V2 Junio 2012 Página 1/2
Proceso: COLABORADORES Código: OFIN-AIT-P01
Dirección:
Jefatura OFIN
Departamento:
AIT
Responsables:
Jefes de área
1. Descripción:
Establecer las normas y procedimientos para el programa de
evaluación de colaboradores, en concordancia con la política de
recursos humanos y requerimientos de la institución.
2. Clientes: Áreas diversas de OFIN - AIT.
3. Proveedores: Unida de Personal -UPER.
4. Resultados:
Colaborador con perfil técnico, habilidades y competencias
acordes con las necesidades de la institución.
5. Insumos: Perfiles de los puestos, cuestionarios de evaluación, políticas.
6. Normas:
Código Nombre
OFIN-AIT-P01-N01 Selección de colaboradores
OFIN-AIT-P01-N02 Evaluación del desempeño
OFIN-AIT-P01-N03 Retiro de colaboradores
7. Indicadores:
Código Nombre
OFIN-AIT-P01-I01 Evaluación del desempeño
OFIN-AIT-P01-I02 Logro de metas
V2 Junio 2012 Página 2/2
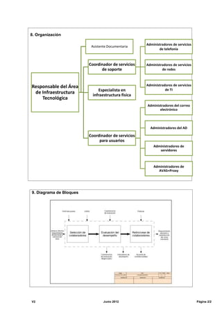
8. Organización
9. Diagrama de Bloques
Responsable del Área
de Infraestructura
Tecnológica
Asistente Documentaria
Coordinador de servicios
de soporte
Administradores de servicios
de telefonía
Administradores de servicios
de redes
Administradores de servicios
de TIEspecialista en
infraestructura física
Coordinador de servicios
para usuarios
Administradores del correo
electrónico
Administradores del AD
Administradores de
servidores
Administradores de
AVAS+Proxy
TÍTULO CÓDIGO VERSIÓN PÁGINA
SELECCIÓN DE COLABORADORES OFIN-AIT-P01-N01 3 1 de 5
1. OBJETIVOS
Detallar el perfil técnico-profesional de las diferentes especialidades que son requeridas para garantizar la
continuidad operativa del Área de Infraestructura Tecnológica de la Oficina de Informática del Ministerio de
Educación.
Optimizar los grados de eficiencia del personal mediante un adecuado proceso de selección, asignación de
funciones e inducción.
Contribuir a la idoneidad técnica y profesional de los especialistas.
2. ALCANCE
Los coordinadores de los equipos Centro de Datos y Configuración y Activos del Área de Infraestructura
Tecnológica de la Oficina de Informática son los encargados de ejecutar esta norma.
El responsable del Área de Infraestructura Tecnológica de la Oficina de Informática es el encargado de
controlar el cumplimiento de esta norma.
La Jefatura de la Oficina de Informática es la encargada de supervisar el cumplimiento de esta norma.
3. NORMAS A CONSULTAR
Procedimiento de contrataciones de la UPER del Ministerio de Educación.
Manual de operaciones de la Oficina de Informática: ORGANIZACIÓN Y FUNCIONES.
OFIN-AIT-P01-N02, Evaluación del desempeño.
4. DEFINICIONES
Centro de datos - Data Center. Es un edificio o porción de un edificio cuya función principal es albergar un
cuarto de cómputo y sus áreas de soporte a la infraestructura. (TIA/EIA-942 2.2 Definición de Términos). El
cuarto de cómputo es lo que denominamos comúnmente la sala de servidores. Las ambientes de soporte a
la infraestructura son el cuarto del grupo electrógeno, sala de transformadores y tableros de distribución de
energía eléctrica, sistemas para la provisión ininterrumpida de energía eléctrica -UPS, sistema de
calefacción, ventilación y aire acondicionado - HVAC, sistema de protección contra incendio, otros.
ELABORADO POR: REVISADO POR: APROBADO POR: FECHA
Jack Daniel Cáceres Meza Sonia Quito Walter Escajadillo
TÍTULO CÓDIGO VERSIÓN PÁGINA
SELECCIÓN DE COLABORADORES OFIN-AIT-P01-N01 2 2 de 5
Mesa de servicios - Service Desk. Parte integral del Soporte de Servicios según ITIL. Integra los procesos
de negocio en la Administración de los Servicios de Infraestructura. Es la cara al cliente y al usuario; centra
sus objetivos principales en manejar y mejorar el servicio para y en nombre del negocio. A nivel operacional,
su objetivo es proveer un único punto de contacto (SPOC) para aconsejar, guiar y restaurar rápidamente los
servicios normales de sus clientes y usuarios. Para el caso de la institución, es una ubicación física central,
que coordina las llamadas de los usuarios de múltiples ubicaciones y provee el soporte técnico para resolver
incidencias.
Incidente: es una condición de operación del servicio. Se refiere a la interrupción no planificada de un
servicio de TI o reducción en la calidad de un servicio de TI. También lo es el fallo de un elemento de
configuración que no ha impactado todavía en el servicio. (ITIL® Glossary v01, 1 May 2006: Acronyms).
INFORMATION TECHNOLOGY INFRASTRUCTURE LIBRARY (ITIL) Biblioteca de Infraestructura de
Tecnologías de Información: conjunto de mejores prácticas para la Gestión de servicios de TI. ITIL consiste
en una serie de publicaciones que aconsejan sobre la provisión de Servicios de TI de Calidad, y sobre los
procesos y las instalaciones necesarias para soportarlos. (itil.con.uk/).
Colaboradores: trabajadores que mantienen una relación laboral con la institución mediante cualquiera de
las opciones legales vigentes.
Coordinadores: colaboradores especialistas que tienen a cargo la supervisión de otros colaboradores y son
responsables de la operatividad de un departamento o especialidad.
5. CONDICIONES BÁSICAS
La Jefatura de la Oficina de Informática autoriza la solicitud presentada por los coordinadores de equipo
para incorporar personal en modalidad CAS.
La UPER es la encargada de proveer, previa pre-calificación de postulantes, los candidatos para la
selección de colaboradores.
Los profesionales son requeridos de las diferentes especialidades afines a la tecnología de la información.
En el documento OFIN-AIT-P01-F01, Perfil del puesto, se detalla el perfil técnico-profesional exigido a estos
profesionales.
En el documento OFIN-AIT-P01-F01, Perfil del puesto, se detallan las condiciones de contratación del
profesional requerido.
La UPER emplea el documento OFIN-AIT-P01-F01, Perfil del puesto, como insumo para preparar la
convocatoria respectiva.
Las convocatorias se publican en la página Web del Ministerio de Educación.
La UPER informa a la Jefatura de la Oficina de Informática el nombre completo del candidato que ha
ocupado el primer puesto en la evaluación de mérito.
Mesa de Servicios procesa su ingreso (registro, habilitación de recursos, creación de cuentas, contraseñas
y accesos).
6. CONDICIONES ESPECÍFICAS
Los candidatos deben estar previamente calificados por la UPER sobre la base del perfil técnico-profesional
que se aplica a la función para la que está postulando.
El perfil se encuentra detallado por puesto en el documento OFIN-AIT-P01-F01, Perfil del puesto.
De ser necesario, la Oficina de Informática puede confeccionar un nuevo perfil de puesto teniendo como
ejemplo el documento anterior.
TÍTULO CÓDIGO VERSIÓN PÁGINA
SELECCIÓN DE COLABORADORES OFIN-AIT-P01-N01 3 3 de 5
Los coordinadores efectúan las evaluaciones técnicas y realizan las entrevistas previas que sean
necesarias a los postulantes pre-calificados y preparan un orden de mérito.
El coordinador y el responsable del área eligen por consenso el candidato y elevan su propuesta a la
Jefatura de la Oficina de Informática.
Esta propuesta es avalada, autorizada u observada y rechazada, según el caso, por la Jefatura de la Oficina
de Informática.
En caso de observaciones, se procederá a una nueva evaluación en los siguientes casos:
 Cuando la observación recae sobre el proceso de selección.
 Cuando la observación recae sobre el perfil técnico-profesional requerido.
Entre la fecha de informe a la UPER y la fecha requerida de ingreso del colaborador debe existir un intervalo
no menor de cinco días útiles.
Como requisito previo para ser incorporados a la institución, todos los colaboradores que ingresan
a las áreas indicadas en el Alcance están obligados a firmar el documento OFIN-AIT-P01-F04,
Acuerdo de confidencialidad o documento similar establecido por el Ministerio de Educación.
Este Acuerdo de confidencialidad estipula, entre otros puntos, compromiso claro y específico para respecto
a la divulgación de información sensible para el Ministerio de Educación, sujeto a responsabilidad y
acciones judiciales si el caso lo amerita. El Ministerio de Educación es responsable de clasificar la
información como tal y tratarla en consecuencia.
Todo colaborador que se incorpora a las áreas indicadas en el Alcance está sujeto a las siguientes
condiciones:
 Inducción de un día y hora a determinar por el gerente del área en la primera semana de labores.
Esta inducción puede ser dada por el gerente o el coordinador del área solicitante.
 Capacitación durante las dos primeras semanas de labores, como máximo. Esta capacitación puede
darse con material específicamente preparado o por intermedio del colaborador que le sea asignado
para este fin en las funciones que le competen.
 El colaborador que ingrese para administrar algún servicio será catalogado como Senior o Junior, de
acuerdo con sus competencias y experiencia local.
 Laborar en el horario que se le ha asignado.
 Atender por demanda en los turnos que sean asignados, en adición al horario laboral asignado.
 Un periodo de evaluación de dos meses para colaboradores y de seis para coordinadores. Durante
este periodo la evaluación es constante.
 Quince días antes del término del periodo de evaluación se efectuará una evaluación de
desempeño según la norma OFIN-AIT-P01-N02. De esta evaluación se obtendrán recomendaciones
para la continuidad laboral del colaborador o su cese definitivo.
7. DESCRIPCIÓN DEL PROCEDIMIENTO
NRO ACCIÓN RESPONSABLE
7.1 Solicita al jefe inmediato la incorporación de un nuevo colaborador. Coordinador del área
solicitante
7.2 De comprobar la necesidad, solicita la autorización de la jefatura
correspondiente.
Responsable del área
7.3 Autoriza el requerimiento de personal. Jefe de OFIN
TÍTULO CÓDIGO VERSIÓN PÁGINA
SELECCIÓN DE COLABORADORES OFIN-AIT-P01-N01 2 4 de 5
NRO ACCIÓN RESPONSABLE
7.4 Efectúa el requerimiento a la UPER con el documento OFIN-AIT-P01-F01,
Perfil del puesto, correspondiente al puesto requerido.
Jefe de OFIN
7.5 Publica la convocatoria en la página Web institucional. UPER
7.6 Elige aquellos postulantes que cumplen con los requisitos indicados en el
documento OFIN-AIT-P01-F01, Perfil del puesto.
UPER
7.7 Recibe de la UPER la relación de postulantes pre-calificados. Coordinador del área
solicitante
7.8 Efectúa las evaluaciones técnicas y realiza las entrevistas que sean
necesarias.
Coordinador del área
solicitante /
Responsable del área
7.9 Presentan los resultados de la evaluación al Jefe de OFIN. Coordinador del área
solicitante /
Responsable del área
7.10 Informa a la UPER sobre las evaluaciones realizadas.
La fecha de ingreso debe ser posterior a la del informe al menos cinco
días útiles.
Jefe de OFIN
7.11 Ejecuta el proceso de ingreso. UPER
7.12 Informa al Jefe de OFIN que el proceso de ingreso ha terminado con éxito
y, por tanto, el nuevo colaborador se incorporará en la fecha solicitada y
no tendrá problemas para iniciar sus labores.
UPER
7.13 Solicita a Mesa de Servicios la habilitación de recursos, creación de
cuentas, contraseñas y accesos, inducción y capacitación.
Coordinador del área
solicitante
7.14 Confirma creación de cuentas, contraseñas y accesos según solicitud. Mesa de Servicios
8. REGISTROS
Los registros empleados son los siguientes:
OFIN-AIT-P01-F01 Perfil del puesto.
OFIN-AIT-P01-F02 Evaluación del desempeño.
OFIN-AIT-P01-F03 Solicitud de retiro o cese.
OFIN-AIT-P01-F04 Acuerdo de confidencialidad.
TÍTULO CÓDIGO VERSIÓN PÁGINA
SELECCIÓN DE COLABORADORES OFIN-AIT-P01-N01 3 5 de 5
9. ANEXOS
Organización:
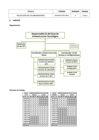
Horarios de trabajo:
Inicio Fin AC AR AT AB AC AR AT AB Inicio Fin AC AR AT AB AC AR AT AB
08:00 09:00 X X X X 08:00 09:00 X X X X
09:00 10:00 X X X X 09:00 10:00 X X X X
10:00 11:00 X X X X 10:00 11:00 X X X X
11:00 12:00 X X X X 11:00 12:00 X X X X
12:00 13:00 X X X X X X X X 12:00 13:00 X X X X X X X X
13:00 14:00 X X X X X X X X 13:00 14:00 X X X X
14:00 15:00 X X X X X X X X 14:00 15:00 X X X X
15:00 16:00 X X X X X X X X 15:00 16:00 X X X X
16:00 17:00 X X X X X X X X 16:00 17:00 X X X X
17:00 18:00 X X X X 17:00 18:00
18:00 19:00 X X X X 18:00 19:00
19:00 20:00 X X X X 19:00 20:00
20:00 21:00 X X X X 20:00 21:00
8 8 8 8 8 8 8 8 5 5 5 5 5 5 5 5
Horas Administradores de servicios
Sábado Senior Junior
Efectivas Efectivas
Senior Junior
Administradores de serviciosHoras
Lu-Vi
TÍTULO CÓDIGO VERSIÓN PÁGINA
EVALUACIÓN DEL DESEMPEÑO OFIN-AIT-P01-N02 3 1 de 8
1. OBJETIVOS
Apreciar el desenvolvimiento del colaborador en el cargo y su potencial desarrollo.
Analizar el grado de cumplimiento real de las funciones por parte del colaborador, en relación con aquellas
que fueron indicadas para el cargo.
Analizar las causas que originan situaciones insatisfactorias en el cumplimiento de las funciones.
2. ALCANCE
Las áreas solicitantes son las encargadas de ejecutar esta norma, según se indica en la norma OFIN-AIT-
P01-N01, Selección de colaboradores.
3. NORMAS A CONSULTAR
OFIN-AIT-P01-N01, Selección de colaboradores.
4. DEFINICIONES
Evaluación del desempeño: es un sistema de apreciación del desenvolvimiento del individuo en el cargo y
su potencial desarrollo. Es enfocarse tanto en el “qué lograr” (objetivos, resultados) como en el “cómo
lograrlo” (competencias). Es una oportunidad para propiciar el mejoramiento de las condiciones personales
y laborales de los colaboradores, que redunde en el mejoramiento continuo en el que está empeñada la
organización. Para el evaluado implica y exige capacidad de autocrítica con el fin de mejorar en su trabajo y
para el evaluador, que esté más cerca de sus colaboradores, conociendo lo que hacen y cómo lo hacen.
Competencias: son aquellos conocimientos, experiencia, habilidades o actitudes que son necesarios para
desempeñar eficazmente las funciones asignadas a una persona en una organización. Son observables
mediante conductas o resultados, y permiten conseguir los objetivos planteados para cada persona.
Mediciones del desempeño: son los sistemas de calificación de cada labor. Deben ser de uso fácil, ser
confiables y calificar los elementos esenciales que determinan el desempeño. Las observaciones del
desempeño pueden llevarse a cabo en forma directa (cuantitativa para eliminar subjetividades) o indirecta
(exámenes escritos, simulaciones, otros).
Estándares de desempeño: constituyen los parámetros que permiten mediciones más objetivas. Se
desprenden en forma directa del análisis de puestos, que pone de relieve las normas específicas de
desempeño mediante el análisis de las labores. Basándose en las responsabilidades y labores en la
descripción del puesto, el analista puede decidir qué elementos son esenciales y deben ser evaluados en
todos los casos. Cuando se carece de esta información, los estándares pueden desarrollarse a partir de
observaciones directas sobre el puesto o conversaciones directas con el jefe inmediato.
ELABORADO POR: REVISADO POR: APROBADO POR: FECHA
Jack Daniel Cáceres Meza Sonia Quito Walter Escajadillo
TÍTULO CÓDIGO VERSIÓN PÁGINA
EVALUACIÓN DEL DESEMPEÑO OFIN-AIT-P01-N02 1 2 de 8
5. CONDICIONES BÁSICAS
La evaluación comprende a todos los colaboradores que desempeñan cargos profesionales, técnicos,
auxiliares y otros con antigüedad mayor a dos periodos continuos de contratación.
Se considera que aquellos colaboradores que tengan menos de un periodo de contratación estarán en
proceso de adaptación o, con menos de tres meses, en periodo de prueba.
La evaluación se realizará 15 días hábiles antes de finalizar el periodo de contratación del colaborador.
Se empleará el documento OFIN-AIT-P01-F02, Ficha de evaluación del desempeño -en adelante, la
evaluación.
Esta evaluación deberá ser diligenciada en su totalidad, firmada por el coordinador o jefe inmediato que
evalúa -en adelante, el evaluador- y el colaborador sujeto de evaluación -en adelante, el evaluado- y,
finalmente, ratificada por el jefe inmediato superior.
Las evaluaciones se consideran información confidencial y solamente de uso y beneficio exclusivo para la
institución y el propio colaborador, por lo que no se proporcionarán copias a terceros sin autorización
expresa y por escrito de la UPER y del Jefe de OFIN.
Se persiguen dos objetivos:
 Primero, que después de cada evaluación se formalicen compromisos mutuos entre la institución y
el colaborador, con el propósito de mejorar el desempeño futuro de éste último.
Este compromiso quedará establecido en la entrevista de evaluación.
 Segundo, eliminar los elementos culturales de la evaluación, tanto de evaluados como de
evaluadores.
Estos elementos culturales se dan porque el colaborador de determinado grupo tiende a pensar que
las prácticas, creencias, tradiciones, etc., de su propio grupo son las mejores, y no aceptan las
prácticas y creencias de otros grupos por considerarlas "atrasadas", "inoperantes" o "peligrosas".
Este fenómeno recibe el nombre de ETNOCENTRISMO, y se puede definir como la tendencia a
considerar que los propios valores son siempre los mejores. Todo evaluador del desempeño tiene
determinadas expectativas sobre la conducta del colaborador que debe evaluar, así como todo
evaluado tiene determinadas expectativas sobre su conducta. Gran parte de esas expectativas se
basan en elementos culturales.
6. CONDICIONES ESPECÍFICAS
El procedimiento general es como sigue:
 La Jefatura de OFIN indica la fecha de inicio y término de la evaluación y entrega la documentación
necesaria -evaluación (documento OFIN-AIT-P01-F02, Ficha de evaluación del desempeño).
 El evaluado realiza inicialmente su propia evaluación. La evaluación, debidamente diligenciada, es
entregada al evaluador dentro de los cinco días hábiles siguientes a la recepción de la
documentación.
 Esta evaluación es revisada por el evaluado en conjunto con el evaluador para alcanzar un
consenso que permita definir, por acuerdo mutuo, el establecimiento de las metas prioritarias y los
resultados que se pretenden lograr en el periodo establecido. Esta revisión se realiza dentro de los
cinco días hábiles siguientes a la recepción de la documentación por el evaluador. A esta revisión
se le denomina entrevista de evaluación.
 El evaluador efectúa la calificación correspondiente y entrega los resultados y las fichas a la jefatura
dentro del plazo indicado por la jefatura.
 La Jefatura de OFIN valida los datos y calificación recibidos, efectúa el registro y salvaguarda el
material correspondiente.
TÍTULO CÓDIGO VERSIÓN PÁGINA
EVALUACIÓN DEL DESEMPEÑO OFIN-AIT-P01-N02 3 3 de 8
Se toman como base los resultados de la evaluación para:
 Establecer las recomendaciones y medidas correctivas directas que permitan mejorar el desempeño
de la persona evaluada (por ejemplo, facilidades de capacitación, etc.).
