INGENIERÍA TÉCNICA INDUSTRIAL ESPECIALIDAD MECÁNICA
ESCUELA POLITÉCNICA SUPERIOR DE ZAMORA
DISEÑO Y CÁLCULO DE LAS
INSTALACIONES DE ELECTRICIDAD,
CLIMATIZACIÓN, FONTANERÍA,
CONTRA INCENDIOS Y CCTV DE UN
CIRCUITO DE VELOCIDAD
… .PLANOS: TOMO II….
AUTOR: ALBERTO CERRUDO VALLEJO
TUTOR: MANUEL LÓPEZ CALVO
DEPARTAMENTO: CONSTRUCCIÓN Y AGRONOMÍA
ÁREA: EXPRESIÓN GRÁFICA EN LA INGENIERÍA
FECHA DE ADJUDICACIÓN: MARZO DE 2012
FECHA DE PRESENTACIÓN: SEPTIEMBRE DE 2012
PLANOS TOMO II
6.- PLANOS INSTALACIÓN ELECTRICIDAD
Nº DE
PLANO
CÓDIGO DENOMINACIÓN
43 ELEC1 SUMINISTRO ELECTRICIDAD
44 ELEC2 LÍNEAS ELÉCTRICAS 1
45 ELEC3 LÍNEAS ELÉCTRICAS 2
46 ELEC4 LÍNEAS SUMINISTRO CARPAS
47 ELEC5 ILUMINACIÓN EXTERIOR
48 ELEC6 ELECTRICIDAD BOXES ASISTENCIAS 1, 2 y 3
49 ELEC7 ELECTRICIDAD BOXES NORMALES Y VIP
50 ELEC8 ELECTRICIDAD PASILLOS Y ESCALERAS
51 ELEC9 ELECTRICIDAD BOXES SUPERIORES
52 ELEC10 ELECTRICIDAD ZONA DE CATERING Y COCINA
53 ELEC11 ELECTRICIDAD CAFETERÍA
54 ELEC12 ELECTRICIDAD SALA DE PRENSA
55 ELEC13 ELECTRICIDAD SALA DE FORMACIÓN
56 ELEC14 ELECTRICIDAD SALA DE PRIMEROS AUXILIOS
57 ELEC15 ELECTRICIDAD PASILLO PRINCIPAL
58 ELEC16 ELECTRICIDAD CUARTOS DE MÁQUINAS
59 ELEC17 ELECTRICIDAD PLANTA BAJA EDIFICIO 2
60 ELEC18 ELECTRICIDAD SALA DE CONTROL
61 ELEC19 ESQUEMA UNIFILAR CUADRO GENERAL
62 ELEC20 ESQUEMA UNIFILAR LÍNEA 1 (Pasillos y escaleras)
63 ELEC21 ESQUEMA UNIFILAR LÍNEA 2 (Boxes VIP 1, 2, 3 y 4)
64 ELEC22 ESQUEMA UNIFILAR LÍNEA 3 (Boxes VIP 5, 6, 7 y 8)
65 ELEC23 ESQUEMA UNIFILAR LÍNEA 4 (Boxes Normales 9, 10, 11 y 12)
66 ELEC24 ESQUEMA UNIFILAR LÍNEA 5 (Boxes Normales 13, 14, 15 y 16)
67 ELEC25 ESQUEMA UNIFILAR LÍNEA 6 (Boxes Normales 17, 18, 19 y 20)
68 ELEC26 ESQUEMA UNIFILAR LÍNEA 7 (Boxes Normales 21, 22, 23 y 24)
69 ELEC27
ESQUEMA UNIFILAR LÍNEA 8
(Boxes Normales 25 y 26 y Boxes Asistencias)
70 ELEC28 ESQUEMA UNIFILAR LÍNEA 9 (Boxes Superiores 1 y 2)
71 ELEC29 ESQUEMA UNIFILAR LÍNEA 10 (Boxes Superiores 3 y 4)
72 ELEC30 ESQUEMA UNIFILAR LÍNEA 11 (Zona de Catering)
73 ELEC31 ESQUEMA UNIFILAR LÍNEA 12 (Cocina)
74 ELEC32 ESQUEMA UNIFILAR LÍNEA 13 (Cafetería)
75 ELEC33
ESQUEMA UNIFILAR LÍNEA 14 (Pasillo Principal y
Sala de Prensa)
76 ELEC34
ESQUEMA UNIFILAR LÍNEA 15
(Sala de Primeros Auxilios y Sala de Formación)
77 ELEC35 ESQUEMA UNIFILAR LÍNEA 16 (Cuartos Ascensores 1 y 2)
78 ELEC36 ESQUEMA UNIFILAR LÍNEA 17 (Cuartos Montacargas y ACS)
79 ELEC37 ESQUEMA UNIFILAR LÍNEA 18 (Tienda y Recepción 2)
80 ELEC38 ESQUEMA UNIFILAR LÍNEA 19 (Sala de Control)
81 ELEC39
ESQUEMA UNIFILAR LÍNEA 20 (Carpas y Puesto
de Información)
82 ELEC40 ESQUEMA UNIFILAR LÍNEA 21 (Iluminación Exterior)
83 ELEC41 ESQUEMA UNIFILAR LÍNEA 22 (Grupo de Presión Normal)
84 ELEC42
ESQUEMA UNIFILAR LÍNEA 23 (Grupo de Presión Contra
incendios)
Centro de
Grupo
Cuadro General
(Sala de Control)
20
ENTRADA SECUNDARIA
CARRETERA CM-553
Acceso gradas C
6.8
Centro de
Grupo
Cuadro General
(Sala de Control)
20
6.8
ESCALA FIRMA
PROPIETARIO
PROYECTO
Alberto Cerrudo
Alberto Cerrudo
DIBUJADO
Circuito de Velocidad
Universidad de Salamanca
043 ELEC1
SUMINISTRO ELECTRICIDAD
Circuito de Salamanca 1:1000
Pasillo y escalera 1Pasillo y escalera 3Pasillo y escalera 4 Box Vip 1 y 2Box Vip 3 y 4Box Vip 5 y 6Box Vip 7 y 8Box 9Box 10Box 11Box 12 Pasillo y escalera 2
Cuadro General
Box 17Box 25Asistencias 1 y 2Asistencias 3 y Sala Personal Box 13Box 14Box 15Box 16Box 18Box 19Box 20Box 21Box 22Box 23Box 24Box 26
Cuadro General
Box Sup 1Box Sup 2Box Sup 3Box Sup 4Zona de Catering
Cocina
Cuadro General
Sala primeros auxilios Sala de prensa
Ascensor 1
Ascensor 2
Cuadro General
Tienda
Sala de Control
Alumbrado exterior
Montacargas Sala ACS
Cuadro General
ESCALA FIRMA
PROPIETARIO
PROYECTO
Alberto Cerrudo
Alberto Cerrudo
DIBUJADO
Circuito de Velocidad
Universidad de Salamanca
044 ELEC2
LÍNEAS ELÉCTRICAS 1
Circuito de Salamanca 1:200
Casetas
Cuadro General
31.6
ESCALA FIRMA
PROPIETARIO
PROYECTO
Alberto Cerrudo
Alberto Cerrudo
DIBUJADO
Circuito de Velocidad
Universidad de Salamanca
045 ELEC3
LÍNEAS ELÉCTRICAS 2
Circuito de Salamanca 1:250
123456789101112
242322212019181716151413
ABC
DEF
Cuadro Carpas
37.9 80 70.4
103.6
9.8
4.4
ESCALA FIRMA
PROPIETARIO
PROYECTO
Alberto Cerrudo
Alberto Cerrudo
DIBUJADO
Circuito de Velocidad
Universidad de Salamanca
046 ELEC4
LÍNEAS SUMINISTRO CARPAS
Circuito de Salamanca 1:1000
1
2
3
4
5
6
789
10
11
1213141516
17
21
2019
18
37.837.837.8
37.336.237.33837.437.4
37.437.43837.435.8
15.5
40
12.2
Luminaria 850-0VX-K
Línea 3 (Aparcamiento organización).
Línea 1 (Entrada-Paddock Delantero).
Línea 2 (Paddock Trasero).
