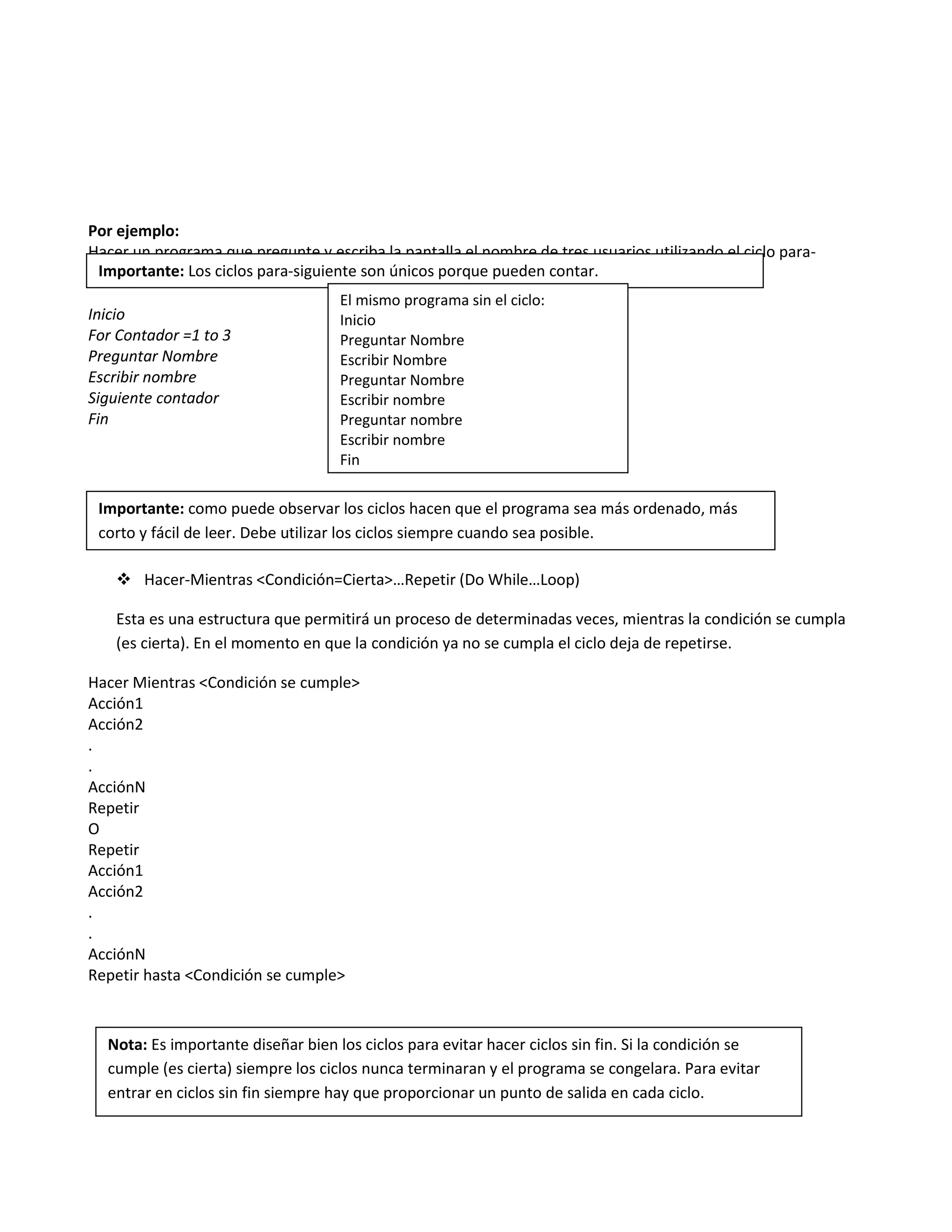
CETIS 109<br />DIANA LIZETH GIL CUELLAR<br />DULCE KARELY SEGURA GUERRERO<br />4ºL<br />PROGRAMACION EN VISUAL BASIC <br /> <br />AULA 17<br />INFORMATICA<br />MARGARITA ROMERO <br />PROGRAMACION EN <br />VISUAL BASIC<br />I.-PRINCIPIOS BASICOS DE LA PROGRAMACION<br />1.- INTRODUCCION ALA PROGRAMACION<br />A.METODOLOGIA PARA LAS SOLUCION DE PROBLEMAS UTILIZANDO LA COMPUTADORA<br />Cuando tiene un problema y necesita solucionarlo utilizando la computadora debe seguir los siguientes pasos: Debe:<br />1.-Definir el Problema   -Definir que desea que realice la computadora.<br />2.- Analizar el problema – Definir:<br />Los datos de entrada.<br />Cuál es la información que desea producir (salida).<br />Los métodos  y formulas necesarios para procesar los datos.<br />3.-Diseñar el algoritmo o el diagrama de flujo<br />Las características de un buen algoritmo son:<br />Tener un punto particular de inicio.<br />Ser definido, no permitir dobles interpretaciones <br />Ser general, es decir, soportar la mayoría de las variantes que se pueden presentar en la definición del problema.<br />Ser finito en tamaño y tiempo de ejecución.<br />4. Escribir  el programa <br />De acuerdo a la lógica del diagrama de flujo o pseudocódigo debe escribir una serie de instrucciones detalladas, en un código reconocible para computadora. A  esta serie de instrucciones detalladas se reconoce como código fuente, el cual se escribe en un lenguaje  de programación o lenguaje de alto nivel.<br />5.-Ejecutar el programa y hacer depuración<br />Los errores humanos dentro de la programación de computadoras son muchos y aumentan considerablemente con la complejidad del programa. El proceso de identificar y eliminar errores de un programa  para que  funcione correctamente sin errores se llama depuración (debugging)   <br />6.-Hacer la Documentación<br />La documentación es la guía o comunicación escrita que nos ayuda  comprender como usar un programa o para facilitar sus futuras modificaciones. Puede presentarse  en sus variadas formas como procedimientos, dibujos o diagramas.<br />La documentación se divide en tres partes:<br />Documentación Interna – comentarios o mensajes que se añaden al código fuente para hacer más claros el entendimiento de un proceso.<br />Documentación Externa- contiene la descripción del problema, el nombre del autor, el algoritmo (diagrama de flujo o pseudocódigo), diccionario de datos, código fuente (programa) etc.<br />Manual de Usuario- Describe paso a paso la forma en que funciona el programa, con el fin de que el usuario obtenga el resultado deseado.<br />7.-Mantenimiento<br />Se lleva a cabo después de terminar el programa, cuando se detecta que es necesario hacer algún cambio, ajuste o competición al programa para que siga trabajando de manera correcta. Para poder realizar este trabajo se requiere que el programa este correctamente documentado.<br />B.LENGUAJE DE PROGRAMACION<br />Lenguaje  de Programación<br />Un lenguaje de programación es un conjunto de símbolos, caracteres  y reglas (programas) que le  permiten a las personas comunicarse  con la computadora. Los lenguajes de programación tienen un conjunto de instrucciones que nos dan la posibilidad de realizar operaciones de entrada/salida,   calculo,   manipulación de textos,    lógica/comparación y  almacenamiento/recuperación.<br />Almacenamiento/recuperación.<br />Los lenguajes de programación se clasifican en:<br />Lenguajes de la Maquina: Son aquellos cuyas instrucciones son directamente entendibles por la computadora y no necesitan traducción para que la CPU pueda comprender y ejecutar el programa. Las instrucciones en lenguaje maquina se expresan en términos de la unidad de memoria más pequeña, el bit  (digito binario 0 o 1). Ocho bits forman un byte.<br />Lenguaje de bajo nivel (ensamblador): En este lenguaje las instrucciones se escriben en códigos alfabéticos conocidos como mnemotécnicos para las operaciones y direcciones simbólicas. El código representa normalmente datos e instrucciones para manipularlos. Un modo más fácil de comprender código maquina es dando a cada instrucción un mnemónico. Los lenguajes de bajo nivel permiten crear programas muy rápidos, pero que a menudo son difíciles de aprender. Cabe destacar que los programas escritos en un lenguaje de bajo nivel son específicos para cada procesador si se lleva el programa a otra máquina con diferente arquitectura de procesador se debe de reescribir en programa desde el principio<br /> <br />Nota: Mnemónicos –Diferentes instrucciones que posee el procesador. Consiste de 2 partes: Una abreviatura de la instrucción y argumentos, ejemplo:MOV B, A  -la abreviatura MOV siguiere la instrucción mueve. La instrucción mueve el contenido del registro  A hacia registro B<br />Lenguaje de alto nivel: Los lenguajes de programación de alto nivel (VISUAL BASIC, C, C++, PASCAL, BASIC, ASEMBLER, FORTRAN, COBOL y otros) son aquellos en los que las instrucciones o sentencias para la computadora son escritas con palabras similares al lenguaje humano (en general en inglés), lo que facilita la escritura y comprensión del programa. Existe también una relación compleja entre los lenguajes de alto nivel y el código máquina. Cada programa debe traducirse del lenguaje de programación (de alto nivel) al lenguaje de la computadora (máquina).  Esto se hace a través de compiladores (traductores) que transforman el programa en un lenguaje de más alto nivel para que la computadora pueda comprenderlo y ejecutarlo.<br />Intérpretes y compiladores<br />La traducción de una serie de instrucciones en lenguaje  ensamblador (el código fuente) a un  código máquina (o código objeto) se realiza normalmente por un programa especial llamado compilador. La traducción de un código fuente de alto nivel  a un código máquina también puede realizarse con un compilador más complejo llamado intérprete. Un compilador crea una lista de instrucciones de código máquina llamado código objeto, basándose en un código fuente. El código objeto resultante es un programa rápido y listo para funcionar, pero que puede hacer que falle el ordenador si no está bien diseñado. Los intérpretes son más lentos que los compiladores ya que no producen un código objeto, sino que recorren el código fuente una línea cada vez. Cada línea se traduce a código máquina y se ejecuta. Cuando la línea se leen por segunda vez, como en el caso de los programas en que se reutilizan partes del código, debe compilarse de nuevo. Aunque este proceso es más lento, es menos susceptible de provocar fallas en la computadora. Abajo se muestra la transformación del lenguaje fuente (de alto nivel) al lenguaje objeto (máquina):<br />LENGUAJE FUENTE<br />LENGUAJE OBJETO<br />LIBRERIA Y LENGUAJE<br />ENSAMBLADOR<br />VINCULOS<br />PROGRAMA<br />35412212211<br />C. ¿QUE ES UN PROGRAMA?<br />EL PROCESAMIENTO DE DATOS tiene tres pasos:<br />ENTRADA – Los datos entran a través del teclado, ratón, escáner, otras computadoras, etc.<br />PROCESAMINETO – Los datos se utilizan para hacer los cálculos y/o cambios correspondientes, se transforman y se almacenan después.<br />SALIDA – El resultado en forma de datos pueden verse a través de la pantalla, impresora, enviarse a otra computadora, etc.<br />Un programa es un conjunto de instrucciones escritas en un determinado lenguaje (por ejemplo, COBOL, C++, VISUAL BASIC, ETC.) que dirigen a un  ordenador para la ejecución de una serie de operaciones, con el objetivo de resolver un problema que se ha definido previamente.<br />Elementos de un programa:<br />Datos (variables)<br />Instrucciones (códigos o funciones).<br />Las variables son los bloques básicos  para la construcción de un programa y las instrucciones le indican a la computadora que hacer con el programa.<br />También puede usar comentarios, estas notas permitirán tener un programa claro y fácil de entender.<br />Al igual que en una construcción se pide el material antes para poder comenzar, en un programa debe declarar las funciones antes de usarlas.<br />D.ALGORITMOS<br />Definición de Algoritmo<br />La palabra algoritmo se deriva de la traducción  al latín de la palabra árabe “alkhowarizmi” nombre de un matemático y astrónomo árabe que escribió un tratado sobre la manipulación de números y ecuaciones en el siglo IX.<br />Un algoritmo es una serie de pasos organizados que describe el proceso que se debe seguir para dar solución a un problema específico. Es un procedimiento matemático o lógico para lograr un fin determinado. Antes de escribir el programa debe tener muy claro el algoritmo que mostrará los pasos a seguir para resolver el problema. Los algoritmos tienen una entrada de datos, un procedimiento a seguir y una salida de datos.<br />Un algoritmo debe contener instrucciones de control  que nos permitan decirle al procesador paso a paso que hacer y cuando terminar la tarea.<br />¿Por qué necesitamos algoritmos?<br />Los problemas complejos deben ser divididos en partes más simples.<br />Cada problema simple puede ser solucionado aparte.<br />Utilizando algoritmos  se puede ver más claro la ruta para solucionar el problema que nos ahora tiempo.<br />Propiedades de los Algoritmos<br />Los Algoritmos deben ser:<br />Claros en su definición,<br />Efectivos y ejecutables paso a paso,<br />Deben terminar después un cierto número de pasos.<br />Representación de algoritmos<br />E. ¿QUÉ ES UN DIAGRAMA DE FLUJOExisten diversas formas de representar algoritmos. Dentro de las más comunes se encuentran los diagramas de flujo y el pseudocódigo. Cada uno tiene sus ventajas y desventajas, todo depende del gusto de la persona que aplica el algoritmo.<br />El Diagrama de flujo (flow chart) es la representación gráfica de un algoritmo y muestra los algoritmos de una manera clara y comprensible.<br />Indica el inicio y el final de nuestro diagrama de flujo.Esta representación  gráfica se da cuando varios símbolos (que indican diferentes procesos en la computadora) se relacionan entre sí mediante líneas que indican el orden en que se deben ejecutar los procesos. Los símbolos utilizados han sido normalizados por el Instituto Norteamericano de Normalización. Los elementos que se emplean para los diagramas son los siguientes:<br />Líneas de flujo o dirección. Indican la secuencia en que se realizan las operaciones.Conector dentro de página. Representa la continuidad del diagrama dentro de la misma página.Símbolo de decisión. Indica la realización de una comparación de valores.Símbolo de proceso. Indica la asignación de un valor en la memoria y/o la ejecución de una operación aritmética.                                      <br />ComienzoPor ejemplo:   <br />ConectorAsignaciónV= VerdaderoF=FalsoCondicionalFvFin Vx<br />F. ¿QUE ES UN PSEUDOCODIGO?<br />El PSEUDOCODIGO se encuentra a un solo paso de transformarse en un lenguaje de programación. A diferencia de un diagrama de flujo no es grafico sin embargo puede leerse y es igual de comprensible. Es la representación narrativa de los pasos que debe seguir un algoritmo para dar solución a un problema determinado. El pseudocódigo utiliza palabras que indica al proceso al realizar.<br />El pseudocódigo es la parte de programa que puede ser utilizado en un programa real. No puede ser compilado ni ejecutado, es simplemente un  paso para elaborar el código final. La ventaja del pseudocódigo es que permite al programador utilizarlo en varias códigos sin la necesidad  de escribirlo nuevamente.<br />Ventajas de utilizar un pseudocódigo a un diagrama de flujo:<br />Ocupa menos espacio en una hoja de papel<br />Permite representar de forma fácil operaciones  repetitivas complejas.<br />Es muy fácil pasar de un pseudocódigo a  un programa en algún lenguaje de programación.<br />Si se siguen  las reglas se puede observar claramente los niveles que tiene cada operación.<br />G.DIAGRAMAS ESTRUCTURADOS<br />(Nassi-Schneiderman)<br />El diagrama estructurado N-S también conocido como diagrama de chapín es como un diagrama de flujo en el que se omite las fechas de unión y las cajas son contiguas. Las acciones sucesivas se pueden escribir en cajas sucesivas y como en los diagramas de flujo, se pueden escribir diferentes acciones en una caja. Un algoritmo en forma del diagrama estructurado se muestra ala derecha.<br />InicioAcción 1Acción 2…Fin<br />H. ¿QUE ES UN CODIGO?<br />El código puede ser:<br />1) Un conjunto de instrucciones para la computadora.<br />2) Un conjunto de símbolos, por ejemplo el código ASCll. El código contiene la información en una forma apropiada para la comunicación y el procesamiento<br />TIPOS DE CODIGOS<br />1. BINARIO<br />-Código utilizado en la computadora donde toda la información es representada con 2 dígitos =0 o =1.  Un bit =1 o 0. Un byte =8bits.<br />2. DECIMAL<br />-Código donde la información se representa con 10 dígitos –del 0 al 9.<br />3. OCTAL<br />-En él la información se representa con 8 dígitos –del 0 al  7<br />4. HEXADECIMAL<br />-Código en el cual la información se representa con 16 dígitos –del 0 al 9 y con las letras de la “A” a la “F”.<br />5. CODIGO ASCII<br />-Código en el cual las letras y símbolos se representan con números del 1 al 255. Por ejemplo: para las mayúsculas K=75, L=76, M=77, Z=90 y para las minúsculas  k=107, l=108, m=109,…,z=122.El texto guardado en código ASCII se llama archivo ASCII.<br />Abajo se muestra la relación entre los diferentes tipos de códigos:<br />Tabla de equivalencia de los códigos<br />DecimalHexadecimalBinario Octal0000000110001122001023300113440100455010156601106<br />¿COMO CONVERTIR NUMEROS A BASE DE UN CODIGO EN NUMEROS A BASE DE OTRO CODIGO?<br />Para convertir números a base decimal en números a otra base (binario, octal, o hexadecimal) debe dividir el numero que desea convertir entre la otra base consecutivamente  hasta que el resultado no se puede dividir nuevamente. El nuevo número se forma leyendo el residuo que queda de cada dimensión de derecha a izquierda.  Ver los ejemplos.<br />Para convertir un numero a otra base (binario, octal o hexadecimal) en números a base decimal se multiplican las cifras del numero comenzado de derecho ala izquierda por la base al exponente 0, 1, 2, 3, 4, 5,…….de este base (2-binario,8-octal, 16-hexadecimal)<br />NUMEROS DECIMALES EN NUMEROS BINARIOS  Y VISEVERSA <br />Ejemplo: Convertir el numero decimal 39 en número binario.<br />   19<br />2   39        <br /> Residuo 1                                   <br />     9<br />2   19<br />Residuo 1<br />     4<br />2   9<br />Residuo 1<br />     2<br />2   4<br />Residuo 0  <br />      1<br />2   1<br />Residuo 0<br />                                 Residuo 1<br />Leer los residuos del a derecha ala izquierda  y obtener el numero binario que corresponda al número decimal 39.<br />El número será: 100111<br />39(dec)=100111(bin)<br />Para verificar si ha convertido  los números correctamente hay que hacer la conversión opuesta-convertir el numero binario 100111 en número decimal.<br />Debe multiplicar las cifras del número 100111 comenzando ala derecha ala izquierda por la base, en este caso 2 (base binaria) elevada al exponente <br />Correspondiente a su posición 0, 1, 2, 3, 4, 5….y sumarlos <br />El resultado es: <br />Nota: El numero 0 multiplicado por cualquier otro numero da como resultado 0. Ejemplos:0*2=0, 0*8=0,0*16=0100111(bin)=  39(dec)    <br />                                                                                                                                                                                                                                                                                                                     <br />Ejercicio 1. Convertir los números decimales en números  binarios y verificar los resultados haciendo la conversión opuesta.<br />23,17,56,71,9,40,21,93,67,14,36,6,12,47,115,3,75,13.<br />Ejercicio 2. Convertir los números binarios en números decimales y checa los resultados haciendo la conversión opuesta.<br />110011, 1110101, 10001, 1010010, 100111, 1010101, 110101, 111011.<br />NUMEROS DECIMALES EN NUMEROS OCTALES Y VISEVSERSA<br />Ejemplo: Convertir el numero decimal 147 en número octal.<br />Dividir 147 entre la base 8 y leer el residuo al revés.<br />    18<br />8   147       <br />Residuo 3 <br />     2<br />8   18<br />Residuo 2<br />Nota: Cualquier base elevada al exponente 0 es igual al 1 Ejemplos: 2=1,8=1,16=1Residuo 2<br />                   <br /> Leer los resultados de la derecha ala izquierda y obtener el número octal que corresponde  al número decimal 147.<br />                                                                       <br />147(dec)= 223 (oct)<br />Para verificar si ha convertido los números correctamente hay que hacer la conversión opuesta-convertir el número decimal 233 en número decimal. Debe multiplicar las cifras del numero 223 comenzando ala derecha e izquierda por la base, en este caso 8(base octal) elevada al exponente correspondiente a su posición 0, 1, 2, 3, 4, 5,…..y sumarlos.<br />233                 3*8+2*8+2*8=3*1+2*64=3+16+128=147<br />El resultado es (oct)=  147(dec)<br />NUMEROS DECIMALES EN NUMEROS HEXADECIMALES Y VISEVERSA<br />Ejemplo: Convertir el numero decimal 643 en número hexadecimal.<br />     40<br />16  643                         <br />                   Residuo 3<br />      2<br />16  40<br />Residuo 8<br />Residuo 2<br />Leer los residuos de la derecha ala izquierda y obtener el número hexadecimal que corresponde  al número  decimal 643.<br />El número será: 283<br />643(dec)=283(hex)<br />Para verificar si ha convertido los números correctamente hay que hacer la conversión opuesta convertir el número hexadecimal. Debe multiplicar las cifras del numero 643 comenzando de la derecha ala izquierda por la base en este caso 16 (base hexadecimal) elevada al exponente correspondiente a su posición 0, 1, 2, 3, 4, 5... Y sumarlos.<br />El resultado es 283(hex)= 643(dec)<br />Si el resultado es de dos cifras (menos que 16), las dos cifras se transforman en las que corresponde al código hexadecimal, ejemplo: 10=A, 11=B, 12=C, etc.<br />Otro ejemplo:                         196(dec)=C4(hex)=4*16012*16<br />                                                  250(dec)=FA(hex)=10*16+15*16<br />Nota: Puede verificar los resultados  utilizando la calculadora científica de la calculadora desde inicio-Programas-Accesorios-Calculadora-abrirla con clic sobre ella-ir a ver (view) y hacer clic sobre scientific. Se abrirá la calculadora científica   escribir el numero decimal y oprimir Hec para convertirlo.<br />                                                                                                                           <br />J. ESTRUCCTURAS ALGORITMICAS<br />La estructura es el modo en que se pueden agrupar y organizar las acciones de un programa.<br />Las estructuras algorítmicas son:<br />Simples o Secuenciales<br />Condicionales<br /> Cilicas<br />Las Estructuras Secuenciales contienen:<br />Asignación<br />Procesamiento<br />Salida<br />La estructura secuencial es aquella en la que una acción (instrucción) sigue a otra en la secuencia. Las tareas suelen de tal modo que la salida de una entrada de la siguiente y así sucesivamente hasta el fin del proceso.<br />La secuencia es la más simple  y la  más común de todas estructuras y constituye la esencia de toda la tarea                                                                                         programada. Las estructuras secuenciales se componen de la: secuencia independiente y la secuencia  dependiente.<br />Pasos de una secuencia:<br />Un conjunto de acciones que se ejecutan por única vez al comienzo del proceso, llamado proceso inicial  Generalmente consiste en la apertura  de archivos, ubicación en un lugar determinado  del conjunto, la inicialización  de  variables, impresión de encabezados de página etc.<br />Un conjunto de acciones que se ejecutan a continuación, llamado proceso central  entre las acciones de este grupo siempre se incluye una estructura de interacción que se ocupa  de la estructura de un dato y un procesamiento-cuenta, acumulación operación matemática, etc.<br />Un conjunto de acciones que se ejecutan por única vez al final del proceso al que llamaremos proceso final  Generalmente consiste en cierre de archivos, informe de de resultados, impresión de la pagina etc.