PROYECTO EDUCATIVO INSTITUCIONAL 2011-2016-IPAL




     PROYECTO
     EDUCATIVO
   INSTITUCIONAL
        IPAL

                       (2011-2016)




“HACER Y HACER BIEN LAS COSAS”                  Página 1
PROYECTO EDUCATIVO INSTITUCIONAL 2011-2016-IPAL


                                       ÍNDICE
Presentación
Introducción
                                     CAPÍTULO I

1.      Datos institucionales
1.1.    Denominación
1.1.1 Documentación legal de creación
1.1.2 Miembros del Órgano Directivo
1.1.3 Niveles y modalidades que atiende
1.2.    Características del local
1.2.1. Ubicación geográfica
1.2.1.1.1.    Infraestructura: aulas, talleres, laboratorios de cómputo, módulos,
       oficinas y otras áreas importantes.
1.2.2.1. Infraestructura: aulas
1.2.2.2. Infraestructura: talleres
1.2.2.3. Infraestructura: laboratorios de cómputo
1.2.2.4. Infraestructura: módulos de salud e ingeniería
1.2.2.5. Infraestructura: oficinas, áreas libres y otras zonas
1.3.    Metas de Atención 2006- 2011 (parte) y proyección 2011 – 2016
1.4.    Población Estudiantil 2011
1.4.1. Población Estudiantil por carreras profesionales 2011
1.4.2. Población Estudiantil en extensión educativa
1.4.3. Población Estudiantil en CETPRO
1.5.    Personal Docente
1.6.    Personal Administrativo y de apoyo
1.7.    Ingresos económicos aproximados desde 2005 hasta 2011
1.8.    Ingresos proyectados 2012 - 2016

                                     CAPÍTULO II

2.      Base legal y Resoluciones Directorales de autorización y funcionamiento de
        las carreras profesionales tecnológicas del IESTP “IPAL”




“HACER Y HACER BIEN LAS COSAS”                                            Página 2
PROYECTO EDUCATIVO INSTITUCIONAL 2011-2016-IPAL


2.1.    Dispositivos legales Ministerio de Educación y otros documentos
        importantes.
2.2.    Resoluciones Directorales de creación y autorización de funcionamiento de
        carreras profesionales tecnológicas

                                     CAPÍTULO III
3.      PRINCIPIOS Y BASES CONCEPTUALES EN IPAL
3.1.    Misión Institucional
3.2.    Visión Institucional
3.3.    Valores Institucionales
3.4.    Objetivos Generales del IESTP “IPAL”
3.4.1. Gestión Pedagógica
3.4.2. Gestión Institucional
3.4.3. Gestión Administrativa
3.5.    Principios Institucionales
3.6.    Perfiles ideales de los agentes educativos
3.6.1. Perfil de los directivos
3.6.2. Perfil del docente
3.6.3. Perfil del estudiante
3.6.3.1.     Desarrollo personal
3.6.3.2.     Habilidades comunicativas
3.6.3.3.     Habilidades sociales
3.6.3.4.     Cualidades profesionales
3.7.    Sistema de evaluación del IESTP “IPAL”
3.7.1. Concepto
3.7.2. Finalidad
3.7.3. Principios
3.7.4. Objetivos
3.7.5. Características de la evaluación
3.7.6. Funciones
3.7.7. Tipos


“HACER Y HACER BIEN LAS COSAS”                                           Página 3
PROYECTO EDUCATIVO INSTITUCIONAL 2011-2016-IPAL


                                  CAPÍTULO IV
4.      DIAGNÓSTICO Y AUTOEVALUACIÓN                   ESTRATÉGICA        DE      LA
        REALIDAD EDUCATIVA IPAL
4.1.    Autoevaluación estratégica de las Gestión Institucional
4.2.    Autoevaluación de los Procesos Académicos
4.3.    Autoevaluación de los servicios y apoyo
4.4.    Autoevaluación del impacto y resultados
4.5.    Diagnóstico externo del IESTP “IPAL”
4.6.    Objetivos estratégicos según resultados de diagnóstico y autoevaluación
        del IESTP “IPAL”

                                      CAPÍTULO V
5.      PROPUESTA PEDAGÓGICA
5.1.    Características, fines y objetivos de la Educación Superior Tecnológica
5.1.1. Características
5.1.2. Fines
5.1.3. Objetivos
5.2.    Concepto de educación
5.3.    Principios pedagógicos
5.3.1. Principios educacionales
5.3.2. Principios psicopedagógicos
5.4.    Paradigma educativo
5.5.    Modelo pedagógico
5.6.    Modelo curricular
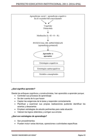
5.6.1. Estrategia de enseñanza para la promoción de aprendizajes significativos
5.6.2. Enfoque teórico del aprendizaje
5.6.3. Recomendaciones para el aprendizaje
5.6.4. Currículo
5.6.5. Materiales educativos y recursos didácticos
5.6.5.1. Tipos
5.6.5.2. Clasificación


“HACER Y HACER BIEN LAS COSAS”                                              Página 4
PROYECTO EDUCATIVO INSTITUCIONAL 2011-2016-IPAL


5.6.6. Proyecto curricular institución educativa
5.6.6.1. Fundamentos y concepciones de la propuesta pedagógica
5.6.6.2. Propuesta de perfiles profesionales
5.6.6.3. Logros de aprendizaje
5.6.6.4. Proceso de diversificación curricular
5.6.6.5. Plan de estudios
5.6.6.6. Programación curricular modular
5.6.6.7. Organización
5.6.6.8. Orientaciones metodológicas
5.6.6.9. Conserjería y servicio social
5.6.6.10. Evaluación
5.6.6.10.1. Marco conceptual
5.6.6.10.2. Estrategias de evaluación
5.6.6.11. Evaluación curricular
5.6.6.12. Proyectos pedagógicos

                                   CAPÍTULO VI
6.      PROPUESTA DE             GESTIÓN    Y      PROYECTOS   DE   INVERSIÓN
        INSTITUCIONAL
6.1.    Concepción de gestión
6.2.    Principios de gestión
6.3.    Principios de gestión educativa
6.4.    Procesos de gestión
6.5.    Círculos de calidad
6.6.    Clima institucional
6.7.    Estructura orgánica
6.7.1. Organigrama
6.8.    Instrumentos de gestión
6.8.1. Manual de Organización y Funciones (MOF)
6.8.2. Manual de Procedimiento Administrativos
6.9.    Proyecto de Inversión Institucional 2011 – 2014


“HACER Y HACER BIEN LAS COSAS”                                         Página 5
PROYECTO EDUCATIVO INSTITUCIONAL 2011-2016-IPAL


6.9.1. Flujo de caja del Proyecto Educativo Institucional (PEI) 2011 a 2014
6.9.2. Ingresos proyectados: Áreas de Ingeniería, más       contabilidad y negocios
       (carreras nuevas).
6.9.3. Ingresos Área de Ingeniería
6.9.4. Ingresos Área de Contabilidad y Negocios
6.9.5. Egresos generales proyectados en cuatro años
6.9.6. Egresos remuneraciones
6.9.7. Egresos bienes y servicios
6.9.8. Egresos inversión en inmuebles
6.9.9. Egresos inversión en equipamiento
6.9.10. Egresos inversión en mobiliario
6.9.11. Otros egresos no financieros
6.9.12. Cuadro resumen de horas dictadas 2005-2011
6.10. Anexos (éstos serán presentados cuando sean requeridos)
6.10.1. Reglamento Institucional (RI)
6.10.2. Proyecto Educativo Institucional (PEI)
6.10.3. Proyecto de cada carrera profesional, adecuados todos al sistema
        modular.
6.10.4. -)
6.10.5. Reglamento Interno: procedimientos de admisión de formadores y
        personal administrativo.
6.10.6. Manual de Organización y Funciones (MOF)
6.10.7. Plan de Consejería
6.10.8. Reglamento de prácticas pre-profesionales
6.10.9. Reglamento de admisión
6.10.10.     Reglamento de titulación
6.10.11.     Inventarios
6.10.12.     Programación curricular
6.10.13.     Itinerarios formativos
6.10.14.     Normatividad emitida por el Ministerio de Educación del Perú
6.10.15.     Plan de supervisión educacional

“HACER Y HACER BIEN LAS COSAS”                                                Página 6
PROYECTO EDUCATIVO INSTITUCIONAL 2011-2016-IPAL


6.10.16.   Plan de investigación
6.10.17.   Mallas curriculares
6.10.18.   Infraestructura: fotos inéditas
6.10.19.   Otros que sean referidos a la gestión institucional
6.11. Referencias bibliográficas
6.12. Mallas curriculares




“HACER Y HACER BIEN LAS COSAS”                                   Página 7
PROYECTO EDUCATIVO INSTITUCIONAL 2011-2016-IPAL


                                 PRESENTACIÓN

El PROYECTO EDUCATIVO INSTITUCIONAL (PEI), como instrumento de
gestión, del INSTITUTO        DE EDUCACIÓN SUPERIOR TECNOLÓGICO
PRIVADO “PERUANO ALEMÁN“, ayudará mucho en la conducción de la
institución educativa de manera estratégica y prospectiva, para responder a los
diferentes cambios y exigencias de nuestra sociedad globalizada.

El PROYECTO EDUCATIVO INSTITUCIONAL presentado sirve como
instrumento de transformación y mejoramiento de la entidad; le da visión de
futuro, identidad, cohesión en torno a objetivos comunes, organización y orden en
el trabajo. En síntesis, construye el horizonte a donde aspiramos llegar
“Ofreciendo un Servicio Educativo de Excelencia y Calidad”.

El análisis estratégico en lo que respecta a Gestión Institucional, Procesos
Académicos, Servicios de Apoyo y Resultados e Impacto, ha permitido establecer
correlaciones entre fortalezas y debilidades en el ámbito interno, así como en las
implicancias y posibilidades de un manejo de oportunidades y amenazas en el
campo externo. Este análisis hace posible precisar los objetivos estratégicos
tendientes a la solución de la problemática de la Institución, así como ha permitido
determinar los principios directrices dentro de los cuales deben encuadrarse todas
las actividades educativas a realizarse mediante el Plan Anual de Trabajo.

Además, se ha hecho un análisis del aspecto económico y financiero,
considerando variables de ingresos y egresos de los últimos 05 años, los que han
servido para hacer proyecciones de un escenario económico para los siguientes
cinco años. El resultado de este análisis se ha insertado en el Capítulo VI
Propues-tas de Gestión Institucional, en el ítem sobre proyecto de inversión 2011
al 2014. Aquí encontraremos información relevante del significado económico que
representará la apertura de 09 carreras profesionales experimentales para los
próximos cinco años. También, el esmero y cuidado para efectivizar los egresos
en equipamiento, materiales didácticos, remuneraciones y mejoramiento continuo.

En consecuencia, el objetivo a corto plazo es garantizar el logro de las metas
trazadas en el PROYECTO EDUCATIVO INSTITUCIONAL; significando esto un
gran paso rumbo a la ACREDITACIÓN de cada carrera profesional técnica y,
posteriormente de la Institución.




“HACER Y HACER BIEN LAS COSAS”                                              Página 8
PROYECTO EDUCATIVO INSTITUCIONAL 2011-2016-IPAL


                                 INTRODUCCIÓN

El Instituto de Educación Superior Tecnológico Privado Peruano Alemán S.R.L.,
de Lima, tiene la enorme satisfacción de presentar a la comunidad educativa, los
empresarios y población en general del Perú, su PROYECTO EDUCATIVO
INSTITUCIONAL (PEI), correspondiente al período 2011 a 2016, plan que se
enmarca dentro de una propuesta de reingeniería institucional que diéramos inicio
el año 2005, con el apoyo invalorable de sus Promotores y Directores Generales
Ing. Mario Gabriel Peláez Bardales y Dr. Eduardo Peláez Bardales, a quienes les
damos desde este espacio nuestro reconocimiento público.

Es la primera oportunidad que el IPAL comparte su PROYECTO EDUCATIVO
INSTITUCIONAL con la comunidad educativa del Perú, dejando de lado viejos
paradigmas. A partir de este escenario consideramos que somos una empresa de
servicios educativos que está dispuesta a seguir liderando los cambios en la
educación y formación tecnológica.

Hoy estamos convencidos que el desarrollo industrial de las sociedades está
enmarcado en el conocimiento de la ciencia y tecnología, por lo tanto no podemos
seguir de espaldas ante esta realidad, más por el contrario tenemos ahora que
abrir bien los ojos y adecuar la formación de los recursos humanos a las
necesidades y demandas de los sectores productivos; con un pensamiento
positivo de emprender soluciones a los problemas que caracterizan a éstos.

Este PROYECTO EDUCATIVO INSTITUCIONAL lo consideramos como un
instrumento de gestión y programación, que recoge las expectativas de quienes
conformamos e integramos el IPAL, que sería considerado inconcluso si es que
no tuviera el veredicto y aprobación de sus usuarios y población comprometida
con la educación y modernidad, que siempre serán la razón de nuestro
permanente deseo de superación; en ese sentido está abierta la posibilidad para
recibir las sugerencias para su mejoramiento.

El PROYECTO EDUCATIVO INSTITUCIONAL es la expresión de un compromiso
social en el corto, mediano y largo plazo. Tenemos el infinito deseo de
convertirnos o mejor aún en transformarnos en un Centro de Excelencia en la
Educación Superior Tecnológica en el Perú; es un ambicioso proyecto de
inversión que pone a prueba la capacidad de los recursos humanos del IPAL.
Estamos conscientes que este reto no solo será posible con la participación de
docentes, estudiantes, trabajadores y autoridades de IPAL, sino también con el
concurso de la empresa privada, de las instituciones públicas del país, de las
ONGs, asociaciones y otras instituciones de la sociedad civil.




“HACER Y HACER BIEN LAS COSAS”                                           Página 9
PROYECTO EDUCATIVO INSTITUCIONAL 2011-2016-IPAL


Se conformó empíricamente, pero con el mejor deseo de proponer soluciones
rápidas y efectivas, el Comité Estratégico de IPAL, compuesto por profesionales
con vasta experiencia en el desarrollo de empresas educativas del país.
Fueron muchas y largas las jornadas de trabajo que tuvo el Comité Estratégico de
IPAL, para formular esta propuesta que, estará siempre con la consigna de ser
debatida una y otra vez más, porque así se logró esta primera impresión. Esta
idea fue aprobada por los Promotores y Directores Generales desde sus inicios,
sumándose luego los agentes de esta comunidad educativa, quienes
constantemente aportaron inmensa información importante para este logro. La
metodología aplicada para la recolección de datos fue de reuniones informativas
diarias, talleres, reuniones de trabajo, concertaciones de campo, y a través de
plenarias, entre otras.

Sin embargo, vuelvo a manifestar que este documento será muy importante y
trascendente si lo consideramos como un instrumento de trabajo que orienta el
desarrollo institucional en un horizonte temporal de seis años, es decir del 2011 al
2016.

Cada uno de los integrantes de la comunidad Educativa IPAL está muy seguro
hoy del rol que le toca jugar en estos escenarios muy competitivos, donde día a
día surgen nuevas situaciones que hay que hacer frente, una de ellas el avance
tecnológico acelerado, otros el surgimiento de nuevas empresas educativas en los
conos norte y sur; nuevas políticas orientadas a formar institutos saludables, crear
instituciones de educación superior sin fronteras. Entonces, esta realidad nos
exige ser muy productivos, imaginativos, innovadores, efectivos, eficientes y
eficaces, para hacerles frente a la competencia con herramientas como la que
presentamos. Además, todo ello exige entre otras cosas a aprender a
desaprender, conocer y saber más sobre cómo modernizar nuestra
infraestructura, con tecnología y equipos modernos, sin colapsar económica y
financieramente por los enormes costos que estos significan. Cómo mejorar
nuestros procesos de información Intra y Extra; cómo lograr que todos
conozcamos a cabalidad los sistemas y procesos de formación profesional, de
atención eficiente al cliente, de procesos de mejora continua, del empoderamiento
empresarial, de cómo hacer sostenible una empresa educativa.

Estamos comprometidos en la reorientación de nuestra visión y misión
institucional en el campo de la formación profesional técnica, respondiendo a la
demanda social, productiva y empresarial del país y de las exigencias de la
globalización. Buscamos que haya coherencia entre la oferta y demanda de
profesionales técnico dentro del sistema laboral; la aplicación del Enfoque por
Competencias y el Sistema Modular son elementos importantes de este proceso
educativo que están en marcha desde el 2006, aplicando según nuestras propias
competencias la RD 0896-2006-ED dada el 29-12-2006.



“HACER Y HACER BIEN LAS COSAS”                                             Página 10
PROYECTO EDUCATIVO INSTITUCIONAL 2011-2016-IPAL


Hemos sido el primer Instituto Tecnológico en presentar un Plan de estudios
aplicando el Diseño Curricular Básico en la Carrea de Mecánica Automotriz. El
2007 sale la RD Nº 0339-2007-ED autorizándonos a aplicar el Nuevo Diseño
Curricular Básico. Dos años más tarde sale la RD Nº 0255-2009-ED
autorizándonos a aplicar el DCB en las Carreas de Contabilidad, Secretariado
Ejecutivo, Enfermería Técnica, Farmacia Técnica y Computación e Informática.

Como vemos poco a poco fuimos implementando este sistema en las carreras
profesionales técnicas autorizadas por el Ministerio de Educación.

Tampoco nos quedamos ahí, el 2011 presentamos 09 proyectos de carreras
experimentales al Ministerio de Educación para su aprobación. Las carreras
propuestas, son el resultado del estudio de mercado serio y altamente técnico que
se realizó con el equipo especializado en esos fines. Estas carreras propuestas se
concentran en dos ejes del desarrollo Perú 2021; son las vinculadas al área de
Contabilidad y Negocios: Contabilidad y Finanzas, Secretariado Ejecutivo
Bilingüe, Marketing Empresarial, Administración y Gestión Empresarial,
Gastronomía y Arte Culinario, Administración de Negocios Internacionales y, al
Área de Ingenierías: Autotrónica, Análisis de Sistemas y Modelamiento de Base
de Datos, Diseño Gráfico y Publicidad Digital.
Esperamos pronto recibir la resolución Directoral de autorización de
funcionamiento de estas carreras profesionales técnicas, las mismas que
obedecen a cómo debemos, en tiempo real, prevenir las contingencias y asegurar
el sostenimiento de IPAL en los próximos años.

También, se crearon las carreras profesionales técnicas de Electrónica Industrial y
Electrotecnia Industrial con RD Nº 00780-2010-ED, el 24 de setiembre del 2010.
La que a su vez se logró adecuar con Certificado Nº 070-2011-DESTP.

Otras carreras que están en proceso de evaluación para determinar su
continuidad son Laboratorio Clínico, Prótesis Dental y Fisioterapia y
Rehabilitación.

Estamos a la expectativa de que nuestros Centros de Producción participen en
eventos importantes como el que se dio el 2008, el Concurso Público Nº 003-2009
promovido por la Región Callao, en donde participamos en Consorcio en la
Capacitación de 5400 profesores de la Región Callao en el curso de
“Herramientas de Productividad”, Concurso público que ganamos gracias a la
experiencia propia y de nuestros consorciados. Estas oportunidades de negocio
se presentan en diferentes empresas; tenemos experiencia en la Capacitación al
personal del Servicio de Mantenimiento de aviones de la FAP y comerciales, a
quienes les dimos cursos de OSCE, SIAF, Contabilidad, Computación y otros,
entre los años 2008 y 2009. Así como la capacitación al personal de tropa del
GRUOT, SESAN FAP; desde el 2007 hasta el 2009. Este año, por decir,


“HACER Y HACER BIEN LAS COSAS”                                            Página 11
PROYECTO EDUCATIVO INSTITUCIONAL 2011-2016-IPAL


seguimos capacitando en la FAP en cursos que se dictan en el CETPRO IPAL
como Cosmetología, Mecánica, Electricidad y otros.

Finalmente queremos agradecer a los señores Directores, Asesores,
Coordinadores, Docentes, personal administrativo, estudiantes y empresarios, por
habernos apoyado en todo momento y nos dan la suficiente confianza para
emprender estas acciones de cambio en IPAL; hoy más que nunca hemos
encontrado un eco positivo para iniciar una nueva cultura de emprendimiento y
constantes cambios, que en términos técnicos significan la AUTOEVALUACIÓN
como primer paso rumbo a la ACREDITACIÓN DE LAS CARREAS
PROFESIONALES TÉCNICAS DE IPAL.

Lima, 15 de Enero del 2011




“HACER Y HACER BIEN LAS COSAS”                                         Página 12
PROYECTO EDUCATIVO INSTITUCIONAL 2011-2016-IPAL


                                  CAPÍTULO I
3. DATOS INSTITUCIONALES

   1.1.    DENOMINACIÓN

           INSTITUTO DE EDUCACION SUPERIOR TECNÓLOGICO PRIVADO
          “PERUANO ALEMAN” S.R.L

   1.1.1. DOCUMENTACIÓN LEGAL DE CREACIÓN

       El estudio de factibilidad fue aprobado en agosto de 1,983 por R.M. Nº 910-
       83-ED del 26 de septiembre del mismo año.

       Con R.M. Nº 1221-83-ED se autorizó su funcionamiento y adecuó su
       nombre según la Ley General de Educación, a “Instituto Superior
       Tecnológico No Estatal Peruano Alemán”.

