Cuaderno de Actividades: Física II




              9) INDUCTANCIA




Lic. Percy Víctor Cañote Fajardo     179
Cuaderno de Actividades: Física II


9) Inductancia
       L ß FENÓMENOS INDUCTIVOS

**
Rß        OPOSICIÓN
Cß       ALMACENAMIENTO DE ENERGÍA
**


L ≡ L(GEOMETRIA, MEDIO)



9.1) Autoinductancia en un                        circuito
    eléctrico


                                             i
                             I
                                              I

                             B       I IND


                                                                 t(10-3)
                                             0               1
                       s

LA INDUCCIÓN NO ES APRECIABLE !




Lic. Percy Víctor Cañote Fajardo                                     180
Cuaderno de Actividades: Física II



L de una bobina o inductor




                                                         l     
                                                   IDEAL  ~ 10 
                                                         D     
                                   i
                                                    **   La inducción de la bobina
                                           L             contrarresta la i generada por
                                                         el circuito.




                          s


                                                               l     
                                                         IDEAL  ~ 10 
                                                               D     
                           l

 D                                     i       A                          N
                                                         B = µ0 ni, n =
                                                                          l
                                           B




              Carácter inductor de la bobina representado por L




Lic. Percy Víctor Cañote Fajardo                                               181
Cuaderno de Actividades: Física II


                dΦB
                  r          dΦB
                               r
ε IND ≡ − N             ≡−              ...(1)
                  dt dt
                       N
Φ B ≡ BA ≡ µ0 niA ≡ µ0 iA
    r
                        l
                  di                                               −ε IND
ε IND ≡ − N µ0 nA                                           L≡
          123 dt                                                 ( di dt )
            N 2 µ0 A
                l
             di
ε IND   ≡ − L ...(2)
             dt

                                dΦB
                                  r              di
à De (1) y (2):   ε IND ≡ − N             ≡ −L
                                   dt            dt


à
  ∫ : Nφ   r
           B
               + c ≡ Li
     t = 0 : φB = 0, i = 0 → c = 0 → NφB = Li
              r                        r




                                             Nφ B
                                                r
                                          L≡
                                              i

**
                                 r
                       φB = ∫ B.da = "Tm 2 " = weber ≡ Wb
                        r




                                           Wb
                                u [ L] ≡      ≡ henry ≡ H
                                            A
**




Lic. Percy Víctor Cañote Fajardo                                             182
Cuaderno de Actividades: Física II



S5P5) Demuestre que la inductancia de un toroide de sección rectangular,
                                                 μ N2hln ( b a )
como indica la figura, viene dada por L ≡ 0                      en donde N es el
                                                     2π
número total de vueltas, a es el radio interior, b es el exterior y h la altura del
toroide.




                                                           b
    y
                                                      a
    z       x                                                                      h

                                                           I




y
        x
                              h
                                                                       B ≡ B( r)
                    B
                    B
    I           X                               I


                                                                   r
                                   0        a       r dr       b
                                       B                                 Ley de Ampere
            x           0                                                    r r
                                                                           Ñ
                                                                           ∫ B.dl ≡ µ0 I 183
                                       dl
                             X
Lic. Percy Víctor Cañote Fajardo
        z               r                                                    C
                               C
Cuaderno de Actividades: Física II



Solución:

                                                µ0 NI
 B  ∫ dl  ≡ µ0 { NI }              B( r) ≡
   C                                            2π r
                        µ0 NIh
φB ≡ ∫ d φ                 dφ ≡  dr                                      b 
                         2π r                                µ0 N 2 h ln  
                                                          L≡             a 
     b
       µ0 NIh      µ0 NIh  b dr 
φB ≡ ∫
                    2π  ∫ r 
              dr ≡                                                2π
     a
        2π r                a

        µ0 NIh  b       Nφ
φB ≡          ln   , L = B
         2π      a       I


9.2) Inductancia mutua
Describe la influencia         de    solenoides    (bobinas)   cuando   interactúan
inductivamente.




                   i1        i2



           dφ
ε 2 ≡ − N 2 21 , φ21 : φ sobre 2 debido a 1
            dt
                                             ^
ε ≡ − N    dφ12
                 , φ12 : φ sobre 1 debido a 2
 1

          1
             dt




Lic. Percy Víctor Cañote Fajardo                                                184
Cuaderno de Actividades: Física II


            di
ε 2 ≡ − M 21 1
            dt
                    ^
ε ≡ − M di2
 1

          12
             dt


En los casos de influencia total los M son iguales,


                              M 21 ≡ M 12 ≡ M
                                         N 2φ21 N1φ12
                                   M ≡         ≡
                                           i1    i2


9.3) Circuitos R-L



                                                  P=VI=RI2.
                              i                   Para el circuito con inductor
                                                  esto no se cumple puesto que
                                                  la corriente I se retarda debido
                                   L              a que se opone el L.