<br />InicioAcción1Acción2..AcciónNFinUna estructura secuencial puede ser representada también en forma de diagrama estructurado<br />Proceso Inicial<br />Proceso FinalProceso Central<br />Estructura secuencial<br />Ejemplo de estructura de secuencia independiente<br />Se da cuando las acciones  pueden intercambiar su orden de ejecución sin alterar el resultado final. Por ejemplo, la acción sumar 1 a la variable a seguida se sumar 2 a la variable b. En este caso en el orden en que se efectúen las acciones es irrelevante para el resultado final.<br />Ejemplo de estructura de secuencia dependiente.<br />Se da cuando las acciones no pueden intercambiar sin alterar el resultado final. Por ejemplo la acción sumar 1 a la variable a seguida de multiplicar la variable a por 2, en este caso el orden en que se ejecuten las operaciones es determinante para el resultado final.<br />Las Estructuras Condicionales contienen:<br />Asignación <br />Procesamiento<br />La operación del cambia dependiendo de una condición<br />Salida<br />Las estructuras condicionales comparan una variable contra otro(s) valor(es), para que en base  al resultado de esta comparación, siga un curso  de acción dentro del programa.  Cabe mencionar que la comparación se puede hacer contra otro variable o contra una constante, según que se requiera.  Existen dos tipos básicos de estructura condicionales: las simples y las múltiples.<br />Simples: La estructura condicional simple se les conoce como “Tomas de decisión”. Estas tomas de decisión tienen las siguientes formas:<br />Si  <condición =cierta>  entonces Acción(es)Fin-si<br />Dobles: Las estructuras condicionales doble permiten elegir entre dos opciones o alternativa posibles en función del cumplimiento o no de una determinada condición.<br />Si  <condición=cierta> entonces acción(es) Si no Acción(es)Fin-siSe representa la siguiente forma<br />Ejemplo de estructura se selección doble<br />Se  da cuando existen solo dos alternativas. Se evalúa una condición que puede tomar los valores lógicos de verdadero o falso. Si la condición es verdadera se hace una cosa y si es falsa se hace otra. Por ejemplo: Si las variable a es inferior a 3, se suma 1; si es mayor que 3 entonces las variable b es igual a 0. Es importante aprobar que no siempre deban de estar presente las acciones correspondientes a ambas alternativas. En efecto es posible que s ejecute alguna opción si se cumple alguna condición y que no se haga nada en caso contrario. En este ejemplo:<br />Si la variable a es igual a 3 ninguna de las condiciones se va a cumplir. Porque a no es mayor ni menor de 3 y simplemente no ocurre nada.<br />Condicionales múltiples: Las estructuras de comparación múltiples, son tomas de decisión especializadas que permiten comparar una variable contra distintos posibles resultados, ejecutando para cada caso una serie de instrucciones específicas. Hay dos formas comunes:<br />Casos variables:Op1: Accion (es)Op2: Accion(es)..OpN: Acción(es)Fin-casosSi <condición =cierta> entonces Acción(es)Si no Si<condición =cierta>Entonces Acción(es)Si no .. Varias condicionales Forma generalForma 1 Forma 2 <br />Ejemplo de estructura de selección múltiple<br />Se da cuando existen más de dos alternativas. En este caso la variable que determina la selección puede tomar uno entre varias valores numéricos enteros previstos y se ejecutara uno entre varios grupos de acciones, según corresponda. Puede haber también –aunque no es obligatorio- un curso de acción previsto para cuando la variable no toma ninguno de los valores predeterminados. Por ejemplo: examinar la variable resultada: Si es 0 escribir “éxito”, si es 1 escribir “memoria insuficiente”, si es 2  escribir “archivo no existible”, y si es cualquier otro numero escribir “error desconocido”.<br />Resultado<br />“Error desconocido”“Éxito”<br />“Archivo no existente”“Memoria insuficiente”<br />Estructuras Cíclicas:<br />Para-Siguiente (For-Next)<br />Hacer-Mientras <Condición=cierta>…Repetir (Do While…Loop)<br />Hacer-Hasta <Hasta condición se cumple>……Repetir (Do Until…Loop)<br />Se llaman problemas repetitivos o cíclicos a aquellos en cuya solución es necesario utilizar un mismo conjunto de acciones que se puedan ejecutar una cantidad específica de veces (pasos).<br />Esta cantidad puede ser fija (previamente determinada por el programador) o puede ser variable (estar en función de algún dato dentro del programa).<br />Cada uno de estos ciclos se verá más adelante en el capitulo: “Como utilizar el lenguaje Visual Basic”.<br />Ciclos con un número determinado de pasos: Para – Simple (For-Next). Son aquellos ciclos en el que el número de pasos se conoce antes de ejecutarse el ciclo.<br />Se utiliza para repetir cierto número de acciones determinadas veces. La forma de estructura es la siguiente:<br />Donde:V.C.  –Variable de control de cicloL.Ia –Limite inferiorL.S. –Límite superiorPara V.C. = L.Ia L.S.Acción1Acción2. .AcciónNSiguiente V.C.<br />Importante: Los ciclos para-siguiente son únicos porque pueden contar.Por ejemplo:<br />Hacer un programa que pregunte y escriba la pantalla el nombre de tres usuarios utilizando el ciclo para-siguiente.<br />El mismo programa sin el ciclo:InicioPreguntar NombreEscribir NombrePreguntar NombreEscribir nombrePreguntar nombreEscribir nombreFin<br />Inicio<br />For Contador =1 to 3<br />Preguntar Nombre<br />Escribir nombre<br />Siguiente contador<br />Fin<br />Importante: como puede observar los ciclos hacen que el programa sea más ordenado, más corto y fácil de leer. Debe utilizar los ciclos siempre cuando sea posible.<br />Hacer-Mientras <Condición=Cierta>…Repetir (Do While…Loop)<br />Esta es una estructura que permitirá un proceso de determinadas veces, mientras la condición se cumpla (es cierta). En el momento en que la condición ya no se cumpla el ciclo deja de repetirse.<br />Hacer Mientras <Condición se cumple><br />Acción1<br />Acción2<br />.<br />.<br />AcciónN<br />Repetir<br />O<br />Repetir<br />Acción1<br />Acción2<br />.<br />.<br />AcciónN<br />Repetir hasta <Condición se cumple><br />Nota: Es importante diseñar bien los ciclos para evitar hacer ciclos sin fin. Si la condición se cumple (es cierta) siempre los ciclos nunca terminaran y el programa se congelara. Para evitar entrar en ciclos sin fin siempre hay que proporcionar un punto de salida en cada ciclo.<br />Do Until Y>0Y= Y-1LoopEjemplo de ciclo Sin Fin:<br />Si el valor de Y al principio es igual a 0 este ciclo nunca terminara ya quey se convierte mas y mas negativo con cada ciclo.<br />Ejemplos y ejercicios de algoritmos<br />Ejemplo No.1<br />Diagrama de flujo condicional donde se verifica la condición y los siguientes pasos depende de ella.<br />Salir del programaImprimir el ResultadoP = P - 10¿Es P>100?P = G - VV= 3.14 * R ^ 2 * HDefinir las variablesV, H, R, P, GContador = Contador + 5Salir del ProgramaImprimirContadorContador<100Contador = 0<br />HISTORIA DEL LENGUAJE VISUAL BASIC<br />-289560104775El  lenguaje original Basic fue creado por John Kemeny  y Thomas Kurtz en 1963. El se popularizo rápidamente para enseñanza  de programación en los colegios y universidades y fue adaptado para su uso en las computadoras personales  por Bill Gates a mediados de los años 70. Desde entonces han existido varias versiones de Basic como QuickBasic y   MS DOS QBasic.  BASIC proviene de la abreviatura de de Beginner’s. El lenguaje Visual Basic 1.0 fue creado en 1991 para el ambiente DOS y el ambiente de Visual Basic ha crecido y ahora cuentan   con millones de usuarios en todo el mundo. En 1986 Alan Cooper quien estaba trabajando creando programas para Windows desarrollo una nueva idea e izo un prototipo del programa Tripod   en la cual vendió a Microsoft. Algunas de las nuevas características fueron por ejemplo dibujar  diferentes formas de objetos con un solo arrastre del ratón cuando un diseño casual y mostrando la parte visual del programa de Visual Basic. A sí que fueron introducidas las formas de Visual Basic  y usadas con el lenguaje de programación Quick Basic. El resultado de este uso mutual fue la nueva aplicación llamada Thunder-la primera herramienta mundial de aplicación rápida. El producto fue introducido al mercado a un precio bajo, cual convendría  a los usuarios comprarlo, en vez de desarrollar nuevas aplicaciones por si mismo lo que exige muchos refuerzos. En este caso los usuarios no se enfocaron tanto a programar si no a las ideas y soluciones especificas para promover cualquier negocio. Más tarde fue desarrollada la aplicación profesional  de Visual Basic que tienen más posibilidades y herramientas empleadas para los profesionales. Esta aplicación tuvo  un éxito tremendo.<br />En 1992 apareció el  Visual Basic 0.2 que respondía a las necesidades del mercado mundial. Este producto se comercializo en sus versiones Estándar y Profesional con una mejor presentación y con mayor capacidad  para crear aplicaciones más sofisticadas. <br />La versión VB2 incluyo soporte de acceso y control de datos brindando la posibilidad de crear aplicaciones para grandes bases de datos. El VB avanzado incluyo una función para utilizar los mensajes de Windows para las formas y controles de Visual Basic.<br />La Ventana de Propiedades de Visual Basic 2.0                                                                                                                                <br />El Visual Basic 3.0 fue lanzado al mercado solo seis meses después de Visual Basic 2.0, en 1993, combinando el motor de búsqueda de datos de la base de datos de Microsoft Access 1.1 con un conjunto nuevo de controles de datos. Por primera vez se pudieron mostrar datos extrayéndolos de una variedad de formularios del cliente.<br />El lenguaje competidor de Visual Basic es Borland Delphi que fue creado en 1995.<br />En el mismo año se desarrolló la versión 4.0 de Visual Basic cual fue utilizada por más del 30% de las compañías que empleaban lenguajes de programación e incluía nuevas posibilidades para el control remoto de los datos. En esta versión se cambió la programación de 16 a 32-bits, se agregó un soporte de aplicaciones de 32 bits con Windows 98 y Windows NT. Así mismo se agregaron interfaces de 32 bits a las formas de Visual Basic (que costaban mucho trabajo a los programadores) y también nuevas herramientas como Visual SourceSafe y el servidor SQL.<br />En 1996 apareció Visual Basic 5.0 que soporta la creación y la edición de controles del cliente, lo que significa que los usuarios pueden crear controles específicos (ActiveX) utilizando solo Visual Basic.<br />La versión Visual Basic 6.0 (1998) es la última versión disponible e incorpora todos los elementos del entorno Windows como ventanas, cajas de texto, botones, barras de desplazamiento, imágenes, gráficos, etc. Con pocas aplicaciones con el ratón e introduciendo algunos datos con el teclado se puede disponer de las aplicaciones de Windows. Este lenguaje es un lenguaje de cuarta generación. Los lenguajes como Visual Basic y Delphi están orientados al diseño y al uso de objetos.<br />Algunas nuevas características de Visual Basic 6.0 son:<br />Compilador más rápido<br />Nuevo ActiveX para control de los objetos<br />Permite la integración de la base de datos con gran variedad de aplicaciones<br />Nuevo diseñador de reporte de datos<br />Nuevo programa de paquetes y despliegue de ventanas<br />Habilidades adicionales de comunicación con Internet<br />Hoy en día, el resultado del trabajo del equipo de programadores de Visual Basic aumentaron sus posibilidades introduciendo la nueva generación – Visual Basic. NET que tiene acceso total a Microsoft.NET. Esta poderosa Herramienta se emplea para generar varios servicios y aplicaciones no solo locales sino de Internet – WEB con nuevas formas, objetos, gráficos, etc., para la protección de las aplicaciones y los programas. Visual Basic.NET maximiza la productividad de los programadores, utilizando un nuevo explorador de servidor –Server Explorer, una lista de tareas compartida, Task List; macros personalizados, ayuda dinámica, sintaxis simplificada y flexible, nuevos diseños gráficos y otras mejoras continuando la tradición del rápido desarrollo de aplicaciones que hizo tan exitoso el uso de Visual Basic.<br />La edición empresarial de Visual Basic permite a los profesionales crear sólidas aplicaciones distribuidas en un entorno de equipo. Incluye todas las características de la Edición Profesional, así como el Administrador de automatización, la Galería de objetos, las herramientas de administración de bases de datos, el sistema de control de versiones orientado a proyectos Microsoft Visual SourceSafe, etc.<br />Los cambios del lenguaje durante los años están relacionados no solo con las necesidades de los usuarios sino con los cambios fundamentales y el desarrollo de Windows. Mucho del éxito de Visual Basic se debe a los programadores que desarrollan nuevos programas con esta herramienta.<br />Comenzando como una idea Visual Basic, creció durante los años y ya es indispensable para los usuarios de todo el mundo –es líder en el mercado de programas y productos software, incrementando las posibilidades y la productividad de las empresas que lo utilizan.<br />PORQUE SE UTILIZA VISUAL BASIC<br />Utilizando Visual Basic podemos escribir varios programas con diferentes aplicaciones para las empresas que trabajan en diferentes ramos de la industria, bancos, medicina, comercio, negocios, enseñanza en las escuelas y universidades. Visual Basic 6.0 permite crear aplicaciones para Windows 95/98, 2000, Windows XP, Windows NT y Windows Millennium que ahora se utilizan en las computadoras en todo el mundo. Todo esto nos muestra que es muy importante aprender este programa y crear programas pequeños basados en el lenguaje Visual Basic.<br />IV. COMO TRABAJAR CON  EL PROGRAMA VISUAL  BASIC<br />COMO FUNCIONA UNA APLICACIÓN DE VISUAL BASIC<br />Las aplicaciones creadas en Visual Basic, están controladas por eventos. Esto significa que al ocurrir un evento (por ejemplo se presiona un botón de control o se escribe algo) el programa busca los  códigos correspondientes de las instrucciones de estos códigos.<br />Los tipos de eventos reconocidos por un objeto varían, pero muchos tipos son comunes a la mayoría de los controles Por ejemplo varían, pero muchos tipos son comunes si un usuario hace clic en un menú, se ejecuta el código el procedimiento de evento Click sobre el menú; si un usuario hace clic en un botón de comando. El código en cada caso será diferente. (Para más información vea los tipos de eventos mostrados en el     Apéndice II).<br />A continuación se muestra una secuencia la ventana (formulario)<br />Se inicia la aplicación, se carga y se muestra la ventana (formulario)<br />La aplicación recibe un evento. El evento puede estar causando por el usuario (por ejemplo presionar una tecla), por el sistema (un evento de cronometro) o, de forma indirecta, por el código (un evento Load (cargar) cuando el código carga un formulario).<br />La aplicación ejecuta el código.<br />La aplicación espera el evento siguiente.<br />2. PASOS PARA CREAR UNA APLICACIÓN DE VISUAL BASIC<br />Decir que desea que haga la computadora-usualmente que la computadora solucione un problema.<br />Decidir cómo va a aparecer la aplicación en la pantalla-su diseño llamado interfaz del usuario.<br />Dibujar todas las partes de interfaz de usuario como cajas de texto, etiquetas, botones, cajas de dialogo, menús, etc.<br />Definir sus propiedades-nombres, tamaño, color, color del fondo, etc.<br />Escribir el código de Basic (el programa Basic) que contiene todas las instrucciones (comandos) que indican a la computadora que hacer si ocurre un evento sobre alguno de los objetos del interfaz del usuario.<br />Copilar y ejecutar la aplicación <br />Depurar el programa y corregir los errores.<br />Escribir la documentación (documentos con explicaciones para el uso del programa para el usuario).<br />Distribuir la aplicación si así lo decide<br />Los conceptos mas utilizados en VB son los siguientes: ventana (windows) – se trabaja a traves de ventanas que se despliegan en la pantalla; codigos define las caracteristicas y las instrucciones, etc. Y llevan a cabo la comunicación entre el sistema operativo y la ventana, o de una ventana a otra; eventos relacionados con el teclado y el movimiento del raton (se explica mas adelante).<br />ESTRUCTURAS DE UNA APLICACIÓN DE VISUAL BASIC<br />Modulo 1 (.BAS)FORMULARIO 3(.FRM)Control  3Control  2Control  1FORMULARIO 2(.FRM)FORMULARIO 1(.FRM)<br />Control  2Control  1Control  3Control  2Control  3Control  1<br />PROYECTO<br />Un PROYECTO es un conjunto de archivos (modulos) y procedimientos que se usan para generar una aplicación. Para crear una aplicación de visual basic, se trabaja con proyectos. <br />El nombre del proyecto es ProjectName.vbp donde al lugar de ProjectName puede poner cualquier nombre y la extension .vbp significa  Proyecto Visual Basic (Visual Basic Project).<br />La aplicación que se llama PROJECT (proyecto) contiene:<br />Forms                                                                     - Formularios<br />Controls                                                                 -Controles<br />Properties                                                             -Propiedades<br />Methods                                                                -Metodos<br />EventProcedures                                                 -Procedimientos de un evento<br />GeneralProcedures                                            - Procedimientos Generales<br />Modules                                                               -Modulos<br />Cada uno de ellos explica a continuacion:<br />FORMULARIO<br />-13906543815El formulario es una ventana de Windows que se utiliza para crear la interfaz de usuario (la vista de nuestra aplicación) cuando abrimos Visual Basic se abre un formulario que se llama Form1. Se llama formulario porque al igual que un formulario de papel contiene texto escrito, lugares donde podemos escribir o dibujar figuras, cajas donde podemos elegir una u otra opcion, etc.<br />Ejemplo de un formulario para una aplicación industrial.<br />Este formulario reproduce el panel de control, un transmisor- receptor de radio. Observa que dentro del formulario existen gran 3956685-310515cantidad de objetos (controles)- botones, que hacen la misma funcion que un control real en el equipo de radio, y un par de pantallas, que muestran un texto, en este caso las frecuencias de transmicion y recepcion.<br />OBJETO<br />Un objeto puede ser un control o un formulario y tiene asociado un conjunto de metodos, eventos y propiedades.<br />CONTROLES<br />5690235140335<br />222885103505<br />Todos  los objetos que se dibujan (escogiendolos del cuadro de herramientas, haciendo clic sobre la forma y arrastrando el raton, sin soltar el boton) se llaman controles. Ejemplo: una caja de texto (TextBox) en la cual podremos escribir texto es un objeto. Un boton o una etiqueta tambien son objetos.<br />Los objetos (controles) maas utilizados para diseñar en el formulario se muestra en el Cuadro de Herramientas que aparece en la ventana principal del programa de VisualBasic<br />EVENTOS<br />Los eventos son acciones que se pueden realizar en cualquier control: presionando un teclado, un click, un doble click, moviendo el raton, etc. Esto es algo que puede ocurrir al objeto. A estos eventos se le puede asociar codigo para que se ejectute al producir el evento. Cada vez cuando sucede un evento de manera  que se manda un mensaje al sistema operativo que reaciona de acuerdo con el mensaje. El Procedimiento  es la respuesta por parte del objeto, al evento que se le esta sucediendo.<br />Ver el apéndice II- tipos de eventosUn programa de VisualBasic es un POE (Programa Orientado a Eventos). Todo lo que hacemos en un programa de visual basic esta generado por medio de eventos.<br />PROPIEDADES<br />Ver el apéndice II-  Algunas de las PropiedadesUna propiedad es la caracteristica o el valor que contiene un objeto tales como el color, estilo de letras, tamaño, etc. Las propiedades del objeto se escogen o cambian desde la ventana de propiedades explicada mas adelante.<br />METODOS<br />Los metodos son funciones o procedimientos internos que se llaman para realizar una accion sobre un objeto determinado.<br />Algunos ejemplos de metodos son: Print (imprimir), Line (dibujar una linea), Circle (dibujar un circulo), Show (mostrar). Se desea aparecer en la ventana de su aplicación “Hola, ¿Cómo estas?”, debe de usar el siguiente metodo -> Print “Hola, ¿Cómo estas?” que por ejemplo puede corresponder al evento clic sobre el formulario Form1. La aplicación sera como se muestra debajo y se aplicara mas adelante.<br />219456059690<br />Private Sub Form_Click()<br />Print “Hola, como estas?”