 Establecer las pautas y medidas correctivas para mejorar el entorno de trabajo en el cual se
desenvuelven los colaboradores.
 Establecer elementos de juicio sobre los cuales se basarán eventuales medidas laborales y
contractuales (ascenso, incremento de remuneración, facilidades de trabajo, sanciones, cese de la
relación laboral, otros).
6.1. De la ficha de evaluación
El documento OFIN-AIT-P01-F02, Ficha de evaluación del desempeño, la evaluación, consta de los
siguientes apartados los cuales deben ser debidamente diligenciados en su totalidad:
 Datos básicos de identificación, como son los nombres y apellidos completos del colaborador
evaluado y del coordinador evaluador; fecha de la entrevista de evaluación.
 Evaluación propiamente dicha, como la escala de cumplimiento, preguntas de aseguramiento, otros.
 Comentarios del colaborador evaluado, donde el colaborador sujeto de evaluación podrá incluir
comentarios positivos o negativos, acuerdos o desacuerdos, respecto al proceso de evaluación del
que fue objeto.
 Comentarios del coordinador evaluador, que es el responsable directo de la evaluación y quien
deberá ser congruente y equitativo al describir, con base en las aportaciones documentadas que
reflejen el puntaje otorgado, las actividades relevantes del colaborador evaluado; así como algunas
acciones significativas aportadas por el mismo que tengan incidencia directa en los procesos de
trabajo.
 Firmas autógrafas del evaluado, del evaluador y del jefe inmediato del evaluador. Esto confiere
validez a la ficha de evaluación.
6.2. De los aspectos a calificar en el colaborador
Logro de resultados: se refiere tanto a la calidad y cantidad de los resultados del trabajo que realiza, como
el cumplimiento de los objetivos y metas trazadas en las fechas programadas.
Iniciativa: grado en que logra identificar, prever y solucionar adecuadamente los problemas y/o efectuar
mejoras en la forma de desarrollar su trabajo, sin necesidad de ayuda o supervisión constante.
Relaciones interpersonales: grado en que logra establecer y desarrollar relaciones armónicas, eficaces y
constructivas con los compañeros, superiores y sobre todo con los clientes ya que son ellos los que
califican su actitud.
Actitud de servicio: grado en que logra y estimula a los demás a responder adecuada y oportunamente a las
necesidades de las personas con quien interactúa, sean clientes o personal de la empresa.
Trabajo en equipo: grado en que participa y promueve la formación de equipos de trabajo, para el mejor
logro de los resultados de la empresa.
Disponibilidad: grado en que asume la responsabilidad para el logro de los resultados de la empresa.
Administración del tiempo: grado en que logra utilizar eficazmente su tiempo y respeta el de las personas
con quienes interactúa, programando y controlando adecuadamente sus propias actividades.
Disciplina personal: grado en que cumple con las normas de puntualidad, asistencia y discreción en el
manejo de la información con que trabaja; además de su presentación personal acorde al puesto que
desempeña.
TÍTULO CÓDIGO VERSIÓN PÁGINA
EVALUACIÓN DEL DESEMPEÑO OFIN-AIT-P01-N02 1 4 de 8
Disciplina del trabajo: grado en que cumple con las normas, políticas y procedimientos establecidos para la
ejecución del trabajo.
Conocimiento del trabajo: disposición y esfuerzo que realiza por aumentar en conocimiento de los diferentes
elementos que integran tanto su propio trabajo, como el de las demás personas de la empresa.
Liderazgo: grado en que logra coordinar, motivar y desarrollar eficazmente a sus colaboradores, utilizando
la autoridad con responsabilidad para obtener respeto y confianza.
Comunicación: grado en que mantiene un intercambio eficiente, ordenado y sistemático de información con
quienes interactúa, para facilitar el logro de los resultados comunes.
Otros: calidad de trabajo; iniciativa e interés; espíritu de colaboración; disciplina y responsabilidad; cuidado
en el uso de bienes y equipos; rapidez en el trabajo; seguridad e higiene industrial; planificación y
organización; toma de decisiones; análisis crítico; orientación a los resultados.
6.3. De la entrevista de evaluación
El propósito de la entrevista de evaluación es que el jefe inmediato (evaluador) y el colaborador (evaluado)
tengan la oportunidad de:
 Revisar el grado de cumplimiento de las metas establecidas al inicio del ejercicio.
 Discutir, en el marco de una atmósfera cordial, acerca de las actividades que se han desarrollado
correctamente, aquellas donde se han encontrado problemas y acordar las soluciones. El evaluador
deberá tratar de hacer un balance entre los reconocimientos al trabajo bien desarrollado y las áreas
de mejora. Toda crítica deberá realizarse de manera constructiva y encontrarse sustentada con
ejemplos.
 Comentar acerca de programas a corto y mediano plazo, de acuerdo con las prioridades del área y
de la empresa misma.
 Identificar medidas que puedan ayudar a mejorar el desempeño.
 Revisar las necesidades de desarrollo y proponer las acciones internas a seguir.
 Acordar las metas para el siguiente ejercicio.
La entrevista será más efectiva si se prepara en forma estructurada pero relativamente informal, por lo que
se sugiere:
 Programar y preparar la entrevista.
 Avisar con suficiente tiempo al evaluado (al menos con 48 horas de anticipación).
 Especificar a cada evaluado que la sesión de evaluación es para mejorar el desempeño.
 Realizar la sesión en privado y con un mínimo de interrupciones.
 Ser lo más específico posible, evitando las vaguedades.
 Centrar los comentarios (positivos y negativos) en el desempeño y no en la persona.
 Identificar y explicar las acciones específicas que el evaluado puede emprender para mejorar su
desempeño.
 Concluir la sesión destacando los aspectos positivos del evaluado, ofreciendo su ayuda para que el
evaluado pueda lograr las metas fijadas.
A continuación, se presentan algunas reglas básicas para la entrevista:
 La entrevista de evaluación será de mayor provecho si se toma como una oportunidad para
aconsejar y ayudar al evaluado, procurando crear un diálogo donde se desarrollen nuevas ideas y
TÍTULO CÓDIGO VERSIÓN PÁGINA
EVALUACIÓN DEL DESEMPEÑO OFIN-AIT-P01-N02 3 5 de 8
se alimente el interés mutuo; detectando, al mismo tiempo, aquellas áreas donde se presenten
problemas.
 Los problemas detectados deberán ser comentados abiertamente, identificando claramente las
áreas de mejora.
 Para el logro de lo anterior, es de gran importancia que se estimule al evaluado para que exprese
sus puntos de vista y conclusiones, en lugar de que el evaluador imponga los suyos propios. Los
problemas deberán ser abordados con el objeto de resolverlos conjuntamente, y no para culpar al
evaluado, disminuyendo así temores que puedan perjudicar las relaciones entre el evaluado y el
evaluador.
6.4. Del procedimiento para la definición de metas
El proceso de definición de metas consiste en el establecimiento anticipado de resultados observables y
medibles que se desean alcanzar en forma programada, con la intención de cumplir con los objetivos
prioritarios, precisos y de impacto en resultados propuestos para el área en el periodo de tiempo establecido
o acordado.
El propósito fundamental del establecimiento y definición de metas es la medición de logros específicos, ya
que éstos deben arrojar datos cuantificables que permitan verificar el avance y/o resultados obtenidos, y
proveer la retroalimentación necesaria para efectuar las correcciones que sean requeridas.
Para la definición de metas que propongan tanto el jefe inmediato como el colaborador, mediante las cuales
se habrá de medir el grado de avance del trabajo por desarrollar y el cumplimiento de los objetivos
preestablecidos, se recomiendan las siguientes reglas:
 Establezca cada meta de de manera precisa y cuantificable.
 Redacte claramente las metas, tomando en cuenta, para tal efecto, lo siguiente:
 Use un verbo activo que haga hincapié en la realización, por ejemplo: analizar, revisar, elaborar,
apoyar, etc.
 Determine un resultado específico que pueda medirse tanto de manera cuantitativa como
cualitativa.
 Especifique un tiempo o fecha límite para alcanzar la meta.
 Mencione únicamente las metas establecidas y la fecha de realización, haciendo caso omiso del
por qué y el cómo.
 Procure que las metas sean retadoras pero alcanzables.
 Confronte la definición de las metas con las políticas existentes y los procedimientos de la
organización; en caso de conflicto, modifique las metas que no concuerden.
 Discuta su borrador de metas con el borrador de su personal hasta alcanzar un consenso que
permita definir, con un acuerdo mutuo, el establecimiento de las metas prioritarias y los resultados
que se pretenden lograr, ya que las metas serán viables en la medida en que cuenten con el
compromiso personal del colaborador responsable de su realización.
En resumen, al describir las metas, se deberá buscar que éstas:
 Estén diseñadas para fortalecer y mejorar el desempeño. Se fundamenten en las funciones
sustantivas del puesto que ocupan y contribuyan al logro de los objetivos de sus áreas
departamentales.
 Sean claras, objetivas y de fácil medición cuantitativa.
 Se establezcan para cumplirse en el período propuesto, con una revisión semestral, para dar
seguimiento a los logros, mediante su verificación o, en su caso, se realicen las mejoras
correspondientes.
TÍTULO CÓDIGO VERSIÓN PÁGINA
EVALUACIÓN DEL DESEMPEÑO OFIN-AIT-P01-N02 1 6 de 8
 Se dirija, al menos una meta, al desarrollo personal, con una orientación de beneficio para su área.
El evaluador, posterior a la entrevista de evaluación, deberá calificar el grado de cumplimiento que ha tenido
su colaborador para cada una de las metas.
6.5. De la retroalimentación
En la actualidad se debe aprender a enfrentar continuamente situaciones de cambio lo cual conlleva a una
rápida adaptación y también rápida recuperación de errores. Por ello, la retroalimentación se da en
cualquier momento.
La retroalimentación permite desarrollar el potencial humano de la empresa: el crecimiento de las personas
y el mejoramiento del desempeño. Evita la ansiedad de adivinar lo que piensan o esperan de uno. Puede
ser de dos tipos: de reafirmación (reconocimiento) y de reorientación (correctiva).
La retroalimentación alineada con los objetivos permite a los colaboradores saber que se percibe y se
aprecia lo bien que hacen o realizan alguna tarea o que, a pesar de que no se están desempeñando al nivel
esperado, se percibe y se aprecia su esfuerzo por mejorar. A continuación, algunas sugerencias para dar
una retroalimentación alineada con los objetivos:
 Sea específico.
 Lo más pronto posible.
 Hable públicamente.
 Diga cuál es la consecuencia positiva del hecho.
 No de retroalimentaciones de diferente tipo al mismo tiempo.
 Sea sincero.
La retroalimentación para alinear a los objetivos puede producir sorpresa, molestia, resistencia. El
colaborador que la recibe debe hacerlo con el mejor estado de ánimo, con confianza en quien la ofrece y en
uno mismo; considere que es un regalo, agradézcala. No se deben argumentar las causas o apreciaciones
sino proponer y desarrollar las soluciones. A continuación, algunas sugerencias para dar una
retroalimentación para alinear a los objetivos:
 No ataque a la persona.
 Hable sobre hechos específicos y sus consecuencias.
 Concéntrese en las soluciones.
 No acumule varias “reorientaciones”.
 Hágalo en privado.
 Háblele a nombre propio.
 Sea respetuoso y empático.
 Sea positivo.
 La retroalimentación no es castigo.
TÍTULO CÓDIGO VERSIÓN PÁGINA
EVALUACIÓN DEL DESEMPEÑO OFIN-AIT-P01-N02 3 7 de 8
7. DESCRIPCIÓN DEL PROCEDIMIENTO
NRO ACCIÓN RESPONSABLE
Evaluación programada del desempeño
7.1 Indica la fecha de inicio y término de la evaluación. Jefatura de OFIN
7.2 Realizan su evaluación personal sobre la base del documento
GER-PRD-P01-N01-F02, Ficha de evaluación del desempeño.
Todos los colaboradores
7.3 Entrega este documento debidamente diligenciado y en su totalidad,
conforme se indica en el numeral 6.1, a su jefe inmediato.
Colaborador
7.4 Recibe el documento, verifica que esté debidamente diligenciado y
completo, define el lugar, fecha y hora para la entrevista de evaluación
y se prepara para la misma conforme se sugiere en el numeral 6.4.
Jefe inmediato
7.5 Realizan la entrevista de evaluación.
La entrevista de evaluación debe llevarse a cabo conforme se sugiere
en el numeral 6.4.
Los aspectos a calificar se indican en el numeral 6.3.
Las metas deben definirse conforme se sugiere en el numeral 6.5.
Colaborador /
Jefe inmediato
7.6 Pre-califica el grado de cumplimiento que ha tenido su colaborador para
cada una de las metas y entrega los resultados y las fichas al gerente
del área.
Jefe inmediato
7.7 Recibe metas y busca desarrollarlas. Colaborador
7.7 Califica el grado de cumplimiento que ha tenido su colaborador para
cada una de las metas en conjunto con el Coordinador o Jefe inmediato
del colaborador y entrega los resultados y las fichas a la Jefatura de
OFIN.
Gerente del área
7.8 Valida los datos y calificación recibidos, efectúa el registro y
salvaguarda el material correspondiente.
Jefatura de OFIN
7.9 Procesa los resultados. Jefatura de OFIN
Retroalimentación
7.10 Elige el tipo de retroalimentación que requiere dar: de reafirmación
(alineada al objetivo) o de reorientación (para alinear al objetivo).
Jefe inmediato
7.11 El colaborador recibe la retroalimentación elegida. Jefe inmediato
7.12 Si la retroalimentación es de reafirmación, es apreciado por su esfuerzo
y desempeño.
Colaborador
7.13 Si la retroalimentación es de reorientación, la recibe positivamente y
busca mejorar.
Colaborador
TÍTULO CÓDIGO VERSIÓN PÁGINA
EVALUACIÓN DEL DESEMPEÑO OFIN-AIT-P01-N02 1 8 de 8
8. REGISTROS
Los registros empleados son los siguientes:
OFIN-AIT-P01-F02 Ficha de evaluación del desempeño.
9. ANEXOS
Ninguno
TÍTULO CÓDIGO VERSIÓN PÁGINA
RETIRO DE COLABORADORES OFIN-AIT-P01-N03 3 1 de 3
1. OBJETIVOS
Consolidar el retiro del colaborador, por motivos personales o su cese, por motivos laborales o
conductuales.
2. ALCANCE
Las áreas respectivas son las encargadas de ejecutar esta norma, según se indica en la norma OFIN-AIT-
P01-N01, Selección de colaboradores.
La Jefatura de la Oficina de Informática es la encargada de supervisar el cumplimiento de esta norma.
3. NORMAS A CONSULTAR
OFIN-AIT-P01-N01, Selección de colaboradores.
OFIN-AIT-P01-N02, Evaluación del desempeño.
4. DEFINICIONES
Ninguna.
5. CONDICIONES BÁSICAS
El área solicitante solicita a la Jefatura de OFIN el retiro del colaborador.
La UPER es la encargada de efectuar el retiro formal de un colaborador.
El área solicitante cursa el requerimiento a Mesa de Servicios para el bloqueo de cuentas, contraseñas y
accesos y la disposición de recursos, si fuera el caso.
6. CONDICIONES ESPECÍFICAS
El área que lo requiera solicita a la Jefatura de OFIN el retiro de un colaborador.
Para solicitar el retiro se emplea el documento OFIN-AIT-P01-F03, Solicitud de retiro o cese. En este
documento se registra el nombre completo del colaborador que se retira o del cual se solicita el cese, el
motivo correspondiente, la fecha efectiva de retiro acordada con el colaborador o de cese, en cuyo caso,
puede ser la misma de la solicitud.
ELABORADO POR: REVISADO POR: APROBADO POR: FECHA
Jack Daniel Cáceres Meza Sonia Quito Walter Escajadillo
TÍTULO CÓDIGO VERSIÓN PÁGINA
RETIRO DE COLABORADORES OFIN-AIT-P01-N03 1 2 de 3
Antes del retiro efectivo de la empresa, la Jefatura de OFIN debe recordar al colaborador el acuerdo de
confidencialidad (OFIN-AIT-P01-F01) que hubiera firmado cuando ingresó, así como su contenido. Este
recordatorio debe efectuarse de manera formal y debe quedar un registro firmado.
6.1. CONDICIONES PARA EL RETIRO
Todo colaborador que se retira de la empresa está sujeto a las siguientes condiciones, cuya observación y
cumplimiento son responsabilidad de la gerencia solicitante del retiro o cese:
 Devolución en buen estado de todo equipo, computadora, herramienta, utensilio o material
propiedad de la empresa.
Por buen estado se entiende que, en el momento de ser efectivo el retiro del colaborador, el bien
devuelto se encuentra en condiciones de seguir funcionando o el material, de poder ser utilizado.
No se considera desgaste por funcionamiento normal. Tampoco se considera mal funcionamiento o
mal estado siempre y cuando esta condición haya sido registrada previamente.
 Devolución de toda información, ya sea física o electrónica, a la que ha tenido acceso durante su
relación laboral o que ha sido provista por la empresa para el desarrollo de sus funciones.
 Entrega de una relación con todas las cuentas y contraseñas que empleó durante el desempeño de
sus funciones para acceder a los servicios o para utilizar herramientas, computadoras y otros
equipos, independientemente a si le fueron confiadas de manera expresa o no.
 Entrega de una relación que incluya los nombres de las empresas con las que ha tenido contacto
durante su relación laboral, el por qué es importante para la institución, qué servicios atiende,
nombres completos y cargos de los contactos establecidos en estas empresas, números de
teléfonos fijos y celulares, correo electrónico.
 Entrega de un informe detallado del estado en que deja la función bajo su responsabilidad.
7. DESCRIPCIÓN DEL PROCEDIMIENTO
NRO ACCIÓN RESPONSABLE
7.1 Solicita su retiro de la empresa.
De comprobar la necesidad, solicita el cese de un colaborador.
Colaborador
Coordinador /
Responsable del
área solicitante/
Jefe de OFIN
7.2 Informa a la Jefatura de OFIN el nombre completo del colaborador que se
retira o del cual se solicita el cese, el motivo correspondiente, la fecha
efectiva de retiro acordada con el colaborador o de cese, en cuyo caso,
puede ser la misma del informe.
Responsable del
área solicitante
7.3 Autoriza el retiro o cese del colaborador. Jefe de OFIN
7.4 Informa a la UPER sobre el retiro del colaborador. Jefe de OFIN
7.5 Asegura que el colaborador cumpla con las condiciones específicas para el
retiro detalladas en el numeral 6.1.
Coordinador del
área solicitante
7.6 Efectúa el retiro formal del colaborador conforme se indica en el numeral 5. UPER
TÍTULO CÓDIGO VERSIÓN PÁGINA
RETIRO DE COLABORADORES OFIN-AIT-P01-N03 3 3 de 3
NRO ACCIÓN RESPONSABLE
7.7 Informa a Mesa de Servicios sobre el retiro del colaborador Responsable del
área solicitante
7.8 Confirma bloqueo de cuentas, contraseñas y accesos, y disposición de
recursos según solicitud.
Mesa de Servicios
7.9 Recuerda al colaborador el acuerdo de confidencialidad (OFIN-AIT-P01-F01)
que hubiera firmado cuando ingresó, así como su contenido. Este
recordatorio debe efectuarse de manera formal y debe quedar un registro
firmado.
Responsable del
área solicitante
7.10 Confirma a la gerencia solicitante el retiro o cese del colaborador. UPER
8. REGISTROS
Los registros empleados son los siguientes:
OFIN-AIT-P01-F03 Solicitud de retiro o cese.
9. ANEXOS
Ninguno
V2 Junio 2012 Página 1/1
Proceso: OFIN-AIT-P01 Colaboradores
Área: Operaciones y Sistemas Dpto.: Centro de datos, Mesa de servicio
Indicador: OFIN-AIT-P01-I01
Rotación interna
Expresa:
Eficiencia X
Eficacia
Efectividad
Tipo:
Proceso X
Producto
Aprobado el: Aprobado por:
1. Definición:
Porcentaje en que las funciones vacantes son suplidas por personal interno.