Cuadro
Iluminación
Exterior
ESCALA FIRMA
PROPIETARIO
PROYECTO
Alberto Cerrudo
Alberto Cerrudo
DIBUJADO
Circuito de Velocidad
Universidad de Salamanca
047 ELEC5
ILUMINACIÓN EXTERIOR
Circuito de Salamanca 1:1000
A1A A2A
A3A
A
A
B1B
B2B
B3B
B4B
B5B
B6C
B7C
C
D
B
C1D
C2D
C3D
C4D
C5D
C6D
C7D
C8D
D
D1E
D2E
D3E D4F
D5F
D6F
E F
E1
E2
F1 F2
F3
F4
F5
G1G
G
G2G
G3G
G4G
G5G
G6G
G7G
G8G
G
F1F
F
F2F
F3F
F4F
F5F
F6F
F7F
F
H1H
H2H
H3H H4I
H5I
H6I
H I
I1J
I2J
I3J
I4J
I5J
I6J
I7J
I8J
J
K
J K
J2K
J2K
J2K
J2K
J2K
J2K
J2K
K1
K2
L1 L2
L3
L4
1.51.5 3 3 3 0.7 1.5 0.7 1.5 1.5 1.5
122222
1.63331.5
1
0.3
0.9
0.60.70.7
2.2
2.8
5.9 3
36
ELBA FIPAD-04-258
Philips TCS461 2xTL5-80W HFP AC-MLO
BEGHELLI 33-494/126/C++D + 99-878 Crater
BEGHELLI 1673 Pratica Tuttovetro
BEGHELLI 11049 PLEXILITE
Toma de corriente 16A
Interruptor
Conmutador
A1A
Segunda letra: interruptor/conmutador de encendido
ESCALA FIRMA
PROPIETARIO
PROYECTO
Alberto Cerrudo
Alberto Cerrudo
DIBUJADO
Circuito de Velocidad
Universidad de Salamanca
048 ELEC6
ELECTRICIDAD BOXES ASISTENCIAS 1, 2 y 3
Circuito de Salamanca 1:50
A1A
A2A
A3A
A4A
A5A
A
A
A6A
A7A
A8A
A9A
B1B
B
B
B2B
B3B
B4B
B5B
B6B
B7B
B8B
B9B
C1C
C2C
C3C
C
D1
D2
A1A
A2A
A3A
A4A
A5A
A
A
A6A
B1B
B
B
B2B
B3B
B4B
B5B
B6B
B7B
B8B
B9B
C1C
C2C
C3C
C
D1
D2
A10A
A7A
A8A
A9A
A10A
1.5 1.5 0.70.7 1.5
1.12.42.42.42.41.3
0.7 1.5 1.5 1.5 0.7
0.3
0.9
0.60.70.7
2.96 2.9
2.96
2.9
D3D3
ELBA FIPAD-04-258
BEGHELLI 33-494/126/C++D + 99-878 Crater
BEGHELLI 1673 Pratica Tuttovetro
BEGHELLI 11049 PLEXILITE
Toma de corriente 16A
Interruptor
Conmutador
A1A
Segunda letra: interruptor/conmutador de encendido
A1A
A2A
A3A
A4A
A5A
A
A
A6A
A7A
A8A
A9A
B1B
B
B
B2B
B3B
B4B
B5B
B6B
B7B
B8B
B9B
C1C
C2C
C3C
C
F1
F2
D1E
D2E
D3E
D4E
E
E
D6E
E1F
F
F
E2F
E3F
E4F
E5F
E6F
E7B
E8F
E9B
C6D
C5D
C4D
D
G1
A10A
D7F
D8F
D9E
D10E
1.5 1.5 0.70.7 1.5
1.12.42.42.42.41.3
0.7 1.5 1.5 1.5 0.7
0.3
0.9
0.60.70.7
2.96
2.9
2.96
2.9
G2
G3
G4
ESCALA FIRMA
PROPIETARIO
PROYECTO
Alberto Cerrudo
Alberto Cerrudo
DIBUJADO
Circuito de Velocidad
Universidad de Salamanca
049 ELEC7
ELECTRICIDAD BOXES NORMALES Y VIP
Circuito de Salamanca 1:50
BOX NORMAL BOX VIP
BEGHELLI 33-494/126/C++D + 99-878 Crater
BEGHELLI 1673 Pratica Tuttovetro
BEGHELLI 11049 PLEXILITE
Toma de corriente 16A
Interruptor
Conmutador
A1A
Segunda letra: interruptor/conmutador de encendido
A2A
A3A
A4A A5A
A6A
A7A
A8A
A9A
A10B
A11B
A13B
A12B
A
B
B1
B2
B3
C1
C2
1.63.23.23.22.81.51.8
1.3 3.1 1.4
2.9
54.9
1 4.5 1
A14D
A15DA16D
A17D
D
C3
C4
A14D
A15DA16D
A17D
D
C3
C4
A2A
A3A
A4A A5A
A6A
A7A
A8AA9A
A10B
A11B
A13B
A12B
A
B
B1
B2
B3
C1
C2
1.63.23.23.22.81.51.8
1.3 3.1 1.4
2.9
4.20.53.4
1 4.5 1
ESCALA FIRMA
PROPIETARIO
PROYECTO
Alberto Cerrudo
Alberto Cerrudo
DIBUJADO
Circuito de Velocidad
Universidad de Salamanca
050 ELEC8
ELECTRICIDAD PASILLOS Y ESCALERAS
Circuito de Salamanca 1:50
PASILLOS 3 y 4 (planta baja)PASILLOS 1 y 2 (planta baja)
Escaleras (primera planta )
Escaleras (azotea)
A1A A2A A3A
A4AA5AA6A
A7A A8A A9A A10A
A11BA12BA13BA14B
A15B A16B A17B A18B
B A
B
A
B1C
B2C
B3C
B4C
B5D
B6D
B7D
B8D
C D
C5E C4E C3E
C2E
C6E C7E C8E C9E
C1G
EF
E
F
G
C10FC11FC12FC13F
C14F C15F C16F C17F
D1
D2 D3
D4
D5
D6
D7D8
0.8 1.5 1.5 1.5 0.6 0.6 1.5 1.5 1.5 0.8
11.91.91.91.90.9
0.40.90.90.80.5
0.2
0.50.5 0.9
1.1
3.7
2.9
1.3
1.9
2
1.2
BEGHELLI 33-494/126/C++D + 99-878 Crater
BEGHELLI 1673 Pratica Tuttovetro
BEGHELLI 11049 PLEXILITE
Toma de corriente 16A
Interruptor
Conmutador
A1A
Segunda letra: interruptor/conmutador de encendido
ESCALA FIRMA
PROPIETARIO
PROYECTO
Alberto Cerrudo
Alberto Cerrudo
DIBUJADO
Circuito de Velocidad
Universidad de Salamanca
051 ELEC9
ELECTRICIDAD BOXES SUPERIORES
Circuito de Salamanca 1:50
D9
A1A
A2A
A3A
A4A
A5A
A6A
A7A
A8A
A9A
A10A
A11A
A12A
A
B12B
B11B
B10B
B9B
B8B
B7B
B6B
B5B
B4B
B3B
B2B
B
B1B C1C
C2C
C3C
C4C
C5C
C6C
C7C
C8C
C9C
C10C
C11C
C12C
C
D12D
D11D
D10D
D9D
D8D
D7D
D6D
D5D
D4D
D3D
D2D
D
D1D E1E
E2E
E3E
E4E
E5E
E6E
E7E
E8E
E9E
E10E
E11E
E12E
E
F12F
F11F
F10F
F9F
F8F
F7F
F6F
F5F
F4F
F3F
F2F
F
F1F
G1G G2G
G3G
G4G
G6G
G5G
G8G
G9G G10G
G7G
G11HG12HG13H
G
H
H1I
I
I1
I2
I3
J1
J2
J3 J4
J5
J6
J7
J8
J9
J10J11J12
C1C
C2C
C3D C4D
C
D
A
A'
1 2 2 2 2 2 2 2 2 2 2 2 2 2 2 2 2 2 1 1.4 1.6 1.6 1.2
2.41.22.42.41.2
7.9 7.9 7.9 7.9
2.4
22
2.4
7.9 7.9 7.9 66.1
0.71.51.51.51.5
1.431.4
2.8
3.5
0.8
2.7
5.9
0.6 1.5 0.6
1
1.32.61.2
1.4
ELBA FIPAD-04-258
BEGHELLI 33-494/126/C++D + 99-878 Crater
BEGHELLI 1673 Pratica Tuttovetro
BEGHELLI 11049 PLEXILITE
Toma de corriente 16A
Interruptor
Conmutador
Toma de corriente 25A
A1A
Segunda letra: interruptor/conmutador de encendido
A1A
A2A
A3A
A4A
A5A
A6A
A7A
A8A
A9A
A10A
A11A
A12A
A
B12B
B11B
B10B
B9B
B8B
B7B
B6B
B5B
B4B
B3B
B2B
B
B1B C1C
C2C
D12D
D11D
H1IH2IH3IH4IH5I
I
I1
I2
I3I4I5
J1
J2
J3
A1A
A2A
A3A
A4A
A5A
A6AA7A
A8E
A9A A10A
B1B
B2B
B3B B4B
B5B
B6B
C1C
C2C
C3D C4D
C
D
A
B
A
E
D1
D2
D3 D4
A
A'
1 2 2 2 2 2 2
2.41.22.42.41.2
7.9
2.4
2
2.4
7.96.1
2.73.13.13.13.12.6
6.45.4 5.9
0.8
0.6 1.5 0.6
1
1.32.61.2
1.4
1.51.53.22.8
11.9221
1.32.62.61.3
1
3.71.81.9
3.4
1.83.7
1.2
ESCALA FIRMA
PROPIETARIO
PROYECTO
Alberto Cerrudo
Alberto Cerrudo
DIBUJADO
Circuito de Velocidad
Universidad de Salamanca
052 ELEC10
ELECTRICIDAD ZONA DE CATERING y COCINA
Circuito de Salamanca 1:50
ZONA DE CATERING
COCINA
T T T
A1A
A2A
A3A
A4A
A5A
B5B
B4B
B3B
B2B
B1B
C1C
C2C
C3C
C4C
C5CC6C
C7C
C8C
C9C
C10C