<br />End Sub<br />Algunos metodos tales como: additem (agregar articulo), Clear (borrar), Close (cerrar), Copy (copiar), Move (mover), Help (ayuda) NewSearch (nueva busqueda), Execute (ejecutar). Open (abrir) Reset (reiniciar), Save (guardar), Show (mostrar), etc. Se muestran en el Apendice I<br />FUNCIONES Y PROCEDIMIENTOS<br />El Procedimiento (subprograma) es un conjunto de codigos que se ejecuta cuando sucede un evento sobre un control u objeto, por ejemplo: Command1_Clic- al hacer clic sobre el boton con nombre Command1 el programa reacciona dependiendo del codigo escrito. Esta reaccion se llama procedimiento.<br />Para que un evento no produzca ningun efecto, basta con dejar sin codigo el procedimiento correspondiente a ese evento. En los eventos que desea que realicen alguna operación, debe escribir en su procedimiento el codigo necesario para que esa operación se realice. Estos procedimientos se llaman PROCEDIMIENTOS DE UN EVENTO y dependen de un evento que se realiza.<br />Para no escribir muchas veces el mismo codigo para acciones que se repiten, puede escribir el codigo de una vez, y crear un procedimiento con un nombre y cuando se ejecuten estos pasos nombrar este procedimiento con: Herramientas – Agregar – Procedimiento- escribir su nombre. <br />Estos procedimientos se llaman PROCEDIMIENTOS GENERALES porque pueden utilizarse de diferentes aplicaciones y contienen codigos  no relacionados con un objeto especifico. El codigo del procedimiento debe ser llamado por la aplicación. Se ejecuta solo si se solicita especificamente en la aplicación.<br />Una FUNCION es una forma especial que realiza un procedimiento. En realidad es un procedimiento al que asignamos un o varios parametros con los que realizara una operación y obtendra un resultado para los parametros. Este resultado puede leerse desde otra parte de la aplicación. La funcion regresa el valor del resultado mientras los procedimientos no regresan ningun valor.<br />MODULO<br />los modulos son una colección de procedimientos generales , declaraciones y variables y definiciones de constantes utilizados por la aplicación. Cada modulo contiene procedimientos de eventos, y procedimientos generales. Existen 2 tipos de modulos:<br />1. Modulo estándar (.bas) es un archivo que no está asociado con ningún formulario en particular. Los procedimientos que se encuentran en el modulo pueden ser accedidos desde cualquier otro procedimiento de la aplicación. Por ejemplo: un modulo estándar con funciones matematicas se puede utilizar en distintos proyectos.<br />el modulo estándar puede contener declaraciones públicas o a nivel modulo, constantes variables, procedimientos externos y procedimientos públicos.<br />2. Modulo de clase (.cls) es similar al modulo de formularios, pero no tiene una interfaz de usuario visible. Contiene codigos, incluidos subrutina, funciones, metodos y procedimientos para crear descripciones genericas de objetos. Este modulo contiene propiedades que reciben el comportamiento de una clase asi como el codigo que definen las propiedades y los metodos de la clase, puede usarlo para usarlo para crear sus propios objetos, incluyendo codigos para metodos y propiedades.<br />4. ARCHIVOS QUE SE UTILIZAN EN UN PROYECTO<br />Los archivos son:<br />Un archivo de proyecto                                                     -con extension- (.vbp) –(Visual Basic Project)<br />Un archivo para cada formulario                                     - con extension- (.frm) <br />Un archivo de grupo de proyec tos                                 - con extension- (.vbg) -(Visual Basic Project)<br />Un archivo de datos binarios                                           - con extension- (.frx) <br />Opcionalmente, un archivo para cada modulo de clase (.cls)<br />Opcionalmente, un archivo para cada modulo estandar (.bas)<br />Opcionalmente, uno o mas archivos con controles ActiveX (.ocx)<br />Opcionalmente, un unico archivo de recurso (.res)<br />El archivo de proyecto (.vbp) es una lista de todos los archivos y objetos asociados con el proyecto, asi como informacion sobre las opciones de entorno establecidas, esta informacion se actualiza cada vez que guarda un proyecto. Todos los archivos y objetos tambien se pueden compartir con otros proyectos.<br />Cuando ha completado todos los archivos del proyecto puede convertir el proyecto en un archivo ejecutable (.exe): en el menu Archivo, elije el comando general Proyecto.exe. <br />3280410441960Archivo de formulario (.frm) puede contener descripciones en forma de texto del formulario y sus controles, inclu yendo los valores y sus propiedades. Tambien puede contener declaraciones a nivel de formulario de constantes, variables y procedimientos externos, procedimientos de un evento y procedimientos generales.<br />El archivo de grupo (.vbg) contiene una lista de todos los proyectos con sus formularios (objetos y codigos), los modulos, etc. que se encuentran dentro de esta aplicación.<br />Archivo de datos binarios (.frx) se genera automaticamente para cualquier tipo de archivos formularios (.frm) que tenga propiedades en formato binario, como pintura o Icon. Este archivo no se puede modificar.<br /> Ventana que aparece al ajecutar Visual Basic donde se puede escoger – Crear Nuevo, Abrir Existente  o Abrir Recientes Proyectos.<br />El modulo de clase (.cls) esta explicando en el capitulo anterior.<br />El modulo estandar (.bas) esta explicado en el capitulo anterior.<br />Los controles Activex (.ocx) son controles que pueden agregar (o quitar) al cuadro de herramientas y se puede usar en formularios.<br />Los archivos de recursos (.res) contiene mapas de bits, cadenas de texto y otros datos que pueden modificar el codigo. Un proyecto solo puede contener un archivo de recursos.<br />5. como ejecutar Visual basic.<br />CREAR O ABRIR UN ARCHIVO DE APLICACIÓN DE VISUAL BASIC<br />El programa de Visual Basic debe ser cargado previamente en su computadora. Pasos a conseguir para crearlo:<br />Ir a Inicio (El boton de Windows en la esquina inferior izquierda de la ventana) y hacer clic.<br />321373574930Ir a Programas y hacer clic<br />Ir a Microsoft Visual Basic 6.0 y hacer clic<br />Esperar que se cargue el programa<br />Escoger EXE estandar y oprimir Open para crear un archivo estandar del programa<br />Aparecera la ventana que se muestra en el siguiente parrafo<br /> Omitir EXE estándar y OpenNota: Visual Basic contiene Asistentes para aplicaciones que facilitan la creacion de apliaciones predeterminada.<br />-15240-62865Pasos para abrir un archivo existente<br />Ir al menú Archivo- Abrir proyecto y hacer clic<br />Se abrirá la ventana de abrir proyecto<br />En esta ventana debe seleccionar el archivo deseado con clic y después presionar el botón Open<br />Si selecciona Recientes se abrirá una lista con los archivos  recientemente trabajados<br />VENTANAS Y BARRAS PRINCIPALES DE VISUAL BASIC<br />Ventana de proyecto<br />Ventana del formulario<br />Ventana de las propiedades<br />Ventana del código<br />Ventana de posición del formulario<br />Barra de titulo<br />Barra de menú<br />Barra de herramientas<br />Analicemos cada ventana y barra por separado:<br />Alternar  CarpetasVer Código<br />Ver  Carpetas3832860-167640La Ventana de Proyecto muestra todos los formularios (Form) y módulos (Module) que se están utilizando en su aplicación<br />La ventana de proyectos se puede abrir con CTRL+R u oprimiendo el icono de la barra de herramientas. En el se muestran todos los archivos del proyecto con cuales trabajamos.<br />La barra de Titulo: Botón de Control,  Nombre del  Programa, Iconos de Minimizar,  Maximizar, Cerrar o Salir. <br />144208583185Presionando el botón de control aparece el menú de control.<br />-272415260350La Ventana de Formularios – Form es la ventana central donde se puede desarrollar (dibujar) la aplicación en Visual Basic.<br />NOTA: En la esquina derecha superior se localizan los iconos del control de la ventana.Con los iconos puede minimizar, maximizar (restaurar), cerrar la ventana del programa.                                                                                                                                                                                                si presiona el icono minimizar, la ventana se volverá pequeña y se mostrara debajo                en la forma de un rectángulo. Con otro clic sobre el icono restaurar la ventana se abrirá de nuevo.                                                                        <br />La ventana de propiedades se  utiliza para establecer los valores iniciales de las propiedades de los objetos al inicio del trabajo.<br />Se abre automaticamente, desde  el menú Ver , con la tecla con F4 o bien oprimiendo el icono de la barra de herramientas.<br />3937635-291465Las propiedades son las caracteristicas que posee un ob jeto o un formulario. Por ejemplo:  el color de fondo del formulario, la fuete  de texto en el Cuadro de Texto, el tamaño, etc. En es ta ventana se muestran las propiedades del objeto que esta seleccionado en el momento.<br />Las propiedades se muestran por categoria o en orden alfabetico. Pueda modificar una propiedad con clic sobre la propiedad de la columna izquierda y escri biendo en la columna cuadro deracha o bien si aparece el triangulo de opciones o el icono de Especificar (tres puntos) con clic sobre ellos se puede escoger de lasvaria opciones o especificar el valor deseado. <br />3413760128905<br />La  ventana de Codigo  se utiliza para escribir el programa  (Codigo) que indica a la computadora  que hacer si ocurre un evento. Pôr ejemplo: si se  presionas un boton. <br />Se ab re c on la tecla F7.<br />Nota: el codigo escrito por el usuario aparece con letras negras y las palabras claves en Basic en azul. En la parte izquierda superior aparacen los diferentes objetos del formulario y en la parte derecha se muestran los difeentes eventos que corresponde al objeto seleccionado.<br />118110167640<br />La Ventana Posicion de Formularios se muestra donde (en la ventana del monitor) aparecera su formulario cuando se ejecuta el programa. <br />Se puede abrir desde el menu  Ver o oprimiendo el icono de la Barra de Herramienta<br />La Barra del Titulo muestra el nombre del proyecto<br />La Barra de Menu muestra los menus del Visual Basoc<br />La Barra de Herramientas  se utiliza para acceso rapido a las herramientas mas utilizadas<br />Nota: Muchas de las ventanas se pueden Acoplar (Pegar al borde de la pantalla). Al hacer doble clic sobre la barra de titulo las ventanas se pegan (Acoplan) o despegan de los bordes. Al hacer clic derecho sobre su barra de titulo aparecera el menu donde puede definir si una ventan es o no acoplable.<br />ESCRIBA LAS RESPUESTAS A LAS PREGUNTAS EN SU CUADERNO.<br />¿Qué Pasara si apagan su computadora antes de salir de Visual Basic?<br />¿Cuál es la ventana de Visual Basic que se utiliza para establecer fondo de un aplicación?<br />¿Por qué el menu de Visual Basic es familiar para los usuarios de Windows<br />¿Por qué algunas veces ciertas instrucciones de los menus de Visual Basic o ciertos botones estan en gris y que significa eso?<br />7. BARRA DE MENUS DE VISUAL BASIC<br />Muchas de las funciones que se encuentran en la barra de menus se pueden realizar con los iconos que se encuentran en las Barras de Herramientas o con las Teclas de Acceso Rapido.<br />¿Qué son las teclas de acceso rapido? Es la combinacion de dos o mas teclas que son asignadas para alguna funcion especifica, las mas utilizadas son: CTRL, ALT, SHIFT  mas (+) otra tecla. Muchas de las funciones de Visual Basic tienen teclas de acceso rapido. Por ejemplo, para abrir archivos que se usan CTRL+O. las teclas de acceso rapido estan escritas en la parte derecha de los menus enfrente de la funcion que tiene. Es mas rapido utlilizarlas.Cuando el comando de la barra de menus esta de color gris significa que no lo puede utilizar por alguna razon. Solo puede utilizar los comandos negros o de color.<br />-1390652736857.1 Menu de Archivo                                                                         Al hacer un clic sobre Archivo se abrira el menu:<br />Nuevo proyecto para comenzar a diseñar un nuevo proyecto o abrir         un asistente.<br />Abrir proyecto para abrir un proyecto existente<br />Agregar proyecto para agregar un proyecto nuevo existente o reciente al proyecto actual<br />Quitar proyecto Para quitar un proyecto<br />Guardar proyecto Para guardar un proyecto<br />Guardar proyecto como  para guardar un proyecto indicando su nombre<br />Guardar Form1 Para guardar el formulario<br />Guardar Form1 como Para guardar un formulario por primera vez dandole un nombre<br />Guardar selección Para guardar una selección<br />Guardar secuencia de cambios para guardar una secuencia de cambios efectuados<br />Imprimir se utiliza para imprimir el modulo, el proyecto actual, la imagen del formulario, el codigo o el formulario como texto, etc.<br />Configurar impresora: se utiliza para escoger el tipo de impresora, la orientacion del papel (vertical u horizontal) y el tamaño del papel, etc.<br />Generar el proyecto1. Exe  Convierte el proyecto1 del programa de Visual Basic en un archivo ejecutable (con extension.exe) para utilizar esta opcion es necesario que el programa que tenga acceso a bibliotecas de Windows con extensiones (.dll) – Dinamic Link Library, (.vbx), etc. La version estudiantil no tiene esta opcion.<br />Generar grupo de proyectos:  se utiliza para generar ejecutables para un grupo de proyec tos<br />1…..3…..muestra los nombres de los ultimos 4 proyectos utilizados. De aquí puede abrir              <br />2…..4…..cualquiera de ellos haciendo clic sobre el nombre del documento.<br />4337050-81915Salir  Se utiliza para salir del programa . si no ha guardado la aplicación Visual Basic pregunta “ Guardar los cambios de los siguientes archivos?”. Debe escoger SI o NO, dependiendo de lo que se desee y dar nombre de los archivos de Gruppo (.vbg) de Proyecto (.vbp) y de Formulario (.frm)<br />7.2 Menu Edicion                                                            Al hacer clic sobre edicion se abrira este menu<br />22860173990<br />Deshacer  para regresar un paso (accion o cambio) atrás.<br />Rehacer para ir un paso adelante despues de utilizar deshacer. Cuando esta gris ya no tiene mas pasos adelante<br />Cortar se utiliza para borrar la informacion, el control o texto seleccionado.<br />Copiar se utiliza para copiar informacion o el control seleccionado en la memoria temporal para pegarlo en el lugar deseado<br />Pegar se utiliza para pegar la informacion o el control de la memoria temporal al lugar seleccionado.<br />Pegar vinculo se utiliza para hacer vinculos con otros programas o partes del mismo<br />Quitar se utiliza para borrar el texto solo cuando hay un modulo activo<br />Eliminar se utiliza para eliminar el control y el texto seleccionado<br />Eliminar tabla de la base de datos se utiliza para borrar una tabla de la base de datos<br />Seleccionar todo se utiliza para seleccionar todas las columnas. Se usa poco<br />Tabla se utiliza para insertar o borrar columnas en la tabla o establecer la clave principal<br />Buscar se utiliza para buscar un texto deseado en el procedimiento<br />Buscar Siguiente se utiliza para buscar mas adelante el mismo texto en el procedimiento<br />Reemplazar utiliza para remplazar un texto con otro especificado en el procedimiento<br />Aplicar sangria se utiliza para aumentar la sangria (a la derecha) cuando se escribe el codigo de visual basic<br /> Anular sangria  se utiliza para borrar la sangria (ala izquierda) cuando se escribe el codigo de visual basic<br />Insertar Archivo se utiliza para insertar un archivo (.txt, .bas o .cls) cuando se escribe el codigo de Visual Basic<br />5052060217170Mostrar propiedades y metodos se utiliza para mostrar las propiedades o metodos del control (en la ventana codigo). Ejemplo: <br />Mostrar constantes:  se utiliza para mostrar las constantes utilizadas en la aplicación. (en la Ventana Codigo)<br />Informacion rapida  se utiliza para mostrar una informacion  rapida de las variables: funcion, procedimiento o metodo del lugar donde se encuentra el cursor.<br />Informacion de parametros se utiliza para mostrar informacion sobre los parametros de la funcion del lugar donde se encuentra el cursor<br />Palabra completa se utiliza para completar la palabra de una instrucción automaticamente<br />Ir a la fila se utiliza para ir a diferentes lineas del programa<br />Marcadores se utiliza para poner marcadores en diferentes lineas del programa<br />7.3 Menu Ver   al hacer clic sobre edicion se abrira el menu ver<br />Codigo  abra la ventana de codigo para ver el codigo de la aplicación<br />Objeto se utiliza para ver el formulario seleccionado<br />Definicion se utiliza para mostrar el lugar de la ventana codigo en el cual se define la variable o el procedimiento sobre el cual esta el cursor<br />Ultima posicion se utiliza para ver la ultima linea en el codigo donde ha estado ocurriendo anteriormente<br />Examinador de objetos se utiliza para mostrar las claves de los objetos y sus funciones. Dan la relacion entre las diferentes bibliotecas, metodos, propiedades, eventos, etc. Tiene la opcion de busqueda<br />2842260124460<br />Ventana inmediato se utiliza para abrir la ventana inmediato donde se puede ver informacion de la depuracion del codigo<br />Ventanas locales se utiliza para abrir las ventanas locales donde se pueden moritorear los valores de las variables actuales<br />Ventana inspeccion se utiliza para abrir la ventana de inspeccion y muestra las expresiones de la inspeccion actual<br />En el capitulo “Ejecutando y depurando un programa” se explica como se utilizan estas 3 ventanas.<br />22860-4445<br />Pila de llamadas muestra en un cuadro de dialogo las llamadas que estan activadas en el momento<br />Explorador de proyectos  se utiliza para abrir la ventana de proyectos<br />Ventana propiedades  se utiliza para abrir la ventana propiedades<br />Ventana posicion del formulario se utiliza para abrir la ventana posicion del formulario<br />Paginas de propiedades se utiliza para ver de paginas del objeto seleccionado<br />Tabla se utiliza para ver las propiedades de la tabla <br />Zoom  se utiliza para ver las ventanas de diferente aumento y disminucion<br />Mostrar Paneles para ver los paneles de cuadriculas, diagramas, resultados, etc.<br />Cuadro de Herramientas se utiliza para mostrar el cuadro de herramientas<br />Ventana de la Vista de datos para ver la ventana de Vista de Datos donde se muestra la vinculación de diferentes datos, conexiones de entornos de datos.<br />Paletas de Colores se utiliza para abrir y ver la paleta de colores<br />Barra de Herramientas  muestra las barras de herramientas.<br />Depuración- contiene iconos que también se pueden encontrar en los menús de Ver y Depuración.<br />Edición-  contienes iconos que también se pueden  encontrar en los  menús Edición y Depuración. Los nuevos iconos son  Bloque con comentarios – agregar caracteres de comentarios al inicio de las líneas de texto seleccionado.<br />Editor de formularios- contiene iconos que también se pueden encontrar en los menús Formato. Se utiliza para ordenar  los objetos en el formulario poniéndolos detrás o delante uno de otro, centrarlos, alinearlos a la derecha o izquierda en el formulario, alinearlos horizontalmente o verticalmente, bloquearlos si es necesario.<br />Estándar- explica con detalles mas adelante.<br />Visual Component  Manager  despliega la ventana de Visual component Manager donde se pueden ver los componentes de la Base local del Datos.<br />7.4 Menú Proyecto  Al hacer clic sobre Proyecto se abrirán este menú.<br />-224790165735<br />Agrega formulario  agregar un formulario al proyecto.<br />Agregar formulario MDI     (Interfaz de documento múltiple) agregar un formulario MDI<br />Agregar módulo  agregar un módulo al proyecto.<br />Agregar módulo de clase  agregar un módulo de clase<br />Agregar Control de Usuario  agregar un control de usuario.<br />Agregar página de propiedad  se utiliza para agregar un documento del usuario.<br />Agregar documento de usuario se utiliza para agregar un documento del usuario.<br />Agregar Página DHTML  para agregar una página DHTML (para página WEB)<br />Agregar Data Report  para agregar un documento Data Repot<br />Titulo del Reporte.<br />139446017780<br />Titulo de la Página.Detalles.<br />Agregar webClass agregar proyecto de librería .DLL (Dynamic Link Librery – librería con vinculación dinamica).