HIDROMETALURGIA IMIN316 – 2014 - Germán Cáceres Arenas Página 1
FACULTAD DE INGENIERIA
Carrera
INGENIERIA CIVIL EN MINAS
CURSO HIDROMETALURGIA – IMIN316
2014
PROFESOR: DR. GERMAN CACERES ARENAS
HIDROMETALURGIA IMIN316 – 2014 - Germán Cáceres Arenas Página 2
CONTENIDO
INTRODUCCION
UNIDAD 1: FUNDAMENTOS TERMODINAMICOS DE LA HIDROMETALURGIA
1.1. Reacción química
1.2. Reacción electroquímica
1.3. Diagramas Eh-pH
UNIDAD 2: LIXIVIACION
2.1. Cinética de reacciones
2.2. Etapas de una reacción
2.3. Difusión
2.4. Influencia de las características de las partículas
UNIDAD 3: PRACTICA DE LA LIXIVIACION
3.1. Sistemas de lixiviación
3.2. Lixiviación en pilas
3.3. Lixiviación por agitación
UNIDAD 4: SEPARACION SOLIDO – LIQUIDO
4.1. Espesadores
4.2. Lavado en contra corriente
4.3. Filtros
UNIDAD 5: PURIFICACION Y CONCENTRACION DE SOLUCIONES
5.1. Hidrólisis
5.2. Cementación
5.3. Precipitación de un compuesto específico
UNIDAD 6: LIXIVIACION EN PILA DE MINERALES DE COBRE
6.1. Minerales oxidados de cobre
6.2. Descripción del proceso LIX/SX/EW
6.3. Aglomeración
6.4. Lixiviación
6.5. Configuración de plantas de lixiviación
HIDROMETALURGIA IMIN316 – 2014 - Germán Cáceres Arenas Página 3
6.6. Operación y control del proceso
6.7. Diseño de pilas
UNIDAD 7: EXTRACCION POR SOLVENTE DE COBRE
7.1. Descripción del proceso
7.2. Conceptos fundamentales
7.3. Reactivos utilizados
7.4. Determinación del número de etapas
7.5. Configuración de plantas de SX de cobre
7.6. Operación y control del proceso
7.7. Diseño de plantas de SX de cobre
UNIDAD 8: ELECTRO OBTENCION DE COBRE (EW)
8.1. Descripción del proceso
8.2. Conceptos fundamentales
8.3. Configuración de plantas de EW de cobre
8.4. Operación y control del proceso
8.5. Diseño de plantas de EW de cobre
UNIDAD 9: ELECTRO REFINACION DE COBRE (ER)
9.1. Descripción del proceso
9.2. Conceptos fundamentales
9.3. Configuración de plantas de ER de cobre
9.4. Operación y control del proceso
9.5. Tratamiento de barros anódicos
HIDROMETALURGIA IMIN316 – 2014 - Germán Cáceres Arenas Página 4
INTRODUCCION
Por hidrometalurgia se entiende los procesos de lixiviación selectiva (disolución) de los
componentes valiosos de las menas y su posterior recuperación de la solución por
diferentes métodos. El nombre de hidrometalurgia se refiere al empleo generalizado de
soluciones acuosas como agente de disolución.
Hay tres etapas principales de los procesos hidrometalúrgicos:
1. Disolución del metal deseado presente en el mineral.
2. Concentración y/o purificación de la solución obtenida.
3. Precipitación del metal deseado o sus compuestos.
Los reactivos químicos empleados deben reunir muchas propiedades para poder usarse,
por ejemplo: no deben ser muy caros, deben ser fácilmente recuperables y deben ser
bastante selectivos para disolver determinados compuestos. Estos, se clasifican en: ácidos
(H2SO4, HNO3, HCl, HNO3+HCl), bases (NaOH, NH4OH), sales (de sodio: NaCl, Na2S, NaCN,
Na2S2O3, de amonio, férricas, cianuro, cloruro), oxidantes (Fe+3
/Fe+2
, Cu+2
/Cu+
, O2, H2O2).
En este curso, se verán los procesos de la hidrometalurgia del cobre y del oro. Se
recomienda al estudiante referirse a las varias publicaciones que se publicaron estos
últimos años en el campo de la hidrometalurgia para profundizar los temas que le
interesan.
En las figuras 1 y 2 se muestran las tecnologías actuales de procesamiento de minerales
de cobre y oro, respectivamente.
HIDROMETALURGIA IMIN316 – 2014 - Germán Cáceres Arenas Página 5
HIDROMETALURGIA IMIN316 – 2014 - Germán Cáceres Arenas Página 6
Figura 1: Tecnología de procesamiento de minerales de cobre
CHANCADO LIXIVIACION
PILAS
EXTRACCION
SOLVENTE
ELECTRO
OBTENCION
MINA
AGLOMERACION
MOLIENDA FLOTACION FUNDICION
ELECTRO
REFINACION
LIXIVIACION
BOTADERO
ACIDO
CATODO
HIDROMETALURGIA IMIN316 – 2014 - Germán Cáceres Arenas Página 7
Figura 2: Tecnología de procesamiento de minerales de oro
HIDROMETALURGIA IMIN316 – 2014 - Germán Cáceres Arenas Página 8
UNIDAD 1: FUNDAMENTOS TERMODINAMICOS DE LA HIDROMETALURGIA
1.1. Reacción química
Consideremos una reacción química, escrita bajo la forma:
(1)
Donde:
a, b, c: son los coeficientes estequiométricos de la reacción.
A, B: son los reactantes.
C, D: son los productos.
La condición de equilibrio de esta reacción es que ΔG=0
(2)
| | | |
| | | |
(3)
Donde:
: Variación de la energía libre de la reacción.
: Variación de la energía libre estándar de la reacción.
K: Constante de equilibrio de la reacción.
T: Temperatura absoluta, K
R: Constante de los gases ideales (1,987 cal/mol K)
| | : Actividad del reactante A, B o del producto C y D
El valor de la energía libre estándar de la reacción ΔG0
, en cal/mol, kcal/mol o Joule/mol,
se puede determinar conociendo los potenciales químicos estándares o las energías libres
de formación de los reactantes y productos , en cal/mol, kcal/mol o Joule/mol, los
cuales se encuentran tabulados en las tablas termodinámicas, donde se escriben también
como G0
o F0
.
HIDROMETALURGIA IMIN316 – 2014 - Germán Cáceres Arenas Página 9
(4)
Donde:
: Coeficientes estequiométricos de la reacción.
: Potencial químico estándar de la reacción.
En este caso:
(5)
Para los cálculos, se usan las convenciones de Latimer:
a 298 K (25°C)
Al equilibrio (no hay variación de energía libre),
Por lo tanto:
(6)
(7)
Pasando a logaritmo decimal, a 25°C y en kcal/mol, la expresión anterior queda como
sigue:
(8)
(9)
K es la constante de equilibrio de la reacción considerada a la temperatura T:
HIDROMETALURGIA IMIN316 – 2014 - Germán Cáceres Arenas Página 10
En soluciones diluidas, las actividades de las especies disueltas se aproximan por su
concentración molar (mol/litro). La actividad de un sólido o líquido puro es 1.
Ejemplo: Cálculo de y K
Consideremos la reacción de lixiviación de (óxido de cobre (II), tenorita) con ácido
sulfúrico. La reacción química se escribe así:
(10)
En la tabla 1.1 se dan los valores de los potenciales químicos de las especies que
participan en esta reacción (datos tomados del HSC).
Tabal 1.1: Potenciales químicos estándar, kcal/mol
Especie , kcal/mol
15,545
-30,611
-56,678
0
2
2
| |
| |
=
Las concentraciones están expresadas en mol/L (molar)
HIDROMETALURGIA IMIN316 – 2014 - Germán Cáceres Arenas Página 11
1.2. Reacción electroquímica
Consideremos una reacción electroquímica, escrita bajo la forma:
(11)
Donde:
Ox: es la especie oxidante
Red: es la especie reductora
n: es el número de electrones que participan en la reacción
La condición de equilibrio para esta reacción electroquímica está dada por la ecuación de
Nernst:
| |
| |
(12)
Donde:
E: Potencial redox de la reacción electroquímica, V
E0
: Potencial estándar de la reacción electroquímica, V
R: Constante de los gases ideales (1,987 cal/mol K)
T: Temperatura, K
n: Número de electrones
F: Constante de Faraday (23.060 cal/V Equivalente o 96.500 Coulomb)
| |: Actividad de la especie oxidante
| |: Actividad de la especie reductora
Reemplazando en la ecuación de Nernst, los valores numéricos de R y F; y expresando esta
ecuación en logaritmo decimal y a 25°C, se tiene:
| |
| |
(13)
E0
es el potencial redox estándar de la reacción electroquímica; es decir, cuando todas las
especies que participan en la reacción están en su estado estándar (sólidos y líquidos
puros; y las especies disueltas a una concentración molar).
HIDROMETALURGIA IMIN316 – 2014 - Germán Cáceres Arenas Página 12
El E0
se calcula de la siguiente manera:
(14)
Observación:
Cuando se escribe la reacción electroquímica en un solo sentido; esto es:
(15)
Entonces:
(16)
Ejemplo: Cálculo del E0
del sistema redox Cu/Cu2+
Se considera la reacción de equilibrio electroquímico redox Cu/Cu2+
siguiente:
Resultados para diferentes concentraciones de cobre:
HIDROMETALURGIA IMIN316 – 2014 - Germán Cáceres Arenas Página 13
Escala de potenciales estándar
Los valores de están tabulados en una escala de potenciales estándar de reacciones
electroquímicas, tal como se muestra en la figura 3.
Figura 3: Escala de potenciales estándar, V
Ag/Ag+
0,80
0
1
2
-1
0,77
0,34
Fe+2
/Fe+3
Cu/Cu+2
1,68
1,23 H2O/O2
Au/Au+
2
H2/H+
-0,76
-0,44
Zn/Zn+2
Fe/Fe+2
-3
-2
-3,04
-2,71 Na/Na+
Li/Li+
-1,66
Volt
Mg/Mg+2
Al/Al+3
-2,36
HIDROMETALURGIA IMIN316 – 2014 - Germán Cáceres Arenas Página 14
1.3. Diagramas Eh - pH
La forma más conveniente de representar la termodinámica de sistemas acuosos es en
forma gráfica en los diagramas de Pourbaix o diagramas potencial - pH. Estos diagramas
son ampliamente utilizados por los hidrometalurgistas, por cuanto permiten visualizar
posibilidades de reacciones sin tener que recurrir al cálculo termodinámico para los
fenómenos que ocurren en medio acuoso.
Una importante restricción en la aplicación práctica de los diagramas termodinámicos, es
que predicen tendencias a que ocurran fenómenos, pero no la velocidad con que éstos
puedan ocurrir. En la práctica las velocidades de reacción pueden variar desde valores tan
altos que son controlados por limitaciones en la transferencia de masa, a valores tan bajos
que se requieren períodos geológicos para observar en forma directa el fenómeno. La
cinética extremadamente lenta en algunas reacciones conduce a que algunas fases sólidas
existan en condiciones fuera de su rango de estabilidad termodinámica o que fases sólidas
no se formen en condiciones termodinámicas favorables y lo hagan otras en su lugar
(fases meta estables) (ejemplo: precipitación de hidróxido de hierro). En este caso, es a
veces útil utilizar diagramas Eh - pH modificados que consideren las fases meta estable.
Existe un atlas de diagramas Eh - pH (Pourbaix) en papel y el software HSC Chemistry 7 de
Outukumpu en digital. En este curso, se mostrará cómo construir, interpretar y utilizar
esos diagramas; por lo cual se van a construir a modo de ejemplos los diagrama Eh - pH
del agua y del cobre.
HIDROMETALURGIA IMIN316 – 2014 - Germán Cáceres Arenas Página 15
Diagrama Eh - pH del agua
Puesto que se está considerando el equilibrio termodinámico de especies en solución
acuosa, es relevante incluir en los diagramas Eh - pH los límites de estabilidad del agua.
Las semi reacciones a considerar son:
En medio ácido Oxidación 2 H2O  O2 + 4 H+
+ 4 e-
E° = 1.23 V
Reducción 2 H+
+ 2 e H2 E° = 0.00 V
En medio básico Oxidación 4 OH-  O2 + 2 H2O + 4 e- E° = 0.401 V
Reducción 2 H2O + 2 e-
 H2 +2 OH-
E° = -0.83 V
Para calcular un diagrama de Pourbaix, se utilizan las ecuaciones de las reacciones en
medio ácido, las cuales están directamente relacionadas con la concentración en iones H+
y el pH.
Oxidación
2 H2O <=> O2 + 4 H+ + 4e- E° = 1.23 V
(11)
HIDROMETALURGIA IMIN316 – 2014 - Germán Cáceres Arenas Página 16
Reducción
2 H+ + 2 e- <=> H2 E° = 0 V
(12)
Para PH2 = 1 atm y PO2 = 1 atm, las ecuaciones (11) y (12) se simplifican a:
Estas dos ecuaciones corresponden a rectas de pendiente (-0.06) y se muestran en la
figura 4 siguiente. La región entre las líneas es el área de estabilidad termodinámica del
agua bajo una presión de 1 atm y para una temperatura de 25 °C.
HIDROMETALURGIA IMIN316 – 2014 - Germán Cáceres Arenas Página 17
O2
H2O
H+
Acido y
oxidante
Básico y
oxidante
Básico y
reductor
Acido y
reductor
pH
Figura 4: Diagrama Eh - pH del agua
HIDROMETALURGIA IMIN316 – 2014 - Germán Cáceres Arenas Página 18
Construcción del diagrama Eh - pH del cobre en agua
Se presenta a continuación la construcción - simplificada - y uso del diagrama Eh - pH para
el caso del sistema Cu - H2O. Consideramos actividades unitarias para todas las especies
metálicas en solución. Este diagrama es adecuado para analizar la lixiviación de óxidos
simples como tenorita (CuO) y cuprita (Cu2O) o de cobre nativo.
Tabla 1:
Especies consideradas en el diagrama Eh - pH de Cu - H2O.
Especie
Energía libre de
formación, °
(calorías)
Estado de
oxidación del Cu
Denominación
Cu 0 0 cobre nativo
Cu2O -34.950 1 cuprita (rojo)
CuO -30.400 2 tenorita (negro)
Cu+ 12.000 1 ion cuproso
Cu2+
15.530 2 ion cúprico
HCuO2
-
-61.420 2
ion hidrogenuro
de cuprato
Se consideran sucesivamente las diferentes reacciones entre las especies consideradas
para el diagrama Eh - pH del cobre. Cada reacción corresponde a una línea de equilibrio en
el diagrama de Pourbaix.
HIDROMETALURGIA IMIN316 – 2014 - Germán Cáceres Arenas Página 19
Reacciones en que participan H+, pero no e-
Reacciones químicas propiamente tal, dependen sólo del pH.
a) CuO + 2 H+ <=> Cu2+ + H2O
(13)
En este caso, se consideran actividades unitarias para todas las especies metálicas en
solución.
HIDROMETALURGIA IMIN316 – 2014 - Germán Cáceres Arenas Página 20
Figura 5: Representación del equilibrio químico Cu2+/CuO, cuando [Cu2+]=1mol/l.
La figura 5, muestra que si la concentración de Cu2+ es de 1 mol/litro, el óxido de cobre
CuO precipita a un pH igual o superior a 3.95, independientemente del Eh.
b) CuO + H2O <=> HCuO2- + H+ = 25.670 cal
A partir del , se calcula la relación de equilibrio siguiente :
Este pH es mayor que 14, el límite superior de un diagrama Eh - pH convencional.
del CuO
Zona de
estabilidad
Eh
pH3.95
Zona de
estabilidad
del Cu(2+)
HIDROMETALURGIA IMIN316 – 2014 - Germán Cáceres Arenas Página 21
=> El CuO se considera como estable hasta pH 14.
c) CuO + H2O <=> CuO2
2-
+ 2H+
A partir del , se calcula la relación de equilibrio siguiente:
Este pH es mayor que 14, el límite superior de un diagrama Eh - pH convencional.
=> El CuO se considera como estable hasta pH 14.
HCuO2- <=> CuO22- + H+
A partir del , se calcula la relación de equilibrio siguiente :
HIDROMETALURGIA IMIN316 – 2014 - Germán Cáceres Arenas Página 22
Si hay 2 especies en solución, la línea de equilibrio se define donde las actividades de las
dos especies son iguales.
Figura 6. Representación del equilibrio químico HCuO2- <=> CuO22- + H+
Ese equilibrio no se dibuja en el diagrama de Pourbaix porque HCuO2
2-
no existe a pH <
18.95. En la construcción del diagrama, algunas líneas generadas mediante los cálculos
termodinámicos deben ser eliminados total o parcialmente, ya que representan
equilibrios que no tienen significado en la práctica.
Cu2O + 2 H+ <=> 2 Cu+ + H2O
pH = -0.85 Al equilibrio, si [Cu+] = 1 mol/l.
Eh
pH13.15
HCuO2
-
CuO2
2-
[HCuO2(-)] >> [CuO2(2-)] [HCuO2(-)] << [CuO2(2-)]
HIDROMETALURGIA IMIN316 – 2014 - Germán Cáceres Arenas Página 23
=> El Cu2O debería existir para todo pH superior a -0.85, pero no es así porque el Cu+ no
existe en solución, como se muestra en el capítulo siguiente.
Reacciones en que participan e-, pero no H+
Reacciones electroquímicas propiamente tal, dependen sólo del Eh.
a) Cu2+ + e- <=> Cu+ E = 0.15 V
b) Cu+ + e- <=> Cu E = 0.52 V
c) Cu2+ + 2e- <=> Cu E = 0.34 V
HIDROMETALURGIA IMIN316 – 2014 - Germán Cáceres Arenas Página 24
Se puede observar el la figura 7 que hay un conflicto de equilibrios, no es posible que un
especie se mantenga en 2 campos termodinámicos. El ion cuproso (Cu+) no es estable en
soluciones acuosas, transformándose en Cu2+ y Cu° según la reacción de DISMUTACION:
2 Cu+ => Cu2+ + Cu° (14)
Figura 7. Inestabilidad del ion Cu+ por dismutación
Reacciones en que participan e- y H+
Reacciones electroquímicas, dependen del Eh y del pH.
Cu2+ + H2O + 2 e- <=> Cu2O + 2 H+
Eh
pH
0.52
0.34
0.15
Cu+
Cu °
Cu2+
Cu °
Cu2+
Cu+
HIDROMETALURGIA IMIN316 – 2014 - Germán Cáceres Arenas Página 25
E = 0.20 + 0.06 pH
2 CuO + 2 H+ + 2 e- <=> Cu2O + 2 H2O
E = 0.67 - 0.06 pH
Cu2O + 2 H+ + 2 e- <=> 2 Cu + 2 H2O
E = 0.47 - 0.06 pH
HIDROMETALURGIA IMIN316 – 2014 - Germán Cáceres Arenas Página 26
Figura 8. Diagrama Eh - pH del sistema Cu - H2O
( T = 25°C, actividades = 1 ( [iones]=1 ) , P = 1 atm )
HIDROMETALURGIA IMIN316 – 2014 - Germán Cáceres Arenas Página 27
1.3.1. Interpretación del diagrama Eh-pH del cobre en agua
Interpretación
La disolución de los óxidos simples de cobre es termodinámicamente posible en el
dominio ácido y en presencia de oxidantes. La tenorita (CuO) sólo necesita condiciones de
pH, mientras que en esas condiciones, la cuprita (Cu2O) necesita además la presencia de
un agente oxidante (iones Fe3+, O2, u otros).
Las reacciones son:
CuO + 2 H+
<=> Cu2+
+ H2O
y
Cu2O + 2H+
<=> 2 Cu2+
+ H2O + 2 e-
Ox. + 2 e- <=> Red.
Cu2O + 2 H+ + Ox. <=> 2 Cu2+ + Red. + H2O
en que Ox, representa un agente oxidante cualquiera.
En forma inversa, al estar el Cu2+ en solución, y para poder permanecer en ella, necesita
de una cierta acidez libre, evitándose de esta manera su posterior precipitación a pH >4.
A través de todo el rango de pH, el cobre metálico es termodinámicamente estable
estando en contacto con agua, pero en ausencia de oxigeno (u otro oxidante).
La precipitación electrolítica se puede realizar aplicando al cátodo un potencial inferior a
0.34 V. De esta forma el cobre Cu2+ se reduce en el cátodo de acuerdo a :
Cu2+ + 2e- <=> Cu° (cátodo)
HIDROMETALURGIA IMIN316 – 2014 - Germán Cáceres Arenas Página 28
Influencia de la concentración de los iones
El diagrama ha sido trazado para actividades unitarias. Si se traza para otras actividades,
por ejemplo 10-6 (diagramas de corrosión), aumentan el dominio de estabilidad de los
iones, pero el diagrama mantiene su forma produciéndose sólo desplazamientos paralelos
de las rectas que limitan a estos iones.
Por ejemplo, reemplazando en (13) el valor numérico de [Cu2+]=10-6, se llega a:
=> pH = 6.95
En este caso, el pH de precipitación de CuO aumenta hasta 6.95; se amplía el rango de
estabilidad de los iones en solución.
HIDROMETALURGIA IMIN316 – 2014 - Germán Cáceres Arenas Página 29
HIDROMETALURGIA IMIN316 – 2014 - Germán Cáceres Arenas Página 30
UNIDAD 2: LIXIVIACION
2.1. Cinética de reacciones
2.1.1. Introducción
El hecho de que una reacción sea termodinámicamente posible ( <0), no es suficiente
para predecir si la reacción va a pasar en una escala de tiempo razonable. Eso depende de
la cinética de la reacción. Este factor es muy importante para la concepción y la evaluación
de la rentabilidad económica de todos los procesos hidrometalúrgicos. También en las
plantas en operación, optimizar la cinética resulta generalmente en un mejoramiento del
proceso.
De esta forma, los productos finales de una operación hidrometalúrgica van a estar
condicionados generalmente por condiciones de tipo cinético.
Por ejemplo, la lixiviación de la calcopirita y otros sulfuros con sulfato férrico es
termodinámicamente factible (Existen discrepancias respecto al mecanismo de la
reacción con sulfato férrico, ya que también puede ocurrir la reacción CuFeS2 + 4 Fe3+ =>
Cu2+ + 5 Fe3+ + 2 S°):
CuFeS2 + 8 H2O => Cu2+ + Fe3+ + 2 SO4
2- + 17 e- + 16 H+
17 Fe+3 +17 e- => 17 Fe2+
---------------------------------------------------------------------------------
CuFeS2 + 16 Fe+3 + 8 H2O => Cu2+ + 17 Fe2+ + 2 SO4
2- + 16 H+ ( <0)
Pero en la práctica, después de 100 días de lixiviación, sólo se alcanza a poner en solución
un 5 % de la calcopirita, 50 % de calcosina y 80% de covelina.
2.1.2. Definiciones
Reacción homogénea - heterogénea
Reacción Homogénea: Reacción química o electroquímica en la cual todos los productos y
reactantes pertenecen a una sola y misma fase.
Ejemplo:
HIDROMETALURGIA IMIN316 – 2014 - Germán Cáceres Arenas Página 31
MnO4
- + 5 Fe2+ + 8 H+ <=> Mn2+ + 5 Fe3+ + 4 H2O
Reacción Heterogénea: Una reacción es heterogénea si tiene lugar en dos o más fases.
Ejemplo:
Velocidad de una reacción
En general, las reacciones químicas se pueden escribir de la manera siguiente:
Donde:
A, B, C y D: son los componentes del sistema (A y B son los reactantes; C y D son los
productos)
a, b, c y d: son los coeficientes estequiométricos
La velocidad de una reacción (v) es el número de moles transformados por unidad de
tiempo del componente i involucrado en la reacción química:
La velocidad se puede definir de varias formas:
(a) Basada en la unidad de volumen de fluido reaccionante
dt
dNi
HIDROMETALURGIA IMIN316 – 2014 - Germán Cáceres Arenas Página 32
(b) Basada en la unidad de volumen del reactor
(c) Basada en la unidad de superficie interfacial en un sistema de dos fluidos o
basada en la unidad de superficie del sólido en los sistemas líquido - sólido
(reacción heterogénea):
(d) Basada en la unidad de masa del sólido en los sistemas fluido-sólido
2.2. Etapas de una reacción
En general, los sistemas hidrometalúrgicos están caracterizados por sistemas
heterogéneos, es decir, sus reacciones tienen lugar en una interface en la cual ocurre
transferencia de materia de una fase a la otra.
HIDROMETALURGIA IMIN316 – 2014 - Germán Cáceres Arenas Página 33
Figura 9: Esquema de una reacción de lixiviación con disolución completa del
mineral.
Las reacciones heterogéneas son controladas por la velocidad de la reacción química
propiamente tal o por la transferencia de masa de los diversos reactantes hacia la
superficie de contacto de los dos fases. En la figura 9, se muestra un modelo simplificado
de lixiviación, con disolución completa del mineral. Este caso representa la disolución de
especies puras que no forman residuos sólidos como producto de la reacción, tales como
el oro en cianuro, la chalcantita en ácido sulfúrico,...
Las etapas principales de una reacción son :
(1) Transporte de masa de los reactantes gaseosos a través de la interfase gas -
líquido y posterior disolución (cuando es el caso).
(2) Transporte de masa de los reactantes a través de la capa límite solución -
sólido, hacia la superficie del sólido.
(3) Reacción química o electroquímica en la superficie del sólido, incluyendo
adsorción y desorción en la superficie del sólido y/o a través de la doble capa
electroquímica.
(4) Transporte de masa de las especies producidas a través de la capa límite hacia
el seno de la solución.
La etapa controlante de una reacción es la de velocidad más lenta ( R.D.S. : Rate
Determining Step). El control de la reacción global puede ser:
HIDROMETALURGIA IMIN316 – 2014 - Germán Cáceres Arenas Página 34
- Por transporte de masa (etapa 1, 2 o 4)
- Por reacción química (etapa 3)
- Mixto
Las reacciones homogéneas son generalmente más rápidas que las reacciones
heterogéneas, ya que necesitan transporte de masa en una sola fase y que las especies en
solución reaccionan rápidamente. Por otra parte, las reacciones heterogéneas implican el
transporte de masa a través del límite entre dos fases, lo que a veces es la etapa
controlante de las reacciones. Las reacciones más importantes en hidrometalurgia son
heterogéneas, y a veces son controladas por el transporte de masa (difusión).
En la figura 10, se muestra un modelo simplificado de lixiviación, con formación de una
capa de residuo poroso. Este caso es tal vez el más frecuente en lixiviación. La reacción de
disolución de las especies sulfuradas de cobre con iones férricos, corresponde a este caso.
La lixiviación de minerales de baja ley, en las que el material estéril o ganga constituye la
fracción mayoritaria, puede considerarse también en ese grupo. La "capa" que se forma
representa el estéril del mineral, mientras la disolución se propaga hacia el interior de la
partícula.
Figura 10: Esquema de una reacción de lixiviación con formación de una capa porosa.
5
6
HIDROMETALURGIA IMIN316 – 2014 - Germán Cáceres Arenas Página 35
En este modelo, hay dos etapas adicionales:
(5) Difusión del reactivo a través de la capa sólida producida por la reacción
(producto poroso)
(6) Transporte de masa de las especies solubles, productos de la reacción, a través
de la capa sólida formada, hacia el seno de la solución.
HIDROMETALURGIA IMIN316 – 2014 - Germán Cáceres Arenas Página 36
2.3. Difusión
Introducción
La difusión en fase homogénea es la etapa limitante más común en una reacción
hidrometalúrgica. Básicamente, la difusión es un proceso que tiende a igualar
concentraciones dentro de una fase. El potencial que provoca la difusión es el gradiente
de concentración dentro de la fase, tal como, por ejemplo, el potencial que provoca la
transferencia de calor es el gradiente de temperatura.
Cuando empieza una reacción (por ejemplo consumo de un reactante en la superficie de
un sólido), un perfil de concentración se desarrolla poco a poco cerca de la interface
sólido - líquido (ver fig. 11).
c = c (t, x)
En reacciones de disolución o precipitación de un sólido, la difusión a través de una zona
adyacente a la interface sólido - líquido puede ser controlante de la velocidad. En
condiciones de agitación constante, el espesor de esta zona permanece constante y
pronto se obtiene una condición de estado estacionario (independiente del tiempo) en la
cual la cantidad de material que entra en la zona es igual a la que deja la zona.
vconsumo del reactivo = vaporte por difusión
y
c = c(x,t)
Figura 11: Perfil de
concentración de un
reactante (que se
consume) cerca de la
interfase sólido - líquido
en función del tiempo y
de la distancia.
Concentración
Reactante
Distancia de la interfase (x)
0
0
Sólido
C°
t=0
t
Cs
HIDROMETALURGIA IMIN316 – 2014 - Germán Cáceres Arenas Página 37
Primera ley de FICK
La primera ley de FICK relaciona la cantidad de material que difunde por unidad de tiempo
en una dirección perpendicular a un plano de referencia de área unitaria con el gradiente
de concentración de este:
J : Flujo de material a través de un plano de referencia. [
moles cm-2 s-1 ]
C : Concentración de la especie disuelta [ moles cm-3 ]
x : Coordenada de posición (medida perpendicularmente
al plano de referencia)
D : Coeficiente de difusión de la especie considerada en
solución acuosa. En el sistema cgs, D tiene las
dimensiones [cm2/s]. En la mayoría de los sistemas
hidrometalúrgicos se introduce poco error al
considerar el coeficiente de difusión constante e
independiente de la concentración. (Valor aprox. =
10-6 cm2/s )
Capa de difusión
La capa de difusión es una delgada capa de líquido adyacente a la interface sólido - líquido
y que prácticamente se adhiere al sólido, debido a que es necesario que la velocidad de la
solución sea nula en la interfase con el sólido. El transporte de masa de especies disueltas
a través de esa capa de líquido adherido al sólido se hace por difusión.
NERNST propone la siguiente aproximación de la ecuación de Fick, por linearización en
x=0:
C0 : Concentración de la especie en el seno de la solución
Cs : Concentración de la especie en la superficie del sólido
HIDROMETALURGIA IMIN316 – 2014 - Germán Cáceres Arenas Página 38
x : Espesor de la capa de difusión de Nernst
Figura 12: Gradiente de concentración en la vecindad de una interfase sólido -
líquido.
La figura 12, representa la capa de difusión adyacente a la superficie del sólido (x) con la
concentración (línea de puntos) variando linealmente de acuerdo a la ecuación (6). La
concentración verdadera se indica por la línea continua, lo que da una idea de las
simplificaciones hechas.
Si la etapa limitante es la difusión, entonces la especie llega a la superficie y se consume
inmediatamente; su concentración es nula en la superficie del sólido (Cs=0). La ecuación
(6) se reduce a:
o
v = k x C0
HIDROMETALURGIA IMIN316 – 2014 - Germán Cáceres Arenas Página 39
Donde K = -D/x, es el coeficiente de transporte de masa, equivalente a la constante de
velocidad de una reacción de primer orden. Eso es generalmente válido cuando las
concentraciones de especies reactivos y productos son bajas.
El transporte de masa a través de la capa de difusión puede ser aumentado:
(1) Reduciendo el espesor de la capa de difusión.
(2) Aumentando el gradiente de concentración, esto es aumentando la
concentración de la solución (C0).
(3) Aumentando la temperatura de la solución.
(4) Aumentando la superficie de contacto.
El espesor de la capa de difusión depende de la rugosidad del sólido, de la viscosidad de la
solución, de la velocidad de agitación y del grado de turbulencia y fuerzas de cizalle. x
disminuye cuando aumenta el grado de turbulencia.
Pobre agitación => x > 0.5 mm (ej.: lixiviación en pilas)
Buena agitación => x = +/- 0.01 mm
Un aumento de temperatura no necesariamente aumenta la velocidad de un proceso
global ya que, por ejemplo, la solubilidad de los gases disminuye con la temperatura.
HIDROMETALURGIA IMIN316 – 2014 - Germán Cáceres Arenas Página 40
Difusión a través de un producto poroso
La difusión a través de la capa de sólido que se va formando como producto de la reacción
sobre el núcleo reaccionante y/o a través de la capa de partículas inertes es un factor
importante en prácticamente todos los procesos heterogéneos. Cuando los poros son
grandes, que es el caso que interesa en sistemas hidrometalúrgicos, es válida la ley de Fick
expresada en este caso como:
Donde C es la concentración en la solución y Df es el COEFICIENTE DE DIFUSIÓN EFECTIVO,
dado por:
D : Coeficiente de difusión de la especie considerada en
solución acuosa
E : Porosidad de la capa de producto (varia de 0 a 1)
 : Tortuosidad de la capa de producto (En general,
fluctúa entre 2 y 10 )
Transporte de masa en el seno de la solución
Si el sistema es bien agitado (agitador, convección,...), el transporte de masa es muy
eficiente y no limita la velocidad de la reacción. La solución se considera homogénea (C,
pH,...).
Sin embargo, algunos procesos, como la lixiviación en pila, no pueden siempre ser
operados para mantener una solución homogénea.
HIDROMETALURGIA IMIN316 – 2014 - Germán Cáceres Arenas Página 41
Absorción de gases en líquidos
La termodinámica determina la concentración de un gas disuelto en solución después de
un tiempo de contacto gas - líquido suficiente para alcanzar el equilibrio. Por ejemplo, si
PO2 = 0.21 atm, [O2]disuelto = 8 mg/l (25 °C).
| |
| |
La absorción de los gases en líquidos puede ser la etapa limitante si hay un gran consumo
de oxígeno y cuando la cinética de reacción sólido - solución es rápida (ej.: Oxidación de
los sulfuros a presión o biológicamente).
La velocidad de absorción de gases en un líquido depende de:
(1) Superficie de contacto gas - líquido efecto positivo
(Mayor cuando hay muchas burbujas pequeñas)
(2) Velocidad relativa de las burbujas efecto positivo
(3) Presión parcial del gas efecto positivo
(4) Grado de agitación efecto positivo
(5) Temperatura efecto negativo
2.4. Influencia de las características de las partículas
Tamaño de las partículas
La superficie de reacción aumenta cuando disminuye el tamaño de las partículas.
Forma y textura de las partículas
HIDROMETALURGIA IMIN316 – 2014 - Germán Cáceres Arenas Página 42
El efecto de la forma de las partículas es poco importante en hidrometalurgia, y muy difícil
de modelar.
Factores mineralógicos
La reactividad de los granos de minerales es fuertemente afectada por factores tales que
orientación cristalina, inclusiones, dislocaciones e impurezas.
Porosidad
La velocidad de cualquier reacción aumenta con la porosidad, ya que la difusión es más
fácil y/o hay una mayor superficie de reacción.
Efectos galvánicos
Cuando dos minerales conductores están en contacto eléctrico en una solución, el de
potencial más electronegativo se va a disolver preferentemente.
Figura 13: Efecto galvánico en la disolución de arsenopirita en contacto con
pirita.
HIDROMETALURGIA IMIN316 – 2014 - Germán Cáceres Arenas Página 43
Efecto de las especies que compiten con la especie valiosa
Minerales otros que el mineral valioso, si están presentes en la mena, pueden
eventualmente consumir los reactivos de lixiviación, disminuyendo sus concentraciones y
la velocidad de reacción. Por ejemplo, los carbonatos consumen el ácido sulfúrico en la
lixiviación de cobre y los sulfuros consumen el cianuro en la disolución de oro.
HIDROMETALURGIA IMIN316 – 2014 - Germán Cáceres Arenas Página 44
UNIDAD 3: PRACTICA DE LA LIXIVIACION
3.1. Sistemas de Lixiviación
En general, la práctica industrial de la lixiviación, presenta diferentes sistemas de
operación que se seleccionan de acuerdo a factores técnicos y económicos en el análisis
de un proyecto, algunos de los cuales son:
- ley de la especie de interés a recuperar
- reservas de mineral
- caracterización mineralógica y geológica
- comportamiento metalúrgico
- capacidad de procesamiento
- costos de operación y de capital
- rentabilidad económica
Una forma de clasificar los métodos de lixiviación es:
Lixiviación de lechos fijos:
- in situ, in place
- en botaderos
- en pilas
- en bateas
HIDROMETALURGIA IMIN316 – 2014 - Germán Cáceres Arenas Página 45
Lixiviación de pulpas:
- por agitación, a presión ambiente
- en autoclaves
HIDROMETALURGIA IMIN316 – 2014 - Germán Cáceres Arenas Página 46
Tabla 2: Resumen de diferentes técnicas de lixiviación de minerales
Rangos de Aplicación y resultados Métodos de Lixiviación
En Botaderos En Pilas Percolación Agitación
Ley del mineral Baja ley Baja-media Media-alta Alta ley
Tonelaje grande Gran a mediano Amplio rango Amplio rango
Inversión mínima media Media a alta alta
Granulometría Corrido de mina Chancado grueso
Chancado
medio
Molienda húmeda
Recuperaciones
típicas
40 a 50 % 50 a 70% 70 a 80% 80 a 90 %
Tiempo de
tratamiento
Varios años Varias semanas Varios días horas
Calidad de
soluciones
Diluidas
(1-2 gpl Cu)
Diluidas
(1-6 gpl Cu)
Concentradas
(20-40 gpl Cu)
Medianas
(5-15 gpl Cu)
Problemas
principales en su
aplicación
-recuperación
incompleta,
-reprecipitación de
Fe y Cu,
-canalizaciones,
-evaporación
- pérdidas de
soluciones
- soluciones muy
diluidas.
-recuperación
incompleta,
-requiere de
grandes áreas,
canalizaciones,
- reprecipitaciones,
- evaporación.
- bloqueo por
finos,
- requiere de
más inversión,
- manejo de
materiales,
-necesidad de
mayor control
en la planta.
- molienda,
- lavado en
contracorriente,
- tranque de
relaves,
- inversión muy alta,
- control de la
planta es más
sofisticado.
HIDROMETALURGIA IMIN316 – 2014 - Germán Cáceres Arenas Página 47
3.1.1. Lixiviación in situ - in place
La lixiviación IN PLACE se refiere a la lixiviación de residuos fragmentados dejados en
minas abandonadas, mientras la lixiviación IN SITU se refiere a la aplicación de soluciones
directamente a un cuerpo mineralizado.
Por lo general, estas operaciones presentan actualmente un gran interés por los bajos
costos de inversión y operación que se requieren, y que posibilitan recuperar valores
metálicos que de otra manera no podrían ser extraídos. Sin embargo, presentan serios
riesgos de contaminación ambiental. Los bajos costos son consecuencia de evitar o al
menos disminuir los costos de extracción minera, el transporte del mineral a la planta y de
los desechos finales del proceso, y la construcción de una planta de lixiviación.
Generalmente, la recuperación es baja (< 50%).
Dependiendo de la zona a lixiviar, que puede ser subterránea o superficial, se distinguen
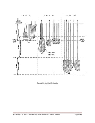
tres tipos de lixiviación in situ, como se puede visualizar desde Fig.14.
Tipo I: Se trata de la lixiviación de cuerpos mineralizados fracturados situados cerca de la
superficie, sobre el nivel de las aguas subterráneas. Puede aplicarse a minas en desuso, en
que se haya utilizado el "block caving", o que se hayan fracturado hidráulicamente o con
explosivos (IN PLACE LEACHING).
Tipo II: Son lixiviaciones IN SITU aplicadas a yacimientos situados a cierta profundidad bajo
el nivel de aguas subterránea, pero a menos de 300 - 500 m de profundidad. Estos
depósitos se fracturan en el lugar y las soluciones se inyectan y se extraen por bombeo.
Tipo III: Se aplica a depósitos profundos, situados a más de 500 m bajo el nivel de aguas
subterráneas.
HIDROMETALURGIA IMIN316 – 2014 - Germán Cáceres Arenas Página 48
Figura 14: Lixiviación in situ
HIDROMETALURGIA IMIN316 – 2014 - Germán Cáceres Arenas Página 49
3.1.2. Lixiviación en botaderos (Dump leaching)
Esta técnica consiste en lixiviar lastres, desmontes o sobrecarga de minas de tajo abierto,
los que debido a sus bajas leyes (por ej. < 0.4% Cu) no pueden ser tratados por métodos
convencionales. Este material, generalmente al tamaño "run of mine" es depositado sobre
superficies poco permeables y las soluciones percolan a través del lecho por gravedad.
Normalmente, son de grandes dimensiones, se requiere de poca inversión y es económico
de operar, pero la recuperación es baja (por ej. 40-60 % Cu) y necesita tiempos excesivos
para extraer todo el metal. Las soluciones se alimentan generalmente por aspersión.
Normalmente la lixiviación en botaderos es una operación de bajo rendimiento (pero
también de bajo costo). Entre las diferentes razones para ello se puede mencionar:
- Gran tamaño de algunas rocas (> 1 m).
- Baja penetración de aire al interior del botadero.
- Compactación de la superficie por empleo de maquinaria pesada.
- Baja permeabilidad del lecho y formación de precipitados (yeso)
- Excesiva canalización de la solución favorecida por la heterogeneidad de tamaños
del material en el botadero.
Figura 15:
Botaderos.
HIDROMETALURGIA IMIN316 – 2014 - Germán Cáceres Arenas Página 50
3.1.3. Lixiviación en batea (por percolación)
Esta técnica consiste en contactar un lecho de mineral con una solución acuosa que
percola e inunda la batea o estanque. Un esquema de equipo empleado en lixiviación en
batea se presenta en Fig. 16
Los minerales a tratar por este método deben presentar contenidos metálicos altos o muy
altos, debiendo ser posible lixiviar el mineral en un período razonable (3 a 14 días) y en
trozos de tamaño medio con tonelajes suficientes de mineral percolable en el yacimiento
que permitan amortizar la mayor inversión inicial que requiere este tipo de proceso.
Ya que esos minerales no existen más, es una tecnología antigua actualmente en desuso.
Figura 16: Equipos de lixiviación en batea.
HIDROMETALURGIA IMIN316 – 2014 - Germán Cáceres Arenas Página 51
3.2. Lixiviación en pilas (heap leaching)
Descripción
El esquema general del proceso se puede observar en la Fig. 17. El mineral procedente de
la explotación, a cielo abierto o subterránea, debe ser ligeramente preparado en una
planta de chancado y/o aglomeración, para conseguir una granulometría controlada que
permita un buen coeficiente de permeabilidad.
Una vez preparado el mineral, se coloca en pilas de sección trapezoidal y altura calculada
para proceder a su riego con la solución lixiviante. Tras percolar a través de toda la pila, se
recolectan los líquidos enriquecidos (solución rica) que se llevan a la planta de proceso de
recuperación de la sustancia mineral (sal o metal). Las aguas sobrantes del proceso
vuelven a ser acondicionadas para ser recicladas hacia las pilas. También en algunos casos
es preciso añadir agua fresca, para reponer las fuertes pérdidas de evaporación del
circuito.
Se denomina cancha de lixiviación a la superficie de apoyo de la pila donde se coloca la
impermeabilización. Cuando la cancha es recuperada para reutilizarla con un nuevo
mineral se trata de lixiviación en PILAS DINAMICAS, mientras que si el terreno no es
recuperado y, por lo tanto, el mineral agotado queda en el depósito como nueva base
para otra pila, se trata de lixiviación en PILAS ESTATICAS o PERMANENTES.
La solución rica (SR o PLS: pregnant leach solution) es generalmente impura y diluida y
deberá ser purificada y concentrada antes de recuperar el metal. En la hidrometalurgia del
cobre, eso se realiza mediante la extracción por solvente seguida por la electro obtención
del cobre. La solución rica contiene 4 - 6 g/l Cu y 1 - 3 g/l H2SO4 y es impura (Fe, Al, Cl,
Mn, SiO2, Al2O3 coloides, sólidos en suspensión)
HIDROMETALURGIA IMIN316 – 2014 - Germán Cáceres Arenas Página 52
Figura 17: Esquema de lixiviación en pila
HIDROMETALURGIA IMIN316 – 2014 - Germán Cáceres Arenas Página 53
Construcción de las pilas
El diseño de las pilas debe tener en cuenta los siguientes factores:
- La calidad del piso o base de apoyo (impermeable)
- Las facilidades de riego y recolección o drenaje del efluente.
- La estabilidad de la pila seca y saturada en agua
- Los tanques (piscinas) de soluciones ricas, intermedias y pobres
- La forma de apilamiento o deposición del material lixiviable (compactación,
homogeneidad)
Preparación de la base de las pilas
Se necesita disponibilidad de amplias superficies de terreno relativamente planas (menos
de 10% de pendiente). La cancha debe ser considerada con su sistema de
impermeabilización, para controlar las pérdidas de soluciones y evitar contaminaciones
del medio ambiente. El sistema consiste en:
- Una base firme y consolidada, debidamente preparada
- Una capa de lecho granular sobre el que apoyar suavemente la lámina
- La lámina o capa de impermeabilización
- Un conjunto de drenaje o capa de recolección de líquidos
- Una capa protectora del sistema
Generalmente, las membranas o láminas de impermeabilización del piso son geo
membranas de origen sintético (láminas de plástico: polietileno de alta densidad o PVC de
1 a 1.5 mm o polietileno de baja densidad de 0.2 a 0.3 mm de espesor) pero también
pueden ser materiales arcillosos compactados sobre el propio terreno, hormigón, asfalto,
etc... Se pueden disponer de membranas o sellados simples, dobles o triples, de acuerdo
con el número de capas impermeables o membranas que se hayan utilizado.
HIDROMETALURGIA IMIN316 – 2014 - Germán Cáceres Arenas Página 54
Una parte importante de la construcción de la pila es el sistema de recolección de la
solución rica, que, en general consta de grava o material filtrante sobre la lámina y
tuberías perforadas drenantes de plástico (drenes, drenaflex).
Técnicas de apilamiento del mineral
El uso de cargadores frontales y camiones (Fig. 18 a) ha sido desplazado, en los últimos
proyectos, por apiladores autopropulsados de bajo perfil de carga, como en el caso de
Lince, para tonelajes de 5.000 a 10.000 tpd (Fig. 18 b). Para tonelajes mayores, 17.500 tpd
en Quebrada Blanca por ejemplo, se ha adoptado el sistema de correas cortas y móviles
(grass hoppers) que se articulan flexiblemente en secuencia para transportar el mineral
desde el aglomerador hasta el apilador móvil que construye la pila (Fig. 18 c). Para
tonelajes aún mayores, como en El Abra 125.000 tpd, se implementaron otros tipos de
equipos (apiladores sobre orugas).
La altura de la pila fluctúa entre 2.5 m para sistemas de camión y cargador frontal, hasta
10 m para apiladores.
HIDROMETALURGIA IMIN316 – 2014 - Germán Cáceres Arenas Página 55
Figura 18: Técnicas de apilamiento de pilas
Chancado
Aglomeración
Correa Camión Cargador frontal
Pila
(a) Producciones pequeñas, baja inversión
Apilador Mobil
Chancado
Aglomeración
Correa Camión
Chancado
Pila
(b) Producciones pequeñas - medianas. Mejora la permeabilidad de la pila.
HIDROMETALURGIA IMIN316 – 2014 - Germán Cáceres Arenas Página 56
Riego de la pila
El riego de las pilas se puede realizar fundamentalmente por dos procedimientos: por
aspersión o por goteo, este último siendo recomendable en caso de escasez de líquidos y
bajas temperaturas (Fig. 19 a y b). En la industria, se utiliza generalmente una tasa de
riego del orden de 10 - 20 litros/h/m2.
El riego tiene que ser homogéneo.
(a) Por aspersión (b) Por goteo
Figura 19: Técnicas de riego de pilas
HIDROMETALURGIA IMIN316 – 2014 - Germán Cáceres Arenas Página 57
Operación de las pilas
Al inicio de la operación, se deben disponer como mínimo de dos pilas, comenzándose con
el riego de la primera de ellas. En un principio se obtendrá una alta concentración (Cmáx)
en la solución, que irá descendiendo hasta un valor por debajo de la concentración media
(Cmed) de diseño. En este momento se pone simultáneamente en operación la segunda
pila, con dos sistemas posibles:
a) Lixiviación de las dos pilas con obtención de una única solución rica final (Fig. 20)
b) Lixiviación de la primera pila con producción de solución intermedia, que se recicla
a la segunda pila nueva en donde se obtiene la solución rica (Fig. 21). Este segundo
sistema se generalizó, ya que permite alargar el tiempo de lixiviación de las pilas
y/o disminuir el caudal de solución rica y entonces el tamaño de la planta de SX.
Cuando la primera pila alcanza el valor mínimo económico, se procede al lavado con agua
fresca y drenaje hasta el agotamiento, yendo esta solución al depósito o piscina de
solución estéril para recirculación al sistema. Al mismo tiempo se pone en operación una
nueva pila.
Según las disponibilidades de área, la pila agotada se puede cargar y transportar a un
depósito de ripios cercano (PILA DINAMICA o REMOVIBLE) o puede servir de base para la
formación de una nueva pila (PILA PERMANENTE).
Si el tiempo de lixiviación no es suficiente, la recuperación baja. Es un problema, porque
no es posible aumentar el tiempo sin aumentar el área de la cancha de lixiviación.
HIDROMETALURGIA IMIN316 – 2014 - Germán Cáceres Arenas Página 58
Figura 20, Esquema de un sistema de lixiviación en pilas.
SX
0.5 g/l Cu
[ácido] élevada
Ultimos días
Piscina refino
ácido
Piscina solución intermedia
3 g/l Cu
[ ácido ] debil
Primeros días
6 g/l Cu
Piscina solución rica
SX
Pila
Figura 21: Reciclaje de la solución lixiviante en contra - corriente.
HIDROMETALURGIA IMIN316 – 2014 - Germán Cáceres Arenas Página 59
Chancado del mineral
El chancado del mineral debe cumplir con tres objetivos:
1. Ser lo suficientemente fino para que la mayoría de las especies metálicas valiosas
estén expuesta a la acción de la solución lixiviante.
Por ej. : 100 % bajo 3/4"
2. No generar demasiadas partículas finas para no alterar la permeabilidad de la pila. (Por
convención, se llama fina toda partícula bajo 100 mallas)  “Material arcilloso”. Por
ej.: partículas finas < 10%
3. El mineral chancado debe ser el más homogéneo posible, todas las partículas siendo
comprendidas en un estrecho rango de tamaño (Fig. 22).
HIDROMETALURGIA IMIN316 – 2014 - Germán Cáceres Arenas Página 60
Tabla 3: Escala de tamaños de partículas, en pulgadas, mallas Tyler y mm.
16/16" 8/8" 4/4" 2/2" 1" 25.4 mm
19.0 mm
12.7 mm
9.5 mm
6.4 mm
4.8 mm
3.2 mm
3/4" FRACCION
GRUESA
8/16" 4/8" 2/4" 1/2"
3/8"
4/16" 2/8" 1/4"
3/16"
2/16" 1/8" FRACCION
MEDIA
.
.
.
4 mallas 4.75 mm
.
.
.
FRACCION
FINA
100
mallas
150 mm
HIDROMETALURGIA IMIN316 – 2014 - Germán Cáceres Arenas Página 61
Figura 22: Curvas de distribución granulométrica de un producto de la etapa de chancado.
La curva (1) es más homogénea que la curva (2).
(1)
(2)
HIDROMETALURGIA IMIN316 – 2014 - Germán Cáceres Arenas Página 62
Aglomeración
Lixiviación TL (Thin Layer)
Este concepto revolucionó la industria de lixiviación del cobre (Pudahuel 1980). Consiste
en impedir la acumulación de solución en la pila. Al contrario de la lixiviación en bateas, la
pila no se inunda. La solución escurre sobre las partículas de minerales, formando una
capa delgada de líquido (Fig. 23)
Figura 23: Concepto de lixiviación TL
HIDROMETALURGIA IMIN316 – 2014 - Germán Cáceres Arenas Página 63
Permeabilidad del lecho
Se necesita que el lecho de partículas que conforman la pila sea bien permeable, para
asegurar una buena percolación y dispersión de la solución lixiviante en la pila, sin
escurrimiento preferencial. También, las pilas podrían derrumbarse si hay acumulación de
agua en la pila.
La permeabilidad del lecho de mineral es mayor si:
- Las partículas son de tamaño suficientemente grande
- No hay acumulación de partículas finas
- El tamaño de las partículas es homogéneo en la pila
- No hay compactación de la pila por maquinaria pesada
Proceso de aglomeración
De lo anterior, se deduce que se tiene que reducir la cantidad de partículas finas en la pila
para aumentar su permeabilidad. Hoy en día, el proceso más empleado para solucionar el
problema de los finos es la aglomeración.
El proceso de aglomeración consiste en esencia en la adhesión de partículas finas a las
gruesas, que actúan como núcleos o la aglomeración de los finos con los finos, a partir de
la distribución de tamaños en la alimentación (Fig. 24).
HIDROMETALURGIA IMIN316 – 2014 - Germán Cáceres Arenas Página 64
Figura 24: Concepto de aglomeración.
Aglomeración por humedad
El proceso más simple de aglomeración es humedecer el mineral con líquido, hasta
alcanzar un contenido de agua que origine una tensión superficial suficiente, para que al
colisionar las partículas entre sí, los finos se adhieran a los tamaños gruesos. Se forma un
puente líquido entre las partículas.
El cálculo teórico de la humedad óptima es casi imposible y depende de muchos factores
como la mineralogía del mineral, contenido de finos, arcillas, ... Puede ser de 6 - 8 % para
minerales muy limpios, hasta un 10-15 % H2O para materiales normales.
Aglomeración por adherentes
Existen ciertos materiales que pueden mejorar la adherencia de las partículas finas a las
gruesas, prolongando esta unión tanto en la manipulación como en la operación de
lixiviación.
HIDROMETALURGIA IMIN316 – 2014 - Germán Cáceres Arenas Página 65
En el caso de la lixiviación del cobre, la aglomeración (o curado) se realiza con el mismo
lixiviante ácido en un tambor rotatorio (Fig. 3.2.9). Primero, se humecta el mineral (+/-
4%) con agua o solución pobre (refino). Después, se agrega ácido sulfúrico concentrado
(+/- 30 kg/t o 3%), este ácido ataca el mineral y genera compuestos cementantes entre las
partículas.
Además de la aglomeración, ocurren reacciones químicas conduciendo a la formación de
sulfatos de cobre y hierro (curado propiamente tal). Estas reacciones son exotérmicas y
generan calor. Por ejemplo:
CuO + H2SO4 => CuSO4 + H2O
CuSiO3 + H2SO4 => CuSO4 + SiO2 + H2O
Después de la aglomeración en el tambor rotatorio, se deja reposar el mineral durante 24
h en la pila, para que se completen las reacciones químicas y que se adhieran entre sí las
partículas en la misma pila.
En el caso de la aglomeración de minerales de oro y plata, los aglomerantes son
normalmente el cemento y la cal. Estos reactivos mejoran la adhesión de las partículas
entre sí, y también aumentan el pH del mineral para su posterior cianuración.
Equipos
El equipo más común es el tambor aglomerador. Consiste en un cilindro inclinado girando
a baja velocidad, ocasionando el deslice (cascada) y la aglomeración del mineral
previamente mojado con agua y/o adherentes (Fig. 25).
Se practica también la aglomeración en depósitos (stock), en cintas transportadoras y en
platos.
HIDROMETALURGIA IMIN316 – 2014 - Germán Cáceres Arenas Página 66
Figura 25: Aglomeración en tambor rotatorio.
HIDROMETALURGIA IMIN316 – 2014 - Germán Cáceres Arenas Página 67
Variables del proceso
Se puede estudiar el efecto de varias variables operacionales sobre la recuperación del
metal valioso y la cinética, realizando pruebas de laboratorio en columnas.
Las principales variables son:
 La granulometría
 La altura de la pila
 La tasa de riego [l/h.m2
]
 La razón de lixiviación, m3
/TMS
 La concentración en ácido de la solución de riego
 El tiempo de lixiviación (depende de la cinética: química, 2 a 4 meses; bacterial, 6 a
12 meses)
Todos estos factores están relacionados entre sí.
Por ejemplo, si se aumenta la altura de la pila, la concentración en ácido del primer metro
es buena, pero baja a medida que la solución percola en la pila y el cobre de los estratos
inferiores no se lixivia bien. Se puede aumentar la concentración en ácido de la solución
de lixiviación, para salir de la pila con +/- 3 g/l [H+], pero mientras más ácido se da a la
ganga, más ésta consume, así que se va a incrementar el consumo de ácido. Otra
posibilidad es aumentar la tasa de riego, pero existe un riesgo de inundar la pila.
HIDROMETALURGIA IMIN316 – 2014 - Germán Cáceres Arenas Página 68
3.3. Lixiviación por agitación
Descripción
La lixiviación por agitación se utiliza en los minerales de leyes más altas, cuando los
minerales generan un alto contenido de finos en la etapa de chancado, o cuando el
mineral deseado está tan diseminado que es necesario molerlo para liberar sus valores y
exponerlos a la solución lixiviante. Es también el tipo de técnica que se emplea para
lixiviar calcinas de tostación y concentrados.
Se recurre a la agitación mediante burbujeo o bien a la agitación mecánica para mantener
la pulpa en suspensión hasta que se logra la disolución completa, siendo el tiempo de
contacto de los sólidos con la solución del orden de horas comparado con el proceso de
lixiviación en pilas que requiere meses. Los agitadores mecánicos son simplemente
impulsores colocados en el interior del tanque (Fig. 26 a), mientras que los tanques
agitados con aire son a menudo tanques de tipo "Pachuca" (Fig. 26 b).
Sus ventajas comparativas con otros métodos de lixiviación son:
- Alta extracción del elemento a recuperar
- Tiempos cortos de procesamiento (horas)
- Proceso continuo que permite una buena automatización
- Facilidad para tratar menas alteradas o generadoras de finos
Sus desventajas son:
- Un mayor costo de inversión y operación
- Necesita una etapa de molienda y una etapa de separación sólido-líquido
(espesamiento y filtración).
HIDROMETALURGIA IMIN316 – 2014 - Germán Cáceres Arenas Página 69
En Copiapó - Chile, se puede mencionar la Planta La Coipa, propiedad de KINROSS. Utiliza
el proceso de cianuración de oro y plata por agitación en ocho estanques en serie. Procesa
16.000 t/día de mineral para producir 8214 kg/año de oro y 3315 t/año de plata (1993).
Figura 26: Equipos de lixiviación por agitación
Variables del proceso
El análisis de las variables de la lixiviación por agitación en sistemas industriales, para la
definición y optimización del proceso, debe necesariamente hacer confluir aspectos
técnicos, operacionales y económicos.
HIDROMETALURGIA IMIN316 – 2014 - Germán Cáceres Arenas Página 70
Granulometría
El grado de molienda debe ser lo suficiente como para exponer, por lo menos
parcialmente, la superficie del mineral valioso a la acción de la solución lixiviante.
Depende del tipo de mineral y de sus características mineralógicas.
Deberá considerarse un tamaño tal que no contenga un exceso de gruesos (> 2 mm) que
produzca problemas en la agitación (embancamiento, aumento de la potencia del
agitador) y que por otra parte, no contenga un exceso de finos (menos de 40% < 75
micrones), que dificulten la separación sólido-líquido posterior de la pulpa lixiviada.
Debido a lo anterior; y además, para disminuir los consumos de energía por concepto de
molienda y los costos de filtración y decantación, la agitación se deberá tratar de realizar
al mayor tamaño que la operación lo permita.
Tabla 4: Tamaño de algunos minerales para la lixiviación por agitación
Mineral
Tamaño de lixiviación
(mm) (mallas ASTM)
Cobre oxidado 0.83 20
Oro 0.25 60 (P80=160 µm)
Conc. de oro
(sulfuros)
0.044 325
Calcinados de
zinc
0.074 200
HIDROMETALURGIA IMIN316 – 2014 - Germán Cáceres Arenas Página 71
Tiempo de lixiviación
La economía del proceso de lixiviación es función del grado de disolución o porcentaje de
extracción del mineral valioso. Sin embargo, esto no es tan importante como el tiempo
necesario para una extracción aceptable, es decir la velocidad de disolución.
Figura 27: Porcentaje de extracción en función del tiempo.
