3 t , t e R
z = 5 - 5 t
Luego, la ecuación vectorial de la recta L es
L: P = (0; 2; 5 ) + t ( l; - 3 ; - 5 ) , t € R
311www.FreeLibros.com
Sean v = P0Q0 = (2; — 3; — 2) y á = ( 1 ; — 3 ; — 5), donde P0(0 ;2 ;5 ).
Mmonccs la distancia del punto Q0 a la recta L es
||i; x ¿t|| _ V 8 1 + 64 + 9 _ 22
d = l|a|| V H
Ejem plo 34 Halle la ecuación del plano que pasa por la rectade intersección de
los planos x — y 4 - 2 z 4 - 4 = 0 , 2 x 4 - y 4 - 3 z — 9 = 0 y es paralelo ala recta
cuyos números directores son [1; 3; — 1]
Solución
La ecuación de la familia de planos que pasan por la intersección de los pianos
dados es
x —y 4- 2z 4- 4 + k(2x + y + 3z —9) = 0
« (1 + 2 k)x + ( k - 1) y + (2 4- 3 k) z + 4 - 9k = 0
Luego N = (1 4- 2 k; k — 1; 2 4- 3 k) es el vector normal de la familia. C om o el
plano es paralelo al vector a = (1; 3; — 1), entonces IV l a «
Ñ ■d = Q <=> 1 4- 2/c 4- 3/c — 3 — 2 — 3/c = 0 => k = 2
Por tanto, la ecuación del plano descrito es
5 x + y 4- 8 z — 14 = 0
Ejem plo 35 D adas las rectas Lr P — (1; 2; — 1) 4- t ( l; 3; 1), t € 1 y
L2: Q = (5; — 1; — 2) + s(2 ; — 1; 2 ),5 6 K
Halle las ecuaciones de dos planos paralelos
Q }' Qz de m odo que
¿i c Q y ¿2 c Qz
Solución
Sea N el vector norm al com ún de los planos
<2i Y Qz => Ñ ± a = (1; 3; 1) y
J V 1 ¿ = ( 2 ; - 1 ; 2 )
Fig. 6.31
Luego, yv II a x b = (7; 0; — 7)
Si utilizamos, el vector normal N — (1; 0; — 1) y el punto Px( 1; 2; — 1) E Lr
como punto de paso del plano, entonces la ecuación del plano que contiene a la
recta L x es
TOPICOS DI- CALCULO - VOLUMEN II
Qt : 1 0 - 1) 4- 0(y - 2) - í ( z + 1) = 0 <=> Qr: x - z - 2 = 0
3 1 2
www.FreeLibros.com
Análogam ente, si usam os el vector norm al A? = (1; 0; — 1) y el punto
P2(5 ; - l ; — 2 ) £ L2 com o punto de paso del plano, entonces la ecuación del
plano que contiene a la recta l 2 es
Q2: l ( x - 5 ) + 0 ( y + 1) - l ( z + 2) = 0 <f=> Q2: x - z - 7 = 0
E je m p lo 36 E n cada uno de los siguientes ejercicios, L es una recta y Q es un
plano. Determ ine si L es paralela o no al plano Q y halle L n Q
a) L: P = (1; - 1 ; 2 )+ t ( 2; - 1 ; 3), t £ R y Q: x + 5 y + z + 1 = 0
b) L: P = (2; 0; 1) + t( 1; 2; - 1 ) , t é R y Q: x + 2 y + 5z - 7 = 0
c) L: P = (3; - 1 ; 0 )+ t ( 2; 1; - 1 ) , t e 1 y Q: 4x + 2y - 2 z + 2= 0!
d) L: P = ( 1 ; - 1 ; 1)+ t ( l ; 2 ; - 1 ) , t e R y Q : 3 x - y - z + 5 = 0
So lu ción
S i a es el vector dirección de la recta L y Ñ es la norm aldel plano Q , se tiene
a) a = (2; - 1 ; 3 ) y Ñ = (1; 5; 1) =* á ■Ñ = 0 =* L || Q
Pará verificar si L n Q = 0 ó L c ( J , consideram os un punto P0 £ L y
com probam os si P0 £ Q ó P0 £ Q . Si P0 £ Q =* L c Q; si P0 g (? =>
L n Q = 0 . Para determinar si un punto pertenece a un plano es suficiente
verificar si sus coordenadas satisfacen o no la ecuación del plano.
C om o P0(l-, — 1; 2 ) £ L , entonces reemplazando en laecuación del plano se
tiene 1 + 5 ( — 1) + 2 + 10 (P0 nosatisfacela ecuacióndel plano).Lu e go
Po $ Q •
Por tanto L n Q = 0
b) L c Q ó LCQ = L
c) L L Q y L n Q = / (l; — 2; 1)
d) a = (1; 2; — 1) y W = ( 3 ; - 1 ; - 1 ) => a •Ñ= 3 - 2 + 1 * 0
=> L n Q = / (un punto) =* / £ L A l e Q
¡ E L => / ( I + t; — 1 + 2 1; 1 - t)
/ £ Q => 3 (1 + t) - ( - 1 + 2 t) - (1 - t) + 5 = 0 => t = - 4
Por consiguiente, / ( - 3 ; — 9; 5)
RECTAS Y PLANOS EN EL ESPACIO TRIDIMENSIONAL
3 13www.FreeLibros.com
Ejem plo 37 Por el punto 4 (1 ; 0; 1) se traza una perpendicular al plano
Q: 2x 4- y - z - 7 = 0. Si 6 es el pie de dicha perpendicular, determine un
punto C en la recta L: P = (— 1; 1; 0) + t(0; 1; 5), t e E de m odo que el
volum en del tetraedro de vértices 4 , 6 , C y D es igual a 4 u 3, donde D es el
punto de intersección de la recta L con el plano Q .
Solución
En primer lugar, determinaremos el punto B.
Sea LN: P = A + s N , s G R la recta que
pasa por el punto A y es perpendicular al
plano Q. A si,
B e L N n Q < = > B e L N A B e Q
<=* 5 ( 1 + 2 s ; s ; l - a) 6 Q
«=> 2 (1 + 2s ) + s — ( 1 - s ) — 7 = 0
< = > s = 1
D e donde resulta B (3 ; 1; 0)
C om o D = L n Q s = $ D E L A D 6 ( ? < = > D ( — 1; 1 + t; 5 1) 6 Q
<*=> 2 ( — 1) + (1 + t) - 5t - 7 = 0 <=* t = - 2
A sí, £)(— 1; — 1; — 1 0)
Por otro lado, dado que C 6 L = > C ( — 1; 1 + t; 5t). Ahora, sean
a = BC = ( - 4 ; t; 5t), b = BD = ( - 4 ; - 2 ; - 1 0 ) y c = S 4 = ( - 2 ; - 1 ; 1)
Entonces ¿ x c = ( - 1 2 ; 2 4 ; 0 ) y
1 _ i
yT = - | a - ( b x c ) ! = 4 < = > 7 |48 + 24t| = 4<=* |2 + t| = 1 <=» t = - 1 V í = - 3
6 6
Por lo tanto, el punto es C ( — 1; 0; — 5 ) V C ( - l ; - 2 ; - 1 5 )
Eje m plo 38 Sean 4 (3 ; 2; 1) y B ( - 5 ; 1; 2 ) dos puntos del espacio. H alle un
punto C en el plano Q: x - y + 2 z - 4 = 0 de m odo que AC + CB sea
mínimo.
Solución
Para que AC + CB sea m ínim o, necesariamente 4, B y C deben estar en un plano
perpendicular al plano Q . E n la Fig. 6.33 se muestra al plano Q de canto. S i B'
es el punto sim étrico de B respecto al plano Q (*), entonces CB + CB' = d 2 .
Luego d t + d 2 es m ínim o si C es la intersección de 4 6 ' con el plano Q .
TOPICOS DE CALCULO - VOLUMEN II
Fig. 6 .32
314www.FreeLibros.com
K tc IAS Y PLANOS EN EL ESPACIO TRIDIMENSIONAL
(*) D o s puntos B y B '__ son simétricos respecto al plano Q, si (J es
perpendicular al segmento BB' en el punto medio M de ~BBi
En primer lugar determinaremos M. Sea
Ln  P = B + t ( l; — 1; 2), t E IR
la recta que pasa por B y es perpendicular al
plano Q, entonces M £ LN y M 6 Q
= > M ( - 5 + t ; l - t ; 2 + 2 t) y
( - 5 + t) - (1 - t) 4- 2 (2 + 2 t) - 4 = 0
<=» t = 1 => M (—4; 0; 4)
C om o M es el punto m edio entre B y B'.
por la fórm ula de punto m edio se obtiene
B '( — 3, — 1,6)
Asf, la ecuación vectorial de la recta que pasa
L: Q = (3; 2; 1) + r ( — 6; — 3; 5), r E
D ado que C = L n Q =* C 6 L y C & Q
» C( 3 - 6 r , 2 - 3 r, 1 + 5 r > A (3 - 6 r ) - (2 - 3 r ) 4- 2 (1 + 5 r ) - 4 = 0
r = 1/7
Por consiguiente, se tiene C (1 5 / 7 ; 1 1 / 7 ; 12/7).
6.3.4 D I S T A N C I A D E U N P U N T O A U N P L A N O
Sea Q un plano cuya ecuación general es Q: Ax + By + Cz + D = 0 y
P i O i í y i ^ i ) un punto del espacio. Si d es la distancia del punto Pr al plano Q
(la longitud del segmento perpendicular trazado de Px a Q (Fig. 6.34)), entonces
^ = l l ^ ^ U l c o s e l .... (a )
Donde P0(x 0; y 0;z 0) es un punto del
plano Q y 9 es el ángulo entre el vector
P0Pt y el vector norm al N.
por A y B' es
R
315
Fig. 6.34
www.FreeLibros.com
TOPICOS DE CALCULO - VOLUMEN II
C om o P0 e Q => Ax0 + B y0 + Cz0 + D = 0
D e donde D = - A x 0 - B y0 - C zQ (/?)
Por otro lado,
( K pI ) - ñ
eos 9 - ------, (y)
ItolllMI
Reem plazando (y) en (a) se obtiene
A (xx - X0) + B (yt - y 0) + C (zt - z 0)|
d = -------------------- - --------------------- _ (X)
V ¿ 2 + B 2 + C 2
Reem plazando (/?) en ( A ) , la fórm ula para la distancia del punto al plano Q se
escribe como
Axj_ + B y 1 + Czx + D
a =
tJA2 + B2 + C2
Observación 17 La distancia d entre los planos paralelos
Qt : Ax + B y + Cz + D-l = 0 y Qz : Ax + B y + C z + D2 = 0
está dada por la fórmula
d =
'¡Ar + W T c 2
Eje m plo 39 Calcule la distancia del punto P1( 1 ;2 ;3 ) a l v i n o
Q:P = (2; 1; — 1) + r ( l ; 1; 1) + s ( — 1; 1; 0), , r , s 6 E
Solución
El vector norm al del plano Q es Ñ = á x b = ( - 1 ; 1; 0 ) X (1; 1; 1) = (1; 1; - 2 )
Así, la ecuación del plano Q es l ( x — 2 ) + l ( y - 1) — 2 (z + 1) = 0 ó
(?: x + y - 2 z - 5 = 0
Por tanto, la distancia entre / ^ (l; 2; 3 ) y el plano Q es
|1 + 2 — 2 (3 ) — 5| 4 V 6
d =
V i + 1 + 4 3
www.FreeLibros.com
RECTAS Y PLANOS EN EL ESPACIO TRIDIMENSIONAL
Ejemplo 40 Encuentre la distancia entre los planos paralelos
Qi". x — 2 y + 2z — 5 = 0 y Q2: 3x — 6 y + 6 z — 7 = 0
Solución
Para aplicar la fórmula de distancia entre planos paralelos, es necesario que los
dos planos tengan el mismo vector normal; con este propósito dividimos la
ecuación del plano Q2 entre 3 y obtenemos las ecuaciones
Qt : x — 2 y + 2z — 5 = 0 y Q2: x - 2 y + 2 z - 7 /3 = 0
En consecuencia, la distancia entre los planos Q^ y Q2 es
E je m p lo 41 L a distancia del punto P ( l; 0; 2) al plano Q es 1. Si el plano Q pasa
por la intersección de los planos 4 x - 2 y - z + 3 = 0 A 2x - y + z — 2 = 0,
halle la ecuación del plano.
So lu ción
L a ecuación de la fam ilia de planos que pasan por la intersección de los planos
dados es
. Q f : 4 x - 2 y - z + 3 + k( 2x - y + z - 2) = 0 ó
Qf : (4 + 2 k) x - (2 + k ) y + (k - 1) z + 3 - 2k = 0
Per ia condición descrita, la distancia del punto P al plano QF resulta
1 |(4 + 2 k ) — 2{k — 1) + 3 — 2k _ 2k + 5|
” V ( 4 + 2k Y + (2 + kY + (fe - l ) 2 ~ V6/c2 + 18A: + 21
« 6 k 2 + 1 8 k + 21 = 4 k 2 + 2 0 k + 25
<=> 2fcz - 2 k - 4 = 0 = > k = - l V k = 2
Luego, las ecuaciones del plano Q (hay dos soluciones) son
(?!: 2 x - y - 2 z + 5 = 0
- Q2: 8 x - 4 y + z — 1 = 0
E je m p lo 42 Se tiene el punto /  ( - 3; 2; — 1) y la recta L: x = 2y = z. Halle
las ecuaciones de dos planos paralelossi se sabe que uno deellos contiene a Pt y
el otrocontiene a L, además, la distancia entre dichos planos es V2.
So lu ción
L a ecuación vectorial de la recta L es L P = (0; 0; 0 ) + t ( 2; 1; 2), t £ IR
317www.FreeLibros.com
Sea Ñ — (A-, B; C) el vector normal com ún de los planos paralelos. Entonces, la
ecuación general del plano que contiene al punto P1( - 3 ; 2 ; - l ) y la delplano
que contiene a la recta L son respectivamente
Qx: A(x + 3 ) + B ( y - 2) + C (z + 1) = 0 y
Qz : Ax + By + Cz - 0
C om o el plano Q2 contiene a la recta L, entonces N = 04; B-, C) 1 a = (2; 1; 2 )
*=>Ñ.a = 2A + B + 2C = 0*=> B = - 2 A - 2 C (a )
Ahora, utilizando la fórm ula de la distancia entre dos planos resulta
 3 A - 2 B + C
V 2 = . ___ :
y¡Az + B 2 + C2
<=> 2 (A2 + B2 + C2) = (3A - 2 B + C)2 (/?)
Reem plazando (a ) en (/?) se obtiene
10A2 + 10 C2 + 16AC = 4 9 A2 + 25 C2 + 70AC
<=> 13A2 + 18AC + SC2 = 0
<=> (13i4 + 5 C)(A + C) = 0 <=> A = - C ó A = - 5 C / 1 3
Si A = - C => B = 0 => = ( — C; 0; C ) = - C ( 1; 0; - 1 )
Considerando Ñx = (1; 0; - 1 ) se obtiene las soluciones
x - z + 2 = 0
Q2: x - z = 0
Si A = - 5 C / 1 3 => B = - 1 6 C / 1 3 => Ñ¡ = ( - 5 C / 1 3 ;- 1 6 / 1 3 ; C )
Para C = - 1 3 se obtiene Ñ2 = (5; 16; - 1 3 ) . E n este caso lassoluciones son
Qx: Sx + 1 6 y - 1 3 z - 30 = 0
Q2 Sx + 1 6 y - 1 3 z = 0
Eje m plo 43 U n plano se encuentra a unadistancia de2 /7 unidadesdelorigen
de coordenadas. H alle la ecuación delplano si se sabeque contiene a la recta
L: x = 2y = 3z - 1.
Solución
L a recta L puede ser considerada com o la intersección de los planos x — 2y
A x = 3z - 1. L a fam ilia de los planos que pasan por la intersección de estos
planos es
TOPICOS DE CALCULO - VOLUMEN II
Qf : x - 2 y + k(x - 3z + 1) = 0 <=* (1 + k)x - 2 y - 3kz + k = 0
318www.FreeLibros.com
RECTAS Y PLANOS EN EL ESPACIO TRIDIM ENSIONAL
Así, de la distancia del origen de coordenadas al plano QF resulta
2 k
<=> 4 0 k 2 + 8 k + 20 = 4 9 k 2
7 y/ (l + k ) 2 + 4 + 9 k 2
«=> k = 2 ó k = - 1 0 / 9
Por tanto, existen dos soluciones al problema y estas son
Q^. 3x —2y —6z + 2 = 0 (para k — 2)
Qz’ x + l Q y - 3 0 z + 10 = 0 (para k = - 1 0 / 9 )
6.3.5 Á N G U L O E N T R E D O S P L A N O S
D o s planos no paralelos y Q2 forman dos ángulos (diedros) 9 y 180° - 9
(Fig. 6.35), luego es suficiente conocer uno de los ángulos. U n o de estos ángulos
es igual al ángulo que form an sus normales. Si 9 es este ángulo, entonces
eos 9 =
W i - i V 2
w m m .
donde y N2 son respectivamente, los vectores normales de los planos
<?i Y <?2-
Fig. 6.35
Eje m p lo 44 Halle el ángulo obtuso que forman los planos
Q t : 2x —y + z —4 = 0 y Q2: x + y + 2z - 5 = 0
So lu ción
L o s vectores normales de los planos Qa y Q2 son respectivamente
Ñ, = (2; — 1; 1) y Ñ2 = (1; 1; 2)
Entonces
j V i v 2
eos 9 =
N,
3 1
— — - = - <=> 9 = 60°
V ó V ó 2
Luego, el ángulo obtuso entre los planos es a = 180° — 60° = 120°
319
www.FreeLibros.com
TOPICOS DE CALCULO - VOLUMEN II
Ejem plo 45 H alle la ecuación del plano perpendicular al plano yz, que form a un
ángulo 6 = a rc c o s(2 / 3 ) radianes con el plano Q2: 2x — y + 2 z - 3 = 0 y pasa
por el punto
So lu ción
Sean Ñ = (¿4; B; C ) el vector normal del plano buscado, = (1; 0; 0 ) el vector
ftormal del plano y z (x = 0 ) y Ñ2 — (2; — 1; 2 ) el vector norm al del plano Qz
C om o el plano buscado es perpendicular al plano y z (N 1 Nt ) y form a un ángulo
9 con el plano Q2 , entonces se tiene
N. Ñt = 0 =*> A = 0 (1 )
Ñ ■Ñ2 2 A - B + 2C
eos 0 = „ = ..........— (2 )
NN2 V í42 + B2 + C 2.V 9
Reem plazando (1) en (2) se obtiene
2 _ 2 C - B
3 _ 3V S 2 + C2
D e donde 4 ( B2 + C 2) = 4 C2 - A B C + B 2 «=> 3 B 2 + ABC = B(3B + 4 C ) = 0
<=> B = 0 ó B = - 4 C / 3
Si B = 0 entonces Ñ - (0; 0; C ) = C (0; 0; 1). Luego, la ecuación buscada del
plano que pasa por el punto P1( 0 ; 1 ; 1 ) es
Qi. 0 (x - 0 ) + 0 ( y - 1) + l ( z - 1) = 0 ó Qi- z = 1
Si B — 4C/3, entonces Ñ = (0; — 4C/3 ; C ) = — (C /3)(0; 4; — 3).Luego, la
ecuación buscada del plano q,ue pasa por le punto ?*((); 1 ;1 ) es
Q3: 0(x - 0 ) + 4 (y - 1) - 3 (z - 1) = 0 ó Qz : 4 y - 3 z - 1 = 0
6.3.6 P R O Y E C C I Ó N O R T O G O N A L D E U N A R E C T A S O B R E U N P L A N O
Sea P un punto del espacio y Q un plano. Se lic e que el punto P' e Q es la
proyección (ortogonal) del punto P sobre el plano Q si PP' 1 Q (Fig. 6.36).
Sea L una recta y Q un plano. A la recta contenida en Q , que se obtiene
proyectando los puntos de la recta L se denom ina recta de p royección de L sobre
el plano Q . A esta recta se denota con LQ (Fig. 6.37). S i L es perpendicular al
plano Q , la proyección de L sobre Q se reduce a un punto.
320www.FreeLibros.com
RECTAS Y PLANOS ÉN EL ESPACIO TRIDIMENSIONAL
Eje m p lo 46 E n los siguientes ejercicios, L es una recta y Q es un plano
Determine la proyección de L sobre Q .
a) L:P = (2; - 1 ; 4 ) + t { 2; 1; 1), t 6 R , Q: 2x + y + z - 25 = 0
b) L:P = (1; 2; 1) + t ( l; - l ¡ 2 ) , t 6 R , Q: x - y - z - 4 = 0
c) L:P = (2; 1; - 1 ) + t(2; - 1 ; 1), t 6 R , Q: x + 3y - z + 16 = 0
So lu ción
a) Los vectores dirección de la recta L y el plano Q son respectivamente
a = ( 2 ; l ; l ) y Ñ = (2; 1; 1) entonces L 1 Q. Luego, ia proyección de L
scjre Q se reduce al punto / = L n Q (Fig. 6.38a). A l hallar la intersección de
la recta L con el plano Q, obtenemos /(8; 2; 7)
b) Análogam ente tenemos
^ = (1* — 1; 2 ) y W — (1; — 1; — 1) => a ■Ñ — 0 L  Q. Por ser L || Q
será suficiente proyectar un punto de L y considerar al vector á com o el
vector dirección de l Q (Fig. 6.38 b).
321www.FreeLibros.com
TOPICOS DE CALCULO - VOLUMEN II
S e a n P 0 ( l ; 2 ; 1 ) E L y LN la r e cta que p a s a p o r P 0 en la d i re c c ió n de Ñ.
A sí, la ecuación vectorial de la recta l N es
Ln : P = (1; 2; 1) + s ( l ; - 1 ; - 1 ) , s 6 R
Ahora, si P¿ es la proyección de P0 sobre el plano Q, entonces Pg = LN n Q.
A l resolver la intersección de LN con Q se obtiene Pq(3; 0; — 1)
Por lo tanto, L q  R = (3; 0; — 1) + A (l; — 1; 2), X 6 E
c) E n este caso, tenemos
d = (2; - 1 ; 1) y Ñ = (1; 3; - 1 ) , entonces L no es paralela ni perpendicular
al plano Q (Fig. 6.38 c). Para hallar la recta l Q será suficiente hallar
I — L n Q y proyectar el punto Po(2; 1 ;— 1) sobre el plano Q. A lhallar
/ = L n Q, se obtiene /(24; - 1 0 ; 10). A l proyectar el punto P0(2; 1; - 1 )
sobre el plano Q se obtiene P ¿(0; — 5; 1).
Luego Lq es la recta que pasa por los puntos / y Pq. Por tanto,
Por lo tanto, la fórm ula para hallar el ángulo entre las rectas L y el plano Q es
Lq  R = (24; - 1 0 ; 1 0) + A(24; - 5 ; 9)
6.3.8Á N G U L O E N T R E R E C T A Y P L A N O
Sea L una recta con vector dirección
a y Q un plano cuyo vector norm al es
Ñ .
E l ángulo entre la recta L y el plano Q
se define com o el ángulo que form a L
con Lq , donde LQ es la proyección de
L sobre Q (Fig. 6.39).
Si a es uno de los ángulos que form a L
con Q (E l otro ángulo es 180° — a),
entonces 6 + a = 90°, donde 6 es el
ángulo que form an el vector TV y el
vector á. Luego,
Fig. 6.39
Ñ ■â
sen a = eos Q =
Ñ • a
sen a =
Ñ IIa||
3 2 2www.FreeLibros.com
Eje m p lo 4 7 H alle el ángulo agudo que form an el plano Q: 2x + y + z — 5 = 0
con la recta L: P - (2; 3; 5 ) + t ( 1; - 1 ; 2), t 6 R
Solución
En este caso los vectores dirección de la recta L y del plano Q son
respectivamente d = (1; - 1 ; 2 ) y Ñ = (2; 1; 1). Luego, si a es el ángulo que
forma la recta L con el plano Q, tenemos
á.Ñ
RECTAS Y PLANOS EN EL ESPACIO TRIDIMENSIONAL
sen a —
1 n
= - =» a - aresen
G K
Por tanto, el ángulo agudo que form an L y Q es de 30°
Ejem plo 48 Sean L  P — (1; 0; 0) + t ( 0; 1; 1), í 6 IR una recta y
Q: x - z = 0 un plano. S i L'Q es la proyección de V sobreQ,halle la
ecuación de la recta que pasa por L' n Q, form a un ángulo de 45° con UQ y está
contenida en el plano Q .
So lu ción
Sea L la recta buscada (Fig. 6.40). C om o
I — L n Q — L ' ñ Q , entonces se obtiene
/ (1 ;1 ;1 ). A l hacer las operaciones
correspondientes para proyectar V sobre el
plano Q, obtenemos
L'q : P = (1; 1; 1) s ( l ; 2; 1), s 6 R
Sea a — ( a i; a 2; a 3) el vector dirección de L.
C om o la recta L está contenida en el plano Q y
forma un ángulo de 45° con la recta L'q, tenemos Fig. 6.40
a - Ñq - 0 => at ~ a3
eos 45°
a • (1; 2; 1) a x + 2a 2 + a3
(1)
(2)
V e llall V 6 ||a||
Reem plazando (1) en (2) s; obtiene
1 2 (ü i + a 2)
+ 8 a ^ - 2a ‘ = » = * =
Así, el vector dirección de la recta L es
a = (a j; ( - 4 ± 3 ^ / 2 )% ; a j = a ^ l ; - 4 ± 3 V 2; 1)
Por tanto, la ecuación buscada de la recta es
L: R = (1; 1; 1) + A (l; —4 ± 3V2; l),A 6 E (Dos soluciones)
323www.FreeLibros.com
Ejemplo 49 Sea Q: x - y — 1 = 0 un plano. Halle la ecuación de la recta L que
pasa por i4(0; —1; 0) de modo que LQ P = (0; -1 ; 0) + t(0 ; 0; 1), t e IR
sea la proyección de L sobre Q. Se sabe que
el ángulo entre L y Q es de 45°.
Solución
Se observa que el punto A pertenece a la recta
L(¡ (Fig. 6.41).
Sea a = (a ; b; c) el vector dirección de L.
Como la recta L forma un ángulo de 45° tanto
con la recta LQ como con el plano Q,
entonces tenemos
TO PICO S D E C A L C U L O - V O L U M E N II
eos 45 ° =
sen 45° =
óí *(0; 0; 1) _ c
Hall ~ V a 2 + 6 2 + c 2
a. ( 1 ;—1 ;0 ) ) a - b
» a 2 + b 2 = c 2 (1 )
V2||a|| V 2V a2 + b 2 + c 2
(2)o a 2 + b2+ c 2 = a 2 - lab + b2
De (1) y (2) obtenemos
a2 + b2 = —2ab «=>a + ¿ = 0 «=>a - -b
Reemplazando b = - a en (1) obtenemos c 2 = 2a 2 =* c = ± V 2 a
Así, el vector dirección de la recta L es a = (a ; -a; ±V2a) = a ( l ; - 1 ; ±V2)
Por consiguiente, las ecuaciones buscadas de ia recta L son
L: R = (0 ; - 1 ; 0 )) + A (l; - 1 ; ± V 2), A € E
6.3.9 DISTANCIA M INIM A E N T R E R EC TA S
Sean ¿ 1: P = P0 + í a , t e l y Lz: Q = Q0 + s b , s e
espacio.
Las dos posiciones relativas de estas rectas son
i) II L2 « a II b
ii) ln tt /,2 <=> a Jt b
dos rectas en ei
324www.FreeLibros.com
Si L1 || L2, la distanciaentre estas rectas está dada por d = d((?0; ¿ i). distancia
de Q0 a la recta Lí ó d = d(P0; L2), distancia de P0 a la recta Lz (Fig. 6.42).
Si las rectas se cruzan (Z^ L2) , la distancia mínima d es la longitud del
segmento perpendicular común comprendida entre ambas rectas (Fig. 6.43).
R EC T A S Y PLA N O S EN EL ESPA C IO T R ID IM E N S IO N A L
Si las rectas L1 y L2 se cruzan existen dos planos paralelos Qx y Q2 , tales que
¿■i c Q Y ^2 c Qi ■Luego d es la distancia entre los planos Qx y Q2.
Sea N = a x b y 0 el ángulo entre N y C = P0Q0 , entonces
d = ¡C|||cos0|
C -Ñ
Dado que eos 0 =
se escribe como
, la fórmula de distancia entre rectas que se cruzan
donde Uf¡ es el vector unitario en la dirección del vector Ñ
Observación 18 Si Lx y L2 son dos rectas y d es la distancia mínima entre
ellas, entonces
i) Si ¿ i II L2 , d (¿ 1; ¿ 2) = 0 <=> Lx = L2
ii)Si Lj ¿ 2 , d^Li, L2) = 0 <=> Lj fl ¿2 ^ 0 (la intersección es un punto)
325www.FreeLibros.com
TOPICOS DE CALCULO - VOLUMEN II
Ejem plo 50 Halle la distancia mínima entre las rectas
L1: P = (1; 1 ;4 ) 4- £(0; 1; -3), t £ R y
L2: x = 4 + t l y —5, z = -3 + 2t
So lu ción
El punto de paso y el vector dirección de Lx son P0(l;l;4) y a = (0; 1;—3).
El punto de paso y el vector dirección de L2 son <?0(4; 5; —3) y b = (0; 1; —3)
Así, tenemos a x b — (2; —3; — 1) y C = PqQq — (3; 4; — 7)
Por lo tanto, la distancia mínima entre las rectas Lt y L2 es
|c • (a x g)| | 6 - 1 2 + 7| 1
||a X b|| _ V 4 + 9 + 1 ~ V Í 4
Eje m p lo51 Una esfera metálica es soltada en elpunto A(l-, 2; 1 0 ) y cae
■(verticalmente) hasta el plano Q: 2x + y + z — 12 = 0;luego resbala por él
hasta chocar con el plano xy. Halle la distancia total recorrida por la esfera.
So lu ción
La distancia total recorrida por la esfera
es
d = AB + d(B-,Li)
donde B es la intersección de la recta
L: P = (1; 2; 1 0 ) + í(0 ; 0; 1), t G R
con el plano Q y es la recta de
intersección de los planos Q y x y (Fig.
6.44).
Como B = L n Q, entonces B( 1 ; 2 ; 8 )
y Jb = V 0 + 0 + 4 = 2
Por otro lado, la ecuación de la recta L¿ es
(2x + y + z —12 = 0 ^ p = (0;i2;0) + A(1;-2;0),A £ E
( z - 0
||axPñfi|| ||(1; — 2; 0 ) x (1; — 10; 8)|| n ^
LuCRo.rf(B; ¿,) = — ¡¡Jj— = --------------- -------------------= 8^675
Por tanto, la distancia total recorrida por la esfera es
d = AB + d ( B ; L¡) = 2 + 8 ^ 6 / 5
326www.FreeLibros.com
R EC T A S Y P LA N O S EN EL ESPA C IO T R ID IM E N S IO N A L
E je m plo 52 Por la recta L: P = (4; 2; — 3) + t ( l; 0; 1) pasa un plano cuyas
intersecciones con los planos coordenados xy e y z form an un ángulo de 60°.
Halle la ecuación del plano.
So lu ción
Sea N = (A ;B ;C ) el vector normal del plano buscado Q. C om o el plano Q
contiene a la recta L, entonces
P0(4; 2; - 3 ) £ Q y Ñ. d = (A; B; C). (1; 0; 1) = A + C = 0 <=> C = - A (a )
Por otro lado, las rectas intersección del plano Q: Ax + B y + Cz + D = 0 con
los planos x y e y z son respectivamente
L B y + Cz + D = 0 By + Cz + D — Q
Ahora, si á y b son los vectores dirección de las rectas y L2
respectivamente, entonces
d = Ñ x k = (A;B;C) x (0; 0; 1) = (B; -A ; 0) y
b = Ñ x T = (A ;B ;C )x (1; 0; 0 ) = (0; C; - B)
D ado que las rectas Lx y l 2 form an un ángulo de 60°, entonces tenemos
Reem plazando (a ) en (/?) se obtiene
Así, el problem a tiene dos soluciones
S B = A => Ñx = (A; A ; - A ) = i 4 ( l ; l ; - l
Si B .= - A =» Ñ2 = 04; —A ; - A ) = A ( l ; - 1 ; - 1 )
Luego, las ecuaciones de los planos que satisfacen las condiciones del problem a
son
l ( x - 4) + l ( y - 2 ) - l(z + 3 ) = 0 ó x + y - z - 9 = 0
Q2: 1 ( x - 4) - l ( y - 2) - l(z + 3) = 0 ó x - y - z - 5 = 0
E je m p lo 53 Sean P, Q, R y S los vértices consecutivos de un cuadrado
contenido en el plano Qx 2x + 2 y - z - 10 = 0. Si P (2; 9; 1 2 ) y R ( - 2; 11; 8)
son los extremos de una de las diagonales del cuadrado, halle las coordenadas de
los vértices Q y S.
So lu ción
á ■b 1 -A C
eos 60° =
l l á l l l l S H ^ Z V B 2 + A2J C 2 + B2
3 2 7www.FreeLibros.com
PR = ( - 4 ; 2; - 4 ) y PR = 6
Ahora, si a es el vector dirección de la recta L que contiene a la diagonal Q5,
entonces
a l P R A a 1 ÑQl = > a || PR X ÑQl = 6(1; - 2 ; - 2 )
A sí, la ecuación vectorial de la recta L es
L: (x; y; z) = (0; 10; 1 0) + t ( l; - 2 ; - 2 ) , t £ R
C om o Q € L, entonces Q (t; 10 — 2t; 10 - 2t). D ado que,
¡|QM¡¡ = ^|jPR|| = 3 <=» V t 2 + 4 t 2 + 4 t 2 = 3 «=* t = ± 1
Por tanto, las coordenadas buscadas de los puntos son Q ( l; 8; 8 ) y 5 ( - l ; 12; 1 2 )
TOPICOS D E C A L C U L O - V O L U M E N II
En la figura 6.45, el punto medio del cuadrado es M (0; 10; 10),
Ejem plo 54 U n a recta L, interseca a los planos coordenados x y e yz, de tal
manera que el segmento com prendido entre los puntos de intersección está en el
primer octante. S i desde dichas intersecciones se trazan perpendiculares a los ejes
coordenados, quedan determinados los cuadrados Cx y C2 respectivamente. E l
área de Cx es el cuádruple del área de Cz . Halle la ecuación vectorial de la recta
L si su distancia al origen es 18.
Solución
Sean <4(0; b; b) el punto de intersección de L con el plano y z y B (a ; a; 0 ) el
punto de intersección de L con el plano x y (a > 0 ,b > 0). C om o el área de Cx
es cuatro veces el área de C2 (Fig. 6.46), entonces tenemos
A(Cr) = a 2 = 4/1 (C2) = 4 b 2 =¡> a = 2b
328www.FreeLibros.com
R EC T A S Y PLA N O S EN E L E SPA C IO T R ID IM E N S IO N A L
Así, el vector dirección de L es AB = (2 b; b; —tí) = b(2; 1; - 1 ) y la ecuación
vectorial de esta recta es L: P = (0; b; b) + A(2; l ; - l ) , Í e l
U tilizando la fórm ula de distancia del punto (0(0; 0; 0)) a la recta L, tenemos
I N x (2; l; -l)| |
18 = d ( 0 ; ¿ ) =
V 6
<=> b = 9 V 2
Por lo tanto, la ecuación vectorial buscada de la recta es
L: P = ( 0 ; 9 V 2 ; 9 V 2 ) + A(2; 1 ; - 1 ) , A e R
Eje m p lo 55 U n a recta L que pasa por el punto A(2; 2; 2), es paralela al plano
cuya ecuación es Q: x + 2 y + 4 z — 4 = 0. H alle la ecuación vectorial de la
recta L si el área del triángulo AOB es igual a V l 4 u 2, donde O es el origen de
coordenadas y B es la intersección de L con el plano coordenado yz.
So lu ción
Sean 6 (0 ; a; b) el punto de intersección de
L con el plano y z (Fig. 6.47) y
a = BA = (2; 2 - a; 2 — b) el vector
dirección de L.
C om o L II Q, entonces a 1 NQ. D e donde
tenemos
a - ÑQ = a - (1 ; 2 ; 4 )
= 2 + 2 (2 - a) + 4 (2 - b) = 0
= > a = 7 — 2b (a )
Por otro lado, utilizando la fórm ula del área de un triángulo tenemos
i||ó lx ó s ||= i|A& =    O A * O B   = i| | (2 ;2 ;2 ) x (0 ;a ;6 )| |
= - > / 8 a 2 + 8 b 2 —8 ab = V l 4 <=* a 2 + b 2 - ab = 7 (0)
Reem plazando (a ) en (/?) se obtiene
¿)2 - 5b + 6 = 0 <=> (b - 2)(b - 3 ) = 0 < = > b - = 2 V b = 3
Por consiguiente, tenemos
Si b = 2 => 5 (0 ; 3; 2 ) y P = (2; 2; 2) + t(2; - 1 ; 0), t £ R
Si b = 3 =* B '( 0 ; 1; 3 ) y L 2: P = (2; 2; 2) + s(2 ; 1; - 1 ) , s e l
329www.FreeLibros.com
p»! TOPICOS DE CALCULO - VOLUMEN II
K jcm p lo 56 U n plano pasa por el punto E (2; 0; 0) y es paralelo a la recta
L: P = (5; 6; 1) + t(0; 1; —1), t £ l
Si el plano interseca a los ejes z e y en los puntos F y G respectivamente, halle la
ecuación del plano si se sabe que el área del triángulo EFG es igual a (3 / 2 ) u 2
(dos soluciones).
Solución
Sea Q el plano que interseca al eje z en G (0 ;0 ;c ) y al eje y en F(0;b;Q)
(Fig. 6.48). Entonces, tenemos
a = EF = ( - 2 ; b; 0), b = E G = ( - 2 ; 0; c) y ÑQ = a x b = (be; 2c; 2b)
Dado qué
Q II L = > ÑQ 1 d = > ÑQ ■d = (be; 2c; 2b) ■(0; 1; - 1 ) = 2c - 2b = 0
= > b = c (a)
Por otro lado, utilizando la fórm ula del área de un triángulo obtenemos
A a = i ||E F x EG|| = ^ b 2c2 + 4 c 2 + 4 b 2 = 
¿é ¿
= > b 2c 2 + 4 c 2 + 4 b 2 ~ 9 (/?)
Reem plazando (a) en (ft) resulta
c 4 + 8 c 2 - 9 = 0 <=> (c2 - l ) ( c 2 + 9 ) = 0 <=> c = ± 1
Por lo tanto, las ecuaciones de los planos que satisfacen las condiciones del
problema son
Si c = 1 = > b = 1 = > ÑQ = (1; 2; 2 ) y Qt : x + 2 y + 2z - 2 = 0
Si c = - 1 = > b = - 1 = > Nq = (1; - 2 ; - 2 ) y (?2: at - 2 y - 2 z - 2 = 0
330www.FreeLibros.com
R EC T A S Y PLA N O S EN E L ESPA C IO T R ID IM E N S IO N A L
Kjem plo 57 Sean las rectas Lt : Eje z , L2: x = 3 ; z = 4 . H alle la longitud
del menor segmento que es paralelo al plano Q: x - 2 y + z — 2 = 0 y une a las
rectas y L2
Solución
U n bosquejo del problem a se muestra en la Fig. 6.49. La s ecuaciones vectoriales
de las rectas Lx y Lz son
Lj: P = ( 0 ; 0 ; t ) , t E K y L2. Q = (3; 0; 4) + s(0 ; 1; 0 ) , s 6 E
Sean A E Lx y B E L2, entonces i4 (0 ;0 ;t) para algún valor de t E l y
B ( 3; s; 4 ) para algún valor de s E M.
C om o AB = (3; s; 4 — t) es paralelo al plano Q, entonces tenemos
AB 1 Nn (1; - 2 ; 1) = > AB ■N0 = 3 - 2s + 4 - t = 0 = » t = 7 - 2s
Así, la longitud del m enor segmento es
f ’ís) =
p B | | = V 9 + s 2 + ( 2 s - 3 ) 2 = V l 8 - 2 sv+ 5 s 2 = f ( s )
Para encontrar el valor de s que hace m ínim o a f(s), derivam os con respecto a s
y tenemos
5 s - 6 6
... :------ - ..... = 0 =» S = -
V 1 8 - 125 + 5 s 2 5
El criterio de la primera derivada confirm a que / ( s ) es m ínim o cuando s = 6/5 y
los puntos son i4(0 ; 0 ; 2 3 / 5 ) y B{ 3 ; 6/5 ; 4).
Por lo tanto, la longitud del menor segmentó es ||i4B|j = 3 ^ 6 / 5 = 3,286...
Eje m p lo 58 Halle la ecuación de la recta L que pasa por el punto A(3; 4; - 5 ) ,
corta a la recta Lx: Q = (1; 3 ; - 2 ) + t(4; 3; 2), I E E y es perpendicular a la
x — 4 y + 2
recta L2: —— = —~ ■ 2 “ 5
So lu ción
Sea B 6 Llt entonces ñ ( 1 + 4 í; 3 + 3 í; 2 t - 2)
para algún t 6 l . Como el vector dirección
a = AB = (4 t - 2; 3 t - l ; 2 t + 3 ) de ¿ es
perpendicular al vector dirección b = ( 2 ; 3 ; 0 )
de L2, entonces
a - b = 2 ( 4 í - 2 ) + 2 ( 3 t - l )
= 1 7 t - 7 = 0 «=» t «= 7 /1 7
Por tanto, la ecuación de la recta L es
L: P = ( 3 ;4 ;- 5 ) + A ( - 6 ; 4 ; 6 5 ) , l € #
331www.FreeLibros.com
Ejem plo 59 Halle la ecuación del plano que pasa por P0( 5 ; 0 ; - 2 ) y form a un
ángulo de 30° con el eje z. (dos soluciones).
Solución
Sea N = (A ;B ;Q el vector normal del plano Q que pasa por P0( 5 ; 0 ; - 2 ) .
Entonces su ecuación es
Q: A(x - 5) + B y + C (z + 2) = 0 (*)
C om o el ángulo que form a el plano Q con eleje z es 30° (Fig.6.51), entonces
1 |C4; 6; C) ■ (0; 0; 1)1
sen 30° = ——- ; 'J ± <=» 3C2 = A2 + B 2 (a )
2 V ¿ 2 + B 2 + C2 ^
Por otro lado, si K (0 ; 0 ;z 0) es el punto de intersección del plano Q con el eje z,
entonces P0V = ( - 5 ; 0; z 0 + 2) y el eje z forman un ángulo de 30°. Luego,
V 3 P o ? • (0; 0; 1) ^
— = e o s 30° — - W | | « z . ^ 2 ± 5 V 3 ( «
Dado que V (0; 0; z 0) e Q, entonces satisface la ecuación (*), esto es
— 5i4 + C (z0 + 2) = 0 <=> — SA + C ( — 2 ± 5 V 3 ) = 0 <=> ¿4 = +V3^C(y )
Reem plazando (y ) en (a ) se deduce que B = 0. Deestemodo, el vector normal
del plano Q es Ñ = ( ± V 3 C; 0; C) = C ( ± V 3 ; 0; 1)
Por consiguiente, la ecuación buscada del plano Q resulta
(?: ± V 3 x + z + 2 + 5 V 3 = 0
TOPICOS DE C A L C U L O - V O LU M E N II
E je m p lo 60 U n rayo lum inoso ¿ £: P = (1; 4; 3) + t ( l; 2 ; - l ) , t 6 R incide en
el espejo plano Q; 3x —y + 4 z — 2 = 0 y se refleja; hálle la ecuación del rayo
reflejado.
So lu ción
332www.FreeLibros.com
RECTAS Y PLANOS EN EL ESPACIO TRIDIMENSIONAL
Sea I = n Q (en la Fig. 6.52, el plano Q se muestra de canto).
Luego,
/ (I + t; 4 + 2t; 3 - t) e Q e* 3(1 + t) - (4 + 2t) + 4(3 - t) = 2 <=> t = 3
= » /(4; 10; 0 )
Ahora, la ecuación vectorial de la recta que pasa por el punto P0 y sigue la
dirección del vector normal es LN: P = (1; 4; 3) + A(3; — 1; 4 ) ,X £ IR
Si M = Ln fl Q, entonces al hacer las operaciones respectivas obtenem os
/ 1 113 4 2 
2 6 '" 2 6 " '2 6 /
Dado que Ai es el punto m edio del segmento P0Qo , entonces el punto Q0 es
/ 14 61 3 
V 1 3 '1 3 '1 3 /
Por tanto, la ecuación vectorial del rayo reflejado que pasa por el punto I y sigue
la dirección del vector b = Q0I —— (66; 69; — 3) es
Lr : R = (4; 10; 0 ) + r (6 6 ; 69; - 3 ) , r £ IR
EJERCICIOS
1. Halle la ecuación de la recta que pasa por (1; 3; 2), es paralelo al plano
Q: P = (1; 4; 0 ) + r ( 1; 1; 1) + s ( 0; 1; 2), r, s £ E y form a un ángulo de
60° con la recta Lx R = (1; — 2; 3) + t(0; 1; 0), t £ E
R. L: = (1; 3; - 2 ) + t(3 ± 2V 2; 2 ± V 2; l) , t 6 E
2. Halle la ecuación del plano que pasa por (3; 1; — 2 ) y form a ángulos iguales
con las rectas Lx:P = (1; 4; 2) + t ( l; 1; 1), t £ E , ¿ 2; eíe x yL3: e ]e y
R. {x - 3) + (y - 1) + (V 3 - 2 )(z + 2) = 0
3. Sean las rectas:
Li'. P = ( 3 ; 0 ; 0 ) + t ( l; — 1; 1),t £ E
L2- Q — (2; 9;1) + s ( l ; 3; — í),s £ E
Halle la ecuación del plano que es paralelo a Lr y Lz, y divide en 2 partes
iguales al segmento de m enor longitud que une a dichas rectas.
4. Sea el plano con ecuación 2x + 3y + z + 4 = 0 , encontrar n y m no nulos de
m anera que los dos vectores A = i + j + k y B = nj + m k están en un
plano perpendicular al dado.
R . m = 1 / 2 , n = - 1 / 2
333www.FreeLibros.com
5. ln : P = (1; 2; — 3) + t ( l; — 1;5), t G R
L2: Q = (0; 1 ;4 ) + s ( l ; 0 ; - 1 ) , s e l
son dos rectas, ¿se intersecan?. E n caso afirmativo, halle el punto de
intersección y la ecuación del plano que los contiene. En caso contrario, halle
la distancia m ínim a entre Lx y ¿ 2
6. Halle la ecuación del plano paralelo al plano 2x - y + 2z + 4 = 0 si se sabe
que el punto P0( 3 ; 2 ; — 1) equidista de ambos planos.
R. 2x —y + 2z - 8 = 0
7. Dadas las rectas P = (1; - 1 ; 1) + t( 0; 1; 1), t e l
¿ 2: Q = (0; 1;0) + 5(1;0; — 1), s £ R
Halle lasecuacionesde dos planos paralelos Qx y Q2 de m odo que Lx c Qx
y. L2 c Q2 . ¿C u á l es la distancia entre Qt y Q21
8. Halle la ecuación del plano perpendicular alplano z = 2, que pasa por el
punto P0(2 ; 2 ; 2 ) y que form a un ángulo de 60°con el plano
y[3x + 2 y — 3z + 2 = Q
R. 4 V 3 x + y - 2 (1 + 4 V 3 ) = 0
9. Dadas las rectas:
L x: P = (1; 2; - 1 ) + t ( 2; - 2 ; - 3 ) , t G R
L2. Q = (2; 3; 1) + s ( l ; 2; - 1 ) , 5 G R
L3: R = (3; 1; - 1 ) + r ( 1; 1; 1), r G R
Halle, si existe, la ecuación del plano Q que contiene a L3 y a su vez el
plano sea paralelo a las rectas Lx y L2.
R. no existe
10. Halle la ecuación cartesiana del plano que pasa por ( 2 ; 6 ; 1 ) y contiene a la
X z
recta - = - , y = - 5
R. 88x — 1 3 y — 3 3 z — 65 = 0
11. La recta L que pasa por ( - 1 ; 1; 6 ) es paralela a los planos x + y = 0 A
2x — z — 6 . L a recta LQ es la proyección de L sobre el plano xy. H alle las
ecuaciones de las rectas L y LQ.
12. Halle la ecuación de la recta que contiene al m enor segmento horizontal
(paralelo al plano xy) que une las rectas
P = ( 0 ; 0 ; 0 ) + t1( l; 2 ; 8 ) , t E R
l‘¿: Q = (1; 3; 0 ) + t2(0; 1; 4), t 6 R
R. L: P = (1; 2; 8 ) + t3(0; 3; 0), t3 G R
13. Halle la ccunción cartesiana del plano que pasa por P0( l; 0; 0), sabiendo que
la recta L: P — (5; 1 ;— 5) + t ( l ; 0 ; — 1), í G R está a una distancia de 1
unidad de dicho plano (Z, II Q).
TOPICOS D E C A L C U L O - V O LU M E N II
334www.FreeLibros.com
I I. Halle la ecuación cartesiana del plano, sabiendo que es paralelo al plano
2 x + 2 y - z + 7 = 0 y que el punto (5; 2; - 3 ) equidista de am bos planos.
R. 2x + 2 y - z - 41 = 0
15.Sean L P = (1; 1; 3) + t ( 2 ; 0 ; l) , t G E y Q: 2 y - y + z - 15 = 0 una
recta y un plano respectivamente. Si A — L n Q, halle la ecuación dela recta
L1 que pasa por el punto A y es perpendicular a la recta Lq . L a recta Lx está
contenida en el plano Q.
16. D adas las rectas = (3; 4; 5) + tx(0; 1 ; - 2 ) , t x G E
L2: P2 = (4; - 2 ; 1) + t2( 1; 2; 3), t2 G E
L3: P3 = (0; 0; 0) + t3(2; 1; 0), t3 G E
Halle la ecuación cartesiana de un plano que corta a estas rectas en los puntos
A, B y C respectivamente, de m odo que AB = BC, E l plano solicitado es
paralelo a la recta x = y = z y los puntos A, B y C están alineados.
R. 19x - 2 0 y + z - 81 = 0
17.a = (4; 0; 3) y b = ( - 3 ; VTT; 4 ) son los vectores dirección de las rectas
y l 2 respectivamente. Las rectas se intersecan en (3; 2; 1).Halle laecuación
de la recta ¿ 3 quepasa por el punto P0(3 1 / 5 ;2 ; 1 7 / 5 ) ydetermina con
Lx y L2 u n trián g u lo de área 6 u 2.
18. Hallela ecuación de una recta que pasa por el punto (3; 4; — 6 ) y es paralela a
los planos x + 2 y - z = 4 A 3 x - y + 2z = - 6 .
R. L: P = (3; 4; - 1 ) + t ( - 3 ; 5; 7), t G E
19. Halle la ecuación del plano que dista del origen V 2 3 4 unidades y pasa por la
intersección de las rectas P = (9; 5; 4 ) + t ( l; 1; 2), t e E y
L 2: Q = (1; 2; 3) + s(2 ; 1; 1), 5 G E
R. 11 (x - 1 1) + 7 (x - 7) + 8 (z - 8 ) = 0
20. Halle laecuación cartesiana del plano que pasa por (3; 4; 1) y es
perpendicular a los planos x - y - 4 A x + z = 6.
R. x + y - z - 6 = 0
21. Si L1: P = (2; 1 ;0 ) + t ( l; — 1; 1), t G E , halle la ecuación de la recta L que
- sea simétrica a la recta L x con respecto al plano 2 x - y - z - 5 - 0 .
x + 4 5 - y.
25. Dado el plano x - 2 y + 3z = 8 y la recta L: —— = —— <y = _ 1
Halle la ecuación de la recta que pasa por (0; 2; — 1), es paralela al plano dado
y corta a la recta L.
R. L1 P = (0; 2; - 1 ) + t(4; - 1 ; - 2 ) , t £ E
22. D adas las rectas
Ly. Pi = (1; 1; 2) + t ^ l ; 2; 0), t x G M
L2- P2 = ( 2 ; 2 ; 0 ) + t2( l; — 1; 1). t2 G E
R EC T A S Y PLA N O S EN E L ESPA C IO T R ID IM E N S IO N A L
3 3 5www.FreeLibros.com
^3* ^3 = (0; 3; — 2) + t3(S; 0; 2), ¿3 6 ®
Halle la ecuación de una recta que corte a estas tres rectas Lu Lz y L 3 en
los puntos M, N y Prespectivamente, de tal manera que MN = NP
R. L: P = (0; - 1 ; 2) + t ( 2; 2; - 1 ) , t £ E
23. Sean las rectas ¿ j = {(1; 0; 0 ) + r ( 1; 1; 1) / r e E } y
¿2 = {(7;4;3) + s (3;4;2) / s &E}
Halle los vértices de un triángulo equilátero de lado 2 V 2 u , talque un vértice
pertenece a ¿ 2 y el lado opuesto en L1.
R. ( 4 ; 0 ; 1 ) , ( 2 ± V 2 7 3 ;
24. Dadas las rectas no coplanares concurrentes en P0( l; - 2 ; 3)
x - 1 y + 2 z - 3 x — 1 3 - z
1. : — - — = — .W - — = — A
x — 1 y + 2 z - 3
L o : -------- = -- ------ = ---------
3 2 1 2
Halle la ecuación de un plano que pasa por el punto A {—4; 2; 6 ) y form a
ángulos iguales con estas rectas.
R. 3x —y - z + 20 = 0
26. Dadas las rectas:
x — í y + 2 5 - z y - 1 z + 2
¿ . — = — - — = — -— ■ y L2. x = - 2 ,— -— = — - —
1 2 3 4 * z 1 2
que se cruzan. H alle la ecuación de la recta que pasa por i 4 ( - l ; - 2 ; 0 ) , es
perpendicular a Lí (en el espacio) e interseca a ¿ 2.
R. P = ( - 1 ; - 2 ; 0 ) + t ( — 1; 6 ; 4), t 6 E
27. D ados los planos Qt : 2x + 2 y - 2 z + 2 = 0. y <32; x - 2 y — z = 1 y el
punto >4(2; 1; 4). H alle la ecuación de una recta que pasa por A , es paralela a
Q2 y form a un ángulo de 30° con
R. ¿ = { ( 2 ; l; 4 ) + t ( l l ± 6 V 2 ; 2 ± 3 V 2 ; 7) / t 6 i }
28. Halle la ecuación de una recta que pasa por (3; 1; 2) y corta a la rectas
Lt : P = {(2; 4; - 1 ) + t( 0; 1; 2 ) / t e E }
f x - y + z = 4
l 2jc + z = 6
R. Q = ( 3 ; l ; 2 ) + s ( - l ; 1 0 ; l l ) , s é E
29. Encuentre la ecuación del plano que pasa por el puntó' <2(3;— 5; 2 ) ' y es
perpendicular a los planos 2 x + 3 y - z - 5 = 0 A x - 2 y + 2 z - 3 = 0.
R. 4x - 5 y - 7 z — 23 = 0
30. Encuentre la ecuación del plano que pasa por los puntos ( - 2 ; 5; 3) y
(4; 8 ; - 8 ), y es perpendicular al plano xz.
R. l l x + 6z + 4 = 0
V TO PICO S D E C A L C U L O - V O L U M E N II
336
www.FreeLibros.com
31. Encuentre la ecuación del plano que pasa por origen, es perpendicular a&pJano
2x + 3 y - Sz = 0 y es paralelo a la recta que pasa por los puntos (1; - 1 ; 3)
y (2; 1; -2 ).
R. Sx —5 y —z = 0
32. Encuentre la ecuación del plano que es paralelo al plano 12x —y — Y lz = 4 y
pasa por la intersección de los planos 2x - y - Sz = 4 A 3x + y - z = 0.
R. Y 2 x - y ~  7 z = 12
33. U n plano pasa por los puntos P1( l; 0; - 1 ) y P2( - 1; 2; 1), y es paralelo a la
recta de intersección de los planos 3x + y - 2z = 6. A 4 x - y + 3 z = 0.
H alle su ecuación.
R. 5 x - 3 y + 8 z + 3 = 0
34. Encuentre la ecuación de un plano que pasa por ¿ 4 (1 ; -2 ; 1) y es
perpendicular al vector OA, donde O es el origen de coordenadas.
R. x - 2 y + z = 6
3 5 .Encuentre la ecuación de un plano que pasa por los puntos P ! ( l ; 2 ; 3 ) y
P2( 3; 2; 1), y es perpendicular al plano 4 x - y + 2 z = 7.
R. x + 6 y + z = 16
36. Encuentre la distancia del origen de coordenadas
x — 2 y — 1 2 — z
3 ~ 4 ~ 5
R. 3 u
Í
„ — 2 z — 3 — 0
y _ 2Z = o interseca al plano x + 3 y — z + 4 = 0.
Encuentre el punto de intersección P y halle la ecuación de la recta contenida
en este plano, que pasa por P y es perpendicular a L.
R. P ( 1; - 2 ; - 1 ) , = L t l = £ ± 1
— 5 3 4
3 8 .Calcule la distancia m ínim a entre la rectas Lx y L2, donde l x pasa por el
origen y el punto (1; 1; 1), y ¿ 2 pasa por (1; 2; - 2 ) y es paralelo al vector
2 í-j + 2k.
R. 3V2/2
39. H alle la ecuación del plano que form a un ángulo de 60° con el plano»
2x - y + z = 7 y contiene a la recta L: P = (1; 8; 1) + t ( l; — 3; 1), t 6 M.
R. x + y + 2 z = 11, l l x + 2 y — 5z — 2 2 = 0 (dos soluciones)^
40. H alle la ecuación cartesiana del plano que pasa por (3; 4; 1) y es ortogonal a
los planos P: x - y — 4 A Q: x + z = 6
R. x + y - z - 6 = 0
RECTA S Y PLANOS EN EL ESPACIO TRIDIM EN SION AL
337
www.FreeLibros.com
41. Halle las ecuaciones de tres planos
equidistantes, que pasan por los puntos
(1; 4; 0), (2; — 5; 1) y (3; 0; - 2 )
respectivamente, de tal manera que sean a su
vez paralelas a la recta
L = {(1; 4; 0) + t ( l; 1; 1) / t G M}.
Sugerencia: Considere P1P2 = P2P3
R. 9x - 2 y - 7z - 1 = 0
9x — 2 y - 7 z - 21 = 0
9 x - 2 y - 7z - 41 = 0
42. Halle la longitud del m enor segmento paralelo al plano xy, que une las rectas
Lx = {(1; 2; 0 ) + ^ ( 1 ; 2; 1 ) / ^ G R } y = {(0; 0; 0 ) + t2( 1; 1; l ) / t 2 G ®¡}
R. l u
43. Encuentre la ecuación de la recta que pasa por (3; - 1 ; 6 ) y es paralela a los
planos x — 2 y + z = 2 A 2 x + y - 3 z = 5.
R. x — 3 = y + l = z - 6
44. Halle la ecuación del plano que es paralelo al plano 1 2 x — y - 1 7 z = 14 y
pasa por la intersección de los planos 2 x - y - 5 z = 4 A 3x + y —z - 0.
R. 1 2 x - y - 1 7 z = 6
4 5 .Encuentre la ecuación de los planos que bisecan el ángulo entre los planos
2 x + y + z = 4 A7 x - y —2z = 2.
R. x —4 y — 5z + 10 = 0
4 6 .C o n los puntos j4 (1 ;2 ;3 ), B ( 0 ; - l ; 4 ) y C ( — 1 ; 2 ; 6 ) se form a el
paralelogram o ABCD. H alle la ecuación de la recta que pasa por los puntos C
y d .
R. L = {( 0 ; 5 ; 5 ) + t ( — 1; — 3; 1) / t G K }
47. Halle la ecuación del plano que pasa por el origen de coordenadas y por la
intersección de los planos x —y + z —4 = 0 A 2 x + y - 2 z — 6 = 0.
R. x + 5 y - 7z = 0
48. Halle la ecuación cartesiana de un plano que pasa por (1; 2; — 3 ) y por la
intersección del plano x —y + 2 z = 4 con el plano xy.
R. 3 x - 3 y - 5 z - 12 = 0
49. Encuentre la longitud m ínim a del cordel que se necesita para llegar desde el
punto Pq(8; 6; - 5 ) hasta una vara recta de madera que pasa por los puntos
Qx(3; 5; 3 ) y <?2(8 ; 3 ; 1 )
R. d = 5,65 u
TOPICOS DE CALCULO - VOLUMEN II
338www.FreeLibros.com
5 0.L a s rectas Lx = {(5; 11; — 2) + ^ ( 0 : 8 ; —1), 6 R }
L2 = {(8; - 2 3 ; 3) + t2(3; - 1 0 ; - 4 ) , t2 6 R }
¿ 3 = {(8; 1; -6) + t3(3; - 2 ; - 5 ) , t3 6 R }
contienen a los lados del triángulo ABC. H alle la distancia del centro de
gravedad de dicho triángulo al plano 5 x + 1 2 z + 14 = 0.
R. 5 u
51. D a d o s los puntos no colineales .4(0; 0 ;0 ),
f í( 0 ; l; 5 ) , C ( 5 ; 2 ; — 1) y D( 3; 7 ; - 7 ) , determine la
ecuación de los planos paralelos que pasan por dichos
puntos, de tal manera que las distancias que los separan
sean iguales.
R. Qt : 9x + y - 1 2 z + 59 = 0,
Q2: 9x + y - 1 2 z = 0
Q3: 9x + y - 1 2 z - 59 = 0,
<?4: 9x + y — 1 2 z — 1 18 = 0.
RECTAS Y PLANOS EN EL ESPACIO TRIDIM ENSIONAL
Su gerencia: E n el gráfico adjunto, para determinar
las coordenadas del punto P(x0;y Q;z 0) la razónos
DP 2 _
r = = = —y la norm al del plano es N — á x b
BP 1 F
52. U n hom bre que se encuentra en
0 (0; 0; 0 ) lanza una flecha desde
¿4 (0 ;0 ;1 6 ) hacia un blanco en
f í( 5 0 ; 1 2 ; 1 6 ) que se encuentra
sobre el plano
2 5 * - 6 y - 1 1 7 8 = 0 ,
haciendo impacto a 0,1 unidades
del blanco. Si la flecha fue lanzada
con una trayectoria paralela al
plano x y , halle el ángulo que
debió girar el hom bre para no
fallar.
R. 3,62°
53. Se tienen dos túneles que parten de la superficie (suponer que la superficie es
lisa y es el plano x y ) desde los puntos P1A(0 ;5 / 2 ;0 ) y P1B(5 ; 2 ; 0) y llegan
respectivamente a los puntos P2/»(— 7; — 1; — 7) y P2B( - 5 ; 3 ; - 5 ) . H alle la
m ínim a distancia que debe tener un túnel para quedar a nivel (paralelo al plano
xy) y sirva para interconectar a los túneles A y B.
R. d = 2,457
Sugerencia: E l túnel que debe intersecar a los dos túneles debe ser paralelo al
plano xy para que quede a nivel, luego igualar las coordenadas z de los puntos
que se toma sobre cada túnel.
Z Ák
A(0;0;16)
a B (50;12;16)
...
Sugerencia:
0,1 = IB
O (0;0;0) ^
y, =15,96 / y
* * eosa = 0,988 =>a (i,62°)
339www.FreeLibros.com
TOPICOS DE CALCULO - VOLUMEN II
54. Un niño patea una pelota desde el punto P0(8; - 1 0 ; 1 2 ) y ésta se mueve en
línea recta en la dirección del vector v = (2; 2; 2), con velocidad constante. Si
la pelota se dirige hacia una ventana de vidrio, ¿qué tiem po tardará en
impactar con el vidrio si la ventana está en el plano 2x + 8 z = — 4 ?
R. V 2 u
55. Halle la ecuación cartesiana de un plano que contenga a la recta
L = {(1; 2; - 3 ) + t ( l; - 4 ; 2) / t 6 R }
y se encuentra a una distancia 8 / V 4 1 unidades del punto (2; — 4; — 5).
R. 6x + 2y + z —7 = 0 A 3 0 * + 2 y - l l z - 67 = 0
56. U n rayo de luz parte del punto (1; 4; 2), se refleja en el espejoplano yz. E l
rayo reflejado, se refleja nuevamente en el espejo plano x z y este últim o rayo
reflejado pasa por (5 ; 1; 4 ) . Halle la ecuación de este últim o rayo reflejado.
R. L = {(1 9 / 5 ; 0 ; 1 8 / 5 ) + t(6; 5; 2 ) / t E l )
57. U n rayo de luz parte del punto (2; 1; 6) , se refleja en el espejo plano xz; este
rayo reflejado se refleja nuevamente en el espejo plano yz, y este últim o rayo
reflejado pasa por (3; 8; 2). Halle la ecuación de este últim o rayo reflejado.
R. L = {(0 ; 13/5 ; 2 2 / 5 ) + t( 5; 9; - 4 ) / t e R}
58. En los planos paralelos Pj: 4x — 8 y — z + 9 = 0 y P2 4x —8y —z —18 = 0,
se tienen los puntos Qt y Q2 respectivamente. Halle el volum en del cilindro
cuya diagonal QÍQ2 mide 9 unidades.
R. V = 54 7r u 3
59. U na puerta rotatoria de un centro comercial consta de dos planos
P1: 5x + 3 y - z ~ 9 - 0 y P2: 3x - 2 y + 5 z - 6 = 0
Se quiere aumentar un plano más a la puerta, de tal manera que pase por la
recta de intersección de am bos planos y que sea paralelo a la colum na que
describe la ecuación de la recta Lx = {(3; 1; 6 ) + t ( l; 1; 0 ,) / t 6 R } . Halle
la ecuación de dicho plano.
R. 1 9 * - 1 9 y + 4 1 z - 39 = 0
60. U n barco se encuentra en el punto P ( 2 ; 3 ; 0 ) y tiene un m ovim iento
rectilíneo con una velocidad constante — (1; 5; 0). E n ese m ism o instante
un avión com ercial empieza a caer desde el punto (5; 4; 6 ) con una velocidad
constante v 2 = (2; 11; - 6 ) en línea recta. C on estos elementos de juicio se
pregunta
a) ¿K l avión cae sobre el barco?
b) Si no es así, ¿cuál será la m enor distancia entre ellos?.
R. a) N o b) 2,5 u
340www.FreeLibros.com
SUPERFICIES
U na superficie es un conjunto de puntos P ( x ; y ; z ) e R 3 cuyas coordenadas
satisfacen una ecuación dada en las variables x, y y z, esto es,
S — {(x; y ; z ) 6 E 3 / £ ( x ; x; z) = 0} es generalmente una superficie.
U n ejemplo de superficie es el plano (su ecuación es Ax + B y + Cz + D = 0)
Observación 1 Existen ecuaciones tales como
a) x 2 + ( y - 2 ) 2 + z 2 + 8 = 0
b) (x + l ) 2 + 4 (y - 2 ) 2 + 3(z - 5 ) 2 = 0
que no representan a una superficie. Para la ecuación (a), no existen números
reales x, y, z que satisfagan la ecuación dada, en este caso se dice que (a)
representa al conjunto vacío (0)
Para la ecuación (b), los únicos números reales que satisfacen la ecuación son
x = —1, y = 2, z = 5. Luego, la ecuación (b) representa solamente al punto
P C-l; 2; 5).
Observación 2 (Traslación de ejes) De modo similar a la traslación de ejes en el
plano cartesiano, se efectúa la traslación de ejes en el espacio tridimensional R 3.
Si el sistema de coordenadas o x yz se traslada a un nuevo origen 0 '(h ; k; l), de
modo que las coordenadas de cualquier 7 z
punto P E I 3 antes y después de la 11 ‘ 1
traslación son (x  y  z ) y ( x 1;y' ; z ' ) f|P
respectivamente (Fig. 7.1), entonces las ]
relaciones de tranformación del sistema " z -
original (oxyz) al nuevo sistema de ^ Y
coordenadas (o’x'y'z') son
x = h + x'
y = k + y'
■ z = l + z'
Fig. 7.1
www.FreeLibros.com
SI J I ' I Í K I ' I CI E S
7.1 E S F E R A
Definición: U na esfera es el conjunto de
todos los puntos del espacio IR3 que
equidistan de un punto fijo llamado centro.
La distancia constante de cualquier punto al
centro se llam a radio y se denota con
r > 0 .
Sea P (x ; y ;z ) cualquier punto de la esfera
de centro C(h',k;l) y radio r > 0.
Entonces, por definición tenemos
d (C ; P) = V ( * - h) 2 + (y - k ) 2 + (z - l)2 = r
D e donde,
(x - h )2 + ( y - k ) 2 + ( z - l) z = r 2 (*)
Esta ecuación se llama forma ordinaria de la ecuación de la esfera.
La esfera con centro en el origen de coordenadas y radio r > 0 tiene por
ecuación
x 2 + y 2 + z 2 — r 2
y esta ecuación se denom ina forma canónica de la ecuación de la esfera.
Si desarrollam os la form a ordinaria de la ecuación de la esfera, obtenemos una
ecuación de la form a
x 2 + y 2 + z 2 + Dx + Ey + Fz + G = 0 (a )
que es la ecuación de la esfera en su forma general.
Cualquier ecuación de la forma (a), empleando el método de completar
cuadrados, se puede expresar en la forma
(x - h Y + ( y - k ) 2 + (z - i)2 = t (P)
Com parando las ecuaciones ( * ) y (¡3), se tienentres posibilidades:
Si t > 0, (/?) representa a una esfera de centro C (h ;k ;l) y radio V t
Si t = 0, (/?) representa al punto C (h k l)
Si í < 0, (/?) representa al conjunto vacío
www.FreeLibros.com
SUPERFICIES
E je m p lo 1
a) H alle la ecuación de la esfera de centro C(2; — 1; 0 ) y ra d io r = 3
b) H alle la ecuación de la esfera si uno de sus diám etros es el segmento de
extremos „4(3; 1; 4 ) y B (5; — 1; 2)
c) Determ ine si una de las siguientes ecuaciones representa a una esfera, a un
punto oal conjunto vacío.
i) x 2+ y 2+ z 2 - 2x + 4 y - 6 z + 1 = 0
ii) x 2+ y 2+ z 2 - 4 x + 2 y - 2 z f 6 = 0
iii) x 2+ y 2+ z 2 + 2x + 6 y ~ 8z + 35 = 0
Solución
a) U tilizando la form a ordinaria de la ecuación de una esfera, tenemos,
(x - 2 )2 + ( y + l ) 2 + z 2 - 9 ó x 2 + y 2 + z 2 - 4 x + 2 y - 4 = 0
b) C om o el centro de la esfera es el punto medio de AB, es decir, C ( 4 ; 0 ; 3 ) y el
radio r = diC ;A ) — V 3 ; entonces la ecuación de la esfera es de la form a
(x - 4 ) 2 + y 2 + (z - 3 ) 2 = 3 ó x 2 + y 2 + z 2 - 8x - 6z + 22 = 0
c) A l completar los cuadrados en cada una de las ecuaciones, obtenemos
i) (x — l ) 2 + ( y + 2 ) 2 + (z — 3 ) 2 = 13. Esfera de centro C ( l; - 2 ; 3 ) y
radio r = V l 3
ii) (x — 2 ) 2 + ( y + l ) 2 + (z - l ) 2 = 0. Luego, la ecuación representa el
punto C ( 2 ; - l ; l )
iii) {x + l ) 2 + ( y + 3 ) 2 + (z —4 ) 2 = - 9 . L a ecuación dada representa al
conjunto vacío.
E je m p lo 2 Halle la ecuación de la esfera que es tangente a los planos
<21: x + 2 y + z - 4 = 0 y
Q2'- x - y + 2z - 5 = 0,
y tiene su centro en el eje z. (D o s soluciones)
So lu ción
Sea C(0; 0; l) el centro de la esfera buscada.
Entonces, utilizando la fórm ula de distancia
de punto a plano, tenemos
d (C ,Q i) = d(C, Q2) « = £ L l 5 !
<=> i = 1 V 1 = 3 F ig . 7.3
www.FreeLibros.com
Si / = 1 , la ecuación buscada de la esfera es
3
x 2 + y 2 + (z - l ) 2= - ó 2 x 2 + 2 y z + Z z2 —4z - 1 = O
Si / = 3 , la ecuación buscada de la esfera es
1
x 2 + y 2 + (z — 3 )2= - ó 6 x 2 + 6y 2 + 6z 2 —3 6 z + 53 = 0
6
Eje m p lo 3 E l plano Q pasa por el punto y contiene a la recta
y + 1
L : x - 1 —- ~= z + 4
'H a lle la ecuación de la esfera, con centro
C ( 0 ; - 2 ; l ) y tangenteal plano Q.
¿C uál es el punto de contacto?
So lu ción
D ado que el punto de paso de la recta L es
(1; — 1; — 4), entonces los vectores que
están contenidos en el plano Q son
SUPRRriClLS
3 = PoPi — (0; 0; — 4 ) y b = (1; 4; 1)
Luego, el vector norm al Ñ del plano es
N = a X b = ( 1 6 ; - 4 ; 0)
Así, la ecuación del plano Q es
Q: 1 6 (x - 1) - 4 ( y + 1) = 0 ó < ? : 4 x - y - 5 = 0
Utilizando la fórm ula de distancia de punto a plano, el radio de la esfera es
. |2 — 5| 3
r = d (C ; Q) = = —=
V T 7 V I 7
Así, la ecuación de la esfera de centro C (0; — 2; 1) y radio r = 3 / V l 7 es
9
x 2 + (y + 2 )2 + (z - l ) 2 =
17
«=> 1 7 x 2 + 1 7 y 2 + 1 7 z 2 + 6 8 y - 3 4 z + 7 6 = 0
El punto de contacto entre el plano Q y la esfera es I = Q ñ LN, donde LN es la
recta que pasa por el centro de la esfera y sigue la dirección del vector N su
ecuación vectorial es L N :P = (0; - 2 ; 1) + t (4; - 1 ; 0), t £ E .
Hallando la intersección de LN con el plano Q, se obtiene el puntode tangencia
/(1 2/ 1 7; — 3 7 / 1 7; 1)
344
www.FreeLibros.com
E jem plo 4 Encuentre la ecuación de la esfera que tiene su centro en el plano xz
y es tangente al plano Q: 2x - y + z - 4 = 0, en el punto P1( 1; 5; 7).
Solución
La ecuación vectorial de la recta LN que pasa
por el punto P i( l ; 5; 7 ) y sigue la dirección
del vector normal Ñ = (2; - 1 ; 1) (Fig. 7.5)
es
Ln : (x ; y ; z ) = (1; 5; 7) + t ( 2 ; - l ; l ) , t 6 E
Si C es el centro de la esfera, entonces
C £ Ln D Plano xz
<=> C £ Ln A C £ Plano xz
«=> C (1 + 2t; 5 - t; 7 + t) £ Plano x z (y = 0)
Luego, el centro de la esfera es C ( l l ; 0; 12) y su radio r = d (C ; P J = V i 50
Por consiguiente, la ecuación buscada de la esfera es
(x - l l ) 2 + (y - O )2 + (z - 1 2 )2 = 1 5 0 ó
x 2 + y 2 + z 2 - 22x - 2 4 z + 115 = 0
EJE R C IC IO S
1. Halle la ecuación de la esfera de centro C(4; 3; - 1 ) y radio r = V 7.
R. x 2 + y 2 + z 2 - 8 x - 6 y + 2 z + 19 = 0
2) H alle la ecuación de la esfera si uno de sus diámetros es el segmento de
extremos i4 ( 1 0 ; - 5 ; 8 ) y B ( 2 ; 5 ; - 1 4 )
R. x 2 + y 2 + z 2 — 1 2 x + 6 z — 1 1 7 = 0
3) Determ ine si una de las siguientes ecuaciones representa a una esfera, a un
punto o al conjunto vacío. S i representa a una esfera determine su centro y su
radio.
a) x 2 + y 2 + z 2 - Í6 x + 8 y + 4 z + 75 = 0
b) x 2 + y 2 + z 2 + 8 x - 6 y - 4 z + 2 9 = 0
c) x 2 + y 2 + z 2 - 2 x - 4 y - 6 z + 15 = 0
R. a) Esfera, C (8; - 4 ; - 2 ) y r = 3 b) Punto c) 0
3. H alle la ecuación de la esfera que es tangente al plano x - 8 y + 4 z + 7 = 0
y es concéntrica a la esfera x 2 + y 2 + z 2 - 1 2 x - 4 y r 6 z + 33 = 0.
R. X2 + y 2 + z 2 - 1 2 x - 4 y - 6 z + 4 8 = 0
SUPERFICIES
345www.FreeLibros.com
SUPERFICIES
4. Halle la ecuación de la esfera que tiene su centro en el eje x y pasa por los
puntos P 1( 0 ; 5 ; 0 ) y P2( - 2 ; 1 ; Ó ) .
R. x 2 + y z + z 2 — 1 0 * - 25 = 0
5. Encuentre la ecuación de la esfera que tiene su centro en el plano coordenado
y z y es tangente al plano x + 3 y — 2z + 1, = 0 en el punto P ( 5; 0; 3).
R. x 2 + y 2 + z 2.+ 3 0 y - 2 6 z — 1 0 6 = 0
6. Determ ine la ecuación de la esfera que pasa por, el punto P0( — 2 ;4 ; 0 )
y por la intersección de las esferas x 2 + y 2 + z 2 - 2x + 2 y — 4 z + 2 = 0
x 2 .+ y 2 + z 2 - 4 x — 2 y — 6 z + 10 = 0
R. x 2 + y 2 + z 2 - I9x — 3 2 y - 2 1 z + 70 = 0
Sugerencia. S i = 0 y Sz — 0 son las ecuaciones de dos esferas, entonces
+ kSz = 0,para k =é — 1, representa la fam ilia de esferas que pasan por la
intersección de las esferas dadas, con la excepción de la esfera S 2 = 0
7. Determ ine la ecuación de la esfera que pasa por la circunferencia de
intersección de las esferas:
x 2 + y 2 + z z - 4 x - 8 y + 6 z + 12 - 0
x 2 + y 2 + z 2 - 4x + 4 y - 6 z - 12 = 0
y es tangente al plano x + 2 y - 2 z — 3 = 0
,, R. 5 t : x 2 + y 2 + z 2 - 4 x - 6 y + 4 z + 8 = 0
S2. x 2 + y 2 + z 2 —4 x - 2 4 y + 2 2 z + 4 4 = 0
8. U na recta L pasa por fil punto A(3; - 4 ; 6 ) , interseca a la recta
l x: P = (6; - 1 0 ; 1 2 ) + t ( l; 0; 0 ) y a la esfera
3 29
( * + 2 )Z + ( y “ 1)2 + 2)2 = T
en una cuerda de longitud 3 unidades. H alle la ecuación vectorial de L (dos
soluciones).
9. Halle la ecuación del plano Q que contiene a la recta
L: P = (1; 2 : 3 ) 4 - t < l ; - l ; 0 ) , t é E
de m odo qué dicho, plano sea tangente a la superficie x 2 + y 2 + z z — 1 = 0
(dos soluciones)
Sugerencia. U sa r la condición d (C ; Q ) = 1 donde C (0; 0 ;0 )
R. Qt i 2x.+ 2y - z - 3 = 0, Qz  4x + 4 y - 7 z + 9 = 0
10. U n plano contiene a la recta L: 6 x = 2 y = - 3 z e interseca a laesfera
x 2 + y 2 + z 2 + 2x — 4 y — 1 0 z + 5 = 0 en unacircunferenciade radio3.
Halle la ecuación del plano (dos soluciones).
346www.FreeLibros.com
De m anera sim ilar a la discusión que se efectúa en la ecuación de una curva plana,
en el caso de las superficies es también ventajoso discutir previamente su
ecuación antes de construir su gráfica. Para discutir la ecuación E (x; y; z ) = 0 de
una superficie se siguen los siguientes pasos:
I) Intersección con los ejes coordenados. So n las intersecciones de la
superficie con cada uno de los ejes coordenados.
i) Con el eje x. Se reemplaza y = z = 0 en la ecuación de la superficie y
se analiza la ecuación resultante.
ii) Con el eje y. Se reemplaza x - z = 0 en la ecuación de la superficie y
se analiza la ecuación resultante.
iii) Con el eje z. Se reemplaza x = y = 0 en la ecuación de la superficie y
se analiza la ecuación resultante.
II) T razas sobre los planos coordenados. L a traza de una superficie es una
curva form ada por la intersección de la superficie con el plano coordenado.
A sí, las trazas sobre los planos coordenados se obtienen de la siguiente
manera
i) Con el plano xy. Se reemplaza z = 0 en la ecuación de la superficie se
analiza la ecuación resultante.
ii) Con el plano y z. Se reemplaza x = 0 en la ecuación de la superficie y
se analiza la ecuación resultante.
iii) Con el plano xz. Se reemplaza y = 0 en la ecuación de la superficie y
se analiza la ecuación resultante.
III) Trazas en los planos paralelos a los planos coordenados. So n las
intersecciones de la superficie con planos paralelos a los planos
coordenados.
i) Con planos paralelos al plano xy. Se reemplaza z = k en la ecuación
de la superficie y se analiza la ecuación resultante.
ii) Con planos paralelos al plano xz. Se reemplaza y - k en la ecuación
de la superficie y se analiza la ecuación resultante.
iii) Con planos paralelos al plano yz. Se reemplaza x — k en la ecuación
de la superficie y se analiza la ecuación resultante.
IV ) Extensión de una superfìcie Se entiende por extensión de la superficie a
los intervalos de variación, en los cuales las variables x, y A z tienen
valores reales.
SU PER FIC IES
7.2 D ISCU SIÓ N Y G R Á FIC A DE LA EC U A C IÓ N DE UNA S U P E R F IC IE
347www.FreeLibros.com
SUPERFICIES
V ) Sim e tría s con respecto a los planos coordenados, a los ejes co orde n ado s
y al origen. Se dice que dos puntos P y Q son sim étricos con respecto a un
plano, si el plano es perpendicular al segmento que los une en su punto
medio.
Por otro lado, se dice que una superficie es sim étrica con respecto a un
plano, cuando el plano es perpendicular al segmento que une dos puntos de
la superficie en su punto medio.
Observación 3
Si P(x; y ; z) es un punto del espacio, entonces tenemos
a) El simétrico de Pcon respecto al planox yes Q(x y ; —z)
■ b) El simétrico de Pcon respecto al planoxzes Q(x — y; z )
c) El simétrico de P con respecto al plano y z es Q (—x  y , z )
d) El simétrico de Pcon respecto al eje xesQ (x ;—y ; —z )
e) El simétrico de Pcon respecto al eje y esQ (—x; y; — z )
f) El simétrico de Pcon respecto al eje zesQ (—x ; —y ; z )
g) El simétrico de P con respecto al origen es Q {~x — y; — z)
Una superficie es simétrica con respecto a una recta L si el simétrico de
cada punto de la superficie, respecto a la recta L, es también un punto de Ia
superficie.
Una superficie es simétrica con respecto a un punto C si el simétrico de
cada punto de la superficie, respecto al punto C, es también un punto de la
superficie.
De acuerdo con estas consideraciones, se obtiene los resultados dados en la
siguiente tabla:
Si la ecuación de la superficie no se
altera cuando se reemplaza
La superficie es simétrica
con respecto al
x por —x Plano y z
y por - y Plano xz
z por —z Plano x y
z por - z A y por —y E jex
x por —X A z por —z Eje y
x por —X A y por - y Eje z
x por - x A y por - y A z por - z origen
348www.FreeLibros.com
SU PER FIC IES
V I) Construcción de la superficie (gráfica). C o n la ayuda de lospasos
anteriores se construye la gráfica de la ecuación de una superficie.
Eje m plo 5 D iscutir y graficar la ecuación 9 x 2 + 4 y 2 - 1 2 z = 0
Solución
I. Intersecciones con los ejes
i) C on el eje x: haciendo y = z = 0 en la ecuación se obtiene 9 x 2 = 0,
entonces x = 0. L a superficie interseca al eje x en el origen de
coordenadas.
A l estudiar las otras intersecciones se com prueba que el origen es el único
punto de intersección.
II. Trazas sobre los planos coordenados
i) Sobre el plano xy. H aciendo z = 0 se obtiene 9 x 2 + 4 y 2 = 0. Esta
ecuación, en el plano xy, representa al origen de coordenadas.
ii) Sobre el plano xz. Se hace y = 0 y se obtiene 9 x 2- 1 2 z = 0. Esta
ecuación, en el plano xz, representa a una parábola.
iii) Sobre el plano yz. Haciendo x = 0 se tiene la parábola 4 y 2 - 1 2 z = 0
III. Trazas en los planos paralelos a los planos coordenados
i) C on planos paralelos al plano xy. Haciendo z = k en la ecuación de la
superficie se obtiene 9 x 2 + 4 y 2 = 12fc. Se observa que hay intersección
solamente cuando k > 0 (si k = 0 es un punto, si k > 0 es una
elipse).
ii) C on planos paralelos al plano xz. Reemplazando y = k en la ecuación
de la superficie se obtiene 9 x 2 - 1 2 z + 4 k 2 = 0. Esta ecuación
representa a una parábola V k G R.
iii) C on planos paralelos al plano yz. Reem plazando x = k en la ecuación
se tiene 4 y 2 - 1 2 z + 9 k 2 = 0. Esta ecuación representa a una parábola
Vf e EM.
IV. Extensión
La ecuación 9 x 2 + 4 y 2 - 1 2z = 0 está definida
Vx G R (de I I I - iii), V y G ñ (de I I I - ii) y V z G [0; +oo) (de I I I - i).
V. Simetrías
A l reemplazar x por —x en la ecuación de la superficie se observa que esta
no varía, es decir, la superficie es simétrica con respecto al plano yz. D e
manera similar, la superficie es simétrica con respecto al plano x z y al eje z.
349www.FreeLibros.com
r r - SUPERFICIES
VI. Gráfica
1.a gráfica de esta ecuación se muestra en la Fig. 7.6 y se llama paraboloide
elíptico.
Ejemplo 6 Discutir y graficar la superficie cuya ecuación es y 2 - 4 y 4- 2z = 0
Solución
I. Intersección con los ejes
i) C on el eje x. Haciendo y = z = 0 se obtiene 0= 0, esto significa que
todo punto del eje x satisface la ecuación de lasuperficie, es decir
intersección de la superficie con el eje x es el eje x.
ii) C on el eje y. Si x = z= 0 => y 2 - 4 y = 0 => y = 0 V y = 4.
Luego, las intersecciones con el eje y son los puntos
P1( 0 ; 0 ; 0 ) y P2(0 ;4 ; 0 )
iü) C on el eje z. Sí x = y = 0 => 2z = 0 <=> z = 0. A sí, la intersección
con ele eje z es el origen de coordenadas.
II. Trazas sobre los planos coordenados
i) Sobre el plano xy. Las trazas son las rectas y = 0 (eje x ) e y = 4
(recta paralela al eje x).
ii) Sobre el plano xz. L a traza es la recta z = 0 (ejex).
iíi) Sobre el plano yz. La traza es la parábola y 2 — 4 y + 2 z = 0
350
www.FreeLibros.com
i) C on planos paralelos al plano xy.
z = k => y 2 —4 y + 2k = 0 ==>y = 2 ± V 4 — 2k
Existe intersección para k < 2 (Para k = 2 es una recta, para k < 2
son dos rectas paralelas)
ii) C o n planos paralelos al plano xz. y = k => 2z - 4k - k 2, es una recta
V k e M
iii) C on planos paralelos al plano yz. x = A: => y 2 - 4 y + 2z = 0 , es una
parábola, V fc 6 IR
IV . Exte n sió n
L a ecuación y 2 - 4 y + 2z = 0 está definida V x 6 l (de I I I - iii),V y £ E
(de 111- ii) y V z 6 (— oo; 2] (de 111- ii).
V. Sim e tría s
Existe simetría con respecto al plano yz.
V I. G rá fica
En la Fig. 7.7 se muestra la parte de la superficie que se encuentra en el
primer octante. L a superficie se denom ina c ilin d ro parabólico.
E J E R C I C I O S
E n cada uno de los siguientes ejercicios efectúe la discusión y trace la gráfica de
la superficie representada por las ecuaciones dadas.
TOPICOS DE CALCULO - VOLUM EN II
lli. Trazas en lo s p la n o s p a ra le lo s a los p la n o s c o o rd e n a d o s
1. 4 x 2 + y 2 + z 2 = 4 (elipsoide)
2. x 2 + y 2 - z 2 - 0 (cono circular)
*»
4 . X 2 + z 2 - 4 y = 0 (Paraboloide de revolución o circular)
4, y 2 - x 3 = 0 (Cilindro)
5. 9 x 2 - 4y 2 - 4 z 2 = 36 (Hiperboloide circular de dos hojas)
6. 9 x 2 - 4y 2 + 4 z 2 = 36 (Hiperboloide elíptico de una hoja)
7. y 2 - x 2 = 2z (Paraboloide hiperbólico)
8. x 2 + y 2 + z 2 = 4 (esfera)
9. y 2 - x 2y = 0
10. z = |y|
351
www.FreeLibros.com
SUPERFICIES
Un cilindro es una superficie generada por una recta que se m ueve a lo largo de
una curva plana dada, permaneciendo siempre paralela a una recta fija que no está
en el plano de dicha curva. L a recta que se mueve se llama generatriz del cilindro
y la curva plana se llama directriz del cilindro.
Si la generatriz de un cilindro es perpendicular al plano de la directriz, el cilindro
es llamado cilindro recto y en caso contrario, cilindro oblicuo.
Si la directriz es una recta, el cilindro se reduce a un plano.
En lo que sigue, se considera que la directriz es una curva contenida en uno de los
planos coordenados.
7.3 C ILIN D RO S
Supongam os que la directriz está en el plano x y (Fig. 7.8). Luego, su ecuación es
de la form a E (x ;y) = 0 A z — 0. Si P (x ; y ;z ) es un punto del cilindro cuya
generatriz tiene por vector dirección al vector a — (a x; a 2; a 3) y si P0( x '; y '; 0)
es el punto de intersección de la directriz con la generatriz que pasa por P,
entonces
E (x ',y') = 0 , z ' = 0 (a )
La ecuación de la recta que pasa por P y P0 es:
x - x' y —y' z —z'
--------- = ------ i - = -------- (£ )
«, az a 3
De (a ) y (/í), elim inando las variables x ' , y ' y z ' se obtiene la ecuación del
cilindro.
352www.FreeLibros.com
E j e m p lo ? H alle la ecuación del cilindro cuya directriz es la curva y 2 = 4x A
z = 0 y a = (1; — 1; 1) es el vector dirección de la generatriz.
Solución
Sea P (x-,y;z) un punto del cilindro y
P0( x ';y ';z ') la intersección de la directriz
con la generatriz que pasa por P, entonces
la ecuación de dicha generatriz es
x - x' y —y' z - z'
(a)
TOPICOS DE CALCULO - VOLUMEN II
1 - 1 1
C om o PQ es un punto de la directriz,
entonces se tiene
y '2 = 4x' A z' = 0 (/?)
Reem plazando z ’ — 0 en (a) se obtiene:
x — x ' = z A y —y' = —z
D e donde x' = x —z A y '2 = {y + z ) 2. Reem plazando festos valores en
y'2 = 4x' se obtiene ( y + z ) 2 - 4{x - z).
Por tanto, la ecuación de la superficie cilindrica es(y + z ) 2= 4{x - z)
Este cilindro se llam a c ilin d ro p arab ólico oblicuo. E n la Fig. 7.9 se muestra su
gráfica (para z > 0).
Eje m plo 8 Halle la ecuación del cilindro recto cuya directriz es la curva
2x
z =
1 + X2
A y = 0
Solución
Supongam os que la generatriz que pasa por
el punto P ( x ; y ; z ) (Fig. 7.10) de la
superficie corta a la directriz en el punto
P o ( x ' : y ' ' , z ' ) , entonces la ecuación de la
generatriz (eje y ) es
x = x' A z = z' (a)
C om o P0 pertenece a la curva, entonces
2|x'|
= l T T 2 A y ^
Reem plazando (a ) en (0 ) se obtiene
2 jx l
Z l + x 2
Se observa que esta ecuación es sim ilar a la ecuación de la directriz.
3 53www.FreeLibros.com
Observación 3 En el espacio tridimensional, la gráfica de una ecuación en dos
de las tres variables x, y, z es un cilindro cuya directriz es una curva que se
encuentra en el plano asociado con las dos variables que aparecen en la ecuación
y cuyas generatrices son paralelas al eje coordenado asociado con la variable
(altante, es decir.
1) E (x ;y) = O representa (en el espacio) a un cilindro con:
Directriz: E(x-,y) = O A z = O
Generatriz: eje z (variable quejaita en la ecuación)
2) E (x ;z) = O representa a un cilindro con
Directriz: E(x-,z) — O A y = O
Generatriz: eje y
3) E (y z) — O representaa un cilindro con
Directriz: E (y ;z) = OA x = O
Generatriz: eje x
Eje m plo 9 Trace la gráfica de la superficie representada por cada una de las
ecuaciones
a) x 2 + y 2 - 4 y = 0
b) z - e x = 0
c) z 2 - y 3 = 0
d) x 2 = (y + l ) y 2
Solución
Las gráficas se muestran en las figuras 7.11, 7.12, 7.13 y 7.14
SU PERFIC IES
f ¡9 7 11
.354www.FreeLibros.com
Topiros nr r  i m n - voi i'm fn u
E JE R C IC IO S
I. E n cada uno de los siguientes ejercicios halle la ecuación del cilindro usando
las ecuaciones de la directriz y el vector dirección de la generatriz.
1. x 2 + 4 y = 1 A z = 0 , a = (1; 1; 3)
R. 9 x 2 + z 2 - óxz - 3 6 y 4- 12z = 0
2. y 2 ~ z 2 = 1 A x = 0 , d = (-1 ; 1; 2)
3. x 2 + y = 1 A z = 0 , a = (2; 1;0)
II. Esboce la gráfica de la superficie representada por cada una de las siguientes
ecuaciones
1. y 2 —2 y + 4 = z
2. y = c o s x , x e [0; An]
3. y 3 = x 2
4. x 2 - y 2 = 1.
5. 4 x 2 + y 2 — 4
6. y = ln x
8. y 2 = 4 z
9. z = x e x
n n
1 0 .y = t a n z , z e < ~ 2 : 2^
3 5 5www.FreeLibros.com
SUPERFICIES
7.4 SU PE R FIC IE S DE R EV O LU C IÓ N
La superficie generada por la rotación de
una curva plana alrededor de una recta
fija que está en el plano de la curva, se
llama superficie de revolución. L a recta
fija se llama eje de revolución y la curva
plana se llama curva generadora.
Si por un punto cualquiera P (x ; y ;z ) se
traza un plano perpendicular al eje de
revolución, la intersección de la superficie
con dicho plano es una circunferencia
(Fig. 7.15).
Si C es el punto de intersección del plano con el eje de revolución L y Q es el
punto de intersección con la curva generadora, entonces se verifica
d{P-,C) = d (Q ,C )
A la ecuación generada por esta igualdad se denomina ecuación de la superficie
de revolución.
En lo que sigue, se considera que la curva generadora está contenida en un plano
coordenado o en un plano paralelo a un plano coordenado.
Observación 4 En la siguiente tabla, se muestra la forma de la ecuación de una
superficie de revolución generada por una curva que se encuentra en un plano
coordenado y gira sobre uno de los ejes coordenados.
Ecuación de la curva
generadora
Eje de
revolución
Ecuación de la superficie de
revolución
o
II
x
II
N
eje y x 2 + z 2 = [/ (y )]2
* = / ( y ) , z = o eje y x 2 + z 2 = [ f ( y ) ] 2
y- = / ( * ) , y = 0 eje x y 2 + z 2 — [ f{ x ) Y
y = f ( x ) , z = 0 eje x y 2 + z 2 — [/ (x )]2
y = / ( z ) , x = 0 e je z x 2 + y 2 = [/ (z )]2
x = A * ) . y = 0 e je z x 2 + V 2 = í f ( z ) ] 2
Fig. 7.15
www.FreeLibros.com
TOPICOS DE CALCULO - VOLUM EN II
Dem ostrem os la prim era fórm ula de la
tabla, donde la ecuación de la curva
generadora es C: z = / (y ), x - 0 y el
eje de rotación es el eje y.
Sea P (x ;y ;z ) un punto cualquiera de la
superficie de revolución. Si Q es el punto
de intersección del plano perpendicular al
eje y que pasa por P con la curva
generadora y C es el punto de intersección
de dicho plano con el eje y, entonces
<2(0;y;/(y)) y c ( 0 ; y ; 0 )
Luego, de la definición de la superficie de revolución resulta
d(P; C) = D(Q; C) <=> J x 2 + z 2 = |/(y)| <=> x 2 + y 2 = [ f ( y ) ] 2
E n los otros casos, la dem ostración es similar.
Observación 5 Si el origen de coordenadas se traslada al punto O '( x 0;y 0; z0),
las ecuaciones de las superficies de revolución de la tabla anterior tienen las
siguientesformas:
i) (x - x0) 2 + (z - z 0) 2 = [/ (y - y 0) ] 2
¡O (y " yo)2+ (z - z0)2= [/(*- *0)]2
iii) (x - x 0) 2 + ( y - y 0) 2 = [/ (z - z0) ] 2
E je m p lo 10 E n cada uno de los siguientes ejercicios se da la ecuación de la
curva generadora y el eje de revolución L, determine la ecuación de la superficie
de revolución y esboce su gráfica.
a) C:z = ey , x = 0 ; L: eje y
b) C:z = e v, x = 0 ; L: eje z
c) C: z 2 - 4y 2 = 1, x = 0 ; L: eje y
2x
d)C : z = Y + x 2 ' y = 0 ' L: eJe x
e) C:y = x 2, z = 0 ; L: eje x
f) C:y - x 2, z = 0 ; L: eje y
So lu ció n
Fia. 7.16
357
www.FreeLibros.com
SUPERFICIES
a) C: z = e y, x = O ; L: eje y
L a ecuación de la superficie de revolución es x 2 + z 2 = e 2y.
L a gráfica se muestra en la Fig. 7.17
b) C: y = l n z , x = 0 ; L eje z
L a ecuación de la superficie de revolución es x 2 + y 2 = ln2z.
L a gráfica se muestra en la Fig. 7.18
c) E n este caso, C: z = J 1 + 4 y 2, x = 0 ; L: eje y
L a ecuación de la superficie de revolución es x 2 + z 2 - 1 + A y2
L a gráfica se muestra en la Fig. 7.19 (esta superficie se llam a hiperb oloid e de
revolución o hiperboloide c irc u la r de una hoja)
d) c z = i + ^ z » y = 0 ; L: ei e x .
Ax2
La ecuación de la superficie es y 2 + z 2 = -------- — .
( 1 + x 2) 2
La gráfica se muestra en la Fig. 7.20
e) C: y = x 2, z = 0 ; L: eje x
La ecuación de la superficie de revolución es y 2 + z 2 = x 4.
La gráfica se muestra en la Fig. 7.21
f) C: y = x 2, z = 0 ; L: eje y
La ecuación de la superficie de revolución es x 2 + z 2= y.
La gráfica se muestra en la Fig. 7.22
www.FreeLibros.com
SU PER FIC IES
Fig. 7.17
359www.FreeLibros.com
Ejem plo 11 E n cada uno de los siguientes ejercicios se da la ecuación de la curva
generadora C y el eje de giro halle la ecuación de la superficie de revolución.
a) C: z = / (y ), x = a ; L z = b , x - a
b) C: z = 2 y - 3, x = 5 ; L: z = - 1 , x = 5
c) C: 4 (x + 2 ) 2 — ( y - l ) 2= 1, z - 3 ; L: eleje im aginario de la hipérbola
d) C: 4 ( x + 2 ) 2 — ( y — l ) 2= 1, z = 3 ; L: el eje transverso dela hipérbola
So lu ción
a) En la Fig. 7.23 se muestra la curva C y
la recta L en el plano x = a . Luego,
C(a; y: b), Q (a;y; / ( y ) ) y P ( x ; y ; z )
De la definición de la superficie de
revolución, tenemos
d(P; C) = d(Q-,C)
Por tanto, la ecuación de la superficie de
revolución es
(x - a ) 2 + (z - b Y = [/ (y ) - b]2
Esta ecuación también puede obtenerse
trasladando previamente el origen al
punto 0 '( a ; 0 ; ¿ ) .
b) (x — 5 ) 2 + (z + l ) 2 = ( 2 y — 2 ) 2 (cono de revolución o cono circular)
(y + 1 )2
c) (x + 2 )2 + (z —3 )2 -------- ------ = 1 (hiperboloide circular de una hoja)
4
d) (y + l ) 2 + (z - 3 ) 2 = 4 (x + 2 ) 2 - 1 ó
4 (x + 2 ) 2 — (y + l ) 2 — (z —3 ) 2 = 1 (hiperboloide circular de dos hojas)
Ejem plo 12 En cada uno de los siguientes ejercicios, identifique si es una
superficie de revolución. Luego, determine el eje de revolución y la ecuación de la
curva generadora.
a) x 2 = 5 + z 2 —y 2
b) 2 x 2 + 4 z 2 + y 2 = 1
c) x 2 + 2 y 2 4- 2 z 2 — 4 x 4- 8 y — 4 z — 4 = 0
d) 2 x 2 4 2 z 2 4 4 x 4 y - 4 z 4 - 4 - 0
Solución
SU PERFICIES
360www.FreeLibros.com
lU l'IL U ^ U t L A IX U L U - VO LU M bN H
a) x 2 + y 2 = 5 + z 2 (hiperboloide circular de una Jioja)
i) Eje de revolución L: x - 0, y — 0 (ejez)
ii) C u rva generadora C: x = 0, y = v 5 -f z 2 ó y = 0 , x = V 5 + z 2
(hipérbola)
b) N o es una superficie de revolución (ninguna de las trazas en los planos
paralelos a los planos coordenados es una circunferencia).