<br />Agregar Microsoft UserConnection  Agrega una coneccion de usuario escribiendo su nombre, contraseña, etc. Se encuentra en Más diceñadores ActiveX.<br />Agregar diceñadores ActiveX Abre una ventana de DataEnvironment – Connection donde se debe el codigo de conexión. Los controles ActiveX son una colección grande de archivos con conexión (.ocx)  que presenta controles indivicuales o una colección de controles organizados para alg unos temas particulares como animación, imágenes, barra de estatus, lista de textos, herrramientas, etc. Y que se puede utilizar para dar una vista mas profesional a su aplicación.<br />Agregar archivo abre la ventana de agregar archivo debe mostrar la ruta hacia a el archivo que desea agregar. Se puede agregar archivos .frm, .bas, .res, … <br />Quitar from1 quitar (remover) el formulario from1 u otros formularios seleccionados.<br />Referencias Muestra las librerias de preferencias disponibles que pueden utilizar<br />Competencias Se utiliza para agregar diferentes controles al cuadro de herramientas (explicado mas adelante)<br />Propiedades del Proyecto1 despliega la ventana de propiedades del proyecto donde se puede especificar el nombre, tipo, numero de version, archivo de ayuda, tipo de compilacion, depuracion, etc. Del proyecto actual.<br />7.5 Menu formato                                                                        Al hacer clic sobre el formato se abrira el menu<br />557593513970<br />-167640-3810Alinear se utiliza para alinear o centrar los objetos seleccionados<br />3743325104775Igualar tamaño se utiliza para hacer los objetos seleccionados del mismo ancho y alto o ambos.<br />4133850260350Ajustar a tamaño a la cuadricula se utiliza para que el objeto se pegue a las lineas de la cuadricula<br />Espacio Horizontal se utiliza para cambiar o igualar, aumentar, disminuir el espacio horizontal entre varios objetos seleccionados<br />5880735132715<br /> Espacio Vertical  se utiliza para cambiar, aumentar, disminuir el espacio vertical<br />3718560278130Centrar en el formulario se utiliza para centrar el objeto u objetos seleccionados en el formulario horizontalmente o verticalmente<br />5071110300990Orden se utiliza para ordenar los objetos sobrepuestos y decidir si enviarlos al fondo o traerlos al frente<br />Bloquear controles se utilizan para bloquear los controles.<br />7.6 Menu depuracion                                         Al hacer clic sobre el depuracion se abre este menu<br />2286038735<br />Paso a paso por instrucciones ejecuta la aplicación paso a paso por instrucciones<br />Paso a paso por procedimientos ejecuta la aplicación paso a paso por procedimientos<br />Ejecuta hasta el cursor se utiliza para ejecutar el codigo hasta el punto donde se encuentra el cursor<br />Agregar inspeccion se utiliza para agregar puntos de inspeccion a la ventana de Inspecciones.<br />Modificar inspeccion  se utiliza para modificar la inspeccion seleccionada<br />Inspeccion Rapida aparece la ventana de inspeccion rapida donde se muestra el valor de la variable sobre el cual esta el cursor<br />Alternar puntos de interrupcion se utiliza para insertar los puntos de interrupcion<br />Borrar todos los puntos de interrupcion se utiliza para borrar todos los puntos  de interrupcion insertados en el codigo<br />Establecer siguiente instrucción se utiliza para establecer la siguiente linea del codigo del procedimiento que se va a ejecutar<br />Mostrar siguiente instrucción se utiliza para mostrar la siguiente linea del codigo que se va a ejecutar<br />7.7 Menu ejecutar                                                        Al hacer clic sobre el ejecutar se abrira este menu<br />22860-3810Iniciar  Para comenzar la ejecucion de la aplicación<br />Iniciar con compilacion completa Para comenzar la ejecucion de la aplicación y hacer la compilacion de la misma<br />Interrumpir se utiliza para detener la aplicación en medio de la ejecucion<br />Terminar se utiliza para terminar la ejecucion de la aplicación<br />Reiniciar se utiliza para reiniciar (empezar desde el principio) la ejecucion de la aplicación.<br />7.8 Los menus consulta y diagrama     estan relacionados con el manejo y creacion de bases de datos (no discutidas en el materia). Este libro se enfoca en la aplicación de las aplicaciones simples y de manejo de entorno de Visual Basic.<br />7.9 Menu herramientas                                          Al hacer clic sobre herramientas se abrira el menu<br />2286075565<br />Agregar procedimiento agregar un nuevo procedimiento, funcion evento o propiedad dandole nombre<br />Atributos del procedimiento se utiliza para ver o modificar los atributos y propiedades del procedimiento<br />Editor de menus abre una ventana desde la cual se puede crear, diseñar o modificar un menu de formulario nuevo o existente<br />Opciones se utiliza para modificar las diferentes opciones de visual basic, como opcines de codigo, de ventanas, acoples, entorno, etc.<br />Publicar se utiliza para abrir un asistente de publicacion de Visual Componet Manager.<br />3089910218440SourceSafe se utiliza para crear, agregar, ejecutar en SourceSafe y configurarlo. (base de datos de codigo y otros archivos)<br />228603282957.10 menu complementos   Al hacer clic sobre complementos se abrira este menu:<br />Administrador visual de datos abre la ventana de VisData con la cual se pueden crear, examinar o vincular diferentes bases de datos.<br />1838325382270Administrador de complementos abre la ventana de administrador de complementos donde se puede ver los complementos y especificar cuales componentes carga y cuales no.<br />7.11 Menu ventana     Al hacer clic sobre ventana se abrira este menu:<br />-10096599060<br />Dividir para dividir la ventana codigo en dos ventanas en el lugar donde esta el cursor<br />Mosaico horizontal para arreglar las ventanas horizontalmente<br />Mosaico vertical para arreglar las ventanas verticalmente<br />Cascada para arreglar las ventanas como una cascada<br />Organizar iconos  se utiliza para agregar los iconos<br />1…., 2…. Muestra las ventanas disponibles en el momento, puede cambiar la ventana oprimiendo el nombre de la ventana deseada<br />7.12 Menu ayuda                                            Al hacer clic sobre Ayuda se abrira este menu. Se muestra:<br />2286085725<br />Contenido muestra el contenido de la ayuda<br />Indice Muestra la ayuda mostrada en indice<br />Busqueda  se utiliza para buscar una informacion, explicaciones de una palabra o concepto desconocido<br />Soporte tecnico da informacion sobre soporte tecnico de Visual Basic<br />Miscrosoft en la Web muestra una linea de paginas Web de Microsoft en Internet<br />Acerca de Microsoft Visual Basic Muestra informacion acerca el Microsof Visual Basic.<br />8. Barra de Herramientas.<br />-24765527050La barra de herramientas contiene los iconos de los comandos mas utilizado, estos facilitan el trabajo ya que se puede acceder al comando deseado con solo un clic. La barra de herramientas se encuentra abajo del menú.<br />192018171615141312111097654312<br />8<br />TerminarAgregar proyecto113475612<br />Explorador de proyectosNuevo Formulario12<br />13<br />Ventana de propiedadesMenu Editor<br />Posicion del formularioAbrir Proyecto14<br />Examinador de objetosGuardar Proyecto15<br />Cuadro de herramientasTareas del editor de codigos16<br />Ventana de la vista de datosDeshacer17<br />Visual Component Manager18Rehacer8<br />Dimensiones de punto inicial del objeto19Ejecutar9<br />Dimensiones de punto final del objeto20Imprimir10<br />Vamos a ver cada uno de ellos por separado:<br />               <br />-con este icono puedes agregar diferentes tipos de proyectos al proyecto actual.-2349501848485-2717801457960-281940981710-310515572135-2819407683553214<br />-agregar un formulario al proyecto<br />-editor de menús, abre la ventana desde la cual puedes crear, diseñar o modificar un menú de un             formulario nuevo o existente<br />32766001866904991100996315Triangulo de opciones-abre la ventana de proyecto donde debes escoger el proyecto existente que desea abrir.<br />Guardar un proyecto o grupo de proyectos<br />-2343153056890-224790243776589-22542519996157-2235201399540-2349501065530-234315694690-2343153803656-Cortar- borra un objeto o texto a la memoria temporal de portapapeles.- Copiar- copia un texto u objeto de la memoria temporal del portapapeles.- Pegar- pega un objeto o texto guardado en la memoria temporal de portapapeles- Buscar- busca un texto (código) en el proyecto, modulo o procedimiento<br />-Deshacer- regresa un paso atras<br />-Rehacer – va un paso adelante, después de utilizar deshacer<br />-Ejecutar- comienza la ejecución de la aplicacion<br />Ejecutar la flecha<br />-Interrumpir (Break)- detiene la aplicación en medio de la ejecución.10<br />-17716538620701920-Visual component Manager- muestra la ventana de visual component manager.-262890331914518-Buscador de objetos- busca un objeto por clase.-Cuadro de herramientas- abre el cuadro de herramientas.-Ventana para ver los datos- abre la ventana vista de datos, vinculados de los datos.-Ventana posicion del formulario- abre la ventana de posicion de formulario.-ventana de propiedades – abre la ventana de propiedades.--Explorador del proyecto- abre la ventana del proyecto.--terminar (end) – terminar la ejecuatcion de la aplicación.--2349502795270-2590802414270-2343151966595-1771651585595-1866901137920-234315737870-23431526162013121617151411<br />-Dimensiones de punto inicial y final del objeto- muestra las dimensiones del punto inicial y el punto final un objeto seleccionado sobre un formulario. Si se selecciona un formulario se muestra las dimensiones del formulario seleccionado<br />9. Cuadro de herramientas<br />El Cuadro de herramientas muestra los objetos (controles) que se pueden dibujar o insertar en la ventana del formulario. Puede contener diferentes botones y cuadros y se pueden agregar mas desde el Menu – Proyecto – componentes – Controles. Puede modificar su forma y tamaño de igual manera que las demás ventanas. Normalmente se encuentra del lado izquierdo de la pantalla.<br />Cuadro de dibujo.Puntero- seleccionar objetos.2651760-415290<br />Cuadro de texto.Etiqueta.<br />Boton de comando.Boton de opcion.Caja de selección.Marco.<br />Cuadro combinado.<br />Cuadro de lista.Barra de desplazamiento Vertical.Cuadro de lista de discos.Cuadro de lista de archivos.Objeto datos.Lineas.Vinculación de objetos.Cuadro de imagen.Formas.Cuadro de listas de carpetas.Timer (cronometro).Barra de desplazamiento horizontal.<br />Cada uno de estos controles y su utilización será explicado a detalle mas adeltante<br />9.CUADRO DE HERRAMIENTASEl cuadro de herramientas muestra los  objetos (controles) que se pueden dibujar o  insertar en la ventana de formulario. Puede contener diferentes botones y cuadros se pueden agregar mas desde el menu-proyecto-componentes-controles. Puede modificar su forma y tamaño de igual manera que las demas. Normalmente se encuentra  del lado izquierdo de la pantalla.<br />Cada uno de estos controles y su utilización será explicado a detalle mas adelante.<br />CLIC   DERECHO (CON EL BOTON DERECHO) DEL  RATON<br />Al hacer clic con el botón derecho sobre un botón, varios controles o código se despliega un menú llamado PopUp menú que contiene las opciones más utilizadas para este objeto. El menú es diferente para los diferentes objetos, texto o propósitos. Puede utilizar estas opciones para trabajar más rápido con los objetos. Abajo su muestra el menú popUp al hacer clic derecho (con el botón derecho) del ratón sobre un control TextBox  y sobre el objeto Formulario.<br /> Visual Basic trabaja en tres modos:<br />Modo de Diseño               - Design mode - se diseña la aplicación.<br />Modo de Ejecución          - Run mode      - se ejecuta la aplicación.<br />Modo de Pausa                 - Break mode   - se para la ejecución de la aplicación.<br />y se puede utilizar el depurador (debugger) para corrección de los errores.<br />Inicio – Programas – Microsoft Visual Basic 6.0 click – EXE estándar click – Open.Los Pasos de trabajo son:<br /> BRIR VISUAL BASIC 6.0.<br />ABRIR  EL ARCHIVO (PROYECTO)<br />Explicado más adelante.(Nuevo o Existente).<br />DESARROLLAR LA APLICACIÓN.<br />De esta manera podemos ejecutar un programa y checar  si contiene errores. Escoger Run – Start o F5.<br />EJECUTAR LA APLICACCIÓN Y<br />CORREGIR LOS ERRORES.<br />Menú: Archivo – Salir – y clic sobre Si para guardar el programa.<br />GUARDAR LA APLICACIÓN Y SALIR<br />DE VISUAL BASIC 6.0.<br />PASOS PARA DESARROLLAR UNA APLICACIÓN.<br />Existen tres pasos para desarrollar (construir) una aplicación:<br />Dibujar la interfaz del usuario,<br />Asignar propiedades a los controles,<br />Agregar código BASIC a los controles o escribir el código<br />de Visual Basic para cada uno de los controles.<br />Ver la ventana de códigoArchivo de formulario 2Archivo de proyecto12. COMO TRABAJAR CON PROYECTOS VISUAL BASICVer objetoEl Archivo de Proyecto guarda todos los  diferentes archivos (Formularios) usados en un programa  de Visual Basic. En la Ventana de Proyecto se muestra la Lista del contenido del proyecto Actual.Los Archivos del Proyecto tienen extensión .vbp.<br />Para seleccionar el formulario 1 (form 1) u otros deseados se debe hacer doble clic sobre su nombre o escoger el objeto y dar ver objeto.<br />AGREGAR Y BORRAR PROYECTOS<br />Los  proyectos pueden agregar desde archivo-agregar proyecto- y escoger el tipo del proyecto que se desea agregar. Para borrar un proyecto debes escoger el proyecto-ir al menú archivo-quitar un proyecto-desea guardar los cambios de los siguientes archivos?-No.<br />GUARDAR UN PROYECTO<br />Para guardar un proyecto debe de ir al menú archivo-guardar proyecto como y darle un clic. Se abrirá la ventana de guardar archivo como donde debe definir el lugar (carpeta,disco,etc). En que desea guardar el proyecto- escribir el nombre del proyecto y oprimir guardar.<br />En esta ventana debe de escoger el lugar donde guardar el proyecto. Con doble clic puede abrir cualquiera carpeta y guardar el proyecto en ella su computadora puede contener otras carpetas. Al final debemos obtenga Save para guardar el proyecto.<br />13. TRABAJO CON FORMULARIOS (FORMS)<br />Los archivos de formularios contienen la interfaz del usuario y el código BASIC que hace trabajar dicho interés. La extensión de los archivos de formularios es  frm.<br />La interfaz del usuario contiene objetos como: botones de control, cajas de dialogo, menús, cajas de texto, etiquetas etc., que permitan al usuario interactuar con el programa. También se muestran ventanas en las cuales el usuario puede escoger varias opciones o ver como el programa responde a sus secciones. <br />Un archivo de formulario de un nuevo proyecto se abre automáticamente. Para abrir un archivo de formulario existente debemos primero abrir el proyecto y dar doble clic sobre el nombre del formulario que se muestra en la ventana del proyecto.<br />Desde la ventana de propiedades puede cambiar las propiedades de formulario tales como: el color de fondo, los marcos, su nombre (capitón) etc.<br />CAMBIAR EL COLOR DE FONDO<br />1. Abrir la ventana de formulario y la ventana de propiedades.<br />2. Escoger de la propiedad backcolor<br />3. Oprimir el triangulo de opciones<br />Cuadros de control4. Escoger con clic el color deseado<br />IMPORTANTE: Para cambiar el tamaño del formulario debe hacer clic sobre el-ir ala esquina sobre los cuadros de control, aparecerá una doble flecha-hacer clic y sin soltar el botón, arrastrar el ratón. El formulario se puede cambiar de tamaño solamente hacia la derecha y abajo.<br />14. TRABAJO CON OBJETOS (CONTROLES)<br />A.DIBUJAR UN OBJETOlefttop<br />Para dibujar objetos en el formulario seguir los siguientes pasos:<br />1.Hacer clic sobre el control del cuadro de herramientas que desea dibujar.<br />2. Ir sobre el formulario y hacer clic sin soltar el botón arrastrar el ratón, hasta alcanzar el tamaño deseado al final soltar el botón.<br />3. Mover o cambiar el tamaño y del control como desea.<br />B. SELECCIONAR UN OBJETO<br />Cuando un objeto esta seleccionado (con clic sobre el) decimos que tiene enfoque. Cuando un objeto esta seleccionado con clic en modo diseño alrededor de su marco aparece cuadrados pequeños llamados cuadros de control. <br />Estos cuadros no aparecen cuando se ejecuta la aplicación, sirve para mostrar el objeto seleccionado y para poder cambiar su tamaño. Para seleccionar varios objetos: primero presionar el botón izquierdo del ratón. IMPORTANTE: Debe empezar a seleccionar en un espacio vacio sobre la forma, no sobre un objeto, ya que de lo contrario se seleccionara solo el objeto). Manteniendo el botón presionado mueve el ratón hacia la derecha izquierda arriba, o abajo según lo que se desea. Se forma un cuadro tranparente. Los objetos dentro del cuadrado serán seleccionados al soltar el botón.<br />C. MOVER UN OBJETO<br />Hacer clic sobre el objeto cual desea mover y sin soltar botón arrastrar el ratón donde desea que quede el objetó (aparece una línea medio transparente mostrándose como quedaría el objeto).<br />Al soltar el botón del objeto se moverá.<br />2615565375285Si moviendo el objeto esperamos 3 segundos se mostraran las coordinadas de la posición actual. <br />D. CAMBIAR EL TAMAÑO DE UN OBJETO<br />Para cambiar el tamaño del objetivo debe:<br />Seleccionarlo con clic.<br />Ir a la esquina sobre los cuadros de control hasta que la flecha cambie a doble flecha,<br />Hacer clic sin soltar el botón, arrastrar el raton hasta llegar al tamaño deseado (se trabaja de la misma manera como una imagen)<br />D. BORRAR UN OBJETO<br />Seleccionar el objeto con clic<br />Oprimir la tecla Supr para borrarlo o menú-Edición-Eliminar.<br />F. NOMBRAR UN OBJETO<br />Visual Basic automáticamente pone nombres a los objetos dibujados tales como Command1, Command2, etc. Option1, Option2,  que se utilizan para identificar a los objetos. Para identificar fácilmente los objetos es mejor darles nombres descriptivos como cmdExit (botón de comando de salida).<br />Para nombrar los objetos se siguiere poner en frente de su nombre  prefijos que nos muestran el tipo del objeto.<br />Para cambiar el nombre de un objeto debe:<br />Seleccionar el objeto con clic sobre el,<br />Escoger de la ventana de propiedades la propiedad Name(nombre)<br />Escribir el prefijo que determina el tipo del objeto y junto a este escribir el nombre del objeto con letra mayúscula<br />Option 129775151583055Arriba en la ventana de propiedades aparecerá el nombre objetivo. <br />IMPORTANTE: Cada objeto tiene su nombre interno y su nombre externo. El nombre interno se utiliza dentro de Visual Basic para llamar este objeto o cambiar alguna propiedad suya en un código. El nombre externo se utiliza para lo que va ver el usuario en su ventana ( el texto escrito dentro de un botón o caja de texto etc.) La propiedad para el nombre interno es NAME y la propiedad para nombre extremo es (titulo) es Caption será explicado mas adelante en el libroLos nombres no pueden tener palabras reservadas, guiones, caracteres especiales como ($), tampoco pueden empezar con números.<br />
Visual basic terminado[1]
Visual basic terminado[1]
Visual basic terminado[1]
Visual basic terminado[1]
Visual basic terminado[1]
Visual basic terminado[1]
Visual basic terminado[1]
Visual basic terminado[1]
Visual basic terminado[1]
Visual basic terminado[1]
Visual basic terminado[1]
Visual basic terminado[1]
Visual basic terminado[1]
Visual basic terminado[1]
Visual basic terminado[1]
Visual basic terminado[1]
Visual basic terminado[1]
Visual basic terminado[1]
Visual basic terminado[1]
Visual basic terminado[1]
Visual basic terminado[1]
Visual basic terminado[1]
Visual basic terminado[1]
Visual basic terminado[1]
Visual basic terminado[1]
Visual basic terminado[1]
Visual basic terminado[1]
Visual basic terminado[1]
Visual basic terminado[1]
Visual basic terminado[1]
Visual basic terminado[1]
Visual basic terminado[1]
Visual basic terminado[1]
Visual basic terminado[1]
Visual basic terminado[1]
Visual basic terminado[1]
Visual basic terminado[1]
Visual basic terminado[1]
Visual basic terminado[1]
Visual basic terminado[1]
Visual basic terminado[1]
Visual basic terminado[1]
Visual basic terminado[1]
Visual basic terminado[1]
Visual basic terminado[1]
Visual basic terminado[1]
Visual basic terminado[1]
Visual basic terminado[1]
Visual basic terminado[1]
Visual basic terminado[1]
Visual basic terminado[1]

Visual basic terminado[1]

  • 1.