La figura 27, muestra una curva típica entre estos dos parámetros. Existe al principio una
extracción rápida, que decrece posteriormente al máximo obtenible para un tamaño dado
de partícula. Esta curva se puede obtener de pruebas de lixiviación en botellas en el
laboratorio.
HIDROMETALURGIA IMIN316 – 2014 - Germán Cáceres Arenas Página 72
Mineralogía del mineral
El tamaño y la disposición de la especie valiosa influye el grado de molienda necesario
para exponer esta especie a la solución lixiviante.
La arcillas son una familia de minerales alumino-silicatos, que existen en todos las menas y
producen partículas muy finas (algunos micrones). La presencia de muchas arcillas puede
impedir una buena filtración del relave.
Otras variables
La lixiviación se realiza a temperatura ambiente (o en autoclaves).
La concentración de reactivos debe ser optimizada según el tipo de operación.
El porcentaje de sólidos debe ser en la mayoría de los casos lo más alto posible para
alcanzar una alta concentración del ion metálico en la solución de lixiviación, minimizar los
costos de inversión en el circuito de lixiviación por menor capacidad volumétrica y reducir
el tamaño y costo subsecuente de espesamiento y filtración. El porcentaje de sólidos en la
pulpa varía entre 20 y 50%.
El porcentaje de sólidos se calcula por el peso del mineral en la pulpa. Por ejemplo, si una
pulpa es constituida por 1 kg de mineral en 2 litros de agua, su
La velocidad de agitación debe ser lo suficientemente alta para mantener los sólidos en
suspensión, para que no decanten. Una velocidad de agitación alta tiende a favorecer la
cinética de la reacción, pero tiene un costo energético apreciable (Fig. 28). Favorece
también la disolución de gases en la solución. Existen varios diseños de agitadores (Fig.
29).
HIDROMETALURGIA IMIN316 – 2014 - Germán Cáceres Arenas Página 73
Figura 28: Efecto de la agitación en la velocidad de lixiviación
Figura 29: Varios diseños de turbinas.
HIDROMETALURGIA IMIN316 – 2014 - Germán Cáceres Arenas Página 74
Diseño
Se considera como ejemplo un sistema de lixiviación continua industrial constituido de
varios estanques en serie (Fig. 30).
Datos
Número de estanques: 8
Capacidad: 15000 t/d = 625 t/h
% sólidos: 33.33%
Grado de molienda: 100% < 60 mallas ASTM
Densidad real del mineral: 2.8 g/cm3 = 2.8 t/m3
Tiempo de lixiviación: 24h
sólido - líquido
de separación
Mineral
molido
Solución
Pulpa
Pulpa a etapa
Figura 30: Esquema de un sistema continuo industrial
HIDROMETALURGIA IMIN316 – 2014 - Germán Cáceres Arenas Página 75
Cálculo de la cantidad de agua en la pulpa
Cálculo del flujo de pulpa (sólidos + agua)
Cálculo del volumen de cada uno de los 8 estanques
Volumen de un estanque cilíndrico:
Entonces, si consideramos 8 estanques cilíndricos tales que h = 1.5d,
HIDROMETALURGIA IMIN316 – 2014 - Germán Cáceres Arenas Página 76
UNIDAD 4: SEPARACION SOLIDO LIQUIDO
Introducción
En una planta de lixiviación en pilas, la solución que escurre de las pilas es bastante clara y
contiene muy pocos sólidos en suspensión. En la mayoría de los casos, no hay etapa
específica de separación sólido - líquido. La solución rica se almacena en piscinas donde
pueden decantar los pocos sólidos que contiene.
Al contrario, la lixiviación por agitación produce una pulpa consistente en pequeñas
partículas sólidas en suspensión en la solución. Una etapa de separación sólido - líquido es
absolutamente necesaria para sacar los sólidos de la solución y enviarlos al tranque de
relaves, mientras la solución clarificada puede pasar una posterior etapa de recuperación
de valores.
Hay dos métodos de separación sólido - líquido:
- El espesamiento (hasta 55% sólidos)
- La filtración (hasta 92% sólidos)
HIDROMETALURGIA IMIN316 – 2014 - Germán Cáceres Arenas Página 77
4.1. Espesadores
Los espesadores son equipos que efectúan la separación sólido-líquido por decantación de
los sólidos en un estanque grande. Un esquema se presenta en la figura 31.
Alimentación (Pulpa)
Solución claraSolución clara
Pulpa más concentrada
(40 - 60 % sólidos)
Solución
Decantación sólidos
Figura 31: Esquema de un espesador
HIDROMETALURGIA IMIN316 – 2014 - Germán Cáceres Arenas Página 78
4.2. Lavado en circuitos de decantación en contracorriente (DCC)
El sólido (barro decantado) siempre viene acompañado de solución de impregnación (+/-
40 %), y ésta contiene valores, por lo cual es imperativo recuperarla.
Después de la lixiviación, la pulpa que se obtiene del último agitador debe pasar por
etapas de separación sólido - líquido y lavado, antes de desechar los sólidos lixiviados. El
lavado se puede realizar en varios espesadores, en los cuales el agua de lavado y la pulpa
fluyen en contracorriente (Fig. 32). Del primer espesador sale la solución exenta de sólidos
que continúa el proceso y del último, el mineral agotado o relave.
A las operaciones de lavado de los sólidos en contracorriente, se les denomina como
etapas DCC, que significa decantación en contracorriente.
Figura 32: Circuito de decantación en contra corriente DCC.
HIDROMETALURGIA IMIN316 – 2014 - Germán Cáceres Arenas Página 79
Determinación de la eficiencia de lavado por balance másico en circuitos DCC.
Operacionalmente, el balance másico del sistema permite determinar la eficiencia de
lavado en sistemas DCC.
Su aplicación se visualizará a través del siguiente ejemplo (Fig. 33).
Bases:
1000 t/d mineral
55% sólidos en la descarga de los
espesadores
Razón de lavado RL = 2.5 (agua de
lavado / flujo de solución de lix.
acompañando a los sólidos)
55% sólidos en la alimentación
Figura 33: Balance de masa en un circuito DCC.
HIDROMETALURGIA IMIN316 – 2014 - Germán Cáceres Arenas Página 80
Volumen de líquidos, m3/d:
Alimentación A = 1000 x (100 - 55)/55 = 818 m3
/día (se aproxima a 800 para
facilidad de cálculos)
Descarte D = 818 m3
/día (800)
Agua de lavado W = 800 x 2.5 = 2000 m3
/día
Solución rica SF = 2000 m3
/día
Cálculo de las concentraciones:
o
800 C0 + 2000 C2 = 2800 C1 2 C0 + 5 C2 = 7 C1
800 C1 + 2000 C3 = 2800 C2 2 C1 + 5 C3 = 7 C2
800 C2 + 2000 C4 = 2800 C3 2 C2 + 5 C4 = 7 C3
800 C3 + 2000 x 0 = 2800 C4 2 C3 + 0 = 7 C4
Por lo tanto,
La eficiencia de lavado queda dada por:
HIDROMETALURGIA IMIN316 – 2014 - Germán Cáceres Arenas Página 81
Ecuación de PAGE para cálculos DCC
PAGE ha desarrollado y comprobado una ecuación generalizada, definida en términos de
razón de lavado y número de etapas, para el caso más simple, pero más común en DCC
(Fig. 33), asumiendo que no hay disolución en los espesadores y que la mezcla de la pulpa
y solución de lavado es completa en cada etapa.
Cn : concentración metal en la etapa n
CL : concentración metal en la alimentación al primer espesador
CW : concentración metal en el agua o solución de lavado
RL : razón de lavado = Qw / QL
n : número de etapas de lavado
QW : flujo de la solución de lavado
QL : flujo de la solución de lixiviación (alimentación)
HIDROMETALURGIA IMIN316 – 2014 - Germán Cáceres Arenas Página 82
4.4. Filtros
El empleo de filtros en hidrometalurgia, permite recuperar una cantidad adicional de
líquido retenido a partir de precipitados o de pulpas de 55-60% en sólidos procedentes de
espesamiento, como también tratar directamente soluciones de lixiviación, a objeto de
disminuir la cantidad de sólidos en suspensión que pueden afectar procesos posteriores
de tratamiento.
Filtros de vacío: - de tambor (Fig. 34)
- de discos (o cerámica)
- horizontal, de cinta
Filtros de presión: - prensa
- stellar
- de arena
El lavado del sólido es posible en los filtros de tipo vacío, como lo muestra la figura 4.4.2.
Se rocía agua sobre el sólido filtrado para desplazar a la solución que contiene. Se alcanza
fácilmente una eficiencia de lavado del orden de 70%.
HIDROMETALURGIA IMIN316 – 2014 - Germán Cáceres Arenas Página 83
Figura 34: Lavado de un mineral en un filtro de tambor.
Pulpa
Succión de
aire y agua
Sólido seco
Lavado
HIDROMETALURGIA IMIN316 – 2014 - Germán Cáceres Arenas Página 84
UNIDAD 5: PURIFICACION Y CONCENTRACION DE SOLUCIONES
Introducción
En un proceso de purificación o de concentración, siempre hay dos fases en contacto
(líquido - sólido o líquido - líquido). Se trata de un proceso de:
• Purificación si la impureza va a la otra fase
• Concentración si el elemento deseado va a la otra fase
Los procesos de purificación y/o concentración son muy variados y dependen de:
• La naturaleza del elemento deseado
• Las impurezas presentes en la solución
• El tipo de proceso de recuperación
• El grado de pureza deseado para el producto final
Los procesos de purificación y/o concentración se pueden dividir en varias categorías:
• Hidrólisis
• Cementación
• Precipitación de un compuesto específico
• Extracción por solventes
• Resinas de intercambio iónico
Para evaluar un proceso de separación, los criterios son la selectividad de la separación, la
recuperación (o grado de remoción) y el consumo de reactivos (o de energía).
Obviamente, estos tres parámetros están correlacionados y se necesita hacer la
evaluación económica del proceso que se desea utilizar.
HIDROMETALURGIA IMIN316 – 2014 - Germán Cáceres Arenas Página 85
Figura 35: Esquema general del tratamiento hidrometalúrgico de un mineral.
En este capítulo, se mostrarán como ejemplos las etapas de purificación de una solución
de zinc en ácido sulfúrico antes de su electro obtención. El proceso se muestra en la figura
36
Mineral Solución de lixiviación
Lixiviación
Separación
sólido-líquido
Purificación
Concentración
Recuperación
especie valiosa
Solución impura y diluida
Sólido agotado
Tranque de relaves
o botadero
Solución casi pura
y más concentrada
Metal o compuesto puro
Impurezas
Solución
agotada
HIDROMETALURGIA IMIN316 – 2014 - Germán Cáceres Arenas Página 86
Figura 36: Esquema de purificación de una solución para electro obtención de zinc.
Tabla 5, Impurezas en la solución de lixiviación del zinc.
Antes de
purificación
(mg/l)
Después de
purificación
(mg/l)
Fe mucho -
Cu 1000 <0.1
Cd 1000 0.1 - 0.2
Co 30 - 50 0.1 - 0.2
Ni 30 - 50 trazas
Sb, As 0.1 < 0.01
Ge < 0.1 <0.01
Solución impura
Hidrolisis
Cementación
Precipitación
Compuestos
Solución pura
a electroobtención
Fe
Coprecipitación
de Ge y As
Cu y Cd
Ni y Co
HIDROMETALURGIA IMIN316 – 2014 - Germán Cáceres Arenas Página 87
5.1. Hidrólisis
Precipitación de hidróxidos
Los diagramas Eh - pH muestran que los iones metálicos existen en soluciones acuosas
sólo dentro de ciertos límites de pH. La manera más sencilla de separar un metal de su
solución es mediante la alcalinización de la solución, dando lugar a su precipitación como
hidróxido.
Por ejemplo:
La tabla 6, muestra el pH de precipitación de los hidróxidos de algunos metales en agua.
Los fosfatos y arseniatos básicos, si se encuentran en la solución, precipitan, a veces, más
rápidamente que los hidróxidos y con pH más bajo.
Tabla 6: pH de precipitación de algunos hidróxidos (C. EK)
Concentración del ion metálico
10-2
mol/l 10-5
mol/l
Fe3+ 2.2 3.2
Al3+ 3.6 4.6
Fe2+ 5.5 7.2
Cu2+ 5.6 7.3
Zn2+ 6.6 8.3
Ni2+ 6.7 8.4
Co2+ 6.8 8.5
Cd2+ 7.0 8.7
Pb2+ 7.4 8.9
Mn2+ 8.4 10.1
Mg2+ 9.7-10.8 11.2 - 12.3
HIDROMETALURGIA IMIN316 – 2014 - Germán Cáceres Arenas Página 88
Hidrólisis
Los procesos de hidrólisis se basan fundamentalmente en el mismo tipo de reacción de
precipitación de hidróxido, con la diferencia de que en la mayor parte de los casos no se
termina la reacción en un hidróxido sino en una sal básica, en una sal doble o hasta en un
óxido.
Dentro de este tipo de reacciones, la que tiene mayor interés industrial es la hidrólisis del
hierro, utilizado comúnmente como un método de eliminación de esta impureza en
circuitos hidrometalúrgicos.
Hidrólisis del fierro
Existen básicamente tres tipos de procesos para la eliminación del hierro acuoso:
precipitación como jarosita, goetita y hematita. Estos dos últimos procesos producen
precipitados más fáciles de filtrar y decantar.
Jarositas
Las jarositas son compuestos que tienen la siguiente formula: MFe3(SO4)2(OH)6, en la que
M puede ser Na+
, K+
, NH4
+
, Ag+
, Rb+
, Pb2+
y H+
. La precipitación del Fe como tal se consigue
entre 80 y 100 °C, con adición de un álcali y con control de la acidez. Para la formación de
jarosita de amonio, la siguiente reacción tiene lugar:
Con la exposición a la intemperie en los tranques de relaves, la jarosita se transforma
gradualmente en hematita y debido a sus propiedades de adsorción y retención de agua,
se produce una eliminación (disolución) de metales solubles que ocasionan un problema
ecológico.
HIDROMETALURGIA IMIN316 – 2014 - Germán Cáceres Arenas Página 89
Goetita
La precipitación del hierro como goetita se realiza mediante la siguiente reacción general:
La temperatura de la precipitación oscila entre 20 y 100 °C, el pH entre 2 y 4 y el potencial
debe ser oxidante con el fin de mantener el hierro en forma férrica. La cinética de
precipitación es lenta, dependiendo de la concentración de Fe inicial y del nivel de la
impureza a eliminar. El tipo de cristal que se obtiene es de mejores características para la
separación sólido - líquido.
Hematita
La precipitación del hierro como hematita se fundamenta en la siguiente reacción:
Los factores de mayor importancia en este método son la temperatura, concentración de
hierro y la concentración de ácido. Dependiendo de estos factores se pueden formar una
serie de compuestos, pudiéndose señalar en general, que las hematitas tienden a
formarse sobre 140 °C.
5.2. Cementación
La cementación de un metal a partir de una solución, depende de una reacción de
desplazamiento en la cual un metal menos noble reduce a los iones del metal por
precipitar al estado metálico. Entonces, éste sale de la solución, y los iones del metal
menos noble entran en la solución para substituirlos.
HIDROMETALURGIA IMIN316 – 2014 - Germán Cáceres Arenas Página 90
Por ejemplo:
Cu2+ + Zn => Cu + Zn2+
El metal utilizado debe tener un potencial de electrodo inferior al potencial del metal que
se desea precipitar.
La reacción se produce sobre la superficie del metal, que se agrega habitualmente en
forma de polvo a la solución impura (Fig. 37). Para alcanzar velocidades de reacción
aceptables con impurezas que se encuentran en bajas concentraciones, se tiene que
agregar un exceso de metal, lo que conduce a la obtención de cementos impuros.
Además, estos cementos contienen todos los metales de potencial superior al metal
agregado.
Cu
Zn
Zn2+
Cu2+
e-
Figura 37: Cementación de cobre en la superficie de una partícula de zinc.
El mejor metal utilizado para cementar las impurezas de una solución es generalmente el
mismo metal que se desea recuperar desde la solución pura. Así, no se agrega otra
impureza a la solución. Por ejemplo, el cadmio y el cobre contenidos en las soluciones de
lixiviación de concentrados de zinc se cementan con polvo de zinc.
Además, de utilizarse como método de purificación de soluciones, la cementación puede
utilizarse para recuperar el metal valioso a partir de soluciones diluidas (ej.: cementación
de cobre por chatarra de hierro)
HIDROMETALURGIA IMIN316 – 2014 - Germán Cáceres Arenas Página 91
5.3. Precipitación de un compuesto especifico
Cuando otros métodos no son aplicables, se pueden usar reactivos específicos de
precipitación. Estas reacciones son generalmente complejas, necesitan condiciones de
trabajo estrictas y consumen reactivos costosos. Por ejemplo, se usa el nitrosobetanaphtol
para precipitar el cobalto contenido en las soluciones de electro obtención de zinc.
Se puede aplicar todas las reacciones que estudiaron en el ramo de química en la
enseñanza media tales como precipitación de sulfuros, formación de sales,...
Por ejemplo: AgNO3 + NaCl => AgCl (precipitado) + NaNO3
Es importante el fenómeno de envejecimiento de un precipitado, favorecido por una
temperatura alta y un tiempo de contacto solución-precipitados largo. El envejecimiento
consiste en la disolución de las partículas más finas y formación de precipitados más
gruesos, generalmente acompañado por un cambio en la estructura cristalina de estos.
Mejora la insolubilidad del precipitado y su posterior filtración.
Fenómeno de coprecipitación
La coprecipitación es cuando hay precipitación de dos o más elementos al mismo tiempo.
El elemento minoritario puede ser disuelto en la matriz cristalina del elemento
mayoritario, o absorbido en su superficie.
Esto puede ser ventajoso, ya que la concentración del elemento minoritario en la solución
puede bajar a niveles mucho más bajos que por precipitación de este elemento en forma
pura.
HIDROMETALURGIA IMIN316 – 2014 - Germán Cáceres Arenas Página 92
Por ejemplo, en la hidrometalurgia del zinc, impurezas como el Ge y el As coprecipitan con
un "hidróxido" de hierro, probablemente por absorción en la superficie de los flóculos de
"hidróxido" de hierro.
Existen varias formas de precipitar el hierro: como jarosita, goetita,...)
HIDROMETALURGIA IMIN316 – 2014 - Germán Cáceres Arenas Página 93
UNIDAD 6: LIXIVIACION EN PILA DE MINERALES DE COBRE
6.1. Minerales oxidados de cobre
Los minerales oxidados de cobre se clasifican en óxidos, sulfatos, carbonatos, silicatos y
cloruros. Sus leyes de cobre varían entre 0,5 a 2,5 % y se lixivian con soluciones de ácido
sulfúrico.
Óxidos
Cuprita
Es el óxido cuproso de cobre, de color rojo y de fórmula química , contiene 89 % de
Cu.
Tenorita
Es el óxido cúprico de cobre, de color negro y de fórmula química , contiene 80 % ce
Cu.
Sulfatos
Chalcantita
Es un sulfato de cobre hidratado de color azul y fórmula química ,
contiene 26 % de Cu.
Antlerita
Es un sulfato de cobre de color verde, verde oscuro y fórmula química ,
contiene 54 % de Cu.
Carbonatos
Azurita
HIDROMETALURGIA IMIN316 – 2014 - Germán Cáceres Arenas Página 94
Es un carbonato básico de cobre de color azul y fórmula química ,
contiene 55 % de Cu.
Malaquita
Es un carbonato básico de cobre de color verde, verde oscuro y fórmula química
, contiene 57 % de Cu.
Silicatos
Crisocola
Es un silicato de cobre de color verde – azul y fórmula química , contiene
36 % de Cu.
Cloruros
Atacamita
Es un cloruro básico de cobre de color verde, verde intenso y fórmula química
, contiene 60 % de cobre.
6.2. Descripción del proceso
El mineral, previamente chancado y aglomerado, se carga en pilas de lixiviación sobre una
carpeta de HDPE impermeable con una pendiente adecuada para el escurrimiento y
recolección de las soluciones de lixiviación. Las dimensiones de la pila, esto es largo, ancho
y alto, así como las condiciones de operación, dependen de cada proyecto. La pila se riega
con las soluciones ácidas de refino e intermedias durante varios días y/o meses y las
soluciones efluentes de lixiviación se recolectan en piscinas de solución rica o solución
intermedia, según sea el caso. La solución rica o PLS pasa a la etapa siguiente de
extracción por solvente SX. Se muestra en la Figura 38, un esquema simplificado que
describe el proceso de lixiviación en pilas.
HIDROMETALURGIA IMIN316 – 2014 - Germán Cáceres Arenas Página 95
FIGURA 38: Descripción del proceso de lixiviación en pilas
Las soluciones de lixiviación se recolectan en la canaleta R, y desde esta canaleta, se
distribuyen mediante el distribuidor D, según su concentración en cobre hacia la piscina
de solución rica (alta concentración) o hacia la piscina de solución intermedia ILS
(concentración media). La solución rica pasa a la etapa siguiente de extracción por
D
SX REFINO
ILS
R
PLS
HIDROMETALURGIA IMIN316 – 2014 - Germán Cáceres Arenas Página 96
solvente SX, mientras que la solución ILS retorna al ciclo de riego con ILS. En la Fotografía
1, se muestra las pilas de lixiviación y la canaleta recolectora de soluciones.
FOTO 1: Pilas de lixiviación y canaleta recolectora de soluciones de lixiviación
HIDROMETALURGIA IMIN316 – 2014 - Germán Cáceres Arenas Página 97
6.3. Aglomeración
Definición
El proceso de aglomeración consiste en aglomerar las partículas finas en torno a las
partículas gruesas o partículas finas entre sí, mediante la adición de ácido sulfúrico
concentrado y agua, en un tambor aglomerador, y posterior reposo o curado durante 24
horas.
Objetivos
La aglomeración tiene un objetivo físico y un objetivo químico.
Objetivo físico
El objetivo físico es la aglomeración misma del mineral, para mejorar la permeabilidad de
la pila.
Objetivo químico
El objetivo químico es lograr la máxima sulfatación de los óxidos de cobre, con el ácido
sulfúrico y generar productos químicos cementantes por reacciones del ácido sulfúrico
con los minerales de la ganga.
Mecanismos de la aglomeración
La aglomeración se produce por la acción cementante de productos de reacción y por la
acción de fuerzas de unión sólido-líquido o líquido-líquido (puentes de agua). Por esta
razón, es muy importante el efecto de la humedad sobre la calidad del aglomerado.
Variables de operación
Granulometría
El mineral debe ser chancado 100 % bajo el tamaño indicado por las pruebas de
laboratorio (por ejemplo 100 % - 3/4 o -1/2 pulgada) y debe contener como máximo un 10
% de material fino -100 # ASTM (0,15 mm).
HIDROMETALURGIA IMIN316 – 2014 - Germán Cáceres Arenas Página 98
Dosificación de ácido
La tasa de dosificación de ácido, se determina mediante pruebas de barrido de curado, las
cuales consisten en hacer un barrido de tasas de dosificación de ácido entre 10 y 50 kg/t,
por ejemplo. Estos valores, se determinan en función del consumo de ácido del mineral.
Por ejemplo, si un mineral tiene una ley de 1,8 % de Cu soluble y un consumo de ácido de
6 kg/kg; entonces, el consumo de ácido de este mineral será de 108 kg/t, que se deberá
agregar repartido entre la aglomeración y el riego en las pilas. ¿Qué porcentaje de este
ácido se debe agregar en la aglomeración? La respuesta a esta pregunta la da las pruebas
de barrido de curado; por ejemplo, vamos a agregar 1/3 del ácido en la aglomeración, esto
es 36 kg/t.
Dosificación de agua
La dosificación de agua, debe ser tal que produzca un buen aglomerado con una humedad
óptima entre 6 y 12 %. La dosificación de agua depende de la granulometría y de la
cantidad de finos del mineral.
Velocidad de rotación del tambor aglomerador
El tambor aglomerador debe girar a baja velocidad de rotación (3 a 6 rpm), de tal manera
que se tenga el tiempo de residencia del mineral adecuado, para que se produzca un buen
contacto con el ácido y el agua, se produzcan las reacciones químicas y se forme el
aglomerado y no se destruya por caída libre dentro del tambor (exceso de velocidad).
6.4. Lixiviación en pilas
Definición
La lixiviación en pilas, consiste en lixiviar una pila de mineral chancado y aglomerado, con
una solución de ácido sulfúrico, y recuperar el cobre disuelto en la solución efluente de la
pila.
HIDROMETALURGIA IMIN316 – 2014 - Germán Cáceres Arenas Página 99
Reacciones químicas de la lixiviación
Los minerales oxidados de cobre, reaccionan con el ácido sulfúrico, para dar sulfato de
cobre en solución, según las siguientes reacciones químicas:
Cuprita
Tenorita
Azurita
Malaquita
Crisocola
Atacamita
Consumo estequiométrico de ácido
El consumo estequiométrico de ácido, es el consumo dado por la reacción química. Vemos
que, en cada reacción química se consume 1 mol-g de por 1 mol-g de esto
es 1 mol-g de por 1 mol-g de , o sea, 98 g de ácido sulfúrico (98 es el peso
molecular del ) para producir 63,54 g de cobre (63,54 es el peso molecular del ),
lo que finalmente da un consumo estequiométrico de ácido sulfúrico de o
HIDROMETALURGIA IMIN316 – 2014 - Germán Cáceres Arenas Página 100
6.5. Configuración de plantas lixiviación en pilas
En la Figura 39, se muestra el layout de la planta de lixiviación en pilas.
FIGURA 39: Layout planta de lixiviación en pilas
1 2 3 4 5 6 7 8 9 10 11 12 13 14 15 16 17 18 19 20 21 22 23 24 25 26 27 28 29 30
AREA DE MOVIMIENTO DE CAMIONES DE CARGA Y DESCARGA DE PILAS
CANALETA RECOLECTORA DE SOLUCIONES DE LIXIVIACION
PLS
ILS
SX
PLS ILS RFEMG
HIDROMETALURGIA IMIN316 – 2014 - Germán Cáceres Arenas Página 101
6.6. Operación y control del proceso
Operación de las pilas de lixiviación
El objetivo de la operación de pilas de lixiviación es lograr el máximo de recuperación de
cobre, en el mínimo tiempo de lixiviación y al mínimo costo de operación. Además, se
debe asegurar un flujo y concentración constante en cobre y ácido, que alimente a la
Planta de Extracción por Solvente (SX).
La operación de las pilas de lixiviación depende de las condiciones de cada planta.
Variables de operación
Las principales variables de operación de la lixiviación en pilas son: granulometría del
mineral, tasa de dosificación de ácido en el curado, altura de la pila, tasa de riego,
concentración de ácido y cobre de las soluciones intermedias y refino, tiempo de
lixiviación, ciclos de riego intermedia/refino.
A continuación se analiza el efecto de cada una de estas variables en la recuperación de
cobre y en el consumo de ácido.
Granulometría del mineral
La granulometría del mineral debe ser tal que permita una mayor exposición de las
partículas de minerales de cobre, frente a la solución lixiviante. Esto es, que exista una
mayor superficie de contacto mineral/solución, y para lograr esto, se requiere una
granulometría más fina. Con una granulometría fina, se logra mejor recuperación de
cobre; sin embargo, a medida que la granulometría es más fina, se produce un mayor
consumo de ácido y disminuye la permeabilidad de la pila, por exceso de finos, y en
consecuencia se producen inundaciones y canalizaciones de la pila, quedando algunas
zonas de mineral sin riego y otras completamente inundadas, lo que reduce enormemente
la recuperación de cobre (existen zonas muertas).
Por lo tanto, la definición de la granulometría del mineral a trabajar, resulta de un
compromiso entre recuperación, consumo de ácido (costo) y comportamiento físico de la
pila (inundación, derrumbe, etc.).
HIDROMETALURGIA IMIN316 – 2014 - Germán Cáceres Arenas Página 102
En general, en las plantas de lixiviación en pilas, se trabaja a una granulometría bajo 3/4
de pulgada.
Tasa de dosificación de ácido en el curado
La tasa de dosificación de ácido en el curado, medida en kg de ácido sulfúrico/tonelada de
mineral seco, o simplemente , tiene un efecto muy importante en el grado
de sulfatación del cobre oxidado y en la calidad del aglomerado. Su valor óptimo, se
determina en pruebas de laboratorio de barrido de curado, en función del porcentaje de
cobre solubilizado (recuperación de Cu) y del consumo de ácido.
Altura de la pila
La altura de la pila determina el peso de mineral contenido en 1 m2
de superficie basal de
la pila; esto es, Tmineral/m2
. Para el cálculo de este peso, se utiliza la densidad aparente del
mineral a la granulometría de trabajo. Por ejemplo, si la densidad aparente del mineral
chancado 100 % bajo 3/4 de pulgada, es 1,58 T/m3
; y si la altura de la pila es de 3 m,
entonces el peso de mineral por m2
es: 1,58 x 3 = 4,74 T/m2
. Si la altura de la pila es de 6
m, entonces el peso de mineral por m2
es el doble, o sea, 9,48 T/m2
. Esto es como tener
una columna de base 1 x 1 m y distintas alturas en m. Ahora bien, la altura de la pila
influye en la velocidad de reacción y en la recuperación de cobre, por cuanto el primer
metro de arriba va a recibir un ácido más concentrado, mientras que el último metro de
abajo, va a recibir un ácido menos concentrado o más diluido, o quizás, no va a recibir
nada de ácido, y la reacción de disolución se detiene por falta de ácido.
También, la altura de la pila afecta la estabilidad física de la pila (derrumbe) y la técnica o
método de carguío y construcción de la pila.
En general, en faenas de la pequeña y mediana minería se utiliza una altura máxima de
pila de 3 m.
Tasa de riego
La tasa de riego, es el flujo o caudal de solución de riego o solución de lixiviación por m2
de superficie de riego de la pila. Se mide en L/h/m2
m y los valores normales oscilan entre
10 y 20 L/h/m2
(normalmente entre 12 y 15 L/h/m2
).
Si se relaciona la tasa de riego con la altura de la pila, resulta un indicador de riego muy
importante referido a la tonelada de mineral, esto es, cuánta solución recibe cada
tonelada de mineral. Este índice recibe el nombre de razón de lixiviación y se mide en
HIDROMETALURGIA IMIN316 – 2014 - Germán Cáceres Arenas Página 103
m3
solución/T mineral. Veamos el cálculo siguiente, considerando el ejemplo anterior de
una pila de 3 m de altura, que carga 4,74 T mineral/m2
superficie, y como cada m2
de
superficie de la pila recibe, por ejemplo 12 L/h (es la tasa de riego de 12 L/h/m2
),
entonces, tenemos que cada T de mineral recibirá 12 L/h/4,74 T = 2,53 L/h/T mineral, y en
1 día, recibirá 61 L solución/T mineral, y en 1 mes 1,82 m3
, y si el riego dura 3 meses (90
días), recibirá 5,47 m3
/T mineral. Esta es la razón de lixiviación. Si la tasa de riego se
aumenta a 15 L/h/m2
, entonces la razón de lixiviación sube a 6,84 m3
/T mineral, durante
el ciclo total de lixiviación.
En una fórmula la razón de lixiviación RL, se define de la manera siguiente:
Donde:
RL: es la razón de lixiviación en m3
/T
TR: es la tasa de riego en L/h/m2
da: es la densidad aparente del mineral en T/m3
Hpila: es la altura de la pila en m
tlixiviación: es el tiempo total de lixiviación en días
La tasa de riego en la pila, es equivalente a la agitación de la solución en un sistema de
lixiviación por agitación. Si se aumenta la tasa de riego, aumenta el flujo de solución
alrededor de las partículas de mineral, disminuye el espesor de la capa de difusión
(proceso lixiviación TL del inglés Thin Layer, que significa capa delgada, es la patente de
Sociedad Minera Pudahuel) y por lo tanto hay mayor aporte de ácido hacia la superficie de
la partícula y mayor velocidad de evacuación de los iones cobre desde la superficie de la
partícula. Sin embargo; el riesgo de una alta tasa de riego, es la inundación de la pila , lo
que provocaría una baja en la recuperación y problemas de derrumbe de la pila (pila
enguatada).
Concentración de las soluciones de lixiviación
Concentración de ácido
La velocidad de la reacción de disolución de cobre es proporcional a la concentración de
ácido, esto es, a mayor concentración de ácido, mayor es la velocidad de disolución del
cobre; sin embargo, también aumenta la disolución de impurezas contenidas en el mineral
HIDROMETALURGIA IMIN316 – 2014 - Germán Cáceres Arenas Página 104
(hierro, manganeso, cloro, aluminio, magnesio, etc) y aumenta el consumo de ácido (y por
lo tanto aumenta el costo de operación).
Concentración de cobre
La velocidad de reacción es inversamente proporcional a la concentración de cobre, esto
es, a mayor concentración de cobre, menor es la velocidad de disolución de cobre.
Concentración de otros elementos
La concentración de otros elementos como sulfatos, carbonatos, manganeso, aluminio,
magnesio, cloro, etc; lo que se conoce como carga iónica de la solución, afecta
negativamente la velocidad de disolución del cobre. Felizmente, gran parte del contenido
de estas impurezas son eliminadas en los ripios de lixiviación, como precipitados estables
en el tiempo y no generan problemas ambientales.
6.7. Diseño de pilas de lixiviación
El diseño o el dimensionamiento de las pilas de lixiviación se hace en función de la
producción de la planta y de los criterios de diseño determinados en estudios de
laboratorio y pruebas en planta piloto.
En este curso, se diseñará (dimensionará) una planta de lixiviación en pilas para un
proyecto minero con los siguientes criterios de diseño:
 Ley del mineral:
Cu total = 1,25 %
Cu soluble = 1,15 %
Consumo de ácido = 6,45 kg H+
/kg Cu
 Capacidad de producción:
8.640 T cátodo/año
 Criterios de diseño metalúrgicos:
Granulometría = 100 % bajo 3/4 pulgada
HIDROMETALURGIA IMIN316 – 2014 - Germán Cáceres Arenas Página 105
Recuperación de Cu soluble = 80 %
Tiempo de lixiviación = 90 días
Altura de la pila = 3,0 m
Densidad aparente del mineral aglomerado = 1,5 T/m3
a) Determinación de la capacidad de la planta de chancado
Cu soluble recuperable = 0,80 x (1,15/100) x 1.000 = 9,20 kg Cu/T mineral
Producción = 8.640 T cátodo/año = 720 T/mes = 24 T/día = 1.000 kg Cu/h
Capacidad de la planta de chancado = 1.000 kg Cu/h/9,20 kg Cu/T mineral = 108,70 T
mineral/h = 2.609 T mineral/día = 78.270 T mineral /mes = 939.240 T mineral / año (aprox.
1.000.000 T mineral / año)
b) Determinación de la superficie total de pilas (encarpetado HDPE)
T mineral/m2
a 3 m de altura = 1,5 T/m3
x 3 m = 4,5 T mineral / m2
Cantidad total de mineral en proceso = 2.609 T/día x 90 días = 234.810 T
Superficie total ocupada por este mineral en proceso = 234.810 T / 4,5 T/m2
= 52.180 m2
c) Dimensiones del área de pilas
Depende del proyecto y puede ser por ejemplo un rectángulo de 522 x 100 m, y sobre este
rectángulo de carpeta de HDPE se construyen pilas de mineral de 100 x 20 m, esto es 26
pilas de lixiviación con capacidad de carga de unas 9.000 T mineral aproximadamente (3
días) y una superficie por pila de 2.000 m2
d) Dimensión del área total de carpeta de HDPE
Para la operación normal de pilas se requiere además de las 16 pilas en riego permanente,
tener 1 pila en carga, 1 pila en drenaje, 1 pila en descarga y 1 pila sin carga (vacía) para
dejar el espacio que permita el movimiento de las maquinarias de carga y descarga; esto
es, se necesitan 4 pilas más, o sea 4 x 2.000 = 8.000 m2
más de superficie de pilas
encarpetada con HDPE (correspondiente a un 15 % más de superficie). Por lo tanto, el
área total de carpeta es:
Área de pilas en riego = corresponde a 26 pilas = 26 x 2.000 = 52.000 m2
HIDROMETALURGIA IMIN316 – 2014 - Germán Cáceres Arenas Página 106
Área de pilas en drenaje, descarga, carga y maquinaria = corresponde a 4 pilas = 4 x 2.000
= 8.000 m2
Área total encarpetada con HDPE = 60.000 m2
, esto es un rectángulo de 600 x 100 m.
En la Figura 39, se muestra un layout de la planta de lixiviación en pilas
HIDROMETALURGIA IMIN316 – 2014 - Germán Cáceres Arenas Página 107
UNIDAD 7: EXTRACCION POR SOLVENTE DE COBRE
7.1. Descripción del proceso
La extracción por solvente de cobre, de la sigla SX en inglés (Solvent Extraction), es un
proceso de purificación y concentración de soluciones de cobre, mediante un intercambio
iónico líquido – líquido entre dos soluciones. Consiste en la extracción selectiva del cobre
contenido en las soluciones de lixiviación mediante un solvente orgánico, para luego
transferirlo a una solución de sulfato de cobre pura y concentrada, denominada electrolito
rico.
Extracción
La solución rica o PLS (del inglés Pregnant Leach Solution) proveniente de las pilas de
lixiviación, se mezcla con el orgánico descargado, para extraer selectivamente los iones
cobre desde la solución rica (fase acuosa) y transferirlos al orgánico descargado (fase
orgánica), resultando una fase acuosa pobre en cobre denominada refino, la cual contiene
todas las impurezas de la solución rica (Fe, Cl, Al, Mn, Mg, etc.) y una fase orgánica
cargada con cobre, denominada orgánico cargado. El refino retorna a las pilas de
lixiviación y el orgánico cargado pasa a la etapa siguiente de re-extracción.
Re-extracción
El orgánico cargado (fase orgánica) se pone en contacto con el electrolito pobre (fase
acuosa) proveniente del proceso de electro obtención (en inglés EW, electrowinning),
para re-extraer los iones cobre desde el orgánico cargado y transferirlos al electrolito
pobre, resultando una fase orgánica descargada que retorna a la etapa de extracción y un
electrolito rico que avanza a la etapa de electro obtención.
En la figura 40, se muestra un esquema conceptual simplificado del proceso lixiviación –
extracción por solvente – electro obtención
LIVIACION EXTRACCION
RE-
EXTRACCION
ELECTRO-
OBTEBCION
HIDROMETALURGIA IMIN316 – 2014 - Germán Cáceres Arenas Página 108
FIGURA 40: Proceso LIX/SX/EW
7.2. Conceptos fundamentales
El proceso SX, se basa en la siguiente reacción química reversible de intercambio iónico:
La etapa de extracción ocurre en el sentido de la reacción hacia la derecha (baja acidez);
mientras que, la etapa de re-extracción ocurre en el sentido de la reacción hacia la
izquierda (alta acidez).
El sentido de la reacción está controlado por la acidez o pH de la solución acuosa, como se
muestra en la Figura 41.
HIDROMETALURGIA IMIN316 – 2014 - Germán Cáceres Arenas Página 109
FIGURA 41: Equilibrio de extracción
Mediante este mecanismo, cada ion de cobre se intercambió con dos iones de hidrogeno
que pasan a la fase acuosa donde se regenera ácido sulfúrico en una proporción de 1.54
(kg de ácido / kg de cobre).
7.3. Reactivos utilizados en SX de cobre
Reactivos extractantes
Los tipos más usados son: LIX 9790N, LIX 984N (Cognis), PT 5050 (Acorga) y MOC 45 (Allied
Signal).
Sus características principales son (en promedio):
Densidad : 0.91 g/cc
Color : ámbar
Punto de inflamación : 70 °C
Selectividad Cu/Fe : > 2000
HIDROMETALURGIA IMIN316 – 2014 - Germán Cáceres Arenas Página 110
Carga máxima (a 10% v/v) : 5.2 g/l de Cu a pH =2
Transferencia neta (10% v/v): 3.0 g/l de Cu
Separación de fases : < 90 segundos
Cinética de extracción : > 95% en 60 segundos
Diluyentes
Los tipos de diluyentes más usados son: ESCAID 110 (Exxon) y OXIMIN (Oxiquim).
Sus características principales son:
Densidad : 0.81 g/cc
Punto de inflamación : 79 °C
Modificadores
Los modificadores son compuestos que aumentan la solubilidad del extractante orgánico y
del metal en la fase orgánica. Mejoran la velocidad de separación de fases y extracción de
cobre, favoreciendo la coalescencia.
Los modificadores más usados son el tridecanol y el éster.
Tipos de extractantes
Ketoximas
Las ketoximas fueron los primeros reactivos usados comercialmente para la extracción de
cobre desde soluciones diluidas y fueron usados exclusivamente durante 12 años. Sus
principales propiedades eran: excelente separación de fases, bajas pérdidas de orgánico
por arrastre y baja formación de crud. Su uso; sin embargo fue limitado, debido a dos
desventajas principales: Extractante moderado de cobre y cinética lenta a bajas
temperaturas. El reactivo típico fue el LIX 64N.
Salicilaldoximas
HIDROMETALURGIA IMIN316 – 2014 - Germán Cáceres Arenas Página 111
Para superar estas desventajas se desarrollaron las salicilaldoximas, lo que permitió
reducir circuitos 4E+3S o 3E +2S a 2E+2S o 2E + 1S, incluso para altas concentraciones de
cobre y bajo pH (40 gpl Cu y pH 1.5). Sin embargo, estos reactivos son extractantes tan
fuertes que requieren un modificador para realizar eficientemente la reextracción.
El uso de modificadores (tridecanol o nonifenol) presentan las siguientes desventajas:
hidrólisis y degradación del reactivo, mayor transferencia de Fe al electrolito, mayor
pérdida de orgánico por arrastre físico y mayor formación de crud. Reactivos típicos son el
LIX 860 y el Acorga PT-5050.
Mezclas Salicilaldoximas - Ketoximas
Estas mezclas no contienen modificadores. El LIX 984, por ejemplo, es una mezcla de LIX
860 (salicilaldoximas) y LIX 84 (Ketoxima). Combina la capacidad extractiva y cinética
rápida de la salicilaldoxima con la estabilidad y propiedades físicas de las Ketoximas.
7.4. Determinación del número de etapas de extracción y re extracción
Isoterma de Distribución
La isoterma de distribución es un gráfico de la concentración de la especie extraída en la
fase orgánica versus la concentración de la misma en fase acuosa, en el equilibrio y a una
temperatura dada, y puede ser preparada para extracción como para re extracción.
Normalmente la forma más utilizada para construir la isoterma de extracción es contactar
en diferentes proporciones el acuoso y el orgánico, y analizar por el elemento metálico
una vez logrado el equilibrio. Las fases orgánicas y acuosas se ponen en contacto en un
embudo decantador (250 cc) y se agita durante 3 minutos. Luego se deja decantar las
fases. Generalmente se emplean razones A/O de 1/10, 1/5, 1/2, 1/1, 2/1, 5/1 y 10/1.
La Figura 42, muestra la construcción de una isoterma de distribución cuando se ponen en
contacto A ml de solución rica conteniendo X0 g/l de metal disuelto con O ml de orgánico
fresco. Después de la puesta en equilibrio, el refino contiene X1 g/l y el orgánico Y1 g/l de
metal. El balance de masa se puede expresar como:
HIDROMETALURGIA IMIN316 – 2014 - Germán Cáceres Arenas Página 112
y para cada razón existe un coeficiente de distribución diferente:
Punto de saturación
Composición del extractante dónde ha alcanzado su capacidad máxima de carga (a la
derecha del gráfico).
Las isotermas de extracción y de re-extracción pueden ser generadas de manera similar.
Las isotermas son válidas solamente para condiciones similares al de las condiciones que
se emplearon para su determinación. Por ejemplo, si cambia la concentración de reactivo
en el orgánico, la concentración de metal en solución en la fase acuosa u orgánica, el pH
de la solución rica, la concentración de ácido del electrolito descargado, etc...., entonces
habrá que generar otra isoterma de distribución.
HIDROMETALURGIA IMIN316 – 2014 - Germán Cáceres Arenas Página 113
FIGURA 42: Construcción una isoterma de extracción.
Recta de operación
Como se ha se señalado, la mayoría de los procesos industriales de SX operan con un
sistema de contacto múltiple en contra corriente. La Figura 43, representa
esquemáticamente la operación de la parte extracción de una planta de SX para lo cual se
han supuesto n etapas de extracción. En un proceso de extracción en contra corriente, la
solución acuosa y la solución orgánica fluyen en direcciones opuestas. Entonces, el
orgánico descargado se contacta con el refino, pobre en Cu, mientras que el orgánico
cargado está en contacto con la solución rica en Cu. El proceso de extracción en contra
corriente permite tener una buena extracción del metal contenido en la solución acuosa, y
a la vez usar eficientemente el reactivo orgánico.
[Me] en
orgánico (g/l)
[Me] en el
acuoso (g/l)
HIDROMETALURGIA IMIN316 – 2014 - Germán Cáceres Arenas Página 114
Etapa
N°1
Etapa
N°2
Etapa
N°3
Etapa
N°n
A, X0
O, Y1
A, X1
O, Y2
A, X2
O, Y3
A, X3
O, Y4
A, X(n-1)
O, Y(n)
A, X(n)
O, Y(n+1)
A : Flujo de acuoso (m3/h)
O : Flujo de orgánico (m3/h)
X(n) : Concentración de metal en el acuoso que sale de la etapa n (g/l)
Y(n) : Concentración de metal en el orgánico que sale de la etapa n (g/l)
Figura 43: Esquema de una extracción en contra corriente
El balance de masa para la etapa n es:
y, para las n etapas (balance global) es:
de donde se despeja :
HIDROMETALURGIA IMIN316 – 2014 - Germán Cáceres Arenas Página 115
La composición de la fase orgánica que entra en la etapa n es una función lineal de la
composición de la fase acuosa que abandona la etapa n, y vise versa. Esta última ecuación,
es la ecuación de una línea recta llamada recta de operación en el diagrama de McCabe-
Thiele, el cual se describe en el párrafo siguiente.
Diagrama de McCabe-Thiele
La combinación de la isoterma de distribución y la línea de operación constituye el
diagrama de operación o diagrama de McCabe-Thiele, el que es utilizado para estimar el
número teórico de etapas de un sistema SX. La isoterma de distribución es fija, y depende
sólo de la química del sistema (concentración de reactivos, pH,...). La línea de operación se
basa en el balance de masa, varia con la razón A/O y las concentraciones de metal en la
entrada y salida del sistema.
Un diagrama típico de operación se presenta en la Figura 43. Se supone que el orgánico
descargado que entra en la última etapa de extracción contiene 1.80 g/l Cu y que los flujos
del orgánico y del acuoso son iguales (razón A/O =1). Conociendo eso, una recta de
operación puede ser determinada, partiendo del punto dónde el orgánico descargado
intercepta a la isoterma de extracción y dibujando la recta hacia arriba y la derecha con
una pendiente igual a la razón A/O (=1 en este caso).
Para determinar el número de etapas de extracción, se dibuja una línea vertical
representando la concentración de la solución rica (feed = 2.50 g/l Cu) hasta que
intercepte la recta de operación. Después, se traza una recta horizontal hasta la isoterma
de extracción y de ahí una recta vertical hasta la recta de operación, creando de esa forma
un escalón correspondiente a la primera etapa de extracción. Se repite este
procedimiento para crear un segundo escalón correspondiente a la segunda etapa de
extracción. En este sistema, un refino de 0.22 g/l Cu y un orgánico cargado de 4.24 g/l Cu
se predicen para una extracción en dos etapas.
Aunque el diagrama de McCabe-Thiele que se muestra en la Figura 43, representa
solamente una aproximación del sistema, resulta muy útil para determinar el número de
etapas necesarias para alcanzar una cierta extracción. Un diagrama de McCabe-Thiele
más preciso podría dibujarse a partir de la figura 44, dibujando la recta de operación a
HIDROMETALURGIA IMIN316 – 2014 - Germán Cáceres Arenas Página 116
partir de un punto situado a igual distancia de la isoterma de extracción y de la recta
vertical representando la composición del refino. Entonces, se hace de nuevo el diagrama
de McCabe-Thiele, y se obtienen valores de 0.15 g/l Cu en el refino y 4.17 g/l Cu en el
electrolito cargado. La construcción de un verdadero diagrama de McCabe-Thiele es un
proceso iterativo.
En los mezcladores industriales, no se alcanza las concentraciones de cobre en el orgánico
y el acuoso al equilibrio, pero solamente un 90% de extracción respecto del equilibrio,
como lo muestra la Figura 44, que representa las etapas de una operación industrial.
HIDROMETALURGIA IMIN316 – 2014 - Germán Cáceres Arenas Página 117
FIGURA 43: Diagrama de McCabe-Thiele para una extracción en 2 etapas de cobre
contenido en una solución rica de 2.5 g/l Cu
E1
E2
A/O
=1/(O/A)
(SR,OC
)
(Ref,OD)
(SRef,OSC)
HIDROMETALURGIA IMIN316 – 2014 - Germán Cáceres Arenas Página 118
FIGURA 44: Extracción de cobre en una planta industrial, dónde no se alcanza el
equilibrio (isoterma de distribución)
HIDROMETALURGIA IMIN316 – 2014 - Germán Cáceres Arenas Página 119
FIGURA 45: Diagrama de McCabe-Thiele para una reextracción en 1 etapa de cobre
contenido en un orgánico cargado de 3.9 g/l Cu.
HIDROMETALURGIA IMIN316 – 2014 - Germán Cáceres Arenas Página 120
7.5. Configuración de plantas de SX
Las plantas de extracción por solvente, tanto en la extracción como en la reextracción,
están configuradas en una, dos o tres etapas de contacto de las fases acuosa y orgánica,
con el objeto de aumentar el tiempo de contacto entre ambas fases y mejorar la
transferencia de cobre. El contacto de las fases orgánica y acuosa se realiza en
contracorriente.
Además; en algunos casos, se debe incorporar una etapa de lavado del orgánico cargado,
con el objeto de eliminar impurezas dañinas en la electro obtención, por ejemplo el cloro.
Se presenta en la Figura 46, una configuración típica de una planta de extracción por
solventes, compuesta por 2 etapas de extracción y 1 etapa de reextracción (2 E-1S) y en la
Figura 47, otra configuración que incorpora además una etapa de lavado del orgánico
cargado.
FIGURA 46: Configuración 2 E - 1 R
Lixiviación Electro-obt.
E1
E2
S1
Extracción Reextracción
SR
RFOSC
SRFOC OD
ED EC
OC
HIDROMETALURGIA IMIN316 – 2014 - Germán Cáceres Arenas Página 121
FIGURA 47: Configuración 2E-L-1R
7.6. Operación y control del proceso
Arrastres
Continuidad
Al mezclarse en un mixer 2 fases inmiscibles, una de ellas debe encontrarse dispersa en la
otra. Se presentan dos casos:
(1) Cuando la fase acuosa está dispersa en la fase orgánica, se habla de continuidad
orgánica, y
(2) cuando la fase orgánica está dispersa en la fase acuosa, se habla de continuidad
acuosa.
E-1L E-2 R-1
LIXIVIACION EW
PLS
OSC
OD
OCL
L
OC
RF
SRFAL
ER
EP
HIDROMETALURGIA IMIN316 – 2014 - Germán Cáceres Arenas Página 122
En la Figura 48, se muestran los tipos de continuidad de fases.
O
A
A
O
FIGURA 48: Tipos de continuidad de fases
Recuperación del orgánico
El principal costo de operación en una planta de SX es la reposición de extractante, el cual
se pierde por arrastre físico en el refino y electrolito.
Diferentes sistemas han sido implementados para reducir estas pérdidas.
Electrolito
El mayor énfasis se ha puesto en el electrolito, puesto que el orgánico afecta la calidad de
los cátodos. La práctica normal es pasar el electrolito por filtros rellenos con sílice, granate
y antracita, el cual ha demostrado ser insuficiente por sí solo. Por lo tanto, se han
desarrollado e implementado diferentes combinaciones para reducir la transferencia del
orgánico al electrolito, por ejemplo:
Uso de post-decantadores o columnas de flotación convencionales o
Jameson antes de los filtros.
Uso de celdas de sacrificio en electro obtención.
Refino
El método normal es recuperar el orgánico arrastrado desde la piscina de refino.
HIDROMETALURGIA IMIN316 – 2014 - Germán Cáceres Arenas Página 123
Remoción de acuoso
De manera similar a los arrastres de orgánico, existen arrastres de acuoso en la fase
orgánica, los que constituyen la principal fuente de contaminación del electrolito. El Cl y
Mn, además de Fe, son actualmente las mayores impurezas. El método normal de
remoción de acuoso es el diseño del estanque de orgánico con tiempo suficiente y
facilidades para eliminar periódicamente el acuoso acumulado. Este método puede ser
suficiente para el Fe, pero no así para el Cl y Mn, cuyas concentraciones permisibles en el
electrolito son muy inferior a las de Fe (30 ppm Cl y 100 ppm Mn vs 1.5-2.0 gpl Fe). En este
caso se pueden implementar los siguientes métodos:
 Uso de una o más etapas de lavado.
 Diseño del estanque de orgánico como post-decantador.
 Uso de coalescedor del tipo desarrollado por Chuquicamata.
 Combinación de cualquiera de las alternativas anteriores, dependiendo de la
concentración de las impurezas presentes.
Variables de control de la SX
Las variables de control principales de la SX son:
Concentración de cobre y ácido (pH) del PLS
Concentración de cobre y ácido del refino
Flujos del PLS, orgánico y electrolito
Razón O/A
Continuidad de fases
HIDROMETALURGIA IMIN316 – 2014 - Germán Cáceres Arenas Página 124
Concentración de cobre del orgánico cargado, orgánico semi-cargado y orgánico
descargado
% de extractante
Arrastre de acuoso en orgánico
Arrastre de orgánico en acuoso
Altura de la banda de dispersión
Formación de borra (crud)
7.7. Diseño de plantas SX
Para el diseño o dimensionamiento de una planta de extracción por solvente se requieren
los siguientes criterios de diseño:
Producción: 7.200 Tcátodo/año
Concentración de cobre del PLS: 5 g/L
Eficiencia de extracción: 90 %
Tiempo de mezcla:
N° de etapas de extracción y re extracción:
Concentración del reactivo:
Razón O/A en extracción y re extracción:
Continuidad de fases:
en el electrolito y en el PLS:
HIDROMETALURGIA IMIN316 – 2014 - Germán Cáceres Arenas Página 125
Diseño
Mezclador:
Se diseña en función del caudal total y el tiempo de retención.
Caudal total = Caudal A + R + Caudal O (R es 20% de A)
Tiempo de mezcla: 3 minutos
Para producir 7.200 T cátodo/año, se requiere transferir a la planta de SX/EW, 833/0,95 =
877 kg Cu/h (5% pérdidas). Como la eficiencia de extracción es de 90 %, la planta de
lixiviación deberá entregar a la SX 877/0,90=975 kg Cu/h a partir de un PLS de 5 g/L de Cu.
El caudal de PLS será entonces de 975/5 = 195 m3
/h y el será= igual a 4,5 g/L.
Producción = QPLS x = 195 x 4,5 x 0,95 = 834 kg/h = 20 T Cu/día
Caudales:
PLS = 195 m3
/h
RPLS= 39 m3
/h (20 % de 195)
O = A =195 m3
/h (Razón O/A =1)
Qtotal= 429 m3
/h
Cálculo de volumen del mezclador:
N° de mezcladores: 2
Tiempo de mezcla: 3 minutos
Volumen mezclador = (3 x 429)/(60 x 2) = 11 m3
cada uno
Se elige un mezclador cilíndrico con altura = 1,1 diámetro y un 20 % más de capacidad = 11
x 1,2 = 13,2 m3
V = 3,14 X D2
x 1,1D/4 = 13,2
HIDROMETALURGIA IMIN316 – 2014 - Germán Cáceres Arenas Página 126
D3
= (13,2 x 4)/(3,14 x 1,1) = 15,3
D = 2,5 m
H = 2,8 m
V = 13,7 m3
Cálculo del volumen del decantador
Es función del área y del caudal o flujo
Flujo específico: 2,3 a 4,5 m3
/h/m2
Elegimos un flujo específico de 3,4 m3
/h/m2
Por lo tanto el área del decantador es: 429/3,4 = 126 m2
Tomamos: largo = 1,1 ancho; esto es: L = 1,1 x A, por lo tanto:
1,1 x A2
= 126
A = 10,7 m
L = 11,8 m
Area del decantador = 126 m2
Velocidad lineal 3 cm/s
Elegimos Vlineal = 1 cm/s = 36 m/h
Q = V x A
A = 429/36 = 11,9 m2
H = 11,9/10,7 = 1,1 m
Por lo tanto las dimensiones del decantador son:
Largo L = 11,8 m
Ancho A = 10,7 m
Altura H = 1,1 m
HIDROMETALURGIA IMIN316 – 2014 - Germán Cáceres Arenas Página 127
Volumen V = 138,9 m3
Al decantador hay que agregarle 1 m de largo para las canaletas de rebalses.
Altura de la capa de orgánico:
En la práctica industrial, se usa una altura de capa de orgánico de 15 a 30 cm
Elegimos Horgánico = 30 cm y el resto hasta completar 1,1 m es acuoso, o sea la altura del
acuoso es 0,8 m.
HIDROMETALURGIA IMIN316 – 2014 - Germán Cáceres Arenas Página 128
UNIDAD 8: ELECTRO OBTENCION DE COBRE
8.1. Descripción del proceso
La EW de cobre es un proceso electroquímico que permite la obtención de un cátodo de
cobre puro, mediante la electrólisis de una solución ácida de sulfato de cobre, utilizando
un cátodo permanente de acero inoxidable y un ánodo insoluble de Pb-Ca-Sn. En la Figura
49, se muestra un esquema simplificado del proceso.
FIGURA 49: Celda de EW de cobre
En consecuencia, la EW Cu consiste en extraer el cobre contenido en el electrolito
cargado, en forma de cátodo de alta pureza (a lo menos grado A del LME), mediante la
aplicación de la energía eléctrica.
Los componentes principales del proceso de EW Cu son:
 Rectificador: es el equipo que produce la corriente continua usada para la
electro depositación del cobre.
HIDROMETALURGIA IMIN316 – 2014 - Germán Cáceres Arenas Página 129
 Celda de electrólisis: es el recipiente paralelepípedo rectangular de
concreto polimérico.
 Electrolito: es la solución de sulfato de cobre y ácido sulfúrico.
 Ánodo: es el electrodo positivo, donde tiene lugar el desprendimiento de
oxígeno y la producción de ácido sulfúrico.
 Cátodo: es el electrodo negativo, donde tiene lugar la reacción de depósito
de cobre.
En la Figura 50, se muestra el proceso completo LIX/SX/EW de cobre
FIGURA 50: Proceso LIX/SX/EW Cu
MINERAL LIXIVIACION EXTRACCION
RE
EXTRACCION
ELECTRO
OBTENCION CATODO
FIGURA 1
PROCESO
LIXIVIACION / EXTRACCION POR SOLVENTE / ELECTRO OBTENCION
ARRASTRE
A / O
CONTAMINA
ER
AFECTA EO
Calidad Cátodo
Eficiencia Corriente
Consumo Energía
Corrosión Anodos
Aumenta Costo
HIDROMETALURGIA IMIN316 – 2014 - Germán Cáceres Arenas Página 130
8.2. Conceptos fundamentales
Reacción anódica:
La reacción anódica es la reacción de oxidación del agua y se produce sobre el ánodo, polo
positivo, según:
2 2
0
2 2 H /
1
2 2 , E 1,23 V
2
O OH O O H e 
   