   1.1.2. MIEMBROS DEL ÓRGANO DIRECTIVO

                        NOMBRE                           CARGO                 DNI
          Mg. Ing. MARIO GABRIEL PELÁEZ
      a                                         DIRECTOR GENERAL            08777064
          BARDALES

      b Dr. EDUARDO PELÁEZ BARDALES             DIRECTOR GENERAL            07959685


      c Dr. EDUARDO PELÁEZ SANTILLÁN            DIRECTOR EJECUTIVO

          Mg. Ing. CARLOS ENRIQUE
      d                                         DIRECTOR ACADÉMICO 20074139
          MELGAR MARAVÍ

      e Lic. ALBERTO TABOADA JIMÉNEZ            ASESOR ACADÉMICO



   1.1.3. NIVELES Y MODALIDADES QUE ATIENDE

     NIVEL SUPERIOR                           Educación Superior Tecnológica

     TURNOS                                   Mañana y Noche

                                              Dirección Regional de Educación de
                                              Lima Metropolitana.
     JURISDICCIÓN EDUCATIVA


                                              Unidad de Gestión Ejecutiva Local –
                                              UGEL 03: Lima



“HACER Y HACER BIEN LAS COSAS”                                           Página 13
PROYECTO EDUCATIVO INSTITUCIONAL 2011-2016-IPAL


1.2.     CARACTERÍSTICAS DEL LOCAL

       1.2.1. UBICACIÓN GEOGRÁFICA

                            RUBROS                         LOCAL 1
           a.   Departamento                    Lima
           b.   Provincia                       Lima
           c.   Distrito                        Cercadode Lima
           d.   Dirección                       Av. Uruguay Nº 514
           e.   Teléfono                        4115888
           f.   Email                           peruanoaleman@ipal.edu.com


       1.2.2. INFRAESTRUCTURA Y EQUIPAMIENTO:

Campus Tecnológico Propio: 5039.92 M2 Av. Uruguay 514 y otros dos ingresos
hacia el Jr. Chota 1148 y 1170 - Lima (Sede Institucional). Además, el área
techada del primer piso es de 2735.84 m 2 y área libre de 1154.43 m2;
cumpliéndose con lo establecido por las normas legales de tener un mínimo del
30% de área libre para las instituciones de educación superior.

En el segundo piso tenemos un área techada de 3662.52 m 2, en el tercer piso un
área techada de 2858.95 m2, y, en el cuarto nivel un área techada de 887.80 m2.

Por lo tanto, el área total techada de IPAL es de aproximadamente 10145.11 m 2.

       1.2.2.1 INFRAESTRUCTURA: AULAS

                             DISTRIBUCIÓN DE AULAS 2011
                                                           CAPACIDAD
Nº       AULA   UBICACIÓN LARGO         ANCHO      ÁREA      MÁXIMA      MOBILIARIO
                                                            POR AULA
 1       101      1er Piso       5.45    4.65      25.34      21.12       22 Carpetas
 2       102      1er Piso       5.45    4.50      24.53      20.44       21 Carpetas
 3       103      1er Piso       5.45    4.80      26.16      21.80       23 Carpetas
 4       104      1er Piso       5.90    4.75      28.03      23.35    8 mesas con 16 sillas

 5       105      1er Piso       5.90    4.86      28.67      23.90       26 Carpetas
 6       106      1er Piso       7.30    2.90      21.17      17.64       18 Carpetas
 7       107      1er Piso       5.45    4.85      26.43      22.03       22 Carpetas
 8       108      1er Piso       5.45    4.90      26.71      22.25       23 Carpetas




“HACER Y HACER BIEN LAS COSAS”                                          Página 14
PROYECTO EDUCATIVO INSTITUCIONAL 2011-2016-IPAL


                                                                   15 mesas con 30
 9      109       1er Piso       6.80    4.75   32.30   26.92           sillas
 10     110       1er Piso       6.80    4.90   33.32   27.77       28 Carpetas


 1      201      2do Piso        11.30   5.00   56.50   47.08      40 Carpetas
 2      202      2do Piso        11.30   5.00   56.50   47.08      40 Carpetas
 3      203      2do Piso        11.30   5.70   64.41   53.68   17 mesas con 34 sillas

 4      204      2do Piso        11.30   5.50   62.15   51.79   19 mesas con 38 sillas

 5      205      2do Piso        11.30   5.75   64.98   54.15      40 Carpetas
 6      206      2do Piso        9.20    4.85   44.62   37.18      38 Carpetas
 7      207      2do Piso        9.20    4.90   45.08   37.57   16 mesas con 32 sillas

 8      208      2do Piso        9.20    4.80   44.16   36.80   15 mesas con 30 sillas

 9      209      2do Piso        9.20    4.80   44.16   36.80      37 Carpetas
 10     210      2do Piso        9.20    4.70   43.24   36.03   15 mesas con 30 sillas

 11     211      2do Piso        9.75    4.00   39.00   32.50   13 mesas con 26 sillas

 12     212      2do Piso        5.70    4.80   27.36   22.80   15 mesas con 30 sillas

 13     213      2do Piso        5.60    3.00   16.80   14.00      21 Carpetas
 14     214      2do Piso        5.90    4.80   28.32   23.60      26 Carpetas
 15     215      2do Piso        5.90    4.80   28.32   23.60      26 Carpetas
 16     216      2do Piso        5.70    4.80   27.36   22.80   12 mesas con 24 sillas

 17     217      2do Piso        4.90    4.30   21.07   17.56      18 Carpetas
 18     218      2do Piso        5.70    4.80   27.36   22.80   9 mesas con 18 sillas

 19     219      2do Piso        5.90    4.80   28.32   23.60      24 Carpetas
 20     220      2do Piso        5.90    4.80   28.32   23.60      24 Carpetas
 21     221      2do Piso        5.90    4.80   28.32   23.60      24 Carpetas
 22     222      2do Piso        4.90    4.00   19.60   16.33      18 Carpetas
 23     223      2do Piso        5.00    4.00   20.00   16.67      18 Carpetas
 24     224      2do Piso        5.70    5.50   31.35   26.13   11 mesas con 22 sillas

 25     225      2do Piso        8.40    3.80   31.92   26.60      28 Carpetas
 26     226      2do Piso        5.50    4.80   26.40   22.00      22 Carpetas
 27     227      2do Piso        6.80    5.50   37.40   31.17      30 Carpetas



“HACER Y HACER BIEN LAS COSAS”                                    Página 15
PROYECTO EDUCATIVO INSTITUCIONAL 2011-2016-IPAL


 28     228      2do Piso        9.50    5.50   52.25   43.54   9 mesas con 26 sillas

 29     229      2do Piso        6.40    3.40   21.76   18.13      18 Carpetas
 30     230      2do Piso        4.80    3.80   18.24   15.20      16 Carpetas
 31     231      2do Piso        5.00    3.80   19.00   15.83      16 Carpetas
 32     232      2do Piso        11.50   5.00   57.50   47.92      40 Carpetas
 33     233      2do Piso        11.50   5.00   57.50   47.92      40 Carpetas
 34     234      2do Piso        11.50   5.00   57.50   47.92      40 Carpetas
 35     235      2do Piso        7.50    5.50   41.25   34.38      30 Carpetas
 36     236      2do Piso        7.50    5.50   41.25   34.38      30 Carpetas


 1      301       3er Piso       11.30   5.00   56.50   47.08      40 Carpetas
 2      302       3er Piso       11.30   5.00   56.50   47.08      40 Carpetas
 3      303       3er Piso       11.30   5.00   56.50   47.08      40 Carpetas
 4      304       3er Piso       11.30   7.00   79.10   65.92      40 Carpetas
 5      305       3er Piso       11.30   6.00   67.80   56.50   15 mesas con 30 sillas

 6      306       3er Piso       11.30   5.50   62.15   51.79   15 mesas con 34 sillas

 7      307       3er Piso       11.30   5.50   62.15   51.79   12 mesas con 30 sillas

 8      308       3er Piso       11.30   5.75   64.98   54.15   15 mesas con 36 sillas

 9      309       3er Piso       9.20    4.60   42.32   35.27   11 mesas con 35 sillas

 10     310       3er Piso       9.20    4.60   42.32   35.27   14 mesas con 33 sillas

 11     311       3er Piso       7.00    4.80   33.60   28.00   06 mesas con 18 sillas

 12     312       3er Piso       4.60    4.50   20.70   17.25   06 mesas con 18 sillas

 13     313       3er Piso       5.30    4.60   24.38   20.32   03 mesas con 12 sillas

 14     314       3er Piso       5.30    3.60   19.08   15.90   05 mesas con 17 sillas

 15     315       3er Piso       5.80    5.00   29.00   24.17   11 mesas con 20 sillas

 16     316       3er Piso       5.80    4.75   27.55   22.96   10 mesas con 22 sillas

 17     317       3er Piso       11.50   4.80   55.20   46.00      40 Carpetas
 18     318       3er Piso       11.50   4.80   55.20   46.00      40 Carpetas
 19     319       3er Piso       11.50   4.80   55.20   46.00      40 Carpetas
 20     320       3er Piso       7.30    5.50   40.15   33.46      30 Carpetas



“HACER Y HACER BIEN LAS COSAS”                                    Página 16
PROYECTO EDUCATIVO INSTITUCIONAL 2011-2016-IPAL


 21     321       3er Piso       7.30    5.50   40.15      33.46        30 Carpetas
 22     322       3er Piso       11.30   3.20   36.16      30.13        30 Carpetas


 1      401       4to Piso       8.15    5.50   44.83      37.35        35 Carpetas
 2      402       4to Piso       8.15    5.50   44.83      37.35        35 Carpetas
 3      403       4to Piso       9.00    4.70   42.30      35.25     15 mesas con 30 sillas

 4      404       4to Piso       10.00   5.75   57.50      47.92     13 mesas con 32 sillas

 5      405       4to Piso       9.80    5.80   56.84      47.37     18 mesas con 31 sillas

 6      406       4to Piso       6.30    3.90   24.57      20.48        20 Carpetas
 7      407       4to Piso       9.20    4.85   44.62      37.18     19 mesas con 37 sillas

 8      408       4to Piso       7.40    6.00   44.40      37.00        38 Carpetas
 9      409       4to Piso       7.40    6.20   45.88      38.23        33 Carpetas
 10     410       4to Piso       7.40    5.80   42.92      35.77        35 Carpetas
           SUB TOTAL CAPACIDAD INSTALADA                  2589.40
Fuente: Elaboración Propia
Como podemos apreciar en el cuadro adjunto, contamos con suficiente cantidad
de aulas, y cada una de ellas con un mobiliario moderno, que permite que las
actividades académicas sean lo más cómodas posibles.

Contamos con algunas aulas con áreas menores a 24.00 m 2, destinadas al VI
semestre de algunas carreras que tienen población estudiantil menor a 18
alumnos, debido al decrecimiento vegetativo existente.

                       Distribución resumen de Aulas por Piso
                        Descripción                      CANTIDAD UBICACIÓN
                                                              78
                        Aulas 1º piso                           10         1er Piso

                        Aulas 2º piso                           36         2do Piso


                        Aulas 3º piso                           22         3er Piso

                        Aulas 4º piso                           10          4to Piso
Fuente: Elaboración propia
En la mayoría de aulas se han instalado televisores de 42” LCD, que como
material didáctico y para las clases teóricas resultan motivadoras. Además, como
se ve en los cuadros anteriores, se cuenta con aproximadamente 500 mesas


“HACER Y HACER BIEN LAS COSAS”                                         Página 17
PROYECTO EDUCATIVO INSTITUCIONAL 2011-2016-IPAL


distribuidas en las aulas, aspecto que hay que resaltar, puesto que ello ayuda
mucho para que las clases sean dinámicas y manejadas por cada equipo de
trabajo.

La capacidad instalada es para atender por turno a aproximadamente 2589
estudiantes

  1.2.2.2     INFRAESTRUCTURA: TALLERES:

Se cuenta con 17 talleres para el Área de Ingeniería, en la que se encuentran las
carreras de Mecánica Automotriz, Electrónica Industrial, Electricidad Industrial,
Computación e Informática, Diseño Gráfico y próximamente Autotrónica.
Adicionalmente para el Área de Contabilidad y Negocios tenemos un total de 04
talleres.
La capacidad instalada por turno en estos talleres de para atender a 452
estudiantes.
        DISTRIBUCIÓN DE TALLERES DE ÁREA DE INGENIERÍA Y, ÁREA DE
                      CONTABILIDAD Y NEGOCIOS 2011

 Nº TALLER         DENOMINACIÓN          UBICACIÓN LARGO ANCHO         ÁREA    CAPAC/AULA


 1      101    ELECTRICIDAD               1er Piso   11.80     4.10    48.38        21.99
 2      102    ELECTRÓNICA                1er Piso   11.80     3.90    46.02        20.92
 3      103    MECÁNICA DE AJUSTE A       1er Piso   11.60     5.40    62.64        28.47
 4      104    AUTOTRONICA A              1er Piso   11.60     5.10    59.16        26.89
 5      105    AUTOTRONICA B              1er Piso   11.60     5.10    59.16        26.89

               SISTEMAS DE TRANSMISIÓN
 6      106    MECÁNICA Y AUTOMÁTICA
                                          1er Piso   11.60     4.70    54.52        24.78

 7      107     ELECTROTECNIA             1er Piso    9.80     4.80    47.04        21.38
               REPARACIÓN DE MOTORES
 8      108    OTTO Y DIESEL
                                          1er Piso    9.50     4.90    46.55        21.16

               CONVERSIÓN DE
 9      109                               1er Piso    9.50     4.90    46.55        21.16
               MOTORES OTTO A GAS
 10     110    MECÁNICA DE AJUSTE B       1er Piso    9.50     4.90    46.55        21.16
               SISTEMA DE
 11     111    ALIMENTACIÓN Y BOMBAS      1er Piso    5.50     4.90    26.95        12.25
               DE INYECCIÓN DIESEL
              AFINAMIENTO
 12     112                         1er Piso  5.50     4.90 26.95                   12.25
              ELECTRÓNICO
 13     201   ELECTRÓNICA           2do Piso 10.00     5.07 50.70                   23.05
 14     401   DIBUJO TÉCNICO         4º Piso  7.40     6.00 44.40                   20.18
          DISTRIBUCIÓN DE TALLERES EN COMPUTACIÓN E INFORMÁTICA 2011
              TALLER DE
 1      201                         2do Piso 14.00     5.50 77.00                   35.00
              ENSAMBLAJE DE PCs


“HACER Y HACER BIEN LAS COSAS”                                          Página 18
PROYECTO EDUCATIVO INSTITUCIONAL 2011-2016-IPAL


                        TALLER DE
 2         202                                2do Piso   9.10   4.80  43.68                                 19.85
                        ENSAMBLAJE DE PCs
                        TALLER DE
 3         203                                2do Piso   5.60   5.20  29.12                                 13.24
                        ENSAMBLAJE DE PCs
                          DISTRIBUCIÓN DE TALLERES EN SECRETARIADO 2011
                        MECANOGRAFÍA
 1         301                                3er Piso  16.00   5.80  92.80                                 37.12
                        MECÁNICA
                        MECANOGRAFÍA
 2         302                                3er Piso    5.8   4.80  27.84                                 12.65
                        ELECTRÓNICA
                            DISTRIBUCIÓN DE TALLERES GASTRONOMÍA 2011
 1         401          TALLER DE COCINA      8.15     4.95                         40.34       33.62       15.28
                        TALLER BAR /
 2         402                                8.15     5.55                         45.23       37.69       17.13
                        COMEDOR
                         CAPACIDAD INSTALADA POR TURNO                                         452.81
Fuente: elaboración propia




1.2.2.3        INFRAESTRUCTURA: LABORATORIOS DE CÓMPUTO:

Actualmente contamos con 10 laboratorios de cómputo, todos ellos con tecnología
de última generación.

La capacidad instalada dentro de estos laboratorios es para atender
aproximadamente a 300 estudiantes por turno.

  LABORATORIOS DE INGENIERÍA, CONTABILIDAD Y NEGOCIOS Y SALUD 2011
Nº     LABORATORIO           DENOMINACIÓN       UBICACIÓN   LARGO   ANCHO   ÁREA    CAPACIDAD

 1          101               COMPUTACIÓN        1er Piso   13.50    5.00   67.50     27.00

 2          102               COMPUTACIÓN        1er Piso   13.50    5.00   67.50     27.00

 3          103               COMPUTACIÓN        1er Piso   13.50    6.00   81.00     32.00

 4          104               COMPUTACIÓN        1er Piso   13.50    6.00   81.00     32.00

 5          105               COMPUTACIÓN        1er Piso   13.80    4.85   66.93     27.00

 6          201               COMPUTACIÓN        2do Piso   11.30    5.00   56.50     23.00

 7          202               COMPUTACIÓN        2do Piso   11.30    5.00   56.50     23.00

 8          203               COMPUTACIÓN        2do Piso   11.30    7.00   79.10     32.00

 9          204               COMPUTACIÓN        2do Piso   11.30    6.00   67.80     27.00

10          205               COMPUTACIÓN        2do Piso   10.40    5.00   52.00     21.00
Nº     LABORATORIO           DENOMINACIÓN       UBICACIÓN   LARGO   ANCHO   ÁREA    CAPACIDAD


 1          101              FÍSICA Y QUÍMICA    1er Piso    9.90    5.80   57.42     38.28

                              SUB TOTAL CAPACIDAD INSTALADA                           309.28
Fuente: Elaboración Propia




“HACER Y HACER BIEN LAS COSAS”                                                                  Página 19
PROYECTO EDUCATIVO INSTITUCIONAL 2011-2016-IPAL


1.2.2.4 INFRAESTRUCTURA: MÓDULOS DE SALUD:

        LABORATORIOS Y MÓDULOS DE INGENIERÍA Y SALUD 2011
 Nº           DENOMINACIÓN       UBICACIÓN   LARGO   ANCHO   Área    CAPACIDAD



      MÓDULO DE CRECIMIENTO
 1                                2do Piso   5.30     3.10   16.43     8.00
      Y DESARROLLO

   LABORATORIO DE
 2 BIOQUÍMICA - QUÍMICA -         2do Piso   8.40     5.70   47.88    24.00
   BIOLOGÍA

      MÓDULO ENFERMERÍA
 3                                2do Piso   7.80     4.00   31.20    16.00
      BÁSICA I
      MÓDULO ENFERMERÍA
 4                                2do Piso   13.50    5.60   75.60    38.00
      BÁSICA II
 5 SALA DE VIDEO                  2do Piso   6.90     3.90   26.91    13.00

 6 MÓDULO DE FARMACIA             2do Piso   9.50     4.00   38.00    19.00

      MÓDULO DE ANATOMÍA Y
 7                                2do Piso   8.50     5.60   47.60    24.00
      FISIOLOGÍA

   LABORATORIO DE ANÁLISIS
 8 BROMATOLÓGICO Y                2do Piso   9.70     5.70   55.29    28.00
   MICROBIOLOGÍA

      MÓDULO DE PREPARADOS
 9                                2do Piso   7.40     5.60   41.44    21.00
      GALÉNICOS

                SUB TOTAL CAPACIDAD INSTALADA                         191.00
Fuente: Elaboración propia


Los módulos de salud están a disposición de los estudiantes de las carreras
profesionales de Enfermería Técnica y Farmacia Técnica principalmente.

La capacidad instalada de estos laboratorios es para atender por turno a
aproximadamente 191 estudiantes.