    CETIS 109<br />DIANALIZETH GIL CUELLAR<br />DULCE KARELY SEGURA GUERRERO<br />4ºL<br />PROGRAMACION EN VISUAL BASIC <br /> <br />AULA 17<br />INFORMATICA<br />MARGARITA ROMERO <br />PROGRAMACION EN <br />VISUAL BASIC<br />I.-PRINCIPIOS BASICOS DE LA PROGRAMACION<br />1.- INTRODUCCION ALA PROGRAMACION<br />A.METODOLOGIA PARA LAS SOLUCION DE PROBLEMAS UTILIZANDO LA COMPUTADORA<br />Cuando tiene un problema y necesita solucionarlo utilizando la computadora debe seguir los siguientes pasos: Debe:<br />1.-Definir el Problema -Definir que desea que realice la computadora.<br />2.- Analizar el problema – Definir:<br />Los datos de entrada.<br />Cuál es la información que desea producir (salida).<br />Los métodos y formulas necesarios para procesar los datos.<br />3.-Diseñar el algoritmo o el diagrama de flujo<br />Las características de un buen algoritmo son:<br />Tener un punto particular de inicio.<br />Ser definido, no permitir dobles interpretaciones <br />Ser general, es decir, soportar la mayoría de las variantes que se pueden presentar en la definición del problema.<br />Ser finito en tamaño y tiempo de ejecución.<br />4. Escribir el programa <br />De acuerdo a la lógica del diagrama de flujo o pseudocódigo debe escribir una serie de instrucciones detalladas, en un código reconocible para computadora. A esta serie de instrucciones detalladas se reconoce como código fuente, el cual se escribe en un lenguaje de programación o lenguaje de alto nivel.<br />5.-Ejecutar el programa y hacer depuración<br />Los errores humanos dentro de la programación de computadoras son muchos y aumentan considerablemente con la complejidad del programa. El proceso de identificar y eliminar errores de un programa para que funcione correctamente sin errores se llama depuración (debugging) <br />6.-Hacer la Documentación<br />La documentación es la guía o comunicación escrita que nos ayuda comprender como usar un programa o para facilitar sus futuras modificaciones. Puede presentarse en sus variadas formas como procedimientos, dibujos o diagramas.<br />La documentación se divide en tres partes:<br />Documentación Interna – comentarios o mensajes que se añaden al código fuente para hacer más claros el entendimiento de un proceso.<br />Documentación Externa- contiene la descripción del problema, el nombre del autor, el algoritmo (diagrama de flujo o pseudocódigo), diccionario de datos, código fuente (programa) etc.<br />Manual de Usuario- Describe paso a paso la forma en que funciona el programa, con el fin de que el usuario obtenga el resultado deseado.<br />7.-Mantenimiento<br />Se lleva a cabo después de terminar el programa, cuando se detecta que es necesario hacer algún cambio, ajuste o competición al programa para que siga trabajando de manera correcta. Para poder realizar este trabajo se requiere que el programa este correctamente documentado.<br />B.LENGUAJE DE PROGRAMACION<br />Lenguaje de Programación<br />Un lenguaje de programación es un conjunto de símbolos, caracteres y reglas (programas) que le permiten a las personas comunicarse con la computadora. Los lenguajes de programación tienen un conjunto de instrucciones que nos dan la posibilidad de realizar operaciones de entrada/salida, calculo, manipulación de textos, lógica/comparación y almacenamiento/recuperación.<br />Almacenamiento/recuperación.<br />Los lenguajes de programación se clasifican en:<br />Lenguajes de la Maquina: Son aquellos cuyas instrucciones son directamente entendibles por la computadora y no necesitan traducción para que la CPU pueda comprender y ejecutar el programa. Las instrucciones en lenguaje maquina se expresan en términos de la unidad de memoria más pequeña, el bit (digito binario 0 o 1). Ocho bits forman un byte.<br />Lenguaje de bajo nivel (ensamblador): En este lenguaje las instrucciones se escriben en códigos alfabéticos conocidos como mnemotécnicos para las operaciones y direcciones simbólicas. El código representa normalmente datos e instrucciones para manipularlos. Un modo más fácil de comprender código maquina es dando a cada instrucción un mnemónico. Los lenguajes de bajo nivel permiten crear programas muy rápidos, pero que a menudo son difíciles de aprender. Cabe destacar que los programas escritos en un lenguaje de bajo nivel son específicos para cada procesador si se lleva el programa a otra máquina con diferente arquitectura de procesador se debe de reescribir en programa desde el principio<br /> <br />Nota: Mnemónicos –Diferentes instrucciones que posee el procesador. Consiste de 2 partes: Una abreviatura de la instrucción y argumentos, ejemplo:MOV B, A -la abreviatura MOV siguiere la instrucción mueve. La instrucción mueve el contenido del registro A hacia registro B<br />Lenguaje de alto nivel: Los lenguajes de programación de alto nivel (VISUAL BASIC, C, C++, PASCAL, BASIC, ASEMBLER, FORTRAN, COBOL y otros) son aquellos en los que las instrucciones o sentencias para la computadora son escritas con palabras similares al lenguaje humano (en general en inglés), lo que facilita la escritura y comprensión del programa. Existe también una relación compleja entre los lenguajes de alto nivel y el código máquina. Cada programa debe traducirse del lenguaje de programación (de alto nivel) al lenguaje de la computadora (máquina). Esto se hace a través de compiladores (traductores) que transforman el programa en un lenguaje de más alto nivel para que la computadora pueda comprenderlo y ejecutarlo.<br />Intérpretes y compiladores<br />La traducción de una serie de instrucciones en lenguaje ensamblador (el código fuente) a un código máquina (o código objeto) se realiza normalmente por un programa especial llamado compilador. La traducción de un código fuente de alto nivel a un código máquina también puede realizarse con un compilador más complejo llamado intérprete. Un compilador crea una lista de instrucciones de código máquina llamado código objeto, basándose en un código fuente. El código objeto resultante es un programa rápido y listo para funcionar, pero que puede hacer que falle el ordenador si no está bien diseñado. Los intérpretes son más lentos que los compiladores ya que no producen un código objeto, sino que recorren el código fuente una línea cada vez. Cada línea se traduce a código máquina y se ejecuta. Cuando la línea se leen por segunda vez, como en el caso de los programas en que se reutilizan partes del código, debe compilarse de nuevo. Aunque este proceso es más lento, es menos susceptible de provocar fallas en la computadora. Abajo se muestra la transformación del lenguaje fuente (de alto nivel) al lenguaje objeto (máquina):<br />LENGUAJE FUENTE<br />LENGUAJE OBJETO<br />LIBRERIA Y LENGUAJE<br />ENSAMBLADOR<br />VINCULOS<br />PROGRAMA<br />35412212211<br />C. ¿QUE ES UN PROGRAMA?<br />EL PROCESAMIENTO DE DATOS tiene tres pasos:<br />ENTRADA – Los datos entran a través del teclado, ratón, escáner, otras computadoras, etc.<br />PROCESAMINETO – Los datos se utilizan para hacer los cálculos y/o cambios correspondientes, se transforman y se almacenan después.<br />SALIDA – El resultado en forma de datos pueden verse a través de la pantalla, impresora, enviarse a otra computadora, etc.<br />Un programa es un conjunto de instrucciones escritas en un determinado lenguaje (por ejemplo, COBOL, C++, VISUAL BASIC, ETC.) que dirigen a un ordenador para la ejecución de una serie de operaciones, con el objetivo de resolver un problema que se ha definido previamente.<br />Elementos de un programa:<br />Datos (variables)<br />Instrucciones (códigos o funciones).<br />Las variables son los bloques básicos para la construcción de un programa y las instrucciones le indican a la computadora que hacer con el programa.<br />También puede usar comentarios, estas notas permitirán tener un programa claro y fácil de entender.<br />Al igual que en una construcción se pide el material antes para poder comenzar, en un programa debe declarar las funciones antes de usarlas.<br />D.ALGORITMOS<br />Definición de Algoritmo<br />La palabra algoritmo se deriva de la traducción al latín de la palabra árabe “alkhowarizmi” nombre de un matemático y astrónomo árabe que escribió un tratado sobre la manipulación de números y ecuaciones en el siglo IX.<br />Un algoritmo es una serie de pasos organizados que describe el proceso que se debe seguir para dar solución a un problema específico. Es un procedimiento matemático o lógico para lograr un fin determinado. Antes de escribir el programa debe tener muy claro el algoritmo que mostrará los pasos a seguir para resolver el problema. Los algoritmos tienen una entrada de datos, un procedimiento a seguir y una salida de datos.<br />Un algoritmo debe contener instrucciones de control que nos permitan decirle al procesador paso a paso que hacer y cuando terminar la tarea.<br />¿Por qué necesitamos algoritmos?<br />Los problemas complejos deben ser divididos en partes más simples.<br />Cada problema simple puede ser solucionado aparte.<br />Utilizando algoritmos se puede ver más claro la ruta para solucionar el problema que nos ahora tiempo.<br />Propiedades de los Algoritmos<br />Los Algoritmos deben ser:<br />Claros en su definición,<br />Efectivos y ejecutables paso a paso,<br />Deben terminar después un cierto número de pasos.<br />Representación de algoritmos<br />E. ¿QUÉ ES UN DIAGRAMA DE FLUJOExisten diversas formas de representar algoritmos. Dentro de las más comunes se encuentran los diagramas de flujo y el pseudocódigo. Cada uno tiene sus ventajas y desventajas, todo depende del gusto de la persona que aplica el algoritmo.<br />El Diagrama de flujo (flow chart) es la representación gráfica de un algoritmo y muestra los algoritmos de una manera clara y comprensible.<br />Indica el inicio y el final de nuestro diagrama de flujo.Esta representación gráfica se da cuando varios símbolos (que indican diferentes procesos en la computadora) se relacionan entre sí mediante líneas que indican el orden en que se deben ejecutar los procesos. Los símbolos utilizados han sido normalizados por el Instituto Norteamericano de Normalización. Los elementos que se emplean para los diagramas son los siguientes:<br />Líneas de flujo o dirección. Indican la secuencia en que se realizan las operaciones.Conector dentro de página. Representa la continuidad del diagrama dentro de la misma página.Símbolo de decisión. Indica la realización de una comparación de valores.Símbolo de proceso. Indica la asignación de un valor en la memoria y/o la ejecución de una operación aritmética. <br />ComienzoPor ejemplo: <br />ConectorAsignaciónV= VerdaderoF=FalsoCondicionalFvFin Vx<br />F. ¿QUE ES UN PSEUDOCODIGO?<br />El PSEUDOCODIGO se encuentra a un solo paso de transformarse en un lenguaje de programación. A diferencia de un diagrama de flujo no es grafico sin embargo puede leerse y es igual de comprensible. Es la representación narrativa de los pasos que debe seguir un algoritmo para dar solución a un problema determinado. El pseudocódigo utiliza palabras que indica al proceso al realizar.<br />El pseudocódigo es la parte de programa que puede ser utilizado en un programa real. No puede ser compilado ni ejecutado, es simplemente un paso para elaborar el código final. La ventaja del pseudocódigo es que permite al programador utilizarlo en varias códigos sin la necesidad de escribirlo nuevamente.<br />Ventajas de utilizar un pseudocódigo a un diagrama de flujo:<br />Ocupa menos espacio en una hoja de papel<br />Permite representar de forma fácil operaciones repetitivas complejas.<br />Es muy fácil pasar de un pseudocódigo a un programa en algún lenguaje de programación.<br />Si se siguen las reglas se puede observar claramente los niveles que tiene cada operación.<br />G.DIAGRAMAS ESTRUCTURADOS<br />(Nassi-Schneiderman)<br />El diagrama estructurado N-S también conocido como diagrama de chapín es como un diagrama de flujo en el que se omite las fechas de unión y las cajas son contiguas. Las acciones sucesivas se pueden escribir en cajas sucesivas y como en los diagramas de flujo, se pueden escribir diferentes acciones en una caja. Un algoritmo en forma del diagrama estructurado se muestra ala derecha.<br />InicioAcción 1Acción 2…Fin<br />H. ¿QUE ES UN CODIGO?<br />El código puede ser:<br />1) Un conjunto de instrucciones para la computadora.<br />2) Un conjunto de símbolos, por ejemplo el código ASCll. El código contiene la información en una forma apropiada para la comunicación y el procesamiento<br />TIPOS DE CODIGOS<br />1. BINARIO<br />-Código utilizado en la computadora donde toda la información es representada con 2 dígitos =0 o =1. Un bit =1 o 0. Un byte =8bits.<br />2. DECIMAL<br />-Código donde la información se representa con 10 dígitos –del 0 al 9.<br />3. OCTAL<br />-En él la información se representa con 8 dígitos –del 0 al 7<br />4. HEXADECIMAL<br />-Código en el cual la información se representa con 16 dígitos –del 0 al 9 y con las letras de la “A” a la “F”.<br />5. CODIGO ASCII<br />-Código en el cual las letras y símbolos se representan con números del 1 al 255. Por ejemplo: para las mayúsculas K=75, L=76, M=77, Z=90 y para las minúsculas k=107, l=108, m=109,…,z=122.El texto guardado en código ASCII se llama archivo ASCII.<br />Abajo se muestra la relación entre los diferentes tipos de códigos:<br />Tabla de equivalencia de los códigos<br />DecimalHexadecimalBinario Octal0000000110001122001023300113440100455010156601106<br />¿COMO CONVERTIR NUMEROS A BASE DE UN CODIGO EN NUMEROS A BASE DE OTRO CODIGO?<br />Para convertir números a base decimal en números a otra base (binario, octal, o hexadecimal) debe dividir el numero que desea convertir entre la otra base consecutivamente hasta que el resultado no se puede dividir nuevamente. El nuevo número se forma leyendo el residuo que queda de cada dimensión de derecha a izquierda. Ver los ejemplos.<br />Para convertir un numero a otra base (binario, octal o hexadecimal) en números a base decimal se multiplican las cifras del numero comenzado de derecho ala izquierda por la base al exponente 0, 1, 2, 3, 4, 5,…….de este base (2-binario,8-octal, 16-hexadecimal)<br />NUMEROS DECIMALES EN NUMEROS BINARIOS Y VISEVERSA <br />Ejemplo: Convertir el numero decimal 39 en número binario.<br /> 19<br />2 39 <br /> Residuo 1 <br /> 9<br />2 19<br />Residuo 1<br /> 4<br />2 9<br />Residuo 1<br /> 2<br />2 4<br />Residuo 0 <br /> 1<br />2 1<br />Residuo 0<br /> Residuo 1<br />Leer los residuos del a derecha ala izquierda y obtener el numero binario que corresponda al número decimal 39.<br />El número será: 100111<br />39(dec)=100111(bin)<br />Para verificar si ha convertido los números correctamente hay que hacer la conversión opuesta-convertir el numero binario 100111 en número decimal.<br />Debe multiplicar las cifras del número 100111 comenzando ala derecha ala izquierda por la base, en este caso 2 (base binaria) elevada al exponente <br />Correspondiente a su posición 0, 1, 2, 3, 4, 5….y sumarlos <br />El resultado es: <br />Nota: El numero 0 multiplicado por cualquier otro numero da como resultado 0. Ejemplos:0*2=0, 0*8=0,0*16=0100111(bin)= 39(dec) <br /> <br />Ejercicio 1. Convertir los números decimales en números binarios y verificar los resultados haciendo la conversión opuesta.<br />23,17,56,71,9,40,21,93,67,14,36,6,12,47,115,3,75,13.<br />Ejercicio 2. Convertir los números binarios en números decimales y checa los resultados haciendo la conversión opuesta.<br />110011, 1110101, 10001, 1010010, 100111, 1010101, 110101, 111011.<br />NUMEROS DECIMALES EN NUMEROS OCTALES Y VISEVSERSA<br />Ejemplo: Convertir el numero decimal 147 en número octal.<br />Dividir 147 entre la base 8 y leer el residuo al revés.<br /> 18<br />8 147 <br />Residuo 3 <br /> 2<br />8 18<br />Residuo 2<br />Nota: Cualquier base elevada al exponente 0 es igual al 1 Ejemplos: 2=1,8=1,16=1Residuo 2<br /> <br /> Leer los resultados de la derecha ala izquierda y obtener el número octal que corresponde al número decimal 147.<br /> <br />147(dec)= 223 (oct)<br />Para verificar si ha convertido los números correctamente hay que hacer la conversión opuesta-convertir el número decimal 233 en número decimal. Debe multiplicar las cifras del numero 223 comenzando ala derecha e izquierda por la base, en este caso 8(base octal) elevada al exponente correspondiente a su posición 0, 1, 2, 3, 4, 5,…..y sumarlos.<br />233 3*8+2*8+2*8=3*1+2*64=3+16+128=147<br />El resultado es (oct)= 147(dec)<br />NUMEROS DECIMALES EN NUMEROS HEXADECIMALES Y VISEVERSA<br />Ejemplo: Convertir el numero decimal 643 en número hexadecimal.<br /> 40<br />16 643 <br /> Residuo 3<br /> 2<br />16 40<br />Residuo 8<br />Residuo 2<br />Leer los residuos de la derecha ala izquierda y obtener el número hexadecimal que corresponde al número decimal 643.<br />El número será: 283<br />643(dec)=283(hex)<br />Para verificar si ha convertido los números correctamente hay que hacer la conversión opuesta convertir el número hexadecimal. Debe multiplicar las cifras del numero 643 comenzando de la derecha ala izquierda por la base en este caso 16 (base hexadecimal) elevada al exponente correspondiente a su posición 0, 1, 2, 3, 4, 5... Y sumarlos.<br />El resultado es 283(hex)= 643(dec)<br />Si el resultado es de dos cifras (menos que 16), las dos cifras se transforman en las que corresponde al código hexadecimal, ejemplo: 10=A, 11=B, 12=C, etc.<br />Otro ejemplo: 196(dec)=C4(hex)=4*16012*16<br /> 250(dec)=FA(hex)=10*16+15*16<br />Nota: Puede verificar los resultados utilizando la calculadora científica de la calculadora desde inicio-Programas-Accesorios-Calculadora-abrirla con clic sobre ella-ir a ver (view) y hacer clic sobre scientific. Se abrirá la calculadora científica escribir el numero decimal y oprimir Hec para convertirlo.<br /> <br />J. ESTRUCCTURAS ALGORITMICAS<br />La estructura es el modo en que se pueden agrupar y organizar las acciones de un programa.<br />Las estructuras algorítmicas son:<br />Simples o Secuenciales<br />Condicionales<br /> Cilicas<br />Las Estructuras Secuenciales contienen:<br />Asignación<br />Procesamiento<br />Salida<br />La estructura secuencial es aquella en la que una acción (instrucción) sigue a otra en la secuencia. Las tareas suelen de tal modo que la salida de una entrada de la siguiente y así sucesivamente hasta el fin del proceso.<br />La secuencia es la más simple y la más común de todas estructuras y constituye la esencia de toda la tarea programada. Las estructuras secuenciales se componen de la: secuencia independiente y la secuencia dependiente.<br />Pasos de una secuencia:<br />Un conjunto de acciones que se ejecutan por única vez al comienzo del proceso, llamado proceso inicial Generalmente consiste en la apertura de archivos, ubicación en un lugar determinado del conjunto, la inicialización de variables, impresión de encabezados de página etc.<br />Un conjunto de acciones que se ejecutan a continuación, llamado proceso central entre las acciones de este grupo siempre se incluye una estructura de interacción que se ocupa de la estructura de un dato y un procesamiento-cuenta, acumulación operación matemática, etc.<br />Un conjunto de acciones que se ejecutan por única vez al final del proceso al que llamaremos proceso final Generalmente consiste en cierre de archivos, informe de de resultados, impresión de la pagina etc.