El potencial de equilibrio de este electrodo se calcula mediante la Ecuación de Nernst:
2 2 2 2
2 2
2 2 2 2
2 2
21/20
/ / 2
2 2 2
0
/ /
anodo H /
0,06
2
, como el O es un gas puro, entonces f=1 y O 1
,
entonces:
0,06 , Si pH=0 , entonces:
E =E
anodo H O O H O O
O O
anodo H O O H O O
O O
E E E Log O H
O f p p
pH Log H
E E E pH
E


  
   

   
 2 2
0
/
anodo
1,23 V
E 1,23 V
H O O 

Reacción catódica:
La reacción catódica es la reducción del catión cúprico
2
Cu 
a cobre metálico Cu, y se
produce sobre el cátodo, polo negativo, según:
2 0
2 , E 0,34 VCu e Cu 
  
El potencial de equilibrio de esta reacción, se calcula mediante la ecuación de Nernst:
HIDROMETALURGIA IMIN316 – 2014 - Germán Cáceres Arenas Página 131
2 2
2 2
2
0 2+
/ /
0
/ /
catodo
0,06
, Cu 1 , Cu 1
2
0,34 V
E 0,34 V
catodo Cu Cu Cu Cu
catodo Cu Cu Cu Cu
Cu
E E E Log
Cu
E E E
 
 

    
  

Por lo tanto la diferencia de potencial de equilibrio de la celda está dada por:
celda
1,23 0,34 0,89 V
E 0,89 V
celda anodo catodoE E E     
 
Velocidad de Reacción: Cuando circula una corriente I
En una reacción electroquímica (por ejemplo la reacción de depósito de cobre), la
velocidad de reacción del compuesto i se define como el número de moles de i
transformados por unidad de tiempo y por unidad de superficie del electrodo (del cátodo,
en el caso de la EO de cobre). Se define por la fórmula siguiente:
2
, donde:
velocidad de reaccion en moles/cm
numero de moles transformados (que reaccionan)
(duracion de la reaccion) en segundos
i
i
i
i
N
v
S t
v s
N
t tiempo