“HACER Y HACER BIEN LAS COSAS”                                          Página 20
PROYECTO EDUCATIVO INSTITUCIONAL 2011-2016-IPAL


1.2.2.5   INFRAESTRUCTURA: OFICINAS, ÁREAS LIBRES Y OTRAS ZONAS
          IMPORTANTES PARA REALIZAR ACTIVIDADES ACADÉMICAS Y
          PRESTAR SERVICIOS ADMINISTRATIVOS:

ÁREA LIBRE, ÁREAS DE APOYO AL ESTUDIANTE Y OFICINAS ADMINISTRATIVAS
                                                                                  TOTAL
    Nº                 DENOMINACIÓN              PISO      LARGO      ANCHO
                                                                                   m2
                                          ÁREA LIBRE
     1      PATIO 1º PISO (SECTOR 1)            1er Piso   21.20       20.75      439.90

     2      PATIO 1º PISO (SECTOR 2)            1er Piso   38.22       10.35      395.58

     3      PATIO 1º PISO (SECTOR 3)            1er Piso   37.20        3.50      130.20

     4      PATIO 1º PISO (SECTOR 4)            1er Piso   26.50        3.00       79.50

     5      PATIO 1º PISO (SECTOR 5)            1er Piso   14.80        3.60       53.28

     6      PATIO 1º PISO (SECTOR 6)            1er Piso    4.85        5.80       28.13

     7      PATIO 1º PISO (SECTOR 7)            1er Piso    4.80        5.80       27.84

                     TOTAL ÁREA LIBRE                                             1154.43
                                          AUDITORIOS
            AUDITORIO ALEXANDER VON
                                                1er Piso      29.50     10.00 295.00
     1      HUMBOLDT

     2      AUDITORIO ROBERT KOCH               3er Piso      20.00     10.00 200.00
                 OFICINAS PERSONAL DIRECTIVO, ACADÉMICO Y ADMINISTRATIVO

     3      DIRECCIÓN GENERAL                   1er Piso       7.20       5.40     38.88
            SALA DE REUNIONES DE
                                                1er Piso       7.20       6.00     43.20
     4      DIRECTORIO

     5      OFICINA DE CAJA                     1er Piso       4.20       4.50     18.90

     6      HALL DE RECEPCIÓN                   1er Piso       7.20       5.60     40.32
            HALL DE INGRESO DIRECCIÓN
                                                1er Piso       5.60       6.50     36.40
     7      GENERAL

     8      HALL DE INGRESO - JR. CHOTA         1er Piso      10.50       6.50     68.25
            COORDINACIÓN DE ÁREA DE
            INGENIERÍA (MECÁNICA,              2do Piso        9.80       4.30     42.14
     9      ELECTRÓNICA I, ELECTRICIDAD I)

    10      COORDINACIÓN DE SALUD              2do Piso        4.60       3.50     16.10
            ÁREA DE CONTROL DE PRÁCTICAS
    11      SALUD                              2do Piso        3.00       2.60      7.80
            COORDINACIÓN DE ÁREA DE
            INGENIERÍA (COMPUTACIÓN E
    12      INFORMÁTICA)                       2do Piso        2.90       3.10      8.99
    13      OFICINA DE EXTENSIÓN EDUCATIVA     2do Piso        2.90       3.20      9.28
            OFICINA DE SISTEMAS DE
    14      INFORMACIÓN                        2do Piso        5.50       2.50     13.75


“HACER Y HACER BIEN LAS COSAS”                                        Página 21
PROYECTO EDUCATIVO INSTITUCIONAL 2011-2016-IPAL


    15      OFICINA DE IMAGEN INSTITUCIONAL      2do Piso    5.60       3.80    21.28
    16      OFICINA DE SUPERVISIÓN DE PAGOS      2do Piso    7.50       6.00    45.00
    17      OFICINA DE APOYO AL ESTUDIANTE       2do Piso    6.00       2.80    16.80
    18      DIRECCIÓN ACADÉMICA                  3er Piso    4.50       4.00    18.00
            OFICINA DE SECRETARÍA
    19      ACADÉMICA                            3er Piso    7.20       4.50    32.40
    20      OFICINA DE ASESORÍA                  3er Piso    4.80       3.00    14.40
            OFICINA DE ACTAS, NÓMINAS Y
                                                 3er Piso    2.20       4.40     9.68
    21      CERTIFICADOS
            DIRECCIÓN DE ADMINISTRACIÓN          3er Piso    7.50       6.00    45.00
    22
            COORDINACIÓN DE CONTABILIDAD Y
                                                 3er Piso    4.00       2.30     9.20
    23      NEGOCIOS

    24      OFICINA DE RELACIONES PÚBLICAS       3er Piso    5.80       4.00    23.20

    25      ÁREA DE EDUCACIÓN VIAL               3er Piso    5.60       5.00    28.00
                                  OTRAS ÁREAS IMPORTANTES
    26      ALMACÉN                              1er Piso   15.40       4.40    67.76

    27      ALMACÉN                              2do Piso    4.80       4.50    21.60

    28      VESTUARIO A                          1er Piso    3.00       4.00    12.00

    29      VESTUARIO B                          1er Piso    3.00       3.80    11.40

    30      VESTUARIO C                          1er Piso    3.00       4.80    14.40

    31      SERVICIOS HIGIÉNICOS DAMAS (5)       1er Piso   30.10       1.00    30.10
    32      SERVICIOS HIGIÉNICOS VARONES (6)     1er Piso   31.80       1.00    31.80
            SS. HH. PERSONAL
                                                 1er Piso    8.00       1.00     8.00
    33      ADMINISTRATIVOS (2)
    34      SS. HH. PARA DISCAPACITADOS (2)      1er Piso    6.00       1.00     6.00
    35      JEFATURA DE TALLER                   1er Piso    3.60       4.50    16.20
    36      SERVICIOS HIGIÉNICOS VARONES (4)     2do Piso   43.00       1.00    43.00
    37      SERVICIOS HIGIÉNICOS DAMAS (5)       2do Piso   54.50       1.00    54.50

            SS.HH. PERSONAL ADMINISTRATIVO (3)   2do Piso
    38
    39      LIBRERÍA 1                           2do Piso    1.70       2.25     3.83
            DEPARTAMENTO
                                                 2do Piso    3.00       2.60     7.80
    40      PSICOPEDAGÓGICO
    41      TÓPICO DE SALUD                      2do Piso    3.00       2.60     7.80

    42      DEPÓSITO 1                           2do Piso    2.50       2.00     5.00

    43      DEPÓSITO 2                           2do Piso    6.50       3.00    19.50

    44      DEPÓSITO 3                           2do Piso    5.00       3.00    15.00

    45      DEPÓSITO 4                           2do Piso    4.70       3.00    14.10



“HACER Y HACER BIEN LAS COSAS”                                      Página 22
PROYECTO EDUCATIVO INSTITUCIONAL 2011-2016-IPAL


    46      DEPÓSITO 1                           3er Piso    3.20       3.00     9.60

    47      DEPÓSITO 2                           3er Piso    3.20       3.00     9.60

    48      DEPÓSITO 3                           3er Piso    3.00       2.00     6.00

    49      DEPÓSITO 4                           3er Piso    7.50       6.00    45.00

    50      DEPÓSITO 5                           3er Piso    7.50       5.50    41.25

    51      ARCHIVO 1                            3er Piso    3.50       3.20    11.20

    52      ARCHIVO 2                            3er Piso    4.50       6.00    27.00

    53      SERVICIOS HIGIÉNICOS DAMAS (03)      3er Piso   43.00       1.00    43.00
            SERVICIOS HIGIÉNICOS VARONES
                                                 3er Piso   51.00       1.00    51.00
    54      (03)
            SS. HH. PERSONAL ADMINISTRATIVO
                                                 3er Piso   43.00       1.00    43.00
    55      (7)
            SERVICIOS HIGIÉNICOS DOCENTES
                                                 3er Piso    6.00       1.00     6.00
    56      (2)
    57      LIBRERÍA 2                           3er Piso    9.30       2.40    22.32

    58      CAFETÍN 1                            3er Piso    9.50       8.80    83.60

    59      BIBLIOTECA (habilitada con 17 PCs)   3er Piso   13.60     10.20 138.72

    60      LOSA DEPORTIVA                       3er Piso   41.00     17.00 697.00

    61      SALA DE PROFESORES                   3er Piso    5.60       5.00    28.00

    62      OFICINA DE MAQUINARIA PESADA         3er Piso    4.70       3.50    16.45
            SERVICIOS HIGIÉNICOS VARONES
                                                 4to Piso    4.40       2.80    12.32
    63      (02)
    64      SERVICIOS HIGIÉNICOS DAMAS (01)      4to Piso    4.40       3.00    13.20
            SS. HH. PERSONAL ADMINISTRATIVO
                                                 4to Piso   12.00       1.00    12.00
    65      (2)
    66      CAFETÍN 2                            4to Piso   23.00       6.00 138.00

Fuente: Elaboración Propia




“HACER Y HACER BIEN LAS COSAS”                                      Página 23
PROYECTO EDUCATIVO INSTITUCIONAL 2011-2016-IPAL


1.3.      METAS DE ATENCIÓN:

Del cuadro adjunto podemos apreciar que en los últimos seis años, el Ministerio
de Educación a través de la Dirección Regional de Educación de Lima
Metropolitana nos han asignado metas de atención en un promedio de 2220
alumnos por año para las diferentes carreras profesionales que ofertamos. Estas
Resoluciones Directorales de otorgamiento de Metas contemplan para tal efecto,
en primer lugar la información Censal que remitimos anualmente a la DRELM; en
segundo lugar la RD Nº 0275-2005 de Revalidación, en la que después de una
evaluación rigurosa del Ministerio de Educación de Infraestructura, docentes y
equipos asignó una meta anual de 1045 alumnos por turno y, otras Resoluciones
otorgadas por la DRELM en la que se menciona el incremento de la capacidad
instalada durante los últimos cinco años.
Esta información de infraestructura y Metas de ingresantes anuales, nos han
servido para preparar el cuadro adjunto, en donde proyectamos el crecimiento de
IPAL durante los próximos cinco años, considerando las nuevas carreras
profesionales que iniciarán sus actividades a partir del 2011.

                                   METAS DE INGRESANTES 2006 AL 2011
           AÑOS                    2006                2007                2008                 2009                 2010                 2011
         CARRERAS
                             TD    TN             TD   TN             TD   TN             TD     TN            TD     TN             TD    TN
                                          TOTAL




                                                              TOTAL




                                                                                  TOTAL




                                                                                                       TOTAL




                                                                                                                            TOTAL




                                                                                                                                                 TOTAL
       PROFESIONALES
   ENFERMERÍA TÉCNICA        300   570    870 150      550    700 150      400    550     200 200      400     200    90    290     150    90    240

  TÉCNICA EN FARMACIA        40    70     110     40   80     120     40   80     120     70    100    170     70    100    170     100    70    170

TÉCNICA EN LABORATORIO
                       20          16     36      0     0     0       0     0     0       0      0     0       0      0     0        0     0     0
        CLÍNICO

       COMPUTACIÓN E
                             60    60     120     60   80     140     60   80     140     100    70    170     100 150      250     180 100      280
        INFORMÁTICA

 MECÁNICA AUTOMOTRIZ         500   380    880 500      700   1200 422      300    722     600 400 1000         600 400 1000         600 400 1000

SECRETARIADO EJECUTIVO 30          54     84      50   70     120     50   70     120     80     70    150     80     70    150      80    40    120

       CONTABILIDAD          30    90     120     60   110    170     60   60     120     120 100      220     120 130      250     120 100      220

 TÉCNICA EN FISIOTERAPIA
                             0      0     0       0     0     0       0    40     40      30     30    60      30     30    60       0     0     0
    Y REHABILITACIÓN

   TÉCNICA EN PRÓTESIS
                             0      0     0       0     0     0       0    40     40      25     25    50      25     25    50       0     0     0
         DENTAL

ELECTRICIDAD INDUSTRIAL      0      0     0       0     0     0       0     0     0       0      0     0       0      0     0        60    40    100

 ELECTRÓNICA INDUSTRIAL      0      0     0       0     0     0       0     0     0       0      0     0       0      0     0        60    40    100

   SUB TOTAL METAS           980 1240 2220 860 1590 2450 782 1070 1852 1225 995 2220 1225 995 2220 1350 880 2230

     METAS TOTALES
                                   2220                2450                1852                 2220                 2220                 2230
       ANUALES

Fuente: Elaboración propia




“HACER Y HACER BIEN LAS COSAS”                                                                                                      Página 24
PROYECTO EDUCATIVO INSTITUCIONAL 2011-2016-IPAL


                           PROYECCIÓN DE METAS DE ATENCIÓN POR ÁREA PROFESIONAL 2011-2016
                                                                                  TD             TN
                                                     Movimiento Poblacional                                   AULAS
                                                                              (Población    ( Población
 item


            Carreras Profesionales Técnicas          Actual y Proyectado en                               (Requerimiento
                                                                              estudiantil   estudiantil
                                                             03 años                                        Proyectado)
                                                                              estimada)      estimada)
                  ÁREA INGENIERÍA                            2330               1165          1165        39            39
 1                 Mecánica Automotriz                        960                480           480         16           16
 2               Computación e Informática                    250                125           125         4            4
 3                Electricidad Industrial                      60                 30            30         1            1
 4                 Electrónica Industrial                      60                 30            30         1            1
 5             Análisis de Sistemas y MBD (P)                  90                 45            45         2            2
 6         Diseño Gráfico y Publicidad digital (P)            260                130           130         4            4
 7                    Autotrónica (P)                         650                325           325         11           11

            ÁREA DE CONTABILIDAD Y
                                                             1511                756           756        25            25
                  NEGOCIOS
 1                     Contabilidad                           150                 75            75         3            3
 2                Secretariado Ejecutivo                      100                 50            50         2            2
 3             Contabilidad y Finanzas (P)                    390                195           195         7            7
 4          Secretariado Ejecutivo Bilingüe (P)               195                97.5          97.5        3            3
 5      Administración y Gestión Empresarial (P)              182                 91            91         3            3




“HACER Y HACER BIEN LAS COSAS”                                                                              Página 25
PROYECTO EDUCATIVO INSTITUCIONAL 2011-2016-IPAL



      Administración de Negocios Internacionales
 6                                                                     182                         91                      91                   3             3
                         (P)
 7           Marketing Empresarial (P)                                 130                         65                      65                   2             2
 8           Gastronomía y Arte Culinario (P)                          182                         91                      91                   3             3
                   ÁREA DE SALUD                                      340                        170                     170                    6            6
 1                        Farmacia                                     170                         85                      85                   3             3
 2                       Enfermería                                    170                         85                      85                   3             3
 3              Fisioterapia y Rehabilitación                           0                          0                        0                   0             0
 4                     Prótesis dental                                  0                          0                        0                   0             0
 5                   Laboratorio Clínico                                0                          0                        0                   0             0


          Requerimiento total de aulas por turno                     4181                       2091                    2091                   70            70
Fuente: Elaboración propia
  P Se trata de las Carreras Profesionales Técnicas que están en proceso de autorización de funcionamiento de manera experimental
Observación: Dada la demanda de profesionales de Contabilidad y Finanzas, Secretariado Ejecutivo Bilingüe y Autotrónica; se presume que en un futuro próximo éstas
reemplazarán a las carreras de Contabilidad, Secretariado Ejecutivo y Mecánica Automotriz.
Conclusión: En IPAL hay dos ingresos por año. Actualmente Contamos con un total de 78 aulas y 41 ambientes entre
talleres, laboratorios, módulos, etc., disponibles, de los cuales en el momento que se cubra la demanda proyectada sólo
necesitaremos aproximadamente 70 aulas por turno (tal como lo apreciamos en el cuadro). Por lo tanto, concluimos que
la cantidad de aulas, por la rotación y factores técnicos contemplados cubre a futuro nuestras expectativas empresariales
y de infraestructura.




“HACER Y HACER BIEN LAS COSAS”                                                                                                                   Página 26
PROYECTO EDUCATIVO INSTITUCIONAL 2011-2016-IPAL

1.4.   POBLACIÓN ESTUDIANTIL 2011:

   Nuestra Institución cuenta en su gran mayoría, con un personal docente
   comprometido con su labor, preparado y calificado para efectuar su labor
   docente con eficiencia.
   El personal administrativo está capacitado y preparado para actuar con
   identidad institucional y espíritu de colaboración.

1.4.1. POBLACIÓN ESTUDIANTILPOR CARRERA PROFESIONAL
       TECNOLÓGICA 2011:

   Actualmente contamos con una población estudiantil de 3347 estudiantes,
   distribuidos en las siguientes carreras:

          Carrera Profesional             N° Estudiantes:   N° Estudiantes:
                                          Turno Diurno      Turno Nocturno

1.-CONTABILIDAD                                  75                160

2.-SECRETARIADO EJECUTIVO                        61                 47

3.-MECANICA AUTOMOTRIZ                          587                911

4.-ENFERMERIA TECNICA                           235                 95

5.-FARMACIA                                     140                 52

6.-COMPUTACION E INFORMATICA                    223                112

7.-ADMINISTRACION Y GESTION                      57                 32
EMPRESARIAL

8.-SECRETARIADO EJECUTIVO BILINGUE               59                 18

9.-CONTABILIDAD Y FINANZAS                      115                 35

10.-DISEÑO GRAFICO Y PUBLICIDAD Y               100                 15
DIGITAL

11.-ADMINISTRACION DE NEGOCISO                   32                 12
INTERNACIONALES

12.-MARKETING EMPRESARIAL                        15                  0

13.-ELICTROTECNICA INDUSTRIAL                    34                 45

14.-ELECTRONICA INDUSTRIAL                       26                 14

15. FISIOTERAPIA Y REHABILITACIÓN                0                  40

SUB TOTAL                                      1759                1588

Fuente: Elaboración propia, con información proyectada y estimada según fuentes
internas de matrículas y estadísticas de los años 2008, 2009 y 2011.




“HACER Y HACER BIEN LAS COSAS”                                           Página 27
PROYECTO EDUCATIVO INSTITUCIONAL 2011-2016-IPAL

   Como podemos apreciar actualmente tenemos una población promedio de
   1600 estudiantes por turno, que en total representa 3200 estudiantes en
   ambos turnos.

   Siendo nuestra capacidad instalada en función al número de estudiantes
   que podemos albergar, de:

   Aulas:                                     2589.00

   Talleres:                                    452.00

   Laboratorios de Cómputo:                     309.00

   Módulos y laboratorios de Salud:             191.00

   Sub Total:                                 3541.00

   Entonces actualmente contamos con una capacidad de 3541.00 estudiantes
   por turno. De los cuales, estamos usando en el turno diurno el 49.67% y en
   el turno nocturno el 44.84% de la capacidad instalada.

   Se está asumiendo como que el 100% de áreas están construidas y
   disponibles.

   Considerando que para los próximos tres años habremos culminado la
   construcción de 11 ambientes más en el área de ingenierías, podremos
   soportar la demanda venidera.

1.4.2. POBLACIÓN ESTUDIANTIL EN EXTENSIÓN EDUCATIVA:

    Tenemos una población estudiantil que vienen a estudiar los sábados y
    domingos, de aproximadamente 2000 estudiantes, distribuidos en los
    cursos de computación, diseño gráfico, turismo, secretariado, contabilidad,
    mecánica automotriz, entre otros.

1.4.3. POBLACIÓN ESTUDIANTIL EN CETPRO:

    Son aproximadamente 300 estudiantes de cosmetología y cursos afines.
    Funciona en un área específica asignada para tal fin.

1.4.4. PERSONAL DOCENTE:

    La institución viene brindando trabajo a muchos docentes. La disponibilidad
    de éstos es tomada en cuenta para clasificarla en docentes a dedicación
    exclusiva, a tiempo completo, o a tiempo parcial. Un alto porcentaje de
    ellos están con contrato a plazo determinado, sujeto a modalidad.

    Contamos en promedio en estos tres últimos años con cerca de 160
    docentes, distribuidos en las carreras profesionales tecnológicas .




“HACER Y HACER BIEN LAS COSAS”                                        Página 28
PROYECTO EDUCATIVO INSTITUCIONAL 2011-2016-IPAL

   Por la particularidad de la formación superior tecnológica que brindamos,
   requerimos desde el primer semestre de docentes de especialidad, esto
   hace entonces que actualmente contemos con un porcentaje muy alto de
   docentes a tiempo parcial; considerando como cerca al 80% que están bajo
   esta condición. Los docentes a dedicación exclusiva representan cerca al
   15% y a tiempo completo 5%.

1.4.5. PERSONAL ADMINISTRATIVO Y DE APOYO:

   Actualmente se cuenta con personal administrativo nombrado y contratado
   que cubren la atención en doble horario. Es decir, desde el inicio de
   nuestras actividades matinales hasta el cierre de nuestras operaciones
   diarias. Estas personas atienden a los estudiantes y padres de familia en lo
   que concierne a temas administrativos y académicos permanentemente.

   Se han asignado bien las funciones por áreas de trabajo, considerando el
   reglamente de organización y funciones.

   La Dirección académica, encargada de la conducción de los procesos
   académicos de todas las carreras profesionales, es ayudada por los
   Coordinadores académicos, quienes cumplen con el perfil establecido por
   norma expresa y Reglamento Institucional; que por ahora suman 04 más
   una profesional a cargo del área de extensión educativa.

   Además, cada Coordinador Académico tiene la facultad de solicitar el apoyo
   de practicantes para cubrir algunas operaciones que son parte de su
   formación profesional de éstos, estas actividades pueden ser de orden
   informático, secretarial, contable o de salud.

   También, se tienen responsables de los laboratorios de cómputo en
   cantidad suficiente, para los 10 laboratorios que actualmente tiene la
   institución. Así como también, se han instalado jefes de talleres por carrera
   profesional.
   IPAL por medidas de cautelar con el orden y seguridad de su comunidad
   educativa ha contratado los servicios de una empresa de vigilancia y
   seguridad, que es administrada por terceros, los que brindan seguridad
   durante las 24 horas del día por los 365 días del año.
   Actualmente, tenemos como servicio de apoyo al personal de limpieza, que
   en cantidad suficiente cumplen con la noble labor de mantener en perfectas
   condiciones de limpieza las aulas, laboratorios, módulos, talleres, losa
   deportiva, bibliotecas, auditorio y todas las áreas que se encuentran dentro
   de nuestras instalaciones.
   La forma de cómo se admite al personal administrativo, está establecido en
   el reglamento interno, y corresponde al rubro de Servicios de Apoyo.
   Estamos, por la cantidad de trabajadores en el área administrativa dentro de
   los estándares internacionales que indican que se debe de mantener un




“HACER Y HACER BIEN LAS COSAS”                                         Página 29
PROYECTO EDUCATIVO INSTITUCIONAL 2011-2016-IPAL

   porcentaje de entre 15 a 20% del total de estudiantes de la institución
   educativa, por lo tanto, si contamos con aproximadamente 3200 estudiantes,
   entonces necesitamos por norma aproximadamente 65 trabajadores
   administrativos.

1.5. INGRESOS ECONÓMICOS APROXIMADOS DESDE 2005 HASTA 2011

                            CUADRO DE INGRESOS 2005 A 2011 (en miles de soles)

     MESES/AÑOS        2005           2006          2007         2008       2009         2010        2011
   ENERO                   347.00         512.00        562.00     760.00     793.00       769.00      810.00
   FEBRERO                 309.00         437.00        576.00     669.00     737.00       776.00      750.00
   MARZO                   396.00         542.00        731.00     799.00     945.00       888.00      890.00
   ABRIL                   432.00         497.00        691.00     840.00     730.00       801.00      822.00
   MAYO                    482.00         584.00        753.00     830.00     829.00       929.00      990.00
   JUNIO                   382.00         475.00        606.00     825.00     713.00       785.00      800.00
   JULIO                   386.00         506.00        691.00     838.00     824.00       780.00      800.00
   AGOSTO                  472.00         572.00        841.00     908.00     928.00       980.00    1,000.00
   SEPTIEMBRE              407.00         598.00        832.00   1,036.00     828.00       849.00      900.00
   OCTUBRE                 477.00         619.00        821.00     832.00     800.00       826.00      800.00
   NOVIEMBRE               466.00         615.00        700.00     708.00     792.00       820.00      830.00
   DICIEMBRE               364.00         473.00        579.00     681.00     607.00       682.00      750.00
                         4,920.00       6,430.00      8,383.00   9,726.00   9,526.00    11,895.00   12,153.00
   Fuente: Elaboración propia, Se toma como base los PDT.