(x — 2)2
c) (x + 2 ) 2 + (z - l ) 2 = 9 --------------- (e lipso id e de re volu ció n o esferoide)
i) Eje de revolución L: x = —2 , z = 1
18 - (x - 2) 2
ii) Curva generadora C: x = —2, z - 1 +
N
d) (x + l ) 2 + (z - l ) 2 = - 1 (paraboloide circu lar)
(elipse)
i) Eje de revolución L: x - — 1, z = 1
y¡~2
ii) Curva generadora C:x = —1, z = l + (parábola)
7.5 S U P E R F I C I E S C U A D R A T I C A S
U na superficie cu ad rática o simplemente cuád rica es la gráfica de una ecuación
de segundo grado en las variables x ,y ,z .
A lgu n as superficies cilindricas o superficies de revolución son ejemplos de
cuádricas. En ésta sección se presentará algunas form as usuales de las superficies
cuadráticas cuyas ecuaciones están en su form a m ás sim ple (form a canónica).
Considerando que el lector está en condiciones de discutir la ecuación de una
superficie, nos lim itarem os a describir algunas propiedades de estas superficies.
7.5.1 E L I P S O I D E
L a form a canónica de la ecuación del elipsoide con centro en el origen es
x 2 y 2 z 2
a2 ^ b 2 + ^2 = 1
donde a, b y c son núm eros reales positivos. Adem ás, los intervalos de variación
de las variables x, y a z son
x £ [ - a ; a], y 6 [ - b ; b] A z e [ - c ; c]
361
www.FreeLibros.com
SUPERFICIES
Si a ¿ = b 2 = c 2, la superficie es una esfera.
Si a 2 = b 2 (ó b 2 = c 2, ó a 2 = c 2) la superficie es un elipsoide de revolución
o esferoide. U n esferoide cuyo tercer número es m ayor que los dos núm eros
iguales, se llama esferoide alargado. (L a elipse que la genera gira alrededor de su
eje mayor). Si el tercer número es menor que los dos núm eros iguales, se llama
esferoide achatado (la elipse que la genera gira alrededor de su eje menor).
Las trazas en los planos paralelos a los planos Coordenados son elipses o
circunferencias. (E n los planos x ~ ¿ a , y = + b , z — + c se reduce a un
punto).
Esta superficie es simétrica con respecto a los planos coordenados, a los ejes
coordenados y al origen de coordenadas.
La gráfica del elipsoide se muestra en fá Fig. 7.24
La forma ordinaria de la ecuación del elipsoide con centro C (h ;k ;l) es
(1, _ lr2 fr* I2
■ *) , ( y - * ) 2- . 0 - - 0 2
ñ-------i---------------- 1--------:—
7.5.2 H I P E R B O L O I D E E L Í P T I C O ( C I R C U L A R ) D E U N A H O J A
La forma canónica de la ecuación del hiperboloide de una hoja con centro en el
origen es
x y “-
ñ2 + b 2
= 1
x 2 y 2
~ü~ ~ +V a ¿ b2 c
donde a, b y c son números reales positivos.
En la Fig. 7.25 se muestra la gráfica de
z 2 x 2 y
= 1 ó - - T +
b 2
z
+ - r = 1
www.FreeLibros.com
Los intervalos de variación de las variables x, y A z son
x 6 ( - 00; - a ] U [a; + 00), y e (— 00; - b] U [fe; + 00) y z £ < - 00; + 00)
Si a 2 = b 2, es una superficie de revolución (hiperboloide circular de una hoja)
Si a 2 & b 2, la superficie es el hiperboloide elíptico de una hoja, las trazas en
los planos paralelos al plano x y son elipses o circunferencias según sea el caso en
que
a 2 b 2 ó a 2 = b 2
Las trazas en los planos paralelos a los planos x z e yz son hipérbolas, (en los
planos y - b , x - a son dos rectas que se cortan).
Esta superficie es simétrica con respecto a los ejes coordenados, a los planos
coordenados y al origen de coordenadas.
La forma ordinaria de la ecuación del hiperboloide de una hoja con centro en el
punto C(h) k; l) es
(x - h) 2 (y - k)2 (z - O 2
a2 b2 c2 1
7.5.3 H IP E R B O L O ID E E L ÍP T IC O ( C IR C U L A R ) D E D O S H O J A S
La forma canónica de la ecuación del hiperboloide de dos hojas con centro en el
origen es
x 2 y 2 z 2 ( x 2 y 2 z 2 , x 2 y 2 z 2
~ a 2 + b 2 ~ 7 2 = 1  ° ^ 2 ~ b 2 ~ c 2 = 1 ° ~ á 2 ~ b 2 + c 2
donde a, b y c son números reales positivos.
En la Fig. 7.26 se muestra la gráfica de
x 2 y 2 z 2
~~¿2 + ¥ ~ c 2 = 1
Los intervalos de variación de las
variables x ,y A z para esta
superficie son
x £ ( - 00; + 00),
y £ (— 00; -b] U [b; +co) y
Z £ ( - 00; +«>)
TOPICOS DE CALCULO - VOLUM EN II
A continuación se describe algunas propiedades de esta superficie
363www.FreeLibros.com
SUPERFICIES
Si a 2 = c2, es una superficie de revolución (hiperboloide c irc u la r de dos hojas)
Si a 2 c 2, la superficie es el hiperboloide elíptico de dos hojas.
Las trazas en los planos paralelos al plano xz son circunferencias o elipses según
sea el caso en que a 2 = c 2 ó a 2 c 2. (En el plano y = b es un punto).
Esta superficie es simétrica con respecto a los ejes coordenados, a los planos
coordenados y al origen de coordenadas.
La forma ordinaria de la ecuación del hiperboloide de dos hojas con centro en el
punto C(ft; k í) es
(x - h )2 | (y - fe)2 (z - Q 2 _ ^
Observación 6 Las tres cuádricas (elipsoide, hiperboloide de una hoja e
hiperboloide de dos hojas) también se denominan cuádricas centrales.
En general cualquier ecuación de ¡aforma:
(x - h )2 (y - k )2(z - l) 2
± - -----r ^ ± 7-2" ±2 = 1a 2 b 2 c2
donde a, b y c son números reales positivos, representa a una cuádrica central
con centro en C(h;k;l).
Sí los tres signos son positivos: elipsoide
Si dos signos son positivos y uno es negativo: hiperboloide de una hoja
Si dos signos son negativos y uno es positivo: hiperboloide de dos hojas.
Si los tres signos son negativos: el conjunto es vacío.
7.5.4 P A R A B O L O I D E E L Í P T I C O (O C I R C U L A R )
La form a canónica de la ecuación del paraboloide con vértice en el origen es
x 2 y 2 / x 2 z 2 y 2 z 2
? + ^ = I,6 ^ + ^ = b y 6 ¥ + ^ = ax
donde a y b son núm eros positivos y c =/= 0
En la l'ig. 7.27 se muestra la gráfica de
x 2 y 2
— + — = cz, con c > 0
364www.FreeLibros.com
TO PICO S DE C A L C U L O - V O L U M E N II
S i c < 0 el paraboloide se abre hacia la
parte negativa del eje z.
Los intervalos de variación de las variables
x, y A z para la ecuación de esta
superficie son:
x £ (— c°; + c o ), y 6 ( —00; + 0 0 ) y
z £ [0; + 0 0 ) (s i c < 0, z £ (-0 0 ; 0])
Si a 2 = b 2 , la superficie es una superficie
de revolución (p arabo loid e circu lar)
Si a 2 & b 2, la superficie es el paraboloide
elíptico.
Las trazas en los planos paralelos al plano x y son circunferencias o elipses según
sea el caso en que a 2 = b 2 ó a 2 * b 2. (En el plano z = 0. la traza es un
punto).
Esta superficie es simétrica con respecto al eje z, al plano ‘xz y al plano yz.
La form a ordinaria de la ecuación del paraboloide con vértice en el punto
V (h ,k ;l) es
(x - h.)2 (y - k ) 2
= c (z - i)
a 2 b 2
En los otros casos, la ecuación es de la forma
{ x - h ) 2 ( z - l ) 2
■H----------- b (y - k) ó
(y - k ) 2 ( z - 0
+ ■ = a(x - h)
7.5.5 P A R A B O L O I D E H I P E R B Ó L I C O ( S I L L A D E M O N T A R )
La form a canónica de la ecuación del paraboloide hiperbólico con punto de silla
en el origen de coordenadas es
y -
b 2
x c
a2
cz
í z 2 x 1
ó — - — = by , ó
V, cL a 2
z 2 y 2 
c ‘ b 2 )
donde a y b son núm eros positivos y c i d ,
En la Fig. 7.28 se muestra la gráfica de
y 2 x 2
- r r ------- - CZ , con C > 0
o 2 a 2
L o s intervalos de variación para las variables x ,y A / de esta superficie son
X £ (-0 0 , + 0 0 ), y 6 (- 0 0 , + 0 0 ) V Z £ (-0 0 , + 0 0 )
365www.FreeLibros.com
SU PERFICIES
l.iis secciones transversales al plano x y
son hipérbolas (En el plano z = 0 son
ilos rectas que se cortan). La$ trazas en
los planos paralelos a los planos xz e
yy. son parábolas.
lista superficie es simétrica con respecto
al eje z, al plano x z y al plano yz.
E l origen de coordenadas es el punto de
silla de esta superficie.
La forma ordinaria de la ecuación del
paraboloide hiperbólico con punto de
silla en S{h; k l) es
(y ~ k ) 2 (x - h y
= c(z - l)
b 2 a 2
En los otros casos, la ecuación es de la forma
( z - / ) 2 ( x - h ) 2 „ ; (z-
— 3 -------------- -5— = b ( y - k ) o —
O2 { y - k f
= a(x - h)
7.5.6 C O N O E L Í P T I C O (O C I R C U L A R )
La forma canónica de la ecuación del cono con vértice en el origen de
coordenadas es
donde a, b y c son núm eros reales positivos.
En la Fig. 7.29, se muestra la gráfica de la
superficie
x 2 y 2 z 2
a 2 + b 2 c2
Los intervalos de variación de las variables
x, y A z son
x e 1 , y e 1 a z e E
Si a ¿ — b'¿, la superficie es de revolución
(cono circular).
Si a 2 * b 2, la superficie es el cono elíptico.
366www.FreeLibros.com
r o n c o s DE CALCULO - VOLUM EN 11
Las trazas en los planos paralelos al plano xy son circunferencias o elipses según
sea el caso en que a 2 = b 2 ó a 2 * h2. (En el plano z = 0 la traza es el origen
de coordenadas). Las trazas en los planos paralelos al plano x z y al plano y z son
hipérbolas (E n los planos y = 0 A x = 0 son dos rectas que se cortan).
Esta superficie es simétrica con respecto a ios ejes coordenados, a los planos
coordenados y al origen de coordenadas.
La form a ordinaria de la ecuación del cono con vértice el punto V(Iv, k l) es
(x - h )2 (y - fe)2 _ (z - l) 2
a - o*- c*-
En los otros casos, la ecuación es de la forma
(x - h)2 (z - Q 2__ (y - fe)2. (z - Q 2 (y - k ) 2 _ (x - h )2
a 2 + c 2 b 2 °c 2 + b 2 ~ a 2
Eje m plo 13 Discutir y graficar la ecuación 9 x 2 + 4 z 2 + 9 y = O
Solución
I) Intersección con los ejes coordenados: el origen de coordenadas.
II) Trazas sobre los planos coordenados
i) Sobre el plano xy:
la parábola x 2 + y = O
ii) Sobre el plano yz:
la parábola 4 z 2 4- 9 y = O
iii) Sobre el plano xz:
el origen de coordenadas
III) Trazas en planos paralelos a los
planos coordenados
A I plano xy: parábolas
A l plano yz: parábolas
A l plano xz: elipses, (para y < 0)
IV ) Extensión: x E l , y £ ( —oo; Oj, z £ K
V ) La gráfica de la superficie se muestra en la l-ig. 7.30 (paraboloide elíptico).
Fig. 7.30
367
www.FreeLibros.com
¡ f ” SUPERFICIES
F.Jcinplo 14 Ivsboce la gráfica de las siguientes ecuaciones
a) iíjfl /. + y 2z - 9z 2 = 0
x ¿ y 2 zlzl
b ) T + T 6 — = 1
Solución
a) 3 x 2z + y 2z - 9 z 2 = 0 <=> ( 3x 2 + y 2 - 9z ) z = 0
<=> 3 x 2 + y 2 —9z = 0 ó z = 0
La ecuación 3 x 2 + y 2 — 9 z = 0 representa a un paraboloideelíptico.
La ecuación z = 0 representa al plano xy.
La gráfica de la ecuación (3 x 2 + y 2 —9 z )z = 0 semuestra en la Fig. 7.31
b) Utilizando la definición del valor absoluto en
x 2 y 2 zz
~ 9 + 1 6 ~ ~ 9 ~ ~ 1
se tiene
x 2 y 2 z 2
S i z < 0 => '^■ + 7 7 + 7 r : = l (elipsoide)
9 16 9
x2 y 1 z 2
S i z > 0 => — + — — — = 1 (hiperboloide de una hoja)
9 16 9
x 2 y 2 zz
La gráfica de la ecuación — + —
-
— = 1 se m uestra en la Fig. 7.32
368www.FreeLibros.com
Las coordenadas de uso frecuente en el espacio tridimensional, aparíe de las
rectangulares son las coordenadas cilindricas y las coordenadas esféricas.
7.6.1 COORDENADAS CILIN D RICAS
S i P es un punto del espacio
tridim ensional y ( x ; y ; z ) son sus
coordenadas rectangulares, se define
las coordenadas cilindricas de P
com o la terna ( r ;8 ;z ), donde (r;8 )
son las coordenadas polares de la
proyección ortogonal de P sobre el
plano x y y z es la distancia dirigida
de (r; 0 ) a P (Fig. 7.33).
7.6.1.1 R ELA C IÓ N E N T R E LAS COORDENADAS CA R TESIA N A S Y
C ILIN D RICAS
Si (x ; y ; z ) y ( r ; 0 ; z ) son respectivamente las coordenadas cartesianas y las
coordenadas cilindricas de un punto P € 1R3, entonces se tiene
Cartesianas en términos de las cilindricas
x - r eos 9, y = r se n 8, z = z
Cilindricas en términos de las cartesianas
y
tan 9 = - , r 2 = x 2 + y 2, z = z
x
Observación 7
a) Las coordenadas cilindricas principales son: r > 0 , 0 < 0 < 2n A z E l
b) Las coordenadas cilindricas del origen son ( 0 ; 9 ;z ) para cualquier 8
c) La ecuación de un cilindro circular recto de radio a en coordenadas
cartesianas es x 2 + y 2 = a 2, transformando a coordenadas cilindricas su
ecuación es r = a.
TO PICO S D E C A L C U L O - V O L U M E N II
7.6 CO O R D EN A D A S C IL IN D R IC A S Y CO O R D EN A D A S E SFÉ R IC A S
369www.FreeLibros.com
i) Encuentre las coordenadas cartesianas del punto que tiene las coordenadas
cilindricas dadas
3) ( 3 ; f ; 5 j b) ( 7 ; y : - £ ) c) (1; 0; 1)
ii) Encuentre un conjunto de coordenadas cilindricas del punto cuyas
coordenadas cartesianas son
a) (4; 4 ; - 2 ) b) ( - 3 V 3 ; 3; 6) c) (1; 1; 1)
Solución
i) a) Si las coordenadas cilindricas de P son (3; n /2 ;5 ), entonces r = 3.
0 - n /2 y z = 5. Luego, aplicando las fórm ulas que relacionas estas
coordenadas con las cartesianas se tiene
x = 3 cos(7r/2) = 0, y = 3 se n (n /2 ) = 3 y z = 5
Por tanto, las coordenadas cartesianas de P son (0 ; 3 ; 5)
Procediendo de manera similar se obtiene
u- í 7 
— ; - 4 c) (1;0; 1)
V^ *-¡
ii) a) Si las coordenadas cartesianas de P son (4; 4 ; - 2 ) . entcnces x = 4,
y - 4 y z = 5
Luego, aplicando las fórm ulas que relacionas estas coordenadas con las
cilindricas tiene
y 4 n
tan 0 = - = - = 1 => 6 = - , r ‘ = x 2 + y 2 = 32 => r = 4 V 2 , z = 5
X i 4
Por tanto, las coordenadas cilindricas de P son (4 V 2 ; 7r/4 ; 5)
b) (6 ; 5n/6 ; 6) c) (V 2 ; n/4] l )
Ejem plo 16 Halle una ecuación en coordenadas cilindricas para la superficie
representada por la ecuación cartesiana
a) 2x -f y — z = 0 b) x 2 + y 2 = 4z
c) x z - y 2 - 4 z z - 4 = 0 •
Solución
Reem plazando x = r eos 0, y = r sen G y z = z, se obtiene
a) 2 r eos 6 + r sen 9 - z = 0
b) r2 - 4z
c) r2 eos 2 0 - 4 z 2 - 4 = 0
s u p e r f i c i e s
rjc m p io 15
370www.FreeLibros.com
TOPICOS DE CALCULO - VOLUM EN II
7.6.2 COORDENADAS ESFER IC A S
La s coordenadas esféricas de un punto
P 6 R 3, se define com o la terna
(p; 8; 0 ), donde p representa la distancia
del punto P al origen, 0 es la m edida del
ángulo que form a el segmento OP con el
rayo positivo del eje z (el ángulo 0 se
llama co-Iatitud de P, el ángulo n /2 —0
se llama latitud de P) y 0 es la medida
del ángulo que form a el rayo positivo del
eje x y el segmento OQ, donde Q es la
proyección (ortogonal) de P sobre el
plano x y (Fig. 7.34) Fig. 7.34
7.6.2.1 R ELA C IÓ N EN T R E LAS COORDENADAS C A R TESIA N A S Y
ESFÉ R IC A S
Si (x ; y ; z ) y (p; 9; (p) son respectivamente las coordenadas cartesianas y las
coordenadas esféricas de un punto P E R 3, entonces se tiene
Cartesianas en términos de las esféricas
Z = p COS 0
x = p sen 0 eos 8
y = p se n 0 se n 8
Esféricas en términos de las cartesianas
yx 2 + y 2 + z 2 = p 2, x 2 + y 2 = p 2 se n 20 A - = ta n fl
Observación 8
a) Si se incluye los puntos del eje z, las restricciones
p > 0 , 0 < 8 < 2 n , O < 0 < 7 r
determinan una correspondencia biunivoca entre los puntos del espacio y las
coordenadas esféricas (p; 8; 0 )
b) Las coordenadas esféricas del origen son (0; 9; 0 ), donde 8 , 0 son
arbitrarios.
c) La ecuación cartesiana de la esfera con centro en el origen y radio a es
x 2 + y 2 + z 2 = a 2
Al transformar a coordenadas esféricas se reduce a p = a
371
www.FreeLibros.com
i) Encuentre las coordenadas esféricas de los puntos cuyas coordenadas
rectangulares son
a) (2; 2; 2) b) (0; 0; — 3)
ii) Encuentre las coordenadas rectangulares de los puntos cuyas coordenadas
esféricas son *
a) (3; 7t/2; 7t/4 ) b) ( 2 ; -7r/3;7r/6)
Solución
i) Utilizando las fórm ulas de transformación de coordenadas cartesianas a
esféricas, tenemos
SUPERFICIES
E je m p lo 17
a) (2 V 3 ; 7r/4; a rc c o s (l/ V 3 ) ) b) (3; 0; zr)
ii) Usando las fórm ulas de transform ación de coordenadas esféricas a cartesianas,
se tiene
a) (0; 3 V 2 / 2 ; 3 V 2 / 2 ) b) ( l / 2 ; - V 3 / 2 ; V 5 )
E J E R C I C I O S
1. Encuentre coordenadas esféricas para los siguientes puntos especificados por
sus coordenadas rectangulares
a) (4; 2 ; - 4 ) b) ( 1 ; - V 3 ; 4 )
c) (1; 1; 1) d) (2; 0; 2)
2. Halle las coordenadas cilindricas para los puntos del ejercicio 1.
3. Halle las coordenadas rectangulares del punto en coordenadas cilindricas
a) ^2; a r c c o s - ; o j b)
d ) ( - í . - í . i ) o ( ^ 2)
4. Halle las coordenadas rectangulares del punto en coordenadas esféricas
/ n n / n n
b> ( 3 : r - 6 )
/ TI T l r TI 7T
C> (,: 6 ' i) d) (6: «)
37 2www.FreeLibros.com
5. Halle una ecuación en coordenadas cilindricas de la superficie cuya ecuación
en coordenadas cartesianas es
TOPICOS DE CALCULO - VOLUM EN II
6. Las siguientes superficies están descritas en coordenadas esféricas. Encuentre
sus ecuaciones rectangulares.
7. H alle una ecuación en coordenadas esféricas, para la esfera de radio 3 con
centro en (0; 1; 0)
8. Halle una ecuación en coordenadas cilindricas para la esfera del ejercicio 7.
9. En los siguientes ejercicios, encuentre las ecuaciones en coordenada
cilindricas y en coordenadas esféricas para la superficie dada.
a) E l paraboloide x 2 + y 2 = 4 z b) E l hiperboloide x y = z
10. Describir la superficie z = 2 r (coordenadas cilindricas), y obtener una
ecuación de la m ism a en coordenadas cartesianas.
11. H alle una ecuación en coordenadas rectangulares(cartesianas) de la superficie
a) (x + y ) 2 = z —5 b) x 2z 2 = 25 — y 2z 2
d) ax + b y + cz = x 2 + y 2 + z 2
a) cot 0 = sen 8 + eos 6
c) p = a sen 0 sen 8 d)
b) p 2 eos 2 0 = a 2
p 2 se n 20 sen 28 = a 2
z 2 = i _ (r _ 2 ) 2
7.7 A P L I C A C I O N E S
E je m p lo 17 Calcule el volum en del sólido limitado por la superficie z = x 2 + y 2
y el plano z = 4
So lu ció n _________________________________
L a ecuación z = x 2 + y 2 representa un
paraboloide circular. Las secciones
transversales perpendiculares al eje z son
círculos de radio r = V i (Fig. 7.35).
E l área de cada sección transversal es
A (z) = n z , z G [0; 4]
Y
Por consiguiente, el volum en del sólido es
x
Fig. 7.35
= 8nu3
373www.FreeLibros.com
SUPERFICIES
Ejem plo 19 ¿L a ecuación x 2 + y 2 - e 2z = 0 representa una superficie de
revolución? Ln caso afirmativo, halle el área de la superficie com prendida entre
los planos z — 0 y z = 1 y calcule la longitud de arco de la curva generadora.
Solución
x 2 + y 2 = e 2z representa una superficie de revolución. E l eje de revolución es el
eje z, ( x - 0 , y = 0) y una curva generadora es C: y = e z, x = 0
Para determinar el área de la superficie de revolución com prendida entre los
planos z — 0 y z = 1 (Fig. 7.36), basta considerar el arco de la curva y — e z .
z e [0; 1] en el plano x = 0 y hacerla girar alrededor del eje z. (Fig. 7.37)
i
N
II
0 1 ” z
Fig. 7.36
Luego, el área de esta superficie de revolución es
Fig. 7.37
^~lyJ1+[§]iz*ievl+e”‘¡z
e V 1 + e 2 + ln |
/T~,;—7 i /e + Vi + e2
= - e V 1 + e 2 + ln ------------— —
2 V 1+V2
La longitud de arco de la curva generadora resulta
- V 2
Haciendo la sustitución trigonométrica e z = tan 0 <=* z = ln (ta n 0 ), obtenemos
-arctan e ^ ¿-arctane
------ r ------
sen 0 e os2#
4 4
/•arctan e
- I (ese 9 + tan 9 sec 9) d9
ln
Vi + 1
- ln(V2 - l) + V i + e2 - V 2
374www.FreeLibros.com
TOPICOS DE CALCULO - VOLUMEN II
E je m p lo 20 Calcule el volum en del sólido limitado por las superficies
9 x 2 — 9y 2 + 4 z 2 — 36x — 8z 4- 4 = 0. y = — 1 A y = 4
So lu ción
A l completar cuadrados en la ecuación de la
superficie se obtiene
( * 2 ) 2 + ( z - l ) 2
4 9
Asi. la superficie es un hiperboloide elíptico
de una hoja cuyo centro es C ( 2 ; 0 ; l) .
La gráfica del sólido se muestra en la Fig.
7.38. Las secciones transversales del sólido
perpendiculares al eje y son las elipses
(.x - 2 )z (z - l ) 2
■ ■ - t - —— — — —
4
(x - 2 )2
4 1
■4- ■
9
(z - l ) 2
9 1
= 1 + :
1, donde t =
4 4- y 2
Luego, el área de la elipse (sección transversal) es
/4 4- y 2
A (y) = ír ( 2 V t ) ( 3 V t ) = 6 n :(— - — y 6 [ - 1 : 4 ]
Usando el método de secciones transversales, el volum en del sólido es
- 4 3 r4
j A (y ) d y = - n J (4 + y 2) d y =
Eje m plo 21 Calcule el volum en del sólido limitado por la superficie
y 2 4- z 2 - 2 se n 2* - 2 sen * - c o s2x = 0 y los planos x = 0 y x = n /2 .
So lu ción
L a ecuación se puede escribir com o y 2 + z 2 = ( s e n x 4- l ) 2. Esta ecuación
representa una superficie de revolución cuyo eje de giro es el eje x.
L a sección transversal del sólido perpendicular al eje x es el circulo
y 2 4- z 2 = (sen x + l ) 2, x £ jo;-]
A sí, el área de la sección transversal es
A (x) = 7r(señx 4-1)2. x e [0 ;-|
Por consiguiente, el volum en del sólido resulta
f n/z f 1 , ít(37t 4- 8)
V(S) = I A{x)dx ~ n (sen x 4-1)2 dx = -------
jo 'o
u
375
www.FreeLibros.com
SUPERFICIES
Ejem plo 22 C a lc u le el v o lu m e n d e l s ó lid o lim ita d o p o r las s u p e rfic ie s
o - x , y2Z — —— b ——
4 9
y —
* 4
= z 2
Solución
x y
La ecuación 2z = — + — representa
representa a un paraboloide con vértice
en el origen y la ecuación
„2 ,,2
representa a un cono con
x . y 2
T + T = z
representa a un cono con vértice en el
origen.
Estas superficies se intersecan cuando
L a sección transversal del sólido,
perpendicular al eje z, es el anillo
elíptico cuya área es
A (z) = 7 r ( V 8 z ) ( V l8 z ) - n ( J a z 2) ( V 9 ? ) = I2 n z - 6 n z 2,z 6 [0; 2]
Por lo tanto, el volum en del sólido es
y ( S ) = í (127TZ —6 n z 2)d z = 8n u 3
■>o
E je m p lo 23 U n sólido está limitado por las superficies
1
S i: p = - cot <pese (p (en coordenadas esféricas)
S2: z = 3 (en coordenadas cilindricas)
Bosqueje la gráfica y calcule el volum en
del sólido.
So lu ción
Utilizando las relaciones entre las
coordenadas esféricas y las coordenadas
cartesianas: z — p eos (p,
y = p sen (p sen 0. x = p sen (p cos:0 se
tiene x z + y 2 = p 2 se n 2(p.
3 7 6www.FreeLibros.com
De la ecuación de resulta
cosrf) -, -, , ,,
3 p = ----- r—- <=> 3p 2 se n 2<p = p eos cp => 3 0 " + y ) = z
sen¿q)
Esta ecuación representa a un paraboloide circular.
Por otro lado, la ecuación cartesiana de S2 es z = 3.
L a gráfica del sólido se muestra en la Fig. 7.40. La s secciones transversales del
sólido, perpendiculares al eje z, son círculos de radio r = *Jz~/3. A sí, el área de
la sección plana es
A (z) = y , z 6 [0; 3]
U sando el método de secciones planas, el volum en del sólido resulta
f 3 nz 3n ,
n s ) = Jj T * = y U
Eje m p lo 24 Halle la ecuación de la recta que pasa por el punto Pt (0; - 2 ; 4 ) y
es tangente al cilindro 5: 2 y = x 2 . El ángulo que form a dicha recta con el plano
x y es de 30° (4 soluciones).
So lu ción
Sea P0(a; b; c) el punto de tangencia (Fig. 7.41 izquierda). En la vista horizontal
(visto desde arriba hacia abajo - Fig. 7.41 derecha), se tiene
TO PICO S D E C A L C U L O - V O L U M E N II
y + 2
Pendiente de la tangente: m = (a )
dy y + 2
Tam bién m = — = x. Luego, --------= x (p )
dx x
377
www.FreeLibros.com
SUPERFICIES
Por otro lado, A ( x ; y ; z ) pertenece al cilindro, entonces
2 y = x 2 (y)
D e (y ) y (/?) se obtiene y = 2, x — ± 2
Si se reemplaza m = ± 2 en (a ) se obtiene las ecuaciones de los planos
tangentes Qx: y + 2 = 2x y Q2:y + 2 = —2x
1. Considerando el plano tangente Qt : 2x — y — 2 = 0, se tiene:
P0 E Qi =>2a — b — 2 = 0
P0 £ S => 2b = a 2
D e estas dos ecuaciones se obtiene a = 2 y b = 2
D ado que el ángulo que form a la recta con el plano x y es 30°, entonces
l , __________ i;. - 1 1 _________
l l v í l l 2 + (6 + 2)! + (c - 4 ) 2
Reem plazando el valor dea - 2 y b = 2, se obtiene
1 | c - 4 | 2 V l5
- = => C = 4 ± — - —
4 V 2 0 + (c - 4 ) 2 3
Luego, las ecuaciones de las rectas tangentes son
L x: P = ( 0 ; — 2 ;4 ) + t ^ l ; 2 ; ^ j , t £ R
¿ 2: Q = ( 0 ; - 2 ; 4 ) + A ^ l ; 2 ; - ^ p ^ i A £ R
2. Considerando el plano tangente Q2: 2x + y + 2 = 0, se obtienen las
soluciones:
¿ 3: P = ( 0 ; - 2 ; 4 ) + t ^ - l ; 2 ; ^ p j , t E R
L 4: (2 = ( 0 ; - 2 ; 4 ) + A ^ — 1 ; 2 ; - ^ ) , A 6 R
2 V Í5
Los puntos de tangencia son (— 2; 2; 4 ± — -— )
378www.FreeLibros.com
I. En cada uno de los siguientes ejercicios, discutir y graficar la superficie
representada por cada ecuación
TO PICO S D E C A L C U L O - V O L U M E N II
E JE R C IC IO S
II. E n cada uno de los ejercicios, calcule el volum en del sólido lim itado por las
superficies
III. Halle la ecuación de la recta L que pasa por P ^ O ; - 7 ; 3) y es tangente a la
superficie cilindrica y = 5 - (x - 4 ) 2. La recta L corta a la recta
W- P - (1;1; 1)+ t(0; 2; - 3 ) , t 6 M (dos soluciones)
R. V Q = (0; -7; 3) + t(l; 12; -8 ), t e R
L": R = (0; - 7 ; 3 ) + A ( l; 4; 4), X 6 R
a) x 2 + 4y 2 + 9 z 2 = 36 b) x 2 + 4 y 2 + 4 z = 0
d) x 2 — y 2 — 4 z z = 4
í) x 2 + 9 y 2 = z 2
h) x 2 + 4 y 2 = 4 z 2 - 4 z + 1
j) x 2 + y 2 = 1 + z
I) y 2 + 1 6 x 2 = 64 - 4 z 2
c) x 2 — y 2 + 4 z 2 = 4
e) 4 x 2 + 8 y + z 2 = 0
g) 2 5 y 2 - x 2 - 9 z 2 = 0
i) x 2 — y 2 — 4 z 2 = 4
k) 1 6 x 2 - 9 y 2 - z 2 - 1 4 4 = 0
2) 8 z = x 2 + 4 y 2 , z = 1 R. (V 2 7 i) u 3
R. ( 3 6n )u 3
4) z — x 2 + 2 y 2 , x 2 + 2 y 2 + z 2 = 6 (dos soluciones)
x 2 y 2 z|z|
7) T + V -
4 9
379www.FreeLibros.com

Tópicos de cálculo volumen II MAXIMO MITACC

  • 1.
    n M OL f l f m i l VOLUMEN 2'i ¡ i i y TERCERA EDICIÓNwww.FreeLibros.com
  • 2.
    TOPICOS DE CALCULO VOL.II - INTEGRAL INDEFINIDA - INTEGRAL DEFINIDA •INTEGRALES IMPROPIAS - APLICACIONES DE LA INTEGRAL DEFINIDA - COORDENADAS POLARES - RECTAS Y PLANOS EN EL ESPACIO TRIDIMENSIONAL - SUPERFICIES MAXIMO MITACC MEZA - LUIS TORO MOTA www.FreeLibros.com
  • 3.
    TOPICOS DE CALCULO VOL.II TERCERA EDICION MAXIMO MITACC - LUIS TORO MOTA IMPRESO EN EL PERU PRINTED IN PERU Prohibida la reproducción total o parcial por todos los medios gráficos, sin permiso de los autores. Número de Inscripción en le Registro Nacional de Derechos de Autor N° 160 Impreso en los Talleres Gráficos de: Editorial THALES S.R.L. TERCERA EDICION Mayo del 2009 www.FreeLibros.com
  • 4.
    PRÓLOGO En esta segundaedición de T ópicos de Cálculo Vol. II, nos hem os esforzado por presentar el cálculo integral para funciones reales de una variable real y la geometría analítica en el espacio, en form a tal que resulte de m áxim o provecho a los estudiantes cuyo cam po de especialización no sea estrictamente las matemáticas. L a orientación principal del libro es hacia aplicaciones en diversas áreas de la ciencia, lo cual am plía la utilidad del texto. Aunque en esta edición la estructura básica general no se ha cam biado, se ha realizado una gran cantidad de revisiones. H em os reestructurado casi la totalidad del capitulo 6 y el capítulo 7, se han hecho una gran cantidad de m odificaciones a lo largo de todo el libro, los cuales consisten en ejemplos adicionales desarrollados y redacción de procedimientos. El conjunto de ejercicios propuestos se ha m odificado, con la adición de nuevos ejercicios. E l Libro se divide en siete capítulos. E n los prim eros cuatro capítulos se hace una presentación de la integral indefinida, integral definida, integral impropia, y sus aplicaciones. H em os visto por conveniencia desarrollar primero la integral indefinida con la finalidad de fam iliarizar al estudiante con las técnicas y/o artificios de integración que luego se usan en los capítulos siguientes. El capítulo cinco trata sobre las coordenadas polares y sus aplicaciones. En los capítulos siguientes (del sexto al séptimo), se inicia con una introducción breve de vectores en el espacio tridim ensional y se continua con recta, plano, superficies y se concluye con las coordenadas cilindricas y esféricas. Nuestro propósito es que esta edición no lenga errores, pero es casi un axiom a que todo libro de Matem ática los presente; por tal m otivo consideram os que este texto no sea la excepción, a pesar del esmero y la dedicación puesta para detectarlos y corregirlos antes de su impresión. E n tal sentido, los autores com partim os la responsabilidad de los m ism os, aclarando que dichos errores han sido com etidos solamente por uno de los autores. Querem os expresar nuestro agradecimiento a los profesores y alum nos de todo el país por la acogida brindada a la edición anterior y esperam os que esta nueva edición tenga la m ism a preferencia. L o s Autores www.FreeLibros.com
  • 5.
    I N DI C E C A P I T U L O 1: I N T E G R A L I N D E F I N I D A Antiderivada e integración indefinida.......................................... 1 Propiedades de la integral indefinida..................................... 4 Integrales inm ediatas........................................................... 5 M étodos de integración........................................................ 10 Integración por sustitución o cam bio de variable............. 11 Integración por p arte s.................................... 20 Técnicas de integración........................................................ 29 Integrales de algunas funciones trigonométricas e hiperbólicas 32 integrales de la form a / sen™* cos-x dx y f s , n ^ x cosk’ x dx 32 Integración por sustitución trigonom étrica................................ 45 M étodo de integración por descom posición en fracciones parciales 56 Integración de algunas funciones irracionales......................... 68 C A P I T U L O 2: I N T E G R A L D E F I N I D A Sum atorias............................................................................ 95 Cálculo del área de una región plana por sum atorias.............. 104 Sum a superior y sum a in fe rio r............................................ 112 Integrales inferiores y su p e rio re s.......................................... 115 Integral de Riem ann .............................................................. 116 Propiedades de la integral definida ....................................... 120 Teorem as fundamentales del cálculo integral........................ 121 C am b ia de variable en una integral d e fin id a ........................ 130 Integración por partes en una integral d e fin id a ...................... 134 Cálculo aproxim ado de las integrales definidas................... 144 C A P I T U L O 3: I N T E G R A L E S I M P R O P I A S Integrales im propias con límites infinitos.............................. 149 Integrales im propias con límites fin ito s............................... 152 Integrales im propias con integrando no negativo............. . 161 C A P I T U L O 4: A P L I C A C I O N E S D E L A I N T E G R A L D E F I N I D A Área de regiones p la n a s....................... .................................. 167 www.FreeLibros.com
  • 6.
    Volum en deun sólido en función de las áreas de las secciones planas...... 181 Volum en de un sólido de revolución..................................... 185 M étodo del disco circular y del anillo circular...................... 185 M étodo de la corteza cilindrica .............................. ............... 191 Longitud de a r c o .................................................................. 201 Área de una superficie de re vo lu c ió n ................................... 208 M om entos y centros de masa (ó centros de grave d a d )........... 214 Aplicaciones de la integral en los n e g o c io s............. ............... 229 C A P I T U L O 5: C O O R D E N A D A S P O L A R E S Sistem a de coordenadas p o la re s..................................... ........ 237 Relación entre las coordenadas polares y las rectangulares....... 239 Distancia entre dos puntos en coordenadas p o la re s................... 240 Ecuación polar de una re cta .............................. ..................... 241 Ecuación polar de una circunferencia....................................... 243 D iscusión y gráfica de una ecuación p o la r................................ 244 Intersección de curvas en coordenadas p o la re s........................... 248 Derivadas y rectas tangentes en coordenadas p o la re s.............. 251 Á n g u lo entre dos curvas en coordenadas p o la re s...................... 254 Área de regiones en coordenadas p o la re s........................ ....... 262 Longitud de arco en coordenadas p o la re s................................. 266 Volum en de un sólido de revolución en coordenadas polares.... 268 C A P I T U L O 6 : R E C T A S Y P L A N O S E N E L E S P A C I O T R I D I M E N S I O N A L Vectores en el espacio tridim ensional....................................... 273 Representación geométrica de un vector en i 3 ....... .................. 274 Vectores paralelos en R 3 .......................................................... 276 M ó d u lo y longitud de un vector en K 3 ...................................... 277 Á n g u lo entre dos ve cto re s......................................................... 278 Vectores ortogonales o perpendiculares..................................... 279 • Producto ve c to rial............. ....................................................... 283 Aplicaciones del producto ve c to rial............................................ 285 A plicación del triple producto e sc a la r........................................ 287 Recta en el e sp a c io .............................. ..................................... 295 Relación entre los cosenos directores de una recta....................... 296 www.FreeLibros.com
  • 7.
    Ecuaciones de unplano en el e sp a c io ......................................... 306 Á n g u lo entre dos p la n o s ............................................................. 319 Proyección ortogonal de una recta sobre un p la n o ...................... 320 C A P I T U L O 7: S U P E R F I C I E S E s fe ra .................................................................................... 342 D iscusió n y gráfica de la ecuación de una su p e rficie ................. 347 C ilin d r o s ................................................................................. 352 Superficie de re v o lu c ió n ......................................................... 356 Superficies cuadráticas............................................................. 361 Coordenadas cilindricas y coordenadas e sfé ricas........................ 369 Coordenadas esféricas............................................................... 371 A p lic a c io n e s.............................................................................. 373 www.FreeLibros.com
  • 8.
    ( r '........ ....1............................ ^ INTEGRAL INDEFINIDA ^ ...... .....— ^ 1.1 A N T I D E R I V A D A E I N T E G R A L I N D E F I N I D A En el libro de T ópicos de Cálculo Volum en 1, se trató principalmente el problem a básico siguiente: “D ada una función encontrar su derivada”. Sin embargo, existen m uchas aplicaciones del cálculo que están relacionadas con el problema inverso, el cual es: “D ada una función /, definida en un intervalo /, encontrar una función F cuya derivada sea la función /, es decir, F '( x ) = / (x ), V x G /. D e fin ición 1. Sea / un intervalo y /: / -> M una función. U na función F: / —» M tal que F '( x ) = / (x ), V x G /, se denomina prim itiva o antiderivada de / en / y se escribe F ( x ) = Ant (/ (x )), V x G / Eje m p lo 1. S e a / ( x ) = 4 x 3 , x G R y g ( x ) = e x , x G B . Las funciones F(x) = x 4 y G (x) = e x, x G K, son respectivamente antiderivadas de / y g en E , es decir, F'(x) = ( x 4) ' = 4 x 3 , V x E R G '( x ) = (exy = e * , V x G l Tam bién son antiderivadas de / ( x ) = 4 x 3 las funciones 1007T F1(x) = x 4 + 2, F2{x) = x 4 + ln7i y F3( x ) = x 4 + - pues sus derivadas son iguales a / ( x ) = 4 x 3 Análogam ente, otras antiderivadas de g (x ) = e x son, por ejemplo, V3 G iC x) = e x - 1, G2(x) = e x - e e, C 3( x ) = e x + — y C4(x ) = e x + k donde k es cualquier constante real. www.FreeLibros.com
  • 9.
    Observación i. SiF{x) = A n t ( f ( x )) en I, entonces F(x) + C, donde C es una constante real, es también antiderivada de f en l. lista propiedad es evidente, pues si F(x) = A n t(J{x) ) en I, entonces F ' ( x ) = f ( x ) , V x e l Tam bién ( F ( x ) + C ) ' = F'{x) = / ( * ) , V x 6 /. Entonces F(x) + C = A n t ( f{ x )) en / U na pregunta natural es: “Si F(x) = A n t ( f ( x )) en el intervalo /, ¿cualquier otra antiderivada de / en I difiere de F a lo más en una constante?”. D ic h o de otro modo, si F^x) = A n t ( f ( x )) en /, ¿necesariamente Fr (x) = F(x) + C, V x e l ? La respuesta es afirm ativa y se deduce de la siguiente proposición. P rop osició n 1. Sea / :/ -» E una función definida en el intervalo abierto / y F:I -» E una antiderivada o prim itiva de /. Si :/ -> E es también una antiderivada de /, entonces F1(x) = F(x) + C para alguna constante C. Demostración D efinim os la función H por H(x) = F^x) - F (x ). Entonces H'(x) = Fi(x) - F'{x) = f ( x ) - f ( x ) = 0, V x E l Luego, H'(x) = 0 , V x e l . D e aquí se deduce que H( x) = C , V x e l , donde C es una constante (ver Corolario 1 del T .V .M . T ópicos de Cálculo Vol. 1). Luego, se tiene H(x) = F iC O - F{x) = C <=> F^x) = F(x) + C , V x e l Geométricamente, significa que si F(x) = A n t ( f ( x )) en el intervalo /, cualquier otra antiderivada de / en I es una curva paralela al gráfico de y = F(x) (Fig. 1.1). TO I% ()S DE CÁ LCU LO - VOLUMEN II 2www.FreeLibros.com
  • 10.
    INTEGRAL INDEFINIDA D efin ición 2. Sea F ( x ) una antiderivada de f { x ) definida en el intervalo I. L a integral in d e fin id a 'd e f ( x ) es e f conjunto de todas las antiderivadas de f ( x ) definidas en dicho intervalo y se representa mediante el sím bolo J f ( x ) d x = F (x ) . + C donde C es una constante real que se denom ina constante de integración. L a función / ( x ) se llam a integrando, f { x ) d x es el elemento de integración, x variable de la integral- y el sím bolo j se denom ina sím bolo de la integral. La expresión / / ( x ) d x se lee “integral de f ( x ) con respecto a x ” o “integral indefinida de / ( x ) diferencial x ”. Observación 2, De la definición 2 se deduce las siguientes propiedades: i) ^ ( J / ( x ) d x ) — ( J / ( x ) d x ) = ( F ( x ) + c y = f (x ) , es d e c ir : “la derivada de la integral indefinida es igual al integrando " ti) d / ( x ) d x j = / ( x ) d x j d x = f { x ) d x ¡ii) Si f es una función derivable en I, entonces una primitiva de f es f. Luego, J f ' { x ) d x = f ( x ) + C iv) Como d { f { x ) ) = / '( x ) d x , de (iii) se deduce: J d ( / ( x ) ) = f ( x ) + C D e las propiedades ii) y iv), se concluye que la integral indefinida puede interpretarse com o una operación inversa de la diferenciación, pues al aplicar la integral indefinida a la diferencial de la función f { x ), ésta reproduce la función / ( x ) m ás la constante de integración. E je m p lo 2. D e l ejemplo 1 se deduce: i) J e xdx = e x + C ii) J 4 x 3d x = x 4 + C E n la figura 1.2 se muestra la gráfica de las antiderivadas de / ( x ) = e x, es decir, de F ( x ) = e * + C , donde C es una constante real. S i C > 0, la gráfica de y = e x se desplaza paralelamente C unidades hacia arriba y si C < 0, se desplaza paralelamente C unidades hacia abajo. 3www.FreeLibros.com
  • 11.
    TÓPICOS DE CÁLCULO- VOLUMEN II Ejemplo 3. Como d (x ln x - x ) = ln x dx, por la obs. 2-iv , se deduce: J d ( x l n x — x ) = J n x dx = x l n x - x + C , , í 1 x Ejem plo 4. J - ^ —j = - arc ta n -+ C , pues n x ' 1 (-a r c ta n - + C) = - 1 __ 2__ X^ 1 +=r4 1 4 + x 2 1.2 P R O P I E D A D E S D E L A I N T E G R A L I N D E F I N I D A P rop osició n 2. Si / y g son funciones que admiten antiderivadas en el intervalo / y k es una constante cualquiera, entonces las funciones / ± g y k f admiten antiderivadas en / y se tiene: a) [ íf (x ) ± g ( x ) ] d x = J f ( x ) d x ± J g (x )d x b) I [k f(x )]d x = k j f ( x ) d x D em o stració n a) Com o | J [/ (x ) ± 5 (x )]d x j = / (x ) ± ^ (x ) = / (x )d x j ± J g ( x ) dx , entonces J [f(x) ± g ( x ) ] d x y J f ( x ) d x ± J g(x)dx son las antiderivadas de / ( x ) ± g ( x ) . Por tanto, j [ / ( * ) ± 9 (x)]dx = J f ( x ) d x ± j g ( x )d x b) L a dem ostración queda com o ejercicio para el lector. D e la parte (a) se deduce que la integral indefinida de una sum a algebraica de varias funciones es igual a la sum a algebraica de sus integrales. E je m p lo 5. Calcule j (e x - 4 x 3 + ln x )d x . Solución. E n virtud de la proposición 2 y de los ejemplos 1, 2 y 3 se obtiene: J (e x - 4 x 3 + ln x ) d x = J e xdx - J 4 x 3dx + J l n x d x = ( ex + Ct ) - ( x 4 + C2) + ( x l n x - x + C3) = e x - x 4 + x In x - x + C, d on d e C = Cx + C2 + C3 En lo que sigue solamente usarem os una constante única de integración para la sum a de 2 o m ás funciones. 4 www.FreeLibros.com
  • 12.
    S i conocemos f ' ( x ) , por la observación 2-iii se deduce que j f ' ( x ) d x = f ( x ) + C ó J d ( f ( x ) ) = f { x ) + C Esta integral se denom ina integral inmediata. Por ejemplo, una integral inmediata es / dx = x + C. Enseguida, presentaremos una tabla de integrales inmediatas, que contiene, además de las integrales de funciones elementales, otras que serán de m ucha utilidad. Por comodidad, en lugar de la variable x usarem os la letra u. M á s adelante, verem os que u puede ser una función, es decir, u = u (% ). F Ó R M U L A S E L E M E N T A L E S D E I N T E G R A C I Ó N 1. J du = u + C 2. j — = ln|u| + C f un+1 f 3. undu = ---------------- + C ,n — 1 4. e udu = e + C J n + 1 J f ciu f 5. a udu = --------b C 6. | sen u du = - c o su + C J ln a J 7. J eos u d u = sen u + C 8 .j tan u d u = ln[sec u| + C 9. J c o tu d u = ¡njsen u¡ + C 10. J secu du —ln|secu + tan u| + C ” ■ / ese u du = ln|csci¿ — coti¿| + C 12. Jsec2u du = tan u + C 13. J csc2u du = —cot u + C 14. J secu tan u du = secu 4- C 15. J ese u cot u du = — ese u + C 16. J senh u du = cosh u + C 17. j cosh u du = senh u + C 18. j tanh u du = ln|cosh u| + C 19. J sech2u du = tanh u + C 2 0 . J cschJu du = -c o th u + C 21. J se c h u tpnh u d u = — se ch u + C 22 . J c sc h u coth u d u = — c o sh u + C INTEGRAL INDEFINIDA 1.3 IN T E G R A L E S INM ED IA TA S 5www.FreeLibros.com
  • 13.
    ■h ■ h du + u-a TOPICOS DE CALCULO - VOLUMEN II 1 U arctan —+ C , (a > 0) 1 u —a = — ln 2a u + a 1 u + a = — ln 2a u - a + C , (a > 0) + C , (a > 0) 26 f du u —= = = arcsen - + C , (a > 0) -a rc se c ------1- C , (a > 0) a 29 30 a rc se n - + C , (a > 0) a j f du i ,-----------1 27. I - p = = In u + V u 2 ± a 2 + C v u 2 ± a 2 r du 1 28. — ;..= - J u v u 2 — a 2 a . J yja2 — u 2du = —juVa 2 - u2 + a j yj'u2 + a 2du = - |u%/u2 + a 2 4- a 2 ln (u + J u 2 + a 2)j 4- C 31. J yju2 - a 2du = - [u v u 2 - a 2 - a 2 ln |u + V u 2 - a 2j] + C Cada una de éstas fórm ulas se pueden verificar mediante la derivación (respecto a la variable u). Por ejemplo, en el caso de la fórm ula 24 se tiene: dd / 1 iu —ai 1 du 2 a n lu + aU 2a (ln|u - a - ln|u + a|) ¡L UU 1 1 1 1 2a u - a u + a P or tanto f du 1 iu - ai ■ I —^------j = t;—ln --------- + C J u'- — a 2 2a lu + al En el caso de la fórm ula 18, se tiene: d s e n h u — (In cosh u|) = — —— .?= tanh u du cosh u De lo a n te rio r se deduce que J tanh u d u = ln|cosh u| + C. 6 www.FreeLibros.com
  • 14.
    Ejem plo 6.Calcule J ( 6x 4 - x 2 + 3)du. Solución U sando las fórm ulas de integración, tenemos J (6x 4- x 2 + 3)du = J 6x 4dx - J x 2dx + J 3dx = 6 J x 4dx - J x zdx + 3 J dx 6 x 3 = - x 5 - — + 3x + C Ejem plo 7. Calcule J (v 2 —[x)2dx. Solución C om o (V 2 — V * ) 2 = (2 — 2 V 2 V x + x ), entonces se obtiene j (V2 - yfx)2dx =2 J dx - 2V 2 J x 1/2dx + J xdx r 3/2 y 2 = 2 „ _ 2 V 2 _ + y + C = 2 x - ^ 4 2 x 3/z 4 - ^ x 2 + C f 3 x 5 — 6x 2 + yfx Ejem plo 8. Halle I ------------------- ---- dx. J x 6 Solución D ividiendo término a término el integrando y aplicando las propiedades de la integral, se tiene f 3 x s - 6 x 2 + tJ x f f dx f I ---------- --------------dx = 3 I x dx - 6 I ------ ¡- x s/2dx 2 - x 3 - 6 nx ~ - x 3l2 + C En los ejemplos anteriores, el método para hallar las integrales consistió en tratar de descom poner el integrando como la sum a algebraica de varias funciones y luego aplicar las propiedades enunciadas en la proposición 2. Este método es llamado "método de integración por descomposición”. E n ciertas funciones, descom poner la función en sum as parciales no es tarea fácil, pues depende de la experiencia, habilidad y práctica del que calcula. INTEGRAL INDEFINIDA 7www.FreeLibros.com
  • 15.
    / TOPICOS DE CALCULO- VOLUMEN II dx Ejemplo 9. Calcule , J se nh 2x cosh-x Solución 1 cosh2x - senh2x Como -----—----—— = -----------—---------—— = csch^x - sech2x, entonces se n rrx cosh -x senh2x cosh^x / se n h 2x c o sh 2x = / CSCh2* dx ~ / Sech2* dx = ~ COth X “ tanh x + C r x 2 + 2 Ejem plo 10. Encuentre ■ --------dx. J x 2(x2 + 4) Solución Expresando el num erador del integrando en términos de los factores del denominador, resulta 2 1 + 2 = x z + - (x z + 4 - x 2) = - [(x 2 + 4) + x z] Ahora, escribim os la integral como la sum a de dos integrales (haciendo las sim plificaciones en cada integrando) y obtenemos í * ¿ + 2 l f i ! + ( i 2 + 4 ) i r dx 1 r dx J x 2( x 2 + 4 ) X ~ 2 j x 2( x 2 + 4 ) 2 J x 2"+~4 + 2 J x 2^ 1 rl 1 ~ 2 l2 í i ri x : arctan - + 2 1 X 1 -a r c ta n - - — + C 4 2 2x í x 2 —5 Ejem plo 11. Halle / = — —— — dx J x 2(x 2 - 9) Solución Procediendo del m ism o m odo que en el ejemplo anterior, resulta x 2 — 5 = x 2 + | ( x 2 - 9 - x 2) = | ( x 2 - 9) i- -”X 2 9 9 9 _ f í * 2 + | ( * 2 - 9 ) 4 r dx 5 r dx J x 2( x z - 9) d x - 9 j x 2 - 9 + 9 j I 2 4 1 = 9 ' ¿ ln x + 3 x —3 5 2 ix + 3| 5 ~ 9 x + ° ~ 2 7 lnL —31 ~ 9 x + C 8 www.FreeLibros.com
  • 16.
    INTEGRAL INDEFINIDA 3 dx Jx 2(x2 + 5) So lu ción Usando el m ism o procedimiento de los ejemplos anteriores, se obtiene 3 3 3 3 = - (x2 + 5 — x 2) = — (x2 + 5) - - x 2 . Luego, 3 , 7 . , . , , 3 2 j Ejemplo 12. Halle _ r ^ ( x 2 + S ) - ^ x 2 dx ^ 3 r d x 3 r J x 2(x 2 + 5 ) 5 J x 2 5 J x 2 + 5 3 x arctan — + C 5x 5 V 5 V 5 Ejemplo 13. Sea /: R -> K una función continua en E tal que m =2 y = * e e x, x > 1 Determine f (x ) . Solución ( - 1, oo < x < 0 f - x + Cu x < 0 / '( x ) = | 1 . 0 < x < l =>f ( x ) = I x + C2 , 0 < x < 1 l e * , x > l l e * + C3 , x > l D e la continuidad de / en E, se tiene 0 / (O ) - l*m / ( x ) = ü m / ( x ) <=* 2 = C, = C2 (1 ) x-»0_ ii) / ( l ) = lim _ / (x ) = lim + / ( x ) «=> 1 + C2 = e + C3 ( 2) Resolviendolas ecuaciones (1) y(2), se obtiene: = 2, C2 = 2 y C3 = e - 3. í - x + 2 , x < 0 P o r tanto, / ( x ) = | x + 2 , 0 < x < 1 le* +e - 3 , x > 1 Observación 3. Una identidad útil en el proceso de integración es 1 1 a2- u2 2a a —u a -r u 9www.FreeLibros.com
  • 17.
    TÓPICOS DE CÁLCULO- VOLUMEN II f dx Ejem plo 14. Calcule I — — Solución U sando la identidad de la observación 3, se tiene (■ dx _ 1 f r 1 1 J x 4 —9 ~ ~ 6 J ix 2 + 3 + 3~—~} 111 * 1 - — a rc ta n — + — — ln 6 LV3 V3 2V3 x 2 + 13 dx + V 3 - V 3 + C f x + 13 Ejem plo 15. Encuentre - -- dx. J V F T 9 Solución Trabajando de manera adecuada en el numerador del integrando, se obtiene f x 2 + 13 , f ( x 2 + 9 ) + 4 f r—------ f dx . dx = — — dx = yjx2 + 9 dx + 4 1 J V x 2 + 9 J V x 2 + 9 J J V * 2 + 9 = - j * V * 2 + 9 + 9 ln (x + yjx2 + 9 )] + 4 ln (x + j x 2 + 9) + C = 2 [ W * 2 + 9 + 17 ln (x + J x 2 + 9)] + C 1.4 M ÉTO DOS DE INTEGRACIÓN Antes de presentar los métodos de integración “por sustitución o cam bio de variable” y “por partes”, es necesario hacer notar una diferencia esencial entre las operaciones de derivación y de integración. Dada una función elemental (función que se obtiene mediante un número finito de operaciones de suma, resta, multiplicación, división y com posición de funciones de las funciones: constante, potencia (y - x a ), exponencial (y = a x), logarítm ica (y = lo g a x), trigonométricas y trigonom étricas inversas), su derivada mantiene la m ism a estructura, es decir, también se expresa com o una función elemental, mientras que en la integral indefinida, esto solamente sucede en condiciones m uy especiales. Por ejemplo, las integrales sim ples com o l ^ i x . f e * d x . J V i + x 3 dx , J ser¡(x2) d x , j c o s( x 2) dx no pueden ser expresadas en términos de “com binaciones finitas” de funciones elementales. 10www.FreeLibros.com
  • 18.
    INTEGRAL INDEFINIDA Del puntode vista práctico, la integración se presenta como una operación más com plicada que la derivación, pues ésta tiene reglas generales de derivación; mientras que para la integración es posible hacer artificios que son válidos para clases particulares de funciones. Cada caso particular requiere un ensayo, una tentativa, por lo que se recomienda práctica, más práctica y más práctica. 1.4.1 I N T E G R A C I Ó N P O R S U S T IT U C IÓ N O C A M B I O D E V A R I A B L E Para hallar la integral indefinida por este método, dividim os nuestro análisis en dos partes: reconocim iento del m odelo y cam bio de variable. En el reconocim iento del m odelo realizamos la sustitución mentalmente, mientras que en cam bio de variable escribim os los pasos de la sustitución. El procedimiento de sustitución en la integración es comparable con la regla de la cadena en la derivación. Recuerde que para funciones derivables y = f { u ) y u = g (x ), la regla de la cadena establece Si hacem os la sustitución u = g(x), entonces a partir de la definición de la integral definida tenemos A sí, hem os probado la siguiente proposición: ] P ro p o sició n 3. Si y = f ( u ) es una función derivable de u, u = g ( x ) es una i función derivable de x y F es una antiderivada de /, entonces | J f ( g ( x))g'(x)dx = F(g(x)) + C (Reconocim iento del m odelo) Si hacemos el cam bio de variable u = g(x), entonces du = g '( x )d x . Luego, d J f ' { g ( x ) ) g ' ( x ) d x = f { g ( x ) ) + C = f ( u ) + C J f ( g ( x ) ) g ' ( x ) d x = J f ( u ) d u = F ( u ) + C Ejem plo 16. Calcule J (x 3 + l ) 4 3x2 dx. Solución Sea t = x A + 1 . entonces d t = 3 x 2 dx . Luego, IIwww.FreeLibros.com
  • 19.
    TOPICOS DE CÁLCULO- VOLUMEN II í X 4 Ejemplo 17. Halle la integral I -dx. J Vx5 + 1 Solución Si t = x 5 + 1 , setiene d t = 5x 4d x . Entonces f x 4 , 1 f 5x 4dx i r ,,, 1 7 £í„ T 'f •- dx = r Tr , = c f “ d t = - - - t 6/7 + C J Vx5 + 1 5 J Vx5 + 1 5 J 5 6 = ¿ 7 ( * 5 + i ) 6 + c r Sexdx Ejem plo 18. Calcule la integral J - ^ = = = = . Solución Si u = e x , se tienedu = e * d x . Luego, se obtiene f S exdx f du ...... = 5 --- = 5 arcsen u + C = 5 arcsenfe*) + C J Vi - e2* J V l^ ü 2 f s e n h x c o s h x Ejem plo 19. Calcule I = — ----------— - — dx. J (1 + senh 2x ) 5 Solución S i consideram os u = 1 + se n h 2x , se tiene d u = 2 senh x cosh x d x . Luego, f ? du 1 í 1 u“4 1 / - J - ¡ ^ - 2 j U d U ~ 2 ( ^ ) + C - - 8(1 + s e n V x y + C f arcsenV x dx Ejem plo 20. Halle I — ■ = = — . ■/ V x — X 2 Solución r- . ' 1 d x d x Si se hace u = a rc se n V x , se tiene du = ------- — = = — ■— ..... . Por tanto, V T ^ x 2V x 2V x - x 2 r arcsenVx dx f 2 J — — = J 2u d u = u + C = [arcsenVx] + C = arcsen2Vx + C Observación 4. En ciertos casos, es necesario realizar algunas operaciones en el integrando para que el cambio de variable sea másfácil de realizar. 12www.FreeLibros.com
  • 20.
    INTEGRAL INDEFINIDA Ejemplo 21.Calcule I I 2 + J2 + J 2 + 2cos (5/x + 4) •x 1/2dx. Solución En el integrando, aplicam os la identidad trigonométrica 9 1 + eos 9 eos — = ------ — 2 2 Q ó 1 + eos 0 = 2 e os2 — - í 1 = 2 + 2 + |2 [ l + eos (5V3c + 4)] •x i/2dx -i. !2 + 12 + 2 cos 5-^ + 4 ■x~1/ 2dx = J 2 + 2 eos 5 V * 4- 4 1/2dx 5 V x + 4 5 _ . 16 Si u = ----- — -, entonces du = —~x ,¿dx <=> — du = x ' ‘ d x . Luego, 8 16 5 32 f 32 32 / 5 V x + 4 / = — I eos u du = — sen u + C = — sen I ----- g— | + C Ejem plo 22. Halle / = J x dx e3* ( l - x)4 Solución Luego de expresar el denom inador en una sola potencia, tenemos x e x dx C x e x dxf xe dx r xe = J e 4x( l —x ) 4 = J (ex —.e 4x( l —x ) 4 J (ex - x e x)4 Lucho, hacemos u = e x —x e x . Entonces du = —x e xdx ■*=> —du = x e xdx l)c esiii manera, se obtiene: / f du _ 1 J u4 3u 3 + C = 3 e 3* (l - x ) 3 + C 13 www.FreeLibros.com
  • 21.
    TOPICOS DE CALCULO- VOLUMEN II Ejemplo 23. Calcule / = J (x 2 - 1)dx (.x 2 + l)V x 4 + 1 Solución D ividiendo el numerador y el denominador entre x 2 , se tiene , = f f t 1 ~ x 1) dx Si u = x + - , entonces du = ( l -----t ) dx x x 2) V u2 = x 2 + — + 2 ^ u 2 — 2 = x 2 + — . Por tanto, se obtiene x 2 x- r du 1 |u| 1 ( x 2 + 1 I = — ...... = — aresee — + C = — aresee ■ J x W u 2 — 2 V 2 V 2 V 2 V 2 |x| f x + 2 Ejemplo 24. Calcule / = I -------- ^ “.x. J (X — i-J Solución Si hacemos u = x—2 , se tiene du = dx . Luego, / = J (U +J )dU =| (u~3 + 4u-4)du u “2 4 , 3 x + 2 = - — " 3 “ +C = - ^ 2 F +C r xíix Ejem plo 25. Calcule / = | f = . Ii + x 2 + 7 ( i + x 2) 3 Solución La integral puede escribirse com o x d x f x d x / 1 + x z + V ( l + x 2) 3 V l + W l + V l + x 2 ,--------- x dx Si consideram os i¿ = 1 + V x 2 + 1< entonces d u = . Luego, V x 2 + 1 / = J — = J u í/2du = 2 Vü + C = 2J 1 + V 1 + x 2 + C 14www.FreeLibros.com
  • 22.
    Ejem plo 26.Calcule I = J x V x + 4 dx. So lu ción Si se hace u = V * + 4 , entonces u 2 = i + 4 y d x / = [ (u2 - 4 )u. 2u du = j (2 u4 - 8u 2)du INTEGRAL INDEFINIDA 2u du . Por consiguiente, (x + 4 ) 3/2 15 ( 6 x - 1 6) + C E J E R C I C I O S J 4 x(x + 1)dx 4 d x Vó — x ^ d x /?. - x 3/2 + 3 x + C R. ^ x 5/z + 3 x3/2 + C /?. 4 arcsen — + C V6 x ( x 2 — 8 ) 7 x 2 + 16 x 4 + 4 x 2 18 d x 9 x z - x 4 3 d x x 2 + 4 x - 5 4 dx V — 4 x 2 — 2 0 x — 9 J V ~ 4 x 2 - 12x - 5 d x 1 * ~ 16ln x 2 - 8 + C 3 x 4 /?. - a r c t a n ---------- 1- C 2 2 x /?. 2 1 in x 3 n x - 1 x + 5 x + 3 + C + C 2 x + 5 R. 2 a rc se n ------------ i- C R. (2 x + 3 ) V ~ 4 x 2 - 1 2 x - 5 + 4 arcsen 2 x + 3 + C 10. II. 2X3X -dx (D'ÍE^s)-3 /6' * 25 scn h x d x (1 + cosh x ) 3 dx c o s 2( l - 4 x ) R. -■ ■+C 2(1 + c o s h x ) : R. - - t a n ( l — 4 x ) + C 4 15 www.FreeLibros.com
  • 23.
    TONICOS Dii CÁ LC U LO - V O LU M LN II 13. J cos(7x + 4 ) d x 14. J c l'2x~r,) dx 15. J (lnX+ l ) e xlnxdx 16. dx x ln2x f dx 17. --------- J x lnx 18. J 4 xe x dx dx 19. 20./ sen2x V c o tx - 1 tan2x sen x e c o sJx ev*3e 2'. I ‘I dx 23. (1 4- x 2) ln(x 4- Vi + x 2) arctan* + x l n ( x 2 + 1 ) 4 - 1 1 -f X 2 1 R. - s e n ( 7 x 4- 4) 4- C R. - e i2x- ^ 4- C R. x x + C R. —--------b C In x R. ln IIn x I 4- C (4 e )x R. ------ ~ + C 1 4- In 4 3 R. - - ( c o t x - 1 )2/3 4- C R. - e ta,>2* 4- C 2 ( 3 eÆ ) R. t~ T ~ + cIn 3 R- 2 J l n ( x 4- -J1 4- x 2) 4- C dx R■ e arctanx 4- — ln(x2 4- 1) 4- arctan x 4- C 4 24, 25 26 J i I ■ / sen x dx ■dx R. sen x 4- ■ •*+■ C 1 4- cos lO x dx R. — tan 5 x 4- C V 2 x 4- 1 - yjx R. 2 ( V 2x 4- 1 4- V x ) — 2 [a rc ta n V 2 x 4- 1 4- a rcta n V x ] 4- C ^ f ( X 2 - 2 x + l ) 1/5 j 27. -------- ---------------- dx J 1 - x R. - - ( x - 1 ) 2/5 4-C 16www.FreeLibros.com
  • 24.
    28. J x2x(nx + 1)dx ' V2 + x 2 —V2 —x 2 x 2x R . — + C INTEGRAL INDEFINIDA 29. 30. 31. 32. 33. 34. 35. 36. 37. 38. 39. 40. 41. 42. f / V ^ T h V4 — x 4 dx -dx + sen x x - arctan 2x + 4 x 2 ln ( ln x ) ■dx f ln (ln x j J x l n x I dx 2X 4- 3 dx V e * - 1 x c o s x / f sen x J / V2 - se n 4x dx 4 + 5 c o s2x dx 4 + 5 se n 2x dx -.dx ex + 4 In 3x x In 5 x d x ln (x + V x 2 + 1) / i / / v r 43. j Vl + c o s x dx «. J. 1 + x2 + se n x d x d x *• arcsenf t ) - senl’" ' © + c /?. - [(x + l ) 3/2 — (x - l ) 3/2] + C R. tan x - s e c x + C 1 1 /?. - l n ( l + 4 x 2) - - a r c t a n 2(2 x ) + C o Z 1 R. - l n 2( ln x ) + C R. - x - ^ K 2^ 3) + c R. 2 arctanVfc^ - 1 + C R. - a r c s e n _ 2 V2 + C 1 (2 tan x R. - a r c t a n ) — -— ) + C R. 1 (L tan x A 3 J (2 cot x V 3 )■ arctan ( — =— |+ C 1 R. - - l n ( l + 4e x) + C R. In — ln|ln5x| + ln x + C R. - [ln (x + V x 2 + 1)] + C R. — 2 V l — sen x + C e x + e x R. 2 V l - c o s x + C R. a rc ta n (e *) + C 17www.FreeLibros.com
  • 25.
    y f W- TOPICOS DE CÁLCULO - VOLUMEN II d x 4f dx 4 45' ~ r = = /?• ~(Vx + 1) 3/2 - 4(Vx + 1)1/2 + C J vvx + 1 á 4 8 . I j;Z sen l 'fsenx + x ros r In r id r ß , ì x 2 senx + ^ 2 ' f arctanVx • J v ï + æ + x * d x R • tarctan^ r+ C *n í ( x - 2 ) , _ _ f y f x 2 - X + l ' j *• 2 arcse" (-----Ï----- ) + c 3. j x2senx~i(senx +xcosx Inx)dx '■ í ~ i------ —------ R. J l n x + V l n x + ... + C e lr,(2x)4 in x + V ln x + ... + o o — x f eos 6x + 6 eos 4x + 15 eos 2x + 10 J eos 5x + 5 eos 3x + 10 c o s x dX R - 2 s e n x + C f sen 8 x d x 1/'sen24x 5L I 9+ senHx R' J^arctan(— 3— j + C f c o s2x (t a n 2x + 1) 1 52. —---------- ----------- —— dx R --------------------- 1- r J (sen x + c o s x ) 2 1 + tan x 49. f Ise c x - tan x b3‘ J Jse c x + t a n x d* R' >n|secx + tanx| - ln(secx) + C 54. J c s c 3x d x R. - - [ e s c x c o tx 4- ln|csc x - cotx|J + C 55. J s e c 3x d x R. - [ln lse c x + tan x| + s e c x tan x] + C f e 2x 2 5 6 ' J 4 t+~é*dX fi- - ( e í - l ) 3/2 - 2 (e I + l ) 1',2 i - C r V ^ T e arctan * + ln f ( l + x 2)'íx2eX- x2] + V é ^ = T 57. I ---------------- *-------------dx J l1 4- y ^-!p x 4- y2pX — v2 — 1 R. earctan* + ^ ln 2 ( l + x 2) + arctanx + C 4 q s f x d x n 1 J ( x - l ) 5e4x R■ ~ 4 (x —l ) 4e4Ar + C 18www.FreeLibros.com
  • 26.
    2ex + ex 59- 1 3^ - ^ dx In x dx x 3( ln x — l ) 3 4 dx 60 61 / / f ---------- = J cos x v l - INTEGRAL INDEFINIDA fi. l n |V 3 e 2* - 4 V 3 - e " 2*| + C 1 R. - 2 x 2( ln x - l ) 2 + C se n 2x + 2 c o s2x _____________________ R. 4 ln [(tan x — 1) + V ta n 2x - 2 tan x + 3] + C 62. J (4 — 3 l n x ) 4 d ( ln x ) f e * V e * + 2 J ex + 6 x 5 dx 63 •dx ■ / ■ J x 3 - 8 . 1 + tan x 65. | -------- — d x sen 2x /?. - — ( 4 - 3 1 n x ) s + C Ve* + 2 fi. 2 V e * + 2 - 4 a rc ta n ----- -------- h C x3 8 fí. Y + - ln | x 3 - 8 | + C /?. -ln | c sc 2 x - cot 2x + tan x + C 6 6 . U n a función /: R - «o ) = - f y / ' W = l2 + 1 es continua en E y satisface: x + |1 - x| Halle f(x ). x < 1 R. /W = arctan* - 2 ' (. ln ( x 2 + 1) - arctan x - In 2 , x > 1 67. H alle la ecuación de la curva para el cual y" = y que es tangente a la x 2 recta 2 x + y = 5 en el punto (1; 3) R. y = —+ 1 68. Halle la ecuación de la curva cuya tangente en el punto (0; 2) es horizontal y / 10 tiene punto de inflexión en ( — 1; "g- ) y y " ; = 4. 2 vR. y = - x 3 + 2 x 2 + 2 x 2 + V i + x 69. E n cuentre la an tid eriva d a de / ( x ) = — j---— — , de m od o que dicha antiderivada pase p o r P ^0; VTTx 7 0 9 2 80/ , „ r3 , 6 3 6 _______ R. (1 + x ) / - (1 + x ) - - (1 + x ) + - + - V l T x L8 5 L 1 + 1 19www.FreeLibros.com
  • 27.
    Sean u yv dos funciones definidas y derivables en el intervalo /. Por la regla de la diferencial del producto, se tiene d ( u v ) = u d v + vdu Podem os reescribir la expresión como u dv = d ( u v ) - vdu Integrando am bos lados de la igualdad se obtiene la fórm ula J u d v = u v —j vdu Esta fórm ula es conocida com o fórmula de integración por partes. Observación 5. La idea básica de la integración por partes consiste en calcular la integral original mediante el cálculo de otra integral, la cual se espera que sea más simple de resolver que la integral original dada. Para descomponer el elemento de integración en dos factores u y dv, normalmente se elige como la función u aquella parte del integrando que se simplifica con la derivación y d v será el factor restante del elemento de integración. Esta no es una regla general, pues en la práctica la habilidad y la experiencia del que calcula son las mejores herramientas. Observación 6. Cuando se determina la función v a partir de su diferencial dv, no es necesario considerar la constante de integración, pues si en lugar de v se considera v + C, C constante, entonces j u d v = u ( v + C) - j (v + C)du = uv - J v du Esto significa que la constante C considerada nofigura en el resultado final. Ejem plo 2 7 . Calcule j ln x dx. Solución De acuerdo con la sugerencia dada en la observación .2, elegim os 1 u = ln x = > du = - dx x dv = dx = s v = J dx = x (no se considera la constante de integración) Por la fórm ula de integración por partes, se obtiene í , f x dx J ln x dx = x ln x - I - x n x - x + C TOPICOS DE CÁLCULO - VOLUMEN II 1.4.2 M ÉTO D O DE INTEG RA CIÓ N POR PARTES 20www.FreeLibros.com
  • 28.
    Ejem plo 28.Calcule I = J (x2 + 3x - 1) e Zxdx. Solución Escogem os u = x 2 + 3x — 1 = > du = (2 x + 3)d x d v _ g 2x^x ^ v — J e 2xdx = — e 2x Luego, obtenemos / = - ( x 2 + 3x - l ) e 2x - J ( * + 2 ) En la última integral (m ás sim ple que la original) aplicam os nuevamente la integración por partes con ( 3 ¡u = x + - = $ d u = dx d v = e 2xdx = * v = - e 2x 2 INTEGRAL INDEFINIDA Por lo tanto, / = - ( x 2 + 3x - l ) e 2x 02x = ( x 2 + 2x - 2) — •+ C Ejem plo 29. Calcule / = J e ax cosbx dx. Solución Escogem os <u = e ax => du = a e ax dx 1 d v = eos bx dx = > v = 7- sen 6x b Entonces, 1 / = - e a* sen 6 x b ~í¡ e axsen bx dx = - — sen bx b ¡íe axsen bx dx Integrando nuevam ente p o r partes en | e ax sen bx d x , escogem os Cu = e ax = > d u = a e ax dx /' |d y = sen bx dx =* v = — —cosbx 21www.FreeLibros.com
  • 29.
    ^ = ~be<XX'S6n ~ ~b [ ~ b G<ÍXC° S + b í eaXQ0S^x d x ó 1 a a 2 1 = - e ax sen bx 4- — e a* c o s b x - ~ I o b z b 2 Ahora, se despeja / dela última ecuación y al resultado final se sum a la constante de integración 1 . a2 , a x í s e n b x a c o s b x e ax 1 = — — (b sen bx 4-a eos bx) + C a 2 + b 2 ' Ejem plo 30. Calcule / = j sec5x dx. Solución En primer lugar, escribim os la integral dada como TÓPICOS DE CÁLCULO - VOLUMEN II De esta manera, se obtiene / = J se c 5x d x = J sec3x. sec2x d x jltima integral, f u = se c3x = '■dv = se c 2x i En la última integral, utilizam os integración por partes eligiendo (u = se c3* = * du = 3 se c3x tan x dx • dx =$ v = ta n x Entonces, / = tan X se c 3x - J 3 sec3x ta n 2x dx l = tan x se c 3x - J 3 se c3x (s e c 2x - 1)dx I = tan x se c3x - 3 j se c 5 x dx 4- 3 J sec3 x dx I = tan x sec x - 3 / 4 - 3 J V I + tan2x se c 2x dx 3 41 = tan x se c Jx 4- - (s e c x tan x 4- ln|secx 4- ta n x| ) 1 3 / = - tan x se c 3x 4- - (sec x tan x 4- ln|secx 4- ta n x | ) 4- C 22 www.FreeLibros.com
  • 30.
    INTEGRAL INDEFINIDA Ejempia 31-Calcule J x arctan x dx. So lu ció n Escogem os dx u = arctan x => du — ■ 1 f x 2 dx / = x arctan x dx = — arctan x 2 2 J 1 + x 2 x 2 d x 'f x dx Para calcu lar la integral ------- r , se efectúa la d ivisió n y se tiene: J 1 + r , = T araan)I‘ l / ( i - r í ^ ) * r X 2 1 ( x 2 + 1) 1 = — arctan x - - ( x - arctan x) + C = ----- ------ arctan x - - x + C ¿ L> £* Lt f c o sx + x sen x — 1 E je m p lo 32. Calcule / = J ----- ^ x— ^ 2— c o sx + x sen x —í 32. Calcule / = j So lu ción Utilizando la identidad se n 2* + c o s2x = 1, escribim os la integral com o f c o s x + x sen x - se n 2x - c o s2x Í = J (se n x - x ) 2 f - c o s x ( c o s x - 1) - sen x (se n x - x) 1 I ---------------^ ^ / (se n x - x ) 2 ■c o s x ( c o s x — 1) f sen x dxf - c o s x ( c o s x - 1) f J (sen x - x ) 2 J (sen x - x) I Para la integral J, aplicam os la integración por partes con Í u = —eos x => du = sen x dx ( c o s x - 1 )dx ^ _ 1 dV ~ (se n x - x ) 2 ^ v ~ (Sen x - x) Luego, c o s x " f s e n x d x f s e n x d x / = --------- + f sen x d x f J (se n x - x ) Jsen x - x J (se n x - x ) J (se n x - x ) Por lo tanto, cosx / = -------------- + C sen x - x www.FreeLibros.com
  • 31.
    Ejem plo 33.Calcule / = J dx. Solución Separando la integral en la sum a de dos integrales, se tiene I = J ~ d x + J e x n x d x ¡ Para la integral / , hacemos j u ~ ^ n x = > d u = — vdi? = e x d x =$ v — e x A sí, 1= j ~xdx+eX]nx~I ~^dx=e * l n * +c r ^.garctan* Ejem plo 34. Calcule / = í -----------------dx. J (1 + x2)3/2 ux Solución g arctan x Como la integral de — ^ 2 es inmediata, elegimos garctan x d v = - ..2 dx 1 + x 2 TÓPICOS DE CÁLCULO - VOLUMEN II Luego, tenemos x e ar< V T + x 2 J ( 14*2)372 1 ~ ’'n- ■ --- ~ j — ---~dx J E n la integral J consideram os 1 , x dx u = ■■■•. = * du = - - V í T ? ( i + * 2) 3/2 g arctan x dv = — ------—dx => v = e arctanjc 1 + x 2 Luego, se tiene ~ ”—^an x r i = V i + x 2 v r + i ^ j ( i + * 2) 3/2 dx -i «arcían x ( v _ < Portante, l = i - -■_ !? i i + c 2 V i + x 2 24 www.FreeLibros.com
  • 32.
    INTEGRAL INDEFINIDA Otra forma de calcular la integral del ejemplo anterior es hacer el cam bio de variable t = arctan x y la integral se transform a en J e csert t dt. E je m p lo 35. Calcule / = [ ■ J senh2x dx (x cosh x — senh x ) 2 S o lu c ió n , M ultiplicando y dividiendo entre x, se tiene / f senh x x senh x dx J x (x cosh x - senh x ) 2 A hora escogem os s e n h x x cosh x - s e n h x u = ----------=¡> du = ----------■— ---------------dx x x l x se nh x 1 d v = -------- -------------- -— — dx = > v (x co sh x - senh x ) 2 x cosh x - s e n h x Entonces senh x r dx x (se n h x - x c o s h x ) J x 2 se nh x 1 1 = — ----- :---------------- r - r - - - + C x (se n h x - x c o s h x ) x f e enx(x co sJx — sen x) E je m p lo 36. Calcule / = I ----------------- --------------- dx. J CQS¿X So lu ción T enem os l = J x e sen x eos x dx - J sen x sen* ---------- d x C O S2X ( u = x = > d u = d x ... h n h a c i e n d o < , ,en _ , _ se obtiene t d f = e eos x d x = > v = e " J 'i Kn /2, haciendo U = x e senx (u = e sen * = > d u = e sen * eos x d x , sen * . 1 resulta d v = — — a * = * v = ------- co s^ x c o s x l2 = ----------- [ e senx dx = e senx sec x - [ e senx dx co s x J J 25www.FreeLibros.com
  • 33.
    v3 TÓPICOS DE CÁLCULO- VOLUMEN II E JE R C IC IO S Calcule las siguientes integrales indefinidas. 1. J x 2 ln x dx 2. J (7 + x — 3 x z)e~x dx 3. J x se c2x dx 4. J a rc se n (2 x)dx _ f ln x * J ^ 6 . J ln (x + V i + x 2) dx 7. j eos ( ln x ) dx 8 . J s e n ( ln x ) d x 9. J x a rcta n 2x dx R. — (3 ln x — 1) + C ñ. ( 3 x 2 + 5 x - 2 ) e _* + C fí. a :ta n x + ln|eosx| + C V i - 4 x 2 /?. x aresen 2x h------------------ 1- c 1 + 2 ln x -— --------1- C 4 x 2 R. x ln (x + V 1 + x 2) - V 1 + x 2 + C X R. - [ s e n ( ln x ) + eos (ln x ) ] + i' /?. - [ s e n ( ln x ) — eos (ln x ) ] + C R- 2 [(*2 + l)a rc ta n 2x - 2x arctan x + ln ( x 2 + 1)] + C 10 / a rc se n 2x dx ii. fx,n(hr) Lí,J i r r n c v — c o n v V f — J (x + i y R. x aresen2* + 2VI - x 2 aresen x - 2x + C R. lnx |ln(lnx) - 1| + C x 2 + 1 ( X — 1 x 2 dx ( x c o s x - sen x ) 2 ( x 2 + l ) e x R. R. R. -ln (— ) Vx + 1/ sen x ( e o s x - sen x ) 2x e x x + C eot x + C x + 1 e x + C 26www.FreeLibros.com
  • 34.
    INTEGRAL INDEFINIDA 15. 16. 17. 18. 19. 2 0. 21 . 22. 23. 24. 25. 27. 2H. x e* (1 + x ) 2 dx R. ----------+ e x + C 1 + x x e _ 1 ^ x arctan yjx2 — l d x R. - x 2 a rc ta n V * 2 - 1 - 1 + C (1 - x 2) 3/2 arctan * d x arcsen x 1 /?. +—ln -dx R. V i - x 2 2 arctan x 1 - x + C 1 + x + In|x| — l n i / l + x 2 + C esc5x d x R. X (X + 1 V i — X 2 e 2*c o s ( e * ) d x e a*se n ¿ x d x - c s c 3x c o tx - - ( e s e x c o tx + ln|cscx + cotx|)j + C R. Vi - x 2 ln f------ + 2 arcse n x + C Vx + 1 / /?. e*sen(e*) + cos(e*) + C ■[a sen bx —b cos bx J + C a rc ta n (V x + 1) d x ln (V x + V i + x ) dx se n 2( In x ) dx a 2 + b 2 R. (x + 2 )a rc ta n V x + 1 - V x + 1 + C R. {x + ln (V x + V x + 1) — ~ V x 2 + x + C R. x se n 2(ln x ) - - [x se n (2 ln x ) - 2 x eos (2 In x )] + C ^gS en x C 0 S 4 X _ ^ C O SJX d x R. e sen x - - [see x tan x + ln |secx + tan x |] + C ( x 2 - se n 2x ) -dx R. x ( c s c x - c o t x ) + C x - sen x eos x + x eos x - sen x (arccos x - ln x) dx R. x árceos x - V 1 - x 2 — x ( In x - 1) + C 27www.FreeLibros.com
  • 35.
    29. Si /(x ) = —a / ( x ) y g"(x) = b g(x), donde a y b son constantes, hallar la integral: TOPICOS DE CÁLCULO - VOLUMEN II j f M g " ( x ) dx ’• / 30. I 4 x 3 arcsen —dx x arctan x 31. I ~~7Z-----T^rdx í ’-P I 35. I (1 + x 2) 4 x 4 — x arctan x 32. | — — -------— — dx (1 + x2)2 , a rc se n V x 33. | ------ —— dx V x , 1/ x ■dx .. r x 2se c 2x 37. I — -------------------^~z^dx J (tan x - x sei > / ^ 2cai.2, (tan x - x se c 2x ) 2 ' 1 dx arcsen 39 1 ---------- * x3 41. j arctan^jVx - 1 dx 43. / senh" ‘J r -d x (e 2* - x 2) ( x - 1) 45. J -------- d x x 2ex se n x + 1 (x + c o s x ) 2 a ln (x + a + V x 2 + 2 a x ) (x + a ) 2 a + b lf(x)g'(x) - f'(x)g(x)} + C -yx 2 - 1 + c / 34. eos x ex dx 36. 38. :eos x d xJ x e x i J x arctan V x 2 - 1 d x • / ’■ / c o sh 2x d x (x senh x - c o s h x ) 2 ln (2 + Vx) 42. | — ' ' ' dx Vx 44. I (x sen x + eos x ) ( x 2 - c o s2x ) d x f x c o s x J (x - ■ / f • J - = = [ l n ( l + X )* - ln (l - x )*] 46. J cosh 3 x eos 2 x dx í * 5 /l+*48. I :In ( --------Jd x J VI - x 2 Vi - x / d x 28www.FreeLibros.com
  • 36.
    1.5.1 Integrales dealgunas funciones que contienen un trinomio cuadrado de la form a: / dx f dx I INTEGRAL INDEFINIDA 1.5 TÉC N IC A S DE IN T E G R A C IÓ N I. í — 5— --------- II. í — J p x 2 + qx + r J j rp x 2 + qx + r J j p x 2 + qx + r n ] [ (ax + b)dx f ( ax 4- b)dx J p x 2 + qx + r J J p x 2 + qx +r En los casos (I) y (II), es suficiente completar cuadrados en el trinom io y aplicar las fórm ulas que correspondan: (23), (24), (25) ó (26). En los casos (III) y (IV ) se usa el siguiente artificio: a aq ax + b = — (2 px + q) — — + b 2p 2p La expresión 2px + q es la derivada del trinom io cuadrado. Entonces (ax + b)dx a f (2px 4- q)dx ( a q f dxr (ax 4- b)dx a C (2px + q)dx / aq f J p x 2 + qx + r 2p j px2 + qx + r V 2 p) ) ;p x 2 + qx + r a / a q = —— ln [p x ¿ + qx + r| + I b - — 1A 2 p V 2 p) Por otro lado, (ax + b)d x a f (2px + q)dx / aq f dxI' (ax + b)dx __ a f (2px + q)dx ^ ^ aq^ f J yjpx2 + qx + r J J p x 2 + qx + r '2p/ J J p x 2 + qx + : a /—^--------- ( acl = - V p x 2 4- qx + r 4- b - — j B p 2p) I ,as integrales (¿4) y (B) son de los casos I y II, respectivamente. Ejem plo 37. Calcule las siguientes integrales: 3 dx f dxf 3 dx f J 4 x z 4- 4x - 3 J x 2 - 2x 4- 10 f 2 dx í 5 dx J lx 2 4- 6x 4- 18 ^ i V — x 2 —8x — 12 Solución Com pletando el cuadrado en cada trinom io y aplicando las fórm ulas de m ig ra ción , tenemos 29www.FreeLibros.com
  • 37.
    f 3 dx3 r J 4x2 + 4 x - 3 ~ 2 J TOPICOS DE CALCULO - VOLUMEN II 2 x - l ¡3 dx 3 f 2 dx 3 =^ln(2x + l ) 2 - 4 2x + 3 + C f dx f dx 1 ( x - l ■) J x 2 - 2x + 10 J ( x - l ) 2 + 9 “ 3 arCtan( _ 3~ J + C ( 2 dx r dx , ,--------------------, c) 7 f ■ ¿ . T i = 2 1 t =~ = 2 ln * + 3 + V x 2 + 6x + 18 + C J V x 2 + 6x + 18 J J ( x + 3 )2 + 9 L J „ f 5 d x r d x /x + 4 d) I 7 ' 0 ~ „ „ = 5 — — ■ = = 5 arcsen ( — -— ) + C i V - x 2 - 8x — 12 J ^ 4 - (x + 4 )2 v 2 ) Eje m p lo 38. Calcule las siguientes integrales: f (3 x - 5 )d x r (1 - 4 x )d x J x2+ 6x + 18 J V9x2+ 6 x ^ 1 c) í 2 ~ ‘ i x d) ( - ( i i i í W í J V x 2 + lO x + 21 J x (x + 3) Solución Com pletando cuadrado en cada trinom io y usando el artificio indicado, se tiene 3 3 a) 3x — 5 = — (2 x + 6) — 9 — 5 = — (2 x + 6 ) — 14. Entonces f (3 x — 5 )dx _ 3 r (2x+ 6)d x f dx J x 2 + 6x + 18 2 J x 2 + 6x + 18 1 4 J ( x + 3 )2 + 9 3, / , 14 /x + 3 = 2 (x + 6x + 18) — — arctan — -— J + C 4 4 2 7 b) 1 — 4 x = — — (1 8 x + 6 ) + l + — = — - (1 8 x + 6 ) + — . Luego, f Cl ~ 4 x )d x _ _ 2 [ (1 8 x + 6)d x ^ 7 1 f 3 dx J V 9 x 2 + 6x - 3 9 J V 9 x 2 + 6x - 3 + 3 3 J y/ ( 3x + l ) 2 - 4 4 : 7 ---------------------------------------------------- = — - V 9 x 2 + 6x - 3 + - l n 3 x + 1 + V 9 x 2 + 6x - 3 + C y y i i 1 1 c) 2 — x = — — (2 x + 10) + 2 + 5 = — - (2 x + 10) + 7. Entonces (2 - x )d x 1 f (2x + 10)d x f dxf __ ( 2 —x)dx _ i r (2x + 10)dx f J Vx2 + lO x + 21 ~ 2 j Vx2 + lO x + 21 + 7 i 'V x 2 + lO x + 21 J V ( x + 5 )2 - 4 = - V x 2 + 10x + 21 + 7 ln Ix + 5 + V x 2 + 10x + 2 l| + C 30 www.FreeLibros.com
  • 38.
    d) INTEGRAL INDEFINIDA (4 4-5x) 5 f 2x 4- 3 7 f dxf (4 4- 5x) 5 f 2x 4- 3 7 f J x (x + 3 ) dX 2 j x 2 + 3 x dX 2 J í 3V 9 x + 2) 4 5 7 i x = - ln | x 2 + 3x — - l n 2 6 I* 4- 3 ' Eje m plo 39. Calcule las siguientes integrales: ^ f (3e2x - 4 ex) ^ ^ ^ (senh x + 3 coshx) ^ J V 4 e* — ex — 3 J coshx(6 senh2x 4- senh 2x + 5) Solución a) I (3e2x - 4 e x) f (3ex - 4 )e *d x v'4 e * - e * - 3 J V 4 e * - e 2* - 3 Si se hace t = e x , entonces d t = e x dx . Luego, f ( 3 1 - 4 ) d t 3 f (4 - 2 t ) d t f d t l = j- ( 3 1 - 4 ) d t _ 3 I" (4 — 2 t ) d t + ^ [ d t J V 4 t - t 2 - 3 2 j V 4t - t 2 - 3 J yjl - (t - 2 ) 2 = - 3 V 4 í - t 2 — 3 + 2 arcsen(t — 2) + C = —3yj4ex — e 2* — 3 4- 2 arcsen(e* — 2) 4- C r (senh x + 3 cosh x ) dx ^ ^ J c o s h x (6 se nh 2x 4 -senh 2x 4 -5) = /: (senh x + 3 c o sh x ) dx cosh x (6 se n h 2x 4- 2 senh x cosh x 4- 5) D ividiendo num erador y denom inador entre c o sh 3x , se tiene J = J (tanh x 4- 3) sech2x dx 6 tanh2x 4- 2 tanh x 4- 5 sech2x (tanh x 4- 3) sech2x dx J 6 tanh2x 4- 2 tanh x 4- 5(1 — tanh2x ) A h o ra bien, si t = tanh x , entonces d t = se ch 2x dx. Por consiguiente. r (t 4- 3)d t _ 1 f (2t + 2)d t n f dt 1 ~ J t 2 + 2 t+ 5 ~ 2J t 2 + 2t + 5 + 2 J (t 4- l )2 4- 4 1 , , /tanh x + 1 -ln | ta n h 2x 4- 2 ta n h x 4- 5| 4- arctan ^------ --------J 4- C 31www.FreeLibros.com
  • 39.
    Recordem os lassiguientes identidades: 1. sen2u + cos2u= 1 2. sec2u _ tan2u = 1 3. csc2u- cot2u = 1 4 sen2u _ 1 ~ cos 2u 2 r , 1 + cos 2u 5. cos2u =-------------------- 6 cosh2u _ senh2u = 1 7. sech2u + tanh2u = 1 8. coth2u _ csch2u = 1 9. senh2u = ~ 1 10 cosh2u = cosh2u + l ¿ 2 Estas identidades son m uy importantes en los artificios para resolver ciertos tipos de integrales de funciones trigonométricas e hiperbólicas. TÓPICOS DE CALCULO - VOLUMEN II ! '5‘2 rH IPE R B Ó U C A ESALGUNAS FUNCI° NES TRIG ONOM ÉTRICAS I. IN T E G R A L E S D E L A F O R M A : J se nmx cosnx dx y j se n h mx e o sh n* dx. Se consideran 2 casos: CASO 1: Uno de los exponentes m ó n e s un entero im par positivo. 0 Si m es impar positivo, se factoriza sen x dx (o se n h * dj) y se expresa los senos o senos hiperbólicos) restantes en función de cosenos (o cosenos hiperbólicos) usando la identidad se n 2* = 1 — e o s2* (ó se n h 2* = c o sh 2* - 1) ii) S. n es impar positivo, se procede de manera similar, es decir, se factoriza eos * dx (o cosh x dx) y se expresa los cosenos (ó cosenos hiperbólicos) restantes en función de senos (o senos hiperbólicos) usando la identidad. e o s2* = 1 - se n 2* (o c o sh 2* = 1 + se n h 2* ) Ejemplo 40. Calcule las integrales a) I se n 3* eos4* dx b) J senh5* V ^ i h 7 dx Solución a) / = J se n 3* eos4* dx = J sen2* eos4* (sen * dx) = - cos2*)cos4* (sen * dx) www.FreeLibros.com
  • 40.
    INTEGRAL INDEFINIDA E nla últim a integral, hacem os u = eos x =* du = - s e n x dx . A sí, se tiene / = J (1 - ii2) u 4 ( - d u ) = - f Cu4 - u6)du = - y + y + C •(5 eos2* - 7) + C co s5x 35 b) f se n h 5x V ^ i h l d x = J (cosh2x - l ) 2(cosh x ? ' 2 (senh x dx) = J (cosh9/2x - 2 cosh 5/2x + cosh 1/zx )(se n h x dx) = J L c o s h 11/2x - ~ cosh7/2x + cosh3/2x + C 11 7 3 CASO 2: Ambos exponentes m y n son pares y mayores o iguales a cero. En este caso, se usan las identidades: 1 - eos 2x , 1 + eos 2 x se n 2x = -------^------- y C° = -------2------- / eosh 2 x - 1 . , cosh 2 x + í ó se n h 2x ------------- y cosh x = ----- - J A l efectuar las operaciones, se obtienen términos que contienen potencias pares e impares de eos 2 x (ó cosh 2 x). L o s términos que tienen las potencias impares se integran teniendo en cuenta el caso 1. L o s términos que tienen las potencias pares se reducen de nuevo usando sucesivamente las identidades indicadas. Ejemplo 41. Calcule las integrales: a) J se n h 43 x dx b) f se n 2x c o s4x d x Solución a, f senh-3, ¿ r = / ( E S Í J p i ) 2 dx = i J(c o Sh>6* - 2 cosh 6 * + 1) dx = 1 f ( £ £ í < y í l í l _ 2 c0 sh 6 , + l ) d , = ^ | (cosh 1 2 x - 4 cosh 6x 4- 3) dx = i f — senh 1 2 x - ^ s e n h 6x + 3 x ) + C 8 12 3 > 33 www.FreeLibros.com
  • 41.
    TOPICOS DE CALCULO- VOLUMEN II . 2 u f 4 , f / I - c o s2 x /I 4-cos2x b) J sen-x cos4x dx = J (------- ------- j ( -------------- J dx = - J (1 + eos 2x - cos22x - cos32 x) dx 1 f / 14- cos4x 1 [ - g J ^1 4- eos 2 x ----------------- j dx - - I (1 - sen22 x)(cos 2x dx) = ¿ J (j +C0S2X~ C0S 4X) d X ~ l 6j <'1 ~ sen22x)(2 cos 2x dx) 1/x 1 ^ 1 1 / 1 = 8 (2 + 2 SGn 2* ~ 8 Sen 4X) ~ T 6 [ Sen 2X ~ 3 sen32x) + C 1 ( sen 4x sen32 x = 16{ X — 4- +— ) + C II. IN T E G R A L E S D E L A F O R M A : J tanmx secnx d x , j cotmx c sc nx dx , J tan h mx sechnx dx y J cothmx cschnx dx. Se consideran 2 casos: m entero positivo impar y n entero positivo par. C A S O 1. S i m es un entero im p a r positivo, se factoriza t a n x s e c x d x (ó c o t x c s c x d x ó tanh x sech x dx ó coth x csch x dx) y se expresa las tangentes (ó cotangentes ó tangentes hiperbólicas ó cotangentes hiperbólicas) restantes en términos de s e c x (ó e se x ó se c h x ó c s c h x ) mediante la identidad: ta n 2u = se c 2u - 1 (ó cot2u = c sc 2u - 1 ó ta n h 2u = 1 - se ch 2u ó coth2u = 1 4- c sch 2u). Eje m p lo 42. Calcule las siguientes integrales: f tan3x r 3) J : dx b) J cotSxdx c) J tanh3x V se c h x dx d) j cothsx csch3x dx So lu ción f tan3x f tan2x r sec2x - 1 3) J ^ c dx= J i ^ (tan* Sec* dx)= J - ^ i^ ( t a n x s e c x d x ) = j (sec~3x - sec~5x ) (tan x sec x dx) (si u = s e c x , du = se c x tan x dx) 1 -9 1 1 ,= - - s e c x 4- - s e c 4x 4-C = - c o s 2x (c o s2x - 2) 4-C 2 4 4 34www.FreeLibros.com
  • 42.
    f f C0t4X, b) cot5x d x = -------- ( c o t x c s c x d x ) J J CSC X INTEGRAL INDEFINIDA f (csc2x — l ) 2 = -------------------(cot x csc x dx) J cscx = - í (csc3x - 2 cscx 4-------- ) ( - c o t x e scx dx) J cscx c4x --------csc2x + ln|cscx| I + k f , ,--------- f tanh2x c) tanh3x v s e c h x d x = ,........: (tanh x sech x x a x ) J J V se c h x 1— sech2xf 1 - se c rrx = — ^ = = _ (tanh x sech x dx) J V se c h x = - J (sech~1/2x — sech3/,2x ) (— tanh x sech x dx) = —^2V se c h x — - s e c h 5/2x j + C d) j coth5x csch3x d x = J coth4x csch2x(coth x c sc h x ) dx = J (1 + csch2x ) 2 csch x (coth x csch x d x) = - J (csch x + 2 csch3x + csch5x )(-c o t h x c sc h x d x) n i i = — I - cschzx + - csch4x + - csch6x 1+ C 2 2 6 / CASO 2. Si n es un entero par positivo, se factoriza se c2x d x (ó c sc 2x d x ó sech2x d x ó c sch 2x d x ) y el resto de las secantes (ó cosecantes ó secantes hiperbólicas ó cosecantes hiperbólicas) se transforman en térm inos de tan x (ó c o tx ó tanh x ó coth x) usando la identidad se c 2x = 1 + ta n 2x (ó c sc 2x = 1 + cot2x ó se ch 2x = 1 - tan h 2x ó csch 2x = co th 2x - 1). www.FreeLibros.com
  • 43.
    c) J tanh2xsech4x dx d) j csch6xdx Solución a) j tan3/2x s ec4x d x = J tan3/2x s ec2x(sec2x dx) = j tan3/2x ( l + tan2x )(se c 2x dx) - J (tan3/<2x + tan7/2x )(se c 2x dx) (si t = tan x , dt = se c 2x dx) 2 2 = - t a n 3/2x + - t a n 5/2x + C O 7 b) J csc4x dx = J csc2x (c sc 2x dx) = - J (1-f cot2x ) ( - c s c 2x dx) (si t = cot x , dt = — csc2x dx) = - ^cot x + ^ cot3x j + C c) j tanh2x sech4x d x = / tanh2x ( l - tanh2x )(se c h 2x dx) = J ( tanh2x - tanh4x )(se c h 2x dx) 1 , 1 = - t a n h 3x - - t a n h 5x + C d) J csch6x dx - J (coth2x - l ) 2(csch2x dx) = - J (coth4x - 2 coth2x + l ) ( - c s c h 2x dx) TOPICOS DE CALCULO - VOLUMEN II Ejemplo 43. Calcule las siguientes integrales: a) J tan3/2x sec4x dx b) j csc4x dx = - ^ -c o th 5x - - coth3 x + coth xj + C 36www.FreeLibros.com
  • 44.