HIDROMETALURGIA IMIN316 – 2014 - Germán Cáceres Arenas Página 132
Ejemplo: consideremos el caso de la reacción de depósito de cobre sobre el cátodo de
acero inoxidable, según la reacción:
2
2Cu e Cu 
 
La velocidad de depósito de cobre es el número de moles de cobre reducidos (o
depositados) por segundo y por cm2
de superficie catódica, y está dada por la ecuación:
2
Cu
Cu
catodo
N
v
S t



Densidad de Corriente i
Cuando circula una corriente I a través de la superficie de un electrodo, se define la
densidad de corriente i como el cuociente entre la corriente I y la superficie del electrodo,
esto es:
2
2
, donde:
de corriente en A/m
en A
superficie del catodo en m
I
i
S
i densidad
I corriente
S




Ley de Faraday
Para una reacción electroquímica,
dneOx Re
El peso de una especie que reacciona sobre un electrodo cuando circula una corriente I
durante un tiempo t está dado por la ley de Faraday,
HIDROMETALURGIA IMIN316 – 2014 - Germán Cáceres Arenas Página 133
It
nF
M
P 
P = peso obtenido, g
M = peso molecular de la especie, g/mol
I = corriente, A
t = tiempo, seg.
n = número de electrones
F = constante de Faraday = 96.500 Coulomb (Amp. x seg.)
Para la reacción:
CueCu  
22
El equivalente electroquímico del cobre es:
hA
g
EECu



 185,136001
965002
54,63
Si se multiplica el EECu por la densidad de corriente i, se obtiene la velocidad teórica de
electro obtención de cobre:
2
33
296,010250185,110
mh
kg
iEEv Cuteórica

 
HIDROMETALURGIA IMIN316 – 2014 - Germán Cáceres Arenas Página 134
Si consideramos una eficiencia de corriente %90I , entonces la velocidad real de
electro obtención de cobre a una densidad de corriente de 250 A/m2
será:
2
266,0296,090,0
mh
kg
vreal


Relación entre velocidad de reacción y densidad de corriente: Ley de Faraday
En una reacción electroquímica, la velocidad de reacción es proporcional a la densidad de
corriente, de acuerdo a la ley de Faraday. Esto es:
Para la reacción de depósito de cobre
2
2Cu e Cu 
 
La ley de Faraday se escribe así:
( / )
( ) ( ) ( )
( / )
M g mol
m g I A t s
nF A s mol
  

Si se divide por el peso molecular M, por la superficie del electrodo S, y por el tiempo t, se
tiene:
2
2
( ) 1
( / )
( / ) ( ) ( ) ( / )
m g
i A cm
M g mol S cm t s nF A s mol
 
  
HIDROMETALURGIA IMIN316 – 2014 - Germán Cáceres Arenas Página 135
Esto es, los moles de cobre que se depositan por segundo y por centímetro cuadrado de
cátodo, lo cual corresponde a la velocidad de depósito de cobre, se expresan así:
1
Cuv i
nF
 
Esta ecuación indica que la velocidad de depósito de cobre es proporcional a la densidad
de corriente i, y que la constante de proporcionalidad es
1
nF .
Por lo tanto, en el caso de reacciones electroquímicas, como la EW de cobre, la densidad
de corriente corresponde a la “velocidad de la reacción”. Es la reacción electroquímica
propiamente tal que sólo depende de la densidad de corriente i aplicada.
Curvas de Polarización E = f (i)
Las curvas de polarización E(i) representan la velocidad de las reacciones electroquímicas.
En la Figura 51, se muestra las curvas de polarización de las reacciones anódica y catódica
de la EW de cobre.
HIDROMETALURGIA IMIN316 – 2014 - Germán Cáceres Arenas Página 136
Figura 51: Curvas de polarización de la electro – obtención de cobre.
Sobre potencial
Se define el sobre potencial de la manera siguiente:
Sobre potencial anódico, :
Sobre potencial catódico, :
HIDROMETALURGIA IMIN316 – 2014 - Germán Cáceres Arenas Página 137
Etapas de una Reacción Electroquímica
Transferencia de Carga: Reacción Electroquímica Propiamente Tal
Es la reacción electroquímica propiamente tal. Se produce sobre la superficie del
electrodo y su velocidad está dada por la densidad de corriente i, según:
1
tv i
nF
 
Esta etapa da origen a un sobre potencial (energía) de transferencia de carga,
Transferencia de Masa: Difusión
Corresponde al aporte de especies hacia la superficie del electrodo. Son los moles del
componente i que llegan a la superficie del electrodo por segundo y por cada cm2
de
superficie. Corresponde a la velocidad o flujo de difusión dv
.
Este flujo de difusión, está dado por la primera ley de Fick de la difusión, la cual se expresa
así:
0( )i
i el
i
D
J c c

  
Donde:
HIDROMETALURGIA IMIN316 – 2014 - Germán Cáceres Arenas Página 138
i
3
0
de difusion de la especie i en moles/cm2/seg
de la capa de difusion de Nernst de la especie i en cm
c de la especie i en elseno de la solucion en moles/cm
i
el
J Flujo
Espesor
Concentracion
c Concentr




 3
2
de la especie i sobre la superficie del electrodo en moles/cm
de difusion de la especie i en cm /i
acion
D Coeficiente seg
En la Figura 52, se muestra el flujo de difusión dado por la primera ley de Fick de la
difusión.
FIGURA 52: Ley de Fick de la difusión
Esta etapa da origen a un sobre potencial de difusión,
HIDROMETALURGIA IMIN316 – 2014 - Germán Cáceres Arenas Página 139
Régimen Estacionario
En régimen estacionario (independiente del tiempo), la velocidad de transferencia de
carga (velocidad de consumo) se hace igual a la velocidad de difusión (velocidad de
aporte), según:
0
0
1
( )
( )
t d
i
el
i
i
el
i
v v
D
i c c
nF
nFD
i c c



   
  
Densidad de corriente límite
La densidad de corriente límite es la densidad de corriente máxima que se puede alcanzar
en un proceso electroquímico. Se alcanza cuando la concentración de la especie i sobre el
electrodo se hace igual a cero, esto es
0elc 
Entonces, la densidad de corriente límite es:
lim 0
i
ite
i
nFD
i c

 
Se observa que esta densidad de corriente límite depende de la concentración de la
especie i en el seno de la solución, del coeficiente de difusión de la especie i y del espesor
HIDROMETALURGIA IMIN316 – 2014 - Germán Cáceres Arenas Página 140
de la capa de difusión de Nernst de la especie i. Estas dos últimas variables dependen de la
temperatura y de la agitación o del flujo.
En el caso de la EO de cobre, la densidad de corriente de trabajo normalmente es del
orden de 1/3 de la densidad de corriente límite, con el objeto de obtener un depósito de
cobre de buena calidad, tanto física como química. De ahí entonces la necesidad de
controlar que la concentración de cobre en el electrolito sea elevada, que la temperatura
del electrolito sea elevada y que el flujo del electrolito sea elevado.
Ejemplo
Cálculo de la densidad de corriente límite para el
2
Cu a una concentración de 45 g/l (0,7
mol/l),
CueCu 
22
2
5 3
4
2lim.
2 96.500 1 10 0,7 10
10 901
0,015Cu
A
i
m

 
    
  
Electro cristalización
Corresponde al depósito metálico; es la etapa de incorporación del metal a la red
cristalina.
Esta etapa requiere un sobre potencial de electro cristalización,
HIDROMETALURGIA IMIN316 – 2014 - Germán Cáceres Arenas Página 141
Parámetros de operación
 Eficiencia de corriente
real
100 , %
teorico
teorico=Peso dado por la ley de Faraday
I
Peso
Peso
Peso
  
 Voltaje de Celda
, Vcelda th a c elV E R I Perdidas       
 Consumo de Energía
5
catodo0,84 10 , KWh/Tcelda
I
V
W

  
Electro cristalización
La electro cristalización es la ciencia y técnica de obtención de un metal sólido sobre el
cátodo de una celda electrolítica.
HIDROMETALURGIA IMIN316 – 2014 - Germán Cáceres Arenas Página 142
Muchos factores tienen una influencia sobre el tipo de depósito obtenido en el cátodo,
entre éstos, los más importantes son: la densidad de corriente, la concentración del ion
metálico, la agitación, la temperatura, la concentración de otros cationes y aniones, las
reacciones de complexación, los agentes de adición (inhibidores) y el sustrato sobre el
cual tiene lugar el depósito metálico.
En el caso de la electro-obtención de cobre, se tiene la reacción catódica siguiente:
 
eCu 22 o
ads incorporado a la red cristalinaCu Cu
El paso de
o
adsCu
sobre la superficie catódica a Cu incorporado a la red cristalina es del dominio de
la electro cristalización.
La electro cristalización de cobre comprende 2 etapas: nucleación y crecimiento de los
cristales, y dependen del sobre potencial catódico del cobre.
Si se aumenta el sobre potencial catódico del cobre, , se favorece la nucleación y se
obtienen cristales pequeños. Por el contrario, si se disminuye el sobre potencial catódico
de cobre, , se favorece el crecimiento y se obtienen cristales grandes.
Para aumentar el sobre potencial de cobre, , se agrega al electrolito pequeñas
cantidades de reactivos, denominados agentes de adición o inhibidores, los cuales
cumplen principalmente 2 objetivos:
Aumentan la velocidad de nucleación obteniéndose un depósito de grano fino.
Nivelan la superficie del depósito por adsorción específica en los sitios de crecimiento.
HIDROMETALURGIA IMIN316 – 2014 - Germán Cáceres Arenas Página 143
El Profesor Winand de Bélgica, clasificó los tipos de depósitos obtenidos en función de la
relación o y la intensidad de la inhibición. Sus resultados se muestran en la
Figura 18. La intensidad de la inhibición es la cantidad de aumento de sobre potencial
debido a los inhibidores (sustancias orgánicas).
En esta figura, se observa que si a bajo nivel de inhibición se aumenta i ó se disminuye
n
M
C
se obtienen depósitos de cristales grandes, luego crecimiento dendrítico y
finalmente polvo metálico. En cambio, a una relación i/c media, aumentando la intensidad
de la inhibición cambia la estructura del depósito desde cristales gruesos a finos.
La técnica consiste en balancear estas variables para obtener un depósito de morfología
deseada.
En electro-obtención de cobre, se desea obtener un depósito compacto y parejo tipo FT.
HIDROMETALURGIA IMIN316 – 2014 - Germán Cáceres Arenas Página 144
FIGURA 53: Clasificación de tipos de depósitos metálicos (según Winand)
HIDROMETALURGIA IMIN316 – 2014 - Germán Cáceres Arenas Página 145
8.3. Configuración de plantas de EW de Cu
Las plantas de EW de Cu se configuran en bancos de celdas conectadas eléctricamente en
serie y dentro de cada celda se conectan los electrodos en paralelo. En la Figura 54, se
muestra una configuración típica de una planta de EW Cu de mediana minería (5.000 a
10.000 T cátodo/año) con el circuito hidráulico y eléctrico.
FIGURA 54: Configuración de plantas de EW Cu
HIDROMETALURGIA IMIN316 – 2014 - Germán Cáceres Arenas Página 146
8.4. Operación y control del proceso
Calidad Química
La Planta de EW de Cobre permite producir cátodos muy puros, esto es sobre 99,99 % de
Cu. Ahora bien, existen especificaciones técnicas de pureza de los cátodos electro-
obtenidos. La más utilizada es el cátodo grado A cuya Norma Británica BS 6017 del año
1981, establece las especificaciones de composición química siguientes:
Cobre, Cu > 99,96 %
Plomo, Pb 5 ppm, máx.
Hierro, Fe 10 ppm, máx.
Azufre, S 15 ppm, máx.
Selenio, Se 2 ppm, máx.
Teluro, Te 2 ppm, máx.
Bismuto, Bi 2 ppm, máx.
Antimonio, Sb 4 ppm, máx.
Arsénico, As 5 ppm, máx.
Plata, Ag 25 ppm, máx.
La calidad química del cátodo se determina por el análisis químico de pureza (% Cu) e
impurezas (máximo permisible).
HIDROMETALURGIA IMIN316 – 2014 - Germán Cáceres Arenas Página 147
Elementos de control
Los elementos de control de la calidad química son: temperatura del electrolito (47 a 50
ºC), concentración de cobre en el electrolito agotado (varía según la densidad de
corriente, a baja densidad de corriente puede ser mayor o igual a 35 g/L; en cambio a alta
densidad de corriente, esto es sobre 300 A/m2
, la concentración de cobre en el agotado
no debe ser inferior a 40 g/L); densidad de corriente ( a mayor densidad de corriente hay
mayor riesgo de baja de calidad química), dosificación de aditivos o inhibidores (estos no
deben ser ni muy poco ni muy elevados), flujo de electrolito (flujo específico superior a 2,5
L/min/m2
.
Tabla de Calidad Química
En la Tabla siguiente se dan las especificaciones de calidad química de cátodos
comerciales:
Elemento Grado A Tesoro
LME PREMIUM OFF-GRADE
Cobre > 99,96 %
Plomo máx. 5 ppm ≤ 3 ppm > 5 ppm
Azufre máx. 15 ppm ≤ 8 ppm > 15 ppm
Hierro máx. 10 ppm
Total Impurezas max. 65 ppm
El oxígeno no está normado, pero el comprador lo fija en un rango entre 30 y 60 ppm.
La calidad química de los cátodos, depende del nivel de impurezas, principalmente de
elementos como plomo, azufre y hierro. El plomo sobre la concentración máxima en el
electrolito se deposita en el cuerpo del cátodo, en forma de laminillas diseminadas o
polvo, de color gris en diferentes tonalidades. Para regular que no aumenten las
concentraciones de estas impurezas, se utiliza un aditivo anódico para el plomo, se realiza
limpieza de las celdas y se efectúan purgas controladas de electrolito. El hierro tiene
incidencia directa en la eficiencia de corriente. No menos importante, son el cloro, nitrato
HIDROMETALURGIA IMIN316 – 2014 - Germán Cáceres Arenas Página 148
y manganeso; los cuales producen corrosión en las placas de acero inoxidable, estrías en
los cátodos y daño por mayor corrosión en el ánodo.
Dosificación de reactivos
Para que la acción de estos reactivos sea eficaz, su dosificación debe ser constante
durante las 24 horas del día. Por ejemplo, las gomas guar (reactivos afinadores de grano)
se deben preparar y adicionar de inmediato durante las próximas 4 horas, ya que
superado este tiempo, estas gomas se degradan. Lo mismo sucede con la temperatura, la
temperatura de preparación no sebe superar los 60 ºC. Por lo tanto cada 4 horas se debe
preparar una solución concentrada de estas gomas, la cual se dosifica en el electrolito
circulante, a una tasa de unos 200 a 300 g/T cátodo.
El sulfato de cobalto también se agrega a partir de una solución madre concentrada de tal
manera de mantener en el electrolito circulante una concentración de cobalto entre 100 a
150 mg/L o ppm (partes por millón).
Controles operacionales
Alineamiento de electrodos: Los electrodos tienen que estar bien alineados con el objeto
de mantener constante y pareja la densidad de corriente en todos los electrodos.
Detección – eliminación de cortocircuitos: Los cortocircuitos generan bajas en la
eficiencia de corriente y contaminan el cátodo. Para ello, se deben detectar a tiempo y
eliminar lo antes posible.
Control de flujos: Esta variable operacional es muy importante para la calidad del cátodo
obtenido. Se debe controlar permanentemente y observar que no disminuya, porque es a
través de esta variable que se controla el ingreso de cobre a la celda. Si por ejemplo el
flujo se corta por completo (parada de bomba, obstrucción o tapada de la tubería que
HIDROMETALURGIA IMIN316 – 2014 - Germán Cáceres Arenas Página 149
alimenta la celda, y como la corriente no se ha cortado, entonces rápidamente se agota
completamente el cobre en el electrolito que está en la celda y se obtiene un depósito de
muy mala calidad física (pulverulento) y química (contaminado con electrolito). Además,
hay riesgos de incendio en la nave.
Mantención de electrodos: Los electrodos deben ser mantenidos y revisados
permanentemente. La superficie de los cátodos debe ser mantenida pulida y sin corrosión
por picadura (efecto del cloruro). La barra conductora del cátodo debe ser mantenida en
muy buen estado de conducción, que no haya problemas con el recubrimiento de cobre.
La verticalidad de los cátodos debe ser mantenida siempre. La soldadura barra-placa debe
estar en perfectas condiciones; no debe haber ningún punto de mala conducción.
Los ánodos deben ser mantenidos con mucho cuidado para no dañar ni destruir la capa de
óxido de plomo, 2PbO
, que los recubre, ya que sobre esta capa de óxido se produce la
reacción de desprendimiento de oxígeno. Hay que mantener la verticalidad de los ánodos,
sin “pandeo”, ya que esto provoca contaminación del cátodo con plomo. El espesor final
de los ánodos no debe ser inferior a unos 3 mm.
Capping board: Los capping boards deben ser mantenidos limpios y sin daño estructural.
Barras de alimentación de corriente: Estas barras deben ser mantenidas muy limpias y
libres de toda contaminación (sulfatos, orgánico, suciedad, borra, etc.) que pueda reducir
su capacidad conductora de la corriente eléctrica. También se debe evitar que sufran
deterioros físicos, como golpes, ranuras, trizaduras, despegue de la soldadura, etc.
Desborres: Esta operación de desborre de celdas se debe hacer en forma periódica, para
evitar contaminar el cátodo con plomo y azufre.
HIDROMETALURGIA IMIN316 – 2014 - Germán Cáceres Arenas Página 150
Calidad física
Elementos de control
Los principales elementos de control para la calidad física de los cátodos son:
La densidad de corriente
Esta se debe fijar y controlar en función de la concentración de cobre del electrolito rico,
manteniendo en un valor fijo de unos 42 g/l la concentración de cobre del electrolito
pobre.
El estado de los electrodos
Tanto los cátodos como los ánodos deben estar en perfectas condiciones físicas, lisos, bien
verticales, sin perforaciones ni daños y con los contactos bien limpios.
 La distancia ánodo – cátodo: esta distancia debe mantenerse en todo lo alto de los
electrodos, si en algún punto el acercamiento entre los electrodos es mayor,
entonces por esta zona va a pasar mayor corriente y se va a producir un depósito
de mala calidad con muchos nódulos.
 La temperatura, concentración y flujo del electrolito.
 La adición de guar y sulfato de cobalto.
HIDROMETALURGIA IMIN316 – 2014 - Germán Cáceres Arenas Página 151
 El tiempo de depósito
Tabla de calidad física (Tabla 7)
La calidad física se determina en forma visual, de tal manera que el cátodo obtenido tenga
una superficie lisa, pareja, compacta y esté libre de rugosidades y nódulos. También se
debe tener cuidado de cumplir con las especificaciones de dimensiones y espesor del
cátodo.
En una Tabla de calidad física, se fija por ejemplo que los nódulos no ocupen una
superficie mayor del 20% del total del cátodo y que los nódulos no superen los 6 mm de
tamaño.
Además, se establece que no haya manchas de orgánico, sulfato ni plomo presentes. Que
el depósito sea parejo, del mismo espesor en toda la superficie del cátodo y con los
bordes verticales parejos y sin áreas de falta de depósito o que el depósito esté
“quemado” (en la práctica estos cátodos se denominan “catodos apolillados”)
HIDROMETALURGIA IMIN316 – 2014 - Germán Cáceres Arenas Página 152
Tabla 7: Calidad química y física de catodos de cobre EW
CLASIFICACION ON GRADE OFF GRADE
Calidad Química Premium Grado A -
LME
Premium Grado A-LME Off Grade
S, ppm ≤ 8 ≤ 15 ≤ 8 ≤ 15 >15
Pb, ppm ≤ 3 ≤ 5 ≤ 3 ≤ 5 >5
Aspecto Físico
Nodulación < 20% < 20% > 20% > 20% > 20%
Tamaño Nódulos < 6 mm < 6 mm > 6 mm > 6 mm > 6 mm
Cortocircuitos sin sin con con con
Orgánico sin sin con con con
Bordes regulares regulares irregulares irregulares irregulares
Placas verticales verticales
Cuadratura 100x100 100x100
Depósito irregular irregular irregular
Plomo visible visible visible
Sulfatación sin sin con con con
Estrías < 6 mm < 6 mm > 6 mm > 6 mm > 6mm
Designación On Grade On Grade Off Grade Off Grade Off Grade
HIDROMETALURGIA IMIN316 – 2014 - Germán Cáceres Arenas Página 153
Controles operacionales
 Alineamiento de los electrodos: Los electrodos deben ser perfectamente
alineados para lograr una buena y homogénea distribución de la corriente y por lo
tanto de la densidad de corriente.
 Detección – eliminación de cortocircuitos: Los cortocircuitos deben ser detectados
y eliminados a tiempo, ya que producen un depósito irregular, baja en la eficiencia
de corriente y contaminación del cátodo.
 Control de flujos: Los flujos deben ser controlados en forma rigurosa y
permanente, ya que es una variable muy importante de la calidad física y química
del depósito. En caso que no haya flujo de electrolito existen serios riesgos de
explosión e incendio en la nave electrolítica, debido a la generación de hidrógeno
cuando el cobre se haya agotado.
 Mantención de los electrodos: Los electrodos deben ser mantenidos al más alto
estándar de mantención de la Empresa.
 Capping board: Los camping board deben ser mantenidos limpios, bien alineados y
en muy buen estado de aislamiento eléctrica.
 Barras de alimentación de corriente: Las barras de alimentación de corriente
deben ser mantenidas en muy buen estado, limpias, sin roturas ni golpes. Deben
ser uniformes y no presentar problemas de corrosión y destrucción.
 Desborres: Los desborres de celda son una operación que se debe hacer en forma
periódica, para evitar la contaminación del cátodo con plomo y sulfato. También
permite evitar la contaminación del electrolito con “borras flotantes”. Evita
crecimiento de nódulos y depósito irregular.
HIDROMETALURGIA IMIN316 – 2014 - Germán Cáceres Arenas Página 154
Control de Impurezas
Arrastre de Orgánico
El arrastre de orgánico debe ser reducido al máximo por cuanto provoca contaminación
del cátodo y dificulta el despegue de éste.
Cloruro
El contenido de cloro máximo permisible es de 30 ppm, ya que provoca corrosión de los
cátodos de acero inoxidable. También es un afinador de grano.
Hierro
Diminuye la eficiencia de corriente y aumenta el consumo de energía. El contenido
máximo permisible es de unos 2,5 g / L.
Manganeso
Oxida el orgánico y aumenta la corrosión de los ánodos. El contenido máximo es variable
entre las plantas, pudiendo llegar hasta 100 a 200 ppm.
Plomo
Contamina el cátodo. Se debe tener buenos procedimientos de mantención de los ánodos
para evitar eventos de plomo que pueden ocurrir en las Plantas de EO de Cobre. Para ello,
es fundamental la inspección de los ánodos, la limpieza de los ánodos y el desborre de las
celdas en forma periódica. Se debe mantener una concentración adecuada de cobalto en
el electrolito. Se debe evitar la corrosión de los ánodos agregando una dosis adecuada de
cobalto. La incorporación de plomo a los cátodos es por oclusión de partículas finas en
suspensión productos de corrosión de los ánodos (óxidos y sulfatos de plomo)
HIDROMETALURGIA IMIN316 – 2014 - Germán Cáceres Arenas Página 155
Neblina Ácida
Para reducir la neblina ácida se cubre la superficie del electrolito en las celdas con bolitas
de plástico o carpeta y extracción del oxígeno y además se debe disponer de una buena
ventilación de la nave electrolítica.
8.5. Diseño de plantas de EW de Cobre
El diseño o dimensionamiento de plantas de EW Cu, consiste en determinar las
especificaciones técnicas del rectificador (corriente I y voltaje V), el número de celdas y el
número de cátodos por celda.
A continuación, se muestra un ejemplo de diseño de una planta de EW Cu para producir
7.200 T cátodo/año (corresponde a mediana minería).
Criterios de diseño:
Producción = 7.200 T/año = 600 T/mes = 20 T/día = 833 kg/h
Densidad de corriente = 275 A/m2
(valor medio entre 250 y 300)
Eficiencia de corriente = 90 %
Voltaje de celda = 2,2 V
Equivalente electroquímico del Cu = 1,185 g/Ah
Cálculos:
a) Velocidad de depósito
vd = (0,90 x 1,185 x 275)/1.000 = 0,293 kg/h/m2
b) Superficie catódica total = 833/0,293 = 2.843 m2
c) Número de cátodos de 1 x 1 m = 2.843/2 = 1.422 cátodos
HIDROMETALURGIA IMIN316 – 2014 - Germán Cáceres Arenas Página 156
d) Número de cátodos por celda: depende del proyecto, normalmente en mediana
minería se utiliza hasta 45 cátodos por celda. En gran minería se usan hasta 66
cátodos por celda. En este ejemplo vamos a utilizar 33 cátodos por celda
e) Número de celdas = 1,422/33 = 43 celdas (vamos a utilizar 44 celdas distribuidas
en 2 bancos de 22 celdas cada uno)
f) Corriente del rectificador = 33 x 2 x 275 = 18.150 A (vamos a utilizar un rectificador
de 20.000 A con una holgura de un 10 % de producción)
g) Voltaje del rectificador = 2,2 x 44 = 97 V (vamos a utilizar un rectificador de 110 V
con un 10 % de holgura de producción)
Diseño:
Rectificador = 20.000 A x 110 V
N° celdas = 44 (2 bancos de 22 cada uno)
N° electrodos por celda = 33 (elección según tamaño de celdas)
N° cátodos total = 1.452
N° ánodos total = 1,452
Los otros elementos del diseño, como layout de la planta, capacidad de la caldera,
capacidad de la planta de osmosis inversa, sistema de cosecha y despegue, etc, deben ser
considerados en la ingeniería de detalles del proyecto.
HIDROMETALURGIA IMIN316 – 2014 - Germán Cáceres Arenas Página 157
UNIDAD 9: ELECTRO REFINACION DE COBRE
9.1. Descripción del proceso
La electro refinación de cobre consiste en la disolución anódica del cobre impuro desde el
ánodo; y su posterior depósito catódico de cobre puro sobre un cátodo de láminas
iniciales de cobre o acero inoxidable.
El proceso de electro refinación de cobre es el más importante a escala industrial, pues
prácticamente toda la producción de cobre por piro metalurgia es electro refinada. A
menor escala, se practica también la electro refinación de Pb, Ni, Ag, Au y otros metales
menores.
La electro refinación de cobre tiene dos objetivos:
 Eliminar las impurezas que perjudican las propiedades eléctricas y mecánicas del
cobre, tales como: As, Sb, Bi, O, S, Se, Te, Fe, Co, Ni y Pb.
 Recuperar las impurezas valorizables, como: Au, Ag, metales del grupo del Pt y Se.
Los ánodos se moldean en la fundición y son de cobre impuro (99.4 a 99.8 % Cu) y los
cátodos son láminas de cobre puro (99.98 % Cu) (láminas iniciales u hojas de partida) o
placas de acero inoxidable sobre el cual se va a depositar el cobre puro (cátodos
permanentes), tal como se hace en EW Cu.
El electrolito es una solución ácida de sulfato de cobre que contiene entre 40 y 50 g/l de
Cu2+ y 180 a 200 g/l de H2SO4. La temperatura de trabajo es del orden de 60 °C y la
densidad de corriente varía entre 180 y 250 A/m2.
Durante el electrólisis, el cobre y los metales menos nobles que él : As, Sb, Bi, Fe, Co, Ni,
Pb, pasan desde el ánodo a la solución; mientras que los metales más nobles como oro y
plata, y los sulfuros, seleniuros y teluros de cobre y plata, muy refractarios a la disolución
electroquímica, no se disuelven, decantan y pasan al barro anódico.
HIDROMETALURGIA IMIN316 – 2014 - Germán Cáceres Arenas Página 158
El cobre es depositado sobre el cátodo; mientras que los metales menos nobles como Fe,
Ni y As permanecen en la solución. Un circuito de purificación del electrolito permite
eliminar estos elementos y evitar así que su concentración aumente en solución con el
tiempo. El electrolito circula en circuito cerrado en la planta de electro refinación.
Además, para mejorar la calidad del depósito catódico, se agrega al electrolito sustancias
orgánicas en pequeñas cantidades, llamadas inhibidores de cristalización, tales como:
tiourea, cola y avitone.
Finalmente, como la concentración de cobre aumenta en el electrolito, debido a la
disolución química del óxido cuproso contenido en el ánodo, es necesario que una parte
del electrolito sea sometida al proceso de electro obtención para mantener la
concentración de cobre constante en solución.
Disolución química (ánodo):
Cu2O + 2 H+ => 2 Cu+ + H2O
2 Cu+ => Cu2+ + Cu (precipitado) (dismutación)
En la Tabla 8, se muestra el rango de composición industrial de los ánodos y cátodos de
cobre
HIDROMETALURGIA IMIN316 – 2014 - Germán Cáceres Arenas Página 159
TABLA 8: Rango de composición industrial de ánodos y cátodos de cobre.
Elemento
Ánodos
%
Cátodos
%
Cu 99.4 - 99.8 > 99.99
O 0.1 - 0.3 25-50 ppm
Ni < 0.5 < 10 ppm
Pb < 0.1 < 5 ppm
As < 0.3 < 2 ppm
Sb < 0.3 < 2 ppm
Se < 0.02 < 2 ppm
Fe 0.002 - 0.03 2 – 20 ppm
Te < 0.001 < 1 ppm
S 0.001 - 0.003 2 – 10 ppm
Bi < 0.01 < 1 ppm
Ag < 0.1 5 – 10 ppm
Au <0.005 < 0.1 ppm
Los resultados de la ER de cobre son:
 Disolución de cobre impuro en el ánodo
 Depósito de cobre puro en el cátodo
 Aumento de la concentración de cobre e impurezas en el electrolito
 Producción de barro anódico
HIDROMETALURGIA IMIN316 – 2014 - Germán Cáceres Arenas Página 160
En la Figura 55, se muestra un diagrama de flujo simplificado del proceso de electro
refinación de cobre (ER Cu)
FIGURA 55: Proceso de electro refinación de cobre (ER Cu)
ELECTRO
REFINACION
ELECTROLITODESCOBRIZACION
PURIFICACION
BARRO
ANODICO
ANODOS CATODOS
CATODOS
EW
BARRO
ARSENICAL
HIDROMETALURGIA IMIN316 – 2014 - Germán Cáceres Arenas Página 161
9.2. Conceptos fundamentales
REACCION ANODICA: Cu => Cu2+ + 2e- E° = 0.34 V
(Disolución de cobre)
REACCION CATODICA : Cu2+ + 2e- => Cu E° = 0.34V
(Precipitación de cobre) _______________________________
REACCION DE CELDA O GLOBAL: Cu => Cu E = 0 V
(Expresada en forma iónica)
En la Figura 56, se muestra las curvas de polarización de la ER Cu.
FIGURA 56: Curva de polarización para la electro refinación de cobre.
HIDROMETALURGIA IMIN316 – 2014 - Germán Cáceres Arenas Página 162
9.3. Configuración de plantas ER
La configuración de plantas de ER es similar a la de plantas EW. En la Figura 57, se muestra
un layout de una planta ER de Cu que utiliza hojas de partida. Las plantas ER de Cu tienen
capacidades de producción desde 50.000 hasta 350.000 o más toneladas de cátodos/año.
FIGURA 57: Layout planta ER Cu
CELDAS
COMERCIALES
CELDAS
COMERCIALES
CELDAS
COMERCIALES
AREA DE
COSECHA
AREA
DE
HOJAS
PARTIDA
PLANTA
BARROS
PLANTA
PURIFICACION
AREA
ESTANQUES
PATIO
DE
ANODOS
RECTIFICADORPATIO DE ANODOS
PATIO DE CATODOS
LAMINAS
INICIALES
CELDAS
COMERCIALES
HIDROMETALURGIA IMIN316 – 2014 - Germán Cáceres Arenas Página 163
9.4. Operación y control del proceso
Las plantas ER Cu operan a densidades de corriente de 200 a 300 A/m2
, temperatura del
electrolito de 60 °C, flujo de electrolito 20 a 40 L/min y concentración del electrolito:
Cu: 35 a 50 g/L
Ni: 1 a 30 g/L
H2SO4: 130 a 210 g/L
As: 0,01 a 20 g/L
Sb: 0,01 a 0,5 g/L
Bi: 0,01 a 0,3 g/L
Cl: 0,02 a 0,06 g/L
Aditivos orgánicos: cola, avitone y tiourea: 20 a 40 ppm
Comportamiento y control de impurezas
El objetivo de una planta ER Cu es producir cátodos de alta pureza a bajo costo. Para ello
se debe ejercer un control muy riguroso del comportamiento de las impurezas en el
proceso.
Entre las impurezas que tienen el mayor efecto negativo sobre el recocido y la
temperatura de re cristalización en los procesos de obtención del alambrón por colada
continua, están en el orden siguiente:
Te > Se > Bi > Sb > As
Por lo tanto se requiere eliminar al máximo estas impurezas para que no contaminen el
cátodo.
HIDROMETALURGIA IMIN316 – 2014 - Germán Cáceres Arenas Página 164
Para el cátodo grado A del mercado de metales de Londres (LME) la norma establece los
valores máximos permisibles para estas impurezas:
Se 2 ppm
Te 2 ppm
Bi 2 ppm
Sb 4 ppm
As 5 ppm
Pb 5 ppm
Fe 10 ppm
S 15 ppm
Ag 25 ppm
Total 65 ppm
Por otra parte, se debe recuperar los metales de alto valor económico como son los
metales preciosos (Au y Ag) y los metales del grupo del platino (Pt, Pd).
También, se debe eliminar del proceso y luego recuperar el plomo, azufre y los metales
del grupo del hierro (Fe, Co y Ni).
El mecanismo principal de contaminación de cátodos es el siguiente:
 Mediante el barro anódico
 A través del electrolito
 Por co – depositación catódica
En consecuencia, para un buen control de calidad de cátodos y control de impurezas, se
debe conocer el comportamiento de las impurezas en los ánodos, en el electrolito y en los
cátodos.
HIDROMETALURGIA IMIN316 – 2014 - Germán Cáceres Arenas Página 165
Comportamiento de impurezas durante la ER Cu
MPt, Au, Ag, Se, Te, S, Pb, Sb: en los barros anódicos
As, Bi: principalmente en el electrolito
Fe, Co, Ni, Zn: en el electrolito
MPt y Au: tienen E0
> 1,5 V, muy superior al E0
del Cu (0,34 V), por lo tanto no se
disuelven, no se encuentran en el electrolito, no se depositan en el cátodo y pasan
directamente al barro anódico.
Ag: tiene E0
=0,8 V, pero como la plata se encuentra en los ánodos como seleniuros y
teluros de cobre y plata, se disuelve una pequeña cantidad de plata y se precipita en el
electrolito como cloruro de plata (AgCl) mediante la adición de pequeñas cantidades de Cl-
(HCl) del orden de 30 ppm. También, hay algo de co – depositación de Ag en el cátodo.
S, Se y Te: estos elementos se encuentran en los ánodos como seleniuros, teluros y
sulfuros de cobre y plata, muy refractarios a la disolución (tienen E0
entre 0,5 y 0,6 V), por
lo tanto no se disuelven y pasan directamente al barro anódico.
As, Sb y Bi: estos metales tienen un E0
inferior al E0
del Cu (As 0,25 – Sb 0,21 y Bi 0,32 V),
por lo tanto se disuelven y se comportan de la manera siguiente:
 Una parte precipita como arsenatos de Sb y Bi, los cuales si quedan en suspensión
contaminan el cátodo y el resto decanta al barro anódico.
 La parte que queda en el electrolito es eliminada en los circuitos de purificación del
electrolito.
Fe, Co y Ni: estos metales tienen un E0
inferior al E0
del Cu (Fe -0,44 – Co -0,28 y Ni -0,25
V), por lo tanto se disuelven, pasan al electrolito, no se co depositan en el cátodo y son
eliminados en el circuito de purificación.
Pb: tiene un E0
=-0,13 V, por lo tanto se disuelve, precipita como PbSO4 y pasa al barro
anódico.
HIDROMETALURGIA IMIN316 – 2014 - Germán Cáceres Arenas Página 166
9.5. Tratamiento de barros anódico
Los barros anódicos son precipitados que se encuentran en el fondo de las celdas de ER
Cu. Se generan del orden de 1 a 1,5 kg/T cátodo y en este estado original se denominan
barros anódicos crudos (BAC).
La composición de los barros anódicos crudo es la siguiente:
Cu 10 – 35 %
Ag 10 – 45 %
Au 0,5 – 2,0 %
Se 5 – 15 %
As 2 – 5 %
Sb 2 – 10 %
Te 0,5 – 5 %
MPt 50 – 100 ppm
Ox.Refr. 1 – 2 % (SiO2, CaO, Al2O3)
Etapas del proceso
Las etapas del proceso de tratamiento de los barros anódicos son las siguientes:
1. Recepción y descobrización: lixiviación BAC con H2SO4, vapor y aire.
2. Deselenización: tostación sulfatante BAD con H2SO4, reducción SeO2 y
purificación Se.
3. Fusión en horno doré: calcina descobrizada y deselenizada a fusión en HD y
obtiene ánodo de metal doré: Ag=94-97 %, Au=1-3 %, Cu=0,1-0,5 %, MPt:
menores.
4. Electro refinación de Ag y Au y recuperación de MPt (Pt, Pd).
HIDROMETALURGIA IMIN316 – 2014 - Germán Cáceres Arenas Página 167
1. Recepción y Descobrización: lixiviación BAC con H2SO4, vapor y aire.
• BAC + Electrolito (350 m3/día) (total electrolito planta = 5.000 m3)
• 3 estanques cónicos de recepción 20 m3 c/u
• 1 estanque rectangular pulmón de 12 m3
• BAC: 15% Cu, 35% Ag, 2% Au
• Decanta el BAC y electrolito claro retorna a refinería con bomba de 23 m3/h
• BAC decantado a 2 estanques cónicos lixiviadores batch de 3,5 m3.
• Capacidad tratamiento 750 Kg de BAC por cada ciclo de operación de 12 h.
• Agrega vapor + aire.
• Pulpa a filtro a presión separa BAD (Barro Anódico Descobrizado) y solución de
CuSO4 a planta de sulfato.
• BAD 12 % humedad, 1% Cu, 41% Ag, 2,3% Au a 1 capacho a planta de
deselenización.
2. Deselenización
 Preparación mezcla BAD + Solución desargentización (40 g/L Ag) + H2SO4 + tierra
de kieselgur, en estanque de 1 m3. Ciclo 8 h/carga.
 Recepción de mezcla y vaciado en bateas de tostación (12 bateas por cada horno).
 Horno de tostación a 600 ºC, SeO2 (g).
 Estanque de circulación y decantación de selenio a 80ºC con solución de H2SO4
300 g/L.
 Filtro prensa para separación de Se 98%.
 Calcina a horno doré (HD), 37% Ag, 2% Au, 0,8% Cu.
HIDROMETALURGIA IMIN316 – 2014 - Germán Cáceres Arenas Página 168
3. Fusión de calcina en Horno Doré (Cu-Au-Ag)
 Preparación de mezcla calcina + bórax + salitre (en oxidación) + Na2CO3 + carbón +
precipitados de Ag.
 Horno Doré: 5,4 t de carga por batch a 1.200 ºC, 1 quemador de acero a petróleo
30 L/h + aire.
 Fusión: escoria de fusión, elimina As, Sb, Pb, Fe y SiO2. Retorna a fundición (de
cobre). Contiene 2% Ag y 0,05% Au.
 Oxidación: escoria oxidación elimina Cu y Te. Contiene 4% Ag y 0,4% Au. Se recicla
en el mismo horno o retorna a fundición.
 Metal doré: a moldeo de ánodos, 95% Ag, 4% Au, peso ánodos 10 kg. Van a
electrólisis de plata.
 5 t de calcina en 3 días.
4. Electro refinación de Plata (Moebius)
 Anodo de metal doré (metal doré de Codelco 98% Ag, 1% Au) a cuba electrolítica.
 Cristales de plata. Lavado con agua caliente y filtrado.
 Cristales de plata a horno de inducción, capacidad 120 kg/h.
 Granallado. Granalla de plata 99,98% Ag.
 Agua de lavado retorna a cuba electrolítica.
 Solución de filtrado va a cementación con NaCl y Fe. El precipitado a horno doré.
 Barro aurífero a filtro de vacío. Barro anódico a tratamiento. Solución a cuba de
cementación.
 Resto ánodo a horno inducción para ánodo metal doré.
HIDROMETALURGIA IMIN316 – 2014 - Germán Cáceres Arenas Página 169
5. Tratamiento de barro aurífero crudo (barro anódico electrólisis de plata)
• Barro aurífero crudo (30% Ag, 65% Au) + H2SO4 concentrado a lixiviación a 160 ºC,
en estanque de lixiviación cilíndrico cónico (lixiviadores PF AUDLER) de 100 kg.
Ciclo 48 h. Reactores envidriados interiormente.
• Barro lixiviado 98% Au, 1% Ag a horno de inducción de 120 kg/h, moldeo de
ánodos de oro 98% Au, 1% Ag, peso 1,8 kg a electrólisis de oro.
• Solución de desargentización a planta de selenio.
• A horno de inducción circulante de electrólisis de oro (98% Au, 1% Ag).
5. Electrólisis de oro. Electro refinación de oro.
 Anodos de oro (98% Au, 1% Ag) y cátodos iniciales.
 Celda de electrólisis a 70 ºC calentada con aceite.
 Electrolito: 130 g/L Au, 130 g/L HCl.
 Cátodo: lámina inicial oro electrolítico
 Densidad de corriente = 1.000 A/m2.
 Cátodos de oro: 99,99% Au a horno de inducción, moldeo de barras, pesaje y venta
99,99 % Au. Barritas a laminación para cátodos iniciales.
 Resto de ánodos a moldeo de ánodos.
 Barro anódico y electrolito a filtración. Barro anódico + agua regia a cementación
AgCl.
 Solución a cuba de precipitación con FeSO4. Filtración en filtro buncher.
Precipitado de oro retorna a barro anódico.
 Solución a precipitación con Zn. Filtración. Precipitado es un concentrado de Pt y
Pd (7% Pt, 38% Pd), 500 kg desde que partió la planta en 1966. Ciclo 24 h. Solución
a descarte.