   Del cuadro adjunto podemos apreciar los ingresos de los últimos años de
   IPAL, según el PDT y algunos cálculos proyectados para lo que resta del
   2011.
   Esta información nos ha servido para preparar el cuadro de Ingresos
   Proyectados para los otros cinco años, es decir 2012 a 2016, considerando
   los ingresos provenientes de las pensiones de las nuevas carreras
   experimentales que se inician en el 2011-II.
1.6. INGRESOS PROYECTADOS 2012-2016

        CUADRO DE INGRESOS PROYECTADO 2011 A 2016 (en miles de
                               soles)
     MESES/AÑOS                 2012               2013            2014                2015           2016
    ENERO                 890.30        940.80       991.30    1,041.80                               1,092.30
    FEBRERO               838.10        883.60       929.10      974.60                               1,020.10
    MARZO                 972.70      1,013.40     1,054.10    1,094.80                               1,135.50
    ABRIL                 843.70        866.00       888.30      910.60                                 932.90
    MAYO                1,038.10      1,095.40     1,152.70    1,210.00                               1,267.30
    JUNIO                 850.20        885.00       919.80      954.60                                 989.40
    JULIO                 834.60        850.60       866.60      882.60                                 898.60
    AGOSTO              1,048.40      1,087.40     1,126.40    1,165.40                               1,204.40
    SEPTIEMBRE            873.70        868.60       863.50      858.40                                 853.30
    OCTUBRE               801.40        796.60       791.80      787.00                                 782.20
    NOVIEMBRE             881.60        918.80       956.00      993.20                               1,030.40
    DICIEMBRE             762.70        797.00       831.30      865.60                                 899.90
                       12,647.50    13,016.20    13,384.90    13,753.60                              14,122.30
    Fuente: Elaboración propia, Se hace las proyecciones respectivas




“HACER Y HACER BIEN LAS COSAS”                                                                  Página 30
PROYECTO EDUCATIVO INSTITUCIONAL 2011-2016-IPAL

Esta información se obtiene de al proyectar los ingresos de los últimos cinco
años más los ingresos proyectados por la apertura de las nuevas carreras
profesionales tecnológicas.

Estimamos que a partir del año 2012 habrán mejores ingresos por la apertura
de las carreras profesionales de:

   -   Contabilidad y Finanzas, la que contará con un promedio de 390
       ingresantes en los dos semestres académicos proyectados.

   -   Secretariado Ejecutivo Bilingüe, la que contará con un promedio de 195
       ingresantes en los dos semestres académicos proyectados.

   -   Autotrónica, que contará con un promedio de 650 ingresantes en los dos
       semestres académicos proyectados.

   -   Diseño gráfico y Publicidad Digital, que contará con un promedio de 260
       ingresantes en los dos semestres académicos proyectados.

   -   Análisis de sistemas y Modelamiento de Base de Datos, que contará con
       un promedio de 90 ingresantes en los dos semestres académicos
       proyectados.

   -   Administración y Gestión Empresarial, que contará con un promedio de
       182 ingresantes en los dos semestres académicos proyectados.

   -   Gastronomía y Arte culinario, que contará con un promedio de 182
       ingresantes en los dos semestres académicos proyectados.

   -   Marketing Empresarial, que contará con un promedio de 130 ingresantes
       en los dos semestres académicos proyectados.

   -   Administración de Negocios Internacionales, que contará con un
       promedio de 182 ingresantes en los dos semestres académicos
       proyectados.

   -   Electrónica Industrial, que a partir del 2011-I cuenta con una meta de 60
       ingresantes para los dos semestres académicos proyectados.

   -   Electrotecnia Industrial, que a partir del 2011-I cuenta con una meta de
       60 ingresantes para los dos semestres académicos proyectados.

Se puede observar que hay una capacidad instalada que espera ser cubierta
por un alto porcentaje de ingresantes a partir del periodo lectivo 2011-II. Este
hecho permitirá mejorar las condiciones de sostenibilidad y proyección de IPAL
hacia la sociedad peruana.




“HACER Y HACER BIEN LAS COSAS”                                         Página 31
PROYECTO EDUCATIVO INSTITUCIONAL 2011-2016-IPAL

                                 CAPÍTULO II

4. BASE LEGALY RESOLUCIONES DIRECTORALES DE AUTORIZACIÓN
   DE FUNCIONAMIENTO DE LAS CARRERAS PROFESIONALES
   TECNOLÓGICAS DE IPAL.

2.3. DISPOSITIVOS LEGALES EMITIDOS POR EL MINISTERIO DE
     EDUCACIÓN Y OTROS DOCUMENTOS IMPORTANTES

   •   Constitución Política del Estado

   •   Ley General de Educación N" 28044

   •   Proyecto Educativo Nacional 2015

   •   Lineamientos Nacionales de Política de la Formación Profesional
       Aprobado por Decreto Supremo Nº 021-2006-ED del 28 de julio del 2006

   •   DIseño Curricular Básico de la Educación Superior Tecnológica
       Aprobado con carácter experimental mediante R.D. No.0896-2006-ED
       DEL 29-12-2006

      Ley    de   Institutos   y         escuelas   de   educación   superior
       Ley 29394 del 05-08-2009

      Aprueban el Reglamento de la Ley No.29394, Ley de Institutos y
       Escuelas             de             Educación        Superior
       Decreto Supremo No. 004-2010-ED del 26-01-2010

      Decreto Legislativo Nº 882 Ley de la Promoción de la Inversión en la
       Educación

      Aprueban Normas Nacionales para el desarrollo, Procedimientos para la
       Autorización y Formatos para solicitar autorización de funcionamiento de
       programas de Post-Título (Segunda Especialización) en IEST
       Resolución      Directoral    No.0102-2011-ED         del     26-01-2011
       Formatos

      Aprueban Normas para la Aplicación del Nuevo Diseño Curricular Básico
       de la Educación Superior Tecnológica en IEST e ISE autorizados
       Resolución Directoral No.0929-2011-ED del 21-03-2011

      Aprueban Normas, Procedimientos y Formatos para el Desarrollo de los
       Cursos de Extensión y para la Autorización de Programas de
       Capacitación, Actualización o Especialización en IEST e ISE
       Resolución Directoral No.0922-2011-ED del 15-03-2011 Formatos
       Rectificación Resolución Directoral No.1498-2011-ED del 24-06-2011

      Se establecen períodos para que los Institutos Superiores de Educación
       que desarrollan carreras tecnológicas, puedan efectuar el respectivo




“HACER Y HACER BIEN LAS COSAS”                                        Página 32
PROYECTO EDUCATIVO INSTITUCIONAL 2011-2016-IPAL

       examen                          de                              admisión
       Resolución Ministerial No.0412-2010-ED del 23-12-2010

      Aprueban las Orientaciones y Normas para el Desarrollo de las
       actividades Educativas en el año 2011 en Instituto y Escuela de
       Educación     Superior   que    desarrolla  carreras   tecnológicas
       Resolución     Directoral    No.1067-2010-ED      del   01-12-2010
       Rectificación Resolución Directoral No.1071-2010-ED del 06-12-2010

      Aprueban el Procedimiento de Evaluación de Expedientes de Creación y
       Autorización de Funcionamiento de Instituto de Educación Superior
       Tecnológico Privado y Público y de nuevas carreras profesionales
       Resolución Directoral No.0738-2010-ED del 06-09-2010

      Aprueban Normas para la adecuación de los planes de estudio de las
       carreras tecnológicas de acuerdo a los lineamientos generales del nuevo
       Diseño Curricular Básico, en Instituto de Educación Superior
       Tecnológico       e      Instituto     Superior      de      Educación
       Resolución Directoral No.0686-2010-ED del 01-09-2010 Formato en
       versión word

      Contenidos básicos comunes mínimos que deben incluirse en los planes
       de      estudios       de      las     carreras        profesionales
       Resolución Directoral No.0411-2010-ED del 21-05-2010

        Lineamientos para la titulación de los egresados de Instituto de
       Educación Superior Tecnológico, Instituto Superior de Educación e
       Instituto de Educación Superior Pedagógico que aplican el nuevo Diseño
       Curricular    Básico   de    la   Educación    Superior    Tecnológica
       Resolución Directoral No.0408-2010-ED del 21-05-2010

      Lineamientos para la práctica pre-profesional en Instituto de Educación
       Superior Tecnológico, Instituto Superior de Educación e Instituto de
       Educación Superior Pedagógico que aplican el nuevo Diseño Curricular
       Básico      de      la       Educación       Superior       Tecnológica
       Resolución Directoral No.0401-2010-ED del 18-05-2010

      Fijan a partir del año 2011, el periodo comprendido entre el 1° de febrero
       al 30 de noviembre de cada año, para la presentación de proyectos de
       creación y autorización de funcionamiento de Institutos y Escuelas de
       Educación Superior Tecnológicos, y de nuevas carreras profesionales en
       los Institutos y Escuelas de Educación Superior Tecnológicos, ante las
       Direcciones              Regionales             de              Educación
       Resolución Ministerial No.0089-2010-ED del 06-04-2010

      Lineamientos para elaborar el reglamento institucional y documentos de
       gestión de los Institutos y Escuelas de Educación Superior
       Resolución Directoral No.0321-2010-ED del 23-03-2010



“HACER Y HACER BIEN LAS COSAS”                                          Página 33
PROYECTO EDUCATIVO INSTITUCIONAL 2011-2016-IPAL

      Normas para la aplicación del nuevo Diseño Curricular Básico de la
       Educación Superior Tecnológica en los Institutos de Educación Superior
       Tecnológicos, Institutos Superiores de Educación e Institutos de
       Educación           Superior        Pedagógicos            autorizados
       Resolución Directoral No.0279-2010-ED del 15-03-2010

      Precisión sobre los exámenes de admisión en los Institutos y Escuelas
       de Educación Superior Tecnológicos y en los Institutos de Educación
       Superior pedagógicos autorizados para desarrollar carreras
       profesionales                                             tecnológicas
       Resolución Directoral No. 0208-2010-ED del 19-02-2010

      Aprueban "Normas para la Organización y Ejecución del Proceso de
       Admisión a los Institutos y escuelas de educación superior tecnológica"
       Resolución Ministerial No. 0025-2010-ED del 13-02-2010

      Aprueban Plan de Adecuación de los actuales Institutos y Escuelas de
       Educación Superior a la Ley No.29394 - Ley de institutos y Escuelas de
       Educación                                                     Superior
       Resolución Ministerial No. 0023-2010-ED del 13-02-2010

      Aprueban, el reajuste de la estructura del nuevo Diseño Curricular
       Básico de la Educación Superior Tecnológica, a partir del 2010
       Resolución Directoral No. 0107-2010-ED del 26-01-2010

      Decreto Supremo N°004-98-ED, Reglamento de infracciones              y
       sanciones para las instituciones educativas particulares.




“HACER Y HACER BIEN LAS COSAS”                                       Página 34
PROYECTO EDUCATIVO INSTITUCIONAL 2011-2016-IPAL



2.4. RESOLUCIONBES DIRECTORALES DE CREACIÓN Y AUTORIZACIÓN DE FUNCIONAMIENTO DE CARRERAS
      PROFESIONALES TECNOLÓGICAS


                                                                      CUADRO Nº 01
Nº     Carreras                  Resolución                de Observación                   Proceso de adecuación        Propuesta de Gestión
                                 autorización              de
       Profesionales
                                 Funcionamiento
                                                                                                                         El Ministerio de Educación autorizó
                                 RM Nº 1221-1983, (emitida el                               RD     Nº    2555-2009-ED,   para otorgar Título Profesional a
  1    Contabilidad              26/09/1983)                    Carreras                    (emitida el 10/11/2009)      Nombre       de   la   Nación   como
                                                                Profesionales                                            Profesional Técnico en Contabilidad.
                                                                Técnicas Revalidadas                                     El Ministerio de Educación autorizó
  2    Secretariado Ejecutivo    RM Nº 1221-1983, (emitida el   Con                         RD     Nº    2555-2009-ED,   para otorgar Título Profesional a
                                 26/09/1983)                    RD Nº 0275-2005-ED,         (emitida el 10/11/2009)      Nombre       de   la   Nación   como
                                                                emitida     el   23   de                                 Profesional Técnico en Secretariado
                                                                noviembre del 2005.                                      Ejecutivo.
                                                                En       esta    RD   se                                 El Ministerio de Educación autorizó
                                 RM Nº 0213-1984-ED,            establece como meta
  3    Enfermería Técnica                                                                   RD     Nº    2555-2009-ED,   para otorgar Título Profesional a
                                 (emitida el 07/03/1984)
                                                                1045      alumnos     por   (emitida el 10/11/2009)      Nombre       de   la   Nación   como
                                                                turno.                                                   Profesional Técnico en    Enfermería
                                                                                                                         Técnica.
                                                                                                                         El Ministerio de Educación autorizó
                                 RM Nº 0213-1984-ED,
  4    Técnica en Farmacia                                                                  RD     Nº    2555-2009-ED,   para otorgar Título Profesional a
                                 (emitida el 07/03/1984)
                                                                                            (emitida el 10/11/2009)      Nombre       de   la   Nación   como




“HACER Y HACER BIEN LAS COSAS”                                                                                                                      Página 35
PROYECTO EDUCATIVO INSTITUCIONAL 2011-2016-IPAL



                                                                                                                 Profesional Técnico en   Técnica en
                                                                                                                 Farmacia.


  5    Laboratorio Clínico        RM     Nº     0213-1984-ED,                     En proceso de evaluación       El Ministerio de Educación autorizó
                                  (emitida el 07/03/1984)                         para el cierre definitivo.     para otorgar Título Profesional a
                                                                                                                 Nombre      de   la   Nación   como
                                                                                                                 Profesional Técnico en   Laboratorio
                                                                                                                 Clínico.

                                  RD Nº 0213-91-ED, (emitida
  6    Computación            e                                                   RD      Nº     2555-2009-ED,   El Ministerio de Educación autorizó
                                  el 30/07/1990)
       Informática                                                                (emitida el 10/11/2009)        para otorgar Título Profesional a
                                                                                                                 Nombre      de   la   Nación   como
                                                                                                                 Profesional Técnico en Computación
                                                                                                                 e Informática.


  7                                                                                                              El Ministerio de Educación autorizó
       Mecánica automotriz.       RM Nº 0360-96-ED, (emitida                      RD Nº 0339-07-ED, (emitida     para otorgar Título Profesional a
                                  el 05/07/1996)
                                                                                  el 14/09/2007)                 Nombre      de   la   Nación   como
                                                                                                                 Profesional Técnico en     Mecánica
                                                                                                                 Automotriz.



                                                                                                                 El Ministerio de Educación autorizó
                                  RD Nº 0185-07-ED, (emitida
  8    Técnica   en    Prótesis                                 Cierre Temporal   En proceso de evaluación       para otorgar Título Profesional a
                                  el 20/04/2007)




“HACER Y HACER BIEN LAS COSAS”                                                                                                             Página 36
PROYECTO EDUCATIVO INSTITUCIONAL 2011-2016-IPAL



       Dental                                                                             para el cierre temporal.     Nombre        de    la   Nación     como
                                                                                                                       Profesional        Técnico en Prótesis
                                                                                                                       Dental.
                                                                                                                       El Ministerio de Educación autorizó
                                     RD Nº 0185-07-ED, (emitida
  9    Fisioterapia              y                                Cierre Temporal         En proceso de evaluación     para otorgar Título Profesional a
                                     el 20/04/2007)
       Rehabilitación                                                                     para el cierre temporal.     Nombre        de    la   Nación     como
                                                                                                                       Profesional Técnico en Fisioterapia
                                                                                                                       y Rehabilitación.
                                                                                                                       Ha sido admitida la solicitud hecha
                                     RD Nº 0780-10-ED, (emitida
 10    Electricidad Industrial                                    Inició actividades el   Adecuado con Certificado N   ante el Ministerio de Educación para
                                     el 24/09/2010)
                                                                  2011-I                  º 070-2011-DESTP emitido     que el Título Profesional sea de
                                                                                          el 20/06/2011                Profesional Técnico en Electrotecnia
                                                                                                                       Industrial.
                                                                                                                       El Ministerio de Educación autoriza
                                     RD Nº 0780-10-ED, (emitida
 11    Electrónica Industrial                                     Inició actividades el   Adecuado con Certificado N   para que el Título Profesional sea de
                                     el 24/09/2010)
                                                                  2011-I                  º 070-2011-DESTP emitido     Profesional Técnico en Electrónica
                                                                                          el 20/06/2011                Industrial.

                                                                                                                       A partir del 2011-II se ofertará esta
                                     RD Nº 1921-11-ED, (emitida
 12    Contabilidad y Finanzas                                    Inició actividades el   Adecuado con la misma RD     carrera   profesional    técnica.     El
                                     el 05/08/2011)
                                                                  2011-II                 Nº 1921-2011-ED              Ministerio de Educación autoriza para
                                                                                                                       que el Título Profesional sea de
                                                                                                                       Profesional Técnico en Contabilidad y
                                                                                                                       Finanzas.




“HACER Y HACER BIEN LAS COSAS”                                                                                                                      Página 37
PROYECTO EDUCATIVO INSTITUCIONAL 2011-2016-IPAL



                                                                                                                    A partir del 2011-II se ofertará esta
                                    RD Nº 1921-11-ED, (emitida
 13    Administración         de                                 Inició actividades el   Adecuado con la misma RD   carrera   profesional       técnica.    El
                                    el 05/08/2011)
       Negocios                                                  2011-II                 Nº 1921-2011-ED            Ministerio de Educación autoriza para
       Internacionales.                                                                                             que el Título Profesional sea de
                                                                                                                    Profesional        Técnico             en
                                                                                                                    Administración      de           Negocios
                                                                                                                    Internacionales.
                                                                                                                    A partir del 2011-II se ofertará esta
                                    RD Nº 1921-11-ED, (emitida
 14    Administración          y                                 Inició actividades el   Adecuado con la misma RD   carrera   profesional       técnica.    El
                                    el 05/08/2011)
       Gestión Empresarial.                                      2011-II                 Nº 1921-2011-ED            Ministerio de Educación autoriza para
                                                                                                                    que el Título Profesional sea de
                                                                                                                    Profesional        Técnico             en
                                                                                                                    Administración          y          Gestión
                                                                                                                    Empresarial.
                                                                                                                    A partir del 2011-II se ofertará esta
                                    RD Nº 1921-11-ED, (emitida
 15    Marketing Empresarial                                     Inició actividades el   Adecuado con la misma RD   carrera   profesional       técnica.    El
                                    el 05/08/2011)
                                                                 2011-II                 Nº 1921-2011-ED            Ministerio de Educación autoriza para
                                                                                                                    que el Título Profesional sea de
                                                                                                                    Profesional Técnico en           Marketing
                                                                                                                    Empresarial.
                                                                                                                    A partir del 2011-II se ofertará esta
                                    RD Nº 1921-11-ED, (emitida
 16    Secretariado     Ejecutivo                                Inició actividades el   Adecuado con la misma RD   carrera   profesional       técnica.    El
                                    el 05/08/2011)
       Bilingüe.                                                 2011-II                 Nº 1921-2011-ED            Ministerio de Educación autoriza para
                                                                                                                    que el Título Profesional sea de




“HACER Y HACER BIEN LAS COSAS”                                                                                                                      Página 38
PROYECTO EDUCATIVO INSTITUCIONAL 2011-2016-IPAL



                                                                                                                     Profesional Técnico en Secretariado
                                                                                                                     Ejecutivo Bilingüe.




                                                                                                                     A partir del 2011-II se ofertará esta
                                     RD Nº 1921-11-ED, (emitida
 17    Autotrónica.                                               Inició actividades el   Adecuado con la misma RD   carrera   profesional   técnica.     El
                                     el 05/08/2011)
                                                                  2011-II                 Nº 1921-2011-ED            Ministerio de Educación autoriza para
                                                                                                                     que el Título Profesional sea de
                                                                                                                     Profesional Técnico en Autotrónica.
                                                                                                                     A partir del 2011-II se ofertará esta
                                     RD Nº 1921-11-ED, (emitida
 18    Gastronomía      y     Arte                                Inició actividades el   Adecuado con la misma RD   carrera   profesional   técnica.     El
                                     el 05/08/2011)
       Culinario.                                                 2011-II                 Nº 1921-2011-ED            Ministerio de Educación autoriza para
                                                                                                                     que el Título Profesional sea de
                                                                                                                     Profesional Técnico en Gastronomía
                                                                                                                     y Arte Culinario.
                                                                                                                     A partir del 2011-II se ofertará esta
                                     RD Nº 1921-11-ED, (emitida
 19    Diseño       Gráfico     y                                 Inició actividades el   Adecuado con la misma RD   carrera   profesional   técnica.     El
                                     el 05/08/2011)
       Publicidad Digital.                                        2011-II                 Nº 1921-2011-ED            Ministerio de Educación autoriza para
                                                                                                                     que el Título Profesional sea de
                                                                                                                     Profesional   Técnico    en      Diseño
                                                                                                                     Gráfico y Publicidad Digital.




“HACER Y HACER BIEN LAS COSAS”                                                                                                                     Página 39
PROYECTO EDUCATIVO INSTITUCIONAL 2011-2016-IPAL



                                                                                                                 A partir del 2011-II se ofertará esta
                                 RD Nº 1921-11-ED, (emitida
 20    Análisis de Sistemas y                                 Inició actividades el   Adecuado con la misma RD   carrera   profesional   técnica.    El
                                 el 05/08/2011)
       Modelación de Base de                                  2011-II                 Nº 1921-2011-ED            Ministerio de Educación autoriza para
       Datos.                                                                                                    que el Título Profesional sea de
                                                                                                                 Profesional Técnico en     Análisis de
                                                                                                                 Sistemas y Modelación de Base de
                                                                                                                 Datos.