Lic. Percy Víctor Cañote Fajardo                                            185
Cuaderno de Actividades: Física II




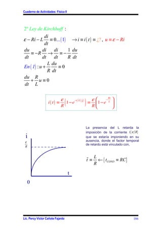
2º Ley de Kirchhoff :
             di
ε − Ri − L      ≡ 0... ( 1) → i ≡ i ( t ) ≡ ¿? , u ≡ ε − Ri
             dt
du          di    di       1 du
    ≡ −R → ≡ −
dt         dt     dt       R dt
               L du
En ( 1) : u +        ≡0
               R dt
du R
   + u≡0
dt L


                             ε
                               (1−e                       ) ≡ R 1 − e
                                                             ε                   
                                                                             Rt
                                         −t L (       )                  −
                   i( t) ≡
                                                  1
                                                                             L
                                                                                  
                                                  R

                             R                                                   



                                                          La presencia del L retarda la
                                                          imposición de la corriente I { ε R}
 i                                                        que se estaría imponiendo en su
 ε                                                        ausencia, donde el factor temporal
                                                          de retardo está vinculado con,
 R



                                                          % L
                                                          t ≡ ← { tCOND ≡ RC}
                                                             R

                                     t
   0




Lic. Percy Víctor Cañote Fajardo                                                         186
Cuaderno de Actividades: Física II




Lic. Percy Víctor Cañote Fajardo     187

Cap 9-inductancia 179-186

  • 1.
    Cuaderno de Actividades:Física II 9) INDUCTANCIA Lic. Percy Víctor Cañote Fajardo 179
  • 2.
    Cuaderno de Actividades:Física II 9) Inductancia L ß FENÓMENOS INDUCTIVOS ** Rß OPOSICIÓN Cß ALMACENAMIENTO DE ENERGÍA ** L ≡ L(GEOMETRIA, MEDIO) 9.1) Autoinductancia en un circuito eléctrico i I I B I IND t(10-3) 0 1 s LA INDUCCIÓN NO ES APRECIABLE ! Lic. Percy Víctor Cañote Fajardo 180
  • 3.
    Cuaderno de Actividades:Física II L de una bobina o inductor l  IDEAL  ~ 10  D  i ** La inducción de la bobina L contrarresta la i generada por el circuito. s l  IDEAL  ~ 10  D  l D i A N B = µ0 ni, n = l B Carácter inductor de la bobina representado por L Lic. Percy Víctor Cañote Fajardo 181
  • 4.
    Cuaderno de Actividades:Física II dΦB r dΦB r ε IND ≡ − N ≡− ...(1) dt dt N Φ B ≡ BA ≡ µ0 niA ≡ µ0 iA r l di −ε IND ε IND ≡ − N µ0 nA L≡ 123 dt ( di dt ) N 2 µ0 A l di ε IND ≡ − L ...(2) dt dΦB r di à De (1) y (2): ε IND ≡ − N ≡ −L dt dt à ∫ : Nφ r B + c ≡ Li t = 0 : φB = 0, i = 0 → c = 0 → NφB = Li r r Nφ B r L≡ i ** r φB = ∫ B.da = "Tm 2 " = weber ≡ Wb r Wb u [ L] ≡ ≡ henry ≡ H A ** Lic. Percy Víctor Cañote Fajardo 182
  • 5.
    Cuaderno de Actividades:Física II S5P5) Demuestre que la inductancia de un toroide de sección rectangular, μ N2hln ( b a ) como indica la figura, viene dada por L ≡ 0 en donde N es el 2π número total de vueltas, a es el radio interior, b es el exterior y h la altura del toroide. b y a z x h I y x h B ≡ B( r) B B I X I r 0 a r dr b B Ley de Ampere x 0 r r Ñ ∫ B.dl ≡ µ0 I 183 dl X Lic. Percy Víctor Cañote Fajardo z r C C
  • 6.
    Cuaderno de Actividades:Física II Solución:   µ0 NI B  ∫ dl  ≡ µ0 { NI } B( r) ≡ C  2π r µ0 NIh φB ≡ ∫ d φ dφ ≡ dr b  2π r µ0 N 2 h ln   L≡ a  b µ0 NIh µ0 NIh  b dr  φB ≡ ∫ 2π  ∫ r  dr ≡   2π a 2π r a µ0 NIh  b  Nφ φB ≡ ln   , L = B 2π a  I 9.2) Inductancia mutua Describe la influencia de solenoides (bobinas) cuando interactúan inductivamente. i1 i2  dφ ε 2 ≡ − N 2 21 , φ21 : φ sobre 2 debido a 1  dt  ^ ε ≡ − N dφ12 , φ12 : φ sobre 1 debido a 2  1  1 dt Lic. Percy Víctor Cañote Fajardo 184
  • 7.
    Cuaderno de Actividades:Física II  di ε 2 ≡ − M 21 1  dt  ^ ε ≡ − M di2  1  12 dt En los casos de influencia total los M son iguales, M 21 ≡ M 12 ≡ M N 2φ21 N1φ12 M ≡ ≡ i1 i2 9.3) Circuitos R-L P=VI=RI2. i Para el circuito con inductor esto no se cumple puesto que la corriente I se retarda debido L a que se opone el L. Lic. Percy Víctor Cañote Fajardo 185
  • 8.
    Cuaderno de Actividades:Física II 2º Ley de Kirchhoff : di ε − Ri − L ≡ 0... ( 1) → i ≡ i ( t ) ≡ ¿? , u ≡ ε − Ri dt du di di 1 du ≡ −R → ≡ − dt dt dt R dt L du En ( 1) : u + ≡0 R dt du R + u≡0 dt L ε (1−e ) ≡ R 1 − e ε  Rt −t L ( ) − i( t) ≡ 1 L  R R   La presencia del L retarda la imposición de la corriente I { ε R} i que se estaría imponiendo en su ε ausencia, donde el factor temporal de retardo está vinculado con, R % L t ≡ ← { tCOND ≡ RC} R t 0 Lic. Percy Víctor Cañote Fajardo 186
  • 9.
    Cuaderno de Actividades:Física II Lic. Percy Víctor Cañote Fajardo 187