Hidrometalurgia

  • 1.
    HIDROMETALURGIA IMIN316 –2014 - Germán Cáceres Arenas Página 1 FACULTAD DE INGENIERIA Carrera INGENIERIA CIVIL EN MINAS CURSO HIDROMETALURGIA – IMIN316 2014 PROFESOR: DR. GERMAN CACERES ARENAS
  • 2.
    HIDROMETALURGIA IMIN316 –2014 - Germán Cáceres Arenas Página 2 CONTENIDO INTRODUCCION UNIDAD 1: FUNDAMENTOS TERMODINAMICOS DE LA HIDROMETALURGIA 1.1. Reacción química 1.2. Reacción electroquímica 1.3. Diagramas Eh-pH UNIDAD 2: LIXIVIACION 2.1. Cinética de reacciones 2.2. Etapas de una reacción 2.3. Difusión 2.4. Influencia de las características de las partículas UNIDAD 3: PRACTICA DE LA LIXIVIACION 3.1. Sistemas de lixiviación 3.2. Lixiviación en pilas 3.3. Lixiviación por agitación UNIDAD 4: SEPARACION SOLIDO – LIQUIDO 4.1. Espesadores 4.2. Lavado en contra corriente 4.3. Filtros UNIDAD 5: PURIFICACION Y CONCENTRACION DE SOLUCIONES 5.1. Hidrólisis 5.2. Cementación 5.3. Precipitación de un compuesto específico UNIDAD 6: LIXIVIACION EN PILA DE MINERALES DE COBRE 6.1. Minerales oxidados de cobre 6.2. Descripción del proceso LIX/SX/EW 6.3. Aglomeración 6.4. Lixiviación 6.5. Configuración de plantas de lixiviación
  • 3.
    HIDROMETALURGIA IMIN316 –2014 - Germán Cáceres Arenas Página 3 6.6. Operación y control del proceso 6.7. Diseño de pilas UNIDAD 7: EXTRACCION POR SOLVENTE DE COBRE 7.1. Descripción del proceso 7.2. Conceptos fundamentales 7.3. Reactivos utilizados 7.4. Determinación del número de etapas 7.5. Configuración de plantas de SX de cobre 7.6. Operación y control del proceso 7.7. Diseño de plantas de SX de cobre UNIDAD 8: ELECTRO OBTENCION DE COBRE (EW) 8.1. Descripción del proceso 8.2. Conceptos fundamentales 8.3. Configuración de plantas de EW de cobre 8.4. Operación y control del proceso 8.5. Diseño de plantas de EW de cobre UNIDAD 9: ELECTRO REFINACION DE COBRE (ER) 9.1. Descripción del proceso 9.2. Conceptos fundamentales 9.3. Configuración de plantas de ER de cobre 9.4. Operación y control del proceso 9.5. Tratamiento de barros anódicos
  • 4.
    HIDROMETALURGIA IMIN316 –2014 - Germán Cáceres Arenas Página 4 INTRODUCCION Por hidrometalurgia se entiende los procesos de lixiviación selectiva (disolución) de los componentes valiosos de las menas y su posterior recuperación de la solución por diferentes métodos. El nombre de hidrometalurgia se refiere al empleo generalizado de soluciones acuosas como agente de disolución. Hay tres etapas principales de los procesos hidrometalúrgicos: 1. Disolución del metal deseado presente en el mineral. 2. Concentración y/o purificación de la solución obtenida. 3. Precipitación del metal deseado o sus compuestos. Los reactivos químicos empleados deben reunir muchas propiedades para poder usarse, por ejemplo: no deben ser muy caros, deben ser fácilmente recuperables y deben ser bastante selectivos para disolver determinados compuestos. Estos, se clasifican en: ácidos (H2SO4, HNO3, HCl, HNO3+HCl), bases (NaOH, NH4OH), sales (de sodio: NaCl, Na2S, NaCN, Na2S2O3, de amonio, férricas, cianuro, cloruro), oxidantes (Fe+3 /Fe+2 , Cu+2 /Cu+ , O2, H2O2). En este curso, se verán los procesos de la hidrometalurgia del cobre y del oro. Se recomienda al estudiante referirse a las varias publicaciones que se publicaron estos últimos años en el campo de la hidrometalurgia para profundizar los temas que le interesan. En las figuras 1 y 2 se muestran las tecnologías actuales de procesamiento de minerales de cobre y oro, respectivamente.
  • 5.
    HIDROMETALURGIA IMIN316 –2014 - Germán Cáceres Arenas Página 5
  • 6.
    HIDROMETALURGIA IMIN316 –2014 - Germán Cáceres Arenas Página 6 Figura 1: Tecnología de procesamiento de minerales de cobre CHANCADO LIXIVIACION PILAS EXTRACCION SOLVENTE ELECTRO OBTENCION MINA AGLOMERACION MOLIENDA FLOTACION FUNDICION ELECTRO REFINACION LIXIVIACION BOTADERO ACIDO CATODO
  • 7.
    HIDROMETALURGIA IMIN316 –2014 - Germán Cáceres Arenas Página 7 Figura 2: Tecnología de procesamiento de minerales de oro
  • 8.
    HIDROMETALURGIA IMIN316 –2014 - Germán Cáceres Arenas Página 8 UNIDAD 1: FUNDAMENTOS TERMODINAMICOS DE LA HIDROMETALURGIA 1.1. Reacción química Consideremos una reacción química, escrita bajo la forma: (1) Donde: a, b, c: son los coeficientes estequiométricos de la reacción. A, B: son los reactantes. C, D: son los productos. La condición de equilibrio de esta reacción es que ΔG=0 (2) | | | | | | | | (3) Donde: : Variación de la energía libre de la reacción. : Variación de la energía libre estándar de la reacción. K: Constante de equilibrio de la reacción. T: Temperatura absoluta, K R: Constante de los gases ideales (1,987 cal/mol K) | | : Actividad del reactante A, B o del producto C y D El valor de la energía libre estándar de la reacción ΔG0 , en cal/mol, kcal/mol o Joule/mol, se puede determinar conociendo los potenciales químicos estándares o las energías libres de formación de los reactantes y productos , en cal/mol, kcal/mol o Joule/mol, los cuales se encuentran tabulados en las tablas termodinámicas, donde se escriben también como G0 o F0 .
  • 9.
    HIDROMETALURGIA IMIN316 –2014 - Germán Cáceres Arenas Página 9 (4) Donde: : Coeficientes estequiométricos de la reacción. : Potencial químico estándar de la reacción. En este caso: (5) Para los cálculos, se usan las convenciones de Latimer: a 298 K (25°C) Al equilibrio (no hay variación de energía libre), Por lo tanto: (6) (7) Pasando a logaritmo decimal, a 25°C y en kcal/mol, la expresión anterior queda como sigue: (8) (9) K es la constante de equilibrio de la reacción considerada a la temperatura T:
  • 10.
    HIDROMETALURGIA IMIN316 –2014 - Germán Cáceres Arenas Página 10 En soluciones diluidas, las actividades de las especies disueltas se aproximan por su concentración molar (mol/litro). La actividad de un sólido o líquido puro es 1. Ejemplo: Cálculo de y K Consideremos la reacción de lixiviación de (óxido de cobre (II), tenorita) con ácido sulfúrico. La reacción química se escribe así: (10) En la tabla 1.1 se dan los valores de los potenciales químicos de las especies que participan en esta reacción (datos tomados del HSC). Tabal 1.1: Potenciales químicos estándar, kcal/mol Especie , kcal/mol 15,545 -30,611 -56,678 0 2 2 | | | | = Las concentraciones están expresadas en mol/L (molar)
  • 11.
    HIDROMETALURGIA IMIN316 –2014 - Germán Cáceres Arenas Página 11 1.2. Reacción electroquímica Consideremos una reacción electroquímica, escrita bajo la forma: (11) Donde: Ox: es la especie oxidante Red: es la especie reductora n: es el número de electrones que participan en la reacción La condición de equilibrio para esta reacción electroquímica está dada por la ecuación de Nernst: | | | | (12) Donde: E: Potencial redox de la reacción electroquímica, V E0 : Potencial estándar de la reacción electroquímica, V R: Constante de los gases ideales (1,987 cal/mol K) T: Temperatura, K n: Número de electrones F: Constante de Faraday (23.060 cal/V Equivalente o 96.500 Coulomb) | |: Actividad de la especie oxidante | |: Actividad de la especie reductora Reemplazando en la ecuación de Nernst, los valores numéricos de R y F; y expresando esta ecuación en logaritmo decimal y a 25°C, se tiene: | | | | (13) E0 es el potencial redox estándar de la reacción electroquímica; es decir, cuando todas las especies que participan en la reacción están en su estado estándar (sólidos y líquidos puros; y las especies disueltas a una concentración molar).
  • 12.
    HIDROMETALURGIA IMIN316 –2014 - Germán Cáceres Arenas Página 12 El E0 se calcula de la siguiente manera: (14) Observación: Cuando se escribe la reacción electroquímica en un solo sentido; esto es: (15) Entonces: (16) Ejemplo: Cálculo del E0 del sistema redox Cu/Cu2+ Se considera la reacción de equilibrio electroquímico redox Cu/Cu2+ siguiente: Resultados para diferentes concentraciones de cobre:
  • 13.
    HIDROMETALURGIA IMIN316 –2014 - Germán Cáceres Arenas Página 13 Escala de potenciales estándar Los valores de están tabulados en una escala de potenciales estándar de reacciones electroquímicas, tal como se muestra en la figura 3. Figura 3: Escala de potenciales estándar, V Ag/Ag+ 0,80 0 1 2 -1 0,77 0,34 Fe+2 /Fe+3 Cu/Cu+2 1,68 1,23 H2O/O2 Au/Au+ 2 H2/H+ -0,76 -0,44 Zn/Zn+2 Fe/Fe+2 -3 -2 -3,04 -2,71 Na/Na+ Li/Li+ -1,66 Volt Mg/Mg+2 Al/Al+3 -2,36
  • 14.
    HIDROMETALURGIA IMIN316 –2014 - Germán Cáceres Arenas Página 14 1.3. Diagramas Eh - pH La forma más conveniente de representar la termodinámica de sistemas acuosos es en forma gráfica en los diagramas de Pourbaix o diagramas potencial - pH. Estos diagramas son ampliamente utilizados por los hidrometalurgistas, por cuanto permiten visualizar posibilidades de reacciones sin tener que recurrir al cálculo termodinámico para los fenómenos que ocurren en medio acuoso. Una importante restricción en la aplicación práctica de los diagramas termodinámicos, es que predicen tendencias a que ocurran fenómenos, pero no la velocidad con que éstos puedan ocurrir. En la práctica las velocidades de reacción pueden variar desde valores tan altos que son controlados por limitaciones en la transferencia de masa, a valores tan bajos que se requieren períodos geológicos para observar en forma directa el fenómeno. La cinética extremadamente lenta en algunas reacciones conduce a que algunas fases sólidas existan en condiciones fuera de su rango de estabilidad termodinámica o que fases sólidas no se formen en condiciones termodinámicas favorables y lo hagan otras en su lugar (fases meta estables) (ejemplo: precipitación de hidróxido de hierro). En este caso, es a veces útil utilizar diagramas Eh - pH modificados que consideren las fases meta estable. Existe un atlas de diagramas Eh - pH (Pourbaix) en papel y el software HSC Chemistry 7 de Outukumpu en digital. En este curso, se mostrará cómo construir, interpretar y utilizar esos diagramas; por lo cual se van a construir a modo de ejemplos los diagrama Eh - pH del agua y del cobre.
  • 15.
    HIDROMETALURGIA IMIN316 –2014 - Germán Cáceres Arenas Página 15 Diagrama Eh - pH del agua Puesto que se está considerando el equilibrio termodinámico de especies en solución acuosa, es relevante incluir en los diagramas Eh - pH los límites de estabilidad del agua. Las semi reacciones a considerar son: En medio ácido Oxidación 2 H2O  O2 + 4 H+ + 4 e- E° = 1.23 V Reducción 2 H+ + 2 e H2 E° = 0.00 V En medio básico Oxidación 4 OH-  O2 + 2 H2O + 4 e- E° = 0.401 V Reducción 2 H2O + 2 e-  H2 +2 OH- E° = -0.83 V Para calcular un diagrama de Pourbaix, se utilizan las ecuaciones de las reacciones en medio ácido, las cuales están directamente relacionadas con la concentración en iones H+ y el pH. Oxidación 2 H2O <=> O2 + 4 H+ + 4e- E° = 1.23 V (11)
  • 16.
    HIDROMETALURGIA IMIN316 –2014 - Germán Cáceres Arenas Página 16 Reducción 2 H+ + 2 e- <=> H2 E° = 0 V (12) Para PH2 = 1 atm y PO2 = 1 atm, las ecuaciones (11) y (12) se simplifican a: Estas dos ecuaciones corresponden a rectas de pendiente (-0.06) y se muestran en la figura 4 siguiente. La región entre las líneas es el área de estabilidad termodinámica del agua bajo una presión de 1 atm y para una temperatura de 25 °C.
  • 17.
    HIDROMETALURGIA IMIN316 –2014 - Germán Cáceres Arenas Página 17 O2 H2O H+ Acido y oxidante Básico y oxidante Básico y reductor Acido y reductor pH Figura 4: Diagrama Eh - pH del agua
  • 18.
    HIDROMETALURGIA IMIN316 –2014 - Germán Cáceres Arenas Página 18 Construcción del diagrama Eh - pH del cobre en agua Se presenta a continuación la construcción - simplificada - y uso del diagrama Eh - pH para el caso del sistema Cu - H2O. Consideramos actividades unitarias para todas las especies metálicas en solución. Este diagrama es adecuado para analizar la lixiviación de óxidos simples como tenorita (CuO) y cuprita (Cu2O) o de cobre nativo. Tabla 1: Especies consideradas en el diagrama Eh - pH de Cu - H2O. Especie Energía libre de formación, ° (calorías) Estado de oxidación del Cu Denominación Cu 0 0 cobre nativo Cu2O -34.950 1 cuprita (rojo) CuO -30.400 2 tenorita (negro) Cu+ 12.000 1 ion cuproso Cu2+ 15.530 2 ion cúprico HCuO2 - -61.420 2 ion hidrogenuro de cuprato Se consideran sucesivamente las diferentes reacciones entre las especies consideradas para el diagrama Eh - pH del cobre. Cada reacción corresponde a una línea de equilibrio en el diagrama de Pourbaix.
  • 19.
    HIDROMETALURGIA IMIN316 –2014 - Germán Cáceres Arenas Página 19 Reacciones en que participan H+, pero no e- Reacciones químicas propiamente tal, dependen sólo del pH. a) CuO + 2 H+ <=> Cu2+ + H2O (13) En este caso, se consideran actividades unitarias para todas las especies metálicas en solución.
  • 20.
    HIDROMETALURGIA IMIN316 –2014 - Germán Cáceres Arenas Página 20 Figura 5: Representación del equilibrio químico Cu2+/CuO, cuando [Cu2+]=1mol/l. La figura 5, muestra que si la concentración de Cu2+ es de 1 mol/litro, el óxido de cobre CuO precipita a un pH igual o superior a 3.95, independientemente del Eh. b) CuO + H2O <=> HCuO2- + H+ = 25.670 cal A partir del , se calcula la relación de equilibrio siguiente : Este pH es mayor que 14, el límite superior de un diagrama Eh - pH convencional. del CuO Zona de estabilidad Eh pH3.95 Zona de estabilidad del Cu(2+)
  • 21.
    HIDROMETALURGIA IMIN316 –2014 - Germán Cáceres Arenas Página 21 => El CuO se considera como estable hasta pH 14. c) CuO + H2O <=> CuO2 2- + 2H+ A partir del , se calcula la relación de equilibrio siguiente: Este pH es mayor que 14, el límite superior de un diagrama Eh - pH convencional. => El CuO se considera como estable hasta pH 14. HCuO2- <=> CuO22- + H+ A partir del , se calcula la relación de equilibrio siguiente :
  • 22.
    HIDROMETALURGIA IMIN316 –2014 - Germán Cáceres Arenas Página 22 Si hay 2 especies en solución, la línea de equilibrio se define donde las actividades de las dos especies son iguales. Figura 6. Representación del equilibrio químico HCuO2- <=> CuO22- + H+ Ese equilibrio no se dibuja en el diagrama de Pourbaix porque HCuO2 2- no existe a pH < 18.95. En la construcción del diagrama, algunas líneas generadas mediante los cálculos termodinámicos deben ser eliminados total o parcialmente, ya que representan equilibrios que no tienen significado en la práctica. Cu2O + 2 H+ <=> 2 Cu+ + H2O pH = -0.85 Al equilibrio, si [Cu+] = 1 mol/l. Eh pH13.15 HCuO2 - CuO2 2- [HCuO2(-)] >> [CuO2(2-)] [HCuO2(-)] << [CuO2(2-)]
  • 23.
    HIDROMETALURGIA IMIN316 –2014 - Germán Cáceres Arenas Página 23 => El Cu2O debería existir para todo pH superior a -0.85, pero no es así porque el Cu+ no existe en solución, como se muestra en el capítulo siguiente. Reacciones en que participan e-, pero no H+ Reacciones electroquímicas propiamente tal, dependen sólo del Eh. a) Cu2+ + e- <=> Cu+ E = 0.15 V b) Cu+ + e- <=> Cu E = 0.52 V c) Cu2+ + 2e- <=> Cu E = 0.34 V
  • 24.
    HIDROMETALURGIA IMIN316 –2014 - Germán Cáceres Arenas Página 24 Se puede observar el la figura 7 que hay un conflicto de equilibrios, no es posible que un especie se mantenga en 2 campos termodinámicos. El ion cuproso (Cu+) no es estable en soluciones acuosas, transformándose en Cu2+ y Cu° según la reacción de DISMUTACION: 2 Cu+ => Cu2+ + Cu° (14) Figura 7. Inestabilidad del ion Cu+ por dismutación Reacciones en que participan e- y H+ Reacciones electroquímicas, dependen del Eh y del pH. Cu2+ + H2O + 2 e- <=> Cu2O + 2 H+ Eh pH 0.52 0.34 0.15 Cu+ Cu ° Cu2+ Cu ° Cu2+ Cu+
  • 25.
    HIDROMETALURGIA IMIN316 –2014 - Germán Cáceres Arenas Página 25 E = 0.20 + 0.06 pH 2 CuO + 2 H+ + 2 e- <=> Cu2O + 2 H2O E = 0.67 - 0.06 pH Cu2O + 2 H+ + 2 e- <=> 2 Cu + 2 H2O E = 0.47 - 0.06 pH
  • 26.
    HIDROMETALURGIA IMIN316 –2014 - Germán Cáceres Arenas Página 26 Figura 8. Diagrama Eh - pH del sistema Cu - H2O ( T = 25°C, actividades = 1 ( [iones]=1 ) , P = 1 atm )
  • 27.
    HIDROMETALURGIA IMIN316 –2014 - Germán Cáceres Arenas Página 27 1.3.1. Interpretación del diagrama Eh-pH del cobre en agua Interpretación La disolución de los óxidos simples de cobre es termodinámicamente posible en el dominio ácido y en presencia de oxidantes. La tenorita (CuO) sólo necesita condiciones de pH, mientras que en esas condiciones, la cuprita (Cu2O) necesita además la presencia de un agente oxidante (iones Fe3+, O2, u otros). Las reacciones son: CuO + 2 H+ <=> Cu2+ + H2O y Cu2O + 2H+ <=> 2 Cu2+ + H2O + 2 e- Ox. + 2 e- <=> Red. Cu2O + 2 H+ + Ox. <=> 2 Cu2+ + Red. + H2O en que Ox, representa un agente oxidante cualquiera. En forma inversa, al estar el Cu2+ en solución, y para poder permanecer en ella, necesita de una cierta acidez libre, evitándose de esta manera su posterior precipitación a pH >4. A través de todo el rango de pH, el cobre metálico es termodinámicamente estable estando en contacto con agua, pero en ausencia de oxigeno (u otro oxidante). La precipitación electrolítica se puede realizar aplicando al cátodo un potencial inferior a 0.34 V. De esta forma el cobre Cu2+ se reduce en el cátodo de acuerdo a : Cu2+ + 2e- <=> Cu° (cátodo)
  • 28.
    HIDROMETALURGIA IMIN316 –2014 - Germán Cáceres Arenas Página 28 Influencia de la concentración de los iones El diagrama ha sido trazado para actividades unitarias. Si se traza para otras actividades, por ejemplo 10-6 (diagramas de corrosión), aumentan el dominio de estabilidad de los iones, pero el diagrama mantiene su forma produciéndose sólo desplazamientos paralelos de las rectas que limitan a estos iones. Por ejemplo, reemplazando en (13) el valor numérico de [Cu2+]=10-6, se llega a: => pH = 6.95 En este caso, el pH de precipitación de CuO aumenta hasta 6.95; se amplía el rango de estabilidad de los iones en solución.
  • 29.
    HIDROMETALURGIA IMIN316 –2014 - Germán Cáceres Arenas Página 29
  • 30.
    HIDROMETALURGIA IMIN316 –2014 - Germán Cáceres Arenas Página 30 UNIDAD 2: LIXIVIACION 2.1. Cinética de reacciones 2.1.1. Introducción El hecho de que una reacción sea termodinámicamente posible ( <0), no es suficiente para predecir si la reacción va a pasar en una escala de tiempo razonable. Eso depende de la cinética de la reacción. Este factor es muy importante para la concepción y la evaluación de la rentabilidad económica de todos los procesos hidrometalúrgicos. También en las plantas en operación, optimizar la cinética resulta generalmente en un mejoramiento del proceso. De esta forma, los productos finales de una operación hidrometalúrgica van a estar condicionados generalmente por condiciones de tipo cinético. Por ejemplo, la lixiviación de la calcopirita y otros sulfuros con sulfato férrico es termodinámicamente factible (Existen discrepancias respecto al mecanismo de la reacción con sulfato férrico, ya que también puede ocurrir la reacción CuFeS2 + 4 Fe3+ => Cu2+ + 5 Fe3+ + 2 S°): CuFeS2 + 8 H2O => Cu2+ + Fe3+ + 2 SO4 2- + 17 e- + 16 H+ 17 Fe+3 +17 e- => 17 Fe2+ --------------------------------------------------------------------------------- CuFeS2 + 16 Fe+3 + 8 H2O => Cu2+ + 17 Fe2+ + 2 SO4 2- + 16 H+ ( <0) Pero en la práctica, después de 100 días de lixiviación, sólo se alcanza a poner en solución un 5 % de la calcopirita, 50 % de calcosina y 80% de covelina. 2.1.2. Definiciones Reacción homogénea - heterogénea Reacción Homogénea: Reacción química o electroquímica en la cual todos los productos y reactantes pertenecen a una sola y misma fase. Ejemplo:
  • 31.
    HIDROMETALURGIA IMIN316 –2014 - Germán Cáceres Arenas Página 31 MnO4 - + 5 Fe2+ + 8 H+ <=> Mn2+ + 5 Fe3+ + 4 H2O Reacción Heterogénea: Una reacción es heterogénea si tiene lugar en dos o más fases. Ejemplo: Velocidad de una reacción En general, las reacciones químicas se pueden escribir de la manera siguiente: Donde: A, B, C y D: son los componentes del sistema (A y B son los reactantes; C y D son los productos) a, b, c y d: son los coeficientes estequiométricos La velocidad de una reacción (v) es el número de moles transformados por unidad de tiempo del componente i involucrado en la reacción química: La velocidad se puede definir de varias formas: (a) Basada en la unidad de volumen de fluido reaccionante dt dNi
  • 32.
    HIDROMETALURGIA IMIN316 –2014 - Germán Cáceres Arenas Página 32 (b) Basada en la unidad de volumen del reactor (c) Basada en la unidad de superficie interfacial en un sistema de dos fluidos o basada en la unidad de superficie del sólido en los sistemas líquido - sólido (reacción heterogénea): (d) Basada en la unidad de masa del sólido en los sistemas fluido-sólido 2.2. Etapas de una reacción En general, los sistemas hidrometalúrgicos están caracterizados por sistemas heterogéneos, es decir, sus reacciones tienen lugar en una interface en la cual ocurre transferencia de materia de una fase a la otra.
  • 33.
    HIDROMETALURGIA IMIN316 –2014 - Germán Cáceres Arenas Página 33 Figura 9: Esquema de una reacción de lixiviación con disolución completa del mineral. Las reacciones heterogéneas son controladas por la velocidad de la reacción química propiamente tal o por la transferencia de masa de los diversos reactantes hacia la superficie de contacto de los dos fases. En la figura 9, se muestra un modelo simplificado de lixiviación, con disolución completa del mineral. Este caso representa la disolución de especies puras que no forman residuos sólidos como producto de la reacción, tales como el oro en cianuro, la chalcantita en ácido sulfúrico,... Las etapas principales de una reacción son : (1) Transporte de masa de los reactantes gaseosos a través de la interfase gas - líquido y posterior disolución (cuando es el caso). (2) Transporte de masa de los reactantes a través de la capa límite solución - sólido, hacia la superficie del sólido. (3) Reacción química o electroquímica en la superficie del sólido, incluyendo adsorción y desorción en la superficie del sólido y/o a través de la doble capa electroquímica. (4) Transporte de masa de las especies producidas a través de la capa límite hacia el seno de la solución. La etapa controlante de una reacción es la de velocidad más lenta ( R.D.S. : Rate Determining Step). El control de la reacción global puede ser:
  • 34.
    HIDROMETALURGIA IMIN316 –2014 - Germán Cáceres Arenas Página 34 - Por transporte de masa (etapa 1, 2 o 4) - Por reacción química (etapa 3) - Mixto Las reacciones homogéneas son generalmente más rápidas que las reacciones heterogéneas, ya que necesitan transporte de masa en una sola fase y que las especies en solución reaccionan rápidamente. Por otra parte, las reacciones heterogéneas implican el transporte de masa a través del límite entre dos fases, lo que a veces es la etapa controlante de las reacciones. Las reacciones más importantes en hidrometalurgia son heterogéneas, y a veces son controladas por el transporte de masa (difusión). En la figura 10, se muestra un modelo simplificado de lixiviación, con formación de una capa de residuo poroso. Este caso es tal vez el más frecuente en lixiviación. La reacción de disolución de las especies sulfuradas de cobre con iones férricos, corresponde a este caso. La lixiviación de minerales de baja ley, en las que el material estéril o ganga constituye la fracción mayoritaria, puede considerarse también en ese grupo. La "capa" que se forma representa el estéril del mineral, mientras la disolución se propaga hacia el interior de la partícula. Figura 10: Esquema de una reacción de lixiviación con formación de una capa porosa. 5 6
  • 35.
    HIDROMETALURGIA IMIN316 –2014 - Germán Cáceres Arenas Página 35 En este modelo, hay dos etapas adicionales: (5) Difusión del reactivo a través de la capa sólida producida por la reacción (producto poroso) (6) Transporte de masa de las especies solubles, productos de la reacción, a través de la capa sólida formada, hacia el seno de la solución.
  • 36.
    HIDROMETALURGIA IMIN316 –2014 - Germán Cáceres Arenas Página 36 2.3. Difusión Introducción La difusión en fase homogénea es la etapa limitante más común en una reacción hidrometalúrgica. Básicamente, la difusión es un proceso que tiende a igualar concentraciones dentro de una fase. El potencial que provoca la difusión es el gradiente de concentración dentro de la fase, tal como, por ejemplo, el potencial que provoca la transferencia de calor es el gradiente de temperatura. Cuando empieza una reacción (por ejemplo consumo de un reactante en la superficie de un sólido), un perfil de concentración se desarrolla poco a poco cerca de la interface sólido - líquido (ver fig. 11). c = c (t, x) En reacciones de disolución o precipitación de un sólido, la difusión a través de una zona adyacente a la interface sólido - líquido puede ser controlante de la velocidad. En condiciones de agitación constante, el espesor de esta zona permanece constante y pronto se obtiene una condición de estado estacionario (independiente del tiempo) en la cual la cantidad de material que entra en la zona es igual a la que deja la zona. vconsumo del reactivo = vaporte por difusión y c = c(x,t) Figura 11: Perfil de concentración de un reactante (que se consume) cerca de la interfase sólido - líquido en función del tiempo y de la distancia. Concentración Reactante Distancia de la interfase (x) 0 0 Sólido C° t=0 t Cs
  • 37.
    HIDROMETALURGIA IMIN316 –2014 - Germán Cáceres Arenas Página 37 Primera ley de FICK La primera ley de FICK relaciona la cantidad de material que difunde por unidad de tiempo en una dirección perpendicular a un plano de referencia de área unitaria con el gradiente de concentración de este: J : Flujo de material a través de un plano de referencia. [ moles cm-2 s-1 ] C : Concentración de la especie disuelta [ moles cm-3 ] x : Coordenada de posición (medida perpendicularmente al plano de referencia) D : Coeficiente de difusión de la especie considerada en solución acuosa. En el sistema cgs, D tiene las dimensiones [cm2/s]. En la mayoría de los sistemas hidrometalúrgicos se introduce poco error al considerar el coeficiente de difusión constante e independiente de la concentración. (Valor aprox. = 10-6 cm2/s ) Capa de difusión La capa de difusión es una delgada capa de líquido adyacente a la interface sólido - líquido y que prácticamente se adhiere al sólido, debido a que es necesario que la velocidad de la solución sea nula en la interfase con el sólido. El transporte de masa de especies disueltas a través de esa capa de líquido adherido al sólido se hace por difusión. NERNST propone la siguiente aproximación de la ecuación de Fick, por linearización en x=0: C0 : Concentración de la especie en el seno de la solución Cs : Concentración de la especie en la superficie del sólido
  • 38.
    HIDROMETALURGIA IMIN316 –2014 - Germán Cáceres Arenas Página 38 x : Espesor de la capa de difusión de Nernst Figura 12: Gradiente de concentración en la vecindad de una interfase sólido - líquido. La figura 12, representa la capa de difusión adyacente a la superficie del sólido (x) con la concentración (línea de puntos) variando linealmente de acuerdo a la ecuación (6). La concentración verdadera se indica por la línea continua, lo que da una idea de las simplificaciones hechas. Si la etapa limitante es la difusión, entonces la especie llega a la superficie y se consume inmediatamente; su concentración es nula en la superficie del sólido (Cs=0). La ecuación (6) se reduce a: o v = k x C0
  • 39.
    HIDROMETALURGIA IMIN316 –2014 - Germán Cáceres Arenas Página 39 Donde K = -D/x, es el coeficiente de transporte de masa, equivalente a la constante de velocidad de una reacción de primer orden. Eso es generalmente válido cuando las concentraciones de especies reactivos y productos son bajas. El transporte de masa a través de la capa de difusión puede ser aumentado: (1) Reduciendo el espesor de la capa de difusión. (2) Aumentando el gradiente de concentración, esto es aumentando la concentración de la solución (C0). (3) Aumentando la temperatura de la solución. (4) Aumentando la superficie de contacto. El espesor de la capa de difusión depende de la rugosidad del sólido, de la viscosidad de la solución, de la velocidad de agitación y del grado de turbulencia y fuerzas de cizalle. x disminuye cuando aumenta el grado de turbulencia. Pobre agitación => x > 0.5 mm (ej.: lixiviación en pilas) Buena agitación => x = +/- 0.01 mm Un aumento de temperatura no necesariamente aumenta la velocidad de un proceso global ya que, por ejemplo, la solubilidad de los gases disminuye con la temperatura.
  • 40.
    HIDROMETALURGIA IMIN316 –2014 - Germán Cáceres Arenas Página 40 Difusión a través de un producto poroso La difusión a través de la capa de sólido que se va formando como producto de la reacción sobre el núcleo reaccionante y/o a través de la capa de partículas inertes es un factor importante en prácticamente todos los procesos heterogéneos. Cuando los poros son grandes, que es el caso que interesa en sistemas hidrometalúrgicos, es válida la ley de Fick expresada en este caso como: Donde C es la concentración en la solución y Df es el COEFICIENTE DE DIFUSIÓN EFECTIVO, dado por: D : Coeficiente de difusión de la especie considerada en solución acuosa E : Porosidad de la capa de producto (varia de 0 a 1)  : Tortuosidad de la capa de producto (En general, fluctúa entre 2 y 10 ) Transporte de masa en el seno de la solución Si el sistema es bien agitado (agitador, convección,...), el transporte de masa es muy eficiente y no limita la velocidad de la reacción. La solución se considera homogénea (C, pH,...). Sin embargo, algunos procesos, como la lixiviación en pila, no pueden siempre ser operados para mantener una solución homogénea.
  • 41.
    HIDROMETALURGIA IMIN316 –2014 - Germán Cáceres Arenas Página 41 Absorción de gases en líquidos La termodinámica determina la concentración de un gas disuelto en solución después de un tiempo de contacto gas - líquido suficiente para alcanzar el equilibrio. Por ejemplo, si PO2 = 0.21 atm, [O2]disuelto = 8 mg/l (25 °C). | | | | La absorción de los gases en líquidos puede ser la etapa limitante si hay un gran consumo de oxígeno y cuando la cinética de reacción sólido - solución es rápida (ej.: Oxidación de los sulfuros a presión o biológicamente). La velocidad de absorción de gases en un líquido depende de: (1) Superficie de contacto gas - líquido efecto positivo (Mayor cuando hay muchas burbujas pequeñas) (2) Velocidad relativa de las burbujas efecto positivo (3) Presión parcial del gas efecto positivo (4) Grado de agitación efecto positivo (5) Temperatura efecto negativo 2.4. Influencia de las características de las partículas Tamaño de las partículas La superficie de reacción aumenta cuando disminuye el tamaño de las partículas. Forma y textura de las partículas
  • 42.
    HIDROMETALURGIA IMIN316 –2014 - Germán Cáceres Arenas Página 42 El efecto de la forma de las partículas es poco importante en hidrometalurgia, y muy difícil de modelar. Factores mineralógicos La reactividad de los granos de minerales es fuertemente afectada por factores tales que orientación cristalina, inclusiones, dislocaciones e impurezas. Porosidad La velocidad de cualquier reacción aumenta con la porosidad, ya que la difusión es más fácil y/o hay una mayor superficie de reacción. Efectos galvánicos Cuando dos minerales conductores están en contacto eléctrico en una solución, el de potencial más electronegativo se va a disolver preferentemente. Figura 13: Efecto galvánico en la disolución de arsenopirita en contacto con pirita.
  • 43.
    HIDROMETALURGIA IMIN316 –2014 - Germán Cáceres Arenas Página 43 Efecto de las especies que compiten con la especie valiosa Minerales otros que el mineral valioso, si están presentes en la mena, pueden eventualmente consumir los reactivos de lixiviación, disminuyendo sus concentraciones y la velocidad de reacción. Por ejemplo, los carbonatos consumen el ácido sulfúrico en la lixiviación de cobre y los sulfuros consumen el cianuro en la disolución de oro.
  • 44.
    HIDROMETALURGIA IMIN316 –2014 - Germán Cáceres Arenas Página 44 UNIDAD 3: PRACTICA DE LA LIXIVIACION 3.1. Sistemas de Lixiviación En general, la práctica industrial de la lixiviación, presenta diferentes sistemas de operación que se seleccionan de acuerdo a factores técnicos y económicos en el análisis de un proyecto, algunos de los cuales son: - ley de la especie de interés a recuperar - reservas de mineral - caracterización mineralógica y geológica - comportamiento metalúrgico - capacidad de procesamiento - costos de operación y de capital - rentabilidad económica Una forma de clasificar los métodos de lixiviación es: Lixiviación de lechos fijos: - in situ, in place - en botaderos - en pilas - en bateas
  • 45.
    HIDROMETALURGIA IMIN316 –2014 - Germán Cáceres Arenas Página 45 Lixiviación de pulpas: - por agitación, a presión ambiente - en autoclaves
  • 46.
    HIDROMETALURGIA IMIN316 –2014 - Germán Cáceres Arenas Página 46 Tabla 2: Resumen de diferentes técnicas de lixiviación de minerales Rangos de Aplicación y resultados Métodos de Lixiviación En Botaderos En Pilas Percolación Agitación Ley del mineral Baja ley Baja-media Media-alta Alta ley Tonelaje grande Gran a mediano Amplio rango Amplio rango Inversión mínima media Media a alta alta Granulometría Corrido de mina Chancado grueso Chancado medio Molienda húmeda Recuperaciones típicas 40 a 50 % 50 a 70% 70 a 80% 80 a 90 % Tiempo de tratamiento Varios años Varias semanas Varios días horas Calidad de soluciones Diluidas (1-2 gpl Cu) Diluidas (1-6 gpl Cu) Concentradas (20-40 gpl Cu) Medianas (5-15 gpl Cu) Problemas principales en su aplicación -recuperación incompleta, -reprecipitación de Fe y Cu, -canalizaciones, -evaporación - pérdidas de soluciones - soluciones muy diluidas. -recuperación incompleta, -requiere de grandes áreas, canalizaciones, - reprecipitaciones, - evaporación. - bloqueo por finos, - requiere de más inversión, - manejo de materiales, -necesidad de mayor control en la planta. - molienda, - lavado en contracorriente, - tranque de relaves, - inversión muy alta, - control de la planta es más sofisticado.
  • 47.
    HIDROMETALURGIA IMIN316 –2014 - Germán Cáceres Arenas Página 47 3.1.1. Lixiviación in situ - in place La lixiviación IN PLACE se refiere a la lixiviación de residuos fragmentados dejados en minas abandonadas, mientras la lixiviación IN SITU se refiere a la aplicación de soluciones directamente a un cuerpo mineralizado. Por lo general, estas operaciones presentan actualmente un gran interés por los bajos costos de inversión y operación que se requieren, y que posibilitan recuperar valores metálicos que de otra manera no podrían ser extraídos. Sin embargo, presentan serios riesgos de contaminación ambiental. Los bajos costos son consecuencia de evitar o al menos disminuir los costos de extracción minera, el transporte del mineral a la planta y de los desechos finales del proceso, y la construcción de una planta de lixiviación. Generalmente, la recuperación es baja (< 50%). Dependiendo de la zona a lixiviar, que puede ser subterránea o superficial, se distinguen tres tipos de lixiviación in situ, como se puede visualizar desde Fig.14. Tipo I: Se trata de la lixiviación de cuerpos mineralizados fracturados situados cerca de la superficie, sobre el nivel de las aguas subterráneas. Puede aplicarse a minas en desuso, en que se haya utilizado el "block caving", o que se hayan fracturado hidráulicamente o con explosivos (IN PLACE LEACHING). Tipo II: Son lixiviaciones IN SITU aplicadas a yacimientos situados a cierta profundidad bajo el nivel de aguas subterránea, pero a menos de 300 - 500 m de profundidad. Estos depósitos se fracturan en el lugar y las soluciones se inyectan y se extraen por bombeo. Tipo III: Se aplica a depósitos profundos, situados a más de 500 m bajo el nivel de aguas subterráneas.
  • 48.
    HIDROMETALURGIA IMIN316 –2014 - Germán Cáceres Arenas Página 48 Figura 14: Lixiviación in situ
  • 49.
    HIDROMETALURGIA IMIN316 –2014 - Germán Cáceres Arenas Página 49 3.1.2. Lixiviación en botaderos (Dump leaching) Esta técnica consiste en lixiviar lastres, desmontes o sobrecarga de minas de tajo abierto, los que debido a sus bajas leyes (por ej. < 0.4% Cu) no pueden ser tratados por métodos convencionales. Este material, generalmente al tamaño "run of mine" es depositado sobre superficies poco permeables y las soluciones percolan a través del lecho por gravedad. Normalmente, son de grandes dimensiones, se requiere de poca inversión y es económico de operar, pero la recuperación es baja (por ej. 40-60 % Cu) y necesita tiempos excesivos para extraer todo el metal. Las soluciones se alimentan generalmente por aspersión. Normalmente la lixiviación en botaderos es una operación de bajo rendimiento (pero también de bajo costo). Entre las diferentes razones para ello se puede mencionar: - Gran tamaño de algunas rocas (> 1 m). - Baja penetración de aire al interior del botadero. - Compactación de la superficie por empleo de maquinaria pesada. - Baja permeabilidad del lecho y formación de precipitados (yeso) - Excesiva canalización de la solución favorecida por la heterogeneidad de tamaños del material en el botadero. Figura 15: Botaderos.
  • 50.
    HIDROMETALURGIA IMIN316 –2014 - Germán Cáceres Arenas Página 50 3.1.3. Lixiviación en batea (por percolación) Esta técnica consiste en contactar un lecho de mineral con una solución acuosa que percola e inunda la batea o estanque. Un esquema de equipo empleado en lixiviación en batea se presenta en Fig. 16 Los minerales a tratar por este método deben presentar contenidos metálicos altos o muy altos, debiendo ser posible lixiviar el mineral en un período razonable (3 a 14 días) y en trozos de tamaño medio con tonelajes suficientes de mineral percolable en el yacimiento que permitan amortizar la mayor inversión inicial que requiere este tipo de proceso. Ya que esos minerales no existen más, es una tecnología antigua actualmente en desuso. Figura 16: Equipos de lixiviación en batea.