“HACER Y HACER BIEN LAS COSAS”                                                                                                               Página 40
PROYECTO EDUCATIVO INSTITUCIONAL 2011-2016-IPAL

                                   CAPÍTULO III

4. PRINCIPIOS Y BASES CONCEPTUALES EN IPAL

4.1.    MISIÓN INSTITUCIONAL

Formar profesionales técnicos altamente competitivos con valores, creatividad,
liderazgo y cultura, que contribuirán con el desarrollo nacional y mundial.

4.2.    VISIÓN INSTITUCIONAL

Ser una institución de educación superior tecnológica de excelencia, líder
nacional e internacional, que garantice la formación de profesionales técnicos
altamente competitivos con visión cosmopolita; acreditados por los valores que
practican.

4.3.    VALORES INSTITUCIONALES

Teniendo en cuenta la Declaración Universal de los Derechos Humanos a
continuación se describen los valores que se optan:

       Institucionalmente y que se desarrollan y concretizan en las esferas de
       Lo personal y lo social de la vida Profesional.
       Respeto por la Vida: Actitud personal y colectiva hacia la conservación
        mejoramiento y protección de las diversas formas de existencia: las
        personas, el clima organizacional, el medio ambiente, la comunidad, y la
        sociedad en general.
       Equidad: Es el ofrecimiento de los servicios sin distinciones de raza,
        sexo, credo o procedencia social, como aporte a la constitución de la
        democracia.
       Democracia Participativa: Valor referido al ejercicio del poder
        fundamentado en la voluntad colectiva que garantice la autonomía, la
        libertad, la equidad y el derecho a la participación.
       Respeto a la Diversidad: Basados en la convicción del ser como
        elemento potenciador del desarrollo. Valor básico al considerar las
        diferentes realidades y condiciones individuales de nuestros miembros y
        normas de organización local, regional, nacional e internacional. Tiene
        que ver con la no discriminación por asuntos parciales, políticos y
        socioeconómicos y culturales.
       Responsabilidad Crítica: Decidir y actuar conforme al análisis previo
        de las consecuencias inmediatas o a corto plazo de las acciones, formas
        comunicativas o el ejercicio del desempeño.
       Honestidad: Actitud consciente e intencional para realizar todos los
        procesos con transparencia, eficiencia, eficacia y disposición para rendir
        cuenta a la comunidad, incluso en aquellas ocasiones que impliquen
        riesgos o intereses particulares. Al interior de la Institución se refleja en




“HACER Y HACER BIEN LAS COSAS”                                             Página 41
PROYECTO EDUCATIVO INSTITUCIONAL 2011-2016-IPAL

       relaciones y acciones que generen confianza y credibilidad interna y
       externa.
      Dignidad Humana: Este valor implica respeto, reconocimiento
       tolerancia que enaltece en el ser humano su condición de la persona y
       ciudadano. Actuar consciente e intencionalmente en concordancia con
       los valores, compromisos, políticas y fines establecidos.
      Solidaridad: Fundamento de la formación de personas con
       responsabilidad social a partir del trabajo colectivo y la
       interdisciplinariedad.
      Pertenencia: Capacidad de conjugar expectativas y proyecto de
       Vida personal con la misión institucional.
      Pertinencia: Capacidad de adecuar conocimientos, metodología,
       procesos y proyectos a las necesidades del entorno y a la visión
       institucional.

4.4.   OBJETIVOS ESTRATÉGICOS DE UNA EMPRESA EDUCATIVA:

4.4.1. GESTIÓN PEDAGÓGICA

       1. Elaborar el PCCI del IESTP “PERUANO ALEMAN” mostrando una
       pertinente diversificación que responda a nuestra propuesta pedagógica
       y a las demandas de desarrollo socio-cultural de la región.
       2. Desarrollar los contenidos transversales de los Derechos Humanos y
       Educación Ecológica a través de proyectos de integración de áreas,
       proyección social y relación interinstitucional.
       3. Innovar permanentemente en el manejo de estrategias de
       aprendizaje y materiales educativos con el apoyo de los recursos que
       nos ofrece la ciencia y la tecnología.
       4. Desarrollar una micro planificación coherente con los sílabos, que
       rescate saberes previos y sea capaz de estimular aprendizajes
       significativos en las distintas áreas curriculares.
       5. Desarrollar un sistema de evaluación de los aprendizajes coherente
       con nuestra propuesta pedagógica y que se plasme en un Reglamento
       actualizado de Evaluación.
       6. Garantizar el uso óptimo de los recursos educativos institucionales
       (informáticos, bibliografía especializada y actualizada, audiovisuales,
       laboratorios, material didáctico, etc. Para mejorar los procesos de
       enseñanza aprendizaje de las distintas áreas curriculares.
       7. Elaborar el Plan de Investigación y Práctica General del IESTP (de
       todas las especialidades) como expresión de consensos en cuanto a
       líneas, tipos, diseños e instrumentos de investigación, así como normas
       y criterios de asesoría y evaluación tanto de la práctica como de los
       procesos y productos de la investigación.



“HACER Y HACER BIEN LAS COSAS”                                       Página 42
PROYECTO EDUCATIVO INSTITUCIONAL 2011-2016-IPAL

       8. Continuar articulando la investigación y la práctica como estrategia
       de innovación educativa orientada a la transformación de la realidad
       educativa.
       9. Sistematizar los resultados de los talleres de investigación, los
       informes de investigación y experiencias de innovación pedagógica con
       fines de difusión.
       10. Promover el trabajo y la producción con el desarrollo de proyectos
       productivos aprovechando el apoyo de instituciones públicas y no
       gubernamentales para la ejecución de los proyectos.
       11. Promover talleres de interaprendizaje docente y el trabajo en
       equipo para el trabajo de investigación curricular, investigación,
       integración de áreas, manejo de nuevas metodologías y estrategias,
       diseño de materiales educativos, TIC s aplicadas a la educación.
       12. Potenciar el trabajo de equipo de formadores de tutoría y los
       espacios para la tutoría grupal y personalizada con el fin de mejorar el
       desarrollo personal, vocacional y profesional de los estudiantes.
       13. Promover de manera sostenida el dominio de los aprendizajes
       básicos en las áreas priorizadas por la Emergencia Educativa:
       comprensión y producción de textos, habilidades lógico-matemáticas,
       valores y habilidades Meta cognitivas que aseguren aprendizajes
       autónomos y permanentes.
       14. Formar la conciencia democrática y el liderazgo ético a fin de
       promover la participación organizada de los estudiantes en la
       comunidad educativa a través de sus instancias legítimas.

4.4.2. GESTIÓN INSTITUCIONAL

       1. Actualizar los documentos de gestión (PEI, PAT, ROF, RI) con la
       participación de la comunidad educativa, teniendo en cuenta la identidad
       institucional, las demandas internas y externas y los nuevos paradigmas
       del desarrollo organizacional.
       2. Emprender la elaboración y ejecución del Plan de Mejoramiento
       Institucional, con la participación democrática de los agentes de la
       institución a fin de elevar la calidad de la gestión pedagógica e
       institucional.
       3. Mejorar la identidad y clima institucional promoviendo acciones de
       carácter formativo, socio cultural y deportivo entre estudiantes y todos
       los trabajadores del IEST y sus centros de aplicación.
       4. Fomentar una cultura de evaluación y mejora permanente de la
       calidad a través de un Plan de Supervisión Interna utilizando estrategias
       innovadoras y canales de participación democrática.




“HACER Y HACER BIEN LAS COSAS”                                         Página 43
PROYECTO EDUCATIVO INSTITUCIONAL 2011-2016-IPAL

        5. Potenciar las relaciones interinstitucionales a través de convenios,
        redes, participación en mesas de concertación, con fines de proyección
        social, investigación y práctica pedagógica, formación en servicio y
        apoyo técnico y financiero.
        6. Establecer políticas y estrategias de coordinación y comunicación con
        los egresados a través de alianzas estratégicas para desarrollar
        proyectos de investigación e innovación, promocionando algunas
        oportunidades de trabajo, utilizando los servicios básicos de la
        Institución.
        7. Implementar canales de comunicación y difusión de la vida
        institucional y los productos de los procesos académicos, administrativos
        y de gestión aprovechando las tecnologías de la información y
        comunicación.


4.4.3. GESTIÓN ADMINISTRATIVA

        1. Mantener y mejorar la infraestructura de los diferentes ambientes
        instalaciones del IPAL, para desarrollar adecuadamente las labores
        educativas.
        2. Mantener y mejorar el equipamiento de oficinas, laboratorios y
        servicios de nuestra institución para optimizar el trabajo administrativo,
        técnico-pedagógico y formativo.
        3. Organizar e informatizar los recursos para el aprendizaje de la
        institución (biblioteca, hemeroteca, audiovisuales, materiales didácticos)
        a fin de mejorar el acceso a los mismos y prestar verdadero soporte a
        los aprendizajes de calidad.
        4. Organizar pertinentemente los recursos humanos y desarrollar un
        plan de capacitación, en función de brindar un mejor servicio a la
        comunidad educativa y a la comunidad en general.
       5. Elaborar el presupuesto anual en función de las necesidades y
        demandas       prioritarias de la institución considerando mecanismos de
        generación de recursos.
       6. Implementar un servicio de cafetería en la institución.

4.5.    PRINCIPIOS INSTITUCIONALES:

         Los principios Institucionales constituyen las normas para la
        interpretación de    los estatutos y reglamentos y prevalecen sobre las
        disposiciones internas. En consecuencia, guían el quehacer de todas y
        cada una de las dependencias y acciones del INSTITUTO DE
        EDUCACION         SUPERIOR TECNOLÓGICO PRIVADO “PERUANO
        ALEMÁN”




“HACER Y HACER BIEN LAS COSAS”                                           Página 44
PROYECTO EDUCATIVO INSTITUCIONAL 2011-2016-IPAL

      Democratización de la Educación: El IPAL es una institución de
       educación superior con vocación de servicio a la comunidad y abierta a
       las oportunidades de formación de los hombres. Ofrece una educación
       tecnológica para todos. El conocimiento, la ciencia y la tecnología son
       patrimonio de la humanidad, lo que significa que todos tienen derecho
       de acceder a ellas y a tener un modo profesional de desempeño.
      Participación de la Comunidad Educativa: El IPAL promueve la
       participación de todos sus estamentos educativos en la formulación de
       políticas, estrategias, planes de desarrollo institucional, sin distingos de
       capacidad económica, religión, raza e ideología o cualquier otra
       característica cultural.
      Aprendizaje Flexible: El IPAL facilita al estudiante el aprendizaje
       permanente a través de métodos y estrategias que permitan el acceso al
       conocimiento de manera flexible, autoregulativo y significativo mediante
       un currículo flexible.
      Educación para la Libertad: La formación integral impartida conlleva a
       la libertad de pensamiento, de cátedra y por consiguiente a la formación
       de individuos con criterio propio, autonomía personal y fundamentación
       innovadora para crear proyectos emprendedores.
      Defensa de los Derechos Humanos: El IPAL es una institución con
       una educación integral fundamenta en la defensa, respeto y promoción
       de los derechos humanos y en el fomento de la convivencia y la
       tolerancia. La idea de paz como estado de bienestar.
      Integridad: Se manifiesta en el actuar permanente de las personas en
       concordancia con los valores que orientan la educación y el desarrollo
       humano.
      Autonomía: Se entiende como la capacidad que planea la vida
       institucional y se asume como el ejercicio de la libertad individual y
       colectiva, manifiesta en el libre ejercicio de la autosugestión y el
       autocontrol responsable, en concordancia con las normas que rigen la
       convivencia social.
      Autocrítica: Proceso reflexivo individual o colectivo sobre lo que se
       hace o ejerce con el ánimo de identificar los campos susceptibles de
       mejoramiento y calificación personal e institucional.
      Interdisciplinariedad: Es la interacción necesaria entre las disciplinas,
       de tal manera que sea concretada y eficiente ante la creciente
       complejidad de los problemas. La interacción hace posible que los
       conocimientos se complementen, se corrijan y se controlen, resultando
       así una articulación o interdisciplinariedad compleja y dinámica en todos
       los campos del saber. Esto implica el abordaje pedagógico innovador
       que genera actitudes emprendedoras en las diferentes áreas de
       desarrollo.
      Desarrollo Humano: La Institución asume ante su comunidad el respeto
       por su dignidad, el reconocimiento a sus méritos y el compromiso de




“HACER Y HACER BIEN LAS COSAS”                                            Página 45
PROYECTO EDUCATIVO INSTITUCIONAL 2011-2016-IPAL

       apoyar su crecimiento personal y profesional, propiciando un clima
       organizacional que contribuya a su desarrollo integral del ser humano.
      Transversalidad: Se asume como la actividad pedagógica donde se
       entrelazan el educar y el enseñar, para lograr de esta forma la
       educación integral.

4.6.   PERFILES IDEALES DE LOS AGENTES EDUCATIVOS

3.6.1 PERFIL DE LOS DIRECTIVOS:

Los directivos tienen un papel decisivo en el éxito de los diversos propósitos
que el Instituto se ha planteado a través del PEI. Son ellos los llamados a
liderar los procesos de mejora y cambio, contagiando a la comunidad con la
meta que cada proyecto espera lograr sus objetivos estratégicos. Su principal
responsabilidad es mantener los propósitos institucionales, avivando la
voluntad de su equipo educativo para seguir avanzando y manteniendo una
mirada crítica de construcción de futuro para la institución.

3.6.2 PERFIL DEL DOCENTE:

En un mundo donde la globalización cobra cada vez mayor fuerza se hace
necesario la preparación de un individuo que pueda recibir cualquier
información y procesarla de manera consciente sin que esto afecte en nada a
su desarrollo. Por eso es vital la formación de un hombre con cualidades
positivas en su personalidad para enfrentar todos los fenómenos que suceden
a su alrededor.

La docencia va más allá de la simple transmisión de conocimientos. Es una
actividad compleja que requiere para su ejercicio, de la comprensión del
fenómeno educativo. El sólo dominio de una disciplina, no aporta los elementos
para el desempeño de la docencia en forma profesional, es necesario hacer
énfasis en los aspectos metodológicos y prácticos de su enseñanza, así como
en los sociales y psicológicos que van a determinar las características de los
grupos en los cuales se va a ejercer su profesión. La docencia como profesión
se ubica en un contexto social, institucional, grupal e individual, de ahí que un
docente no puede desconocer las relaciones y determinaciones en ninguno de
estos niveles, pues no todos los obstáculos a los que se enfrenta el docente en
el salón de clases se originan ahí solamente, sino que son reflejo de un
problema social más amplio que repercute en la institución y por supuesto en el
aula en el momento de la interacción. El docente formador de formadores debe
poseer y haber desarrollado los 4 saberes, base fundamental para un buen
desenvolvimiento en la sociedad actual: saber, saber ser, saber hacer y saber
convivir.




“HACER Y HACER BIEN LAS COSAS”                                          Página 46
PROYECTO EDUCATIVO INSTITUCIONAL 2011-2016-IPAL

                      MEDIADOR                       INVESTIGADOR              PROMOTOR / TUTOR

SABER SER
                      -Tener una sólida              - Ser inquisitivo         -Desarrollar interés y
                      formación en valores que       frente a la realidad,     curiosidad por comprender y
                      guían la integridad y la       buscar comprenderla       profundizar diferentes
                      coherencia de su conducta.     y solucionar los          aspectos de la realidad.
                      -Tener altas expectativas      problemas y cambios       -Demostrar
                      en sus estudiantes e           de manera crítica y       autoconocimiento y
                      interés por estimular          creativamente.            autocontrol de su persona.
                      aprendizajes significativos.
                      -Desarrollar y manejar su
                      sensibilidad y afectos.
                      -Ser una persona
                      auténtica, justa y
                      responsable.

SABER CONVIVIR
                      Ser responsable frente a       Respetar el               Saber escuchar y generar un
                      su misión de liderazgo y de    pensamiento               ambiente de empatía.
                      su compromiso como             divergente y valora la    Ser modelo de valores
                      agente formador de líderes     interculturalidad.        cristianos e inspiración de
                      positivos.                     Analiza e interpreta,     sus estudiantes,
                      Poseer una actitud             en equipo                 transmitiendo una vocación
                      democrática, convicción de     multidisciplinario, la    de servicio a los demás.
                      libertad, responsabilidad,     realidad compleja,
                      respeto por todas las          para plantear
                      personas y grupos              alternativas de
                      humanos.                       solución.

SABER PENSAR
                      Tener una sólida               Despertar                 Respetar la individualidad de
                      formación académica y          entusiasmo en las         cada estudiante, reforzando
                      preocupación constante         alumnas para              sus virtudes y fortaleciendo
                      por su capacitación y          descubrir y               su autoestima.
                      actualización                  desarrollar sus           Posee conocimientos
                                                     potencialidades con el    suficientes y actualizados.
                                                     fin de construir un
                                                     mundo mejor


SABER HACER
                      Compartir con los padres       Propiciar el trabajo en   Ser abierto al cambio,
                      de familia la                  equipo, generando un      incorporando a su quehacer
                      responsabilidad en la tarea    ambiente de armonía       educativo los últimos
                      formadora de los               y enriquecimiento en      avances de la ciencia y la
                      estudiantes, tendiendo         las interrelaciones       tecnología para alcanzar la
                      siempre apertura al            humanas.                  excelencia.
                      diálogo.                       Tener capacidad de        Fomenta la identidad
                      Asumir, respetar y hacer       innovación y              cultural
                      respetar las normas del        creatividad.
                      Reglamento.                    Reflexionar y
                      Ser un experto en              sistematizar su
                      diversificación curricular     práctica docente.
                      Participa en la elaboración,
                      ejecución y evaluación de
                      proyectos de equipo
                      Aplicar teorías, enfoques y
                      metodologías
                      contemporáneas.




“HACER Y HACER BIEN LAS COSAS”                                                        Página 47
PROYECTO EDUCATIVO INSTITUCIONAL 2011-2016-IPAL

SABER TRASCENDER                                  - Buscar comprender       - Proyectar a los estudiantes
                      Apostar por la              e investigar no sólo el   y la colectividad motivado
                      integralidad de la          cómo de los               por el valor del bien común
                      educación a partir de una   fenómenos y procesos      y/o su fe.
                      concepción antropológica    sino los por qué y
                      integral que asume la       para qué de las cosas
                      dimensión de                para vivir y actuar
                      trascendencia del ser       con sentido.
                      humano.



3.6.3 PERFIL DEL ESTUDIANTE:

3.6.3.1.   DESARROLLO PERSONAL:

Vivimos en un mundo en constante cambio, donde los nuevos modos de
relación y modelos de organización y de trabajo en entornos profesionales nos
obligan a modificar creencias y costumbres. A menudo, los cambios se
producen más rápidamente que nuestra capacidad de responder a ellos,
produciéndonos estrés y malestar. Ante ello hay que tener en cuenta en la
educación los aspectos personales que influyen en la motivación de las
personas.

Los ítems que van a marcar la frontera entre una actitud positiva y la frustración
van a estar definidos por los siguientes elementos:

• Autoestima: Saber quién se es y qué es lo que uno quiere. Tener conciencia
de sí mismo, de sus facultades, virtudes y limitaciones. Reconocerse con
realismo y con capacidad de superarse cada día.

• Ser abiertos y positivos: Capacidad de situarse dentro de una visión global
con actitud positiva y tolerante. Actitud positiva ante los cambios y situaciones
que se planteen, relativizando los problemas que puedan surgir y afrontándolos
con serenidad.

• Ser constantes: Constancia y actitud proactiva, no sólo recopilar la
información y utilizarla, sino también trabajar con ella y hacerla propia mediante
una voluntad activa y consciente.

3.6.3.2.   Habilidades comunicativas:

Los estudiantes además de tener conocimientos deben saber comunicarlos y
comunicarse con los demás en diversos ámbitos o entornos. Para ello deberán
desarrollar distintas habilidades de tratamiento de la información y de
comunicación y estar al día en el uso de las nuevas herramientas y técnicas de
interrelación. Ello les permitirá afrontar con eficacia tanto las exigencias del
mundo del trabajo como las de una sociedad en las que la información y la
comunicación abarcan todas las esferas.




“HACER Y HACER BIEN LAS COSAS”                                                     Página 48
PROYECTO EDUCATIVO INSTITUCIONAL 2011-2016-IPAL

Como punto de partida se pueden establecer tres ejes básicos a considerar en
el logro de estas habilidades:

• Capacidad lingüística: capacidad de utilizar de forma correcta la lengua
castellana.

• Conocimiento de los distintos ámbitos de interrelación cercanos como son la
escuela, la empresa, la comunidad y el municipio, tratamiento de la información
y manejo de herramientas de información y comunicación interactivas.

• Dominio del lenguaje verbal y no verbal en los diferentes contextos en que les
toque interactuar así como técnicas de comunicación asertiva, entendiendo
como asertividad la capacidad de transmitir opiniones, sentimientos,
intenciones, etcétera, con eficacia, sin ocasionar incomodidad o consecuencias
negativas para uno mismo ni para los interlocutores.

3.6.3.3.   Habilidades sociales:

El estudiante además de funcionar en un entorno laboral estará inmerso en un
entorno social en el que tendrá que implicarse: familia, organizaciones sociales,
asociaciones, etc. Los estudiantes serán los futuros educadores, trabajadores,
empresarios y gobernantes.
En este sentido las competencias a adquirir dentro de este aspecto del perfil
serían:
• Espíritu de aprendizaje
- Predisposición por descubrir algo nuevo.

- Aprendizaje a lo largo de la vida.

• Capacidad de compromiso, implicación y colaboración:

- Buena educación y cordialidad.

- Capacidad de crítica y autocrítica. o Saber defender o criticar con argumentos
las opiniones y buscar consensos .