<br />InicioAcción1Acción2..AcciónNFinUna estructura secuencial puede ser representada también en forma de diagrama estructurado<br />Proceso Inicial<br />Proceso FinalProceso Central<br />Estructura secuencial<br />Ejemplo de estructura de secuencia independiente<br />Se da cuando las acciones pueden intercambiar su orden de ejecución sin alterar el resultado final. Por ejemplo, la acción sumar 1 a la variable a seguida se sumar 2 a la variable b. En este caso en el orden en que se efectúen las acciones es irrelevante para el resultado final.<br />Ejemplo de estructura de secuencia dependiente.<br />Se da cuando las acciones no pueden intercambiar sin alterar el resultado final. Por ejemplo la acción sumar 1 a la variable a seguida de multiplicar la variable a por 2, en este caso el orden en que se ejecuten las operaciones es determinante para el resultado final.<br />Las Estructuras Condicionales contienen:<br />Asignación <br />Procesamiento<br />La operación del cambia dependiendo de una condición<br />Salida<br />Las estructuras condicionales comparan una variable contra otro(s) valor(es), para que en base al resultado de esta comparación, siga un curso de acción dentro del programa. Cabe mencionar que la comparación se puede hacer contra otro variable o contra una constante, según que se requiera. Existen dos tipos básicos de estructura condicionales: las simples y las múltiples.<br />Simples: La estructura condicional simple se les conoce como “Tomas de decisión”. Estas tomas de decisión tienen las siguientes formas:<br />Si <condición =cierta> entonces Acción(es)Fin-si<br />Dobles: Las estructuras condicionales doble permiten elegir entre dos opciones o alternativa posibles en función del cumplimiento o no de una determinada condición.<br />Si <condición=cierta> entonces acción(es) Si no Acción(es)Fin-siSe representa la siguiente forma<br />Ejemplo de estructura se selección doble<br />Se da cuando existen solo dos alternativas. Se evalúa una condición que puede tomar los valores lógicos de verdadero o falso. Si la condición es verdadera se hace una cosa y si es falsa se hace otra. Por ejemplo: Si las variable a es inferior a 3, se suma 1; si es mayor que 3 entonces las variable b es igual a 0. Es importante aprobar que no siempre deban de estar presente las acciones correspondientes a ambas alternativas. En efecto es posible que s ejecute alguna opción si se cumple alguna condición y que no se haga nada en caso contrario. En este ejemplo:<br />Si la variable a es igual a 3 ninguna de las condiciones se va a cumplir. Porque a no es mayor ni menor de 3 y simplemente no ocurre nada.<br />Condicionales múltiples: Las estructuras de comparación múltiples, son tomas de decisión especializadas que permiten comparar una variable contra distintos posibles resultados, ejecutando para cada caso una serie de instrucciones específicas. Hay dos formas comunes:<br />Casos variables:Op1: Accion (es)Op2: Accion(es)..OpN: Acción(es)Fin-casosSi <condición =cierta> entonces Acción(es)Si no Si<condición =cierta>Entonces Acción(es)Si no .. Varias condicionales Forma generalForma 1 Forma 2 <br />Ejemplo de estructura de selección múltiple<br />Se da cuando existen más de dos alternativas. En este caso la variable que determina la selección puede tomar uno entre varias valores numéricos enteros previstos y se ejecutara uno entre varios grupos de acciones, según corresponda. Puede haber también –aunque no es obligatorio- un curso de acción previsto para cuando la variable no toma ninguno de los valores predeterminados. Por ejemplo: examinar la variable resultada: Si es 0 escribir “éxito”, si es 1 escribir “memoria insuficiente”, si es 2 escribir “archivo no existible”, y si es cualquier otro numero escribir “error desconocido”.<br />Resultado<br />“Error desconocido”“Éxito”<br />“Archivo no existente”“Memoria insuficiente”<br />Estructuras Cíclicas:<br />Para-Siguiente (For-Next)<br />Hacer-Mientras <Condición=cierta>…Repetir (Do While…Loop)<br />Hacer-Hasta <Hasta condición se cumple>……Repetir (Do Until…Loop)<br />Se llaman problemas repetitivos o cíclicos a aquellos en cuya solución es necesario utilizar un mismo conjunto de acciones que se puedan ejecutar una cantidad específica de veces (pasos).<br />Esta cantidad puede ser fija (previamente determinada por el programador) o puede ser variable (estar en función de algún dato dentro del programa).<br />Cada uno de estos ciclos se verá más adelante en el capitulo: “Como utilizar el lenguaje Visual Basic”.<br />Ciclos con un número determinado de pasos: Para – Simple (For-Next). Son aquellos ciclos en el que el número de pasos se conoce antes de ejecutarse el ciclo.<br />Se utiliza para repetir cierto número de acciones determinadas veces. La forma de estructura es la siguiente:<br />Donde:V.C. –Variable de control de cicloL.Ia –Limite inferiorL.S. –Límite superiorPara V.C. = L.Ia L.S.Acción1Acción2. .AcciónNSiguiente V.C.<br />Importante: Los ciclos para-siguiente son únicos porque pueden contar.Por ejemplo:<br />Hacer un programa que pregunte y escriba la pantalla el nombre de tres usuarios utilizando el ciclo para-siguiente.<br />El mismo programa sin el ciclo:InicioPreguntar NombreEscribir NombrePreguntar NombreEscribir nombrePreguntar nombreEscribir nombreFin<br />Inicio<br />For Contador =1 to 3<br />Preguntar Nombre<br />Escribir nombre<br />Siguiente contador<br />Fin<br />Importante: como puede observar los ciclos hacen que el programa sea más ordenado, más corto y fácil de leer. Debe utilizar los ciclos siempre cuando sea posible.<br />Hacer-Mientras <Condición=Cierta>…Repetir (Do While…Loop)<br />Esta es una estructura que permitirá un proceso de determinadas veces, mientras la condición se cumpla (es cierta). En el momento en que la condición ya no se cumpla el ciclo deja de repetirse.<br />Hacer Mientras <Condición se cumple><br />Acción1<br />Acción2<br />.<br />.<br />AcciónN<br />Repetir<br />O<br />Repetir<br />Acción1<br />Acción2<br />.<br />.<br />AcciónN<br />Repetir hasta <Condición se cumple><br />Nota: Es importante diseñar bien los ciclos para evitar hacer ciclos sin fin. Si la condición se cumple (es cierta) siempre los ciclos nunca terminaran y el programa se congelara. Para evitar entrar en ciclos sin fin siempre hay que proporcionar un punto de salida en cada ciclo.<br />Do Until Y>0Y= Y-1LoopEjemplo de ciclo Sin Fin:<br />Si el valor de Y al principio es igual a 0 este ciclo nunca terminara ya quey se convierte mas y mas negativo con cada ciclo.<br />Ejemplos y ejercicios de algoritmos<br />Ejemplo No.1<br />Diagrama de flujo condicional donde se verifica la condición y los siguientes pasos depende de ella.<br />Salir del programaImprimir el ResultadoP = P - 10¿Es P>100?P = G - VV= 3.14 * R ^ 2 * HDefinir las variablesV, H, R, P, GContador = Contador + 5Salir del ProgramaImprimirContadorContador<100Contador = 0<br />HISTORIA DEL LENGUAJE VISUAL BASIC<br />-289560104775El lenguaje original Basic fue creado por John Kemeny y Thomas Kurtz en 1963. El se popularizo rápidamente para enseñanza de programación en los colegios y universidades y fue adaptado para su uso en las computadoras personales por Bill Gates a mediados de los años 70. Desde entonces han existido varias versiones de Basic como QuickBasic y MS DOS QBasic. BASIC proviene de la abreviatura de de Beginner’s. El lenguaje Visual Basic 1.0 fue creado en 1991 para el ambiente DOS y el ambiente de Visual Basic ha crecido y ahora cuentan con millones de usuarios en todo el mundo. En 1986 Alan Cooper quien estaba trabajando creando programas para Windows desarrollo una nueva idea e izo un prototipo del programa Tripod en la cual vendió a Microsoft. Algunas de las nuevas características fueron por ejemplo dibujar diferentes formas de objetos con un solo arrastre del ratón cuando un diseño casual y mostrando la parte visual del programa de Visual Basic. A sí que fueron introducidas las formas de Visual Basic y usadas con el lenguaje de programación Quick Basic. El resultado de este uso mutual fue la nueva aplicación llamada Thunder-la primera herramienta mundial de aplicación rápida. El producto fue introducido al mercado a un precio bajo, cual convendría a los usuarios comprarlo, en vez de desarrollar nuevas aplicaciones por si mismo lo que exige muchos refuerzos. En este caso los usuarios no se enfocaron tanto a programar si no a las ideas y soluciones especificas para promover cualquier negocio. Más tarde fue desarrollada la aplicación profesional de Visual Basic que tienen más posibilidades y herramientas empleadas para los profesionales. Esta aplicación tuvo un éxito tremendo.<br />En 1992 apareció el Visual Basic 0.2 que respondía a las necesidades del mercado mundial. Este producto se comercializo en sus versiones Estándar y Profesional con una mejor presentación y con mayor capacidad para crear aplicaciones más sofisticadas. <br />La versión VB2 incluyo soporte de acceso y control de datos brindando la posibilidad de crear aplicaciones para grandes bases de datos. El VB avanzado incluyo una función para utilizar los mensajes de Windows para las formas y controles de Visual Basic.<br />La Ventana de Propiedades de Visual Basic 2.0 <br />El Visual Basic 3.0 fue lanzado al mercado solo seis meses después de Visual Basic 2.0, en 1993, combinando el motor de búsqueda de datos de la base de datos de Microsoft Access 1.1 con un conjunto nuevo de controles de datos. Por primera vez se pudieron mostrar datos extrayéndolos de una variedad de formularios del cliente.<br />El lenguaje competidor de Visual Basic es Borland Delphi que fue creado en 1995.<br />En el mismo año se desarrolló la versión 4.0 de Visual Basic cual fue utilizada por más del 30% de las compañías que empleaban lenguajes de programación e incluía nuevas posibilidades para el control remoto de los datos. En esta versión se cambió la programación de 16 a 32-bits, se agregó un soporte de aplicaciones de 32 bits con Windows 98 y Windows NT. Así mismo se agregaron interfaces de 32 bits a las formas de Visual Basic (que costaban mucho trabajo a los programadores) y también nuevas herramientas como Visual SourceSafe y el servidor SQL.<br />En 1996 apareció Visual Basic 5.0 que soporta la creación y la edición de controles del cliente, lo que significa que los usuarios pueden crear controles específicos (ActiveX) utilizando solo Visual Basic.<br />La versión Visual Basic 6.0 (1998) es la última versión disponible e incorpora todos los elementos del entorno Windows como ventanas, cajas de texto, botones, barras de desplazamiento, imágenes, gráficos, etc. Con pocas aplicaciones con el ratón e introduciendo algunos datos con el teclado se puede disponer de las aplicaciones de Windows. Este lenguaje es un lenguaje de cuarta generación. Los lenguajes como Visual Basic y Delphi están orientados al diseño y al uso de objetos.<br />Algunas nuevas características de Visual Basic 6.0 son:<br />Compilador más rápido<br />Nuevo ActiveX para control de los objetos<br />Permite la integración de la base de datos con gran variedad de aplicaciones<br />Nuevo diseñador de reporte de datos<br />Nuevo programa de paquetes y despliegue de ventanas<br />Habilidades adicionales de comunicación con Internet<br />Hoy en día, el resultado del trabajo del equipo de programadores de Visual Basic aumentaron sus posibilidades introduciendo la nueva generación – Visual Basic. NET que tiene acceso total a Microsoft.NET. Esta poderosa Herramienta se emplea para generar varios servicios y aplicaciones no solo locales sino de Internet – WEB con nuevas formas, objetos, gráficos, etc., para la protección de las aplicaciones y los programas. Visual Basic.NET maximiza la productividad de los programadores, utilizando un nuevo explorador de servidor –Server Explorer, una lista de tareas compartida, Task List; macros personalizados, ayuda dinámica, sintaxis simplificada y flexible, nuevos diseños gráficos y otras mejoras continuando la tradición del rápido desarrollo de aplicaciones que hizo tan exitoso el uso de Visual Basic.<br />La edición empresarial de Visual Basic permite a los profesionales crear sólidas aplicaciones distribuidas en un entorno de equipo. Incluye todas las características de la Edición Profesional, así como el Administrador de automatización, la Galería de objetos, las herramientas de administración de bases de datos, el sistema de control de versiones orientado a proyectos Microsoft Visual SourceSafe, etc.<br />Los cambios del lenguaje durante los años están relacionados no solo con las necesidades de los usuarios sino con los cambios fundamentales y el desarrollo de Windows. Mucho del éxito de Visual Basic se debe a los programadores que desarrollan nuevos programas con esta herramienta.<br />Comenzando como una idea Visual Basic, creció durante los años y ya es indispensable para los usuarios de todo el mundo –es líder en el mercado de programas y productos software, incrementando las posibilidades y la productividad de las empresas que lo utilizan.<br />PORQUE SE UTILIZA VISUAL BASIC<br />Utilizando Visual Basic podemos escribir varios programas con diferentes aplicaciones para las empresas que trabajan en diferentes ramos de la industria, bancos, medicina, comercio, negocios, enseñanza en las escuelas y universidades. Visual Basic 6.0 permite crear aplicaciones para Windows 95/98, 2000, Windows XP, Windows NT y Windows Millennium que ahora se utilizan en las computadoras en todo el mundo. Todo esto nos muestra que es muy importante aprender este programa y crear programas pequeños basados en el lenguaje Visual Basic.<br />IV. COMO TRABAJAR CON EL PROGRAMA VISUAL BASIC<br />COMO FUNCIONA UNA APLICACIÓN DE VISUAL BASIC<br />Las aplicaciones creadas en Visual Basic, están controladas por eventos. Esto significa que al ocurrir un evento (por ejemplo se presiona un botón de control o se escribe algo) el programa busca los códigos correspondientes de las instrucciones de estos códigos.<br />Los tipos de eventos reconocidos por un objeto varían, pero muchos tipos son comunes a la mayoría de los controles Por ejemplo varían, pero muchos tipos son comunes si un usuario hace clic en un menú, se ejecuta el código el procedimiento de evento Click sobre el menú; si un usuario hace clic en un botón de comando. El código en cada caso será diferente. (Para más información vea los tipos de eventos mostrados en el Apéndice II).<br />A continuación se muestra una secuencia la ventana (formulario)<br />Se inicia la aplicación, se carga y se muestra la ventana (formulario)<br />La aplicación recibe un evento. El evento puede estar causando por el usuario (por ejemplo presionar una tecla), por el sistema (un evento de cronometro) o, de forma indirecta, por el código (un evento Load (cargar) cuando el código carga un formulario).<br />La aplicación ejecuta el código.<br />La aplicación espera el evento siguiente.<br />2. PASOS PARA CREAR UNA APLICACIÓN DE VISUAL BASIC<br />Decir que desea que haga la computadora-usualmente que la computadora solucione un problema.<br />Decidir cómo va a aparecer la aplicación en la pantalla-su diseño llamado interfaz del usuario.<br />Dibujar todas las partes de interfaz de usuario como cajas de texto, etiquetas, botones, cajas de dialogo, menús, etc.<br />Definir sus propiedades-nombres, tamaño, color, color del fondo, etc.<br />Escribir el código de Basic (el programa Basic) que contiene todas las instrucciones (comandos) que indican a la computadora que hacer si ocurre un evento sobre alguno de los objetos del interfaz del usuario.<br />Copilar y ejecutar la aplicación <br />Depurar el programa y corregir los errores.<br />Escribir la documentación (documentos con explicaciones para el uso del programa para el usuario).<br />Distribuir la aplicación si así lo decide<br />Los conceptos mas utilizados en VB son los siguientes: ventana (windows) – se trabaja a traves de ventanas que se despliegan en la pantalla; codigos define las caracteristicas y las instrucciones, etc. Y llevan a cabo la comunicación entre el sistema operativo y la ventana, o de una ventana a otra; eventos relacionados con el teclado y el movimiento del raton (se explica mas adelante).<br />ESTRUCTURAS DE UNA APLICACIÓN DE VISUAL BASIC<br />Modulo 1 (.BAS)FORMULARIO 3(.FRM)Control 3Control 2Control 1FORMULARIO 2(.FRM)FORMULARIO 1(.FRM)<br />Control 2Control 1Control 3Control 2Control 3Control 1<br />PROYECTO<br />Un PROYECTO es un conjunto de archivos (modulos) y procedimientos que se usan para generar una aplicación. Para crear una aplicación de visual basic, se trabaja con proyectos. <br />El nombre del proyecto es ProjectName.vbp donde al lugar de ProjectName puede poner cualquier nombre y la extension .vbp significa Proyecto Visual Basic (Visual Basic Project).<br />La aplicación que se llama PROJECT (proyecto) contiene:<br />Forms - Formularios<br />Controls -Controles<br />Properties -Propiedades<br />Methods -Metodos<br />EventProcedures -Procedimientos de un evento<br />GeneralProcedures - Procedimientos Generales<br />Modules -Modulos<br />Cada uno de ellos explica a continuacion:<br />FORMULARIO<br />-13906543815El formulario es una ventana de Windows que se utiliza para crear la interfaz de usuario (la vista de nuestra aplicación) cuando abrimos Visual Basic se abre un formulario que se llama Form1. Se llama formulario porque al igual que un formulario de papel contiene texto escrito, lugares donde podemos escribir o dibujar figuras, cajas donde podemos elegir una u otra opcion, etc.<br />Ejemplo de un formulario para una aplicación industrial.<br />Este formulario reproduce el panel de control, un transmisor- receptor de radio. Observa que dentro del formulario existen gran 3956685-310515cantidad de objetos (controles)- botones, que hacen la misma funcion que un control real en el equipo de radio, y un par de pantallas, que muestran un texto, en este caso las frecuencias de transmicion y recepcion.<br />OBJETO<br />Un objeto puede ser un control o un formulario y tiene asociado un conjunto de metodos, eventos y propiedades.<br />CONTROLES<br />5690235140335<br />222885103505<br />Todos los objetos que se dibujan (escogiendolos del cuadro de herramientas, haciendo clic sobre la forma y arrastrando el raton, sin soltar el boton) se llaman controles. Ejemplo: una caja de texto (TextBox) en la cual podremos escribir texto es un objeto. Un boton o una etiqueta tambien son objetos.<br />Los objetos (controles) maas utilizados para diseñar en el formulario se muestra en el Cuadro de Herramientas que aparece en la ventana principal del programa de VisualBasic<br />EVENTOS<br />Los eventos son acciones que se pueden realizar en cualquier control: presionando un teclado, un click, un doble click, moviendo el raton, etc. Esto es algo que puede ocurrir al objeto. A estos eventos se le puede asociar codigo para que se ejectute al producir el evento. Cada vez cuando sucede un evento de manera que se manda un mensaje al sistema operativo que reaciona de acuerdo con el mensaje. El Procedimiento es la respuesta por parte del objeto, al evento que se le esta sucediendo.<br />Ver el apéndice II- tipos de eventosUn programa de VisualBasic es un POE (Programa Orientado a Eventos). Todo lo que hacemos en un programa de visual basic esta generado por medio de eventos.<br />PROPIEDADES<br />Ver el apéndice II- Algunas de las PropiedadesUna propiedad es la caracteristica o el valor que contiene un objeto tales como el color, estilo de letras, tamaño, etc. Las propiedades del objeto se escogen o cambian desde la ventana de propiedades explicada mas adelante.<br />METODOS<br />Los metodos son funciones o procedimientos internos que se llaman para realizar una accion sobre un objeto determinado.