RI=
∑ Solicitudes de traslado interno
∑ Total de solicitudes recibidas en un semestre
× 100
2. Objetivo
Establecer una línea de carrera para los colaboradores.
3. Niveles de Referencia
Aplica Cuál es o
debe serSI NO
Histórico X
Planificado X 90%
Estándar X
Diseño X
Competencia X
Estado del Arte X
4. Responsabilidad
Desviación
Responsabilidad
(¿A quién le corresponde
actuar?)
Real vs. Planificado Coordinador de equipo
Planificado vs. Estándar Responsable de unidad
Estándar vs. Diseño Jefe del área
Diseño vs. Estado del Arte
Real vs. Competencia
5. Subdivisión
Los datos a mostrar son:
 Rotación interna de Soporte Técnico Nivel 1 a Nivel 2.
 Rotación interna de Soporte Técnico Nivel 2 al Centro de Datos.
6. Puntos de lectura e instrumentos
Datos requeridos ¿Cómo se obtienen? ¿Dónde y cuándo se
observan?
¿Quién registra las
observaciones?
Solicitudes registradas Registro de solicitudes de las
áreas técnicas
Evaluaciones de
desempeño
Jefes / coordinadores
7. Periodicidad
Semanal Mensual Trimestral Semestral X Otro
8. Sistema de información y procesamiento de datos
Contabiliza el total de solicitudes de traslado interno entre las áreas de la organización o de un área en particular y lo divide
entre el total de solicitudes de traslado, interno o externo, de la organización.
V3 Octubre 2012 Página 1/1
Proceso: OFIN-AIT-P01 Colaboradores
Área: Operaciones y Sistemas Dpto.: Centro de datos, Mesa de ayuda
Indicador: OFIN-AIT-P01-I02
Logro de metas
Expresa:
Eficiencia
Eficacia X
Efectividad X
Tipo:
Proceso
Producto X
Aprobado el: Aprobado por:
1. Definición:
Porcentaje de logro de metas establecidas en las reuniones de evaluación de desempeño.
LM=
∑ Número de metas alcanzados con éxito
∑ Total acordado de metas por alcanzar con éxito
× 100
2. Objetivo
Establecer una línea de carrera para los colaboradores.
3. Niveles de Referencia
Aplica Cuál es o
debe serSI NO
Histórico X
Planificado X 95%
Estándar X 70%
Diseño X
Competencia X
Estado del Arte X
4. Responsabilidad
Desviación
Responsabilidad
(¿A quién le corresponde
actuar?)
Real vs. Planificado Coordinador de equipo
Planificado vs. Estándar Responsable de unidad
Estándar vs. Diseño Jefe del área
Diseño vs. Estado del Arte
Real vs. Competencia
5. Subdivisión
Ninguna.
6. Puntos de lectura e instrumentos
Datos requeridos ¿Cómo se obtienen? ¿Dónde y cuándo se
observan?
¿Quién registra las
observaciones?
Listados, correos, informes,
otros
Evaluaciones de desempeño
registradas
Reuniones de evaluación
del desempeño
Jefes / coordinadores
7. Periodicidad
Semanal Mensual Trimestral Semestral X Otro
8. Sistema de información y procesamiento de datos
Contabiliza el total de metas alcanzadas con éxito por el colaborador y efectúa la división con respecto al total de metas que
se acordó alcanzar durante la anterior entrevista de evaluación de desempeño.
OFIN OFIN-AIT-P01-F01
V3 Octubre 2012 Página 1/4
ADMINISTRADOR DE INFRAESTRUCTURA
Título del puesto
Administrador de Infraestructura.
Título de la posición a quien reporta
Responsable del Área de Infraestructura Tecnológica
Número de trabajadores que supervisa
Ninguno.
Puestos que reportan directamente a la posición
Ninguno.
Competencias y responsabilidades del puesto
 Monitorizar, controlar, diagnosticar y gestionar los sistemas que proveen suministro eléctrico,
suministro eléctrico sin interrupciones, contra incendio, alarma, sensores; entre otros.
 Efectuar el escalamiento adecuado y oportuno de problemas.
 Efectuar el seguimiento continuo a los problemas escalados hasta su completa solución.
 Ejecutar el plan de contingencia cuando sea necesario.
 Implementar toda instalación, modificación, actualización, adición, reemplazo o borrado realizado
sobre la configuración del -o sobre los propios- servicio, y/o inserción, retiro o reemplazo de
componentes como partes y piezas con la autorización del Responsable del Área de Infraestructura
Tecnológica mediante la respectiva Solicitud de Cambio.
 Sugerir la configuración mínima de los equipos, o servicios requeridos para y en los diferentes
proyectos.
 Evaluar continuamente la capacidad de los recursos empleados por la institución y los servicios que
se proveen con la finalidad de preveer su necesidad de crecimiento.
 Desarrollar y mantener actualizados los manuales y procedimientos necesarios.
 Proveer los datos necesarios para desarrollar e implementar los indicadores de gestión del área de
acuerdo con las políticas establecidas.
 Cumplir las normas y procedimientos de acuerdo con las políticas establecidas.
 Buscar continuamente que mejorar las actividades dentro de su departamento.
 Mantener informado de las ocurrencias y nuevos proyectos a los jefes inmediatos superiores.
 Las demás funciones que le sean asignadas por su jefatura, en el ámbito de su competencia.
Disponibilidad para viajar Sí No X
Requiere movilidad propia Sí No X
Días y horario de trabajo
Sujeto a turnos con un máximo de 45 horas semanales de trabajo.
Lugar y ambiente de trabajo
Lima, en ambiente de oficina.
OFIN OFIN-AIT-P01-F01
V3 Octubre 2012 Página 2/4
Grado de estudios requerido
Título de ingeniero o grado de bachiller.
Especialidad académica requerida
Electrónica, comunicaciones, informática o ramas afines -con especialización en infraestructura de centros
de datos.
Conocimientos específicos adicionales
 Sistemas de aire acondicionado de precisión.
 Sistemas eléctricos de baja y media tensión.
 Transformadores de aislamiento.
 Grupos electrógenos.
 Sensores y alarmas, cámaras IP o CCTV.
 Sistemas contra incendio.
 Sistemas para el control de acceso.
 Otros: buenas prácticas en gestión de servicios (ITIL), metodología para desarrollo y gestión de
proyectos (PMI, otras).
Áreas donde es necesario haya obtenido experiencia
Implementación de centros de datos con más de treinta (30) servidores físicos.
Idioma y nivel necesario
Inglés, hablado y escrito, nivel medio mínimo.
Tipo de empresa donde sea necesaria la experiencia
Integradores de soluciones de TI o empresa de envergadura pública o privada, de cualquier rubro.
Experiencia laboral mínima (años)
1-3 3-5 X 5-8 8-10 10-15 15-20 20-25 25-30
Experiencia mínima en el puesto (años)
1-3 X 3-5 5-8 8-10 10-15 15-20 20-25 25-30
Edad Entre ___25_____ y ____50______ años
Género Masculino Femenino Sin preferencia X
Estado civil Casado(a) Soltero(a) Sin preferencia X
Nacionalidad
Peruano.
Rasgos personales
 Hábil para la comunicación interpersonal a todo nivel.
OFIN OFIN-AIT-P01-F01
V3 Octubre 2012 Página 3/4
 Ordenado y disciplinado.
 Proactivo y con capacidad de liderazgo.
 Habilidad para manejarse bajo presión.
Condiciones del puesto
Remuneración : S/. X,XXX mensuales
Capacitación : Por definir
Otros : Ninguno
Nivel de aprobación
<<Área solicitante>>
<<Nombres y apellidos>>
Jefe de OFIN
<<Nombres y apellidos>>
OFIN OFIN-AIT-P01-F01
V3 Octubre 2012 Página 1/3
ADMINISTRADOR DEL SERVICIO DE RED
Título del puesto
Administrador del Servicio de Red.
Título de la posición a quien reporta
Coordinador del Centro de Datos.
Número de trabajadores que supervisa
Ninguno.
Puestos que reportan directamente a la posición
Ninguno.
Competencias y responsabilidades del puesto
 Monitorizar, controlar, diagnosticar y gestionar la red de interconexión de datos a nivel nacional, el
acceso a Internet local e internacional, enlaces redundantes.
 Monitorizar y controlar la seguridad y el óptimo rendimiento y disponibilidad de los equipos y
servidores de comunicaciones en general; transporte de datos local e internacional; activación,
suspensión y desactivación de servicios; otros relacionados.
 Validar cuentas y contraseñas de usuarios en los sistemas de gestión de la red de datos.
 Efectuar y controlar el escalamiento adecuado y oportuno de problemas.
 Efectuar el seguimiento continuo a los problemas escalados hasta su completa solución.
 Ejecutar el plan de contingencia cuando sea requerido.
 Ejecutar las tareas que le han sido delegadas dentro de los presupuestos y plazos solicitados.
 Implementar las medidas preventivas o correctivas que sean necesarias para asegurar la
inviolabilidad física y lógica de los equipos o servidores, como parches de seguridad o
actualizaciones de productos con la autorización del Responsable del Área de Infraestructura
Tecnológica mediante la respectiva Solicitud de Cambio.
 Implementar toda instalación, modificación, actualización, adición, reemplazo o borrado realizado
sobre la configuración del software base, aplicativos o servicios, y/o inserción, retiro o reemplazo del
hardware de equipo o servidores, con la autorización del Responsable del Área de Infraestructura
Tecnológica mediante la respectiva Solicitud de Cambio.
 Sugerir la configuración mínima de los equipos, servidores o servicios requeridos para y en los
diferentes proyectos (términos de referencia, especificaciones técnicas mínimas).
 Efectuar el seguimiento al mantenimiento preventivo y correctivo del equipamiento de red,
comunicaciones e infraestructura (UPS, aire acondicionado, controles de temperatura y humedad,
sensores de calor y humo, reguladores de amperaje y voltaje, pozo a tierra, grupo electrógeno,
otros).
 Evaluar continuamente nuevas herramientas y métodos tendientes a mejorar la seguridad y
administración de los recursos empleados por la institución y los servicios que se proveen, así como
incrementar la capacidad de monitoreo proactivo de estos recursos y servicios.
 Evaluar continuamente la capacidad de los recursos empleados por la institución y los servicios que
se proveen con la finalidad de preveer su necesidad de crecimiento.
OFIN OFIN-AIT-P01-F01
V3 Octubre 2012 Página 2/3
 Diligenciar debidamente los formularios de control de servicios de acuerdo con las políticas
establecidas e informar al área de Configuración y Activos sobre cambios en el inventario o
configuración de equipos informáticos.
 Desarrollar y mantener actualizados los manuales y procedimientos necesarios.
 Proveer los datos necesarios para desarrollar e implementar los indicadores de gestión del área de
acuerdo con las políticas establecidas.
 Cumplir las normas y procedimientos de acuerdo con las políticas establecidas.
 Buscar continuamente que mejorar las actividades dentro de su departamento.
 Mantener informado de las ocurrencias y nuevos proyectos a los jefes inmediatos superiores.
 Las demás funciones que le sean asignadas por su jefatura, en el ámbito de su competencia.
Disponibilidad para viajar Sí X No
Requiere movilidad propia Sí No X
Días y horario de trabajo
Sujeto a turnos con un máximo de 45 horas semanales de trabajo.
Lugar y ambiente de trabajo
Lima, en ambiente de oficina.
Grado de estudios requerido
Título de ingeniero o grado de bachiller.
Especialidad académica requerida
Electrónica, comunicaciones, informática o ramas afines -con especialización en redes de computadoras.
Conocimientos específicos adicionales
 Comunicaciones: diseño e instalación de redes LAN/WAN/CDMA/GSM/Wi-FI/WiMAX/Satelital;
control, monitoreo y gestión de equipos de comunicaciones; analizadores de protocolo; instalación y
configuración de routers, VLAN, VPN; protocolos SNMP, SSH y otros relacionados; tecnologías
ATM, MPLS, xDSL; análisis de tráfico de red; comunicaciones y equipos de voz y vídeo.
 Servidores Windows y Linux/Unix: instalación, gestión, monitoreo y diagnóstico del hardware;
instalación y configuración del software base; software de virtualización; gestión remota de
servicios; optimización del rendimiento; seguridad.
 Otros: buenas prácticas en gestión de servicios (ITIL), metodología para desarrollo y gestión de
proyectos (PMI, otras).
Áreas donde es necesario haya obtenido experiencia
Transmisión de voz y datos entre locales interconectados.
Implementación de redes de computadoras.
Gestión de servicios Internet.
Idioma y nivel necesario
Inglés, hablado y escrito, nivel medio mínimo tal que permita la lectura de manuales técnicos.
OFIN OFIN-AIT-P01-F01
V3 Octubre 2012 Página 3/3
Tipo de empresa donde sea necesaria la experiencia
Operadores de telecomunicaciones, integradores de soluciones de TI o empresa de envergadura pública o
privada, de cualquier rubro.
Experiencia laboral mínima (años)
1-3 3-5 5-8 X 8-10 10-15 15-20 20-25 25-30
Experiencia mínima en el puesto (años)
1-3 3-5 X 5-8 8-10 10-15 15-20 20-25 25-30
Edad Mayor de _25_ años
Género Masculino Femenino Sin preferencia X
Estado civil Casado(a) Soltero(a) Sin preferencia X
Nacionalidad
Peruano.
Rasgos personales
 Hábil para la comunicación interpersonal a todo nivel.
 Ordenado y disciplinado.
 Proactivo y con capacidad de liderazgo.
 Habilidad para manejarse bajo presión.
Condiciones del puesto
Remuneración : S/. X,XXX mensuales
Capacitación : Por definir
Otros : Ninguno
Nivel de aprobación
<<Área solicitante>>
<<Nombres y apellidos>>
Jefe de OFIN
<<Nombres y apellidos>>
OFIN OFIN-AIT-P01-F01
V3 Octubre 2012 Página 1/4
ADMINISTRADOR DE SERVICIOS DE TI
Título del puesto
Administrador de Servicios de TI.
Título de la posición a quien reporta
Responsable del Centro de Datos
Número de trabajadores que supervisa
Ninguno.
Puestos que reportan directamente a la posición
Ninguno.
Competencias y responsabilidades del puesto
 Monitorizar, controlar, diagnosticar y gestionar los servidores y servicios de correo, hosting, DNS,
filtro de contenido, FTP, antispam y antivirus para correo, bases de datos; sistemas de
almacenamiento en disco y librerías de cinta; entre otros.
 Gestionar la seguridad y el óptimo rendimiento y disponibilidad de los servicios provistos; validación,
alta y baja de usuarios; activación, desactivación y suspensión de servicios.
 Efectuar el escalamiento adecuado y oportuno de problemas.
 Efectuar el seguimiento continuo a los problemas escalados hasta su completa solución.
 Ejecutar el plan de contingencia cuando sea necesario.
 Implementar las medidas preventivas y correctivas que sean necesarias para asegurar la
inviolabilidad física y lógica de los servidores en producción, como parches de seguridad o
actualizaciones de productos con la autorización del Responsable del Área de Infraestructura
Tecnológica mediante la respectiva Solicitud de Cambio.
 Implementar toda instalación, modificación, actualización, adición, reemplazo o borrado realizado
sobre la configuración del -o sobre los propios- software de base, aplicativos o servicios, y/o
inserción, retiro o reemplazo del hardware de servidores en producción con la autorización del
Responsable del Área de Infraestructura Tecnológica mediante la respectiva Solicitud de Cambio.
 Sugerir la configuración mínima de los equipos, servidores o servicios requeridos para y en los
diferentes proyectos.
 Evaluar continuamente la capacidad de los recursos empleados por la institución y los servicios que
se proveen con la finalidad de preveer su necesidad de crecimiento.
 Diligenciar debidamente los formularios de control de servicios de acuerdo con las políticas
establecidas e informar al área de Configuración y Activos sobre cambios en el inventario o
configuración de equipos informáticos.
 Desarrollar y mantener actualizados los manuales y procedimientos necesarios.
 Proveer los datos necesarios para desarrollar e implementar los indicadores de gestión del área de
acuerdo con las políticas establecidas.
 Cumplir las normas y procedimientos de acuerdo con las políticas establecidas.
 Buscar continuamente que mejorar las actividades dentro de su departamento.
 Mantener informado de las ocurrencias y nuevos proyectos a los jefes inmediatos superiores.
 Las demás funciones que le sean asignadas por su jefatura, en el ámbito de su competencia.
OFIN OFIN-AIT-P01-F01
V3 Octubre 2012 Página 2/4
Disponibilidad para viajar Sí No X
Requiere movilidad propia Sí No X
Días y horario de trabajo
Sujeto a turnos con un máximo de 45 horas semanales de trabajo.
Lugar y ambiente de trabajo
Lima, en ambiente de oficina.
Grado de estudios requerido
Título de ingeniero o grado de bachiller.
Especialidad académica requerida
Electrónica, comunicaciones, informática o ramas afines -con especialización en redes de computadoras.
Conocimientos específicos adicionales
 Comunicaciones: diseño e instalación de redes LAN/WAN; control, monitoreo y gestión de equipos
de comunicaciones; instalación y configuración de routers, VLAN, VPN; protocolos IMAP, POP3,
SMTP, SNMP, otros.
 Servidores Windows y Linux/Unix: instalación, gestión, diagnóstico y monitoreo del hardware;
instalación y configuración del software de base; instalación y configuración de software de correo,
DNS, proxy, firewall, web, antispam, antivirus para correo, filtro de contenido, FTP, bases de datos,
otros; gestión remota de servicios; optimización del rendimiento; sistemas de almacenamiento en
disco; librerías de cintas; seguridad.
 Otros: buenas prácticas en gestión de servicios (ITIL), metodología para desarrollo y gestión de
proyectos (PMI, otras).
Áreas donde es necesario haya obtenido experiencia
Implementación de servicios DNS, proxy, firewall, web, antispam, antivirus para correo, filtro de contenido,
FTP y protocolos IMAP, POP3, SMTP, SNMP, otros.
Idioma y nivel necesario
Inglés, hablado y escrito, nivel medio mínimo.
Tipo de empresa donde sea necesaria la experiencia
Integradores de soluciones de TI o empresa de envergadura pública o privada, de cualquier rubro.
Experiencia laboral mínima (años)
1-3 3-5 X 5-8 8-10 10-15 15-20 20-25 25-30
Experiencia mínima en el puesto (años)
1-3 X 3-5 5-8 8-10 10-15 15-20 20-25 25-30
Edad Entre ___25_____ y ____50______ años
OFIN OFIN-AIT-P01-F01
V3 Octubre 2012 Página 3/4
Género Masculino Femenino Sin preferencia X
Estado civil Casado(a) Soltero(a) Sin preferencia X
Nacionalidad
Peruano.
Rasgos personales
 Hábil para la comunicación interpersonal a todo nivel.
 Ordenado y disciplinado.
 Proactivo y con capacidad de liderazgo.
 Habilidad para manejarse bajo presión.
Condiciones del puesto
Remuneración : S/. X,XXX mensuales
Capacitación : Por definir
Otros : Ninguno
Nivel de aprobación
<<Área solicitante>>
<<Nombres y apellidos>>
Jefe de OFIN
<<Nombres y apellidos>>
OFIN OFIN-AIT-P01-F01
V3 Octubre 2012 Página 1/3
ADMINISTRADOR DEL SERVICIO DE TELEFONÍA
Título del puesto
Administrador del Servicio de Telefonía.
Título de la posición a quien reporta
Coordinador del Centro de Datos.
Número de trabajadores que supervisa
Ninguno.
Puestos que reportan directamente a la posición
Ninguno.
Competencias y responsabilidades del puesto
 Monitorizar, controlar y diagnosticar la red de telefonía fija y de larga distancia, nacional e
internacional, y la telefonía IP.
 Monitorizar y controlar la seguridad y el óptimo rendimiento y disponibilidad de los servicios de
telefonía IP; equipos y servidores de comunicaciones telefónicas; validación, alta y baja de usuarios;
activación, desactivación y suspensión de servicios; otros relacionados.
 Efectuar el escalamiento adecuado y oportuno de problemas.