• Capacidad de asumir responsabilidades y previsión de consecuencias:

- Trabajo en equipo y cooperación

- Obligaciones sociales en los distintos entornos.

- Orden y limpieza

- Respeto (hacia las personas, cosas, naturaleza).

- Saber convivir.

- Agentes activos de cambio y progreso social (compromiso y perspectiva de
futuro).




“HACER Y HACER BIEN LAS COSAS”                                          Página 49
PROYECTO EDUCATIVO INSTITUCIONAL 2011-2016-IPAL

3.6.3.4.   Cualidades profesionales:

Nuestros estudiantes, ante el reto de las nuevas tecnologías y un entorno
profesional cambiante necesitan desarrollar un abanico de capacidades que les
permitan, por un lado, una integración laboral eficaz en el papel que le
corresponda y por otro, una adaptabilidad a los cambios tanto socio laborales
como organizativos que se produzcan en su entorno de trabajo.

En este marco general podemos distinguir tres grandes campos de desarrollo:

• Capacidad de ser autónomo y responder con equilibrio ante las exigencias
laborales:

- Tener una cultura emprendedora (actitud de superación ante los problemas)

- Ser capaz de tomar decisiones y responsabilizarse de ellas (iniciativa)

- Capacidad de planificación y organización de sus tareas (constancia)

• Capacidad de aprendizaje y formación técnica y humana adecuada a las
exigencias:

- Motivado por el aprendizaje permanente (curiosidad intelectual)

- Gusto por el trabajo bien hecho (auto exigencia)

- Creatividad y capacidad de innovación (inteligencia lateral)

- Respetar las normas de seguridad y mantener el orden en el puesto de
trabajo

• Capacidad de adaptación socio laboral:

- Tener habilidades en la resolución de problemas y conflictos (control emotivo)

- Capacidad de trabajo en grupo (participación y cooperación)

- Adaptabilidad a los cambios y las novedades de cada momento (flexibilidad).

En definitiva en el IST “Peruano Alemán”, en nuestro caso de Formación
Tecnológico Profesional, se debe tratar de formar personas valiosas y
profesionales competentes.

4.7.   SISTEMA DE EVALUACIÓN:

 En coherencia con el espíritu del currículo por competencias adoptado para la
formación de profesionales de la educación Tecnológica Superior en el IESTP
“PERUANO ALEMAN”, exponemos las concepciones y características del
sistema de evaluación, conscientes de que éste es un asunto complejo y que la
práctica siempre dista de la teoría.




“HACER Y HACER BIEN LAS COSAS”                                           Página 50
PROYECTO EDUCATIVO INSTITUCIONAL 2011-2016-IPAL

4.7.1. CONCEPTO:

 La evaluación es un proceso de reflexión y análisis integral, permanente y
flexible, cuyo propósito es verificar y realimentar oportunamente el aprendizaje
por competencias, estas últimas planteadas en el perfil y especificadas en el
área y/o sub área del Plan de Estudios.

4.7.2. FINALIDAD:

El sistema de evaluación de los aprendizajes tiene por finalidad contribuir a la
mejora de la calidad de los procesos de enseñanza y aprendizaje, por tanto
debe darse antes, durante y después de estos procesos permitiendo la
regulación de las interrelaciones, detectar las dificultades que se van
presentando, averiguar las causas y actuar oportunamente sin esperar que el
proceso concluya; por tanto es de naturaleza formativa. De la misma manera,
la evaluación de los aprendizajes asume que su objeto lo constituyen los
criterios e indicadores de cada área curricular, que funcionan como parámetros
de referencia para determinar los progresos y dificultades de los educandos.
Dichos criterios se constituyen en la unidad de recopilación, registro, análisis y
comunicación del proceso evaluativo, dándole así su naturaleza de criterial.

4.7.3. PRINCIPIOS:

a. Los valores educativos que han de guiar no sólo QUÉ evaluar sino CÓMO
evaluar, con la intencionalidad de llegar al mejoramiento educativo y al cambio.

b. La concepción multidimensional e integral que permite valorar los logros a
través del tiempo.

c. La reflexión sobre las experiencias educativas que coadyuvan al logro de los
resultados.

d. El fortalecimiento de los aprendizajes en el estudiante con incidencia en el
desempeño profesional del formador.

4.7.4. OBJETIVOS:

a. Recoger y procesar información sobre el conjunto de aprendizajes
intelectuales, afectivo-actitudinales y operativo-motores de los estudiantes.

b. Detectar las causas del éxito o fracaso obtenido y procesar la información
sobre todos los factores que intervienen en dichos aprendizajes.

c. Analizar y reflexionar los resultados, para retroalimentar oportunamente.

d. Promocionar y acreditar a los estudiantes de acuerdo a las competencias
logradas.




“HACER Y HACER BIEN LAS COSAS”                                           Página 51
PROYECTO EDUCATIVO INSTITUCIONAL 2011-2016-IPAL

4.7.5. CARACTERÍSTICAS DE LA EVALUACIÓN:

a. Promocional, la evaluación será explicitada a los estudiantes no como un fin
del proceso educativo, sino como un medio para orientar mejor sus
aprendizajes y determinar su promoción.

b. Actúa como medio para el logro de aprendizajes de calidad, evitando todo
carácter represivo y toda acción que tienda a desalentar a quien aprende.

c. Ayuda a ubicar a cada estudiante en el nivel curricular que le permita tener
éxito.

d. Permanente, constituyendo un proceso continuo en su previsión y desarrollo,
facilitando una constante y oportuna realimentación del aprendizaje.

e. Es sistemática, articulando en forma estructurada y dinámica las acciones y
los elementos de la evaluación.

f. Es objetiva, ajustándose a los hechos con la mayor precisión posible.

g. Considera el error y el conflicto como fuentes de nuevos aprendizajes y la
gestión y autogestión de errores y conflictos como instrumentos fundamentales
para la formación integral. h. Es diferencial, precisando el grado de avance y el
nivel de logro de cada estudiante.

i. Participante, para lo cual los estudiantes deben adquirir progresivamente las
técnicas que les permitan autoevaluarse y evaluar a sus compañeros con
objetividad.

j. Es diversificada y flexible, buscando que sus estrategias e instrumentos
respeten las características socioculturales del entorno y personales de los
estudiantes.

k. Es integral, es decir, abarca las experiencias de aprendizaje relacionadas
con el desarrollo intelectual, socioemocional y psicomotor de los estudiantes
así como los elementos, procesos y sujetos de la educación.

l. Es criterial, los criterios, técnicas e instrumentos utilizados en la evaluación
del aprendizaje serán determinados en función de las competencias previstas
para cada una de las Áreas y Subáreas del Plan de Estudios.

4.7.6. FUNCIONES:

a. Diagnóstica, porque reconoce y valora los saberes, conocimientos,
habilidades, destrezas y actitudes previas a las competencias que los
educandos traen para ajustar los aprendizajes y seguir construyendo sus
conocimientos.




“HACER Y HACER BIEN LAS COSAS”                                             Página 52
PROYECTO EDUCATIVO INSTITUCIONAL 2011-2016-IPAL

b. Formativa, porque está presente constantemente en el desarrollo de las
competencias a fin de identificar y atender los diferentes ritmos y estilos de
aprendizaje de los educandos.

c. Sumativa, porque confirma los resultados que los estudiantes han ido
consolidando a través de las distintas evaluaciones de sus aprendizajes.

d. Motivadora, porque incentiva, alienta y gratifica el esfuerzo del estudiante
afianzando su seguridad personal.

4.7.7. TIPOS:

a. La evaluación de Inicio, de Reconocimiento o Diagnóstica, cuyo propósito es
reconocer las habilidades, destrezas y conocimientos previos o el nivel de
competencias que los educandos traen, así como los intereses y necesidades
de los mismos a fin de ajustar el Programa Curricular,

b. La Evaluación Formativa o de Seguimiento, que acompaña oportunamente el
aprendizaje del estudiante a fin de orientar la adopción de competencias y el
avance con respecto a las competencias de acuerdo a los ritmos de
aprendizaje.

c. Evaluación Sumativa o de confirmación, que tiene lugar al término de la fase
de aprendizaje de un proyecto, unidad de aprendizaje Integrada en un tiempo
determinado. Confirma el logro de las competencias y el esfuerzo desplegado
por cada estudiante desde el inicio del proceso de aprendizaje hasta el final.

d. La héteroevaluación, donde intervienen los diferentes actores del proceso
educativo emitiendo sus juicios de valor para mejorar los proceso
oportunamente, desde sus pares (coevaluación) y desde los otros (inter
evaluación).

e. La evaluación formativa, propone la revisión de los estándares mínimos
propuestos en el perfil profesional a través de la revisión constante y su
comparación con aquello ya logrado.




“HACER Y HACER BIEN LAS COSAS”                                        Página 53
PROYECTO EDUCATIVO INSTITUCIONAL 2011-2016-IPAL

                                                                      CAPÍTULO IV


4. DIAGNÓSTICO Y AUTOEVALUACIÓN ESTRATÉGICA DE LA REALIDAD EDUCATIVA IPAL:


4.1.   AUTOEVALUACIÓN ESTRATÉGICA DE LA GESTIÓN INSTITUCIONAL IPAL:


         DIMENSIÓN                              FACTOR                             FORTALEZAS                                         DEBILIDADES


                                                                      - La institución elabora, aprueba y           - No se cuenta con la Resolución de aprobación del
                                                                      actualiza permanentemente el PEI y un plan    PEI
                                   1.1. PROYECTO       EDUCATIVO      estratégico de desarrollo para cada carrera
1. GESTIÓN INSTITUCIONAL:          INSTITUCIONAL.                     profesional. En coherencia con el PEN, PER    - Los coordinadores no incluyen en el plan anual de
                                                                      y PEL.                                        trabajo el PEI.
                                                                      - La institución actualiza su visión,
  La institución elabora,                                                                                           -   No hay actas de reuniones de elaboración del PEI.
                                                                      misión y valores en coherencia con las
                                   1.1.1. Formulación, ejecución y    políticas    nacionales   y   propósitos
                                   evaluación del PEI                                                               -   No hay un plan de trabajo del directorio.
  aprueba y actualiza                                                 institucionales, articulándose con su
                                                                      propuesta pedagógica y las demandas del
                                                                                                                    - No se elabora la memoria anual de gestión
                                                                      entorno.
  permanentemente, su                                                                                               directriz.
                                   1.1.2. Difusión del PEI            - Los directivos se preocupan en difundir
  misión, visión y valores, en                                        el PEI institucional                          -   No hay un plan de difusión de resultados.

                                                                      - Los      directivos   son     Proactivos,   - No hay resultados de entrevistas con
  coherencia con las políticas                                        emprendedores,               perseverantes,   profesionales u organizaciones de interés
                                                                      carismáticos y democráticos.                  institucional
                                   1.1.3.   Coherencia presupuestal
  nacionales y propósitos
                                                                      - Los directivos propician un clima           -   No se dan talleres de sensibilización.
                                                                      institucional favorable.
  institucionales, articulándose
                                                                                                                    - No hay un presupuesto de gestión anual
                                                                      - Los directivos planifican sus
                                                                      actividades anualmente.                       aprobado.




“HACER Y HACER BIEN LAS COSAS”                                                                                                                                   Página 54
PROYECTO EDUCATIVO INSTITUCIONAL 2011-2016-IPAL

  con su propuesta pedagógica                                            - Los directivos coordinan con empresas        - No se da a conocer el organigrama de la
                                                                         y entidades privadas y públicas del medio.     institución
  y las demandas del entorno.                                            - L a ubicación de la institución está
                                                                                                                        - Hay poca difusión de los servicios que ofrece la
                                                                         dentro del centro histórico de la capital.
                                                                                                                        institución
                                                                         -


                                                                         - El liderazgo del personal directivo es       - Falta realizar el informe de cumplimiento de
                                                                         reconocido por la comunidad educativa, y       objetivos institucionales.
                                                                         permite algunos logros.
                                                                                                                        - No hay resultados de la aplicación de encuestas
                                  1.2. Organización y gestión            - Se promueve un clima organizacional          de opinión a los formadores, estudiantes, personal
                                  administrativa.                        que conlleva a la consolidación de la visión   administrativo y personal de apoyo.
                                                                         institucional. Se promueve la búsqueda de
                                                                         la excelencia académica, basado en los         -   Los canales de comunicación no son eficientes.
                                                                         valores que se comparten y compromiso de
                                                                         generar entre sus miembros, iniciativas que    - Falta hacer de conocimiento de la comunidad de
1. GESTIÓN INSTITUCIONAL                                                 permitan un funcionamiento organizacional      los documentos de gestión institucional.
                                  1.2.1.   Liderazgo eficaz
                                                                         de calidad.
                                                                                                                        - Los programas de promoción de cultura
                                                                         - Los directores y coordinadores               organizacional en base a la calidad aun no sean
  La institución cuenta con una                                                                                         creado.
                                                                         promueven el trabajo en equipo, en la cual
                                                                         cada miembro asume su responsabilidad
  estructura organizacional                                                                                             - El manual de organización y funciones no se ha
                                  1.2.2. Cultura organizacional    en    individual en el proceso educativo
                                                                                                                        difundido oportunamente.
                                  base a la calidad                      participativo e interdisciplinario.
  que garantiza una gestión de                                                                                          - Los resultados de las actividades realizadas por
                                                                         - Se cuenta con documentos de Gestión
                                                                                                                        los equipos de trabajo no se difunden.
                                                                         Institucional como PEI, Reglamento
  calidad de los procesos de la                                          Institucional, MOF, PCC, Prospecto de          - No se da a conocer el reglamento de evaluación,
                                                                         admisión, plan de capacitación al personal     selección y promoción del personal docente y
  institución.                    1.2.3.   Trabajo en equipo             administrativo, entre otros.                   directivo.
                                                                         - Los profesionales encargados de las          - No hay resolución directoral de aprobación de
                                                                         áreas académicas cumplen con el perfil         reglamento de admisión de personal de IPAL.
                                                                         establecido por la institución y las normas
                                                                         de selección y promoción correspondientes.     -   No se difunde el plan de seguimiento y evaluación
                                  1.2.4.   Personal idóneo para cargos




“HACER Y HACER BIEN LAS COSAS”                                                                                                                                    Página 55
PROYECTO EDUCATIVO INSTITUCIONAL 2011-2016-IPAL

                                  directivos                             - Se hace la evaluación del desempeño           de desempeño del personal administrativo.
                                                                         profesional en dos procesos anuales.
                                                                                                                         - Poca difusión de los servicios que ofrece la
                                                                         - Se cuenta con medio de impresión y            institución.
                                                                         fotocopiado, al servicio de la comunidad
                                                                         educativa.                                      - Poca capacidad de autocrítica.
                                                                         - Se posee       capacidad    de   liderazgo
                                                                         responsable.

                                                                         -   Hay identificación con la institución

                                                                         - Se nota capacidad en la toma de
                                                                         decisiones para solucionar conflictos.

                                                                         -

                                                                         - Hay un comité de calidad en cada una          - Falta documentar la conformación de los comités
                                                                         de las carreras profesionales de IPAL, que      de calidad de cada carrera profesional.
                                                                         promueve, orienta, evalúa y toma
                                                                         decisiones sobre los procesos de mejora         - El plan de trabajo anual, ha estructurado un
                                                                         continua.                                       presupuesto por cada carrera profesional que no se
                                                                                                                         ha evaluado.
                                  1.3. Gestión docente                   - La institución cuenta con políticas y
1. GESTIÓN INSTITUCIONAL                                                 procedimientos para la evaluación y             - No hay resultados impresos de las actividades
                                                                         selección de los formadores de cada carrera     realizadas en el proceso de mejora continua en cada
                                                                         profesional, en función al perfil profesional   carrera profesional.
                                  1.3.1.   Gestión de la calidad
  La institución dispone de                                              definido por la propia institución,
                                                                         cumpliendo con el requisito mínimo              - No hay archivos ordenados de los procesos de
                                                                         establecido por la autoridad del Ministerio     selección y promoción de formadores.
  políticas y procedimientos
                                                                         de Educación.
                                                                                                                         - No hay informes de los resultados del proceso de
  para la selección, evaluación   1.3.2.   Selección de los formadores   - Los formadores están ubicados en las          selección de formadores.
                                                                         unidades didácticas correspondientes a su
                                                                         formación, desempeño y experiencia              - El legajo del personal se haya disperso.
  y promoción de formadores.
                                                                         profesional.
                                                                                                                         - Los proyectos de investigación, innovación
                                                                         - Los horarios de clase se entregan a la        tecnológica y otros trabajos no se hallan en archivos
                                                                         dirección académica oportunamente.              adecuados.




“HACER Y HACER BIEN LAS COSAS”                                                                                                                                        Página 56
PROYECTO EDUCATIVO INSTITUCIONAL 2011-2016-IPAL

                                 1.3.3.   Asignación de carga horaria     - Las programaciones académicas se            - No hay informes de la evaluación de resultados de
                                                                          consolidad 15 días antes de iniciarse una     las actividades realizadas por los formadores.
                                                                          actividad académica.
                                                                                                                        - El informe semestral sobre las actividades no
                                 1.3.4. Actividades complementarias       - La institución ha designado cierta          lectivas desarrolladas por los formadores no se
                                 de los formadores                        cantidad de horas para que los formadores     evidencia.
                                                                          realicen actividades no lectivas como:
                                                                          programación curricular, seguimiento de       - El cuadro de mejoramiento de remuneraciones
                                                                          egresados, actividades productivas y          por buen desempeño profesional aún no se ha
                                                                          empresariales, asesoramiento, consejería, y   concluido.
                                 1.3.5. Motivación         de       los
                                                                          tutoría a los estudiantes, investigación,
                                 formadores.
                                                                          innovación tecnológica, proyección social y   - El informe de diagnóstico de necesidades no se
                                                                          otras relacionadas al DCB.                    presenta oportunamente.

                                                                          - Hay un reconocimiento y promoción           - El plan de desarrollo profesional del formador no
                                                                          para los formadores de cada carrera           se evidencia.
                                 1.3.6. Formación     y   evaluación      profesional técnica.
                                 continua de los formadores.                                                            - Los resultados de la evaluación de los formadores
                                                                          - Los formadores cumplen con la               no se publica oportunamente.
                                                                          evaluación,   entrega    de registros
                                                                          oportunamente y, otras actividades            - Los instrumentos de evaluación del desempeño
                                                                          académicas según el DCB.                      docente debe revisarse periódicamente.
                                 1.3.7. Aplicación de competencias
                                 adquiridas.                              - En la institución se ha creado un
                                                                          sistema de entrenamiento y evaluación
                                                                                                                        - Los resultados de las encuestas aplicados deben
                                                                                                                        darse a conocer oportunamente.
                                                                          continua sobre el desempeño profesional
                                                                          de los formadores nuevos.

                                                                          - Se establecen metas y funciones a cada
                                                                          formador, los que se miden anualmente

                                 1.4. Gestión presupuestal                - La institución mensualmente asigna un       - No se lleva un registro de las inversiones por cada
                                                                          presupuesto a cada carrera profesional        carrera profesional.
                                 1.4.1. Implementación             del    técnica en función al pedido o
                                 presupuesto.                             requerimiento    efectuado      para     el   - Una vez presentado el plan anual de trabajo este
1.GESTIÓN INSTITUCIONAL                                                                                                 debe ser revisado por una comisión para decidir el
                                                                          cumplimento de sus funciones básicas:
                                                                          procesos pedagógicos, investigación y otros   monto que se le debe asignar para el desarrollo de
                                                                          servicios..                                   sus actividades.




“HACER Y HACER BIEN LAS COSAS”                                                                                                                                    Página 57
PROYECTO EDUCATIVO INSTITUCIONAL 2011-2016-IPAL

  Los recursos económicos de     1.4.2.   Seguimiento presupuestal.            - Se debe respetar el presupuesto elaborado para
                                                                               cada carrera profesional, con cargo a resultados
                                                                               óptimos.
  la institución son
                                                                               - No hay mecanismos eficientes de control interno.
  administrados de manera
                                                                               - Los informes de avance de ejecución
                                                                               presupuestaria no se evidencian para saber cuánto se
  eficiente.                     1.4.3. Generación      de    ingresos         avanza según lo planificado.
                                 económicos.
                                                                               - La institución no aplica políticas que contribuyen a
                                                                               ampliar el presupuesto de la carrera profesional
                                                                               técnica, debido a que en primer lugar, no hay la
                                                                               aprobación oportuna de un presupuesto y en
                                                                               segundo lugar, porque los responsables de cada
                                                                               carrera profesional no han hecho una programación
                                                                               real de requerimientos de materiales.

                                                                               - Los proyectos productivos que generen ingresos
                                                                               adicionales a la institución por cada carrera
                                                                               profesional no están planificados.