    INTEGRAL INDEFINIDA III. IN T E G R A L E S D E L A F O R M A : J se n (mx) cos(nx) d x , J sen(mx)sen(nx)dx, J eos(mx) cos(nx) d x , J senh(mx) co sh (n x ) d x , J senh(mx)senh(nx)dx y j co sh (m x) co sh (n x ) dx. Para calcular estas integrales se usan las fórmulas: 1 a) sen (mx) eos (nx) = - [sen(m - n)x + sen (m + n)x] b) se n (m x )se n (n x ) = - [cos(m - n ) x - eos(m + n) x] c) eos (mx) eos (nx) = - [cos(m - n) x 4- eos (m + n) x] 1 d) se n h (m x) co sh (n x ) = - [senh(m + n)x + senh(m - n)x] 1 e) se n h (m x) se n h (n x ) = - [cosh(m + n)x —eosh(m — n)x] 1 f) co sh (m x) co sh (n x ) = — [cósh(m + n) x + eosh(m — n)x] E jem plo 44. Calcule las siguientes integrales: a) J sen 2x eos 3x dx b) j eos 3x eos 4x dx c) j senh d) J cosh 4x senh x dx Solución a) J sen 2 x c o s 3 x dx = - J [sen(2 — 3 )x + se n (2 4- 3 )x ]d x = 2 / ^S6n ~ S8n X^ X ~ 2 ( ------ 5-*" C°S * ) + b) J c o s 3 x c o s 4 x d x = - J [ c o s ( —x ) 4-eos 7 x]d x = - ^ s e n x 4-- s e n 7 x ) c) J senh 3x senh 4 x d x = - J [ c o s h 7x — c o sh x jd x www.FreeLibros.com
  • 45.
    d) J cosh4 x se nh x d x = —j [senh 5 * - senh 3 x ] d x 1/1 1 = 2 5 C° S ~ 3 C0S 3x) + ^ E n este ejemplo, se han usado las identidades: s e n h ( - u ) = - s e n h u , s e n ( - u ) = - s e n u c o sh (— u ) = c o s h u , c o s ( - u ) = c o su E je m p lo 45. Calcule las integrales: y í i ~ . í sen4* + eos4* a) I se n 3( 3 * ) t a n 3 * d * b) ------ ------------T-dx J J sen2* — eos2* f e o s * r c) ■ ■dx d) I eos3* sen 3* dx J V'sen7 (2 *)eos* J So lu ción f f sen43x a) / = se n 3(3 * ) tan 3 * dx = ------— dx J J eos 3 * _ J (1 - cos23 * ) 2 TOPICOS DE CALCULO - VOLUMEN II eos 3 * -dx b) = J(sec3x - 2 eos 3* + cos33*)d* 1 2 1 f = -ln |sec3 x + tan 3*| - - sen 3* + - I (1 - sen23*)(3 eos 3* dx) 1 2 1/ 1 = -ln |sec3 * + tan 3*| - - sen 3* + - (sen 3* - -s e n 33* + C j 3 3 V 3 / 1 , 1 1 = -ln |sec3 * 4- tan 3*| - -se n 3* - - s e n 33* + C ■J J 7 f sen4* + eos4* r 4 (2 + 2 cos22*) -----i -----------J~ d x = ------------- ñ--------d x J sen2* - eos2* J - e o s 2* -lí (se c 2* + eos 2x )d x 1 , 1 = --rh i(s e e 2 * + tan 2*| - -s e n 2* + C 4 4 38www.FreeLibros.com
  • 46.
    c) / INTEGRAL INDEFINIDA cos* I f cos x dx - f C0SX H - 1 f J Ysen^(2xT co sx V 2 7 J V s e n 7x c o s8* Se observa que esta integral no se adapta a ninguno de los tipos estudiados en (I). Cuando se presentan estos casos, a veces, es conveniente transform ar a los otros casos, es decir, a productos de tangentes y secantes ó cotangentes y cosecantes. E n este ejemplo, transform ando a tangentes y secantes (dividiendo entre e o s5*, numerador y denominador) se obtiene: 1 f se c4* 1 f 1 + tan2* ' = V l 2 8 J ta n 7/3* = Í V f J ta n 7/3* O 0" * d * ) 1 , . .tan 7/3x + tan 1/3* ) s e c 2* d * 4V2J v J = —rrz ( —- cot4/3* + - t a n 2/3* ) + C 4V2V 4 2 ) f 7 f (1 + eos 4* d) } = I cosJ2* sen 3* dx = J ^-------------J eos 2* sen 3* dx 4 / ( c „ s 2 x Sen 3 ^ + Í J eos 4*(cos 2* sen 3x)dx = - J [sen * + sen 5*]dx + - J [eos 4* sen *+ eos 4* sen 5x]dx 1 1 1 ir = — —eos * - - eos 5* + - I [-sen 3* + sen 5* + sen * + sen 9x]dx ( 1 1/1 1 1 = - —eos * - - eos 5 * I + - - eos 3* —- eos 5 * - eos * -----eos * + C 4 V 5 / 8 3 5 9 / 3 1 3 1 = - - eos * + — eos 3*- — eos 5 * - — eos 9* + C 8 24 40 72 E je m plo 46. Calcule las siguientes integrales: f f f sen^x a) j tanh42 * d x b) I seeh3x d x e) I —— dx , ^ d) e o s“* f s e n 43 * f ----- T¿—dx e) ta n ¿ x s e c * d * J e o s33 * J Solución Se observa que ninguna de las integrales se adaptan a los casos estudiados, por lo que será necesario efectuar algunas transformaciones. E n efecto, • 39 www.FreeLibros.com
  • 47.
    TÓPICOS DE CÁLCULO- VOLUMEN II a) I tanh4 2 x dx = J (1 - sech2x )2dx = J ( 1 - 2 sechz2 x + sech4 2 x) dx = x —tanh 2x + J (1 —tanh22 x) sech2x dx 1 / 1 = x - tanh 2x + -(ta n h 2x - -ta n h 3 2x) + C 1 1 = x - - t a n h 2x - - t a n h 32 x + C ¿ O b) J sech3x dx = J - J l - tanh2* (sech2* dx) (Si u = tanh x , du = sech2x dx) = —[tanh x Vl - tanh2x + arcsen(tanh x)j + C l r = - [tanh x sech x + arcsen(tanh x)] + C f sen2x f r ^ J cös^xdx = J tan2x Sec4* dx = I tan2x^1 + tan2x)(sec2x dx) = I (tan2* + tan4x)(sec2x dx) = ^tan3x + ^tansx + C J 3 5 (sen43x r (1 - cos23x)2 r 3 J cos33x “ J ^ 3 *dx = J(sec 3* ~ 2sec 3* + cos 3* ) = J Vl + tan23x sec23x dx - ^In|sec3x + tan 3x| + ^sen3x A 1 r = ~ |tan 3x sec 3x + In|sec 3x + tan 3x|] - A 1 1 1 = gtan 3x sec 3x - -In|sec 3x + tan 3x| + ^ sen 3x + c e) I tan2* secx d x = J y/sec^x^l(tan x s e c x d x ) 1 , = - | s e c x t a n x - ln|secx + tanx|] + C www.FreeLibros.com
  • 48.
    INTEGRAL INDEFINIDA dxf dx l:)riii|)lo47. Halle la integral J + usando la su stitu ció n x = 2 tan i Sol ut-ion ( .uno x = 2 tan 0 , dx — 2 sc c 29 d9. Entonces dx l f sec29 dB 1 i f dx I f see 0 dB 1 f 1 f (1 + cos 2 9 )d 9 1 'i ) - i J 1 ( arctan - 4- , , 16 V 2 4 + x 2 2 16 x 2 x sen 20 + C = — [0 + sen 0 cos 0] + C 16 4 -C l’.tra regresar a la variable original x, en vista de que tan # = - , se construye d triángulo A partir de este triángulo, se obtiene que sen 0 = V x 2 + 4 y eos ti = — V x 2 4- 4 E J E R C I C I O S Calcule las siguientes integrales indefinidas: 1. / + 2x — 8 dx R. 9 dx 3. V 9 x z - 12x + 13 3 dx 4 x 2 — 16x 4-17 4 — Ix -[(x 4- l)Vx2- « x - 8 - 9 ln |x 4- 1 4- J x 2 4- 2x - 8|J 4- C fl. 3 ln [3x - 2 4- V 6 * 2 - 1 2 x T l 3 ] 4- C fi. -a rc t a n (2 x - 4) 4- C V x 2 4- 2x —8 :dx ß. - 7a/x2 4- 2x - 8 4- 11 ln x 4- 1 4- v x 2 4- 2x - 8| 4- C 41 www.FreeLibros.com
  • 49.
    3 + 5* 12*+ 13 i u n c u s U t CALCULO - VOLUMHN II dx 1. 8. 5. f — ! J 9* 2 - R- — In(9* 2 - 12* + 13) + y arctan ( ^ y ~ ) + C j f (2 — x)dx _______________ ^ ^ J V —* 2 — 10* — 21 ^ ~ xZ~ 10* — 21 + 7arcsen + C J sen 2 * + 3 c o s * dx 16 12 tanh * + 5 n * sen 2* *• 2 ---- i ~ +C D X 1 R- 2 + ^ se n ( ! 0 * } + C 3 * sen 2 * sen 4 * *• T — 4~ +— +c n 2 1 sen * - - s e n 3* + - s e n 5* + C V 9 + 4 s e n * - cos2* *■ 2 V s e n 2* T T s e n * T 8 - In | se n * + 2 + x » 7 T 4 l i I 7 T T 8 | + c [ (5 senh * + 4 cosh x)dx J cosh * ( 9 senh2* + 6 senh 2* + 5) R- rln | 4 tanh2* + 12 tanh *| - — In l- ta n h * + 1 l 16 12 tanh I 9. J se n 2* dx 10. J cosh 25 * dx n . / se n 4* dx 12. / c o s5* dx , 3 . / co s7* se n 3* d * „ „ f se n 3* 14. I -----r - d * J co s4* cos8* 40 1 3 cos3* (4 co s2* - 5) + C - s e c * + C 15. J se n h 3* dx 16. j se n 2(3 *)c o s 43 * dx 17. J se n h 8* cosh 5* dx 18. j tan6* dx 1 R■ - c o s h * ( c o s h 2* — 3) + C * sen 12* se n 36* ' 16 192 + ~ 1 4 4 ~ + C 1 2 i R. - se n h 9* + - s e n h 3* + - s e n h 5* + C 1 1 g tan * - - t a n 3* - tan * + * + c 42 www.FreeLibros.com
  • 50.
    INTEGRAL INDEFINIDA 19. Jcot5* dx 20. J tanh4* dx 21. J sec4* V cot3* dx 22. J tan5* V e o s 3x dx 23. J tanh6* sech4* dx V2 dx 24. co s3*V s e n 2* 25. J sen 3 * sen 5 * dx 26. I eos 2* eos 7x d x í J I 27. J se n 52* co sB2* dx 28. j se n 3* eos3* dx 29. J (1 4- eos 4* ) 3/2 dx 30. J cot4(3x)dx i ax ->x , 31. | sen4- cos'1- dx 32. J tan3* dx 33. J tan3(3 *)s e c 3(3 *)c ¿* 1 A 1 , R. —- c o t 4* + - c o t z* + ln|sen*| + C R. x —t a n h * - - t a n h 3* + C R. —2Vcot* + - Vtan3* + C 2 2 R. -sec5/2* —4 sec1/2* —-cos3/2x + C R. - t a n h 7* — - t a n h 9* + C 7 9 R. - V t a n * ( 5 + tan2* ) + C sen 2* sen 8* R■ — ------77— + C 4 16 1 1 R. — sen 5 * + — sen 9 * + C 10 18 1 1 R. - s e n 6( 2 * ) - - s e n 8( 2 * ) + C R. - eos( 2 * ) + - i-e o s 3( 2 * ) + C 16 48 V 2 V 2 , ' R. — sen 2 * — — sen32 * + C 2 3 1 , 1 R. —- c o t 33 * + - c o t 3 * + * -I- C 9 3 * 1 1 R■ TZ ~ To sen 2 * — — sen * + C 16 32 24 tan2* R. — ------h ln|cos*| + C 1 1 , R. — sec53 * - - s e c 33 * + C 15 9 www.FreeLibros.com
  • 51.
    1 TÓPICOS DE CÁLCULO- VOLUMEN II f s c n 3x _____ ,3 ' i V ^ dX R' 3V i¿ n ( - c o s 2x + 3) + C dx se n 2x co s4x 2 ta n x + ^ t a n 3x — c o tx + C 36. / 37. f dx 1 3 1 J sen5x c o s 5x ? tan * ^ ^n l^an x ~ ~cot2x — — cot4* 4* C9 ~ 1 ^“«i«»ai — ——( ^ ¿ 4 3 8 ’ / v s e n x c o s 3x R-2Vtáñx + C oq í Sec4*H 1 ■ J tan4x R-- cotx - 3 c° t3x + C 40. I S o t x c o s ^ x dx R. 2-sfséñx - ^ s e n 5' 2x + ^ s e n 9' 2x + C í se n 2(nx) i ^ ^ J co s6(jrx) dx R •“ [3 tan3C^x)+ - t a n s (7rx)J + C 42. J sen x sen 2x sen 3x dx R. ¿ c o s 6x - A Co s 4x ^ cos2x + C .43. f sen 4x eos 5x dxr cos9x cosx J 18 2 44. í sen 8x sen 3x dx r sen x _ sen , r J 22 10 45. J cosh 3x cosh x dx r .i senh 4x + ^senh 2x + C o 4 46. j senh 4x senh x dx R. _ COsh 5x + ^ cosh 3x + C 47. J sen3x eos 3x dx R. l c o s 2 x - ¿ c o s 4 * + ¿ c 0S6x + C 48. f cos2x sen24x d x R x ^en i sen 2x sen 6x sen lOx J ' 4 32 -8 ~ 48 8 Ó ~ + C 49. f senh2x cosh 5x dx r sen^ ^x j_ senh 3x senh 5x J 90 n tt:— 5 0 . / dx 28 ' 12 10 +C 2 V se n 3x c o s ^ x R‘ ~ 2 ^ x + 3 t a n x V t l F * + C 44 www.FreeLibros.com
  • 52.
    INTEGRAL INDEFINIDA 1.5.3 INT E G R A C IÓ N P O R SUSTITU CIÓ N T R IG O N O M É T R IC A Las integrales de la form a f R(x , J p x 2 + qx + r )d x , donde R es una función racional de las variables x y J p x 2 + qx + r , se puede sim plificar por m edio de una sustitución trigonom étrica adecuada. Com pletando el cuadrado en el trinom io p x 2 + qx + r se obtiene una expresión de la form a u2 + a 2 ó u2 —a2 ó a2 —u2, donde a es una constante. I) S i el trinom io tiene la form a a2 —u2, mediante la sustitución u - a se n 9 , a > 0 se elim ina el radical, pues V a 2 - u 2 = a eos 9 . Tam bién se tiene que d.u = a eos 9 dO Para regresar a la variable original u, se emplea el triángulo form ado con la u sustitución sen 6 = — (Fig. 1.3 a). (a) Fig. 1.3 II) Si el trinom io tiene la form a a 2 + u 2, mediante la sustitución u - a tan Q , a > 0 se elim ina el radical, pues Va2+ u 2 = a sec 9 . Tam bién se tiene que du = se c 29 d 8 Para regresar a la variable original u, se utiliza el triángulo form ado con la u sustitución tan 9 = - (Fig. 1.3 b). a III) S i él trinom io tiene la form a u2 t - a 2 ,mediante la sustitución u = a sec 6 , a > 0 se elim ina el radical, pues Vu2- a 2 = a tan 6 . Tam bién se tiene du = a sec 9 tan 9 d9 Para expresar la integral original en términos de su variable u, se emplea el u triá n g u lo e la b o ra d o con se cfi = - (Fig. 1.3 c). 45www.FreeLibros.com
  • 53.
    TOPICOS DE CÁLCULO- VOLUMEN II Ejemplo 48. Calcule / = J ^9 - x 2 dx. Solución Haciendo ia sustitución * = 3 sen 8, dx - 3 eos 8 dd y calculando la integral trigonométrica que resulta, se tiene / = j V 3 2 — x 2 dx — J ^p^-^^señ2d 3 eos 9 dd = J 9 eos26 dd = - J (1 + eos 29) dd cos20 .3 eos 6 dd 9 9 ( x xV9 - x2 = - ( 0 4-sen 0 eos 9) + C = - I arcsen-4------- ------- -( Xy¡9 - x 2 + 9 aresen - ) + C E je m p lo 4 9. Calcule / = / dx x 2-J16+ 9X 2 Solución Sea 3x = 4 ta n 0 , dx = - s e c 28 dd. Luego, í dx _ 4 f J x 2V l 6 4- 9x2 ~ 3 J sec2d dd x 2V l 6 4- 9x2 3 J ^ t a n 20 V 1 6 4- 16tan20 3 f secd 3 f c o sí = — -----T - d d = — -----— d 0 16 J tan2d 16 Jsen2d 16 -C S C 0 4- C 3 V 1 6 4 -9 x 2 V 1 6 4-9X 2 „ . + c = ----------—-------- + c 16 3x 16x :dx.E je m p lo 50. Calcule / , J V x 2 — 9 Solución Haciendo x = 3 sec 9, dx = 3 sec 9 tan 9 d9 , se obtiene 27 sec30 .3 sec d tan d dd V 9 sec20 — 9 ( x J f : = d x = J V x 2 — 9 J = 27 J ( 1 4- tan20 )se c 20 d d = 27 (tan d 4- - t a n 3flj 4- = 9 v 'x 2 — 9 4- - ( x 2 — 9 )2 4- C O 46www.FreeLibros.com
  • 54.
    I'li'iiiplo 51. HalleI = J INTEGRAL INDEFINIDA X 3 dx V x 2 + 2x 4- 5 Solución i ompletando el cuadrado en el trinom io y Imi icndo la sustitución v I 1 = 2 tan 9 , dx = 2 secz 9 dd M' obtiene x 3 dx f x 3 dx / V x 2 + 2x + 5 J J ( x + l ) 2 + 4 I (2 tan 0 — l ) 3 2 see20 dd 2 se c 0 = J (2 tan 0 - l ) 3 see 8 dd (8 tan30 see 6 - 1 2 tan20 see 0 4- 6 tan 6 see 0 - see 0) dd H see30 - 6 see 8 tan 8 + 5 ln|see0 + tan 8 - 2 see 8 + C 1 3 t____________________ (xz + 2x + 5 ) 3/2 - - (x + 1)V* 2 + 2x + 5 + 5 In x + 1 + *Jx2+ 2x + s| - J x ^ T Y T s + C ( 2 x 2 - 5 x - 5 ^ lije m p lo 52. Halle / Solución / 4- 5 ln ¡x + 1 + V * 2 + 2 x + 5| + C dx (1 + X 4)a//T + X 4 - X 2" se c20 Si se hace x ¿ = tan 0 => dx = — ;— . dft. líntonces / dx -/■ see20 d 0 (1 +x4)VVl + x 4 - x 2 ■> see20 Vsee 0 — tan 0 e o s0 d 0 V sen 0 — se n 20 1 / l T eos 0 d8 z 2 -a rc se n + C 1 1 / 2x 2 = -a re se n (2 sen 0 - 1 ) 4- C = - arcsen - ^ = 2 2 V v i + x 4 1 4-C 47www.FreeLibros.com
  • 55.
    TOPICOS DE CALCULO- VOLUMEN II 12 dx /; Ejemplo 53. Calcule / - , __________________ (2x - l ) / ( 4 x 2 - 4x - 8 )3 Solución Com pletando el cuadrado en el trinom io y haciendo la sustit jción 2x - 1 = 3 sec 9, dx = - sec 9 tan 9 d.9 Resulta / = / - / ■ / 12 dx (2x - 1 ) V (4x2 —4x —8)3 12 dx {2.x —l) [ ( 2 x — l ) 2 — 9 ]3/2 18 sec 8 tan 9 dd 2 3 s e c 0 2 7 t a n 30 9 J cot26 d9 = — j (esc29 —1)d 6 2 , 2 / = — [—cot 6 — 0] + C = — (■ Ejem plo 54. Calcule J Solución Si se sustituye / 9 V V 4 x 2 - 4x - 8 e _:>f dx 2x - 1 + aresen— -— J + C (9e~2x + 1)3/2' 3e * = tanfl, e = - - s e c 29 d9 , se tiene = J e x dx [(3 e ~x) 2 + I ]3/2 r ~ 3 sec29 d9 r J sec39 3 J eos 9 d9 --se n 9 + C Vi + 9e~2* + C 48 www.FreeLibros.com
  • 56.
    R|cinplo 55. Calcule/ = I XV * X-d* J V 2 —x Solución Racionalizando el integrando, obtenemos f x [ i - x f x ( l ~ x ) r x ( l - x) dx J V 2 - x X ~ J V l ^ / 2 ^ X ~ V x 2 - 3 x + 2 INTEGRAL INDEFINIDA Aliora bien, completando el cuadrado en el trinom io y haciendo la sustitución 3 1 1 - = - sec 8, dx = - sec 8 tan 8 d8 2 2 2 Sust. 2x - 3 = se c 9 c obtiene 2x-3/ ly / x 1 - 3 x + 2 f x ( l - x ) d x ( y 1 / Q 1 2 r ^ sec 8 + ( l - ^ - i sec ^ sec 6 tan 0 dd ^ tan 8 = - - J (se c 38 + 4 se c28 4- 3 sec 8) dd 3 1 r ------------------ = - tan 8 - - ln | s e c 0 + tan 8 - - y/l + tan 20 sec2d dd 4 4 J 3 1 = - t a n 8 - - ln | s e c 0 4- tan 8 |- - ( s e c 8 tan 8 + ln|sec0 4- tan 0 4- C 4 o 1 7 = - - t a n 0 (8 4- s e c 0 ) - -ln | s e c 0 4- tan 8 4- C O O 2sJx 2 —3x 4- 2 7 i ____________ = -----------------------(8 + 2x - 3) - - l n 2x - 3 4- 2 j x 2 - 3x 4- 2 4- C O O ' ' y j — 3x “h 2 7 i ____ i = ------------ -----------(5 4- 2 x ) - - n 2 x - 3 4- 2 V * 2 - 3x 4- 2| 4- C 49www.FreeLibros.com
  • 57.
    TÓPICOS DE CÁLCULO- VOLUMEN II Observación 7. Si el integrando contiene una expresión de la forma V a 2 —u ó Va2 + u2 ó Vu2 - a2, a veces una sustitución hiperbólica es más efectiva. Para V a 2 - u 2 , la sustitución es u = a tanh t. Para Va2 + u 2 , la sustitución es u = a senh t. Para Vu2 —a2 , la sustitución es u = acoshí. En el primer caso, Va2 - u2 = a sech t. En el segundo caso, 'Ja2 + u 1 = a cosh t. En el tercer caso, V u 2 - a 2 = a senh t. E je m p lo 56. Calcule / = J x 2J x 2 + 4 dx. So lu ción Usando la sustitución x = 2 se nh í , d x = 2 co sh í dt tenemos / - J x 2y¡x2 + 4 d x = J 4 senh2t 2 cosh t 2 cosh t dt - 16 J senh2t cosh2t d t = 4 J senh22 í d t = 2 J (cosh 4 t - l)d £ 1 - -s e n h 4 í - 2 t + C = 2 senh tco sh t(senh 2t + cosh2t) - 2 1 + C xV 4 + x 2 / x 2 4 + x 2 x j _ 2 Se n h -1 - + í: xV 4 + x 2 4 2 x 2 dx Ejem plo 57. Calcule / ~ f ■ J <V x2 + 4x - 5 Solución Completando el cuadrado en el trinomio y haciendo la sustitución x + 2 = 3 cosh t , d x = 3 senh i d t resulta I rn { __*2dx f * 2 d x f (3 cosh t ~ 2 ) 2 3 senh t dt J + 4* - 5 ~ J / (* + 2)z - 9 i 3 senh t 50www.FreeLibros.com
  • 58.
    INTEGRAL INDEFINIDA (3 cosht - 2 )2 dt = J (9 cosh2í - 12 cosh t + 4)dt í /cosh 2t + 1 9 ^-----------------) - 12 cosh t + 4) dt 9 17 - c o s h 2t - 12 c o sh t + — 2 2 dt 9 17 = - s e n h 2t - 12 se nh t + — t + C 4 2 9 17 = - senh tc o s h t — 12 senh t + — -t + C 2 2 V x 2 + 4 x - 5 17 (x 4- 2 --------- - --------- (x — 6) + — c o sh - ( - J + ^ Obs er vaci ón 8 . Si la integral tiene la f o r m a I R [ xn ; J a 2 ± x 2) dx ó I R ( x n ; J x 2 —a2) d x , donde n es entero impar positivo, es preferible usar ia sustitución z 2 = a 2 ± x 2 ó z 2 = x 2 - a 2. I.jem plo 58. Calcule las siguientes integrales: J) <0 x3 dx f ( x s - x) b) — J V.V x 2 - 9 x 3 dx « J Vx2 + 3 x 3 d x (3 — x 2) 4 d x ( x 2 + 9 ) 3/2 Solución a) Utilizando z 2 = x 2 - 9, 2 z d z = 2 x d x <=> z d z = x dx se tiene x 3 dx x 4( x d x ) f ( z 2 + 9 ) 2z d zr x (x dx) f J Vx2 - 9 JV x 2 — 9 J Vx2 — 9 = J (z 4 + 1 8 z 2 + 9 )d z = ^ z 3 + 6 z 3 + 9z + C = - ( z 4 + 3 0 z 2 + 4 5 ) + C V x 2 - 9 (x 4 + 12x - 144) + C 51 / www.FreeLibros.com
  • 59.
    f ( x5 - x ) _ r (x * - l ) ( x dx) f [(z 2 - 3) 2 - ] z dz J V ^ T 3 JV F T 3 " J z f z ** = J ( z 4 - 6 z 2 + 8 ) d z = Y - 2 z 3 + 8z + C TÓPICOS DE CÁLCULO - VOLUMEN II b) Haciendo z 2 = x 2 + 3, z dz = x dx se obtiene z = - [ z 4 - 1 0 z 2 + 4 0 ] + C Vx2 + 3 , = ----- ------( x 4 - 4 x 2 + 19) + C c) Si se sustituye z 2 = x 2 + 9, z dz = x dx resulta r x 3 dx _ r x 2(x dx) f ( z 2 - 9) ( z dz) J (X2 + 9)3/2 - J ( x2 + 9)3/2 - J dz 9 1 , = z H ------h C = - (z + 9) + C z z 1 ( x 2 + 1 8) + C V x 2 + 9 d) Haciendo z — 3 — x 2, x dx = - - d x se obtiene f x 5 dx í x 4(x dx) f (3 - z ) 2( - í dz) J (3 - x 2)4 ~ J ( 3 - x 2)4 = J i? 1 f / 9 6 1 2 J + 1 / 3 3 1 “ 2 ^ ~ I * + z ) + C x 4 - 3 x 2 + 3 ~ 2 (3 - x 2) 3 + C www.FreeLibros.com
  • 60.
    f x~ dx Jv f ^ F J * + x 2 dx j x z¡4 - x z dx f dx J x 2v l + x 2 dx J ( X 2 -r 1 ) V 1 - X 2 ' x 3 dx v 2 x 2 + 7 dx x 4V x 2 + 3 r (4 x + 5 )d x J ( x 2 — 2x + 2 ) 3/2 f - 4I ( X 2 ( 2x - 3 )d x J ( x 2 4- 2 x - 3 ) 3/2 f V x 2 — 4 x d x x 4 d x I 1 (4- x 2y /z ( x 2 - 2 5 ) 3/2 d x x 6 d x INTEGRAL INDEFINIDA E JE R C IC IO S (x ■+■l)3Vx2 + 2x r sen x dx J Vcos2x + 4cosx 4- 1 1 x /-------- - R. - - a r c s e n x - - v l - x 2 4 -C R. - jx V 4 + x2 + ln(x + J 4 + x2)j 4- C x V 4 - x 2 R. 2 arcsen ----------- -— |x - 2xj + C V l + x i R . --------------- 4- C I y[2x , R. — a rc ta n l - = = ) + C 1 v f V 1 - X 2 V 2 x 2 4- 7 , R. — — ------- ( x 2 + 7) + C V x 2 4- 3 ( x 2 + 3 ) 3/2 R. ---- r--------- -- ---- + C R. 9x 2 7 x 3 9x - 13 ^ _______ :4~ C V x 2 - 2x 4- 2 5 x - 3 4 V x 2 + 2 x - 3 ( x 2 - 4 x ) 3/2 :+ C 6 x 3 v s R. 2 0 (4 - x 2) 5/2 ( x 2 - 2 5 ) s/2 4- C + c 1 2 5 x 5 1 V x2 4- 2x if. - a r s e n ( * + l ) + i 5 r n 5 j + C /?. - l n jc o s x + 2 + V c o s 2x + 4 c o s x + l j + £ www.FreeLibros.com
  • 61.
    TÓPICOS DE CÁLCULO- VOLUMEN II 5 / e x¡e2x - 4 - 2 e 2x( e x + 2) 15. | — ------------- — "■■■■■ ■■ —— —dx 2{ex + 2 ) 4 e 2x~ - 4 R. —nex + 2| - V e 2* - 4 + c _ f 2 x 2 - 4 x 4- 4 16. j - — dx J 4 3 + 2x —x 2 R. aresen - (x - 1 )V 3 + 2 x - x 2 + C 17 18. dx ( x2 - 2 x + 5 ) 3/2 ( x 2 + 3 x )d x R. x - 1 4 V x 2 - 2x + 5 í ( x2 + 3x J (x - l W x 2 -(X - l ) V x 2 - 2x + 10 R . V * 2 - 2a: + 10 + 5 In |V*2 - 2x + 10 + x + l| + - ln V x 2 - 2x + 1 0 - 3 x - 1 + C m Í 4 ^ L J V 4 — x 2 (3 + x 2) 2 x 3 2 0 ' V4 - x2 /? .------ -----(8 + x2) + C 21 22 23 / f V y 2 ~ 4 i y 4 ‘ J ■/ R. - - . 2 ( *2 + l ) 2 , 7 , 4 -------------+ (x 2 + 1) + -f* € d y (x2 —l)Vx2 - 2 2x2 4- 1 ( x 2 + 4 ) 2 dx dx 161 r — ( y 2 - 4 ) 3/2 ■ Í 2 y 3 + C _ Vx2 - 2 k. arctan--------- + C x x 1 4 x 2 x 2 4- 4J ( 2x 2 4- l ) V x 2 + 1 f 3 x a r c s e n x 25. I — . dx R- r r la r c t a n r ----— — - 14- C fi. arctan * ) + C W 1 4- r 2/ J V ( i - * 2) 5 J V i - x 2 v i - x / aresen x 1 [ x (1 — x 2)3/7 i r x 2 l ~ -4-in ■Vi 4- x 2 AT+ 1 V T 4- C dx R ] n f 1 + X ) ( 2 7 3 1 s , 89 /25 + 6x 2 *■ ln l T ^ I A 3 z ~ 5 - zJ + g ó arcsen* “ * 2 ( — e T ' j + c- donde z = J l - x 2 54www.FreeLibros.com
  • 62.
    i t x ¿- 3 A v/x4 - 4 :d x INTEGRAL INDEFINIDA 1 In |x 2 + V * 2 _ 4| - -a r c s e n — x dx ¿'t (x 2 - 2 ) V x 4 - 4 x 2 + 5 x 2 d x 1 /?. -In V x 4 — 4 x 2 4- 5 — 1 x 2 - 2 + C 4- C l 4 x 2 — 1 2 x — 5 (2x 4- 3 i------------------------ 11 arcsen^— -— j 4- -J—4-x2 - 12x — 5(3 — 2x) 411 I I 1,’ 4 I x z dx ( x 2 4- 4 ) 3 2x :i dx 1 R ‘ 64 x 2 x ( 4 - x 2) 1 arctan - - '2 (4 + x 2) 2 4- C 4- C ( v ’ - l ) 4 dx 1 - 3 x 2 R ■ ^------T“TT 4- C (() _ x 2)3 ( 4 x 2 4- l ) d x R. 3 ■4- - In 6 ( x 2 — l ) 3 (3 + x f 3 6 ( 9 - x 2) 2 1 6 ( 9 - x 2) 4 9 — x 2 4- C It ( v - 3 )V 6 x — x 2 — 8 /Í. 24 a rc se n (x — 3) 4- 37 In e 2x dx 1 - V ó x - x 2 - 8 x — 3 J ( c ¿x - 2 e x 4- 5) ) 3 se nh 2x dx R. 4y¡6x — x 2 — 8 4- C e * - 5 4 V e 2* - 2 e * 4- 5 4- C (2 c o sh 2x — 3 se n h 2x — 2 cosh x ) 3/2 R 3 — cosh 2 x 2V 2 c o sh 2x - 3 se n h 2x - 2 c o s h x :4- C ill I , !sen 2x sen x d x ( - 4 sen 2 x - 19 se n 2x ) 5/2 4 tan x — 16 / 5 ( t a n x - 4 ) 2 </ W t.m 2* - 8 tan x + 20 ta n 2x - 8 tan x 4 20 dx + 12 + 128 3 (tan 2x - 8 tan x + 20 )3/ " t C (* 1)(x 2 - 2x + 5 )2 R- 32 (x - l ) 2 x 2 — 2x + 5 4- 1 8 (x 2 - 2x + 5) + C 55www.FreeLibros.com
  • 63.
    I.5.4.1 I NT E G R A C I Ó N D E F R A C C I O N E S S I M P L E S Se denom inan fracciones sim ples a ias funciones que se presentan bajo una de las formas siguientes: 0 f W = TÓPICOS DE CALCULO - VOLUMEN II 1.5.4 M ÉTO D O DE IN TEG RA C IÓ N PO R D E SC O M PO SIC IÓ N EN FR A CC IO N ES PA RCIA LES x —r •*) /O ) = 7— , n > 2 , n e N (x —r ) n ax + b ill) f ( x ) — 2 '------ :— , donde px2 + qx + r no tiene raíces reales, es decir, JjX “t” CJX T Y qz —Apr < 0. ^ s CLX+ b IV) f ( x ) = -— — -----------— ,donde n > 2 , n e N , q 2 - Apr < 0. (;px2 + qx + r)n ^ p Las integrales de estas fracciones sim ples son inmediatas, pues f a i) dx = a ln¡x - r| + C J x —r U) í (x - r ) n dX ~ (1 - n)(x - r ) n_1 + C f ax + b iii) — 7 - -------- ;— dx (desarrollado en 1.5.1 caso III) J p x 2 + q x + r J f ax + b (2px + q)dx J (px 2 + qx + r ) n X 2pJ (px2 + qx + r ) n + 2p(n - 1)(px2 + qx + r ) n~ - + ( * - S ) / f dx i (px2 + qx + r ) n f dx J (px2 + qx + r)n ; Para calcular la integral /, al completar el cuadrado en el trinomio, se obtiene r í du j j r~ R , 4 r P _ <7 J = ~ T i , i n , ' donde u = J p . x + — = y k = ------------ J v J ( u 2 + k 2Y y 4 n( u 2 + k 2r ’ y 4 p En esta últim a integral, se puede usar la sustitución trigonom étrica u = k tan 0 ó la siguiente fórm ula de reducción: 56www.FreeLibros.com
  • 64.
    INTEGRAL INDEFINIDA dx Solución l neste caso n = 2 y k = 2. Entonces r dx x 2 (2 ) - 3 f dx ] (x 2 + 4 )2 “ 2.22(2 - l)(x2 + 4 )2-1 + 2.22(2 - 1) J (x2 + 4) x 1 1 x 1 / x 2x “ 8 ( ^ 4 ) + 8 ' 2 arCt3n 2 + C = 16 l arCtan 2 + Í ^ T í) + C l'lem plo 59. Usando la fórmula de reducción, calcule / = J + . 1.5.4.2 I N T E G R A C I Ó N D E F U N C I O N E S R A C I O N A L E S P O R D E S C O M P O S I C I Ó N E N F R A C C I O N E S S I M P L E S P (x ) Sim la función racional f ( x ) = — -r, donde P (x ) y Q{x) son polinom ios Q(x) i <«primos de grados m y n (m ,n e N), respectivamente. Si m < n, se dice que la función racional es propia y cuando m > n, se dice que rs una función racional impropia. Por ejemplo, las funciones racionales x 5 - 6x2 + 7 y a t o2 x 4 + 8 J " 2x&+ 3 x 3 + 2 mm propias, pues el grado del polinom io del num erador es menor que el giado del polinom io del denominador; mientras que las funciones racionales 3 x 4 - 2x2 + 7 _ 5 x 3 - 3 x 2 + 1 F(X) ~ x2 + 2x + 3 y " 2 x 2 - 7 x 3 + 4 son impropias. P(x) Si / (x) = es Una función racional impropia, por el algoritm o de la división, uxisicn polinom ios C(x) y /?(x) únicos tales que l’t o r r ^ -------= C(x) + Q(x) Q(x) ilmule el grado de R(x) es m enor que el grado de Q(x). C(x) y R( x ) son, ii'speclivamente, el cociente y el resto de la división de P( x ) entre Q(x) . I tío significa que toda fracción im propia puede ser expresada com o la sum a de un polinom io y de una fracción propia. A sí, la integral de una fracción im propia IMifilc ser escrita com o í p t o , f , ( R t o dx 57www.FreeLibros.com
  • 65.
    Enseguida, verem osel método de integración para una fracción propia, el cual se basa en que “toda fracción racional propia puede ser descompuesta en la sum a de fracciones sim ples”. Este hecho se sustenta en el conocim iento de dos teoremas del Á lgebra que adm itirem os sin demostración. Teorem a 1. Si Q (x ) es un polinom io de grado n (n > 1) , entonces Q( x) se descompone com o un producto de factores de 1er grado y de factores de 2 do grado irreductibles en M, de la siguiente forma: Q(x) = a(x — rj) " 1(x — r2)n2 ... (x - rk)nk(x2 + p^x + q1)m» ...(x2 + psx +qs)m>(*), donde n = TI-L+ n 2+ ... + nk + 2 m l + ... + 2m s T eorem a 2. Si el polinom io ( ? ( * ) posee la descom posición '( * ) y P ( x ) es P (Xj un polinom io de grado m enor que n, entonces la fracción propia se descom pone unívocamente en fracciones sim ples como P(X) _ ^11 A12 ^21 ^22 Q(x) x — + (x — rx) 2 (x - rj)ni + (x - r2) + (x - r2) 2 + ^ + - Alnt- + . - 4 - A k l - + Ak2 + . . . + Akn*__ + ( x - r 2)"2 (x - rk) (x — rk) 2 (x - r k)nk ^ Bllx + ^11 ^ Bl2x + ^12 ^ J ^lm, + ^ (x 2 + p 1x + q1) (x 2 + p xx + Ch) 2 (x 2 + pjX + Q i)mi _l_ B S1X + Csí ^ B s2X + CS2 ®smj "t" Q m s x 2 + psx + qs (x 2 + psx + qs) 2 ( x 2 + psx + qs)ms En resumen, podem os afirmar que la integración de una función racional (propia ó impropia) se reduce a integrar a lo más un polinom io y las fracciones simples. Recuerde que si ei grado del numerador es m ayor o igual que el grado del denominador, primero se debe dividir (salvo que se emplee otro artificio de integración). Cuando se descom pone una función racional en fracciones simples, la ecuación resultante es una identidad, es decir, es verdadera para todos los valores significativos de la variable x. E l método para determinar las constantes que se presentan en los numeradores de las fracciones sim ples se basa en un Teorem a del A lgebra que establece que los polinom ios de un m ism o grado son idénticos cuando son iguales los coeficientes que corresponden a potencias iguales. Estas constantes también se pueden determinar resolviendo la igualdad de polinom ios para un núm ero suficiente de valores de x. En el siguiente ejemplo, sin determinar las constantes, mostrarem os com o se descom pone una fracción propia. TÓPICOS DE CÁLCULO - VOLUMEN II 58 www.FreeLibros.com
  • 66.
    Sea la fracciónpropia P(x) 7 x 4 — 2 x 3 + x 2 —%/2x + n Q(x) = (x + l ) ( x - 4 )3( x 2 + 9 ) ( x 2 + 1) 2 I .1 descom posición de esta fracción en fracciones sim ples se expresa com o P(x) A B C D Ex + F Gx + H Jx + M ■+ -------r + 7------ :tt + -:------ ;tt + — ---- — H---- ^---- - + - INTEGRAL INDEFINIDA Q(x) x + 1 x - 4 (x - 4) 2 (x - 4 ) 3 x 2 + 9 x 2 + 1 ( x 2 + l ) 2 donde A, B, C, D, E, F, G, H, J y M son constantes a determinar. f x 3 —3x + 3 lile m p lo 60. Calcule / = — :---------- irdx. H J x 2 + x - 2 Solución I n primer lugar, se divide, ya que el integrando es una fracción racional impropia. x 3 — 3x + 3 1 1 = x — 1 + — ---------- - = x - 1 + ■ x 2 + x - 2 x 2 + x - 2 ( x - l ) ( x + 2) 1iit'í’o, J = j (x —l)d x + J • dx x 2 — —X (x — l ) ( x + 2) 2 Al descom poner el integrando de I en fracciones simples, se tiene 1 A B (x — l) ( x + 2) x — 1 x + 2 donde A y B son constantes a determinar. M ultiplicando esta ecuación por el m ínim o com ún m últiplo del denominador, se obtiene la ecuación p rin cip a l 1 = A(x + 2) + B(x - l ) , V x £ l Ahora bien, para determinar las constantes A y B se debe escoger valores npi opiados de x. Estos valores son aquellos que hacen igual a cero el denom inador de cada fracción simple. A sí, tenemos: l'm a x = 1 en la ecuación principal, nos queda: 1 = 3A <=> A = 1/3 l'nia x = - 2 en la ecuación principal, resulta: 1 = - 3 B «=> B = - 1 / 3 I ui'^o, x . /(: 1/3 1/3 1 , 1 , 1. dx = -ln|x —1| — -ln|x + 2| + C = -in 1 x + 2) 3 3 3 'ni lauto. x + 2 + C X 2 X 1 / = y - í + ^ T - x + 3 1" x + 2 + C I ti el ejemplo anterior, para calcular la integral I no es necesario descom poner en li h it iones simples, pues tam bién se puede calcular completando cuadrados. En los llám enles ejemplos, usarem os el método m ás adecuado. 59www.FreeLibros.com
  • 67.
    TOPICOS DE CALCULO- VOLUMEN II X2 — 6x + 8f x ¿ —6x + 8 Ejemplo 61. Halle I = I — — ------ - d x J x2 + 2x + 5 Solución C om o el integrando es una fracción impropia, primero se divide y luego se aplica el artificio presentado en 1.5.1. A sí, se obtiene f x z - 6x + 8 f 3 - 8x i f (8 x - 3)dx = I 7' , o — r ? d x = I 1 + - ^ — =------ - d x = x - J x 2 + 2x + 5 J L x 2 + 2x + 51 J f 2x + 2 f = x —4 I —-— ------ dx + 11 I , J x 2 + 2x + 5 J (x + l ) 2 + 4 x 2 + 2x + 5 2x + 2 r dx , 11 ¡x + 1 x —4 ln (x 2 + 2x + 5) + — arctan ^— - — J + C dx Ejem plo 62. Halle J . , . J x3+ 1 Solución La descom posición que corresponde a la'fracción propia del integrando es 1 1 A Bx + C x 3 + 1 (x + l ) ( x 2 - x + 1) x + 1 x 2 - x + l P Elim inando denominadores, obtenemos la ecuación principal: 1 = A( x2 - x + 1) + (Bx + C)(x + 1) (*) Para x — — 1 en la ecuación (*), se tiene: l = 3A ==> A = 1/3. Igualando coeficientes de x 2 en (*), resulta: 0 = i 4 + í ? = > f i = — 1/3. Igualando coeficientes de x en (*), obtenemos: O = - A + B + C =$ C = 2/3. En esta integral, el problema m ayor es la integración de la fracción sim ple /?. U n método que facilita la integración de este tipo de fracciones sim ples (y que se usa cuando el denom inador presenta factores cuadráticos irreducibles) consiste en expresar el integrando como 1 1 A D(2x - 1 ) t E X 3 + 1 (x + l ) ( x 2 — x + l ) x + 1 x 2 — x + 1 donde 2 x - 1 es la derivada del denom inador x 2 - x + 1. Obsérvese que para integrar la segunda fracción es suficiente separar en dos integrales tal com o veremos a continuación. En la igualdad anterior, m ultiplicando por el denom inador se obtiene la nueva ecuación principal: www.FreeLibros.com
  • 68.
    INTEGRAL INDEFINIDA 1 =A(x2 - X + 1) + [D (2X - 1) + E ](x + 1) Para x = - 1 en (**), se obtiene: 1 = 3A = > A = 1/3. Igualando coeficientes de x 2 en (* * ) , resulta: Q = A + 2 D = $ D = — 1/6. Igualando coeficientes de x en (* * ) , se tiene: 0 = —A + D + E = > E = 1/2. fuego, líje in p lo 63. Calcule J ■ Solución C om o x 3 - 1 = (x - l ) ( x 2 + * + 1), aplicam os el método del ejemplo anterior. 1)c este modo, la descom posición en fracciones sim ples es 1 A B (2 x + 1 ) + ^ x 3 - 1 ~ x - l + x 2 + x + 1 Elim inando denom inadores.se obtiene A = 1/3, B = -1 / 6 . C = -1 / 2 . P or tanto. 1 1 1 í 2x ~~ = -ln|x + 1| - gln(x2 - x + 1) + -^arctan + c dx dx E je m p lo 64. Halle / - J <•* _ 2) 2^ - 4 x + 3 ) 'm plo 64. Halle / — Solución ( orno (x - 2 ) 2( x 2 - 4 x + 3) = (x - 2 ) 2(x - 3 )(x - 1), entonces (x —2 )2( x 2 — 4 x + 3) x — 2 (x - ¿V x - i x - 1 l lim inando denominadores, obtenemos la ecuación principal: www.FreeLibros.com
  • 69.
    TOPICOS DE CÁLCULO- VOLUMEN II l = A ( x - 2)(x - 3 )(x - 1) + B(x - 3)(x - 1) + C(x - l)(x - 2)2 + D(x - 3 )(x - 2) 2 Trabajando con esta ecuación principal, se tiene Para x = 2 = > 1 = —B = > B - - 1 Para x = 3 => 1 = 2C = > C = 1/2 Para x = 1 => 1 = - 2 D =¡> D = - 1 / 2 Igualando coeficientes de x 3 resulta: 0 = i4 + C + D = > . 4 = 0 Por consiguiente, dx r dx I S o r :( x - 2 ) 2 ( * - 3 ) ( x - l ) x - 3 _ f dx 1 r dx 1 f dx ( x - 2 ) 2+ 2J x —3 ~ 2 J x - 1 1 1 : ------^ + r l n x - 2 2 x —1 + C E je m p lo 65. Halle I- j Solución Escribim os la integral com o ' VserTx Vsen x c o sx -dx. f v s e n x f v se n x c o sx / = ----------dx = — ----------- — dx J cosx J l - s e n 2x Haciendo u 2 — s e n x => eos x d x = 2u d u y descom poniendo el resultado en fracciones simples, se tiene r 2u2 du _ í 2u2 du r r i /2 1/2 1 " J 1 - u4 ~ J (1 - U2)(l + u2) ~ J l l - u + 1 + u " l T ^ 2u 2 du du 1 , |u+li 1 IVsenx + 1 ~ ln ------ r - arctan u + C = - l n , ------ 2 l u - H 2 V ü ñ x - 1 arctanVsen x + C E je m p lo 6 6 . Cacule I= j So lu ción dx x ( x 69 + l ) 3 ' dx 1 f 69 x 68 dx Se tiene que / = I - —^7----------- — ¡ ------------------ J x( x69 + l ) 3 69 J x 69(x 69 + l ) 3 »Si en la últim a integral se hace u = x 69 + 1 => du = 69 x 68 dx, resulta / - 1 f du 1 f A B c D 1 69 Ju 3(u - 1) 69 J [u + u 2 + i í 3+ w - lj 62www.FreeLibros.com
  • 70.
    INTEGRAL INDEFINIDA Determinando lasconstantes A, B, C y D por el procedimiento usado en los ejemplos anteriores, se obtiene 1 . Í L Í _ j L _ - L 1 i9 J i u u2 u 3 + u - 169 1 >.69 69 r " k 69 + 1 1 1 du = -ln |u | H------t - r - r + ln|u - 1| + C u 2u2 + C + 1 2 (x 69 + l ) 5 K|em plo 67. Calcule 1 = J V tan x dx. .Solución SI lineemos t 2 = ta n x =» x = a rcta n t2 y d x = 21 dt 1 + t entonces f 2 t 2 dt _ f 1 ~ J i + t4 “ J ( T 2 t z dt + V 2 t + t z) ( l - V 2 t + t 2) I ,ii l'actorización de 1 + t 4 se realizó del siguiente modo: I f t4 = (t 2 + l ) 2 - 2t 2 = (t 2 + l ) 2 - ( V 2 t) 2 = ( t 2 + 1 - V 2t ) ( t 2 + 1 + V 2t) I ,¡t descom posición del integrando es A ( 2 t + V 2 ) + B t C(2t - s / 2 ) + D _ 212 t 2 + V 2 t + l t 2 - V 2t + l “ l + t4 Elim inando denominadores, se tiene 212 = [¿(2t + V2) + B][t2 - V2t + 1] + [C(2t - V2) + Z>][t2 + V2t + l] Igualando los coeficientes de las potencias de t en los dos polinom ios, se obtiene 2A + 2 C ^ = 0 , (B + D ) + V 2 (C —A) = 2 , yj2(B - D) = 0 , V2G4 - C) + B + D = 0 Kesolviendo las ecuaciones, resulta i4 = — V 2 / 4 , C = V 2/4 , B = — 1/2 , D = 1/2 I uego, V 2 ’ 4 r 2t + V2 _ i r _ J t 2 + V 2t + 1 f 2 J t2 dt V 2 f 2t - V 2 1 f J t2 - V 2t + 1 t + 2 j t2 -t2 + V 2t + 1 4 hiiegrando y sim plificando, se obtiene t 2 - V 2 t + 1 dt V2t + 1 V 2 , / = T ln4 t 2 + V 2 t + 1 donde t = Vtan x. /^ ^2 — — arctan(V 2 t + l ) + — arctan (V 2 t — l ) + C 63www.FreeLibros.com
  • 71.
    r Ejemplo 68. CalculeI = í ------— J 3 + 4 TOPICOS DE CÁLCULO - VOLUMEN II sec2x dx tan x + sec2x ' Solución Escribim os la integral com o l = [ x sec2* dx - f _____ x se ^ x dx _ f x sec2x dx J 3 + 4 tan x + sec2x J 3 + 4 tan x + (1 + tan2* ) ~ J (tan x + 2) 2 Aplicando el método de integración por partes, elegim os ( u = x => du = dx sec2x dx dv = 71--------V = - - (tan x + 2)2 tan x + 2 Luego, dx l = -----------_ + r dx J tan xtan x + 2 J tan x + 2 J H aciendo t = tan x =* d t = sec2x dx en la integral ], se tiene dxf sec2x dx r dt, f dx _ r _______ sec2x dx_______ r J tan x + 2 J (tan x + 2)(1 + tan2x) J '(t + 2) ( 1 + t 2) Descom poniendo el integrando en fracciones simples, tenemos 1 _ 5 . ~ l ñ ( 2t) + 5 ■+ • ( í + 2) ( l + t2) t + 2 1 + t 2 Luego, l r dt 1 r 2t dt 2 r dt 5 j t + 2 1 0 J 1 + t 2 + 5 J 1 + t 2 1 1 2 J = p ln|t + 2| — —— ln|l + t 21+ - a r c t a n t + C b 10 5 1 1 2 7 = g In|tan x + 2| - — ln|l + tan2x| + -a rc ta n (ta n x) + C Finalmente, obtenemos (tan x + 2) 3* 1 / — ------------- “ H----- ln tan x + 2 10 sec2x 2 + - * + C www.FreeLibros.com
  • 72.
    INTEGRAL INDEFINIDA E JE R C I C I O S II,illc las siguie ntes integrales indefinidas: 4 x 2 + 6 / í I / /; h r - x 3 + 3x dx -dx ( x 2 4- 4 ) 2 x 4 - 4 x 2 - 14a: x 2 —2x — 8 dx ( x 2 + 2x + 5 ) 3 X ‘ ^ ' 2 x 2 + 4 R. ln [x 2( x 2 + 3)] 4- C 8 4 ln [ x 2 4- 4| + C -dx R. x ■> 68 , , 14 , R. — 4-x 4 -8 x 4 -— ln[x — 4 | — — ln|jí + 2| + C 2(x 4 1) 3 (x -t-l) 3 (x + 1 •4- , . „— ~ a rc ta n (— -— j 4- C (x 2 4- 2x 4- 5)2 4 (x 2 4- 2x + 5) 8 X 2 4- X - 1 :3 - x 2 - x + 1 dx x 4- 1 2 x 2 4- 3x dx R. R. ------------— + -ln | x - 1 | - - ln | x 4 - l| 4- C 2(x - 1) 4 4 ln|x| ln(x2 - 2x 4- 3) 2 •+ - arctan 3 <c t ) + x «) 10. i X 3 4- X 2 x 2 + x — 2 dx 1 I x 2 I R. — 4 -ln ------ - X x 4- 1 4- C + c -dx 4 4- 5 x 2 4- 4 2 x 2 —3 x — 3 l ) ( x 2 - 2 x + 5) 1 ( x 2 + 1 R. - l n —z------ 6 x 2 4- 4 arctan x 4- arctan - 4- C dx 1 R. - l n ( x 2 — 2x 4 -5) - ln|x — 1 | -F -a rc ta n ( ^ ) 4-C r x 2 J 1 - x ■dx6 x 2 dx x 6 - 10 x 3 4- 9 1 R. - l n 6 B. i l n X 3 4- 1 4- C + C 4x 4- 1 X 2 4 -1 -dx 1 2x + 1 R. - ln (x 2 4- x + 1) — V 3 arctan I I 2x X 2 4- 1 -dx V3 V3 2 4 /2 x + — arctan V V 3 i ) + C /2 x 2 4- V R. — arctan ----- —— 4- C V3 V V3 65www.FreeLibros.com
  • 73.
    TOPICOS DE CALCULO- VOLUMEN II f Zx<■ 14. -------- J x 4 + x- ■ -dx • / / i + 1 Ä-. |m x 2 dx x 6 - 10x3 + 9 dx x 2 - X + 1 1 /2 x + 1 1 /2 x - 1 + — arctan — =r— + — arctan — = — + C V V3 ) V3V3 i ( ^ ) V 3 / fi' 2 4 ln V 3 X 3 - 9 x 3 — 1 + C 17. V 2 /?. — ln dx x 8 + x 6 7 . 1 + V 2x + x 2 1 — V 2 x + x 1 + -^ -a rctan (V 2x + l ) — arctan(V 2x — l ) + C 1 1 1 ñ. - + — — ---------- arctan x + C b x 3 3 x 4 x r x + x J 18' J - 2 4 ' + 1 d% 1 9 . / d x 2 0. x ( x 7 + l ) 2 f dx I X ( X 999 + l ) 2 dx / ■ / x ( x 9 + l ) 3 d x X 12(X 11 + 1) „ . 4 1 , , , 4 , 1 |2x4 + 1 — V5| R. :rln|x4 - 1 |- - l n [ x 6 + x 4 - 1 -------— l n ----------------- = + C 2 4 2 V 5 |2x4 + 14- v 5 i R. ¡ n | x | - ^ in | x 7 + 1 | + — — + C 7 7 ( x ■t t j 1 1 R. ln|x|-------- lnjx999 •<- ll + --------- — ------- + C 999 9 9 9 (x 9" + 1) 1 1 1 R. ln|x|— -ln | x + l| + „ 4-------- — ^— ? + C 9 9 (x 9 + 1) I 8(x9 + l ) 2 R •r r l n l x 11 + 1| - 1■/ - ln|x| + L 11 l l x 11 f cot x dx 23 i c i S í 24. 7x + 1) f tan x dx J ( c o s " x + 1) R. ln | sen xj— ln|sen'x + 1| + — -----:--------~ 7 7 (se n 'x + l j R. — ln|cos x + l| - lnjcos x ) - 9 9 ( c o s "x + l) + C + C ' x 4V s e n x + V s e n x + c o s x 25. I ---------- , , ----------------- dy. P ( x4 + 1) c o s x Ä. | m V se n x + 1 V 2 . x 2 + V 2 x + 1 -------- arctanfVsen x ) + —— ln ----------------------—-------- V se n x - 1 8 x 2 - V 2 x + 1 + — arctan(V 2x + l ) - arctan(V 2x - l ) + C 66www.FreeLibros.com
  • 74.
    IIN1cvjKAL LNUfcMINIUA lU. / dx X s+ 1 V 5 R- ™ ln 20 2x2 - ( l - V5)x + 2 2x2 - (1 + V 5 )x + 2 V lO — 2 V 5 / 4 x - ( l + V 5 ) + ------ — ------ arctan — + 1 0 V V 10 - 2V 5 / V IO + 2V 5 ^ ( Ax - (1 - V 5 ) , „ --------— ------ arctan — |+ C 10 V V 10 + 2V 5 ,'7. 2'). <0. 1!. ;»2. u . j V t a ñ h x d x c o s x V s e n x + 1 1 Ä. - In 2 tanh X + 1 — — arctan(tanh x) + C sen x + 2 dx dx R. 2 V se n x + 1 — 2 a rc ta n V se n x + C sen 5 x ( l + cos 5 x ) 2 dx 1 R. - In 4 cos 5x - 1 •+ C V c o s x sen x 5 /?. In 1 - V c o s x 1 + V c o s x c o s 5 x + l 2 ( c o s 5 x + l ) + 2 a rc ta n (V c o s x ) + C C X 3 J i 1 3 ! / / d x fi. - [ x 3 - ln ( x 3 - 1)] + C dx x 3 + x - 1 ( x 2 + 2 ) 2 4 x 2 - 8 x ( x - l ) 2( x 2 + l ) 2 Ä. 2 — x I nJx2 + 2 ------ — arctan — + C 4(x2 + 2) ^ 4V 2 V 2 dx R. 3 x - 1 (x - l ) ( x 2 + 1) , ( * ~ 1 ) + In — ■■ . 1 + arctan x + C x 2 + 1 ) (■I / / dx ( x 2 — x ) ( x 2 - x + l ) 2 x - 1 Æ. In 10 3 V 3 /2x - 1 arctan — — V V 3 2 x — 1 3 ( x 2 — x + 1) 3 x + 2 x ( x + l ) 3 dx 4x + 3 x R. — ------ —w + ln - 2 ( x + l ) 2 (x + l ) 2 + C + C 67 www.FreeLibros.com
  • 75.
    TÓPICOS DE CÁLCULO- VOLUMEN II Hem os visto que las funciones racionales poseen integrales que se expresan com o com binaciones lineales finitas de funciones elementales. Esto no sucede con las funciones irracionales salvo en algunos casos particulares. E n esta sección y en las siguientes, vam os a estudiar algunos tipos de funciones irracionales cuyas integrales pueden ser expresadas com o una sum a finita de funciones elementales. Para esto, es necesario un adecuado cam bio de variable de manera que el integrando de la nueva integral sea una función racional. 1.6 IN TEG R A C IO N DE ALGUNAS FUN CIO N ES IR R A C IO N A L E S f í /a + bx mi/ni /a + b x mk/nk 1 .6 .1 IN T E G R A L E S D E L T IP O j A ( _ ) ;...; ( — ) En este caso, R es una función racional de variables /a.+ b x mJni / a + bx mk/nk . x ■f c r s ) ■ •••y '*>"*»•>...................."• 6 : a + bx Por tanto, los exponentes de -------— son núm eros racionales. c + dx E n esta situación, se hace el cam bio de variable a + bx dx = t n , dond e n = m. c. m. {ri!, n2, - , nk} c + dx Despejando x, se obtiene t nc —a (be —a d ) n í n_1 y d x = ■í b - d ñ ‘ - i c Sustituyendo estas expresiones en el integrando, se obtiene que R es una función racional de variable t. dx E je m p lo 69. Calcule J = f xl/2(1 + xl/4)• So lu ción E n este caso, los exponentes fraccionarios de x son 1/2 y 1/4. Entonces m .c. m .{2 ,4 } = 4 Haciendo el cam bio de variable x — ? 4 =* d x = 4 13 d t resulta f 4 t 3 d t r 4 t f ( 4 ^~ jt 2( 1 + t) ~ J 1 + t d t ~ j ~ t +1/ = 4 t - 4 ln |t + 1| + C = 4 x 1/4 - 4 ln |x 1/4 + l | + C www.FreeLibros.com
  • 76.
    Solución I .ds cxponcntesfraccionarios de x - 1 son 1/2 y 1/3 . Si se hace x ~ 1 = t 6 (6 = m. c. m. {2 ,3 }) => dx = 6 t sdt. I liego, f 6 t 5 d t r t 3 r , i . J t 3 + t 2 ~ 6 ] T T i dt = 6 l ( t 2 ~ t + 1 - ^ ) dt = 2 t 3 - 3 t 2 + 6 t - 61n|t + 1| + C - 2¡x - 1 - 3 V x - 1 + ó V x - 1 - 6 1 n | V x — 1 + l l + C INTEGRAL INDEFINIDA Kjcinplo 70. Halle I = f dx J V X - 1 + jx - 1 ' Eje m p lo 71. Calcule / = í í— — 1 — J y] 1 + x 2 x Solución Se escribe i ~ r 1 ■ — / = í I** ~ 1 ^ - 1f ;x2 “ 1 2* dx J j l + x 2 x 2 J J i + x 2 ' ~ P ~ I luciendo el cambio de variable z = x 2, se obtiene / = - [ ,2 ~ 1 dz 2 J 1 + z z I n ''sta últim a integral, el criterio estudiado nos sugiere reem plazar — = ^ I »namos al lector seguir este camino. Resolvem os la integral usando el siguiente l = ± r _ j £ Z l ) d z _ _ l r ( z - l ) d z i r dz i r dz 2 J z v 1 + z V z — 1 2 j zVJ T T J 2 ) 4 ^ 1 2 J ¡ V P ^ T 1 , --------- , i - ln | z + V z 2 - 1¡ -~ a rcse c| z| + C www.FreeLibros.com
  • 77.
    E je mp lo 72. Calcule / = J -Jtan2x + 2 dx. So lu ción Escribim os la integral como tan2* + 2 r sec2x + 1 f sec2x dx [ dx TOPICOS DE CALCULO - VOLUMEN II l r tan2* + 2 [ sec2x + 1 _ f sec x “x + f J V tan 2* + 2 J V tan 2x + 2 J V tan 2x + 2 JV tan 2x + 2 i V tan 2x + 2 'i '2 Aplicando las fórm ulas de integración correspondiente a cada integral, tenemos /* = ln jtan x + + C1 [ eos x d x f eos x d x ( s e n x /, = , = ■— -- aresen I — — + C2 J V s e n 2x + 2 e os2* J V 2 — se n 2* ' v 2 / Por consiguiente, i ---------------1 /sen x I = ln |tan x + V t a n 2* + 2 1+ aresen ^ j + C 1 .6 .2 IN T E G R A L E S D E L A F O R M A dx (x - a)n4 p x 2 + qx + r , n e Para calcular esta integral, se debe usar la siguiente sustitución recíproca 1 dt x - a = j = > d x = - j j E je m p lo 73. Calcule / = I — J x dx 2y/4x2 + X + 4 So lu ción 1 1 H aciendo la su stitu ció n x = - = > dx = — - r d t , se obtiene t t z dt t 2 f — = U L = = - Í J 1 4 , 1 , , J t dt 1 ¡ A t2 |t2 -~í8 J + 7 + 4 (8 t + l) d t V 4 t 2 + 1 + 4 ' 8 j i f 8.1 V 4 t 2 + t + 4 dt - s dt = - - V 4 í 2 + t + 4 + — í = l n | 2 t + 7 + V 4 t 2 + t + 4 4 V 2 V 6 3 I 4_ ' 1 V4 + 4x2 + x 1 -----------------------+ — = = ln 4 x 2V63 8 + x V 4 x 2 + x + 4 + -------------------- 4x + C + C 70www.FreeLibros.com
  • 78.
    Ejemplo 74. Calcule/ So lu ción INTEGRAL INDEFINIDA dx = [ _____ i J (x —2)yfx(x - 2)y/x2 + 3 x - 9 1 1 C om o x —2 = — => dx = —— dt, entonces - / í T 3 d t t 2 | J ( i + 2^ + 3(l + 2)-9 dt = = - ln t + - + V t2 + 7t + 1 45 I 2 + C - l n 7x - 12 V x2 + 3x - 9 2 (x - 2) x - 2 E je m p lo 75. Calcule J = f ..+ 3)dx — J x 2yj3x2 + 2x + 1 So lu ción 1 1 Si se hace x = - = > d x = - ^ -d t. Luego, = _ f ( í +3) f f J 1 / 3 + 2 + 1 - J t 2y J F + t + 1 3 f 2t + 2 dt t 2 (1 + 3 t)d t V t2 + 2 í + 3 d t “h 2 2 J Vt2 + 2t + 3 J V(t + l )2 + 2/: dt = — 3-y/t2 + 2t + 3 + 2 ln |t + 1 + V i 2 + 2 t + 3¡ + C x + 1 + V 3 x 2 + 2 x + l l3 V 3x2 + 2 x + 1 + 2 In + C 1 'i algunos casos, la sustitución recíproca puede facilitar el integración, com o verem os en los dos ejemplos siguientes. proceso de 71www.FreeLibros.com
  • 79.
    TÓPICOS DE CÁLCULO- VOLUMEN II Vx -;r -yx —■X E je m p lo 76. Calcule / = J — — — dx. So lu ción 1 1 Si se hace x = - = > d x = — ^dt. Luego, t t2 * 11 _ J_ = - J - - ^ = - J V t 2 - 1 t d t , (u = t 2 - l , d u = 2 t d t ) E je m p lo 77. Calcule / = J ■ dx (x + l ) 4 x 2 ‘ So lu ción 1 1 t * ~~ t dt Si se hace x + 1 = 7 = > dx = - - ^ d t . Luego, t4 H = - f y + t 2 + 3 í + 4 ln ( l - 1) + + c 1 1 3 1 x 1 x + l i „ -------- — H-------------- H-----------f- 4 ln -------r H--------- 1 + C .3(x + l ) 3 (x + 1) 2 x + l ljc + l l x i 1 .6 .3 IN T E G R A L E S D E L A F O R M A J R [ x-. Jax2 + bx + c ) dx E n este caso, R es una función racional en las variables x y V a x 2 + bx + c. U n a integral de esta form a se calcula usando las ‘‘sustituciones de E u le r”. Estas sustituciones permiten transformar el integrando en una función racional de variable t. Se presentan 3 casos: C A S O I. Si c > 0 , el cam bio de variable es V a x 2 + bx + c = tx + Ve. Elevando al cuadrado, resulta a x 2 + bx + c = t 2x 2 + 2V e tx + c <=> (a - t 2) x 2 + (b —2 V c t ) x = 0 «=* x [ ( a - t 2) x + ¿ - 2 V c t] = 0 72www.FreeLibros.com
  • 80.
    En esta últimaecuación, elim inando la solución x = 0, se obtiene x = <p(t), que es una función racional de t, y dx = (p'(t)dt. donde <p'{t) es también una función racional de t. Por lo tanto, J R(x,]y]ax2 + bx + c )d x = J R(<p(t); tcp(t) + Ve) <p'(f)dt donde el integrando del segundo m iem bro es una función racional de variable t. INTEGRAL INDEFINIDA E je m p lo 78. Calcule ] = ■ J . dx x V 2x2 + x + 1 ' So lu ción Haciendo y = V 2 x 2 + x + 1 = tx + 1 y elevando al cuadrado, se obtiene 2 x 2 + x = t 2x 2 + 2 tx Elim inando la solución x = 0, se obtiene 2 t ■ dx 2 ( t 2 — t + 2) dt, y = t ( 2t - 1) + 1 = t + 2 2 —t 2 ' (2 — t 2) 2 " 2 —t 2 1 ‘ 2 — t 2 Luego, reemplazando estos valores en la integral y sim plificando, nos queda J' = f 2 d t . . J 21 - 1 = ln|2t — 1| + C = ln 2 V 2 x 2 + x + 1 - 2 + C C A S O II. S i a > 0 , se hace la sustitución V a x 2 + bx -f c = V a x + t. Elevando al cuadrado y sim plificando, se obtiene bx + c = 2V a íx + t 2. De esta dx ecuacion.se obtiene que x y ~ son funciones racionales de t y p or tanto, el nuevo integrando es también una función racional de variable t. E je m p lo 79. Calcule / = j So lu ción dx x V x 2 + x + 1 Sea y = v x 2 + x + l = x + t. Elevando al cuadrado, se obtiene x 2 + x + 1 = x 2 + 2tx + t 2. Lue«o, 1 1 - 2 1 , dx - 2 - t c + t • d x , y = - r + 1 - i i - 2 1(1 - 2 t ) 2 Finalmente, reemplaitando estos valores en I y sim plificando, se tiene V x 2 + x + 1 - x - 1 ' J dt = ln t — l i t + 1 + C = ln V x 2+ x + 1 ~ X + 1 73www.FreeLibros.com
  • 81.
    TOPICOS DE CÁLCULO- VOLUMEN II C A S O III. El trinom io a x 2 + bx + c tiene dos raíces reales r y s. E n este caso, la sustitución es y - V a x 2 + bx + c = t{x - r). Elevando al cuadrado, se obtiene a x 2 + bx + c = a(x - r)(x —s) = t 2(x - r ) 2 Cancelando el factor x —r, resulta a(x —s) - t 2{x - r). dx De esta igualdad, se sigue que x , — e y son funciones racionales de t y, por dt ende, el nuevo integrando es también una función racional de variable t. dx =/; E je m p lo 80. Calcule / , ____________ W x 2 - 3x + 2 So lu ción C om o x 2 - 3x + 2 = (x - 2)(x - 1) , reemplazamos y = y/x2 - 3x + 2 = y/{x - 2)(x - 1) = t(x - 1) Elevando al cuadrado y sim plificando el factor x — 1, queda x - ¿ — t 2(x - 1). Luego, se obtiene 2 — t 2 2t d t t d x = ó ^ w A Finalmente, , dt V 2 Í = - 2 I — = - T ln t-V 2 t + y¡2 V 2 + C = T ln 4 x - 2 4- y¡2(x - 1) 4 7 = 2 - J 2 ( x - 1 ) + C 1 .6 .4 IN T E G R A L E S D E L A F O R M A : J x m(a + bx n)p dx A una expresión de la form a x m(a + b x n) p d x , donde m, n y p son números racionales, se llam a binom io diferencial. Pafnuty L vo vic h C hevysh ev (1821- 1894), el matemático ruso m ás eminente del siglo X IX , dem ostró que la integral de los binom ios diferenciales con exponentes racionales puede expresarse mediante funciones elementales solamente en los casos siguientes (siem pre que a ^ 0 y b 0): C A SO I: p es un número entero m + 1 C A S O II: ---------es un num ero entero n m + 1 C A S O III: — :-----hp es un núm ero entero ’ n m + 1 m + 1 Si ninguno de los núm eros p , ---------, — -------h p es entero, la integral no puede ser expresada mediante funciones elementales. 74www.FreeLibros.com
  • 82.
    C A SOI. Si p es un número entero, se hace la sustitución x = z r , donde r = m. c. m. de los denominadores de las fracciones m y n . m + 1 C A SO II. Si — - — es un núm ero entero, hacem os la sustitución a + bx11 — z s, donde s es el denom inador de la fracción p (com o p es un número r racional, P = ~> con r y s núm eros enteros coprim os) m + 1 C A SO III. S i ---------- 1- p es un núm ero entero, se utiliza la sustitución n a + b x n — z sx n ó ax~n + b = z s donde s es el denom inador de la fracción p. E je m p lo 81. Calcule / = J x 2 ^1 + x ^ ¿Lx. So lu ción En este caso, m = 1/2, n = 1/3, p - - 2 e l (caso I) y m. c. m. {2,3} = 6. La sustitución es x = z 6, dx = 6z 5dz, x 1/2 = z 3 y x 1/3 = z 2. Así, tenemos , ~ 1/z f z 3. 6 z 5 dz . I = I „ . == I TT— 7TT - 6 I ( 1 + z 2 ) 2 dz Efectuando la d ivisión en el integrando, se obtiene INTEGRAL INDEFINIDA f x i/¿ r z s. 6z b dz r = J ( l + X 1/3)2dX = J (1-fz2)2 ZZ6J I do la d ivisión en el integrando, se obtiene f / , 4 z 2 + 3 / z5 2 z 3 r = 6 J ( z4 + 2z2 + 3 - a ^ r ) d z - 6 ( j - - + 3 z ) - 6 I - l , , , , 4 z 2 + 3 ( z s 2 z 3 f 4z 2 + 3 / = 6 | |z + 2 z 2 + 3 — , _,N, )d z = 6 ( - - — + 3 z ) - 6 f - - + ^ 2 )2 dz ” 7 ” ’ Para calcular la integral J, usam os la sustitución trigonométrica z = tan 6. f 4 z 2 + 3 f (4 tan20 + 3)sec28dB [ 1 ' J I T T ^ P = J- - - - - - - -= J (4sen " + 3 = /( 3 + s e n = / (3 + l ^ H ) M = 1 8 - ^ + C, 7 sen 0 eos 0 7z = 2 « ---------- 5-------+ C > = 2 arCta" Z “ 2 ( T T P j + C ' Por lo tanto, 6 3z / = - z 5 - 4 z + 1 8 z - 21 arctan z + --------r + C 5 1 + z 2 = %xs'b - 4 V x + 1 8 V x - 21 arctan [ í + + C 5 1 + V x 75www.FreeLibros.com
  • 83.
    TOPICOS DE CALCULO- VOLUMEN II E je m p lo 82 Calcule } = J x1/3(2 + ^ 2/3) 1/4 dx. So lu ción 1 2 1 m + 1 En este caso, se tiene m = - , n = - , p = - y ---------= 2 E 2 ( c a s o i I ) , 3 3 4 n Ahora, la s titución es ' 2 + x 2/3 = z 4 , ¡ X~X,Z dx = 4 z 3d z ó dx = 6 x 1/3z 3dz Luego, y J x 1/3( z 4) 1/,46 x 1/3z 3 dz = 6 J x 2/3z 4 d z = 6 j ( z 4 - 2 ) z 4dz = 6 ( t -- % r ) + c = I ( 2 + " 2 / 3 ) 9 / 4 - ^ ( 2 + " 2 / 3 ) s / 4 + c E je m p lo 83. Calcule / = J ^ 3 V ' 5 dx t 6( 6 5 - x 6y / 6 ' So lu ción Escribim os la integral com o / = J x -6 (65 — x 6)~1/6 dx. 1 m + 1 Puesto que m = —6, n = 6, p = - - y ------ — + p = — 1 a TL (caso III),■ 6 n hacemos la sustitución 6 5 - x 6 = z 6x 6 ó z 6 = 6 5 x -6 - 1, dx = - — x 7z 5 d z 65 Por tanto, tenemos I = J x ~ 6( z 6x 6)~6 — x 7z 5 d z j = - — J z 4 dz 1 _ (6 5 - x 6) 5/6 = z 5 + C = - - - — 7 — + C 3 2 5 3 2 5 x 5 E je m p lo 84. Calcule 1 = J V x V * 3 + 1 d i ­ so lu c ió n La integral tiene la form a 1 = J x 1/2( l + x 3) 1/í2 d x . Luego, 1 1 m + 1 m = - , n = 3, p = — y — --------------------1- p = 1 £ TL Ahora, hacemos 1 + x 3 = z 2x 3 ó x~3 + 1 = z z, dx= - 2 / 3 x 4z dz. 76www.FreeLibros.com
  • 84.
    INTEGRAL INDEFINIDA Entonces / =J x 1/2( z2x 3')1/2 ^ - - x 4z dz'j = - - | x 6z 2 dz — 2 r 1 _ 3 J ( z 2 - 1)2 z 2 c¿z Para calcular la última integral, usam os la sustitución z = secB. A sí, se tiene / = - 2 f sec20 see 0 tan 0 dff I / 2 f sec30 2 f 3 J tan3fl 3 jtan40 csc30 dd 1 4- cot20 ( - c s c 20 )d 0 = - [ c o t 0 c s c 0 4- ln|cote 4- cscfl|] 4- C •+ ln 14- z V P - + c x V x 4 4 -x 1 i ,--------- ¡ -------------+ - ln x 3/2 + j l + x 3 4- C J 6 1 l V i + e 4x E je m p lo 85. Calcule / = J Solución dt Haciendo t = e x, dx —— resulta t -dx. r V T T e 4* r v i + t4 r ' = J — ^ - d r = } - p - d “ l V i + 14 r 2( l + 14) 1/4 dt 1 m 4-1 Com o m = — 2 , n = 4, p = — , ----------1- p = 0 E TL entonces 4 n 1 + t 4 = z 4t 4 ó t~4 4- 1 = z 4 y dt Lueao, se tiene - t 5z 3 dz /= - j t 2(z 4t 4) 1/4t bz 3 dz = - J t 4z 4 dz = - J —- - ' - 1 / dz 1 - z - - l n z 4 - 1 z — 1 1 z 2 + 1 4- -a rc ta n z 4- C z 4-1 Finalmente, retornando a ia variable inicial x, se tiene V i 4- e 4x 1 / = ------------------------ln e * 2 V i 4- e 4x - e > V i 4- e 4x 4- e* 1 / V i 4- e 4ArN 4- - arctan I ------—----- | 4- 77www.FreeLibros.com
  • 85.
    TOPICOS DE CALCULO- VOLUMEN II 6 dx Ejemplo 86. Calcule J , _______________ s e n x v e o s3* + sen3x Solución Dividiendo numerador y denom inador entre cos2x, se obtiene ¡ _ f 6 dx r 6 se c2x dx J sen x V c o s ^ F T s e ñ ^ x Jtan x Vi4- tan3x Haciendo t = tan x, tenemos 6 dtf 6 d i r / = - j = = = = ó r H i + t 3) ' J t Vi 4- t 3 J ^ d t 1 m + 1 Puesto que m = - 1 , n = 3 , P =Y — - — = 0 e Z , h acem os 1 + t 3 = z 3, d t = t _2z 2 d z Luego, J - f 6 t ~ 1( z 3)~1/3t~2z 2 dz = j 6t~3z dz = f 62 dZ Para calcular la última integral, usam os el método de descom posición en fracciones sim ples, esto es, J ■ / i4 B ( 2 z 4- 1) 4- C z 1 z 2 4- z 4- 1 d z Mediante operaciones, se obtiene que los valores de A, B y C son: A = 2, B = - 1 y C = 4. Por lo tanto, 2 f 2z + 1 f dz 1 f 2 f 2 z + l f d ------ Td z ~ ~2~.----- — d z 4- 4 ---------- J z - 1 J z 2 z 4- 1 ) , i (Z4' Í ) + l = 2 ln|z — 1| — ln|z2 4- z 4- 1| + arctan ( — ——) + C V 3 V V 3 > = 2 ln | (l 4 - 13) 1'3 - l| - ln | (l + 13) 2/3 4- (1 4 -13) 1/3 + 1| 4- 8 /2 V i 4- £3 4- 1 4- —=. arctan I ---------- —-------- ) 4- C , donde t = tan x V 3 V3 78www.FreeLibros.com
  • 86.
    Calcule las siguientesintegrales: f ¿x 1. I — — 57= R. 2 V x — 3 x 1/l3 + 6x 1/6 — 6 l n ll + x 1/6 ! + C J Vx + Vx 1 1 r -J~x Hy 1n 2 ‘ J y + x 4/5 2x1/2 ~ Y xV 1° + 10x1/10 - 10arctan(x1/10) + C f 5 x 2 + 2 0 x - 24 3. -------- ;-------- ------ fl. 2(x + 5 ) s/2 - 20(x + S ) 3/2 + 2(x + 5 ) v " + C J V x + 5 4. [ ............... ....... ... ................. R. - arctan (1 + - V 2x — 3^ + C J (2x + 5 ) V 2 x - 3 + 8 x - 12 2 V 2 / f 8 x + 2 l V 2 x - 5 (2 — x — 5 ) ( 8 V 2 x — 5 + 1 5) 5. -----------; ....... d x R. ------------------------------------------ - + C J 4 + V 2 x - 5 6 r dx 6. I ------ — 777— ;----------------------------------------------------------------------------------- t t f t t J (x + I ) 3/4 - (x + I ) 5/4 7 J f (x — 2 ) 2/3 d x _____ / V x - 2 Z ] ( X - 2 ) V > + 3 *. + C f x 1/7 + x 1/2 8. x 8/7 1S/14 dx /?. 7 X 1/7 - 1 4 X 1/14 + 2 8 In C x1/14 + 1) + C f V x + i 9. I - = ---- 1 J V F + i INTEGRAL INDEFINIDA E JE R C IC IO S ■dx 4 4 R. — x 5/4 — - x 3/4 + 2 x 1/2 + 4 x 1/4 - 2 l n ( l + V x } - 4 arctan - + C 11 12. x - 9 , 4 /3x - 1 2 d x R. - ln|x + 9| - ^ a r c t a n I - -------— ) + C x + 9 ' 3 V2x + 18/ f 9 V T =rx ,---------- — ........d r R. a rc s e n x + V 1 - x 2 + C J V T T x í-j f 2 3 ¡2 - x 3 / 2 + x z/3 J ( 2 - x ) 2 d X 4 (2^ ) + C 13. j sjsen2x + sen x dx /?. - Vsen x - sen2x - arcsenVl - sen x + C 14. J V cos2x + c o s x dx Ä. V c o s x -c o s 2x + arcse n V l-e o s x + C 79www.FreeLibros.com
  • 87.
    TOPICOS DE CALCULO- VOLUMEN II I í dx (eos x - sen x)Vcos 2x ¡1 -i- tan x R. --------------+ C J 1 - tan x 1 - x dx 1 + x x 2 R. - l n 1 - V i - x 2 Vi - x 2 ■+C f 2 —s e n x 17- --------------eos x dx J J 3 4- sen x -------------- ,------------- ¡3 4 -sen x R. V 3 4- sen x V 2 - sen x 4- 5 aresen ---------------y-C 18. f dx J x 2V x z —2x 4- 4 . R. 19 20 Vx2- 2 x + 4 —2 dx 3 x 32(x - 4 + 2 V z2 —2 x + 4) + ln x - 4 + 2Vx2 - 2 x + 4 + C / x V x 2 4- 2 x - 3 f dx J (x - 1) V x 2 - 3 x 4- 2 2 / V x 2 + 2 x - 3 - x > R. — arctan --------------—----------- + C V 3 V v 3 ¡x - 2 R. 2. I-------- 4 -C ■vi x 1 f 4 2 - y 21' J — x - x ‘ ■dx •/ / 42 —x —;.2 42 R . ---------------------4- — ln x 4 dx •42- x - . V2| /2x + 1 — — aresen ( - j 4-C (x - 2 ) 4 x 2 — 4 x + 1 1 / V 3 , R . ---- —aresen ------- 14- C V 3 x 2 ¡ i - v n 4" X X 23. I ------ — rir x V l R. ln 24 / -t- X 4- X ¿ dx X 4- 2 - 2 V l 4- X -r X 2 ! X a -| -t-c (1 4- x)Vl 4- x 4- x2 R. ln X 4- Vi 4- X 4- X 2 x 4 * 2 4 - V l 4 * x 4 - x ¿ www.FreeLibros.com
  • 88.
    INTEGRAL INDEFINIDA 26. / (1 -V i + x + x 2) 2 x 2V l + x + x 2 d x — 2 ( v x 2 4- x + 1 — 1) R----------------------------------f- In ' 4- V l 4- x + x 2 - 1 x —V l 4- x + x 2 + 1 4- C 27. 28. 29. 30. 31. ' x 4- x 4- 1 x V x 2 - x 4- 1 dx 2x - 1 r - ------------ 19 I ,------------ — , R' — ^ ¡ ~ v * - x 4- 1 + — in | 2 x - 1 + 2V x 2 - X ‘+ lj + C x + 2 (x - l ) v x ‘ + 1 dx -.dx R. In(x + yjx2 + ir}-----— In v2 1 V x 2 + 1 ■+ X - 1 s [2 R, In tan x — v s e c 2x + tan x tan x + 2 + V se c 2x + tan x + C + c dx V ? Zx + 4 e ;c — 4 dx 1 /e* - 2 ft. - a r c s e n ------ — + C 2 V e * V 2 / (x - l ) 3V 5 x 2 - 8 x + 4 V 32. R. dx 5 x 2 —Sx + 4 (4 - 3 x ) 2 (x - l ) 2 + In V 5 x 2 — 8 x + 4 + . x - 1 -t- C f dx J (x 2 - D v x 2(x 2 - 1)VX2 + X - 6 1 / I I - 3 x R. - - arcsen — --------- 4 x - 4 /4 i 2 v 6 ¡ X -r 1'3 arcsen ( --------- + C k' dx + b/ 33. 34. 35. 36. f 3_VX dx J (Vx + l )2 f ( V x + I f 2 J V x 3 ° R. - x 2/3 - 6 x :/3 + — ... . + 9 + i f + C 2 + 1 R. - ( x 1'3 + I ) 5' 2 - 2 ( x 1/3 + I ) 3' 2 + C r dx J (1 + x 2) 3/2 f dx J Vx2(l + Vx2) R. 4- C V X 2 + 1 R. 3 arctan x + C www.FreeLibros.com
  • 89.
    TÓPICOS DE CÁLCULO- VOLUMEN II 38. / dx X 2 ( l + X2) 3/2 39. J J ( 1 + V x ) 3 dx An , V 2 - V í 40. | ----- — ----d x 41. | x 5 V ( H - ; t 3) 2 d x 42. V i + X 1/3 -d xx 2/3 43. J Vx(2 + Vx^) 1/4 dx 4 4 . / ; d x 45. / x 3( l + X3) 1/3 dx V T T x * . x 3 + 2 x 2 46. I —------- — d x *■/ 47 j (1 + x 3) 3/2 dx x 5(2 5 — x 5) 1/5 48. J e 7* ( l - e 3* ) 5/4 d x 4 R. - - 3 Vi + x2 V i + x 2 + C K. — ( 7 V x — 4 ) (1 + V x ) 7/4 + C n 2 ( 4 + 3 V x ) ( 2 - V x ) 3/2 fí. ----------------- ------' — + c b 5 x 3 - 3 40 (1 + x 3) 5/3 + C /?. 2 (1 + V x ) 3/2 + C (2 + x 2/3) 5/4 15 - ( l 0 x 2/3 - 1 6 ) + C (1 + x 3) 2/3 R. + C 2 x * i?, - ln 4 V i + x 4 V i + X 4 + . + - arctan | 1 + x4 R. -V I +X3 -----— 3 3 V 1 + x 3 + C ■x 3X 4/E1 Z 25 - í R . ------------------------ - C 100 x a ) 1 ( 1 — g 3 * ) l / 4 _ A . ( 1 - e 3*)13/4 + _ L ( i _ e 3X y 7/4 + c 49 ' ■ / c o s x s e n 7x dx (se n 2x + c o s2x + se n 4x ) 3/2 «. i f v ' l s e r r x <;pn4 r /V I -r se n 4x 50. 3 r « • ^ í 8* 3 + 27) S/9- ^ ( 8x 3 + 27) 1 / I + x *■ - 5 h r 27 51- h V 8 x 3 + 27 dx ( x ~ 3 -t- I )4/3 2/9 128 , 3 x 2/ 3 2 x : ( l + x 3) 1^ 82www.FreeLibros.com
  • 90.
    En general, lasfunciones que contienen com binaciones de funciones trigonométricas no son integrables por m edio de procedim ientos elementales. Verem os algunos casos en los cuales si es posible la integración. INTEGRAL INDEFINIDA 1.8 IN T E G R A C IÓ N DE FU N CIO N ES R A C IO N A LES T R IG O N O M É T R IC A S 1 .8 .1 IN T E G R A L E S D E L A F O R M A : J R ( c o s x ; s e n x ) d x En este caso, R es una función racional que contiene senos y cosenos. Para transformarla en una función racional de variable z, se utiliza la sustitución universal x z '= tan 2 <^> x ~ 2 a rc ta n z En consecuencia, 2 dz 1 — z 2 2z dx = --------, eos x = —----- y sen x —--------- 1+ z 2 1 + z 2 * 1 + z 2 D e esta manera, el integrando, que es una función racional que contiene senos y cosenos, se transform a en una función racional de variable z. f dx E je m p lo 87. Calcule I = ----------- -------------- J c o sx + 2 sen x + 3 Solución x Si hacem os z = tan - , entonces 2 dz , _ f T T z 2 _ f dz _ f dz J 1 - z 2 ,4z , „ J z2 + 2z + 2 J (z + l ) 2 + l l + z 2 + l + z 2 + ó = a rcta n (l + z) + C = arctan ^1 + ta n -^ + C Observación 9. La “sustitución universal’’ ofrece la posibilidad de integrar cualquier función racional de sen x y eos x . Sin embargo, en la práctica, conduce a menudo a funciones racionales demasiado complicadas. Por esta razón, en algunos casos, es preferible usar la sustitución auxiliar t — tan x (*) Con esta sustitución se tiene d t t 1 dx —------r, sen x = . eos x = 1 + t 2 ’ VI + t2' * VI + t2 83www.FreeLibros.com
  • 91.
    TOPICOS DE CALCULO- VOLUMEN Ii Esta sustitución (*) debe ser usada cuando la función racional trigonométrica tiene iaforma i) J R(senkx ; eosnx ) d x , donde k y n son números enteros pares. ii) J R(tanx)dx dx J: E je m p lo 88. Calcule ) , J 3 + cos2x Solución Considerando la observación anterior, usam os la sustitución auxiliar t = tan x. D e esta manera, se obtiene f T + F f dt 1 t / V 3 t , „ = -----------i— = — ;----- = — = arctan — — + C J 3 ¡ 1 J 3t2 + 4 2V 3 2 ó + l + t 2 1 /V3 t a n x — arctan ---------- 4- C V3 2 /2V3 x En este ejemplo, si utilizam os la sustitución universal z = t a n - , obtenem os 2 dz j J 1 + z2 2(1 4- z 2)dz - , A - z 2V J 4 ( z H z 2 + l ) 1 + z 2/ y es evidente que esta última integral ofrece m ayores dificultades. f tan x E je m p lo 89. Calcule I = -----------— dx. J 2 4- tan2* So lu ción Em pleando la sustitución auxiliar t = tan x, se obtiene t _ f íc^í f í t t j, 1 ~ J (2 + t 2)(i + t 2: = J u T F ~ 2 T ^ J ■= j l n ( t 2 4 - l ) - ^ l n ( 2 + t 2) 4 - C 1, / t 2 + 1 1 /ta n 2x + l ~ 2 U 2 + 2 j + C ~ 2 (ta n 2* 4- 2 j + ^ 84www.FreeLibros.com
  • 92.
    f 2 4 Eje m p lo 90. Calcule / = I ------- J eos X So lu ción D escom poniendo la integral, se tiene 2 4 -3 eos x INTEGRAL INDEFINIDA 2 4- 3 e o s x 4- 4 eos2* dx. c o s x ( l 4- 4 c o s x )■ / ~ J 2 se c x dx - j y dx = [ ( —J V co sxc o s x l 4 - 4 e o s x / I d x 5 dx = 2 ln jse c x 4- tan x- J - + 4 e o s * 5 dx 4- 4 eos x J x Para calcular la integral J, usam os la sustitución universal z = t a n - . Luego, 1 4- z 10 1 (V 3 z ) 2 V 3 2V5 ln V 3 z 4 - V 5 V 3 z - V 5 4- C = J l V 3 ta n ^ 4- V 5 V3 ta n ^ — V 5 + C Por lo tanto, 1 = 2 ln |secx 4- tan x - - ln V 3 tan ^ 4- V 5 V 3 tan j - V 5 + C dx 4 - 2 V 1 - X 2 ' E je m p lo 91. Calcule / = I -------- J 3 —x So lu ción U sam os la sustitución trigonométrica x = sen 0. Entonces eos 8 dd I sen 0 4-2 eos 8 zlhora, usam os la sustitución universal z = tan — . Luego, ¿ 1 — z 2 2 dz f 1 4 z z 1 4- z 2 _ f ________ v J , 2z . 2 ( 1 - z 2) ~ J (z2 - (2 — 2z2)dz 3 1 -i- z 2 1 4- z 2 2 z 4- 5 ) ( z 2 4 - 1 ) 85www.FreeLibros.com
  • 93.
    TÓPICOS DE CÁLCULO- VOLUMEN II Descomponiendo la última integral en fracciones simples, se obtiene f [1 /2z + 4 1 í {2z - 2) + 12 1 ~ ] [ s U 2 + l J 5 z 2 — 2z + 5 dz - 1 í f 2z 4 ___ — 5 J iz 2 + 1 + z 2 + 1 z 2 - 2z — 2 12 dz 2z + 5 (z —l) 2 + 4J = ^ Jln(z2 + 1) + 4 arctan z - ln(z2 - 2z + 5) - 6 arctan ( ^ y ~ ) ] + c + C i r ( z 2 + i “ 5 r i z 2 - 2 z + 5 + 4 arctan z - 6 arctan^ tan2ó + 1 ln + 2x - 6 arctan ^ / tan 2 - 1 + C E J E R C I C I O S Calcule las siguientes integrales: dx 1. 2. 4. 5. 6. 7. / í / / / I 4 + 3 e o s * dx 2 + sen x + 3eos* dx 2 + sen * dx 5 - 3 eos * sen x dx + sen x f sen2* J 1 + eos2* dx tan: R. - arctan — — 7 l V 7 V 6 , fí. — ln 6 t a n ^ - 1 + V ó + C 4* C 2 2 tanj + 1 R. — arctan --------— ------1 + C V 3 V 3 ■t / x „ R. -arctan ^2 tan-J + C R. X 1 + tan 2 /tan *^ 7 T + * + c S dx sen24* + tan24* /tan * Æ. v 2 arctan ^ j - * + C I r 1 /tan 4 x M „ ». - g [ « ( 4 * ) + ^ arctan + C 86www.FreeLibros.com
  • 94.
    f d x^¡2 _ Ö' J 3 + se n 2x - c o s2x R' T arCtan(V2 ta,,JC) + '; f sen 2x 9 ■ J se n 4x + c o s4x ^X R' a rcta n ( ™ s 2 * ) 4- C f 3 s e n x 4 - 2 c o s x 12 5 1 0 - h c p n v , i ™ C v dj: fl. t ^ x - — l n | 2 s e n x + 3 c o s x | + C INTEGRAL 1NDEFINIDA 11 2 sen x 4 -3 c o s x ' 1 3 13 1 + tan xT 1 + tan x • J T - t a n x ^ * — ln lc o s x — se n x| -f- C , d x 1 12' I ¡e n 2x - 5 s e n x c o s x fl. 7 ln|l - 5 cotx| + CD r cos x i 1 3 - ----- i-------7----------- fl. - l n J se n 2x - 6 sen x + 5 4 sen x - 5 sen x -i- 1 ~r C 1/I f dx 1 /V 3 tan x q------ 2— T c --------- 3 fl- - ^ r a r c t a n ------- —— j -i- C J 3 se n 2x + 5 c o s2x ^1 5 ^5 j 1C f dx 1 | 2 t a n x + 3 - v l 3 ~ n— ; ~--------------------------- z - fl. - = l n 16. se n 2x 4 -3 sen x c o s x - c o s2x ' v i 3 2 tan x 4 -3 4 - V T 3 f dx J ;c o s2x -f 5 cos x 4- 6 1 / n ? 2 / t a n ö f l - - — arctan — 4- — arctan — =r=- 4- C V 2 ^ v 2 y V 3 ^ v'3 y dx ~ ~ 1 — r-x----------------------- ----- 5— fl. arctan(2 tan x 4- 1) 4- C c o szx 4- 2 sen x cos x -t- 2 se n 2x f se n 2x - 2 c o s 2x 8 /v'3 tan x', 5----------;-------dx fl. 3 x — — a r c t a n ------— — j -4- C J 3 - c o s2x • v 6 'v v/2 J C S P n^ Y 4- r n ^ ^ r 1 9 ‘ j V e n 2x - c o s 2x d * * " ln|sec 2x + tan 2x| - sen 2 x C f 1 4- tan x 1 1 2 0 - ^------------------d x ft. - In | c s c 2 x — cot 2x| 4- - tan x 4- C J 2 sen x c o s x 2 2 f sen x tan x 1 2L J sen 3x —cos3x R~3 " 11 + C 87www.FreeLibros.com
  • 95.
    TOPICOS DE CÁLCULO- VOLUMEN II EN TR ETEN IM IEN TO 1. 2. 4. 6. 9. í - —J x J x + 1 f dx J x 6 + 1 dx R. a rc se n — I----------------- f- C x x 1 V x2 - 1 arctan x V3 fx'¿ 4-V3x + 1 1 1 ----g----- ^12 ( + 1 ) + garctan(2* + v3) 4--arctan(2x - VI) + C 3. ( arcsen x + , X — ^ J v. vr^2/ x + 2 dx dx R. x arcse n x 4- C í V 2 x 2 x + 3 3 x 2 + l l x 4- 10 dx ¡2x 4- 3 R. 2 arctan j------------ (- C x 4- 2 V2x - Vx 4- 4 R. 2Vx 4- 4 4- 2V2x 4- 4 V 2 ln Vx - 2Vx 4- 4 4- 4V2I x - 4 J v x dx Vx Vx (1 4- Vx)2 R. 3 arctan x 3 V i 4- C c I 7. J e*(cotx-i-lnsen x)dx 8' f >1 X ~ ^ 2 dxJ (1 x ) R. 1 4- Vx r. e* ln js e n x¡ ■+• C 1 • 4- — ln| 1 — x |4- C f 6 e4* J í T ^ 4 (1 — x 4) 4 R. - 2 e 3x - ? e Zx - 6 e x - 6 n e x - 1| 4- C f Va —x 10. — ----- —dx J Va - vx / 11. R. a a rc se n — 2 V a v a - x - i a - x v x - r C a sen x 4- sen 2 x 4- ... 4- s e n (n x ) eos x 4- eos 2 x 4-... 4- eos (n x ) dx fl. - ■ -ln n 4- cos f r 12. v 4 + ex dx R. 2 ^ 4 4- e 2* + 2 ln -v/4 1- e x - 2¡ V 4-i-e* 4-2Í -I -1- C 88www.FreeLibros.com
  • 96.
    INTEGRAL INDEFINIDA 3x~ ■+■ 2Vx (4 — 3 x 2) V 3 x 2 4- x — 4 Sugerencia: hacer tan 0 — dx 'JX R. in V 3 x 2 + x - 4 4- Vx a/3x 2 - 4 V 3 x 2 - 4 14. x 2 dx ! J l 4 - X 3 4- 7 ( 1 + X 3) |2 4- 3 x X - 3 d x 11 fí. V 3 x 2 — 7 x — 6 H------ — In 2a/3 7 7 x ------ 1- x 2 ---- x — 2 6 ^ 3 4- C 16. 17. 18. (x 4- l ) d x (2x 4- x 2)a/2x 4- x 2 2 * /2x 4- x 2 1 — 4 * d x R - i- r inIn 4 1 4- 2X 1 — 2* r x - Vx - 2 ------------ d r J x 2 ~ ^ ( x - i y R. - ln | ^ x — 2 4-1| 4- — ln|(x - 2 )2/3 - (x - 2 )1/3 + £| 1 ( 2 W = 2 - l ------ ■= arctan ---------= -------|4- C 4 V 7 V V 7 (4 4- x 2) 1/2 ( 4 + x 2) 1/2 d x /?. x - 5 In I 25 4- x -----= l n 1 V21 /7 — V 3 tan arctan 20. j dx R. e ^ ¡4x 3/4 - 1 2 x 1/2 4- 2 4 x 1/4j + C r 1 1 21.—=• s e n - d x j x J x 1 1 1 /?. - c o s — sen - 4- C x x x 22. f I J V x - a -dx R. yjx(x - a) ■+• a in jv x 4- v * - a| -1- C www.FreeLibros.com
  • 97.
    Ix V l- x 24. I — ■ dx 4 T = x ■ í i ' : I dx V i + cosx a rc se n V 2 x 26. | rfr V 1 - 2 x ,'4* + l 27. | — d * n m + x --------- dx fl. - V 4 x 2 - 12x + 8 - l ( 2 x - 3 )V 4 x 2 - 12x + 8 - O 7 . _______________ - - ln 2x — 3 4- V 4 x 2 - 1 2 x + 8 + C O I I /?. V 2 ln jse c ^ + tan^| + C R. V 2 x - ( a r c s e n V 2 x ) ( V l - 2 x ) + C R . x - 2 ln|2* + l| + C /?. yjmx + x 2 + m ln (V x + 4 m + x ) + C TÓPICOS DE CÁLCULO - VOLUMEN II 29. 30. / íi V i — x 2 x “1 se n 2x d x arcse n x d x + b c o s2x , 2 a + x l a - x 31. 1 ---------- I-------- d x / ■ / x — x V x + 1 - V x 2 + 1 d x ->3/2 (1 — x ) arcsen x 1 ln x D _ _____ ____________________ , f* ' * 3 x 3 6 x 2 3 ( a + b 1/2 fyfa t a n x x r~z--------r u — x R. V a 2 - x 2 - 2 a I---------- 1- C y a + x 2 ^ /?. - (x + 1 )3/2 + - [ x V x 2 4- 1 + ln (x + V x 2 + 1)] + C r ( x 2 - l ) d x 1 33‘ J (Su& u=x+-)x V l + 3 x 2 + x 4 /?. i c o s h - ^ ^ i l ^ + t a n h - 1 3 + V 5 ^ ^arcse c ( 2 x 2 + 3 ) “ 1 ) + C 34. J V i d x V a 3 — x 3 . 2 3 /?. x arcse n ( |+ C a 3/2 35. / 4 —x 2 + x dx i?. 3 arccos ( ~ y —) + 3V x2 - 2x + 8 4- C 90www.FreeLibros.com
  • 98.