<br />Algunos ejemplos de metodos son: Print (imprimir), Line (dibujar una linea), Circle (dibujar un circulo), Show (mostrar). Se desea aparecer en la ventana de su aplicación “Hola, ¿Cómo estas?”, debe de usar el siguiente metodo -> Print “Hola, ¿Cómo estas?” que por ejemplo puede corresponder al evento clic sobre el formulario Form1. La aplicación sera como se muestra debajo y se aplicara mas adelante.<br />219456059690<br />Private Sub Form_Click()<br />Print “Hola, como estas?”<br />End Sub<br />Algunos metodos tales como: additem (agregar articulo), Clear (borrar), Close (cerrar), Copy (copiar), Move (mover), Help (ayuda) NewSearch (nueva busqueda), Execute (ejecutar). Open (abrir) Reset (reiniciar), Save (guardar), Show (mostrar), etc. Se muestran en el Apendice I<br />FUNCIONES Y PROCEDIMIENTOS<br />El Procedimiento (subprograma) es un conjunto de codigos que se ejecuta cuando sucede un evento sobre un control u objeto, por ejemplo: Command1_Clic- al hacer clic sobre el boton con nombre Command1 el programa reacciona dependiendo del codigo escrito. Esta reaccion se llama procedimiento.<br />Para que un evento no produzca ningun efecto, basta con dejar sin codigo el procedimiento correspondiente a ese evento. En los eventos que desea que realicen alguna operación, debe escribir en su procedimiento el codigo necesario para que esa operación se realice. Estos procedimientos se llaman PROCEDIMIENTOS DE UN EVENTO y dependen de un evento que se realiza.<br />Para no escribir muchas veces el mismo codigo para acciones que se repiten, puede escribir el codigo de una vez, y crear un procedimiento con un nombre y cuando se ejecuten estos pasos nombrar este procedimiento con: Herramientas – Agregar – Procedimiento- escribir su nombre. <br />Estos procedimientos se llaman PROCEDIMIENTOS GENERALES porque pueden utilizarse de diferentes aplicaciones y contienen codigos no relacionados con un objeto especifico. El codigo del procedimiento debe ser llamado por la aplicación. Se ejecuta solo si se solicita especificamente en la aplicación.<br />Una FUNCION es una forma especial que realiza un procedimiento. En realidad es un procedimiento al que asignamos un o varios parametros con los que realizara una operación y obtendra un resultado para los parametros. Este resultado puede leerse desde otra parte de la aplicación. La funcion regresa el valor del resultado mientras los procedimientos no regresan ningun valor.<br />MODULO<br />los modulos son una colección de procedimientos generales , declaraciones y variables y definiciones de constantes utilizados por la aplicación. Cada modulo contiene procedimientos de eventos, y procedimientos generales. Existen 2 tipos de modulos:<br />1. Modulo estándar (.bas) es un archivo que no está asociado con ningún formulario en particular. Los procedimientos que se encuentran en el modulo pueden ser accedidos desde cualquier otro procedimiento de la aplicación. Por ejemplo: un modulo estándar con funciones matematicas se puede utilizar en distintos proyectos.<br />el modulo estándar puede contener declaraciones públicas o a nivel modulo, constantes variables, procedimientos externos y procedimientos públicos.<br />2. Modulo de clase (.cls) es similar al modulo de formularios, pero no tiene una interfaz de usuario visible. Contiene codigos, incluidos subrutina, funciones, metodos y procedimientos para crear descripciones genericas de objetos. Este modulo contiene propiedades que reciben el comportamiento de una clase asi como el codigo que definen las propiedades y los metodos de la clase, puede usarlo para usarlo para crear sus propios objetos, incluyendo codigos para metodos y propiedades.<br />4. ARCHIVOS QUE SE UTILIZAN EN UN PROYECTO<br />Los archivos son:<br />Un archivo de proyecto -con extension- (.vbp) –(Visual Basic Project)<br />Un archivo para cada formulario - con extension- (.frm) <br />Un archivo de grupo de proyec tos - con extension- (.vbg) -(Visual Basic Project)<br />Un archivo de datos binarios - con extension- (.frx) <br />Opcionalmente, un archivo para cada modulo de clase (.cls)<br />Opcionalmente, un archivo para cada modulo estandar (.bas)<br />Opcionalmente, uno o mas archivos con controles ActiveX (.ocx)<br />Opcionalmente, un unico archivo de recurso (.res)<br />El archivo de proyecto (.vbp) es una lista de todos los archivos y objetos asociados con el proyecto, asi como informacion sobre las opciones de entorno establecidas, esta informacion se actualiza cada vez que guarda un proyecto. Todos los archivos y objetos tambien se pueden compartir con otros proyectos.<br />Cuando ha completado todos los archivos del proyecto puede convertir el proyecto en un archivo ejecutable (.exe): en el menu Archivo, elije el comando general Proyecto.exe. <br />3280410441960Archivo de formulario (.frm) puede contener descripciones en forma de texto del formulario y sus controles, inclu yendo los valores y sus propiedades. Tambien puede contener declaraciones a nivel de formulario de constantes, variables y procedimientos externos, procedimientos de un evento y procedimientos generales.<br />El archivo de grupo (.vbg) contiene una lista de todos los proyectos con sus formularios (objetos y codigos), los modulos, etc. que se encuentran dentro de esta aplicación.<br />Archivo de datos binarios (.frx) se genera automaticamente para cualquier tipo de archivos formularios (.frm) que tenga propiedades en formato binario, como pintura o Icon. Este archivo no se puede modificar.<br /> Ventana que aparece al ajecutar Visual Basic donde se puede escoger – Crear Nuevo, Abrir Existente o Abrir Recientes Proyectos.<br />El modulo de clase (.cls) esta explicando en el capitulo anterior.<br />El modulo estandar (.bas) esta explicado en el capitulo anterior.<br />Los controles Activex (.ocx) son controles que pueden agregar (o quitar) al cuadro de herramientas y se puede usar en formularios.<br />Los archivos de recursos (.res) contiene mapas de bits, cadenas de texto y otros datos que pueden modificar el codigo. Un proyecto solo puede contener un archivo de recursos.<br />5. como ejecutar Visual basic.<br />CREAR O ABRIR UN ARCHIVO DE APLICACIÓN DE VISUAL BASIC<br />El programa de Visual Basic debe ser cargado previamente en su computadora. Pasos a conseguir para crearlo:<br />Ir a Inicio (El boton de Windows en la esquina inferior izquierda de la ventana) y hacer clic.<br />321373574930Ir a Programas y hacer clic<br />Ir a Microsoft Visual Basic 6.0 y hacer clic<br />Esperar que se cargue el programa<br />Escoger EXE estandar y oprimir Open para crear un archivo estandar del programa<br />Aparecera la ventana que se muestra en el siguiente parrafo<br /> Omitir EXE estándar y OpenNota: Visual Basic contiene Asistentes para aplicaciones que facilitan la creacion de apliaciones predeterminada.<br />-15240-62865Pasos para abrir un archivo existente<br />Ir al menú Archivo- Abrir proyecto y hacer clic<br />Se abrirá la ventana de abrir proyecto<br />En esta ventana debe seleccionar el archivo deseado con clic y después presionar el botón Open<br />Si selecciona Recientes se abrirá una lista con los archivos recientemente trabajados<br />VENTANAS Y BARRAS PRINCIPALES DE VISUAL BASIC<br />Ventana de proyecto<br />Ventana del formulario<br />Ventana de las propiedades<br />Ventana del código<br />Ventana de posición del formulario<br />Barra de titulo<br />Barra de menú<br />Barra de herramientas<br />Analicemos cada ventana y barra por separado:<br />Alternar CarpetasVer Código<br />Ver Carpetas3832860-167640La Ventana de Proyecto muestra todos los formularios (Form) y módulos (Module) que se están utilizando en su aplicación<br />La ventana de proyectos se puede abrir con CTRL+R u oprimiendo el icono de la barra de herramientas. En el se muestran todos los archivos del proyecto con cuales trabajamos.<br />La barra de Titulo: Botón de Control, Nombre del Programa, Iconos de Minimizar, Maximizar, Cerrar o Salir. <br />144208583185Presionando el botón de control aparece el menú de control.<br />-272415260350La Ventana de Formularios – Form es la ventana central donde se puede desarrollar (dibujar) la aplicación en Visual Basic.<br />NOTA: En la esquina derecha superior se localizan los iconos del control de la ventana.Con los iconos puede minimizar, maximizar (restaurar), cerrar la ventana del programa. si presiona el icono minimizar, la ventana se volverá pequeña y se mostrara debajo en la forma de un rectángulo. Con otro clic sobre el icono restaurar la ventana se abrirá de nuevo. <br />La ventana de propiedades se utiliza para establecer los valores iniciales de las propiedades de los objetos al inicio del trabajo.<br />Se abre automaticamente, desde el menú Ver , con la tecla con F4 o bien oprimiendo el icono de la barra de herramientas.<br />3937635-291465Las propiedades son las caracteristicas que posee un ob jeto o un formulario. Por ejemplo: el color de fondo del formulario, la fuete de texto en el Cuadro de Texto, el tamaño, etc. En es ta ventana se muestran las propiedades del objeto que esta seleccionado en el momento.<br />Las propiedades se muestran por categoria o en orden alfabetico. Pueda modificar una propiedad con clic sobre la propiedad de la columna izquierda y escri biendo en la columna cuadro deracha o bien si aparece el triangulo de opciones o el icono de Especificar (tres puntos) con clic sobre ellos se puede escoger de lasvaria opciones o especificar el valor deseado. <br />3413760128905<br />La ventana de Codigo se utiliza para escribir el programa (Codigo) que indica a la computadora que hacer si ocurre un evento. Pôr ejemplo: si se presionas un boton. <br />Se ab re c on la tecla F7.<br />Nota: el codigo escrito por el usuario aparece con letras negras y las palabras claves en Basic en azul. En la parte izquierda superior aparacen los diferentes objetos del formulario y en la parte derecha se muestran los difeentes eventos que corresponde al objeto seleccionado.<br />118110167640<br />La Ventana Posicion de Formularios se muestra donde (en la ventana del monitor) aparecera su formulario cuando se ejecuta el programa. <br />Se puede abrir desde el menu Ver o oprimiendo el icono de la Barra de Herramienta<br />La Barra del Titulo muestra el nombre del proyecto<br />La Barra de Menu muestra los menus del Visual Basoc<br />La Barra de Herramientas se utiliza para acceso rapido a las herramientas mas utilizadas<br />Nota: Muchas de las ventanas se pueden Acoplar (Pegar al borde de la pantalla). Al hacer doble clic sobre la barra de titulo las ventanas se pegan (Acoplan) o despegan de los bordes. Al hacer clic derecho sobre su barra de titulo aparecera el menu donde puede definir si una ventan es o no acoplable.<br />ESCRIBA LAS RESPUESTAS A LAS PREGUNTAS EN SU CUADERNO.<br />¿Qué Pasara si apagan su computadora antes de salir de Visual Basic?<br />¿Cuál es la ventana de Visual Basic que se utiliza para establecer fondo de un aplicación?<br />¿Por qué el menu de Visual Basic es familiar para los usuarios de Windows<br />¿Por qué algunas veces ciertas instrucciones de los menus de Visual Basic o ciertos botones estan en gris y que significa eso?<br />7. BARRA DE MENUS DE VISUAL BASIC<br />Muchas de las funciones que se encuentran en la barra de menus se pueden realizar con los iconos que se encuentran en las Barras de Herramientas o con las Teclas de Acceso Rapido.<br />¿Qué son las teclas de acceso rapido? Es la combinacion de dos o mas teclas que son asignadas para alguna funcion especifica, las mas utilizadas son: CTRL, ALT, SHIFT mas (+) otra tecla. Muchas de las funciones de Visual Basic tienen teclas de acceso rapido. Por ejemplo, para abrir archivos que se usan CTRL+O. las teclas de acceso rapido estan escritas en la parte derecha de los menus enfrente de la funcion que tiene. Es mas rapido utlilizarlas.Cuando el comando de la barra de menus esta de color gris significa que no lo puede utilizar por alguna razon. Solo puede utilizar los comandos negros o de color.<br />-1390652736857.1 Menu de Archivo Al hacer un clic sobre Archivo se abrira el menu:<br />Nuevo proyecto para comenzar a diseñar un nuevo proyecto o abrir un asistente.<br />Abrir proyecto para abrir un proyecto existente<br />Agregar proyecto para agregar un proyecto nuevo existente o reciente al proyecto actual<br />Quitar proyecto Para quitar un proyecto<br />Guardar proyecto Para guardar un proyecto<br />Guardar proyecto como para guardar un proyecto indicando su nombre<br />Guardar Form1 Para guardar el formulario<br />Guardar Form1 como Para guardar un formulario por primera vez dandole un nombre<br />Guardar selección Para guardar una selección<br />Guardar secuencia de cambios para guardar una secuencia de cambios efectuados<br />Imprimir se utiliza para imprimir el modulo, el proyecto actual, la imagen del formulario, el codigo o el formulario como texto, etc.<br />Configurar impresora: se utiliza para escoger el tipo de impresora, la orientacion del papel (vertical u horizontal) y el tamaño del papel, etc.<br />Generar el proyecto1. Exe Convierte el proyecto1 del programa de Visual Basic en un archivo ejecutable (con extension.exe) para utilizar esta opcion es necesario que el programa que tenga acceso a bibliotecas de Windows con extensiones (.dll) – Dinamic Link Library, (.vbx), etc. La version estudiantil no tiene esta opcion.<br />Generar grupo de proyectos: se utiliza para generar ejecutables para un grupo de proyec tos<br />1…..3…..muestra los nombres de los ultimos 4 proyectos utilizados. De aquí puede abrir <br />2…..4…..cualquiera de ellos haciendo clic sobre el nombre del documento.<br />4337050-81915Salir Se utiliza para salir del programa . si no ha guardado la aplicación Visual Basic pregunta “ Guardar los cambios de los siguientes archivos?”. Debe escoger SI o NO, dependiendo de lo que se desee y dar nombre de los archivos de Gruppo (.vbg) de Proyecto (.vbp) y de Formulario (.frm)<br />7.2 Menu Edicion Al hacer clic sobre edicion se abrira este menu<br />22860173990<br />Deshacer para regresar un paso (accion o cambio) atrás.<br />Rehacer para ir un paso adelante despues de utilizar deshacer. Cuando esta gris ya no tiene mas pasos adelante<br />Cortar se utiliza para borrar la informacion, el control o texto seleccionado.<br />Copiar se utiliza para copiar informacion o el control seleccionado en la memoria temporal para pegarlo en el lugar deseado<br />Pegar se utiliza para pegar la informacion o el control de la memoria temporal al lugar seleccionado.<br />Pegar vinculo se utiliza para hacer vinculos con otros programas o partes del mismo<br />Quitar se utiliza para borrar el texto solo cuando hay un modulo activo<br />Eliminar se utiliza para eliminar el control y el texto seleccionado<br />Eliminar tabla de la base de datos se utiliza para borrar una tabla de la base de datos<br />Seleccionar todo se utiliza para seleccionar todas las columnas. Se usa poco<br />Tabla se utiliza para insertar o borrar columnas en la tabla o establecer la clave principal<br />Buscar se utiliza para buscar un texto deseado en el procedimiento<br />Buscar Siguiente se utiliza para buscar mas adelante el mismo texto en el procedimiento<br />Reemplazar utiliza para remplazar un texto con otro especificado en el procedimiento<br />Aplicar sangria se utiliza para aumentar la sangria (a la derecha) cuando se escribe el codigo de visual basic<br /> Anular sangria se utiliza para borrar la sangria (ala izquierda) cuando se escribe el codigo de visual basic<br />Insertar Archivo se utiliza para insertar un archivo (.txt, .bas o .cls) cuando se escribe el codigo de Visual Basic<br />5052060217170Mostrar propiedades y metodos se utiliza para mostrar las propiedades o metodos del control (en la ventana codigo). Ejemplo: <br />Mostrar constantes: se utiliza para mostrar las constantes utilizadas en la aplicación. (en la Ventana Codigo)<br />Informacion rapida se utiliza para mostrar una informacion rapida de las variables: funcion, procedimiento o metodo del lugar donde se encuentra el cursor.<br />Informacion de parametros se utiliza para mostrar informacion sobre los parametros de la funcion del lugar donde se encuentra el cursor<br />Palabra completa se utiliza para completar la palabra de una instrucción automaticamente<br />Ir a la fila se utiliza para ir a diferentes lineas del programa<br />Marcadores se utiliza para poner marcadores en diferentes lineas del programa<br />7.3 Menu Ver al hacer clic sobre edicion se abrira el menu ver<br />Codigo abra la ventana de codigo para ver el codigo de la aplicación<br />Objeto se utiliza para ver el formulario seleccionado<br />Definicion se utiliza para mostrar el lugar de la ventana codigo en el cual se define la variable o el procedimiento sobre el cual esta el cursor<br />Ultima posicion se utiliza para ver la ultima linea en el codigo donde ha estado ocurriendo anteriormente<br />Examinador de objetos se utiliza para mostrar las claves de los objetos y sus funciones. Dan la relacion entre las diferentes bibliotecas, metodos, propiedades, eventos, etc. Tiene la opcion de busqueda<br />2842260124460<br />Ventana inmediato se utiliza para abrir la ventana inmediato donde se puede ver informacion de la depuracion del codigo<br />Ventanas locales se utiliza para abrir las ventanas locales donde se pueden moritorear los valores de las variables actuales<br />Ventana inspeccion se utiliza para abrir la ventana de inspeccion y muestra las expresiones de la inspeccion actual<br />En el capitulo “Ejecutando y depurando un programa” se explica como se utilizan estas 3 ventanas.<br />22860-4445<br />Pila de llamadas muestra en un cuadro de dialogo las llamadas que estan activadas en el momento<br />Explorador de proyectos se utiliza para abrir la ventana de proyectos<br />Ventana propiedades se utiliza para abrir la ventana propiedades<br />Ventana posicion del formulario se utiliza para abrir la ventana posicion del formulario<br />Paginas de propiedades se utiliza para ver de paginas del objeto seleccionado<br />Tabla se utiliza para ver las propiedades de la tabla <br />Zoom se utiliza para ver las ventanas de diferente aumento y disminucion<br />Mostrar Paneles para ver los paneles de cuadriculas, diagramas, resultados, etc.<br />Cuadro de Herramientas se utiliza para mostrar el cuadro de herramientas<br />Ventana de la Vista de datos para ver la ventana de Vista de Datos donde se muestra la vinculación de diferentes datos, conexiones de entornos de datos.<br />Paletas de Colores se utiliza para abrir y ver la paleta de colores<br />Barra de Herramientas muestra las barras de herramientas.<br />Depuración- contiene iconos que también se pueden encontrar en los menús de Ver y Depuración.<br />Edición- contienes iconos que también se pueden encontrar en los menús Edición y Depuración. Los nuevos iconos son Bloque con comentarios – agregar caracteres de comentarios al inicio de las líneas de texto seleccionado.<br />Editor de formularios- contiene iconos que también se pueden encontrar en los menús Formato. Se utiliza para ordenar los objetos en el formulario poniéndolos detrás o delante uno de otro, centrarlos, alinearlos a la derecha o izquierda en el formulario, alinearlos horizontalmente o verticalmente, bloquearlos si es necesario.<br />Estándar- explica con detalles mas adelante.<br />Visual Component Manager despliega la ventana de Visual component Manager donde se pueden ver los componentes de la Base local del Datos.<br />7.4 Menú Proyecto Al hacer clic sobre Proyecto se abrirán este menú.<br />-224790165735<br />Agrega formulario agregar un formulario al proyecto.