 Efectuar el seguimiento continuo a los problemas escalados hasta su completa solución.
 Ejecutar el plan de contingencia cuando sea requerido.
 Implementar las medidas preventivas o correctivas que sean necesarias para asegurar la
inviolabilidad física y lógica de los equipos o servidores, como parches de seguridad o
actualizaciones de productos con la autorización del Responsable del Área de Infraestructura
Tecnológica mediante la respectiva Solicitud de Cambio.
 Implementar toda instalación, modificación, actualización, adición, reemplazo o borrado realizado
sobre la configuración del software base, aplicativos o servicios, y/o inserción, retiro o reemplazo del
hardware de equipo o servidores, con la autorización del Responsable del Área de Infraestructura
Tecnológica mediante la respectiva Solicitud de Cambio.
 Sugerir la configuración mínima de los equipos, servidores o servicios requeridos para y en los
diferentes proyectos (términos de referencia, especificaciones técnicas mínimas).
 Evaluar continuamente nuevas herramientas y métodos tendientes a mejorar la seguridad y
administración de los recursos empleados por la institución y los servicios que se proveen, así como
incrementar la capacidad de monitoreo proactivo de estos recursos y servicios.
 Evaluar continuamente la capacidad de los recursos empleados por la institución y los servicios que
se proveen con la finalidad de preveer su necesidad de crecimiento.
 Diligenciar debidamente los formularios de control de servicios de acuerdo con las políticas
establecidas e informar al área de Configuración y Activos sobre cambios en el inventario o
configuración de equipos informáticos.
 Desarrollar y mantener actualizados los manuales y procedimientos necesarios.
 Proveer los datos necesarios para desarrollar e implementar los indicadores de gestión del área de
acuerdo con las políticas establecidas.
 Cumplir las normas y procedimientos de acuerdo con las políticas establecidas.
 Buscar continuamente que mejorar las actividades dentro de su departamento.
OFIN OFIN-AIT-P01-F01
V3 Octubre 2012 Página 2/3
 Mantener informado de las ocurrencias y nuevos proyectos a los jefes inmediatos superiores.
 Las demás funciones que le sean asignadas por su jefatura, en el ámbito de su competencia.
Disponibilidad para viajar Sí X No
Requiere movilidad propia Sí No X
Días y horario de trabajo
Sujeto a turnos con un máximo de 45 horas semanales de trabajo.
Lugar y ambiente de trabajo
Lima, en ambiente de oficina.
Grado de estudios requerido
Título de ingeniero o grado de bachiller.
Especialidad académica requerida
Electrónica, comunicaciones, informática o ramas afines -con especialización en redes de computadoras.
Conocimientos específicos adicionales
 Comunicaciones: diseño e instalación de redes IP de telefonía fija, larga distancia y fax; protocolos
SIP, H.323, SNMP, SSH y otros relacionados; codecs G.711, G.729, G.723, T.30, T.38 y otros
relacionados; control, monitoreo y gestión de equipos de comunicaciones; instalación y
configuración de routers, centrales telefónicas basadas en software, gateways de voz y fax, VLAN,
VPN.
 Servidores Windows y Linux/Unix: instalación, gestión, diagnóstico y monitoreo del hardware de
servidores Windows y Linux/Unix; instalación y configuración del software base; instalación y
configuración de software Asterisk o similares; call center y contact center; gestión remota de
servicios; optimización del rendimiento; seguridad.
 Otros: buenas prácticas en gestión de servicios (ITIL), metodología para desarrollo y gestión de
proyectos (PMI, otras).
Áreas donde es necesario haya obtenido experiencia
Transmisión de voz, fax y datos vía IP entre locales interconectados.
Desarrollo y administración de proyectos de infraestructura telefónica.
Implementación de redes de computadoras.
Gestión de servicios Internet.
Idioma y nivel necesario
Inglés, hablado y escrito, nivel medio mínimo tal que permita la lectura de manuales técnicos.
Tipo de empresa donde sea necesaria la experiencia
Operadores de telecomunicaciones, operadores de telefonía, integradores de servicios de TI o empresa de
envergadura pública o privada, de cualquier rubro.
Experiencia laboral mínima (años)
OFIN OFIN-AIT-P01-F01
V3 Octubre 2012 Página 3/3
1-3 3-5 X 5-8 8-10 10-15 15-20 20-25 25-30
Experiencia mínima en el puesto (años)
1-3 X 3-5 5-8 8-10 10-15 15-20 20-25 25-30
Edad Mayor de _25_ años
Género Masculino Femenino Sin preferencia X
Estado civil Casado(a) Soltero(a) Sin preferencia X
Nacionalidad
Peruano.
Rasgos personales
 Hábil para la comunicación interpersonal a todo nivel.
 Ordenado y disciplinado.
 Proactivo y con capacidad de liderazgo.
 Habilidad para manejarse bajo presión.
Condiciones del puesto
Remuneración : S/. X,XXX mensuales
Capacitación : Por definir
Otros : Ninguno
Nivel de aprobación
<<Área solicitante>>
<<Nombres y apellidos>>
Jefe de OFIN
<<Nombres y apellidos>>
OFIN OFIN-AIT-P01-F01
V3 Octubre/2012 Página 1/3
ASISTENTE DEL ÁREA
Título del puesto
Asistente del Área de Infraestructura Tecnológica.
Título de la posición a quien reporta
Responsable del Área de Infraestructura Tecnológica.
Número de trabajadores que supervisa
Ninguno.
Puestos que reportan directamente a la posición
Ninguno.
Competencias y responsabilidades del puesto
 Archivamiento de documentación del área.
 Coordinación con especialistas para recabar la documentación del área.
 Cierre de documentación en el SINAD.
 Coordinar con las áreas internas de abastecimiento y la Unidad de Abastecimiento de OGA el
suministro a tiempo de materiales de oficina.
 Actualizar el cronograma de actividades establecido de acuerdo con los avances en el análisis y
programación de los proyectos o según se solicite.
 Supervisar la calidad y puntualidad de los entregables delegados a los colaboradores por el
Responsable del Área de Infraestructura Tecnológica.
 Administrar los repositorios de datos y bases de datos de proyectos del área.
 Coordinar con las áreas internas de abastecimiento y la Unidad de Abastecimiento de OGA la
formulación y re-formulación de Términos de Referencia.
 Coordinar con las áreas o dependencias responsables el acceso de proveedores y colaboradores
de turno.
 Apoyar a que la documentación se mantenga actualizada y cuente con el detalle necesario:
diagramas, procedimientos, manuales de usuario y de operación, otros.
 Mantener informado de las ocurrencias al jefe inmediato superior.
 Apoyar en la obtención de mediciones para los indicadores de gestión del área de acuerdo con las
políticas establecidas.
 Cumplir y hacer cumplir las normas internas.
 Buscar continuamente que mejorar las actividades dentro de su departamento.
Disponibilidad para viajar Sí No X
Requiere movilidad propia Sí No X
Días y horario de trabajo
Lunes a viernes, de 08:15 a 17:15 horas con una hora de refrigerio.
OFIN OFIN-AIT-P01-F01
V3 Octubre/2012 Página 2/3
Lugar y ambiente de trabajo
Lima, en ambiente de oficina.
Grado de estudios requerido
Grado de bachiller o técnico.
Especialidad académica requerida
Técnico en computación, administración, logística o ramas afines.
Conocimientos específicos adicionales
Ninguna preferencia.
Áreas donde es necesario haya obtenido experiencia
Digitación, supervisión de áreas de digitación, técnico en computación.
Idioma y nivel necesario
Inglés, hablado y escrito, nivel básico.
Tipo de empresa donde sea necesaria la experiencia
Ninguna preferencia.
Experiencia laboral mínima (años)
1-3 3-5 X 5-8 8-10 10-15 15-20 20-25 25-30
Experiencia mínima en el puesto (años)
1-3 X 3-5 5-8 8-10 10-15 15-20 20-25 25-30
Edad Mayor de ___25__ años.
Género Masculino Femenino Sin preferencia X
Estado civil Casado(a) Soltero(a) Sin preferencia X
Nacionalidad
Peruano.
Rasgos personales
 Hábil para la comunicación interpersonal a todo nivel.
 Ordenado y disciplinado.
 Proactivo y con capacidad de liderazgo.
 Habilidad para manejarse bajo presión.
Condiciones del puesto
Remuneración : S/. X,XXX mensuales
OFIN OFIN-AIT-P01-F01
V3 Octubre/2012 Página 3/3
Capacitación : Por definir
Otros : Ninguno
Nivel de aprobación
<<Área solicitante>>
<<Nombres y apellidos>>
Jefe de OFIN
<<Nombres y apellidos>>
OFIN OFIN-AIT-P01-F01
V3 Octubre 2012 Página 1/3
COORDINADOR DE SERVICIOS
Título del puesto
Coordinador de servicios del Centro de datos.
Título de la posición a quien reporta
Responsable del Área de Infraestructura Tecnológica.
Número de trabajadores que supervisa
Los correspondientes por especialización.
Puestos que reportan directamente a la posición
Redes: Especialista de telefonía (01), Especialista de servicios (02), Especialista de red (01), operador de
apoyo (01).
Usuario: Especialista de AD (01), Especialista de servidores (02), Especialista de correo electrónico (01),
operador de apoyo (01)
Competencias y responsabilidades del puesto
 Seguimiento y control del mantenimiento preventivo y correctivo del equipamiento de red,
comunicaciones e infraestructura del centro de datos.
 Controlar la seguridad y el óptimo rendimiento y disponibilidad de los equipos y servidores de
comunicaciones en general, validación de cuentas y contraseñas de usuarios, activación-
desactivación-suspensión de servicios, transporte de datos (local e internacional), otros
relacionados.
 Controlar la gestión de los servidores y servicios de red, correo, hosting, housing, protección
perimetral, filtro de contenido, antispam y antivirus para correo; validación, alta y baja de usuarios;
activación, desactivación y suspensión de servicios; sistemas de almacenamiento en disco y
librerías de cinta; otros.
 Controlar la gestión de los equipos que proveen la telefonía fija y móvil.
 Controlar la ejecución de los respaldos de datos y de registros históricos según la programación
establecida.
 Controlar la implementación de las medidas preventivas y correctivas que sean necesarias para
asegurar la inviolabilidad física y lógica de los equipos y/o servidores en producción, como parches
de seguridad o actualizaciones de productos se realicen con la autorización debida.
 Definir y controlar los indicadores de gestión del área de acuerdo con las políticas establecidas.
 Mantener actualizados la documentación, manuales, normas, procedimientos e indicadores de
gestión de acuerdo con las políticas establecidas.
 Emitir periódicamente al Responsable del Área de Infraestructura y al Jefe de la OFIN los informes
de gestión pertinentes.
 Las demás funciones que le sean asignadas por su jefatura, en el ámbito de su competencia.
Disponibilidad para viajar Sí X No
Requiere movilidad propia Sí No X
Días y horario de trabajo
Lunes a viernes, de 08:15 a 17:15 horas con una hora de refrigerio.
OFIN OFIN-AIT-P01-F01
V3 Octubre 2012 Página 2/3
Lugar y ambiente de trabajo
Lima, en ambiente de oficina.
Grado de estudios requerido
Título de ingeniero.
Especialidad académica requerida
Electrónica, comunicaciones, informática o ramas afines -con especialización en redes de computadoras.
Conocimientos específicos adicionales
 Comunicaciones: diseño e instalación de redes LAN/WAN/CDMA/GSM/Wi-FI/WiMAX/Satelital;
control, monitoreo y gestión de equipos de comunicaciones; instalación y configuración de routers,
VLAN, VPN; análisis de tráfico de red; comunicaciones y equipos de voz y vídeo, protocolos POP3,
IMAP, SMTP, SNMP, SSH; tecnologías ATM, MPLS y otras.
 Servidores Windows y Linux/Unix: instalación, gestión, diagnóstico y monitoreo del hardware;
instalación y configuración del software de base; instalación y configuración de software de correo,
DNS, proxy, firewall, web, FTP, bases de datos, otros; gestión remota de servicios; optimización del
rendimiento; sistemas de almacenamiento en disco; librerías de cintas; seguridad.
 Otros: buenas prácticas en gestión de servicios (ITIL); metodología para desarrollo y gestión de
proyectos (PMI, otras); seguridad de la información (ISO27002, otras); seguridad informática.
Áreas donde es necesario haya obtenido experiencia
Desarrollo y administración de proyectos de transmisión de voz y datos.
Desarrollo y administración de proyectos de infraestructura.
Gestión de áreas de comunicaciones.
Gestión de servicios de red de datos.
Idioma y nivel necesario
Inglés, hablado y escrito, nivel medio mínimo tal que permita la lectura de manuales técnicos.
Tipo de empresa donde sea necesaria la experiencia
Integradores de soluciones de TI o empresa de envergadura pública o privada, de cualquier rubro.
Experiencia laboral mínima (años)
1-3 3-5 5-8 X 8-10 10-15 15-20 20-25 25-30
Experiencia mínima en el puesto (años)
1-3 3-5 X 5-8 8-10 10-15 15-20 20-25 25-30
Edad Entre ___32_____ y ____50______ años
Género Masculino Femenino Sin preferencia X
OFIN OFIN-AIT-P01-F01
V3 Octubre 2012 Página 3/3
Estado civil Casado(a) Soltero(a) Sin preferencia X
Nacionalidad
Peruano.
Rasgos personales
 Hábil para la comunicación interpersonal a todo nivel.
 Ordenado y disciplinado.
 Proactivo y con capacidad de liderazgo.
 Habilidad para manejarse bajo presión.
Condiciones del puesto
Remuneración : S/. XXXXXX mensuales
Capacitación : Por definir
Otros : Ninguno
Nivel de aprobación
<<Área solicitante>>
<<Nombres y apellidos>>
Jefe de OFIN
<<Nombres y apellidos>>
Turnos
Inicio Fin AC AR AT AB AC AR AT AB Inicio Fin AC AR AT AB AC AR AT AB
08:00 09:00 X X X X 08:00 09:00 X X X X
09:00 10:00 X X X X 09:00 10:00 X X X X
10:00 11:00 X X X X 10:00 11:00 X X X X
11:00 12:00 X X X X 11:00 12:00 X X X X
12:00 13:00 X X X X X X X X 12:00 13:00 X X X X X X X X
13:00 14:00 X X X X X X X X 13:00 14:00 X X X X
14:00 15:00 X X X X X X X X 14:00 15:00 X X X X
15:00 16:00 X X X X X X X X 15:00 16:00 X X X X
16:00 17:00 X X X X X X X X 16:00 17:00 X X X X
17:00 18:00 X X X X 17:00 18:00
18:00 19:00 X X X X 18:00 19:00
19:00 20:00 X X X X 19:00 20:00
20:00 21:00 X X X X 20:00 21:00
8 8 8 8 8 8 8 8 5 5 5 5 5 5 5 5
Administradores de servicios
Sábado Senior Junior
Efectivas Efectivas
Senior Junior
Administradores de serviciosHoras
Lu-Vi
Horas
V2 Junio 2012 Página 1/1
OFIN-AIT-P01-F03
Proceso: OFIN-AIT-P01 Colaboradores
SOLICITUD DE RETIRO O CESE DE COLABORADOR
Nombres y apellidos completos
Título de la posición a quien reporta
Motivo
¿Personal? Sí □ No □
Si el motivo no es personal, detalle el motivo:
Entregó
Computadora en buen estado Sí □ No □
Equipo de comunicación (RPC - RPM) Sí □ No □
Equipo telefónico Sí □ No □
Tarjeta electrónica de accesos Sí □ No □
Fecha programada de ejecución: _______ / _____________ / ____________
Nivel de aprobación
TÍTULO CÓDIGO VERSIÓN PÁGINA
ACUERDO DE CONFIDENCIALIDAD OFIN-AIT-P01-F04 3 1 de 2
CONSIDERACIONES
Debido a la naturaleza del trabajo, se hace necesario que EL COLABORADOR abajo firmante maneje
información confidencial y/o información sujeta a derechos de propiedad intelectual, antes, durante y en la
etapa posterior a su contratación, propiedad del MINISTERIO DE EDUCACIÓN y de los usuarios y clientes
de esta última.
CLÁUSULAS
PRIMERA. OBJETO. El objeto del presente acuerdo es fijar los términos y condiciones bajo los cuales EL
COLABORADOR mantendrá la confidencialidad de los datos e información propiedad del MINISTERIO DE
EDUCACIÓN a que tenga acceso, incluyendo información objeto de derecho de autor, patentes, técnicas,
modelos, invenciones, know-how, procesos, algoritmos, programas, ejecutables, investigaciones, detalles
de diseño, información financiera, lista de clientes, inversionistas, empleados, relaciones de negocios y
contractuales, pronósticos de negocios, planes de mercadeo o cualquier información revelada sobre
terceras personas.
SEGUNDA. CONFIDENCIALIDAD. EL COLABORADOR y el MINISTERIO DE EDUCACIÓN acuerdan que
cualquier información intercambiada, facilitada o creada entre ellas en el transcurso del periodo contractual
de la parte contratada, será mantenida en estricta confidencialidad. EL COLABORADOR solo podrá revelar
información confidencial a quienes la necesiten y estén autorizados previamente por el MINISTERIO DE
EDUCACIÓN y no podrá aducir falta de cuidado adecuado en su manejo.
EL COLABORADOR se compromete a devolver todo documento o material de cualquier tipo -incluyendo
pero no limitado a contraseñas, copias, apuntes, anotaciones, faxes, e-mails, etc. - que contenga
información catalogada como confidencial por el MINISTERIO DE EDUCACIÓN y/o las copias que de los
mismos hubiera obtenido: a) al cesar las causas por las cuales le fueron entregados o bien b) cuando el
MINISTERIO DE EDUCACIÓN lo solicite, lo que ocurra en primer término. También se compromete a no
extraer, copiar, fotocopiar, trasladar o transportar datos o información fuera del MINISTERIO DE
EDUCACIÓN salvo permiso expreso de este último y guardando las medidas de seguridad pertinentes
como el empleo de canales seguros y cifrado de datos.
Se considera INFORMACION CONFIDENCIAL: a) aquella que como conjunto o por la configuración o
estructuración exacta de sus componentes, no sea generalmente conocida entre los expertos en los
campos correspondientes. b) la que no sea de fácil acceso, independiente de la manera como es obtenida,
sea verbal, visual o de forma tangible (incluyendo pero no limitándose a documentos, medio magnético,
dispositivos y archivos en computadoras, fotografías, reportes, etc.) y todas las copias de los mismos creados
por medios manuales, mecánicos o electrónicos, y c) aquella información que no esté sujeta a medidas de
protección razonables, de acuerdo con las circunstancias del caso y posibilidades disponibles, a fin de
mantener su carácter confidencial.
TERCERA. EXCEPCIONES. No habrá deber alguno de confidencialidad en los siguientes casos: a) cuando
la parte receptora tenga evidencia de que conoce previamente la información recibida; b) cuando la
información recibida sea de dominio público y, c) cuando la información deje de ser confidencial por ser
revelada por el propietario.
CUARTA. DURACION. Este acuerdo regirá durante todo el periodo contractual y por el término de un (01)
año posterior a la fecha de vencimiento del contrato suscrito por EL COLABORADOR y el MINISTERIO DE
EDUCACIÓN.
QUINTA. DERECHOS DE PROPIEDAD. Toda información intercambiada por EL COLABORADOR con un
tercero externo o interno (correo electrónico, reportes impresos, medio magnético, llamada telefónica u otro
medio), que ha sido procesada mediante el uso de alguno de los recursos de cómputo que provee el
MINISTERIO DE EDUCACIÓN a EL COLABORADOR para el desarrollo de las funciones para las que fue
contratado, es de propiedad exclusiva del MINISTERIO DE EDUCACIÓN y está prohibida su divulgación o
TÍTULO CÓDIGO VERSIÓN PÁGINA
ACUERDO DE CONFIDENCIALIDAD OFIN-AIT-P01-F04 3 2 de 2
reproducción total o parcial. En consecuencia, EL COLABORADOR no podrá utilizar información o recursos
informáticos del MINISTERIO DE EDUCACIÓN para su uso personal.