    INTEGRAL INDEFINIDA 36. 37. / dx ( *+ l ) V T + 3l T l F <S“8ere" “ : “ = I T Í y usar binomios) x + V i + 3x + 3 x 2 R. fin 1 •— ln D (1 + 3x + 3x2)3/2 V i + 3x + 3x2 + 1 1 / 2 V l + 3x + 3X2 —x ' v f arctan [ ----------- W x ----------- ) + c J secx see 2x dx R. — ln V 2 1 + V 2 sen x 1 - V 2 sen x 1 ---- ln 2 1 4- sen x 1 — sen x + C 38. x z + x 4- 2 + 2yjx3 4- x 2 4- x 4- 1 d x 2 1 /?. - (x + 1 )3/2 4- - [x-/l + x 2 4- ln (x + y¡x2 + l) j + C 39. 40. (1 4- e * ) V e * - 1 s e c x V s e c 2 x d x aresen (tan x ) d x e * — 1 /?. V 2 arctan — ------- h C R. ln|arcsen(tan x)| 4- C 41. í I—J J c o s a 1 — eos x e o s x -d x , 0 < a < x < n R. - 2 aresen | ------2 + C co s- a ■ / ■ / / ■/ V T m -.dx dx (c o s2x 4- 4 se n x - 5) eos x R. — ( 2 e * - 3 )(1 4 - e * ) 2/3 4 - C R. ln|(l - sen x ) 1/2( l 4- sen x) 1/18(2 - sen x )~ 4/9|4- 1 d x eos x V 2 4- sen x tan x d x (se c 999x + l ) 2 í?. ln|V l + sen x H----- — ln 1 2a/3 6 — 3 sen x V 3 4- V 2 4- sen x -¡3 — V 2 4 sen x + C 4- C R. ln|secx| - — -ln|sec999x 4 -1| 4- — — — — ■— 999 9 99 (se c999x 4- 1) 4-C 91 www.FreeLibros.com
  • 99.
    46. r ____^____ J x 4 + a 2x 2 + a 4 TÓPICOS DE CÁLCULO - VOLUMEN II x 2 + ax + a 2 x 2 - ax + a 2 1 / aV3x , -i--------- = arctan — -------- | + C 2 a 3V 3 a 2 — x 2 47. Determ ine un polinom io cuadrático P ( x ) tal que P ( 0 ) = 1 y P '( 0 ) = 0, de 48 f P(x) dx ™ doque 1 i. J x 17 ln ( x 2) dx 49. J ta n (ln x )G Íx , f v r - r 52. i se n h “ 1 - d x K a 53. i ta n h - 1 - dx J a 50. | V i - eos x d x e a da x e ax dx (1 + a * ) 2 55. I x 2 arccos - dx a 56. I * 2 a r c t a n - dx a 57 58 59 I / / / c o t h - 1 © * * r arccos j d x I I _______ ' J x 2 a rc ta n : sea una función racional. R. P (x ) = - 3 x 2 + 1 fl. 2 x 18 R. x — 2 arctan x 4- C , / l n x 1 1 8 ~ 3 2 4 / + C R. —2 V i + c o s x + C 1 K. 1 + x :e° t-C . x R. x se nh 1 — J x 2 + a 2 + C a R. x tanh | ln ( a 2 - x 2) + C rtCLX R. a 2( 1 + a x ) + C Ä. — arccos - - - (x 2 + 2a2)s¡ a2 - x 2 + C 3 a 9 X^ X Í7Y2 i?. — arctan------- — + — ln (a2 + x 2) + C i a 6 6 1 x 1 a + x R. — arctan - + — I n ------r------ h C x a 2a x 2 R. x co th -1 - + ^ l n ( x 2 - a 2) + C a 2 _ 1 x 1 a + V a 2 - x 2 R. — a r c c o s - + - l n ---------------------- h C x a a x 92www.FreeLibros.com
  • 100.
    INTEGRAL INDEFINIDA (cosx -sen x) 6 0 . ¡(x+s^rdx 1 2 u ‘~‘ w J T + ~9 /■ i 5 + sen 2x dx + C , u = x + V * 2 + 1 1 / se n x + c o s x B ' ¿ " " “ I------2,-----) + C dx ( x 2 eos2a + x sen 2a + 1)2 x cos a + sen a eos3a Vx2 cos2a + x sen 2a + 1 :“i- C 63. f sech5x dx J 1 3 R. —sech3x tanh x + - [sech x tanh x + arcsen(tanh x)] + C 64. / (tan x + secx)20 sec2x dx 6 5 . / ■ í , J cos4xV4 - cot2x V(1 + x 2)5 66 dx V(x - l ) 3(x + 2)5 (eos 2x —3) dx 4 ix - 1 R • ö ------ 3 ^ x 4- 2 ñ . ---- tan x(2 + tan2x ) V 4 — cot2x + C 3 67 J: -dx ,------- v ( i + *2)5 J ( i + x2y v i + x2 R. ln (x + V I + x ) 2 - _ , — - V „„ -------------------- + C 5 x 5 3 x 3 68 j- v'sen3(2x) dx 4 V 2 r- j se n bx Sugerencia: hacer u = c o tx ' V i + X 8 <>9. I ---------- dx >r ,13 R . ----- — V c o t 5x + C (1 + x 8) 3/2 r . - , „ -i- c f 3i sen2x 7<)-J 7L í “J C O SJ dx cos3x v sen 2x 12x12 R. — Vtan5x(5 tan2x + 11) + C V 2 1 ,_____ R. (tan2x + 5)Vtan x ■+■C 93www.FreeLibros.com
  • 101.
    TOPICOS DE CÁLCULO- VOLUMEN II 7 2 . / 1 + se n 2x 2 c o s2x V se n x dx , ' V x - 1 + V x - í 73. | --------------- r ---------dx * J : x - 2 e x( x 2 - 8) 75. j e sen* ( s e c 2x - csc 2x + c s c x ) d x J e *enh_1* ( x V l T x 2 + i ) 76 (1 + x 2) 3/2 x 2In 2x ( l -r ln x ) ■dx ñ77. | — — — y ~ --, / dx •t- x ¿ Inr :(x + l ) + e 2xx 2 f e x (x + 1) 78, j _ i 4- a2xv 2 dx ■e 3 x x 2 ^ x + 79. i .■„ . d s f e** ’ J ~1 • / ■/ -t- x ze2¿>2at (1 + g Z a rc ta n *)^ + * 2 ) sen x + xcos x dx R. ---------- + C c o s x Vsen x e * ( x + 2 ) R■ — - ..+ C x - 2 fi. efefl*(tan x + c o tx ) -f C ,senh-1jr (1 + x 2) 3/2 i?, x ln x - a rc ta n (x in x ) + C R. - l n 2 x e x — 1 C (1 - x se n x ) V - l + x 2 - x 2c o s2x :dx x + 20 82. - - ... ......dx 83. y¡ (5 - 4 x - x 2) 3 I n 2 ( 4 * + 2 (1+A:)) ( 2X + 5 )V 5 - 4 2 * - 4 * dx x e x + 1 R. x e x —arctan (x e x) -t- C ñ. arctan (e arctan* ) - r C 1 + x se n x /?. - .... - + r. V x 2^ en 2x — 1 2 x + 5 R. - + r V 5 - 4 x - x 2 1 - 2 * ( 2X + 2 r — .. + arcsen 84 . r V5^ 4 2 ^ 74 7 l 3 y ’1" J e senx(csc2x - sec2x - cs cx) dx R. - e sen* ( c o t x + t a n x) + C 94www.FreeLibros.com
  • 102.
    INTEGRAL DEFINIDA 2.1 S UM A T O R I A S Sean m y n dos núm eros enteros tales que m < n y / una función definida para cada i e 1, con m < i < n. E l sím bolo i m ¿=m representa la sum a de los términos f ( m ) , f ( m + 1), ...,/(n); esto es, n / ( 0 = f { m ) + f ( m + 1) + / (m + 2) + + / (n ) t=m La letra griega S (sigm a) es llamada sím bolo de la sumatoria, i es el índice o variable, m es el límite inferior y n es el límite superior. Por ejemplo, si / ( i) = i2 , entonces 5 5 ^ T / ( 0 = i2 = 2 2 + 3 2 + 4 2 + 52 i-2 i=2 De la m ism a manera, si n > 1, n y sen(¿j¡:) = sen x + sen 2x + ... + sen nx í = i 2.1.1 P R O P I E D A D E S D E L A S U M A T O R I A n 1. a) ^ k = (.n - m + 1)/í , /c es constante ¿=m n b) ^ k = nk , k es constante i=i n n 2. fc ./ (i) = fey /(/) , k es constante www.FreeLibros.com
  • 103.
    TOPICOS DE CALCULO- VOLUMEN II 3. ^ [/ (i) ± g ( i )] = ^ / (i) ± ^ 5 ( 1) (Propiedad Distributiva) ¿~m i=m i-m n 4. a) ^ [ / ( i ) - / ( ¿ - 1)] = f ( n) - f ( m - 1) (Propiedad Telescópica) :=m n b) 2][/(0 - /(£ - 1)] = - /(O) n 5- a) ^ [/(i + 1) - f ( i - 1)] = f ( n + 1) + / (n ) - f ( m ) - f ( m - 1) i~m (Propiedad Telescópica) n b) £ [ f ( i + 1) - /( i - 1)] = f i n + 1) + /(n ) - f { 1) - /(O) 400 E je m p lo 1. Calcule el valor de ^ ( V ¿ — V i — 1 + 4). ¡=5 Solución Por la propiedad 3, se tiene 400 400 400 ^ ( V 7 - V i — 1 + 4) = ^ ( v '7 - Vt - l ) -r y 4 ; = £ ; = 5 i = S E n la primera sumatoria, aplicando la propiedad 4-a para / ( i) = V i , m = 5 y n = 400, se obtiene 400 ^ ( V 7 - V i - 1) = (V4Ó 0 - v 4 ) = 18 1= 5 En la segunda sumatoria, aplicando la propiedad 1-a para k = 4, m = 5 y n = 400, se tiene ^ 4 = (4 0 0 — 5 + 1)4 = 1584 Por tanto, 400 ]T(V7 - Vi - 1 + 4) = ^ ( V i - Vi - l ) + ^ 4 = 18 + 1584 = 1602 96 www.FreeLibros.com
  • 104.
    INTEGRAL DEFINIDA Ejemplo 2.Calcule una fórmula para ^ [ ( ¿ + l ) 2 - (i - l ) 2]. Solución - ;2Si / ( i) = i 2 , entonces /(/ + 1) = (t + l ) 2 y f ( i - l ) 2 = (¿ _ i ) 2. p or tant0) por la propiedad telescópica 4-b, se tiene: n ^ [ ( ¿ + l ) 2 - (¿ - l ) 2] = (n + l ) 2 + n 2 - l 2 - O2 = 2n2 + 2n ó 1=1 n ^[(¿ + l)2- ( i - l ) 2]) = 2n(n + l) (a) í—1. C'omo (¿ + l ) 2 - (i - l ) 2 = 4¿, reemplazando esta igualdad en (a ) se obtiene n ^ 4i = 2n(n + 1) 1=1 De esta parte se deduce una fórm ula m uy conocida: V 1. n (n + 1) L 1~ 2 í = i E jem plo 3. U sando las propiedades de la sumatoria, demuestre que: , V - n(n + l) , v V , n(n + l)(2n + 1) 1=1 1=1 c) ^ ¿3 = n2(n + 1)2 d) ^ ,4 _ n (n + 1 )(6 n 3 + 9 n 2 + n - 1) 30 i=i 1=1 Solución a) V e r ejemplo 2. b) Consideram os / ( i) = ¿3. Usando la propiedad 5-b, se tiene n ^ [ ( t + l ) 3 - (i - l ) 3] = (n + l ) 3 + n 3 - l 3 - O3 í = i Sim plificando en am bos lados y luego aplicando las propiedades 3-b, 2-b y 1-b de la sumatoria, obtenemos n n n ^ T ( 6 i2 + 2 ) = 2 n 3 + 3 n 2 + 3 n <=> 6 t2 + 2 = 2 n 3 + 3 n 2 + 3n Í=1 1=1 1=1 n n <=> 6 ^ í 2 + 2 n = 2 n 3 + 3 n 2 + 3n 6 i 2 = 2 n 3 + 3 n 2 + n i= i ¿=i 97www.FreeLibros.com
  • 105.
    Finalmente, n (n +1 )(2 n 4-1) TÓPICOS DE CÁLCULO - VOLUMEN II I 6 í =i c) y d) Ejercicios. Sug. para c): considere / ( i) = ¿4 y use la prop. 4. Z a (a n — 1) a 1 = -------------- . a — 1 £=1 Solución Aplicando la propiedad 4-b a / ( i) = a' y luego aplicando la propiedad 2, se tiene n n ■ n ^ ( a ‘ - a '- 1 ) = a " - 1 <=> ^ T ( a ' - — ) = a " - 1 <=> ^ ( - --------)a‘ = an - 1 i = i 1=1 i = i Finalmente, V i _ a ( an ~ 1) Z a ( a - 1 ) n E je m p lo 5. Determ ine una fórm ula para ^ sen kx. k = l So lu ción Para calcular la sumatoria de senos o cosenos, se considera como / ( i) la cofunción de la función que aparece en la sumatoria y se aplica la propiedad telescópica 5-b. En este caso, f ( k ) = eos kx. Así, se tiene n ^ [c o s (k + 1) x —eos(k —1) x] = cos(n + 1) x + eos nx —eos x — 1 k =i Utilizando las identidades trigonométricas para c o s(a ± b) y sim plificando, se sigue n ^ ( - 2 sen x sen kx) = co s(n + l ) x + c o sn x — c o sx — 1 k =i n - 2 sen x ^ sen kx —eos(n + 1) x + eos n x — eos x —1 k = 1 Finalmente, z cos(n + l ) x + cosnx —e o s * — 1 sen kx = --------------------------------------------------- 2sen x 98www.FreeLibros.com
  • 106.
    INTEGRAL DEFINIDA n Ejemplo 6.Halle una fórmula para ^ fc fe! fc=i Solución Si f ( k ) = (k + 1)!, p o r la propiedad 4-a, se tiene n ^[(fc+ l)!-/c!] = (n + 1)1-1 k = 1 n J][fc!(fc + l)-fc!] =(n + l ) ! - l k=l Finalmente, ^fcfcl = (n + l ) ! - l , „ r, v-> ta n h l9 / c x E je m p lo 7. Determ ine una form ula para > --------------- . Z_i sech 19 kx k=1 Solución Z tanh 19 kx v~> — — = > se nh 19 kx sech 19 kx í-u k= 1 k=l Se procede de manera sim ilar a lo realizado en el ejemplo 5 para la función trigonométrica. Si /(/c) = cosh 19 kx , por la propiedad 5-a, se tiene H ^ [cosh 1 9 ( k + l ) x - cosh 1 9 (fc - l) x ] = cosh 1 9 (n + l ) x + cosh 19 n x - cosh 19 x - 1 k-1 n 2 senh 1 9 x ^ senh 19 kx = cosh 19(n + l ) x 4- cosh 19 nx — cosh Í9x - 1 k=l finalmente, n V 1 cosh 1 9 (n + í ) x + co sh 19 nx - cosh 19 x - 1 > senh 19 kx = ------------------------------------------------------------------------ Z-j 2 senh 19 x k=1 99www.FreeLibros.com
  • 107.
    TÓPICOS DE CALCULO- VOLUMEN II n E je m p lo 8. Halle una fórm ula para /? = ^ bk se n(x + ky). k = 1 Solución A plicando la propiedad 4-a a f ( k ) = bk se n(x + ky), se tiene n s e n (x 4- ky) - ¿ k_1 s e n (x + (k - l ) y ) ] = b n s e n ( x + n y ) - s e n * k = l a n ^ n ^ b k se n (x + k y ) — bk se n(x + ky —y ) = a fc=l_________________ k= l P 1 n P —— ^¡T &fc[se n (* + /cy) eos y — sen y eos (x + /cy)] = a fc=i n /c o s y se n y v-» , ( l - - — J p -— - — ^ bk cos(x + ky) = a (1) k =l ___________________ ( 5 Para determinar (5), aplicamos el criterio inicial. n cos(x + ky) - ¿?/£_1cos (x + (k —1)y)] = bn co s(x + n y ) — e o s * k = l ^ n S —— ^ ¿ fc[cos(x + ky) eos y + se n(x + ky)sen y] = bn cos(x + n y ) - c o sx k= 1 Luego, sen y b - S = ------------ ( « ) + - ; ------------- [í>n eos (x + n y ) — co sx ] (2) o - e o s y o - e o s y Finalmente, reemplazando (2) en (1) y efectuando las operaciones correspondientes, obtenemos b ( b - c o s y ) b2 —2¿cosy + 1 sen y(bn cos(x + ny) - eos x) sen(x + ny) —sen x ---------- b —eos y 100www.FreeLibros.com
  • 108.
    INTEGRAL DEFINIDA E jem p lo 9. Determ ine una fórm ula para ^ ln(fe + 1). k=1 Solución Desarrollando la sumatoria y aplicando las propiedades del logaritmo, se obtiene n ^ ln(fc + 1) = ln 2 + ln 3 + ... + In n + ln (n + 1) k=l = ln [2.3.....n. (n + 1)] = ln [(n + 1)!] E J E R C I C I O S Determine una fórm ula para cada una de las siguientes sumatorias. n 1 : = 1 . ^ ( V 2 i + 1 - -y/2i - 1) R. y/2n + 1 - 1 Í = 1 100 I ln(¡d h ) R- - ' " ( 5151> k=i 3- I n 4 4n R. (4fe - 3)(4fe + 1) ' 4n + 1 k- 1 4 Sugerencia: descom poner en fracciones parciales a: 4 ■I (4fc - 3)(4fe + 1) 2k + 3k 3 1 1 6k ' 2 2 .3 n 2" k= l 2k + fe(fe + 1) 1 1 R. 1 Z 2 + 2 ^ " (fe2 + fe) ' 2 n + 2 2 n_1 /í= 1 e fc + 2 e 3n - e'1 k ~ 1 101www.FreeLibros.com
  • 109.
    7. 8. 9. 10 11 12 13 14. 15. 16. 17. TOPICOS DE CÁ LC U LO - V O LU M E N II n Y — k= 2 ^ V/c + i - Vfc fl. 3 2?i + 1 ?i(n 4- 1) fc=i il 1¡i=1 n I V F T T v ’n r 1 - 1 y 'n + 1 (/c + l)(/ c 2 + 5/c 4- 6 ) R. n 2 + 3 n + 3 2 (n + 2 ) ( n + 3 ) ( k 4- x ) ( k + x + 1 ) ( k + x + 2) Z i lnkk[n(k + l ) ^ 1] k = 1 I fe=i 2k + 1 k 2(k + l ) 2 U ^ c o s ( 3 k x ) /¿=i A V IO '' 100'=/ fe= l 100 + 6k -f 4 ^ s e n 2/c( 2 x ) k ~l 100 f í . n ( 2 x + n + 3) 2 ( n + a: 4- l ) ( n 4- x 4- 2 ) ( x 4- 2 ) ( x 4- 1) /?. 1 R. 2 ln 2 ( n 4- 1) ln ( n 4- 1) n ( n + 2) R. ------------ - (n + l ) z se n 3 (n + l ) x 4- se n 3 n x — se n 3 x 2 se n 3 x 2 6 9 / 1 0 2n - 1 R. 9 9 9 V 1 0 2n R. 4 (n 4- 2) /?. t a n 2 ( 2 x ) (1 - s e n 2002 x ) /?. 1 fc=i 1 16 1 6 (5 " ) 598 102www.FreeLibros.com
  • 110.
    ì. ^ kx k 18 . > k x K~' fi. n x n+1 - (n + l ) x n + 1 IN T EG R A L D E F IN ID A ix fc=l II 19. ^ 5 k s e n (5 k - x) k=l 5[(5 —cos 5)(5n sen(5n —x) + sen x) + sen 5(5n cos(5n —x) —cosx] R. 4(13 —5 cos 5) I ; " " n r 16 csc kx 20 2 1 . cot5/ex see9kx k = 1 4[sen(2n + l)x + sen(2ruc) —sen 2x] R. 6n + -------------------------— — ------------------------+ sen(2x) [sen 4(n + l)x + sen(4nx) —sen 4x] sen 4x 1e h - [3 sen a cos a]k 3k k=l Z : e [ ( 3 ) ~ l] sen 2 a [(se n a cos a ) n - 1] e - 3 se n (2 a ) - 2 !- Z " 1 0 1 1 5 2 4 + lQk - 2 5 k 2 ^ 5 n + 4 + 5 n - 1 4 k=l 23. k=i ^ k 2k fi. (n - l ) 2 n+1 + 2 k = i n 24. ^ c o s 2k3;c fi. cot23 x [ l - c o s 2n (3 x )] k=l k=l 25- Z l o g „ r 2 2k) lo g „ r 2 2k+2ì ( l o g ^ v G 2 ( n + l ì ) V 1.-,-------- nfc V 3 + x [(3 + x ) n/2 - l] 26. > [ V à T x ] fi. - 1 J k=l V 3 + X - 1 103www.FreeLibros.com
  • 111.
    2.2.1 PARTICIÓN DEUN INTERVALO CERRADO Definición 1. Sea [a;b] un intervalo cerrado. Una partición del intervalo [a; b] es el conjunto P de puntos Xo,x1(x2, - . x n; con a = x0 < x v < x2 ... < xn = b. Se denota con P - {x0,xv x2, ..., x„}. Observación 1 i) Toda partición P de [a; b] divide en n subintervalos al intervalo [a; b], ii) La longitud de cada subintervalo [x¡„1;xt, para i = 1,2, ...,n , se denota con Atx = x, — . Se verifica n y A¿x - b - a (.=1 iii) Se llama norma o diámetro de la partición P al número ||P|| = máx{AiX / i = 1,2, ...,n} iv) Cuando el intervalo [a; b] se divide en n partes iguales, la longitud de cada subintervalo es TOPICOS DE CALCULO - VOLUMEN II 2.2 CÁ LCULO D EL ÁREA DE UNA REGIÓN PLANA P O R SUM ATORIAS Ax = b —a n En este caso, los extremos de cada subintervalo son x Q = a , xx - a + A x , x 2 = a + 2 A x ,..., x¡ = a + ¿ A x ,..., x n = b 2.2.2 A P R O X I M A C I Ó N D E L Á R E A D E U N A R E G I Ó N P O R Á R E A S D E R E C T Á N G U L O S Sea /: [a; b] -> R una función continua y no negativa ( / ( x ) > 0) en [a;b]. Sea R la región plana limitada por las gráficas de y = / ( * ) > las rectas x — a , x — b y el eje x (llam ada región bajo la gráfica de / de a hasta b) (fig. 2 .1). Sea P = { x 0, x 1, x 2, ...,xn} una partición [a; b]. Por la continuidad de / en [a;b], podem os elegir un conjunto de puntos u t , u 2, —,u n, de tal manera que / ( u ¿) sea el valor m ínim o de / en [ x i- ij x j , i = 1 ,2 ,..., n. F'9' 2-1 104 www.FreeLibros.com
  • 112.
    Asi, construim osn rectángulos cuyas bases son los subintervalos de P y cuyas respectivas alturas son / ( u 1) , / ( u 2), ...,f (u n). La s áreas de estos rectángulos son / ( iíJ A j X , / ( u 2) A2x , . . . , f ( u n)Anx respectivamente. I.os n rectángulos considerados forman el llamado polígono rectangular inscrito en R (fig. 2.2). E l área de este polígono lo denotamos con /(P ) , es decir, 71 K p ) = ' Y Jf(M i)Aix ¡=i INTEGRAL DEFINIDA De manera similar, elegim os v x, v 2, ..., vn en los n subintervalos de P, de modo que / '(v ¿) es el valor m áxim o de f en [x ^ ^ x i], i = 1 , 2 , ..., ?i, y construim os los n rectángulos cuyas bases son los subintervalos de P y cuyas alturas respectivas son f ( v 1) , f ( v 2) ,. .. , f ( v n). Kl polígono rectangular form ado por estos n rectángulos está circunscrito a la región R (fig. 2.3) y su área, denotada por C (P ), está dada por- n C(P) = 2 J f ( v ¡)Aix ¡=i Dadas dos particiones / y P2. Si / ( P J es el área del polígono inscrito y C (P 2) es el área del polígono circunscrito, se verifica l(P ) < C (P 2) para toda partición P1 y P 2 de [a; b] (I) Sea L el conjunto de todas !as áreas de los polígonos rectangulares inscritos en R, es decir, i = {/ (P ) / P e s partición de [a; b]} y U el conjunto de todas la áreas de los polígonos rectangulares circunscritos a R, esto es, U = ( C ( P ) / P e s partición de [a; b]} 105www.FreeLibros.com
  • 113.
    TOPICOS DE CALCULO- VOLUMEN U C om o cada número del conjunto L es menor o igual que cualquier núm ero del conjunto U (por I), entonces L es acotado superiormente y U es acotado inferiormente. Por lo tanto, existen = su p (L ) y As = in f (U) Por definición de ínfim o y de supremo, se verifica / (P ) < A¡ < As < C(P), de donde A¡ < As Por lo tanto, el áreai4 de la región R (fig. 2.1), si existe, debe estar entre At y As, es decir, A¿ < A < As Se demuestra m ás adelante que A¡ = A¡. Luego, se puede definir el área A de la región R com o Tam bién se demuestra que si t1( t2, —, tn son puntos elegidos en los n subintervalos, es decir, t¿ E [xi_1;x¡], i = 1, ...,n; entonces Observación 2 i) Considerando la parte (iv) de la observación 1, si cada t¿ es el extremo derecho de cada subintervalo (t¡ = a + ihx, i = 1,2,...n ) y teniendo en cuenta que ||P|| -> 0 <=> n -* oo, entonces (II) puede ser escrito como: (Estafórmula es un caso particular). ii) Si cada t¿ es elextremo izquierdo de cada subintervalo. entonces t¿ = a + (i - l)A x , i = 1,..., n Eje m plo 10. Por rectángulos inscritos, calcule el área de la región Rlimitada por las gráficas de y = x + 1, * = 0 , x = 3 y el eje x. L a gráfica de la región se muestra en la Fig. 2.4. En este caso, f ( x ) = x + 1, a = 0 y b = 3. C om o / es creciente en [0; 3], / presenta m ínim o en el extremo izquierdo de cada subintervalo, es decir, A — A¿ —As (10 (III) b —a donde Ax = , = a + ¡Ax , i = 1, ...,n n Solución 3 - 0 3 t¿ = a + (t — l)A x , i = 1.... n , donde A x = ---------= — n n 106 www.FreeLibros.com
  • 114.
    3 3 33 3 Kntonces t¡ = 0 + (/ - 1) - = - i -----y f ( t i) = ti + l = - i + l -------- . n n n n n l’or tanto, utilizando la fórm ula dada en la observación 2 y la sum atoria de i, leñemos INTEGRAL DEFINIDA A = lim n-»co = lim - *->oo /n Fig. 2.5 Ejem plo 11. Por rectángulos circunscritos, calcule el área de la región R limitada por las gráficas de y = x 2 , x = 3 y el eje x. So lu ción l;.l gráfico de la región R se muestra en la fig. 2.5. A partir del gráfico, se deduce que a = O , b = 3 y, por tanto, Ax = 3/n. C om o / es creciente en [0; 3], / tiene valor m áxim o en el extremo derecho de cada intervalo. A sí, t¡ = a + iAx ó ti = - i y f ( ti ) = — i2 Luego, A = limI-YVn-*co n Z - i n¿ i=i n-*co u J n-*co j l ' 27 n(n + l)(2n + l) 3 £ www.FreeLibros.com
  • 115.
    TÓPICOS DE CÁLCULO- VOLUMEN 11 E n los ejemplos que siguen, no se tendrá en cuenta los rectángulos inscritos ni los rectángulos circunscritos. L o s puntos serán considerados com o los extremos derechos de los subintervalos. Ejemplo 12. Calcule el área de la región R limitada por las gráficas de y = 3 + x + x 3, x = — 1, x = 2 y el eje x. Solución a = — 1, b = 2 , f ( x ) = 3 + x + x 3 12 27 „ 273 3 A x = — , ti = —1 + — i n n y /(t,) = i + Ir¿ - - t í 2 Para calcular el área de la región (Fig. 2.6), se tendrá en cuenta la sumatoria de i, de t2 y de i3. A = lim n-*oo 3 ^ / 12 27 27 - ) 1 + — i - — i 2 + — i 3 n ¿ j n n2 r? ) ¡ = i [3 f 12 n ( n + 1) 2 7 n ( n + l) ( 2 n + 1) 2 7 n 2 (n + l ) 2 = lim — n H ----------------------------------------------------------1- — ----------------- n n 2 b 4 = lim n-*oo 3 1 + 6 5 7 2 Fig. 2.6 Fig. 2.7 Ejemplo 13. Calcule el área de la región R limitada por las gráficas de y = e x. x = O , x = 1 y el eje x. Solución La región se m uestra en la Fig. 2.7. La longitud de cada subintervalo es Ax = — , 1 h 71 ti = ~ i Y f(t¡) = en 108www.FreeLibros.com
  • 116.
    IN T EG R A L D E F IN ID A I n este caso, usaremos el resultado obtenido en el ejemplo 4 para a = Así, 1 e l/ n [(g l/ n y l _ j y A = lim lim n-»cn — / en n L-a = lim n —»co 1 en(e — 1) n e 1/11 — 1 ,1¡n _ ]_ 1 = (e - l) lim ,1/n n (*) Se hace el cam bio de variable x = — => lim - e l/n = (e - 1) u 2 (*) x e = lim — — - = 1. n n->oo e 1/n —1 x->o ex —1 (A l aplicar la Regla de L ’Hópital al últim o límite) Eje m plo 14. Calcule el área de la región bajo la gráfica de f { x ) = s e n * en 10; 7T/2J. Solución La gráfica de la región se muestra en la Fig. 2.8. Así, tenemos n = s e n ^ ¿. lim n-*-»oo TT V “ * TI — > se n — i 2n jLu 2n í=i = lim n-*oo 71 2n i 1 + c o s £ ) - cos ( n S - cos (n + i 2sen® ( * * ) = lim 1+ cos(ín ) “ cos(§) ~ cos sen (s ) ( s ) [1 + 1 - 0 - 0] ■ W ) . 1u2 ( * * ) Se usa el resultado del ejemplo 5 para x = n¡2n. 109www.FreeLibros.com
  • 117.
    TÓPICOS DE CÁLCULO- VOLUMEN II E je m plo 15. Calcule el área de la región bajo la curva y = senh x en [0 ; 1], Solución La región R se muestra en la fig. 2.9. Se tiene 1 1 ( Ax = - , t ¿ = - ¿ y / (tí) = senh - ¿ n n n J í É senhG i) 1= 1 i c o sh (n + 1 ) —+ cosh ( n ■—^ — cosh i 1 v Jn nJ n A = lim n-> co 7 y - senhx / Fig. 2.9 lim n->cc - lim n-*co 2 Se „ h ( i) cosh ( l + i ) + cosh 1 — cosh ^ — 1 2 c o sh (l) - 2 (c o sh (l) - l ) u 2 Eje m plo 16. Calcule el área de la región limitada por las gráficas de y = 2¡x , eje x, y x = 9. Solución Para evitar la sumatoria de la raíz cuadrada, tom am os com o variable independiente a la variable y, es decir, / ( y ) = y 2/4. La región está limitada por las curvas / ( y ) = y 2/4, .9 (y ) = 9, las rectas y = 0 c y = 6 (fig. 2.10). •El área del i-ésím o rectángulo es [g(Zi) - / (z ,)]A y . Por tanto, el área de la región está dada por 110www.FreeLibros.com
  • 118.
    INTEGRAL DEFINIDA ^ =*im4 AyZ ^ (zí)- /(z4 donde A y = £ , z i = 0 + iAy = ^ i , g ( Zi) = 9 y f(z¡) = Í ( - A = ~ i n n 4 rc ) n ¿ 6V 9 - ) ( 9 ------ i 2) ruL-¡ n- 9 (.orno g(z,) - f (z¡) = 9 - — i2, se tiene 4 = lim n*- n-* oo = 36 u 2. E J E R C I C I O S i:n cada uno de los ejercicios siguientes, encuentre el área de la región limitada por las curvas dadas. 1. y = (x - l ) 3 , x = 3 , x = 8 y el e j e * R. 2 3 8 5 / 4 u 2 2. y = x 2 , x = 0 , x = 2 y el eje x R. 8/3 u 2 3. y = 4 - x 2 y el eje x R. 3 2 / 3 u 2 4. y = 4 - |x|, x = - 4 , x = 4 , el eje x R. 8 u 2 5. y = 2 v x , eje x , x = 0 , x = 4 R. 3 2/ 3 u 2 6 . y = x 3 , x = - 1 , x = 1 , eje x R. 1 / 2 u 2 7. y = 12 - x 2 ,e je x , x = - 3 , x = - 2 R. 3 0 5 / 6 u 2 8 . y = 2 - '! * ( , e je x , x = - 2 , x = 2 R. 4 u 2 9. y = x 2 , y = 4 - 3.x2 /?. 16/3 u 2 10. y = m x , m > 0 , eje x , x = a , x = b , con 0 < a < b m ( ¿ 2 - a 2) R- ------- V • 2 11. y = x 2 - 2 x - 1, eje x , x = 1, x = 4 / 1 3 V 2 , "■ l 3 - 4 j " 4 12. y = 3 x - 3 x ‘ - - x 3 , eje x , x = 0 , x = i /?. 1/6 u 2 13. y = cosh x , x = 0 , x = l , e je x ñ. s e n h ( l)w 2 • n n 14. y = e o s x , x = x = - , e je x /?. 2u 15. 4 y = (x t _ 4 ) 2 , 4 y = (x + 4 ) 2 , 4 y = - ( x - 4 ) 2 , 4 y - - ( 4 + x ) 2 16. y = 3 x 2 , y = - 1 - 3 x 2 , x = 0 , x = 3 K. 6 4/ 3 u 2 R. 57u l 111 www.FreeLibros.com
  • 119.
    E n estasección y en las siguientes, hasta la sección 2.10, las funciones consideradas están definidas en un intervalo / = [a; b], con a < b. Definición 2. S i Px y P2 son dos particiones de /, se dice que P2 es un refinamiento de Px cuando c P 2, Se comprueba fácilmente que si P2 es un refinamiento de Pj , entonces ||P2|| < H H . Definición 3. Sea una función acotada en / = [a; b] y P = {x0,x 1, ...,xn } una partición de /. C on I¡ denotamos al j-ésim o subintervalo de /, es decir, l¡ = xj_x)Xj, j = 1, C om o / es acotada en ¡ , existen m¡ y Mj tales que m¡ = in f{/ (x ) / x e Ij} ; M¡ = s u p {/ (x ) / x G !¡} Se cumple: m¡ < / ( x ) < M¡, V x £ I¡, j = 1,2, ...,n. Definim os: a) La su m a in fe rio r de / para P, que se designa con S (/ ; P ), se define com o n n S(f; P ) = ^ m j(xj - xH1) = £ m ;Ayx 7=1 7=1 b) L a strma su p e rio r de / para P, que se denota con 5 (/ ; P ), se define com o n S ( / ; P ) = ^ M , A , x j'=l Eje m p lo 17. Sea / ( x ) = k la función constante definida en / = [a; b}. L a gráfica de la función se muestra en la fig. 2.11. Se tiene n n S_(f. P) = ^ kAjX = k ^ áj-x = k(b - a), donde k = inf{/(x) / xe //} ■ • 7= 1 n n S (f ,P ) - ^ fcA/X = k y A ,x = k ( i - a ) , d on d e /c = s u p { / ( x ) / x E /,} TÓPICOS DE CALCULO - VOLUMEN 11 2.3 SUM A SU PE R IO R Y SUM A IN FER IO R Fig. 2.11 112 Fig. 2.12 www.FreeLibros.com
  • 120.
    ( Ejem plo 18.Si f ( x ) = x , x e 1 = [a;b], entonces n £ ( / . p ) - * j - i A jx, donde xh x = in f{/ (x ) / i e l¡],j = 1 ,2 , , n j = i n = ^ ]xjA jX , donde = su p {/ (x ) / x E 1¡},¡ = 1,2 j~1 I ;i gráfica de la función se muestra en la Fig. 2.12. I.jcm plo 19. Considerem os "la función de Dirichlet” c , s ( 1 , si x es racional , r , lo , si x es irracional 1 x e ~ ] l’ara cualquier partición P se verifica que m¡ = 0 y M¡ = 1, j = 1,2, ...,n. Luego, n n O.A;x = 0 y 5 (/ ,P ) = l. A ;x = ¿ - a ¡=i j=i 2.3.1 S I G N I F I C A D O G E O M É T R I C O D E L A S S U M A S S U P E R I O R E S E I N F E R I O R E S Las sum as superior e inferior poseen una interpretación geométrica simple. Ln primer lugar, analicem os el significado del producto hjAjX, donde h¡ es nij ó Mj y Aj'x es la longitud del subintervalo Ij = [ x j ^ x j ] . Si hj > 0 . entonces hjAjX es numéricamente igual al área del rectángulo de base /, y altura h¡. Si h¡ = 0 , entonces hjAjX = 0; y si hj < 0 , entonces hjA¡x es numéricamente igual al opuesto del área del rectángulo de base ¡¡ y altura - h¡. Por esta razón, al núm ero hjAjX lo denom inarem os área a lge b raica del rectángulo cuya base es Ij y altura es hj , es decir, el área algebraica es positiva si el rectángulo esta sobre el eje x y negativa, si está debajo de eje x. lin la sección 2.2.2 (figuras 2.2 y 2.3), vim os que cuando / es no negativa en /, S_(f>P) y S (f .P ) (que denotam os por I{P) y C ( P ) ) son, respectivamente, las áreas de los polígonos rectangulares inscrito y circunscrito a R, donde R es la región lim itada por las gráficas de /, las rectas x = a , x = b y del eje x. INTEGRAL DEFINIDA S(f,P) = Y 113www.FreeLibros.com
  • 121.
    E n lasfiguras 2.13 y 2.14 se muestran, respectivamente, S ( f , P ) y S ( f ,P ) $ m a una función que no necesariamente es positiva. TÓPICOS DE CÁLCULO - VOLUMEN II La condición de que / esté acotada en / = [a; b] es esencial para que existan los valores m¡ y M¡ . Estos números se definieron com o los ínfim os y suprem os, en vez de m ínim os y m áxim os (com o se hizo en la sección 2 .2 .2), ya que en esta oportunidad no se exigió qug / sea continua. 2.3.2 P R O P I E D A D E S D E L A S S U M A S S U P E R I O R E S E I N F E R I O R E S C om o / es acotada sobre /, existen m y M tales que m = in f { / 0 ) / x E I } y M = s u p { / 0 ) / x E /} P ro p o sició n 1. Sea / una función acotada i'n / = [a;b] y P = [x0,x-i. ...,x n } una partición de /. Entonces m (b - a) < S ( f , P ) < S ( f , P ) < M(b - a ) ( 1) D em o stració n Se tiene m < m, < Mj < M. M ultiplicando todos ios términos por A¡x > U y sum ando las relaciones obtenidas para j = 1,2,..., n , obtenemos n n n n ^ mAjX < nijAjX < ^ MjAjX < MA¡x ó 7= i 7= i ;= i j= i « n m X A¡x - ajx j=i j=i n Com o ^ Ayx = b - a, entonces m (b - u) < 5(/, P ) < 5(/, P) < M(b - a). www.FreeLibros.com
  • 122.
    INTEGRAL DEFINIDA P roposició n 2. Si / es una función acotada en /, y Px y P2 son dos particiones de I tales que P2 es un refinamiento de Pr , (Pt c P2), entonces ‘0 •!(/. Pi) < S(f, P2) y S(f, Px) > S(f, P2) b) Si P2 —/ tienen r puntos, entonces í ( f , P 2 ) - S ( f , P í ) < r ( M - m ) P 1 S(f.P1)-Sif,P2)<r^M-m)Pi D em ostración (se deja com o ejercicio para el lector). Prop osició n 3. Sea / una función acotada en /, y Px y P2 dos particiones arbitrarias de /. Entonces • S ( / . P 1) < 5 ( / . P 2) ( 2 ) D em ostración Sea P — P1 U P2. C om o Pt c P y P2 c f , por la proposición anterior, se tiene S t f . P j l Z S i f . P ) y S ( f , P ) < S ( f , P 2) Por la proposición 1, se tiene SJJ.P) < S(f , P) . Luego. S ( M ) < S ( f , P 2) 2.4 I N T E G R A L E S I N F E R I O R E S Y S U P E R I O R E S Denotem os con D al conjunto de todas las particiones posibles de l. Si f es acotada en /, la desigualdad (1) es verdadera para todo P e D y asegura que el conjunto {S( f , P) /■ P 6 D) es acotado superiormente v- el conjunto S ( f , P) / P e o ) es acotado inferiormente. D efinición 4. S i / es una función acotada en /, el número su p {£ (/, P ) / P 6 D} se denom ina integral inferior de / en / y se indica com o ]_= f f ( x ) d x = sup (S(f, P ) / P e D] Ja El número in f(S(f,P) / P e D) se denom ina integral superior de f en / y se indica como 1 1 5www.FreeLibros.com
  • 123.
    2.4.1 P RO P I E D A D E S D E L A S I N T E G R A L E S S U P E R I O R E S E I N F E R I O R E S TOPICOS DE CALCULO - VOLUMEN II Si / es función acotada en /. entonces _ r b r b ]_ < J ó I f { x ) d x < I f { x ) d x Ja Ja (3 ) 2. Si / es función acotada en /, entonces m { b - a) < ) _ < ] < M(b - a) (4 ) donde m = in f { f ( x ) / x E 1} y M = su p { f ( x ) / x E /}. 3. Si / es acotada en /, existen q y c2 E I talesque ¿ = f ( c - j ( b - a) y / = / (c 2) ( ¿ - a ) (5 ) de m odo que m < / ( q ) < f ( c 2) < M. 4-. S i / es acotada en / y cE ( a ; b ) , se tiene '•O pC rO f ( x ) d x = j f ( x ) d x + I f { x ) d x b r C r b f ( x ) d x = J f ( x ) d x + J f ( x ) d x 2.5 I N T E G R A L D E R I E M A N N D e fin ición 5. Se dice que una función acotada f : ¡ - > K es integrable R ie m a n n en / si r b íJa J = [ f(x)dx = í f ( x ) dx = f f ( x) dx *'a Ja Ja Por sim plicidad, se llama integral de / sobre / o integral definida de / sob re / o integral de / de a hasta b. En j f ( x ) d x , el sím bolo j es llam ado sím bolo de in tegración. Este sím bolo, que es una S alargada, fue introducido por Leibniz para representar la suma, que proviene de la palabra latina “sum m a”. Adem ás, f ( x ) es el integrando, f { x ) d x es el elemento de integración, el número a es el límite inferior y b es el límite superior. L a variable x no tiene significado especial, ya que í f f á d x = í f(z )d z = í f ( t ) d t = í f ( y ) d y - í f{u)du Ja Ja Ja Ja Ja etc. www.FreeLibros.com
  • 124.
    l'.jcinplo 20. Seaf ( x ) = k la función constante. Por el ejemplo 16, pars / = [a; b] se tiene S(f, P) = S(J, P = k (b —a). Entonces J = ] = k(b —a). P or lo tanto, / es integrable en [a; b] y se tiene r b k d x — k (b - a ) INTEGRAL DEFINIDA JJa Ejem plo 21 (función no integrable). Considerem os la función de Dirichlet /': [0; 1] -» IR, definida por x es irracional x es racional Para cualquier partición P de 1 = [0; 1] (ejemplo 19), se tiene: S ( / ; P ) = 0 y 5 ( / ; P ) = l Entonces 7 = 0 y J = 1 y, por tanto, / no es integrable en ¡. Observación 3. Interpretacióngeométrica de la integral definida de una función continua f en [a; b]. De la interpretación geométrica de las sumas superiores e inferiores (secc. 2.3.1), deducimos que si R es la región plana limitada por las gráficas de f, las rectas X = a , x = b y el eje X, y /4(fl) representa numéricamente al área de la región R; entonces a) Si f ( x ) > 0, V x 6 [a; b ] , A(R) = f f(x )d x *a b) Si f ( x ) < 0 , V x e [a; b] ► - A(R) = f f ( x ) d x JQ c) Si al número I f ( x ) d x lo llamamos área algebraica, para una función Ja arbitraria f continua en [a; b], esta integral definida de f en [a; b] representa la suma de las áreas algebraicas de las regiones determinadas por la gráfica de f y el eje X, desde x = a hasta x = b. www.FreeLibros.com
  • 125.
    TOPICOS DE CA L C U L O - V O LU M E N II E je m plo 22. L a gráfica de / consta de segmentos de recta y una semicircunferencia, com o se indica en la figura adjunta. Halle: a) í / ( x ) d x b) í f ( x ) d x J o J -6 c) f / ( x ) d x d) f |/(x)|dx •'-6 J-6 e) E l área de la región limitada por la gráfica de /, el eje x y las rectas x = —6 y x = 8 . Solución a) C om o el área del círculo de radio r = .4 es Ax = n r 2 = Ió ít u 2, entonces A= —4ti i 4 k i i i y * /■ i / * i / ! ! “6 V y 5 ¿ x -4 í A, J / W ^ = - T = - b) Dado que el área de un triángulo de base b = 2 y altura h = v es /12 = 4 u 2 /4 y el área del sem icírculo es A = — = 8n u 2, entonces í f ( x ) dx = í / (x )d x + í f ( x ) d x = Az - A = 4 - 8tt. J - 6 J - 6 J —4 c) Puesto que la integral definida desde —6 hasta 8 está form ada por la sum a de / A2 áreas algebraicas de un triángulo (A2 = 4 ), de un sem icírculo — = — 8n j, de un triángulo (Á3 — 2) y de un rectágulo (A 4 = 12), entonces r 8 r —4 /•4 r 5 /*8 I / ( x )d x = I / (x )d x + I f ( x ) d x + I / (x )d x + I / (x )d x J - 6 J - 6 J - 4 J 4 J s = 4 + ( — 87t) + 2 + 12 — 18 ■ 87T d) C om o |/(x)| = — / (x ), V x G [ - 4 ; 4 ] , entonces í / (x )d x = f / ( x ) d x - í f (x ) d x + í f ( x ) d x + í f ( x ) dx j - ó J -6 ■'-4 **4 Js = 4 - C— 8 tt) + 2 + 12 = 18 + 8 tt e) El área de la región pedida es 4 ( R ) = í |/(x)| dx = [ f ( x ) d p T h ( ( - / ( x ) ) d x + [ / ( x ) d x + í f (x ) d x J -6 J - 6 • '- 4 -M ->5 '= 4 — ( —87r) + 2 + 1 2 ( 1 8 + 87r) u 2 118www.FreeLibros.com
  • 126.
    INTEGRAL DEFINIDA Teorema 1(C riterio de integrabilidad de Riemann). Si / es una función ;icotada en /, una condición necesaria y suficiente para que / sea integrable en / es que dado e > 0 arbitrario, exista una partición P de 1 tal que S ( f , P ) - S ( f , P ) < £ (6) Demostración ;i) ( = * ) Por hipótesis, / es integrable en /. Si ¿ = su p [S{f,P) / P e D }, dado £ > 0, existe una partición P1 de / tal que J _ - ¿ < S ( f . P i ) ó ¿ - K f . P J < | (7) Por otro lado, siendo ] = inf{ S(f, P) / P e D) y tomando el m ism o e > 0 , existe una partición P2 tal que S(f,P2) < 7 + | ó S(f,P2) ~ ] < E- (8) Sum ando m iem bro a m iem bro las desigualdades (7) y (8) y considerando que / = ], obtenemos S(jr,P2) - S ( f , P 1) < E Considerando Pí U P2 = P (es un refinamiento de P, y P2), tenemos S(f, P ) - S(f, P) < S(f. P2) - S(f, P J < £ b) (< = ) Supongam os que dado £ > 0, existe una partición P de I tal que (7) es verdadero. C om o J_ > S ( f , P ) y ] < S ( f , P ) se obtiene 0 < J — J < 5(/, P ) - S(/, P ) < e. C om o £ es arbitrario, se obtiene 7 - 7 = 0 o 7 = 7 Por tanto, / es integrable en /. Hasta ahora, I f ( x ) dx se ha definido solo si a < b . Por conveniencia, se dan ¿as siguientes definiciones: Definición 6. Si a < b , se define I f ( x ) dx = — ¡ f ( x ) d x , siem pre que I f {x ) d x exista. h Ja Ja Definición 7. Si / es una función definida en o. se define I ,-a f ( x ) d x = 0 a 119www.FreeLibros.com
  • 127.
    TOPICOS DE CALCULO- VOLUMEN II P rop osició n 4. Si f es una función continua en / = [a; b], entonces / es integrable en /. La demostración se deja com o ejercicio al iector. 2.5.1 P R O P IE D A D E S D E L A I N T E G R A L D E F I N I D A 1. Si / es una función integrable en /, entonces es integrable en cualquier subintervalo [c; d] c /. 2. Si f es una función integrable en /, entonces para toda constante real k , k f es integrable en / y se tiene: f k f { x ) d x = k í f ( x) dx (9 ) Ja Ja 3. Si / y g son funciones integrables en I, entonces / ± g es integrable en / y se tiene: r b p b rb l f ( x ) ± g ( x ) ] d x = f (x ) d x ± I g(x)dx ( 10) Ja Ja Ja 4. Si f es integrable en los intervalos [a; c] y [c; b], entonces / es integrable en I = [a; b] y se tiene: f f ( x ) dx = í f ( x ) d x + í f ( x) dx (11) Ja Ja Je (Propiedad aditiva respecto al intervalo de integración). Esta propiedad es válida para tres números arbitrarios a, b ,c siempre que las tres integrales existan. 5. Si / es integrable en I = [a; b] y f ( x ) > 0 , V x E I. entonces f f ( x ) d x > 0 ( 12) Ja 6 . Si / y g son funciones integrables en /y f ( x ) < g(x), V x E /, entonces í f ( x ) d x < í g(x)dx (13) Ja Ja 7. Si / es integrable en / = [a; b] ym< f ( x ) < M, V x E /, entonces m(b - a) < í f ( x ) dx < M{b- a ) (14) -'a 8. Si / es integrable en I, entonces f /(x)dx| S í f(x)dx (15) Ja I Ja 120www.FreeLibros.com
  • 128.
    1N I hCjKA L D t r lN IU A 2.5.2 T EO R EM A D EL V A LO R IN TERM ED IO PARA IN TEG R A LES Teorem a 2. Si / es una función continua en I = [a; 6], entonces existe un número c G / tal que í f ( x ) dx = f ( c ) ( b - a ) Ja Demostración El Teorem a del V a lo r Intermedio de una función continua indica: “Si f es continua en [a; b] y se cum ple que / ( a ) / '( ¿ ) , entonces para cualquier o) entre / ( a ) y f ( b ) existe un número c entre a y b tal que / (c ) = 6)". Por hipótesis, / es integrable en /, pues / es continua en I (Prop. 4). Luego, por (14), se tiene: m(b — a) < f f ( x ) dx < M(b - a) Ja donde m y M son el m ínim o y el m áxim o absolutos de / en I, respectivamente (estos valores existen porque / es continua). Luego, m = f ( x m) y M = f ( x M ) , con xm y x M G /, y f bf ( x ) d x f(Xm) ~ b - a ~ / (* m) Por el teorema del valor intermedio para funciones continuas, existe c entre xm y xM (c G /) tal que fb f ( x ) dx r b f (c) = — ------------, es decir, I f { x ) d x = / ( c ) ( ¿ — a ) , con c e I b - a Ja 2.6 T EO R EM A S FUN D AM EN TA LES D EL C Á LC U LO IN TEG R A L Teorema 3 (Prim er Teorem a Fundamental del Cálculo Integral o Teorem a de Barrow ) S i f es una fu n c ió n c o n tin u a en / = [a;b ] y F es la fu n c ió n d e fin id a por F(x) = I f { t ) d t , x G /, entonces se tiene F '( x ) = ¿ ( / f ( t ) d t j = f ( x ) , v x e i Demostración Por definición, para x G [a; b] {x fijo), se tiene , ,. F(x + h ) - F ( x ) f * +h f ( t ) d t - f i f ( t ) d t F (x ) = lim -------------------------- lim ----------------- r----------------- h-*o hh-*oh , ! * f w t + c k f w t - s * f w t r v ( í ) d í = h m ---------------------------- :-----------------------------= u m ------------------- h-*o h h-o n 121www.FreeLibros.com
  • 129.
    Por el teoremadel valor intermedio para integrales, para el par de números x y x + h e [a; b] existe c entre x y x + h tal que r X + h . I f ( t ) d t = / (c )(x + h - x ) = hf(c) Jx Luego, F'(x) = lim , c entre x y x + h h->o h } F '( x ) = lim f(c) , c entre x y x + h h-0 F'(x) = / (x), V x E / , e s decir, F es una antiderivada de / en /. Observación 4. Este teorema establece un enlace entre los conceptos de integral definida e indefinida. Se prueba que una función f continua en I admite una antiderivada dada por F(x) = / * f ( t ) d t , pues F '( x ) = f ( x ) , V x € /. es un teorema de existencia, pues si f es una función continua en l, existe F(x) = / * f ( t ) d t tal que F'(x) = f(x) , V x G7. Como F(a) = 0 , F es la antiderivada de f en l cuya gráfica pasa por el punto (a; 0). TÓPICOS DE CÁLCULO - VOLUMEN II Teorem a 4 (Segundo Teorema Fundamental del Cálculo Integral) Si / es una función continua en / = [a; b] y F es una antiderivada de f en / ( F '( x ) = f ( x ) , V x E /), entonces [ f ( x ) d x = F ( b ) - F ( a ) = [F(x)]b (1 6 ) Ja a Demostración C om o F es una antiderivada de / en / y, por el primer teorema fundamental, F definida por F (x ) = / f ( t ) d t es también una antiderivada de / en /, entonces existe una constante c tal que F(x) = F(x) + c , V x E l. Así, tenemos F(b) = F(b) + c = f f ( t ) d t + c y F(a) = F(a) + c = *a C om o /Qa / ( t ) d t = 0, entonces F(b) - F ( a ) = f f ( t ) d t Ja C om o la variable t no tiene significado especial, se concluye í f ( x ) d x = F(b) - F ( a ) ■'a 1 f ( t ) d t 4- c 122www.FreeLibros.com
  • 130.
    INTEGRAL DEFINIDA Observación 5 n)F (x)]ba es una notación para F(b) —F(a). h) La fórmula dada en (16) es llamada “Fórmula de Newton-Leibniz” debido a que estos dos matemáticos establecieron, independientemente uno del otro, la relación íntima entre los conceptos de la derivada y de la integral. -El nombre que se le da a esta fórmula es convencional, ya que ni Newton (1642-1727) ni Leibniz (1646-1716) dieron exactamente con esta fórmula. c) Obsérvese que la diferencia F(b) - F(a) no depende de la elección de la antiderivada F, puesto que todas las antiderivadas se diferencian en una constante, la que desaparece al efectuar ¡a diferencia. Por eso, al calcular una integral definida no es necesario considerar la constante en la antiderivada. a) Siendo / ( t ) = 1/(1 + t 2) una función continua, por el prim er teorema fundamental, se tiene F'(x) = 1/(1 + x 2) , V x > 0 (es necesario notar que F'{x) = 1/(1 + x 2) es válido para todo x e R). C om o F'(x) > 0 , V x R , entonces F es una función estrictamente creciente en R . b) F"(x) = —2 x / { l + x 2) 2 (F presenta punto de inflexión en x = 0). c) F '( 1) = 1/ 2 . Finalmente, dado que F'(x) = 1/(1 + x 2) , entonces F (x) = arctan x + C para alguna constante C. C om o F ( 0 ) = 0, entonces 0 = arctan(O ) + C => C = 0, es decir, F(x) = arctan x Ejem plo 24. Calcule el valor de cada una de las integrales So lu ción a) U n a antiderivada de f ( x ) = 1/(1 + x2) en l = [ - 1 ; 1] es F ( * ) = arctan x (en esta antiderivada, por la obs. 5-c, no se considera la constante). Luego, E je m p lo 23. Sea la función F { x ) = ------- - d t . Calcule Jn 1 + t0 a) F '0 0 b) F"(x) c) F’( 1) Solución f dx 1 ■■■ 7T y 7T n J T + x 2 = [arctan x ] _ 1 = a rcta n (l) - a r c t a n ( - l) = - - - J = - r 1t/2 jj. b)J sen x dx = - [ c o s x ] ^ 2 = - ^ c o s - - cosOj = 1o 123www.FreeLibros.com
  • 131.
    = C o TOPICOS DECÁLCULO - VOLUMEN II c) f e* dx = = e 1 — e° = e —1 Ja f 1 1 d) I senh x d x = [coshx] = c o sh (l) - 1 Jq u Com pare las respuestas obtenidas en (b), (c) y (d) con las obtenidas en los ejemplos (13), (14) y (15) de este capítulo. Eje m p lo 25 i) Sea G ( x ) = / “ f ( t ) d t , donde /: / = [a; b] ->R es continua y u = w (x ) es una función derivable (u: —» /). Pruebe que d G'(x) = / ( u ) . u ', donde u' = — (u (x )) ax ii) Sea H(x) = f^ f ( t ) d t , d o n d e / y u = tt(x) tienen las condiciones dadas en (i). Dem uestre que d H'(x) = - / ( u ) . u ', donde u ' = — (u (x )) dx Solución i) S i F ( x ) = / * f ( t ) d t y u = u ( x ) , entonces (F o u ) ( x ) = F ( u ( x ) ) = f ( t ) d t = G(x). Por laregla de la cadena, setiene G'(x) = F '( u ( x ) ) . u '( x ) = F '( u ) . u ' = f (u). u ', pues F '( x ) = / (x ). E n resumen, G '( x ) = / (u ).u '. ii) H(x) = f “ f ( t ) d t = - / “ / ( t ) d t Por (i), t f '( x ) = - ( / ( u ) . u ') = - / ( u ) . u '. 3 12 + 9 sen t + 15 ^ E je m p lo 26. S e a G (x ) = í — — -— —dt y W (x) = f J_3 1 + 9 sen2t Halle: a) G '( x ) b) t f '( x ) Solución a) U sando el ejemplo 23-i), para / ( t ) = 1/(1 + 9 se n 21) y u = x 4, se tiene 1 4 x 3 C 'W = 3 - r ^ ------^ ‘ 4 x 3 l + 9 s e n 2(x 4) l + 9 s e n 2(x 4) b) U sando el resultado del ejemplo 23-ii), obtenemos . 1 , 3 x 2 H M = -----r — :-----r r — - • 3x x 6 + 9 sen(x3) + 15 x 6 + 9 sen (x 3) + 15 124www.FreeLibros.com
  • 132.
    rX* INTEGRAL DEFINIDA Ejem plo27. Si G(x) = [ Ijl + y 3 d y,h alle G '(x ). Jx2 Solución C om o / ( y ) = ^/1 + y 3 es continua en M, entonces G (x ) = f y i + y 3 d y = f ] l + y 3 d y + í X j l + y 3 d y Jx2 ¿x2 Jo Luego, G '( x ) = - ¡ l + x * •2 x + V l + x 9 •3 x 2 = x [3x V i + x 9 - 2 3V l + x 6] r 1 jx ld x Ejem plo 2 8 . Calcule el v a lo r de -------- - 1 + x 2 Solución Si / ( x ) = { ^ 2 ’ entonces / ( * ) 1 + x 2 ' X “ l + x 2 si x > 0 , si x < 0 Para calcular esta integral, se aplicará la propiedad aditiva respecto al intervalo de integración. E n efecto, f f ( x ) dx = f f ( x ) d x + f f ( x ) dx = = — i —l dx + í ■ * dx J- 1 J - i J_x l + x 2 J0 1 + x 2 r l i° r l i 1 = - [ - l n ( l + x 2)j - l n ( l + x 2)]^ = ln 2) + | ( l n 2) = l n 2 Ejemplo 29. Calcule J = í |x2 + x — 6 |dx. J~4 So lu ción La variación de signos de x 2 + x - 6 = (x + 3 ) ( x - 2 ) es + - + - 3 2 lu e g o |;t2 + x - 6 | = í A:2 + * _ 6 ' si x 6 ( - 00; - 3 ] u [2 ;+co) i.uego, |x + x 6 | l _ ( x 2 + x _ 6 l s i x 6 < _ 3;2> 1 2 5www.FreeLibros.com
  • 133.
    Aplicando la propiedadaditiva de la integral respecto al intervalo de integración, se tiene TOPICOS DE CÁLCULO - VOLUMEN II f x2 + x - 6dx = í (x2 + x - 6 ) d x - f (x2 + x - 6 ) d x + f (x 2 + x - «'—4 ■'—4 J—3Jo 2 ( 3 3 v 2 6)dx -3 + lT + T - 6, ■ i - i " 125 38 109 6 ) + T - T ~ Eje m p lo 30. Sabiendo que x > 9, resuelva la ecuación: 16 dt i9 V2(16 - t 2) 3 27T / 2 + yfx 3 =— + ln1 ------ I- 2arctan- —ln5 ... (a) Syfx - 10 So lu ción , , f 16 dt En prim er lugar, calculam os la integral I -=------------- usando la sustitución J Ví(16 —t2) t = u2 y dt = 2udu. D e esta manera, f 16 dt _ f 32 u du f 32 f 4 f 4 i Vt(16 - t 2) ~ J u( 16 - u4) ~ J 16 - u4dU“ J 4 - u2 + J 4+ü* d“ , |u + 2| aín lVF+21 ' /Vt = ln ---- - + 2arctan(-) + C= ln —---- + 2 arctan —- + C u - 2 '2' V t-2 2 Luego, i 16 dt 9 Vt(16- t 2) Vt + 2 Vt 1 In V t-2 + 2 arctan(—) Vx 3 + 2 arctan — — 2 arctan - - In 5 O' V i , , + 2 arctan—— 2 a rc t a n - ... (ß) V s V z - 10) 2 2^ Reem plazando (/?) en (a), se tiene . / Vx + 2 V? 3 2ir ln + 2 arctan T - 2 arctan 2 = T + <=> ln ( 4 ± i L ) _ S y i x - l Q ) V * 2n A / x n 4x ,ns V * 2 arctan— = y » arctanI— 1= - <=>— = tan(-J » — = V3 2arctan Finalmente, x = 12. 126 www.FreeLibros.com
  • 134.
    I . Kncada uno de los siguientes ejercicios, calcule la derivada de las siguientes (unciones. INTEGRAL DEFINIDA E JE R C IC IO S ..) /■ I») ■'(x )- j co sh (2 t 2 + 1) dt J ”Senx ^ ------------dt a arcsen t C) f í [ y -— ^ — r d t ) dy '2 J 8 1 + 1 + sen2t j * d) F(x) = •'a R. F'(x) = 2 cosh ([8x2 + 1) *■F 'w = Í t t A + sen2t d t r*3 1 j. rJ0 i+ s e n 2t eos2( y 2 + 4)dy e) FQ t) = sen |J s e n ^J sen3t d t ] d y 2. Sean /•arcsen^cosArj F (x ) = / (se n t)dt - A /3 J -s e n x ______ ____________ <Jg(t) dt = V i - . e o s x sñ J 1 — sen x 1 4- sen x r f W dt Halle H'(x) si H(x) = í ____ •'g(x)( 1- V l - x 2) ^ 1 16 T ' /?. a = — 2 ó 1 f3 X + 1 2 / I 3. Si fCtjdt = ----- h a x ,calcule los valores de a de m odo que f - JQ ax 4. [ x* t s 4. Si F(x) — J ^ 1 + {4 dt , halle F'(x). s X + X 2 5. Si G(x) = I 2 ~t2 d t , calcule G '(x ) y G '(l). ■>x2+i r e* 6. Si F (x ) = I x ( t 2 + l) d t , calcule F '(x ). 7. Sea G(x) = I f ( t ) d t , donde f • 1 -* R es una función continua y las •Vi(x) funciones , <Pz'.]-*I, que son funciones derivables. Dem uestre que G'(x) = f(<p2(x)) • <p'2 ( x ) - /O P iO O ) • < p 'i(x ) 127 www.FreeLibros.com
  • 135.
    TOPICOS DE CA LC U LO - V O LU M E N II 8. Sea / : [ —!; 2] -> E una función continua. Si F es una antiderivada de / en [-1 ; 2], con F ( - 1) = 3 y F(2) = 7, calcule J f(x)dx. R. 4 9. En la figura adjunta se muestra la gráfica de una función g. Si f es la función definida por f ( x ) = J^gCOdt , x G [-3 ; 8], y t Calcule gráficamente: a) / ( — 3) b) / (O ) c) / ( 8 ) R. a) 0 b) 6 c) 34 -3 6 8 10. Sea /: [ - 6 ; 6] -> E una función continua y g: [ - 6 ; 6] -> im par continua, tal que I / (x )d x = 10 y I g(x)dx = — 2. Halle: J-6 “'-6 rO una ¿unción a) í t/(x) + £ (x )] dx fí. 12 b) [ [/(x) + s # ( x ) ] d x R. 20 •'-6 •'-6 11. En los siguientes ejercicios, calcule / (2 ) sabiendo que / es continua y verifica la ecuación dada para todo x > 0 . a) [ f { t ) d t = x 2( l + x ) Jo b) X2 í f ( t ) d t ■'O x 2( l + x ) R. 16 2 + 3 V 2 r f W c) I t 2 dt = x 2( l + x ) Jo r X 2 {l + l) R. L R. V 3 6 1 d) f f ( t ) d t = x 12. Dem uestre que si / es continua, entonces J f ( u ) ( x - u ) d u = J ^ J f (t ) d t ^ j d u Sug: considere F(x) = I f (u ) ( x - u ) d u , entonces F '( x ) = I f(u)du. Jo Jo Luego, halle su antiderivada y calcule F ( 0 ) para su constante. 13. A partir del ejercicio anterior, demuestre que du[ Xf ( u ) ( x - u )2du = 2 f i f í f Zf ( t ) d t ) dz Jo •'o lyo Jq J 128 www.FreeLibros.com
  • 136.
    14. H allef ( x ) si = ■ 1 , V x > 0. v i + se n 2* 15. Calcule el valor de las siguientes integrales: a) J x 3 dx b) J (x + l ) 3 dx f 1/2 1 r 2 x c) I i d) ;------- 7 dx Jo V i - x 2 Ji 1 + x INTEGRAL DEFINIDA e) J-i 1+ 1*1 J3 i 5 5 x - 20 (2 - x ) ( x 2 + 1) g) I | co sx| d x h) I se n 2(3 x )d x Jo Jo d x R. 1,336685 ... ln x d x r a! r ° L — i “* ° I 16. Sea / : [ - 6; 6] -» IR una función continua. Si f es im par y I f ( x ) d x = 3, 6 halle J (/ (x ) - 2x) dx. R. - 3 5 17. Para cierta población, suponga que N es una función continua tal que N(x) es el número de personas que alcanzan la edad de x en cualquier año. Esta función se llama función de la tabla de vida. Bajo condiciones apropiadas, la integral J*+n N ( t ) d t da el número esperado de gente en la población que tiene exactamente entre x y x + n años, inclusive. Si N(x) = 3 0 0 V 1 0 0 - x, determine el número de personas que tienen entre 36 y 64 años. R. 5 9 2 0 0 personas 18. Sea una recta tangente a la curva C : y = g ( x ) en el punto P (2 ;3 ). Adem ás, la recta Lx pasa por el punto Q (1 0 ; 7) que no está en la curva C. Si f ( x ) = J J t 2 + 7 d t , h a lle / '(2 ). R. 2 129www.FreeLibros.com
  • 137.
    Teorem a 5.Si / es una función continua en / = [a; b] y si se reemplaza la variable x de la integral por g { t ) (es decir, x = g(t)), donde g: [a;ß] -> / tiene derivada continua en [a; ß], con g ( a ) = a y g ( ß ) = b ; entonces TOPICOS DE CALCULO - VOLUMEN II 2.7 CAMBIO DE VARIABLE EN UNA INTEGRAL DEFINIDA í f ( x ) d x = í f { g ( t j ) - g'(t)dt (17) Ja Ja D e m o stració n ry Sea F (y ) = í f ( x ) d x , y 6 I . Por el Prim er Teorema Fundam ental del Cálculo, se Ja tiene F '{y) = / (y ), V y 6 /. Por la regla de la cadena ó derivada de una función compuesta, tenemos í F í g m ' = F ' i m ) ■s '( t ) = / ( s e o ) •5 '( o Por tanto, F ( g ( t )) es una antiderivada de f ( g ( t ) ) - g ' ( t ) . Por el Segundo Teorem a Fundam ental del Cálculo, se tiene C f ( f i( 0 ) •g ' W d t = [ F ( g m ß = F{g(ß)) - F( g(a)) = F (b ) - F (a ) •^a = í / (x )d x •'a Observación 5. Si la función g [ a ß ] -* [a; b] es tal que g ( ß ) = a y g { a ) = b, por lafórmula (17), se tiene f f ( x ) d x = í f(gCO) ■g'{t)dt Ja J ß f3 x2 E je m p lo 31. Calcule I = I 3 3 dx. J2 (1 + x ) So lu ción Haciendo t = 1 + x 3, se tiene que x = g(t ) = V t - 1 , g'(t) = 3 V ( t - l ) 2 ' g( 9) = 2 y g ( 2 8 ) = 3. D ado que g y g' son continuas en [9; 28], entonces I _ J2 ( 1 + a : 3)3 t _ J9 t3 2j(t —l ) z f 1 f 28 , l r l ]28 - j L - ’28 703 j9 381024 www.FreeLibros.com
  • 138.
    INTEGRAL DEFINIDA Hn lapráctica, no es necesario dar la función g ( t ) explicitamente. Considerando que el lector está habituado a cambiar la variable en una integral indefinida, sólo nos queda decir que para cambiar los límites de integración basta reemplazar la variable original x por los límites de integración en la correspondiente sustitución y así obtener los nuevos límites de integración (que son los valores de la nueva variable). En el ejemplo anterior, procederíamos así: C om o la sustitución es t = 1 + x 3, entonces d t = 3x 2dx. Para x = 2 => t = 9 = a ; para x = 3 = > t = 2 8 = / ? . Por tanto, x 2 dx 1 r 3 3 x 2 dx 1 f 2Bdt 703_ x ¿ dx 1 r 3 3x ¿ dx 1 r 2 ~ J2 ( 1 + x 3)3 ~ 3 J 2 (1 + x 3) 3 = 3 J9 t 3 3 8 1 0 2 4 f i (x^ — 1^dx E je m p lo 32. Calcule el valor de 1 = I --------------- •'1/2 (x2 + l ) V x 4 + 1 So lu ción Antes de efectuar el cam bio de variable, dividim os numerador y denom inador por x 2 ( x z > 0, pues x 6 [1/2; 1]) y luego reemplazam os t = x + 1/x. Entonces _ f 1 ( x2 - l ) d x f 1 ( l - - p ) d x Ji/2(x2 + l ) V x 4 + 1 J i/2 1 | 1 _ r 2 dt i /,ilNl2 - ' s / 2 í V t 2 - 2 V 2 , |f|aresee |— V 2. 5/2 = - ^ ( a r c s e c ( V 2) - aresee^) = - aresee^) V 2 V v 1 2) V 2 Eje m p lo 33. Demuestre que a) Si / es continua en [0; a], entonces I f ( x ) d x = I f ( a - x ) d x . Jo Jo /*d r a. b) Si fe s función par y continua en [-a ; a], entonces I / (x )d x = 2 I f ( x ) dx . j-a Jo c) Si f es función im par y continua en [- a; a], entonces I f ( x ) d x = 0. •'-a 131www.FreeLibros.com
  • 139.
    TÓPICOS DE CÁ LC U LO - V O LU M E N II f" í nI2 d) Si fe s función par y continua, entonces | x / ( c o s x ) d x = n f / (c o sx )d x . ^ 0 J o f n 7r r e) S i/ e s continua, entonces I x f ( s e n x ) d x = - / ( s e nx) dx. -'o 2 J0 Solución a) En la integral J ^ f ( a —x) dx reemplazamos a —x ~ z y dz = - d x . Entonces para x = 0 = * z = a , y para x = a => z = 0. Por tanto, f f ( a - x)dx ~ - f f ( z ) d z = f f ( z ) d z = f f (x ) d x J0 j a j o Jo (La última igualdad es válida porque ia variable z no tiene significado especial) b) f f { x )d x = f f ( x ) d x + f f ( x ) d x ... (a) J - a J - q _________ J q J En la integral / reemplazam os x = - y . Enseguida, utilizam os el hecho de que por ser / par se verifica / ( - y ) = / (y ). 7 = [ / ( x )d x = - f / ( - y ) d y = f f ( y ) d y = f f ( x ) d x ... (/?) J - a J a J q J o Reem plazando (/?) en (a), se obtiene f f ( x ) d x = f f ( x ) dx + f / (x )d x = 2 [ / (x )d x *'-a ^0 ¿O c) Siguiendo el m ism o procedimiento empleado en la parte (b) y utilizando el hecho de que / ( - y ) = - / ( y ) (por ser / impar), se prueba que J - ¡ f { x ) d x - - f f ( x ) d x J - a J q Reem plazando este resultado en (a), se sigue que f f ( x ) d x = 0. J - a d) y e) Ejercicio. E n am bos casos reemplazar x = n —y. E je m p lo 34. Calcule I = [ dx. JQ 1 4" X Solución S i utilizam os la sustitución x = tan 8, tenemos r M n í l + x ) f nl*n(l + x.an0) , r*/4 Jo ~TTx*~ J0 ■ **'« ‘‘' = 1 to(l + ta„«)JÍ www.FreeLibros.com
  • 140.
    rXT/4 IN T EGR A L D E F IN ID A f r M 1 = 1 In l + t a n í------- 6) I dd(aplicando el ejemplo 32 - a) Jo 4 /■n/4 , l - t a n 0 f ^ 4 / 2 , = j0 ln V1 + lT tañfl) = i (íT ia ñ d ) rn¡ 4 /-rt/4 1=1 In2d0- I ln(l+ tanfl)c¡0 Jo ¿o________ __________ , i /■ir/4 7r 7T Por tanto, 2 1 = ln 2 d6 = - l n 2, de donde se concluye que I = — ln 2. Jo 4 8 r Itx s e n x dx E je m p lo 35. Calcule 1 = — —----— . Jq 1 "i eos X So lu ción Teniendo en cuenta que e o s2x = 1 — se n2x, se tiene r n x s e r ¡ x d x í 71 s e n x 1 = ------------— = x -----------dx J0 1 + e o s2* J0 2 - se n 2x sen x Puesto que el integrando es de la form a x / (se n x), donde / (se n x ) = ^ _ ser)2' ~» usando el ejemplo 32-e, obtenemos rn s e n x n f n s e n x 1 = x - --------- - dx = — I ---------- 5- dx J0 2 - se n 2x 2 J0 2 - sen2x 7T [ n Sen X 7T = 2 Í = - 2 [arctan(coS* :'] 0 7T TTr 7T 7Tl 7T2 ’ = - - [a r c t a n (-l) - a rctan (l)] 2 L 4 4J r^/4 < -tt/4 r '■ 2 E je m p lo 36. Calcule J = (x 9 eos x + Vtan x + sen x e t o s I + eos2 x)dx. J - n / 4 So lu ción /•tt/4 r n / 4 J = ] (x 9 eos x + Vtan x + sen x e cos2jc)d x + cos2x dx J — ir/4 J-7I/4 r^ 4 r 'r/41 + eos 2x dx /•TT/4 /-TI j 2 - I co s2x d x = I J —Í t l 4 *'-7 1 r sen 2x i'r/4 1 /7r re + 2 = ü b — L /. = í f e + 1 ) = — 133 www.FreeLibros.com
  • 141.
    E l integrandode es f ( x ) = x 9 eos x + V se n x + sen x e cos2* y es una función impar, pues TÓPICOS DE CÁLCULO - VOLUMEN II / ( - x ) = ( ~ x ) 9 c o s (- x ) + 7 t a n ( - x ) + s e n ( - x ) e cos2( x~> = —x 9 eos x - V tan x - sen x e cos2x = - f ( x ) rn /i Luego, p or el ejemplo 31 - a, se sigue que J i = f ( x ) d x = 0 J-n/4 n + 2 n + 2 P o r tanto, / = 0 H---------- = --------- . 2.8 I N T E G R A C I Ó N P O R P A R T E S E N U N A I N T E G R A L D E F I N I D A Teorem a 6. Si u = u(x) y v = v ( x ) son funciones con derivadas continuas en I = [a; b] , entonces J u d v = [u v ]^ - J v du (1 8 ) D em ostración De la diferencial de un producto se deduce que u d v = d (u v ) - v du. r b r b r b r b Luego, I u d v = I [ d ( u v ) - v d u ] <=> u d v = d ( uv ) - I v du Ja Ja Ja Ja a f *> . r b => u d v = [uv] - v du •'a ® ■'a (Todas estas integrales existen, pues u, v, u ', v ' son continuas) E je m p lo 37. Calcule / = f x 2 lnx 'i So lu ción dx. Haciendo y = ^u = ln x => du = - d x x o , obtenem os A dv = x 2 dx =» v = — 3 x 3 l3 ■ j l n x - Í / ^ c Í A : = ( 9 |n3 - Í |n 1) - [ i ^ 1 26 = 9 ln 3 — - (2 7 — 1) = 9 ln 3 — — 1 3 4www.FreeLibros.com
  • 142.
    E je mp lo 38. Calcule el valor de J = j arctanJ^jx - 1 dx. So lu ción Si z = a r c t a n V V * — 1 => V * = se c2z => x = sec4z y dx = 4 se c4z tan z dz. Para x = 1 => z = 0 y para x = 16 => z = tt/3. Entonces rii/3 } = I z •sec4z tan z dz Jo Para integrar por partes a esta última integral, consideram os f u = z => du — dz -dv = 4 se c 3z •s e c z tan z d z => v = sec4z Entonces f *''3 7 = [z sec4z]o 3 — I sec4z dz (*) Jo j j . r^/3 — (—) (1 6) — I (1 + tan2z)se c2zdz 1Ó7T í tan3z n^ INTEGRAL DEFINIDA •— tan z + 3 3 1Ó7T r- = — - 2 V 3 0 (*) Para integrar sec4z es suficiente considerar que sec2z = 1 + tan2z. 2.9 I N T E G R A C I O N D E F U N C I O N E S D I S C O N T I N U A S D e fin ición 6. Sea /: [a; b] -» IR una función acotada y sea P = {x0lxlt ...,xn} una partición de / = [a; b]. Sean clt c2,...,cn elementos de /, de tal m anera que Cj £ Ij Xyj , j 1/2, .../TI. L a sum a n S ( / , P ) = £ / ( c , ) A ; x ;= i se denom ina S u m a de R ie m a n n de f con respecto a la partición P. Sean m ; = i n f { f ( x ) / x £ /,} y M¡ - su p { f ( x ) / x e 1¡}. Entonces rtij < f ( c j ) < Mj, j = 1,2, ...,n y m ás aún S ( / , P ) < S ( / , P ) < S ( / , P ) La sum a de Riem ann es un tipo de sum a que no necesariamente es una sum a inferior o una sum a superior, sino m ás bien está com prendida entre ellas. 13 5www.FreeLibros.com
  • 143.
    D e finición 7. Se dice que S(f, P ) tiene límite J e R cuando ||P|| —» 0 y se escribe 5 ( / , P ) = / si dado e > 0 (arbitrario), existe 5 > 0 tal que para toda partición P, con 0 < ||P|| < 8 , y para cualquier c¡ se tiene m , P ) - ) < £ TÓPICOS DE CÁLCULO - VOLUMEN II T eorem a 7 (de D a rb o u x). Si / es una función acotada en /, una condición necesaria y suficiente para que f sea integrable en / es que exista / G IR tal que Jim 5 ( / , P ) = / ; ( j = j j ( x ) d x ^ D e m o stració n (Ejercicio). T eorem a 8. Sean f , g ■■l = [a ;b ] -» M dos funciones tales que f ( x ) = g(x), V x E I, excepto para un número finito de puntos. S i g es integrable en /, entonces / es integrable en ¡ y se tiene r b r b í f ( x ) dx = í g(x)dx (1 9) Ja Ja D e m o stració n S i g es integrable en / y g { x ) d x = J, por el teorema de Darboux, dado e > 0, existe 8X > 0 tal que para todo P, con 0 < ||P|| < 5 1; y V c¡ E l¡ se tiene S { g , P ) - J < £- Por otro lado, si A = {x e / / f ( x ) * g ( x ) } posee r puntos (r finito) y sea L = s u p { f ( x ) - fl(x)| / x E /}, para toda partición P, con ||P|| < , se tiene S ( f . P ) - S ( g , P ) l = < r L P - 2rL 2 Luego, si 8 = mín|<51( se tiene IS(f. P ) - ] < m , P ) ~ S(g, P ) |+ 15(5 ,P ) - J | < | 1 = £ E n resumen, para toda partición P, con ||P|| < 5, y V c¡ E / se verifica S ( f , P ) - J < E Por tanto, por el teorema de Darboux, / es integrable en / y f f ( x ) d x = í g(x)dx J a J a 1 3 6www.FreeLibros.com
  • 144.
    I roi cma 9. Si / es continua en / = [a;b] excepto en ios puntos a ó b, en los mi.îles existen lim< / ( x ) = / ( a + ) y lim f ( x ) = f ( b ~ ) (finitos), e n to n c es f es j:-*b~ iiiii-i'.iahle en / y existe una función F, con F'(x) = / (x ), V x E (a; b), tal que ■b f ( x ) d x = F { b ) - F ( a ) IN T EG R A L D E F IN ID A f■Jn Dem ostración. Ejercicio para c! lector. D efinición 8 (F u n c ió n seccionalm ente continua en l ~ [a ;¿]). Se dice que la lim dón /: / -> 1 es seccionalmente continua en / cuando / es continua para todo ' / excepto para un número finito de puntos c¡ , j = 1 , 2 m , para los i nales existe f ( c ~ ) = lim_ f ( x ) y f ( c f ) = l i m / ( * ) x ' * ci x ~,cj ‘.i i) - a a c¡ = b, debe existir / ( a + ) o f ( b ~ ) respectivamente. r O K O L A R I O . Si / es seccionaimente continua en / = [a;b], entonces / es mu-arable en /. í - 2 , si - 2 < x < - 1 I jcm plo 39. Sea la función / ( x ) - ] x 3, si - 1 < x < 1 . ( 2 , si 1 < x < 2 Sr pide: .i) I race la gráfica de /. Ii) ;,/ es integrable en [— 2 ; 2 ]? i ) Calcule I f(x)dx. J-2 il) Halle F ( x ) = f f ( t ) d t , x £ [ - 2; 2] y trace su gráfica. J-2 i ) Determine el conjunto donde F es derivable y halle F '(x ). Solución ,i t I a gráfica de / se muestra en la Fig. 2.15. I>) / es integrable en [— 2 ; 2]porque / es seccionalmente continua en [— 2 ; 2] (/' es discontinua en x = - 1 , en x = 1 y en x = 2 ;pero en estos puntos existen los límites laterales. E n x = 2 existe el límite lateralporizquierda). i ) í f ( x) dx = f f ( x ) dx +í f ( x) dx + f f ( x ) dx J -2 ■J-2 J-l •'1 = í ( - 2)d x + í x 3d x + í 2 d x = - 2 + 0 + 2 = 0 J-2 ■'-1 137www.FreeLibros.com
  • 145.
    TOPICOS D EC A L C U L O - V O LU M E N II d) Si x e [-2 ; -1 > => F (x ) = f ( - 2 )dt = - 2 x - 4 J-2 Si x E [—1,1] =* F (x ) = J f ( t ) d t = J ( - 2 )dt + J t Si x E (1; 2) =* F(x) = J f ( t ) d t —J (— 2)dt + J t 3 dt + J 2 dt = 2x —4 t 3 dt = ■ x 4 9 T _ 4 í - 2 x - 4 , - 2 < x < - 1 Por tanto, F ( x ) = | (x 4 - 9 ) / 4 , - 1 < x < 1 2 x - 4 , 1 < x < 2 La gráfica de F se muestra en la Fig. 2.16. í —2 , - 2 < x < —1 f) F'(x) = x 3 , — 1 < x < 1 i 2 , 1 < x < 2 Luego, F es derivable en [— 2; 2) excepto en los puntos x = —1 y x = 1. Fig. 2.15 F(x) = f 2te~cZ Jo d t , x e R.E je m p lo 40. Trace la gráfica de Solución i) D(F) = E ii) Intersecciones con el eje x: P ( 0; 0), pues F ( 0) = 0. iii) F '( x ) = 2 x e ~ * 2. E l único punto crítico es x = 0 y se tiene Signo de F'(x) < - + Luego, F es creciente en (0; +oo) y F es decreciente en (— oo; 0>. E l valor m ínim o relativo es F ( 0 ) = 0. 138 www.FreeLibros.com
  • 146.
    iv) F"(x) =2 e~x l - 2 x 2). L o s puntos críticos de inflexión son x = V 2 / 2 y x = - V 2 / 2 . Signo de F”(x) •<------- °-----------1-------------------- 1------------------► - V 2/2 V 2/2 Por tanto, F es cóncava hacia abajo en ( - 00; — ¡2/2) U (V 2 / 2; + 00) y cóncava hacia arriba en (~ V 2 / 2 ; V 2/2). Las abscisas de los puntos de inflexión de F son x = V 2 / 2 y x = —V 2/2. v) Integrando se obtiene que F(x) = 1 - e “* por lo que y = 1 es asíntota horizontal. L a gráfica de F se muestra en la fig. 2.17. INTEGRAL DEFINIDA F iq . 2.17 E J E R C I C I O S I. Calcule el valor de las siguientes integrales: r° dx 71 f 2 dx 1 1 J_14x2 + 8x + 8 16 J1 x2 - 4x - 5 6*n2 dx ti r 1 3 3. ■ ■■ R. - 4. x 8e - x Jo V2 - x2 4 J0 2 5 dx R. - - — 3 3e r * 1 r /3 7 5. I senh x sen x d x /?. - s e n h ír '6 . I tan x dx R. 0 -'o 2 J_„/3 f ax s/2dx 57ra 3 f 2 x 5 dx J0 ‘~ Í6 ~ 8 ' i ( 1 + x 3) 3/2 9 139 www.FreeLibros.com
  • 147.
    > ■ /; dx TOPICOSD E C A L C U L O - V O LU M E N II 1023 10. f x 8( l — x 3) 5/4 dx ■>1 11. x 6(65 - X 6) 1/6 X dx . f x 4( l — x 2)3/2 dx Jo f V v r Jq f : c - , f ln yjl — x Jo 1Vi - x 13. I —= d x J Z ^ x x e x (1+ x ) 2 d ■x dx f 1/2 1 + x 16-L J — dx1 / 2 - ¡■n/3 7- J 17. I c o tx (ln se n x )d x 18. í 11/3 V ía n x dx „/ó Vtan x + V c o tx tt/4/•7T/4 19. I |tan5x|dx J-7T/4 r 2* 20. I |senx — cosx|d x Ja íJo x sen x 21. ---------- — d x 22. 1 + co s2x 4'X + 1 x + 6 dx rn/: 23. ‘'ir/ó 11/3 V s e c x dx V se c x + V c sc x fi. i?. - 12300 128 5967 2n R’ "256 71 R' 4 R . y ¡ 2 - ln ( l + V 2) e - 2 fi. fi. ln 2 ----- 2 fi. — 4- ln 2 2 fi. 4 V 2 7T T fi. 5 + 5 ln- fi. 140www.FreeLibros.com
  • 148.
    cn eos xf ^ 2sen x c o sx Si I 7— — --; 7 dx = A, calcule el valor de la integral --------------- dx en h (x + 2 )2 J0 x + 1 función de A. R - ( - 4 ------ ------- 2 2 n + 2 ) f n c o s x d x [2 c o sx f 71e o sx dx Sugerencia: exprese ¿ J, Luego, calcule cada una de las dos integrales usando integración por partes y finalmente haga el cam bio de variable x = 2 u. f 1 e x III. Si k = I dx, exprese los valores de las siguientes integrales en función J q X T i- de k. '• l - , 7 ^ T T dx ~*ce~a <Sug: u = a —x — 1) IN T EG R A L D E FIN ID A ? f 1 x e x¿ J0 x2 + 1 s. f - Jo I dx e x 1 dx /?. k + 1 - - e (x + 1 )2 2 4. í e * l n ( l + x ) fi. e l n 2 - f c Jo IV . Ejercicios diversos. 1. C alcular/(O ) sabiendo que / ( n) = 2 y f [/(x) + f"( x)] senx dx = 5. Jo R. 3 [ bs enx cosa eos b f b c o sx 2. Pruebe que ------- dx = -----------------— + — -- d x . Ja x a b Ja x 2 Í 12x — 12 , si x < 1 , . f 2* 3. Si / (x ) = _ s i x > 1 : 3 (1 ) = ^ m d t , X E R . Calcule el valor de f g( x)dx. R. 3 6 9 7 / 4 2 4. Si n es cualquier núm ero natural, calcule el valor de r^ se n (n + j ) x J x sen 2 -dx /?. 7T 141www.FreeLibros.com
  • 149.
    TOPICOS DE CALCULO- VOLUMEN II 5. Calcule el valor de las siguientes integrales: -1' 2 f l + X a) Jcos(sen x ) In — - J + 3x + 4 r n / 2 b) I x sen x dx -'-71/2 çn/2 c) I x 81c o s(x 9) dx J-ji/2 /•tt/4 d) I [x14se n (x 7)] dx J-nj dx TI¡A e) f [(x 5 + x 3 + x ) V l + x 4 + 3j dx J - 7 R. 4 R. 2 R. 0 R. 12 6 . Sea /: 1 una función continua. Si se sabe que í f ( t ) d t = 6 , •/-i n calcule f / ( 2x — 2) dx. J — 4 7. Sea / ( x ) = si 0 < x < 2 - 1 , si 2 < x < 3 . x - 3 , s i 3 < x < 4 a) Esboce la gráfica de /. b) Calcule JQ4 / (x )d x . c) Calcule F ( x ) = f * f ( t ) d t , x G [0;4], d) Trace la gráfica de F. e) Determ ine en qué puntos F es derivable. 8 . Sea F (x ) f * e‘2 = ^------ ? d í- J0 1 + t2 a) Pruebe que F es función impar. b) Pruebe que F ( x ) > x ,V x 6 i j = [0; +oo). 9. Calcule el valor de çtt/3 L * 1 Veos X n/6 V se n x + V c o s x dx. 10. La ecuación param étrica de una curva es H h ; co sz dz sen z , t > 1. Halle -dz d y dx ' www.FreeLibros.com
  • 150.
    INTEGRAL DEFINIDA 11. Lafunción / y su inversa / _1 son continuas y / (O ) = 0. Pruebe que -5 r f ( 5) / ( x ) d x + f ~ 1( t) d t = 5 / ( 5 ) -'o •'o dx 12. Calcule el valor de r 3 13. Calcule el valor de -3 r i (2x 2 + l)^/x2T í ' x 2 - 4 f A - T 14. Calcule el valor de I 7-^— 7-71dx. x 2 - 2 5 3 x 2 _ 4 3 I* 2 - 1 6 1 dx. 15. Sea / una función continua tal que / '( x ) < 0 en [1; 4]. Si / ( 1) = —2 , / ( 4 ) = —6 y J14 / ( x ) d x = —10 , calcule el valor de f f ~ 1( x)dx. R. 12 J-f,J-6 x < 2 16. Si / ( x ) = j ’^2 ^ X < ° , calcule J [/ (x) - x]dx. -1 + x 3 x > 0 r271 17. Calcule I (|sen x| + x)dx. •'O { e2- l 18. Calcule f [4 - 2 ln (x + 1)] dx. R.'2 (e 2 - 3) •'O f5|x3 - ■'-1 19. Calcule |x3 - 4 x | d x . d x 15?r + 44 Calcule — =— — 7 . R. (x 2 + l ) 4 96 / * sen(t — l ) 2 dt 1 .’.l. Calcule lim -------—-------— ------ . *-1 (1 — x ) 3 cn/2 dx n Calcule ------- ---------p . R. — J0 1 + f t a n x ] ^ 4 Sugerencia: hacer u = - —x.o 2 143www.FreeLibros.com
  • 151.
    TÓPICOS DE CÁ LC U LO - V O LU M E N II Para calcular una integral definida por la fórmula de N ew ton-Leibnitz se necesita hallar una antiderivada del integrando; pero en el capítulo I hem os m encionado que no toda función continua tiene una antiderivada expresada mediante funciones elementales, por lo que es necesario los métodos aproxim ados para su cálculo. En esta sección tendremos en cuenta que, por el teorema de Darboux, I f ( x ) d x = ||Hmo ^ / ( t , ) A ¿ x , donde P = {x 0, x 1( “ i= i es una partición de [a; b] , A ¡x = x¡ —x ^ y t¡ 6 [xi_1; xi], 2.10.1 A P R O X I M A C I Ó N P O R R E C T Á N G U L O S Sea /: [a; b] -> E una función continua. Sea P = [x0 = a , x 1, x 2, ...,xn = b} una partición de [a; b] de tal manera que el intervalo [a; b] quede dividido en n partes iguales. L a longitud de cada uno de los subintervalos es b - a Ax = -------- n S ea y¿ = /(* ,-), i = 0 , 1 , 2 ,..., n. Cada una de las sum as y 0Ax + y xAx + y 2Ax + ... + y n. xAx y xAx + y 2A x + y 3A x + ... + y nA x expresa aproximadamente la integral í f ( x ) d x Luego, [ f ( x ) d x s A x ( y 0 + y ! + y 2 + + y,,^!) (2 0 ) Ja í f ( x ) d x = Ax ( y x + y 2 + y 3 + - + yn ) ( 2 1 ) Ja Teniendo en cuenta que y kAx es el área algebraica del rectángulo debase A x y altura y k, en la figura 2.18 se muestra el polígono rectangular cuya áreaalgebraica es la aproxim ación del valor de /a&/ ( x ) d x usando la fórm ula 19. E l error que se comete al calcular el valor de la integral por la fórm ula de los rectángulos (19) ó (20) es m enor cuanto m ayor es el número n. 2.10 CÁLCULO APROXIMADO DE LAS INTEGRALES DEFINIDAS 144 www.FreeLibros.com
  • 152.
    IN T EGR A L D E FIN ID A I n este caso, se usan trapecios rectangulares en lugar de los rectángulos tunsiderados en el ítem anterior. Sean los puntos P0(x0; y 0), Pi(x1; y 1), ... , /;,(.Y„;y„), donde x0, xn , y 0, yi,..., y n han sido definidos en el ítem anterior. Consideram os los n trapecios rectangulares 71,7 2l ...,7n que están limitados por las cuerdas , P1P2, Pn-í^n respectivamente. C o m o las .ucas algebraicas de estos trapecios son, respectivamente, ¡guales a yo + y i A y i + y z . y n-1 + yn . — -— Ax , — -— Ax , ... , ------ ------- Ax ; entonces 2.10.2 A PR O X IM A CIO N PO R T R A PEC IO S b y ° + y i a , y i + y 2 A , , y* -i + y n .f { x ) d x - — - — A x H------- — A x H— H-------- ------ A x a ¿ ¿ ¿ f ( x ) d x = ¡ ^ -^ 1 + y 1 + y z +■■■ + y n- l^Ax (22) l,n la figura 2.19 se muestra el polígono rectangular cuya área algebraica es la aproxim ación del valor de f ( x ) d x usando la fórm ula 2 2 . Igual que en el caso anterior, cuanto m ayor es el número n, es mejor la aproxim ación al valor de la integral. Fig. 2.19 145www.FreeLibros.com
  • 153.
    P rop osición 5. Sea g( x ) = A x 2 + Bx + C , donde x 6 [a; b ] , y 0 = g ( a ) , ( a + b yi = s ( — 2~ J ' y 2 = 9 Entonces A x , b — a TÓPICOS D E C Á L C U L O - V O LU M E N II 2.10.3 APROXIMACIÓN POR PARÁBOLAS (FÓRMULA DE SIMPSON) /* Ax I G4x2 + B x + C )d x = — [y0 + 4yt + y 2] , donde Ax Ja ^ D em ostración Por el segundo Teorem a Fundamental del Cálculo, rb (.Ax2 + B x + C )d x = (23) Ax3 Bx2 ~ T + ~ + C * Luego de efectuar las operaciones indicadas se demuestra que fb Ax j (Ax2 + B x + C)dx = — [y2 + 4 y 1 + y 0]. Considerando esta proposición, si la parábola y = A x 2 + Bx + C pasa por los puntos /a + b P0(a-,y0) , Pi 2~ ¡ y i ) ■ p2(b;y2) . entonces el área algebraica bajo la parábola está dada por (23). Sea f una función continua en [a; b]. Para hallar una aproxim ación de f ( x ) d x , la idea básica es aproxim ar la gráfica de f por arcos de parábolas. Para dividim os el intervalo [a; b] en n partes iguales, donde n es par. Sean {x 0,x 1,x 2, ...,xn } los extremos de los subintervalos, y y¡ = / (x ¡), i = 1,2 , ...,n. E l área algebraica bajo la parábola que pasa por los puntos (x 0; y 0), ( x ^ y - J Y i x2; y 2) está dado por ( y 0+ 4 y 1 + y 2)A x/3 . A s í m ism o, el área algebraica bajo la parábola que pasa por los puntos (x 2; y 2), (x 3; y 3) y (x 4; y 4) , está dado por (y 2 + 4 y 3 + y 4)A x / 3 y así sucesivamente, hasta llegar al área algebraica bajo la parábola que pasa por los puntos (x n _2; y n_ 2) ' ( X i - n 'y n - i X (x n ;y„ ) está dado por (y n- 2 + 4 y n _! + y n)A x/3 . Por tanto, f b Ax „ A x , . Ax J f{x)dx = — (y0 + 4 y x + y 2) + — (y2 + 4 y3 + y4) + + — (y„_2 + 4 yn_1 + yn) f ^ Ax J f(x)dx s — [(y0 + yn) + 2 (y2 + y4 + ... + y n_2) + 4 (y t + y 3 + ... + y n- i)] (24) Esta fórm ula es llamada fó rm u la de Sim p son . 146www.FreeLibros.com
  • 154.
    INTEGRAL DEFINIDA Ejem plo41. Para n = 10, calcule por aproxim ación el valor de "1 4 dxf 1 4 dx J0 1 + X 2 Solución Si n = 16, entonces Ax - (1 - 0 )/ 1 0 = 0,1. x í f ( x _ 4 x i / (*« )' C 1 + x 2 o il o X O (i1 4*1 O1 X (y = 0 ,6 y 6 = 2 ,9 4 1 1 7 6 4 7 x i = 0,1 y x = 3 ,9 6 0 3 9 6 0 4 1! o Vj y 7 = 2 ,6 8 4 5 6 3 7 5 x 2 = 0,2 y 2 = 3 ,8 4 6 1 5 3 8 4 *co II O 00 y 8 = 2 ,4 3 9 0 2 4 3 9 x3 = 0.3 y 3 = 3 ,6 6 9 7 2 4 7 7 x9 - 0,9 y 9 = 2 ,2 0 9 9 4 4 7 5 x4 = 0,4 y 4 = 3 ,4 4 8 2 7 5 8 6 T“l II O * o II NJ O x 5 = 0,5 ys = 3,2 Por la fórm ula (20) (aproxim ación por rectángulos), í 1 4 7 T T T dx = 0, í [y0 + Vi + y 2 + ■■■+ y 9] = 3 ,2 3 9 9 2 5 9 8 9 -'o + x Por la fórm ula (21) (aproxim ación por rectángulos), -i 4 f 4 i Í T ^ dX - 0,1 [}>1 + y2 + ■■■+ y 9 + y io ] = 3 ,0 3 9 9 2 5 9 8 9 Por la fórm ula (22) (aproxim ación por trapecios), 4 --dx = 0,1 í r = 3 ,1 3 9 9 2 5 9 8 9 + x 2 Por la fórm ula (23) (aproxim ación por parábolas o método de Sim pson), f 1 4 0,1 r J i + x z dx ~~3~'-y° + y i ° + 4(-y i + y 3 + y s + y ? + y ^ + + 2 ( y 2 + y 4 + y 6 + y 8)] = 3 ,1 4 1 5 9 2 6 1 4 Este últim o valor com parado con el valor real de la integral "1 4 dx = n = 3,14159265.. í0 1 + * 2 es exacto hasta la séptima cifra decimal. 1 4 7www.FreeLibros.com
  • 155.
    Calcule los valoresaproxim ados de las siguientes integrales: f ^ dx 1. I — , por la fórm ula de los trapecios y la de Sim pson (n = 2). R. 1,6182 y 1,6098 respectivamente r 2 dx 2. — , p or la fórm ula de los trapecios y la de Sim pson (n = 10). 'i x R. 0,69377 y 0,69315 respectivamente 3 . í V 1 —x } d x , p or la fórm ula de los trapecios (n = 6). ■'o R. 0,8109 TOPICOS DE CALCULO - VOLUMEN II EJERCICIOS f 3 dx 4. , p or la fórm ula de Sim pson (n = 4). Ji 2 x - l R. 0,8111 www.FreeLibros.com
  • 156.