  • 51.
    HIDROMETALURGIA IMIN316 –2014 - Germán Cáceres Arenas Página 51 3.2. Lixiviación en pilas (heap leaching) Descripción El esquema general del proceso se puede observar en la Fig. 17. El mineral procedente de la explotación, a cielo abierto o subterránea, debe ser ligeramente preparado en una planta de chancado y/o aglomeración, para conseguir una granulometría controlada que permita un buen coeficiente de permeabilidad. Una vez preparado el mineral, se coloca en pilas de sección trapezoidal y altura calculada para proceder a su riego con la solución lixiviante. Tras percolar a través de toda la pila, se recolectan los líquidos enriquecidos (solución rica) que se llevan a la planta de proceso de recuperación de la sustancia mineral (sal o metal). Las aguas sobrantes del proceso vuelven a ser acondicionadas para ser recicladas hacia las pilas. También en algunos casos es preciso añadir agua fresca, para reponer las fuertes pérdidas de evaporación del circuito. Se denomina cancha de lixiviación a la superficie de apoyo de la pila donde se coloca la impermeabilización. Cuando la cancha es recuperada para reutilizarla con un nuevo mineral se trata de lixiviación en PILAS DINAMICAS, mientras que si el terreno no es recuperado y, por lo tanto, el mineral agotado queda en el depósito como nueva base para otra pila, se trata de lixiviación en PILAS ESTATICAS o PERMANENTES. La solución rica (SR o PLS: pregnant leach solution) es generalmente impura y diluida y deberá ser purificada y concentrada antes de recuperar el metal. En la hidrometalurgia del cobre, eso se realiza mediante la extracción por solvente seguida por la electro obtención del cobre. La solución rica contiene 4 - 6 g/l Cu y 1 - 3 g/l H2SO4 y es impura (Fe, Al, Cl, Mn, SiO2, Al2O3 coloides, sólidos en suspensión)
  • 52.
    HIDROMETALURGIA IMIN316 –2014 - Germán Cáceres Arenas Página 52 Figura 17: Esquema de lixiviación en pila
  • 53.
    HIDROMETALURGIA IMIN316 –2014 - Germán Cáceres Arenas Página 53 Construcción de las pilas El diseño de las pilas debe tener en cuenta los siguientes factores: - La calidad del piso o base de apoyo (impermeable) - Las facilidades de riego y recolección o drenaje del efluente. - La estabilidad de la pila seca y saturada en agua - Los tanques (piscinas) de soluciones ricas, intermedias y pobres - La forma de apilamiento o deposición del material lixiviable (compactación, homogeneidad) Preparación de la base de las pilas Se necesita disponibilidad de amplias superficies de terreno relativamente planas (menos de 10% de pendiente). La cancha debe ser considerada con su sistema de impermeabilización, para controlar las pérdidas de soluciones y evitar contaminaciones del medio ambiente. El sistema consiste en: - Una base firme y consolidada, debidamente preparada - Una capa de lecho granular sobre el que apoyar suavemente la lámina - La lámina o capa de impermeabilización - Un conjunto de drenaje o capa de recolección de líquidos - Una capa protectora del sistema Generalmente, las membranas o láminas de impermeabilización del piso son geo membranas de origen sintético (láminas de plástico: polietileno de alta densidad o PVC de 1 a 1.5 mm o polietileno de baja densidad de 0.2 a 0.3 mm de espesor) pero también pueden ser materiales arcillosos compactados sobre el propio terreno, hormigón, asfalto, etc... Se pueden disponer de membranas o sellados simples, dobles o triples, de acuerdo con el número de capas impermeables o membranas que se hayan utilizado.
  • 54.
    HIDROMETALURGIA IMIN316 –2014 - Germán Cáceres Arenas Página 54 Una parte importante de la construcción de la pila es el sistema de recolección de la solución rica, que, en general consta de grava o material filtrante sobre la lámina y tuberías perforadas drenantes de plástico (drenes, drenaflex). Técnicas de apilamiento del mineral El uso de cargadores frontales y camiones (Fig. 18 a) ha sido desplazado, en los últimos proyectos, por apiladores autopropulsados de bajo perfil de carga, como en el caso de Lince, para tonelajes de 5.000 a 10.000 tpd (Fig. 18 b). Para tonelajes mayores, 17.500 tpd en Quebrada Blanca por ejemplo, se ha adoptado el sistema de correas cortas y móviles (grass hoppers) que se articulan flexiblemente en secuencia para transportar el mineral desde el aglomerador hasta el apilador móvil que construye la pila (Fig. 18 c). Para tonelajes aún mayores, como en El Abra 125.000 tpd, se implementaron otros tipos de equipos (apiladores sobre orugas). La altura de la pila fluctúa entre 2.5 m para sistemas de camión y cargador frontal, hasta 10 m para apiladores.
  • 55.
    HIDROMETALURGIA IMIN316 –2014 - Germán Cáceres Arenas Página 55 Figura 18: Técnicas de apilamiento de pilas Chancado Aglomeración Correa Camión Cargador frontal Pila (a) Producciones pequeñas, baja inversión Apilador Mobil Chancado Aglomeración Correa Camión Chancado Pila (b) Producciones pequeñas - medianas. Mejora la permeabilidad de la pila.
  • 56.
    HIDROMETALURGIA IMIN316 –2014 - Germán Cáceres Arenas Página 56 Riego de la pila El riego de las pilas se puede realizar fundamentalmente por dos procedimientos: por aspersión o por goteo, este último siendo recomendable en caso de escasez de líquidos y bajas temperaturas (Fig. 19 a y b). En la industria, se utiliza generalmente una tasa de riego del orden de 10 - 20 litros/h/m2. El riego tiene que ser homogéneo. (a) Por aspersión (b) Por goteo Figura 19: Técnicas de riego de pilas
  • 57.
    HIDROMETALURGIA IMIN316 –2014 - Germán Cáceres Arenas Página 57 Operación de las pilas Al inicio de la operación, se deben disponer como mínimo de dos pilas, comenzándose con el riego de la primera de ellas. En un principio se obtendrá una alta concentración (Cmáx) en la solución, que irá descendiendo hasta un valor por debajo de la concentración media (Cmed) de diseño. En este momento se pone simultáneamente en operación la segunda pila, con dos sistemas posibles: a) Lixiviación de las dos pilas con obtención de una única solución rica final (Fig. 20) b) Lixiviación de la primera pila con producción de solución intermedia, que se recicla a la segunda pila nueva en donde se obtiene la solución rica (Fig. 21). Este segundo sistema se generalizó, ya que permite alargar el tiempo de lixiviación de las pilas y/o disminuir el caudal de solución rica y entonces el tamaño de la planta de SX. Cuando la primera pila alcanza el valor mínimo económico, se procede al lavado con agua fresca y drenaje hasta el agotamiento, yendo esta solución al depósito o piscina de solución estéril para recirculación al sistema. Al mismo tiempo se pone en operación una nueva pila. Según las disponibilidades de área, la pila agotada se puede cargar y transportar a un depósito de ripios cercano (PILA DINAMICA o REMOVIBLE) o puede servir de base para la formación de una nueva pila (PILA PERMANENTE). Si el tiempo de lixiviación no es suficiente, la recuperación baja. Es un problema, porque no es posible aumentar el tiempo sin aumentar el área de la cancha de lixiviación.
  • 58.
    HIDROMETALURGIA IMIN316 –2014 - Germán Cáceres Arenas Página 58 Figura 20, Esquema de un sistema de lixiviación en pilas. SX 0.5 g/l Cu [ácido] élevada Ultimos días Piscina refino ácido Piscina solución intermedia 3 g/l Cu [ ácido ] debil Primeros días 6 g/l Cu Piscina solución rica SX Pila Figura 21: Reciclaje de la solución lixiviante en contra - corriente.
  • 59.
    HIDROMETALURGIA IMIN316 –2014 - Germán Cáceres Arenas Página 59 Chancado del mineral El chancado del mineral debe cumplir con tres objetivos: 1. Ser lo suficientemente fino para que la mayoría de las especies metálicas valiosas estén expuesta a la acción de la solución lixiviante. Por ej. : 100 % bajo 3/4" 2. No generar demasiadas partículas finas para no alterar la permeabilidad de la pila. (Por convención, se llama fina toda partícula bajo 100 mallas)  “Material arcilloso”. Por ej.: partículas finas < 10% 3. El mineral chancado debe ser el más homogéneo posible, todas las partículas siendo comprendidas en un estrecho rango de tamaño (Fig. 22).
  • 60.
    HIDROMETALURGIA IMIN316 –2014 - Germán Cáceres Arenas Página 60 Tabla 3: Escala de tamaños de partículas, en pulgadas, mallas Tyler y mm. 16/16" 8/8" 4/4" 2/2" 1" 25.4 mm 19.0 mm 12.7 mm 9.5 mm 6.4 mm 4.8 mm 3.2 mm 3/4" FRACCION GRUESA 8/16" 4/8" 2/4" 1/2" 3/8" 4/16" 2/8" 1/4" 3/16" 2/16" 1/8" FRACCION MEDIA . . . 4 mallas 4.75 mm . . . FRACCION FINA 100 mallas 150 mm
  • 61.
    HIDROMETALURGIA IMIN316 –2014 - Germán Cáceres Arenas Página 61 Figura 22: Curvas de distribución granulométrica de un producto de la etapa de chancado. La curva (1) es más homogénea que la curva (2). (1) (2)
  • 62.
    HIDROMETALURGIA IMIN316 –2014 - Germán Cáceres Arenas Página 62 Aglomeración Lixiviación TL (Thin Layer) Este concepto revolucionó la industria de lixiviación del cobre (Pudahuel 1980). Consiste en impedir la acumulación de solución en la pila. Al contrario de la lixiviación en bateas, la pila no se inunda. La solución escurre sobre las partículas de minerales, formando una capa delgada de líquido (Fig. 23) Figura 23: Concepto de lixiviación TL
  • 63.
    HIDROMETALURGIA IMIN316 –2014 - Germán Cáceres Arenas Página 63 Permeabilidad del lecho Se necesita que el lecho de partículas que conforman la pila sea bien permeable, para asegurar una buena percolación y dispersión de la solución lixiviante en la pila, sin escurrimiento preferencial. También, las pilas podrían derrumbarse si hay acumulación de agua en la pila. La permeabilidad del lecho de mineral es mayor si: - Las partículas son de tamaño suficientemente grande - No hay acumulación de partículas finas - El tamaño de las partículas es homogéneo en la pila - No hay compactación de la pila por maquinaria pesada Proceso de aglomeración De lo anterior, se deduce que se tiene que reducir la cantidad de partículas finas en la pila para aumentar su permeabilidad. Hoy en día, el proceso más empleado para solucionar el problema de los finos es la aglomeración. El proceso de aglomeración consiste en esencia en la adhesión de partículas finas a las gruesas, que actúan como núcleos o la aglomeración de los finos con los finos, a partir de la distribución de tamaños en la alimentación (Fig. 24).
  • 64.
    HIDROMETALURGIA IMIN316 –2014 - Germán Cáceres Arenas Página 64 Figura 24: Concepto de aglomeración. Aglomeración por humedad El proceso más simple de aglomeración es humedecer el mineral con líquido, hasta alcanzar un contenido de agua que origine una tensión superficial suficiente, para que al colisionar las partículas entre sí, los finos se adhieran a los tamaños gruesos. Se forma un puente líquido entre las partículas. El cálculo teórico de la humedad óptima es casi imposible y depende de muchos factores como la mineralogía del mineral, contenido de finos, arcillas, ... Puede ser de 6 - 8 % para minerales muy limpios, hasta un 10-15 % H2O para materiales normales. Aglomeración por adherentes Existen ciertos materiales que pueden mejorar la adherencia de las partículas finas a las gruesas, prolongando esta unión tanto en la manipulación como en la operación de lixiviación.
  • 65.
    HIDROMETALURGIA IMIN316 –2014 - Germán Cáceres Arenas Página 65 En el caso de la lixiviación del cobre, la aglomeración (o curado) se realiza con el mismo lixiviante ácido en un tambor rotatorio (Fig. 3.2.9). Primero, se humecta el mineral (+/- 4%) con agua o solución pobre (refino). Después, se agrega ácido sulfúrico concentrado (+/- 30 kg/t o 3%), este ácido ataca el mineral y genera compuestos cementantes entre las partículas. Además de la aglomeración, ocurren reacciones químicas conduciendo a la formación de sulfatos de cobre y hierro (curado propiamente tal). Estas reacciones son exotérmicas y generan calor. Por ejemplo: CuO + H2SO4 => CuSO4 + H2O CuSiO3 + H2SO4 => CuSO4 + SiO2 + H2O Después de la aglomeración en el tambor rotatorio, se deja reposar el mineral durante 24 h en la pila, para que se completen las reacciones químicas y que se adhieran entre sí las partículas en la misma pila. En el caso de la aglomeración de minerales de oro y plata, los aglomerantes son normalmente el cemento y la cal. Estos reactivos mejoran la adhesión de las partículas entre sí, y también aumentan el pH del mineral para su posterior cianuración. Equipos El equipo más común es el tambor aglomerador. Consiste en un cilindro inclinado girando a baja velocidad, ocasionando el deslice (cascada) y la aglomeración del mineral previamente mojado con agua y/o adherentes (Fig. 25). Se practica también la aglomeración en depósitos (stock), en cintas transportadoras y en platos.
  • 66.
    HIDROMETALURGIA IMIN316 –2014 - Germán Cáceres Arenas Página 66 Figura 25: Aglomeración en tambor rotatorio.
  • 67.
    HIDROMETALURGIA IMIN316 –2014 - Germán Cáceres Arenas Página 67 Variables del proceso Se puede estudiar el efecto de varias variables operacionales sobre la recuperación del metal valioso y la cinética, realizando pruebas de laboratorio en columnas. Las principales variables son:  La granulometría  La altura de la pila  La tasa de riego [l/h.m2 ]  La razón de lixiviación, m3 /TMS  La concentración en ácido de la solución de riego  El tiempo de lixiviación (depende de la cinética: química, 2 a 4 meses; bacterial, 6 a 12 meses) Todos estos factores están relacionados entre sí. Por ejemplo, si se aumenta la altura de la pila, la concentración en ácido del primer metro es buena, pero baja a medida que la solución percola en la pila y el cobre de los estratos inferiores no se lixivia bien. Se puede aumentar la concentración en ácido de la solución de lixiviación, para salir de la pila con +/- 3 g/l [H+], pero mientras más ácido se da a la ganga, más ésta consume, así que se va a incrementar el consumo de ácido. Otra posibilidad es aumentar la tasa de riego, pero existe un riesgo de inundar la pila.
  • 68.
    HIDROMETALURGIA IMIN316 –2014 - Germán Cáceres Arenas Página 68 3.3. Lixiviación por agitación Descripción La lixiviación por agitación se utiliza en los minerales de leyes más altas, cuando los minerales generan un alto contenido de finos en la etapa de chancado, o cuando el mineral deseado está tan diseminado que es necesario molerlo para liberar sus valores y exponerlos a la solución lixiviante. Es también el tipo de técnica que se emplea para lixiviar calcinas de tostación y concentrados. Se recurre a la agitación mediante burbujeo o bien a la agitación mecánica para mantener la pulpa en suspensión hasta que se logra la disolución completa, siendo el tiempo de contacto de los sólidos con la solución del orden de horas comparado con el proceso de lixiviación en pilas que requiere meses. Los agitadores mecánicos son simplemente impulsores colocados en el interior del tanque (Fig. 26 a), mientras que los tanques agitados con aire son a menudo tanques de tipo "Pachuca" (Fig. 26 b). Sus ventajas comparativas con otros métodos de lixiviación son: - Alta extracción del elemento a recuperar - Tiempos cortos de procesamiento (horas) - Proceso continuo que permite una buena automatización - Facilidad para tratar menas alteradas o generadoras de finos Sus desventajas son: - Un mayor costo de inversión y operación - Necesita una etapa de molienda y una etapa de separación sólido-líquido (espesamiento y filtración).
  • 69.
    HIDROMETALURGIA IMIN316 –2014 - Germán Cáceres Arenas Página 69 En Copiapó - Chile, se puede mencionar la Planta La Coipa, propiedad de KINROSS. Utiliza el proceso de cianuración de oro y plata por agitación en ocho estanques en serie. Procesa 16.000 t/día de mineral para producir 8214 kg/año de oro y 3315 t/año de plata (1993). Figura 26: Equipos de lixiviación por agitación Variables del proceso El análisis de las variables de la lixiviación por agitación en sistemas industriales, para la definición y optimización del proceso, debe necesariamente hacer confluir aspectos técnicos, operacionales y económicos.
  • 70.
    HIDROMETALURGIA IMIN316 –2014 - Germán Cáceres Arenas Página 70 Granulometría El grado de molienda debe ser lo suficiente como para exponer, por lo menos parcialmente, la superficie del mineral valioso a la acción de la solución lixiviante. Depende del tipo de mineral y de sus características mineralógicas. Deberá considerarse un tamaño tal que no contenga un exceso de gruesos (> 2 mm) que produzca problemas en la agitación (embancamiento, aumento de la potencia del agitador) y que por otra parte, no contenga un exceso de finos (menos de 40% < 75 micrones), que dificulten la separación sólido-líquido posterior de la pulpa lixiviada. Debido a lo anterior; y además, para disminuir los consumos de energía por concepto de molienda y los costos de filtración y decantación, la agitación se deberá tratar de realizar al mayor tamaño que la operación lo permita. Tabla 4: Tamaño de algunos minerales para la lixiviación por agitación Mineral Tamaño de lixiviación (mm) (mallas ASTM) Cobre oxidado 0.83 20 Oro 0.25 60 (P80=160 µm) Conc. de oro (sulfuros) 0.044 325 Calcinados de zinc 0.074 200
  • 71.
    HIDROMETALURGIA IMIN316 –2014 - Germán Cáceres Arenas Página 71 Tiempo de lixiviación La economía del proceso de lixiviación es función del grado de disolución o porcentaje de extracción del mineral valioso. Sin embargo, esto no es tan importante como el tiempo necesario para una extracción aceptable, es decir la velocidad de disolución. Figura 27: Porcentaje de extracción en función del tiempo. La figura 27, muestra una curva típica entre estos dos parámetros. Existe al principio una extracción rápida, que decrece posteriormente al máximo obtenible para un tamaño dado de partícula. Esta curva se puede obtener de pruebas de lixiviación en botellas en el laboratorio.
  • 72.
    HIDROMETALURGIA IMIN316 –2014 - Germán Cáceres Arenas Página 72 Mineralogía del mineral El tamaño y la disposición de la especie valiosa influye el grado de molienda necesario para exponer esta especie a la solución lixiviante. La arcillas son una familia de minerales alumino-silicatos, que existen en todos las menas y producen partículas muy finas (algunos micrones). La presencia de muchas arcillas puede impedir una buena filtración del relave. Otras variables La lixiviación se realiza a temperatura ambiente (o en autoclaves). La concentración de reactivos debe ser optimizada según el tipo de operación. El porcentaje de sólidos debe ser en la mayoría de los casos lo más alto posible para alcanzar una alta concentración del ion metálico en la solución de lixiviación, minimizar los costos de inversión en el circuito de lixiviación por menor capacidad volumétrica y reducir el tamaño y costo subsecuente de espesamiento y filtración. El porcentaje de sólidos en la pulpa varía entre 20 y 50%. El porcentaje de sólidos se calcula por el peso del mineral en la pulpa. Por ejemplo, si una pulpa es constituida por 1 kg de mineral en 2 litros de agua, su La velocidad de agitación debe ser lo suficientemente alta para mantener los sólidos en suspensión, para que no decanten. Una velocidad de agitación alta tiende a favorecer la cinética de la reacción, pero tiene un costo energético apreciable (Fig. 28). Favorece también la disolución de gases en la solución. Existen varios diseños de agitadores (Fig. 29).
  • 73.
    HIDROMETALURGIA IMIN316 –2014 - Germán Cáceres Arenas Página 73 Figura 28: Efecto de la agitación en la velocidad de lixiviación Figura 29: Varios diseños de turbinas.
  • 74.
    HIDROMETALURGIA IMIN316 –2014 - Germán Cáceres Arenas Página 74 Diseño Se considera como ejemplo un sistema de lixiviación continua industrial constituido de varios estanques en serie (Fig. 30). Datos Número de estanques: 8 Capacidad: 15000 t/d = 625 t/h % sólidos: 33.33% Grado de molienda: 100% < 60 mallas ASTM Densidad real del mineral: 2.8 g/cm3 = 2.8 t/m3 Tiempo de lixiviación: 24h sólido - líquido de separación Mineral molido Solución Pulpa Pulpa a etapa Figura 30: Esquema de un sistema continuo industrial
  • 75.
    HIDROMETALURGIA IMIN316 –2014 - Germán Cáceres Arenas Página 75 Cálculo de la cantidad de agua en la pulpa Cálculo del flujo de pulpa (sólidos + agua) Cálculo del volumen de cada uno de los 8 estanques Volumen de un estanque cilíndrico: Entonces, si consideramos 8 estanques cilíndricos tales que h = 1.5d,
  • 76.
    HIDROMETALURGIA IMIN316 –2014 - Germán Cáceres Arenas Página 76 UNIDAD 4: SEPARACION SOLIDO LIQUIDO Introducción En una planta de lixiviación en pilas, la solución que escurre de las pilas es bastante clara y contiene muy pocos sólidos en suspensión. En la mayoría de los casos, no hay etapa específica de separación sólido - líquido. La solución rica se almacena en piscinas donde pueden decantar los pocos sólidos que contiene. Al contrario, la lixiviación por agitación produce una pulpa consistente en pequeñas partículas sólidas en suspensión en la solución. Una etapa de separación sólido - líquido es absolutamente necesaria para sacar los sólidos de la solución y enviarlos al tranque de relaves, mientras la solución clarificada puede pasar una posterior etapa de recuperación de valores. Hay dos métodos de separación sólido - líquido: - El espesamiento (hasta 55% sólidos) - La filtración (hasta 92% sólidos)
  • 77.
    HIDROMETALURGIA IMIN316 –2014 - Germán Cáceres Arenas Página 77 4.1. Espesadores Los espesadores son equipos que efectúan la separación sólido-líquido por decantación de los sólidos en un estanque grande. Un esquema se presenta en la figura 31. Alimentación (Pulpa) Solución claraSolución clara Pulpa más concentrada (40 - 60 % sólidos) Solución Decantación sólidos Figura 31: Esquema de un espesador
  • 78.
    HIDROMETALURGIA IMIN316 –2014 - Germán Cáceres Arenas Página 78 4.2. Lavado en circuitos de decantación en contracorriente (DCC) El sólido (barro decantado) siempre viene acompañado de solución de impregnación (+/- 40 %), y ésta contiene valores, por lo cual es imperativo recuperarla. Después de la lixiviación, la pulpa que se obtiene del último agitador debe pasar por etapas de separación sólido - líquido y lavado, antes de desechar los sólidos lixiviados. El lavado se puede realizar en varios espesadores, en los cuales el agua de lavado y la pulpa fluyen en contracorriente (Fig. 32). Del primer espesador sale la solución exenta de sólidos que continúa el proceso y del último, el mineral agotado o relave. A las operaciones de lavado de los sólidos en contracorriente, se les denomina como etapas DCC, que significa decantación en contracorriente. Figura 32: Circuito de decantación en contra corriente DCC.
  • 79.
    HIDROMETALURGIA IMIN316 –2014 - Germán Cáceres Arenas Página 79 Determinación de la eficiencia de lavado por balance másico en circuitos DCC. Operacionalmente, el balance másico del sistema permite determinar la eficiencia de lavado en sistemas DCC. Su aplicación se visualizará a través del siguiente ejemplo (Fig. 33). Bases: 1000 t/d mineral 55% sólidos en la descarga de los espesadores Razón de lavado RL = 2.5 (agua de lavado / flujo de solución de lix. acompañando a los sólidos) 55% sólidos en la alimentación Figura 33: Balance de masa en un circuito DCC.
  • 80.
    HIDROMETALURGIA IMIN316 –2014 - Germán Cáceres Arenas Página 80 Volumen de líquidos, m3/d: Alimentación A = 1000 x (100 - 55)/55 = 818 m3 /día (se aproxima a 800 para facilidad de cálculos) Descarte D = 818 m3 /día (800) Agua de lavado W = 800 x 2.5 = 2000 m3 /día Solución rica SF = 2000 m3 /día Cálculo de las concentraciones: o 800 C0 + 2000 C2 = 2800 C1 2 C0 + 5 C2 = 7 C1 800 C1 + 2000 C3 = 2800 C2 2 C1 + 5 C3 = 7 C2 800 C2 + 2000 C4 = 2800 C3 2 C2 + 5 C4 = 7 C3 800 C3 + 2000 x 0 = 2800 C4 2 C3 + 0 = 7 C4 Por lo tanto, La eficiencia de lavado queda dada por:
  • 81.
    HIDROMETALURGIA IMIN316 –2014 - Germán Cáceres Arenas Página 81 Ecuación de PAGE para cálculos DCC PAGE ha desarrollado y comprobado una ecuación generalizada, definida en términos de razón de lavado y número de etapas, para el caso más simple, pero más común en DCC (Fig. 33), asumiendo que no hay disolución en los espesadores y que la mezcla de la pulpa y solución de lavado es completa en cada etapa. Cn : concentración metal en la etapa n CL : concentración metal en la alimentación al primer espesador CW : concentración metal en el agua o solución de lavado RL : razón de lavado = Qw / QL n : número de etapas de lavado QW : flujo de la solución de lavado QL : flujo de la solución de lixiviación (alimentación)
  • 82.
    HIDROMETALURGIA IMIN316 –2014 - Germán Cáceres Arenas Página 82 4.4. Filtros El empleo de filtros en hidrometalurgia, permite recuperar una cantidad adicional de líquido retenido a partir de precipitados o de pulpas de 55-60% en sólidos procedentes de espesamiento, como también tratar directamente soluciones de lixiviación, a objeto de disminuir la cantidad de sólidos en suspensión que pueden afectar procesos posteriores de tratamiento. Filtros de vacío: - de tambor (Fig. 34) - de discos (o cerámica) - horizontal, de cinta Filtros de presión: - prensa - stellar - de arena El lavado del sólido es posible en los filtros de tipo vacío, como lo muestra la figura 4.4.2. Se rocía agua sobre el sólido filtrado para desplazar a la solución que contiene. Se alcanza fácilmente una eficiencia de lavado del orden de 70%.
  • 83.
    HIDROMETALURGIA IMIN316 –2014 - Germán Cáceres Arenas Página 83 Figura 34: Lavado de un mineral en un filtro de tambor. Pulpa Succión de aire y agua Sólido seco Lavado
  • 84.
    HIDROMETALURGIA IMIN316 –2014 - Germán Cáceres Arenas Página 84 UNIDAD 5: PURIFICACION Y CONCENTRACION DE SOLUCIONES Introducción En un proceso de purificación o de concentración, siempre hay dos fases en contacto (líquido - sólido o líquido - líquido). Se trata de un proceso de: • Purificación si la impureza va a la otra fase • Concentración si el elemento deseado va a la otra fase Los procesos de purificación y/o concentración son muy variados y dependen de: • La naturaleza del elemento deseado • Las impurezas presentes en la solución • El tipo de proceso de recuperación • El grado de pureza deseado para el producto final Los procesos de purificación y/o concentración se pueden dividir en varias categorías: • Hidrólisis • Cementación • Precipitación de un compuesto específico • Extracción por solventes • Resinas de intercambio iónico Para evaluar un proceso de separación, los criterios son la selectividad de la separación, la recuperación (o grado de remoción) y el consumo de reactivos (o de energía). Obviamente, estos tres parámetros están correlacionados y se necesita hacer la evaluación económica del proceso que se desea utilizar.
  • 85.
    HIDROMETALURGIA IMIN316 –2014 - Germán Cáceres Arenas Página 85 Figura 35: Esquema general del tratamiento hidrometalúrgico de un mineral. En este capítulo, se mostrarán como ejemplos las etapas de purificación de una solución de zinc en ácido sulfúrico antes de su electro obtención. El proceso se muestra en la figura 36 Mineral Solución de lixiviación Lixiviación Separación sólido-líquido Purificación Concentración Recuperación especie valiosa Solución impura y diluida Sólido agotado Tranque de relaves o botadero Solución casi pura y más concentrada Metal o compuesto puro Impurezas Solución agotada
  • 86.
    HIDROMETALURGIA IMIN316 –2014 - Germán Cáceres Arenas Página 86 Figura 36: Esquema de purificación de una solución para electro obtención de zinc. Tabla 5, Impurezas en la solución de lixiviación del zinc. Antes de purificación (mg/l) Después de purificación (mg/l) Fe mucho - Cu 1000 <0.1 Cd 1000 0.1 - 0.2 Co 30 - 50 0.1 - 0.2 Ni 30 - 50 trazas Sb, As 0.1 < 0.01 Ge < 0.1 <0.01 Solución impura Hidrolisis Cementación Precipitación Compuestos Solución pura a electroobtención Fe Coprecipitación de Ge y As Cu y Cd Ni y Co
  • 87.
    HIDROMETALURGIA IMIN316 –2014 - Germán Cáceres Arenas Página 87 5.1. Hidrólisis Precipitación de hidróxidos Los diagramas Eh - pH muestran que los iones metálicos existen en soluciones acuosas sólo dentro de ciertos límites de pH. La manera más sencilla de separar un metal de su solución es mediante la alcalinización de la solución, dando lugar a su precipitación como hidróxido. Por ejemplo: La tabla 6, muestra el pH de precipitación de los hidróxidos de algunos metales en agua. Los fosfatos y arseniatos básicos, si se encuentran en la solución, precipitan, a veces, más rápidamente que los hidróxidos y con pH más bajo. Tabla 6: pH de precipitación de algunos hidróxidos (C. EK) Concentración del ion metálico 10-2 mol/l 10-5 mol/l Fe3+ 2.2 3.2 Al3+ 3.6 4.6 Fe2+ 5.5 7.2 Cu2+ 5.6 7.3 Zn2+ 6.6 8.3 Ni2+ 6.7 8.4 Co2+ 6.8 8.5 Cd2+ 7.0 8.7 Pb2+ 7.4 8.9 Mn2+ 8.4 10.1 Mg2+ 9.7-10.8 11.2 - 12.3
  • 88.
    HIDROMETALURGIA IMIN316 –2014 - Germán Cáceres Arenas Página 88 Hidrólisis Los procesos de hidrólisis se basan fundamentalmente en el mismo tipo de reacción de precipitación de hidróxido, con la diferencia de que en la mayor parte de los casos no se termina la reacción en un hidróxido sino en una sal básica, en una sal doble o hasta en un óxido. Dentro de este tipo de reacciones, la que tiene mayor interés industrial es la hidrólisis del hierro, utilizado comúnmente como un método de eliminación de esta impureza en circuitos hidrometalúrgicos. Hidrólisis del fierro Existen básicamente tres tipos de procesos para la eliminación del hierro acuoso: precipitación como jarosita, goetita y hematita. Estos dos últimos procesos producen precipitados más fáciles de filtrar y decantar. Jarositas Las jarositas son compuestos que tienen la siguiente formula: MFe3(SO4)2(OH)6, en la que M puede ser Na+ , K+ , NH4 + , Ag+ , Rb+ , Pb2+ y H+ . La precipitación del Fe como tal se consigue entre 80 y 100 °C, con adición de un álcali y con control de la acidez. Para la formación de jarosita de amonio, la siguiente reacción tiene lugar: Con la exposición a la intemperie en los tranques de relaves, la jarosita se transforma gradualmente en hematita y debido a sus propiedades de adsorción y retención de agua, se produce una eliminación (disolución) de metales solubles que ocasionan un problema ecológico.
  • 89.
    HIDROMETALURGIA IMIN316 –2014 - Germán Cáceres Arenas Página 89 Goetita La precipitación del hierro como goetita se realiza mediante la siguiente reacción general: La temperatura de la precipitación oscila entre 20 y 100 °C, el pH entre 2 y 4 y el potencial debe ser oxidante con el fin de mantener el hierro en forma férrica. La cinética de precipitación es lenta, dependiendo de la concentración de Fe inicial y del nivel de la impureza a eliminar. El tipo de cristal que se obtiene es de mejores características para la separación sólido - líquido. Hematita La precipitación del hierro como hematita se fundamenta en la siguiente reacción: Los factores de mayor importancia en este método son la temperatura, concentración de hierro y la concentración de ácido. Dependiendo de estos factores se pueden formar una serie de compuestos, pudiéndose señalar en general, que las hematitas tienden a formarse sobre 140 °C. 5.2. Cementación La cementación de un metal a partir de una solución, depende de una reacción de desplazamiento en la cual un metal menos noble reduce a los iones del metal por precipitar al estado metálico. Entonces, éste sale de la solución, y los iones del metal menos noble entran en la solución para substituirlos.
  • 90.
    HIDROMETALURGIA IMIN316 –2014 - Germán Cáceres Arenas Página 90 Por ejemplo: Cu2+ + Zn => Cu + Zn2+ El metal utilizado debe tener un potencial de electrodo inferior al potencial del metal que se desea precipitar. La reacción se produce sobre la superficie del metal, que se agrega habitualmente en forma de polvo a la solución impura (Fig. 37). Para alcanzar velocidades de reacción aceptables con impurezas que se encuentran en bajas concentraciones, se tiene que agregar un exceso de metal, lo que conduce a la obtención de cementos impuros. Además, estos cementos contienen todos los metales de potencial superior al metal agregado. Cu Zn Zn2+ Cu2+ e- Figura 37: Cementación de cobre en la superficie de una partícula de zinc. El mejor metal utilizado para cementar las impurezas de una solución es generalmente el mismo metal que se desea recuperar desde la solución pura. Así, no se agrega otra impureza a la solución. Por ejemplo, el cadmio y el cobre contenidos en las soluciones de lixiviación de concentrados de zinc se cementan con polvo de zinc. Además, de utilizarse como método de purificación de soluciones, la cementación puede utilizarse para recuperar el metal valioso a partir de soluciones diluidas (ej.: cementación de cobre por chatarra de hierro)
  • 91.
    HIDROMETALURGIA IMIN316 –2014 - Germán Cáceres Arenas Página 91 5.3. Precipitación de un compuesto especifico Cuando otros métodos no son aplicables, se pueden usar reactivos específicos de precipitación. Estas reacciones son generalmente complejas, necesitan condiciones de trabajo estrictas y consumen reactivos costosos. Por ejemplo, se usa el nitrosobetanaphtol para precipitar el cobalto contenido en las soluciones de electro obtención de zinc. Se puede aplicar todas las reacciones que estudiaron en el ramo de química en la enseñanza media tales como precipitación de sulfuros, formación de sales,... Por ejemplo: AgNO3 + NaCl => AgCl (precipitado) + NaNO3 Es importante el fenómeno de envejecimiento de un precipitado, favorecido por una temperatura alta y un tiempo de contacto solución-precipitados largo. El envejecimiento consiste en la disolución de las partículas más finas y formación de precipitados más gruesos, generalmente acompañado por un cambio en la estructura cristalina de estos. Mejora la insolubilidad del precipitado y su posterior filtración. Fenómeno de coprecipitación La coprecipitación es cuando hay precipitación de dos o más elementos al mismo tiempo. El elemento minoritario puede ser disuelto en la matriz cristalina del elemento mayoritario, o absorbido en su superficie. Esto puede ser ventajoso, ya que la concentración del elemento minoritario en la solución puede bajar a niveles mucho más bajos que por precipitación de este elemento en forma pura.
  • 92.
    HIDROMETALURGIA IMIN316 –2014 - Germán Cáceres Arenas Página 92 Por ejemplo, en la hidrometalurgia del zinc, impurezas como el Ge y el As coprecipitan con un "hidróxido" de hierro, probablemente por absorción en la superficie de los flóculos de "hidróxido" de hierro. Existen varias formas de precipitar el hierro: como jarosita, goetita,...)
  • 93.
    HIDROMETALURGIA IMIN316 –2014 - Germán Cáceres Arenas Página 93 UNIDAD 6: LIXIVIACION EN PILA DE MINERALES DE COBRE 6.1. Minerales oxidados de cobre Los minerales oxidados de cobre se clasifican en óxidos, sulfatos, carbonatos, silicatos y cloruros. Sus leyes de cobre varían entre 0,5 a 2,5 % y se lixivian con soluciones de ácido sulfúrico. Óxidos Cuprita Es el óxido cuproso de cobre, de color rojo y de fórmula química , contiene 89 % de Cu. Tenorita Es el óxido cúprico de cobre, de color negro y de fórmula química , contiene 80 % ce Cu. Sulfatos Chalcantita Es un sulfato de cobre hidratado de color azul y fórmula química , contiene 26 % de Cu. Antlerita Es un sulfato de cobre de color verde, verde oscuro y fórmula química , contiene 54 % de Cu. Carbonatos Azurita
  • 94.
    HIDROMETALURGIA IMIN316 –2014 - Germán Cáceres Arenas Página 94 Es un carbonato básico de cobre de color azul y fórmula química , contiene 55 % de Cu. Malaquita Es un carbonato básico de cobre de color verde, verde oscuro y fórmula química , contiene 57 % de Cu. Silicatos Crisocola Es un silicato de cobre de color verde – azul y fórmula química , contiene 36 % de Cu. Cloruros Atacamita Es un cloruro básico de cobre de color verde, verde intenso y fórmula química , contiene 60 % de cobre. 6.2. Descripción del proceso El mineral, previamente chancado y aglomerado, se carga en pilas de lixiviación sobre una carpeta de HDPE impermeable con una pendiente adecuada para el escurrimiento y recolección de las soluciones de lixiviación. Las dimensiones de la pila, esto es largo, ancho y alto, así como las condiciones de operación, dependen de cada proyecto. La pila se riega con las soluciones ácidas de refino e intermedias durante varios días y/o meses y las soluciones efluentes de lixiviación se recolectan en piscinas de solución rica o solución intermedia, según sea el caso. La solución rica o PLS pasa a la etapa siguiente de extracción por solvente SX. Se muestra en la Figura 38, un esquema simplificado que describe el proceso de lixiviación en pilas.
  • 95.
    HIDROMETALURGIA IMIN316 –2014 - Germán Cáceres Arenas Página 95 FIGURA 38: Descripción del proceso de lixiviación en pilas Las soluciones de lixiviación se recolectan en la canaleta R, y desde esta canaleta, se distribuyen mediante el distribuidor D, según su concentración en cobre hacia la piscina de solución rica (alta concentración) o hacia la piscina de solución intermedia ILS (concentración media). La solución rica pasa a la etapa siguiente de extracción por D SX REFINO ILS R PLS
  • 96.