C11C
C12C
C13C
C14C
C15C
C
B
A
C
D1D
D2D
D3D
D
E1E
E2E
E3E
E4E
E5E
E6E
E7E
E8E
E9E
E10E
E11E
E
F1F
F2F
F3F
F4F
F5FF6FF7FF8F
F9F F10F F11F
F12FF13FF14F
F
G1
G2G3
G4
G5
G6
G7
1.7 3.5 3.5 3.5 3.5 1.7
1.12.31.1
1 1.1
1111
1
1.22.4
0.2 0.8
0.20.71.2
2.2
8.74.4 4.4
0.81.620.4
0.4 1.2 1.2
0.6
1.3 1.3
1.80.5 1.6
10.6111
0.40.70.7
BEGHELLI 33-494/126/C++D + 99-878 Crater
BEGHELLI 1673 Pratica Tuttovetro
BEGHELLI 11049 PLEXILITE
Philips CR200B 4xTL5-24W HFP GT
Philips BBG390 IP54 6xLED-HB-40-/830
T
Toma de corriente 16A
Interruptor
Interruptor temporizado
Conmutador
A1A
Segunda letra: interruptor/conmutador de encendido
ESCALA FIRMA
PROPIETARIO
PROYECTO
Alberto Cerrudo
Alberto Cerrudo
DIBUJADO
Circuito de Velocidad
Universidad de Salamanca
053 ELEC11
Circuito de Salamanca 1:50
A1A
A2A
A3A
A4A
A5A
A6A
A7A
A8A
A9A
A10A
B1B
B2B
B3B
B4B
B5B
B6B
B7B
B8B
B9B
B10B
A B
C1C
C2C
C3C
C4C
C5C
C6C
C7C
C8C D1D
D2D
D3D
D4D
D5D
D6D
D7D
D8D
C D
E1
E2
E3
E4
E5
E6
E7
E8
E9
E10
2.2 2.6 2.6 2.6 2.6 2.6 2.6 2.6 2.6 1.3
1.22.32.32.31.2
6882.2
2.551.8
287.86.4
BEGHELLI 1673 Pratica Tuttovetro
BEGHELLI 11049 PLEXILITE
Philips CR200B 4xTL5-24W HFP GT
Toma de corriente 16A
Interruptor
Conmutador
A1A
Segunda letra: interruptor/conmutador de encendido
ESCALA FIRMA
PROPIETARIO
PROYECTO
Alberto Cerrudo
Alberto Cerrudo
DIBUJADO
Circuito de Velocidad
Universidad de Salamanca
054 ELEC12
ELECTRICIDAD SALA DE PRENSA
Circuito de Salamanca 1:50
1.22.42.42.41.2
1.3 2.5 2.5 2.5 2.5 2.5 2.5 2.5 2.5 2.3
5.7 8 8 2
2.851.6
A1A
A2A
A3A
A4A
A5A
A6A
A7A
A8A
A9A
A10A
B2B
B1B
B4B
B3B
B5B
B6B
B7B
B8B
B9B
B10B
A B CD
C1C
C2C
C3C
C4C
C5C
C6C
C7C
C8C D1D
D2D
D3D
D4D
D5D
D6D
D7D
D8D
E1E2
E3
E4
E5
E6
E7
E8
E9
BEGHELLI 1673 Pratica Tuttovetro
BEGHELLI 11049 PLEXILITE
Philips CR200B 4xTL5-24W HFP GT
Toma de corriente 16A
Interruptor
Conmutador
A1A
Segunda letra: interruptor/conmutador de encendido
ESCALA FIRMA
PROPIETARIO
PROYECTO
Alberto Cerrudo
Alberto Cerrudo
DIBUJADO
Circuito de Velocidad
Universidad de Salamanca
055 ELEC13
Circuito de Salamanca 1:50
A1A
A2A
A3A
A4A
A5A
B1B
B2B
B3B
B4B
B5C
B6B
B7C B8C
C
BA
C1C C2C
C3CC4C
C
C
D1D D2D
D3E D4E
D5E
E
D
E1F E2F E3F E4F E5F E6F
F
F
F1
F2
F3
F4
F5
F6
F7
F12 F11
F8 F9
F10
1.8 2.2 2.2 2.2 2.2 1.1
0.91.91.91.91.90.91
20.9 1.1 0.8 2 2 1.2 0.7 0.9
0.81.70.8
1.4 2.9 1.4
2.9
1.2
1
0.6 0.70.7
3.6
2.9
4.1
0.61.21.21
0.30.60.3
2.4
1.6
0.6
Philips TCS461 2xTL5-80W HFP AC-MLO
BEGHELLI 33-494/126/C++D + 99-878 Crater
BEGHELLI 1673 Pratica Tuttovetro
BEGHELLI 11049 PLEXILITE
Toma de corriente 16A
Interruptor
Conmutador
A1A
Segunda letra: interruptor/conmutador de encendido
ESCALA FIRMA
PROPIETARIO
PROYECTO
Alberto Cerrudo
Alberto Cerrudo
DIBUJADO
Circuito de Velocidad
Universidad de Salamanca
056 ELEC14
ELECTRICIDAD SALA DE PRIMEROS AUXILIOS
Circuito de Salamanca 1:50
A1A
A2A A3A A4A A5A
A31A
A32AA33AA34A B1A B2A B3A B4A B5A
B30A
B31AB32AB33A
A A A A
C1H
C2H
C3H
C4H
C5H
C6H
C7HC8H
C9H C10H
C11H
D1I
D2I
D3I
D4I
D5I
D6I
D7I
D8I
D9I
E1J E2J
E3JE4J
I
J
J
H
I
H
F1
G1
G2G3
G4
G5G6G7G8
H1
H2 H3 H4 H5 H6
A
A'
1.8 0.5 2.6 3.1 0.7 2.4 3.1 0.8 2.3 3.1
1 1.9 1.9 1.9 1.9 1.9 0.9
1.22.52.5
0.61.61.60.81.22.11.3
1.32.51.7
2.51
1 2.1 3.1 1.3 1.8 3.1 1.4 1.7 3.1 1.6 1.5 3.1
1.7
2.52.3
1.75.1
3.1 1.1 2
BEGHELLI 33-494/126/C++D + 99-878 Crater
BEGHELLI 1673 Pratica Tuttovetro
BEGHELLI 11049 PLEXILITE
Philips CR200B 4xTL5-24W HFP GT
Toma de corriente 16A
Interruptor
Conmutador
A1A
Segunda letra: interruptor/conmutador de encendido
A6A A7A A8A A9C A10C A11C A12C A13CB5A B6A B7A B8C B9C B10C B11C B12C B13C
A C C D
H6 H7 H8 H9 H10 H11 H12 I1 I2
A
A'
B
B'
1.7
3.1 1.9 1.2 3.1 2 1.1 3.1 2.2 0.9 3.1 2.3 0.8 3.1 2.5 0.6 3.1 3.1 3.1 2.8 0.3 3.1 3.1
A14D A15D A16D A17D A18D A19D A20D A21D A22AB13C B14D B15D B16D B17D B18D B19D B20D B21B
D D
I3 I4 I5 I6 I7 I8 I9 I10 I11
B
B'
C
C'0.6 3.1 3.1 3.3 3 3.4 2.9 3.1 0.9 2.2 3.1 0.8 2.1 3.1 0.7 2.4 3 0.5 2.3 3.1 1 2.1
A23A A24E A25F A26F
A27G
A28G
A29G
A30G
B22B B23E B24F B25F
B26G
B27G
B28G
B29G
E F
G
I12 J1 J2 J3 J4 J5 J6
J7
J8
J9
C
C' 1 2.4 3.1 1.3 1.8 0.8 1.5 1.7 3.1 1.6 1.5 1.5
1.4 3.1 1.4
1.33.23.2
2.9
2.34.34.3
ESCALA FIRMA
PROPIETARIO
PROYECTO
Alberto Cerrudo
Alberto Cerrudo
DIBUJADO
Circuito de Velocidad
Universidad de Salamanca
057 ELEC15
ELECTRICIDAD PASILLO PRINCIPAL
Circuito de Salamanca 1:50
A1A A2A A3A
A
B1
0.8 0.7 0.9 1.6
0.9
ELBA FIPAD-04-258
BEGHELLI 33-494/126/C++D + 99-878 Crater
BEGHELLI 1673 Pratica Tuttovetro
Toma de corriente 16A
Interruptor
Conmutador
A1A
Segunda letra: interruptor/conmutador de encendido
A1A
A2A
A3A
A
B1
0.51.10.90.70.6
0.9
A1A
A2A
A3A
A
B1
A1A A2A
A3A
A
A
B1
B2
0.61.10.90.7
0.9
0.5
1.420.9
1.7 2.4 1.5
0.6 3.4
2
M
S
M M M
M
M
0.51.52
2 2
A1A
A2A
A3A
A
B1
S
M M M
M
0.51.52
1.5 1.5
A1A
A2A
A3A
A
B1
1.2 1.3
1.42.62.61.2
A1A
A2A
A3A
A
ESCALA FIRMA
PROPIETARIO
PROYECTO
Alberto Cerrudo
Alberto Cerrudo
DIBUJADO
Circuito de Velocidad
Universidad de Salamanca
058 ELEC16
Circuito de Salamanca 1:50
ASCENSOR 2
ASCENSOR 1
SALA MONTACARGAS y ACS
ELBA FIPAD-04-258
BEGHELLI 33-494/126/C++D + 99-878 Crater
BEGHELLI 1673 Pratica Tuttovetro
BEGHELLI 11049 PLEXILITE
Toma de corriente 16A
Interruptor
Conmutador
T Interruptor temporizado
A1A
Segunda letra: interruptor/conmutador de encendido
T T
T
A7A A6A
A5A
A4AA3A
A2A
A1A
B7B B6B
B4BB3B
B2B
B1B
AB
C1C C2C C3C C4C C5C