    3ti* <......... 1- ......................• " ^ INTEGRALES IMPROPIAS En la definición de la integral definida í f { x ) d x , fueron establecidas ias dos Ja restricciones siguientes: I o El intervalo / = [a-,b] es acotado 2 o / es acotada en /D Ahora trataremos de librarnos de estas restricciones, extendiendo el concepto de integral definida al caso en donde el intervalo de integración es infinito o el caso en donde la función del integrando / presenta discontinuidad infinita en [a; b]. Las integrales que tienen estas características se llaman integrales im p ro p ia s y son de dos tipos: T ip o 1: Integrales im propias con límites infinitos. T ip o 2: Integrales im propias con límites finitos (con discontinuidades infinitas). 3.1 I N T E G R A L E S I M P R O P I A S C O N L Í M I T E S I N F I N I T O S D efinición 1. Sea / :/ = [a ;+ o o ) -* R una función continua en el intervalo /. La integral impropia de / de a a +co se denota y se define como í f ( x ) d x = lím f f ( x ) d x Ja t~’+' Ja r+CO Se dice que la integral im propia I f {x)dx c o n v e rg e cuando el límite existe. •'a Si el límite no existe o es infinito, se dice que la integral im propia diverge. Observación 1. Como vimos en el capítulo anterior, si f (x) > 0 , la integral definida I f ( x) dx representa el área de la región plana limitada por la gráfica de f , el eje x y las rectas verticales x = a y x = t. Luego, cuando Ia integral impropia es convergente podemos interpretar que el valor de la integra! es el área de la región plana infinita que se encuentra a la derecha de la recta x = a y está comprendida entre la gráfica de f y el eje x (Fig. 3.1). www.FreeLibros.com
  • 157.
    TÓPICOS DF CA I C U I.O - VOI I'M F N II Fig. 3.1 Fig. 3.2 D efinición 2. Sea /: / = (— °°;b] -» R una función continua en el intervalo /. La integral im propia de / de — oo a a se escribe y se define com o " b r b í f ( x ) = l‘m í f { x ) d x J—00 t-»-00 J Si este límite existe, se dice que ¡a integral impropia es convergente; en caso contrario se dice que es divergente. Por otro lado, si f ( x ) > 0, V x e / y la integral im propia I f { x ) d x converge, j — 00 entonces elvalor de la integralrepresenta el área de la región plana infinita ubicada a izquierdade la recta x = b y está limitada por la gráfica de. / y el eje x (Fig. 3.2). D efinición 3. Sea /: E -* K una función continua en el intervalo {-o o ;+ c o }. La integral im propia de f de — oo a + co se escribe com o r + 00 f b r + co I f ( x ) dx = I f ( x ) dx + I f ( x ) dx J — 00 J —OO J b donde b es cualquier número real. ,.+ 0 0 r b La integral im propia f ( x ) d x es c o n v e rg e n te si tanto I f ( x ) d x como J —00 —00 í / (x ) dx son convergentes, y es d iv e rg e n te si alguna de las integrales impropias del lado derecho diverge. E je m p lo 1. Determ ine si la integral | (x - 2) exdx converge o diverge. J-00 Solución En esta integral se aplica la integración por partes con u = x — 2 y d v = e xdx. 150www.FreeLibros.com
  • 158.
    INTEGRALES IMPROPIAS De ladefinición de la integral impropia, se tiene [ (x - 2 ) e xdx = lim f (x - 2) e xdx = lim [(x - 2 ) e x- e x]2 ■Leo t-f-CO Jt t->-CO t = lim [ - e 2 - (t - 2 ) e t + e c] = - e z - lim (t - 2 ) e c t —*—oo El últim o límite es de la form a 0. Aplicando la R egla de L ’Hópital, se obtiene 0 t - 2 1 lim (t - 2) e c = lim — — = lim ----- t-*—oo t -+—co Q 1 t-» -c o —Q~ Por lo tanto, concluim os que r 2 (x - 2) e xdx = - e 2 fJ — ( En conclusión, la integral im propia es convergente y converge a — e 2. r+°° ^ _j_ 2X E je m p lo 2. Determ ine si la integral —— — — - d x converge o diverge. x "f- 3x 5 So lu ción +0° x 2 4- 2x i x 3 4- 3 x 2 4- 5 dx i r +0 lim - t->+cc 3 J1 3x2 + 6x 1 t d * = x lim [ln x 3 + 3 x 2 + 5|] x 3 + 3x2 + 5 3 t-*+oo J1 1 1 — lim [ln|t 3 4- 3 t2 4- 5| - ln 9] = ~ ( + o o ) = + o o 3 t-»°° 3 Por tanto, la integral im propia dada diverge. r+ CO E je m p lo 3. Calcule -------- rd x . L o o 1 + X 2 Solución Eligiendo b = 0 , se obtiene r +0° dx _ r° d x r +co J_00 1 + X 2 ~ J_!x¡1 + X 2 + Jg 1 ' r° dx f b dx = lim -------7 + lim ------- 7 a->-oo J 1 + X 2 b-*+oo J 1 + x 2 dx + x 2 .y = 1+ x2 Fig. 3.30 b = lim [arctan x] 4- lim [arctan x] a-> -°O a b-*+co o = lim [arctan(a)] 4- lim [arctan(b)] = - ( — rr/2) 4- n/ 2 = n a->-co ö-»+oo [ +°° dx Por lo tanto, la integral im propia I ------- - es convergente y converge a n J-oo i + x l 1 En la Fig. 3.3 se m ue stra la gräfica de f ( x ) = + x 2 ■ 151www.FreeLibros.com
  • 159.
    TÓPICOS DE CÁ LC U LO - V O LU M E N II f ax E je m p lo 4. M uestre que la integral I — converge si p > 1 y diverge si p < 1. J x^ f cdx _ J i xp ~ —p + 1 Solución Para p 1, se tiene que Luego, C+codx f a) Si p > 1, — = lim XP t^ +QO y la integral considerada es convergente. /•+cod x r Édx t 1'? b) Si p < 1, I— = lim — = lim Jjx p + x p +° y la integral considerada es divergente. rt dx — = lim XP Í-.+CO 1 (1 - P ) t p -1 1 - p . p - 1 1 - p 1 — p = : 4-00 c) f +” dx r £dx Si p = 1 , I— - = lim I — = lim [ln Jj XP t->+co X t-*+00 y así la integral dada es divergente. t] = + C En resumen. ■/; xP es convergente si p > 1 y divergente si p < 1. 3.2 I N T E G R A L E S I M P R O P I A S C O N L Í M I T E S F I N I T O S D efinición 4. Sea /: I-» R (donde I = [a; ó » una función continua en / y lim / ( x ) = co. La integral im p ro p ia de / de a a b se define com o x-*b f f ( x ) d x = lim í / ( x ) d x Ja t-*»' Ja Si ellímite existe, se dice que laintegral im propia es convergente; encaso contrario se dice que es divergente. L a definición dada también es equivalente a r b r b - E I f { x ) d x = lim I / ( x ) dx Ja E" 0+ Ja Si/ (x ) > O, V x £ [a ; b ], y la integralim propia I/ (x ) d x esconvergente, el valor de esta integral representa el área de la región infinita lim itada por la gráfica de /, el eje x y las rectas x = a A x = b (Fig. 3.4). 152www.FreeLibros.com
  • 160.
    INTEGRALES IMPROPIAS a t Fig.3.5 D efinición 5. Sea /: / -* E (donde / = (a; b]) una función continua en / y Jim / (x ) = oo . La integral im propia de / de a a b se escribe com o f f ( x ) d x = lim í / (x )d x Ja a A Si el límite existe, se dice que la integral im propia es convergente; en caso contrario se dice que es divergente. La definición dada también es equivalente a r b r b I f ( x ) d x = lim I f ( x ) d x Ja e~>0 Ja+e Si / (x ) > O, V x e [a; ¿] y la integral im propia I / (x ) dx es convergente, el valor de esta integral representa el área de la región infinita limitada por la gráfica de /, el eje x y las rectas x = a A x = b (Fig. 3.5). Definición 6. Sea f: I -» E (donde / = [a; £>]) una función continua en /, excepto en algún punto d G (a; b) en donde lim / (x ) = o o ó lim / ( x ) = oo. x-*d+ Entonces se define f f (x ) d x = í f ( x ) d x + í / (x )d x •'a •'a Jd r b f d r b l.a integral im propia I f(x)dx es convergente si tanto I f(x)dx com o I f(x)dx ja 'a Jd son convergentes, y es divergente si alguna de las integrales im propias del lado derecho diverge. 153 www.FreeLibros.com
  • 161.
    Observación 2. Sila función f definida en (a; b) (a puede ser —oo y b puede ser + 00) tiene dentro del intervalo (a; b) un número finito de puntos de discontinuidad infinita c1(c2, ....,cn , entonces la integral de la función f en (a; b) se define como f f ( x ) dx = f f ( x ) d x + f f ( x ) d x + . . . + f f ( x ) dx •'a *a *Cx cn -i siempre que cada una de las integrales impropias del segundo miembro sean convergentes. Si por lo menos una de las integrales diverge, entonces f b I f ( x ) dx también diverge Ja f 2 dx E je m p lo 5. Determine, si existe, I — J1 V x - 1 Solución 1 La función / ( * ) = — .- es continua en (1; 2] y lim f ( x ) = + 00. Luego, / = [ = lim í = lim Í2V x - 1 ]2 = lim Í2 - 2V t - 1 1 = 2 Por lo tanto, la integral im propia / es convergente y converge a 2. f 1dx E je m p lo 6 . M uestre que la integral I — converge si 0 < p < 1 y diverge si Jq x p > 1. So lu ción a) Para 0 < p < 1, nos queda TOPICOS DE CALCULO - VOLUMEN II [ v d x f 1 dx — = lirn —- = lim J0 xP t-*o+Jt x p t->o+ t i - P 1 - p 1 - p y la integral considerada es convergente. 1 - p f * dx f * dx b) Parap = 1 , I — = lirn — = lim ( - ln t) = +00 J0 x t-*o+ x t-o+ y la integral dada es divergente. [ ' d x f 1dx 11 c) Parap > 1 , I — = lim I — = lim J0 x pt-»o*Jt xP t-o+( p - l ) t P - 1 p - 1 +00 y la integral es divergente. www.FreeLibros.com
  • 162.
    INTEGRALES IMPROPIAS /■*/« Ejemplo 7.Calcule, si existe, la integral I cot 9 d.6. ■'-fr/4 So lu ción Se observa que la función / (fl) = cot 6 = tiene discontinuidad infinita en sen 8 9 = 0. A si, la integral dada se escribe como r*r/ 4 r 0 rít/ 4 I cot 8 d.8 = i c o t 9 d8 + cot 8 d8 J - n/4 J-n /4 Jo Puesto que la integral í cot 8 dd = lim í cot 8 d8 - lim [ln|sen 0 |] I l M J —n / 4 e - 'O + J - n / 4 ^ 0+ ' - J[im+ [ln|-sen(e)| - ln ( V 2 / 2 )] = -o o es divergente, entonces la integral dada también es divergente r o e i/x Ejemplo 8. Calcule I — j~dx (si existe). J x So lu ción C La función f ( x ) = — tiene discontinuidad infinita en x = 0. Entonces, usando el x método de integración por partes, se obtiene r0 gl/X f - £ p i/x r -1 ' ■ - 1 ■ - [ei / * _ _ ei/*l X 2 r e f ~ £e 1/x r — z -d x = lim I — j - d x = lim e J_! Ï 3. £->0+J_! X3 £->0+1 — lim + - e _1/£ - 2 e ' £-*0+ L £ e _1/£ 0 NOTA: El limite Um+ — -— es de la form a - . Aplicando la Régla de L’Hôpital, résulta e -1/£ 7 - l / e 2 î lim ,--------= lim — T7- = l i m -------------r-4 = 0 £-♦0 i — u n i — t t = n m -------------2—* ■ + e £-*o+ e1'* £-*0+ei/£^_ +00 dx Ejemplo 9. Calcule, si existe, I J - c o ¿ ) Solución La función / (x ) = — — — tiene discontinuidad infinita en x = 0 y x = 2. x{x - 2) 3 E ligiend o los puntos * = - l , x = l y i = 3 , la integral dada se escribe 155 www.FreeLibros.com
  • 163.
    TOPICOS DE CALCULO- VOLUMEN II r +" dx _ r -1 dx r° dx r 1 dx r 2 dx J_M x ( x - 2 ) J_m x ( x - 2) + J_t x (x - 2 ) + J0 x(x - 2 ) + Jx x(x - 2) J, x(x - 2) J3 ’3 dx ^ f + ” d x i2 *(* - 2) J 3 x(x - 2) Puesto que la integral lim t->0- rt d t J-i 0 ~ 1) 2 _ lim rl 2 ln t - 2 t - = lim 1 2 ln x - 2 -ln 3 = 4-00 dx es divergente, entonces la integral I —-------— es divergente. J —oo X(.X — ¿ ) Eje m plo 10. Determine el valor de n para el cual la integral im propia -+ » / « 3X x [ ( —J, Vx + 1 dx 2 x 2 + n) es convergente. Adem ás, calcule la integral para dicho valor de n. So lu ción A l aplicar la definición de la integral impropia, se tiene f +co / n 3 x n 3 x l V ÍT Í " 2x 2 + n) dX ~ I t n ~ 2x 2 + n ) dx lim t-*+ 00 ln (t + l ) n ln - 2n C om o (2 t 2 + n ) 3/4 (2 + n ) 3/4J ( t + l ) n( f + 1) n lim =--------T77 = lim .....— -------------------------------- t^+co ( 2 í 2 + n ) 3/4 V 8 Í 6 + 12n t 4 + 6 n 2t 2 + n 3 3 3 entonces este lím ite existe cu an d o n = - ó n < - a) Si n = - , lim 2 t-»+oo b) Si n < - , lim 2 t —*+oo ln 2 5/2 ( t + i r i - ' - i — 3 (2 t 2 + ±)3/y ( 2 -f-|)3/4; 3 7 3 = 7 ln 7 _ o ln24 4 2 , (t + 1 )" , 2" ln — ------- TT7T - ln - (2 t 2 + n ) 3/4 (2 + n ) 3/4 3 3 7 3 Por tanto, el valor de n es - y d valor de la integral es - ln — — - ln 2. www.FreeLibros.com
  • 164.
    Determ ine silas siguientes integrales son convergentes o divergentes. Si es convergente, calcule su valor. INTEGRALES IMPROPIAS EJERCICIOS r +00 1. I sen x dx í í r +00 3- I e ~* dx R. i J o f +c° 4. I xe x dx R' i J—03 r+OO . 2- 1 P « * 5 6 . r * JO Ve* r +0° d x J-co 4 x 2 + 1 9. /•+00 Jo l dx n . -2 17 r J0 1 + cosx diverge i?, diverge f ' dx 5 V 4 ' 1 ( * - 2 ) 3 / 5 r fi. 2 r 1 dx 7' J ^3 fi- diverge n * * 2 x d x i fi- —(x2+ 9) 2 l a '» ■ / , *. J0 r — ~ J-2 VxTT 7T V 9 ^ 2 0 dx fi. O 157 www.FreeLibros.com
  • 165.
    /• ig i/x 13.J —— R. diverge Jo x TÓPICOS DE CÁLCULO - VOLUMEN II r +“ d x 14- { ^ R- 100 r /2 dx I í— Rú diverge J q 1 — ~sen a: r+" x 5 dx (1 + x 3) 7/4 r .. 16- I diverge r +0° dx 17. — — ------------------------------------------------------------------ R.n J-o* * '2 + 2x + 2 r+ O O f +0° a 19. I e a* eos fax d x R. t (a > 0) 'o f +0° a rcta n x 21' J P ? í +0° d* Jn X 3 + 1 18. í e-a*sen bx dx R. —— — (a > 0) J0 a ¿ + o ¿ a 2 + fc2 +" d x 7T x V x 2 — 1 2 •+0° d x 2tt 22. — — - R. 2V 3 r 1 d x 23- J„ *• ‘«''“ se r +co 24. í e -|x| d x R .2 J —03 25. J V i + x “2/3 d x /?. 2 ( 2V 2 — 1) 158www.FreeLibros.com
  • 166.
    r+ca 26. I x J—OO +00 2e~x3 dx INTEGRALES IMPROPIAS f —X —¿JL 27- I u. ;------7T~ dx Jo r+“ — 1 — 2x 3 x 2/3(x - l ) 2 ' dx 28 ■/: 29. /_ 3o- c | V F + T | +0° dx _œ e* + e~x 1 ( I - * 3) 1' 3 dx [ +0° x 3 1 - ^-------i d x J-œ 1 + x 4 32. J -00 -1 dx ,2 x 3( l + x 3) 4/3 „ lr+"Vxr=T 3H — dx r+œ dx 35. ' /•'0 (a2+fc2)(è2+ x2) r-+00f 36. e d x * — 00 ( a a i - e 37. — = Jo V a 2 - 38. f Jo 4 dx V4x —x 2 fi. diverge fi. diverge fi. 3 fi. diverge fi. 0 fi. diverge fi. diverge ^ ________ _ 2ab(a + b) fi. 1 f i. 7T 159www.FreeLibros.com
  • 167.
    f n sen6 dd r- . 39. —............... R. 2V2 J0 VI + eos 9 r 4 x dx 40. , R. 4 Jo V l6 —x 2 f 1 dx 41. ------------------------- R. n Jo V x ^ x 2 x 5 4 42. dx R. - - ■/-iVTT^ 3 9 TÓPICOS DE CÁLCULO - VOLUMEN II r+0° x 5 dx 5 V 2 44 ----------------- /?. ------ 1 ( 1 + x 3) 5/2 18 ' s d x l ) ( x ~ 8x + 15)4 5- f o.. . ^ diverge : 2 x 3 dx 192 4 6 ‘ 1 = R' ~3S 2 r ¿ x á dx Ji Vx - 1 r+ C O 7. x 2 Jo - +co 47. I x 2e~3* dx 27 f 4 dx 48. —------ /?. diverge Ji x 2 - 4 <•+00 49. x ne~x dx R. ni Jo r +00cosx /Tf f +0°se n x 50. Sabiendo que I — p - d x = I— , halle el valor de la integral I ,— dx. Jo Vx n 2 J0 V x3 /?. V 2tt dx 51. Muestre que I —------ converge si 0 < p < 1 y diverge si p > 1. 160www.FreeLibros.com
  • 168.
    INTEGRALES IMPROPIAS '•+00 dx 52.Si G (a ) = ^ - + x a ) X( 1 + x 2 ) . calculeG (0), G ( 1), G(2). /?. 7t/4 ; nr/4; tt/4 f +°°senx tí f +0° se n 2x 53. Sabiendo que I ------- d x = — , calcule el valor de I — r — dx. J0 x 2 J0 x 2 R. n /2 54. Esboce la gráfica de la función F (x ) = I f ( t ) d t en los siguientes casos: J — 00 si |t| > 1 ( 1 , si t < 1 b) m = | i 2 , Si |t | > 1 55 Sea f ( x I - í™ ** ’ SÍ |x| ~ 355. Sea / ( x ) - ^ si W > 3 f+co 1 Determ ine m de m odo que I / (x )d x —1. R. m = — J-œ 18 3.3 I N T E G R A L E S I M P R O P I A S C O N I N T E G R A N D O S N O N E G A T I V O S P rop osició n 1. Sea / una función no negativa en [a ; b ) (esto es, / ( x ) > 0) e integrable en [a; t] para todo t 6 [a; b). Si la función F (t) = I / ( x )d x es acotada en [a; £>), entonces I / ( x )d x converge. •'a Ja D em ostración Com o / (x ) > 0, V x £ [a; fe), entonces F (t) = I / (x )d x es creciente en [a; 6). Ja Por hipótesis, F ( t ) es acotada. Entonces F ( t ) es creciente y acotada en [a; b). Por tanto, lim_ F (t ) existe y es finito, es decir, I / (x )d x es convergente, t— /•'a 161www.FreeLibros.com
  • 169.
    TÓPICOS DE CÁLCULO- VOLUMEN II Proposición 2 (C riterio de Com paración) Sean / y g funciones tales que 0 < / ( x ) < g(x), para todo x e [a;b), e integrables en [a; t], V t e [a; b). Luego, a) Si I g(x)dx converge, entonces I / (x )d x converge. •'a “'aJa b) Si I f(x )d x diverge, entonces s ( x ) d x diverge. •'a *'a Demostración Se sigue inmediatamente de la proposición 1 y de la desigualdad í f(x ) d x < í g (x )d x , V t 6 [a ;b) •'a ■'a f +0° dx Ejemplo 11. Verifique si J 4^ "i converge o diverge. Solución 1 1 r , f +codx Com o 0 < ----- < — , Mx £ [2; + 00), y— - es convergente (ver h x 6 dx 2 x - V l + : '2 f +°° dx ejemplo 2, p = 6), entonces se concluye que J ——j = = = es convergente. f 1 dx Ejemplo 12 . Analice el com portam iento de la integral , = . Jo V x 2 + 2x Solución 1 1 , , f 1 * ' , Com o 0 < - < - = , V x £ (0; 1], y - p es convergente (ver ejemplo V x 2 + 2x V x Jo V x f 1 dx 4, p = 1/2) , se concluye que es convergente. Jo V x 2 + 2x f -3 dx Ejemplo 13. Verifique si . „■= es convergente o divergente. V x 2 + 3x + 2 r 3 dx i-o, V x 2 + 3x + 2 Solución I 1 1 f 3 d x - < x V x 2 + 3 x + 2 3 dx í dx Com o 0 < — < — - , V x £ ( - 00; - 3 ] , y ---------------------- diverge, entonces j -00 * Vx2 + 3x + 2 es divergente. 162www.FreeLibros.com
  • 170.
    rb IN T EGR A LES IM PR O PIA S Definición 7. Se dice que la integral impropia f f ( x ) dx es ab solu tam en te b convergente cuando I |/(x )|d x es convergente. Ja Proposición 3. Si la integral I /(x )d x es absolutamente convergente, Ja entonces es convergente. Demostración Como 0 < |/(x )| — f ( x ) < 2 |/(x )| , se sigue, por la proposición anterior, que l / M I —/"(■*) es convergente. Luego, r b r-b r b I /(x )d x = I |/(x )|d x — I [|/(x )| - /(z )] dx converge Ja Ja Ja f +coCOS O 2) Ejemplo 14. Analice sí I -------— dx es convergente o divergente. Ji x Solución La integral dada es absolutamente convergente, pues eos (x 2) 1 r * f +c°d x < — , V x e [1 ;+ c o > , y la integral — es convergente. * Ji x f +° ° c o s ( x 2) Luego, por la proposicion anterior, I ----- -— dx es convergente. Jl X Proposición 4 (Criterio del Límite) Sean / y g funciones no negativas integrables en [a; t], V t 6 [a; b), y supongam os que m lim — — = r . x-*b- g(x) i) Si 0 < r < +oo, entonces las integrales im propias • F = í f W d x y G = í g (x )d x Ja Ja son ambas convergentes o ambas divergentes. b) Si r — O y G converge, entonces F converge. c) Si r = ±oo y G diverge, entonces F diverge. Demostración, (ejercicio para el lector). 163www.FreeLibros.com
  • 171.
    C o rola rio 1. Sea f una función integrable en [a; t ] , V t G [a; + 00), y supongam os que lim x p/ ( x ) = r < + 00. X->+oo Luego, se tiene: a) Si p > 1, entonces Ja+°°/(x)dx converge. b) Si r 0 y 0 < p < 1, entonces f(x )d x diverge. C o ro la rio 2. Sea / una función integrable en [a; t ] , V t 6 [a; b), (b e l ) y supongam os que lim (b - x ) p/ ( x ) = r < + 00. x-*b Luego, se tiene a) Si 0 < p < 1, entonces I / (x )d x converge. Ja b) Si r o y p > 1, entonces I / (x )d x diverge. Ja TÓPICOS DE CÁLCULO - VOLUMEN II r ” d * E je m p lo 15. Analice si ----- ----- converge o diverge. h x 3V 4 x 5 + x 3 — 1 Solución Considerando que lim x 11/2-----, .....--.......— ■= — (en este caso p = — > X - . + 0 0 x 3 V 4 x 5 4 - x 3 — 1 2 2 / r +0° dx se concluye, p or el corolario 1, que la integral I -----converge. J2 x 3V 4 x 5 + x 3 — 1 f 5 dx E je m p lo 16. Verifique si I — 2---------- ,2 converge o diverge. ^2 ^ ) Solución 1 1 Teniendo en cuenta que lim (x — 2 )3/2 ■------- - ------- ttttt = — 7= (en este M J (x - 2 )3/2(x + 1 )3/2 3 ^3 caso p - 3/2 > 1), la integral es divergente (se usa el corolario análogo al corolario 2, reemplazando (í> - x )p por (x - a )p). f° lice si I J—oo x dx Ejemplo 17. Analice si j p = = = = = = ^ = converge o diverge. V 2 x 9 4- 8 x — 10 Solución x 1 La integral converge, pues lim x • ,-------- - (b = 2 > 1). *-*+ “ V 2 x 9 + 8 x - 10 V 2 164www.FreeLibros.com
  • 172.
    1INitOKALhb lívlrKUrlAÍS EJERCICIOS Analice laconvergencia o divergencia de las siguientes integrales impropias. " +0° dx 1. J 2í dx x 2 + 3x + 4 r+CO (x + l) d x x 3 - 1 +0° x + 3 ■ l X3 + X2 +0° dx c3 Mx2 + 4 2 V x 2 - 1 dx > 1 o x 2 Mx2 + X + 1 +” e -2* d x x 2 + 3x + 5 /?. converge /?. converge /?. converge í x + 3 4- J X4 + x dx R- converge ' í R. converge r +0° x 3 + 1 7- J2 j^ n r j dx diverge R. diverge R. converge r-ruo 10. e _Arse n (x 2)d x R. converge r + 0 0 11. I e~x dx R. converge 0 f +" dx 12' i x 2( i + ex) R; ¿o n ve ree 165www.FreeLibros.com
  • 173.
    14 f 3* 3 + L dx R. converge ’ h 4 ^ 1 TÓPICOS DE CÁLCULO - VOLUMEN II i , f S d x R. converge ' J4 xV 2 5 ^ F 15. f x s e n ’ Q d x R. converge l"1 _______ ^ _______ R. converge r 1se n (x 3)d x R converge 17- í r * 18 f ' _ i ---- dx R. converge Jo "i- r +co rlv 9n .__________ ____________ R. converge J1 x4+ 5x3+x2+x + l www.FreeLibros.com
  • 174.
    (F' APLICACIONES DE'tts LA INTEGRAL DEFINIDA Hn este capítulo abordaremos algunas aplicaciones de la integral definida a ios problemas geométricos, físicos y económicos. 4.1Á R E A D E R E G I O N E S P L A N A S C A S O I: Sea /: [a;b] -» IR una función continua y f ( x ) > 0, V x 6 /. De la interpretación geométrica de la integral definida se sigue que el área de la región R limitada por la gráfica de /, el eje x, las rectas x = a y x = b (Fig. 4.1) está dada por A(R) = f ( x ) d x ^ u 2 C A S O II: Sean / y g dos funciones continuas en [ab] y g ( x ) < f ( x ) , V x £ [a; b]. E l área de la región íl limitada por las rectas x = a A x = b y las gráficas de / y g (Fig. 4.2) está dada por: A (n ) = ( í [f(x ) - g ( x ) ] d x ) u 2 Para demostrar esta fórmula, considerem os el número real k tal que k < g(x), V x £ [a; b]. www.FreeLibros.com
  • 175.
    TÓPICOS DE CÁLCULO- VOLUMEN II Efectuando una traslación de ejes al origen 0 '( 0; fc), las nuevas ecuaciones de las curvas y = f(_x), y = g (x ) y de las rectas x = a y x = b son, respectivamente, y x = f ( x ) —k , y x —g (x ) - k , x = a y x - b (por las fórm ulas de traslación y x —y —k A xx —x). Por lo tanto, en el nuevo sistema cartesiano x 10 ' y 1 se verifica 0 < g (x ) —k < f ( x ) - k , V x e [a; b] Luego, teniendo en cuenta la fórm ula del caso I, se tiene Observación 1. Si la región R está limitada por las gráficas de x = / (y ), x = g (y), las rectas y — a A y — b (Fig. 4.3), donde f y g son funciones continuas en [a; b] y g ( y ) < / (y ), V y E [a; b], entonces el área de la región R es a y - o Fig. 4.3 Fig. 4.4 E je m plo 1. Calcule el área de la región limitada por 71 y = sen x , x - 0 , x • y ~ ® So lu ción De la definición dada en el caso 1 y de la figura 4.4, se obtiene www.FreeLibros.com
  • 176.
    APLICACIONES DE LAINTEGRAL DEFINIDA I ¡implo 2. Calcule el área de la región S limitada por 2|x| y , el eje x y las rectas x = — 2 y x = 1 1 + x 2 Solución l'itr la definición de valor absoluto, se tiene que r - x , x < 0 U , . x > 0 A m , por la fórm ula dada en el caso I y la figura 4.5, resulta -1 2|x| , 1*1 = {; x r o = [ j f° 2x f 1 2x = - ------- r dx + ------- Tdx J-2 1 + x J0 l + x 2 = - [ l n ( x 2 + 1 )]° 2 + [ln (x 2 + 1)]q = ln 5 + ln 2 = (ln 1 0 ) u 2 r.jemplo 3. Calcule el área de la región limitada por la parábola y = x 2 + 4x, el eje x y las rectas x = - 2 A x = 2. Solución ( »bservando la gráfica de la región (Fig. 4.6), se tiene que para / ( x ) = x 2 + 4 x se m inple / ( x ) < 0, V x 6 [ - 2 ; 0] y / ( x ) > 0, V x 6 [0; 2] l’or tanto, el área de la región pedida se descompone en la sum a de las áreasdelas regiones y R2, es decir, A ( R ) = A ( R 1) + A ( R 2) f0 f 2 16 32 = - l ( x 2 + 4 x ) d x + I ( x 2 + 4 x ) d x = — + — •= 16 u 2 J-2 J0 J 3 169www.FreeLibros.com
  • 177.
    Ejem plo 4.Halle el área de la región F limitada por las gráficas de y - x 2 , y — x 3 , x - - 1 , x = 2 Solución lin la gráfica de la región F (Fig. 4.7), se observa que x 3 < x 2 , V x 6 [ - 1 ; 1] y x 2 < x 3 , V x e [1; 2] Luego, r 1 r 2 , 8 17 2 5 _ A(F) = J ( x 2 - x )d x + J( x 3 - x 2)dx = — + — = — u I» TÓPICOS DE CÁLCULO - VOLUMEN II Ejem plo 5. H alle el área de la región limitada por las gráficas de y = arcse n x , y = arccos x , y = 0 Solución Las gráficas de las funciones y = arcsen x y y = arccos x están dadas en la Fig. 4.8. Ahora bien, por la definición de las inversas de estas funciones, resulta x = sen y < x = eos y ,V y 6 [ü; - ] Por consiguiente, el área de la región pedida es ,-71/4 ,4 (12) = I (e o s y - sen y ) d y = ( V 2 - l ) u 2 Jo liste ejemplo se puede resolver usando a x com o variable independiente, esto es, /•>/2/2 r 1 /l(/2) = I arcsen x dx + f a rc c o s x d x Jo J/2/2 lis evidente que en este caso el procedimiento es m ás com plicado que el anterior, por lo que recom endam os al lector escoger adecuadamente la variable independiente antes de aplicar la fórm ula del área. 170 www.FreeLibros.com
  • 178.
    APLICACIONES DE LAINTEGRAL DEFINIDA Kjcm plo 6. H alle el área de la región R limitada por las gráficas de y = 4 - x 2 , y = ln(2x - 3) , y = 1 Solución I ;i gráfica de la región R se muestra en la fig. 4.9. Por com odidad consideram os a co m o v a ria b le in d e p e n d ie n te , e s to es, x = ^ 4 - y a x ey + 3 -. Luego, se obtiene y - ^ y + ^ - y ) 3/2A(R)~ l (L r ^ ~ J * : r y ) dy = Tey 3 2 I ji-m pío 7. Halle el área de la región R limitada por las gráficas de y = |x3 - 4 x 2 + x + 6 | , 3y + x 2 = 0 , x = 0 , x = 4 Solución I ti gráfica de la región R se muestra en la fig. 4.10 y su área de la región es A(R ) = J j|x3 - 4 x2 + x + 6¡- y j j d x f 4 í 4x 2 = |x3 - 4x2 + x + 6| d x + — dx Jo Jo 3 l'íii.i hallar la integral del valor absoluto, tenemos en cuenta que |x3 - 4 x 2 + x + 6| = |(x + l ) ( x - 2 ) ( x - 3)| [x3 - 4x2 + x + 6, 0 < x < 2 |x3 - 4 x 2 + x + 6| = •{ - ( x 3 - 4 x 2 + x + 6 ) , 2 < x < 3 3 - 4 x 2 + x + 6 , 3 < x < 4 171www.FreeLibros.com
  • 179.
    TÓPICOS DE CÁLCULO- VOLUMEN II Luego, r 4 / = í x3 —4x 2 + x + 6dx 'o = í (x3 - 4x2 + x + 6 )dx - f (x3 - 4x2 + x + 6)dx + f (x3 - 4x2 + x + 6 )dx Jo J2 h _ 22 1 47 _ 71 _ T + 12 + 12 ~ T Por tanto, el área de la región R es 2 ( r * u 1 1 71 6 4 341 A (R) 4V2 64 dx = - Eje m p lo 8. H alle el área de la región íí que se encuentra en el primer cuadrante y está limitada por las curvas xy = 1, x y = 3 , x - x y = 1 , x —x y = 3. Solución Se verifica fácilmente que las gráficas de las curvas se intersecan en los puntos >1(2; 1/2) , 6(4; 1/4) , C(6; 1/2) y D (4; 3/4) La gráfica de la región Q se muestra en la fig. 4.11. Finalmente, el área de la región Q es A W =A W ¿ +M B O =[ [(i - i) - 1} ix +j ‘ | ■-(i - ;) = (2 — ln 4 ) + ^6 ln ^ — 2j = dx 7 2 9 . I n 2 5 6 " 172 www.FreeLibros.com
  • 180.
    E jem plo9. H alla el área de la región F, ubicada en el primer cuadrante y que está limitada por las gráficas de y = x 2 , x 2 = 4y , x + y = 6. Solución La región F se muestra en la Fig. 4.12. Los puntos de intersección de las curvas en el primer cuadrante se hallan resolviendo simultáneamente los pares de ecuaciones: y = x 2 y APLICACIONES DE LA INTEGRAL DEFINIDA _ 6 _ x <=> x = 6 - x<=>x2 + x - 6 = Q=*x = 2 (para el prim er cuadrante) y = x 2/4 y = 6 — x .uego, el área de la región F es y = 6 - x <=> — - 6 - x x - 241 - 2 (para el prim er cuadrante) A(F) - A(Fi) + A(F2) = J ( x 2 - ^ x 2^Jdx + j ^ 6 - x - ^ j d x 1 1 = 2 + - ( 2 8 V 7 - 6 8 ) = - ( 2 8 a/7 - 6 2 ) u 2 Kjem plo 10. L a región F, limitada por la curva y = 1 0 * - 5 x 2 y el eje x, es dividida en dos partes iguales por una recta que pasa por el origen. Halle la ecuación de dicha recta. Solución La región F se muestra en la Fig. 4.13. La pendiente de la recta L que pasa por el origen y por el punto (a; 1 0 a - .r>a2) es 1 0a — 5 a 2 m = --------------- = 10 - 5a. a Así, la ecuación de la recta L es y = (1 0 - 5 a)x . I’or otro lado, el área de la región F es 20 Fig. 4.13 /K F ) = I ( 1 0 * — 5x 2)dx —-—u2 Jo 3 A(F) 10 Ahora, com o F = F1 U F2,conA(F1) = A(F2), y A(Ft ) - —— = — , entonces r a 5 10 M F i) = I [(1 0 x - 5 x 2) - (1 0 - 5 a)x]dx = - a 3 = — = > a = V 4 JQ 6 3 l’or lo tanto, la ecuación de la recta L es y = (1 0 - 5 Í4)x. 173www.FreeLibros.com
  • 181.
    E je mp lo 11. U n a parábola de eje vertical corta a la curva y = x 3 + 2 en los puntos ( — 1; 1) y (1; 3). S i se sabe que las curvas m encionadas encierran una región de área 2 u 2, halle la ecuación de la parábola. Solución Este problema tiene dos soluciones. Primer caso: Cuando la parábola está por debajo de la curva y — x 3 + 2. Segundo caso: C uando la parábola está por encima de la curva y = x 3 + 2. P rim e r caso: Sea (Fig. 4.14) la región limitada por la parábola buscada y la parábola sem icúbica y = x 3 + 2. Considerando que la ecuación general de una parábola de eje vertical es y = A x 2.+ Bx + C y que los puntos ( — 1; 1) y (1; 3) pertenecen a dicha parábola, se tiene 1 = A - B + C ... (a ) 3 = A + B + C ...(/?) Com o ^ C fi) = f (x3 + 2 - Ax2 ~ Bx - C)dx= 2 = > A+ 3C = 3 ... (y) J-i Resolviendo ( a ) , (/?) y (y ) se obtiene B = 1 , A = 3/2, C = 1/2 Luego, la ecuación de la parábola es 2y = 3 x 2 + 2x + 1. TÓPICOS DE CÁLCULO - VOLUMEN II Se cu n d o caso: Sea F-¿ U ig- l l í j región limitada por ¡a parabola buscada y la parábola sem icúbica y = x 3 + 2. Com o A(F2) = j (Ax2 + Bx + C - x 3 - 2)dx = 2 = > /I + 3C = 9 ... (A) Resolviendo (a ), (/?) y (A) se obtiene que la ecuación de la parábola es 2y = 7 + 2x - 3 x 2. 174www.FreeLibros.com
  • 182.
    K jcm plo12. Calcule, si existe, ei área de la región infinita com prendida entre ia nirva ( 2 a - x ) y 2 = x 3, (a > 0) y su asíntota vertical. Solución I ;i asíntota vertical de la curva es x = 2a. En la fig. 4.16 se muestra la gráfica de l;i región infinita Q. Luego, APLICACIONES DE LA INTEGRAL DEFINIDA A(íi) --------- dx —2 lim 2a —X t->2a= 2 Í-'o = 2 lim I —= = t_>2a Jo J a 2 — - Í 't Í,2a Jo V 2 ax —: -.dx ^ a 2 - (x - a ): I laciendo u — x —a se obtiene :dx A (ü ) = 2 t lim _ a 2 ^ a r e s e n ( — ^ ~ ) - ^ (.* + 3 a ) v 'x ( 2 a - x ) =2«¿‘12-“2[iarcse" ( - ir ) - ¿ (t +3“)V«2a-t) + = 2“2( t + t ) = (3,i“2)“2 Fig. 4.17 Kjem plo 13. D ada la región infinita í í limitada superiormente por x y = 1, inferiormente por y x 2 + y - x - 0 y a la izquierda por x = 1; calcule su área si existe. ’ So lu ción La región Í2 se muestra en la figura 4.17 y su área requerida es www.FreeLibros.com
  • 183.
    I) Som breela región Í2 limitada por las curvas dadas y calcule su área. TÓPICOS DE CÁLCULO - VOLUMEN II E JE R C IC IO S TI 71 1. y = cosx,x = - - , x = - , y - 0 . 2. y = x 2 + 2 x - 3 , x = - 2 , x = 0, y = 0. 3. y = 9 - x 2 , y = x 2 + 1. 4. y x - x , y = 0, x = - 1 , x = 2. 1 + x 2 ' 5. y = 3 x - x 2, y = x 2 - x. 6. x = 0 , y = t a n x , y = - c o s x . 7. y = x 3 + x , x = 0 , y = 2 , y = 0. 8. y = ln ( x 2) , y = ln 4 , x = e. 9. x = ey , x = 0, y = 0 , y = ln 4 . 3x 10. y = a r c t a n x , y = arccos — , y = 0. 11. y = a r e s e n x , y = arccos x , x = 1. 3 2 22 , /*. T u 6 4 . fi. y u 2 , n 1 8 /?. (1 + - - arctan 2 + “ 8 , R : 3 tt , ( l 1 8 - - ln — ) u 2 5/ 5 2 R. - u 2 4 R. (4 - e ln 4 ) u 2 R. 3 u 2 /2 4 2 fi- u 2 i ) ». g - V l ) u 2 12. y = x 3 - 3 x 2 + 2 x + 2 , y = 2 x 2 - 4 x + 2. 13. y = 4 - ln (x + 1 ), y = ln (x + 1) , x = 0. R. 2 (e 2 - 3) u 2 14. í í es la región encerrada por la elipse a 2x 2 + b 2x z = a 2b 2. R- nab 15. Í1 es la región de m ayor área encerrada por las curvas x 2 — 2 y 3 = 0 , x 2 - 8 y = 0 , y = 3. R■ ( _5_ + 5 ^ ) u2 16. í í es la región de m enor área limitada por las curvas x 2 + y 2 = 20 , í 2 8R. I 2 0 aresen — - - J uy 2 = 2x3. www.FreeLibros.com
  • 184.
    17. í íes la región de m ayor área encerrada por las gráficas de S x2 - 4 y = 0 y la elipse cuyos focos son los puntos (0, ± 6 ) y cuya longitud de su eje menor es R- V5 n — 9V 5 arcsen — — V V3 2 J 18. y 2 ~ x = 0 , y - x 3 = 0 , x + y - 2 = 0. ( 4 x - x z ( x 2 + 8 x — 40 l 9 - y = 4 ' . y = --------- 16--------• * > - ‘ . R .1 7 u > x < 0 - 3 x - 1 6 , x < - 4 20. y ( x 2 + 4 ) = 4 (2 - x) , y = 0 , x = 0. /?, ^ _ l n 4 j u 2 2 1 . y = x 3 + x - 4 , y = x, y = 8 - x . 22. y — e x , y - e~x , x = 1. r ^e ~ ^ APLICACIONES DE LA INTEGRAL DEFINIDA e 4 u 2 23. y — 2x + 2 , x = y 2 + l , x = 0 , y = 0 , x = 2. R. ( i s + í v ^ 24. y = x ~ 2 , y + x 2 = 0 , x = 1 , x = 3. R — u 2 ' 6 25. y = y/'x2 - 3 , y = x - 1|, y = 0. ^ ] n 3 - i ) u 2 26. y = |sen x| con x e [0; 2tt] , y + x = 0 , x - 2n = 0. R. (4 + 2 n 2) u 2 x 2 - 4 27- y = ^ T _ 16 > x = - 3 ' X = 3 . y = 0. 28. y = arcsen x , y = arccos x , x = 0. R. ( 2 - y j l ) u2 29. y = arcsen x , y = a r c c o s x , y = 0. r_ (y¡2 - i ) u 2 30. y = x 3 + 3 x 2 + 2 , y = x 3 + 6x 2 - 25. r . 10 8 u 2 31. y = x 2 , y = 8 — x 2 , y = 4x + 12. R. 6 4 u 2 32. y = x 2 , 2 y = x 2 , y = 2x. K. 4 u 2 <3. y + * = o , y = [ / ( t ) d t , d on d e / ( í ) = í 3 f2 1 f < 2 . Jo l — 2 t — 1 , t.> 2 www.FreeLibros.com
  • 185.
    TÓPICOS DE CÁLCULO- VOLUMEN II 34. y = ta n 2* , y = 0 , x - — , x = 0. 35. x zy — 2 , x + y = 4 , * = 1 , * = 2. 36. y = x 4 , y = 8x. 37. y = x 3 - x , y = se n fa x ). 38. x = 4 y - y 2 , x + 2 y = 5. 39. y = se c 2x , y = ta n 2x , x = 0. 1 3 V 3 -7 T 40. y = , 2 y = x 2. 1 + x 2 41. x 2^3 + y 2/3 = a 2!3. 8 a 3 42. x = 4 a y , 43. y = |20x + a:2 - x 3 , y - 0. 44. x = y 3 —2 y 2 — 5 y + 6 , x = 2y 2+ 5 y - y 3 - 6 . V 3 45. y = arcse n 2 x , x = — ■ J 4 46. y = x e 8_2x y = x. 47 y = ^ T 4 ' y = 0 , * = 0 ' x = 4' 48. y = x 3e 8-2* 2, y - 4x . 4 9 , y = | j c - l | , y = x 2 - 2x , x = 0 , x = 2 . R. ó R. (9 / 4 ) u 2 R. (7 9 / 5 ) u 2 fi- ( í 4 ) " 2 R. (3 2 / 3 ) u 2 « . ( í - i y *■ ( I 4 ) “2 R. ( 3 n a 2/ 8 ) u 2 /?. 2 a 7r — • 4a" /?. (2 3 2 1 / 1 2 ) u 2 R. (2 5 3 / 6 ) u 2 '1 V 3 R. /?. n u R. e — 73 50. y = V x T T - Vx - 1, x = - 1 , x = 1. 51. (x + y ) 2 = 16x, 5x + y = 8 . 52. y = |x - 2| - |x - 6|, x - y = 4. 53. y = |x - 5| - |x + 3|, x + y - 2 - 0. 5 4 . y = sen x + |cosx|, x = - n , x - n , y = 0 . R. (7 / 3 ) u 2 R. 3 V 2 u 2 R. 18 u 2 R. 8 u 2 fí. 3 4 u 2 fi. 4 178 www.FreeLibros.com
  • 186.
    APLICACIONES DE LAINTEGRAL DEFINIDA T>5. y = X2 r, x 0, x — 1, y — 0. R, (4 —x 2)3/2’ ' X ~ L> y ~ u- t y f ' 56. y = 60(xs - x 4 + x 3),y = - 2 x , x 2 = 1. R. 52u 2 .r)7. y = x + sen x, y = x,x = 0, x = - . R —~ ^ 6 ’ 2 58. 8 x = 2 y 3 + y 2 - 2y, 8 x = y 3, y 2 + y - 2 = 0. R.— u 2 u 2 59. x + y - y 3 = 0 , x - y + y 2 = 0. R. — u 2 96 37 12 2 ,2 ,2 60. y - c se n ( - ) ln ( s e n , x = 0 , x = a n . R. 2ac(l - ln 2 ) u 61. y 3 ( x - 2 ) 2 = 1 , y = 0 , x = 1 , x = 10. R. 9 u 62. y ( x 2 + 4) = 8 , 3 x 2 - 4 y - 8 = 0. R. 2(7r + 2 )u 63. Í2 es un arco de la cic lo id e cu ya ecuación param étrica es x ci(t se n t), y = íz(1 — e o s £). R. 3 tccl2 f 2n Sugerencia: 4(.fi) = y dx. 64. D. es la re gión lim itada p o r el astroide x = a e o s 3t , y = a s e n 3 t. 3 /? . - 7 T U 2 8 65. D. es la figura com p re n d id a entre la hipérbola x 2 - y 2 = 9 , el eje x y el diám etro de la hip é rb ola que pasa por (5; 4). R. 9 l n 3 2 x 66. fí es la re gió n lim itad a p o r la gráfica de / ( x ) = -------- - , el eje x y las dos 1 -f* X rectas verticales correspondientes a las a b scisa s de los pun to s m á x im o s absolutos. A (]n 4)u 2 67. í í es la re gión lim itada por la gráfica de / ( x ) = 2 x 4 - x 2 , el eje x y las dos rectas verticales que pasan p o r los puntos m ín im o s relativos. R. (7 / 1 2 0 ) u 2 60. es la re gión encerrada p o r y 2 = x 2 - x 4. R. (4 / 3 ) u 2 69. Cí está lim itada p o r un lazo de la cu rva a 2y 4 = x 4 ( a 2 - x 2). n 4íj2 ? R. — u2 5 179 www.FreeLibros.com
  • 187.
    TÓPICOS DE CÁLCULO- VOLUMEN II 70. £2 e s tá encerrada por un lazo de la curva 16a4y 2 = b2x (a —2cu).n h R. - u 2 ab 30 71. Q está encerrada por el lazo de la curva ( x2 + y 2)3 = 4 a 2x y ^ 72 Q está encerrada por la lemniscata ( x 2 + y 2) 2 a (x V )■ R. a 2 u 2 73. Q está acotada por y (4 + x 2) = 5 y el sem icírculo superior de ^ x 2 + y 2 — 2 y = 0. S. ( 2 - 5 a r c t a n - + 5 ) u 2 7 4 Q está encerrada por la elipse (de eje oblicuo) (y - x + 3 ) - 4 - x . R. 4n u 2 7 5 . y = 9 - x 2 , y = ln (x - 2) , y = 2 . II E n cada uno de los siguientes ejercicios grafique ía región ilimitada Q. y halle su área (si existe), si se sabe que Q está comprendida entre las graficas de. n 2 1. y = se c h x y su asíntota. 2 U 2 y = y su asíntota. R. 16tt u 2 x 2 + 16 3 (4 — x 2) y 2 = x 4 y s u s asíntotas verticales. R- 2nu2 4 . y = arctan x , 2y = i r , x = 0 . 7T 2 5 . y = sech_1x y su asíntota vertical. R■ ~^u R. no existe n 2 W 4|xl m R . 3 n u 2 6 ' y ~ 1 + x 4 ' V 1 + x 4 ' III Determine m de manera que la región que está por encim a de y m x y debajo de la parábola y = 2x - x 2 tenga área igual a 3 6 u . K. m - IV I I área de la región com prendida entre la parábola y = 1 2 x - 6 x 2 y el eje x es dividido en dos partes iguales por una recta que pasa por el origen. I lullc la ecuación de dicha recta. R. y ~ 6 (2 - V 4 J x V L a h ip é rb o la equilátera x 2 - y 2 = 8 divide en 3 regiones a la circunferencia x 2 + y 2 = 16 . Halle el área de cada una de las regiones. www.FreeLibros.com
  • 188.
    4.2 V OL U M E N D E U N S Ó L I D O E N F U N C IÓ N D E L A S Á R E A S D E L A S S E C C I O N E S T R A N S V E R S A L E S Sea S un sólido limitado en el espacio. Bajo ciertas condiciones es posible hallar el volum en de este sólido. P or ejemplo, sea Sx una sección plana del sólido S obtenido al cortar el sólido con un plano perpendicular al eje x en el punto de abscisa x (Fig. 4.18) y supongam os que existe un intervalo [a; b] tal que APLICACIONES DE LA INTEGRAL DEFINIDA - u xe[a:b] Si >5(5X) es la función área de la sección plana (llam ada sección transversal de S) y es continua, V x e [a; b], entonces el voium en del sólido 5 está dado por í A(Sx)dx Jn Fig. 4.18 Fig. 4.19 Ejem plo 14. L a base de un sólido es la región limitada por la elipse b 2x 2 + a 2y 2 - a 2b 2 . I lalle el volum en del sólido S si las secciones transversales perpendiculares al eje x son: ¡i) Triángulos rectángulos isósceles, cada uno con hipotenusa sobre el plano xy. b)Cuadrados. c) Triángulos de altura 2. Solución a) La gráfica de la sección transversal del sólido se muestra en la Fig. 4.19. E l sólido es la unión de los Sx, x 6 [— a; a], donde Sx es un triángulo rectángulo isósceles de área MSX) ~ b h = ^ ( 2 y)h = ( 2 y ) y = y 2 = ^ ( a 2 - x 2) Luego, f a b2 /4 F=J —(a2 - x 2)dx - i^-ab2J u 3 18! www.FreeLibros.com
  • 189.
    h) Si lassecciones transversales son cuadrados (Fig. 4.20), el sólido queda descrito com o la unión de los Sx, x E [ - a ; a], tal que Sx es un cuadrado e lado 2y = — y¡a2 - x 2 . Luego, el área de la sección Sx es ¿ ( S * ) = ( 2y ) 2 = 4 y 2 = 4 ^ ( a 2 - x 2) TÓPICOS DE CÁLCULO - VOLUMEN II = í 4 ^ j ( a z - x z)dx = ( ^ - a b ^ u 3 J~-n & Por tanto, el volum en del sóiido es b 2 y J~a c) S i las secciones transversales son triángulos de altura 2 (Fig. 4.21), ei solido es la unión de los S*, x 6 [ - a ; a], tal que S * es el triángulo de altura 2 y base 2 y = — J a 2 - x 2 . Así, el área d éla sección plana es a 1 2b r— — A(.Sx) = - ( 2 y ) 2 = 2 y = — J a 2 - . Por tanto, el volum en del sólido resulta /-fl U _______ _ V = — y/a2 - x 2 dx = (n a b )u 3 L a a l'ic m n lo 15 U na recta se mueve paralelamente al plano y z cortando a las dos elipses b 2x 2 + a 2y 2 = a 2b 2 A c 2x 2 + a 2z 2 - a 2c 2, que se encuentran en los planos x y y x z respectivamente. Calcule el volum en del cuerpo asi engendrado. Solución Kn este sólido, la sección Sx es un rom bo (Fig. 4.22) cuyas diagonales son 2 y A 2z. Luego, el área de la sección plana es www.FreeLibros.com
  • 190.
    APLICACIONES DE LAINTEGRAL DEFINIDA U --------------- , ........ ..... (lomo y = — y a 2 — x2 A z — — J a 2 — x2, a a entonces el volum en del sólido es [ a be = | 2 — ( a 2 - x 2)dx J —a ^ = ( ? a f , c ) U = E J E R C I C I O S 1. La base de un sólido es un círculo de radio r. Todas las secciones transversales del sólido, perpendiculares a un diámetro fijo de la base son cuadrados. Determine el volumen del sólido. R. ( 1 6 r 3/3) u 3 U n sólido tiene por base un círculo de radio 1 y sus intersecciones con planos perpendiculares a un diámetro fijo de la base son triángulos rectángulos isósceles cuyas hipotenusas son las respectivas cuerdas de los círculos. Determine el volum en del sólido. R. (4 / 3 ) u 3 V Halle el volum en del sólido S que es la parte com ún a dos cilindros circulares rectos de radio r, suponiendo que sus ejes se cortan perpendicularmente. R. ( 1 6 r 3/ 3 )u 3 4. La base de un sólido es una elipse cuyos ejes miden 20 y 10 unidades. La intersección de este sólido con un plano perpendicular al eje m ayor de la elipse es un cuadrado. Calcule el volum en del sólido. R. (4 0 0 0 / 3 ) ií3 5. Halle el volum en de un sólido S cuya base es un círculo de radio 3 y cuyas secciones planas perpendiculares a un diámetro fijo son triángulos equiláteros. R. 3 6 v Í u 3 (>. L a base de un sólido es la región entre las parábolas x = y 2 y x = 3 — 2 y 2. Halle el volum en del sólido si las secciones transversales perpendiculares al eje x son cuadrados. R. 6 u3 183www.FreeLibros.com
  • 191.
    TÓPICOS DE CÁLCULO- VOLUMEN II / 1 ;i base de un sólido es la región entre las parábolas y = x 2 A y - 3 — 2 x 2. Halle el volum en del sólido si las secciones transversales perpendiculares al eje y son triángulos rectángulos isósceles, cada uno de ellos con la hipotenusa sobre el plano xy. R .( 3 / 2 ) u 3 8. El punto de intersección de las diagonales de un cuadrado (de lado variable) se desplaza a lo largo del diámetro (fijo) de una circunferencia de radio 3. El plano del cuadrado permanece siempre perpendicular al plano de la circunferencia, mientras que dos vértices opuestos del cuadrado se desplazan por la circunferencia. Halle el volum en del cuerpo así engendrado. R. 72u 3 9. U n cilindro circular recto de radio r es cortado por un plano que pasa por un diámetro de la base bajo un ángulo a respecto al plano de la base. H alle el volum en de la parte separada. R. ( 2 r 3tan a / 3 ) u 3 10. El triángulo cuyos vértices son 0 (0 ; 0), A(a; b) y B ( 0; b) gira alrededor del eje y. Halle el volum en del cono obtenido. R. (n a 2b /3 ) u 3 11. L a base de un sólido es un círculo de radio 3. T odo plano perpendicular a un diámetro dado interseca al sólido en un cuadrado que tiene un lado en la base del sólido. Calcule el volum en del sólido. R. 1 44 u 3 12. L a base de un sólido es la región limitada por y = 1 —x 2 , y = 1 —x 4 . Las secciones transversales del sólido determinadas por planos perpendiculares al eje x son cuadrados. Encuentre el volum en del sólido. 13. E n un sólido las secciones transversales perpendiculares al eje y son círculos cuyos diám etros se extienden entre la curva x = ^[y y la recta x = y. Calcule su volum en. R. (ti/ 1 2 0 ) u 3 14. La base de un sólido es un círculo limitado por x 2 + y 2 = 25 y las secciones transversales perpendiculares al eje y son triángulos equiláteros. Calcule su volum en. 15. U n cilindro recto cuya base es una elipse está cortado por un plano inclinado que pasa por el eje m enor de la elipse. Calcule el volum en del cuerpo engendrado, sabiendo que la longitud del eje m enor de la elipse es 8 y la longitud del semieje m ayor es 10. www.FreeLibros.com
  • 192.
    APLICACIONES DE LAINTEGRAL DEFINIDA 4.3 VOLUM EN DE UN SÓ LID O DE REV O LU C IÓ N plana'urededor^e u n a íe c í fí^ c l)™ id a n ne r lt 7 d bT 'd0 ^ ^ llama eje de revolución. P 6 la regloa La recta fiJa se 4.3.1 M E T O D O D E L D I S C O C I R C U L A R Y D E L A N I L L O C I R C U L A R : * , " < £ 4 M t 'o t o i i a d T T r a y - X = * ' (F ig - 4 2 n U secció" tra sv e rsa l •'! q « p a l l l r e 'r T / “ “5" del SÓW0 5 P'“ o Perpendicular • i ^ r , Por x e es un círculo de radio ivi = If f r 'U m « * circular). El area de esta sección es 1/ M I (disco A (sx) = n y 2 = n [ f ( x y2 i x e[a;b] I -ucgo, por el método de las secciones transversales, el volum en de 5 es Observación 2. Sea S el sólido de 't'volucion obtenido por ¡a rotación en h>rno al eje y de la región plana R limitada ,a cu n a x = 9 (y) (g continua en el intervalo [c ;d ]), el eje y y ¡as rectas v - c A y - d (Fig. 4.25). / monees el volumen del sólido es n fc [g(y)l2 d y ' j u 3 www.FreeLibros.com
  • 193.
    TÓPICOS DE CÁLCULO- VOLUMEN II Observación 3. Sean f ,g[a-,b] R funciones continuas cuyas gráficas se encuentran a un mismo lado del eje x, y además g(x) < ]/ (x )| , V x 6 [a; ó]. Sea S el sólido de revolución que se obtiene por la rotación en torno al eje x de la región ü acotada por las curvas y = f(x) , y = g ( x) y ¡as rectas verticales x —a , x = b (en la fig. 4.26, solamente se muestra el caso 0 < g{ x) < / (x )). Como la sección transversal Sx obtenida por la intersección de S con un plano perpendicular al eje x que pasa por x G [a; b] es un anillo circular (Fig. 4.27), entonces el área del anillo circular es ¿ ( S * ) = Tt{[f(x)]2 - [g(x)]2} , x G [a; b] Luego, el volumen del sólido de revolución S resulta [g(x)¡2] d x u revolución es - a v - r ¿)dx u donde R es el radio m ayor del anillo circular y r es el radio m enor (fig. 4.26), Si r = 0 , la fórm ula es la que se obtiene por el método del disco circular. Observación 4. Sean f ,g: [a;b] -> E funciones continuas cuyas gráficas se encuentran en un mismo lado de la recta y = c y g(x) —c| < f(x) —c, V x G |a; b]. Sea S el sólido de revolución que se obtiene al hacer rotar en torno a la recta y = c la región Q 1imitada por ¡as gráficas de y = f (x), y —g{x), x a y x = b (Fig. 4.28). /■'.monees el volumen del sólido S es V -• J ( l / 'M - c]2 - [g (x ) - c]2} d x j u 3 186 www.FreeLibros.com
  • 194.
    APLICACIONES DE LAINTEGRAL DEFINIDA Observación 5. Si la región Q limitada por las gráficas de x = / (y ), x = g ( y ) r las rectas horizontales y = c , y = d gira alrededor de la recta vertical x - k (Fig. 4.29), donde las gráficas de f, g están a un mismo lado del eje de rotación y g(y) - k < |/(y) - k , V y 6 [c;d]. Entonces el volumen del sólido de revolución obtenido es v = (rc /cV ( y ) - k ]2 - [g(y) - k ^ d y ^ j u 3 Ejem plo 16. Calcule el volum en del sólido generado por la rotación alrededor del eje x de la región limitada por las gráficas de y = e x, x = 0, x = 1, y = 0 . Solución l-a región se muestra en la figura 4.30. Aplicando el método del disco (R - e x), ■ se obtiene V = n f (ex) 2 dx = n í e 2x dx = ^ ( e 2 - 1) u 3 Jo Jo 2 www.FreeLibros.com
  • 195.
    TÓPICOS DE CALCULO- VOLUMEN II Ejem plo 17. La región limitada por las gráficas de y — a re se n x , y — 0 y x ~ —1 gira alrededor del eje y. Calcule el volum en del sólido engendrado. Solución C om o el eje de rotación es el eje y, consideramos a y com o variable independiente. L a región se muestra en la Fig. 4.31. C om o R = 1 y r = - sen y, entonces el volum en del sólido es Ejem plo 18. L a región limitada por las gráficas de y - x 2, y - V * y x - 2 gira alrededor del eje x. Calcule el volum en del sólido. Las curvas y = x 2 y y = V * se cortan en los puntos (0; 0 ) y (1; 1). En la Fig. 4.32 se muestra la región entre ellas y la recta x = 2. E n la primera región, (0 < x < 1) una sección transversal es un anillo circular con radio m enor r = x y radio m ayor R — V * . E n la segunda región (1 < x < 2), la sección transversal es un anillo circular con radio menor r = yfx y radio m ayor R = x 2. Por lo tanto, el volum en del sólido S es ry 1 1° n 2 = ir - + - s e n ( 2y ) = — - u 3 2 4 J-E 4 2 1 1 + - s e n ( 2y )j Solución V = n - ( x2) 2]dx + n ¡ ( x 2) 2 - ( ^ f ) d x 3 X x = 3 Fig. 4.32 Fig. 4.33 1 8 8 www.FreeLibros.com
  • 196.
    Ejemplo 19. La región limitada por la circunferencia (x + 2 ) 2 + ( y >- 2 ) 2 = ] j'.iiii aliededor de la recta x — 3. Calcule el volum en del sólido generado (toro de revolución). Solución I .a región se muestra en la fig. 4.33, donde / ( y ) = - 2 - V i - (y - 2 ) 2 A g ( y ) = - 2 + / i - (y - 2)T Así, el radio m ayor /? y el radio menor r son, respectivamente, = 3 - / ( y ) = 5 + V i - (y - 2) 2 y r = 3 - 5 (y ) = 5 - v' l - ( y - 2)2 Luego, el volum en del sólido de revolución es V = 7i (R2 - r 2) d y = n 2 0 ^ Y ^ ( y ^ 2 y d y = ÍOn [(y - 2) V i - (y - 2 ) 2 + a rc se n (y - 2 )] = ( 1 0 n:2) u 3 Ejemplo 20. La región limitada porla elipse b 2x 2 + a 2y 2 = a 2b z con 0 < b < a gira alrededorde su eje mayor. Calcule el volum endel sólido generado. Solución C om o la elipse es simétrica respecto al eje mayor, podem os considerar que el sólido es generado por la rotación de la región som breada en la fig. 4.34 alrededor de! eje x. A sí, el radio de giro del disco circular es b i------------ R = y = - V a 2 - x 2 a Por consiguiente, el volum en del sólido de revolución es í a í a b 2 /4 V = n j R2d x = n J — ( a 2 - x z)dx = y - a b 2n j u 3 Ejemplo 21. L a región infinita comprendida entre la curva x + x y 2 - y = 0 y su asíntota vertical gira alrededor de su asíntota vertical. Calcule, si existe, el volum en del sólido. Solución Al despejar x de la ecuación, obtenem os x = „ V , con lo cual la asíntota 1 + y 2 vertical de esta curva es x = 0 (eje y), pues y -> ±00 <=> x -> 0 . APLICACIONES DE LA INTEGRAL DEFINIDA 189www.FreeLibros.com
  • 197.
    TÓPICOS DE CÁLCULO- VOLUMEN II Considerando que la curva (Fig. 4.35) es simétrica con respecto al origen y el radio de giro en el p rim er cuadrante es R = x = ^ -j . entonces el volum en del sólido es V = 2tc í R2d y = 2n í J o J o (i+ y 2) 2 Haciendo y = tan 9, la integral resulta y = 2K, ! iS . [ íarctan(>,)- 2 ( i + 7 ) ] 0 = 2” tÜ !S ,[iarctan(t)- 2 c T T F ) ] + oo 2 f t y 2 d y = 2n Jim _ „ , d y /ní-+oo J0 ( i + y 2Y Eje m plo 22. Determine el volum en del sólido de revolución generado al rotar alrededor del eje x la región infinita com prendida entre la recta y = O y la curva y = L Solución 1.a resiión se muestra en la Fig. 4.36. A l aplicar el método del disco, se obtiene r + “ / i 2 r +" _ ! i' H 1 t e ) ; t 3 ‘b = , M im j V « «fe = ’', l i ? „ l - 3 * ' ‘/3 l'l = * tü 5 . ( - í r o + 3 ) = 37T u 3 www.FreeLibros.com
  • 198.
    Sea f [a;b]-» K , a > 0 una función continua y no negativa y S el sólido dé revolución obtenido al hacer rotar en torno al eje y la región í í limitada por las f raileas y = / ( * ) , y = 0, x = a A x = b (Fig. 4.38) APLICACIONES DE LA INTEGRAL.DEFINIDA 4.3.2 M ÉTO D O DE LA C O R TE Z A C ILIN D R IC A i:i sólido S (Fig. 4.39) puede ser considerado com o la unión de los cilindros C x G [a; b], es decir, * ’ 5 = U Cx x e[a :b ] C om o el área (lateral) de cada cilindro circular recto Cx está dado por A(CX) = 2nx f ( x ) ; x 6 [a,b] se deduce que el volum en del sólido S es K = í A(Cx)d x - 2n f x f ( x ) d x Ja Observación 6. Sean f ,g: [a; b] -> M funciones continuas en [a;b] tales que ,<l(x) < / ( * ) , V x e [a; b], y S el sólido de revolución obtenido al hacer rotar alrededor de la recta x - c , con c < a, la región Q limitada por las curvas y = f ( x ) , y = g(x) r las rectas x = a y x = b (Fig. 4.40). l-.ntonces el volumen del sólido S es V = Í2 n (x - c) [ f(x) - g ( x ) ] d x u Fig. 4.40 191www.FreeLibros.com
  • 199.
    TÓPICOS DE CÁLCULO- VOLUMEN 11 Observación 7. Sean f ,g [a; b] •-> E funciones continuas en [a; b] tales que g ( x ) < f [ x ) , V x e [a,b], y S el sólido de revolución obtenido al hacer girar alrededor de la recta x = c, con c > b, la región Q limitada por las gráficas de x = a , x = b , y = f(x) , y = g ( x ) (Fig. 4.41). El volumen del sólido S es K = ( 27t J (c - x) [ f ( x ) - g(x)]dx"ju3 Fig. 4.41 Observación 8. Sea Q la región limitada por las gráficas x = f ( y ), X = g(y), y = a A y = b (Fig. 4.42), donde f y g son continuas en fa; b] tales que g ( y ) < / (y ), V y G [a,b], y S el sólido de revolución que se obtiene a! hacer rotar la región Q alrededor de la recta y = c, con c < a . El volumen de S es V = (^2n j (y - c)[/(y) - s(y)]d yj u3 Observación 9. Sea Q la región limitada por las gráficas de x = g (y), x = f ( y ), y = a A y — b (Fig. 4.43), donde f y g son continuas en [a; fa] tales que g { y ) < / (y ), V y 6 [a; b], y S el sólido de revolución que se obtiene al hacer rotar la región Q alrededor de la recta y = c, con b < c. El volumen del sólido S es V = ^2n J ( c - y ) [ f ( y ) - g ( y ) ] d y j u 3 Fig. 4.43 www.FreeLibros.com
  • 200.
    l'.jemplo 23. Encuentreel volum en del sólido engendrado al girar sobre el cíe y l:i región limitada por la curva y = (x - 2 ) el eje x y la recta x = 3 . Solución 1.a región se muestra en la figura 4.44. Aplicando el método de la corteza leñemos V = ZU i X ^ dx = ¿Tl2 x (x ~ 2 ^ dx = 2n í (x4 - 6x3 + 12x2 - 8x)dx h 147r = A P L IC A C IO N E S D E L A IN T E G R A L D E F IN ID A l'.jemplo 24. Halle el volum en del sólido generado por la rotación de la región limitada por las gráficas de x + y2 + 3 y - 6 = 0 , x + y - 3 = 0 alrededor de la recta y = 3. Solución l a región se muestra en la figura 4.45. C om o el eje de revolución es horizontal, el volum en del sólido es V = 2n f (3 - y ) l (6 - 3 y - y 2) - (3 - y ) ] d y J - 3 = 2n f ( y 3 - y 2 - 9 y + 9) d y J_3 256tt , = — ^— Uá www.FreeLibros.com
  • 201.
    TOPICOS DE CÁLCULO- VOLUMEN II Ejem plo 25. Calcule el volum en del sólido de revolución que se obtiene al girar alrededor de la recta x = 1 la región limitada por las gráficas de y — ¡x2 — 2x — 3 , y + l = 0 , x — 1 = 0 , x —4 = 0 Solución La región se muestra en la figura 4.46. A l aplicar el método de la corteza cilindrica, el volum en del sólido es V = 2n J (x - l) [ | x 2 - 2x - 3| + 1]dx Usando la figura 4.46 y la definición de valor absoluto, se tiene ¡xz - 2x - 3| = | 0 - 3 ) 0 + 1)1 = { _ ( * 2 ~ 2X ~ 3) ' 1 ~ x < 3 De aquí resulta V 2 x - 3 , 3 < x < 4 = 27r|j O _ 1)[(3 + 2x - x 2) + l]dx + J (x - 1) [ 0 Z _ 2x - 3) + 1] dx = 2n ( - 4 + 2x + 3x2 - x 3) dx + J O 3 - 3 x 2 + 2)dx ( 3 5 ^ 59 ,= 2^ ( 6 + T ) = y 7 r u 3 Ejem plo 26. Calcule el volum en del sólido que se obtiene al rotar alrededor de la recta y = 3 la región Í1 = { O ; y ) e M 2 / O < x < c o sh - 10 ) - O < y < 2}. Solución La región £2 se muestra en la Fig. 4.47. Esta región está limitada por x = c o sh y , x - O, y O A y = 2. C om o el eje de giro es la recta horizontal y — 3, entonces el volum en del sólido de revolución es V = 2n í (3 - y )(c o s h y ) d y = 27r[senh(2) -!- c o sh (2 ) - l ] u 3 Jo 1 9 4 www.FreeLibros.com
  • 202.
    Ejem plo 27.L a región infinita comprendida entre la gráfica de x y 2 = ( 3 a —x ) (<i > 0) y su asíntota vertical x = 0 gira alrededor del eje y. Calcule el volum en del sólido generado. Solución Con la ayuda de la región que se muestra en la figura 4.48, el volum en del sólido pedido es A P L IC A C IO N E S DE LA IN T EG R A L D E F IN ID A 9a2n 2 — ^— u Fig. 4.48 E JE R C IC IO S Ivn los siguientes ejercicios, calcule el volum en del sólido generado por la rotación de la región Q alrededor de la recta L, donde 1. L ■ eje x ; 12 : y = x 2 , y = 4x. (*) (*) Entiéndase Q lim itado por las gráficas de y = x 2 Ay = 4x. , 3 17T , 2. L: y — 0 ; I] ■■y = (x — 1) 3 , x = —1,x —0 , y — 0. R. — - u 3 160 3. L ■ y = 0 ; SI : x 3 - 5 x 2 + 8x — 4 , y = 0. R. - ™ u ' 195www.FreeLibros.com
  • 203.
    5. L: ejex ; ü: x 2 + y 2 - 2 by + b 2 - c2= 0 (b > c > 0 ) R. ( 2 n 2b c 2)u 3 s e n x 7r 2 /3 6 . L:e je x ; /2:y = -------------- ,x = - , x = - n R. l n l - l u 1 - c o s x 2 3 2/ 71 / V 2 7. L :e j e x ; /2:)' = e * s e n ( e *) ,x = 0 ,x = l n — R. I c o s l — 2~ ) u 1 2 8 V 2 tt , 8 . L:y = 4 ; Í2: y 2 = 4 (2 — x ) , x = 0 ----- ------ u Tí 9. L: eje x ; íl-.y = sen x , y = 0 ,x = 0 , x = — 10. L : x = 4 ; /2:x2 + y 2 = 1 1 1 . L: x = —2 ; , íh y 2 = x , y = x 2 12. L: y = - 1 ; Í2:y = a rc c o s x , y = a r c s e n x , x = 1 13. L:x = 0 ; /2: y = V x 2 + 10 , x = 3 , x = 4 T OPI COS Di; C Á L C U L O - V O L U M E N II A. L:y = 0; Í2: x 2 + ( y — 3 ) 2 = 1 R. 6 n 2u 3 R. 3 R. — u 3 4 R. 8 tc2u 3 49rr , R. ------u 3 30 R. (2 6 V 2 6 - 1 9 V l 9 ) u 3 71 14. L : x = 0 ; í l : y = c o s x , y = 0 , x = 0 , x = - 15. L : y = 0 ; i2 :y = ( v x - - ^ ) , x = 1, x = 4, y = 0 R. 7r ( l n 4 + - ) u ¡—------ / 2V 2 - 1 16. ¿ : y = 0 ; fi: y = 0, y = 2, x = 0, x = y j y 2 + 4 /?. 16tt (■ V 3 71 17. L .y = - 1 ; Í2 :y = a rc se n x , y = 0, x = — 18. L y = - 1 ; Í 2: y = V x 2 - 3 , y = x - 1, y = 0 1 Í7T , 19. L : x = 0 ; /2:y = ----- -t-jt , x = 0, x = y = 0 fí. 7r u 3 c o s ( x 2) 4 1671 3 20. L: x = 0 ;íl: y = x 3 + x, x = 1, x = 0 i?. -y^r- u 21. L:x = 1 ; /2:y = |x2 - 2 x - 3|, y + 1 = 0,x = 2, x = 4 45 , 22. L .y = 0 ; í l y = x + 2, y 2 - 3 y = 2 x R . — n u 3 23. ¿ : e j e y ; Í2 :y = | se n x | , 2 x = 7r ,2 x = 37r,y = 0 196www.FreeLibros.com
  • 204.
    25. L-.y =0 ; 12: x + y - 1, V x + ^/y = 1 ^ u 3 .'6 . L: x — —1 ; Í2: x = 0, y = 2, y = yfx n . ^ = 0 ; ^ = g ; ^ ; . y = o , * = 2 2H. L : x = 0 ;.fi :y = 2 + s e n x, y = x, x = 0, x = ^ 2 3 3 29. L:x = 0; Í2:y = x 5,x = - 1 , x - - 2 , y = - 1 /?. -------t t u 3 7 30. L:x — O - ñ a 2y 2 —b 2x 2 = a 2b 2, |x| = a R. 4 ?m — 12 u 31. L:x = 4‘;. Í2 :y = ( x - l ) 2, y = x + 1 32. L y = 0 ; i2: ( x 2 + y 2) 2 = 4 ( x 2 - y 2) fl. 2tt|V 2 ln ( l + V 2 ) - 33. L:x = 0r; Ñ :y = 3 x 2, y = 4 - 6x 2 /?. — u 3 9 28 34. L : x = 0 ; íl: x 2 + y 2 = 1, x 2 + y 2 = 4 (Í2: co ro n a) R . — n u 3 OCA 35. L:x = 0 ; ú : x - y 2, x = 8 - y 2 /?. -------n u 3 3 36. L:y = — 4; /2;2x + 3 y = 0, 4 x 2 + 9y 2 = 36 37. ¿ : y = 0 ; /2: x 4 + y 4 = 4 x 2 . fl. y j r u 3 38. Lx ——2 ; /2: )x |3 - y + 1 = 0,x + 1 - 0 , x - 2 = 0, y = = 0 39. L : x = 5 ; / 2 :y (l + x 2) = 2,y = x 2 40. L : y = 4 ; / 2 :y (l + x 2) = 2,y = x z x 2 y 2 4 41. L : e j e x ; Í2 : — + — = 1 /?. - n c ib 2u 3 a 2 b 2 3 2 2 42. ¿ : e j e y ; /3: + 1 R. ~ n a 2bu 3 a 2 b 2 3 7T 7T 13. L y = - ; y = a rc ta n x , x = 0, x = y = 0 APLICACIONES DE LA INTEGRAL DEFINIDA ¡A. L:y = 0 ; í¡:y = V4 - x 2 , y = l J x = 0 , x = V3 R. 2nÍ3u^ 44. L: x + 1 — 0 ; üy = arctan x, x = 0,4x = n, y = 0 19? 3 00|N) www.FreeLibros.com
  • 205.
    TÓPICOS DE CÁLCULO- VOLUMEN II 45. L y = 2 ; íl-.y = l n x , y = 0, x = 0, y = 2 46. L:x = e 3 ; i2 :y = ln x , y = 0 , x = 0 , y = 2 1 28 ~3 40 ~3 47. L:x = - 2 ; íl: y = 0, y = 4 - x 2 R . ^ - t c u 3 r- 40 * 48. L-.y = 2 ; Í2 :y = 0, x = 4, y = Vx R. — n u 3 1 ( 1 4 5 , 4 9 . L : y = - 2 ; ¿2:y = V x - -^=, x = 1, X = 4, y = 0 K. 7r ( h i 4 + — J u ó n SQ. L: y = — 2 ; /2:x = y sen y, x = 0, y = g C O S % 7T 7T 51. L: eje x ; ¿2:y = ' ^ sen' ¿ - y = 0, x = a, x = - con 0 < a < - 7T y - cos a + ln ( V 2 - 1) - ln (c sc a - ept a ) u 3 52. L: y = 0; ¿2:y = (x + l) e * , x = 0 , x = l,y = 0 53. L : x = 0; /2:y = e x y = 0, x = 0, x = 1 R. 7r(e - l ) u 3 54- Lx = 7) ü : y = x e 2*, x = l , x = 3, y = 0 55. L : y = - 1 ; J3:y = ln x , y = 0, x = e R. 7ieu3 56. L: eje x ; Í2: x 2y 2 + 1 6 y 2 = 16, x = 0, y = 0, x = 4 R. n z u 3 /a V 3 57. ¿ : e j e x ; /2: T riá n g u lo equilátero con vértices (0; 0), (a ; 0), I - ; — a n a 3 *• — 58. L : x = - 3 ; /2: y = x 5 + 8 , y = ( x 3 - 2 ) 2, x = 0 59. l eje y ; /2: es la región cerrada por el lazo de la curva ( y 2 - b 2) 2 = a 3x 2 5 6 n b 9 _ R. ------.— r- u 3 3 1 5 a 6 60. L’. e j e x ; Í2 es la región encerrada por el lazo de la curva = q x ( x - _ 3 a ) a > 0 R ™ (15 _ 16 ln 2 ) u 3 x - 4 a ¿ 61. L: x = 4 ; Í2: x 2y 2 + 1 6 y 2 = 16, x = 0, y = 0, x = 4 R. 3 2 tt[1 - V 2 + ln ( 1 7 V 2 ) ] u 3 62. L : e j e x ; fl es la región, en el primer cuadrante, acotada por: 16 ,— o www.FreeLibros.com
  • 206.
    __________ 2 3 (.3.L:e]ex; H: y = e~xJ c o s ( e ~x) , x = l n - , x = l n - n n R■ —[(3 - V 3 )n - 3 ]u 3 6 25 ()4. L: x = 1 ; ú : x 2 - 4 = y, y = - 3 x fl. ------- t t u 3 6 (i.r>. eje y ; /2 es la región que se encuentra al lado derecho del eje y limitada por x = 0 , (4 + x 2) y 2 = 4 - x 2 /?. 47r (7r - 2 ) ií3 (>6 . A la curva ^/xy - 2 x + 3 y - 6 = 0, en el punto (3; 3) se trazan las rectas tangente y normal. Calcule el volum en del sólido generado por la rotación alrededor de la recta y = - 3 , de la región limitada por la tangente, la normal 10222 norm al trazada y el eje y. R. ----------n u3 49 (i7. A la parábola y 2 = 12x, en el punto de abscisa 6 , se ha trazado una tangente. Calcule el volum en del sólido generado al girar alrededor del eje x, la región limitada por la tangente trazada, el eje x y la parábola. R. 72n u 3 (.8. L: eje x ; íl: y = x e x, y = 0, x = 1 ' R. - <e 2 - l ) u 3 4 69. L: eje x , ü: es la región limitada por y = 0 y un arco de la cicloide x — a ( t sen t), y = a ( l - eos i) R. 5 n 2a 2u 3 70. L : e j e y ; fl es la región del problema 69 R. 6 n 3a 3u 3 KCL3 71. L:x = a n ; SI es la re gión del problem a 69 R. ------( 97r 2 - 1 6 )u 3 6 72. L .y = 2 a ; ü es la región del problema 69 R. 7 n 2a 3u 3 73. L: eje x ; fí es la región limitada por x = a e os3t , y = a se n 3t. 74. Sea /; [ 0 ; + 00) -» ffi una función continua tal q u e / (x ) > 0 , V x > 1. Para todo a > 1, el volum en del sólido generado por la rotación de la región limitada por las gráficas de y = / (x ), x = 1 , x = a y el eje x, alrededor / -a APLICACIONES DE LA INTEGRAL DEFINIDA del eje x es: V = + 2 a 2 - - j u 3. Determ ine f(x). R. f ( x ) = .V x 2 + 4 x Vtt 75. Sea /: [0; + 00) -> K una función continua. Para todo a > 0, el volum en del sólido generado por la rotación en torno al eje x de la región que se encuentra entre la gráfica de y = / ( x ) y el eje x, desde x = 0 hasta x = a con a > 0 es V = ( a 2 + a ) u 3 . Determine / (x ). 199www.FreeLibros.com
  • 207.
    1. L acurva y 2(2a —x) = x 3 gira alrededor de su asíntota vertical. Halle el volum en del sólido generado. R. 2 n 2a 3u 3 1 x 2. Sea fl la región infinita com prendida entre las gráficas de y = - A y = y que se encuentra a la derecha de la recta x = 1. El eje de rotación es el eje x. Calcule el volum en del sólido generado. 1 3. n es la región com prendida entre la curva y = - 2 — ^ y su asíntota y el eje de rotación es el eje x. Calcule el volum en del sólido generado. 7T2 „ R. Y u> C _ 4 t 4. fí es la región com prendida entre la curva y = J — ------ d i (x e IR) y su asíntota y el eje de rotación es su asíntota. 3 1 6 ' 5. £2 es la región com prendida entre la curva x y z - 4 a 2(2 a — x) y su asíntota, y e! eje de revolución es su asíntota. Halle el volum en del sólido generado. R. Anz a 3 u 3 TOPICOS DE CÁLCULO - VOLUMEN II En los siguientes ejercicios, Q. es una región infinita. 6 . fl es la región com prendida entre la curva y 2 = — — - y su asíntota x = 2a y el eje de revolución es x = 2a. Calcule el volum en del sólido engendrado. R. 2 n 2a 3 u 3 7. fi es la región com prendida entre la curva rse n x x > 0 y = x ( o , x = 0 y su asíntota, y el eje de revolución es el eje x. Calcule el volum en del sólido generado sabiendoi que í J0 Tí dx = 2' TI , R. — u 3 2 200 www.FreeLibros.com
  • 208.
    APLICACIONES DE LAINTEGRAL DEFINIDA i. i LO NG ITUD DE A RC O Se;; / : [a; b] -» R una función con derivada continua en [a;b] y P - {x0, x1 , una partición de [a;6], Esta partición define una poligonal c o n flu id a por los segmentos rectilíneos desde ^ ( x , ^ ; / ( * , _ , ) ) hasta < M * ¿ ; / ( * ¡ ) ) , p a r a i = 1,2, ... , n (Fig. 4.49). n n L{p) = = Z V O i - * ¡ - i ) 2 + (/ (.rj - ¿=1 i=1 i I numero ¿ - ¡|{i|m o L(P), si existe, se llama longitud de arco de la curva y = f { x ) desde ei punto(a ;/(a)) hasta el punto (£>;/(£)). Dem ostrarem os que eneste caso el número Lsiempre existe. Com o f es derivable y continua en [xt_ i ; x t] , i = 1,2.....n, por el teorema de Lagrange o del V a lo r M edio, 3 t ¡ 6 ( x ^ X t ) tal que f (x¿) — = f (ti)(x ¡ — x ¡_ x) , i = 1,2,..., n I laciendo A¿x = x¿ —x , i = 1,2,..., n , tenem os ■ A n = V (A¡ * ) 2 + [ / '( t i)]2.(A 1x)2 = V V i + [ / '( t ¿)]2 Í=1 fet l’or tanto, la longitud de arco de la curva y = / ( * ) desde x = a hasta x = b es n 1 ~ I & I W M . es decir www.FreeLibros.com
  • 209.
    TOPICOS DE CALCULO- VOLUMEN II Observación 10. La longitud de la curva x = g ( y ) comprendida entre las rectas y = c A y = d, donde g es unafunción con derivada continua en [c; d], es 1 = (j ■/1+ífj'(y)]-dyju = | J j l + 4 Observación 11. Si la ecuación de la curva C viene dada en forma paramétrica mediante un par de funciones con derivadas continuas, esto es, C:£ : $ r Entonces la longitud de la curva C desde t = a hasta t = fi es ¿ = Vl*'(t)]2+ [y'(OP dt'Ju E je m p lo 28. H alle la longitud de la curva ,-------------- (1 + Vsec2x + 1 n n y = v sec2x + 1 - ln ---------------------- desde x = — hasta x = - ' secx J 4 3 So lu ción A l aplicar las reglas de derivación y sim plificando se obtiene ^ = tan x V se c 2x + 1 dx Por lo tanto, con la fórm ula de la longitud de arco resulta L = f 1 + ® dx = f * [1 + tan2x (se c 2x + l )]1' 2 dx 4 / 4 4 K d x J J ” / 4 rn/3 = I sec2x dx = [tan x nJ^ = (V 3 - l ) u E je m p lo 2 9 Encuentre la longitud de la curva cuya ecuación es desde x = —2 hasta x = — 1 . So lu ción 1 x4 d y x 3 1 Com o y = — r + — ,entonces — = —-Luego, la longitud de arco es J 2x216 dx 4 x 3 l = £ 4 T 7 W ? = £ J ( £ + i ) ¡ i - + 1 - Í T ( ^ ¿ ) dx (x 3 1 21 ■+ — I dx = — u 202 www.FreeLibros.com
  • 210.
    APLICACIONES DE LAINTEGRAL DEFINIDA Ejem plo 30. Calcule 4a longitud total de la curva cuya ecuación es: n n - < x < - 2 ~ 2 y - J ^ V c o s t d t , - ^ < x < ^ ~2 Solución C r 7T 7Ti Como f ( x ) = J ^ V e o s t dt, V x 6 entonces f ' (x) = V c o s x es ~2 . r ^ continua en el intervalo - j . Por lo tanto, 2 5 ___________ re L = J * V 1 + c o s x d x = dx = P e o s ( | ) d x = 4 u ~2 “ 2 “ 2 Ejem plo 31. H alle el perímetro del triángulo curvilíneo lim itado por el eje de las abscisas y por las curvas cuyas ecuaciones son * y = In ( c o s x ) , * e A y = l n ( s e n x ) , x 6 ( 0 ; n ) Solución Las gráficas de f ( x ) = ln ( c o s x ) , x 6 y de g ( x ) = ln ( s e n x ) , x 6 (0;n) se muestran enla figura 4.50. La s longitudes de los lados del triángulo curvilíneo son n ¿1 = 2 “ [ n / * _________________ r n ¡ 4 ¿ 2 = 1 V 1 + [ / 'O O P d x = | V i + ta n 2x d x = ln ( V 2 + l ) u h Jo ( n,z /------------------- ( n'2 /--------------- ¿3 = j V 1 + [5 '( x ) ] 2 = V i + cot2x dx = ln ( V 2 + l ) u •'/r/4 ^rr/4 Por tanto, el perím etro del triángulo curvilíneo es P = + 2 ln (V 2 + 1)] u 203www.FreeLibros.com
  • 211.
    Ejem plo 32.Calcule la longitud de la parábola sem icúbica 2y 3 = x 2, comprendida dentro de la circunferencia x 2 4- y 2 = 2 0 . Solución La gráfica de la parábola sem icúbica se muestra en la Fig. 4.51. L o s puntos de intersección de las dos curvas son ( - 4 ; 2) y (4; 2). Ahora, derivando implícitamente la ecuación 2y 3 = x 2 con respecto a y se tiene dx 3 y 2 ( d x 2 9y 4 / y 3 9 y — = — = > 1 + — ) = 1 4- — 5- = 1 4 -9 y . I — = 1 + — d y x Vdy/ x 2 x J 2 C om o la gráfica de la parábola sem icúbica es simétrica con respecto ai eje y, entonces la longitud de arco com prendida dentro de la circunferencia es TÓPICOS DE CÁLCULO - VOLUMEN II ->r•'0 i + y dy = (Viooo - i)u Ejemplo 33. La posición de una partícula en el instante t es x (t) = 1 - eos t , y (t) = t - sen t Halle el recorrido total entre t = 0 y t = l Solución El recorrido total de la partícula es www.FreeLibros.com
  • 212.
    lin cada unode los ejercicios siguientes, determinar la longitud del arco de la curva descrita por c , ,a + V a 2 - x 2 i---------- ra ai / ( x ) - a ln(----------------- ) - V a 2 - x 2 ,x e R. (a ln 3 )u APLICACIONES DE LA INTEGRAL DEFINIDA E JE R C IC IO S / ( * ) = a:4 + 3 6x * 6 [1 ; 3] R. ( y ) “ ,i. / O ) = X1' 2 - - x 3/2, x £ [0 ; 1] / ( x ) = V e2* - 1 - arcsec(e*) - 1 , x -£ [0; 4] f W = 6 2x O. 7. I). 9. 10, 11. 12. 13. 14. x e [2; 5] / (x) = ln (-x ) , x e [-V 8 ; - V I ] X X —— — f (x ) = - a r c s e n x - - V l - x 2 , x e 4 R. - u R. (e4 - 1)U 393 fi' lo-“ * . ( l + í !»§)<*■ *• / ( x ) = ¿ W * 2 - 1 - ^ ln ( x + V x 2 - 1) , X £ [3; 5] R. 8 u x = i y5/3 ~ ^ y 1/3-y e [0;i] y = (9 - x 2/3) 3/2, x £ [1; 2] 2 7 /?. — u 20 9 3/— R. - ( V í - 1)u y = - W 3 - x 2 + ^ a r c s e n ^ x j , x £ [0; 1] /?. + y - 1 - ln (c o s x ) ,x £ ¡0 ;£ ] fí. In ( V 2 + 1) u y = arcse n (e *), x £ [0 ; 1] x y = a c o s h - , x € [0 b] a y 2 i x = T ~ 2 l n y , y e[1;e] l(>. / ( x ) = ln ( c o t h - ) ,x £ [ a ; b ] , a > 0 R. ln(e + V e 2 - 1) u /b> R. a senh ( e 2 + 1 R. R. ’ e 26 - 1 ln^ _ i ) + a ~ b 205www.FreeLibros.com
  • 213.
    TÓPICOS DE CÁLCULO- VOLUMEN II 17. / ( * ) = y + ¿ . * e [ 1;2] 18. x = (a 2/3 - y 2/3)3^2 , y e [-a ; a] 59 R- 7T7U 2 0 . x =■e c sen t , y = eos t, t e [0 ; 7r] R. v 2 (e ’r - 1)u R. 3 a u R. — [ V 2 + l n ( l + V 2 )]u R. V 2 ( e ’r - l ) u punto m ás próxim o donde la tangente es vertical. R. ln — u 2 2 . x = a (eos t + t sen t) , y = a (se n t - t eos t ) , t e [0 ; a] R. ~ a a 2u II. E n los siguientes ejercicios, halle la longitud de arco de las curvas que se indican. 1. L a longitud total de la circunferencia x 2 + y 2 = a 2 R. 2na u 2. L a longitud total del astroide x = a e os3t , y = a se n 3t R. 6 a u 3. L a longitud del arco de la rama derecha de la tractriz 7. La longitud de la curva 9 y 2 = 3 x 2 + x 3 desde x = - 3 hasta x - 0 desde y = a hasta y = b con 0 < b < a. R. a l n ^ - J u /Xn2/3 /y>.2/3 4. La longitud de la curva ( - J + M = 1 en el p rim er cuadrante. a 2 + ab + b 2 R. -------------:------ u 5. L a longitud total de la curva cuya ecuación es 4 ( x z + y 2) - a 2 = 3 a 4/3y 2/3 R. 6au 6 . L a longitud total de la curva 8y 2 = x 2 - x 4 R. W 2 u R. 4V 3i¿ 206 www.FreeLibros.com
  • 214.
    II l alongitud de arco de la parábola semicúbica 5 y 3 = x 2 com prendida dentro 134 de la circunferencia x 2 + y 2 = 6 R. — -u 27 •J. Calcule el perímetro de la región de menor área limitada porlas gráficas y 2 = 2 x 3 A x 2 + y 2 = 20 X2 II). I,a longitud de la curva y = - - In V x ,desde x = 2 hasta x = 3 . II. La longitud de la uirva y = V x - x 2 + arcse n V x. R. 2 u I L a longitud total de la curva dada por (y - arcsen x ) 2 = 1 - x 2 R. 8u 2 13. La longitud del arco de la curva y 2 = - ( x - l ) 3 com prendida dentro de la x parábola y — — 14. La longitud del arco de la curva dada por x = ( t 2 - 2 )se n t + 2 t eos t , 71^ y = (2 - t2) eos t + 2t sen t, desde t = 0 hasta t = n 15. La longitud del arco de la curva y = ln ( l - x 2) desde x = 0 hasta x = 1/2 R. [ - ¿ + I n 3 ] u III. L o s siguientes ejercicios tratan del m ovim ientode una partícula. 1. En el tiempo t, una partícula se encuentra en el punto P (c o s t + t se n t ; sen t - t eos t) Encuentre la distancia recorrida desde el instante t = 1 hasta t = n 2. En el instante t, la posición de una partícula es x = 1 + arctan t ,y = 1 - ln / 1 + t 2 Halle el recorrido desde el instante t = 0 hasta t = 1 R. ln ( l + V 2 ) u APLICACIONES D E L A INTEGRAL DEFINIDA 207www.FreeLibros.com
  • 215.
    TÓPICOS DE CÁLCULO- VOLUMEN II 4.5 ÁREA DE UNA SU PER FIC IE DE R EV O LU C IÓ N Sea /: [a, b] -> M una función no negativa, con derivada continua en [a; £>]. Haciendo girar la gráfica de / desde x = a hasta x = b , alrededor del eje x, se obtiene una superficie de revolución (Fig. 4.52). E l área de esta superficie de revolución está dado por i4(S) = (271 f f(x)yj 1 + [ f ( x ) ] 2dx Fig. 4.52 Observación 12, Si la curva se describe por la ecuación paramétrica C :x = x(t), y = y (t), t e [a;/?] donde x( t ) y y ( t ) son funciones con derivadas continuas en [a; /?J, entonces el área de la superficie generada al hacer girar la curva C alrededor del eje x es A(S) = ( l n J % ( t ) V [ * '( O P + ty'(t)]2dt Observación 13. Sea f: [a, b] -> E unafunción con derivada continua en [a; b] tal que su gráfica está a un mismo lado de la recta y = c . Haciendo girar la gráfica de f desde x = a hasta x = b alrededor de la recta y - c se obtiene una superficie de revolución (Fig. 4.53) cuya área es www.FreeLibros.com
  • 216.
    .APLICACIONES DE’LA INTEGRALDEFINIDA Observación 14. Si la curva C se describe con la ecuación x = g (y ), V y 6 I": H donde g es unafunción con derivada continua en [a; b] y S e s la superficie ./<• revolución que se obtiene al hacer rotar la curva C alrededor de la recta = c , (Fig. 4.54), entonces el área de la superficie S es 4(5) = i^2n J g(y) - c^jí + [ g '(y W d y ^ ju 2 (*) Si la ecuación de la curva C está dada en su form a paramétrica por x = x ( t y = y(t), Vt 6 [a; /?] donde las funciones x = x(t), y = y ( t ) tienen derivadas continuas en [a;/?] entonces la fórm ula ( * ) se transforma en A(S) = Í 2 n ( |ar(t) - c|V"[x'(t)P + [y'(t)]2 d i) u2 Y b k C > -----------------. c / n(y) i S c a - - J *x - .Y C .....w -----------► x .Y - C Fig. 4.54 Ejem plo 34. H a lle el área de la superficie generada al hacer girar la gráfica de / (x) = V24 — 4x , x £ [3; 6], alrededor del eje x. Solución —2 (.orno f' (x) - — , el área de la superficie resultante es V 2 4 - 4x 4 6 f ( x y i + [ f ( x ) ] 2dx = 2 n V 2 4 - 4x 11 + — 4 dx h y] 24 - 4x = 2n I V 2 8 — 4x dx = ----- u2 h 3 l a gráfica de f ( x ) = /24 - 4x se muestra en la figura 4.55. 4 ( S ) = 2n f Ja 209www.FreeLibros.com
  • 217.
    TÓPICOS DE CÁLCULO- VOLUMEN II Eje m plo 35. Halle ei área de la superf del eje y del arco de la curva y = a eos So lu ción Considerando que la curva (Fig. 4.5« superficie generada es A(S) - 2tt f /(y)V 1 + [/'(y •'o /y dx donde x = / ( y ) = a cosh y — Luego. A(S) = 2n J a cosh Jl-< = 2n J a c o sh 2 d y Eje m p lo 36. Halle el área de la super 2x = y v V - 1 + ln ¡y - J y 2 - l | , So lu ción L a ecuación paramétrica de la curva e: .* (0 = ^[t%/t2 - l + l n | t - y ( t ) = t de donde x' (t ) = V t 2 - 1 A y'(t) Por tanto, el área de la superficie es a (s ) = í y c o T I x ' M F n / M F í h YJ c > y a: = a c o sh (— ) a '" " A . C7i — y < f > r0 a a cosh(l) x Fig. 4.56 cié engendrada por la revolución airededor - 'i desde x = a hasta x = a cosh ( 1) a ' >) gira alrededor del eje y, el área de la )]2dy = f ' ( y ) = s e n h Q - se n h 2(^ )d y n a 2 , „ , = ------(2 + senh 2 )u 2 ície cuando la curva y e [2 ; 5], gira alrededor del eje x. ^ f2 ~ 1 B , t 6 [2; 5] = 1 !t = 2jt í t-J (t2 - 1) + 1 dt = 78n u2 210www.FreeLibros.com
  • 218.
    APLICACIONES DE LAINTEGRALDEFINIDA I1'templo 37. Halle el área de la superficie generada por la revolución en torno al r l r y del arco de la curva y = - [x2 - 21n x], x e [ l ; 4 ]. Solución 1.1ecuación paramétrica de la curva es (x(t) = t y ( 0 = ^ [ t 2 - 2 1 n t ] ’ 1e [1;4] 1 1 tic donde x'(t) - 1, y '(t) = - (t - -) ucgo, A(S) = 2?t J| x ( t y [ x ' ( t ) ] 2 + [y'(t)]2dt = 2„ J , J l + i ( , - i) * d t = 2 , J ‘ l (, + | ) d t = 2 4 ™ ’ I jemplo 38. Calcule el área de la superficie de revolución que se obtiene al hacer líirar la curva y = 2 - e x , desde x = 0 hasta x = 2 , alrededor de la recta V - 2 Solución I .i gráfica de la curva se muestra en la ligura 4.57. Se tiene que dy ¿ = f ' M = - e x luego, según la fórmula, el área de la superficie es ¿(S ) = 27r f ( 2 - f M ) J l + [f'(x)]dx *'0 = 2n í exyfí'+ (ex)2 dx “'O : 7r |e 2V l + e4 - V2 + + ln e 2 + V i + e ‘ 1 + V 2 211 www.FreeLibros.com
  • 219.
    Ejem plo 39.Halle el área del elipsoide de revolución que se obtiene al hacer x 2 v 2 girar la elipse — + — = 1,alrededor de: a) su eje m ayor b) su eje menor Solución a) Cuando la elipse gira alrededorde su eje mayor, es suficiente considerar la curva C descrita p o r / ( x ) = --^ 2 5 - x 2, x e [— 5; 5] (Fig.4.58). 4 i----------- 4 x , , , , Al em plear / (x ) = - V 25 - x 2 A / '( x ) = - ^ = = = , el area de la TÓPICOS DE C Á LC U LO -V O LU M EN II superficie resulta r 5 ¿J, __________ A(S) = 2n j - V 2 5 - X ' l f 1 6 x 2 25(25 - x 2) dx / 100 3 = 27r ( l 6 + — arcsen -Jw b) Cuando la elipse gira alrededor de su eje menor, es suficiente considerar la curva x = - V l 6 - y 2, y 6 [-4 ; 4] (Fig.4.59). 4 Luego, el área del elipsoide generado es 5 A(S) = 2n J j V l 6 - y 2 / 8071, , = Í507T + - ^ - l n 4 J u 2 1 + 2 5 y z 1 6 ( 1 6 - y 2) dy 2 1 2 www.FreeLibros.com
  • 220.