    HIDROMETALURGIA IMIN316 –2014 - Germán Cáceres Arenas Página 96 solvente SX, mientras que la solución ILS retorna al ciclo de riego con ILS. En la Fotografía 1, se muestra las pilas de lixiviación y la canaleta recolectora de soluciones. FOTO 1: Pilas de lixiviación y canaleta recolectora de soluciones de lixiviación
  • 97.
    HIDROMETALURGIA IMIN316 –2014 - Germán Cáceres Arenas Página 97 6.3. Aglomeración Definición El proceso de aglomeración consiste en aglomerar las partículas finas en torno a las partículas gruesas o partículas finas entre sí, mediante la adición de ácido sulfúrico concentrado y agua, en un tambor aglomerador, y posterior reposo o curado durante 24 horas. Objetivos La aglomeración tiene un objetivo físico y un objetivo químico. Objetivo físico El objetivo físico es la aglomeración misma del mineral, para mejorar la permeabilidad de la pila. Objetivo químico El objetivo químico es lograr la máxima sulfatación de los óxidos de cobre, con el ácido sulfúrico y generar productos químicos cementantes por reacciones del ácido sulfúrico con los minerales de la ganga. Mecanismos de la aglomeración La aglomeración se produce por la acción cementante de productos de reacción y por la acción de fuerzas de unión sólido-líquido o líquido-líquido (puentes de agua). Por esta razón, es muy importante el efecto de la humedad sobre la calidad del aglomerado. Variables de operación Granulometría El mineral debe ser chancado 100 % bajo el tamaño indicado por las pruebas de laboratorio (por ejemplo 100 % - 3/4 o -1/2 pulgada) y debe contener como máximo un 10 % de material fino -100 # ASTM (0,15 mm).
  • 98.
    HIDROMETALURGIA IMIN316 –2014 - Germán Cáceres Arenas Página 98 Dosificación de ácido La tasa de dosificación de ácido, se determina mediante pruebas de barrido de curado, las cuales consisten en hacer un barrido de tasas de dosificación de ácido entre 10 y 50 kg/t, por ejemplo. Estos valores, se determinan en función del consumo de ácido del mineral. Por ejemplo, si un mineral tiene una ley de 1,8 % de Cu soluble y un consumo de ácido de 6 kg/kg; entonces, el consumo de ácido de este mineral será de 108 kg/t, que se deberá agregar repartido entre la aglomeración y el riego en las pilas. ¿Qué porcentaje de este ácido se debe agregar en la aglomeración? La respuesta a esta pregunta la da las pruebas de barrido de curado; por ejemplo, vamos a agregar 1/3 del ácido en la aglomeración, esto es 36 kg/t. Dosificación de agua La dosificación de agua, debe ser tal que produzca un buen aglomerado con una humedad óptima entre 6 y 12 %. La dosificación de agua depende de la granulometría y de la cantidad de finos del mineral. Velocidad de rotación del tambor aglomerador El tambor aglomerador debe girar a baja velocidad de rotación (3 a 6 rpm), de tal manera que se tenga el tiempo de residencia del mineral adecuado, para que se produzca un buen contacto con el ácido y el agua, se produzcan las reacciones químicas y se forme el aglomerado y no se destruya por caída libre dentro del tambor (exceso de velocidad). 6.4. Lixiviación en pilas Definición La lixiviación en pilas, consiste en lixiviar una pila de mineral chancado y aglomerado, con una solución de ácido sulfúrico, y recuperar el cobre disuelto en la solución efluente de la pila.
  • 99.
    HIDROMETALURGIA IMIN316 –2014 - Germán Cáceres Arenas Página 99 Reacciones químicas de la lixiviación Los minerales oxidados de cobre, reaccionan con el ácido sulfúrico, para dar sulfato de cobre en solución, según las siguientes reacciones químicas: Cuprita Tenorita Azurita Malaquita Crisocola Atacamita Consumo estequiométrico de ácido El consumo estequiométrico de ácido, es el consumo dado por la reacción química. Vemos que, en cada reacción química se consume 1 mol-g de por 1 mol-g de esto es 1 mol-g de por 1 mol-g de , o sea, 98 g de ácido sulfúrico (98 es el peso molecular del ) para producir 63,54 g de cobre (63,54 es el peso molecular del ), lo que finalmente da un consumo estequiométrico de ácido sulfúrico de o
  • 100.
    HIDROMETALURGIA IMIN316 –2014 - Germán Cáceres Arenas Página 100 6.5. Configuración de plantas lixiviación en pilas En la Figura 39, se muestra el layout de la planta de lixiviación en pilas. FIGURA 39: Layout planta de lixiviación en pilas 1 2 3 4 5 6 7 8 9 10 11 12 13 14 15 16 17 18 19 20 21 22 23 24 25 26 27 28 29 30 AREA DE MOVIMIENTO DE CAMIONES DE CARGA Y DESCARGA DE PILAS CANALETA RECOLECTORA DE SOLUCIONES DE LIXIVIACION PLS ILS SX PLS ILS RFEMG
  • 101.
    HIDROMETALURGIA IMIN316 –2014 - Germán Cáceres Arenas Página 101 6.6. Operación y control del proceso Operación de las pilas de lixiviación El objetivo de la operación de pilas de lixiviación es lograr el máximo de recuperación de cobre, en el mínimo tiempo de lixiviación y al mínimo costo de operación. Además, se debe asegurar un flujo y concentración constante en cobre y ácido, que alimente a la Planta de Extracción por Solvente (SX). La operación de las pilas de lixiviación depende de las condiciones de cada planta. Variables de operación Las principales variables de operación de la lixiviación en pilas son: granulometría del mineral, tasa de dosificación de ácido en el curado, altura de la pila, tasa de riego, concentración de ácido y cobre de las soluciones intermedias y refino, tiempo de lixiviación, ciclos de riego intermedia/refino. A continuación se analiza el efecto de cada una de estas variables en la recuperación de cobre y en el consumo de ácido. Granulometría del mineral La granulometría del mineral debe ser tal que permita una mayor exposición de las partículas de minerales de cobre, frente a la solución lixiviante. Esto es, que exista una mayor superficie de contacto mineral/solución, y para lograr esto, se requiere una granulometría más fina. Con una granulometría fina, se logra mejor recuperación de cobre; sin embargo, a medida que la granulometría es más fina, se produce un mayor consumo de ácido y disminuye la permeabilidad de la pila, por exceso de finos, y en consecuencia se producen inundaciones y canalizaciones de la pila, quedando algunas zonas de mineral sin riego y otras completamente inundadas, lo que reduce enormemente la recuperación de cobre (existen zonas muertas). Por lo tanto, la definición de la granulometría del mineral a trabajar, resulta de un compromiso entre recuperación, consumo de ácido (costo) y comportamiento físico de la pila (inundación, derrumbe, etc.).
  • 102.
    HIDROMETALURGIA IMIN316 –2014 - Germán Cáceres Arenas Página 102 En general, en las plantas de lixiviación en pilas, se trabaja a una granulometría bajo 3/4 de pulgada. Tasa de dosificación de ácido en el curado La tasa de dosificación de ácido en el curado, medida en kg de ácido sulfúrico/tonelada de mineral seco, o simplemente , tiene un efecto muy importante en el grado de sulfatación del cobre oxidado y en la calidad del aglomerado. Su valor óptimo, se determina en pruebas de laboratorio de barrido de curado, en función del porcentaje de cobre solubilizado (recuperación de Cu) y del consumo de ácido. Altura de la pila La altura de la pila determina el peso de mineral contenido en 1 m2 de superficie basal de la pila; esto es, Tmineral/m2 . Para el cálculo de este peso, se utiliza la densidad aparente del mineral a la granulometría de trabajo. Por ejemplo, si la densidad aparente del mineral chancado 100 % bajo 3/4 de pulgada, es 1,58 T/m3 ; y si la altura de la pila es de 3 m, entonces el peso de mineral por m2 es: 1,58 x 3 = 4,74 T/m2 . Si la altura de la pila es de 6 m, entonces el peso de mineral por m2 es el doble, o sea, 9,48 T/m2 . Esto es como tener una columna de base 1 x 1 m y distintas alturas en m. Ahora bien, la altura de la pila influye en la velocidad de reacción y en la recuperación de cobre, por cuanto el primer metro de arriba va a recibir un ácido más concentrado, mientras que el último metro de abajo, va a recibir un ácido menos concentrado o más diluido, o quizás, no va a recibir nada de ácido, y la reacción de disolución se detiene por falta de ácido. También, la altura de la pila afecta la estabilidad física de la pila (derrumbe) y la técnica o método de carguío y construcción de la pila. En general, en faenas de la pequeña y mediana minería se utiliza una altura máxima de pila de 3 m. Tasa de riego La tasa de riego, es el flujo o caudal de solución de riego o solución de lixiviación por m2 de superficie de riego de la pila. Se mide en L/h/m2 m y los valores normales oscilan entre 10 y 20 L/h/m2 (normalmente entre 12 y 15 L/h/m2 ). Si se relaciona la tasa de riego con la altura de la pila, resulta un indicador de riego muy importante referido a la tonelada de mineral, esto es, cuánta solución recibe cada tonelada de mineral. Este índice recibe el nombre de razón de lixiviación y se mide en
  • 103.
    HIDROMETALURGIA IMIN316 –2014 - Germán Cáceres Arenas Página 103 m3 solución/T mineral. Veamos el cálculo siguiente, considerando el ejemplo anterior de una pila de 3 m de altura, que carga 4,74 T mineral/m2 superficie, y como cada m2 de superficie de la pila recibe, por ejemplo 12 L/h (es la tasa de riego de 12 L/h/m2 ), entonces, tenemos que cada T de mineral recibirá 12 L/h/4,74 T = 2,53 L/h/T mineral, y en 1 día, recibirá 61 L solución/T mineral, y en 1 mes 1,82 m3 , y si el riego dura 3 meses (90 días), recibirá 5,47 m3 /T mineral. Esta es la razón de lixiviación. Si la tasa de riego se aumenta a 15 L/h/m2 , entonces la razón de lixiviación sube a 6,84 m3 /T mineral, durante el ciclo total de lixiviación. En una fórmula la razón de lixiviación RL, se define de la manera siguiente: Donde: RL: es la razón de lixiviación en m3 /T TR: es la tasa de riego en L/h/m2 da: es la densidad aparente del mineral en T/m3 Hpila: es la altura de la pila en m tlixiviación: es el tiempo total de lixiviación en días La tasa de riego en la pila, es equivalente a la agitación de la solución en un sistema de lixiviación por agitación. Si se aumenta la tasa de riego, aumenta el flujo de solución alrededor de las partículas de mineral, disminuye el espesor de la capa de difusión (proceso lixiviación TL del inglés Thin Layer, que significa capa delgada, es la patente de Sociedad Minera Pudahuel) y por lo tanto hay mayor aporte de ácido hacia la superficie de la partícula y mayor velocidad de evacuación de los iones cobre desde la superficie de la partícula. Sin embargo; el riesgo de una alta tasa de riego, es la inundación de la pila , lo que provocaría una baja en la recuperación y problemas de derrumbe de la pila (pila enguatada). Concentración de las soluciones de lixiviación Concentración de ácido La velocidad de la reacción de disolución de cobre es proporcional a la concentración de ácido, esto es, a mayor concentración de ácido, mayor es la velocidad de disolución del cobre; sin embargo, también aumenta la disolución de impurezas contenidas en el mineral
  • 104.
    HIDROMETALURGIA IMIN316 –2014 - Germán Cáceres Arenas Página 104 (hierro, manganeso, cloro, aluminio, magnesio, etc) y aumenta el consumo de ácido (y por lo tanto aumenta el costo de operación). Concentración de cobre La velocidad de reacción es inversamente proporcional a la concentración de cobre, esto es, a mayor concentración de cobre, menor es la velocidad de disolución de cobre. Concentración de otros elementos La concentración de otros elementos como sulfatos, carbonatos, manganeso, aluminio, magnesio, cloro, etc; lo que se conoce como carga iónica de la solución, afecta negativamente la velocidad de disolución del cobre. Felizmente, gran parte del contenido de estas impurezas son eliminadas en los ripios de lixiviación, como precipitados estables en el tiempo y no generan problemas ambientales. 6.7. Diseño de pilas de lixiviación El diseño o el dimensionamiento de las pilas de lixiviación se hace en función de la producción de la planta y de los criterios de diseño determinados en estudios de laboratorio y pruebas en planta piloto. En este curso, se diseñará (dimensionará) una planta de lixiviación en pilas para un proyecto minero con los siguientes criterios de diseño:  Ley del mineral: Cu total = 1,25 % Cu soluble = 1,15 % Consumo de ácido = 6,45 kg H+ /kg Cu  Capacidad de producción: 8.640 T cátodo/año  Criterios de diseño metalúrgicos: Granulometría = 100 % bajo 3/4 pulgada
  • 105.
    HIDROMETALURGIA IMIN316 –2014 - Germán Cáceres Arenas Página 105 Recuperación de Cu soluble = 80 % Tiempo de lixiviación = 90 días Altura de la pila = 3,0 m Densidad aparente del mineral aglomerado = 1,5 T/m3 a) Determinación de la capacidad de la planta de chancado Cu soluble recuperable = 0,80 x (1,15/100) x 1.000 = 9,20 kg Cu/T mineral Producción = 8.640 T cátodo/año = 720 T/mes = 24 T/día = 1.000 kg Cu/h Capacidad de la planta de chancado = 1.000 kg Cu/h/9,20 kg Cu/T mineral = 108,70 T mineral/h = 2.609 T mineral/día = 78.270 T mineral /mes = 939.240 T mineral / año (aprox. 1.000.000 T mineral / año) b) Determinación de la superficie total de pilas (encarpetado HDPE) T mineral/m2 a 3 m de altura = 1,5 T/m3 x 3 m = 4,5 T mineral / m2 Cantidad total de mineral en proceso = 2.609 T/día x 90 días = 234.810 T Superficie total ocupada por este mineral en proceso = 234.810 T / 4,5 T/m2 = 52.180 m2 c) Dimensiones del área de pilas Depende del proyecto y puede ser por ejemplo un rectángulo de 522 x 100 m, y sobre este rectángulo de carpeta de HDPE se construyen pilas de mineral de 100 x 20 m, esto es 26 pilas de lixiviación con capacidad de carga de unas 9.000 T mineral aproximadamente (3 días) y una superficie por pila de 2.000 m2 d) Dimensión del área total de carpeta de HDPE Para la operación normal de pilas se requiere además de las 16 pilas en riego permanente, tener 1 pila en carga, 1 pila en drenaje, 1 pila en descarga y 1 pila sin carga (vacía) para dejar el espacio que permita el movimiento de las maquinarias de carga y descarga; esto es, se necesitan 4 pilas más, o sea 4 x 2.000 = 8.000 m2 más de superficie de pilas encarpetada con HDPE (correspondiente a un 15 % más de superficie). Por lo tanto, el área total de carpeta es: Área de pilas en riego = corresponde a 26 pilas = 26 x 2.000 = 52.000 m2
  • 106.
    HIDROMETALURGIA IMIN316 –2014 - Germán Cáceres Arenas Página 106 Área de pilas en drenaje, descarga, carga y maquinaria = corresponde a 4 pilas = 4 x 2.000 = 8.000 m2 Área total encarpetada con HDPE = 60.000 m2 , esto es un rectángulo de 600 x 100 m. En la Figura 39, se muestra un layout de la planta de lixiviación en pilas
  • 107.
    HIDROMETALURGIA IMIN316 –2014 - Germán Cáceres Arenas Página 107 UNIDAD 7: EXTRACCION POR SOLVENTE DE COBRE 7.1. Descripción del proceso La extracción por solvente de cobre, de la sigla SX en inglés (Solvent Extraction), es un proceso de purificación y concentración de soluciones de cobre, mediante un intercambio iónico líquido – líquido entre dos soluciones. Consiste en la extracción selectiva del cobre contenido en las soluciones de lixiviación mediante un solvente orgánico, para luego transferirlo a una solución de sulfato de cobre pura y concentrada, denominada electrolito rico. Extracción La solución rica o PLS (del inglés Pregnant Leach Solution) proveniente de las pilas de lixiviación, se mezcla con el orgánico descargado, para extraer selectivamente los iones cobre desde la solución rica (fase acuosa) y transferirlos al orgánico descargado (fase orgánica), resultando una fase acuosa pobre en cobre denominada refino, la cual contiene todas las impurezas de la solución rica (Fe, Cl, Al, Mn, Mg, etc.) y una fase orgánica cargada con cobre, denominada orgánico cargado. El refino retorna a las pilas de lixiviación y el orgánico cargado pasa a la etapa siguiente de re-extracción. Re-extracción El orgánico cargado (fase orgánica) se pone en contacto con el electrolito pobre (fase acuosa) proveniente del proceso de electro obtención (en inglés EW, electrowinning), para re-extraer los iones cobre desde el orgánico cargado y transferirlos al electrolito pobre, resultando una fase orgánica descargada que retorna a la etapa de extracción y un electrolito rico que avanza a la etapa de electro obtención. En la figura 40, se muestra un esquema conceptual simplificado del proceso lixiviación – extracción por solvente – electro obtención LIVIACION EXTRACCION RE- EXTRACCION ELECTRO- OBTEBCION
  • 108.
    HIDROMETALURGIA IMIN316 –2014 - Germán Cáceres Arenas Página 108 FIGURA 40: Proceso LIX/SX/EW 7.2. Conceptos fundamentales El proceso SX, se basa en la siguiente reacción química reversible de intercambio iónico: La etapa de extracción ocurre en el sentido de la reacción hacia la derecha (baja acidez); mientras que, la etapa de re-extracción ocurre en el sentido de la reacción hacia la izquierda (alta acidez). El sentido de la reacción está controlado por la acidez o pH de la solución acuosa, como se muestra en la Figura 41.
  • 109.
    HIDROMETALURGIA IMIN316 –2014 - Germán Cáceres Arenas Página 109 FIGURA 41: Equilibrio de extracción Mediante este mecanismo, cada ion de cobre se intercambió con dos iones de hidrogeno que pasan a la fase acuosa donde se regenera ácido sulfúrico en una proporción de 1.54 (kg de ácido / kg de cobre). 7.3. Reactivos utilizados en SX de cobre Reactivos extractantes Los tipos más usados son: LIX 9790N, LIX 984N (Cognis), PT 5050 (Acorga) y MOC 45 (Allied Signal). Sus características principales son (en promedio): Densidad : 0.91 g/cc Color : ámbar Punto de inflamación : 70 °C Selectividad Cu/Fe : > 2000
  • 110.
    HIDROMETALURGIA IMIN316 –2014 - Germán Cáceres Arenas Página 110 Carga máxima (a 10% v/v) : 5.2 g/l de Cu a pH =2 Transferencia neta (10% v/v): 3.0 g/l de Cu Separación de fases : < 90 segundos Cinética de extracción : > 95% en 60 segundos Diluyentes Los tipos de diluyentes más usados son: ESCAID 110 (Exxon) y OXIMIN (Oxiquim). Sus características principales son: Densidad : 0.81 g/cc Punto de inflamación : 79 °C Modificadores Los modificadores son compuestos que aumentan la solubilidad del extractante orgánico y del metal en la fase orgánica. Mejoran la velocidad de separación de fases y extracción de cobre, favoreciendo la coalescencia. Los modificadores más usados son el tridecanol y el éster. Tipos de extractantes Ketoximas Las ketoximas fueron los primeros reactivos usados comercialmente para la extracción de cobre desde soluciones diluidas y fueron usados exclusivamente durante 12 años. Sus principales propiedades eran: excelente separación de fases, bajas pérdidas de orgánico por arrastre y baja formación de crud. Su uso; sin embargo fue limitado, debido a dos desventajas principales: Extractante moderado de cobre y cinética lenta a bajas temperaturas. El reactivo típico fue el LIX 64N. Salicilaldoximas
  • 111.
    HIDROMETALURGIA IMIN316 –2014 - Germán Cáceres Arenas Página 111 Para superar estas desventajas se desarrollaron las salicilaldoximas, lo que permitió reducir circuitos 4E+3S o 3E +2S a 2E+2S o 2E + 1S, incluso para altas concentraciones de cobre y bajo pH (40 gpl Cu y pH 1.5). Sin embargo, estos reactivos son extractantes tan fuertes que requieren un modificador para realizar eficientemente la reextracción. El uso de modificadores (tridecanol o nonifenol) presentan las siguientes desventajas: hidrólisis y degradación del reactivo, mayor transferencia de Fe al electrolito, mayor pérdida de orgánico por arrastre físico y mayor formación de crud. Reactivos típicos son el LIX 860 y el Acorga PT-5050. Mezclas Salicilaldoximas - Ketoximas Estas mezclas no contienen modificadores. El LIX 984, por ejemplo, es una mezcla de LIX 860 (salicilaldoximas) y LIX 84 (Ketoxima). Combina la capacidad extractiva y cinética rápida de la salicilaldoxima con la estabilidad y propiedades físicas de las Ketoximas. 7.4. Determinación del número de etapas de extracción y re extracción Isoterma de Distribución La isoterma de distribución es un gráfico de la concentración de la especie extraída en la fase orgánica versus la concentración de la misma en fase acuosa, en el equilibrio y a una temperatura dada, y puede ser preparada para extracción como para re extracción. Normalmente la forma más utilizada para construir la isoterma de extracción es contactar en diferentes proporciones el acuoso y el orgánico, y analizar por el elemento metálico una vez logrado el equilibrio. Las fases orgánicas y acuosas se ponen en contacto en un embudo decantador (250 cc) y se agita durante 3 minutos. Luego se deja decantar las fases. Generalmente se emplean razones A/O de 1/10, 1/5, 1/2, 1/1, 2/1, 5/1 y 10/1. La Figura 42, muestra la construcción de una isoterma de distribución cuando se ponen en contacto A ml de solución rica conteniendo X0 g/l de metal disuelto con O ml de orgánico fresco. Después de la puesta en equilibrio, el refino contiene X1 g/l y el orgánico Y1 g/l de metal. El balance de masa se puede expresar como:
  • 112.
    HIDROMETALURGIA IMIN316 –2014 - Germán Cáceres Arenas Página 112 y para cada razón existe un coeficiente de distribución diferente: Punto de saturación Composición del extractante dónde ha alcanzado su capacidad máxima de carga (a la derecha del gráfico). Las isotermas de extracción y de re-extracción pueden ser generadas de manera similar. Las isotermas son válidas solamente para condiciones similares al de las condiciones que se emplearon para su determinación. Por ejemplo, si cambia la concentración de reactivo en el orgánico, la concentración de metal en solución en la fase acuosa u orgánica, el pH de la solución rica, la concentración de ácido del electrolito descargado, etc...., entonces habrá que generar otra isoterma de distribución.
  • 113.
    HIDROMETALURGIA IMIN316 –2014 - Germán Cáceres Arenas Página 113 FIGURA 42: Construcción una isoterma de extracción. Recta de operación Como se ha se señalado, la mayoría de los procesos industriales de SX operan con un sistema de contacto múltiple en contra corriente. La Figura 43, representa esquemáticamente la operación de la parte extracción de una planta de SX para lo cual se han supuesto n etapas de extracción. En un proceso de extracción en contra corriente, la solución acuosa y la solución orgánica fluyen en direcciones opuestas. Entonces, el orgánico descargado se contacta con el refino, pobre en Cu, mientras que el orgánico cargado está en contacto con la solución rica en Cu. El proceso de extracción en contra corriente permite tener una buena extracción del metal contenido en la solución acuosa, y a la vez usar eficientemente el reactivo orgánico. [Me] en orgánico (g/l) [Me] en el acuoso (g/l)
  • 114.
    HIDROMETALURGIA IMIN316 –2014 - Germán Cáceres Arenas Página 114 Etapa N°1 Etapa N°2 Etapa N°3 Etapa N°n A, X0 O, Y1 A, X1 O, Y2 A, X2 O, Y3 A, X3 O, Y4 A, X(n-1) O, Y(n) A, X(n) O, Y(n+1) A : Flujo de acuoso (m3/h) O : Flujo de orgánico (m3/h) X(n) : Concentración de metal en el acuoso que sale de la etapa n (g/l) Y(n) : Concentración de metal en el orgánico que sale de la etapa n (g/l) Figura 43: Esquema de una extracción en contra corriente El balance de masa para la etapa n es: y, para las n etapas (balance global) es: de donde se despeja :
  • 115.
    HIDROMETALURGIA IMIN316 –2014 - Germán Cáceres Arenas Página 115 La composición de la fase orgánica que entra en la etapa n es una función lineal de la composición de la fase acuosa que abandona la etapa n, y vise versa. Esta última ecuación, es la ecuación de una línea recta llamada recta de operación en el diagrama de McCabe- Thiele, el cual se describe en el párrafo siguiente. Diagrama de McCabe-Thiele La combinación de la isoterma de distribución y la línea de operación constituye el diagrama de operación o diagrama de McCabe-Thiele, el que es utilizado para estimar el número teórico de etapas de un sistema SX. La isoterma de distribución es fija, y depende sólo de la química del sistema (concentración de reactivos, pH,...). La línea de operación se basa en el balance de masa, varia con la razón A/O y las concentraciones de metal en la entrada y salida del sistema. Un diagrama típico de operación se presenta en la Figura 43. Se supone que el orgánico descargado que entra en la última etapa de extracción contiene 1.80 g/l Cu y que los flujos del orgánico y del acuoso son iguales (razón A/O =1). Conociendo eso, una recta de operación puede ser determinada, partiendo del punto dónde el orgánico descargado intercepta a la isoterma de extracción y dibujando la recta hacia arriba y la derecha con una pendiente igual a la razón A/O (=1 en este caso). Para determinar el número de etapas de extracción, se dibuja una línea vertical representando la concentración de la solución rica (feed = 2.50 g/l Cu) hasta que intercepte la recta de operación. Después, se traza una recta horizontal hasta la isoterma de extracción y de ahí una recta vertical hasta la recta de operación, creando de esa forma un escalón correspondiente a la primera etapa de extracción. Se repite este procedimiento para crear un segundo escalón correspondiente a la segunda etapa de extracción. En este sistema, un refino de 0.22 g/l Cu y un orgánico cargado de 4.24 g/l Cu se predicen para una extracción en dos etapas. Aunque el diagrama de McCabe-Thiele que se muestra en la Figura 43, representa solamente una aproximación del sistema, resulta muy útil para determinar el número de etapas necesarias para alcanzar una cierta extracción. Un diagrama de McCabe-Thiele más preciso podría dibujarse a partir de la figura 44, dibujando la recta de operación a
  • 116.
    HIDROMETALURGIA IMIN316 –2014 - Germán Cáceres Arenas Página 116 partir de un punto situado a igual distancia de la isoterma de extracción y de la recta vertical representando la composición del refino. Entonces, se hace de nuevo el diagrama de McCabe-Thiele, y se obtienen valores de 0.15 g/l Cu en el refino y 4.17 g/l Cu en el electrolito cargado. La construcción de un verdadero diagrama de McCabe-Thiele es un proceso iterativo. En los mezcladores industriales, no se alcanza las concentraciones de cobre en el orgánico y el acuoso al equilibrio, pero solamente un 90% de extracción respecto del equilibrio, como lo muestra la Figura 44, que representa las etapas de una operación industrial.
  • 117.
    HIDROMETALURGIA IMIN316 –2014 - Germán Cáceres Arenas Página 117 FIGURA 43: Diagrama de McCabe-Thiele para una extracción en 2 etapas de cobre contenido en una solución rica de 2.5 g/l Cu E1 E2 A/O =1/(O/A) (SR,OC ) (Ref,OD) (SRef,OSC)
  • 118.
    HIDROMETALURGIA IMIN316 –2014 - Germán Cáceres Arenas Página 118 FIGURA 44: Extracción de cobre en una planta industrial, dónde no se alcanza el equilibrio (isoterma de distribución)
  • 119.
    HIDROMETALURGIA IMIN316 –2014 - Germán Cáceres Arenas Página 119 FIGURA 45: Diagrama de McCabe-Thiele para una reextracción en 1 etapa de cobre contenido en un orgánico cargado de 3.9 g/l Cu.
  • 120.
    HIDROMETALURGIA IMIN316 –2014 - Germán Cáceres Arenas Página 120 7.5. Configuración de plantas de SX Las plantas de extracción por solvente, tanto en la extracción como en la reextracción, están configuradas en una, dos o tres etapas de contacto de las fases acuosa y orgánica, con el objeto de aumentar el tiempo de contacto entre ambas fases y mejorar la transferencia de cobre. El contacto de las fases orgánica y acuosa se realiza en contracorriente. Además; en algunos casos, se debe incorporar una etapa de lavado del orgánico cargado, con el objeto de eliminar impurezas dañinas en la electro obtención, por ejemplo el cloro. Se presenta en la Figura 46, una configuración típica de una planta de extracción por solventes, compuesta por 2 etapas de extracción y 1 etapa de reextracción (2 E-1S) y en la Figura 47, otra configuración que incorpora además una etapa de lavado del orgánico cargado. FIGURA 46: Configuración 2 E - 1 R Lixiviación Electro-obt. E1 E2 S1 Extracción Reextracción SR RFOSC SRFOC OD ED EC OC
  • 121.
    HIDROMETALURGIA IMIN316 –2014 - Germán Cáceres Arenas Página 121 FIGURA 47: Configuración 2E-L-1R 7.6. Operación y control del proceso Arrastres Continuidad Al mezclarse en un mixer 2 fases inmiscibles, una de ellas debe encontrarse dispersa en la otra. Se presentan dos casos: (1) Cuando la fase acuosa está dispersa en la fase orgánica, se habla de continuidad orgánica, y (2) cuando la fase orgánica está dispersa en la fase acuosa, se habla de continuidad acuosa. E-1L E-2 R-1 LIXIVIACION EW PLS OSC OD OCL L OC RF SRFAL ER EP
  • 122.
    HIDROMETALURGIA IMIN316 –2014 - Germán Cáceres Arenas Página 122 En la Figura 48, se muestran los tipos de continuidad de fases. O A A O FIGURA 48: Tipos de continuidad de fases Recuperación del orgánico El principal costo de operación en una planta de SX es la reposición de extractante, el cual se pierde por arrastre físico en el refino y electrolito. Diferentes sistemas han sido implementados para reducir estas pérdidas. Electrolito El mayor énfasis se ha puesto en el electrolito, puesto que el orgánico afecta la calidad de los cátodos. La práctica normal es pasar el electrolito por filtros rellenos con sílice, granate y antracita, el cual ha demostrado ser insuficiente por sí solo. Por lo tanto, se han desarrollado e implementado diferentes combinaciones para reducir la transferencia del orgánico al electrolito, por ejemplo: Uso de post-decantadores o columnas de flotación convencionales o Jameson antes de los filtros. Uso de celdas de sacrificio en electro obtención. Refino El método normal es recuperar el orgánico arrastrado desde la piscina de refino.
  • 123.
    HIDROMETALURGIA IMIN316 –2014 - Germán Cáceres Arenas Página 123 Remoción de acuoso De manera similar a los arrastres de orgánico, existen arrastres de acuoso en la fase orgánica, los que constituyen la principal fuente de contaminación del electrolito. El Cl y Mn, además de Fe, son actualmente las mayores impurezas. El método normal de remoción de acuoso es el diseño del estanque de orgánico con tiempo suficiente y facilidades para eliminar periódicamente el acuoso acumulado. Este método puede ser suficiente para el Fe, pero no así para el Cl y Mn, cuyas concentraciones permisibles en el electrolito son muy inferior a las de Fe (30 ppm Cl y 100 ppm Mn vs 1.5-2.0 gpl Fe). En este caso se pueden implementar los siguientes métodos:  Uso de una o más etapas de lavado.  Diseño del estanque de orgánico como post-decantador.  Uso de coalescedor del tipo desarrollado por Chuquicamata.  Combinación de cualquiera de las alternativas anteriores, dependiendo de la concentración de las impurezas presentes. Variables de control de la SX Las variables de control principales de la SX son: Concentración de cobre y ácido (pH) del PLS Concentración de cobre y ácido del refino Flujos del PLS, orgánico y electrolito Razón O/A Continuidad de fases
  • 124.
    HIDROMETALURGIA IMIN316 –2014 - Germán Cáceres Arenas Página 124 Concentración de cobre del orgánico cargado, orgánico semi-cargado y orgánico descargado % de extractante Arrastre de acuoso en orgánico Arrastre de orgánico en acuoso Altura de la banda de dispersión Formación de borra (crud) 7.7. Diseño de plantas SX Para el diseño o dimensionamiento de una planta de extracción por solvente se requieren los siguientes criterios de diseño: Producción: 7.200 Tcátodo/año Concentración de cobre del PLS: 5 g/L Eficiencia de extracción: 90 % Tiempo de mezcla: N° de etapas de extracción y re extracción: Concentración del reactivo: Razón O/A en extracción y re extracción: Continuidad de fases: en el electrolito y en el PLS:
  • 125.
    HIDROMETALURGIA IMIN316 –2014 - Germán Cáceres Arenas Página 125 Diseño Mezclador: Se diseña en función del caudal total y el tiempo de retención. Caudal total = Caudal A + R + Caudal O (R es 20% de A) Tiempo de mezcla: 3 minutos Para producir 7.200 T cátodo/año, se requiere transferir a la planta de SX/EW, 833/0,95 = 877 kg Cu/h (5% pérdidas). Como la eficiencia de extracción es de 90 %, la planta de lixiviación deberá entregar a la SX 877/0,90=975 kg Cu/h a partir de un PLS de 5 g/L de Cu. El caudal de PLS será entonces de 975/5 = 195 m3 /h y el será= igual a 4,5 g/L. Producción = QPLS x = 195 x 4,5 x 0,95 = 834 kg/h = 20 T Cu/día Caudales: PLS = 195 m3 /h RPLS= 39 m3 /h (20 % de 195) O = A =195 m3 /h (Razón O/A =1) Qtotal= 429 m3 /h Cálculo de volumen del mezclador: N° de mezcladores: 2 Tiempo de mezcla: 3 minutos Volumen mezclador = (3 x 429)/(60 x 2) = 11 m3 cada uno Se elige un mezclador cilíndrico con altura = 1,1 diámetro y un 20 % más de capacidad = 11 x 1,2 = 13,2 m3 V = 3,14 X D2 x 1,1D/4 = 13,2
  • 126.
    HIDROMETALURGIA IMIN316 –2014 - Germán Cáceres Arenas Página 126 D3 = (13,2 x 4)/(3,14 x 1,1) = 15,3 D = 2,5 m H = 2,8 m V = 13,7 m3 Cálculo del volumen del decantador Es función del área y del caudal o flujo Flujo específico: 2,3 a 4,5 m3 /h/m2 Elegimos un flujo específico de 3,4 m3 /h/m2 Por lo tanto el área del decantador es: 429/3,4 = 126 m2 Tomamos: largo = 1,1 ancho; esto es: L = 1,1 x A, por lo tanto: 1,1 x A2 = 126 A = 10,7 m L = 11,8 m Area del decantador = 126 m2 Velocidad lineal 3 cm/s Elegimos Vlineal = 1 cm/s = 36 m/h Q = V x A A = 429/36 = 11,9 m2 H = 11,9/10,7 = 1,1 m Por lo tanto las dimensiones del decantador son: Largo L = 11,8 m Ancho A = 10,7 m Altura H = 1,1 m
  • 127.
    HIDROMETALURGIA IMIN316 –2014 - Germán Cáceres Arenas Página 127 Volumen V = 138,9 m3 Al decantador hay que agregarle 1 m de largo para las canaletas de rebalses. Altura de la capa de orgánico: En la práctica industrial, se usa una altura de capa de orgánico de 15 a 30 cm Elegimos Horgánico = 30 cm y el resto hasta completar 1,1 m es acuoso, o sea la altura del acuoso es 0,8 m.
  • 128.
    HIDROMETALURGIA IMIN316 –2014 - Germán Cáceres Arenas Página 128 UNIDAD 8: ELECTRO OBTENCION DE COBRE 8.1. Descripción del proceso La EW de cobre es un proceso electroquímico que permite la obtención de un cátodo de cobre puro, mediante la electrólisis de una solución ácida de sulfato de cobre, utilizando un cátodo permanente de acero inoxidable y un ánodo insoluble de Pb-Ca-Sn. En la Figura 49, se muestra un esquema simplificado del proceso. FIGURA 49: Celda de EW de cobre En consecuencia, la EW Cu consiste en extraer el cobre contenido en el electrolito cargado, en forma de cátodo de alta pureza (a lo menos grado A del LME), mediante la aplicación de la energía eléctrica. Los componentes principales del proceso de EW Cu son:  Rectificador: es el equipo que produce la corriente continua usada para la electro depositación del cobre.
  • 129.
    HIDROMETALURGIA IMIN316 –2014 - Germán Cáceres Arenas Página 129  Celda de electrólisis: es el recipiente paralelepípedo rectangular de concreto polimérico.  Electrolito: es la solución de sulfato de cobre y ácido sulfúrico.  Ánodo: es el electrodo positivo, donde tiene lugar el desprendimiento de oxígeno y la producción de ácido sulfúrico.  Cátodo: es el electrodo negativo, donde tiene lugar la reacción de depósito de cobre. En la Figura 50, se muestra el proceso completo LIX/SX/EW de cobre FIGURA 50: Proceso LIX/SX/EW Cu MINERAL LIXIVIACION EXTRACCION RE EXTRACCION ELECTRO OBTENCION CATODO FIGURA 1 PROCESO LIXIVIACION / EXTRACCION POR SOLVENTE / ELECTRO OBTENCION ARRASTRE A / O CONTAMINA ER AFECTA EO Calidad Cátodo Eficiencia Corriente Consumo Energía Corrosión Anodos Aumenta Costo
  • 130.
    HIDROMETALURGIA IMIN316 –2014 - Germán Cáceres Arenas Página 130 8.2. Conceptos fundamentales Reacción anódica: La reacción anódica es la reacción de oxidación del agua y se produce sobre el ánodo, polo positivo, según: 2 2 0 2 2 H / 1 2 2 , E 1,23 V 2 O OH O O H e      El potencial de equilibrio de este electrodo se calcula mediante la Ecuación de Nernst: 2 2 2 2 2 2 2 2 2 2 2 2 21/20 / / 2 2 2 2 0 / / anodo H / 0,06 2 , como el O es un gas puro, entonces f=1 y O 1 , entonces: 0,06 , Si pH=0 , entonces: E =E anodo H O O H O O O O anodo H O O H O O O O E E E Log O H O f p p pH Log H E E E pH E                2 2 0 / anodo 1,23 V E 1,23 V H O O   Reacción catódica: La reacción catódica es la reducción del catión cúprico 2 Cu  a cobre metálico Cu, y se produce sobre el cátodo, polo negativo, según: 2 0 2 , E 0,34 VCu e Cu     El potencial de equilibrio de esta reacción, se calcula mediante la ecuación de Nernst:
  • 131.
    HIDROMETALURGIA IMIN316 –2014 - Germán Cáceres Arenas Página 131 2 2 2 2 2 0 2+ / / 0 / / catodo 0,06 , Cu 1 , Cu 1 2 0,34 V E 0,34 V catodo Cu Cu Cu Cu catodo Cu Cu Cu Cu Cu E E E Log Cu E E E               Por lo tanto la diferencia de potencial de equilibrio de la celda está dada por: celda 1,23 0,34 0,89 V E 0,89 V celda anodo catodoE E E        Velocidad de Reacción: Cuando circula una corriente I En una reacción electroquímica (por ejemplo la reacción de depósito de cobre), la velocidad de reacción del compuesto i se define como el número de moles de i transformados por unidad de tiempo y por unidad de superficie del electrodo (del cátodo, en el caso de la EO de cobre). Se define por la fórmula siguiente: 2 , donde: velocidad de reaccion en moles/cm numero de moles transformados (que reaccionan) (duracion de la reaccion) en segundos i i i i N v S t v s N t tiempo     
  • 132.