SEXTA. MODIFICACIÓN O TERMINACIÓN. Este acuerdo solo podrá ser modificado o darse por terminado
con el consentimiento expreso mutuo y por escrito de EL COLABORADOR y el MINISTERIO DE
EDUCACIÓN.
SÉPTIMA. JURISDICCIÓN. EL COLABORADOR y el MINISTERIO DE EDUCACIÓN someterán las
divergencias que pudieran plantearse en orden a la interpretación o incumplimiento del presente Contrato a
la jurisdicción Contencioso-Administrativa de Lima.
Yo, ____________________________________________________________, domiciliado en
___________________________________________________________________________, identificado
con DNI_____________________, firmo en señal de entendimiento y aceptación que cualquier
incumplimiento del presente acuerdo será considerado como falta grave y conducirá al cese inmediato de mi
relación laboral, y que esto no exime al MINISTERIO DE EDUCACIÓN de iniciar las acciones legales que
juzgue necesarias por cuanto podré ser responsabilizado por los daños y perjuicios que dicho
incumplimiento genere o sea capaz de generar, al propio MINISTERIO DE EDUCACIÓN o a terceros, ya
sean estos externos o internos .
__________________________
Firma
Fecha: San Borja, ______ de _______________ de _______

OFIN-AIT: Norma Colaboradores

  • 1.
    V2 Junio 2012Página 1/2 Proceso: COLABORADORES Código: OFIN-AIT-P01 Dirección: Jefatura OFIN Departamento: AIT Responsables: Jefes de área 1. Descripción: Establecer las normas y procedimientos para el programa de evaluación de colaboradores, en concordancia con la política de recursos humanos y requerimientos de la institución. 2. Clientes: Áreas diversas de OFIN - AIT. 3. Proveedores: Unida de Personal -UPER. 4. Resultados: Colaborador con perfil técnico, habilidades y competencias acordes con las necesidades de la institución. 5. Insumos: Perfiles de los puestos, cuestionarios de evaluación, políticas. 6. Normas: Código Nombre OFIN-AIT-P01-N01 Selección de colaboradores OFIN-AIT-P01-N02 Evaluación del desempeño OFIN-AIT-P01-N03 Retiro de colaboradores 7. Indicadores: Código Nombre OFIN-AIT-P01-I01 Evaluación del desempeño OFIN-AIT-P01-I02 Logro de metas
  • 2.
    V2 Junio 2012Página 2/2 8. Organización 9. Diagrama de Bloques Responsable del Área de Infraestructura Tecnológica Asistente Documentaria Coordinador de servicios de soporte Administradores de servicios de telefonía Administradores de servicios de redes Administradores de servicios de TIEspecialista en infraestructura física Coordinador de servicios para usuarios Administradores del correo electrónico Administradores del AD Administradores de servidores Administradores de AVAS+Proxy
  • 3.
    TÍTULO CÓDIGO VERSIÓNPÁGINA SELECCIÓN DE COLABORADORES OFIN-AIT-P01-N01 3 1 de 5 1. OBJETIVOS Detallar el perfil técnico-profesional de las diferentes especialidades que son requeridas para garantizar la continuidad operativa del Área de Infraestructura Tecnológica de la Oficina de Informática del Ministerio de Educación. Optimizar los grados de eficiencia del personal mediante un adecuado proceso de selección, asignación de funciones e inducción. Contribuir a la idoneidad técnica y profesional de los especialistas. 2. ALCANCE Los coordinadores de los equipos Centro de Datos y Configuración y Activos del Área de Infraestructura Tecnológica de la Oficina de Informática son los encargados de ejecutar esta norma. El responsable del Área de Infraestructura Tecnológica de la Oficina de Informática es el encargado de controlar el cumplimiento de esta norma. La Jefatura de la Oficina de Informática es la encargada de supervisar el cumplimiento de esta norma. 3. NORMAS A CONSULTAR Procedimiento de contrataciones de la UPER del Ministerio de Educación. Manual de operaciones de la Oficina de Informática: ORGANIZACIÓN Y FUNCIONES. OFIN-AIT-P01-N02, Evaluación del desempeño. 4. DEFINICIONES Centro de datos - Data Center. Es un edificio o porción de un edificio cuya función principal es albergar un cuarto de cómputo y sus áreas de soporte a la infraestructura. (TIA/EIA-942 2.2 Definición de Términos). El cuarto de cómputo es lo que denominamos comúnmente la sala de servidores. Las ambientes de soporte a la infraestructura son el cuarto del grupo electrógeno, sala de transformadores y tableros de distribución de energía eléctrica, sistemas para la provisión ininterrumpida de energía eléctrica -UPS, sistema de calefacción, ventilación y aire acondicionado - HVAC, sistema de protección contra incendio, otros. ELABORADO POR: REVISADO POR: APROBADO POR: FECHA Jack Daniel Cáceres Meza Sonia Quito Walter Escajadillo
  • 4.
    TÍTULO CÓDIGO VERSIÓNPÁGINA SELECCIÓN DE COLABORADORES OFIN-AIT-P01-N01 2 2 de 5 Mesa de servicios - Service Desk. Parte integral del Soporte de Servicios según ITIL. Integra los procesos de negocio en la Administración de los Servicios de Infraestructura. Es la cara al cliente y al usuario; centra sus objetivos principales en manejar y mejorar el servicio para y en nombre del negocio. A nivel operacional, su objetivo es proveer un único punto de contacto (SPOC) para aconsejar, guiar y restaurar rápidamente los servicios normales de sus clientes y usuarios. Para el caso de la institución, es una ubicación física central, que coordina las llamadas de los usuarios de múltiples ubicaciones y provee el soporte técnico para resolver incidencias. Incidente: es una condición de operación del servicio. Se refiere a la interrupción no planificada de un servicio de TI o reducción en la calidad de un servicio de TI. También lo es el fallo de un elemento de configuración que no ha impactado todavía en el servicio. (ITIL® Glossary v01, 1 May 2006: Acronyms). INFORMATION TECHNOLOGY INFRASTRUCTURE LIBRARY (ITIL) Biblioteca de Infraestructura de Tecnologías de Información: conjunto de mejores prácticas para la Gestión de servicios de TI. ITIL consiste en una serie de publicaciones que aconsejan sobre la provisión de Servicios de TI de Calidad, y sobre los procesos y las instalaciones necesarias para soportarlos. (itil.con.uk/). Colaboradores: trabajadores que mantienen una relación laboral con la institución mediante cualquiera de las opciones legales vigentes. Coordinadores: colaboradores especialistas que tienen a cargo la supervisión de otros colaboradores y son responsables de la operatividad de un departamento o especialidad. 5. CONDICIONES BÁSICAS La Jefatura de la Oficina de Informática autoriza la solicitud presentada por los coordinadores de equipo para incorporar personal en modalidad CAS. La UPER es la encargada de proveer, previa pre-calificación de postulantes, los candidatos para la selección de colaboradores. Los profesionales son requeridos de las diferentes especialidades afines a la tecnología de la información. En el documento OFIN-AIT-P01-F01, Perfil del puesto, se detalla el perfil técnico-profesional exigido a estos profesionales. En el documento OFIN-AIT-P01-F01, Perfil del puesto, se detallan las condiciones de contratación del profesional requerido. La UPER emplea el documento OFIN-AIT-P01-F01, Perfil del puesto, como insumo para preparar la convocatoria respectiva. Las convocatorias se publican en la página Web del Ministerio de Educación. La UPER informa a la Jefatura de la Oficina de Informática el nombre completo del candidato que ha ocupado el primer puesto en la evaluación de mérito. Mesa de Servicios procesa su ingreso (registro, habilitación de recursos, creación de cuentas, contraseñas y accesos). 6. CONDICIONES ESPECÍFICAS Los candidatos deben estar previamente calificados por la UPER sobre la base del perfil técnico-profesional que se aplica a la función para la que está postulando. El perfil se encuentra detallado por puesto en el documento OFIN-AIT-P01-F01, Perfil del puesto. De ser necesario, la Oficina de Informática puede confeccionar un nuevo perfil de puesto teniendo como ejemplo el documento anterior.
  • 5.
    TÍTULO CÓDIGO VERSIÓNPÁGINA SELECCIÓN DE COLABORADORES OFIN-AIT-P01-N01 3 3 de 5 Los coordinadores efectúan las evaluaciones técnicas y realizan las entrevistas previas que sean necesarias a los postulantes pre-calificados y preparan un orden de mérito. El coordinador y el responsable del área eligen por consenso el candidato y elevan su propuesta a la Jefatura de la Oficina de Informática. Esta propuesta es avalada, autorizada u observada y rechazada, según el caso, por la Jefatura de la Oficina de Informática. En caso de observaciones, se procederá a una nueva evaluación en los siguientes casos:  Cuando la observación recae sobre el proceso de selección.  Cuando la observación recae sobre el perfil técnico-profesional requerido. Entre la fecha de informe a la UPER y la fecha requerida de ingreso del colaborador debe existir un intervalo no menor de cinco días útiles. Como requisito previo para ser incorporados a la institución, todos los colaboradores que ingresan a las áreas indicadas en el Alcance están obligados a firmar el documento OFIN-AIT-P01-F04, Acuerdo de confidencialidad o documento similar establecido por el Ministerio de Educación. Este Acuerdo de confidencialidad estipula, entre otros puntos, compromiso claro y específico para respecto a la divulgación de información sensible para el Ministerio de Educación, sujeto a responsabilidad y acciones judiciales si el caso lo amerita. El Ministerio de Educación es responsable de clasificar la información como tal y tratarla en consecuencia. Todo colaborador que se incorpora a las áreas indicadas en el Alcance está sujeto a las siguientes condiciones:  Inducción de un día y hora a determinar por el gerente del área en la primera semana de labores. Esta inducción puede ser dada por el gerente o el coordinador del área solicitante.  Capacitación durante las dos primeras semanas de labores, como máximo. Esta capacitación puede darse con material específicamente preparado o por intermedio del colaborador que le sea asignado para este fin en las funciones que le competen.  El colaborador que ingrese para administrar algún servicio será catalogado como Senior o Junior, de acuerdo con sus competencias y experiencia local.  Laborar en el horario que se le ha asignado.  Atender por demanda en los turnos que sean asignados, en adición al horario laboral asignado.  Un periodo de evaluación de dos meses para colaboradores y de seis para coordinadores. Durante este periodo la evaluación es constante.  Quince días antes del término del periodo de evaluación se efectuará una evaluación de desempeño según la norma OFIN-AIT-P01-N02. De esta evaluación se obtendrán recomendaciones para la continuidad laboral del colaborador o su cese definitivo. 7. DESCRIPCIÓN DEL PROCEDIMIENTO NRO ACCIÓN RESPONSABLE 7.1 Solicita al jefe inmediato la incorporación de un nuevo colaborador. Coordinador del área solicitante 7.2 De comprobar la necesidad, solicita la autorización de la jefatura correspondiente. Responsable del área 7.3 Autoriza el requerimiento de personal. Jefe de OFIN
  • 6.
    TÍTULO CÓDIGO VERSIÓNPÁGINA SELECCIÓN DE COLABORADORES OFIN-AIT-P01-N01 2 4 de 5 NRO ACCIÓN RESPONSABLE 7.4 Efectúa el requerimiento a la UPER con el documento OFIN-AIT-P01-F01, Perfil del puesto, correspondiente al puesto requerido. Jefe de OFIN 7.5 Publica la convocatoria en la página Web institucional. UPER 7.6 Elige aquellos postulantes que cumplen con los requisitos indicados en el documento OFIN-AIT-P01-F01, Perfil del puesto. UPER 7.7 Recibe de la UPER la relación de postulantes pre-calificados. Coordinador del área solicitante 7.8 Efectúa las evaluaciones técnicas y realiza las entrevistas que sean necesarias. Coordinador del área solicitante / Responsable del área 7.9 Presentan los resultados de la evaluación al Jefe de OFIN. Coordinador del área solicitante / Responsable del área 7.10 Informa a la UPER sobre las evaluaciones realizadas. La fecha de ingreso debe ser posterior a la del informe al menos cinco días útiles. Jefe de OFIN 7.11 Ejecuta el proceso de ingreso. UPER 7.12 Informa al Jefe de OFIN que el proceso de ingreso ha terminado con éxito y, por tanto, el nuevo colaborador se incorporará en la fecha solicitada y no tendrá problemas para iniciar sus labores. UPER 7.13 Solicita a Mesa de Servicios la habilitación de recursos, creación de cuentas, contraseñas y accesos, inducción y capacitación. Coordinador del área solicitante 7.14 Confirma creación de cuentas, contraseñas y accesos según solicitud. Mesa de Servicios 8. REGISTROS Los registros empleados son los siguientes: OFIN-AIT-P01-F01 Perfil del puesto. OFIN-AIT-P01-F02 Evaluación del desempeño. OFIN-AIT-P01-F03 Solicitud de retiro o cese. OFIN-AIT-P01-F04 Acuerdo de confidencialidad.
  • 7.
    TÍTULO CÓDIGO VERSIÓNPÁGINA SELECCIÓN DE COLABORADORES OFIN-AIT-P01-N01 3 5 de 5 9. ANEXOS Organización: Horarios de trabajo: Inicio Fin AC AR AT AB AC AR AT AB Inicio Fin AC AR AT AB AC AR AT AB 08:00 09:00 X X X X 08:00 09:00 X X X X 09:00 10:00 X X X X 09:00 10:00 X X X X 10:00 11:00 X X X X 10:00 11:00 X X X X 11:00 12:00 X X X X 11:00 12:00 X X X X 12:00 13:00 X X X X X X X X 12:00 13:00 X X X X X X X X 13:00 14:00 X X X X X X X X 13:00 14:00 X X X X 14:00 15:00 X X X X X X X X 14:00 15:00 X X X X 15:00 16:00 X X X X X X X X 15:00 16:00 X X X X 16:00 17:00 X X X X X X X X 16:00 17:00 X X X X 17:00 18:00 X X X X 17:00 18:00 18:00 19:00 X X X X 18:00 19:00 19:00 20:00 X X X X 19:00 20:00 20:00 21:00 X X X X 20:00 21:00 8 8 8 8 8 8 8 8 5 5 5 5 5 5 5 5 Horas Administradores de servicios Sábado Senior Junior Efectivas Efectivas Senior Junior Administradores de serviciosHoras Lu-Vi
  • 8.
    TÍTULO CÓDIGO VERSIÓNPÁGINA EVALUACIÓN DEL DESEMPEÑO OFIN-AIT-P01-N02 3 1 de 8 1. OBJETIVOS Apreciar el desenvolvimiento del colaborador en el cargo y su potencial desarrollo. Analizar el grado de cumplimiento real de las funciones por parte del colaborador, en relación con aquellas que fueron indicadas para el cargo. Analizar las causas que originan situaciones insatisfactorias en el cumplimiento de las funciones. 2. ALCANCE Las áreas solicitantes son las encargadas de ejecutar esta norma, según se indica en la norma OFIN-AIT- P01-N01, Selección de colaboradores. 3. NORMAS A CONSULTAR OFIN-AIT-P01-N01, Selección de colaboradores. 4. DEFINICIONES Evaluación del desempeño: es un sistema de apreciación del desenvolvimiento del individuo en el cargo y su potencial desarrollo. Es enfocarse tanto en el “qué lograr” (objetivos, resultados) como en el “cómo lograrlo” (competencias). Es una oportunidad para propiciar el mejoramiento de las condiciones personales y laborales de los colaboradores, que redunde en el mejoramiento continuo en el que está empeñada la organización. Para el evaluado implica y exige capacidad de autocrítica con el fin de mejorar en su trabajo y para el evaluador, que esté más cerca de sus colaboradores, conociendo lo que hacen y cómo lo hacen. Competencias: son aquellos conocimientos, experiencia, habilidades o actitudes que son necesarios para desempeñar eficazmente las funciones asignadas a una persona en una organización. Son observables mediante conductas o resultados, y permiten conseguir los objetivos planteados para cada persona. Mediciones del desempeño: son los sistemas de calificación de cada labor. Deben ser de uso fácil, ser confiables y calificar los elementos esenciales que determinan el desempeño. Las observaciones del desempeño pueden llevarse a cabo en forma directa (cuantitativa para eliminar subjetividades) o indirecta (exámenes escritos, simulaciones, otros). Estándares de desempeño: constituyen los parámetros que permiten mediciones más objetivas. Se desprenden en forma directa del análisis de puestos, que pone de relieve las normas específicas de desempeño mediante el análisis de las labores. Basándose en las responsabilidades y labores en la descripción del puesto, el analista puede decidir qué elementos son esenciales y deben ser evaluados en todos los casos. Cuando se carece de esta información, los estándares pueden desarrollarse a partir de observaciones directas sobre el puesto o conversaciones directas con el jefe inmediato. ELABORADO POR: REVISADO POR: APROBADO POR: FECHA Jack Daniel Cáceres Meza Sonia Quito Walter Escajadillo
  • 9.
    TÍTULO CÓDIGO VERSIÓNPÁGINA EVALUACIÓN DEL DESEMPEÑO OFIN-AIT-P01-N02 1 2 de 8 5. CONDICIONES BÁSICAS La evaluación comprende a todos los colaboradores que desempeñan cargos profesionales, técnicos, auxiliares y otros con antigüedad mayor a dos periodos continuos de contratación. Se considera que aquellos colaboradores que tengan menos de un periodo de contratación estarán en proceso de adaptación o, con menos de tres meses, en periodo de prueba. La evaluación se realizará 15 días hábiles antes de finalizar el periodo de contratación del colaborador. Se empleará el documento OFIN-AIT-P01-F02, Ficha de evaluación del desempeño -en adelante, la evaluación. Esta evaluación deberá ser diligenciada en su totalidad, firmada por el coordinador o jefe inmediato que evalúa -en adelante, el evaluador- y el colaborador sujeto de evaluación -en adelante, el evaluado- y, finalmente, ratificada por el jefe inmediato superior. Las evaluaciones se consideran información confidencial y solamente de uso y beneficio exclusivo para la institución y el propio colaborador, por lo que no se proporcionarán copias a terceros sin autorización expresa y por escrito de la UPER y del Jefe de OFIN. Se persiguen dos objetivos:  Primero, que después de cada evaluación se formalicen compromisos mutuos entre la institución y el colaborador, con el propósito de mejorar el desempeño futuro de éste último. Este compromiso quedará establecido en la entrevista de evaluación.  Segundo, eliminar los elementos culturales de la evaluación, tanto de evaluados como de evaluadores. Estos elementos culturales se dan porque el colaborador de determinado grupo tiende a pensar que las prácticas, creencias, tradiciones, etc., de su propio grupo son las mejores, y no aceptan las prácticas y creencias de otros grupos por considerarlas "atrasadas", "inoperantes" o "peligrosas". Este fenómeno recibe el nombre de ETNOCENTRISMO, y se puede definir como la tendencia a considerar que los propios valores son siempre los mejores. Todo evaluador del desempeño tiene determinadas expectativas sobre la conducta del colaborador que debe evaluar, así como todo evaluado tiene determinadas expectativas sobre su conducta. Gran parte de esas expectativas se basan en elementos culturales. 6. CONDICIONES ESPECÍFICAS El procedimiento general es como sigue:  La Jefatura de OFIN indica la fecha de inicio y término de la evaluación y entrega la documentación necesaria -evaluación (documento OFIN-AIT-P01-F02, Ficha de evaluación del desempeño).  El evaluado realiza inicialmente su propia evaluación. La evaluación, debidamente diligenciada, es entregada al evaluador dentro de los cinco días hábiles siguientes a la recepción de la documentación.  Esta evaluación es revisada por el evaluado en conjunto con el evaluador para alcanzar un consenso que permita definir, por acuerdo mutuo, el establecimiento de las metas prioritarias y los resultados que se pretenden lograr en el periodo establecido. Esta revisión se realiza dentro de los cinco días hábiles siguientes a la recepción de la documentación por el evaluador. A esta revisión se le denomina entrevista de evaluación.  El evaluador efectúa la calificación correspondiente y entrega los resultados y las fichas a la jefatura dentro del plazo indicado por la jefatura.  La Jefatura de OFIN valida los datos y calificación recibidos, efectúa el registro y salvaguarda el material correspondiente.