    I. E ncada uno de los siguientes ejercicios, halle el área de la superficie de revolución que se obtiene al girar alrededor del eje x, las curvas dadas por 1. / ( x ) — —x 3 , x £ [0 ; 2] /?. (9 8 tt/ 8 1 )u 2 2. / ( x ) = c o s x , x e [ - j ; | ] R. 2jt[V2 + l n ( l + V 2 )]u 2 3. Un lazo de la curva 8 a 2y 2 = a2x 2 - x 4 R. (na2/4 ) u 2 4. 6azx y = x 4 + 3a 4 desde x = a hasta x = 2a R. (47rra2/16) u 2 5- / O ) = - x 3, x e [0 ; 2 ] R. ^ ( 1 7 3/2 - l ) u 2 6. y 2 + 4x = 2 ln y desde y = 1 hasta y = 2 R. (IO tt/ 3 )u 2 7. x = a c o s 3t, y = a s e n 3t /?. (127ra2/ 5 ) u 2 8. y = e ~x , x > 0 R. ;r[V 2 + ln ( l + V 2 ) ] u 2 9. x = etsen t, y = e ceos t desde t = 0 hasta t = | R. 2nyÍ2(en - 2 )/ 5 u 2 10. y = e - *, x > 0 R. ^ [V 2 + l n ( l + V 2 ) ] u 2 11. x = a (e o s t + ln ( t a n | ) ) , y = a sen t fi. 47r a 2u 2 12. y = ta n x desde (0; 0) hasta (£ ; l ) /?. t t ( V s - V 2 + l n ^ + 2 V4 ' V V5 + 1 13. E l lazo de la curva 9 a y 2 = x ( 3 a - x ) 2 R. 3 n a 2u 2 14. x 2 + ( y - /j) 2 = a 2, 0 < a < b (toro de revolución) R. 4 n 2abu x 3 1 15- y = y + 2 ¿ ‘ x e t1; R ■(208rr/9)u2 16. y = 2x, x e [0 ; 2] r . 8 n V 5 i¿2 17. y 2 = 4 a x desde x = 0 hasta x = 3a R. (56/ra2/ 3 )u 2 APLICACIONES DE LA INTEGRAL DEFINIDA E JE R C IC IO S 2 II. Halle el área de la superficie generada por la rotación en torno al eje y, de cada una de las siguientes curvas 1. x = y 3 , y 6 [0; 3] R. — [(7 3 0 )3^2 - l ] u 2. 6 a 2x y = x 4 + 3 a 4 desde x = a hasta x = 3 a R. (2 0 + ln 3) n a 2u 2 213 www.FreeLibros.com
  • 221.
    TÓPICOS DE CÁLCULO- VOLUMEN II 3 . 2 y = * V F ^ T + l n ( * - V F ^ T ) , x e [ 2 ; S ] K . 7 8 U U 2 4. x 2 + 4 y 2 = 16 5. y - x 2 , x £ [1; 2] 6. y = x4/3, x e [1; 8] III. H alle el área de la superficie de revolución form ada cuando la curva indicada gira alrededor del eje dado. 1. y = x 3/z , x G [1; 8]; alrededor de y = 1 2 V = í l + _ L ( x £ [1; 2]; alrededor de y = 1 ' ^ 3 4x 3. y = x 3, x 6 [1; 2]; alrededor de y = - 1 4. y = ln (x - 1 ), x G [2; e2+ 1]; alrededor de x = 1 5. y = 4 + e x, x G [0; 1]; alrededor de y = 4 6. y = 2 x , x £ [0; 2]; alrededor de y = - 1 R - 1 2 V 5 ttuz 4.6MOMENTOS Y CENTROS DE MASA (ó CENTROS DE GRAVEDAD) E l momento de masa de una partícula respecto a una recta L se define com o el producto de su m asa y su distancia a la recta L. A si, si m es la m gsa de la particu y d su distancia a la recta L Fig. 4.60, entonces el momento de la partícula respecto a la recta L está dado por Ml = m d Fig. 4.61 www.FreeLibros.com
  • 222.
    Mx • Es conveniente considerarla partícula localizada en un plano de coordenadas y determinar el mom ento de la partícula respecto a un eje de coordenadas ( o a una recta paralela a un eje de coordenadas). E n este caso se usan las distancias dirigidas, así el mom ento será positivo o negativo o cero, según la ubicación de la partícula; por ejemplo si la partícula de masa m está en el punto ( x ; y ) Fig. 4.61 , entonces sus m om entos Mx y My respecto a los ejes x e y, respectivamente son Mx = m y , My = m x Si un sistem a de n partículas de m asas m 1, m 2l..., m n están situados en los puntos ( * ! ;y i), (x 2; y 2), (x n ;y n) respectivamente, los m om entos Mx y My del sistema de n partículas se definen como n n = ™ ¡y ¡ - M y = ]jrrriiXi (I) í= l i= 1 El centro de m asa o centro de grave dad de un sistema de partículas es un punto P(x;y) tal que, supuesto que la masa total m del sistema esta concentrada en el punto P, los m om entos de P y del sistema coinciden. Si el sistema de m partículas de masas m u m 2, ■■■, m n ubicadas en los puntos (x'<yi),f e ) y2). - (xn>Vn) tienen su centro de gravedad en el punto P{x; y ) y que la m asa total del sistema es n m = ^ mi i= i entonces los m om entos Mx y My de P están dados por Mx = m y , My = m x Luego, de (I) se obtiene n n APLICACIONES DE LA INTEGRAL DEFINIDA = m¿y; y m x = ^m y i= l ¡=1 De donde resulta _ Z "= 1m ¿x ¡ _ x = -------------- y y=-------------- m m En resumen , si Mx y My son los momentos de un sistema de partículas respecto ;i los ejes x e y respectivamente y P (x ;y) es el centro de gravedad o centro de masa del sistema, entonces My Mx * = -T y = - f (II)m m donde m es la m asa del sistema. 2 1 5www.FreeLibros.com
  • 223.
    Ejemplo 40 Cuatropartículas están en los puntos Pt ( — 1; — 2), P2(1; 3), P3(0; 5), P4(2; 1) y sus m asas son m 1 = 2, m 2 = 3, m 3 = 3, m 4 = 4 respectivamente, determine el centro de gravedad del sistema form adopor estas cuatro partículas. Solución Tenem os Mx = 2 ( — 2 ) + 3 (3 ) + 3 (5 ) + 4 (1 ) = 24 My = 2 ( — 1) + 3 (1 ) + 3 (0 ) + 4 (2 ) - 9 m = 2 + 3 + 3 + 4 = 12 Luego, - _ M y _ 9 _ 3 - _ M X _ 2 4 _ X - ñ r ~ 1 2 - 4 ’ V ~ ~ m ~ Y 2 ~ 2 Por tanto, el centro de grayedad está ubicado en el punto P (3 / 4 ; 2) 4.6.1 C EN TR O D E GRAVEDAD DE UNA REGIÓN PLA N A ó LÁM IN A En primer lugar, es necesario tener en cuenta las siguientes consideraciones a) U na lám ina es llamada homogénea si dos porciones de igual área tienen el m ism o peso. b) L a d en sidad p de una lám ina es la masa de una unidad cuadrada de lámina. Si una lám ina es homogénea, entonces su densidad (de área) p ■es constante y si A es el área de dicha lámina, entonces su masa es m = pA c) E l centro de m asa de una lám ina homogénea, puede pensarse com o el punto de balance de la lámina; si esta lám ina tiene un centro geométrico, este será también el centro de masa ó centro de gravedad. Por ejemplo, el centro de masa de una lám ina circular hom ogénea es el centro del círculo; el centro de masa de una lámina rectangular hom ogénea es el centro del rectángulo (intersección de las diagonales). Se define el momento de una lám ina de masa m respecto a una recta, com o el momento de una partícula de masa m situado en el centro de masa de la lámina. d) Si una lám ina se corta en trozos, el momento de la lám ina es la sum a de los m om entos de sus partes. Ejemplo 41 Encuentre el centro de m asa de una lám ina hom ogénea de densidad p, que tiene la form a propuesta en la Fig. 4.62 (las m edidas están en cm.) Solución L a lám ina está form ada por 3 rectángulos y el área total de la lám ina es igual a 9 3 c m 2. Si colocam os los ejes de coordenadas tal com o se indica en la figura, los centros de m asa de los rectángulos Rlt R2 y R3 son: TOPICOS DE CALCULO - VOLUMEN II 216www.FreeLibros.com
  • 224.
    U t LA 1ÍN 1 t O K A L U t , r 1 ÍN 1U A respectivamente. Luego, Mx = (2 1 p ) ( y ) + (6 0 p )(6 ) + (1 2 p ) = ^ p /13 9 6 9 My = (2 1 p ) ( y ) + (6 0 p ) ( S ) + (1 2 p )(8 ) = — p Por tanto, el centro de m asa (x ;y ) de la lámina está dado por 9 6 9 _ My - J - P x = ^ = = 5 ,2 0 9 6 7 7 4 1 9 m 93 p 1 1 9 7 ~ 2 ~ P y = — - = — = 6 ,4 3 5 4 8 3 8 7 1 ' m 9 3 p Sea F una lám ina hom ogénea cuya densidad es constante e igual a p. Supongam os que F es la región limitada por las gráficas de: y = /(*), y = a(x), x = a , y x = b donde f y g son funciones continuas en [a ;b ] y / ( x ) > g(x), V x G [a;fr] (Fig. 4.63) Sea P = {x1, x 2, ■■■,xn} una partición de [a;b] y c¡ es el punto m edio de [x¿_ x; x¡] , entonces se tiene que: m = p [/ (c ,) - 5 (c¡)]A ¡x , i = 1,2,......n (A ix = x¡ - x ^ ) es la masa del i-ésim o rectángulo som breado en la figura 4.63 2 1 7www.FreeLibros.com
  • 225.
    TÓPICOS DE CÁLCULO- VOLUMEN II lil centro de gravedad del i-ésim o rectángulo se encuentra en el punto ( f ( c¡) + g (c¡)> [ Ci) 2 Sustituyendo cada rectángulo por un punto material y localizando la m asa de cada rectángulo en su centro de gravedad se obtiene que los m om entos de m asa de los n rectángulos, determinados por la partición, respecto a los ejes x e y son: Mr M, lí /l Z ™ ¡y¡ = p[/(c¡) - 5(c¡)] /(c¡) + g ( a ) AjX Luego, el centro de gravedad (x ; y ) estará aproximadamente en el centro de gravedad de los rectángulos determinados por la partición, es decir: x My _ P'Z’j=iCi[f(ci) - g j c ^ A j X m pEH iE /(c¡) - S(c¡)]A¡* Mx I p i u m c d r - i g í c d ] 2} ^ y X m ~ p l U l f i c d - g i c ^ x Pasando al límite cuando ||P|| -» 0, se obtiene que las coordenadas ( x ; y ) del centro de gravedad de la lámina F están dadas por Ja * [/(* ) - g(x)]dx ^ _ ^Jq{[/(*)]2 - to(*)]2} £ [ f t o - g ( x ) ] d x A y t f f ( . x ) - g ( x ) ] d x C om o se observa, las coordenadas del centro de m asa de la lám ina hom ogénea no dependen de su densidad p, sólo depende de su forma. Usualm ente el centro de m asa de una lám ina se denom ina centro de gravedad o centroide, reservando el término centro de m asa para un sólido. Observación 1S a) Si la región plana F es simétrica con respecto a la recta x = x0 , entonces x = X0 b) Si la región plana F es simétrica con respecto a la recta y — y 0 , entonces y = yo 2 1 8 www.FreeLibros.com
  • 226.
    Observación 16 Sila regiónplana F esta limitadopor las gráficas de: x = f ( y ) , x = g (y), y = c , y = d donde f y g son funciones continuas en [c; d] y f ( y ) > g (y ), V y g [c;d ] l'ig. 4.64, las coordenadas del centro de gravedad (x; y ) de la región F son APLICACIONES DE LA INTEGRAL DEFINIDA _ _ 2/cd{[/(y)32-[g(y)]2}dy /,d[/ (y ) - g ( y ) ] d y ~ -= C y t f W - 9 ( y ) ] d y CifXy) -g(y)d y Ejem plo 42 Encuentre el centroide de la región acotada por las curvas y = x 3 , y = 4x en el primer cuadrante. , Solución El área y los m om entos con respecto a los ejes x e y de la región son A(R) = í (4x - x 3) d x = 4 Jo _2 2 My = i x [ f( x ) - g ( x )]d x = í x(4x - x 3)dx = ^ Jo 15 Mx =z2 ¡ 0 “ Í9 (x)]2} d x = ^ J ( 1 6 x 2 - x ü)dx = 256 J T _ My 6 4 / 1 5 Luego, x = — = --------- m m Mx 2 56 / 21 „ , /16 6 4 l’or tanto, el centroide es P — :— V15 21/ 219www.FreeLibros.com
  • 227.
    Ejem plo 43Halle el centro de gravedad de la región lim itada por las ciirvas x 2 - 8 y = 0 , x 2 + 1 6 y = 24 So lu ción C om o la región F (Fig. 4.66) es simétrica respecto al eje y, se sabe que x = 0 El área de la región y el momento con respecto al eje x son TÓPICOS DE CÁLCULO - VOLUMEN II A ■ a ■ r ' d 16 dx = 4 V 2 2 4 - x 16~ dx = 1 6 V 2 / 4 _ Mx 4 _ Por tanto, el centro de gravedad es ^0; - J porque A Eje m p lo 44 Encuentre el centroide de la región lim itada por las curvas x = 2y - y 2 , x = 0 So lu ción C om o el centro de m asa está situado en el eje de sim etría y = 1 (Fig. 4.67), entonces y = 1. Aplicando las fórm ulas dadas en la observación 16 se obtiene i l o ( 2y - y 2)2dy _ e /is _ 2 f g ( 2 y - y 2) d y 4 /3 5 Luego, el centroide es P ; 1j 220 www.FreeLibros.com
  • 228.
    (CJemplo 45 Determine el centroide de la región plana limitada por las curvas y = / ( * ) . y = - x 2 , x = - 1 , x = 2, donde f ( x ) = í 1 ~ x ’ x ^ ° n ) l x 2 + 1, x > 0 Solución La región se ilustra en la Fig. 4.68. D ividiendo la región en dos partes se obtiene APLICACIONES DE LA INTEGRAL DEFINIDA A = í ( í - x + x 2)d x + f ( x 2 + 1 + . J- 1 J0 11 2 2 55 M, 16 11 _ 71 15 + ~3~ — 15 = 2 / K 1 “ * ) 2 “ x *]dx + + ! ) 2 “ x *~idx f ° r 2 13 - x ( l - x + x 2) d x + x (x 2 + 1 + x 2)dx = ------+ 1 0 = J-i J0 12 1 07 ~12 _ 107/12 _ 71/15 ^ , /107 1 4 2 ,uego, x - ■ , y = -=— r , de donde el centroide es P ----- ;------ ) 55/6 ' 55/6 V110 275/ Fig. 4.68 Eje m plo 46 H alle el centro de gravedad de la región infinita, en el primer cuadrante, com prendido entre la curva y = x e~x y el eje x. So lu ción La región se ilustra en la Fig. 4.69. Luego, se tiene A J " +CO x e~x dx = lim [ - x e~x - e~x]o = 1 o t-*+0° 2 2 1www.FreeLibros.com
  • 229.
    TÓPICOS DE CÁLCULO- VOLUMEN II +00 r+00 My /*i-to /■ + » = I x f ( x ) d x = I x 2e~xdx Jo Jo = lim [-x2e * —2xe * —2e *]£ = 2 t->+°0 i r +” Mx=-J [x2e~2 x -Q]d.x‘ X Jo 1 r 1 1 1 i* 1 = - lim — - x 2e 2x —- x e ~ 2x —- e ~ 2x¡ = - 2 t-.+« L 2 2 4 J0 8 My _ MX 1 Luego, * = T = 2 . y = T = 8 Por tanto, el centro de gravedad de la región es P ^2; Teorem a (Teorem a de Pappus para volúmenes) S i un sólido S es obtenido al hacer rotar una región plana F (Fig. 4.70) en torno de una recta del m ism o plano, que no sea secante a la región F, entonces el volum en de S es igual al.área de la región F m ultiplicado por 2nr, siendo r la distancia del centro de gravedad de la región F al eje de rotación, esto es, V = 2nr. A donde A es el área de F. www.FreeLibros.com
  • 230.
    APLICACIO NES DELA INTEGRAL D EFIN IDA Ejemplo 47 Calcule el volumen del sólido 5 generado por la rotación de la S a a P ° rlaP aráb 0,a y = * 2 y ,areC ía y = * + - 2 en tomo a esta Solución Para determinar el centro de gravedad.de la región F (Fig. 4.71) se tiene A (F) = í (x + 2 - x z)d x = - J-1 2 My = í x (x + 2 - x 2)d x = - •'-i 4 Mx = í [(x + 2 y - x 4] d x = — ¿ J - i 5 Por tanto, el centroide (x; y ) de la región tiene las coordenadas A ~ 2 ‘ y _ T " 5 Calculando la distancia r del punto C ^ a la recta y = * + 2 se tiene r = ^ ~ y + 2l = l l ~ l + 2|_ 9V2 V i + 1 V2 20 Luego, por el teorema de Pappus, el volum en del sólido S es V = 2ur. A = 2n Q = «3 Y' i. l F 1 Vv.7, i i i 1 v f ¡ L . / 1 % / 1 / Y 1 / y ( V s "x ' ►(-! ;0) www.FreeLibros.com
  • 231.
    r Ejemplo 48 La región limitada por las gráficas de y = x 2, y = 5 gira alrededor de una recta oblicua que pasa por el punto ¿4(1; 0). H alle la ecuación de dicha recta, si el volum en del sólido generado es igual a 4 0 V 5 ttu 3 Solución L a gráfica de la región se muestra en la fig. 4.72. E n primer lugar determinaremos el centroide de la región F. C om o el centro de m asa está situado en el eje de simetría (eje y), entonces x = 0. Por otro lado, la ordenada del centroide de la región es - _ M* _ ~ x ^ dx _ 2 0 v ^ A / ^ r ( 5 - x 2) d x 2 0 V 5 / 3 Luego, el centro de gravedad es ( x ; y ) = (0; 3) 2 0V 5 C onsiderando que el área de la región F es A = — -— ,se tiene V = 40V 57t = 2nr = * r - 3 Finalmente, si m es la pendiente de la recta L (eje de rotación) que pasa por el punto A(l-, 0), entonces su ecuación es y - 0 = m ( x - 1) ó m x - y - m = 0 Puesto que, r — 3 es la distancia del punto (x; y ) = (0; 3 ) a la recta L, entonces m x - y - m | - 3 - m | 3 — . >—»* 3 — . V m 2 + 1 V m 2 + 1 <=> 9 (m 2 + 1) = 9 + 6 m + m 2 <=> m (4 m — 3) = 0 3 <=* m = 0 ó m = - 4 3 Com o la recta L es oblicua, m = - . P or tanto, la ecuación de la recta L es 4 3x — 4 y — 3 = 0 TÓPICOS DE CALCULO - VOLUMEN II 224 www.FreeLibros.com
  • 232.
    APLICACIONES DE LAINTEGRAL DEFINIDA E JE R C IC IO S I. En cada uno de ios ejercicios, encuentre el centroide de la lámina hom ogénea de densidad p que tiene la forma mostradas en la figura. 12 ■ 10- A. < ^ 5 ) II. En los siguientes ejercicios, encuentre el centro de gravedad de cada una de las regiones limitadas por las siguientes curvas. 1. y = x 2 - 4 , y = 2x - x 2 2. y - v a 2 - x 2, y = 0 3. y = 3x, y = x 2, y — 1, y = 2 (en el primer cuadrante) *■ ( H ) "■ (o:S ( 67 2 ( 7 2 ^ 2 - 5 3 ) U 8 ( 8 V 2 - 7 ) ' 1 5 (8 > / 2 -7 ) 225www.FreeLibros.com
  • 233.
    4 . y- X 2, y = x - x 2 R. Q j g ) 5. y = ln x , y = 4 , y = 4 - 4 x 2 (en el primer cuadrante) R. (1 4 ,6 1 ; 3,15) 6. y - x 2 + 1 , y = x 3 - 1 , x = 0 , x =1 n 7. y = s e n x, y = cosa:, y = 0 desde x = 0 hasta x = — "■ G 4 (f - i)(2+V5)) 8. y 2 = 4 - 2x, el eje y, y = 3 (12 3 9. x = 4 y — y 2 , y = x R. ñ 9 10. Vx + ,/y = 3 , y = 0 , x = 0 R. 11. y = |x|3 + 1 , x = - 1 , x = 2 , y = 0 12. x + x y 2 - 2 = 0 , x - y 2 = 0 13. y 2 = 2 0 x , x 2 = 20 y R. (9; 9 ) • t x , si x < 1 _ 14. y = —x , y = j 2 , x = 2 ' [X , SI X > 1 /8 8 50 15. x - 2 y + 8 = 0 ,x + 3y + 5 = 0 ,x = - 2 , x = 4 fi. 16. y = 3 + 2x — x 2 , y los ejes coordenados encierran dos regiones. Determine el centroide de la región de menor área. 17. y ( x 2 + 4 a 2) = 8 a 3 y el eje x (región infinita) R. ( o ; - a ) l 12 18. La región limitada por el lazo de y 2 = x ( x - 4 )z R. ; 0J 19. La región limitada por el lazo de y 2 = x 4(3 - x ) R. (2;0) 20. y = aresen x , y = 0 , x = 1 /1 6 5 21. y 2 = 4 x 2 - x 3 , y = 0 en el prim er cuadrante R. TÓPICOS DE CÁLCULO - VOLUMEN II www.FreeLibros.com
  • 234.
    APLICACIONES DE LAINTEGRAL DEFINIDA .12. y = x 2 - 2x - 3 , y = 6x - x 2 - 3 R. (2;1) ¿3. y = x 3 - 3x , y = x ,sob re el lado derecho del eje y R, x y ¿4. La región encerrada p or — + — = 1, en el p rim er cuadrante / 4a 4£» D I . 1 R' 3 n ' 3 n ) 25. La región está limitada por los ejes coordenados y x 2/3 + y 2/3 = V 2 5 / 2 5 6 2 5 6 637r'637T/ 26. L a región es un sector circular de radio r y ángulo central 2 a 28. y = c o s h x , y = 0 , x = —1, x = 1 29. y = arccos x , y = n , x = 1 III. Centro de gravedad y volúmenes. 1. E l centro de gravedad de la región acotada por las curvas x 2 = 4 y , y = mx es un punto de abscisa igual a 2. Determine el valor de m R. m = 1 2. /1(0;0), B ( a ; 0 ) y C (0 ; a / 2 ) con a > 0 , son los vértices de un triángulo. C alcule el volum en del sólido obtenido por la rotación en torno a la recta 5V27ra3 y = x - a, de la región lim itada por el triángulo ABC. R. ----------- 24 3. Sea R la región del plano limitado por la parábola y = x 2 - 1 y la recta y = x — 1 . Determ ine el volum en del sólido obtenido por la rotación de la 7rV2 región R alrededor de la recta y = x ~ 1. R. ------ 60 4. L a región limitada por las gráficas de y 2 = 2 0 x , x 2 - 2 0 y gira alrededor de la recta 3x + 4 y + 12 = 0. Calcule el volum en del sólido generado. R. 4000tt R. En el eje de simetría, a la distancia - r -------- del vértice del sector 3 a 27. y = se n x, (0 < x < n), y = 0 227www.FreeLibros.com
  • 235.
    TÓPICOS DE CÁLCULO- VOLUMEN II 5, La región limitada por las gráficas de y = x 2 , y = 5 gira alrededor de una recta oblicua que pasa por el punto ( - 1 ; 0). Halle la ecuación de la recta si el volum en generado es igual a (4 0 V 5 n ) u 3 R. 3 x + 4 y + 3 = 0 IV . E l centro de gravedad ( x ; y ) del arco de una curva (hom ogénea), cuya ecuación es y = f ( x ) con x 6 [a; b] , donde / es una función con derivada continua en [a; b] , está dado por _ f c x j i + i f ' i x w d x f / w y i + i / ' M P d * j ^ i + [ f ( x ) Y d x ' y jab y i + [f'( x ) ) 2 dx U sando estas fórmulas, determine el centro de gravedad de las curvas cuyas ecuaciones son 2,------------ / 2 a 1. y = V a 2 - x 2 R. — x ( a ( e 4 + 4 e 2 - 1) 2. y = a c o s h - , x £ [ - a ; a ] R■ (0 ; a ' 1 ' J V ' 4e(e2 - / ' 3. x = a (t - sen t ) ,y = a ( l - eos t) ,t e [0;27r] R. (?ra;- 4 a 3 / r Til /2a 2 a 4. x = a c o s 3t , y = a s e n 3t , t e [ 0 ; - j R. 228 www.FreeLibros.com
  • 236.
    APLICACIONES DE LAINTEGRAL DEFINIDA 4.7 APLICACIONES DE LA INTEGRAL EN LOS NEGOCIOS 4.7.1 E X C E D E N T E D E L C O N S U M I D O R ( onsiderem os la función dem anda p = f ( q ) de un determinado artículo, donde 1/ representa la cantidad de artículos que se demandan al precio unitario p. La l’iáfica de esta función es la curva de demanda. Si el precio en el mercado del artículo en m ención es p0 y la correspondiente cantidad dem andada es q0, entonces los consum idores que estuviesen en condiciones de pagar por el artículo un precio m ayor que p 0 ganan, por el sim ple hecho de que el precio en el mercado es menor. Majo ciertas hipótesis económicas, la ganancia total del consum idor se representa por el área bajo la curva de demanda y sobre la recta p = p 0 (Fig. 4.73). A esta arca se le denom ina excedente del c o n su m id o r (E C ) y está dado por / fQo / rqn V -'O / V -'O / IJna form a alternativa de calcular el excedente del consum idor es (u. m. significa unidades monetarias) p = /(?)<=> ? = Q Fig. 4.73 229www.FreeLibros.com
  • 237.
    Considerem os lafunción oferta p = f ( q ) de un determinado artículo, donde q es la cantidad de artículos ofertados al precio unitario p. L a gráfica de esta función es la curva de oferta. S i el precio en el mercado del artículo en m ención es p 0 y la correspondiente cantidad ofertada es q0, entonces los productores que estuviesen en condiciones de vender el artículo a un precio menor, ganan, por el sim ple hecho de que el precio en el m ercado es mayor. Bajo ciertas hipótesis económicas, la ganancia total del productor se representa por el área sobre la curva de oferta y bajo la recta p = p 0 (Fig. 4.74). A esta área se denom ina excedente del p ro d u c to r (E P ) y está dado, por Ep = ( f [ P o - f ( ‘})]dqSju .m .= ^p0q0 - J f(q)dqju.m . U n a form a alternativa de excedente del productor es ' EP = ( í 9 (.P)dp^u.m., donde g = / -1 y Pi = /(O ) TÓPICOS DE CÁLCULO - VOLUMEN II 4.7.2 EX CED EN TE D EL PR O D U C TO R www.FreeLibros.com
  • 238.
    l' Jt'iiiplo 49S i la función demanda es p = 9 - a 2 v o - 5 Hallp m ^ ) ili'l consumidor. q > Po “ Halle el cxccdcnie A P L IC A C IO N E S D E LA IN T EG R A L D E F IN ID A ’ Sol ución I .i región se muestra en la figura 4.75. Con la ayuda de ¡a figura se obtiene EC = f (9 — q 2) — 5jcJ<7 = -Ai 16 i!, m. excedente del productor. Solución a región se muestra en la figura 4.76. A sí, resulta EP — f [16 - (4 + 3 q 2)] dq = 16 u. Jo m. Ejem plo 51 Las funciones de demanda y de oferta, en situación de competencia perfecta son p = 227 - - q 2 y p = 2 + 2q2 respectivamente. Determ ine el el correspondiente excedente del consum idor y el excedente'de productor. Solución LI precio en el mercado y la correspondiente cantidad está determinado por el punto de equilibrio E (Fig. 4.77). E l punto de equilibrio es la intersección de las curvas de oferta y de demanda, esto es, 2 2 7 4 - 2 + 2q2 => q 2 _ 1 0 0 => qe = 1 0 , de donde pe = 202 231 www.FreeLibros.com
  • 239.
    TÓPICOS DE CÁLCULO- VOLUMEN II Fig. 4.78 Luego, 500 dq = — 11. m. r 10 1 EC = I 227 - j q 2 ~ 202 J0 4 r 1° 4000 EP = J [202 — (2 + 2q2)] dq = - u.m Eje m plo 52 L a cantidad vendida y el correspondiente precio, en situación de m onopolio, se determ inan por la función de dem anda p = — (10 — qY y el costo 3 total es C = — + 5a de tal m anera que se m axim ice la utilidad. Determ ine el 4- correspondiente excedente del consumidor. Solución L a utilidad es U = I —C , / = in gre so y C = costo total W = 0 =* /' - C' = 0 =» lMg = CMg "L a utilidad se m axim iza si el ingreso m arginal (/' = IMg) es igual al costc m arginal (C' = CMg)”. C om o / = pq donde p = precio de venta y q = cantidad vendida, entonces 1 3 9 / = -(10 - q)2q =>IM g = 2 5 - 10q + -(? 3 3 Luego IMg = CMg => 25 - lO q + - q 2 = - ^ 2 + 5 => q = 2 En q = 2 , la utilidad es m áxim a porque U " (2) = - 1 0 Por tanto, r 2 r2ri i 26 = j j - ( i 0 - q ) 2 - 16j de/ = Y (F ig .4 .7 8 ) 2 3 2 www.FreeLibros.com
  • 240.
    Ejemplo 53 Actualmente el kilo de huevo cuesta S/. 4,6. L o s estudios realizados indican que dentro de x semanas, el precio estará cam biando a razón de 0,09 + 0 ,0 0 0 6 x 2 soles por semana. ¿Cuánto costará el kilo de huevos dentro de 10 sem anas? Solución dp r 10 (.orno — = 0,09. + 0 ,0 0 0 6 x 2 = * I (0,09 + 0 ,0 0 0 6 x z)d x es el aum ento en el precio dentro de 10 semanas Luego, dentro de 10 semanas el kilo de huevo costará 10 (0,09 + 0 ,0 0 0 6 x 2) dx = 4,6 + 1,1 = S/. 5,7 I Ejemplo 54 Halle la cantidad producida que m axim iza la utilidad y la correspondiente utilidad total (suponiendo competencia perfecta) si el ingreso m arginal es ¡Mg = 2 4 - 6q - q 2 y el costo m arginal es CMg = 4 - 2 q - q 2. Solución La utilidad se m axim iza (suponiendo competencia perfecta) cuando el ingreso marginal (/Mg ) es igual al costo m arginal ( CMg ) , luego 2 4 - 6q - q 2 = 4 - 2q - q 2 => q = 5 C om o U' = UMg = IMg —CMg = 2 0 - 4 q y U"(5) < 0, entonces la utilidad se m axim iza cuando q = 5 y la utilidad m áxim a es U = Ejemplo 55 U n a empresa textil ha comprado una m áquina cuya producción representa ganancias en un tiempo t dadas por 6 = 2 7 - 2 t z , donde G está en unidades de S /. 3000 y t está en años. E l costo de reparación y m antenimiento en el tiem po t está dado p o r ñ (t ) = - t 2 + 2 1, donde R está en unidades de S/. 3 0 0 0 y t está en años. Suponiendo que la m áquina puede retirarse sin costo alguno en cualquier tiempo, ¿cuántos años se debe mantener la m áquina para m axim izar la utilidad neta? Solución Las ganancias son iguales al costo de reparación y mantenimiento (Fig. 4.6) cuando 1 2 7 - 2 t 2 = - t 2 + 2t => t = 3 J APLICACIONES DE LA INTEGRAL DEFINIDA 4.7.3 O TRA S A PLIC A C IO N ES í (2 0 - 4 q ) dq = 50 u.m . Jn p = 4,6 + 233www.FreeLibros.com
  • 241.
    TÓPICOS DE CÁLCULO- VOLUMEN II Por tanto, la m áquina debe retirarse después de 3 años. L a utilidad neta después de 3 años es Luego, la utilidad neta después de 3 años es de 153 000 soles. Eje m p lo 56 E l valor de reventa de cierta máquina industrial dism inuye durante un período de 10 años a una tasa que cam bia con el tiempo. Cuando la m áquina tiene x años, la tasa a la cual está cam biando su valor es de 2 2 0 (x - 1 0 ) soles por año. ¿E n qué cantidad se deprecia la m áquina al cum plir dos años y cuál es su precio de reventa si su costo fue de S/. 12 0 0 0 ? Solución dV Si V es el valor de la m á q u in a , — = 2 2 0 0 — 10); luego, V(x) = J 2 2 0 (x - 1 0 ) =* V{x) = H O x 2 - 2 2(Ubc + C C om o K 0 ) = 12 0 0 0 => C = 12 0 0 0 y V(x) = 1 1 0 x 2 - 2 2 0 0 x + 12 000. Por tanto, V(2 ) = 8 0 4 0 E l precio de reventa es de SI. 8040, y la m áquina ha sufrido una depreciación de SI. 3960. Otro método para resolver este problema. E l valor de depreciación es Esto significa que la máquina, en dos años se deprecia en Sí. 3 960 , en este tiempo el valor de reventa es 12 0 0 0 - 3 9 6 0 = S / . 8 0 4 0 1. S i la función demanda es p = 25 - q 2, halle elexcedente del consum idor si la cantidad dem andada en el m ercado es q0 = 3 R. 18 u. m. 2. Si la función de oferta es p = 3 ln (q + 2) , halleel excedente del productor si el precio de venta en el m ercado es p0 = 3 3. Las funciones de dem anda y oferta en situación de libre competencia son p = _ ( 9 - q)2 y p = - ( 1 + 3 q) respectivamente. Calcule el excedente del 4 4 consum idor y el excedente del productor. 27 - 2 t - o E JE R C IC IO S 234 www.FreeLibros.com
  • 242.
    ■I La cantidadvendida y el correspondiente precio, en situación de m onopolio, se determinan por la función de demanda p = 4 5 - q 2 y el costo total C = 7 + 6q + q 3/ 12 de manera que se m axim ice laj utilidad. Calcule el correspondiente excedente del consumidor. R. 1 6 V 3 u . m. V El valor de venta de cierta m áquina industrial dism inuye a una tasa que cam bia con el tiempo. Cuando la m áquina tiene t años, la tasa a la cual está cam biando su valor es - 9 6 0 e ~ t/,s soles por año. Si ei costo áe ¡a m áquina fue de S/. 5000, ¿cuál será su valor 10 años más tarde? R. S/. 849,63 («. U n fabricante calcula que sus ingresos m arginales son de jlOOQQ q soles por unidad cuando su producción es de q unidades. Se ha encontrado que su costo m arginal correspondiente es de 0,4 q soles por unidad. Cuando su nivel de producción es de 16 unidades, su utilidad es de S/. 520. ¿C u á l es su utilidad cuando su nivel de producción es de 25 unidades? R. S/. 646,20 7. U n fabricante ha encontrado que su costo m arginal es de 6q + 1 soles por unidad cuando se han producido q unidades. E l costo total de la primera unidad es de S/. 130 a) ¿C u á l es el costo de producción de las 10 primeras unidades? b) ¿C u á l es el costo de producción de la décim a unidad? c) ¿C u á l es el costo fijo? R. a)S/. 436 b) S/. 58 c) S/. 126 X. La tasa de crecimiento de la población de cierta ciudad cam bia con el tiempo. Los estudios indican que dentro de x meses la tasa de crecimiento de la población será de 4 4- 5 x 2/3 personas por mes. L a población actual es de 10000 habitantes. ¿C u á l será la población dentro de 8 m eses? R. 10125 personas (). El precio del pollo es actualmente de Si. 4,5 por kilo. Se espera que dentro de x semanas el precio estará aumentando a una tasa de 0 ,0 3 V x + 1 soles por semana. ¿C uánto costará el kilo de pollo dentro de 8 sem anas? R. S/. 5,02 el kiio 10. Halle la cantidad que m axim iza la utilidad y la correspondiente utilidad m áxim a si el ingreso m arginal es IMg = 2 0 - 2 q y el costo m arginal es CMg = 4 4- (q — 4 ) 2 11. Las funciones de oferta y demanda son, respectivamente p = 1 f ln (q + 1) y p - 5 - ln (q 4- 1) . Halle el excedente del consum idor y el excedente del productor. R. EC = EP = (e 2 - 3)u.m . 12. L o s prom otores de una feria de una ciudad calculan que t horas después de que se abran las puertas (9 a.m.) los visitantes estarán entrando a la feria a una tasa de 5 4 (t + 2 ) 2 - 4 (t 4- 2 )3 personas por hora. ¿Cuántas personas entrarán a la feria entre las 10 a.m. y el m edio día? APLICACIONES DE LA INTEGRAL DEFINIDA 235www.FreeLibros.com
  • 243.
    TÓPICOS DE CÁLCULO- VOLUMEN II I í. Una empresa lia comprado una máquina cuya cantidad producida representa ganancias en un tiempo t dadas por G (t) = 20 — 3 t 2 , donde t está en años y G está en unidades de S/. 10000. El costo de reparación y mantenimiento en el tiempo está dado por R(t) = 2 t 2, donde R está en unidades de S/. 10000 y t está en años. Suponiendo que la m áquina se puede retirar sin costo alguno en cualquier tiempo t, ¿Cuántos años se debe mantener la m áquina para m axim izar las ganancias netas totales? R. Dentro de 2 años y UN'= S/. 2 6 6 6 66 ,6 6 14. U na com pañía está considerando la adición de personal para propaganda. E l 1 costo de adición de este personal está dado por C (x ) = —x, donde C está en unidades de S /. 600 y x es el número de personas agregadas. E l ingreso obtenido con el personal adicional es /(x) = 2 -¡x , donde / está en unidades de S/. 600 y x es el número de personas agregadas. ¿Q u é número de personas para propagandas deben agregarse para m axim izar la utilidad, cuál es el ingreso neto adicional (suponer que las funciones son continuas)?. 15. La utilidad m arginal de cierta compañía es de 100 — 2x soles por unidad cuando se producen x unidades. Si la utilidad de la com pañía es de S/. 700 cuando se producen 10 unidades ¿C uál es la utilidad m áxim a posible de la com pañía? R. S/. 2300 16. El costo m arginal de un fabricante es de 3(qr — 4 ) 2 soles por unidad cuando su nivel de producción es de q unidades. a) Exprese el costo total de producción del fabricante en términos de sus gastos generales (costo fijo) y el número de unidades producidas. b) ¿C u á l es el costo de la producción de 14 unidades si el costo fijo es de S/. 4 3 6 ? 17. La s funciones de demanda y de oferta, en situación de competencia pura son respectivamente, p = 30 — q 2 y p = 2q 2 + 3 , halle el excedente del productor. 18. Si la función de demanda es p = j 20 — q y la cantidad dem andada es q0 = 4 , halle el excedente del consum idor. 19. Halle la cantidad producida que m axim ice la utilidad (suponiendo competencia pura) y determinar la utilidad total en dicho punto si las funciones de ingreso m arginal y de costo total están dadas por ÍM g = 2 4 - 5 q - 2q 2 y CMg = 1 1 - 3 q - q 2 2 3 6www.FreeLibros.com
  • 244.
    COORDENADAS POLARES -S Í' 5.1 SI S T E M A D E C O O R D E N A D A S P O L A R E S La posición de un punto P en un plano se puede indicar usando las coordenadas polares. Para ello, se considera una semirrecta orientada OA llamada eje polar, que usualmente se considera en form a horizontal y que se extiende hacia la derecha (Fig. 5.1); al origen O del eje polar se denomina origen o polo. A cada punto P de! plano se le asigna un par (r; 9) donde r es la longitud del segmento OP y 9 es la medida en radianes del ángulo cuyo lado inicial es el eje polar y el lado terminal es el segmento OP. A l par (r; 9) se denom ina coordenadas polares de P y se denota P (r ; 9), r es llamado ra d io vector y 9 es el á n gu lo polar. De la Fig. 5.1- podría deducirse que r > 0 y O < 0 < 2 7 r , pero éstas no son las condiciones generales. Para asociar las coordenadas polares a un punto y formar el sistem a de coorde n adas polares en el plano es necesario tener en cuenta las siguientes consideraciones: 1. S i el ángulo AOP se desplaza a partir de OA en sentido antihorario, 9 es positivo y negativo en caso contrario. 2. A la semirrecta OA' que form a con el eje polar un ángulo de m edida 9 se denom ina eje 0 . E l radio vector r es positivo si P está situado en el eje 9 , y es negativo si P está en la prolongación del eje 9 . 3. E l polo 0 está unívocam ente determinado por r = 0 , es decir, al polo se le puede asignar el par (0; 9), donde 9 es cualquier número real. www.FreeLibros.com
  • 245.
    * •*(-*;) • ■s(3;ir)•F<3:" 1) Solución Para ubicar estos puntos con m ayor facilidad usaremos la roseta polar (Fig. 5.2). En esta roseta polar, r es constante en cada circunferencia y en cada semirrecta, 9 es constante. A sí, los puntos A,B,C,D,E y F se muestran en la Fig.5.2. TÓPICOS DE CÁLCULO - VOLUMEN 11 Kjcinplo 1. Ubique en el plano los puntos cuyas coordenadas polares son Observación 1 a) Para establecer la correspondencia biunivoca entre puntos del plano y las coordenadas polares se debe considerar los valores principales r > 0 y 0 < 0 < 2tt (1) b) Cuando no se considera la restricción (!) aun punto dado, se puedeasociai- infinitos pares de coordenadas polares (r;9). Si lascoordenadas polares de P son (r; 0), también son coordenadas de P los pares: ((-l)nr ; 9 + nn ) , n 6 2 (2) Por ejemplo, ctl punto C ( 2; u) se puede asociar las coordenadas pola) es (-2; 2rr) , (2; 3tt), (2; -7r), (2; 5rr), (-2; 6tt), ..., etc. www.FreeLibros.com
  • 246.
    5.2 R EL A C I Ó N E N T R E L A S C O O D E N A D A S P O L A R E S Y L A S C O O R D E N A D A S R E C T A N G U L A R E S Considerem os el sistema de coordenadas rectangulares xOy, con Öx = OA , donde OA es el eje polar (Fig. 5.3). Si P es un punto del plano cuyas coordenadas rectangulares y polares son O ; y ) y ( r ; 0 ) respectivamente, el cambio de coordenadas rectangulares a coordenadas polares se efectúa considerando las relaciones: x = r cos 9 y = r sen 9 ^ Inversamente, el cam bio de coordenadas cartesianas a coordenadas polares se efectúa a través de las relaciones r 2 = x 2 + y 2 ó r = ± / x 2 + y 2 y y tan 8 = — ó 9 = arctan — E jem plo 2 n) Halle ¡as coordenadas rectangulares dei punto P b) Halle las coordenadas polares del punto P ( - v '3; - 1 ) . Solución a) r = 4, 6 = - = * x = 4 e o s ^ , y = 4 s e n ^ = » P (2 v 3 ; 2). b) x = - V 3 , y = - 1 = > r = ± 2 tan 6 = — (3er cuadrante) => 8 —— ==> pÍ2- — 'j 6 V ’ 6 / Ejem plo 3. En (a) y (b) halle la ecuación polar de la curva dada y en (c) y (d) halle la ecuación cartesiana de la curva. a) x 2 + y 2 = a 2 , a > 0 (circunferencia) b) (x 2 + y 2) 2 = a 2( x z - y 2) , a > 0 (lemniscata de Bernoulli) C O O R D E N A D A S PO LA RES 239 www.FreeLibros.com
  • 247.
    c) r •-4 sen 0 (circunferencia) 2 d) r = ---------- (elipse) 2 - eos 8 Solución a) x 2 + y 2 = a 2 =3^r2 = a 2 =» r = ±a La ecuación polar de una circunferencia de radio a (a > 0 ) y centro en el origen es r = a ó r = - a . b) ( x 2 + y 2) 2 = a 2( x 2 - y 2) => r 4 = a 2( r 2 cos2& - r 2 se n 20 ) => r 2 = a 2 c o s22 0 c) r = 4 sen 0 => r = 4 - =» r2 = 4y => x 2 + y 2 = 4y ' r x 2 + (y - 2 ) 2 = 4 (circunferencia de centro (0; 2)y radio 2) 2 2 „ 2 d ) r = 2 ^ é 3 r = j n = ,1 = 2 F ^ Í ¿ r => 2 r - x = 2 => 4 r 2 = (2 + x ) 2 =* 4 ( x 2 + y 2) = (2 + x ) 2 => 3 x 2 + 4 y 2 - 4 x - 4 = 0 (elipse) 5.3 D I S T A N C I A E N T R E D O S P U N T O S E N C O O R D E N A D A S P O L A R E S La distancia entre los puntos ¿ f a ; 0X) y fí(r 2; 02) está dada por TÓPICOS DE CÁLCULO - VOLUMEN II d = Jrj2 + r 2 - 2 rtr2 eos (0 2 - 0 ^ La dem ostración se realiza usando la ley de los cosenos en el triángulo AOB (Fig. 5.4). Por ejemplo, la distancia entre los puntos A ( —3; 7 n /1 2 ) y (5 (5 ; ír / 4 ) es I 7T d = 19 + 25 + 30 e o s - = 7 Fig. 5.4 www.FreeLibros.com
  • 248.
    COORDENADAS POLARES I. SeaL una recta que no pasa por el origen. S i N(p; w ) es el par principal de coordenadas polares del pie de la perpendicular trazada del polo a la recta L y P(r; 8 ) es un punto de la recta L (Fig.55), la ecuación polar de la recta es r co s(0 — oj) = p (5 ) 5.4 ECU A CIÓ N PO L A R DE UNA RECTA II. Si la recta L pasa por el origen (Fig. 5.6), su ecuación polar es 8 = a , a constante Observación 2 i) Si la recta es perpendicular al eje polar y está a p unidades del polo, la ecuación (5) se transforma en r = eos 8 = ± p , p > 0 (6 ) El signo de p es positivo si la recta está a la derecha del polo, y es negativo si está a la izquierda. ii) Si la recta es paralela al eje polar y está a p unidades del polo, la ecuación (5) se transforma en r sen 8 = ± p , p > 0 (7 ) El signo de p es positivo si la recta está por encima del eje polar, y es negativo si está por debajo del eje polar. iii) La ecuación polarr e os(8 - ùj) = p es equivalente a la ecuación (cartesiana) normal de la recta x eos cü + y sen o) = p iv) Una ecuación polar de la recta que pasa por los puntos A fa ; 8X) y B (r2>s 2) es rxr se n (0 ! - 9) + r 2r se n (0 - 02) = ri r2 se n (0 ! - 0 2) (8 ) 241www.FreeLibros.com
  • 249.
    TÓPICOS DE CÁLCULO- VOLUMEN II a) Halle la ecuación de la recta perpendicular al eje polar que pasa por el punto i4(6; 2n /3). b) Halle la ecuación de la recta paralela al eje polar que pasa por el punto B( 2V 2; ff/4). c) Halle la ecuación polar de la recta cuya ecuación cartesiana es 3 V 3 x 4- 3 y 4- 2 4 = 0 d) Halle una ecuación en coordenadas polares de la recta que pasa por los puntos / i(4 ;2 7 r/ 3 )y B ( 2 V 2 ; tt/4) Solución a) En la Fig. 5.7 se observa p = 6 co s(2 7 r/ 3 ) = - 3 Luego, la ecuación polar de la recta L es r eos 9 = - 3 Kjcinplo 4 b) p = 2 V 2 cos(7i/4) = 2. Luego, la ecuación polar de la recta es r sen 0 = 2 c) Considerando la equivalencia de la ecuación polar con ia ecuación normal, es necesario transform ar la ecuación dada en su form a normal. Por geometría analítica, se sabe que si la ecuación cartesiana de una recta es de la forma Ax 4- By 4- C= 0 , C * 0 ( * ) ____________________ la ecuación norm al seobtiene dividiendo (*) entre +^¡A2 4- B2, donde el signo del radical es opuesto al signo de C. E n nuestro caso, se tiene A = 3>/3 , B = 3 y C = 4-24. Por tanto, dividim os entre - J ( 3 V 3 ) 2 + 3 2 = - 6 y la ecuación normal de la recta es: V 3 1 -------x — y = 4 2 2 D e esta ecuación se deduce que coso) = - V 3 / 2 , sen (o = - 1 / 2 y p = 4. De los valores del seno y del coseno se concluye que o) está en el tercer cuadrante y a) = 7n/6. Por tanto, la ecuación polar de la recta es r c o s(0 — 77t/6) = 4 d) La ecuación polar de la recta que pasa por los puntos yl(4;27r/3) y B (2 V 2 ; ír/4), usando la fórm ula (8), está dada por 4r sen ( y - d'j + 2 V2 r sen ( 0 - = 8 V2 s e n ^ | www.FreeLibros.com
  • 250.
    COORDENADAS POLARES 5.5 EC U A C IÓ N P O L A R D E U N A C I R C U N F E R E N C I A La ecuación polar de una circunferencia de centro C(p; a ) y radio a, a > 0, es r 2 + p 2 — 2rp cos(9 —a) = a 2 (9) En la Fig. 5.8 se observa que si P(r; 8) es un punto de la circunferencia, aplicando la ley de los cosenos en el triángulo OCP, se obtiene la ecuación (9). Observación 3 i) Si la circunferencia pasa por el polo y su centro está en el eje polar (o su prolongación), la ecuación (9) se reduce a r = 2p c o s 0 ( 10) El centro de esta circunferencia es C(p; 0) y su radio es |p|. ii) Si la circunferencia pasa por el polo y su centro está en el eje n / 2 (o su prolongación), la ecuación (9) se reduce a r = 2p sen 9 ( 11) El centro de esta circunferencia es C(p; n / 2 ) y su radio es p. iii) Si el centro es el polo (p = 0) , la ecuación (9) se reduce a r = ± a ( 12) Eje m plo 5. Halle la ecuación polar de la circunferencia tal que: a) Su centro es el polo y su radio es 4 b) Su centro es C ( - 5; n/2 ) y su radio es 5 c) Su centro es C(3; 0) y su radio es 3d) Su centro .es C(3; 7r/6 ) y su radio es 8 Solución Usando convenientemente las fórm ulas dadas en (9), (10), ( 11) ó (12) se tiene a) L a ecuación de la circunferencia es r = 4 o r = — 4. b) L a ecuación de la circunferencia es r = 6 c o s 0 . c) L a ecuación de la circunferencia es r = — 10 sen 9. d) L a ecuación de la circunferencia es r 2 - 6 r c o s(0 - n / 6 ) = 55. 243 www.FreeLibros.com
  • 251.
    5.<» D ISC U S IÓ N Y G R Á F I C A D E U N A E C U A C IÓ N P O L A R l’ara trazar la gráfica de una ecuación en coordenadas polares E(rQ) = 0, es conveniente realizar los siguientes pasos: I) Intersecciones a) C on el eje polar. Se hace 6 = nn ,n E TL, y se resuelve la ecuación resultante. b) C on el eje n/2 . Se hace 9 = tc/2 + nn ,n E l , y se resuelve ¡a ecuación resultante. c) C on el polo. Se hace r = 0 y se resuelve la ecuación que resulta. II) Sim e trías a) Con respecto al eje polar. E n la ecuación se reemplaza (r ; 8) por ( ( _ l ) n r; - 9 + nn), n E l . Si la ecuación no varía para algún valor de n, la curva es simétrica con respecto al eje polar; si la ecuación varía para todo n e 2, la curva no es simétrica con respecto al eje polar, b) C on respecto al eje n /2 . En la ecuación se reemplaza (r; 9) por ( _ ( _ l ) n r; + n7rj ( n E TL. Si la ecuación no varia para algún valor de n, la curva es simétrica con respecto al eje n/2 si la ecuación varia para todo n E l , la curva no es simétrica. c) C on respecto al polo. Se reemplaza ( r ; 0 ) por ( - ( - l ) nr; 9 + nn), n E TL, en la ecuación de la curva. Si la ecuación no varía para algún valor de n, la curva es simétrica con respecto al polo; si la ecuación varía para todo n EX, la curva no es simétrica. (*) Si P (r ;9 ) es cualquier punto de la curva cuya ecuación polar es E (r 9 ) = 0, el punto simétrico de P con respecto al eje polar es S ( r - 9 ) (Fig, 5.9). Por observación 1, también son coordenadas del punto S los pares ( ( - l ) ’V ; - 9 + nn), n E l . Si el punto S pertenece a la curva, ( ( - l ) n r; - 9 + nn) también satisface la ecuación para algún valor de n, es decir, la ecuación no varía. Por otro lado, si ( ( - 1 ) nr ; - 9 + nn) no satisface la ecuación de la curva para j todo n E TL, significa que S no pertenece a la curva, es decir, la curva no es ; simétrica respecto al eje polar. D e manera sim ilar se deducen las condiciones para que una curva sea sim étrica con respecto al eje n / 2 y al polo. i TÓPICOS DE CÁLCULO - VOLUMEN II i’ (r;6 ) Fia. 5.9 244 www.FreeLibros.com
  • 252.
    COORDENADAS POLARES III) Extensión.Se determina la variación de r y 8 IV ) T abu lación . Se tabulan los valores de r y 8. V ) T ra z a d o de la gráfica. E n un sistema de coordenadas polares (es preferible usar la roseta polar) se localizan los puntos obtenidos y se traza la curva con la inform ación obtenida en la discusión. E jem plo 6. Determ ine si son simétricas o no respecto al eje polar, al eje n / 2 y al polo, las curvas cuyas ecuaciones son: a) r = 4 eos 8 + 2 (caracol) b) r 2 = 9 [sen + l] c) r — 3 (1 + c o s 0 ) (cardioide) So lu ción a) i) Respecto al eje polar. Reem plazando en la ecuación (r; 8) por (r; - 0 ) , se obtiene que r = 4 c o s ( - 0 ) + 2 = 4 c o s 0 + 2. Por tanto, la curva es simétrica con respecto al eje polar. ii) Respecto al eje n /2 . A l reemplazar (r; 8) por ( - ( - l ) nr; - 8 + nn), se tiene que - ( - l ) nr = 4 c o s ( - 0 + nn) + 2. S i n es par => - r = 4 eos 8 + 2 (varía). Si n es impar => r = 2 - 4 eos 8 (varía). Luego, la curva no es simétrica porque la ecuación varía para todo n G TL. iii) Respecto al polo. A l reemplazar (r; 8) por ( - ( - l ) nr; 8 + nn), se tiene que - ( - l ) n = 4 c o s(0 + nn) + 2. S i n es par => - r = 4 eos 8 + 2 (varía) Si n es impar => r = 2 - 4 eos 8 (varía) L a curva no es simétrica con respecto al polo. L a gráfica del caracol r = 4 eos 8 + 2 se muestra en la figura 5.10. b) i) Respecto al eje polar. Para n = 2, es decir, reemplazando (r; 8) por (r; 2n - 8), se tiene Por tanto, la curva es simétrica con respecto al eje polar. ii) Respecto al eje n/2 . Para n = 2, es decir, reemplazando (r; 8) por ( — r; 2n —8), se tiene Por tanto, la curva es sim étrica con respecto al eje n/2. iii) Respecto al polo. L a ecuación no varía al reemplazar (r; 8) por ( — r; 8) (para n = 0). Luego, la curva es simétrica respecto al polo y su gráfica se muestra en la Fig. 5.1 1. 245www.FreeLibros.com
  • 253.
    c) i:i cardioider = 3 ( l + c o s 0 ) es simétrico con respecto al eje polar. N o es simétrico respecto al eje n / 2 ni respecto al polo (verificar). I,a gráfica del cardioide r = 3 ( l + c o s0 ) se muestra en la Fig. 5.12. TÓPICOS DE CALCULO - VOLUMEN II 110“ ‘ . *"*N A V " i / V ^ s ; i . . r* l ✓ S/ K j I ' 1 *■*"...I i ' jJ / y -s __ 2 4 0 ° - x —*^ cosO +2 i / . jk X ^ * / ' > & i . . V " 7 s¡§-3 N g Q / a / A r = 3 (l + co s0) E je m plo 7. Discutir y graficar la ecuación r —4 eos 9 + 2 (caracol). So lu ción Por la periodicidad del coseno, es suficiente considerar 8 6 [0; 2n]. I. Intersecciones a) C on el eje polar. Reem plazam os 9 = nn en la ecuación y se tiene r = 4 c o s(n 7 r) + 2. Si n es par => r = 6 => (6; 0) Si n es impar => r = — 2 => ( - 2 ; n) b) C on el eje n /2 . Reem plazam os 9 = (tt/2 + nn) en la ecuación y obtenemos r = 4 c o s (7t / 2 + nn) + 2 S i n es par => r = 2 => (2; n / 2 ) S i n es impar => r — 2 => (2; 3 n /2 ) 246www.FreeLibros.com
  • 254.
    c) C onel polo. Haciendo r = 0 en la ecuación, se obtiene 0 = 4 eos 6 + 2 ó eos 9 = — 1/2. Luego, 8 = 2 n /3 V 9 = 4 n /3 . L a curva pasa por el polo. II. Sim etrías. E n el ejemplo 6 hemos visto que este caracol es sim étrico solamente respecto al eje polar. III. Extensión, fl £ M A - 2 < r < 6, IV. T a b u lac ió n COORDENADAS POLARES 9 0 n / 6 7T/4 n /3 n / 2 2 n /3 3 n /4 S n /6 7T r 6 5,5 4,8 4 2 0 - 0 , 8 - 1 , 5 — 2 V. T ra z a d o de la gráfica. L a gráfica se muestra en la figura 5.10. se" © + 1 E je m p lo 8. Discutir y graficar la ecuación r 2 = 9 Solución Procedemos de manera sim ilar a lo realizado en el ejemplo anterior. I. Intersecciones a) C on el eje polar. 9 = nn => r 2 = 9[sen(n7r/2) + 1], Si n = 0 => (3 ;0 ) y ( — 3; 0). . Si n = 1 => (4,2; 7r) y (— 4,2; 7r). Si n = — 1 => (0; — 7r). 7T 71 b) Con el eje 6 = - + nn ¿ ¿t ( + n n sen — + 1 Si n = 0 => (3,9; n / 2 ) y (-3 ,9 ; tt/2). Si n = 2 => (1,6 ; S n/2 ) y ( - 1 , 6 ; Sn/2). c) C o n el polo, r = 0 => 9 = 3 n , 9 = 7n. II. Sim etrías. L a curva es simétrica con respecto al eje polar, al eje n / 2 y al origen (ver ejemplo 6). III. Extensión. 9 £ K y - 3 V 2 < r < 3V2. IV. T a b u lac ió n (Ejercicio para el lector. Considerar que el período de la función es 47r) V. T ra z a d o de la gráfica. L a gráfica se muestra en la figura 5.11. 247www.FreeLibros.com
  • 255.
    TÓPICOS DE CÁLCULO- VOLUMEN II Ejem plo 9. Trace la gráfica de r = 1 — [2 sen 2 0 ] , 0 e [0; n]. Solución D ivid im os convenientemente el intervalo [0; 7r] de m odo que |[2 sen 2 0 ] tome un solo valor entero en el subintervalo considerado. Si 0 £ [0; 7T/12) => 0 < 2 sen 20 < 1 => |2 sen 20] = 0 => r = 1. Si 0 e [tt/12; 7t/4) => 1 < 2 sen 20 < 2 => [2 sen 20] = 1 => r = 0. Si 0 = ti/4 = ^2 sen 20 = 2 => [2 sen 2 0] = 2 =* r = - 1 . Si 0 G <7t/4; 5tt/ 12] => 1 < 2 sen 20 < 2 => 12 sen 2 0] = 1 => r = 0. Si 0 6 <5tt/12; jt/2] =* 0 < 2 sen 20 < 1 =* 12 sen 20] = 0 => r = 1. Si 0 e (j t / 2; 7tt/12] =* - 1 < 2 sen 20 < 0 => 2 sen 2 0] = - 1 => r = 2. Si 0 6 <7tt/1 2; H tt/ 1 2 ) => - 2 < 2 sen 20 < - 1 =» [2 sen 2 0] = - 2 => r = Si 0 e [1171/12; 7r> => - 1 < 2 sen 20 < 0 => 12 sen 2 0] = - 1 =» r = 2. Si 0 = 7r => 2 sen 20 = 0 => [2 sen 2 0] = 0 => r = 1. La gráfica se muestra en la Fig. 5.13. 5.7 I N T E R S E C C I Ó N D E C U R V A S E N C O O R D E N A D A S P O L A R E S P ro p o sició n 1. S i r = / ( 0 ) es la ecuación de una curva en coordenadas polares, entonces ( - l ) n r = / ( 0 + 7i7r) , n £ Z (1 3 ) es también la ecuación de dicha curva. Considerando esta proposición, para hallar la intersección de dos curvas cuyas ecuaciones en coordenadas polares son r = f ( 6 ) y r = g ( 8 ) se siguen los siguientes pasos: 1. Se obtienen todas las ecuaciones distintas de las dos curvas aplicando (13) a cada una de ellas. r = f ( 9 ) , r = A ( 0 ) , r = f 2( 9 ) , ... r = g ( 9 ) , r = g ^ G ) , r = g 2(8 ) , ... 2. Se resuelven, para r y para 9, las ecuaciones simultáneas r = m fr = /i(0) [r = f(6) r = g ( 9 ) ' l r = ^ ( 0 ) ’ [ r = 5 l (0 ) ’ eiC' 248www.FreeLibros.com
  • 256.
    LO Ü KU tN A D A SPO LA RES 3. Se verifica si el polo es un punto de intersección haciendo r = 0 en cada ecuación para determinar si existe solución para 0 (no necesariamente la solución será la misma). I ara tener una idea respecto a la cantidad de puntos de intersección de dos curvas, se sugiere trazar sus gráficas previamente de m odo que se sim plifique el trabajo. Ejem plo 10. Halle las diferentes ecuaciones de las curvas a) r = 2 + eos 2 0 b) r = 2 + sen 0 a) Aplicando (13), las ecuaciones de r = 2 + eos 20 están dadas por ( - 1 ) nr = 2 + eos 2 (0 + n n ) , n E l Si n es par = * r = 2 + eos 29 . Si n es impar = > - r = 2 + eos 29. Luego, las diferentes ecuaciones de la curva son: r = 2 + eos 29 y r = - 2 - eos 20 b) De manera similar, las ecuaciones de r = 2 + sen 0 están dadas por ( - l ) nr = 2 + se n (0 + n n ) , n E TL Si n es par => r = 2 + sen 0. Si n es impar = > - r = 2 - sen 0. Luego, las diferentes ecuaciones de la curva son: r = 2 + s e n 0 y r = - 2 + s e n 0 Eje m plo 11. Halle los puntos de intersección de las curvas cuyas ecuaciones en coordenadas polares son V 2 r = 3 y r 2 = - 9 eos 20. Las gráficas de estas curvas se muestran en la Fig. 5.14. Considerando las simetrías de estas curvas (respecto al eje polar, al eje n / 2 y al polo), es suficiente hallar un punto de intersección. A l resolver simultáneamentesus i— — — — — - ♦ i . , i ' - 7 C O S ( Z t ecuaciones, se obtiene T 9 1 Solución Solución Luego, los puntos de intersección son: - = — 9 eos 2 0 = > c o s 2 0 = — 2 2 J lr = l Fig. 5.14 249www.FreeLibros.com
  • 257.
    TÓPICOS DECÁLCULO- VOLUMENII Kjeinplo 12. Halle los puntos de intersección de las curvas r = 2 eos 0 y r = 2 sen 6 Solución Las gráficas de estas curvas (circunferencias) se muestran en la figura 5.15. E s evidente que el polo es un punto de la intersección (en r = 2 eos 6 para G = 7r/2 => r = 0; en r = 2 sen G para Q - o => r = 0). N o es necesario hallar las diferentes ecuaciones de las dos curvas, ya que al resolver simultáneamente sus ecuaciones se obtiene 2 eos 6 = 2 sen 6 => tan 6 = 1 => Q = — 4 Luego, los puntos de intersección son P ( V 2; 7r/4) y el polo. Eje m plo 13. Halle los puntos de intersección de las curvas r = 4 (1 + sen 6) y r ( 1 - sen 6) = 3 Solución Las gráficas de r = 4 (1 + sen 6 ) (cardioide) y r ( 1 - sen 0 ) = 3 (parábola) se muestran en la Fig. 5.16. Se observa que el polo no pertenece a la intersección. N o es necesario hallar las otras ecuaciones de estas curvas, pues al resolver simultáneamente sus ecuaciones se obtienen los cuatro puntos que se observan en el gráfico. E n efecto, 4 (1 + sen 6) = 3 / (1 - sen 6) ^ 4 e os26 = 3 => eos 6 = ± V 3 / 2 llr c ~ 6 ~ Sn 7n T ’ e - e ’ d Luego, los puntos de intersección son 4 (6 ; 7r/6) , 6 (6 ; 5n/6), C(2 ;7 tt/ 6 ) y D (2 ; ll7 r / 6 ) 250 Fig. 5.16 www.FreeLibros.com
  • 258.
    5.8 D ER I V A D A S Y R E C T A S T A N G E N T E S E N C O O R D E N A D A S P O L A R E S Sea r —f (0 ) la ecuación de una curva. D e las fórm ulas (x = f ( 9 ) eos 9 (y = / ( 0 ) s e n 0 que son las ecuaciones paramétricas con parámetro 0, de donde C O O R D E N A D A S PO LA R ES x = r e o s 9 A y = r sen 6 se obtienen P (y = d y d y _ ¿e_ d y _ f ' { 9 ) sen 8 + / ( 0 ) eos 9 dx dx^' dx / '( 0 ) eos 9 —/ ( 0 ) s e n 9 dG (1 4 ) C om o sabemos, esta derivada es la pendiente de la recta tangente a la curva en el punto (x ; y ), es decir, d y — = tan a dx (1 5 ) donde a es el ángulo de inclinación de la recta tangente a la curva. Sea P ( r 9 ) el punto de tangencia y /? el ángulo que forma el radio vector O P y la recta tangente. Exam inarem os los siguientes casos: En el caso (a): a = 9 + p => p = a —9 En el caso (b): p = a + n - 9 => p = n + (a - 9), dedonde: tan p = tanfrr + (a - 0 )] = ta n (a - 9) L o que significa que en am bas situaciones se verifica tan p = ta n (a - 0), es decir, tan p = tan a —tan 9 1 + tan a tan 9 (1 6 ) 251www.FreeLibros.com
  • 259.
    TÓPICOS DE CÁLCULO- VOLUMEN II C o n s id e ra n d o (1 4 ) y (1 5 ) se o b tie n e tan /? = / '( 0 ) s e n 0 + / ( 0 ) cosd _ fí f ' ( 9 ) eos 6 - / (fl)se n 6 i 4. f i a s e n e + f{B) cose 1 + f ' fñ'l rnc fí - f fffYcen fí/ '( 0 ) eos 0 - / ( 0 )se n fí Sim plificando se obtiene / (« ) tan/? = -777^ -, esto es, f i e y dr tan P ~ ° d 0 :::rc o ti? <-1 ? ') l e “L a derivada del radio vector r respecto al ángulo polar 6 es igual al producto de la longitud del primero por la cotangente del ángulo form ado por el radio vector y la tangente a la curva en el punto dado”. Eje m p lo 14. Halle los valores de P, a y las ecuaciones cartesiana y polar de la recta tangente a la curva r = a ( 1 — eos 0 ) en 0 = tt/6 (a > 0). So lu ción L a gráfica de r = a ( l — eos 0 ) (cardioide) se muestra en la Fig. 5.18. dr d6 = a sen 6, de donde tan /? a ( 1 - eos 0 ) a sen 0 2 se n 2 2 o 0 0 2 sen 2 eos 2 Luego, tan /? = tan (0 / 2 ), de donde * = 2 = > * 7T 12 120” J y* I L 60° / S/ ^ ^ 1 1 J 240" K /a p S N T / 270" 300° El m ism o resultado se obtiene al reem plazar 0 = tt/ 6 en tan /? - Fig. 5.18 (1 - eos 0) a = e + p => « = jr/6 + n / 2 => a = rr/4 y la pendiente de la recta m r = 1 www.FreeLibros.com
  • 260.
    COORDENADAS POLARES O líaform a de obtener la pendiente es usando la fórm ula (14) d y / '( 0 ) s e n 8 4- / ( 0 ) c o s0 dr ~ TT7ñ-------o-----7 7 7 ------ 7 ■donde f ' { 9 ) = — = a sen 0 dx f ' { 8 ) c o s 8 - f ( 8 ) s e n 8 J d9 Reemplazando 8 = n / 6 en esta expresión se obtiene d y — •= m r = 1 dx Las coordenadas rectangulares (x; y ) del punto de tangencia son V 3 a / V 3 a ( V 3 x 0 = r c o s 0 = — I 1 - — 1, y 0 = r s e n 0 = - í l - ~ La ecuación cartesiana de la recta tangente es y - y 0 = l ( x - x 0), es decir, 5 - 3 V 3 x - y + • -a = 0 y la ecuación polar de esta recta es r eos 7n _ 3 V 3 - 5 4 ) 4 V 2 Ejem plo 15. Halle las ecuaciones cartesiana y polar de la recta tangente a la curva r 2 = 9 eos 2 8 en el punto P ( 3V 2/2; n/6 ). Solución C om o r 2 = 9 eos 2 8, derivando implícitamente se obtiene: 9 sen 28 Luego, d y dx r' se n 8 + r eos 8 r' eos 8 - r sen 8 Reem plazando 3 V 2 7T , 3 V 3 r = - . e = -& y r obtenemos d y dx 3 n À 4 — 1 ' 1 1 1 1t s / s / .. X p ^ t V v V V v / ■ ** _ S r 1 —i— j — ► / 7 — X s X = 0 = m T Las coordenadas cartesianas de P son x - 3 ^ / 4 , y ecuación cartesiana de la recta tangente es y = 3 ^ 2 / 4 . Fig. 5.19 3/2/4. Por tanto, la La ecuación polar de està recta es r sen 8 = 3V 2/4. Ln la fig. 5.19 se muestra la gràfica de r 2 = 9 cos 28 (lemniscata de Bernoulli). 253 www.FreeLibros.com
  • 261.
    TÓPICOS DE CÁLCULO- VOLUMEN II 5.9 ÁNGULO EN TR E DOS CURVAS EN CO O RD EN AD A S PO L A R E S Sean C y C' dos curvas que se intersecan en el punto P. S i T y T' son, respectivamente, las rectas tangentes a las curvas en el punto P, el ángulo entre las dos curvas en el punto P es el ángulo form ado por las tangentes T y T'. Si las ecuaciones de las curvas C y C' están en coordenadas polares y /? y /?' son, respectivamente, los ángulos que forman el eje polar y las rectas tangentes T y T' (Fig. 5.20), entonces: 4-TPT' = 4-OPT' - 4-OPT, es decir, 0 = /?' - P Luego, tan 0 tan /?' - tan /? Fig. 5.20 (1 8 ) 1 + tan /?'tan /? (tan/?' y t a n /? se calculan aplicando (17) en elpunto de intersección de las curvas) Observación 4. Como la discusión del ángulo puede presentar dificultades, se calcula el ángulo agudo entre las tangentes a las curvas considerando ¡tan (p. En todo caso, la interpretación gráfica del problema simplifica los cálculos. E je m p lo 16. H alle el ángulo de intersección entrelas curvas 4 r c o s 0 = 3 y r - 3 eos 6. So lu ción D e la gráfica de las dos curvas (fig. 5.21), se obtiene <p = P' ~ P- Para hallar los puntos de intersección resolvem os simultáneamente sus ecuaciones y obtenemos 3 =i> eos 0 = - 4 eos 6 n Sn “ " = 6 V 6 = ~ 6 L o s puntos de intersección son P (3/ 2 ; 7r/6) y <2(3/2; S jt/6). www.FreeLibros.com
  • 262.
    Solamente hallarem osel ángulo entre las dos curvas en el punto P (se deja como ejercicio allector el ángulo en el punto Q). 3 dr 3 sen 6 0 r - -ñ ^ ~T7T = 1------777 Y tan /?' - cot 0 4 cosfl dd 4 co s20 ^ . „ d r n) r = 3 eos 0 =* — = - 3 sen0 y tan Z? = - 3 cot 0 dd r Por la dirección de los ángulos y aplicando (18), se tiene: tanp - tan /?' -cot 0 - cot 0 tan <p= ———---------- tan ó ~ ------------- v 1 + tan p tan /? 9 1 - co t20 Para 0 = n / 6 => tan 0 = - V 3 . Finalmente, (p = 2n/3. COORDENADAS POLARES E JE R C IC IO S I. Exprese en coordenadas polares los siguientes puntos dados en coordenadas rectangulares. 1) P ( 3 / 2 ; - 3 / 2 ) 2 ) P ( 1 ; - V 3 ) 3) ( - V 3 ; 1) 4) P ( V 8 ; V 2 ) 5) P ( — 8; 8 ) 6) (4; 4 ^ 3 ) II. Exprese en coordenadas rectangulares ios siguientes puntos dados en coordenadas polares. I) P (3 ;3 tt/ 4 ) 2) P ( - 2 ; n ) 3) P ( 4 ; - 2 7 r / 3 ) 4) P ( — 2; — S tt/ 1 2 ) 5) P ( — 1/2; - tt/ 4) . 6) P ( 3 ; 2 ) III. H alle las ecuaciones polares de: 1 • y - 5 = 0 R. r sen 0 = 5 2. x 2 - x 2y 2 - y 4 = 0 3. x 2 + y 2 —4x + 2y = 0 R. r — 2 (2 eos 0 — se n 0 ) 4. 6 x y = 5 /?. 3 r 2 sen 2 0 = 5 5 . y 2 = x 3/ ( 2 a - x ) R. 2a tan 0 sen 0 = r 6. x 2 + y 2 — 2 y = 0 fl. r = 2 sen 0 7. 3 (x — 2 ) 2 + 4 y 2 = 16 ß. r ( 2 - eos 0 ) = 6 8. y 2 - 4x - 4 = 0 R. r (1 - eos 0 ) = 2 2 5 5www.FreeLibros.com
  • 263.
    TÓPICOS DE CÁLCULO-VOLUMEN II 9. 3 x 2 + 4 y 2 - 6x - 9 = 0 R. r 2( 3 + sen20 ) = 3 (2 r eos 0 - 3 ) 1 0 .2 x y = a 2 R- r 2 sen 20 - a 2 11. x 2 - y 2 = a 2 R. r 2 eos 26 = a 2 IV . H alle las ecuaciones rectangulares de 1. r = a sen 9 - b c o s O Æ. x 2 + y 2 + b x - a y = 0 2. r 2 = a 2 eos 20 R. ( x 2 + y 2) 2 = a 2( x 2 - y 2) 3. r ( l - eos 0) = 4 R. y 2 = 8 (x + 2) 4. r ( 2 - eos 0) = 3 R. 3 x 2 + 4 y 2 - 6x - 9 = 0 5. r ( l - 2 eos 0 ) = 4 R. 3 x 2 — y 2 + 1 6 x + 16 = 0 6. r = a ( l — eos 0) R. ( x 2 + y 2 - ax) = a 2( x 2 + y 2) 7. r 2 eos 2 0 = 3 fí. x 2 - y 2 = 3 8. r = 2 eos 20 R. (x 2 + y 2) 2 = 2 ( x 2 - y 2) 9. r sen 20 = 4 R. x 2y 2 = 4 ( x 2 + y 2) 10. r = a sec 0 + b R. (x - a ) 2( x 2 + y 2) = ¿>2x 2 11. r sen20 = 4 eos 0 Æ. y 2 = 4x 12. r = sen 20 ñ. (x 2 + y 2) 3 = 4 x 2y 2 V . Ejercicios diversos. 1. Dem uestre que el área del triángulo de vértices Cril ^ i). (r 3 ^ 3 ) está dada por 1 rsen (02 - 0 i) sen (03 - 02) sen (0x - 0 3)] r * ™ í— í — + — ñ — + ü 1 2. Halle la longitud de los lados y el área del triángulo de vértices a) (1; 7t/ 3) , (2; ít/ 6) y (3; — tt/6) fí. J 5 - 2 V 3 , V 7 , V lÓ , ^ ( 3 V 3 - 2 ) b) (2; tt/ 8 ) , (4 ; 3 rr/8 ) y ( - 1 ; 7 tt/ 8 ) _________ /?. 2 j s ^ 2 V I , j 5 - 2 V 2 , V Í 7 , ^ ( 5 V 2 - 4 ) www.FreeLibros.com
  • 264.
    COORDENADAS POLARES i. Demuestreque el ángulo entre las rectas: r co s(0 - o)) = p y r co s(0 - a>') - p ' es a - (o '1. Halle la ecuación de la recta que pasa por los puntos i4(r1; 0 1) y S ( r 2; 0 2). Sugerencia: considere un punto P (r; 0 ) cualquiera de las rectas y las áreas de los triángulos OAB, OBP y OPA. se n (0 t - 0 2) se n (0 2 ~ 0 ) se n (0 — 0 j) ----------------- - H---------------------- 1-------------------- = 0 r r x r2 5. Halle la ecuación de la recta que pasa por el punto ( r ^ - j y es perpendicular a la recta r e os(0 - cu) = p. R. r se n (0 - coi) = T ^ s e n ^ - oj) 6. Si C ( a ; a ) es el centro de una circunferencia de radio a expresado en coordenadas polares, demuestre que r = 2a eos (0 - a ) es la ecuación de la circunferencia que pasa por el polo. 7. P es cualquier punto de la circunferencia r 2 - 2re eos(0 - a ) + c 2 - a 2 = 0. Si O es el polo y Q un punto sobre OP de manera que: OP _____ i) = = k ii) OP.OQ = d 2 OQ Halle la ecuación del lugar geométrico descrito por Q en cada caso. R. i) k 2r 2 - 2 ck r c o s(8 - a) + c 2 - a 2 = 0 ii) (c 2 - a 2) r 2 - 2 c d 2r c o s ( 0 - a ) + d*= 0 8. S i el foco de una cónica (parábola, elipse o hipérbola) está en el polo y la directriz de lacónica es una recta perpendicular al eje polar que está a una distancia de 2p (p > 0), la ecuación de la cónica está dada por: 2 ep r = — ----------- , e es la excentricidad de la cónica (19) l ± e c o s 0 v J (la cónica es una elipse si 0 < e < 1 , una parábola si e - 1 y una hipérbola si e > 1). Si la directriz está a la izquierda del polo, el signo de (19) es en cambio, si la directriz está a la derecha del polo, el signo de (19) es + . S i el foco se mantiene en el polo y la directriz es paralela al eje polar, la ecuación de la cónica está dada por 2 ep r ~ 1 ± e sen 0 (' 2 0 ) Si la directriz está debajo del eje polar, el signo de (20) es - y si la directriz está sobre el eje polar, el signo es + . 2 5 7www.FreeLibros.com
  • 265.
    a) Halle laecuación de la elipse con foco en el polo, excentricidad e = - y directriz perpendicular al eje polar en el punto ( — 4; 0). 4 R. r = TÓPICOS DE CÁLCULO - VOLUMEN II 2 —eos 8 b) Halle la ecuación de la parábola con foco en el polo y directriz perpendicular al eje polar en el punto ( — 3; 0). R. r 1 - eos 0 c) Describa y grafique la curva r = 16 5 + 3 sen 6 R. elipse V I.T ra ce la gráfica de cada una de las ecuaciones siguientes. 1. r = 5 sen 0 + 4 c o s 0 3. r eos 0 = 6 5. r 2 = 16 sen 20 7. r ( 1 + se n 0 ) = 8 9. r 2c o s30 = a sen 0 11. r = a se n 2 - 13. r = a 0, espiral de Arquím edes 15. r = a ( l + eos 0), cardioide 17. r 2 = a 2se n 20, lemniscata 19. r = 4 eos 30, rosa de 3 pétalos 21. r = a sen 30, rosa de 3 pétalos 23. r = a eos 20, rosa de 4 pétalos 25. r = a eos 40, rosa de 8 pétalos 27. r = a eos 50, rosa de 5 pétalos 28. r = a ( 2 + eos 0), caracol de Pascal. 29. r = a ( l - 2 eos 0), caracol de Pascal 30. r = 12 + 3 sen 2 0 ] 2. r sen 0 = 4 4. r z sen 2 0 = 16 6. r ( 2 — cos 0 ) = 4 8. r ( l - 2 cos 0 ) = 4, hipé'bola 10. r = 2 a tan 0 sen 0, cisoide 3 0 12. r = a se n J - 14. r = e a0, espirai logaritm ica 16. r = a ( l - cos 0), cardioide 18. r 2 — a 2 cos 20, lemniscata 20. r 2 — 4 r + 3 + 2 cos 0 = 0 22. r = a se n 20, rosa de 4 pétalos 24. r = a se n 4 0, rosa de 8 pétalos 26. r = a se n 50, rosa de 5 pétalos 2 5 8www.FreeLibros.com
  • 266.
    ' 2' 3 tt> R.( 2 V 2 ; Í ) ; ( 2 V 2 ;^ ) COORDENADAS POLARES 31. |r| = 3 eos 2 0 , 0 e [0; tt] 32. |r| = - 3 eos 29 , 9 e [0; rr] V II. Ejercicios sobre simetrías. 1. Determ ine la condición para que una curva sea simétrica con respecto al eje 7r/4. 2. Determ ine la condición para que una curva sea simétrica con respecto al eje 7T/3. V IH . Halle los puntos de intersección de los siguientes pares de curvas 1. r sen 9 = 2 a , r eos {9 - = a R. ( 2a; 2. r = 2 esc 9 , r = 4 sen 0 3. r = a , r = 2a eos 20 4. r = a ( l - e o s 0 ) , r = a c o s 0 /?. y e|p 0 |0 5. 3 r = 4 eos 0 , r ( l + eos 0 ) = 1R. (2/3; ± tt/ 3 ) 6. r = 4 tan 0 se n 0 , r = 4 eos 0 7. r 2 sen 20 = 8 , r eos 0 = 2 8. r = 1 + c o s 0 , 2 r = 3 19. r = - sec¿ - , r = 2 2 2 0 1 10. 3 r = 4 eos 0 , r e o s2 — = — 2 2 11. r = l + c o s 0 , 2 r ( l - c o s 0 ) = l 12. r eos 0 = 4 , r = 10 sen 0 13. r = a( 1 + se n 0 ) , r = a ( l - sen 0 ) 14. r = 3 + e o s 4 0 , r = 2 - c o s 4 0 15. r = 2 + eos 20, r = 2 + sen 0 259www.FreeLibros.com
  • 267.
    IX. I lallelos ángulos /?, a y la pendiente de la recta tangente para las siguientes curvas en los puntos dados. Trace la gráfica de la curva. n _ 37r 1. r = 4 (1 + sen 0 ) ; P (4 ; 0 ) P ~ 4 ' “ “ 4 TÓPICOS DE CÁLCULO - VOLUMEN II 2 . r 2 = a z ( c o s 2 0 ) ; p ( - ^ ; - ) P 3. r ( l + sen 0 ) = 4 ; Px (2; —) , P2(4; n ) 57T ~6~ 7T 4. r = 4 sen 30 ; P(4;—) 7T 271 5. r = a sen 0 ; 0 = 6. r = a sen 20 ; Px ^ 1a; l ) ' ( ° :f ) 7. r (l - sen 0); P(a;7r) 8. r = a sec20 ; P (2a;-) X . Halle el ángulo de intersección entre las curvas siguientes en los puntos que se indican. 'V 2 n n 1.r = a c o s 0 , r = a s e n 0 ; en P ^ a;4 j R' 2 / 2 t a ^ 2 . r = 4 eos 0 , r = 4 c o s20 - 3 ; en P ^ - 2 ; — J 2 n 3 . r = a , r = 2 a sen a ; en P (a ; - ) 4 r = - a se n 0 , r = eos 0 ; enelpolo X I.Halle los ángulos de intersección de las curvas siguientes: 1. 2r = 3 , r = a + c o s 0 P .jr/6 2. 3 r = 1 0 , r ( 2 - se n 0 ) = 5 R. n / 3 3 . r = 1 — se n 0 , r = 1 4- se n 0 R . 0 o e n e l p o lo , n/2 e n (1 ; 7r ) ; — e n ( l ; 0 ) 260 www.FreeLibros.com
  • 268.
    C O OR D E N A D A S PO LA RES 4 . r = e o s 0 , r = se n 29 /V 2 TT R. 0o en (0; n/2) ; 79°6' aprox. en j[ — ;— 6 5. r 2 s e n 29 = 4 , r 2 = 1 6 se n 2 0 R. tt/3 6. r ( l - eos 0 ) = 4 , r ( 2 + c o s 0 ) = 2 0 7. r = 3 (1 - eos 0 ) , r = 3 eos 0 8. r = a e o s 0 , r = - a se n 2 0 R. 0o en el polo, arctan 3 V 3 en los otros puntos 9. r = s e c 0 , r se n 29 = 2 R. Las curvas no se cortan X II. En los ejercicios del 1 al 4, demuestre que las siguientes curvas se cortan en ángulo recto. 1. r( 1 + eos 9) = a , r ( 1 - eos 9) - b 2. r = a ( l + eos 0 ) , r = a( 1 - eos 0) 3. r - 2 a eos 0 , r - 2b sen 0 4. r = 4 co s(0 — n / 3 ) , r 2 — 6r eos 0 + 6 = 0 5. Halle la condición para que las circunferencias r 2 - 2 cr e o s(0 - a ) + c 2 - a 2 = 0 y r 2 + 2 c'rcos(9 — a ') + c '2 — a '2 = 0 se corten ortogonalmente. 6. Demuestre que r c o s(0 — oj) = a + c eos (a — w ) es tangente a la circunferencia r 2 — 2 c r c o s(0 — a ) + c 2 — a 2 = 0. 7. Halle las coordenadas polares de los centros y los radios de ¡as circunferencias r = 4 eos ^0 — — J y r 2 - 2r eos 0 - 2 = 0 Pruebe además que las circunferencias se cortan ortogonalmente (dos circunferencias se cortan ortogonalmente si la sum a' de los cuadrados de sus radios es igual al cuadrado de la distancia entre sus centros). R. c 2 + c12 — 2 cc' eos (a — a ') = a 2 + a'2 261www.FreeLibros.com
  • 269.
    Ivn esta seccióndeducirem os una fórm ula que permita obtener el área de una región F (Fig. 5.22) limitada por una ecuación polar, esto es, F = {(r; 0 ) É l 2 / a < 9 < p , 0 < r < / ( 0 ) } donde /: [a; /?] -» E es una función continua y no negativa. TÓPICOS DE CÁLCULO - VOLUMEN II 5.10 ÁREAS EN CO O RD EN AD A S PO LA RES Fig. 5.22 m g. En términos sim ples, F es la región comprendida entre las gráficas de r = / ( 0 ) , eje a , eje /? (co n a < /?) Sea 0o e [ a p ] y sea A(0O) el área del sector limitado por la curva r = f ( 9 ) y por las rectas 9 = a y 8 = 90. Sea 60 + A0 6 [a; /?], con A 0 > 0, y . m = m ín f { 9 ) A = m áx / ( 0 ) 0o<e<eo+Ae tío<0íeo+A0 El área A(60 + A9) - A(90) está comprendida entre las áreas de ios sectores circulares de radios m y M (Fig. 5.23). Para A0 > 0 se tiene m 2A9 M2A9 Luego. < A(80 + A9) - A(90) < m 2 ^ A (90 + A 9) —A(90) ^ M2 ~ Y ~ A 6 “ ~2 C om o f 2/ 2 es continua en [0O; 0 O + A 0 ] , por el teorema de los valores intermedios, existe 9 G [90 90 + A 0 ] tal que f 2(9) A (9n + A 0 ) — A(90) 2 A 9 Por la continuidad de f 2/2 en 0 O, se sigue que A{9a + A0) - A(90) f 2(90) lim A9 2 6 2www.FreeLibros.com
  • 270.
    C O OR D E N A D A S PO LA RES Procediendo de m odo análogo, para A0 < 0 . se tiene lim A (°o + M ) - M Q 0) f 2(Q0) A 0 -0 - AO 2 l’or tanto, A ' ( 9 ) = ~ y ^ , V 0 € [ a , P ( * ) l’or consiguiente, de (*) se deduce que la fórm ula para hallar el área de la región /■' expresada en coordenadas polares es 1 [P a ^ = 2 ¡ f 2W 0 Observación 5. Sean f , g: [a; /?] -> M funciones continuas en [a, p] tales que () S g( 8 ) < f ( 9 ) , V 6 e [a;P], y sea F la región limitada por las gráficas cíe >' = 9 ( 0 ) , r = f ( 9 ) y ¡as rectas 0 = a y 0 = fJ (Fig. 5.24). Entonces el área de la región F está dada por A{F) = f [ f 2(6) - g d ) ] d O Jir l.jem plo 17. Calcule el área de la región /•’ limitada por la curva r - 2 + eos U y los ejes 0 = 0 y 0 = n/ 2. Solución I .a gráfica de la región F se muestra en la fig. 5.25. A l aplicar la fórm ula correspondiente para hallar el área, se tiene + 1 6 , = ----- M F) = + c o s 0 ) 2 d0 = ^ J g2 (4 + 4 c o s 0 + 1-+ .™ S dd 263www.FreeLibros.com
  • 271.
    Ejem plo 18.Calcule el área de la región limitada por la lemniscata r 2 = a 2 eos 20 So lu ción C om o la lemniscata es una curva simétrica respecto al eje polar, es suficiente m ultiplicar por 4 el área de la región R (Fig. 5,2o). Entonces TOPICOS DE CALCULO - VOLUMEN II A(F) = 4 n i r* J 4«Jo 2 eos 29 d9 E je m p lo 19. H alle el área de la región lífnitada por lás parábolas r ( l + eos 9) = 4 y r ( 1 - eos 0 ) - 4. So lu ción E n este ca¿&, una parábola es simétrica á la otra parábola con respecto al eje n / 2 (al reemplazar 9 por n - 9 efl láf' primera ecuación, se obtiene la segunda ecuación). Estas parábola» son simétricas con respecto al eje polar y sus puntos de intersección son los puntos 4 (4 ;7 r/ 2 ) y B (4 ;37 r/ 2 ). Considerando las simetrías, el área de la región enjre estas parábolas (Fig. 5.27) es 4 veces el área de la región R. En la integral se utilizará la identidad (1 + eos 9 = 2 e o s20/2). A(F) = 4 1 f I 16 d9 _ ÍJ d9 _ [2 2 J0 ( l + c o s 0 ) 2 32 J0 [2 eos2 6/ 2] 2 J0 Ae sec — d9 64 Eje m plo 20. Calcule el área de la región que es interior a la curva r = 2a eos 30 y exterior a la circunferencia r = a, a > 0, So lu ción La región se muestra en la Fig. 5.28 (parte sombreada). Para hallar el área total es suficiente m ultiplicar por 6 el área de la región R. Entonces www.FreeLibros.com
  • 272.
    COORDENADAS POI..A RES 90' 120" 150°N. 60° / 30" R T l M k r = ; a eos 39 Fig. 5.28 Fig. 5.29 I jeinplo 21. Calcule el área de la región que es interior a las curvas V 2 r = 3 y r z = - 9 c o s 2 0 Solución La región es la parte som breada que se muestra en la c ig. 5.29. Por sim etría se (iene A(F) = 4 1 [3 2 f ' i 9 - j ¡ ! (-9 c o s 2 S )d e + - l - M 4 3 3 , — , = - ( 6 + 7r - 3 ^ 3 ) ^ E jem plo 22. Halle el área de la región que es interior a la curva r = 3 a eos 26 y exterior a la curva r = a ( l + eos 2 0 ) , a > 0. Solución La región es la parte som breada que se ilustra en la fig. 5,30. Por simetría, se tiene A ( F ) = 4 [A(RX) + A(Rz) l . dondfe 1 f 6 i) = y [9a2cosz.29 - a2( 1 + eos 26) 2] ‘ ^ Jo . - « ü f ^ i0 d<9 6(3 + 4 eos 4 0 - 2cos 2 0) dfl = ^ ^(^2) = 2J [9a2cos22ff - a2( 1 + eos 2 0 )2]d0 (donde a es tal que eos 2a == - 1 / 4 ) = - y J [3 + 4 e o s40 - 2 c o s2 0 ]d 0 = + ~ 7 r ~ “ 3 a 3 Luego, A(F) = a 2 ( 4 7 1 + ^ ^ 1 5 —6aj u2 = (9,95 a 2) u2: 265www.FreeLibros.com
  • 273.
    TÓPICOS DE CÁLCULO- VOLUMEN II 5.11 LO NG ITUD DE A RCO EN COORDENADAS PO L A R E S Para calcular la longitud de arco de una curva expresada por la ecuación polar r = f ( 9) , 9 6 [a;P], parametrizamos en términos del parámetro 0. A sí. las ecuaciones paramétricas de la curva son x = f ( B) e o s 9 A y = / (0 )s e n 8 , 9 6 [a;/?] donde / es una función con derivada continua V 9 6 [a; /?]. A l aplicar la derivada de un producto, se obtiene dx dy — = f ' { 9 ) eos 9 - / (0 )s e n 9 y — = / '(0 )se !n 0 + / ( 0 ) eos 0 uu do Entonces ÍS) +Q ’ Luego, aplicando la fórm ula de longitud de arco de una curva dada en ecuaciones paramétricas, se tiene c}ue la longitud de arco de r = / (9) desde 9 = a hasta 9 = ¡i está dada por ’ L = f V I / ( 0 ) P + [ / '( 0 ) ] 2 d.9 Eje m plo 23. H alle a longitud de arco de la curva r = a se n 3(0 / 3 ) , a > 0. Solución L a gráfica de la curva se muestra en la fig. 5.31. L a curva queda descrita si 9 6 [0; 37rJ (es simétrica respecto al eje rt/2). 6 6 0Q Com o [/ (0 )]2 + l/ '( 0 ) ] 2 = a2 se n 5 ~ + a 2sen4 - eos2 - = a2sen4—, entonces >J J ví r37r { 6 f 3n , 0 a f 3n ( 2d 3an ! ! Ja2 sen4 - d9 = a sen2 — d.9 = — j (1 — eos — )d 9 = — — u ¡ . 3 i p 3 2 J„ y j / 2Jo Fig. 5.31 266 Fig. 6.32 www.FreeLibros.com
  • 274.
    E jem plo24. Halle la longitud de arco de la parte de la parábola r = a se c 2( 6 / 2) cortada por la recta perpendicular que pasa por eí polo. Solución La gráfica se muestra en la fig. 5.32. Se tiene ~ n f 2 < 0 < n / 2 y dr ¿jj = / '(Ö ) = a sec2(0/2)tan (0/2) Aplicando la fórm ula correspondiente, se tiene n "2 9 secs — d9 COORDENADAS POLARES 1 = / l V [ / ( 0 ) ] 2 + [/ '( 0 ) ] 2 d9 = a f ~Z — í ® i. ® , I ® e V- — a sec — ta n — + ln se c— + ta n — J l 2 2 1 2 2 2 = 2 a[V 2 + ln (V 2 + l) ] u Ejem plo 25. Halle la longitud de la curva r = 2b tan 0 sen 0, b > 0 desde 0 = 0 hasta 0 = tt/3. Solución La gráfica de la curva se muestra en la fig. 5.33. C on la fórm ula de la derivada obtenemos dr d9 - r' = 2b sen 0 (se c 20 + 1) Luego, TT ‘ 1 = l J r 2 + ( r ') 2 d9 n = 2 b j tan 0 V s e c 20 + 3 d9 Ln la última integral hacem os el cam bio de variable u 2 = se c 20 + 3. Entonces 2 u d u ~ 2 sec20 tan 0 d9 => tan 0 d6 - u du u 2 - 3 Cam biando los límites de integración, se tiene f V? U2 du ; = 2b J 2 L = 2b f v u 2 du H 7 3 i ^ 3 = 2 b l i l + ^ Í > du = 2 ¿ ( V 7 - 2 ) + V 3 f c l n f - p + V ^ ( V 7 ~ V I ) l(2-V3)(V7 + V3). . V 3 lu - V 3 u + — ln ------- - 2 u + V3 V7 www.FreeLibros.com
  • 275.
    5.12 V OL U M E N D E U N S Ó L I D O D E R E V O L U C I Ó N E N C O O R D E N A D A S P O L A R E S TÓPICOS DE CÁLCULO - VOLUMEN II En primer lugar, querem os calcular el volum en de un sólido (Fig. 5.35) obtenido por la rotación alrededor del eje x de un sector circular del plano xOy (Fig. 5.34) com prendido entre los ángulos 0* y 02. i / / y 1 i A X Fig. 5.34 E l sector circular puede ser descrito del siguiente modo: 0 < x < r c o s 02 y fi(x) < y < f 2{x) ) sect:or entre Qt y 02 r eos 02 < x < r eos 0, .y ft (x) < y < fl(x)) donde f x(x) = x tan 0r , /2(x ) = x tan 02, g{ x) = J r 2 - x 2 A l aplicar el método del disco, obtenemos ¡•r cos 0, rr cos0i V /•r eos 02 f r CO S0! | - r c o s 0 ! = .jr [f2(x)]2dx + n [g (x )l2dx — n I l A (x ) ] 2d r Jq- *^r eos 02 r.r eos 0 2 r r c o s 0 ! f r c o s O j = tt x 2 tan262 dx + u ( r 2 - x 2) dx - n x 2 tan201 dx J n -¡r eos 02 0 Haciendo los cálculos respectivos, se tiene 2 n r 3 1/ = — — (eos 0! - eos 0 2) (21) Ahora, nuestro propósito es calcular el volum en V del sólido obtenido por la rotación en torno al eje polar de la región plana F = ((r; 0 ) / 0 < r < f(fl) , a < 8 < (3} donde r = / ( 0 ) es la ecuación de una curva en coordenadas polares (/ es continua en [a; /?]) y F es la región limitada por las gráficas de la curva r = / ( 0 ) y los ejes 0 = a y 0 = /? (Fig. 5.36). 2 6 8www.FreeLibros.com
  • 276.
    COORDENADAS POLARES Sean 90y 80 + A 8 dos puntos de [a;/?], con A 8 > 0. y m = «, A M = m áx f { S )90<8<60T&e 80<8<60-rAe I- I volum en obtenido por rotación del sector F com prendido entre 80 y 8n + A 8 (Fig. 5.37) es. según la fórm ula (21). ¿ 7n n 3 2 tzM 3 - J ~ [eos 0O- eos (0O+ A0] < V(6„ + A0) - V(80) < — - [eos 0O- eos (0O-i- A0)j Dividiendo entre A 0 > 0 se tiene ¿711W? rc o s 0 n - eos (6>0 + A 0 ) 1 V (60 + A 0 ) - V(80) 2ttA/3 rc o s0 c - eos (6 + A fl)i 3 ‘ AS j - re----------- £ — [----------------------------- J Com o f 3 es continua en [80;8 0 + &8], por el teorema de los valores intermedios, existe Qx e [0O; 80 + A 0 ] tal que A 8 2 n f 8 J eos 80 - eos(80 + A 0 )i 3 A 8 I ornando limite cuando A 8 -> 0 + , debido a la continuidad de f en 8n, se tiene 27r / 3(0 o) n 1/ j = ------- --------- sen ^ Del m ism o m odo se hace para A 8 < 0. Por tanto. f 3(80) V'(ßo) = -se n 0, malmente, el volum en del sólido es V = V(ß) - V(a). esto es 2rr f ß , i/ = r l f í n ,)se n 8 dB 269www.FreeLibros.com
  • 277.
    TÓPICOS DE CÁLCULO- VOLUMEN II Eje m plo 26. Calcule el volum en del sólido obtenido al hacer girar el cardioide r = a( 1 + c o s 0 ) , a > 0, alrededor del eje polar. Solución En la figura 5.38 se observa que para obtener el referido volum en es suficiente girar en torno al eje polar la parte del cardioide que está en el sem iplano superior. Entonces se tiene: o (1 + c o : É»)4] 71 r = a(l+ eos 0) Fig. 5.38 www.FreeLibros.com
  • 278.
    COORDENADAS POLARES E JER C IC IO S En c ad a uno de los siguientes ejercicios, calcule el área de la región lim itada por las curvas (d ad as en coo rd en ad as polares) que se indican y b o sq u e je la gráfica de la región. 1. r = a eos 6 , 0< 0 < n /3 R. (0,37a z)u 2 2. r = a ( l — eos 9) r , ^ l a 2^u 2 3. r = 4 eos 20 R. 4-nu2 4. r = a sen 26 r , na 5. r = eos 30 r , — u 2 2 12 6. r = a eos 50 fl. ir a ' , ~ U 7. r 2 = a 2 sen 40 fi. a 2u 2 8. r = a ( 1 + 2 sen 8), 8 = - ~ v 0 = — 6 ' 6 /?. (n 3 V 3 ( H J u 9. r = |4 sen 2 0 ¡ fl. Qnu2 10. r = b + a eos 0 (0 < b < a) R. . - ( 2 ¿ 2 + a 2)w : 11. r = a eos 4 0 R. n a 2 ~~T U 12. r z = a 2 eos 80 R. a 2u 2 13. L a región es interior a las curvas r = 3 + eos 48 y r = 2 - eos 48. R. 37tt/6 u2 14. Laregión es interior a r = 3 + eos 48 y exterior a r = 2 - eos 40. 15. Laregión es interior a r = 2 - eos 40 y exterior a r = 3 + eos 40. 16. Laregión es interior a r = 2 + eos 20 y exterior a r = 2 + sen 0. R. 5 1 V 3 / 1 6 u 2 17. La región es interior a las curvas r = 2 + eos 20 y r = 2 + sen 0. www.FreeLibros.com
  • 279.
    las curvas r= 3a eos 20 y r = a (l + eos 20), TÓPICOS DE CÁLCULO - VOLUMEN II in te rio r a V 2 r = 3 y e x te rio r a ' r 2 = - 9 e o s 20^ 2 18. La región es interior a j * g R. ( 3 7 t - 9 + - V 3 j u 2 19. L a región es interior a a > 0. 20. La región está com prendida entre la parte ex.erna e intetna de 3 e K- “ 2 ----------5 5 --------- “ 2 r = asen '5- J 21. L a región está com prendida entre las curvas: 9 n , a) r — i — eos 20 , r — 2 (1 eos 2 0 ), 0 < 0 ^ R- ~ b) r = 2 a eos 0 , r = 2 a sen 0 , ^ ) , 2 c) r = a se n 0 , r = a ( l i- eos 0) d) r = 2 sen 2 0 , r = 2 eos 20 »• ( F 1) curva. 1 r = sen 9 , 0 S [0; 2rr] 2 . r = 20 , e e lo; 2« ) «■I2W T + 4F + '" t 2 " + ^ n R- 8 a u 3. r = o(l + eos 0 ) , a > 0 4 . e = i ( r + i ) desde r = 1 hasta r = 3 R . Í ( 4 + l n 3 ) U 5. El a l d e t a espiral logarítm ica r = m > 0, ,u e se encuentra dentro del círculo r - a. R. a N 1 + m z -------- - u m www.FreeLibros.com
  • 280.