C6CC7CC8CC9C
C10C C11C C12C C13C C14CD13DD12DD11DD10D
D9D D8D D7D D6D D5D
D4DD3DD2DD1D
C D
E1E E2E E3E
E4F
E5F
E6F
E
F
F1G
F2G
F3G
F4G
F5G
F6G
F7G
F8G
G
G1H
G2H
G3H
G4H
G5H
G6H
G7H
G8H
H
A1A A2A A3A
A4AA5AA6A
B1BB2BB3B
B4B B5B B6B
B7BB8BB9B
C1CC2CC3C
C4C C5C C6C
C7CC8CC9C
A
B
C
H1
H2
H3H4H5
H6
H7 H8
I1
I2
I3
I4
I5
0.8 2 2 2 2 2 1
1.22.42.42.42.41.20.61.51.50.7
0.9 2 2 2 2 2 2 2 2 1.1
0.7 1.8 0.8 2
3663
2.3
6 33
3.8
1.4
0.81.61.6
0.8 1.6 1.6 1.6
3
0.41.31.31.80.60.6
0.31.10.30.80.8
1.6
J1I
I
K1
B5B
J2
J1
J3 J4
J2II J3IJ4I
J5I J6I
J7I
K2
0.9 1.4 1.4 2.3
2.30.51.10.6
1.3
K3
J8J
J9J
J10J
J
1.5 2.2
1.12.31.1
ESCALA FIRMA
PROPIETARIO
PROYECTO
Alberto Cerrudo
Alberto Cerrudo
DIBUJADO
Circuito de Velocidad
Universidad de Salamanca
059 ELEC17
ELECTRICIDAD PLANTA BAJA EDIFICIO 2
Circuito de Salamanca 1:50
PLANTA BAJA EDIFICIO 2
ESCALERA (primera planta)
ESCALERA (azotea)
Philips TCS461 2xTL5-80W HFP AC-MLO
BEGHELLI 33-494/126/C++D + 99-878 Crater
BEGHELLI 1673 Pratica Tuttovetro
Toma de corriente 16A
Interruptor
Conmutador
A1A
Segunda letra: interruptor/conmutador de encendido
A1AA2AA3A
A4A
A5A
A6A
B1B
B2B
B3B B4B B5B
B6BB7B
C1C
C2C
C3C C4C
C5CC6CC7C
A B C
D1D D2D
D3DD4D
D
E1
E4 E3
E2
E5 E6 E7
E8
Cuadro General
1.8 3.6 3.6 3.6 3.6 1.8
2.30.92.32.32.31.8
0.71.50.7
0.510.5
6 63
3.6
63
2.8
ESCALA FIRMA
PROPIETARIO
PROYECTO
Alberto Cerrudo
Alberto Cerrudo
DIBUJADO
Circuito de Velocidad
Universidad de Salamanca
060 ELEC18
ELECTRICIDAD SALA DE CONTROL
Circuito de Salamanca 1:50
SALA DE CONTROL
ESCALA FIRMA
PROPIETARIO
PROYECTO
Alberto Cerrudo
Alberto Cerrudo
DIBUJADO
Circuito de Velocidad
Universidad de Salamanca
061 ELEC19
ESQUEMA UNIFILAR CUADRO GENERAL
Circuito de Salamanca
ESCALA FIRMA
PROPIETARIO
PROYECTO
Alberto Cerrudo
Alberto Cerrudo
DIBUJADO
Circuito de Velocidad
Universidad de Salamanca
062 ELEC20
Circuito de Salamanca
ESCALA FIRMA
PROPIETARIO
PROYECTO
Alberto Cerrudo
Alberto Cerrudo
DIBUJADO
Circuito de Velocidad
Universidad de Salamanca
063 ELEC21
Circuito de Salamanca
ESCALA FIRMA
PROPIETARIO
PROYECTO
Alberto Cerrudo
Alberto Cerrudo
DIBUJADO
Circuito de Velocidad
Universidad de Salamanca
064 ELEC22
Circuito de Salamanca
ESCALA FIRMA
PROPIETARIO
PROYECTO
Alberto Cerrudo
Alberto Cerrudo
DIBUJADO
Circuito de Velocidad
Universidad de Salamanca
065 ELEC23
Circuito de Salamanca
ESCALA FIRMA
PROPIETARIO
PROYECTO
Alberto Cerrudo
Alberto Cerrudo
DIBUJADO
Circuito de Velocidad
Universidad de Salamanca
066 ELEC24
Circuito de Salamanca
ESCALA FIRMA
PROPIETARIO
PROYECTO
Alberto Cerrudo
Alberto Cerrudo
DIBUJADO
Circuito de Velocidad
Universidad de Salamanca
067 ELEC25
Circuito de Salamanca
ESCALA FIRMA
PROPIETARIO
PROYECTO
Alberto Cerrudo
Alberto Cerrudo
DIBUJADO
Circuito de Velocidad
Universidad de Salamanca
068 ELEC26
Circuito de Salamanca
ESCALA FIRMA
PROPIETARIO
PROYECTO
Alberto Cerrudo
Alberto Cerrudo
DIBUJADO
Circuito de Velocidad
Universidad de Salamanca
069 ELEC27
Circuito de Salamanca
ESCALA FIRMA
PROPIETARIO
PROYECTO
Alberto Cerrudo
Alberto Cerrudo
DIBUJADO
Circuito de Velocidad
Universidad de Salamanca
070 ELEC28
Circuito de Salamanca
ESCALA FIRMA
PROPIETARIO
PROYECTO
Alberto Cerrudo
Alberto Cerrudo
DIBUJADO
Circuito de Velocidad
Universidad de Salamanca
071 ELEC29
Circuito de Salamanca
ESCALA FIRMA
PROPIETARIO
PROYECTO
Alberto Cerrudo
Alberto Cerrudo
DIBUJADO
Circuito de Velocidad
Universidad de Salamanca
072 ELEC30
Circuito de Salamanca
ESCALA FIRMA
PROPIETARIO
PROYECTO
Alberto Cerrudo
Alberto Cerrudo
DIBUJADO
Circuito de Velocidad
Universidad de Salamanca
073 ELEC31
Circuito de Salamanca
ESCALA FIRMA
PROPIETARIO
PROYECTO
Alberto Cerrudo
Alberto Cerrudo
DIBUJADO
Circuito de Velocidad
Universidad de Salamanca
074 ELEC32
Circuito de Salamanca
ESCALA FIRMA
PROPIETARIO
PROYECTO
Alberto Cerrudo
Alberto Cerrudo
DIBUJADO
Circuito de Velocidad
Universidad de Salamanca
075 ELEC33
Circuito de Salamanca
ESCALA FIRMA
PROPIETARIO
PROYECTO
Alberto Cerrudo
Alberto Cerrudo
DIBUJADO
Circuito de Velocidad
Universidad de Salamanca
076 ELEC34
Circuito de Salamanca
ESCALA FIRMA
PROPIETARIO
PROYECTO
Alberto Cerrudo
Alberto Cerrudo
DIBUJADO
Circuito de Velocidad
Universidad de Salamanca
077 ELEC35
Circuito de Salamanca
ESCALA FIRMA
PROPIETARIO
PROYECTO
Alberto Cerrudo
Alberto Cerrudo
DIBUJADO
Circuito de Velocidad
Universidad de Salamanca
078 ELEC36
Circuito de Salamanca
ESCALA FIRMA
PROPIETARIO
PROYECTO
Alberto Cerrudo
Alberto Cerrudo
DIBUJADO
Circuito de Velocidad
Universidad de Salamanca
079 ELEC37
Circuito de Salamanca
ESCALA FIRMA
PROPIETARIO
PROYECTO
Alberto Cerrudo
Alberto Cerrudo
DIBUJADO
Circuito de Velocidad
Universidad de Salamanca
080 ELEC38
Circuito de Salamanca
ESCALA FIRMA
PROPIETARIO
PROYECTO
Alberto Cerrudo
Alberto Cerrudo
DIBUJADO
Circuito de Velocidad
Universidad de Salamanca
081 ELEC39
Circuito de Salamanca
ESCALA FIRMA
PROPIETARIO
PROYECTO
Alberto Cerrudo
Alberto Cerrudo
DIBUJADO
Circuito de Velocidad
Universidad de Salamanca
082 ELEC40
Circuito de Salamanca
ESCALA FIRMA
PROPIETARIO
PROYECTO
Alberto Cerrudo
Alberto Cerrudo
DIBUJADO
Circuito de Velocidad
Universidad de Salamanca
083 ELEC41
Circuito de Salamanca
ESCALA FIRMA
PROPIETARIO
PROYECTO
Alberto Cerrudo
Alberto Cerrudo
DIBUJADO
Circuito de Velocidad
Universidad de Salamanca
084 ELEC42
Circuito de Salamanca

Electricidad

  • 1.