  • 10.
    TÍTULO CÓDIGO VERSIÓNPÁGINA EVALUACIÓN DEL DESEMPEÑO OFIN-AIT-P01-N02 3 3 de 8 Se toman como base los resultados de la evaluación para:  Establecer las recomendaciones y medidas correctivas directas que permitan mejorar el desempeño de la persona evaluada (por ejemplo, facilidades de capacitación, etc.).  Establecer las pautas y medidas correctivas para mejorar el entorno de trabajo en el cual se desenvuelven los colaboradores.  Establecer elementos de juicio sobre los cuales se basarán eventuales medidas laborales y contractuales (ascenso, incremento de remuneración, facilidades de trabajo, sanciones, cese de la relación laboral, otros). 6.1. De la ficha de evaluación El documento OFIN-AIT-P01-F02, Ficha de evaluación del desempeño, la evaluación, consta de los siguientes apartados los cuales deben ser debidamente diligenciados en su totalidad:  Datos básicos de identificación, como son los nombres y apellidos completos del colaborador evaluado y del coordinador evaluador; fecha de la entrevista de evaluación.  Evaluación propiamente dicha, como la escala de cumplimiento, preguntas de aseguramiento, otros.  Comentarios del colaborador evaluado, donde el colaborador sujeto de evaluación podrá incluir comentarios positivos o negativos, acuerdos o desacuerdos, respecto al proceso de evaluación del que fue objeto.  Comentarios del coordinador evaluador, que es el responsable directo de la evaluación y quien deberá ser congruente y equitativo al describir, con base en las aportaciones documentadas que reflejen el puntaje otorgado, las actividades relevantes del colaborador evaluado; así como algunas acciones significativas aportadas por el mismo que tengan incidencia directa en los procesos de trabajo.  Firmas autógrafas del evaluado, del evaluador y del jefe inmediato del evaluador. Esto confiere validez a la ficha de evaluación. 6.2. De los aspectos a calificar en el colaborador Logro de resultados: se refiere tanto a la calidad y cantidad de los resultados del trabajo que realiza, como el cumplimiento de los objetivos y metas trazadas en las fechas programadas. Iniciativa: grado en que logra identificar, prever y solucionar adecuadamente los problemas y/o efectuar mejoras en la forma de desarrollar su trabajo, sin necesidad de ayuda o supervisión constante. Relaciones interpersonales: grado en que logra establecer y desarrollar relaciones armónicas, eficaces y constructivas con los compañeros, superiores y sobre todo con los clientes ya que son ellos los que califican su actitud. Actitud de servicio: grado en que logra y estimula a los demás a responder adecuada y oportunamente a las necesidades de las personas con quien interactúa, sean clientes o personal de la empresa. Trabajo en equipo: grado en que participa y promueve la formación de equipos de trabajo, para el mejor logro de los resultados de la empresa. Disponibilidad: grado en que asume la responsabilidad para el logro de los resultados de la empresa. Administración del tiempo: grado en que logra utilizar eficazmente su tiempo y respeta el de las personas con quienes interactúa, programando y controlando adecuadamente sus propias actividades. Disciplina personal: grado en que cumple con las normas de puntualidad, asistencia y discreción en el manejo de la información con que trabaja; además de su presentación personal acorde al puesto que desempeña.
  • 11.
    TÍTULO CÓDIGO VERSIÓNPÁGINA EVALUACIÓN DEL DESEMPEÑO OFIN-AIT-P01-N02 1 4 de 8 Disciplina del trabajo: grado en que cumple con las normas, políticas y procedimientos establecidos para la ejecución del trabajo. Conocimiento del trabajo: disposición y esfuerzo que realiza por aumentar en conocimiento de los diferentes elementos que integran tanto su propio trabajo, como el de las demás personas de la empresa. Liderazgo: grado en que logra coordinar, motivar y desarrollar eficazmente a sus colaboradores, utilizando la autoridad con responsabilidad para obtener respeto y confianza. Comunicación: grado en que mantiene un intercambio eficiente, ordenado y sistemático de información con quienes interactúa, para facilitar el logro de los resultados comunes. Otros: calidad de trabajo; iniciativa e interés; espíritu de colaboración; disciplina y responsabilidad; cuidado en el uso de bienes y equipos; rapidez en el trabajo; seguridad e higiene industrial; planificación y organización; toma de decisiones; análisis crítico; orientación a los resultados. 6.3. De la entrevista de evaluación El propósito de la entrevista de evaluación es que el jefe inmediato (evaluador) y el colaborador (evaluado) tengan la oportunidad de:  Revisar el grado de cumplimiento de las metas establecidas al inicio del ejercicio.  Discutir, en el marco de una atmósfera cordial, acerca de las actividades que se han desarrollado correctamente, aquellas donde se han encontrado problemas y acordar las soluciones. El evaluador deberá tratar de hacer un balance entre los reconocimientos al trabajo bien desarrollado y las áreas de mejora. Toda crítica deberá realizarse de manera constructiva y encontrarse sustentada con ejemplos.  Comentar acerca de programas a corto y mediano plazo, de acuerdo con las prioridades del área y de la empresa misma.  Identificar medidas que puedan ayudar a mejorar el desempeño.  Revisar las necesidades de desarrollo y proponer las acciones internas a seguir.  Acordar las metas para el siguiente ejercicio. La entrevista será más efectiva si se prepara en forma estructurada pero relativamente informal, por lo que se sugiere:  Programar y preparar la entrevista.  Avisar con suficiente tiempo al evaluado (al menos con 48 horas de anticipación).  Especificar a cada evaluado que la sesión de evaluación es para mejorar el desempeño.  Realizar la sesión en privado y con un mínimo de interrupciones.  Ser lo más específico posible, evitando las vaguedades.  Centrar los comentarios (positivos y negativos) en el desempeño y no en la persona.  Identificar y explicar las acciones específicas que el evaluado puede emprender para mejorar su desempeño.  Concluir la sesión destacando los aspectos positivos del evaluado, ofreciendo su ayuda para que el evaluado pueda lograr las metas fijadas. A continuación, se presentan algunas reglas básicas para la entrevista:  La entrevista de evaluación será de mayor provecho si se toma como una oportunidad para aconsejar y ayudar al evaluado, procurando crear un diálogo donde se desarrollen nuevas ideas y
  • 12.
    TÍTULO CÓDIGO VERSIÓNPÁGINA EVALUACIÓN DEL DESEMPEÑO OFIN-AIT-P01-N02 3 5 de 8 se alimente el interés mutuo; detectando, al mismo tiempo, aquellas áreas donde se presenten problemas.  Los problemas detectados deberán ser comentados abiertamente, identificando claramente las áreas de mejora.  Para el logro de lo anterior, es de gran importancia que se estimule al evaluado para que exprese sus puntos de vista y conclusiones, en lugar de que el evaluador imponga los suyos propios. Los problemas deberán ser abordados con el objeto de resolverlos conjuntamente, y no para culpar al evaluado, disminuyendo así temores que puedan perjudicar las relaciones entre el evaluado y el evaluador. 6.4. Del procedimiento para la definición de metas El proceso de definición de metas consiste en el establecimiento anticipado de resultados observables y medibles que se desean alcanzar en forma programada, con la intención de cumplir con los objetivos prioritarios, precisos y de impacto en resultados propuestos para el área en el periodo de tiempo establecido o acordado. El propósito fundamental del establecimiento y definición de metas es la medición de logros específicos, ya que éstos deben arrojar datos cuantificables que permitan verificar el avance y/o resultados obtenidos, y proveer la retroalimentación necesaria para efectuar las correcciones que sean requeridas. Para la definición de metas que propongan tanto el jefe inmediato como el colaborador, mediante las cuales se habrá de medir el grado de avance del trabajo por desarrollar y el cumplimiento de los objetivos preestablecidos, se recomiendan las siguientes reglas:  Establezca cada meta de de manera precisa y cuantificable.  Redacte claramente las metas, tomando en cuenta, para tal efecto, lo siguiente:  Use un verbo activo que haga hincapié en la realización, por ejemplo: analizar, revisar, elaborar, apoyar, etc.  Determine un resultado específico que pueda medirse tanto de manera cuantitativa como cualitativa.  Especifique un tiempo o fecha límite para alcanzar la meta.  Mencione únicamente las metas establecidas y la fecha de realización, haciendo caso omiso del por qué y el cómo.  Procure que las metas sean retadoras pero alcanzables.  Confronte la definición de las metas con las políticas existentes y los procedimientos de la organización; en caso de conflicto, modifique las metas que no concuerden.  Discuta su borrador de metas con el borrador de su personal hasta alcanzar un consenso que permita definir, con un acuerdo mutuo, el establecimiento de las metas prioritarias y los resultados que se pretenden lograr, ya que las metas serán viables en la medida en que cuenten con el compromiso personal del colaborador responsable de su realización. En resumen, al describir las metas, se deberá buscar que éstas:  Estén diseñadas para fortalecer y mejorar el desempeño. Se fundamenten en las funciones sustantivas del puesto que ocupan y contribuyan al logro de los objetivos de sus áreas departamentales.  Sean claras, objetivas y de fácil medición cuantitativa.  Se establezcan para cumplirse en el período propuesto, con una revisión semestral, para dar seguimiento a los logros, mediante su verificación o, en su caso, se realicen las mejoras correspondientes.
  • 13.
    TÍTULO CÓDIGO VERSIÓNPÁGINA EVALUACIÓN DEL DESEMPEÑO OFIN-AIT-P01-N02 1 6 de 8  Se dirija, al menos una meta, al desarrollo personal, con una orientación de beneficio para su área. El evaluador, posterior a la entrevista de evaluación, deberá calificar el grado de cumplimiento que ha tenido su colaborador para cada una de las metas. 6.5. De la retroalimentación En la actualidad se debe aprender a enfrentar continuamente situaciones de cambio lo cual conlleva a una rápida adaptación y también rápida recuperación de errores. Por ello, la retroalimentación se da en cualquier momento. La retroalimentación permite desarrollar el potencial humano de la empresa: el crecimiento de las personas y el mejoramiento del desempeño. Evita la ansiedad de adivinar lo que piensan o esperan de uno. Puede ser de dos tipos: de reafirmación (reconocimiento) y de reorientación (correctiva). La retroalimentación alineada con los objetivos permite a los colaboradores saber que se percibe y se aprecia lo bien que hacen o realizan alguna tarea o que, a pesar de que no se están desempeñando al nivel esperado, se percibe y se aprecia su esfuerzo por mejorar. A continuación, algunas sugerencias para dar una retroalimentación alineada con los objetivos:  Sea específico.  Lo más pronto posible.  Hable públicamente.  Diga cuál es la consecuencia positiva del hecho.  No de retroalimentaciones de diferente tipo al mismo tiempo.  Sea sincero. La retroalimentación para alinear a los objetivos puede producir sorpresa, molestia, resistencia. El colaborador que la recibe debe hacerlo con el mejor estado de ánimo, con confianza en quien la ofrece y en uno mismo; considere que es un regalo, agradézcala. No se deben argumentar las causas o apreciaciones sino proponer y desarrollar las soluciones. A continuación, algunas sugerencias para dar una retroalimentación para alinear a los objetivos:  No ataque a la persona.  Hable sobre hechos específicos y sus consecuencias.  Concéntrese en las soluciones.  No acumule varias “reorientaciones”.  Hágalo en privado.  Háblele a nombre propio.  Sea respetuoso y empático.  Sea positivo.  La retroalimentación no es castigo.
  • 14.
    TÍTULO CÓDIGO VERSIÓNPÁGINA EVALUACIÓN DEL DESEMPEÑO OFIN-AIT-P01-N02 3 7 de 8 7. DESCRIPCIÓN DEL PROCEDIMIENTO NRO ACCIÓN RESPONSABLE Evaluación programada del desempeño 7.1 Indica la fecha de inicio y término de la evaluación. Jefatura de OFIN 7.2 Realizan su evaluación personal sobre la base del documento GER-PRD-P01-N01-F02, Ficha de evaluación del desempeño. Todos los colaboradores 7.3 Entrega este documento debidamente diligenciado y en su totalidad, conforme se indica en el numeral 6.1, a su jefe inmediato. Colaborador 7.4 Recibe el documento, verifica que esté debidamente diligenciado y completo, define el lugar, fecha y hora para la entrevista de evaluación y se prepara para la misma conforme se sugiere en el numeral 6.4. Jefe inmediato 7.5 Realizan la entrevista de evaluación. La entrevista de evaluación debe llevarse a cabo conforme se sugiere en el numeral 6.4. Los aspectos a calificar se indican en el numeral 6.3. Las metas deben definirse conforme se sugiere en el numeral 6.5. Colaborador / Jefe inmediato 7.6 Pre-califica el grado de cumplimiento que ha tenido su colaborador para cada una de las metas y entrega los resultados y las fichas al gerente del área. Jefe inmediato 7.7 Recibe metas y busca desarrollarlas. Colaborador 7.7 Califica el grado de cumplimiento que ha tenido su colaborador para cada una de las metas en conjunto con el Coordinador o Jefe inmediato del colaborador y entrega los resultados y las fichas a la Jefatura de OFIN. Gerente del área 7.8 Valida los datos y calificación recibidos, efectúa el registro y salvaguarda el material correspondiente. Jefatura de OFIN 7.9 Procesa los resultados. Jefatura de OFIN Retroalimentación 7.10 Elige el tipo de retroalimentación que requiere dar: de reafirmación (alineada al objetivo) o de reorientación (para alinear al objetivo). Jefe inmediato 7.11 El colaborador recibe la retroalimentación elegida. Jefe inmediato 7.12 Si la retroalimentación es de reafirmación, es apreciado por su esfuerzo y desempeño. Colaborador 7.13 Si la retroalimentación es de reorientación, la recibe positivamente y busca mejorar. Colaborador
  • 15.
    TÍTULO CÓDIGO VERSIÓNPÁGINA EVALUACIÓN DEL DESEMPEÑO OFIN-AIT-P01-N02 1 8 de 8 8. REGISTROS Los registros empleados son los siguientes: OFIN-AIT-P01-F02 Ficha de evaluación del desempeño. 9. ANEXOS Ninguno
  • 16.
    TÍTULO CÓDIGO VERSIÓNPÁGINA RETIRO DE COLABORADORES OFIN-AIT-P01-N03 3 1 de 3 1. OBJETIVOS Consolidar el retiro del colaborador, por motivos personales o su cese, por motivos laborales o conductuales. 2. ALCANCE Las áreas respectivas son las encargadas de ejecutar esta norma, según se indica en la norma OFIN-AIT- P01-N01, Selección de colaboradores. La Jefatura de la Oficina de Informática es la encargada de supervisar el cumplimiento de esta norma. 3. NORMAS A CONSULTAR OFIN-AIT-P01-N01, Selección de colaboradores. OFIN-AIT-P01-N02, Evaluación del desempeño. 4. DEFINICIONES Ninguna. 5. CONDICIONES BÁSICAS El área solicitante solicita a la Jefatura de OFIN el retiro del colaborador. La UPER es la encargada de efectuar el retiro formal de un colaborador. El área solicitante cursa el requerimiento a Mesa de Servicios para el bloqueo de cuentas, contraseñas y accesos y la disposición de recursos, si fuera el caso. 6. CONDICIONES ESPECÍFICAS El área que lo requiera solicita a la Jefatura de OFIN el retiro de un colaborador. Para solicitar el retiro se emplea el documento OFIN-AIT-P01-F03, Solicitud de retiro o cese. En este documento se registra el nombre completo del colaborador que se retira o del cual se solicita el cese, el motivo correspondiente, la fecha efectiva de retiro acordada con el colaborador o de cese, en cuyo caso, puede ser la misma de la solicitud. ELABORADO POR: REVISADO POR: APROBADO POR: FECHA Jack Daniel Cáceres Meza Sonia Quito Walter Escajadillo
  • 17.
    TÍTULO CÓDIGO VERSIÓNPÁGINA RETIRO DE COLABORADORES OFIN-AIT-P01-N03 1 2 de 3 Antes del retiro efectivo de la empresa, la Jefatura de OFIN debe recordar al colaborador el acuerdo de confidencialidad (OFIN-AIT-P01-F01) que hubiera firmado cuando ingresó, así como su contenido. Este recordatorio debe efectuarse de manera formal y debe quedar un registro firmado. 6.1. CONDICIONES PARA EL RETIRO Todo colaborador que se retira de la empresa está sujeto a las siguientes condiciones, cuya observación y cumplimiento son responsabilidad de la gerencia solicitante del retiro o cese:  Devolución en buen estado de todo equipo, computadora, herramienta, utensilio o material propiedad de la empresa. Por buen estado se entiende que, en el momento de ser efectivo el retiro del colaborador, el bien devuelto se encuentra en condiciones de seguir funcionando o el material, de poder ser utilizado. No se considera desgaste por funcionamiento normal. Tampoco se considera mal funcionamiento o mal estado siempre y cuando esta condición haya sido registrada previamente.  Devolución de toda información, ya sea física o electrónica, a la que ha tenido acceso durante su relación laboral o que ha sido provista por la empresa para el desarrollo de sus funciones.  Entrega de una relación con todas las cuentas y contraseñas que empleó durante el desempeño de sus funciones para acceder a los servicios o para utilizar herramientas, computadoras y otros equipos, independientemente a si le fueron confiadas de manera expresa o no.  Entrega de una relación que incluya los nombres de las empresas con las que ha tenido contacto durante su relación laboral, el por qué es importante para la institución, qué servicios atiende, nombres completos y cargos de los contactos establecidos en estas empresas, números de teléfonos fijos y celulares, correo electrónico.  Entrega de un informe detallado del estado en que deja la función bajo su responsabilidad. 7. DESCRIPCIÓN DEL PROCEDIMIENTO NRO ACCIÓN RESPONSABLE 7.1 Solicita su retiro de la empresa. De comprobar la necesidad, solicita el cese de un colaborador. Colaborador Coordinador / Responsable del área solicitante/ Jefe de OFIN 7.2 Informa a la Jefatura de OFIN el nombre completo del colaborador que se retira o del cual se solicita el cese, el motivo correspondiente, la fecha efectiva de retiro acordada con el colaborador o de cese, en cuyo caso, puede ser la misma del informe. Responsable del área solicitante 7.3 Autoriza el retiro o cese del colaborador. Jefe de OFIN 7.4 Informa a la UPER sobre el retiro del colaborador. Jefe de OFIN 7.5 Asegura que el colaborador cumpla con las condiciones específicas para el retiro detalladas en el numeral 6.1. Coordinador del área solicitante 7.6 Efectúa el retiro formal del colaborador conforme se indica en el numeral 5. UPER
  • 18.
    TÍTULO CÓDIGO VERSIÓNPÁGINA RETIRO DE COLABORADORES OFIN-AIT-P01-N03 3 3 de 3 NRO ACCIÓN RESPONSABLE 7.7 Informa a Mesa de Servicios sobre el retiro del colaborador Responsable del área solicitante 7.8 Confirma bloqueo de cuentas, contraseñas y accesos, y disposición de recursos según solicitud. Mesa de Servicios 7.9 Recuerda al colaborador el acuerdo de confidencialidad (OFIN-AIT-P01-F01) que hubiera firmado cuando ingresó, así como su contenido. Este recordatorio debe efectuarse de manera formal y debe quedar un registro firmado. Responsable del área solicitante 7.10 Confirma a la gerencia solicitante el retiro o cese del colaborador. UPER 8. REGISTROS Los registros empleados son los siguientes: OFIN-AIT-P01-F03 Solicitud de retiro o cese. 9. ANEXOS Ninguno
  • 19.