    RECTAS Y PLANOSL= EN EL ESPACIO TRIDIMENSIONAL (-.1 V E C T O R E S E N E L E S P A C I O T R I D I M E N S I O N A L I I objetivo de esta sección, es recordar las operacio n es con v ecto res y sus propiedades con la finalidad de hacer uso de ellas en la siguiente sección, razón por la cual no se dem o strarán las propiedades. (».6.1 E l E S P A C I O E 3 1.1 espacio de d im en sió n tres es el conjunto de to d as las ternas o rd e n ad a s de núm eros reales y se d e n o ta con R 3 = { ( x ; y ; z ) / x , y , z 6 IR} Así, un vector en el espacio IR3 es una terna o rd en ad a de n ú m ero s reales y se denota con á = ( a ^ a ^ a - ^ ) Igualdad de Vectores Dos vectores a = ( a 1; a 2; a 3) y b = ( b 1 'l b 2 , b 3 ) en el espacio K 3 son iguales si solo sí sus co m p o n en tes corresp o n d ien tes son iguales, es decir d = b <=> a t = b lt a 2 = b 2 y a 3 = b 3 Vector nulo I s el vector que tiene todas sus co m p o n en tes iguales a cero y se den o ta con 0 -- (0; 0; 0 ). Este vecto r es el único vector que no tiene dirección especifica Suma de Vectores Sean á = ( a 1 ; a 2 ; a 3 ) y b = ( b 1 ; b 2 ; b 3) d o s vectores en el esp acio IR3, enlonces el vector á + b está d efinido com o á + b = ( a 1 + b 1 -,a2 + b 2 a 3 + b 3) Multiplicación de un escalar por un vector Sea r un escalar ( r 6 R ) y a = ( a : ; a 2 ; a :l) un vector en el espacio IR3, entonces 1.1 m ultiplicación del escalar r po r el vector ü está definido com o r á = (raí,- r a 2; r a 3) www.FreeLibros.com
  • 281.
    Si d ,b , c son vectores en el espacio IR3 y r , s G E se verifican las siguientes propiedades: 1. a + b es un vector en el espacio E 3. 2. á + b = b + á (Propiedad Conm utativa) 3. a + (b + c) = (a + b j + c (Propiedad Asociativa) 4. Existe un único vector cero 0 = (0; 0; 0)tal que á + 0 = a ,V a en l 3 5. Para cada vector a = (a 1; a 2; a 3), existeun único vector(opuestode a), - a = (~ a 1; - a 2; - a 3) tal que a + ( - a ) = 0 6. r a es un vector en E 3 7. r ( a + b) = r a + r b 8. (r + s ) a = r d + s a 9. r ( s a ) = ( r s) a 10. 1 a = a , V a en M3 Cualquier sistema matemático en el que estas propiedades son válidas, recibe el nombre' de espacio vectorial real. D e este m odo E 3 es un espacio vectorial real de dim ensión tres. Su stracción de vectores Sean a = (a x; a 2; a 3) y b = (i?x; b2; b3) dos vectores del espacio E 3, entonces la diferencia de estos vectores se define como a - b = a + ( — ib), es decir, a - b = (ax - bxa 2 - bza 3 —b3) 6.1.2R E P R E S E N T A C I Ó N G E O M É T R I C A D E U N V E C T O R E N E 3 D ado que un vector es un ente matemático que tiene dirección, sentido y longitud; es representado por un segmento orientado en el que se distingue un origen y un extremo. E l vector que tiene com o origen el origen de coordenadas y extremo cualquier punto P (x -,y;z) del espacio E 3 (Fig. 6.1) se llama vector de posición y se denota con a = OP = (x ;y ;z ) donde O es el origen de coordenadas. TOPICOS DE CALCULO - VOLUMEN II 6.1.1.1 PROPIEDADES www.FreeLibros.com
  • 282.
    RECTAS Y PLANOSEN EL ESPACIO TRIDIMENSIONAL l'n vector que tiene como origen un punto inicial P0 y extremo el punto A (l i;;. 6.2) se denomina vector libre y se denota con a = P0P: l'n la figura 6.3 se representa geométricamente las operaciones entre dos vectores tí y b. d - P,P2 - OPz - OPx = (x2; y2;z2) - (x1;y1;z1) = (x2 - Xl;y 2 - y i -.z2 - z j 275 www.FreeLibros.com
  • 283.
    Se dice quedos vectores a y b en el espacio R 3 son paralelos, si uno de ellos es múltiplo escalar del otro, es decir, a II í « a = r í V 5 = r ,s G R D o s vectores paralelos á y b tienen el m ism o sentido si á = rb, r > 0 D o s vectores paralelos a y b tienen sentidos opuestos si a = rb, r < 0 TOPICOS DE CALCULO - VOLUMEN II 6.1.3 VECTORES PARALELOS EN E 3 Ejem plo I ¡a) Si a = (1; 3; - 4 ) y b = ( 2 ; - 1 ; 2), encuentre los vectores a + b, d + b y 3 a - 2 b b) Determ ine s; cada par de los vectores dados a — (—1; 2; — 3) y b = (5; - 1 0 ; 1 5) , c = ( - 2 ; 4; - 6 ) y d = (0; 1; 3) son paralelos. So lu ción a) A l aplicar las definiciones dadas se tiene a + b = (1; 3; - 4 ) 4- (2; - 1 ; 2) = (3; 2; - 2 ) a — b = (1; 3; - 4 ) - (2; - 1 ; 2) = ( - 1 ; 4; - 6 ) 3 a - 2 b = 3(1; 3;- 4 ) - 2 ( 2 ; -1 ; 2) = (—1; 11; —16). b) Tenem os b = — 5 a = > a II b y tienen sentidos opuestos c = 2a => a c y tienen el m ism o sentido L os vectores a y d no son paralelos www.FreeLibros.com
  • 284.
    I.» longitud onorm a o módulo de un vector a — ( a ^ a 2; a 3) en el espacio M 3 se denota y se define com o Hall = V ai2 + a 22 + CL32 l’or ejemplo, si a = (1; 2; - 2 ) => ||a|| = j l 2 + 2 2 + ( - 2 ) 2 = 3 Observación 2 ti) La norma de un vector es la longitud del segmento orientado que lo representa (Fig. 6.5) ■h) Todo vector de longitud igual a 1 se llama vector unitario, es decir u es unitario si ||u|| = 1 ¡'i El vector unitario en la dirección del vector no nulo a es el vector _ 3. 6.1.4 MÓDULO O LONGITUD DE UN VECTOR EN M3 6.1.4.1 P R O P I E D A D E S Si a y b son vectores en el espacio R 3 y r es un escalar, entonces 1. ||a|| > 0 y ||a|| = 0 <=> a = 0 2. ||r a|| = |r|||a|| 3. ||a + b || < ||a|| + ||¿|| (Desigualdad triangular) 4. ||a||= ||—a|| 6.1.5 P R O D U C T O I N T E R N O O E S C A L A R D E V E C T O R E S E N E 3 Si a = (a t ;a2; a3) y b = (bt ; b2;b 3) son vectores en el espacio IR3 , entonces el producto interno o producto escalar de a y b es el número real definido y denotado por a • b = a xb1 + a 2b2 + a 3b3 (se lee " a punto ¿ ”) l’or ejemplo, si a = (5; 4; - 1 ) y b = (2; - 1 ; 3), entonces d - b = 5 (2 ) + 4 ( — 1) + ( - 1 ) 3 = 3 2 7 7 www.FreeLibros.com
  • 285.
    TOPICOS DE CALCULO- VOLUMEN II 6.1.5.1 P R O P IE D A D E S Sean á ,b y c vectores en el espacio R 3 y sea r un escalar. Entonces se tiene 1. á -b = b ■a (Propiedad Conm utativa) 2. ( r a) ■(b ) = r (a - b) 3. á - ( b ± c ) = d - b ± á - c (Propiedad Distributiva) 4. a •a = ||al|2 ; a ■a = 0 <=>á = 0 5. ||a+ ¿||2 = Hall2 + ||£||Z + 2a-b 6. ||a— b2 = Hall2 + ||fe||2 - 2a •5 7. ||a+ b||2 + ||a - fc||2 = 2[|a[|2 + 2||fo||2 (Ley del paralelogram o) 6.1.6 Á N G U L O S E N T R E D O S V E C T O R E S Sean a y b vi espacio R 3. E l ár a y b es el ] 0 (0 < Q < n) del partir de un m ism o Teorem a 1 S i 6 vectores no nulos entonces á eos 6 = — Ha D e m o stra ció n Ejercicio para el lector Observación 2 D el teorema 1 se deduce que unaform a alternativa para calcular el producto escalar de los vectores á y b es a - b = l|a||||£|| eos 9 setores no nulos en el igulo entre los vectores menor ángulo positivo lerminado por ambos al origen com ún (Fig. 6.6) es el ángulo entre dos á y b del espacio R 3, ~b y e / a O(origen) Fig. 6.6 2 7 8www.FreeLibros.com
  • 286.
    i i LA I N U O LIN l l W I V U . 1 U 1 K l U l l V I t I N j I U W A L (>■1.7 V E C T O R E S O R T O G O N A L E S O P E R P E N D I C U L A R E S Dos vectores no nulos a y b en el espacio R 3 son ortogonales o perpendiculares si el ángulo determinado por ambos es de 9 0 c T eorem a 2 D o s vectores no nulos á y b en ei espacio R 3 son perpendiculares si y solamente si á - b = 0 Observación 3 Sean a. y b vectores no nulos en el espacio R 3. De la figura 6.7 se tiene: u a 1 ¡b <=> ¡|a + ¿||" = j|a||2 + ||¿||“ {Teorema de Pitágoras) ií) á I b «=> ||a — b 'f = ||a||2 + ||fc||‘ Ejem plo 2 Halle el ángulo que forman los vectores d = ( 1 2 ; 0 ; - 6 ) y />' = ( — 6; 0; 3) Solución a ■b - 7 2 + 0 - 18 - 9 0 - 9 0 eos 9 = --------— = — ---------------- = ----------------= --------= — i = > q —n ||a||¡¡¿>|¡ v l 8 0 v 4 5 2 V 4 5 V 4 5 90 Ejem plo 3 Calcule el producto escalar de los vectores a y b si se sabe que forman un ángulo de 30°, ||a|| = 4 y ||fe|| = 6 V 3 Solución a - b = l|a||p|| eos 30° = 4 (ó V 3 ) = 36 Ejem plo 4 Sean a y b dos vectores que forman entre sí un ángulo de 45° y ¡|a|¡ = 3. Calcule |¡¿|¡ si se sabe que el vector a - b e s perpendicular al vector a. Solución l’uesto que el vector a — ¿ es perpendicular al vector a. se tiene (a - b) ■á = 0 <=* á • a = b ■a <=> ||a||2 = ||¿>||||a|| eos 45° » 9 = ||¿ ||(3 )(-^ j ~ ¡|¿|| = 3V2 Á a + b /r b b a Fig. 6.7 2 7 9 www.FreeLibros.com
  • 287.
    TOPICOS DE CALCULO- VOLUMEN II Ejem plo 5 Sean a ,b y c vectores en el espacio IR3 tales que ||a[| = 6. p|| = 2 V 3 y ||c|| = 2. Sabiendo que los vectores a y b forman un ángulo de 30°, los vectores b y c un ángulo de 6QC y los vectores a y c un ángulo de 90°, calcule a) a - ( b + c) b) ||a - c|| So lu ción Tenem os a) á - ( b + c) = á - b + d - c = H a llp H eos 30° + ||a||||c]| eos 90° = 6 ( 2 V 3 ) ^ ~ j + 6 (2 )( 0 ) = 18 b) ||a - c||2 = ||a||2 - 2 a •c + |lc|l2 = 36 - 2||a||l|c|| eos 90° + 4 = 40 D e donde se obtiene ||a - c|| = V 4 Ó 6.1.8 C O M P O N E N T E Y P R O Y E C C I Ó N O R T O G O N A L D E U N V E C T O R E N L A D I R E C C I Ó N D E O T R O V E C T O R Sean a y b vectores no nulos en el espacio K 3 A l vector OM (Fig. 6.8) se llama vector proyección orto go n al de a sobre b y se denota com o OM = P ro y ^ a En el siguiente teorema verem os el procedimiento para determinar este vector www.FreeLibros.com
  • 288.
    RECTAS Y PLANOSEN EL ESPACIO TRIDIMENSIONAL Teorem a 3 Sean a y b vectores no nulos en el espacio K 3, entonces ¡i) E l vector proyección ortogonal de a sobre b es el vector dado por d - úP ro y r a = b = pii; pii I)) A l escalar que m ultiplica al vector u n ita rio ur = - J - se denom ina IMI com ponente del vector a en la dirección b (se denota Com pga), es decir, ~ . a - b C o m p g a = Ejem plo 6 Halle el vector proyección ortogonal de a sobre b y la componente del vector á en la dirección b de los vectores a = (5; 0 :4 ) y b = (2; - 1 ; 2) Solución El vector proyección ortogonal de a sobre b es el vector -— . „ ( á - b r /10 + 0 + 8 n a = F F v— 9— J (2: ~ 1; 2 ) = 2(2; _ 1 ; 2 ) = (4; _ 2 ; .a componente del vector a en la dirección de b es el escalar a - b 18 6.1.8.1 P R O P IE D A D E S C o m p g a = = — = 6 Sean a , b y c vectores no nulos en el espacio K 3 y k un escalar cualquiera distinto de cero. Entonces I . P ro y ¿(a ± b ) = P roy f a ± Proy,? b 2. P ro y ¿(ka) = k P roy ¿a 3. P ro y (fcf)a = P ro y c-a 4. C o m p ¿(a ± b ) = C o m p ra ± C om p ró 5. C o m p ^ fc a ) = kCom p¿a , „ f C o m p ra , si k > 0 ' C - W Í - c ün, p , i , s i K , 281www.FreeLibros.com
  • 289.
    Eje m plo 7 Sean a y b vectores en el espacio E 3 que verifican a + 3b = 0 y c o m p ga = - 6 . Calcule el valor de A = 5 (3 a + 2b) • (3 a - 2b) Solución C om o a = - 3 b , entonces los vectores a y b tienen sentidos opuestos. Luego, el ángulo que forman estos vectores es 9 = rr. Adem ás, ||a|l = 1I-35H = 3||b|| (1 ) Por otra parte, • TOPICOS DE CALCULO - VOLUMEN II á - b Ha|| b I eos ti Compga = = ---------¡r^ --------= -||a|| - - 6 = * ||a|| - 6 (2 ) ' W MI Reem plazando (2) en (1) obtenemos ||5|| = 2 A h o ra bien, usando las propiedades del producto escalar resulta A = 5 ( 3 a + 2b) •(3 a - 2b) = 5 (9||a|i2 - 4||b||2) = 5 [9 (3 6 ) - 4 (4 )] = 1 5 4 0 E je m p lo 8 D ado el triángulo de vértices ¿4(5; 2; 3), B (8 ; 2 ; - 1 ) y C ( 3 ; 3 ; 5 ) a) Halle las componentes del vector Proy-^M N si se sabe que el vector MN es paralelo al vector AC , donde M está sobre el lado AB, N sobre el lado BC y MN = 18 b ) Calcule A = 5 ( AC ■üjg + - C o m p ^ ^ f l j Solución Sean los vectores AB = (3; 0; - 4 ) y AC = ( - 2 ; 1; 2) a) C om o MN || ~AC, entonces P roy ^ M N = MN. Adem ás, WÑ = kAC = fc( — 2; 1; 2) (fc > 0) Por otra parte, |¡MW|| = V 9 k 2 = 3fc = 18 = > k = 6 Por consiguiente, P royjgM N = 6 ( — 2; 1; 2) = ( — 12; 6; 1 2) b) A q u í tenemos AB 1 N 3 ^ 4^ ^ " p f ¡ “ 5 C 3 : 0 ; _ 4 ) " ( 5 ; ; 5 __ , ¿ f l - Z C - 6 - 8 14 ComPrcAB = = — 3— - - y AC Luego resulta /__ , 3 ___a ( 14 1 4 A = 5 yAC • Ujg + - C o m p ^ y lñ J = 5 ( - y - y ) = - 2 8 282www.FreeLibros.com
  • 290.
    a) Ln eltriángulo ABC que se muestra en la figura adjunta se tiene ,4(3; 1; 1) y ^r° y j c ^ = (2; — 1; 5). Determine las coordenadas del punto M , que es el pie de la perpendicular trazada del vértice B al lado AC. Ii) Si se sabe que los vectores unitarios u y v forman un ángulo de 120° y los Rectores w y v un ángulo de 90°, calcule el valor de ||Proyij(4u + vv) j| Solución ,i) Utilizando la definición de la proyección de un vector sobre otro, tenemos AM = P ro y^ A B = (2; - 1 ; 5) <=> O m - 3;y M - l;z M- 1) = (2; —1; 5) xM = 5 ,y M = 0 A z M = 6 Por lo tanto, las coordenadas del pie de la perpendicular trazada del vértice B al lado A C es A í( 5; 0; 6) I)) Tenem os ||u|| = ||i?|| = i, ü - v = ||u||||v|| eos 120° = - ^ y w - v = 0. A sí, ñ— • f*- —n /(4 u + vv) ■ / u Proyp(4u + w) - I ---------------- I v = (4u -v + w- v)v = 4 - J = - 2 v Por lo tanto, el módulo buscado es J|Proy^j (4 u + ív)|| = ||-2v|| = 2||í5|¡ = 2 (.1.9 P R O D U C T O V E C T O R I A L Sean a = ( a 1; a z; a 3) y b = (b1;b 2;b 3) dos vectores en el espacio E 3 Se denom ina producto vectorial de los vectores d y b al vector que es perpendicular al plano que contiene a los vectores á y b y se denota con ti x b. Antes de dar su definición precisa, es ^inveniente tener en cuenta la siguiente observación. RECTAS Y PLANOS EN EL ESPACIO TRIDIMENSIONAL E je m p lo 9 B 283www.FreeLibros.com
  • 291.
    Observación 4 Losvectores unitarios que siguen el sentido positivo de los ejes coordenados son TOPICOS DE CALCULO - VOLUMEN II i = (1; 0; 0), / = (0; 1; 0) y k = (0; 0; 1) A estos vectores también se ¡es llanta vectores de la base canónica en M 3 Los vectores unitarios T, j y k se utilizan para representar cualquier vector del espacio R 3 en su form a algebraica. En efecto, si a = (a-L; a 2; a 3) , entonces se tiene a = ( a i, a 2; a 3) = (a x; 0; 0) + (0; a 2; 0) + (0; 0; a 3) = a x(1; 0; 0 ) + a 2(0; 1; 0 ) + a 3(0; 0; 1) = a xí + a 2j + a3k Luego, todo vector a = (a 1(- a 2; a 3) se puede escribir en su form a algebraica cí = a-t i + a2J + a3k A hora podernos expresar el vector á x b en términos de los vectores í, / y k mediante el siguiente determinante de orden 3 x 3 a x b = T j k a l a 2 a 3 b, b2 a 2 a 31 | a l a 3 ¿1 b3J + b: a l a 2| = (a 2b3 - a 3b2)i —(a xb3 - a ^ ) / + (« 1^2 ~ a 2bx)k = (a 2b3 - a3b2; a 3foj - a x¿ 3; axb2 - a2bt ) Se verifica fácilmente que a • (a x b) — b • { a x b)= 0, es decir, elvector a x b es perpendicular a los vectores a y b. E je m p lo 10 Considerando los vectores a = ( ( 1 ; — 1;1) y b = (2 ;0 ; 1), halle un vector que sea perpendicular tanto a a com© a b Solución E l vector que es perpendicular a am bos vectores, es el vector á x b . A s í tenemos á x b = l J k 1 - 1 1 2 0 1 - 1 11 0 I I |1 lf - |1 12 i r I2k = - 1 + j + 2k 284www.FreeLibros.com
  • 292.
    RECTA S YPLANOS EN EL ESPACIO TRIDIM ENSIONAL 6.1.9.1 P R O P I E D A D E S Sean á, b y c vectores en el espacio R 3 y k cualquier escalar. Entonces I á x b = —b x a (Propiedad Anticonm utativa) á x (b ± c) = (á x b) ± (á x c)) , „ >Leyes d istrib u tiva s <. {a + b ) x c = a x c + b x c J l k d x b = a (k b ) = ká x ~b V a x á = 0 ><. a x b = Q < = > á b /. á ■(a x b) = 0 S.. b ■(a x b) — 0 '). ||a x ¿|| = ||a||||¿|| sen 6, donde Q es el ángulo entre a y b 10. ||a x ¿||2 = ||a||2 ||5||2 - (a •b) 2 11. S i a l i y a l c => a | | ¿ x c 12. X x J = k , j x k = l , k x~í = J 6.1.10 A P L I C A C I O N E S D E L P R O D U C T O V E C T O R I A L 6.1.10.1 Á R E A D E U N P A R A L E L O G R A M O Sean á y b vectores no nulos y no paralelos en el espacio K 3 . Ahora, considerem os que estos vectores son los lados de un paralelogramo, tal com o se muestra en la figura 6.10. El área A ^ del paralelogramo es A = (base) • (altura) = (||a||)(||6||sen 9) = ||<T x 1>|| u 2 Fig. 6.10 285 Fig. 6.11 www.FreeLibros.com
  • 293.
    TOPICOS DE CALCULO- VOLUMEN II 6.1.10.2 ÁREA DE UN TRIÁNGULO Sean a y b dos vectores no nulos y no paralelos en el espacio triángulo determinado por lós vectores a y b (Fig. 6.11) es , _ 11“ X ^11 -.2 E l área del 6.1*11 E L T R I P L E P R O D U C T O E S C A L A R O P R O D U C T O M I X T O D E V E C T O R E S Sean á = ( a 1; a 2; a 3), b = (£>!,- ¿?3) y c = (c i;c 2;c 3) vectores en el espacio R 3. E l triple producto escalar de los vectores a, b y c está definido y denotado por a. ( b x c) = a l a 2 a 3 ¿1 ¿2 ^3 c c 2 c 3 E je m p lo 11 D ados los vectores a = (1; - 1 ; 1), b = (0; 2; - 1 ) y c = (1; 0; 2), halle á ' ( i x c ) So lu ción Por la definición, se tiene 1 - i 1 a • (b x c) = 0 2 - 1 1 0 2 = 4 + 1 — 2 = 3 6.1.11.1 P R O P I E D A D E S Sean a, b y c vectores en el espacio M 3 1. E l triple producto escalar de los vectores a , b y c es independiente del orden circular de la operación, es decir, a •(b x c) = b • (c x a ) = c • ( a x b ) 2. L o s vectores a, b y c son coplanares (están en el m ism o plano) si y solamente si á ■(b X c) = 0 3. Si a ■(b x c) = 0, entonces uno de los vectores es el vector nulo o dos de'los vectores son paralelos o los tres vectores son coplanares. www.FreeLibros.com
  • 294.
    RECTAS y PLANOSEN EL ESPACIOTRIDIMENSIONAL 6.1.12 A P L I C A C I Ó N D E L T R I P L E P R O D U C T O E S C A L A R 6.1.12.1 V O L U M E N D E U N P A R A L E L E P Í P E D O ■'<-an á — AB, b AD y c = AE vectores determinados por las arism adyacentes de un páralelepípedo ABCDEFGH (Fig. 6.12). S d o ° ^ r n Vp del para,elepíped0 determinado por los vectores á, b y c está VP = d - ( b x C)| = A B - ( A D x AE)| u 3 D / j ^ A A Q A - ^ Dn a v= la.( ?Xc)| v =^|2.(*xc)| Hg. 6.12 — --------------------- ---------------- 6.1.12.2 V O L U M E N D E U N T E T R A E D R O Fig. 6.13 Sean a AB, b - AC y c = AD vectores determinados por las aristas adyacentes de un tetraedro D- ABC (Fig. 6.13). IA volumen VT del tetraedro determinado por los vectores a ,b y c está dado 1 6 1 . i ___> VT = - a - ( b x c ) = - A B - ( A C x A D ) u 3 por Ejem plo 12 El vector de posición a se encuentra en el plano y z y elvector de * sobre el^ eje y negativo, de manera que el ánguloentreellos es120°. II&II = v 2 7 y ||¿|| = 8, halle el vector a x b Solución Dado que d = (0; a 2; a3) y b = (0; b2; 0 ) (b2 < 0), se tiene ') ||6|| = = 8 = > b2 = - 8 = > b = (0; - 8 ; 0 ) í¡) l|5 x ¿|| = ||a||p ||sen 120° = V27 (8) = 36 287www.FreeLibros.com
  • 295.
    TOPICOS DE CALCULO- VOLUMEN 1! iii) á x b l J k 0 a 2 a3 0 - 8 0 = ( - 8 a 3; 0; 0) De ii) y iii) se obtiene ||a x b|| = j 6 4 a 3 - 36 = » a 3 = ± - Por lo tanto, el vector es a x b — (+ 3 6 ; 0; 0) E je m p lo 13 E n el paralelepípedo que se muestra en la figura adjunta se tiene A ( 1; 1; 1), B (3; 1; 1), C (3; 4; 1) y E ( 3; 1; 5) Calcule: ^ a) E l área del paralelogramo CDHE b) E l volum en del tetraedro de vértices A, B, C y H. Solución a) De la figura se obtiene CD = BA — (— 2; 0; 0), CE = (0; — 3; 4). Entonces CD x C S = ? 7 k -2 0 0 0 , - 3 4 (0;8;6) Luego, el áreft paralelogramo CDHE es A ^ = ||CD X C£|| = V 8 2 + 6 2 = 10 u 2 b)' D e la figura resulta //(l; 1; 5), entonces B C = (0; 3; 0), BA = ( - 2 ; 0; 0) y &H = ( - 2 ; 0; 4). Luego, BC x BA i J k 0 3 0 - 2 0 0 = (0;0;6) Por tanto, el Volum en del tetraedro H-BCA es VT — BH ■(BC x WÁ) — |24| = 4 u 3 6 6 Eje m plo 14 D ados los puntos >1(1; 0; 0), B (0; 3; 0), C (0; 0; 2 ) y D(x-, 0; 0) a) Determ ine el vector á , si se sabe que es perpendicular al plano que contiene al triángulo A B C y que ||a|| = 1 4 u b) Si el volum en del tetraedro C-ABD es 3 u 3, determine las coordenadas del punto D. 2 8 8www.FreeLibros.com
  • 296.
    Solución a) L os vectores AB = ( — 1; 3;G ) y AC == ( — 1; 0; 2 ) se encuentran en el m ism o plano del triángulo A B C , entonces RECTAS Y PLANOS EN EL ESPACIO TRIDIMENSIONAL i j k - 1 3 0 - 1 0 2 (6; 2; 3) C om o á A B x A C * = * a = kAB x AC = (6 k 2k; 3k). Puesto que ||a|| = 14, entonces ||a|| = V 3 6 fc 2 + 4/c2 + 9 k 2 = 14 <=> 7|fc| = 14 <=> k = ± 2 Por tanto, a = (12; 4; 6) V a = ( - 1 2 ; - 4 ; - 6 ) b) L o s vectores aristas adyacentes del tetraedro C - A B D son AB = ( - 1 ; 3; 0), A D = (x — 1; 0; 0) y AC = ( - 1 ; 0; 2) E l triple producto escalar de estos vectores es ___ - 1 3 0 AB ■(AD x AC) = x - 1 0 0 = - 6 ( x - 1) - 1 0 2 D ado que el volum en del tetraedro es 3 u 3 , entonces se tiene 1 ,— _ — . 1 Vt = - A B •( ADx AC ) l = — —6(x —1)| = x - 1| = 3 o 6 Por consiguiente, D ( — 2; 0; 0 ) V D ( 4 ; 0 ; 0 ) -2 V x = 4 E je m p lo 15 C on los puntos ^4(8; 0; 0), C (4; — 1; 1), D (6; 0; 5) y B (punto del primer octante) se form a un paralelepípedo cuyas aristas son los vectores A S , AC y AD a) Calcule el área de la cara del paralelepípedo que contiene a los puntos ¿4, C y D. b) Sabiendo que el vector AB es paralelo al vector n = (1; 1; 1) y el volum en del paralelepípedo es de 4 4 u 3, determine las coordenadas del punto B. Solución a) D ado que los vectores adyacentes que forman la cara A C H D (paralelogram o) del paralelepípedo son AC = ( - 4 ; - 1 ; 1) y AD = ( - 2 ; 0; 5), entonces A C x A D = i - 4 - 2 J k - 1 1 0 5 = ( - 5 ; 1 8 ; - 2 ) Luego, el área de la cara del paralelepípedo es A ^ = AC x AD = V 25 + 3 2 4 + 4 = V 3 5 3 u 2 289www.FreeLibros.com
  • 297.
    TOPICOS DE CALCULO-VOLUMEN II b) C om o AB II ñ — (1; 1; 1) = * AB = kn = (fc; k ; fc) (fc > 0). Luego, k k k AB ■(AC x AD = - 4 - 1 1 - 2 0 5 = 1 1 * Puesto que el volum en del paralelepípedo es 4 4 u 3 , entonces se tiene VP = A B - ( A C x AD)| = |llfc| = 4 4 <=> k = 4 Por tanto, de AB = (4; 4; 4 ) resulta B = (12; 4; 4) E je m p lo 16 a) Si los vectores á ,b y e son unitarios y satisfacen la condición: a + b + c = 0, calcule el valor de M = a -b + b ■c + a ■c b) L o s vectores a y b son tridimensionales y forman un ángulo de 30°. Si ||a|| = 4 , ||ft|| = 6, utilizando el álgebra vectorial, calcule el área del triángulo cuyos lados adyacentes son los vectores a y b . So lu ción - » 2 a) D ado que a + b + c = 0 = > ||a + b + c|| = 0 <=> ||a + b + c|| = 0 <=> ||a||2 + ||¿|| + ||c||2 + 2a ■b + 2a ■c + 2b • c = 0 (*) C om o los vectores a ,b y e son unitarios, entonces ||a|| = ||fo|| = ||c|| = 1 Reem plazando estos valores en (*) se obtiene - - 3 l + l + l + 2 a - b + 2 a ' C + 2 b - c = 0 = * M = a - b + a - c + b - c = — 2 b) E l área del triángulo cuyos lados adyacentes son los vectores a y b es ¿a = ja x ¿|| = ^ ||o||p||sen(30°) = ^ (4 )(6 )^ j = 6 u 2 Eje m p lo 17 L o s puntos .4(4; 2; 0), 5 (4 ; 8; 0), D (—2; 2; 0 ) y W ( - 2 ; 4 ; 8 ) son los vértices del paralelepípedo ABCDEFGH a) Calcule su volum en b) Determine la altura del paralelepípedo So lu ción a) L o s vectores de las aristas adyacentes del paralelepípedo son AB = (0; 6; 0), A D = ( - 6 ; 0; 0 ) y AE = DH = (0; 2; 8) 290www.FreeLibros.com
  • 298.
    RECTAS Y PLANOSEN EL ESPACIO TRIDIMENSIONAL Luego, el volum en del paralelepípedo es 0 6 0 y = |i4B • G4D X j4£)| = - 6 0 0 = |288| = 2 8 8 u 3 0 2 8 b) Tenem os AB x A D = í f k 0 6 0 - 6 0 0 = (0; 0; 3 6 ) A sí, el área del paralelogram o ABCD es A¿? = ||AB x AD|| = 3 6 u 2 Puesto que el volum en del paralelepípedo ABCDEFGH es Vp = (área de la b a se )(a ltu ra ) = (3 6)(7i) = 2 8 8 = > h = 8 u Observación 5 Sean P^x^, y t ;z x) y P2(x 2; y 2; z 2) los extremos de un segmento P iP 2. Entonces las coordenadas del punto P (x ; y; z ) que divide al segmento en PtP la razón dada r = —-= ( r í - 1) son P °2 X1 + rx 2 1 + r y = y 1+ r y 2 1 + r z = Zj + r z 2 1 + r Observación 6 Si M (x; y; z ) es el punto medio del segmento cuyos extremos son los puntos P if e ; y x; z x) y P2(x 2; y 2;z 2) , entonces X, + x. x = y i + y 2 z = Zi + z 2 E je m p lo 18 D a d o s los puntos P i(5 ; 7; 9) y P2(3; - 5 ; - 7 ) , halle los puntos de trisección del segmento PXP2 So lu ción Sean A1(x1; y 1;z 1') y ¿42(x 2;y 2; z 2) los puntos de trisección del segmento P iP 2 P A 1 Para encontrar las coordenadas del punto Av la razón es r = Luego, por la observación 5 se tiene AP-, x 1 = 5 + ^ (3) 13 7 + 7 Í - 5 ) 1+ 3 ' y = 3 , Zi = 9 + ¿ C - 7 ) 11 1 4- • 1 + ; Pt A2 2 Analogam ente, para el punto A2 la razón es r = — — = - = 2 A2P2 1 Por consiguiente, las coordenadas del punto A2 son *2 5 + 2 (3 ) 11 1 + 2 3 ' yz 7 + 2 ( — 5) 1 + 2 = - 1 , z 2 = 9 + 2 (-7 ) 1 + 2 291www.FreeLibros.com
  • 299.
    1. Exprese elvector a com o la sum a de un vector paralelo b y un vector ortogonal a b , si á = (2; 1; - 1 ) y b = (1; 4; - 2 ) 2. Halle el ángulo entre los vectores a = (3; 1; 2) y b = (1; 1; 2) 3. Si el ángulo que forman los vectores a y b es de 45° y ||a||= 3, halle el m ódulo de b para que a + b forme con a un ángulo de 30°. R. 3 ( V 2 + V 6 ) / 2 4. Sean a y b dos vectores unitarios en R 3. Demuestre que á+ b es un vector unitario <=> el ángulo form ado por ellos es de 120°. 5. D ado el paralelogramo ABCD, E está a 2/3 de la D F C distancia de B a C y F es el punto medio de CD. Halle r y s de m odo que YF = r ~AB + s ~AC R. r = - 1 / 2 , 5 = 1/3 6. Sean a ,b y c tres vectores de m ódulos r, s y t respectivamente. Sea a el ángulo entre b y c, B el ángulo entre a y c y y el ángulo entre a y b Pruebe que el m ódulo S de la sum a de tres vectores está dado porla fórm ula S 2 = r 2 + s 2 + t 2 + 2s t eos a + 2 r t eos/? + 2 rs c o s y 7. Si a = (1; 3; 2) , b = ( 1 ; - 1 ; 3) y c = (2; 3; — 4 } i) Hálle el área del paralelogramo determinado por a y b ii) H alle el área del triángulo determinado por a y c iij) H alle el volum en del paralelepípedo determinado pora ,b y c S. L o s vértices de un triángulo son los puntos 4 (1 ; 2; 3), 6 (0 ; 2; 1) y C ( — 1; - 2 ; - 4 ) . HaJle el área y el perímetro del triángulo. 9. L o s vértices de un tetraedro son los puntos ,4(2; 1 ;0), 5 ( 1 ; - 1 ; 1 ) , C (3; 4; 2) y D ( 0; 0; - 1 ) . Calcule el volum en deltetraedro. 10. E n el triángulo de vértices i4(3; 0; 0 ) , 5 (0 ; 4; 0) y C {0; 0; 5) , halle i) La s longitudes de cada mediana ii) La s longitudes de cada altura iii) E l centro de gravedad del triángulo 11. Sean P {3; 1; — 1) y Q (4; — 1; 2 ) . Halle las coordenadas del punto R que se encuentra en la prolongación de ~PQ y extendiendo 3 veces su longitud. TOPICOS DE CALCULO - VOLUMEN II EJERCICIOS 292www.FreeLibros.com
  • 300.
    13. U nauto recorre 20km hacia el norte y después 4 0 V 2 en una dirección 60° al oeste del norte. Halle el vector desplazamiento resultante del auto y su longitud. R . f = ( - 2 0 ; 4 0 ) y ||r+J = 2 0 V 5 km . 14. Sean a y b son vectores en el espacio R3 que verifican: a + 2 b = 0 y c o m p ra = — 8. Determ ine el valor d e A Í = 2 ( a + 3 f o ) - ( a — 3 b ) . R . M = - 1 6 0 . 15. D ado el triángulo de vértices A ( 2 ; — 2 ; 4 ) , ñ ( 4; 2; 6 ) y C ( 4; 8; 10 ). a) Halle el vector unitario de MN, si MN es paralelo al lado AB, M sobre el lado AC y N sobre el lado BC. b) Determ ine las componentes del vector MN, si se sabe que MN ■AC = 56. R. WÑ = ( 2 ; 4; 2 ). 16. E n la figura adjunta, M y N son los centros de las caras GDEF y OAFE respectivamente. RECTAS Y PLANOS EN EL ESPACIO TRIDIMENSIONAL Si ||p|| = 10 y ||q|| = 4 V l 3 , determine las componentes del vector 2 p - 3 q. R. 2 p - 3 q = (34; 16; 4 8 ) 17. Sean a , b , c y d vectores unitarios en el espacio R3. Si se sabe que los vectores a y b form an un ángulo de 60° y los vectores c y d un ángulo de 120°, halle: a) C o m p g (4 a ) b ) P r o y 4 ¿ ( 4 a ) c) ( P ro y 2¿ ( 2 c + 3 d ) ) ■ d R. a) 2 b) 2 b c)2. 18. E l vector posición a se encuentra en el plano y z y el vector posición b sobre el eje y negativo, de manera que el ángulo entre ellos es 120". Si ||a|| = V 2 7 y b - 8, halle las componentes del vector a x /;. R. ( ± 3 6 ; 0 ; 0 ) . 19.Sean a , b y c vectores no nulos tales que ||tí|| = 3, ||¿|| = 1, ||c| a + b + c = 0. Calcule el valor de A = d - b + b- c + d- c. R . —13 4 y 293www.FreeLibros.com
  • 301.
    20. Dados lospuntos: /1(8; 0; 0), C(4; — 1; 1), D (6; 0; 5) y 5 un punto del primer ociante. a) En el espacio R3, grafique el paralelepípedo cuyas aristas son los vectores AB, AC y AD. b) Calcule el área de la cara del paralelepípedo que contiene a los puntos A, C y d . c) Si se sabe que el vector AB es paralelo al vector n = (1; 1; 1) y el volum en del paralelepípedo es de 4 4 ií3, determine las coordenadas del punto B . R. b ) V 3 5 3 u 2 c ). B ( 1 2 : 4 ; 4 ) . , 19. a) D ado el triángulo de vértices 4 (3 ; 1; 1), 6 (2 ; 1; 4 ) y C (5; 4; 6). Halle las componentes del vector P r o y ^ MN, si se sabe que el vector MÑ es paralela al lado AC del triángulo, M está sobre el lado AB, N sobre el lado BC y ||M77|¡ = V 3 8/ 3 . b) D ados los vectores a = ( 2 ; - l ; l ) , b = ( - 2 ; l ; 2 ) y c = ( 4 ; 3 ; - 3 ) . Calcule 6 (a •üj¡ ) + V S íC o m p ,? b. R. a) (2 / 3 ; 1; 5 / 3 ) b) - 1 7 . 21. Dados los puntos A( 2; 4; 3), 6 (4 ; 5; 5 ) y C ( - 1; 4; 0). a) Halle dos vectores unitarios perpendiculares simultáneamente a los vectores AB y AC. b) Sea M un punto interior del segmento AC tal que d( A; M) = d(A-,C). Si Q( —1; 4; 2), determine si el ángulo form ado por los vectores QC y QM es agudo o no. R. a) i¡ = ( + 1/H l ;0; ± 1 / V 2 ) b) E s agudo 22. Sean a, b y c tres vectores en el espacio E 3 ales que a = 2 r. |[c|| = 2 y b ■ c = 4. Si se sabe que los vectores b y c forman un ángulo de 60°. halle la longitud del vector V 3 a x b ^ 5 a x c. 23. Sean a, b y c vectores no nulos en el espacio E 3 tales que ||c|| = 4. P ro y c- b = b y P ro y g +(? a = 0. Si se sabe que los vectores a y b son Ui’itarios, halle el m ódulo del vector a x b i- a X c . P..2S 25. D ados los puntos ¿4(— 1; 5; 3) y 6 (0 ; 3; 1). a) Halle dos vectores unitarios paralelos al vector AB . b) Determ ine dos vectores unitarios perpendiculares al vector AB y paralelo al vector b = (1; 1; - 1/2 ) . R. a) w = ( ± 1/3 ; + 2 / 3 ; + 2/3 ) b) ü = ( ± 2 / 3 ; ± 2 /3 ; + 1 /3 ) TOPICOS DE CALCULO - VOLUMEN [[ 294www.FreeLibros.com
  • 302.
    RECTA S YPLANOS EN EL ESPACIO TRIDIM ENSIONAL (>.2 R E C T A E N E L E S P A C I O 6.2.1 Á N G U L O S , C O S E N O S Y N Ú M E R O S D I R E C T O R E S D E U N A R E C T A Definición 1 Sea L una recta en el espacio M 3. Se llama conjunto de ángulos directores de la recta L al conjunto ordenado {a, p, y}, donde a, ¡i, y son *os ángulos que form a la recta L con los rayos positivos de los ejes de coordenadas x, y A z respectivamente (Fig. 6.14) Los ángulos directores toman valores entre 0 o y 180°, es decir, 0 C < a , p , y , < 180° Observación 7 El ángulo entre dos rectas que no se intersecan, se define como el ángulo form ado por rectas que se intersecan y que, al mismo tiempo son paralelas a las rectas dadas. Si una recta no está orientada (con respecto al sentido que debe tomar) tiene dos conjuntos de ángulos directores que son: { a , p, y ) y { 1 8 0 ° - a , 1 8 0 ° - / ? , 1 8 0 p - y } En lo que sigue, las rectas serán consideradas sin orientación. Definición 2 L o s cosenos de los ángulos directores de una recta se llaman cosenos directores de la recta. U na recta tiene dos conjuntos de cosenos directores. (eos a, eos /? ,eos y } y { - e o s a , - e o s / ? , - e o s y } O b se rv a c ió n 8 D o s rectas son paralelas si y solo sí tienen los m ism os cosenos directores. D e fin ición 3 U n conjunto [a; b; c] es llamado números directores si existe una constante fe ^ 0 tal que a = k eos a, b = kcosp, c = kcosy 295www.FreeLibros.com
  • 303.
    6.2.1.1 EXPR ESIÓN DE LOS COSENOS D IR EC T O R ES D E UNA R EC T A Q UE PASA PO R DOS PUNTOS TOPICOS DE CALCULO - VOLUMEN II Sea L una recta que pasa por los puntos P1(x1-,y1-,z1) y P2(.x2:y 2, z 2) y sean d = ||PXP2 1| y a > P, Y l° s ángulos directores de L. L o s cosenos directores de la recta L que pasa por los puntos y P2 son ------ cos a = -, eos /? = y z - y i c o s y = z 2 - z x Fig. 6.15 Si la recta L está orientada en el sentido de P2 a Px, entonces los cosenos directores de la recta son *2- *1 „ yi-y-L 22-Zlcosa = ------- — , cos/? = ------- — , cosy = ------ — donde d es la distancia entre Pr y P2 6 4 .1 .2 R ELA C IO N EN T R E LO S COSEN OS D IR EC T O R ES DE UNA R EC T A Si elevam os al cuadrado cada una de las expresiones de los cosenos directores de la recta L que pasa por los puntos Px y P2 y sum am os, se obtiene 2 , 2 n i 2 (*2 - * ) 2 + (y 2 - y i ) 2 + 0 2 - Z l ) 2 „ cos*a + eos ¡s + cos¿y = --------------- d 2 d 2 Por lo tanto, una relación fundamental entre los cosenos directores de una recta es co s2a + c o s2p + co s2y = 1 Ejemplo 19 a) Halle los cosenos directores de una recta determinada por los puntos P ! ( l; 0 ; 2 ) y P2(3; 2; 3) y dirigido de Px a P2 b) Si {45°, 60°, y } es un conjunto de ángulos directores de una recta, calcule los posibles valores del ángulo y 296 www.FreeLibros.com
  • 304.
    Solución a) La distanciaentre Px y P2 es d = V 4 + 4 + 1 = 3. Luego, los cosenos directores de la recta que pasa por Pt y P2 son 3 - 2 1 2 1 eos a = — -— = - ,eos B = - ,eos y = - 3 3 F 3 3 b) D e la relación entre loscosenos directores de una recta, se tiene 1 1 c o s245° 4- c o s260° + c o s2y = 1 = > eos 2 y = - = > eos y = ± - De donde resulta eos y = 60° V y = 120° 6.2.2 E C U A C I O N E S D E U N A R E C T A E N E L E S P A C I O K 3 U na recta es un conjunto de puntos que se desplazan en el espacio R 3 en una dirección constante (Fig. 6.16) RECTAS Y PLANOS EN EL ESPACIO TRIDIMENSIONAL. 6.2.2.1 E C U A C IÓ N V E C T O R I A L D E U N A R E C T A E N E L E S P A C I O K 3 Sea L una recta que pasa por el punto Pn(xn-,y 0;z 0) y sigue la dirección dei vector á = -(a 1;a 2',a3) (Fig. 6.17;. E l vector a se llama vector dirección.de la recta L. Sea P ( x ; y z ) un punto cualquiera de la recta L. Entonces PaP es paralelo al vector a, luego existe t e M tal que P0P = ta <=> P = P0 + ía , t £ E Por lo tanto, la ecuación vectorial de la recta L es i : i | L : ( x ; y; z ) = (x0; y 0; z0) + t á , t e R j 297www.FreeLibros.com
  • 305.
    Ejem plo 20Encuentre la ecuación de la recta que pasa por los puntos /»,(3 ; 2 ; - l ) y P2( 5 ; - 2 ; 4 ) So lu ción TOPICOS DE CALCULO - VOLUMEN II El vector dirección de la recta que pasa por P1 y P2 es a = P1P2 = (2; — 4; 5) Tom ando el punto P i ( 3 ; 2 ; - l ) com o P0, Ia ecuación de la recta es L-. ( * ; y ; z ) = ( 3 ; 2 ; - l ) + t ( 2 ; - 4 ; 5 ) 6.2.2.2 E C U A C I Ó N P A R A M É T R I C A D E U N A R E C T A E N E L E S P A C I O D e la ecuación vectorial de la recta L: 0 t ; y ; z ) = (x 0; y 0;zo ) + se tiene que cualquier punto P (x ; y ; z ) E L verifica la igualdad O ; y; z ) = (x 0;y 0; z 0) + ¿0 % ; a 2; a 3) Luego, de la igualdad de vectores resulta I x = x Q+ ta t y - y0+ ta2 z = z 0 + t a 3 Estas ecuaciones se denom inan ecuaciones p aram é tricas de la recta L que pasa por el punto P0(x0;y 0; z 0) y es paralela al vector a , y t se llam a p arám e tro de la ecuación. Eje m plo 21 H alle las ecuaciones paramétricas de la recta que pasa por los puntos P i( 2 ; 3 ; 4 ) y P2( — 1 ; — 3 ;2 ) So lu ción E l vector dirección de la recta es a = PXP2 = ( - 3 ; — 6; - 2 ) . A sí, las ecuaciones paramétricas de la recta son (x = 2 - 3 1 L: y = 3 - 6 t , t e z = 4 - 2t 6.2.2.3 E C U A C I O N S I M E T R I C A D E U N A R E C T A E N E L E S P A C I O Sea L una recta cuyas ecuaciones paramétricas son x = x 0 + t a t L: y = y 0 + t a 2 , t e r z = z 0 + t a 3 Si ninguno de los núm eros at , a 2 y a3 es cero, entonces despejando t de cada una de las ecuaciones paramétricas e igualando los resultados se obtiene x - x 0 y - y o z - z Q L -----------= ------------ = ------------ ( * ) a l a 2 a 3 298 www.FreeLibros.com
  • 306.
    Estas ecuaciones sellaman ecuaciones sim étricas de la recta L que pasa por el punto P o (x 0; y 0; z 0) y es paralela al vector á = (ax; a 2; a3). Las componentes del vector a 1 , a 2 y a3 son los números directores de la recta L. v Observación 9 a) Si uno de los números directores a i, a 2 ó a 3 es igual a cero, no podem os usar la ecuación (*). En este caso se emplean otras relaciones Por ejemplo, si a x = 0, la ecuación de L se escribe como , A y - y 0 ¿ - ¿ o L: x = x0 A --------- = ---------- a2 a 3 Si a 2 = 0, la ecuación de la recta L se escribe como x - x 0 z - z0 L: — = — A = S i a3 = 0. La ecuación de L se escribe como x - x 0 y — yoL: -------------= -------- A z = zn a, a 2 b) Si dos de los números directores a, ,a 2 ó a3 son iguales a cero, tampoco se puede usar (*). Por ejemplo, si a , = a 3 = 0, la ecuación de la recta L se escribe como L: x = x0 A z = z 0 Eje m plo 22 Determ ine ¡as ecuaciones vectorial, paramétricas y sim étricas de la recta que pasa por el punto -4(1; 2; 2) y es perpendicular a las rectas Lx (x ;y ;z ) = ( 3 ; 2 ; - l ) + t ( 2 ; - l ; 0 ) y L2: ( x : y ; z ) = ( 0 ; - 3 , 0 ) - r s ( — 12; 3; 13) Solución A q u i el vector dirección a. de la recta L que pasa por el punto A es perpendicular a los vectores ¿ = ( 2 ; - l ; 0 ) (vector dirección de Lx) y c = ( - 1 2 ; 3; 13) (vector dirección de L2)• Entonces a b x c , donde RECTAS Y PLANOS EN EL ESPACIO TRIDIMENSIONAL b x c i J k 2 - 1 0 - 1 3 3 13 = ( - 1 3 ; - 2 6 ; - 6 ) Ahora, tomando el vector á = (13; 26; 6), las ecuaciones de la recta L son: Form a vectorial L: (x :y, z) = (1: 2; 2) + £(13; 26; 6), t £ IR IX = 1 4- 1 3 t Form a paramétrica L: |y = 2 + 2 6 t l z = 2 + 6t x — 1 y — 2 z — 2 Form a sim étrica L: -------- = --------- = --------- 13 26 6 2 9 9www.FreeLibros.com
  • 307.
    En el espacioR 3 las rectas Lx: ( x;y ;z ) = P0 + ta y L2: ( x ; y ; z ) = Q0 + tb pueden tener las siguientes posiciones relativas 6.2.3.1 R E C T A S P A R A L E L A S Las rectas y L2 son paralelas si sus vectores dirección d y b son paralelos. C om o consecuencia de este resultado tenemos TOPICOS DE CALCULO - VOLUMEN II 6.2.3 POSICIONES RELATIVAS DE DOS RECTAS EN EL ESPACIO Observación 10 i) Para todo punto Px de R 3 y toda recta Lt : (x y: z) — P0 + tá , t E R , existe una única recta L que pasa por el punto Px y es paralela a la recta Ll ii) Si Li y ¿ 2 son dos rectas paralelas, entonces = l 2 ó L1 n L2 — 0 6.2.3.2 R E C T A S S E C A N T E S La s rectas Lr y ¿ 2 son secantes si se intersecan en un único punto, esto es, ¿ i n L2 — {Po} 6.2.3.3 R E C T A S Q U E S E C R U Z A N La s rectas Lx y i 2 se cruzan si no se cortan y no son paralelas. D o s rectas que se cruzan están en planos paralelos, esto es, no se encuentran en un m ism o plano. 6.2.4 A N G U L O E N T R E D O S R E C T A S El ángulo entre las rectas L t (x y -,z) = P0 + tá y L2: ( x; y ; z ) = Q0 + sb (Fig. 6.18) es el ángulo 0 com prendido entre los vectores dirección a y b £)<¿ la definición del ángulo entre dos Véctores, una relación para calcular el ángulo entre las rectas y l 2 es eos 0 a ■0 ¡|a|| b Si el ángulo entre las rectas L, y Lz es recto. 9C dice que las rectas son ortogonales o perpendiculares, esto es. L i ± L 2 s = > ü ± b < ^ > á - b = Q 300 www.FreeLibros.com
  • 308.
    RECTAS Y PLANOSEN EL ESPACIO TRIDIMENSIONAL ' 6.2.5 D I S T A N C I A D E U N P U N T O A U N A R E C T A Sean un punto y L: (x -,y;z) = P0 + tá una recta en el espacio IR3. Ahora, si d es la distancia del punto P, a la recta L (Fig. 6.19), entonces d = ||v|| sen 9 donde 8 es el ángulo que forman los vectores a y v = P0P1 Por una propiedad del producto vectorial se sabe que Ha x y|| = Hallllvll sen 9 = ||a||(d) De donde resulta Fig. 6.19 a X 17 j a x P0Pt Eje m p lo 23 Calcule la distancia del punto 4 (3 ; 2 ; - 1 ) a la recta L: P — (1; 3; 2) + í ( — 1; 2; 3), t € K So lu ción En este caso d = ( - 1 ; 2; 3) y v = 1A - (2; - 1 ; - 3 ) . entonces á x v = ( - 3 ; 3; - 3 ) . Luego, V 9 + 9 + 9 _ 27 V 9 + 4 + 1 ^ 14 Eje m p lo 24 Sean las rectas; L^. P = ( - 2 ; 1; 0 ) + £ ( - 2 ; 1; - 1 ) , t 6 R L2:Q = (3 ; 7; 1) + <>(— 1; 2; 3 ),s 6 R ¿ 3:x = 2 + 4 t , y = - 1 - 2t , z = 2 + 2t x - 9 z - 3 LS:R = (3;4; 0) + r ( 4 ;- 2 ;2 ), r e IR 3 0 !www.FreeLibros.com
  • 309.
    Determine si sono no paralelas cada uno de los siguientes pares de rectas, en caso que sean secantes determine su intersección. a) y Lz b) ¿ i y l 3 c) Lx y Ls d) l 2 y L 4 e) L2 y L3 f) ¿ 4 y Ls Solución a) C om o los vectores dirección á= ( - 2; 1; — 1) y 6 = ( — 1 ;2 ; 3 ) no son paralelas, entonces las rectas Lt y L2no son paralelas. Supongam os que A ( x ; y ; z ) £ n L2, entonces existen valores únicos para t y s para los cuales A = ( - 2 ; 1; 0) + t ( — 2; 1; - 1 ) = (3; 7; 1) + s ( - 1; 2; 3) Por la igualdad de vectores, se obtiene — 2 — 2 t = 3 — s (1 ) 1+ t = 7 + 2 s (2 ) - t = 1 + 3s (3 ) 7 26 Resolviendo (2) y (3) se obtiene s = - - y t = — , pero estos valores no 5 5 satisfacen (1). Luego, no existe punto de intersección entre las rectas L 1 y Lz, es decir, Lx y L2 se cruzan. E n form a análoga se prueba los siguientes resultados. b) Lx || ¿ 3 A ■= ¿ 3 c) ||¿ 5 A n ¿5 = 0 d) L 2 t t L 4 AL x n L s = >1(5; 3; - 5 ) e) L2 l/¡ L3 A Lz A ¿ 3 se cruzan E je m p lo 25 H alle la ecuación de la recta que pasa por el punto P0( 3 ; l ; 5 ) y e s paralelo a la recta L t : 2 x — 2 = 1 — y A z = 4 So lu ción En primer lugar reordenando la ecuación de la recta Lx tenemos y — 1 2 x - 2 = l - y A z = 4 <=> x - 1 = — — A z = 4 —2 Luego, la ecuación vectorial de L1 es L^.P = ( l ; l ; 4 ) + t ( l ; - 2 ; 0 ) , t E R C om o L || => L || a , donde a = (1; - 2 ; 0 ) es el vector dirección de Lx Por tanto, la ecuación de la recta buscada es L: Q = (3; 1; 5 ) + A ( l; - 2 ; 0), A £ R TOPICOS DE CALCULO - VOLUMEN II 302 www.FreeLibros.com
  • 310.
    E je iilpfo 26 Halle la ecuación de la recta que pasa por P0(3; 1; — 2) e interseca y es perpendicular a la recta Lx:x -r 1 = y + 2 = z + í RECTAS Y PLANOS EN EL ESPACIO TRIDIMENSIONAL. So lu ción La form a vectorial de !a ecuación de la recta es Ly.Q = ( —1; —2; —1) + A(l; 1; 1), A g R Sea A el punto de intersección de las rectas Lx y L (Fig. 6.20). C om o A G Lv entonces 3 k G K tai que A(—l + k : ~ 2 -'r k ' , — 1 -r k ) . Por la condición de perpendicularidad resulta P0A = {k - 4; k - 3; k + 1) 1 a = (1; 1; 1) <=> PfíA. a. — k —4 i- k —3 + fc -i- 1 = 0 «=> k = 2 A sí, / 4(1;0;1) Luego, la ecuación de la recta que pasa por los puntos P0(3; 1; - 2 ) y ¿4(1; 0; 1) es L: P = (3; 1; - 2 ) + t ( 2; 1; - 3 ) , t £ R Eje m p lo 27 Determ ine la ecuación de la recta que pasa por P0( l ; 4 ; 0 ) y e s perpendicular a las rectas x + 4 2y - 1 L^.x = 3 + t ,y = 4 + t ,z = - 1 + t A ¿ 2 : --------= ----------- A z — — Solución Sea a el vector dirección de la recta L buscada. Un vector dirección de L2 es v = (4; 1; 0 ) y el vector dirección de es b = (1; 1; 1). C om o L 1 L2 y L i ¿ i ^ a l í y a i i => a || v X b = (1; - 4 ; 3) Luego, la ecuación de la recta buscada es L:P = (1; 4; 0) + t( l; —4; 3), t 6 Fig. 6.21 303www.FreeLibros.com
  • 311.
    Kjcinpln 28 Determinela ecuación de la recta que pasa por el punto m edio de AH y corta bajo un ángulo de 6 0 c a la recta que pasa por los puntos R y S. donde 4 (2 ; 4; OV 2?(0; 0; — 2), R (3; 3; 3) y S ( - l ; 3 ; 3 ) . So lu ción Este problema tiene dos soluciones (Fig. 6.22). E l punto 'medio del segmento AB es M ( 1; 2; — 1) y la ecuación de la recta L-¡_ que pasa por R y S es IOl’lCOS DE CALCULO - VOLUMEN II p = ( _ i ; 3; 3) + t ( l; 0; 0), t 6 R Sea / el punto de intersección de L con Lr => I £ => 3 t £ E / / ( - 1 + t; 3; 3) De la condición de que la recta L interseca a la recta L x bajo^un ángulo de 60° resulta eos 6 0 “ = ■ a ■t> , donde d = (1; 0; 0 ), b = MI = (t - 2; 1; 4) t = 2 ± ^ 1 7 / 3 => / (I ± ^ 1 7 / 3 ; 3 ; 3) Ma ll|!u li D e donde soobtiene 1 t - 2 2 _ ¿ ( t ~ 2 )2 + 1 + 16 Luego, tas ecuaciones de las rectas buscadas son L: Q = (1; 2; - 1 ) 4- r ( V l7 / 3 ; 1 ;4), r £ U L':Q' = ( 1 ; 2 ; - 1 ) + A ( - V l7 / 3 ; 1 ; 4 ) , A E R E jem plo 29 Halle el punto en la recta L: F = (2; 11; 1 4) 4- í (2;. 4; 5), t £ que equidista de las rectas L¡: Eje x A /,2:<2 = (1; 7; 0) -r s(0 ; 0; 1), s £ l Solución Un bosquejo de este problema se muestra en la l'ig. 0.23. La ecuación del eje x e s Lx R = (0; 0; 0 ) + í ( l ; 0 ; 0 ) , t £ E 304www.FreeLibros.com
  • 312.
    RECTAS Y PLANOSEN EL ESPACIO TRIDIMENSIONAL Sea A 6 L el punto que equidista de Jas rectas L, y ¿ 2, entonces A (2 + 2t; 11 + 4t; 14 + S í) Luego, d(>l- L ) = X - í,(2 + 2 í ’ 11 + 4 t ' 14 + 5 í) X (1: ° ; 0)11 Ü(l; 0; 0)|! = V ( 1 4 + 5 t ) 2 + ( l l + 4 t ) 2 d ( A . L -) _ 110^4 x 6j| ||(1 + 2 t, 4 + 4 t, 1 4 + 5 t) x (0; 0; 1 )|| 1 2 p|| 11(0; 0; 1)|| - V ( 4 + 4 t ) 2 + ( l + 2 f ) 2 Resolviendo la ecuación que resulta de d(A; Lx) = d( A L2) se obtiene í = - 2 V t = - 5 0 / 7 Luego, los puntos de la recta L que equidistan de las rectas y L¿ son i4v( - 2 ; 3 ; 4 ) y A z( — 6 6 / 7 ; - 1 2 3 / 7 152 / 7) E J E R C I C I O S 1. Encuentre la distancia del punto Á(Z2-,Y) a la recta que pasa por los puntos P0( l; 2; 9 ) y P i ( - 3 ; - 6 ; - 3 ) 2. S i L,: P = ( 1 ; 0 ; - 1 ) + t ( l ; l ; 0 ) , t € K y L2: Q = (0; 0; 1) + s ( l; 0; 0),s e US., halle la ecuación de la recta L que es perpendicular a Lt y l 2 y las interseca. 3. Determ ine la ecuación de la recta que interseca a las rectas ¿j: P = (1; — 1; 1) + t ( l ; 0 ; - l ) , t £ M y L2: Q = (1; 0; 0 ) . + s ( - l ; 1; 1), s £ K en los puntos A y B respectivamente, de tal manera que la longitud del segmento AS sea minima. 4. Halle la ecuación de la recta que pasa por el punto / 4(1 9 ;0 ;0 ) y corta a las rectas L x: P = (5; 0; - 1 ) -f t ( l; 1; 1), t c K L2: Q = ( - l ; 2 ; 2 ) + s ( — 2 ;1 ;0 ), s E R 5. U na recta pasa por el punto A{1 1; 1) y forma ángulos de 60° y 30° con los ejes x e y respectivamente. Halle la ecuación vectorial de dicha recta. R. L: P — (1; 1; 1) -f- t ( l; ± V 3 ; 0 j,t E K 6. U n a recta que pasa por el punto A ( - 2 ; 1; 3 ) es perpendicular e interseca a la recta Lx: P = (2; 2; 1) 4- t( 1; 0; — 1), t E R . Halle la ecuación vectorial de dicha recta. R. Q = ( - 2 ; 1; 3) -i- 5(1; 1; 1), s e l . 305www.FreeLibros.com
  • 313.
    Un plano enel espacio es un conjunto de puntos que se desplazan de tal manera, que el vector que form a estos puntos con un punto fijo es perpendicular al vector dirección del plano (Fig. 6.24). E l vector dirección se llama vector n o rm a l del plano y se denota con N. TOPICOS DE CALCULO - VOLUMEN II 6.3 PLANO EN EL ESPACIO Observación 11 La ecuación de un plano queda completamente determinado cuando se conoce: i) Un punto de paso y su vector normal ó ii) Un punto de paso y dos vectores paralelos al plano ó iii) Tres puntos no colineales del plano 6.3.1 E C U A C I O N E S D E U N P L A N O E N E L E S P A C I O 6.3.1.1 E C U A C I Ó N V E C T O R I A L D E U N P L A N O E N E L E S P A C I O Sea Q un plano que pasa por el punto PQ(x0-,y 0;z 0) y es paralelo a los vectores a. = ( a 1(- a2; a 3) y b = (b1;b2; b3), donde el vector a no es paralelo al vector b (Fig. 6.25) Sea P ( x y , z ) un punto cualquiera del plano Q, entonces existen r , s £ 1 tai que P0P = r á + sb D e donde, P - P0 = r á + sb ó P = P0 + r a + sb Por consiguiente, la ecuación vectorial del plano Q es l------------------------------------------—-- ---------------1 Q: (x; y, y.) = P0 + rd + sb, r, s 6 E ¡ 306www.FreeLibros.com
  • 314.
    RECIAS Y PLANOSEN EL ESPACIO TRIDIMENSIONAL 6.3.1.2 E C U A C IÓ N P A R A M É T R I C A D E U N P L A N O E N E L E S P A C I O De la ecuación vectorial del plano Q: P = P0 + rá + s b , se tiene que cualquier punto P(x y ; z ) £ Q verifica la igualdad, es decir (x; y; z) = (x0;y 0; z 0) + r ( a j ; a 2;a 3) + sC£>i.; b2; b3) Luego, por la igualdad de vectores resulta Í x = x 0 + r a x + sb x y = y 0 + r a 2 + sb 2 , r , s 6 R z = z 0 + r a 3 + Estas ecuaciones se llaman ecuaciones p aram étricas del plano Q que pasa por el punto P0(x 0; y Q-,z0) y es paralelo a los vectores a y b, r y s se llaman p arám e tros de la ecuación. Eje m plo 30 Halle las ecuaciones vectorial y paramétrica del plano que pasa por los puntos P0( 3 ; l; 2 ) , P ^l - , - 1; 2) y P2(2 ;0 ; 3 ) So lu ción L o s vectores paralelos al plano Q que pasa por P0 ,P i y P2 son á = P ¿ P ¡ = ( - 2; — 2; 0) y 5 = P„P2 = ( - l ; - l ; l ) Luego, la ecuación vectorial del plano Q es Q: P = ( 3 ; l ; 2 ) + r ( - 2 ; - 2 ; 0 ) + s ( - l ; - l ; l ) , r , s 6 R y su ecuación paramétrica es: íx = 3 — 2r —s Q: y = - 2 r - s , r ,s 6 R Iz = 2 + s O b se rv a c ió n 12 i) De la ecuación vectorial del plano se obtiene que N = a X b es un vector perpendicular al plano. En general, todo vector no nulo perpendicular al plano es llamado norm al del plano. ii) Si N es una normal del plano Q: P = P0 + r a + s b , r , s E 1 y Px y P2 son dos puntos del plano, entonces N 1 PP2. iii) Si N es la normal del plano Q: P — P0 + r á + s b , r , s 6 R y P0P1 1 N entonces Px 6 Q iv) Si N es la normal del plano Q: P = P0 + r á + s b , r , s G R , entonces Q = { P ( x ; y ; z ) / Ñ.P^P = 0 } y es el único plano que pasa por P0 con normal N 307www.FreeLibros.com
  • 315.
    TOPICOS DE CALCULO- VOLUMEN II 6.3.1.3 ECUACION GENERAL DE UN PLANO Sea Q un plano que pasa por el punto Po(x o’>yo'' z o) Y cuyo vector normal es Ñ = (A-.B-.C). Sea P ( x ; y ; z ) un punto cualquiera del plano Q, entonces P ¡P 1 Ñ «=* Ñ.P^P = 0 <=* (A;B;C). (x - xQ; y - y 0;z - z Q) = 0 <?=> A (x - x0) + B( y - y 0) + C (z - z 0) = 0 Por lo tanto, la ecuación general del plano Q es de la forma j ' " I i Q; Ax + B y + Cz + D = 0 ¡ Esta ecuación también es llamada ecuación cartesiana del plano. En lo que sigue, por ecuación del plano se entenderá a la ecuación cartesiana. Ejemplo 31 a) Halle la ecuación del plano que pasa por el punto P0( 2 ; 3 ; - 5 ) y esortogonal al segmento PQt , donde P ( 3; - 2 ; 1) y ( ^ ( l; 3; 0) b) Halle la eEttación del plano que contiene a los puntos P0, P yQt dados en (a). Solución a) Sea Ñ = = (2; — 5; 1) y P0( 2 ; 3 ; - 5 ) . entonces la ecuación general del plano es Q: 2{x - 2 ) - 5 ( y - 3) + 1 (z + 5) = 0 ó Q: 2x - 5 y + x + 16 = 0 b) De la Fig. 6.26 se tiene & = PaQi = ( - 1 ; 0; 5 ) y b = P ¿P = (1; — 5; 6) Enionces Ñ II á x b = (25; 11; 5) Tom ando Ñ - (25; 11; 5), la ecuación del plano es: Q: 2 5 (x - 2 ) + U ( y - 3 ) + 5 (z + 5 ) - 0 ó Q: 25x + l l y + 5z - 5 8 = 0 308 www.FreeLibros.com
  • 316.
    Observación 13 SeaQ un plano cuya normal es N y L una recta cuyo vector dirección es á , entonces se tiene i) L Q < = $ N ± a < = * N ' á = 0 (Fig. 6.27) ii) L ± Q « N II a (Fig. 6.28) KtUIAS Y PLANOS EN EL ESPACIO TRIDIMENSIONAL L Ñi k l ] / Fig. 6.27 Fig. 6.28 iii) Si L Q => L n Q = <Ji ó L c Q iv) L c Q =$ N 1 a y P0 e L => P0 6 Q (Fig. 6.29) v) Si L # Q => L fl Q = / es un punto. (Fig. 6.30) Ni k / J h Fig. 6.29 Fig 6.30 E je m p lo 32 Halle la ecuación del plano que contiene a la recta L: P — (1; 2; 2) + t(0; 3; 1), t 6 M y el punto Q0(2; - 3 ; 8 ) , So lu ción Sea N el vector norm al del plano Q que contiene a la recta L y al punto Q0 , entonces N 1 á = (0; 3; 1) A N I P0Q0 = (1; - 5 ; 6), d o n d e P 0( l ; 2 ; 2 ) 309 www.FreeLibros.com
  • 317.
    Por lo tanto,al tomar N = (23; 1; 3) como vector normal del plano Q que pasa por el punto Q0, su ecuación es Q: 23(x - 2) + (y + 3) + 3 (z - 8) = 0 ó Q 2 3 x + y + 3 z — 9 7 = 0 6.3.2 P O S I C I O N E S R E L A T I V A S D E D O S P L A N O S E N E L E S P A C I O En el espacio los planos Q[: A1x + B1y + Ct z + Dx = 0 y Q2 A2x + B2y + 2z + D2 = 0 pueden tener las siguientes posiciones relativas 6.3.2.1 P L A N O S P A R A L E L O S L os planos y Qz son paralelos <=> ÑQl II ÑQi » ÑQi =A- Ñq Observación 14 Si Qy y Q2 son dos planos paralelos, entonces 0 Q1 - Q 2 (plan os coin ciden tes) ii) Qt fl Q2 = 0 (planos paralelos no coinCidenles) 6.3.2.2 P L A N O S S E C A N T E S L o s pianos Qr y Q2 son secantes «=» ÑQl # ÑQi <=> n Q2 = L, donde L es la recta de intersección de los planos. 1 La ecuación de la recta de intersección d^ los planos y Q2 se escribe como (A-^x + Bxy + CjZ + D j = 0 a 2x + B2y + C2z + D2 = 0 ó L: Axx + Bt y + Cxz + Oj = 0 A A2x + B2y + C2z + D2 - 0 Observación 15 i) Los planos secantes Qx y Q2 son perpendiculares si y solamente sí sus vectores normales son perpendiculares, esto es. Plano Qx 1 plan o Q2 <=> Nqi 1 ^ ' Ñqz ii) Si Qx: AjX + Bry + C1z+ Dj= 0y Q2:A2x + B2y + C2z + D2— 0 planos secantes, entonces Iaecuaciónde lafam ilia de planos que pasan porla intersección de estos planos es QF A-^x + Bxy + C ,z + Dj + k(A2x + B2y + C2z + D2) = 0 donde k es el paramétro de lafamilia. TOPICOS DE CALCULO - VOLUMEN II 1 Luego. Ñ || & x P ¡ ÍQ ¡ = (23; 1; 3) ; 3 1 0 www.FreeLibros.com
  • 318.
    K t ClA Í> Y r L A N U S t N t L t S P A U Ü 1K lU lM b N S lO N A L Observación 16 Las ecuaciones de los planos coordenados y de los planos paralelos a estos son i) Ecuación del plano coordenado xy: z = 0 ii) Ecuación del plano coordenado xz: y = 0 iii) Ecuación del plano coordenado yz: x = 0 iv) Ecuación del plano paralelo al plano x y que pasa por el punto (0; 0; k) es z = k v) Ecuación del plano paralelo al plano x z que pasa por el punto (0; k; 0 ) es y = k vi) Ecuación del plano paralelo al plano y z que pasa por el punto (k ; 0; 0 ) es x = k E je m p lo 33 a) Halle la ecuación del plano que contiene al punto P0(2; 6; - 1 ) y es paralelo al plano Q 4x — 2 y + z - 1 = 0 b) Halle la distancia del punto @0( 2 ; — 1 ;3 ) a la recta L: 2x - y + z - 3 = 0 A x + 2 y - z + l = 0 So lu ción a) Sea el vector norm al al plano que pasa por el punto P0, entonces Ñx II ÑQ = (4; - 2 ; 1). A sí, al tomar Nt - (4; - 2 ; 1), la ecuación del plano Qi es Qi. 4(x - 2) - 2 ( y - 6 ) + l ( z + 1) = 0 ó 4x - 2y + z + 5 = 0 b) Para hallar la distancia del punto Q0 a la recta L, es necesario tener la ecuación de la recta en su form a vectorial. A sí, al resolver simultáneamente las ecuaciones de los dos planos que da origen a la recta L, se tiene: (2x —y + z — 3 = 0 (1 ) x + 2 y —z + l = 0 (2 ) Sum ando (1) y (2) resulta 3x + y - 2 = 0 => y = 2 - 3x (3 ) Reem plazando (3) en (1) se obtiene z = 5 - 5 x (4 ) Haciendo x = t, se tiene la ecuación paramétrica de la recta L, esto es, x — t L: y = 2 - 3 t , t e R z = 5 - 5 t Luego, la ecuación vectorial de la recta L es L: P = (0; 2; 5 ) + t ( l; - 3 ; - 5 ) , t € R 311www.FreeLibros.com
  • 319.
    Sean v =P0Q0 = (2; — 3; — 2) y á = ( 1 ; — 3 ; — 5), donde P0(0 ;2 ;5 ). Mmonccs la distancia del punto Q0 a la recta L es ||i; x ¿t|| _ V 8 1 + 64 + 9 _ 22 d = l|a|| V H Ejem plo 34 Halle la ecuación del plano que pasa por la rectade intersección de los planos x — y 4 - 2 z 4 - 4 = 0 , 2 x 4 - y 4 - 3 z — 9 = 0 y es paralelo ala recta cuyos números directores son [1; 3; — 1] Solución La ecuación de la familia de planos que pasan por la intersección de los pianos dados es x —y 4- 2z 4- 4 + k(2x + y + 3z —9) = 0 « (1 + 2 k)x + ( k - 1) y + (2 4- 3 k) z + 4 - 9k = 0 Luego N = (1 4- 2 k; k — 1; 2 4- 3 k) es el vector normal de la familia. C om o el plano es paralelo al vector a = (1; 3; — 1), entonces IV l a « Ñ ■d = Q <=> 1 4- 2/c 4- 3/c — 3 — 2 — 3/c = 0 => k = 2 Por tanto, la ecuación del plano descrito es 5 x + y 4- 8 z — 14 = 0 Ejem plo 35 D adas las rectas Lr P — (1; 2; — 1) 4- t ( l; 3; 1), t € 1 y L2: Q = (5; — 1; — 2) + s(2 ; — 1; 2 ),5 6 K Halle las ecuaciones de dos planos paralelos Q }' Qz de m odo que ¿i c Q y ¿2 c Qz Solución Sea N el vector norm al com ún de los planos <2i Y Qz => Ñ ± a = (1; 3; 1) y J V 1 ¿ = ( 2 ; - 1 ; 2 ) Fig. 6.31 Luego, yv II a x b = (7; 0; — 7) Si utilizamos, el vector normal N — (1; 0; — 1) y el punto Px( 1; 2; — 1) E Lr como punto de paso del plano, entonces la ecuación del plano que contiene a la recta L x es TOPICOS DI- CALCULO - VOLUMEN II Qt : 1 0 - 1) 4- 0(y - 2) - í ( z + 1) = 0 <=> Qr: x - z - 2 = 0 3 1 2 www.FreeLibros.com
  • 320.
    Análogam ente, siusam os el vector norm al A? = (1; 0; — 1) y el punto P2(5 ; - l ; — 2 ) £ L2 com o punto de paso del plano, entonces la ecuación del plano que contiene a la recta l 2 es Q2: l ( x - 5 ) + 0 ( y + 1) - l ( z + 2) = 0 <f=> Q2: x - z - 7 = 0 E je m p lo 36 E n cada uno de los siguientes ejercicios, L es una recta y Q es un plano. Determ ine si L es paralela o no al plano Q y halle L n Q a) L: P = (1; - 1 ; 2 )+ t ( 2; - 1 ; 3), t £ R y Q: x + 5 y + z + 1 = 0 b) L: P = (2; 0; 1) + t( 1; 2; - 1 ) , t é R y Q: x + 2 y + 5z - 7 = 0 c) L: P = (3; - 1 ; 0 )+ t ( 2; 1; - 1 ) , t e 1 y Q: 4x + 2y - 2 z + 2= 0! d) L: P = ( 1 ; - 1 ; 1)+ t ( l ; 2 ; - 1 ) , t e R y Q : 3 x - y - z + 5 = 0 So lu ción S i a es el vector dirección de la recta L y Ñ es la norm aldel plano Q , se tiene a) a = (2; - 1 ; 3 ) y Ñ = (1; 5; 1) =* á ■Ñ = 0 =* L || Q Pará verificar si L n Q = 0 ó L c ( J , consideram os un punto P0 £ L y com probam os si P0 £ Q ó P0 £ Q . Si P0 £ Q =* L c Q; si P0 g (? => L n Q = 0 . Para determinar si un punto pertenece a un plano es suficiente verificar si sus coordenadas satisfacen o no la ecuación del plano. C om o P0(l-, — 1; 2 ) £ L , entonces reemplazando en laecuación del plano se tiene 1 + 5 ( — 1) + 2 + 10 (P0 nosatisfacela ecuacióndel plano).Lu e go Po $ Q • Por tanto L n Q = 0 b) L c Q ó LCQ = L c) L L Q y L n Q = / (l; — 2; 1) d) a = (1; 2; — 1) y W = ( 3 ; - 1 ; - 1 ) => a •Ñ= 3 - 2 + 1 * 0 => L n Q = / (un punto) =* / £ L A l e Q ¡ E L => / ( I + t; — 1 + 2 1; 1 - t) / £ Q => 3 (1 + t) - ( - 1 + 2 t) - (1 - t) + 5 = 0 => t = - 4 Por consiguiente, / ( - 3 ; — 9; 5) RECTAS Y PLANOS EN EL ESPACIO TRIDIMENSIONAL 3 13www.FreeLibros.com
  • 321.
    Ejem plo 37Por el punto 4 (1 ; 0; 1) se traza una perpendicular al plano Q: 2x 4- y - z - 7 = 0. Si 6 es el pie de dicha perpendicular, determine un punto C en la recta L: P = (— 1; 1; 0) + t(0; 1; 5), t e E de m odo que el volum en del tetraedro de vértices 4 , 6 , C y D es igual a 4 u 3, donde D es el punto de intersección de la recta L con el plano Q . Solución En primer lugar, determinaremos el punto B. Sea LN: P = A + s N , s G R la recta que pasa por el punto A y es perpendicular al plano Q. A si, B e L N n Q < = > B e L N A B e Q <=* 5 ( 1 + 2 s ; s ; l - a) 6 Q «=> 2 (1 + 2s ) + s — ( 1 - s ) — 7 = 0 < = > s = 1 D e donde resulta B (3 ; 1; 0) C om o D = L n Q s = $ D E L A D 6 ( ? < = > D ( — 1; 1 + t; 5 1) 6 Q <*=> 2 ( — 1) + (1 + t) - 5t - 7 = 0 <=* t = - 2 A sí, £)(— 1; — 1; — 1 0) Por otro lado, dado que C 6 L = > C ( — 1; 1 + t; 5t). Ahora, sean a = BC = ( - 4 ; t; 5t), b = BD = ( - 4 ; - 2 ; - 1 0 ) y c = S 4 = ( - 2 ; - 1 ; 1) Entonces ¿ x c = ( - 1 2 ; 2 4 ; 0 ) y 1 _ i yT = - | a - ( b x c ) ! = 4 < = > 7 |48 + 24t| = 4<=* |2 + t| = 1 <=» t = - 1 V í = - 3 6 6 Por lo tanto, el punto es C ( — 1; 0; — 5 ) V C ( - l ; - 2 ; - 1 5 ) Eje m plo 38 Sean 4 (3 ; 2; 1) y B ( - 5 ; 1; 2 ) dos puntos del espacio. H alle un punto C en el plano Q: x - y + 2 z - 4 = 0 de m odo que AC + CB sea mínimo. Solución Para que AC + CB sea m ínim o, necesariamente 4, B y C deben estar en un plano perpendicular al plano Q . E n la Fig. 6.33 se muestra al plano Q de canto. S i B' es el punto sim étrico de B respecto al plano Q (*), entonces CB + CB' = d 2 . Luego d t + d 2 es m ínim o si C es la intersección de 4 6 ' con el plano Q . TOPICOS DE CALCULO - VOLUMEN II Fig. 6 .32 314www.FreeLibros.com
  • 322.
    K tc IASY PLANOS EN EL ESPACIO TRIDIMENSIONAL (*) D o s puntos B y B '__ son simétricos respecto al plano Q, si (J es perpendicular al segmento BB' en el punto medio M de ~BBi En primer lugar determinaremos M. Sea Ln P = B + t ( l; — 1; 2), t E IR la recta que pasa por B y es perpendicular al plano Q, entonces M £ LN y M 6 Q = > M ( - 5 + t ; l - t ; 2 + 2 t) y ( - 5 + t) - (1 - t) 4- 2 (2 + 2 t) - 4 = 0 <=» t = 1 => M (—4; 0; 4) C om o M es el punto m edio entre B y B'. por la fórm ula de punto m edio se obtiene B '( — 3, — 1,6) Asf, la ecuación vectorial de la recta que pasa L: Q = (3; 2; 1) + r ( — 6; — 3; 5), r E D ado que C = L n Q =* C 6 L y C & Q » C( 3 - 6 r , 2 - 3 r, 1 + 5 r > A (3 - 6 r ) - (2 - 3 r ) 4- 2 (1 + 5 r ) - 4 = 0 r = 1/7 Por consiguiente, se tiene C (1 5 / 7 ; 1 1 / 7 ; 12/7). 6.3.4 D I S T A N C I A D E U N P U N T O A U N P L A N O Sea Q un plano cuya ecuación general es Q: Ax + By + Cz + D = 0 y P i O i í y i ^ i ) un punto del espacio. Si d es la distancia del punto Pr al plano Q (la longitud del segmento perpendicular trazado de Px a Q (Fig. 6.34)), entonces ^ = l l ^ ^ U l c o s e l .... (a ) Donde P0(x 0; y 0;z 0) es un punto del plano Q y 9 es el ángulo entre el vector P0Pt y el vector norm al N. por A y B' es R 315 Fig. 6.34 www.FreeLibros.com
  • 323.
    TOPICOS DE CALCULO- VOLUMEN II C om o P0 e Q => Ax0 + B y0 + Cz0 + D = 0 D e donde D = - A x 0 - B y0 - C zQ (/?) Por otro lado, ( K pI ) - ñ eos 9 - ------, (y) ItolllMI Reem plazando (y) en (a) se obtiene A (xx - X0) + B (yt - y 0) + C (zt - z 0)| d = -------------------- - --------------------- _ (X) V ¿ 2 + B 2 + C 2 Reem plazando (/?) en ( A ) , la fórm ula para la distancia del punto al plano Q se escribe como Axj_ + B y 1 + Czx + D a = tJA2 + B2 + C2 Observación 17 La distancia d entre los planos paralelos Qt : Ax + B y + Cz + D-l = 0 y Qz : Ax + B y + C z + D2 = 0 está dada por la fórmula d = '¡Ar + W T c 2 Eje m plo 39 Calcule la distancia del punto P1( 1 ;2 ;3 ) a l v i n o Q:P = (2; 1; — 1) + r ( l ; 1; 1) + s ( — 1; 1; 0), , r , s 6 E Solución El vector norm al del plano Q es Ñ = á x b = ( - 1 ; 1; 0 ) X (1; 1; 1) = (1; 1; - 2 ) Así, la ecuación del plano Q es l ( x — 2 ) + l ( y - 1) — 2 (z + 1) = 0 ó (?: x + y - 2 z - 5 = 0 Por tanto, la distancia entre / ^ (l; 2; 3 ) y el plano Q es |1 + 2 — 2 (3 ) — 5| 4 V 6 d = V i + 1 + 4 3 www.FreeLibros.com
  • 324.
    RECTAS Y PLANOSEN EL ESPACIO TRIDIMENSIONAL Ejemplo 40 Encuentre la distancia entre los planos paralelos Qi". x — 2 y + 2z — 5 = 0 y Q2: 3x — 6 y + 6 z — 7 = 0 Solución Para aplicar la fórmula de distancia entre planos paralelos, es necesario que los dos planos tengan el mismo vector normal; con este propósito dividimos la ecuación del plano Q2 entre 3 y obtenemos las ecuaciones Qt : x — 2 y + 2z — 5 = 0 y Q2: x - 2 y + 2 z - 7 /3 = 0 En consecuencia, la distancia entre los planos Q^ y Q2 es E je m p lo 41 L a distancia del punto P ( l; 0; 2) al plano Q es 1. Si el plano Q pasa por la intersección de los planos 4 x - 2 y - z + 3 = 0 A 2x - y + z — 2 = 0, halle la ecuación del plano. So lu ción L a ecuación de la fam ilia de planos que pasan por la intersección de los planos dados es . Q f : 4 x - 2 y - z + 3 + k( 2x - y + z - 2) = 0 ó Qf : (4 + 2 k) x - (2 + k ) y + (k - 1) z + 3 - 2k = 0 Per ia condición descrita, la distancia del punto P al plano QF resulta 1 |(4 + 2 k ) — 2{k — 1) + 3 — 2k _ 2k + 5| ” V ( 4 + 2k Y + (2 + kY + (fe - l ) 2 ~ V6/c2 + 18A: + 21 « 6 k 2 + 1 8 k + 21 = 4 k 2 + 2 0 k + 25 <=> 2fcz - 2 k - 4 = 0 = > k = - l V k = 2 Luego, las ecuaciones del plano Q (hay dos soluciones) son (?!: 2 x - y - 2 z + 5 = 0 - Q2: 8 x - 4 y + z — 1 = 0 E je m p lo 42 Se tiene el punto / ( - 3; 2; — 1) y la recta L: x = 2y = z. Halle las ecuaciones de dos planos paralelossi se sabe que uno deellos contiene a Pt y el otrocontiene a L, además, la distancia entre dichos planos es V2. So lu ción L a ecuación vectorial de la recta L es L P = (0; 0; 0 ) + t ( 2; 1; 2), t £ IR 317www.FreeLibros.com
  • 325.
    Sea Ñ —(A-, B; C) el vector normal com ún de los planos paralelos. Entonces, la ecuación general del plano que contiene al punto P1( - 3 ; 2 ; - l ) y la delplano que contiene a la recta L son respectivamente Qx: A(x + 3 ) + B ( y - 2) + C (z + 1) = 0 y Qz : Ax + By + Cz - 0 C om o el plano Q2 contiene a la recta L, entonces N = 04; B-, C) 1 a = (2; 1; 2 ) *=>Ñ.a = 2A + B + 2C = 0*=> B = - 2 A - 2 C (a ) Ahora, utilizando la fórm ula de la distancia entre dos planos resulta 3 A - 2 B + C V 2 = . ___ : y¡Az + B 2 + C2 <=> 2 (A2 + B2 + C2) = (3A - 2 B + C)2 (/?) Reem plazando (a ) en (/?) se obtiene 10A2 + 10 C2 + 16AC = 4 9 A2 + 25 C2 + 70AC <=> 13A2 + 18AC + SC2 = 0 <=> (13i4 + 5 C)(A + C) = 0 <=> A = - C ó A = - 5 C / 1 3 Si A = - C => B = 0 => = ( — C; 0; C ) = - C ( 1; 0; - 1 ) Considerando Ñx = (1; 0; - 1 ) se obtiene las soluciones x - z + 2 = 0 Q2: x - z = 0 Si A = - 5 C / 1 3 => B = - 1 6 C / 1 3 => Ñ¡ = ( - 5 C / 1 3 ;- 1 6 / 1 3 ; C ) Para C = - 1 3 se obtiene Ñ2 = (5; 16; - 1 3 ) . E n este caso lassoluciones son Qx: Sx + 1 6 y - 1 3 z - 30 = 0 Q2 Sx + 1 6 y - 1 3 z = 0 Eje m plo 43 U n plano se encuentra a unadistancia de2 /7 unidadesdelorigen de coordenadas. H alle la ecuación delplano si se sabeque contiene a la recta L: x = 2y = 3z - 1. Solución L a recta L puede ser considerada com o la intersección de los planos x — 2y A x = 3z - 1. L a fam ilia de los planos que pasan por la intersección de estos planos es TOPICOS DE CALCULO - VOLUMEN II Qf : x - 2 y + k(x - 3z + 1) = 0 <=* (1 + k)x - 2 y - 3kz + k = 0 318www.FreeLibros.com
  • 326.
    RECTAS Y PLANOSEN EL ESPACIO TRIDIM ENSIONAL Así, de la distancia del origen de coordenadas al plano QF resulta 2 k <=> 4 0 k 2 + 8 k + 20 = 4 9 k 2 7 y/ (l + k ) 2 + 4 + 9 k 2 «=> k = 2 ó k = - 1 0 / 9 Por tanto, existen dos soluciones al problema y estas son Q^. 3x —2y —6z + 2 = 0 (para k — 2) Qz’ x + l Q y - 3 0 z + 10 = 0 (para k = - 1 0 / 9 ) 6.3.5 Á N G U L O E N T R E D O S P L A N O S D o s planos no paralelos y Q2 forman dos ángulos (diedros) 9 y 180° - 9 (Fig. 6.35), luego es suficiente conocer uno de los ángulos. U n o de estos ángulos es igual al ángulo que form an sus normales. Si 9 es este ángulo, entonces eos 9 = W i - i V 2 w m m . donde y N2 son respectivamente, los vectores normales de los planos <?i Y <?2- Fig. 6.35 Eje m p lo 44 Halle el ángulo obtuso que forman los planos Q t : 2x —y + z —4 = 0 y Q2: x + y + 2z - 5 = 0 So lu ción L o s vectores normales de los planos Qa y Q2 son respectivamente Ñ, = (2; — 1; 1) y Ñ2 = (1; 1; 2) Entonces j V i v 2 eos 9 = N, 3 1 — — - = - <=> 9 = 60° V ó V ó 2 Luego, el ángulo obtuso entre los planos es a = 180° — 60° = 120° 319 www.FreeLibros.com
  • 327.
    TOPICOS DE CALCULO- VOLUMEN II Ejem plo 45 H alle la ecuación del plano perpendicular al plano yz, que form a un ángulo 6 = a rc c o s(2 / 3 ) radianes con el plano Q2: 2x — y + 2 z - 3 = 0 y pasa por el punto So lu ción Sean Ñ = (¿4; B; C ) el vector normal del plano buscado, = (1; 0; 0 ) el vector ftormal del plano y z (x = 0 ) y Ñ2 — (2; — 1; 2 ) el vector norm al del plano Qz C om o el plano buscado es perpendicular al plano y z (N 1 Nt ) y form a un ángulo 9 con el plano Q2 , entonces se tiene N. Ñt = 0 =*> A = 0 (1 ) Ñ ■Ñ2 2 A - B + 2C eos 0 = „ = ..........— (2 ) NN2 V í42 + B2 + C 2.V 9 Reem plazando (1) en (2) se obtiene 2 _ 2 C - B 3 _ 3V S 2 + C2 D e donde 4 ( B2 + C 2) = 4 C2 - A B C + B 2 «=> 3 B 2 + ABC = B(3B + 4 C ) = 0 <=> B = 0 ó B = - 4 C / 3 Si B = 0 entonces Ñ - (0; 0; C ) = C (0; 0; 1). Luego, la ecuación buscada del plano que pasa por el punto P1( 0 ; 1 ; 1 ) es Qi. 0 (x - 0 ) + 0 ( y - 1) + l ( z - 1) = 0 ó Qi- z = 1 Si B — 4C/3, entonces Ñ = (0; — 4C/3 ; C ) = — (C /3)(0; 4; — 3).Luego, la ecuación buscada del plano q,ue pasa por le punto ?*((); 1 ;1 ) es Q3: 0(x - 0 ) + 4 (y - 1) - 3 (z - 1) = 0 ó Qz : 4 y - 3 z - 1 = 0 6.3.6 P R O Y E C C I Ó N O R T O G O N A L D E U N A R E C T A S O B R E U N P L A N O Sea P un punto del espacio y Q un plano. Se lic e que el punto P' e Q es la proyección (ortogonal) del punto P sobre el plano Q si PP' 1 Q (Fig. 6.36). Sea L una recta y Q un plano. A la recta contenida en Q , que se obtiene proyectando los puntos de la recta L se denom ina recta de p royección de L sobre el plano Q . A esta recta se denota con LQ (Fig. 6.37). S i L es perpendicular al plano Q , la proyección de L sobre Q se reduce a un punto. 320www.FreeLibros.com
  • 328.
    RECTAS Y PLANOSÉN EL ESPACIO TRIDIMENSIONAL Eje m p lo 46 E n los siguientes ejercicios, L es una recta y Q es un plano Determine la proyección de L sobre Q . a) L:P = (2; - 1 ; 4 ) + t { 2; 1; 1), t 6 R , Q: 2x + y + z - 25 = 0 b) L:P = (1; 2; 1) + t ( l; - l ¡ 2 ) , t 6 R , Q: x - y - z - 4 = 0 c) L:P = (2; 1; - 1 ) + t(2; - 1 ; 1), t 6 R , Q: x + 3y - z + 16 = 0 So lu ción a) Los vectores dirección de la recta L y el plano Q son respectivamente a = ( 2 ; l ; l ) y Ñ = (2; 1; 1) entonces L 1 Q. Luego, ia proyección de L scjre Q se reduce al punto / = L n Q (Fig. 6.38a). A l hallar la intersección de la recta L con el plano Q, obtenemos /(8; 2; 7) b) Análogam ente tenemos ^ = (1* — 1; 2 ) y W — (1; — 1; — 1) => a ■Ñ — 0 L Q. Por ser L || Q será suficiente proyectar un punto de L y considerar al vector á com o el vector dirección de l Q (Fig. 6.38 b). 321www.FreeLibros.com
  • 329.
    TOPICOS DE CALCULO- VOLUMEN II S e a n P 0 ( l ; 2 ; 1 ) E L y LN la r e cta que p a s a p o r P 0 en la d i re c c ió n de Ñ. A sí, la ecuación vectorial de la recta l N es Ln : P = (1; 2; 1) + s ( l ; - 1 ; - 1 ) , s 6 R Ahora, si P¿ es la proyección de P0 sobre el plano Q, entonces Pg = LN n Q. A l resolver la intersección de LN con Q se obtiene Pq(3; 0; — 1) Por lo tanto, L q R = (3; 0; — 1) + A (l; — 1; 2), X 6 E c) E n este caso, tenemos d = (2; - 1 ; 1) y Ñ = (1; 3; - 1 ) , entonces L no es paralela ni perpendicular al plano Q (Fig. 6.38 c). Para hallar la recta l Q será suficiente hallar I — L n Q y proyectar el punto Po(2; 1 ;— 1) sobre el plano Q. A lhallar / = L n Q, se obtiene /(24; - 1 0 ; 10). A l proyectar el punto P0(2; 1; - 1 ) sobre el plano Q se obtiene P ¿(0; — 5; 1). Luego Lq es la recta que pasa por los puntos / y Pq. Por tanto, Por lo tanto, la fórm ula para hallar el ángulo entre las rectas L y el plano Q es Lq R = (24; - 1 0 ; 1 0) + A(24; - 5 ; 9) 6.3.8Á N G U L O E N T R E R E C T A Y P L A N O Sea L una recta con vector dirección a y Q un plano cuyo vector norm al es Ñ . E l ángulo entre la recta L y el plano Q se define com o el ángulo que form a L con Lq , donde LQ es la proyección de L sobre Q (Fig. 6.39). Si a es uno de los ángulos que form a L con Q (E l otro ángulo es 180° — a), entonces 6 + a = 90°, donde 6 es el ángulo que form an el vector TV y el vector á. Luego, Fig. 6.39 Ñ ■â sen a = eos Q = Ñ • a sen a = Ñ IIa|| 3 2 2www.FreeLibros.com
  • 330.
    Eje m plo 4 7 H alle el ángulo agudo que form an el plano Q: 2x + y + z — 5 = 0 con la recta L: P - (2; 3; 5 ) + t ( 1; - 1 ; 2), t 6 R Solución En este caso los vectores dirección de la recta L y del plano Q son respectivamente d = (1; - 1 ; 2 ) y Ñ = (2; 1; 1). Luego, si a es el ángulo que forma la recta L con el plano Q, tenemos á.Ñ RECTAS Y PLANOS EN EL ESPACIO TRIDIMENSIONAL sen a — 1 n = - =» a - aresen G K Por tanto, el ángulo agudo que form an L y Q es de 30° Ejem plo 48 Sean L P — (1; 0; 0) + t ( 0; 1; 1), í 6 IR una recta y Q: x - z = 0 un plano. S i L'Q es la proyección de V sobreQ,halle la ecuación de la recta que pasa por L' n Q, form a un ángulo de 45° con UQ y está contenida en el plano Q . So lu ción Sea L la recta buscada (Fig. 6.40). C om o I — L n Q — L ' ñ Q , entonces se obtiene / (1 ;1 ;1 ). A l hacer las operaciones correspondientes para proyectar V sobre el plano Q, obtenemos L'q : P = (1; 1; 1) s ( l ; 2; 1), s 6 R Sea a — ( a i; a 2; a 3) el vector dirección de L. C om o la recta L está contenida en el plano Q y forma un ángulo de 45° con la recta L'q, tenemos Fig. 6.40 a - Ñq - 0 => at ~ a3 eos 45° a • (1; 2; 1) a x + 2a 2 + a3 (1) (2) V e llall V 6 ||a|| Reem plazando (1) en (2) s; obtiene 1 2 (ü i + a 2) + 8 a ^ - 2a ‘ = » = * = Así, el vector dirección de la recta L es a = (a j; ( - 4 ± 3 ^ / 2 )% ; a j = a ^ l ; - 4 ± 3 V 2; 1) Por tanto, la ecuación buscada de la recta es L: R = (1; 1; 1) + A (l; —4 ± 3V2; l),A 6 E (Dos soluciones) 323www.FreeLibros.com
  • 331.
    Ejemplo 49 SeaQ: x - y — 1 = 0 un plano. Halle la ecuación de la recta L que pasa por i4(0; —1; 0) de modo que LQ P = (0; -1 ; 0) + t(0 ; 0; 1), t e IR sea la proyección de L sobre Q. Se sabe que el ángulo entre L y Q es de 45°. Solución Se observa que el punto A pertenece a la recta L(¡ (Fig. 6.41). Sea a = (a ; b; c) el vector dirección de L. Como la recta L forma un ángulo de 45° tanto con la recta LQ como con el plano Q, entonces tenemos TO PICO S D E C A L C U L O - V O L U M E N II eos 45 ° = sen 45° = óí *(0; 0; 1) _ c Hall ~ V a 2 + 6 2 + c 2 a. ( 1 ;—1 ;0 ) ) a - b » a 2 + b 2 = c 2 (1 ) V2||a|| V 2V a2 + b 2 + c 2 (2)o a 2 + b2+ c 2 = a 2 - lab + b2 De (1) y (2) obtenemos a2 + b2 = —2ab «=>a + ¿ = 0 «=>a - -b Reemplazando b = - a en (1) obtenemos c 2 = 2a 2 =* c = ± V 2 a Así, el vector dirección de la recta L es a = (a ; -a; ±V2a) = a ( l ; - 1 ; ±V2) Por consiguiente, las ecuaciones buscadas de ia recta L son L: R = (0 ; - 1 ; 0 )) + A (l; - 1 ; ± V 2), A € E 6.3.9 DISTANCIA M INIM A E N T R E R EC TA S Sean ¿ 1: P = P0 + í a , t e l y Lz: Q = Q0 + s b , s e espacio. Las dos posiciones relativas de estas rectas son i) II L2 « a II b ii) ln tt /,2 <=> a Jt b dos rectas en ei 324www.FreeLibros.com
  • 332.
    Si L1 ||L2, la distanciaentre estas rectas está dada por d = d((?0; ¿ i). distancia de Q0 a la recta Lí ó d = d(P0; L2), distancia de P0 a la recta Lz (Fig. 6.42). Si las rectas se cruzan (Z^ L2) , la distancia mínima d es la longitud del segmento perpendicular común comprendida entre ambas rectas (Fig. 6.43). R EC T A S Y PLA N O S EN EL ESPA C IO T R ID IM E N S IO N A L Si las rectas L1 y L2 se cruzan existen dos planos paralelos Qx y Q2 , tales que ¿■i c Q Y ^2 c Qi ■Luego d es la distancia entre los planos Qx y Q2. Sea N = a x b y 0 el ángulo entre N y C = P0Q0 , entonces d = ¡C|||cos0| C -Ñ Dado que eos 0 = se escribe como , la fórmula de distancia entre rectas que se cruzan donde Uf¡ es el vector unitario en la dirección del vector Ñ Observación 18 Si Lx y L2 son dos rectas y d es la distancia mínima entre ellas, entonces i) Si ¿ i II L2 , d (¿ 1; ¿ 2) = 0 <=> Lx = L2 ii)Si Lj ¿ 2 , d^Li, L2) = 0 <=> Lj fl ¿2 ^ 0 (la intersección es un punto) 325www.FreeLibros.com
  • 333.
    TOPICOS DE CALCULO- VOLUMEN II Ejem plo 50 Halle la distancia mínima entre las rectas L1: P = (1; 1 ;4 ) 4- £(0; 1; -3), t £ R y L2: x = 4 + t l y —5, z = -3 + 2t So lu ción El punto de paso y el vector dirección de Lx son P0(l;l;4) y a = (0; 1;—3). El punto de paso y el vector dirección de L2 son <?0(4; 5; —3) y b = (0; 1; —3) Así, tenemos a x b — (2; —3; — 1) y C = PqQq — (3; 4; — 7) Por lo tanto, la distancia mínima entre las rectas Lt y L2 es |c • (a x g)| | 6 - 1 2 + 7| 1 ||a X b|| _ V 4 + 9 + 1 ~ V Í 4 Eje m p lo51 Una esfera metálica es soltada en elpunto A(l-, 2; 1 0 ) y cae ■(verticalmente) hasta el plano Q: 2x + y + z — 12 = 0;luego resbala por él hasta chocar con el plano xy. Halle la distancia total recorrida por la esfera. So lu ción La distancia total recorrida por la esfera es d = AB + d(B-,Li) donde B es la intersección de la recta L: P = (1; 2; 1 0 ) + í(0 ; 0; 1), t G R con el plano Q y es la recta de intersección de los planos Q y x y (Fig. 6.44). Como B = L n Q, entonces B( 1 ; 2 ; 8 ) y Jb = V 0 + 0 + 4 = 2 Por otro lado, la ecuación de la recta L¿ es (2x + y + z —12 = 0 ^ p = (0;i2;0) + A(1;-2;0),A £ E ( z - 0 ||axPñfi|| ||(1; — 2; 0 ) x (1; — 10; 8)|| n ^ LuCRo.rf(B; ¿,) = — ¡¡Jj— = --------------- -------------------= 8^675 Por tanto, la distancia total recorrida por la esfera es d = AB + d ( B ; L¡) = 2 + 8 ^ 6 / 5 326www.FreeLibros.com
  • 334.