“HACER Y HACER BIEN LAS COSAS”                                                                                            Página 58
PROYECTO EDUCATIVO INSTITUCIONAL 2011-2016-IPAL

4.2.   AUTOEVALUACIÓN ESTRATÉGICA DE LOS PROCESOS ACADÉMICOS IPAL:


         DIMENSIÓN                                FACTOR                                   FORTALEZAS                                          DEBILIDADES


                                                                              - La institución realizó estudios de            - Los documentos de la institución determinando el
                                                                              mercado para proponer nuevos proyectos          número de vacantes en los tres últimos años falta
                                                                              de creación de carreras profesionales           procesar y analizar.
2. Procesos Académicos                                                        técnicas, en función a la demanda y oferta
                                 2.1. Diseño curricular.                      existente.                                      - La publicación y socialización de los resultados de
                                                                              - La institución ha establecido para cada       los estudios de mercado no se evidencian.
  La institución garantiza una                                                carrera profesional un perfil profesional del
                                 2.1.1. Pertinencia       de    la   oferta                                                   - Falta difundir el perfil profesional del egresado
                                                                              egresado de acuerdo con el PEI, misión,
                                 académica                                                                                    por cada carrera profesional.
  formación integral                                                          visión     y     objetivos       estratégicos
                                                                              institucionales.
                                                                                                                              - Falta actualizar los diseños curriculares de
  actualizada, cumple con la                                                  - El plan curricular propuesto asegura y        algunas carreras profesionales.
                                                                              garantiza la formación de competencias,
  implementación de              2.1.2.    Perfil el egresado                 coherente con el perfil profesional del         - Los planes de estudio de cada carrera profesional
                                                                              egresado de acuerdo con las necesidades         deben de evaluarse y contextualizarse.
                                                                              locales y nacionales.
  políticas curriculares y co
                                                                                                                              - Las programaciones curriculares de las carreras
                                                                              - La programación curricular asegura
                                                                                                                              profesionales no están ordenados.
  curriculares y adecúa una                                                   que la formación ofrecida corresponde a las
                                                                              necesidades del entorno y está alineada con
                                                                                                                              - El Proyecto curricular de la institución es acorde
                                 2.1.3.    Formación integral                 los principios, tendencias pedagógicas y
  metodología pertinente                                                      tecnológicas.                                   a lo que determina el Ministerio de Educación, pero,
                                                                                                                              requiere articularse por áreas profesionales,
  para su desarrollo.                                                         -   Existe coherencia entre la propuesta        Ingeniería, Contabilidad y Negocios y Salud.
                                 2.1.4. Alineación con las tendencias         curricular, los sílabos aprobados y su
                                 pedagógicas y tecnológicas.                  aplicación en la carrera profesional.           - Las fichas de actividad se están implementando
                                                                                                                              paulatinamente, se requiere concertar con los
                                                                              -   Existen actividades co curriculares,        formadores para que se tenga siempre este
                                                                              coherentes con el perfil profesional del
                                 2.1.5.    Coherencia curricular.                                                             instrumento.
                                                                              egresado de la carrera profesional,
                                                                              destinadas a complementar su formación




“HACER Y HACER BIEN LAS COSAS”                                                                                                                                          Página 59
PROYECTO EDUCATIVO INSTITUCIONAL 2011-2016-IPAL

                                                                           profesional integral.                           - No hay informes y reseñas de actividades,
                                                                                                                           menciones y premiaciones por participación en
                                                                           -   Se tiene y aplica un sistema de
                                                                                                                           eventos, grupos o asociaciones culturales, deportivas
                                                                           evaluación de los procesos curriculares y
                                                                           sus resultados son utilizados para su           existentes.
                                                                           actualización y mejora continua.
                                 2.1.6.    Actividades co – curriculares                                                   - Falta     conocimiento sobre la normativa
                                                                                                                           relacionada a la evaluación por competencias.

                                                                                                                           - No se hacen informes apropiados sobre la
                                                                                                                           evaluación curricular.
                                 2.1.7.    Evaluación curricular
                                                                                                                           - No hay informe sobre la revisión y pertinencia de
                                                                                                                           contenidos.

                                                                                                                           - No hay documento que recoja información sobre
                                                                                                                           las acciones resultantes de la evaluación curricular,
                                                                                                                           tales como nuevas unidades didácticas, cambios de
                                                                                                                           metodologías e, innovaciones.

2. Procesos Académicos                                                     - La institución difunde a través de la         - Los planes de marketing on muy dinámicos, y
                                                                           guía del estudiante, página WEB y otros         cada semestre deben de actualizarse.
                                 2.2 Admisión.                             formatos publicitarios información sobre
                                                                           las características de la oferta educativa de   - No hay informes oportunos sobre los resultados
  La institución cuenta con                                                                                                de la inversión y beneficios obtenidos de los planes
                                                                           la carrera profesional técnica.
                                                                                                                           de marketing.
  una oferta educativa,          2.2.1     Oferta educativa                - La institución admite ingresantes para
                                                                           la carrera profesional según las metas          - El reglamento de admisión aún no ha sido
                                                                           otorgadas por la DRELM y/o Ministerio de        aprobado por la institución.
  selecciona y admite
                                 2.2.2     Examen de ingreso               Educación, cumpliendo a cabalidad con la
                                                                           normatividad vigente.                           - Los resultados del proceso de admisión deben ser
  ingresantes                                                                                                              sistematizados para tener resultados en tiempo real.
                                                                           - La institución cuenta con un plan de
                                                                           marketing.




“HACER Y HACER BIEN LAS COSAS”                                                                                                                                       Página 60
PROYECTO EDUCATIVO INSTITUCIONAL 2011-2016-IPAL

2. Procesos Académicos                                                  - Las actividades de aprendizaje se           - Los portafolios o carpetas pedagógicas del
                                                                        desarrollan secuencial y planificadamente,    docente no son aun optados por el 100% de
                                 2.3. Enseñanza aprendizaje             contando con los elementos curriculares       formadores.
  La institución implementa,                                            para promover el aprendizaje de los
                                                                        estudiantes, en las horas de clase            - No se hace un seguimiento del parte diario de
                                                                        programadas.                                  clase, o por lo menos no se evidencia éste.
  ejecuta, evalúa, actualiza y
                                                                        - Existe correspondencia entre los            - No se conocen los resultados de las encuestas
                                 2.3.1.    Cumplimento de programas                                                   aplicadas a los estudiantes obre el desempeño de sus
  mejora sus procesos                                                   contenidos de las unidades didácticas y los
                                                                        métodos de enseñanza.                         formadores.

  académicos.                                                           - La       institución  promueve      el      - No se hacen informes de supervisión de clases.
                                                                        autoaprendizaje de los estudiantes de la
                                                                        carrera profesional.                          - Las programaciones curriculares y sílabos no
                                                                                                                      están implementados al 100% en las carreras
                                 2.3.2.    Consistencia metodológica    - La institución tiene, aplica mejora         profesionales.
                                                                        continuamente un sistema de evaluación,
                                                                        del aprendizaje de la carrera profesional.    - Las fichas de supervisión deben consolidarse y
                                                                                                                      formar parte de un sistema de Investigación
                                                                        - La institución toma medias de mejora        permanente.
                                                                        en base a los resultados del rendimiento
2. Procesos Académicos                                                  académico de los estudiantes de cada          - Las fichas de actividad se están implementando
                                 2.3.3.    Autoaprendizaje              carrera profesional.                          poco a poco.

                                                                        - Hay un comité de calidad en cada una        - No existe un plan de evaluación del aprendizaje
  La institución implementa,                                                                                          por cada módulo profesional en cada carrera
                                                                        de las carreras profesionales de IPAL, que
                                                                        promueve, orienta, evalúa y toma              profesional.
  ejecuta, evalúa, actualiza y                                          decisiones sobre los procesos de mejora
                                                                                                                      - No hay informes sobre las evaluaciones por cada
                                                                        continua.
                                                                                                                      criterio de evaluación, se requiere implementar esto.
  mejora sus procesos            2.3.4.    Evaluación del aprendizaje
                                                                                                                      - Los criterios e indicadores de evaluación deben
  académicos.                                                           - La institución ha implementado una          ser utilizados según la planificación y debe
                                                                        ficha de supervisión de las actividades       evidenciarse estadísticamente los resultados
                                                                        académicas teórica y práctica, validada por   académicos por cada módulo profesional en cada
                                                                        expertos.                                     carrera profesional.

                                                                        - Se publican los consolidados de notas       - Los reglamentos de prácticas pre profesionales de
                                                                        periódicamente en las coordinaciones          cada carrera profesional técnica deben ser aprobados




“HACER Y HACER BIEN LAS COSAS”                                                                                                                                  Página 61
PROYECTO EDUCATIVO INSTITUCIONAL 2011-2016-IPAL

                                                                         académicas y a través del intranet IPAL.       con resolución directoral.

                                 2.3.5.    Rendimiento académico.                                                       - La relación de empresas e instituciones con las
                                                                                                                        que la institución tiene convenios deben ser
                                                                                                                        publicados permanentemente, tanto a nivel físico y
                                                                                                                        digital.

                                                                                                                        - Los informes de las prácticas pre profesionales
                                                                                                                        realizadas por los estudiantes deben registrarse en el
                                                                                                                        sistema de información institucional.
                                                                         - Las institución cuenta con convenios
                                                                         con instituciones debidamente calificadas,     - Los reportes de evaluación de las prácticas pre
                                 2.3.6.    Prácticas pre profesionales   para la realización de las prácticas pre       profesionales deben estar en el sistema IPAL.
                                                                         profesionales de sus estudiantes, en lugares
                                                                         y sedes que permiten y posibilitan las         - Los formadores debe sumarse a las supervisiones
                                                                         experiencias de aprendizaje planificados en    de las prácticas pre profesionales.
                                                                         los sílabos de las carreras profesionales
2.Procesos Académicos                                                    técnicas.                                      - Debe implementarse encuestas para saber más
                                                                                                                        sobre la realidad de las prácticas que realizan los
                                                                                                                        estudiantes.
  La institución implementa,                                                                                            - La adquisición del software y el hardware debe
                                                                                                                        ser de conocimiento de los estudiantes para que los
  ejecuta, evalúa, actualiza y   2.3.7.    Nuevas tecnologías                                                           utilicen adecuadamente.
                                                                         - La institución ha implementado nuevos        - IPAL debe implementar una plataforma virtual.
  mejora sus procesos                                                    laboratorios de cómputo, nuevos talleres de
                                                                         mecánica, electricidad y electrónica que       - Se debe consolidar haciendo uso de estas
  académicos.                                                            promueve que los estudiantes conozcan          tecnologías los recursos didácticos.
                                                                         nuevas tecnologías fortaleciendo las
                                                                         innovaciones en los procesos pedagógicos.      - En los centros de cómputo debe figurar el
                                                                                                                        reglamento de uso de equipos y materiales.

                                                                                                                        - Se debe crear el centro de almacenamiento de
                                                                                                                        audiovisuales.

                                                                         - La institución desarrolla e implementa       - El reglamento de titulación está en procesos de
                                                                         eficientemente el proceso de titulación de     revisión para elevarlo a la Dirección General y Emitir
                                 2.4. Titulación                         los estudiantes de la carrera profesional      la RD correspondiente.




“HACER Y HACER BIEN LAS COSAS”                                                                                                                                     Página 62
PROYECTO EDUCATIVO INSTITUCIONAL 2011-2016-IPAL

2.Procesos Académicos                                                            técnica, se acuerdo con la norma vigente.    - Hay un registro de titulados y egresados. Lo que se
                                                                                                                              requiere es consolidar la información para
                                   2.4.1.    Eficiencia de la titulación                                                      determinar los índices de titulados en los últimos 05
  La titulación refleja el éxito                                                                                              años.

                                                                                                                              - Falta implementar un plan de promoción de la
  de la oferta educativa                                                                                                      titulación
                                   2.4.2.    Promoción de la titulación.         - Existen políticas que promueven y          - Falta establecer líneas básicas de investigación por
  institucional.                                                                 facilitan, académica y administrativamente   cada carrera profesional.
                                                                                 la titulación de los estudiantes.
                                                                                                                              - Se debe establecer las formas y fuentes de
                                                                                                                              financiamiento para el proceso de titulación.

                                                                                                                              - Una vez implementados los planes de promoción
                                                                                                                              de la titulación, se debe de elevar el informe de
                                                                                                                              resultados.

                                                                                                                              - Falta consolidar el informe de entrevistas a los
                                                                                                                              egresados de las carreras profesionales técnicas.

2.Procesos Académicos                                                                                                         - IPAL cuenta con su plan de consejería
                                                                                                                              institucional, que falta aprobarlo y emitir la RD
                                                                                 - La institución brinda a los estudiantes    correspondiente.
                                                                                 consejería durante su proceso formativo en
  La institución apoya de          2.5. Consejería                               la carrera profesional.                      - Los resultados de la aplicación de encuestas no
                                                                                                                              refieren este ítem, para conocer la real demanda del
  manera personalizada a                                                                                                      sistema de consejería.
                                   2.5.1.    Consejería                          - A los formadores se les incluye, dentro    - El profesional a cargo del área de atención en
  aquellos estudiantes que                                                       de sus funciones las actividades de          consejería debe emitir sus informes respectivos.
                                                                                 consejería.
  requieren asistencia en          2.5.2. Función         de   consejería   en
                                                                                                                              - Falta definir los horarios de consejería.
                                   formadores                                                                                 - El historial de intervenciones no se haya en el
  aspectos académicos en los                                                                                                  sistema.

                                                                                                                              - Debe implementarse el registro personal de
                                                                                                                              consejería por docente.




“HACER Y HACER BIEN LAS COSAS”                                                                                                                                              Página 63
PROYECTO EDUCATIVO INSTITUCIONAL 2011-2016-IPAL

  que afecten su rendimiento.                                                                                                  - La evaluación del plan de consejería institucional
                                                                                                                               debe darse con frecuencia, una vez aprobado.

                                  2.6. Investigación                             - La institución tiene una estructura         - Dentro del reglamento institucional está
                                                                                 organizacional para promover el desarrollo    contemplado el tema de investigación. Falta aprobar
                                                                                 de la investigación en la carrera             el nuevo RI.
                                                                                 profesional.
                                  2.6.1. Organización           de          la                                                 - No hay planes de investigación
                                  investigación.
                                                                                                                               - No hay un         presupuesto    asignado     para
2.Procesos Académicos                                                            - La institución cuneta con recursos para     investigación
                                                                                 la investigación en la carrera profesional.
                                  2.6.2.    Recursos de la investigación.                                                      - Tampoco hay ejecución presupuestal en proyectos
   La institución ha definido                                                                                                  de investigación.

                                                                                                                               - No se han realizado acuerdos y convenios de
   políticas y estrategias para                                                                                                cooperación para investigación.
                                  2.6.3. Seguimiento            de          la   - Existe y se aplica un plan de
                                  investigación.                                 seguimiento y evaluación permanente del       - No se generan informes de investigación, por
   promover el desarrollo de
                                                                                 desarrollo y resultados de la investigación   cuanto estos aún no se han implementado.
                                                                                 en la carrera profesional.
   la investigación.                                                                                                           - No hay premios o            reconocimientos   por
                                  2.6.4.    Publicaciones.                                                                     investigaciones realizadas.

                                                                                 - La institución difunde los resultados de    - No hay publicaciones de investigaciones.
                                                                                 las  investigaciones   desarrolladas     y
                                                                                 promueve su publicación a través de           - No se cuenta con listado de investigaciones
                                  2.6.5. Capacitación                       de                                                 realizadas por los formadores.
                                  investigadores.                                medios especializados.
                                                                                                                               - Los     estudiantes    realizan    proyectos    de
                                                                                                                               investigación, los que aún no están consolidados por
                                                                                                                               carrera profesional.

                                                                                                                               - No se cuenta con el historial de investigaciones
                                                                                                                               realizadas por los formadores.

                                                                                                                               - Se debe formular un plan de capacitación a
                                                                                                                               investigadores.




“HACER Y HACER BIEN LAS COSAS”                                                                                                                                          Página 64
PROYECTO EDUCATIVO INSTITUCIONAL 2011-2016-IPAL

4.3.   AUTOEVALUACIÓN ESTRATÉGICA DE LOS SERVICIOS DE APOYO IPAL:


         DIMENSIÓN                                FACTOR                                FORTALEZAS                                        DEBILIDADES


                                                                            - Se cuenta con la opinión de los            - Los resultados de las encuestas aplicados a los
                                                                            formadores y estudiantes acerca de la        estudiantes y formadores no se consolida y publica.
                                                                            calidad del servicio administrativo y
                                                                            personal de apoyo..                          - Se conoce poco sobre los instrumentos que se
                                  3.1. Desarrollo      del       personal
                                       administrativo.                                                                   utilizan para la evaluación del desempeño del
                                                                            -   Existen políticas de reconocimiento y
                                                                                                                         personal administrativo y personal de apoyo.
                                                                            motivación al personal administrativo y
3. Servicios de apoyo                                                       personal de apoyo.
                                                                                                                         - No hay directivas específicas de reconocimiento
                                  3.1.1.    Opinión de los formadores                                                    para el personal administrativo y de apoyo.
                                            estudiantes.                    -   Se evalúa y retroalimenta el desempeño
La institución dispone de                                                   del personal administrativo y personal de
                                                                                                                         - Se debe de fijar acuerdos y registrar y cumplirlos
                                                                            apoyo en forma permanente.
                                                                                                                         para estimular al personal administrativo y de apoyo.
políticas y procedimientos
                                                                                                                         - Las evaluaciones al personal administrativo y de
para el desarrollo del personal   3.1.2.    Motivación                                                                   apoyo deben ser periódicas.

administrativo, facilitando el

cumplimiento de los objetivos

académicos.                       3.1.3.    Evaluación de desempeño




                                  3.2. Sistema de información.              - La institución utiliza los canales         - La institución está en permanente actualización
                                                                            adecuados para comunicarse al interior y     de su página WEB.
                                                                            exterior de la inst-itución.
                                                                                                                         -   Se debe de participar en la elaboración de




“HACER Y HACER BIEN LAS COSAS”                                                                                                                                     Página 65
PROYECTO EDUCATIVO INSTITUCIONAL 2011-2016-IPAL

3.Servicios de apoyo                                                                                                    folletos, que a su vez sirvan para difundirlos en ferias
                                                                                                                        de orientación vocacional virtual.
                                 3.2.1.    Comunicación                 - La información referida a la gestión
                                                                        administrativa y académica, se encuentra        -   Debemos de realizar campañas de salud
La institución garantiza una                                            disponible y sistematizada, para facilitar su
                                                                        análisis y la toma de decisiones                - El personal de informes debe comunicarse con los
adecuada organización de su                                             correspondientes.
                                                                                                                        grupos de interés a través de los correos electrónicos.
                                 3.2.2. Uso de información en la toma
sistema de información.          de decisiones.                                                                         - Los reportes de la base de datos deben
                                                                                                                        actualizarse.
                                                                        - Los usuarios cuentan con facilidad de
                                                                        acceso al sistema de información, referida a    - El sistema de información debe ser reanalizado y
                                                                        la gestión administrativa y académica, de       soportar algunos cambios que a media de cómo se
                                 3.2.3.    Acceso a la información.     acuerdo a los niveles correspondientes.         van implementando algunos procesos estos deban
                                                                                                                        cambiarse a la par.

                                                                        - La institución cumple eficientemente          - Debe haber un registro de acceso y consultas al
                                                                        con las disposiciones de transparencia y        sistema de información.
                                                                        acceso a su información, referida a la
                                                                        gestión administrativa y académica de           - Se debe de consignar el número de visitas a la
                                 3.2.4.    Transparencia.
                                                                        acuerdo a los niveles correspondientes.         página WEB.

                                                                                                                        - Aún no hay un programa de actualización y
                                                                                                                        publicación periódica de información.

                                                                                                                        - Se debe de brindar información según los niveles
                                                                                                                        de responsabilidad.

                                                                                                                        - Existe poca difusión del sistema de beneficios
                                                                                                                        económicos que reciben los estudiantes.
                                                                        - La institución cuenta con políticas
                                                                        claras y difundidas para brindar beneficios     - Las políticas y procedimientos para brindar
3.Servicios de apoyo                                                    asistenciales de carácter económico y social
                                                                                                                        beneficios deben de reanalizarse e implementarse.
                                                                        a sus estudiantes.
                                 3.3. Bienestar
La institución promueve la                                                                                              -   Se debe de elaborar una lista de profesionales




“HACER Y HACER BIEN LAS COSAS”                                                                                                                                      Página 66
PROYECTO EDUCATIVO INSTITUCIONAL 2011-2016-IPAL

participación      de       los                                                                                             especializados en temas de bienestar estudiantil

                                                                            - La institución articula el acceso a los       - Se debe establecer la relación de beneficiarios
estudiantes en actividades co                                               servicios de salud y garantiza la orientación   cada semestre académico.
                                  3.3.1.    Beneficios asistenciales        psicológica     para     sus     formadores,
curriculares; y los asiste en                                               estudiantes, personal administrativo y          - Se está mejorando el equipamiento del tópico de
                                                                            personal de apoyo.
                                                                                                                            salud.
sus necesidades para un buen
                                                                                                                            - Se está implementando el registro de apoyo en
rendimiento académico.                                                                                                      salud integral, orientación psicológica a los
                                                                                                                            estudiantes y personal en general.
                                  3.3.2.    Servicios de salud              - La        institución      promueve      la
                                                                            participación de los estudiantes en             - Hay poca información sobre los reportes de
                                                                            actividades       científico    tecnológicas,   eventos artísticos, tecnológicos, culturales y
                                                                            culturales, artísticas, deportivas y de
                                                                                                                            deportivos.
                                                                            proyección a la comunidad fortaleciendo su
                                                                            formación integral.
                                                                                                                            - Recién se están promoviendo actividades de
                                                                                                                            proyección a la comunidad
                                  3.3.3. Participación estudiantil     en
                                  actividades co curriculares                                                               - Se está estudiando nuevas políticas               y
                                                                            - Existen     políticas  y    estrategias
                                                                            orientadas a reducir la deserción de los        procedimientos de fidelización estudiantil
                                                                            estudiantes.
                                                                                                                            - Se cuenta con información poco precisa sobre la
                                                                                                                            deserción en los últimos tres años.
                                  3.3.4.    Deserción de estudiantes
                                                                                                                            -   Aún no se hace un estudio de causas de deserción.

                                                                                                                            - Se están preparando planes correctivos para
                                                                                                                            disminuir la deserción estudiantil.

                                                                            - La institución cuneta con una                 - Falta difundir las condiciones, medidas de
                                                                            infraestructura acorde con las normas del       bioseguridad y uso de infraestructura.
                                                                            Ministerio de educación, Municipalidad y
3.Servicios de apoyo                                                        Defensa Civil.                                  - El Certificado de seguridad de defensa Civil está
                                  3.4. Infraestructura, equipamiento y
                                  tecnología.                                                                               en proceso.