    INGENIERÍA TÉCNICA INDUSTRIALESPECIALIDAD MECÁNICA ESCUELA POLITÉCNICA SUPERIOR DE ZAMORA DISEÑO Y CÁLCULO DE LAS INSTALACIONES DE ELECTRICIDAD, CLIMATIZACIÓN, FONTANERÍA, CONTRA INCENDIOS Y CCTV DE UN CIRCUITO DE VELOCIDAD … .PLANOS: TOMO II…. AUTOR: ALBERTO CERRUDO VALLEJO TUTOR: MANUEL LÓPEZ CALVO DEPARTAMENTO: CONSTRUCCIÓN Y AGRONOMÍA ÁREA: EXPRESIÓN GRÁFICA EN LA INGENIERÍA FECHA DE ADJUDICACIÓN: MARZO DE 2012 FECHA DE PRESENTACIÓN: SEPTIEMBRE DE 2012
  • 2.
    PLANOS TOMO II 6.-PLANOS INSTALACIÓN ELECTRICIDAD Nº DE PLANO CÓDIGO DENOMINACIÓN 43 ELEC1 SUMINISTRO ELECTRICIDAD 44 ELEC2 LÍNEAS ELÉCTRICAS 1 45 ELEC3 LÍNEAS ELÉCTRICAS 2 46 ELEC4 LÍNEAS SUMINISTRO CARPAS 47 ELEC5 ILUMINACIÓN EXTERIOR 48 ELEC6 ELECTRICIDAD BOXES ASISTENCIAS 1, 2 y 3 49 ELEC7 ELECTRICIDAD BOXES NORMALES Y VIP 50 ELEC8 ELECTRICIDAD PASILLOS Y ESCALERAS 51 ELEC9 ELECTRICIDAD BOXES SUPERIORES 52 ELEC10 ELECTRICIDAD ZONA DE CATERING Y COCINA 53 ELEC11 ELECTRICIDAD CAFETERÍA 54 ELEC12 ELECTRICIDAD SALA DE PRENSA 55 ELEC13 ELECTRICIDAD SALA DE FORMACIÓN 56 ELEC14 ELECTRICIDAD SALA DE PRIMEROS AUXILIOS 57 ELEC15 ELECTRICIDAD PASILLO PRINCIPAL 58 ELEC16 ELECTRICIDAD CUARTOS DE MÁQUINAS 59 ELEC17 ELECTRICIDAD PLANTA BAJA EDIFICIO 2 60 ELEC18 ELECTRICIDAD SALA DE CONTROL 61 ELEC19 ESQUEMA UNIFILAR CUADRO GENERAL 62 ELEC20 ESQUEMA UNIFILAR LÍNEA 1 (Pasillos y escaleras) 63 ELEC21 ESQUEMA UNIFILAR LÍNEA 2 (Boxes VIP 1, 2, 3 y 4) 64 ELEC22 ESQUEMA UNIFILAR LÍNEA 3 (Boxes VIP 5, 6, 7 y 8) 65 ELEC23 ESQUEMA UNIFILAR LÍNEA 4 (Boxes Normales 9, 10, 11 y 12) 66 ELEC24 ESQUEMA UNIFILAR LÍNEA 5 (Boxes Normales 13, 14, 15 y 16) 67 ELEC25 ESQUEMA UNIFILAR LÍNEA 6 (Boxes Normales 17, 18, 19 y 20) 68 ELEC26 ESQUEMA UNIFILAR LÍNEA 7 (Boxes Normales 21, 22, 23 y 24) 69 ELEC27 ESQUEMA UNIFILAR LÍNEA 8 (Boxes Normales 25 y 26 y Boxes Asistencias) 70 ELEC28 ESQUEMA UNIFILAR LÍNEA 9 (Boxes Superiores 1 y 2) 71 ELEC29 ESQUEMA UNIFILAR LÍNEA 10 (Boxes Superiores 3 y 4) 72 ELEC30 ESQUEMA UNIFILAR LÍNEA 11 (Zona de Catering) 73 ELEC31 ESQUEMA UNIFILAR LÍNEA 12 (Cocina) 74 ELEC32 ESQUEMA UNIFILAR LÍNEA 13 (Cafetería)
  • 3.
    75 ELEC33 ESQUEMA UNIFILARLÍNEA 14 (Pasillo Principal y Sala de Prensa) 76 ELEC34 ESQUEMA UNIFILAR LÍNEA 15 (Sala de Primeros Auxilios y Sala de Formación) 77 ELEC35 ESQUEMA UNIFILAR LÍNEA 16 (Cuartos Ascensores 1 y 2) 78 ELEC36 ESQUEMA UNIFILAR LÍNEA 17 (Cuartos Montacargas y ACS) 79 ELEC37 ESQUEMA UNIFILAR LÍNEA 18 (Tienda y Recepción 2) 80 ELEC38 ESQUEMA UNIFILAR LÍNEA 19 (Sala de Control) 81 ELEC39 ESQUEMA UNIFILAR LÍNEA 20 (Carpas y Puesto de Información) 82 ELEC40 ESQUEMA UNIFILAR LÍNEA 21 (Iluminación Exterior) 83 ELEC41 ESQUEMA UNIFILAR LÍNEA 22 (Grupo de Presión Normal) 84 ELEC42 ESQUEMA UNIFILAR LÍNEA 23 (Grupo de Presión Contra incendios)
  • 4.
    Centro de Grupo Cuadro General (Salade Control) 20 ENTRADA SECUNDARIA CARRETERA CM-553 Acceso gradas C 6.8 Centro de Grupo Cuadro General (Sala de Control) 20 6.8 ESCALA FIRMA PROPIETARIO PROYECTO Alberto Cerrudo Alberto Cerrudo DIBUJADO Circuito de Velocidad Universidad de Salamanca 043 ELEC1 SUMINISTRO ELECTRICIDAD Circuito de Salamanca 1:1000
  • 5.
    Pasillo y escalera1Pasillo y escalera 3Pasillo y escalera 4 Box Vip 1 y 2Box Vip 3 y 4Box Vip 5 y 6Box Vip 7 y 8Box 9Box 10Box 11Box 12 Pasillo y escalera 2 Cuadro General Box 17Box 25Asistencias 1 y 2Asistencias 3 y Sala Personal Box 13Box 14Box 15Box 16Box 18Box 19Box 20Box 21Box 22Box 23Box 24Box 26 Cuadro General Box Sup 1Box Sup 2Box Sup 3Box Sup 4Zona de Catering Cocina Cuadro General Sala primeros auxilios Sala de prensa Ascensor 1 Ascensor 2 Cuadro General Tienda Sala de Control Alumbrado exterior Montacargas Sala ACS Cuadro General ESCALA FIRMA PROPIETARIO PROYECTO Alberto Cerrudo Alberto Cerrudo DIBUJADO Circuito de Velocidad Universidad de Salamanca 044 ELEC2 LÍNEAS ELÉCTRICAS 1 Circuito de Salamanca 1:200
  • 6.
    Casetas Cuadro General 31.6 ESCALA FIRMA PROPIETARIO PROYECTO AlbertoCerrudo Alberto Cerrudo DIBUJADO Circuito de Velocidad Universidad de Salamanca 045 ELEC3 LÍNEAS ELÉCTRICAS 2 Circuito de Salamanca 1:250
  • 7.
    123456789101112 242322212019181716151413 ABC DEF Cuadro Carpas 37.9 8070.4 103.6 9.8 4.4 ESCALA FIRMA PROPIETARIO PROYECTO Alberto Cerrudo Alberto Cerrudo DIBUJADO Circuito de Velocidad Universidad de Salamanca 046 ELEC4 LÍNEAS SUMINISTRO CARPAS Circuito de Salamanca 1:1000
  • 8.