    R EC TA S Y P LA N O S EN EL ESPA C IO T R ID IM E N S IO N A L E je m plo 52 Por la recta L: P = (4; 2; — 3) + t ( l; 0; 1) pasa un plano cuyas intersecciones con los planos coordenados xy e y z form an un ángulo de 60°. Halle la ecuación del plano. So lu ción Sea N = (A ;B ;C ) el vector normal del plano buscado Q. C om o el plano Q contiene a la recta L, entonces P0(4; 2; - 3 ) £ Q y Ñ. d = (A; B; C). (1; 0; 1) = A + C = 0 <=> C = - A (a ) Por otro lado, las rectas intersección del plano Q: Ax + B y + Cz + D = 0 con los planos x y e y z son respectivamente L B y + Cz + D = 0 By + Cz + D — Q Ahora, si á y b son los vectores dirección de las rectas y L2 respectivamente, entonces d = Ñ x k = (A;B;C) x (0; 0; 1) = (B; -A ; 0) y b = Ñ x T = (A ;B ;C )x (1; 0; 0 ) = (0; C; - B) D ado que las rectas Lx y l 2 form an un ángulo de 60°, entonces tenemos Reem plazando (a ) en (/?) se obtiene Así, el problem a tiene dos soluciones S B = A => Ñx = (A; A ; - A ) = i 4 ( l ; l ; - l Si B .= - A =» Ñ2 = 04; —A ; - A ) = A ( l ; - 1 ; - 1 ) Luego, las ecuaciones de los planos que satisfacen las condiciones del problem a son l ( x - 4) + l ( y - 2 ) - l(z + 3 ) = 0 ó x + y - z - 9 = 0 Q2: 1 ( x - 4) - l ( y - 2) - l(z + 3) = 0 ó x - y - z - 5 = 0 E je m p lo 53 Sean P, Q, R y S los vértices consecutivos de un cuadrado contenido en el plano Qx 2x + 2 y - z - 10 = 0. Si P (2; 9; 1 2 ) y R ( - 2; 11; 8) son los extremos de una de las diagonales del cuadrado, halle las coordenadas de los vértices Q y S. So lu ción á ■b 1 -A C eos 60° = l l á l l l l S H ^ Z V B 2 + A2J C 2 + B2 3 2 7www.FreeLibros.com
  • 335.
    PR = (- 4 ; 2; - 4 ) y PR = 6 Ahora, si a es el vector dirección de la recta L que contiene a la diagonal Q5, entonces a l P R A a 1 ÑQl = > a || PR X ÑQl = 6(1; - 2 ; - 2 ) A sí, la ecuación vectorial de la recta L es L: (x; y; z) = (0; 10; 1 0) + t ( l; - 2 ; - 2 ) , t £ R C om o Q € L, entonces Q (t; 10 — 2t; 10 - 2t). D ado que, ¡|QM¡¡ = ^|jPR|| = 3 <=» V t 2 + 4 t 2 + 4 t 2 = 3 «=* t = ± 1 Por tanto, las coordenadas buscadas de los puntos son Q ( l; 8; 8 ) y 5 ( - l ; 12; 1 2 ) TOPICOS D E C A L C U L O - V O L U M E N II En la figura 6.45, el punto medio del cuadrado es M (0; 10; 10), Ejem plo 54 U n a recta L, interseca a los planos coordenados x y e yz, de tal manera que el segmento com prendido entre los puntos de intersección está en el primer octante. S i desde dichas intersecciones se trazan perpendiculares a los ejes coordenados, quedan determinados los cuadrados Cx y C2 respectivamente. E l área de Cx es el cuádruple del área de Cz . Halle la ecuación vectorial de la recta L si su distancia al origen es 18. Solución Sean <4(0; b; b) el punto de intersección de L con el plano y z y B (a ; a; 0 ) el punto de intersección de L con el plano x y (a > 0 ,b > 0). C om o el área de Cx es cuatro veces el área de C2 (Fig. 6.46), entonces tenemos A(Cr) = a 2 = 4/1 (C2) = 4 b 2 =¡> a = 2b 328www.FreeLibros.com
  • 336.
    R EC TA S Y PLA N O S EN E L E SPA C IO T R ID IM E N S IO N A L Así, el vector dirección de L es AB = (2 b; b; —tí) = b(2; 1; - 1 ) y la ecuación vectorial de esta recta es L: P = (0; b; b) + A(2; l ; - l ) , Í e l U tilizando la fórm ula de distancia del punto (0(0; 0; 0)) a la recta L, tenemos I N x (2; l; -l)| | 18 = d ( 0 ; ¿ ) = V 6 <=> b = 9 V 2 Por lo tanto, la ecuación vectorial buscada de la recta es L: P = ( 0 ; 9 V 2 ; 9 V 2 ) + A(2; 1 ; - 1 ) , A e R Eje m p lo 55 U n a recta L que pasa por el punto A(2; 2; 2), es paralela al plano cuya ecuación es Q: x + 2 y + 4 z — 4 = 0. H alle la ecuación vectorial de la recta L si el área del triángulo AOB es igual a V l 4 u 2, donde O es el origen de coordenadas y B es la intersección de L con el plano coordenado yz. So lu ción Sean 6 (0 ; a; b) el punto de intersección de L con el plano y z (Fig. 6.47) y a = BA = (2; 2 - a; 2 — b) el vector dirección de L. C om o L II Q, entonces a 1 NQ. D e donde tenemos a - ÑQ = a - (1 ; 2 ; 4 ) = 2 + 2 (2 - a) + 4 (2 - b) = 0 = > a = 7 — 2b (a ) Por otro lado, utilizando la fórm ula del área de un triángulo tenemos i||ó lx ó s ||= i|A& = O A * O B = i| | (2 ;2 ;2 ) x (0 ;a ;6 )| | = - > / 8 a 2 + 8 b 2 —8 ab = V l 4 <=* a 2 + b 2 - ab = 7 (0) Reem plazando (a ) en (/?) se obtiene ¿)2 - 5b + 6 = 0 <=> (b - 2)(b - 3 ) = 0 < = > b - = 2 V b = 3 Por consiguiente, tenemos Si b = 2 => 5 (0 ; 3; 2 ) y P = (2; 2; 2) + t(2; - 1 ; 0), t £ R Si b = 3 =* B '( 0 ; 1; 3 ) y L 2: P = (2; 2; 2) + s(2 ; 1; - 1 ) , s e l 329www.FreeLibros.com
  • 337.
    p»! TOPICOS DECALCULO - VOLUMEN II K jcm p lo 56 U n plano pasa por el punto E (2; 0; 0) y es paralelo a la recta L: P = (5; 6; 1) + t(0; 1; —1), t £ l Si el plano interseca a los ejes z e y en los puntos F y G respectivamente, halle la ecuación del plano si se sabe que el área del triángulo EFG es igual a (3 / 2 ) u 2 (dos soluciones). Solución Sea Q el plano que interseca al eje z en G (0 ;0 ;c ) y al eje y en F(0;b;Q) (Fig. 6.48). Entonces, tenemos a = EF = ( - 2 ; b; 0), b = E G = ( - 2 ; 0; c) y ÑQ = a x b = (be; 2c; 2b) Dado qué Q II L = > ÑQ 1 d = > ÑQ ■d = (be; 2c; 2b) ■(0; 1; - 1 ) = 2c - 2b = 0 = > b = c (a) Por otro lado, utilizando la fórm ula del área de un triángulo obtenemos A a = i ||E F x EG|| = ^ b 2c2 + 4 c 2 + 4 b 2 = ¿é ¿ = > b 2c 2 + 4 c 2 + 4 b 2 ~ 9 (/?) Reem plazando (a) en (ft) resulta c 4 + 8 c 2 - 9 = 0 <=> (c2 - l ) ( c 2 + 9 ) = 0 <=> c = ± 1 Por lo tanto, las ecuaciones de los planos que satisfacen las condiciones del problema son Si c = 1 = > b = 1 = > ÑQ = (1; 2; 2 ) y Qt : x + 2 y + 2z - 2 = 0 Si c = - 1 = > b = - 1 = > Nq = (1; - 2 ; - 2 ) y (?2: at - 2 y - 2 z - 2 = 0 330www.FreeLibros.com
  • 338.
    R EC TA S Y PLA N O S EN E L ESPA C IO T R ID IM E N S IO N A L Kjem plo 57 Sean las rectas Lt : Eje z , L2: x = 3 ; z = 4 . H alle la longitud del menor segmento que es paralelo al plano Q: x - 2 y + z — 2 = 0 y une a las rectas y L2 Solución U n bosquejo del problem a se muestra en la Fig. 6.49. La s ecuaciones vectoriales de las rectas Lx y Lz son Lj: P = ( 0 ; 0 ; t ) , t E K y L2. Q = (3; 0; 4) + s(0 ; 1; 0 ) , s 6 E Sean A E Lx y B E L2, entonces i4 (0 ;0 ;t) para algún valor de t E l y B ( 3; s; 4 ) para algún valor de s E M. C om o AB = (3; s; 4 — t) es paralelo al plano Q, entonces tenemos AB 1 Nn (1; - 2 ; 1) = > AB ■N0 = 3 - 2s + 4 - t = 0 = » t = 7 - 2s Así, la longitud del m enor segmento es f ’ís) = p B | | = V 9 + s 2 + ( 2 s - 3 ) 2 = V l 8 - 2 sv+ 5 s 2 = f ( s ) Para encontrar el valor de s que hace m ínim o a f(s), derivam os con respecto a s y tenemos 5 s - 6 6 ... :------ - ..... = 0 =» S = - V 1 8 - 125 + 5 s 2 5 El criterio de la primera derivada confirm a que / ( s ) es m ínim o cuando s = 6/5 y los puntos son i4(0 ; 0 ; 2 3 / 5 ) y B{ 3 ; 6/5 ; 4). Por lo tanto, la longitud del menor segmentó es ||i4B|j = 3 ^ 6 / 5 = 3,286... Eje m p lo 58 Halle la ecuación de la recta L que pasa por el punto A(3; 4; - 5 ) , corta a la recta Lx: Q = (1; 3 ; - 2 ) + t(4; 3; 2), I E E y es perpendicular a la x — 4 y + 2 recta L2: —— = —~ ■ 2 “ 5 So lu ción Sea B 6 Llt entonces ñ ( 1 + 4 í; 3 + 3 í; 2 t - 2) para algún t 6 l . Como el vector dirección a = AB = (4 t - 2; 3 t - l ; 2 t + 3 ) de ¿ es perpendicular al vector dirección b = ( 2 ; 3 ; 0 ) de L2, entonces a - b = 2 ( 4 í - 2 ) + 2 ( 3 t - l ) = 1 7 t - 7 = 0 «=» t «= 7 /1 7 Por tanto, la ecuación de la recta L es L: P = ( 3 ;4 ;- 5 ) + A ( - 6 ; 4 ; 6 5 ) , l € # 331www.FreeLibros.com
  • 339.
    Ejem plo 59Halle la ecuación del plano que pasa por P0( 5 ; 0 ; - 2 ) y form a un ángulo de 30° con el eje z. (dos soluciones). Solución Sea N = (A ;B ;Q el vector normal del plano Q que pasa por P0( 5 ; 0 ; - 2 ) . Entonces su ecuación es Q: A(x - 5) + B y + C (z + 2) = 0 (*) C om o el ángulo que form a el plano Q con eleje z es 30° (Fig.6.51), entonces 1 |C4; 6; C) ■ (0; 0; 1)1 sen 30° = ——- ; 'J ± <=» 3C2 = A2 + B 2 (a ) 2 V ¿ 2 + B 2 + C2 ^ Por otro lado, si K (0 ; 0 ;z 0) es el punto de intersección del plano Q con el eje z, entonces P0V = ( - 5 ; 0; z 0 + 2) y el eje z forman un ángulo de 30°. Luego, V 3 P o ? • (0; 0; 1) ^ — = e o s 30° — - W | | « z . ^ 2 ± 5 V 3 ( « Dado que V (0; 0; z 0) e Q, entonces satisface la ecuación (*), esto es — 5i4 + C (z0 + 2) = 0 <=> — SA + C ( — 2 ± 5 V 3 ) = 0 <=> ¿4 = +V3^C(y ) Reem plazando (y ) en (a ) se deduce que B = 0. Deestemodo, el vector normal del plano Q es Ñ = ( ± V 3 C; 0; C) = C ( ± V 3 ; 0; 1) Por consiguiente, la ecuación buscada del plano Q resulta (?: ± V 3 x + z + 2 + 5 V 3 = 0 TOPICOS DE C A L C U L O - V O LU M E N II E je m p lo 60 U n rayo lum inoso ¿ £: P = (1; 4; 3) + t ( l; 2 ; - l ) , t 6 R incide en el espejo plano Q; 3x —y + 4 z — 2 = 0 y se refleja; hálle la ecuación del rayo reflejado. So lu ción 332www.FreeLibros.com
  • 340.
    RECTAS Y PLANOSEN EL ESPACIO TRIDIMENSIONAL Sea I = n Q (en la Fig. 6.52, el plano Q se muestra de canto). Luego, / (I + t; 4 + 2t; 3 - t) e Q e* 3(1 + t) - (4 + 2t) + 4(3 - t) = 2 <=> t = 3 = » /(4; 10; 0 ) Ahora, la ecuación vectorial de la recta que pasa por el punto P0 y sigue la dirección del vector normal es LN: P = (1; 4; 3) + A(3; — 1; 4 ) ,X £ IR Si M = Ln fl Q, entonces al hacer las operaciones respectivas obtenem os / 1 113 4 2 2 6 '" 2 6 " '2 6 / Dado que Ai es el punto m edio del segmento P0Qo , entonces el punto Q0 es / 14 61 3 V 1 3 '1 3 '1 3 / Por tanto, la ecuación vectorial del rayo reflejado que pasa por el punto I y sigue la dirección del vector b = Q0I —— (66; 69; — 3) es Lr : R = (4; 10; 0 ) + r (6 6 ; 69; - 3 ) , r £ IR EJERCICIOS 1. Halle la ecuación de la recta que pasa por (1; 3; 2), es paralelo al plano Q: P = (1; 4; 0 ) + r ( 1; 1; 1) + s ( 0; 1; 2), r, s £ E y form a un ángulo de 60° con la recta Lx R = (1; — 2; 3) + t(0; 1; 0), t £ E R. L: = (1; 3; - 2 ) + t(3 ± 2V 2; 2 ± V 2; l) , t 6 E 2. Halle la ecuación del plano que pasa por (3; 1; — 2 ) y form a ángulos iguales con las rectas Lx:P = (1; 4; 2) + t ( l; 1; 1), t £ E , ¿ 2; eíe x yL3: e ]e y R. {x - 3) + (y - 1) + (V 3 - 2 )(z + 2) = 0 3. Sean las rectas: Li'. P = ( 3 ; 0 ; 0 ) + t ( l; — 1; 1),t £ E L2- Q — (2; 9;1) + s ( l ; 3; — í),s £ E Halle la ecuación del plano que es paralelo a Lr y Lz, y divide en 2 partes iguales al segmento de m enor longitud que une a dichas rectas. 4. Sea el plano con ecuación 2x + 3y + z + 4 = 0 , encontrar n y m no nulos de m anera que los dos vectores A = i + j + k y B = nj + m k están en un plano perpendicular al dado. R . m = 1 / 2 , n = - 1 / 2 333www.FreeLibros.com
  • 341.
    5. ln :P = (1; 2; — 3) + t ( l; — 1;5), t G R L2: Q = (0; 1 ;4 ) + s ( l ; 0 ; - 1 ) , s e l son dos rectas, ¿se intersecan?. E n caso afirmativo, halle el punto de intersección y la ecuación del plano que los contiene. En caso contrario, halle la distancia m ínim a entre Lx y ¿ 2 6. Halle la ecuación del plano paralelo al plano 2x - y + 2z + 4 = 0 si se sabe que el punto P0( 3 ; 2 ; — 1) equidista de ambos planos. R. 2x —y + 2z - 8 = 0 7. Dadas las rectas P = (1; - 1 ; 1) + t( 0; 1; 1), t e l ¿ 2: Q = (0; 1;0) + 5(1;0; — 1), s £ R Halle lasecuacionesde dos planos paralelos Qx y Q2 de m odo que Lx c Qx y. L2 c Q2 . ¿C u á l es la distancia entre Qt y Q21 8. Halle la ecuación del plano perpendicular alplano z = 2, que pasa por el punto P0(2 ; 2 ; 2 ) y que form a un ángulo de 60°con el plano y[3x + 2 y — 3z + 2 = Q R. 4 V 3 x + y - 2 (1 + 4 V 3 ) = 0 9. Dadas las rectas: L x: P = (1; 2; - 1 ) + t ( 2; - 2 ; - 3 ) , t G R L2. Q = (2; 3; 1) + s ( l ; 2; - 1 ) , 5 G R L3: R = (3; 1; - 1 ) + r ( 1; 1; 1), r G R Halle, si existe, la ecuación del plano Q que contiene a L3 y a su vez el plano sea paralelo a las rectas Lx y L2. R. no existe 10. Halle la ecuación cartesiana del plano que pasa por ( 2 ; 6 ; 1 ) y contiene a la X z recta - = - , y = - 5 R. 88x — 1 3 y — 3 3 z — 65 = 0 11. La recta L que pasa por ( - 1 ; 1; 6 ) es paralela a los planos x + y = 0 A 2x — z — 6 . L a recta LQ es la proyección de L sobre el plano xy. H alle las ecuaciones de las rectas L y LQ. 12. Halle la ecuación de la recta que contiene al m enor segmento horizontal (paralelo al plano xy) que une las rectas P = ( 0 ; 0 ; 0 ) + t1( l; 2 ; 8 ) , t E R l‘¿: Q = (1; 3; 0 ) + t2(0; 1; 4), t 6 R R. L: P = (1; 2; 8 ) + t3(0; 3; 0), t3 G R 13. Halle la ccunción cartesiana del plano que pasa por P0( l; 0; 0), sabiendo que la recta L: P — (5; 1 ;— 5) + t ( l ; 0 ; — 1), í G R está a una distancia de 1 unidad de dicho plano (Z, II Q). TOPICOS D E C A L C U L O - V O LU M E N II 334www.FreeLibros.com
  • 342.
    I I. Hallela ecuación cartesiana del plano, sabiendo que es paralelo al plano 2 x + 2 y - z + 7 = 0 y que el punto (5; 2; - 3 ) equidista de am bos planos. R. 2x + 2 y - z - 41 = 0 15.Sean L P = (1; 1; 3) + t ( 2 ; 0 ; l) , t G E y Q: 2 y - y + z - 15 = 0 una recta y un plano respectivamente. Si A — L n Q, halle la ecuación dela recta L1 que pasa por el punto A y es perpendicular a la recta Lq . L a recta Lx está contenida en el plano Q. 16. D adas las rectas = (3; 4; 5) + tx(0; 1 ; - 2 ) , t x G E L2: P2 = (4; - 2 ; 1) + t2( 1; 2; 3), t2 G E L3: P3 = (0; 0; 0) + t3(2; 1; 0), t3 G E Halle la ecuación cartesiana de un plano que corta a estas rectas en los puntos A, B y C respectivamente, de m odo que AB = BC, E l plano solicitado es paralelo a la recta x = y = z y los puntos A, B y C están alineados. R. 19x - 2 0 y + z - 81 = 0 17.a = (4; 0; 3) y b = ( - 3 ; VTT; 4 ) son los vectores dirección de las rectas y l 2 respectivamente. Las rectas se intersecan en (3; 2; 1).Halle laecuación de la recta ¿ 3 quepasa por el punto P0(3 1 / 5 ;2 ; 1 7 / 5 ) ydetermina con Lx y L2 u n trián g u lo de área 6 u 2. 18. Hallela ecuación de una recta que pasa por el punto (3; 4; — 6 ) y es paralela a los planos x + 2 y - z = 4 A 3 x - y + 2z = - 6 . R. L: P = (3; 4; - 1 ) + t ( - 3 ; 5; 7), t G E 19. Halle la ecuación del plano que dista del origen V 2 3 4 unidades y pasa por la intersección de las rectas P = (9; 5; 4 ) + t ( l; 1; 2), t e E y L 2: Q = (1; 2; 3) + s(2 ; 1; 1), 5 G E R. 11 (x - 1 1) + 7 (x - 7) + 8 (z - 8 ) = 0 20. Halle laecuación cartesiana del plano que pasa por (3; 4; 1) y es perpendicular a los planos x - y - 4 A x + z = 6. R. x + y - z - 6 = 0 21. Si L1: P = (2; 1 ;0 ) + t ( l; — 1; 1), t G E , halle la ecuación de la recta L que - sea simétrica a la recta L x con respecto al plano 2 x - y - z - 5 - 0 . x + 4 5 - y. 25. Dado el plano x - 2 y + 3z = 8 y la recta L: —— = —— <y = _ 1 Halle la ecuación de la recta que pasa por (0; 2; — 1), es paralela al plano dado y corta a la recta L. R. L1 P = (0; 2; - 1 ) + t(4; - 1 ; - 2 ) , t £ E 22. D adas las rectas Ly. Pi = (1; 1; 2) + t ^ l ; 2; 0), t x G M L2- P2 = ( 2 ; 2 ; 0 ) + t2( l; — 1; 1). t2 G E R EC T A S Y PLA N O S EN E L ESPA C IO T R ID IM E N S IO N A L 3 3 5www.FreeLibros.com
  • 343.
    ^3* ^3 =(0; 3; — 2) + t3(S; 0; 2), ¿3 6 ® Halle la ecuación de una recta que corte a estas tres rectas Lu Lz y L 3 en los puntos M, N y Prespectivamente, de tal manera que MN = NP R. L: P = (0; - 1 ; 2) + t ( 2; 2; - 1 ) , t £ E 23. Sean las rectas ¿ j = {(1; 0; 0 ) + r ( 1; 1; 1) / r e E } y ¿2 = {(7;4;3) + s (3;4;2) / s &E} Halle los vértices de un triángulo equilátero de lado 2 V 2 u , talque un vértice pertenece a ¿ 2 y el lado opuesto en L1. R. ( 4 ; 0 ; 1 ) , ( 2 ± V 2 7 3 ; 24. Dadas las rectas no coplanares concurrentes en P0( l; - 2 ; 3) x - 1 y + 2 z - 3 x — 1 3 - z 1. : — - — = — .W - — = — A x — 1 y + 2 z - 3 L o : -------- = -- ------ = --------- 3 2 1 2 Halle la ecuación de un plano que pasa por el punto A {—4; 2; 6 ) y form a ángulos iguales con estas rectas. R. 3x —y - z + 20 = 0 26. Dadas las rectas: x — í y + 2 5 - z y - 1 z + 2 ¿ . — = — - — = — -— ■ y L2. x = - 2 ,— -— = — - — 1 2 3 4 * z 1 2 que se cruzan. H alle la ecuación de la recta que pasa por i 4 ( - l ; - 2 ; 0 ) , es perpendicular a Lí (en el espacio) e interseca a ¿ 2. R. P = ( - 1 ; - 2 ; 0 ) + t ( — 1; 6 ; 4), t 6 E 27. D ados los planos Qt : 2x + 2 y - 2 z + 2 = 0. y <32; x - 2 y — z = 1 y el punto >4(2; 1; 4). H alle la ecuación de una recta que pasa por A , es paralela a Q2 y form a un ángulo de 30° con R. ¿ = { ( 2 ; l; 4 ) + t ( l l ± 6 V 2 ; 2 ± 3 V 2 ; 7) / t 6 i } 28. Halle la ecuación de una recta que pasa por (3; 1; 2) y corta a la rectas Lt : P = {(2; 4; - 1 ) + t( 0; 1; 2 ) / t e E } f x - y + z = 4 l 2jc + z = 6 R. Q = ( 3 ; l ; 2 ) + s ( - l ; 1 0 ; l l ) , s é E 29. Encuentre la ecuación del plano que pasa por el puntó' <2(3;— 5; 2 ) ' y es perpendicular a los planos 2 x + 3 y - z - 5 = 0 A x - 2 y + 2 z - 3 = 0. R. 4x - 5 y - 7 z — 23 = 0 30. Encuentre la ecuación del plano que pasa por los puntos ( - 2 ; 5; 3) y (4; 8 ; - 8 ), y es perpendicular al plano xz. R. l l x + 6z + 4 = 0 V TO PICO S D E C A L C U L O - V O L U M E N II 336 www.FreeLibros.com
  • 344.
    31. Encuentre laecuación del plano que pasa por origen, es perpendicular a&pJano 2x + 3 y - Sz = 0 y es paralelo a la recta que pasa por los puntos (1; - 1 ; 3) y (2; 1; -2 ). R. Sx —5 y —z = 0 32. Encuentre la ecuación del plano que es paralelo al plano 12x —y — Y lz = 4 y pasa por la intersección de los planos 2x - y - Sz = 4 A 3x + y - z = 0. R. Y 2 x - y ~ 7 z = 12 33. U n plano pasa por los puntos P1( l; 0; - 1 ) y P2( - 1; 2; 1), y es paralelo a la recta de intersección de los planos 3x + y - 2z = 6. A 4 x - y + 3 z = 0. H alle su ecuación. R. 5 x - 3 y + 8 z + 3 = 0 34. Encuentre la ecuación de un plano que pasa por ¿ 4 (1 ; -2 ; 1) y es perpendicular al vector OA, donde O es el origen de coordenadas. R. x - 2 y + z = 6 3 5 .Encuentre la ecuación de un plano que pasa por los puntos P ! ( l ; 2 ; 3 ) y P2( 3; 2; 1), y es perpendicular al plano 4 x - y + 2 z = 7. R. x + 6 y + z = 16 36. Encuentre la distancia del origen de coordenadas x — 2 y — 1 2 — z 3 ~ 4 ~ 5 R. 3 u Í „ — 2 z — 3 — 0 y _ 2Z = o interseca al plano x + 3 y — z + 4 = 0. Encuentre el punto de intersección P y halle la ecuación de la recta contenida en este plano, que pasa por P y es perpendicular a L. R. P ( 1; - 2 ; - 1 ) , = L t l = £ ± 1 — 5 3 4 3 8 .Calcule la distancia m ínim a entre la rectas Lx y L2, donde l x pasa por el origen y el punto (1; 1; 1), y ¿ 2 pasa por (1; 2; - 2 ) y es paralelo al vector 2 í-j + 2k. R. 3V2/2 39. H alle la ecuación del plano que form a un ángulo de 60° con el plano» 2x - y + z = 7 y contiene a la recta L: P = (1; 8; 1) + t ( l; — 3; 1), t 6 M. R. x + y + 2 z = 11, l l x + 2 y — 5z — 2 2 = 0 (dos soluciones)^ 40. H alle la ecuación cartesiana del plano que pasa por (3; 4; 1) y es ortogonal a los planos P: x - y — 4 A Q: x + z = 6 R. x + y - z - 6 = 0 RECTA S Y PLANOS EN EL ESPACIO TRIDIM EN SION AL 337 www.FreeLibros.com
  • 345.
    41. Halle lasecuaciones de tres planos equidistantes, que pasan por los puntos (1; 4; 0), (2; — 5; 1) y (3; 0; - 2 ) respectivamente, de tal manera que sean a su vez paralelas a la recta L = {(1; 4; 0) + t ( l; 1; 1) / t G M}. Sugerencia: Considere P1P2 = P2P3 R. 9x - 2 y - 7z - 1 = 0 9x — 2 y - 7 z - 21 = 0 9 x - 2 y - 7z - 41 = 0 42. Halle la longitud del m enor segmento paralelo al plano xy, que une las rectas Lx = {(1; 2; 0 ) + ^ ( 1 ; 2; 1 ) / ^ G R } y = {(0; 0; 0 ) + t2( 1; 1; l ) / t 2 G ®¡} R. l u 43. Encuentre la ecuación de la recta que pasa por (3; - 1 ; 6 ) y es paralela a los planos x — 2 y + z = 2 A 2 x + y - 3 z = 5. R. x — 3 = y + l = z - 6 44. Halle la ecuación del plano que es paralelo al plano 1 2 x — y - 1 7 z = 14 y pasa por la intersección de los planos 2 x - y - 5 z = 4 A 3x + y —z - 0. R. 1 2 x - y - 1 7 z = 6 4 5 .Encuentre la ecuación de los planos que bisecan el ángulo entre los planos 2 x + y + z = 4 A7 x - y —2z = 2. R. x —4 y — 5z + 10 = 0 4 6 .C o n los puntos j4 (1 ;2 ;3 ), B ( 0 ; - l ; 4 ) y C ( — 1 ; 2 ; 6 ) se form a el paralelogram o ABCD. H alle la ecuación de la recta que pasa por los puntos C y d . R. L = {( 0 ; 5 ; 5 ) + t ( — 1; — 3; 1) / t G K } 47. Halle la ecuación del plano que pasa por el origen de coordenadas y por la intersección de los planos x —y + z —4 = 0 A 2 x + y - 2 z — 6 = 0. R. x + 5 y - 7z = 0 48. Halle la ecuación cartesiana de un plano que pasa por (1; 2; — 3 ) y por la intersección del plano x —y + 2 z = 4 con el plano xy. R. 3 x - 3 y - 5 z - 12 = 0 49. Encuentre la longitud m ínim a del cordel que se necesita para llegar desde el punto Pq(8; 6; - 5 ) hasta una vara recta de madera que pasa por los puntos Qx(3; 5; 3 ) y <?2(8 ; 3 ; 1 ) R. d = 5,65 u TOPICOS DE CALCULO - VOLUMEN II 338www.FreeLibros.com
  • 346.
    5 0.L as rectas Lx = {(5; 11; — 2) + ^ ( 0 : 8 ; —1), 6 R } L2 = {(8; - 2 3 ; 3) + t2(3; - 1 0 ; - 4 ) , t2 6 R } ¿ 3 = {(8; 1; -6) + t3(3; - 2 ; - 5 ) , t3 6 R } contienen a los lados del triángulo ABC. H alle la distancia del centro de gravedad de dicho triángulo al plano 5 x + 1 2 z + 14 = 0. R. 5 u 51. D a d o s los puntos no colineales .4(0; 0 ;0 ), f í( 0 ; l; 5 ) , C ( 5 ; 2 ; — 1) y D( 3; 7 ; - 7 ) , determine la ecuación de los planos paralelos que pasan por dichos puntos, de tal manera que las distancias que los separan sean iguales. R. Qt : 9x + y - 1 2 z + 59 = 0, Q2: 9x + y - 1 2 z = 0 Q3: 9x + y - 1 2 z - 59 = 0, <?4: 9x + y — 1 2 z — 1 18 = 0. RECTAS Y PLANOS EN EL ESPACIO TRIDIM ENSIONAL Su gerencia: E n el gráfico adjunto, para determinar las coordenadas del punto P(x0;y Q;z 0) la razónos DP 2 _ r = = = —y la norm al del plano es N — á x b BP 1 F 52. U n hom bre que se encuentra en 0 (0; 0; 0 ) lanza una flecha desde ¿4 (0 ;0 ;1 6 ) hacia un blanco en f í( 5 0 ; 1 2 ; 1 6 ) que se encuentra sobre el plano 2 5 * - 6 y - 1 1 7 8 = 0 , haciendo impacto a 0,1 unidades del blanco. Si la flecha fue lanzada con una trayectoria paralela al plano x y , halle el ángulo que debió girar el hom bre para no fallar. R. 3,62° 53. Se tienen dos túneles que parten de la superficie (suponer que la superficie es lisa y es el plano x y ) desde los puntos P1A(0 ;5 / 2 ;0 ) y P1B(5 ; 2 ; 0) y llegan respectivamente a los puntos P2/»(— 7; — 1; — 7) y P2B( - 5 ; 3 ; - 5 ) . H alle la m ínim a distancia que debe tener un túnel para quedar a nivel (paralelo al plano xy) y sirva para interconectar a los túneles A y B. R. d = 2,457 Sugerencia: E l túnel que debe intersecar a los dos túneles debe ser paralelo al plano xy para que quede a nivel, luego igualar las coordenadas z de los puntos que se toma sobre cada túnel. Z Ák A(0;0;16) a B (50;12;16) ... Sugerencia: 0,1 = IB O (0;0;0) ^ y, =15,96 / y * * eosa = 0,988 =>a (i,62°) 339www.FreeLibros.com
  • 347.
    TOPICOS DE CALCULO- VOLUMEN II 54. Un niño patea una pelota desde el punto P0(8; - 1 0 ; 1 2 ) y ésta se mueve en línea recta en la dirección del vector v = (2; 2; 2), con velocidad constante. Si la pelota se dirige hacia una ventana de vidrio, ¿qué tiem po tardará en impactar con el vidrio si la ventana está en el plano 2x + 8 z = — 4 ? R. V 2 u 55. Halle la ecuación cartesiana de un plano que contenga a la recta L = {(1; 2; - 3 ) + t ( l; - 4 ; 2) / t 6 R } y se encuentra a una distancia 8 / V 4 1 unidades del punto (2; — 4; — 5). R. 6x + 2y + z —7 = 0 A 3 0 * + 2 y - l l z - 67 = 0 56. U n rayo de luz parte del punto (1; 4; 2), se refleja en el espejoplano yz. E l rayo reflejado, se refleja nuevamente en el espejo plano x z y este últim o rayo reflejado pasa por (5 ; 1; 4 ) . Halle la ecuación de este últim o rayo reflejado. R. L = {(1 9 / 5 ; 0 ; 1 8 / 5 ) + t(6; 5; 2 ) / t E l ) 57. U n rayo de luz parte del punto (2; 1; 6) , se refleja en el espejo plano xz; este rayo reflejado se refleja nuevamente en el espejo plano yz, y este últim o rayo reflejado pasa por (3; 8; 2). Halle la ecuación de este últim o rayo reflejado. R. L = {(0 ; 13/5 ; 2 2 / 5 ) + t( 5; 9; - 4 ) / t e R} 58. En los planos paralelos Pj: 4x — 8 y — z + 9 = 0 y P2 4x —8y —z —18 = 0, se tienen los puntos Qt y Q2 respectivamente. Halle el volum en del cilindro cuya diagonal QÍQ2 mide 9 unidades. R. V = 54 7r u 3 59. U na puerta rotatoria de un centro comercial consta de dos planos P1: 5x + 3 y - z ~ 9 - 0 y P2: 3x - 2 y + 5 z - 6 = 0 Se quiere aumentar un plano más a la puerta, de tal manera que pase por la recta de intersección de am bos planos y que sea paralelo a la colum na que describe la ecuación de la recta Lx = {(3; 1; 6 ) + t ( l; 1; 0 ,) / t 6 R } . Halle la ecuación de dicho plano. R. 1 9 * - 1 9 y + 4 1 z - 39 = 0 60. U n barco se encuentra en el punto P ( 2 ; 3 ; 0 ) y tiene un m ovim iento rectilíneo con una velocidad constante — (1; 5; 0). E n ese m ism o instante un avión com ercial empieza a caer desde el punto (5; 4; 6 ) con una velocidad constante v 2 = (2; 11; - 6 ) en línea recta. C on estos elementos de juicio se pregunta a) ¿K l avión cae sobre el barco? b) Si no es así, ¿cuál será la m enor distancia entre ellos?. R. a) N o b) 2,5 u 340www.FreeLibros.com
  • 348.
    SUPERFICIES U na superficiees un conjunto de puntos P ( x ; y ; z ) e R 3 cuyas coordenadas satisfacen una ecuación dada en las variables x, y y z, esto es, S — {(x; y ; z ) 6 E 3 / £ ( x ; x; z) = 0} es generalmente una superficie. U n ejemplo de superficie es el plano (su ecuación es Ax + B y + Cz + D = 0) Observación 1 Existen ecuaciones tales como a) x 2 + ( y - 2 ) 2 + z 2 + 8 = 0 b) (x + l ) 2 + 4 (y - 2 ) 2 + 3(z - 5 ) 2 = 0 que no representan a una superficie. Para la ecuación (a), no existen números reales x, y, z que satisfagan la ecuación dada, en este caso se dice que (a) representa al conjunto vacío (0) Para la ecuación (b), los únicos números reales que satisfacen la ecuación son x = —1, y = 2, z = 5. Luego, la ecuación (b) representa solamente al punto P C-l; 2; 5). Observación 2 (Traslación de ejes) De modo similar a la traslación de ejes en el plano cartesiano, se efectúa la traslación de ejes en el espacio tridimensional R 3. Si el sistema de coordenadas o x yz se traslada a un nuevo origen 0 '(h ; k; l), de modo que las coordenadas de cualquier 7 z punto P E I 3 antes y después de la 11 ‘ 1 traslación son (x y z ) y ( x 1;y' ; z ' ) f|P respectivamente (Fig. 7.1), entonces las ] relaciones de tranformación del sistema " z - original (oxyz) al nuevo sistema de ^ Y coordenadas (o’x'y'z') son x = h + x' y = k + y' ■ z = l + z' Fig. 7.1 www.FreeLibros.com
  • 349.
    SI J I' I Í K I ' I CI E S 7.1 E S F E R A Definición: U na esfera es el conjunto de todos los puntos del espacio IR3 que equidistan de un punto fijo llamado centro. La distancia constante de cualquier punto al centro se llam a radio y se denota con r > 0 . Sea P (x ; y ;z ) cualquier punto de la esfera de centro C(h',k;l) y radio r > 0. Entonces, por definición tenemos d (C ; P) = V ( * - h) 2 + (y - k ) 2 + (z - l)2 = r D e donde, (x - h )2 + ( y - k ) 2 + ( z - l) z = r 2 (*) Esta ecuación se llama forma ordinaria de la ecuación de la esfera. La esfera con centro en el origen de coordenadas y radio r > 0 tiene por ecuación x 2 + y 2 + z 2 — r 2 y esta ecuación se denom ina forma canónica de la ecuación de la esfera. Si desarrollam os la form a ordinaria de la ecuación de la esfera, obtenemos una ecuación de la form a x 2 + y 2 + z 2 + Dx + Ey + Fz + G = 0 (a ) que es la ecuación de la esfera en su forma general. Cualquier ecuación de la forma (a), empleando el método de completar cuadrados, se puede expresar en la forma (x - h Y + ( y - k ) 2 + (z - i)2 = t (P) Com parando las ecuaciones ( * ) y (¡3), se tienentres posibilidades: Si t > 0, (/?) representa a una esfera de centro C (h ;k ;l) y radio V t Si t = 0, (/?) representa al punto C (h k l) Si í < 0, (/?) representa al conjunto vacío www.FreeLibros.com
  • 350.
    SUPERFICIES E je mp lo 1 a) H alle la ecuación de la esfera de centro C(2; — 1; 0 ) y ra d io r = 3 b) H alle la ecuación de la esfera si uno de sus diám etros es el segmento de extremos „4(3; 1; 4 ) y B (5; — 1; 2) c) Determ ine si una de las siguientes ecuaciones representa a una esfera, a un punto oal conjunto vacío. i) x 2+ y 2+ z 2 - 2x + 4 y - 6 z + 1 = 0 ii) x 2+ y 2+ z 2 - 4 x + 2 y - 2 z f 6 = 0 iii) x 2+ y 2+ z 2 + 2x + 6 y ~ 8z + 35 = 0 Solución a) U tilizando la form a ordinaria de la ecuación de una esfera, tenemos, (x - 2 )2 + ( y + l ) 2 + z 2 - 9 ó x 2 + y 2 + z 2 - 4 x + 2 y - 4 = 0 b) C om o el centro de la esfera es el punto medio de AB, es decir, C ( 4 ; 0 ; 3 ) y el radio r = diC ;A ) — V 3 ; entonces la ecuación de la esfera es de la form a (x - 4 ) 2 + y 2 + (z - 3 ) 2 = 3 ó x 2 + y 2 + z 2 - 8x - 6z + 22 = 0 c) A l completar los cuadrados en cada una de las ecuaciones, obtenemos i) (x — l ) 2 + ( y + 2 ) 2 + (z — 3 ) 2 = 13. Esfera de centro C ( l; - 2 ; 3 ) y radio r = V l 3 ii) (x — 2 ) 2 + ( y + l ) 2 + (z - l ) 2 = 0. Luego, la ecuación representa el punto C ( 2 ; - l ; l ) iii) {x + l ) 2 + ( y + 3 ) 2 + (z —4 ) 2 = - 9 . L a ecuación dada representa al conjunto vacío. E je m p lo 2 Halle la ecuación de la esfera que es tangente a los planos <21: x + 2 y + z - 4 = 0 y Q2'- x - y + 2z - 5 = 0, y tiene su centro en el eje z. (D o s soluciones) So lu ción Sea C(0; 0; l) el centro de la esfera buscada. Entonces, utilizando la fórm ula de distancia de punto a plano, tenemos d (C ,Q i) = d(C, Q2) « = £ L l 5 ! <=> i = 1 V 1 = 3 F ig . 7.3 www.FreeLibros.com
  • 351.
    Si / =1 , la ecuación buscada de la esfera es 3 x 2 + y 2 + (z - l ) 2= - ó 2 x 2 + 2 y z + Z z2 —4z - 1 = O Si / = 3 , la ecuación buscada de la esfera es 1 x 2 + y 2 + (z — 3 )2= - ó 6 x 2 + 6y 2 + 6z 2 —3 6 z + 53 = 0 6 Eje m p lo 3 E l plano Q pasa por el punto y contiene a la recta y + 1 L : x - 1 —- ~= z + 4 'H a lle la ecuación de la esfera, con centro C ( 0 ; - 2 ; l ) y tangenteal plano Q. ¿C uál es el punto de contacto? So lu ción D ado que el punto de paso de la recta L es (1; — 1; — 4), entonces los vectores que están contenidos en el plano Q son SUPRRriClLS 3 = PoPi — (0; 0; — 4 ) y b = (1; 4; 1) Luego, el vector norm al Ñ del plano es N = a X b = ( 1 6 ; - 4 ; 0) Así, la ecuación del plano Q es Q: 1 6 (x - 1) - 4 ( y + 1) = 0 ó < ? : 4 x - y - 5 = 0 Utilizando la fórm ula de distancia de punto a plano, el radio de la esfera es . |2 — 5| 3 r = d (C ; Q) = = —= V T 7 V I 7 Así, la ecuación de la esfera de centro C (0; — 2; 1) y radio r = 3 / V l 7 es 9 x 2 + (y + 2 )2 + (z - l ) 2 = 17 «=> 1 7 x 2 + 1 7 y 2 + 1 7 z 2 + 6 8 y - 3 4 z + 7 6 = 0 El punto de contacto entre el plano Q y la esfera es I = Q ñ LN, donde LN es la recta que pasa por el centro de la esfera y sigue la dirección del vector N su ecuación vectorial es L N :P = (0; - 2 ; 1) + t (4; - 1 ; 0), t £ E . Hallando la intersección de LN con el plano Q, se obtiene el puntode tangencia /(1 2/ 1 7; — 3 7 / 1 7; 1) 344 www.FreeLibros.com
  • 352.
    E jem plo4 Encuentre la ecuación de la esfera que tiene su centro en el plano xz y es tangente al plano Q: 2x - y + z - 4 = 0, en el punto P1( 1; 5; 7). Solución La ecuación vectorial de la recta LN que pasa por el punto P i( l ; 5; 7 ) y sigue la dirección del vector normal Ñ = (2; - 1 ; 1) (Fig. 7.5) es Ln : (x ; y ; z ) = (1; 5; 7) + t ( 2 ; - l ; l ) , t 6 E Si C es el centro de la esfera, entonces C £ Ln D Plano xz <=> C £ Ln A C £ Plano xz «=> C (1 + 2t; 5 - t; 7 + t) £ Plano x z (y = 0) Luego, el centro de la esfera es C ( l l ; 0; 12) y su radio r = d (C ; P J = V i 50 Por consiguiente, la ecuación buscada de la esfera es (x - l l ) 2 + (y - O )2 + (z - 1 2 )2 = 1 5 0 ó x 2 + y 2 + z 2 - 22x - 2 4 z + 115 = 0 EJE R C IC IO S 1. Halle la ecuación de la esfera de centro C(4; 3; - 1 ) y radio r = V 7. R. x 2 + y 2 + z 2 - 8 x - 6 y + 2 z + 19 = 0 2) H alle la ecuación de la esfera si uno de sus diámetros es el segmento de extremos i4 ( 1 0 ; - 5 ; 8 ) y B ( 2 ; 5 ; - 1 4 ) R. x 2 + y 2 + z 2 — 1 2 x + 6 z — 1 1 7 = 0 3) Determ ine si una de las siguientes ecuaciones representa a una esfera, a un punto o al conjunto vacío. S i representa a una esfera determine su centro y su radio. a) x 2 + y 2 + z 2 - Í6 x + 8 y + 4 z + 75 = 0 b) x 2 + y 2 + z 2 + 8 x - 6 y - 4 z + 2 9 = 0 c) x 2 + y 2 + z 2 - 2 x - 4 y - 6 z + 15 = 0 R. a) Esfera, C (8; - 4 ; - 2 ) y r = 3 b) Punto c) 0 3. H alle la ecuación de la esfera que es tangente al plano x - 8 y + 4 z + 7 = 0 y es concéntrica a la esfera x 2 + y 2 + z 2 - 1 2 x - 4 y r 6 z + 33 = 0. R. X2 + y 2 + z 2 - 1 2 x - 4 y - 6 z + 4 8 = 0 SUPERFICIES 345www.FreeLibros.com
  • 353.
    SUPERFICIES 4. Halle laecuación de la esfera que tiene su centro en el eje x y pasa por los puntos P 1( 0 ; 5 ; 0 ) y P2( - 2 ; 1 ; Ó ) . R. x 2 + y z + z 2 — 1 0 * - 25 = 0 5. Encuentre la ecuación de la esfera que tiene su centro en el plano coordenado y z y es tangente al plano x + 3 y — 2z + 1, = 0 en el punto P ( 5; 0; 3). R. x 2 + y 2 + z 2.+ 3 0 y - 2 6 z — 1 0 6 = 0 6. Determ ine la ecuación de la esfera que pasa por, el punto P0( — 2 ;4 ; 0 ) y por la intersección de las esferas x 2 + y 2 + z 2 - 2x + 2 y — 4 z + 2 = 0 x 2 .+ y 2 + z 2 - 4 x — 2 y — 6 z + 10 = 0 R. x 2 + y 2 + z 2 - I9x — 3 2 y - 2 1 z + 70 = 0 Sugerencia. S i = 0 y Sz — 0 son las ecuaciones de dos esferas, entonces + kSz = 0,para k =é — 1, representa la fam ilia de esferas que pasan por la intersección de las esferas dadas, con la excepción de la esfera S 2 = 0 7. Determ ine la ecuación de la esfera que pasa por la circunferencia de intersección de las esferas: x 2 + y 2 + z z - 4 x - 8 y + 6 z + 12 - 0 x 2 + y 2 + z 2 - 4x + 4 y - 6 z - 12 = 0 y es tangente al plano x + 2 y - 2 z — 3 = 0 ,, R. 5 t : x 2 + y 2 + z 2 - 4 x - 6 y + 4 z + 8 = 0 S2. x 2 + y 2 + z 2 —4 x - 2 4 y + 2 2 z + 4 4 = 0 8. U na recta L pasa por fil punto A(3; - 4 ; 6 ) , interseca a la recta l x: P = (6; - 1 0 ; 1 2 ) + t ( l; 0; 0 ) y a la esfera 3 29 ( * + 2 )Z + ( y “ 1)2 + 2)2 = T en una cuerda de longitud 3 unidades. H alle la ecuación vectorial de L (dos soluciones). 9. Halle la ecuación del plano Q que contiene a la recta L: P = (1; 2 : 3 ) 4 - t < l ; - l ; 0 ) , t é E de m odo qué dicho, plano sea tangente a la superficie x 2 + y 2 + z z — 1 = 0 (dos soluciones) Sugerencia. U sa r la condición d (C ; Q ) = 1 donde C (0; 0 ;0 ) R. Qt i 2x.+ 2y - z - 3 = 0, Qz 4x + 4 y - 7 z + 9 = 0 10. U n plano contiene a la recta L: 6 x = 2 y = - 3 z e interseca a laesfera x 2 + y 2 + z 2 + 2x — 4 y — 1 0 z + 5 = 0 en unacircunferenciade radio3. Halle la ecuación del plano (dos soluciones). 346www.FreeLibros.com
  • 354.
    De m anerasim ilar a la discusión que se efectúa en la ecuación de una curva plana, en el caso de las superficies es también ventajoso discutir previamente su ecuación antes de construir su gráfica. Para discutir la ecuación E (x; y; z ) = 0 de una superficie se siguen los siguientes pasos: I) Intersección con los ejes coordenados. So n las intersecciones de la superficie con cada uno de los ejes coordenados. i) Con el eje x. Se reemplaza y = z = 0 en la ecuación de la superficie y se analiza la ecuación resultante. ii) Con el eje y. Se reemplaza x - z = 0 en la ecuación de la superficie y se analiza la ecuación resultante. iii) Con el eje z. Se reemplaza x = y = 0 en la ecuación de la superficie y se analiza la ecuación resultante. II) T razas sobre los planos coordenados. L a traza de una superficie es una curva form ada por la intersección de la superficie con el plano coordenado. A sí, las trazas sobre los planos coordenados se obtienen de la siguiente manera i) Con el plano xy. Se reemplaza z = 0 en la ecuación de la superficie se analiza la ecuación resultante. ii) Con el plano y z. Se reemplaza x = 0 en la ecuación de la superficie y se analiza la ecuación resultante. iii) Con el plano xz. Se reemplaza y = 0 en la ecuación de la superficie y se analiza la ecuación resultante. III) Trazas en los planos paralelos a los planos coordenados. So n las intersecciones de la superficie con planos paralelos a los planos coordenados. i) Con planos paralelos al plano xy. Se reemplaza z = k en la ecuación de la superficie y se analiza la ecuación resultante. ii) Con planos paralelos al plano xz. Se reemplaza y - k en la ecuación de la superficie y se analiza la ecuación resultante. iii) Con planos paralelos al plano yz. Se reemplaza x — k en la ecuación de la superficie y se analiza la ecuación resultante. IV ) Extensión de una superfìcie Se entiende por extensión de la superficie a los intervalos de variación, en los cuales las variables x, y A z tienen valores reales. SU PER FIC IES 7.2 D ISCU SIÓ N Y G R Á FIC A DE LA EC U A C IÓ N DE UNA S U P E R F IC IE 347www.FreeLibros.com
  • 355.
    SUPERFICIES V ) Sime tría s con respecto a los planos coordenados, a los ejes co orde n ado s y al origen. Se dice que dos puntos P y Q son sim étricos con respecto a un plano, si el plano es perpendicular al segmento que los une en su punto medio. Por otro lado, se dice que una superficie es sim étrica con respecto a un plano, cuando el plano es perpendicular al segmento que une dos puntos de la superficie en su punto medio. Observación 3 Si P(x; y ; z) es un punto del espacio, entonces tenemos a) El simétrico de Pcon respecto al planox yes Q(x y ; —z) ■ b) El simétrico de Pcon respecto al planoxzes Q(x — y; z ) c) El simétrico de P con respecto al plano y z es Q (—x y , z ) d) El simétrico de Pcon respecto al eje xesQ (x ;—y ; —z ) e) El simétrico de Pcon respecto al eje y esQ (—x; y; — z ) f) El simétrico de Pcon respecto al eje zesQ (—x ; —y ; z ) g) El simétrico de P con respecto al origen es Q {~x — y; — z) Una superficie es simétrica con respecto a una recta L si el simétrico de cada punto de la superficie, respecto a la recta L, es también un punto de Ia superficie. Una superficie es simétrica con respecto a un punto C si el simétrico de cada punto de la superficie, respecto al punto C, es también un punto de la superficie. De acuerdo con estas consideraciones, se obtiene los resultados dados en la siguiente tabla: Si la ecuación de la superficie no se altera cuando se reemplaza La superficie es simétrica con respecto al x por —x Plano y z y por - y Plano xz z por —z Plano x y z por - z A y por —y E jex x por —X A z por —z Eje y x por —X A y por - y Eje z x por - x A y por - y A z por - z origen 348www.FreeLibros.com
  • 356.
    SU PER FICIES V I) Construcción de la superficie (gráfica). C o n la ayuda de lospasos anteriores se construye la gráfica de la ecuación de una superficie. Eje m plo 5 D iscutir y graficar la ecuación 9 x 2 + 4 y 2 - 1 2 z = 0 Solución I. Intersecciones con los ejes i) C on el eje x: haciendo y = z = 0 en la ecuación se obtiene 9 x 2 = 0, entonces x = 0. L a superficie interseca al eje x en el origen de coordenadas. A l estudiar las otras intersecciones se com prueba que el origen es el único punto de intersección. II. Trazas sobre los planos coordenados i) Sobre el plano xy. H aciendo z = 0 se obtiene 9 x 2 + 4 y 2 = 0. Esta ecuación, en el plano xy, representa al origen de coordenadas. ii) Sobre el plano xz. Se hace y = 0 y se obtiene 9 x 2- 1 2 z = 0. Esta ecuación, en el plano xz, representa a una parábola. iii) Sobre el plano yz. Haciendo x = 0 se tiene la parábola 4 y 2 - 1 2 z = 0 III. Trazas en los planos paralelos a los planos coordenados i) C on planos paralelos al plano xy. Haciendo z = k en la ecuación de la superficie se obtiene 9 x 2 + 4 y 2 = 12fc. Se observa que hay intersección solamente cuando k > 0 (si k = 0 es un punto, si k > 0 es una elipse). ii) C on planos paralelos al plano xz. Reemplazando y = k en la ecuación de la superficie se obtiene 9 x 2 - 1 2 z + 4 k 2 = 0. Esta ecuación representa a una parábola V k G R. iii) C on planos paralelos al plano yz. Reem plazando x = k en la ecuación se tiene 4 y 2 - 1 2 z + 9 k 2 = 0. Esta ecuación representa a una parábola Vf e EM. IV. Extensión La ecuación 9 x 2 + 4 y 2 - 1 2z = 0 está definida Vx G R (de I I I - iii), V y G ñ (de I I I - ii) y V z G [0; +oo) (de I I I - i). V. Simetrías A l reemplazar x por —x en la ecuación de la superficie se observa que esta no varía, es decir, la superficie es simétrica con respecto al plano yz. D e manera similar, la superficie es simétrica con respecto al plano x z y al eje z. 349www.FreeLibros.com
  • 357.
    r r -SUPERFICIES VI. Gráfica 1.a gráfica de esta ecuación se muestra en la Fig. 7.6 y se llama paraboloide elíptico. Ejemplo 6 Discutir y graficar la superficie cuya ecuación es y 2 - 4 y 4- 2z = 0 Solución I. Intersección con los ejes i) C on el eje x. Haciendo y = z = 0 se obtiene 0= 0, esto significa que todo punto del eje x satisface la ecuación de lasuperficie, es decir intersección de la superficie con el eje x es el eje x. ii) C on el eje y. Si x = z= 0 => y 2 - 4 y = 0 => y = 0 V y = 4. Luego, las intersecciones con el eje y son los puntos P1( 0 ; 0 ; 0 ) y P2(0 ;4 ; 0 ) iü) C on el eje z. Sí x = y = 0 => 2z = 0 <=> z = 0. A sí, la intersección con ele eje z es el origen de coordenadas. II. Trazas sobre los planos coordenados i) Sobre el plano xy. Las trazas son las rectas y = 0 (eje x ) e y = 4 (recta paralela al eje x). ii) Sobre el plano xz. L a traza es la recta z = 0 (ejex). iíi) Sobre el plano yz. La traza es la parábola y 2 — 4 y + 2 z = 0 350 www.FreeLibros.com
  • 358.
    i) C onplanos paralelos al plano xy. z = k => y 2 —4 y + 2k = 0 ==>y = 2 ± V 4 — 2k Existe intersección para k < 2 (Para k = 2 es una recta, para k < 2 son dos rectas paralelas) ii) C o n planos paralelos al plano xz. y = k => 2z - 4k - k 2, es una recta V k e M iii) C on planos paralelos al plano yz. x = A: => y 2 - 4 y + 2z = 0 , es una parábola, V fc 6 IR IV . Exte n sió n L a ecuación y 2 - 4 y + 2z = 0 está definida V x 6 l (de I I I - iii),V y £ E (de 111- ii) y V z 6 (— oo; 2] (de 111- ii). V. Sim e tría s Existe simetría con respecto al plano yz. V I. G rá fica En la Fig. 7.7 se muestra la parte de la superficie que se encuentra en el primer octante. L a superficie se denom ina c ilin d ro parabólico. E J E R C I C I O S E n cada uno de los siguientes ejercicios efectúe la discusión y trace la gráfica de la superficie representada por las ecuaciones dadas. TOPICOS DE CALCULO - VOLUM EN II lli. Trazas en lo s p la n o s p a ra le lo s a los p la n o s c o o rd e n a d o s 1. 4 x 2 + y 2 + z 2 = 4 (elipsoide) 2. x 2 + y 2 - z 2 - 0 (cono circular) *» 4 . X 2 + z 2 - 4 y = 0 (Paraboloide de revolución o circular) 4, y 2 - x 3 = 0 (Cilindro) 5. 9 x 2 - 4y 2 - 4 z 2 = 36 (Hiperboloide circular de dos hojas) 6. 9 x 2 - 4y 2 + 4 z 2 = 36 (Hiperboloide elíptico de una hoja) 7. y 2 - x 2 = 2z (Paraboloide hiperbólico) 8. x 2 + y 2 + z 2 = 4 (esfera) 9. y 2 - x 2y = 0 10. z = |y| 351 www.FreeLibros.com
  • 359.
    SUPERFICIES Un cilindro esuna superficie generada por una recta que se m ueve a lo largo de una curva plana dada, permaneciendo siempre paralela a una recta fija que no está en el plano de dicha curva. L a recta que se mueve se llama generatriz del cilindro y la curva plana se llama directriz del cilindro. Si la generatriz de un cilindro es perpendicular al plano de la directriz, el cilindro es llamado cilindro recto y en caso contrario, cilindro oblicuo. Si la directriz es una recta, el cilindro se reduce a un plano. En lo que sigue, se considera que la directriz es una curva contenida en uno de los planos coordenados. 7.3 C ILIN D RO S Supongam os que la directriz está en el plano x y (Fig. 7.8). Luego, su ecuación es de la form a E (x ;y) = 0 A z — 0. Si P (x ; y ;z ) es un punto del cilindro cuya generatriz tiene por vector dirección al vector a — (a x; a 2; a 3) y si P0( x '; y '; 0) es el punto de intersección de la directriz con la generatriz que pasa por P, entonces E (x ',y') = 0 , z ' = 0 (a ) La ecuación de la recta que pasa por P y P0 es: x - x' y —y' z —z' --------- = ------ i - = -------- (£ ) «, az a 3 De (a ) y (/í), elim inando las variables x ' , y ' y z ' se obtiene la ecuación del cilindro. 352www.FreeLibros.com
  • 360.
    E j em p lo ? H alle la ecuación del cilindro cuya directriz es la curva y 2 = 4x A z = 0 y a = (1; — 1; 1) es el vector dirección de la generatriz. Solución Sea P (x-,y;z) un punto del cilindro y P0( x ';y ';z ') la intersección de la directriz con la generatriz que pasa por P, entonces la ecuación de dicha generatriz es x - x' y —y' z - z' (a) TOPICOS DE CALCULO - VOLUMEN II 1 - 1 1 C om o PQ es un punto de la directriz, entonces se tiene y '2 = 4x' A z' = 0 (/?) Reem plazando z ’ — 0 en (a) se obtiene: x — x ' = z A y —y' = —z D e donde x' = x —z A y '2 = {y + z ) 2. Reem plazando festos valores en y'2 = 4x' se obtiene ( y + z ) 2 - 4{x - z). Por tanto, la ecuación de la superficie cilindrica es(y + z ) 2= 4{x - z) Este cilindro se llam a c ilin d ro p arab ólico oblicuo. E n la Fig. 7.9 se muestra su gráfica (para z > 0). Eje m plo 8 Halle la ecuación del cilindro recto cuya directriz es la curva 2x z = 1 + X2 A y = 0 Solución Supongam os que la generatriz que pasa por el punto P ( x ; y ; z ) (Fig. 7.10) de la superficie corta a la directriz en el punto P o ( x ' : y ' ' , z ' ) , entonces la ecuación de la generatriz (eje y ) es x = x' A z = z' (a) C om o P0 pertenece a la curva, entonces 2|x'| = l T T 2 A y ^ Reem plazando (a ) en (0 ) se obtiene 2 jx l Z l + x 2 Se observa que esta ecuación es sim ilar a la ecuación de la directriz. 3 53www.FreeLibros.com
  • 361.
    Observación 3 Enel espacio tridimensional, la gráfica de una ecuación en dos de las tres variables x, y, z es un cilindro cuya directriz es una curva que se encuentra en el plano asociado con las dos variables que aparecen en la ecuación y cuyas generatrices son paralelas al eje coordenado asociado con la variable (altante, es decir. 1) E (x ;y) = O representa (en el espacio) a un cilindro con: Directriz: E(x-,y) = O A z = O Generatriz: eje z (variable quejaita en la ecuación) 2) E (x ;z) = O representa a un cilindro con Directriz: E(x-,z) — O A y = O Generatriz: eje y 3) E (y z) — O representaa un cilindro con Directriz: E (y ;z) = OA x = O Generatriz: eje x Eje m plo 9 Trace la gráfica de la superficie representada por cada una de las ecuaciones a) x 2 + y 2 - 4 y = 0 b) z - e x = 0 c) z 2 - y 3 = 0 d) x 2 = (y + l ) y 2 Solución Las gráficas se muestran en las figuras 7.11, 7.12, 7.13 y 7.14 SU PERFIC IES f ¡9 7 11 .354www.FreeLibros.com
  • 362.
    Topiros nr r i m n - voi i'm fn u E JE R C IC IO S I. E n cada uno de los siguientes ejercicios halle la ecuación del cilindro usando las ecuaciones de la directriz y el vector dirección de la generatriz. 1. x 2 + 4 y = 1 A z = 0 , a = (1; 1; 3) R. 9 x 2 + z 2 - óxz - 3 6 y 4- 12z = 0 2. y 2 ~ z 2 = 1 A x = 0 , d = (-1 ; 1; 2) 3. x 2 + y = 1 A z = 0 , a = (2; 1;0) II. Esboce la gráfica de la superficie representada por cada una de las siguientes ecuaciones 1. y 2 —2 y + 4 = z 2. y = c o s x , x e [0; An] 3. y 3 = x 2 4. x 2 - y 2 = 1. 5. 4 x 2 + y 2 — 4 6. y = ln x 8. y 2 = 4 z 9. z = x e x n n 1 0 .y = t a n z , z e < ~ 2 : 2^ 3 5 5www.FreeLibros.com
  • 363.
    SUPERFICIES 7.4 SU PER FIC IE S DE R EV O LU C IÓ N La superficie generada por la rotación de una curva plana alrededor de una recta fija que está en el plano de la curva, se llama superficie de revolución. L a recta fija se llama eje de revolución y la curva plana se llama curva generadora. Si por un punto cualquiera P (x ; y ;z ) se traza un plano perpendicular al eje de revolución, la intersección de la superficie con dicho plano es una circunferencia (Fig. 7.15). Si C es el punto de intersección del plano con el eje de revolución L y Q es el punto de intersección con la curva generadora, entonces se verifica d{P-,C) = d (Q ,C ) A la ecuación generada por esta igualdad se denomina ecuación de la superficie de revolución. En lo que sigue, se considera que la curva generadora está contenida en un plano coordenado o en un plano paralelo a un plano coordenado. Observación 4 En la siguiente tabla, se muestra la forma de la ecuación de una superficie de revolución generada por una curva que se encuentra en un plano coordenado y gira sobre uno de los ejes coordenados. Ecuación de la curva generadora Eje de revolución Ecuación de la superficie de revolución o II x II N eje y x 2 + z 2 = [/ (y )]2 * = / ( y ) , z = o eje y x 2 + z 2 = [ f ( y ) ] 2 y- = / ( * ) , y = 0 eje x y 2 + z 2 — [ f{ x ) Y y = f ( x ) , z = 0 eje x y 2 + z 2 — [/ (x )]2 y = / ( z ) , x = 0 e je z x 2 + y 2 = [/ (z )]2 x = A * ) . y = 0 e je z x 2 + V 2 = í f ( z ) ] 2 Fig. 7.15 www.FreeLibros.com
  • 364.
    TOPICOS DE CALCULO- VOLUM EN II Dem ostrem os la prim era fórm ula de la tabla, donde la ecuación de la curva generadora es C: z = / (y ), x - 0 y el eje de rotación es el eje y. Sea P (x ;y ;z ) un punto cualquiera de la superficie de revolución. Si Q es el punto de intersección del plano perpendicular al eje y que pasa por P con la curva generadora y C es el punto de intersección de dicho plano con el eje y, entonces <2(0;y;/(y)) y c ( 0 ; y ; 0 ) Luego, de la definición de la superficie de revolución resulta d(P; C) = D(Q; C) <=> J x 2 + z 2 = |/(y)| <=> x 2 + y 2 = [ f ( y ) ] 2 E n los otros casos, la dem ostración es similar. Observación 5 Si el origen de coordenadas se traslada al punto O '( x 0;y 0; z0), las ecuaciones de las superficies de revolución de la tabla anterior tienen las siguientesformas: i) (x - x0) 2 + (z - z 0) 2 = [/ (y - y 0) ] 2 ¡O (y " yo)2+ (z - z0)2= [/(*- *0)]2 iii) (x - x 0) 2 + ( y - y 0) 2 = [/ (z - z0) ] 2 E je m p lo 10 E n cada uno de los siguientes ejercicios se da la ecuación de la curva generadora y el eje de revolución L, determine la ecuación de la superficie de revolución y esboce su gráfica. a) C:z = ey , x = 0 ; L: eje y b) C:z = e v, x = 0 ; L: eje z c) C: z 2 - 4y 2 = 1, x = 0 ; L: eje y 2x d)C : z = Y + x 2 ' y = 0 ' L: eJe x e) C:y = x 2, z = 0 ; L: eje x f) C:y - x 2, z = 0 ; L: eje y So lu ció n Fia. 7.16 357 www.FreeLibros.com
  • 365.
    SUPERFICIES a) C: z= e y, x = O ; L: eje y L a ecuación de la superficie de revolución es x 2 + z 2 = e 2y. L a gráfica se muestra en la Fig. 7.17 b) C: y = l n z , x = 0 ; L eje z L a ecuación de la superficie de revolución es x 2 + y 2 = ln2z. L a gráfica se muestra en la Fig. 7.18 c) E n este caso, C: z = J 1 + 4 y 2, x = 0 ; L: eje y L a ecuación de la superficie de revolución es x 2 + z 2 - 1 + A y2 L a gráfica se muestra en la Fig. 7.19 (esta superficie se llam a hiperb oloid e de revolución o hiperboloide c irc u la r de una hoja) d) c z = i + ^ z » y = 0 ; L: ei e x . Ax2 La ecuación de la superficie es y 2 + z 2 = -------- — . ( 1 + x 2) 2 La gráfica se muestra en la Fig. 7.20 e) C: y = x 2, z = 0 ; L: eje x La ecuación de la superficie de revolución es y 2 + z 2 = x 4. La gráfica se muestra en la Fig. 7.21 f) C: y = x 2, z = 0 ; L: eje y La ecuación de la superficie de revolución es x 2 + z 2= y. La gráfica se muestra en la Fig. 7.22 www.FreeLibros.com
  • 366.
    SU PER FICIES Fig. 7.17 359www.FreeLibros.com
  • 367.
    Ejem plo 11E n cada uno de los siguientes ejercicios se da la ecuación de la curva generadora C y el eje de giro halle la ecuación de la superficie de revolución. a) C: z = / (y ), x = a ; L z = b , x - a b) C: z = 2 y - 3, x = 5 ; L: z = - 1 , x = 5 c) C: 4 (x + 2 ) 2 — ( y - l ) 2= 1, z - 3 ; L: eleje im aginario de la hipérbola d) C: 4 ( x + 2 ) 2 — ( y — l ) 2= 1, z = 3 ; L: el eje transverso dela hipérbola So lu ción a) En la Fig. 7.23 se muestra la curva C y la recta L en el plano x = a . Luego, C(a; y: b), Q (a;y; / ( y ) ) y P ( x ; y ; z ) De la definición de la superficie de revolución, tenemos d(P; C) = d(Q-,C) Por tanto, la ecuación de la superficie de revolución es (x - a ) 2 + (z - b Y = [/ (y ) - b]2 Esta ecuación también puede obtenerse trasladando previamente el origen al punto 0 '( a ; 0 ; ¿ ) . b) (x — 5 ) 2 + (z + l ) 2 = ( 2 y — 2 ) 2 (cono de revolución o cono circular) (y + 1 )2 c) (x + 2 )2 + (z —3 )2 -------- ------ = 1 (hiperboloide circular de una hoja) 4 d) (y + l ) 2 + (z - 3 ) 2 = 4 (x + 2 ) 2 - 1 ó 4 (x + 2 ) 2 — (y + l ) 2 — (z —3 ) 2 = 1 (hiperboloide circular de dos hojas) Ejem plo 12 En cada uno de los siguientes ejercicios, identifique si es una superficie de revolución. Luego, determine el eje de revolución y la ecuación de la curva generadora. a) x 2 = 5 + z 2 —y 2 b) 2 x 2 + 4 z 2 + y 2 = 1 c) x 2 + 2 y 2 4- 2 z 2 — 4 x 4- 8 y — 4 z — 4 = 0 d) 2 x 2 4 2 z 2 4 4 x 4 y - 4 z 4 - 4 - 0 Solución SU PERFICIES 360www.FreeLibros.com
  • 368.
    lU l'IL U^ U t L A IX U L U - VO LU M bN H a) x 2 + y 2 = 5 + z 2 (hiperboloide circular de una Jioja) i) Eje de revolución L: x - 0, y — 0 (ejez) ii) C u rva generadora C: x = 0, y = v 5 -f z 2 ó y = 0 , x = V 5 + z 2 (hipérbola) b) N o es una superficie de revolución (ninguna de las trazas en los planos paralelos a los planos coordenados es una circunferencia). (x — 2)2 c) (x + 2 ) 2 + (z - l ) 2 = 9 --------------- (e lipso id e de re volu ció n o esferoide) i) Eje de revolución L: x = —2 , z = 1 18 - (x - 2) 2 ii) Curva generadora C: x = —2, z - 1 + N d) (x + l ) 2 + (z - l ) 2 = - 1 (paraboloide circu lar) (elipse) i) Eje de revolución L: x - — 1, z = 1 y¡~2 ii) Curva generadora C:x = —1, z = l + (parábola) 7.5 S U P E R F I C I E S C U A D R A T I C A S U na superficie cu ad rática o simplemente cuád rica es la gráfica de una ecuación de segundo grado en las variables x ,y ,z . A lgu n as superficies cilindricas o superficies de revolución son ejemplos de cuádricas. En ésta sección se presentará algunas form as usuales de las superficies cuadráticas cuyas ecuaciones están en su form a m ás sim ple (form a canónica). Considerando que el lector está en condiciones de discutir la ecuación de una superficie, nos lim itarem os a describir algunas propiedades de estas superficies. 7.5.1 E L I P S O I D E L a form a canónica de la ecuación del elipsoide con centro en el origen es x 2 y 2 z 2 a2 ^ b 2 + ^2 = 1 donde a, b y c son núm eros reales positivos. Adem ás, los intervalos de variación de las variables x, y a z son x £ [ - a ; a], y 6 [ - b ; b] A z e [ - c ; c] 361 www.FreeLibros.com
  • 369.
    SUPERFICIES Si a ¿= b 2 = c 2, la superficie es una esfera. Si a 2 = b 2 (ó b 2 = c 2, ó a 2 = c 2) la superficie es un elipsoide de revolución o esferoide. U n esferoide cuyo tercer número es m ayor que los dos núm eros iguales, se llama esferoide alargado. (L a elipse que la genera gira alrededor de su eje mayor). Si el tercer número es menor que los dos núm eros iguales, se llama esferoide achatado (la elipse que la genera gira alrededor de su eje menor). Las trazas en los planos paralelos a los planos Coordenados son elipses o circunferencias. (E n los planos x ~ ¿ a , y = + b , z — + c se reduce a un punto). Esta superficie es simétrica con respecto a los planos coordenados, a los ejes coordenados y al origen de coordenadas. La gráfica del elipsoide se muestra en fá Fig. 7.24 La forma ordinaria de la ecuación del elipsoide con centro C (h ;k ;l) es (1, _ lr2 fr* I2 ■ *) , ( y - * ) 2- . 0 - - 0 2 ñ-------i---------------- 1--------:— 7.5.2 H I P E R B O L O I D E E L Í P T I C O ( C I R C U L A R ) D E U N A H O J A La forma canónica de la ecuación del hiperboloide de una hoja con centro en el origen es x y “- ñ2 + b 2 = 1 x 2 y 2 ~ü~ ~ +V a ¿ b2 c donde a, b y c son números reales positivos. En la Fig. 7.25 se muestra la gráfica de z 2 x 2 y = 1 ó - - T + b 2 z + - r = 1 www.FreeLibros.com
  • 370.
    Los intervalos devariación de las variables x, y A z son x 6 ( - 00; - a ] U [a; + 00), y e (— 00; - b] U [fe; + 00) y z £ < - 00; + 00) Si a 2 = b 2, es una superficie de revolución (hiperboloide circular de una hoja) Si a 2 & b 2, la superficie es el hiperboloide elíptico de una hoja, las trazas en los planos paralelos al plano x y son elipses o circunferencias según sea el caso en que a 2 b 2 ó a 2 = b 2 Las trazas en los planos paralelos a los planos x z e yz son hipérbolas, (en los planos y - b , x - a son dos rectas que se cortan). Esta superficie es simétrica con respecto a los ejes coordenados, a los planos coordenados y al origen de coordenadas. La forma ordinaria de la ecuación del hiperboloide de una hoja con centro en el punto C(h) k; l) es (x - h) 2 (y - k)2 (z - O 2 a2 b2 c2 1 7.5.3 H IP E R B O L O ID E E L ÍP T IC O ( C IR C U L A R ) D E D O S H O J A S La forma canónica de la ecuación del hiperboloide de dos hojas con centro en el origen es x 2 y 2 z 2 ( x 2 y 2 z 2 , x 2 y 2 z 2 ~ a 2 + b 2 ~ 7 2 = 1 ° ^ 2 ~ b 2 ~ c 2 = 1 ° ~ á 2 ~ b 2 + c 2 donde a, b y c son números reales positivos. En la Fig. 7.26 se muestra la gráfica de x 2 y 2 z 2 ~~¿2 + ¥ ~ c 2 = 1 Los intervalos de variación de las variables x ,y A z para esta superficie son x £ ( - 00; + 00), y £ (— 00; -b] U [b; +co) y Z £ ( - 00; +«>) TOPICOS DE CALCULO - VOLUM EN II A continuación se describe algunas propiedades de esta superficie 363www.FreeLibros.com
  • 371.
    SUPERFICIES Si a 2= c2, es una superficie de revolución (hiperboloide c irc u la r de dos hojas) Si a 2 c 2, la superficie es el hiperboloide elíptico de dos hojas. Las trazas en los planos paralelos al plano xz son circunferencias o elipses según sea el caso en que a 2 = c 2 ó a 2 c 2. (En el plano y = b es un punto). Esta superficie es simétrica con respecto a los ejes coordenados, a los planos coordenados y al origen de coordenadas. La forma ordinaria de la ecuación del hiperboloide de dos hojas con centro en el punto C(ft; k í) es (x - h )2 | (y - fe)2 (z - Q 2 _ ^ Observación 6 Las tres cuádricas (elipsoide, hiperboloide de una hoja e hiperboloide de dos hojas) también se denominan cuádricas centrales. En general cualquier ecuación de ¡aforma: (x - h )2 (y - k )2(z - l) 2 ± - -----r ^ ± 7-2" ±2 = 1a 2 b 2 c2 donde a, b y c son números reales positivos, representa a una cuádrica central con centro en C(h;k;l). Sí los tres signos son positivos: elipsoide Si dos signos son positivos y uno es negativo: hiperboloide de una hoja Si dos signos son negativos y uno es positivo: hiperboloide de dos hojas. Si los tres signos son negativos: el conjunto es vacío. 7.5.4 P A R A B O L O I D E E L Í P T I C O (O C I R C U L A R ) La form a canónica de la ecuación del paraboloide con vértice en el origen es x 2 y 2 / x 2 z 2 y 2 z 2 ? + ^ = I,6 ^ + ^ = b y 6 ¥ + ^ = ax donde a y b son núm eros positivos y c =/= 0 En la l'ig. 7.27 se muestra la gráfica de x 2 y 2 — + — = cz, con c > 0 364www.FreeLibros.com
  • 372.
    TO PICO SDE C A L C U L O - V O L U M E N II S i c < 0 el paraboloide se abre hacia la parte negativa del eje z. Los intervalos de variación de las variables x, y A z para la ecuación de esta superficie son: x £ (— c°; + c o ), y 6 ( —00; + 0 0 ) y z £ [0; + 0 0 ) (s i c < 0, z £ (-0 0 ; 0]) Si a 2 = b 2 , la superficie es una superficie de revolución (p arabo loid e circu lar) Si a 2 & b 2, la superficie es el paraboloide elíptico. Las trazas en los planos paralelos al plano x y son circunferencias o elipses según sea el caso en que a 2 = b 2 ó a 2 * b 2. (En el plano z = 0. la traza es un punto). Esta superficie es simétrica con respecto al eje z, al plano ‘xz y al plano yz. La form a ordinaria de la ecuación del paraboloide con vértice en el punto V (h ,k ;l) es (x - h.)2 (y - k ) 2 = c (z - i) a 2 b 2 En los otros casos, la ecuación es de la forma { x - h ) 2 ( z - l ) 2 ■H----------- b (y - k) ó (y - k ) 2 ( z - 0 + ■ = a(x - h) 7.5.5 P A R A B O L O I D E H I P E R B Ó L I C O ( S I L L A D E M O N T A R ) La form a canónica de la ecuación del paraboloide hiperbólico con punto de silla en el origen de coordenadas es y - b 2 x c a2 cz í z 2 x 1 ó — - — = by , ó V, cL a 2 z 2 y 2 c ‘ b 2 ) donde a y b son núm eros positivos y c i d , En la Fig. 7.28 se muestra la gráfica de y 2 x 2 - r r ------- - CZ , con C > 0 o 2 a 2 L o s intervalos de variación para las variables x ,y A / de esta superficie son X £ (-0 0 , + 0 0 ), y 6 (- 0 0 , + 0 0 ) V Z £ (-0 0 , + 0 0 ) 365www.FreeLibros.com
  • 373.
    SU PERFICIES l.iis seccionestransversales al plano x y son hipérbolas (En el plano z = 0 son ilos rectas que se cortan). La$ trazas en los planos paralelos a los planos xz e yy. son parábolas. lista superficie es simétrica con respecto al eje z, al plano x z y al plano yz. E l origen de coordenadas es el punto de silla de esta superficie. La forma ordinaria de la ecuación del paraboloide hiperbólico con punto de silla en S{h; k l) es (y ~ k ) 2 (x - h y = c(z - l) b 2 a 2 En los otros casos, la ecuación es de la forma ( z - / ) 2 ( x - h ) 2 „ ; (z- — 3 -------------- -5— = b ( y - k ) o — O2 { y - k f = a(x - h) 7.5.6 C O N O E L Í P T I C O (O C I R C U L A R ) La forma canónica de la ecuación del cono con vértice en el origen de coordenadas es donde a, b y c son núm eros reales positivos. En la Fig. 7.29, se muestra la gráfica de la superficie x 2 y 2 z 2 a 2 + b 2 c2 Los intervalos de variación de las variables x, y A z son x e 1 , y e 1 a z e E Si a ¿ — b'¿, la superficie es de revolución (cono circular). Si a 2 * b 2, la superficie es el cono elíptico. 366www.FreeLibros.com
  • 374.
    r o nc o s DE CALCULO - VOLUM EN 11 Las trazas en los planos paralelos al plano xy son circunferencias o elipses según sea el caso en que a 2 = b 2 ó a 2 * h2. (En el plano z = 0 la traza es el origen de coordenadas). Las trazas en los planos paralelos al plano x z y al plano y z son hipérbolas (E n los planos y = 0 A x = 0 son dos rectas que se cortan). Esta superficie es simétrica con respecto a ios ejes coordenados, a los planos coordenados y al origen de coordenadas. La form a ordinaria de la ecuación del cono con vértice el punto V(Iv, k l) es (x - h )2 (y - fe)2 _ (z - l) 2 a - o*- c*- En los otros casos, la ecuación es de la forma (x - h)2 (z - Q 2__ (y - fe)2. (z - Q 2 (y - k ) 2 _ (x - h )2 a 2 + c 2 b 2 °c 2 + b 2 ~ a 2 Eje m plo 13 Discutir y graficar la ecuación 9 x 2 + 4 z 2 + 9 y = O Solución I) Intersección con los ejes coordenados: el origen de coordenadas. II) Trazas sobre los planos coordenados i) Sobre el plano xy: la parábola x 2 + y = O ii) Sobre el plano yz: la parábola 4 z 2 4- 9 y = O iii) Sobre el plano xz: el origen de coordenadas III) Trazas en planos paralelos a los planos coordenados A I plano xy: parábolas A l plano yz: parábolas A l plano xz: elipses, (para y < 0) IV ) Extensión: x E l , y £ ( —oo; Oj, z £ K V ) La gráfica de la superficie se muestra en la l-ig. 7.30 (paraboloide elíptico). Fig. 7.30 367 www.FreeLibros.com
  • 375.
    ¡ f ”SUPERFICIES F.Jcinplo 14 Ivsboce la gráfica de las siguientes ecuaciones a) iíjfl /. + y 2z - 9z 2 = 0 x ¿ y 2 zlzl b ) T + T 6 — = 1 Solución a) 3 x 2z + y 2z - 9 z 2 = 0 <=> ( 3x 2 + y 2 - 9z ) z = 0 <=> 3 x 2 + y 2 —9z = 0 ó z = 0 La ecuación 3 x 2 + y 2 — 9 z = 0 representa a un paraboloideelíptico. La ecuación z = 0 representa al plano xy. La gráfica de la ecuación (3 x 2 + y 2 —9 z )z = 0 semuestra en la Fig. 7.31 b) Utilizando la definición del valor absoluto en x 2 y 2 zz ~ 9 + 1 6 ~ ~ 9 ~ ~ 1 se tiene x 2 y 2 z 2 S i z < 0 => '^■ + 7 7 + 7 r : = l (elipsoide) 9 16 9 x2 y 1 z 2 S i z > 0 => — + — — — = 1 (hiperboloide de una hoja) 9 16 9 x 2 y 2 zz La gráfica de la ecuación — + — - — = 1 se m uestra en la Fig. 7.32 368www.FreeLibros.com
  • 376.
    Las coordenadas deuso frecuente en el espacio tridimensional, aparíe de las rectangulares son las coordenadas cilindricas y las coordenadas esféricas. 7.6.1 COORDENADAS CILIN D RICAS S i P es un punto del espacio tridim ensional y ( x ; y ; z ) son sus coordenadas rectangulares, se define las coordenadas cilindricas de P com o la terna ( r ;8 ;z ), donde (r;8 ) son las coordenadas polares de la proyección ortogonal de P sobre el plano x y y z es la distancia dirigida de (r; 0 ) a P (Fig. 7.33). 7.6.1.1 R ELA C IÓ N E N T R E LAS COORDENADAS CA R TESIA N A S Y C ILIN D RICAS Si (x ; y ; z ) y ( r ; 0 ; z ) son respectivamente las coordenadas cartesianas y las coordenadas cilindricas de un punto P € 1R3, entonces se tiene Cartesianas en términos de las cilindricas x - r eos 9, y = r se n 8, z = z Cilindricas en términos de las cartesianas y tan 9 = - , r 2 = x 2 + y 2, z = z x Observación 7 a) Las coordenadas cilindricas principales son: r > 0 , 0 < 0 < 2n A z E l b) Las coordenadas cilindricas del origen son ( 0 ; 9 ;z ) para cualquier 8 c) La ecuación de un cilindro circular recto de radio a en coordenadas cartesianas es x 2 + y 2 = a 2, transformando a coordenadas cilindricas su ecuación es r = a. TO PICO S D E C A L C U L O - V O L U M E N II 7.6 CO O R D EN A D A S C IL IN D R IC A S Y CO O R D EN A D A S E SFÉ R IC A S 369www.FreeLibros.com
  • 377.
    i) Encuentre lascoordenadas cartesianas del punto que tiene las coordenadas cilindricas dadas 3) ( 3 ; f ; 5 j b) ( 7 ; y : - £ ) c) (1; 0; 1) ii) Encuentre un conjunto de coordenadas cilindricas del punto cuyas coordenadas cartesianas son a) (4; 4 ; - 2 ) b) ( - 3 V 3 ; 3; 6) c) (1; 1; 1) Solución i) a) Si las coordenadas cilindricas de P son (3; n /2 ;5 ), entonces r = 3. 0 - n /2 y z = 5. Luego, aplicando las fórm ulas que relacionas estas coordenadas con las cartesianas se tiene x = 3 cos(7r/2) = 0, y = 3 se n (n /2 ) = 3 y z = 5 Por tanto, las coordenadas cartesianas de P son (0 ; 3 ; 5) Procediendo de manera similar se obtiene u- í 7 — ; - 4 c) (1;0; 1) V^ *-¡ ii) a) Si las coordenadas cartesianas de P son (4; 4 ; - 2 ) . entcnces x = 4, y - 4 y z = 5 Luego, aplicando las fórm ulas que relacionas estas coordenadas con las cilindricas tiene y 4 n tan 0 = - = - = 1 => 6 = - , r ‘ = x 2 + y 2 = 32 => r = 4 V 2 , z = 5 X i 4 Por tanto, las coordenadas cilindricas de P son (4 V 2 ; 7r/4 ; 5) b) (6 ; 5n/6 ; 6) c) (V 2 ; n/4] l ) Ejem plo 16 Halle una ecuación en coordenadas cilindricas para la superficie representada por la ecuación cartesiana a) 2x -f y — z = 0 b) x 2 + y 2 = 4z c) x z - y 2 - 4 z z - 4 = 0 • Solución Reem plazando x = r eos 0, y = r sen G y z = z, se obtiene a) 2 r eos 6 + r sen 9 - z = 0 b) r2 - 4z c) r2 eos 2 0 - 4 z 2 - 4 = 0 s u p e r f i c i e s rjc m p io 15 370www.FreeLibros.com
  • 378.
    TOPICOS DE CALCULO- VOLUM EN II 7.6.2 COORDENADAS ESFER IC A S La s coordenadas esféricas de un punto P 6 R 3, se define com o la terna (p; 8; 0 ), donde p representa la distancia del punto P al origen, 0 es la m edida del ángulo que form a el segmento OP con el rayo positivo del eje z (el ángulo 0 se llama co-Iatitud de P, el ángulo n /2 —0 se llama latitud de P) y 0 es la medida del ángulo que form a el rayo positivo del eje x y el segmento OQ, donde Q es la proyección (ortogonal) de P sobre el plano x y (Fig. 7.34) Fig. 7.34 7.6.2.1 R ELA C IÓ N EN T R E LAS COORDENADAS C A R TESIA N A S Y ESFÉ R IC A S Si (x ; y ; z ) y (p; 9; (p) son respectivamente las coordenadas cartesianas y las coordenadas esféricas de un punto P E R 3, entonces se tiene Cartesianas en términos de las esféricas Z = p COS 0 x = p sen 0 eos 8 y = p se n 0 se n 8 Esféricas en términos de las cartesianas yx 2 + y 2 + z 2 = p 2, x 2 + y 2 = p 2 se n 20 A - = ta n fl Observación 8 a) Si se incluye los puntos del eje z, las restricciones p > 0 , 0 < 8 < 2 n , O < 0 < 7 r determinan una correspondencia biunivoca entre los puntos del espacio y las coordenadas esféricas (p; 8; 0 ) b) Las coordenadas esféricas del origen son (0; 9; 0 ), donde 8 , 0 son arbitrarios. c) La ecuación cartesiana de la esfera con centro en el origen y radio a es x 2 + y 2 + z 2 = a 2 Al transformar a coordenadas esféricas se reduce a p = a 371 www.FreeLibros.com
  • 379.
    i) Encuentre lascoordenadas esféricas de los puntos cuyas coordenadas rectangulares son a) (2; 2; 2) b) (0; 0; — 3) ii) Encuentre las coordenadas rectangulares de los puntos cuyas coordenadas esféricas son * a) (3; 7t/2; 7t/4 ) b) ( 2 ; -7r/3;7r/6) Solución i) Utilizando las fórm ulas de transformación de coordenadas cartesianas a esféricas, tenemos SUPERFICIES E je m p lo 17 a) (2 V 3 ; 7r/4; a rc c o s (l/ V 3 ) ) b) (3; 0; zr) ii) Usando las fórm ulas de transform ación de coordenadas esféricas a cartesianas, se tiene a) (0; 3 V 2 / 2 ; 3 V 2 / 2 ) b) ( l / 2 ; - V 3 / 2 ; V 5 ) E J E R C I C I O S 1. Encuentre coordenadas esféricas para los siguientes puntos especificados por sus coordenadas rectangulares a) (4; 2 ; - 4 ) b) ( 1 ; - V 3 ; 4 ) c) (1; 1; 1) d) (2; 0; 2) 2. Halle las coordenadas cilindricas para los puntos del ejercicio 1. 3. Halle las coordenadas rectangulares del punto en coordenadas cilindricas a) ^2; a r c c o s - ; o j b) d ) ( - í . - í . i ) o ( ^ 2) 4. Halle las coordenadas rectangulares del punto en coordenadas esféricas / n n / n n b> ( 3 : r - 6 ) / TI T l r TI 7T C> (,: 6 ' i) d) (6: «) 37 2www.FreeLibros.com
  • 380.
    5. Halle unaecuación en coordenadas cilindricas de la superficie cuya ecuación en coordenadas cartesianas es TOPICOS DE CALCULO - VOLUM EN II 6. Las siguientes superficies están descritas en coordenadas esféricas. Encuentre sus ecuaciones rectangulares. 7. H alle una ecuación en coordenadas esféricas, para la esfera de radio 3 con centro en (0; 1; 0) 8. Halle una ecuación en coordenadas cilindricas para la esfera del ejercicio 7. 9. En los siguientes ejercicios, encuentre las ecuaciones en coordenada cilindricas y en coordenadas esféricas para la superficie dada. a) E l paraboloide x 2 + y 2 = 4 z b) E l hiperboloide x y = z 10. Describir la superficie z = 2 r (coordenadas cilindricas), y obtener una ecuación de la m ism a en coordenadas cartesianas. 11. H alle una ecuación en coordenadas rectangulares(cartesianas) de la superficie a) (x + y ) 2 = z —5 b) x 2z 2 = 25 — y 2z 2 d) ax + b y + cz = x 2 + y 2 + z 2 a) cot 0 = sen 8 + eos 6 c) p = a sen 0 sen 8 d) b) p 2 eos 2 0 = a 2 p 2 se n 20 sen 28 = a 2 z 2 = i _ (r _ 2 ) 2 7.7 A P L I C A C I O N E S E je m p lo 17 Calcule el volum en del sólido limitado por la superficie z = x 2 + y 2 y el plano z = 4 So lu ció n _________________________________ L a ecuación z = x 2 + y 2 representa un paraboloide circular. Las secciones transversales perpendiculares al eje z son círculos de radio r = V i (Fig. 7.35). E l área de cada sección transversal es A (z) = n z , z G [0; 4] Y Por consiguiente, el volum en del sólido es x Fig. 7.35 = 8nu3 373www.FreeLibros.com
  • 381.
    SUPERFICIES Ejem plo 19¿L a ecuación x 2 + y 2 - e 2z = 0 representa una superficie de revolución? Ln caso afirmativo, halle el área de la superficie com prendida entre los planos z — 0 y z = 1 y calcule la longitud de arco de la curva generadora. Solución x 2 + y 2 = e 2z representa una superficie de revolución. E l eje de revolución es el eje z, ( x - 0 , y = 0) y una curva generadora es C: y = e z, x = 0 Para determinar el área de la superficie de revolución com prendida entre los planos z — 0 y z = 1 (Fig. 7.36), basta considerar el arco de la curva y — e z . z e [0; 1] en el plano x = 0 y hacerla girar alrededor del eje z. (Fig. 7.37) i N II 0 1 ” z Fig. 7.36 Luego, el área de esta superficie de revolución es Fig. 7.37 ^~lyJ1+[§]iz*ievl+e”‘¡z e V 1 + e 2 + ln | /T~,;—7 i /e + Vi + e2 = - e V 1 + e 2 + ln ------------— — 2 V 1+V2 La longitud de arco de la curva generadora resulta - V 2 Haciendo la sustitución trigonométrica e z = tan 0 <=* z = ln (ta n 0 ), obtenemos -arctan e ^ ¿-arctane ------ r ------ sen 0 e os2# 4 4 /•arctan e - I (ese 9 + tan 9 sec 9) d9 ln Vi + 1 - ln(V2 - l) + V i + e2 - V 2 374www.FreeLibros.com
  • 382.
    TOPICOS DE CALCULO- VOLUMEN II E je m p lo 20 Calcule el volum en del sólido limitado por las superficies 9 x 2 — 9y 2 + 4 z 2 — 36x — 8z 4- 4 = 0. y = — 1 A y = 4 So lu ción A l completar cuadrados en la ecuación de la superficie se obtiene ( * 2 ) 2 + ( z - l ) 2 4 9 Asi. la superficie es un hiperboloide elíptico de una hoja cuyo centro es C ( 2 ; 0 ; l) . La gráfica del sólido se muestra en la Fig. 7.38. Las secciones transversales del sólido perpendiculares al eje y son las elipses (.x - 2 )z (z - l ) 2 ■ ■ - t - —— — — — 4 (x - 2 )2 4 1 ■4- ■ 9 (z - l ) 2 9 1 = 1 + : 1, donde t = 4 4- y 2 Luego, el área de la elipse (sección transversal) es /4 4- y 2 A (y) = ír ( 2 V t ) ( 3 V t ) = 6 n :(— - — y 6 [ - 1 : 4 ] Usando el método de secciones transversales, el volum en del sólido es - 4 3 r4 j A (y ) d y = - n J (4 + y 2) d y = Eje m plo 21 Calcule el volum en del sólido limitado por la superficie y 2 4- z 2 - 2 se n 2* - 2 sen * - c o s2x = 0 y los planos x = 0 y x = n /2 . So lu ción L a ecuación se puede escribir com o y 2 + z 2 = ( s e n x 4- l ) 2. Esta ecuación representa una superficie de revolución cuyo eje de giro es el eje x. L a sección transversal del sólido perpendicular al eje x es el circulo y 2 4- z 2 = (sen x + l ) 2, x £ jo;-] A sí, el área de la sección transversal es A (x) = 7r(señx 4-1)2. x e [0 ;-| Por consiguiente, el volum en del sólido resulta f n/z f 1 , ít(37t 4- 8) V(S) = I A{x)dx ~ n (sen x 4-1)2 dx = ------- jo 'o u 375 www.FreeLibros.com
  • 383.
    SUPERFICIES Ejem plo 22C a lc u le el v o lu m e n d e l s ó lid o lim ita d o p o r las s u p e rfic ie s o - x , y2Z — —— b —— 4 9 y — * 4 = z 2 Solución x y La ecuación 2z = — + — representa representa a un paraboloide con vértice en el origen y la ecuación „2 ,,2 representa a un cono con x . y 2 T + T = z representa a un cono con vértice en el origen. Estas superficies se intersecan cuando L a sección transversal del sólido, perpendicular al eje z, es el anillo elíptico cuya área es A (z) = 7 r ( V 8 z ) ( V l8 z ) - n ( J a z 2) ( V 9 ? ) = I2 n z - 6 n z 2,z 6 [0; 2] Por lo tanto, el volum en del sólido es y ( S ) = í (127TZ —6 n z 2)d z = 8n u 3 ■>o E je m p lo 23 U n sólido está limitado por las superficies 1 S i: p = - cot <pese (p (en coordenadas esféricas) S2: z = 3 (en coordenadas cilindricas) Bosqueje la gráfica y calcule el volum en del sólido. So lu ción Utilizando las relaciones entre las coordenadas esféricas y las coordenadas cartesianas: z — p eos (p, y = p sen (p sen 0. x = p sen (p cos:0 se tiene x z + y 2 = p 2 se n 2(p. 3 7 6www.FreeLibros.com
  • 384.
    De la ecuaciónde resulta cosrf) -, -, , ,, 3 p = ----- r—- <=> 3p 2 se n 2<p = p eos cp => 3 0 " + y ) = z sen¿q) Esta ecuación representa a un paraboloide circular. Por otro lado, la ecuación cartesiana de S2 es z = 3. L a gráfica del sólido se muestra en la Fig. 7.40. La s secciones transversales del sólido, perpendiculares al eje z, son círculos de radio r = *Jz~/3. A sí, el área de la sección plana es A (z) = y , z 6 [0; 3] U sando el método de secciones planas, el volum en del sólido resulta f 3 nz 3n , n s ) = Jj T * = y U Eje m p lo 24 Halle la ecuación de la recta que pasa por el punto Pt (0; - 2 ; 4 ) y es tangente al cilindro 5: 2 y = x 2 . El ángulo que form a dicha recta con el plano x y es de 30° (4 soluciones). So lu ción Sea P0(a; b; c) el punto de tangencia (Fig. 7.41 izquierda). En la vista horizontal (visto desde arriba hacia abajo - Fig. 7.41 derecha), se tiene TO PICO S D E C A L C U L O - V O L U M E N II y + 2 Pendiente de la tangente: m = (a ) dy y + 2 Tam bién m = — = x. Luego, --------= x (p ) dx x 377 www.FreeLibros.com
  • 385.
    SUPERFICIES Por otro lado,A ( x ; y ; z ) pertenece al cilindro, entonces 2 y = x 2 (y) D e (y ) y (/?) se obtiene y = 2, x — ± 2 Si se reemplaza m = ± 2 en (a ) se obtiene las ecuaciones de los planos tangentes Qx: y + 2 = 2x y Q2:y + 2 = —2x 1. Considerando el plano tangente Qt : 2x — y — 2 = 0, se tiene: P0 E Qi =>2a — b — 2 = 0 P0 £ S => 2b = a 2 D e estas dos ecuaciones se obtiene a = 2 y b = 2 D ado que el ángulo que form a la recta con el plano x y es 30°, entonces l , __________ i;. - 1 1 _________ l l v í l l 2 + (6 + 2)! + (c - 4 ) 2 Reem plazando el valor dea - 2 y b = 2, se obtiene 1 | c - 4 | 2 V l5 - = => C = 4 ± — - — 4 V 2 0 + (c - 4 ) 2 3 Luego, las ecuaciones de las rectas tangentes son L x: P = ( 0 ; — 2 ;4 ) + t ^ l ; 2 ; ^ j , t £ R ¿ 2: Q = ( 0 ; - 2 ; 4 ) + A ^ l ; 2 ; - ^ p ^ i A £ R 2. Considerando el plano tangente Q2: 2x + y + 2 = 0, se obtienen las soluciones: ¿ 3: P = ( 0 ; - 2 ; 4 ) + t ^ - l ; 2 ; ^ p j , t E R L 4: (2 = ( 0 ; - 2 ; 4 ) + A ^ — 1 ; 2 ; - ^ ) , A 6 R 2 V Í5 Los puntos de tangencia son (— 2; 2; 4 ± — -— ) 378www.FreeLibros.com
  • 386.
    I. En cadauno de los siguientes ejercicios, discutir y graficar la superficie representada por cada ecuación TO PICO S D E C A L C U L O - V O L U M E N II E JE R C IC IO S II. E n cada uno de los ejercicios, calcule el volum en del sólido lim itado por las superficies III. Halle la ecuación de la recta L que pasa por P ^ O ; - 7 ; 3) y es tangente a la superficie cilindrica y = 5 - (x - 4 ) 2. La recta L corta a la recta W- P - (1;1; 1)+ t(0; 2; - 3 ) , t 6 M (dos soluciones) R. V Q = (0; -7; 3) + t(l; 12; -8 ), t e R L": R = (0; - 7 ; 3 ) + A ( l; 4; 4), X 6 R a) x 2 + 4y 2 + 9 z 2 = 36 b) x 2 + 4 y 2 + 4 z = 0 d) x 2 — y 2 — 4 z z = 4 í) x 2 + 9 y 2 = z 2 h) x 2 + 4 y 2 = 4 z 2 - 4 z + 1 j) x 2 + y 2 = 1 + z I) y 2 + 1 6 x 2 = 64 - 4 z 2 c) x 2 — y 2 + 4 z 2 = 4 e) 4 x 2 + 8 y + z 2 = 0 g) 2 5 y 2 - x 2 - 9 z 2 = 0 i) x 2 — y 2 — 4 z 2 = 4 k) 1 6 x 2 - 9 y 2 - z 2 - 1 4 4 = 0 2) 8 z = x 2 + 4 y 2 , z = 1 R. (V 2 7 i) u 3 R. ( 3 6n )u 3 4) z — x 2 + 2 y 2 , x 2 + 2 y 2 + z 2 = 6 (dos soluciones) x 2 y 2 z|z| 7) T + V - 4 9 379www.FreeLibros.com