    V2 Junio 2012Página 1/1 Proceso: OFIN-AIT-P01 Colaboradores Área: Operaciones y Sistemas Dpto.: Centro de datos, Mesa de servicio Indicador: OFIN-AIT-P01-I01 Rotación interna Expresa: Eficiencia X Eficacia Efectividad Tipo: Proceso X Producto Aprobado el: Aprobado por: 1. Definición: Porcentaje en que las funciones vacantes son suplidas por personal interno. RI= ∑ Solicitudes de traslado interno ∑ Total de solicitudes recibidas en un semestre × 100 2. Objetivo Establecer una línea de carrera para los colaboradores. 3. Niveles de Referencia Aplica Cuál es o debe serSI NO Histórico X Planificado X 90% Estándar X Diseño X Competencia X Estado del Arte X 4. Responsabilidad Desviación Responsabilidad (¿A quién le corresponde actuar?) Real vs. Planificado Coordinador de equipo Planificado vs. Estándar Responsable de unidad Estándar vs. Diseño Jefe del área Diseño vs. Estado del Arte Real vs. Competencia 5. Subdivisión Los datos a mostrar son:  Rotación interna de Soporte Técnico Nivel 1 a Nivel 2.  Rotación interna de Soporte Técnico Nivel 2 al Centro de Datos. 6. Puntos de lectura e instrumentos Datos requeridos ¿Cómo se obtienen? ¿Dónde y cuándo se observan? ¿Quién registra las observaciones? Solicitudes registradas Registro de solicitudes de las áreas técnicas Evaluaciones de desempeño Jefes / coordinadores 7. Periodicidad Semanal Mensual Trimestral Semestral X Otro 8. Sistema de información y procesamiento de datos Contabiliza el total de solicitudes de traslado interno entre las áreas de la organización o de un área en particular y lo divide entre el total de solicitudes de traslado, interno o externo, de la organización.
  • 20.
    V3 Octubre 2012Página 1/1 Proceso: OFIN-AIT-P01 Colaboradores Área: Operaciones y Sistemas Dpto.: Centro de datos, Mesa de ayuda Indicador: OFIN-AIT-P01-I02 Logro de metas Expresa: Eficiencia Eficacia X Efectividad X Tipo: Proceso Producto X Aprobado el: Aprobado por: 1. Definición: Porcentaje de logro de metas establecidas en las reuniones de evaluación de desempeño. LM= ∑ Número de metas alcanzados con éxito ∑ Total acordado de metas por alcanzar con éxito × 100 2. Objetivo Establecer una línea de carrera para los colaboradores. 3. Niveles de Referencia Aplica Cuál es o debe serSI NO Histórico X Planificado X 95% Estándar X 70% Diseño X Competencia X Estado del Arte X 4. Responsabilidad Desviación Responsabilidad (¿A quién le corresponde actuar?) Real vs. Planificado Coordinador de equipo Planificado vs. Estándar Responsable de unidad Estándar vs. Diseño Jefe del área Diseño vs. Estado del Arte Real vs. Competencia 5. Subdivisión Ninguna. 6. Puntos de lectura e instrumentos Datos requeridos ¿Cómo se obtienen? ¿Dónde y cuándo se observan? ¿Quién registra las observaciones? Listados, correos, informes, otros Evaluaciones de desempeño registradas Reuniones de evaluación del desempeño Jefes / coordinadores 7. Periodicidad Semanal Mensual Trimestral Semestral X Otro 8. Sistema de información y procesamiento de datos Contabiliza el total de metas alcanzadas con éxito por el colaborador y efectúa la división con respecto al total de metas que se acordó alcanzar durante la anterior entrevista de evaluación de desempeño.
  • 21.
    OFIN OFIN-AIT-P01-F01 V3 Octubre2012 Página 1/4 ADMINISTRADOR DE INFRAESTRUCTURA Título del puesto Administrador de Infraestructura. Título de la posición a quien reporta Responsable del Área de Infraestructura Tecnológica Número de trabajadores que supervisa Ninguno. Puestos que reportan directamente a la posición Ninguno. Competencias y responsabilidades del puesto  Monitorizar, controlar, diagnosticar y gestionar los sistemas que proveen suministro eléctrico, suministro eléctrico sin interrupciones, contra incendio, alarma, sensores; entre otros.  Efectuar el escalamiento adecuado y oportuno de problemas.  Efectuar el seguimiento continuo a los problemas escalados hasta su completa solución.  Ejecutar el plan de contingencia cuando sea necesario.  Implementar toda instalación, modificación, actualización, adición, reemplazo o borrado realizado sobre la configuración del -o sobre los propios- servicio, y/o inserción, retiro o reemplazo de componentes como partes y piezas con la autorización del Responsable del Área de Infraestructura Tecnológica mediante la respectiva Solicitud de Cambio.  Sugerir la configuración mínima de los equipos, o servicios requeridos para y en los diferentes proyectos.  Evaluar continuamente la capacidad de los recursos empleados por la institución y los servicios que se proveen con la finalidad de preveer su necesidad de crecimiento.  Desarrollar y mantener actualizados los manuales y procedimientos necesarios.  Proveer los datos necesarios para desarrollar e implementar los indicadores de gestión del área de acuerdo con las políticas establecidas.  Cumplir las normas y procedimientos de acuerdo con las políticas establecidas.  Buscar continuamente que mejorar las actividades dentro de su departamento.  Mantener informado de las ocurrencias y nuevos proyectos a los jefes inmediatos superiores.  Las demás funciones que le sean asignadas por su jefatura, en el ámbito de su competencia. Disponibilidad para viajar Sí No X Requiere movilidad propia Sí No X Días y horario de trabajo Sujeto a turnos con un máximo de 45 horas semanales de trabajo. Lugar y ambiente de trabajo Lima, en ambiente de oficina.
  • 22.
    OFIN OFIN-AIT-P01-F01 V3 Octubre2012 Página 2/4 Grado de estudios requerido Título de ingeniero o grado de bachiller. Especialidad académica requerida Electrónica, comunicaciones, informática o ramas afines -con especialización en infraestructura de centros de datos. Conocimientos específicos adicionales  Sistemas de aire acondicionado de precisión.  Sistemas eléctricos de baja y media tensión.  Transformadores de aislamiento.  Grupos electrógenos.  Sensores y alarmas, cámaras IP o CCTV.  Sistemas contra incendio.  Sistemas para el control de acceso.  Otros: buenas prácticas en gestión de servicios (ITIL), metodología para desarrollo y gestión de proyectos (PMI, otras). Áreas donde es necesario haya obtenido experiencia Implementación de centros de datos con más de treinta (30) servidores físicos. Idioma y nivel necesario Inglés, hablado y escrito, nivel medio mínimo. Tipo de empresa donde sea necesaria la experiencia Integradores de soluciones de TI o empresa de envergadura pública o privada, de cualquier rubro. Experiencia laboral mínima (años) 1-3 3-5 X 5-8 8-10 10-15 15-20 20-25 25-30 Experiencia mínima en el puesto (años) 1-3 X 3-5 5-8 8-10 10-15 15-20 20-25 25-30 Edad Entre ___25_____ y ____50______ años Género Masculino Femenino Sin preferencia X Estado civil Casado(a) Soltero(a) Sin preferencia X Nacionalidad Peruano. Rasgos personales  Hábil para la comunicación interpersonal a todo nivel.
  • 23.
    OFIN OFIN-AIT-P01-F01 V3 Octubre2012 Página 3/4  Ordenado y disciplinado.  Proactivo y con capacidad de liderazgo.  Habilidad para manejarse bajo presión. Condiciones del puesto Remuneración : S/. X,XXX mensuales Capacitación : Por definir Otros : Ninguno Nivel de aprobación <<Área solicitante>> <<Nombres y apellidos>>
  • 24.
  • 25.
    OFIN OFIN-AIT-P01-F01 V3 Octubre2012 Página 1/3 ADMINISTRADOR DEL SERVICIO DE RED Título del puesto Administrador del Servicio de Red. Título de la posición a quien reporta Coordinador del Centro de Datos. Número de trabajadores que supervisa Ninguno. Puestos que reportan directamente a la posición Ninguno. Competencias y responsabilidades del puesto  Monitorizar, controlar, diagnosticar y gestionar la red de interconexión de datos a nivel nacional, el acceso a Internet local e internacional, enlaces redundantes.  Monitorizar y controlar la seguridad y el óptimo rendimiento y disponibilidad de los equipos y servidores de comunicaciones en general; transporte de datos local e internacional; activación, suspensión y desactivación de servicios; otros relacionados.  Validar cuentas y contraseñas de usuarios en los sistemas de gestión de la red de datos.  Efectuar y controlar el escalamiento adecuado y oportuno de problemas.  Efectuar el seguimiento continuo a los problemas escalados hasta su completa solución.  Ejecutar el plan de contingencia cuando sea requerido.  Ejecutar las tareas que le han sido delegadas dentro de los presupuestos y plazos solicitados.  Implementar las medidas preventivas o correctivas que sean necesarias para asegurar la inviolabilidad física y lógica de los equipos o servidores, como parches de seguridad o actualizaciones de productos con la autorización del Responsable del Área de Infraestructura Tecnológica mediante la respectiva Solicitud de Cambio.  Implementar toda instalación, modificación, actualización, adición, reemplazo o borrado realizado sobre la configuración del software base, aplicativos o servicios, y/o inserción, retiro o reemplazo del hardware de equipo o servidores, con la autorización del Responsable del Área de Infraestructura Tecnológica mediante la respectiva Solicitud de Cambio.  Sugerir la configuración mínima de los equipos, servidores o servicios requeridos para y en los diferentes proyectos (términos de referencia, especificaciones técnicas mínimas).  Efectuar el seguimiento al mantenimiento preventivo y correctivo del equipamiento de red, comunicaciones e infraestructura (UPS, aire acondicionado, controles de temperatura y humedad, sensores de calor y humo, reguladores de amperaje y voltaje, pozo a tierra, grupo electrógeno, otros).  Evaluar continuamente nuevas herramientas y métodos tendientes a mejorar la seguridad y administración de los recursos empleados por la institución y los servicios que se proveen, así como incrementar la capacidad de monitoreo proactivo de estos recursos y servicios.  Evaluar continuamente la capacidad de los recursos empleados por la institución y los servicios que se proveen con la finalidad de preveer su necesidad de crecimiento.
  • 26.
    OFIN OFIN-AIT-P01-F01 V3 Octubre2012 Página 2/3  Diligenciar debidamente los formularios de control de servicios de acuerdo con las políticas establecidas e informar al área de Configuración y Activos sobre cambios en el inventario o configuración de equipos informáticos.  Desarrollar y mantener actualizados los manuales y procedimientos necesarios.  Proveer los datos necesarios para desarrollar e implementar los indicadores de gestión del área de acuerdo con las políticas establecidas.  Cumplir las normas y procedimientos de acuerdo con las políticas establecidas.  Buscar continuamente que mejorar las actividades dentro de su departamento.  Mantener informado de las ocurrencias y nuevos proyectos a los jefes inmediatos superiores.  Las demás funciones que le sean asignadas por su jefatura, en el ámbito de su competencia. Disponibilidad para viajar Sí X No Requiere movilidad propia Sí No X Días y horario de trabajo Sujeto a turnos con un máximo de 45 horas semanales de trabajo. Lugar y ambiente de trabajo Lima, en ambiente de oficina. Grado de estudios requerido Título de ingeniero o grado de bachiller. Especialidad académica requerida Electrónica, comunicaciones, informática o ramas afines -con especialización en redes de computadoras. Conocimientos específicos adicionales  Comunicaciones: diseño e instalación de redes LAN/WAN/CDMA/GSM/Wi-FI/WiMAX/Satelital; control, monitoreo y gestión de equipos de comunicaciones; analizadores de protocolo; instalación y configuración de routers, VLAN, VPN; protocolos SNMP, SSH y otros relacionados; tecnologías ATM, MPLS, xDSL; análisis de tráfico de red; comunicaciones y equipos de voz y vídeo.  Servidores Windows y Linux/Unix: instalación, gestión, monitoreo y diagnóstico del hardware; instalación y configuración del software base; software de virtualización; gestión remota de servicios; optimización del rendimiento; seguridad.  Otros: buenas prácticas en gestión de servicios (ITIL), metodología para desarrollo y gestión de proyectos (PMI, otras). Áreas donde es necesario haya obtenido experiencia Transmisión de voz y datos entre locales interconectados. Implementación de redes de computadoras. Gestión de servicios Internet. Idioma y nivel necesario Inglés, hablado y escrito, nivel medio mínimo tal que permita la lectura de manuales técnicos.
  • 27.
    OFIN OFIN-AIT-P01-F01 V3 Octubre2012 Página 3/3 Tipo de empresa donde sea necesaria la experiencia Operadores de telecomunicaciones, integradores de soluciones de TI o empresa de envergadura pública o privada, de cualquier rubro. Experiencia laboral mínima (años) 1-3 3-5 5-8 X 8-10 10-15 15-20 20-25 25-30 Experiencia mínima en el puesto (años) 1-3 3-5 X 5-8 8-10 10-15 15-20 20-25 25-30 Edad Mayor de _25_ años Género Masculino Femenino Sin preferencia X Estado civil Casado(a) Soltero(a) Sin preferencia X Nacionalidad Peruano. Rasgos personales  Hábil para la comunicación interpersonal a todo nivel.  Ordenado y disciplinado.  Proactivo y con capacidad de liderazgo.  Habilidad para manejarse bajo presión. Condiciones del puesto Remuneración : S/. X,XXX mensuales Capacitación : Por definir Otros : Ninguno Nivel de aprobación <<Área solicitante>> <<Nombres y apellidos>> Jefe de OFIN <<Nombres y apellidos>>
  • 28.
    OFIN OFIN-AIT-P01-F01 V3 Octubre2012 Página 1/4 ADMINISTRADOR DE SERVICIOS DE TI Título del puesto Administrador de Servicios de TI. Título de la posición a quien reporta Responsable del Centro de Datos Número de trabajadores que supervisa Ninguno. Puestos que reportan directamente a la posición Ninguno. Competencias y responsabilidades del puesto  Monitorizar, controlar, diagnosticar y gestionar los servidores y servicios de correo, hosting, DNS, filtro de contenido, FTP, antispam y antivirus para correo, bases de datos; sistemas de almacenamiento en disco y librerías de cinta; entre otros.  Gestionar la seguridad y el óptimo rendimiento y disponibilidad de los servicios provistos; validación, alta y baja de usuarios; activación, desactivación y suspensión de servicios.  Efectuar el escalamiento adecuado y oportuno de problemas.  Efectuar el seguimiento continuo a los problemas escalados hasta su completa solución.  Ejecutar el plan de contingencia cuando sea necesario.  Implementar las medidas preventivas y correctivas que sean necesarias para asegurar la inviolabilidad física y lógica de los servidores en producción, como parches de seguridad o actualizaciones de productos con la autorización del Responsable del Área de Infraestructura Tecnológica mediante la respectiva Solicitud de Cambio.  Implementar toda instalación, modificación, actualización, adición, reemplazo o borrado realizado sobre la configuración del -o sobre los propios- software de base, aplicativos o servicios, y/o inserción, retiro o reemplazo del hardware de servidores en producción con la autorización del Responsable del Área de Infraestructura Tecnológica mediante la respectiva Solicitud de Cambio.  Sugerir la configuración mínima de los equipos, servidores o servicios requeridos para y en los diferentes proyectos.  Evaluar continuamente la capacidad de los recursos empleados por la institución y los servicios que se proveen con la finalidad de preveer su necesidad de crecimiento.  Diligenciar debidamente los formularios de control de servicios de acuerdo con las políticas establecidas e informar al área de Configuración y Activos sobre cambios en el inventario o configuración de equipos informáticos.  Desarrollar y mantener actualizados los manuales y procedimientos necesarios.  Proveer los datos necesarios para desarrollar e implementar los indicadores de gestión del área de acuerdo con las políticas establecidas.  Cumplir las normas y procedimientos de acuerdo con las políticas establecidas.  Buscar continuamente que mejorar las actividades dentro de su departamento.  Mantener informado de las ocurrencias y nuevos proyectos a los jefes inmediatos superiores.  Las demás funciones que le sean asignadas por su jefatura, en el ámbito de su competencia.
  • 29.
    OFIN OFIN-AIT-P01-F01 V3 Octubre2012 Página 2/4 Disponibilidad para viajar Sí No X Requiere movilidad propia Sí No X Días y horario de trabajo Sujeto a turnos con un máximo de 45 horas semanales de trabajo. Lugar y ambiente de trabajo Lima, en ambiente de oficina. Grado de estudios requerido Título de ingeniero o grado de bachiller. Especialidad académica requerida Electrónica, comunicaciones, informática o ramas afines -con especialización en redes de computadoras. Conocimientos específicos adicionales  Comunicaciones: diseño e instalación de redes LAN/WAN; control, monitoreo y gestión de equipos de comunicaciones; instalación y configuración de routers, VLAN, VPN; protocolos IMAP, POP3, SMTP, SNMP, otros.  Servidores Windows y Linux/Unix: instalación, gestión, diagnóstico y monitoreo del hardware; instalación y configuración del software de base; instalación y configuración de software de correo, DNS, proxy, firewall, web, antispam, antivirus para correo, filtro de contenido, FTP, bases de datos, otros; gestión remota de servicios; optimización del rendimiento; sistemas de almacenamiento en disco; librerías de cintas; seguridad.  Otros: buenas prácticas en gestión de servicios (ITIL), metodología para desarrollo y gestión de proyectos (PMI, otras). Áreas donde es necesario haya obtenido experiencia Implementación de servicios DNS, proxy, firewall, web, antispam, antivirus para correo, filtro de contenido, FTP y protocolos IMAP, POP3, SMTP, SNMP, otros. Idioma y nivel necesario Inglés, hablado y escrito, nivel medio mínimo. Tipo de empresa donde sea necesaria la experiencia Integradores de soluciones de TI o empresa de envergadura pública o privada, de cualquier rubro. Experiencia laboral mínima (años) 1-3 3-5 X 5-8 8-10 10-15 15-20 20-25 25-30 Experiencia mínima en el puesto (años) 1-3 X 3-5 5-8 8-10 10-15 15-20 20-25 25-30 Edad Entre ___25_____ y ____50______ años
  • 30.
    OFIN OFIN-AIT-P01-F01 V3 Octubre2012 Página 3/4 Género Masculino Femenino Sin preferencia X Estado civil Casado(a) Soltero(a) Sin preferencia X Nacionalidad Peruano. Rasgos personales  Hábil para la comunicación interpersonal a todo nivel.  Ordenado y disciplinado.  Proactivo y con capacidad de liderazgo.  Habilidad para manejarse bajo presión. Condiciones del puesto Remuneración : S/. X,XXX mensuales Capacitación : Por definir Otros : Ninguno Nivel de aprobación <<Área solicitante>> <<Nombres y apellidos>>
  • 31.
  • 32.
    OFIN OFIN-AIT-P01-F01 V3 Octubre2012 Página 1/3 ADMINISTRADOR DEL SERVICIO DE TELEFONÍA Título del puesto Administrador del Servicio de Telefonía. Título de la posición a quien reporta Coordinador del Centro de Datos. Número de trabajadores que supervisa Ninguno. Puestos que reportan directamente a la posición Ninguno. Competencias y responsabilidades del puesto  Monitorizar, controlar y diagnosticar la red de telefonía fija y de larga distancia, nacional e internacional, y la telefonía IP.  Monitorizar y controlar la seguridad y el óptimo rendimiento y disponibilidad de los servicios de telefonía IP; equipos y servidores de comunicaciones telefónicas; validación, alta y baja de usuarios; activación, desactivación y suspensión de servicios; otros relacionados.  Efectuar el escalamiento adecuado y oportuno de problemas.  Efectuar el seguimiento continuo a los problemas escalados hasta su completa solución.  Ejecutar el plan de contingencia cuando sea requerido.  Implementar las medidas preventivas o correctivas que sean necesarias para asegurar la inviolabilidad física y lógica de los equipos o servidores, como parches de seguridad o actualizaciones de productos con la autorización del Responsable del Área de Infraestructura Tecnológica mediante la respectiva Solicitud de Cambio.  Implementar toda instalación, modificación, actualización, adición, reemplazo o borrado realizado sobre la configuración del software base, aplicativos o servicios, y/o inserción, retiro o reemplazo del hardware de equipo o servidores, con la autorización del Responsable del Área de Infraestructura Tecnológica mediante la respectiva Solicitud de Cambio.  Sugerir la configuración mínima de los equipos, servidores o servicios requeridos para y en los diferentes proyectos (términos de referencia, especificaciones técnicas mínimas).  Evaluar continuamente nuevas herramientas y métodos tendientes a mejorar la seguridad y administración de los recursos empleados por la institución y los servicios que se proveen, así como incrementar la capacidad de monitoreo proactivo de estos recursos y servicios.  Evaluar continuamente la capacidad de los recursos empleados por la institución y los servicios que se proveen con la finalidad de preveer su necesidad de crecimiento.  Diligenciar debidamente los formularios de control de servicios de acuerdo con las políticas establecidas e informar al área de Configuración y Activos sobre cambios en el inventario o configuración de equipos informáticos.  Desarrollar y mantener actualizados los manuales y procedimientos necesarios.  Proveer los datos necesarios para desarrollar e implementar los indicadores de gestión del área de acuerdo con las políticas establecidas.  Cumplir las normas y procedimientos de acuerdo con las políticas establecidas.  Buscar continuamente que mejorar las actividades dentro de su departamento.