    1 2 3 4 5 6 789 10 11 1213141516 17 21 2019 18 37.837.837.8 37.336.237.33837.437.4 37.437.43837.435.8 15.5 40 12.2 Luminaria 850-0VX-K Línea 3(Aparcamiento organización). Línea 1 (Entrada-Paddock Delantero). Línea 2 (Paddock Trasero). Cuadro Iluminación Exterior ESCALA FIRMA PROPIETARIO PROYECTO Alberto Cerrudo Alberto Cerrudo DIBUJADO Circuito de Velocidad Universidad de Salamanca 047 ELEC5 ILUMINACIÓN EXTERIOR Circuito de Salamanca 1:1000
  • 9.
    A1A A2A A3A A A B1B B2B B3B B4B B5B B6C B7C C D B C1D C2D C3D C4D C5D C6D C7D C8D D D1E D2E D3E D4F D5F D6F EF E1 E2 F1 F2 F3 F4 F5 G1G G G2G G3G G4G G5G G6G G7G G8G G F1F F F2F F3F F4F F5F F6F F7F F H1H H2H H3H H4I H5I H6I H I I1J I2J I3J I4J I5J I6J I7J I8J J K J K J2K J2K J2K J2K J2K J2K J2K K1 K2 L1 L2 L3 L4 1.51.5 3 3 3 0.7 1.5 0.7 1.5 1.5 1.5 122222 1.63331.5 1 0.3 0.9 0.60.70.7 2.2 2.8 5.9 3 36 ELBA FIPAD-04-258 Philips TCS461 2xTL5-80W HFP AC-MLO BEGHELLI 33-494/126/C++D + 99-878 Crater BEGHELLI 1673 Pratica Tuttovetro BEGHELLI 11049 PLEXILITE Toma de corriente 16A Interruptor Conmutador A1A Segunda letra: interruptor/conmutador de encendido ESCALA FIRMA PROPIETARIO PROYECTO Alberto Cerrudo Alberto Cerrudo DIBUJADO Circuito de Velocidad Universidad de Salamanca 048 ELEC6 ELECTRICIDAD BOXES ASISTENCIAS 1, 2 y 3 Circuito de Salamanca 1:50
  • 10.
    A1A A2A A3A A4A A5A A A A6A A7A A8A A9A B1B B B B2B B3B B4B B5B B6B B7B B8B B9B C1C C2C C3C C D1 D2 A1A A2A A3A A4A A5A A A A6A B1B B B B2B B3B B4B B5B B6B B7B B8B B9B C1C C2C C3C C D1 D2 A10A A7A A8A A9A A10A 1.5 1.5 0.70.71.5 1.12.42.42.42.41.3 0.7 1.5 1.5 1.5 0.7 0.3 0.9 0.60.70.7 2.96 2.9 2.96 2.9 D3D3 ELBA FIPAD-04-258 BEGHELLI 33-494/126/C++D + 99-878 Crater BEGHELLI 1673 Pratica Tuttovetro BEGHELLI 11049 PLEXILITE Toma de corriente 16A Interruptor Conmutador A1A Segunda letra: interruptor/conmutador de encendido A1A A2A A3A A4A A5A A A A6A A7A A8A A9A B1B B B B2B B3B B4B B5B B6B B7B B8B B9B C1C C2C C3C C F1 F2 D1E D2E D3E D4E E E D6E E1F F F E2F E3F E4F E5F E6F E7B E8F E9B C6D C5D C4D D G1 A10A D7F D8F D9E D10E 1.5 1.5 0.70.7 1.5 1.12.42.42.42.41.3 0.7 1.5 1.5 1.5 0.7 0.3 0.9 0.60.70.7 2.96 2.9 2.96 2.9 G2 G3 G4 ESCALA FIRMA PROPIETARIO PROYECTO Alberto Cerrudo Alberto Cerrudo DIBUJADO Circuito de Velocidad Universidad de Salamanca 049 ELEC7 ELECTRICIDAD BOXES NORMALES Y VIP Circuito de Salamanca 1:50 BOX NORMAL BOX VIP
  • 11.
    BEGHELLI 33-494/126/C++D +99-878 Crater BEGHELLI 1673 Pratica Tuttovetro BEGHELLI 11049 PLEXILITE Toma de corriente 16A Interruptor Conmutador A1A Segunda letra: interruptor/conmutador de encendido A2A A3A A4A A5A A6A A7A A8A A9A A10B A11B A13B A12B A B B1 B2 B3 C1 C2 1.63.23.23.22.81.51.8 1.3 3.1 1.4 2.9 54.9 1 4.5 1 A14D A15DA16D A17D D C3 C4 A14D A15DA16D A17D D C3 C4 A2A A3A A4A A5A A6A A7A A8AA9A A10B A11B A13B A12B A B B1 B2 B3 C1 C2 1.63.23.23.22.81.51.8 1.3 3.1 1.4 2.9 4.20.53.4 1 4.5 1 ESCALA FIRMA PROPIETARIO PROYECTO Alberto Cerrudo Alberto Cerrudo DIBUJADO Circuito de Velocidad Universidad de Salamanca 050 ELEC8 ELECTRICIDAD PASILLOS Y ESCALERAS Circuito de Salamanca 1:50 PASILLOS 3 y 4 (planta baja)PASILLOS 1 y 2 (planta baja) Escaleras (primera planta ) Escaleras (azotea)
  • 12.
    A1A A2A A3A A4AA5AA6A A7AA8A A9A A10A A11BA12BA13BA14B A15B A16B A17B A18B B A B A B1C B2C B3C B4C B5D B6D B7D B8D C D C5E C4E C3E C2E C6E C7E C8E C9E C1G EF E F G C10FC11FC12FC13F C14F C15F C16F C17F D1 D2 D3 D4 D5 D6 D7D8 0.8 1.5 1.5 1.5 0.6 0.6 1.5 1.5 1.5 0.8 11.91.91.91.90.9 0.40.90.90.80.5 0.2 0.50.5 0.9 1.1 3.7 2.9 1.3 1.9 2 1.2 BEGHELLI 33-494/126/C++D + 99-878 Crater BEGHELLI 1673 Pratica Tuttovetro BEGHELLI 11049 PLEXILITE Toma de corriente 16A Interruptor Conmutador A1A Segunda letra: interruptor/conmutador de encendido ESCALA FIRMA PROPIETARIO PROYECTO Alberto Cerrudo Alberto Cerrudo DIBUJADO Circuito de Velocidad Universidad de Salamanca 051 ELEC9 ELECTRICIDAD BOXES SUPERIORES Circuito de Salamanca 1:50 D9
  • 13.
    A1A A2A A3A A4A A5A A6A A7A A8A A9A A10A A11A A12A A B12B B11B B10B B9B B8B B7B B6B B5B B4B B3B B2B B B1B C1C C2C C3C C4C C5C C6C C7C C8C C9C C10C C11C C12C C D12D D11D D10D D9D D8D D7D D6D D5D D4D D3D D2D D D1D E1E E2E E3E E4E E5E E6E E7E E8E E9E E10E E11E E12E E F12F F11F F10F F9F F8F F7F F6F F5F F4F F3F F2F F F1F G1GG2G G3G G4G G6G G5G G8G G9G G10G G7G G11HG12HG13H G H H1I I I1 I2 I3 J1 J2 J3 J4 J5 J6 J7 J8 J9 J10J11J12 C1C C2C C3D C4D C D A A' 1 2 2 2 2 2 2 2 2 2 2 2 2 2 2 2 2 2 1 1.4 1.6 1.6 1.2 2.41.22.42.41.2 7.9 7.9 7.9 7.9 2.4 22 2.4 7.9 7.9 7.9 66.1 0.71.51.51.51.5 1.431.4 2.8 3.5 0.8 2.7 5.9 0.6 1.5 0.6 1 1.32.61.2 1.4 ELBA FIPAD-04-258 BEGHELLI 33-494/126/C++D + 99-878 Crater BEGHELLI 1673 Pratica Tuttovetro BEGHELLI 11049 PLEXILITE Toma de corriente 16A Interruptor Conmutador Toma de corriente 25A A1A Segunda letra: interruptor/conmutador de encendido A1A A2A A3A A4A A5A A6A A7A A8A A9A A10A A11A A12A A B12B B11B B10B B9B B8B B7B B6B B5B B4B B3B B2B B B1B C1C C2C D12D D11D H1IH2IH3IH4IH5I I I1 I2 I3I4I5 J1 J2 J3 A1A A2A A3A A4A A5A A6AA7A A8E A9A A10A B1B B2B B3B B4B B5B B6B C1C C2C C3D C4D C D A B A E D1 D2 D3 D4 A A' 1 2 2 2 2 2 2 2.41.22.42.41.2 7.9 2.4 2 2.4 7.96.1 2.73.13.13.13.12.6 6.45.4 5.9 0.8 0.6 1.5 0.6 1 1.32.61.2 1.4 1.51.53.22.8 11.9221 1.32.62.61.3 1 3.71.81.9 3.4 1.83.7 1.2 ESCALA FIRMA PROPIETARIO PROYECTO Alberto Cerrudo Alberto Cerrudo DIBUJADO Circuito de Velocidad Universidad de Salamanca 052 ELEC10 ELECTRICIDAD ZONA DE CATERING y COCINA Circuito de Salamanca 1:50 ZONA DE CATERING COCINA
  • 14.