<br />Agregar formulario MDI (Interfaz de documento múltiple) agregar un formulario MDI<br />Agregar módulo agregar un módulo al proyecto.<br />Agregar módulo de clase agregar un módulo de clase<br />Agregar Control de Usuario agregar un control de usuario.<br />Agregar página de propiedad se utiliza para agregar un documento del usuario.<br />Agregar documento de usuario se utiliza para agregar un documento del usuario.<br />Agregar Página DHTML para agregar una página DHTML (para página WEB)<br />Agregar Data Report para agregar un documento Data Repot<br />Titulo del Reporte.<br />139446017780<br />Titulo de la Página.Detalles.<br />Agregar webClass agregar proyecto de librería .DLL (Dynamic Link Librery – librería con vinculación dinamica).<br />Agregar Microsoft UserConnection Agrega una coneccion de usuario escribiendo su nombre, contraseña, etc. Se encuentra en Más diceñadores ActiveX.<br />Agregar diceñadores ActiveX Abre una ventana de DataEnvironment – Connection donde se debe el codigo de conexión. Los controles ActiveX son una colección grande de archivos con conexión (.ocx) que presenta controles indivicuales o una colección de controles organizados para alg unos temas particulares como animación, imágenes, barra de estatus, lista de textos, herrramientas, etc. Y que se puede utilizar para dar una vista mas profesional a su aplicación.<br />Agregar archivo abre la ventana de agregar archivo debe mostrar la ruta hacia a el archivo que desea agregar. Se puede agregar archivos .frm, .bas, .res, … <br />Quitar from1 quitar (remover) el formulario from1 u otros formularios seleccionados.<br />Referencias Muestra las librerias de preferencias disponibles que pueden utilizar<br />Competencias Se utiliza para agregar diferentes controles al cuadro de herramientas (explicado mas adelante)<br />Propiedades del Proyecto1 despliega la ventana de propiedades del proyecto donde se puede especificar el nombre, tipo, numero de version, archivo de ayuda, tipo de compilacion, depuracion, etc. Del proyecto actual.<br />7.5 Menu formato Al hacer clic sobre el formato se abrira el menu<br />557593513970<br />-167640-3810Alinear se utiliza para alinear o centrar los objetos seleccionados<br />3743325104775Igualar tamaño se utiliza para hacer los objetos seleccionados del mismo ancho y alto o ambos.<br />4133850260350Ajustar a tamaño a la cuadricula se utiliza para que el objeto se pegue a las lineas de la cuadricula<br />Espacio Horizontal se utiliza para cambiar o igualar, aumentar, disminuir el espacio horizontal entre varios objetos seleccionados<br />5880735132715<br /> Espacio Vertical se utiliza para cambiar, aumentar, disminuir el espacio vertical<br />3718560278130Centrar en el formulario se utiliza para centrar el objeto u objetos seleccionados en el formulario horizontalmente o verticalmente<br />5071110300990Orden se utiliza para ordenar los objetos sobrepuestos y decidir si enviarlos al fondo o traerlos al frente<br />Bloquear controles se utilizan para bloquear los controles.<br />7.6 Menu depuracion Al hacer clic sobre el depuracion se abre este menu<br />2286038735<br />Paso a paso por instrucciones ejecuta la aplicación paso a paso por instrucciones<br />Paso a paso por procedimientos ejecuta la aplicación paso a paso por procedimientos<br />Ejecuta hasta el cursor se utiliza para ejecutar el codigo hasta el punto donde se encuentra el cursor<br />Agregar inspeccion se utiliza para agregar puntos de inspeccion a la ventana de Inspecciones.<br />Modificar inspeccion se utiliza para modificar la inspeccion seleccionada<br />Inspeccion Rapida aparece la ventana de inspeccion rapida donde se muestra el valor de la variable sobre el cual esta el cursor<br />Alternar puntos de interrupcion se utiliza para insertar los puntos de interrupcion<br />Borrar todos los puntos de interrupcion se utiliza para borrar todos los puntos de interrupcion insertados en el codigo<br />Establecer siguiente instrucción se utiliza para establecer la siguiente linea del codigo del procedimiento que se va a ejecutar<br />Mostrar siguiente instrucción se utiliza para mostrar la siguiente linea del codigo que se va a ejecutar<br />7.7 Menu ejecutar Al hacer clic sobre el ejecutar se abrira este menu<br />22860-3810Iniciar Para comenzar la ejecucion de la aplicación<br />Iniciar con compilacion completa Para comenzar la ejecucion de la aplicación y hacer la compilacion de la misma<br />Interrumpir se utiliza para detener la aplicación en medio de la ejecucion<br />Terminar se utiliza para terminar la ejecucion de la aplicación<br />Reiniciar se utiliza para reiniciar (empezar desde el principio) la ejecucion de la aplicación.<br />7.8 Los menus consulta y diagrama estan relacionados con el manejo y creacion de bases de datos (no discutidas en el materia). Este libro se enfoca en la aplicación de las aplicaciones simples y de manejo de entorno de Visual Basic.<br />7.9 Menu herramientas Al hacer clic sobre herramientas se abrira el menu<br />2286075565<br />Agregar procedimiento agregar un nuevo procedimiento, funcion evento o propiedad dandole nombre<br />Atributos del procedimiento se utiliza para ver o modificar los atributos y propiedades del procedimiento<br />Editor de menus abre una ventana desde la cual se puede crear, diseñar o modificar un menu de formulario nuevo o existente<br />Opciones se utiliza para modificar las diferentes opciones de visual basic, como opcines de codigo, de ventanas, acoples, entorno, etc.<br />Publicar se utiliza para abrir un asistente de publicacion de Visual Componet Manager.<br />3089910218440SourceSafe se utiliza para crear, agregar, ejecutar en SourceSafe y configurarlo. (base de datos de codigo y otros archivos)<br />228603282957.10 menu complementos Al hacer clic sobre complementos se abrira este menu:<br />Administrador visual de datos abre la ventana de VisData con la cual se pueden crear, examinar o vincular diferentes bases de datos.<br />1838325382270Administrador de complementos abre la ventana de administrador de complementos donde se puede ver los complementos y especificar cuales componentes carga y cuales no.<br />7.11 Menu ventana Al hacer clic sobre ventana se abrira este menu:<br />-10096599060<br />Dividir para dividir la ventana codigo en dos ventanas en el lugar donde esta el cursor<br />Mosaico horizontal para arreglar las ventanas horizontalmente<br />Mosaico vertical para arreglar las ventanas verticalmente<br />Cascada para arreglar las ventanas como una cascada<br />Organizar iconos se utiliza para agregar los iconos<br />1…., 2…. Muestra las ventanas disponibles en el momento, puede cambiar la ventana oprimiendo el nombre de la ventana deseada<br />7.12 Menu ayuda Al hacer clic sobre Ayuda se abrira este menu. Se muestra:<br />2286085725<br />Contenido muestra el contenido de la ayuda<br />Indice Muestra la ayuda mostrada en indice<br />Busqueda se utiliza para buscar una informacion, explicaciones de una palabra o concepto desconocido<br />Soporte tecnico da informacion sobre soporte tecnico de Visual Basic<br />Miscrosoft en la Web muestra una linea de paginas Web de Microsoft en Internet<br />Acerca de Microsoft Visual Basic Muestra informacion acerca el Microsof Visual Basic.<br />8. Barra de Herramientas.<br />-24765527050La barra de herramientas contiene los iconos de los comandos mas utilizado, estos facilitan el trabajo ya que se puede acceder al comando deseado con solo un clic. La barra de herramientas se encuentra abajo del menú.<br />192018171615141312111097654312<br />8<br />TerminarAgregar proyecto113475612<br />Explorador de proyectosNuevo Formulario12<br />13<br />Ventana de propiedadesMenu Editor<br />Posicion del formularioAbrir Proyecto14<br />Examinador de objetosGuardar Proyecto15<br />Cuadro de herramientasTareas del editor de codigos16<br />Ventana de la vista de datosDeshacer17<br />Visual Component Manager18Rehacer8<br />Dimensiones de punto inicial del objeto19Ejecutar9<br />Dimensiones de punto final del objeto20Imprimir10<br />Vamos a ver cada uno de ellos por separado:<br /> <br />-con este icono puedes agregar diferentes tipos de proyectos al proyecto actual.-2349501848485-2717801457960-281940981710-310515572135-2819407683553214<br />-agregar un formulario al proyecto<br />-editor de menús, abre la ventana desde la cual puedes crear, diseñar o modificar un menú de un formulario nuevo o existente<br />32766001866904991100996315Triangulo de opciones-abre la ventana de proyecto donde debes escoger el proyecto existente que desea abrir.<br />Guardar un proyecto o grupo de proyectos<br />-2343153056890-224790243776589-22542519996157-2235201399540-2349501065530-234315694690-2343153803656-Cortar- borra un objeto o texto a la memoria temporal de portapapeles.- Copiar- copia un texto u objeto de la memoria temporal del portapapeles.- Pegar- pega un objeto o texto guardado en la memoria temporal de portapapeles- Buscar- busca un texto (código) en el proyecto, modulo o procedimiento<br />-Deshacer- regresa un paso atras<br />-Rehacer – va un paso adelante, después de utilizar deshacer<br />-Ejecutar- comienza la ejecución de la aplicacion<br />Ejecutar la flecha<br />-Interrumpir (Break)- detiene la aplicación en medio de la ejecución.10<br />-17716538620701920-Visual component Manager- muestra la ventana de visual component manager.-262890331914518-Buscador de objetos- busca un objeto por clase.-Cuadro de herramientas- abre el cuadro de herramientas.-Ventana para ver los datos- abre la ventana vista de datos, vinculados de los datos.-Ventana posicion del formulario- abre la ventana de posicion de formulario.-ventana de propiedades – abre la ventana de propiedades.--Explorador del proyecto- abre la ventana del proyecto.--terminar (end) – terminar la ejecuatcion de la aplicación.--2349502795270-2590802414270-2343151966595-1771651585595-1866901137920-234315737870-23431526162013121617151411<br />-Dimensiones de punto inicial y final del objeto- muestra las dimensiones del punto inicial y el punto final un objeto seleccionado sobre un formulario. Si se selecciona un formulario se muestra las dimensiones del formulario seleccionado<br />9. Cuadro de herramientas<br />El Cuadro de herramientas muestra los objetos (controles) que se pueden dibujar o insertar en la ventana del formulario. Puede contener diferentes botones y cuadros y se pueden agregar mas desde el Menu – Proyecto – componentes – Controles. Puede modificar su forma y tamaño de igual manera que las demás ventanas. Normalmente se encuentra del lado izquierdo de la pantalla.<br />Cuadro de dibujo.Puntero- seleccionar objetos.2651760-415290<br />Cuadro de texto.Etiqueta.<br />Boton de comando.Boton de opcion.Caja de selección.Marco.<br />Cuadro combinado.<br />Cuadro de lista.Barra de desplazamiento Vertical.Cuadro de lista de discos.Cuadro de lista de archivos.Objeto datos.Lineas.Vinculación de objetos.Cuadro de imagen.Formas.Cuadro de listas de carpetas.Timer (cronometro).Barra de desplazamiento horizontal.<br />Cada uno de estos controles y su utilización será explicado a detalle mas adeltante<br />9.CUADRO DE HERRAMIENTASEl cuadro de herramientas muestra los objetos (controles) que se pueden dibujar o insertar en la ventana de formulario. Puede contener diferentes botones y cuadros se pueden agregar mas desde el menu-proyecto-componentes-controles. Puede modificar su forma y tamaño de igual manera que las demas. Normalmente se encuentra del lado izquierdo de la pantalla.<br />Cada uno de estos controles y su utilización será explicado a detalle mas adelante.<br />CLIC DERECHO (CON EL BOTON DERECHO) DEL RATON<br />Al hacer clic con el botón derecho sobre un botón, varios controles o código se despliega un menú llamado PopUp menú que contiene las opciones más utilizadas para este objeto. El menú es diferente para los diferentes objetos, texto o propósitos. Puede utilizar estas opciones para trabajar más rápido con los objetos. Abajo su muestra el menú popUp al hacer clic derecho (con el botón derecho) del ratón sobre un control TextBox y sobre el objeto Formulario.<br /> Visual Basic trabaja en tres modos:<br />Modo de Diseño - Design mode - se diseña la aplicación.<br />Modo de Ejecución - Run mode - se ejecuta la aplicación.<br />Modo de Pausa - Break mode - se para la ejecución de la aplicación.<br />y se puede utilizar el depurador (debugger) para corrección de los errores.<br />Inicio – Programas – Microsoft Visual Basic 6.0 click – EXE estándar click – Open.Los Pasos de trabajo son:<br /> BRIR VISUAL BASIC 6.0.<br />ABRIR EL ARCHIVO (PROYECTO)<br />Explicado más adelante.(Nuevo o Existente).<br />DESARROLLAR LA APLICACIÓN.<br />De esta manera podemos ejecutar un programa y checar si contiene errores. Escoger Run – Start o F5.<br />EJECUTAR LA APLICACCIÓN Y<br />CORREGIR LOS ERRORES.<br />Menú: Archivo – Salir – y clic sobre Si para guardar el programa.<br />GUARDAR LA APLICACIÓN Y SALIR<br />DE VISUAL BASIC 6.0.<br />PASOS PARA DESARROLLAR UNA APLICACIÓN.<br />Existen tres pasos para desarrollar (construir) una aplicación:<br />Dibujar la interfaz del usuario,<br />Asignar propiedades a los controles,<br />Agregar código BASIC a los controles o escribir el código<br />de Visual Basic para cada uno de los controles.<br />Ver la ventana de códigoArchivo de formulario 2Archivo de proyecto12. COMO TRABAJAR CON PROYECTOS VISUAL BASICVer objetoEl Archivo de Proyecto guarda todos los diferentes archivos (Formularios) usados en un programa de Visual Basic. En la Ventana de Proyecto se muestra la Lista del contenido del proyecto Actual.Los Archivos del Proyecto tienen extensión .vbp.<br />Para seleccionar el formulario 1 (form 1) u otros deseados se debe hacer doble clic sobre su nombre o escoger el objeto y dar ver objeto.<br />AGREGAR Y BORRAR PROYECTOS<br />Los proyectos pueden agregar desde archivo-agregar proyecto- y escoger el tipo del proyecto que se desea agregar. Para borrar un proyecto debes escoger el proyecto-ir al menú archivo-quitar un proyecto-desea guardar los cambios de los siguientes archivos?-No.<br />GUARDAR UN PROYECTO<br />Para guardar un proyecto debe de ir al menú archivo-guardar proyecto como y darle un clic. Se abrirá la ventana de guardar archivo como donde debe definir el lugar (carpeta,disco,etc). En que desea guardar el proyecto- escribir el nombre del proyecto y oprimir guardar.<br />En esta ventana debe de escoger el lugar donde guardar el proyecto. Con doble clic puede abrir cualquiera carpeta y guardar el proyecto en ella su computadora puede contener otras carpetas. Al final debemos obtenga Save para guardar el proyecto.<br />13. TRABAJO CON FORMULARIOS (FORMS)<br />Los archivos de formularios contienen la interfaz del usuario y el código BASIC que hace trabajar dicho interés. La extensión de los archivos de formularios es frm.<br />La interfaz del usuario contiene objetos como: botones de control, cajas de dialogo, menús, cajas de texto, etiquetas etc., que permitan al usuario interactuar con el programa. También se muestran ventanas en las cuales el usuario puede escoger varias opciones o ver como el programa responde a sus secciones. <br />Un archivo de formulario de un nuevo proyecto se abre automáticamente. Para abrir un archivo de formulario existente debemos primero abrir el proyecto y dar doble clic sobre el nombre del formulario que se muestra en la ventana del proyecto.<br />Desde la ventana de propiedades puede cambiar las propiedades de formulario tales como: el color de fondo, los marcos, su nombre (capitón) etc.<br />CAMBIAR EL COLOR DE FONDO<br />1. Abrir la ventana de formulario y la ventana de propiedades.<br />2. Escoger de la propiedad backcolor<br />3. Oprimir el triangulo de opciones<br />Cuadros de control4. Escoger con clic el color deseado<br />IMPORTANTE: Para cambiar el tamaño del formulario debe hacer clic sobre el-ir ala esquina sobre los cuadros de control, aparecerá una doble flecha-hacer clic y sin soltar el botón, arrastrar el ratón. El formulario se puede cambiar de tamaño solamente hacia la derecha y abajo.<br />14. TRABAJO CON OBJETOS (CONTROLES)<br />A.DIBUJAR UN OBJETOlefttop<br />Para dibujar objetos en el formulario seguir los siguientes pasos:<br />1.Hacer clic sobre el control del cuadro de herramientas que desea dibujar.<br />2. Ir sobre el formulario y hacer clic sin soltar el botón arrastrar el ratón, hasta alcanzar el tamaño deseado al final soltar el botón.<br />3. Mover o cambiar el tamaño y del control como desea.<br />B. SELECCIONAR UN OBJETO<br />Cuando un objeto esta seleccionado (con clic sobre el) decimos que tiene enfoque. Cuando un objeto esta seleccionado con clic en modo diseño alrededor de su marco aparece cuadrados pequeños llamados cuadros de control. <br />Estos cuadros no aparecen cuando se ejecuta la aplicación, sirve para mostrar el objeto seleccionado y para poder cambiar su tamaño. Para seleccionar varios objetos: primero presionar el botón izquierdo del ratón. IMPORTANTE: Debe empezar a seleccionar en un espacio vacio sobre la forma, no sobre un objeto, ya que de lo contrario se seleccionara solo el objeto). Manteniendo el botón presionado mueve el ratón hacia la derecha izquierda arriba, o abajo según lo que se desea. Se forma un cuadro tranparente. Los objetos dentro del cuadrado serán seleccionados al soltar el botón.<br />C. MOVER UN OBJETO<br />Hacer clic sobre el objeto cual desea mover y sin soltar botón arrastrar el ratón donde desea que quede el objetó (aparece una línea medio transparente mostrándose como quedaría el objeto).<br />Al soltar el botón del objeto se moverá.<br />2615565375285Si moviendo el objeto esperamos 3 segundos se mostraran las coordinadas de la posición actual. <br />D. CAMBIAR EL TAMAÑO DE UN OBJETO<br />Para cambiar el tamaño del objetivo debe:<br />Seleccionarlo con clic.<br />Ir a la esquina sobre los cuadros de control hasta que la flecha cambie a doble flecha,<br />Hacer clic sin soltar el botón, arrastrar el raton hasta llegar al tamaño deseado (se trabaja de la misma manera como una imagen)<br />D. BORRAR UN OBJETO<br />Seleccionar el objeto con clic<br />Oprimir la tecla Supr para borrarlo o menú-Edición-Eliminar.<br />F. NOMBRAR UN OBJETO<br />Visual Basic automáticamente pone nombres a los objetos dibujados tales como Command1, Command2, etc. Option1, Option2, que se utilizan para identificar a los objetos. Para identificar fácilmente los objetos es mejor darles nombres descriptivos como cmdExit (botón de comando de salida).<br />Para nombrar los objetos se siguiere poner en frente de su nombre prefijos que nos muestran el tipo del objeto.<br />Para cambiar el nombre de un objeto debe:<br />Seleccionar el objeto con clic sobre el,<br />Escoger de la ventana de propiedades la propiedad Name(nombre)<br />Escribir el prefijo que determina el tipo del objeto y junto a este escribir el nombre del objeto con letra mayúscula<br />Option 129775151583055Arriba en la ventana de propiedades aparecerá el nombre objetivo. <br />IMPORTANTE: Cada objeto tiene su nombre interno y su nombre externo. El nombre interno se utiliza dentro de Visual Basic para llamar este objeto o cambiar alguna propiedad suya en un código. El nombre externo se utiliza para lo que va ver el usuario en su ventana ( el texto escrito dentro de un botón o caja de texto etc.) La propiedad para el nombre interno es NAME y la propiedad para nombre extremo es (titulo) es Caption será explicado mas adelante en el libroLos nombres no pueden tener palabras reservadas, guiones, caracteres especiales como ($), tampoco pueden empezar con números.<br />