    HIDROMETALURGIA IMIN316 –2014 - Germán Cáceres Arenas Página 132 Ejemplo: consideremos el caso de la reacción de depósito de cobre sobre el cátodo de acero inoxidable, según la reacción: 2 2Cu e Cu    La velocidad de depósito de cobre es el número de moles de cobre reducidos (o depositados) por segundo y por cm2 de superficie catódica, y está dada por la ecuación: 2 Cu Cu catodo N v S t    Densidad de Corriente i Cuando circula una corriente I a través de la superficie de un electrodo, se define la densidad de corriente i como el cuociente entre la corriente I y la superficie del electrodo, esto es: 2 2 , donde: de corriente en A/m en A superficie del catodo en m I i S i densidad I corriente S     Ley de Faraday Para una reacción electroquímica, dneOx Re El peso de una especie que reacciona sobre un electrodo cuando circula una corriente I durante un tiempo t está dado por la ley de Faraday,
  • 133.
    HIDROMETALURGIA IMIN316 –2014 - Germán Cáceres Arenas Página 133 It nF M P  P = peso obtenido, g M = peso molecular de la especie, g/mol I = corriente, A t = tiempo, seg. n = número de electrones F = constante de Faraday = 96.500 Coulomb (Amp. x seg.) Para la reacción: CueCu   22 El equivalente electroquímico del cobre es: hA g EECu     185,136001 965002 54,63 Si se multiplica el EECu por la densidad de corriente i, se obtiene la velocidad teórica de electro obtención de cobre: 2 33 296,010250185,110 mh kg iEEv Cuteórica   
  • 134.
    HIDROMETALURGIA IMIN316 –2014 - Germán Cáceres Arenas Página 134 Si consideramos una eficiencia de corriente %90I , entonces la velocidad real de electro obtención de cobre a una densidad de corriente de 250 A/m2 será: 2 266,0296,090,0 mh kg vreal   Relación entre velocidad de reacción y densidad de corriente: Ley de Faraday En una reacción electroquímica, la velocidad de reacción es proporcional a la densidad de corriente, de acuerdo a la ley de Faraday. Esto es: Para la reacción de depósito de cobre 2 2Cu e Cu    La ley de Faraday se escribe así: ( / ) ( ) ( ) ( ) ( / ) M g mol m g I A t s nF A s mol     Si se divide por el peso molecular M, por la superficie del electrodo S, y por el tiempo t, se tiene: 2 2 ( ) 1 ( / ) ( / ) ( ) ( ) ( / ) m g i A cm M g mol S cm t s nF A s mol     
  • 135.
    HIDROMETALURGIA IMIN316 –2014 - Germán Cáceres Arenas Página 135 Esto es, los moles de cobre que se depositan por segundo y por centímetro cuadrado de cátodo, lo cual corresponde a la velocidad de depósito de cobre, se expresan así: 1 Cuv i nF   Esta ecuación indica que la velocidad de depósito de cobre es proporcional a la densidad de corriente i, y que la constante de proporcionalidad es 1 nF . Por lo tanto, en el caso de reacciones electroquímicas, como la EW de cobre, la densidad de corriente corresponde a la “velocidad de la reacción”. Es la reacción electroquímica propiamente tal que sólo depende de la densidad de corriente i aplicada. Curvas de Polarización E = f (i) Las curvas de polarización E(i) representan la velocidad de las reacciones electroquímicas. En la Figura 51, se muestra las curvas de polarización de las reacciones anódica y catódica de la EW de cobre.
  • 136.
    HIDROMETALURGIA IMIN316 –2014 - Germán Cáceres Arenas Página 136 Figura 51: Curvas de polarización de la electro – obtención de cobre. Sobre potencial Se define el sobre potencial de la manera siguiente: Sobre potencial anódico, : Sobre potencial catódico, :
  • 137.
    HIDROMETALURGIA IMIN316 –2014 - Germán Cáceres Arenas Página 137 Etapas de una Reacción Electroquímica Transferencia de Carga: Reacción Electroquímica Propiamente Tal Es la reacción electroquímica propiamente tal. Se produce sobre la superficie del electrodo y su velocidad está dada por la densidad de corriente i, según: 1 tv i nF   Esta etapa da origen a un sobre potencial (energía) de transferencia de carga, Transferencia de Masa: Difusión Corresponde al aporte de especies hacia la superficie del electrodo. Son los moles del componente i que llegan a la superficie del electrodo por segundo y por cada cm2 de superficie. Corresponde a la velocidad o flujo de difusión dv . Este flujo de difusión, está dado por la primera ley de Fick de la difusión, la cual se expresa así: 0( )i i el i D J c c     Donde:
  • 138.
    HIDROMETALURGIA IMIN316 –2014 - Germán Cáceres Arenas Página 138 i 3 0 de difusion de la especie i en moles/cm2/seg de la capa de difusion de Nernst de la especie i en cm c de la especie i en elseno de la solucion en moles/cm i el J Flujo Espesor Concentracion c Concentr      3 2 de la especie i sobre la superficie del electrodo en moles/cm de difusion de la especie i en cm /i acion D Coeficiente seg En la Figura 52, se muestra el flujo de difusión dado por la primera ley de Fick de la difusión. FIGURA 52: Ley de Fick de la difusión Esta etapa da origen a un sobre potencial de difusión,
  • 139.
    HIDROMETALURGIA IMIN316 –2014 - Germán Cáceres Arenas Página 139 Régimen Estacionario En régimen estacionario (independiente del tiempo), la velocidad de transferencia de carga (velocidad de consumo) se hace igual a la velocidad de difusión (velocidad de aporte), según: 0 0 1 ( ) ( ) t d i el i i el i v v D i c c nF nFD i c c           Densidad de corriente límite La densidad de corriente límite es la densidad de corriente máxima que se puede alcanzar en un proceso electroquímico. Se alcanza cuando la concentración de la especie i sobre el electrodo se hace igual a cero, esto es 0elc  Entonces, la densidad de corriente límite es: lim 0 i ite i nFD i c    Se observa que esta densidad de corriente límite depende de la concentración de la especie i en el seno de la solución, del coeficiente de difusión de la especie i y del espesor
  • 140.
    HIDROMETALURGIA IMIN316 –2014 - Germán Cáceres Arenas Página 140 de la capa de difusión de Nernst de la especie i. Estas dos últimas variables dependen de la temperatura y de la agitación o del flujo. En el caso de la EO de cobre, la densidad de corriente de trabajo normalmente es del orden de 1/3 de la densidad de corriente límite, con el objeto de obtener un depósito de cobre de buena calidad, tanto física como química. De ahí entonces la necesidad de controlar que la concentración de cobre en el electrolito sea elevada, que la temperatura del electrolito sea elevada y que el flujo del electrolito sea elevado. Ejemplo Cálculo de la densidad de corriente límite para el 2 Cu a una concentración de 45 g/l (0,7 mol/l), CueCu  22 2 5 3 4 2lim. 2 96.500 1 10 0,7 10 10 901 0,015Cu A i m            Electro cristalización Corresponde al depósito metálico; es la etapa de incorporación del metal a la red cristalina. Esta etapa requiere un sobre potencial de electro cristalización,
  • 141.
    HIDROMETALURGIA IMIN316 –2014 - Germán Cáceres Arenas Página 141 Parámetros de operación  Eficiencia de corriente real 100 , % teorico teorico=Peso dado por la ley de Faraday I Peso Peso Peso     Voltaje de Celda , Vcelda th a c elV E R I Perdidas         Consumo de Energía 5 catodo0,84 10 , KWh/Tcelda I V W     Electro cristalización La electro cristalización es la ciencia y técnica de obtención de un metal sólido sobre el cátodo de una celda electrolítica.
  • 142.
    HIDROMETALURGIA IMIN316 –2014 - Germán Cáceres Arenas Página 142 Muchos factores tienen una influencia sobre el tipo de depósito obtenido en el cátodo, entre éstos, los más importantes son: la densidad de corriente, la concentración del ion metálico, la agitación, la temperatura, la concentración de otros cationes y aniones, las reacciones de complexación, los agentes de adición (inhibidores) y el sustrato sobre el cual tiene lugar el depósito metálico. En el caso de la electro-obtención de cobre, se tiene la reacción catódica siguiente:   eCu 22 o ads incorporado a la red cristalinaCu Cu El paso de o adsCu sobre la superficie catódica a Cu incorporado a la red cristalina es del dominio de la electro cristalización. La electro cristalización de cobre comprende 2 etapas: nucleación y crecimiento de los cristales, y dependen del sobre potencial catódico del cobre. Si se aumenta el sobre potencial catódico del cobre, , se favorece la nucleación y se obtienen cristales pequeños. Por el contrario, si se disminuye el sobre potencial catódico de cobre, , se favorece el crecimiento y se obtienen cristales grandes. Para aumentar el sobre potencial de cobre, , se agrega al electrolito pequeñas cantidades de reactivos, denominados agentes de adición o inhibidores, los cuales cumplen principalmente 2 objetivos: Aumentan la velocidad de nucleación obteniéndose un depósito de grano fino. Nivelan la superficie del depósito por adsorción específica en los sitios de crecimiento.
  • 143.
    HIDROMETALURGIA IMIN316 –2014 - Germán Cáceres Arenas Página 143 El Profesor Winand de Bélgica, clasificó los tipos de depósitos obtenidos en función de la relación o y la intensidad de la inhibición. Sus resultados se muestran en la Figura 18. La intensidad de la inhibición es la cantidad de aumento de sobre potencial debido a los inhibidores (sustancias orgánicas). En esta figura, se observa que si a bajo nivel de inhibición se aumenta i ó se disminuye n M C se obtienen depósitos de cristales grandes, luego crecimiento dendrítico y finalmente polvo metálico. En cambio, a una relación i/c media, aumentando la intensidad de la inhibición cambia la estructura del depósito desde cristales gruesos a finos. La técnica consiste en balancear estas variables para obtener un depósito de morfología deseada. En electro-obtención de cobre, se desea obtener un depósito compacto y parejo tipo FT.
  • 144.
    HIDROMETALURGIA IMIN316 –2014 - Germán Cáceres Arenas Página 144 FIGURA 53: Clasificación de tipos de depósitos metálicos (según Winand)
  • 145.
    HIDROMETALURGIA IMIN316 –2014 - Germán Cáceres Arenas Página 145 8.3. Configuración de plantas de EW de Cu Las plantas de EW de Cu se configuran en bancos de celdas conectadas eléctricamente en serie y dentro de cada celda se conectan los electrodos en paralelo. En la Figura 54, se muestra una configuración típica de una planta de EW Cu de mediana minería (5.000 a 10.000 T cátodo/año) con el circuito hidráulico y eléctrico. FIGURA 54: Configuración de plantas de EW Cu
  • 146.
    HIDROMETALURGIA IMIN316 –2014 - Germán Cáceres Arenas Página 146 8.4. Operación y control del proceso Calidad Química La Planta de EW de Cobre permite producir cátodos muy puros, esto es sobre 99,99 % de Cu. Ahora bien, existen especificaciones técnicas de pureza de los cátodos electro- obtenidos. La más utilizada es el cátodo grado A cuya Norma Británica BS 6017 del año 1981, establece las especificaciones de composición química siguientes: Cobre, Cu > 99,96 % Plomo, Pb 5 ppm, máx. Hierro, Fe 10 ppm, máx. Azufre, S 15 ppm, máx. Selenio, Se 2 ppm, máx. Teluro, Te 2 ppm, máx. Bismuto, Bi 2 ppm, máx. Antimonio, Sb 4 ppm, máx. Arsénico, As 5 ppm, máx. Plata, Ag 25 ppm, máx. La calidad química del cátodo se determina por el análisis químico de pureza (% Cu) e impurezas (máximo permisible).
  • 147.
    HIDROMETALURGIA IMIN316 –2014 - Germán Cáceres Arenas Página 147 Elementos de control Los elementos de control de la calidad química son: temperatura del electrolito (47 a 50 ºC), concentración de cobre en el electrolito agotado (varía según la densidad de corriente, a baja densidad de corriente puede ser mayor o igual a 35 g/L; en cambio a alta densidad de corriente, esto es sobre 300 A/m2 , la concentración de cobre en el agotado no debe ser inferior a 40 g/L); densidad de corriente ( a mayor densidad de corriente hay mayor riesgo de baja de calidad química), dosificación de aditivos o inhibidores (estos no deben ser ni muy poco ni muy elevados), flujo de electrolito (flujo específico superior a 2,5 L/min/m2 . Tabla de Calidad Química En la Tabla siguiente se dan las especificaciones de calidad química de cátodos comerciales: Elemento Grado A Tesoro LME PREMIUM OFF-GRADE Cobre > 99,96 % Plomo máx. 5 ppm ≤ 3 ppm > 5 ppm Azufre máx. 15 ppm ≤ 8 ppm > 15 ppm Hierro máx. 10 ppm Total Impurezas max. 65 ppm El oxígeno no está normado, pero el comprador lo fija en un rango entre 30 y 60 ppm. La calidad química de los cátodos, depende del nivel de impurezas, principalmente de elementos como plomo, azufre y hierro. El plomo sobre la concentración máxima en el electrolito se deposita en el cuerpo del cátodo, en forma de laminillas diseminadas o polvo, de color gris en diferentes tonalidades. Para regular que no aumenten las concentraciones de estas impurezas, se utiliza un aditivo anódico para el plomo, se realiza limpieza de las celdas y se efectúan purgas controladas de electrolito. El hierro tiene incidencia directa en la eficiencia de corriente. No menos importante, son el cloro, nitrato
  • 148.
    HIDROMETALURGIA IMIN316 –2014 - Germán Cáceres Arenas Página 148 y manganeso; los cuales producen corrosión en las placas de acero inoxidable, estrías en los cátodos y daño por mayor corrosión en el ánodo. Dosificación de reactivos Para que la acción de estos reactivos sea eficaz, su dosificación debe ser constante durante las 24 horas del día. Por ejemplo, las gomas guar (reactivos afinadores de grano) se deben preparar y adicionar de inmediato durante las próximas 4 horas, ya que superado este tiempo, estas gomas se degradan. Lo mismo sucede con la temperatura, la temperatura de preparación no sebe superar los 60 ºC. Por lo tanto cada 4 horas se debe preparar una solución concentrada de estas gomas, la cual se dosifica en el electrolito circulante, a una tasa de unos 200 a 300 g/T cátodo. El sulfato de cobalto también se agrega a partir de una solución madre concentrada de tal manera de mantener en el electrolito circulante una concentración de cobalto entre 100 a 150 mg/L o ppm (partes por millón). Controles operacionales Alineamiento de electrodos: Los electrodos tienen que estar bien alineados con el objeto de mantener constante y pareja la densidad de corriente en todos los electrodos. Detección – eliminación de cortocircuitos: Los cortocircuitos generan bajas en la eficiencia de corriente y contaminan el cátodo. Para ello, se deben detectar a tiempo y eliminar lo antes posible. Control de flujos: Esta variable operacional es muy importante para la calidad del cátodo obtenido. Se debe controlar permanentemente y observar que no disminuya, porque es a través de esta variable que se controla el ingreso de cobre a la celda. Si por ejemplo el flujo se corta por completo (parada de bomba, obstrucción o tapada de la tubería que
  • 149.
    HIDROMETALURGIA IMIN316 –2014 - Germán Cáceres Arenas Página 149 alimenta la celda, y como la corriente no se ha cortado, entonces rápidamente se agota completamente el cobre en el electrolito que está en la celda y se obtiene un depósito de muy mala calidad física (pulverulento) y química (contaminado con electrolito). Además, hay riesgos de incendio en la nave. Mantención de electrodos: Los electrodos deben ser mantenidos y revisados permanentemente. La superficie de los cátodos debe ser mantenida pulida y sin corrosión por picadura (efecto del cloruro). La barra conductora del cátodo debe ser mantenida en muy buen estado de conducción, que no haya problemas con el recubrimiento de cobre. La verticalidad de los cátodos debe ser mantenida siempre. La soldadura barra-placa debe estar en perfectas condiciones; no debe haber ningún punto de mala conducción. Los ánodos deben ser mantenidos con mucho cuidado para no dañar ni destruir la capa de óxido de plomo, 2PbO , que los recubre, ya que sobre esta capa de óxido se produce la reacción de desprendimiento de oxígeno. Hay que mantener la verticalidad de los ánodos, sin “pandeo”, ya que esto provoca contaminación del cátodo con plomo. El espesor final de los ánodos no debe ser inferior a unos 3 mm. Capping board: Los capping boards deben ser mantenidos limpios y sin daño estructural. Barras de alimentación de corriente: Estas barras deben ser mantenidas muy limpias y libres de toda contaminación (sulfatos, orgánico, suciedad, borra, etc.) que pueda reducir su capacidad conductora de la corriente eléctrica. También se debe evitar que sufran deterioros físicos, como golpes, ranuras, trizaduras, despegue de la soldadura, etc. Desborres: Esta operación de desborre de celdas se debe hacer en forma periódica, para evitar contaminar el cátodo con plomo y azufre.
  • 150.
    HIDROMETALURGIA IMIN316 –2014 - Germán Cáceres Arenas Página 150 Calidad física Elementos de control Los principales elementos de control para la calidad física de los cátodos son: La densidad de corriente Esta se debe fijar y controlar en función de la concentración de cobre del electrolito rico, manteniendo en un valor fijo de unos 42 g/l la concentración de cobre del electrolito pobre. El estado de los electrodos Tanto los cátodos como los ánodos deben estar en perfectas condiciones físicas, lisos, bien verticales, sin perforaciones ni daños y con los contactos bien limpios.  La distancia ánodo – cátodo: esta distancia debe mantenerse en todo lo alto de los electrodos, si en algún punto el acercamiento entre los electrodos es mayor, entonces por esta zona va a pasar mayor corriente y se va a producir un depósito de mala calidad con muchos nódulos.  La temperatura, concentración y flujo del electrolito.  La adición de guar y sulfato de cobalto.
  • 151.
    HIDROMETALURGIA IMIN316 –2014 - Germán Cáceres Arenas Página 151  El tiempo de depósito Tabla de calidad física (Tabla 7) La calidad física se determina en forma visual, de tal manera que el cátodo obtenido tenga una superficie lisa, pareja, compacta y esté libre de rugosidades y nódulos. También se debe tener cuidado de cumplir con las especificaciones de dimensiones y espesor del cátodo. En una Tabla de calidad física, se fija por ejemplo que los nódulos no ocupen una superficie mayor del 20% del total del cátodo y que los nódulos no superen los 6 mm de tamaño. Además, se establece que no haya manchas de orgánico, sulfato ni plomo presentes. Que el depósito sea parejo, del mismo espesor en toda la superficie del cátodo y con los bordes verticales parejos y sin áreas de falta de depósito o que el depósito esté “quemado” (en la práctica estos cátodos se denominan “catodos apolillados”)
  • 152.
    HIDROMETALURGIA IMIN316 –2014 - Germán Cáceres Arenas Página 152 Tabla 7: Calidad química y física de catodos de cobre EW CLASIFICACION ON GRADE OFF GRADE Calidad Química Premium Grado A - LME Premium Grado A-LME Off Grade S, ppm ≤ 8 ≤ 15 ≤ 8 ≤ 15 >15 Pb, ppm ≤ 3 ≤ 5 ≤ 3 ≤ 5 >5 Aspecto Físico Nodulación < 20% < 20% > 20% > 20% > 20% Tamaño Nódulos < 6 mm < 6 mm > 6 mm > 6 mm > 6 mm Cortocircuitos sin sin con con con Orgánico sin sin con con con Bordes regulares regulares irregulares irregulares irregulares Placas verticales verticales Cuadratura 100x100 100x100 Depósito irregular irregular irregular Plomo visible visible visible Sulfatación sin sin con con con Estrías < 6 mm < 6 mm > 6 mm > 6 mm > 6mm Designación On Grade On Grade Off Grade Off Grade Off Grade
  • 153.
    HIDROMETALURGIA IMIN316 –2014 - Germán Cáceres Arenas Página 153 Controles operacionales  Alineamiento de los electrodos: Los electrodos deben ser perfectamente alineados para lograr una buena y homogénea distribución de la corriente y por lo tanto de la densidad de corriente.  Detección – eliminación de cortocircuitos: Los cortocircuitos deben ser detectados y eliminados a tiempo, ya que producen un depósito irregular, baja en la eficiencia de corriente y contaminación del cátodo.  Control de flujos: Los flujos deben ser controlados en forma rigurosa y permanente, ya que es una variable muy importante de la calidad física y química del depósito. En caso que no haya flujo de electrolito existen serios riesgos de explosión e incendio en la nave electrolítica, debido a la generación de hidrógeno cuando el cobre se haya agotado.  Mantención de los electrodos: Los electrodos deben ser mantenidos al más alto estándar de mantención de la Empresa.  Capping board: Los camping board deben ser mantenidos limpios, bien alineados y en muy buen estado de aislamiento eléctrica.  Barras de alimentación de corriente: Las barras de alimentación de corriente deben ser mantenidas en muy buen estado, limpias, sin roturas ni golpes. Deben ser uniformes y no presentar problemas de corrosión y destrucción.  Desborres: Los desborres de celda son una operación que se debe hacer en forma periódica, para evitar la contaminación del cátodo con plomo y sulfato. También permite evitar la contaminación del electrolito con “borras flotantes”. Evita crecimiento de nódulos y depósito irregular.
  • 154.
    HIDROMETALURGIA IMIN316 –2014 - Germán Cáceres Arenas Página 154 Control de Impurezas Arrastre de Orgánico El arrastre de orgánico debe ser reducido al máximo por cuanto provoca contaminación del cátodo y dificulta el despegue de éste. Cloruro El contenido de cloro máximo permisible es de 30 ppm, ya que provoca corrosión de los cátodos de acero inoxidable. También es un afinador de grano. Hierro Diminuye la eficiencia de corriente y aumenta el consumo de energía. El contenido máximo permisible es de unos 2,5 g / L. Manganeso Oxida el orgánico y aumenta la corrosión de los ánodos. El contenido máximo es variable entre las plantas, pudiendo llegar hasta 100 a 200 ppm. Plomo Contamina el cátodo. Se debe tener buenos procedimientos de mantención de los ánodos para evitar eventos de plomo que pueden ocurrir en las Plantas de EO de Cobre. Para ello, es fundamental la inspección de los ánodos, la limpieza de los ánodos y el desborre de las celdas en forma periódica. Se debe mantener una concentración adecuada de cobalto en el electrolito. Se debe evitar la corrosión de los ánodos agregando una dosis adecuada de cobalto. La incorporación de plomo a los cátodos es por oclusión de partículas finas en suspensión productos de corrosión de los ánodos (óxidos y sulfatos de plomo)
  • 155.
    HIDROMETALURGIA IMIN316 –2014 - Germán Cáceres Arenas Página 155 Neblina Ácida Para reducir la neblina ácida se cubre la superficie del electrolito en las celdas con bolitas de plástico o carpeta y extracción del oxígeno y además se debe disponer de una buena ventilación de la nave electrolítica. 8.5. Diseño de plantas de EW de Cobre El diseño o dimensionamiento de plantas de EW Cu, consiste en determinar las especificaciones técnicas del rectificador (corriente I y voltaje V), el número de celdas y el número de cátodos por celda. A continuación, se muestra un ejemplo de diseño de una planta de EW Cu para producir 7.200 T cátodo/año (corresponde a mediana minería). Criterios de diseño: Producción = 7.200 T/año = 600 T/mes = 20 T/día = 833 kg/h Densidad de corriente = 275 A/m2 (valor medio entre 250 y 300) Eficiencia de corriente = 90 % Voltaje de celda = 2,2 V Equivalente electroquímico del Cu = 1,185 g/Ah Cálculos: a) Velocidad de depósito vd = (0,90 x 1,185 x 275)/1.000 = 0,293 kg/h/m2 b) Superficie catódica total = 833/0,293 = 2.843 m2 c) Número de cátodos de 1 x 1 m = 2.843/2 = 1.422 cátodos
  • 156.
    HIDROMETALURGIA IMIN316 –2014 - Germán Cáceres Arenas Página 156 d) Número de cátodos por celda: depende del proyecto, normalmente en mediana minería se utiliza hasta 45 cátodos por celda. En gran minería se usan hasta 66 cátodos por celda. En este ejemplo vamos a utilizar 33 cátodos por celda e) Número de celdas = 1,422/33 = 43 celdas (vamos a utilizar 44 celdas distribuidas en 2 bancos de 22 celdas cada uno) f) Corriente del rectificador = 33 x 2 x 275 = 18.150 A (vamos a utilizar un rectificador de 20.000 A con una holgura de un 10 % de producción) g) Voltaje del rectificador = 2,2 x 44 = 97 V (vamos a utilizar un rectificador de 110 V con un 10 % de holgura de producción) Diseño: Rectificador = 20.000 A x 110 V N° celdas = 44 (2 bancos de 22 cada uno) N° electrodos por celda = 33 (elección según tamaño de celdas) N° cátodos total = 1.452 N° ánodos total = 1,452 Los otros elementos del diseño, como layout de la planta, capacidad de la caldera, capacidad de la planta de osmosis inversa, sistema de cosecha y despegue, etc, deben ser considerados en la ingeniería de detalles del proyecto.
  • 157.
    HIDROMETALURGIA IMIN316 –2014 - Germán Cáceres Arenas Página 157 UNIDAD 9: ELECTRO REFINACION DE COBRE 9.1. Descripción del proceso La electro refinación de cobre consiste en la disolución anódica del cobre impuro desde el ánodo; y su posterior depósito catódico de cobre puro sobre un cátodo de láminas iniciales de cobre o acero inoxidable. El proceso de electro refinación de cobre es el más importante a escala industrial, pues prácticamente toda la producción de cobre por piro metalurgia es electro refinada. A menor escala, se practica también la electro refinación de Pb, Ni, Ag, Au y otros metales menores. La electro refinación de cobre tiene dos objetivos:  Eliminar las impurezas que perjudican las propiedades eléctricas y mecánicas del cobre, tales como: As, Sb, Bi, O, S, Se, Te, Fe, Co, Ni y Pb.  Recuperar las impurezas valorizables, como: Au, Ag, metales del grupo del Pt y Se. Los ánodos se moldean en la fundición y son de cobre impuro (99.4 a 99.8 % Cu) y los cátodos son láminas de cobre puro (99.98 % Cu) (láminas iniciales u hojas de partida) o placas de acero inoxidable sobre el cual se va a depositar el cobre puro (cátodos permanentes), tal como se hace en EW Cu. El electrolito es una solución ácida de sulfato de cobre que contiene entre 40 y 50 g/l de Cu2+ y 180 a 200 g/l de H2SO4. La temperatura de trabajo es del orden de 60 °C y la densidad de corriente varía entre 180 y 250 A/m2. Durante el electrólisis, el cobre y los metales menos nobles que él : As, Sb, Bi, Fe, Co, Ni, Pb, pasan desde el ánodo a la solución; mientras que los metales más nobles como oro y plata, y los sulfuros, seleniuros y teluros de cobre y plata, muy refractarios a la disolución electroquímica, no se disuelven, decantan y pasan al barro anódico.
  • 158.
    HIDROMETALURGIA IMIN316 –2014 - Germán Cáceres Arenas Página 158 El cobre es depositado sobre el cátodo; mientras que los metales menos nobles como Fe, Ni y As permanecen en la solución. Un circuito de purificación del electrolito permite eliminar estos elementos y evitar así que su concentración aumente en solución con el tiempo. El electrolito circula en circuito cerrado en la planta de electro refinación. Además, para mejorar la calidad del depósito catódico, se agrega al electrolito sustancias orgánicas en pequeñas cantidades, llamadas inhibidores de cristalización, tales como: tiourea, cola y avitone. Finalmente, como la concentración de cobre aumenta en el electrolito, debido a la disolución química del óxido cuproso contenido en el ánodo, es necesario que una parte del electrolito sea sometida al proceso de electro obtención para mantener la concentración de cobre constante en solución. Disolución química (ánodo): Cu2O + 2 H+ => 2 Cu+ + H2O 2 Cu+ => Cu2+ + Cu (precipitado) (dismutación) En la Tabla 8, se muestra el rango de composición industrial de los ánodos y cátodos de cobre
  • 159.
    HIDROMETALURGIA IMIN316 –2014 - Germán Cáceres Arenas Página 159 TABLA 8: Rango de composición industrial de ánodos y cátodos de cobre. Elemento Ánodos % Cátodos % Cu 99.4 - 99.8 > 99.99 O 0.1 - 0.3 25-50 ppm Ni < 0.5 < 10 ppm Pb < 0.1 < 5 ppm As < 0.3 < 2 ppm Sb < 0.3 < 2 ppm Se < 0.02 < 2 ppm Fe 0.002 - 0.03 2 – 20 ppm Te < 0.001 < 1 ppm S 0.001 - 0.003 2 – 10 ppm Bi < 0.01 < 1 ppm Ag < 0.1 5 – 10 ppm Au <0.005 < 0.1 ppm Los resultados de la ER de cobre son:  Disolución de cobre impuro en el ánodo  Depósito de cobre puro en el cátodo  Aumento de la concentración de cobre e impurezas en el electrolito  Producción de barro anódico
  • 160.
    HIDROMETALURGIA IMIN316 –2014 - Germán Cáceres Arenas Página 160 En la Figura 55, se muestra un diagrama de flujo simplificado del proceso de electro refinación de cobre (ER Cu) FIGURA 55: Proceso de electro refinación de cobre (ER Cu) ELECTRO REFINACION ELECTROLITODESCOBRIZACION PURIFICACION BARRO ANODICO ANODOS CATODOS CATODOS EW BARRO ARSENICAL
  • 161.
    HIDROMETALURGIA IMIN316 –2014 - Germán Cáceres Arenas Página 161 9.2. Conceptos fundamentales REACCION ANODICA: Cu => Cu2+ + 2e- E° = 0.34 V (Disolución de cobre) REACCION CATODICA : Cu2+ + 2e- => Cu E° = 0.34V (Precipitación de cobre) _______________________________ REACCION DE CELDA O GLOBAL: Cu => Cu E = 0 V (Expresada en forma iónica) En la Figura 56, se muestra las curvas de polarización de la ER Cu. FIGURA 56: Curva de polarización para la electro refinación de cobre.
  • 162.
    HIDROMETALURGIA IMIN316 –2014 - Germán Cáceres Arenas Página 162 9.3. Configuración de plantas ER La configuración de plantas de ER es similar a la de plantas EW. En la Figura 57, se muestra un layout de una planta ER de Cu que utiliza hojas de partida. Las plantas ER de Cu tienen capacidades de producción desde 50.000 hasta 350.000 o más toneladas de cátodos/año. FIGURA 57: Layout planta ER Cu CELDAS COMERCIALES CELDAS COMERCIALES CELDAS COMERCIALES AREA DE COSECHA AREA DE HOJAS PARTIDA PLANTA BARROS PLANTA PURIFICACION AREA ESTANQUES PATIO DE ANODOS RECTIFICADORPATIO DE ANODOS PATIO DE CATODOS LAMINAS INICIALES CELDAS COMERCIALES
  • 163.
    HIDROMETALURGIA IMIN316 –2014 - Germán Cáceres Arenas Página 163 9.4. Operación y control del proceso Las plantas ER Cu operan a densidades de corriente de 200 a 300 A/m2 , temperatura del electrolito de 60 °C, flujo de electrolito 20 a 40 L/min y concentración del electrolito: Cu: 35 a 50 g/L Ni: 1 a 30 g/L H2SO4: 130 a 210 g/L As: 0,01 a 20 g/L Sb: 0,01 a 0,5 g/L Bi: 0,01 a 0,3 g/L Cl: 0,02 a 0,06 g/L Aditivos orgánicos: cola, avitone y tiourea: 20 a 40 ppm Comportamiento y control de impurezas El objetivo de una planta ER Cu es producir cátodos de alta pureza a bajo costo. Para ello se debe ejercer un control muy riguroso del comportamiento de las impurezas en el proceso. Entre las impurezas que tienen el mayor efecto negativo sobre el recocido y la temperatura de re cristalización en los procesos de obtención del alambrón por colada continua, están en el orden siguiente: Te > Se > Bi > Sb > As Por lo tanto se requiere eliminar al máximo estas impurezas para que no contaminen el cátodo.
  • 164.
    HIDROMETALURGIA IMIN316 –2014 - Germán Cáceres Arenas Página 164 Para el cátodo grado A del mercado de metales de Londres (LME) la norma establece los valores máximos permisibles para estas impurezas: Se 2 ppm Te 2 ppm Bi 2 ppm Sb 4 ppm As 5 ppm Pb 5 ppm Fe 10 ppm S 15 ppm Ag 25 ppm Total 65 ppm Por otra parte, se debe recuperar los metales de alto valor económico como son los metales preciosos (Au y Ag) y los metales del grupo del platino (Pt, Pd). También, se debe eliminar del proceso y luego recuperar el plomo, azufre y los metales del grupo del hierro (Fe, Co y Ni). El mecanismo principal de contaminación de cátodos es el siguiente:  Mediante el barro anódico  A través del electrolito  Por co – depositación catódica En consecuencia, para un buen control de calidad de cátodos y control de impurezas, se debe conocer el comportamiento de las impurezas en los ánodos, en el electrolito y en los cátodos.
  • 165.
    HIDROMETALURGIA IMIN316 –2014 - Germán Cáceres Arenas Página 165 Comportamiento de impurezas durante la ER Cu MPt, Au, Ag, Se, Te, S, Pb, Sb: en los barros anódicos As, Bi: principalmente en el electrolito Fe, Co, Ni, Zn: en el electrolito MPt y Au: tienen E0 > 1,5 V, muy superior al E0 del Cu (0,34 V), por lo tanto no se disuelven, no se encuentran en el electrolito, no se depositan en el cátodo y pasan directamente al barro anódico. Ag: tiene E0 =0,8 V, pero como la plata se encuentra en los ánodos como seleniuros y teluros de cobre y plata, se disuelve una pequeña cantidad de plata y se precipita en el electrolito como cloruro de plata (AgCl) mediante la adición de pequeñas cantidades de Cl- (HCl) del orden de 30 ppm. También, hay algo de co – depositación de Ag en el cátodo. S, Se y Te: estos elementos se encuentran en los ánodos como seleniuros, teluros y sulfuros de cobre y plata, muy refractarios a la disolución (tienen E0 entre 0,5 y 0,6 V), por lo tanto no se disuelven y pasan directamente al barro anódico. As, Sb y Bi: estos metales tienen un E0 inferior al E0 del Cu (As 0,25 – Sb 0,21 y Bi 0,32 V), por lo tanto se disuelven y se comportan de la manera siguiente:  Una parte precipita como arsenatos de Sb y Bi, los cuales si quedan en suspensión contaminan el cátodo y el resto decanta al barro anódico.  La parte que queda en el electrolito es eliminada en los circuitos de purificación del electrolito. Fe, Co y Ni: estos metales tienen un E0 inferior al E0 del Cu (Fe -0,44 – Co -0,28 y Ni -0,25 V), por lo tanto se disuelven, pasan al electrolito, no se co depositan en el cátodo y son eliminados en el circuito de purificación. Pb: tiene un E0 =-0,13 V, por lo tanto se disuelve, precipita como PbSO4 y pasa al barro anódico.
  • 166.
    HIDROMETALURGIA IMIN316 –2014 - Germán Cáceres Arenas Página 166 9.5. Tratamiento de barros anódico Los barros anódicos son precipitados que se encuentran en el fondo de las celdas de ER Cu. Se generan del orden de 1 a 1,5 kg/T cátodo y en este estado original se denominan barros anódicos crudos (BAC). La composición de los barros anódicos crudo es la siguiente: Cu 10 – 35 % Ag 10 – 45 % Au 0,5 – 2,0 % Se 5 – 15 % As 2 – 5 % Sb 2 – 10 % Te 0,5 – 5 % MPt 50 – 100 ppm Ox.Refr. 1 – 2 % (SiO2, CaO, Al2O3) Etapas del proceso Las etapas del proceso de tratamiento de los barros anódicos son las siguientes: 1. Recepción y descobrización: lixiviación BAC con H2SO4, vapor y aire. 2. Deselenización: tostación sulfatante BAD con H2SO4, reducción SeO2 y purificación Se. 3. Fusión en horno doré: calcina descobrizada y deselenizada a fusión en HD y obtiene ánodo de metal doré: Ag=94-97 %, Au=1-3 %, Cu=0,1-0,5 %, MPt: menores. 4. Electro refinación de Ag y Au y recuperación de MPt (Pt, Pd).
  • 167.
    HIDROMETALURGIA IMIN316 –2014 - Germán Cáceres Arenas Página 167 1. Recepción y Descobrización: lixiviación BAC con H2SO4, vapor y aire. • BAC + Electrolito (350 m3/día) (total electrolito planta = 5.000 m3) • 3 estanques cónicos de recepción 20 m3 c/u • 1 estanque rectangular pulmón de 12 m3 • BAC: 15% Cu, 35% Ag, 2% Au • Decanta el BAC y electrolito claro retorna a refinería con bomba de 23 m3/h • BAC decantado a 2 estanques cónicos lixiviadores batch de 3,5 m3. • Capacidad tratamiento 750 Kg de BAC por cada ciclo de operación de 12 h. • Agrega vapor + aire. • Pulpa a filtro a presión separa BAD (Barro Anódico Descobrizado) y solución de CuSO4 a planta de sulfato. • BAD 12 % humedad, 1% Cu, 41% Ag, 2,3% Au a 1 capacho a planta de deselenización. 2. Deselenización  Preparación mezcla BAD + Solución desargentización (40 g/L Ag) + H2SO4 + tierra de kieselgur, en estanque de 1 m3. Ciclo 8 h/carga.  Recepción de mezcla y vaciado en bateas de tostación (12 bateas por cada horno).  Horno de tostación a 600 ºC, SeO2 (g).  Estanque de circulación y decantación de selenio a 80ºC con solución de H2SO4 300 g/L.  Filtro prensa para separación de Se 98%.  Calcina a horno doré (HD), 37% Ag, 2% Au, 0,8% Cu.
  • 168.
    HIDROMETALURGIA IMIN316 –2014 - Germán Cáceres Arenas Página 168 3. Fusión de calcina en Horno Doré (Cu-Au-Ag)  Preparación de mezcla calcina + bórax + salitre (en oxidación) + Na2CO3 + carbón + precipitados de Ag.  Horno Doré: 5,4 t de carga por batch a 1.200 ºC, 1 quemador de acero a petróleo 30 L/h + aire.  Fusión: escoria de fusión, elimina As, Sb, Pb, Fe y SiO2. Retorna a fundición (de cobre). Contiene 2% Ag y 0,05% Au.  Oxidación: escoria oxidación elimina Cu y Te. Contiene 4% Ag y 0,4% Au. Se recicla en el mismo horno o retorna a fundición.  Metal doré: a moldeo de ánodos, 95% Ag, 4% Au, peso ánodos 10 kg. Van a electrólisis de plata.  5 t de calcina en 3 días. 4. Electro refinación de Plata (Moebius)  Anodo de metal doré (metal doré de Codelco 98% Ag, 1% Au) a cuba electrolítica.  Cristales de plata. Lavado con agua caliente y filtrado.  Cristales de plata a horno de inducción, capacidad 120 kg/h.  Granallado. Granalla de plata 99,98% Ag.  Agua de lavado retorna a cuba electrolítica.  Solución de filtrado va a cementación con NaCl y Fe. El precipitado a horno doré.  Barro aurífero a filtro de vacío. Barro anódico a tratamiento. Solución a cuba de cementación.  Resto ánodo a horno inducción para ánodo metal doré.
  • 169.
    HIDROMETALURGIA IMIN316 –2014 - Germán Cáceres Arenas Página 169 5. Tratamiento de barro aurífero crudo (barro anódico electrólisis de plata) • Barro aurífero crudo (30% Ag, 65% Au) + H2SO4 concentrado a lixiviación a 160 ºC, en estanque de lixiviación cilíndrico cónico (lixiviadores PF AUDLER) de 100 kg. Ciclo 48 h. Reactores envidriados interiormente. • Barro lixiviado 98% Au, 1% Ag a horno de inducción de 120 kg/h, moldeo de ánodos de oro 98% Au, 1% Ag, peso 1,8 kg a electrólisis de oro. • Solución de desargentización a planta de selenio. • A horno de inducción circulante de electrólisis de oro (98% Au, 1% Ag). 5. Electrólisis de oro. Electro refinación de oro.  Anodos de oro (98% Au, 1% Ag) y cátodos iniciales.  Celda de electrólisis a 70 ºC calentada con aceite.  Electrolito: 130 g/L Au, 130 g/L HCl.  Cátodo: lámina inicial oro electrolítico  Densidad de corriente = 1.000 A/m2.  Cátodos de oro: 99,99% Au a horno de inducción, moldeo de barras, pesaje y venta 99,99 % Au. Barritas a laminación para cátodos iniciales.  Resto de ánodos a moldeo de ánodos.  Barro anódico y electrolito a filtración. Barro anódico + agua regia a cementación AgCl.  Solución a cuba de precipitación con FeSO4. Filtración en filtro buncher. Precipitado de oro retorna a barro anódico.  Solución a precipitación con Zn. Filtración. Precipitado es un concentrado de Pt y Pd (7% Pt, 38% Pd), 500 kg desde que partió la planta en 1966. Ciclo 24 h. Solución a descarte.