  • 33.
    OFIN OFIN-AIT-P01-F01 V3 Octubre2012 Página 2/3  Mantener informado de las ocurrencias y nuevos proyectos a los jefes inmediatos superiores.  Las demás funciones que le sean asignadas por su jefatura, en el ámbito de su competencia. Disponibilidad para viajar Sí X No Requiere movilidad propia Sí No X Días y horario de trabajo Sujeto a turnos con un máximo de 45 horas semanales de trabajo. Lugar y ambiente de trabajo Lima, en ambiente de oficina. Grado de estudios requerido Título de ingeniero o grado de bachiller. Especialidad académica requerida Electrónica, comunicaciones, informática o ramas afines -con especialización en redes de computadoras. Conocimientos específicos adicionales  Comunicaciones: diseño e instalación de redes IP de telefonía fija, larga distancia y fax; protocolos SIP, H.323, SNMP, SSH y otros relacionados; codecs G.711, G.729, G.723, T.30, T.38 y otros relacionados; control, monitoreo y gestión de equipos de comunicaciones; instalación y configuración de routers, centrales telefónicas basadas en software, gateways de voz y fax, VLAN, VPN.  Servidores Windows y Linux/Unix: instalación, gestión, diagnóstico y monitoreo del hardware de servidores Windows y Linux/Unix; instalación y configuración del software base; instalación y configuración de software Asterisk o similares; call center y contact center; gestión remota de servicios; optimización del rendimiento; seguridad.  Otros: buenas prácticas en gestión de servicios (ITIL), metodología para desarrollo y gestión de proyectos (PMI, otras). Áreas donde es necesario haya obtenido experiencia Transmisión de voz, fax y datos vía IP entre locales interconectados. Desarrollo y administración de proyectos de infraestructura telefónica. Implementación de redes de computadoras. Gestión de servicios Internet. Idioma y nivel necesario Inglés, hablado y escrito, nivel medio mínimo tal que permita la lectura de manuales técnicos. Tipo de empresa donde sea necesaria la experiencia Operadores de telecomunicaciones, operadores de telefonía, integradores de servicios de TI o empresa de envergadura pública o privada, de cualquier rubro. Experiencia laboral mínima (años)
  • 34.
    OFIN OFIN-AIT-P01-F01 V3 Octubre2012 Página 3/3 1-3 3-5 X 5-8 8-10 10-15 15-20 20-25 25-30 Experiencia mínima en el puesto (años) 1-3 X 3-5 5-8 8-10 10-15 15-20 20-25 25-30 Edad Mayor de _25_ años Género Masculino Femenino Sin preferencia X Estado civil Casado(a) Soltero(a) Sin preferencia X Nacionalidad Peruano. Rasgos personales  Hábil para la comunicación interpersonal a todo nivel.  Ordenado y disciplinado.  Proactivo y con capacidad de liderazgo.  Habilidad para manejarse bajo presión. Condiciones del puesto Remuneración : S/. X,XXX mensuales Capacitación : Por definir Otros : Ninguno Nivel de aprobación <<Área solicitante>> <<Nombres y apellidos>> Jefe de OFIN <<Nombres y apellidos>>
  • 35.
    OFIN OFIN-AIT-P01-F01 V3 Octubre/2012Página 1/3 ASISTENTE DEL ÁREA Título del puesto Asistente del Área de Infraestructura Tecnológica. Título de la posición a quien reporta Responsable del Área de Infraestructura Tecnológica. Número de trabajadores que supervisa Ninguno. Puestos que reportan directamente a la posición Ninguno. Competencias y responsabilidades del puesto  Archivamiento de documentación del área.  Coordinación con especialistas para recabar la documentación del área.  Cierre de documentación en el SINAD.  Coordinar con las áreas internas de abastecimiento y la Unidad de Abastecimiento de OGA el suministro a tiempo de materiales de oficina.  Actualizar el cronograma de actividades establecido de acuerdo con los avances en el análisis y programación de los proyectos o según se solicite.  Supervisar la calidad y puntualidad de los entregables delegados a los colaboradores por el Responsable del Área de Infraestructura Tecnológica.  Administrar los repositorios de datos y bases de datos de proyectos del área.  Coordinar con las áreas internas de abastecimiento y la Unidad de Abastecimiento de OGA la formulación y re-formulación de Términos de Referencia.  Coordinar con las áreas o dependencias responsables el acceso de proveedores y colaboradores de turno.  Apoyar a que la documentación se mantenga actualizada y cuente con el detalle necesario: diagramas, procedimientos, manuales de usuario y de operación, otros.  Mantener informado de las ocurrencias al jefe inmediato superior.  Apoyar en la obtención de mediciones para los indicadores de gestión del área de acuerdo con las políticas establecidas.  Cumplir y hacer cumplir las normas internas.  Buscar continuamente que mejorar las actividades dentro de su departamento. Disponibilidad para viajar Sí No X Requiere movilidad propia Sí No X Días y horario de trabajo Lunes a viernes, de 08:15 a 17:15 horas con una hora de refrigerio.
  • 36.
    OFIN OFIN-AIT-P01-F01 V3 Octubre/2012Página 2/3 Lugar y ambiente de trabajo Lima, en ambiente de oficina. Grado de estudios requerido Grado de bachiller o técnico. Especialidad académica requerida Técnico en computación, administración, logística o ramas afines. Conocimientos específicos adicionales Ninguna preferencia. Áreas donde es necesario haya obtenido experiencia Digitación, supervisión de áreas de digitación, técnico en computación. Idioma y nivel necesario Inglés, hablado y escrito, nivel básico. Tipo de empresa donde sea necesaria la experiencia Ninguna preferencia. Experiencia laboral mínima (años) 1-3 3-5 X 5-8 8-10 10-15 15-20 20-25 25-30 Experiencia mínima en el puesto (años) 1-3 X 3-5 5-8 8-10 10-15 15-20 20-25 25-30 Edad Mayor de ___25__ años. Género Masculino Femenino Sin preferencia X Estado civil Casado(a) Soltero(a) Sin preferencia X Nacionalidad Peruano. Rasgos personales  Hábil para la comunicación interpersonal a todo nivel.  Ordenado y disciplinado.  Proactivo y con capacidad de liderazgo.  Habilidad para manejarse bajo presión. Condiciones del puesto Remuneración : S/. X,XXX mensuales
  • 37.
    OFIN OFIN-AIT-P01-F01 V3 Octubre/2012Página 3/3 Capacitación : Por definir Otros : Ninguno Nivel de aprobación <<Área solicitante>> <<Nombres y apellidos>> Jefe de OFIN <<Nombres y apellidos>>
  • 38.
    OFIN OFIN-AIT-P01-F01 V3 Octubre2012 Página 1/3 COORDINADOR DE SERVICIOS Título del puesto Coordinador de servicios del Centro de datos. Título de la posición a quien reporta Responsable del Área de Infraestructura Tecnológica. Número de trabajadores que supervisa Los correspondientes por especialización. Puestos que reportan directamente a la posición Redes: Especialista de telefonía (01), Especialista de servicios (02), Especialista de red (01), operador de apoyo (01). Usuario: Especialista de AD (01), Especialista de servidores (02), Especialista de correo electrónico (01), operador de apoyo (01) Competencias y responsabilidades del puesto  Seguimiento y control del mantenimiento preventivo y correctivo del equipamiento de red, comunicaciones e infraestructura del centro de datos.  Controlar la seguridad y el óptimo rendimiento y disponibilidad de los equipos y servidores de comunicaciones en general, validación de cuentas y contraseñas de usuarios, activación- desactivación-suspensión de servicios, transporte de datos (local e internacional), otros relacionados.  Controlar la gestión de los servidores y servicios de red, correo, hosting, housing, protección perimetral, filtro de contenido, antispam y antivirus para correo; validación, alta y baja de usuarios; activación, desactivación y suspensión de servicios; sistemas de almacenamiento en disco y librerías de cinta; otros.  Controlar la gestión de los equipos que proveen la telefonía fija y móvil.  Controlar la ejecución de los respaldos de datos y de registros históricos según la programación establecida.  Controlar la implementación de las medidas preventivas y correctivas que sean necesarias para asegurar la inviolabilidad física y lógica de los equipos y/o servidores en producción, como parches de seguridad o actualizaciones de productos se realicen con la autorización debida.  Definir y controlar los indicadores de gestión del área de acuerdo con las políticas establecidas.  Mantener actualizados la documentación, manuales, normas, procedimientos e indicadores de gestión de acuerdo con las políticas establecidas.  Emitir periódicamente al Responsable del Área de Infraestructura y al Jefe de la OFIN los informes de gestión pertinentes.  Las demás funciones que le sean asignadas por su jefatura, en el ámbito de su competencia. Disponibilidad para viajar Sí X No Requiere movilidad propia Sí No X Días y horario de trabajo Lunes a viernes, de 08:15 a 17:15 horas con una hora de refrigerio.
  • 39.
    OFIN OFIN-AIT-P01-F01 V3 Octubre2012 Página 2/3 Lugar y ambiente de trabajo Lima, en ambiente de oficina. Grado de estudios requerido Título de ingeniero. Especialidad académica requerida Electrónica, comunicaciones, informática o ramas afines -con especialización en redes de computadoras. Conocimientos específicos adicionales  Comunicaciones: diseño e instalación de redes LAN/WAN/CDMA/GSM/Wi-FI/WiMAX/Satelital; control, monitoreo y gestión de equipos de comunicaciones; instalación y configuración de routers, VLAN, VPN; análisis de tráfico de red; comunicaciones y equipos de voz y vídeo, protocolos POP3, IMAP, SMTP, SNMP, SSH; tecnologías ATM, MPLS y otras.  Servidores Windows y Linux/Unix: instalación, gestión, diagnóstico y monitoreo del hardware; instalación y configuración del software de base; instalación y configuración de software de correo, DNS, proxy, firewall, web, FTP, bases de datos, otros; gestión remota de servicios; optimización del rendimiento; sistemas de almacenamiento en disco; librerías de cintas; seguridad.  Otros: buenas prácticas en gestión de servicios (ITIL); metodología para desarrollo y gestión de proyectos (PMI, otras); seguridad de la información (ISO27002, otras); seguridad informática. Áreas donde es necesario haya obtenido experiencia Desarrollo y administración de proyectos de transmisión de voz y datos. Desarrollo y administración de proyectos de infraestructura. Gestión de áreas de comunicaciones. Gestión de servicios de red de datos. Idioma y nivel necesario Inglés, hablado y escrito, nivel medio mínimo tal que permita la lectura de manuales técnicos. Tipo de empresa donde sea necesaria la experiencia Integradores de soluciones de TI o empresa de envergadura pública o privada, de cualquier rubro. Experiencia laboral mínima (años) 1-3 3-5 5-8 X 8-10 10-15 15-20 20-25 25-30 Experiencia mínima en el puesto (años) 1-3 3-5 X 5-8 8-10 10-15 15-20 20-25 25-30 Edad Entre ___32_____ y ____50______ años Género Masculino Femenino Sin preferencia X
  • 40.
    OFIN OFIN-AIT-P01-F01 V3 Octubre2012 Página 3/3 Estado civil Casado(a) Soltero(a) Sin preferencia X Nacionalidad Peruano. Rasgos personales  Hábil para la comunicación interpersonal a todo nivel.  Ordenado y disciplinado.  Proactivo y con capacidad de liderazgo.  Habilidad para manejarse bajo presión. Condiciones del puesto Remuneración : S/. XXXXXX mensuales Capacitación : Por definir Otros : Ninguno Nivel de aprobación <<Área solicitante>> <<Nombres y apellidos>> Jefe de OFIN <<Nombres y apellidos>>
  • 41.
    Turnos Inicio Fin ACAR AT AB AC AR AT AB Inicio Fin AC AR AT AB AC AR AT AB 08:00 09:00 X X X X 08:00 09:00 X X X X 09:00 10:00 X X X X 09:00 10:00 X X X X 10:00 11:00 X X X X 10:00 11:00 X X X X 11:00 12:00 X X X X 11:00 12:00 X X X X 12:00 13:00 X X X X X X X X 12:00 13:00 X X X X X X X X 13:00 14:00 X X X X X X X X 13:00 14:00 X X X X 14:00 15:00 X X X X X X X X 14:00 15:00 X X X X 15:00 16:00 X X X X X X X X 15:00 16:00 X X X X 16:00 17:00 X X X X X X X X 16:00 17:00 X X X X 17:00 18:00 X X X X 17:00 18:00 18:00 19:00 X X X X 18:00 19:00 19:00 20:00 X X X X 19:00 20:00 20:00 21:00 X X X X 20:00 21:00 8 8 8 8 8 8 8 8 5 5 5 5 5 5 5 5 Administradores de servicios Sábado Senior Junior Efectivas Efectivas Senior Junior Administradores de serviciosHoras Lu-Vi Horas
  • 42.
    V2 Junio 2012Página 1/1 OFIN-AIT-P01-F03 Proceso: OFIN-AIT-P01 Colaboradores SOLICITUD DE RETIRO O CESE DE COLABORADOR Nombres y apellidos completos Título de la posición a quien reporta Motivo ¿Personal? Sí □ No □ Si el motivo no es personal, detalle el motivo: Entregó Computadora en buen estado Sí □ No □ Equipo de comunicación (RPC - RPM) Sí □ No □ Equipo telefónico Sí □ No □ Tarjeta electrónica de accesos Sí □ No □ Fecha programada de ejecución: _______ / _____________ / ____________ Nivel de aprobación
  • 43.
    TÍTULO CÓDIGO VERSIÓNPÁGINA ACUERDO DE CONFIDENCIALIDAD OFIN-AIT-P01-F04 3 1 de 2 CONSIDERACIONES Debido a la naturaleza del trabajo, se hace necesario que EL COLABORADOR abajo firmante maneje información confidencial y/o información sujeta a derechos de propiedad intelectual, antes, durante y en la etapa posterior a su contratación, propiedad del MINISTERIO DE EDUCACIÓN y de los usuarios y clientes de esta última. CLÁUSULAS PRIMERA. OBJETO. El objeto del presente acuerdo es fijar los términos y condiciones bajo los cuales EL COLABORADOR mantendrá la confidencialidad de los datos e información propiedad del MINISTERIO DE EDUCACIÓN a que tenga acceso, incluyendo información objeto de derecho de autor, patentes, técnicas, modelos, invenciones, know-how, procesos, algoritmos, programas, ejecutables, investigaciones, detalles de diseño, información financiera, lista de clientes, inversionistas, empleados, relaciones de negocios y contractuales, pronósticos de negocios, planes de mercadeo o cualquier información revelada sobre terceras personas. SEGUNDA. CONFIDENCIALIDAD. EL COLABORADOR y el MINISTERIO DE EDUCACIÓN acuerdan que cualquier información intercambiada, facilitada o creada entre ellas en el transcurso del periodo contractual de la parte contratada, será mantenida en estricta confidencialidad. EL COLABORADOR solo podrá revelar información confidencial a quienes la necesiten y estén autorizados previamente por el MINISTERIO DE EDUCACIÓN y no podrá aducir falta de cuidado adecuado en su manejo. EL COLABORADOR se compromete a devolver todo documento o material de cualquier tipo -incluyendo pero no limitado a contraseñas, copias, apuntes, anotaciones, faxes, e-mails, etc. - que contenga información catalogada como confidencial por el MINISTERIO DE EDUCACIÓN y/o las copias que de los mismos hubiera obtenido: a) al cesar las causas por las cuales le fueron entregados o bien b) cuando el MINISTERIO DE EDUCACIÓN lo solicite, lo que ocurra en primer término. También se compromete a no extraer, copiar, fotocopiar, trasladar o transportar datos o información fuera del MINISTERIO DE EDUCACIÓN salvo permiso expreso de este último y guardando las medidas de seguridad pertinentes como el empleo de canales seguros y cifrado de datos. Se considera INFORMACION CONFIDENCIAL: a) aquella que como conjunto o por la configuración o estructuración exacta de sus componentes, no sea generalmente conocida entre los expertos en los campos correspondientes. b) la que no sea de fácil acceso, independiente de la manera como es obtenida, sea verbal, visual o de forma tangible (incluyendo pero no limitándose a documentos, medio magnético, dispositivos y archivos en computadoras, fotografías, reportes, etc.) y todas las copias de los mismos creados por medios manuales, mecánicos o electrónicos, y c) aquella información que no esté sujeta a medidas de protección razonables, de acuerdo con las circunstancias del caso y posibilidades disponibles, a fin de mantener su carácter confidencial. TERCERA. EXCEPCIONES. No habrá deber alguno de confidencialidad en los siguientes casos: a) cuando la parte receptora tenga evidencia de que conoce previamente la información recibida; b) cuando la información recibida sea de dominio público y, c) cuando la información deje de ser confidencial por ser revelada por el propietario. CUARTA. DURACION. Este acuerdo regirá durante todo el periodo contractual y por el término de un (01) año posterior a la fecha de vencimiento del contrato suscrito por EL COLABORADOR y el MINISTERIO DE EDUCACIÓN. QUINTA. DERECHOS DE PROPIEDAD. Toda información intercambiada por EL COLABORADOR con un tercero externo o interno (correo electrónico, reportes impresos, medio magnético, llamada telefónica u otro medio), que ha sido procesada mediante el uso de alguno de los recursos de cómputo que provee el MINISTERIO DE EDUCACIÓN a EL COLABORADOR para el desarrollo de las funciones para las que fue contratado, es de propiedad exclusiva del MINISTERIO DE EDUCACIÓN y está prohibida su divulgación o
  • 44.
    TÍTULO CÓDIGO VERSIÓNPÁGINA ACUERDO DE CONFIDENCIALIDAD OFIN-AIT-P01-F04 3 2 de 2 reproducción total o parcial. En consecuencia, EL COLABORADOR no podrá utilizar información o recursos informáticos del MINISTERIO DE EDUCACIÓN para su uso personal. SEXTA. MODIFICACIÓN O TERMINACIÓN. Este acuerdo solo podrá ser modificado o darse por terminado con el consentimiento expreso mutuo y por escrito de EL COLABORADOR y el MINISTERIO DE EDUCACIÓN. SÉPTIMA. JURISDICCIÓN. EL COLABORADOR y el MINISTERIO DE EDUCACIÓN someterán las divergencias que pudieran plantearse en orden a la interpretación o incumplimiento del presente Contrato a la jurisdicción Contencioso-Administrativa de Lima. Yo, ____________________________________________________________, domiciliado en ___________________________________________________________________________, identificado con DNI_____________________, firmo en señal de entendimiento y aceptación que cualquier incumplimiento del presente acuerdo será considerado como falta grave y conducirá al cese inmediato de mi relación laboral, y que esto no exime al MINISTERIO DE EDUCACIÓN de iniciar las acciones legales que juzgue necesarias por cuanto podré ser responsabilizado por los daños y perjuicios que dicho incumplimiento genere o sea capaz de generar, al propio MINISTERIO DE EDUCACIÓN o a terceros, ya sean estos externos o internos . __________________________ Firma Fecha: San Borja, ______ de _______________ de _______