    T T T A1A A2A A3A A4A A5A B5B B4B B3B B2B B1B C1C C2C C3C C4C C5CC6C C7C C8C C9C C10C C11C C12C C13C C14C C15C C B A C D1D D2D D3D D E1E E2E E3E E4E E5E E6E E7E E8E E9E E10E E11E E F1F F2F F3F F4F F5FF6FF7FF8F F9FF10F F11F F12FF13FF14F F G1 G2G3 G4 G5 G6 G7 1.7 3.5 3.5 3.5 3.5 1.7 1.12.31.1 1 1.1 1111 1 1.22.4 0.2 0.8 0.20.71.2 2.2 8.74.4 4.4 0.81.620.4 0.4 1.2 1.2 0.6 1.3 1.3 1.80.5 1.6 10.6111 0.40.70.7 BEGHELLI 33-494/126/C++D + 99-878 Crater BEGHELLI 1673 Pratica Tuttovetro BEGHELLI 11049 PLEXILITE Philips CR200B 4xTL5-24W HFP GT Philips BBG390 IP54 6xLED-HB-40-/830 T Toma de corriente 16A Interruptor Interruptor temporizado Conmutador A1A Segunda letra: interruptor/conmutador de encendido ESCALA FIRMA PROPIETARIO PROYECTO Alberto Cerrudo Alberto Cerrudo DIBUJADO Circuito de Velocidad Universidad de Salamanca 053 ELEC11 Circuito de Salamanca 1:50
  • 15.
    A1A A2A A3A A4A A5A A6A A7A A8A A9A A10A B1B B2B B3B B4B B5B B6B B7B B8B B9B B10B A B C1C C2C C3C C4C C5C C6C C7C C8C D1D D2D D3D D4D D5D D6D D7D D8D CD E1 E2 E3 E4 E5 E6 E7 E8 E9 E10 2.2 2.6 2.6 2.6 2.6 2.6 2.6 2.6 2.6 1.3 1.22.32.32.31.2 6882.2 2.551.8 287.86.4 BEGHELLI 1673 Pratica Tuttovetro BEGHELLI 11049 PLEXILITE Philips CR200B 4xTL5-24W HFP GT Toma de corriente 16A Interruptor Conmutador A1A Segunda letra: interruptor/conmutador de encendido ESCALA FIRMA PROPIETARIO PROYECTO Alberto Cerrudo Alberto Cerrudo DIBUJADO Circuito de Velocidad Universidad de Salamanca 054 ELEC12 ELECTRICIDAD SALA DE PRENSA Circuito de Salamanca 1:50
  • 16.
    1.22.42.42.41.2 1.3 2.5 2.52.5 2.5 2.5 2.5 2.5 2.5 2.3 5.7 8 8 2 2.851.6 A1A A2A A3A A4A A5A A6A A7A A8A A9A A10A B2B B1B B4B B3B B5B B6B B7B B8B B9B B10B A B CD C1C C2C C3C C4C C5C C6C C7C C8C D1D D2D D3D D4D D5D D6D D7D D8D E1E2 E3 E4 E5 E6 E7 E8 E9 BEGHELLI 1673 Pratica Tuttovetro BEGHELLI 11049 PLEXILITE Philips CR200B 4xTL5-24W HFP GT Toma de corriente 16A Interruptor Conmutador A1A Segunda letra: interruptor/conmutador de encendido ESCALA FIRMA PROPIETARIO PROYECTO Alberto Cerrudo Alberto Cerrudo DIBUJADO Circuito de Velocidad Universidad de Salamanca 055 ELEC13 Circuito de Salamanca 1:50
  • 17.
    A1A A2A A3A A4A A5A B1B B2B B3B B4B B5C B6B B7C B8C C BA C1C C2C C3CC4C C C D1DD2D D3E D4E D5E E D E1F E2F E3F E4F E5F E6F F F F1 F2 F3 F4 F5 F6 F7 F12 F11 F8 F9 F10 1.8 2.2 2.2 2.2 2.2 1.1 0.91.91.91.91.90.91 20.9 1.1 0.8 2 2 1.2 0.7 0.9 0.81.70.8 1.4 2.9 1.4 2.9 1.2 1 0.6 0.70.7 3.6 2.9 4.1 0.61.21.21 0.30.60.3 2.4 1.6 0.6 Philips TCS461 2xTL5-80W HFP AC-MLO BEGHELLI 33-494/126/C++D + 99-878 Crater BEGHELLI 1673 Pratica Tuttovetro BEGHELLI 11049 PLEXILITE Toma de corriente 16A Interruptor Conmutador A1A Segunda letra: interruptor/conmutador de encendido ESCALA FIRMA PROPIETARIO PROYECTO Alberto Cerrudo Alberto Cerrudo DIBUJADO Circuito de Velocidad Universidad de Salamanca 056 ELEC14 ELECTRICIDAD SALA DE PRIMEROS AUXILIOS Circuito de Salamanca 1:50
  • 18.
    A1A A2A A3A A4AA5A A31A A32AA33AA34A B1A B2A B3A B4A B5A B30A B31AB32AB33A A A A A C1H C2H C3H C4H C5H C6H C7HC8H C9H C10H C11H D1I D2I D3I D4I D5I D6I D7I D8I D9I E1J E2J E3JE4J I J J H I H F1 G1 G2G3 G4 G5G6G7G8 H1 H2 H3 H4 H5 H6 A A' 1.8 0.5 2.6 3.1 0.7 2.4 3.1 0.8 2.3 3.1 1 1.9 1.9 1.9 1.9 1.9 0.9 1.22.52.5 0.61.61.60.81.22.11.3 1.32.51.7 2.51 1 2.1 3.1 1.3 1.8 3.1 1.4 1.7 3.1 1.6 1.5 3.1 1.7 2.52.3 1.75.1 3.1 1.1 2 BEGHELLI 33-494/126/C++D + 99-878 Crater BEGHELLI 1673 Pratica Tuttovetro BEGHELLI 11049 PLEXILITE Philips CR200B 4xTL5-24W HFP GT Toma de corriente 16A Interruptor Conmutador A1A Segunda letra: interruptor/conmutador de encendido A6A A7A A8A A9C A10C A11C A12C A13CB5A B6A B7A B8C B9C B10C B11C B12C B13C A C C D H6 H7 H8 H9 H10 H11 H12 I1 I2 A A' B B' 1.7 3.1 1.9 1.2 3.1 2 1.1 3.1 2.2 0.9 3.1 2.3 0.8 3.1 2.5 0.6 3.1 3.1 3.1 2.8 0.3 3.1 3.1 A14D A15D A16D A17D A18D A19D A20D A21D A22AB13C B14D B15D B16D B17D B18D B19D B20D B21B D D I3 I4 I5 I6 I7 I8 I9 I10 I11 B B' C C'0.6 3.1 3.1 3.3 3 3.4 2.9 3.1 0.9 2.2 3.1 0.8 2.1 3.1 0.7 2.4 3 0.5 2.3 3.1 1 2.1 A23A A24E A25F A26F A27G A28G A29G A30G B22B B23E B24F B25F B26G B27G B28G B29G E F G I12 J1 J2 J3 J4 J5 J6 J7 J8 J9 C C' 1 2.4 3.1 1.3 1.8 0.8 1.5 1.7 3.1 1.6 1.5 1.5 1.4 3.1 1.4 1.33.23.2 2.9 2.34.34.3 ESCALA FIRMA PROPIETARIO PROYECTO Alberto Cerrudo Alberto Cerrudo DIBUJADO Circuito de Velocidad Universidad de Salamanca 057 ELEC15 ELECTRICIDAD PASILLO PRINCIPAL Circuito de Salamanca 1:50
  • 19.
    A1A A2A A3A A B1 0.80.7 0.9 1.6 0.9 ELBA FIPAD-04-258 BEGHELLI 33-494/126/C++D + 99-878 Crater BEGHELLI 1673 Pratica Tuttovetro Toma de corriente 16A Interruptor Conmutador A1A Segunda letra: interruptor/conmutador de encendido A1A A2A A3A A B1 0.51.10.90.70.6 0.9 A1A A2A A3A A B1 A1A A2A A3A A A B1 B2 0.61.10.90.7 0.9 0.5 1.420.9 1.7 2.4 1.5 0.6 3.4 2 M S M M M M M 0.51.52 2 2 A1A A2A A3A A B1 S M M M M 0.51.52 1.5 1.5 A1A A2A A3A A B1 1.2 1.3 1.42.62.61.2 A1A A2A A3A A ESCALA FIRMA PROPIETARIO PROYECTO Alberto Cerrudo Alberto Cerrudo DIBUJADO Circuito de Velocidad Universidad de Salamanca 058 ELEC16 Circuito de Salamanca 1:50 ASCENSOR 2 ASCENSOR 1 SALA MONTACARGAS y ACS
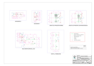
  • 20.
    ELBA FIPAD-04-258 BEGHELLI 33-494/126/C++D+ 99-878 Crater BEGHELLI 1673 Pratica Tuttovetro BEGHELLI 11049 PLEXILITE Toma de corriente 16A Interruptor Conmutador T Interruptor temporizado A1A Segunda letra: interruptor/conmutador de encendido T T T A7A A6A A5A A4AA3A A2A A1A B7B B6B B4BB3B B2B B1B AB C1C C2C C3C C4C C5C C6CC7CC8CC9C C10C C11C C12C C13C C14CD13DD12DD11DD10D D9D D8D D7D D6D D5D D4DD3DD2DD1D C D E1E E2E E3E E4F E5F E6F E F F1G F2G F3G F4G F5G F6G F7G F8G G G1H G2H G3H G4H G5H G6H G7H G8H H A1A A2A A3A A4AA5AA6A B1BB2BB3B B4B B5B B6B B7BB8BB9B C1CC2CC3C C4C C5C C6C C7CC8CC9C A B C H1 H2 H3H4H5 H6 H7 H8 I1 I2 I3 I4 I5 0.8 2 2 2 2 2 1 1.22.42.42.42.41.20.61.51.50.7 0.9 2 2 2 2 2 2 2 2 1.1 0.7 1.8 0.8 2 3663 2.3 6 33 3.8 1.4 0.81.61.6 0.8 1.6 1.6 1.6 3 0.41.31.31.80.60.6 0.31.10.30.80.8 1.6 J1I I K1 B5B J2 J1 J3 J4 J2II J3IJ4I J5I J6I J7I K2 0.9 1.4 1.4 2.3 2.30.51.10.6 1.3 K3 J8J J9J J10J J 1.5 2.2 1.12.31.1 ESCALA FIRMA PROPIETARIO PROYECTO Alberto Cerrudo Alberto Cerrudo DIBUJADO Circuito de Velocidad Universidad de Salamanca 059 ELEC17 ELECTRICIDAD PLANTA BAJA EDIFICIO 2 Circuito de Salamanca 1:50 PLANTA BAJA EDIFICIO 2 ESCALERA (primera planta) ESCALERA (azotea)
  • 21.
    Philips TCS461 2xTL5-80WHFP AC-MLO BEGHELLI 33-494/126/C++D + 99-878 Crater BEGHELLI 1673 Pratica Tuttovetro Toma de corriente 16A Interruptor Conmutador A1A Segunda letra: interruptor/conmutador de encendido A1AA2AA3A A4A A5A A6A B1B B2B B3B B4B B5B B6BB7B C1C C2C C3C C4C C5CC6CC7C A B C D1D D2D D3DD4D D E1 E4 E3 E2 E5 E6 E7 E8 Cuadro General 1.8 3.6 3.6 3.6 3.6 1.8 2.30.92.32.32.31.8 0.71.50.7 0.510.5 6 63 3.6 63 2.8 ESCALA FIRMA PROPIETARIO PROYECTO Alberto Cerrudo Alberto Cerrudo DIBUJADO Circuito de Velocidad Universidad de Salamanca 060 ELEC18 ELECTRICIDAD SALA DE CONTROL Circuito de Salamanca 1:50 SALA DE CONTROL
  • 22.
    ESCALA FIRMA PROPIETARIO PROYECTO Alberto Cerrudo AlbertoCerrudo DIBUJADO Circuito de Velocidad Universidad de Salamanca 061 ELEC19 ESQUEMA UNIFILAR CUADRO GENERAL Circuito de Salamanca
  • 23.
    ESCALA FIRMA PROPIETARIO PROYECTO Alberto Cerrudo AlbertoCerrudo DIBUJADO Circuito de Velocidad Universidad de Salamanca 062 ELEC20 Circuito de Salamanca
  • 24.
    ESCALA FIRMA PROPIETARIO PROYECTO Alberto Cerrudo AlbertoCerrudo DIBUJADO Circuito de Velocidad Universidad de Salamanca 063 ELEC21 Circuito de Salamanca
  • 25.
    ESCALA FIRMA PROPIETARIO PROYECTO Alberto Cerrudo AlbertoCerrudo DIBUJADO Circuito de Velocidad Universidad de Salamanca 064 ELEC22 Circuito de Salamanca
  • 26.
    ESCALA FIRMA PROPIETARIO PROYECTO Alberto Cerrudo AlbertoCerrudo DIBUJADO Circuito de Velocidad Universidad de Salamanca 065 ELEC23 Circuito de Salamanca
  • 27.
    ESCALA FIRMA PROPIETARIO PROYECTO Alberto Cerrudo AlbertoCerrudo DIBUJADO Circuito de Velocidad Universidad de Salamanca 066 ELEC24 Circuito de Salamanca
  • 28.
    ESCALA FIRMA PROPIETARIO PROYECTO Alberto Cerrudo AlbertoCerrudo DIBUJADO Circuito de Velocidad Universidad de Salamanca 067 ELEC25 Circuito de Salamanca
  • 29.
    ESCALA FIRMA PROPIETARIO PROYECTO Alberto Cerrudo AlbertoCerrudo DIBUJADO Circuito de Velocidad Universidad de Salamanca 068 ELEC26 Circuito de Salamanca
  • 30.
    ESCALA FIRMA PROPIETARIO PROYECTO Alberto Cerrudo AlbertoCerrudo DIBUJADO Circuito de Velocidad Universidad de Salamanca 069 ELEC27 Circuito de Salamanca
  • 31.
    ESCALA FIRMA PROPIETARIO PROYECTO Alberto Cerrudo AlbertoCerrudo DIBUJADO Circuito de Velocidad Universidad de Salamanca 070 ELEC28 Circuito de Salamanca
  • 32.
    ESCALA FIRMA PROPIETARIO PROYECTO Alberto Cerrudo AlbertoCerrudo DIBUJADO Circuito de Velocidad Universidad de Salamanca 071 ELEC29 Circuito de Salamanca
  • 33.
    ESCALA FIRMA PROPIETARIO PROYECTO Alberto Cerrudo AlbertoCerrudo DIBUJADO Circuito de Velocidad Universidad de Salamanca 072 ELEC30 Circuito de Salamanca
  • 34.
    ESCALA FIRMA PROPIETARIO PROYECTO Alberto Cerrudo AlbertoCerrudo DIBUJADO Circuito de Velocidad Universidad de Salamanca 073 ELEC31 Circuito de Salamanca
  • 35.
    ESCALA FIRMA PROPIETARIO PROYECTO Alberto Cerrudo AlbertoCerrudo DIBUJADO Circuito de Velocidad Universidad de Salamanca 074 ELEC32 Circuito de Salamanca
  • 36.
    ESCALA FIRMA PROPIETARIO PROYECTO Alberto Cerrudo AlbertoCerrudo DIBUJADO Circuito de Velocidad Universidad de Salamanca 075 ELEC33 Circuito de Salamanca
  • 37.
    ESCALA FIRMA PROPIETARIO PROYECTO Alberto Cerrudo AlbertoCerrudo DIBUJADO Circuito de Velocidad Universidad de Salamanca 076 ELEC34 Circuito de Salamanca
  • 38.
    ESCALA FIRMA PROPIETARIO PROYECTO Alberto Cerrudo AlbertoCerrudo DIBUJADO Circuito de Velocidad Universidad de Salamanca 077 ELEC35 Circuito de Salamanca
  • 39.
    ESCALA FIRMA PROPIETARIO PROYECTO Alberto Cerrudo AlbertoCerrudo DIBUJADO Circuito de Velocidad Universidad de Salamanca 078 ELEC36 Circuito de Salamanca
  • 40.
    ESCALA FIRMA PROPIETARIO PROYECTO Alberto Cerrudo AlbertoCerrudo DIBUJADO Circuito de Velocidad Universidad de Salamanca 079 ELEC37 Circuito de Salamanca
  • 41.
    ESCALA FIRMA PROPIETARIO PROYECTO Alberto Cerrudo AlbertoCerrudo DIBUJADO Circuito de Velocidad Universidad de Salamanca 080 ELEC38 Circuito de Salamanca
  • 42.
    ESCALA FIRMA PROPIETARIO PROYECTO Alberto Cerrudo AlbertoCerrudo DIBUJADO Circuito de Velocidad Universidad de Salamanca 081 ELEC39 Circuito de Salamanca
  • 43.
    ESCALA FIRMA PROPIETARIO PROYECTO Alberto Cerrudo AlbertoCerrudo DIBUJADO Circuito de Velocidad Universidad de Salamanca 082 ELEC40 Circuito de Salamanca
  • 44.
    ESCALA FIRMA PROPIETARIO PROYECTO Alberto Cerrudo AlbertoCerrudo DIBUJADO Circuito de Velocidad Universidad de Salamanca 083 ELEC41 Circuito de Salamanca
  • 45.
    ESCALA FIRMA PROPIETARIO PROYECTO Alberto Cerrudo AlbertoCerrudo DIBUJADO Circuito de Velocidad Universidad de Salamanca 084 ELEC42 Circuito de Salamanca