“HACER Y HACER BIEN LAS COSAS”                                                                                                                                        Página 67
PROYECTO EDUCATIVO INSTITUCIONAL 2011-2016-IPAL

La institución cuenta con                                                  - La institución cuenta con una biblioteca     - El inventario de los bienes y patrimonio de la
                                                                           física y virtual, recursos informáticos,       biblioteca está en proceso.
                                  3.4.1.    Infraestructura                simuladores, audiovisuales, laboratorios,
infraestructura, equipamiento                                              salas de práctica clínica y centro de          - Se requiere implementar un sistema de control de
                                                                           recursos     didácticos     actualizados   y   uso y acceso a los recursos bibliográficos.
y tecnología moderna para el                                               disponibles;    aplicando      medidas    de
                                                                           bioseguridad en cantidad suficiente; de        - Debe hacerse un registro de los recursos
desarrollo de sus actividades     3.4.2.    Recursos didácticos            conformidad      con      los     parámetros
                                                                                                                          informáticos que se usan en el proceso formativo.
                                                                           establecidos por la carrera profesional.

académicas y administrativas.                                                                                             - Debe implementarse          un    control     de   los
                                                                                                                          audiovisuales.
                                  3.4.3.    Servicios esenciales
Realiza labores de                                                         - Está garantizada la operatividad             - Hay un archivo de recibos de servicios básicos, a
                                                                           permanente y racionalidad de uso de los        cargo de personal especializado.
                                                                           servicios básicos.
mantenimiento preventivo y                                                                                                - No hay un informe sobre la evaluación del uso de
                                                                                                                          los servicios básicos.
correctivo y aplica acciones de   3.4.4.    Mantenimiento
                                                                           - La institución cuneta con un plan de
                                                                                                                          - No se tiene reportes últimos de los planes de
                                                                           mantenimiento preventivo de mejora de la
protección ambiental.                                                      infraestructura, mobiliario y equipos.         mantenimiento de infraestructura, equipos y
                                                                                                                          mobiliario.

                                                                           - La institución dispone de equipos,           - Se debe contar con un informe de resultados de la
                                  3.4.5.    Seguridad                      personal capacitado y un plan de               aplicación del plan de mantenimiento.
                                                                           contingencia para atender casos de
                                                                           emergencia y salvaguardar la integridad de     -   Falta difundir le plan de seguridad
3.Servicios de apoyo
                                                                           la comunidad educativa, así como para
                                                                           proteger los bienes e instalaciones físicas    - Debe hacerse el reporte de los simulacros
                                                                           según la norma vigente.                        realizados
La institución cuenta con         3.4.6.    Higiene y medias sanitarias.

                                                                                                                          - Se debe elaborar con la comunidad un plan de
infraestructura, equipamiento                                              - La institución cuente con políticas y
                                                                                                                          bioseguridad.
                                                                           mecanismo        para     mantener      la
                                                                           infraestructura en condiciones sanitarias,
y tecnología moderna para el                                               de acuerdo a la norma vigente.
                                                                                                                          - La políticas y procedimientos para mantener la
                                                                                                                          institución en condiciones sanitaras no se difunde.
                                  3.4.7.    Protección ambiental




“HACER Y HACER BIEN LAS COSAS”                                                                                                                                          Página 68
PROYECTO EDUCATIVO INSTITUCIONAL 2011-2016-IPAL

desarrollo de sus actividades                                 - La institución cuenta con políticas y       -   No hay n reporte de las condiciones sanitarias.
                                                              ejecuta acciones a favor de la protección
                                                              ambiental.                                    -   El plan de protección ambiental no se difunde.
académicas y administrativas.
                                  3.4.8.    Mobiliario                                                      - Debe hacerse un reporte de segregación de
                                                              - La institución cuenta con mobiliario en     residuos sólidos, reciclaje y desechos peligrosos.
Realiza labores de                                            las aulas, laboratorios, biblioteca y otras
                                                              instalaciones, calidad y en cantidad          - El inventario de bienes y mobiliario de la
mantenimiento preventivo y                                    suficientes.
                                                                                                            institución debe registrarse en formatos estándares.

correctivo y aplica acciones de                                                                             - Debe hacerse un reporte de altas y bajas
                                                                                                            permanentemente.
protección ambiental.                                                                                       -   Debe haber un plan de renovación de mobiliario.

                                                                                                            - Se debe plantear en el presupuesto                  de
                                                                                                            inversiones el porcentaje para este fin.




“HACER Y HACER BIEN LAS COSAS”                                                                                                                         Página 69
PROYECTO EDUCATIVO INSTITUCIONAL 2011-2016-IPAL

4.4.   AUTOEVALUACIÓN ESTRATÉGICA DE LOS RESULTADOS E IMPACTO IPAL:


           DIMENSIÓN                             FACTOR                                 FORTALEZAS                                         DEBILIDADES


4. Resultados e impacto
                                 4.1. Imagen Institucional.                - La carrera profesional posee el              - No se cuenta con resoluciones de felicitación d
                                                                           reconocimiento público de organizaciones       organizaciones importantes.
La institución cuenta con una                                              debido a la destacada labor que desempeña
                                                                           en su localidad.                               - Los diplomas de felicitaciones no se hallan
imagen posicionada dentro del 4.1.1. Reconocimiento público                                                               disponibles para dar a conocer a la comunidad.

medio social, cultural y                                                                                                  - No se ha consolidado el reporte de premios,
                                                                           -   Los distintos miembros de la
                                 4.1.2.    Opinión de usuarios                                                            reconocimientos o felicitaciones de los últimos tres
                                                                           comunidad educativa, usuarios directos e
productivo de su localidad.                                                indirectos de la institución poseen una        años.
                                                                           imagen positiva de la carrera profesional.

Establece su participación en

la sociedad y busca ejercer

influencia positiva sobre su

entorno.


                                                                           - La institución ejecuta programas y           - Falta elaborar el plan estratégico de la carrera
                                                                           actividades de apoyo a la comunidad, las       profesional
                                 4.2. Proyección social.                   que están contenidas dentro de la política
4.Resultados e impacto                                                     institucional, su plan anual de trabajo y el   - Hay proyectos presentados, que están en proceso
                                                                           plan estratégico de la carrera profesional.    de evaluación.
                                 4.2.1.    Inclusión en el plan anual de   -   La institución realiza el seguimiento y
                                                                                                                          -   No hay un programa de proyección social




“HACER Y HACER BIEN LAS COSAS”                                                                                                                                     Página 70
PROYECTO EDUCATIVO INSTITUCIONAL 2011-2016-IPAL

La institución expresa su         trabajo                                evaluación de proyectos y actividades de       aprobado en el plan anual de trabajo
                                                                         interés social sostenibles, acorde a la
                                                                         política y planificación institucional.        - No existe un informe de resultados del programa
responsabilidad social, a
                                                                                                                        de proyección social.
                                  4.2.2.    Sostenibilidad               - La       institución    realiza   alianzas
través de programas de                                                   estratégicas con miembros de la sociedad       - La empresa está en proceso de consolidación de
                                                                         civil, empresas, organismos a nivel
                                                                                                                        sus aliados estratégicos.
                                                                         internacional, nacional, regional y local,
proyección en beneficio de la                                            para la obtención de recursos y la co
                                  4.2.3.    Alianzas estratégicas.                                                      - Se debe incrementar la cantidad de convenios con
                                                                         ejecución de proyectos de interés social
comunidad.                                                               relacionados a la carrera profesional.         instituciones

                                                                                                                        -   Se deben evaluar los proyectos presentados.



                                  4.3. Egresados                         - La institución realiza seguimiento de        - La institución cuenta con base de datos de los
                                                                         los estudiantes egresados de la carrera        egresados de los últimos tres años. Faltando
4.Resultados e impacto                                                   profesional.
                                                                                                                        solamente crear un menú en el sistema para que se
                                  4.3.1.    Base de datos de egresados                                                  pueda visualizar en tiempo real el mismo.
La institución realiza el
                                                                         - La institución posee procedimientos          - Hay un plan de seguimiento de egresados que
                                                                         que permiten evaluar la satisfacción del       falta implementarse.
seguimiento de sus egresados,                                            egresado con la formación recibida en la
                                                                         carrera profesional.                           - Los resultados del seguimiento de los egresados
los convoca y organiza a fin de   4.3.2.    Satisfacción de egresados
                                                                                                                        con un alto grado de inserción laboral no está al día.

tener información sobre su                                                                                              - Faltan resultados de la aplicación de encuestas a
                                  4.3.3. Relación permanente con el                                                     los egresados.
                                                                         - La institución cuenta con mecanismos
                                  egresado
experiencia laboral,                                                     que permiten y estimulan el contacto
                                                                         permanente con el egresado de la carrera       - Falta consolidar los resultados de las encuestas y
                                                                         profesional.                                   entrevistas a los egresados.
actualización y servicio de
                                                                                                                        - Debe implementarse planes de actualización y
                                  4.3.4.    Inserción laboral
empleo.                                                                                                                 seguimiento de los egresados.


                                                                         -   La institución promueve el empleo de




“HACER Y HACER BIEN LAS COSAS”                                                                                                                                     Página 71
PROYECTO EDUCATIVO INSTITUCIONAL 2011-2016-IPAL

                                                    los egresados de la carrera profesional.   -   No hay un reporte de actividades del egresado.

                                                                                               - Hay      un   estudio     de      mercado    laboral
                                                                                               desactualizado.

                                                                                               - Se debe implementar más alianzas de colocación
                                                                                               laboral con organizaciones diversas.

                                                                                               -   Se debe implementar la bolsa de trabajo

                                                                                               - Se debe difundir a través de la página WEB la
                                                                                               oferta laboral.

                                                                                               - Debe realizarse       encuestas     de   opinión   a
                                                                                               empleadores.

                                                                                               -   El portal WEB debe vincularse a bolsas de trabajo.




“HACER Y HACER BIEN LAS COSAS”                                                                                                            Página 72
PROYECTO EDUCATIVO INSTITUCIONAL 2011-2016-IPAL

     4.5.     DIAGNÓSTICO EXTERNO DEL IESTP ”PERUANO ALEMÁN”

              ASPECTOS                               OPORTUNIDADES                                               AMENAZAS
                                 -   Las carreras profesionales de Administración de        -   Hay mucha competencia para las carreras de
                                     Negocios Internacionales, Administración y Gestión         Computación, Contabilidad, Secretariado, con
                                     Empresarial, Diseño Gráfico y Publicidad Digital,          institutos particulares y públicos que se ubican
                                     entre otras, son carreras que, como proyectos              cerca al IPAL. Por decir, tenemos dos institutos
                                     experimentales, en los que aplicaremos el Nuevos           públicos cerca. El Instituto diseño y el IEST
                                     Diseño Curricular por Competencias, no tienen              Público Argentino. Además, tenemos otros
            INSTITUCIONAL            competencia con empresas educativas públicas o             privados como COMPUTRONIC, CESCA,
                                     privadas; puesto que por ahora y bajo este enfoque         CIMAS, IDAT.
                                     éstas estén brindando estas carreras profesionales.    -   Dentro de la población estudiantil hay casos de
                                 -   Por las condiciones educacionales que poseemos,            personas con problemas de alcoholismo,
                                     hay muchas posibilidades técnicas para Acreditar las       drogadicción y otros parecidos.
                                     carreras profesionales técnicas que ofertamos.         -   Las normas legales no permiten hoy en día
                                 -   Ubicación estratégica favorable.                           establecer políticas severas para perfeccionar
                                 -   Hay la cercanía al corredor metropolitano.                 el control disciplinario de los estudiantes.
                                 -   Hay buen flujo de peatones por la avenida donde        -   Hay muchas deficiencias en la conducta de los
                                     está el IPAL, que permitiría una buena campaña             ingresantes.
                                     publicitaria.                                          -   Hay mucha vulnerabilidad en la posición socio
                                 -   El posicionamiento de IPAL permitiría generar más          económica de los estudiantes.
                                     convenios con instituciones diversas.                  -   investigación.




“HACER Y HACER BIEN LAS COSAS”                                                                                                                 Página 73
PROYECTO EDUCATIVO INSTITUCIONAL 2011-2016-IPAL

                                 -   Se pueden generar asociaciones o consorcios con        -   Falta definir políticas de manejo y archivo de
                                     empresas educativas, para generar ingresos por             documentos como proyectos, normas externas
                                     regalías.                                                  e internas.
                                 -   Se pueden generar convenios con empresas               -   Actualización de documentos de gestión
           INSTITUCIONAL             privadas que manejen los rubros acordes a las              institucional.
                                     carreras profesionales que ofertamos. Por decir,
                                     generar compromisos de consolidar subvenciones
                                     económicas para formar profesionales según las
                                     realizaciones establecidas por estas empresas.
                                 -   Nos debemos de vincular a instituciones
                                     especializadas y dedicadas a combatir algunas
                                     adicciones.
                                 -   Posibilidades de establecer convenios y acuerdos
                                     con instituciones públicas y privadas.
                                 -   La inversión en equipos, materiales de enseñanza, y
                                     otros pedidos de las Coordinaciones académicas
                                     son atendidos de manera inmediata.
                                 -   Una ventaja competitiva es contar con internet línea   -   Hay problemáticas grandes en la familia de los
                                     dedicada las 24 horas del día.                             estudiantes que repercute en su desarrollo
       PROCESOS ACADÉMICOS       -   Apoyo del Municipio de Lima a través de convenios          académico y asistencia a clases.
                                     y alianzas estratégicas.                               -   Hay docentes que tienen poca carga horaria,




“HACER Y HACER BIEN LAS COSAS”                                                                                                               Página 74
PROYECTO EDUCATIVO INSTITUCIONAL 2011-2016-IPAL

                                 -   Se cuenta con un Proyecto Educativo Nacional, que           por lo tanto hay poco compromiso de parte de
                                     le da un norte a la formación de educación superior.        ellos para con los estudiantes.
                                 -   Las carreras profesionales están adecuadas a las        -   La dependencia del Instituto ante el Ministerio
                                     disposiciones que da el Ministerio de Educación, lo         de Educación, no permite actuar con total
                                     que hace que en un futuro cercano podamos ofertar           autonomía, conforme lo establece la Ley de
                                     lo siguiente:                                               educación Superior Tecnológica.
                                 -   Cursos de Post Titulo, con una duración de 04           -   La obligación dispuesta por el Ministerio de
                                     semestres adicionales, que conducen al estudiante a         Educación, del compromiso que tienen los
                                     obtener un Título más; que equivale a los postgrados        institutos tecnológicos de adecuarse al nuevo
                                     que se ofertan en las universidades y,                      diseño curricular, genera a la larga cierta
       PROCESOS ACADÉMICOS
                                 -   Cursos de extensión con certificación del Ministerio        competencia.
                                     de Educación. Estos Cursos son Cursos de                -   Falta de capacitación continua sobre el Nuevo
                                     Capacitación, de Actualización, y de Especialización.       Diseño Curricular y las formas de Evaluación
                                 -   Hemos ingresado ante CONEACES a la etapa de                 que en ellas se deben de practicar.
                                     Autoevaluación, lo que nos permite reorientar de
                                     manera estratégica nuestros lineamientos y políticas
                                     institucionales, todo ello rumbo a la Acreditación.
                                 -   En el Portal de CONEACES se puede visualizar que
                                     hemos iniciado la etapa de Autoevaluación.
                                 -   Los estudiantes cuentan con un seguro contra            -   Presencia de pandillaje y delincuencia juvenil
                                     accidentes; que les permite atención de primera en          en los alrededores.
     SERVICIOS DE APOYO




“HACER Y HACER BIEN LAS COSAS”                                                                                                                 Página 75
PROYECTO EDUCATIVO INSTITUCIONAL 2011-2016-IPAL

                                     las mejores clínicas del Perú, la póliza la compramos -   Empresas cercanas que prestan Servicios que
                                     a la compañía de seguros el pacífico.                     atentan contra la integridad física y moral de los
                                 -   Apoyo de las Instituciones privadas como Institutos       estudiantes.
        SERVICIOS DE APOYO           Superiores y Universidades Nacionales.                -   Insuficiente práctica de valores.
                                 -   Acceso a exposiciones, teleconferencias, etc.         -   Hay diferencia significativa entre los servicios
                                 -   Presencia de PNP para brindar seguridad a la              educativos y orientación que recibió el
                                     comunidad.                                                estudiante en su educación básica, versus lo
                                                                                               que pretendemos darle en el IPAL.
                                 -   Tenemos acceso a las nuevas TICS.                     -   Hay muchos centros de baile cercanos al IPAL,
                                 -   Los estudiantes tienen la ventaja de acceder a            que funcionan durante el día y la noche, que
                                     créditos educativos otorgados por OBEC.                   perturban la tranquilidad de los estudiantes.
                                 -   Hay cada vez más interés de algunas empresas en       -   Hay pocas posibilidades de empleo para los
      IMPACTO Y RESULTADOS
                                     los profesionales técnicos egresados de IPAL.             egresados.
                                 -   Cercano a medios de comunicación que permiten         -   En los empleos que logran tener nuestros
                                     difundir nuestros proyectos e imagen Institucional.       egresados, los pagos por sus servicios son
                                 -    Posibilidad de desarrollar proyectos de                  bajos respecto a la RMV.
                                     implementación.




“HACER Y HACER BIEN LAS COSAS”                                                                                                              Página 76
PROYECTO EDUCATIVO INSTITUCIONAL 2011-2016-IPAL

     4.6.     OBJETIVOS ESTRATÉGICOS SEGÚN RESULTADOS DEL DIAGNÓSTICO DEL IESTP ”PERUANO ALEMÁN”

             OBJETIVOS                                         ACTIVIDADES                                       RESPONSABLE DE HACER Y
                                                                                                                  EJECUTAR CRONOGRAMA DE
             ESTRATÉGICOS                                                                                                EJECUCIÓN

                                 -   Implementar el PROYECTO EDUCATIVO INSTITUCIONAL,
                                     buscando de ser el caso las fuentes de financiamiento
                                     correspondientes.                                                       -   Dirección General
                                 -   Continuar con el proceso de autoevaluación de cada carrera
                                     profesional, adecuándose a las normas emitidas por CONEACES.
                                 -   Promover y facilitar los formatos establecidos por IPAL y MINEDU,
                                     para la formulación de proyectos multidisciplinarios entre docentes y   -   Dirección Académica
                                     estudiantes.
            INSTITUCIONAL
                                 -   Establecer un programa de marketing empresarial que permite
                                     mejorar el nivel de captación de estudiantes; en el que se consignen
                                     actividades como charlas de orientación vocacional y visitas guiadas    -   Coordinadores
                                     al instituto.                                                               Académico
                                 -   Continuar promoviendo actividades que permitan el acercamiento
                                     entre los miembros de la comunidad educativa IPAL.
                                 -   Modernizar las instalaciones y equipamiento de los talleres y
                                     laboratorios de acuerdo a la demanda interna de las carreras            -   Dirección
                                                                                                                 Administrativa
                                     profesionales y experimentales.
                                 -   Promover convenios con empresas de alto nivel tecnológico, para la




“HACER Y HACER BIEN LAS COSAS”                                                                                                             Página 77
PROYECTO EDUCATIVO INSTITUCIONAL 2011-2016-IPAL

                                     promoción de pasantías.
                                 -   Constituir las Unidades de Generación de Negocios en cada área
                                     profesional.
                                 -   Ofertar mejor los servicios académicos / empresariales que podamos        -   Dirección General

                                     brindar a la sociedad, con estándares de calidad.
                                 -   Revisar los planes de trabajo de las áreas correspondientes para
                                     aprobar los presupuestos y actividades co curriculares planteadas en
                                     el mismo.                                                                 -   Dirección Académica
           INSTITUCIONAL
                                 -   Diseñar e implementar una nueva propuesta de gestión que adopte
                                     los resultados planteados en el proceso de autoevaluación iniciado.
                                 -   Establecer proyectos de implementación por cada carrera profesional.
                                 -   Establecer los lineamientos y requisitos de titulación para cada          -   Coordinadores
                                                                                                                   Académico
                                     carrera profesional técnica.
                                 -   Contar con un banco de proyectos de inversión a nivel de pre
                                     factibilidad para ser presentados en el sector financiero o fundaciones
                                     interesadas en ellos.
                                                                                                               -   Dirección
                                 -   Ser un instituto referente a nivel nacional, en formación profesional
                                                                                                                   Administrativa
                                     tecnológica que aplica el Diseño Curricular Básico con enfoque por
                                     competencias y estructura modular en todas sus carreras
                                     profesionales, que otorga certificaciones progresivas y canaliza
                                     certificados modulares a nombre del Ministerio de educación,




“HACER Y HACER BIEN LAS COSAS”                                                                                                           Página 78
PROYECTO EDUCATIVO INSTITUCIONAL 2011-2016-IPAL

                                     teniendo como soporte a profesionales innovadores, emprendedores,
                                     con valores y capaces de contribuir con el desarrollo nacional y
                                     mundial.
                                 -   Preparar y difundir el reglamento y prospecto de admisión               -   Dirección General
                                 -   Conformar la Comisión de admisión del Instituto.
                                 -   Revisar, reelaborar, difundir y ejecutar el PCC
                                 -   Aplicar el Diseño Curricular Básico por competencias
                                                                                                             -   Dirección Académica
                                 -   Mejorar el proceso de convalidación interna y externa.
                                 -   Propiciar y crear mecanismos que generen la mejora del nivel de
       PROCESOS ACADÉMICOS
                                     competencia, de los docentes, para formar mejores profesionales.        -   Coordinadores
                                 -   Establecer las actividades co curriculares al inicio de cada semestre       Académico

                                     lectivo, de tal modo que se puedan presupuestar anticipadamente.
                                 -   Constituir la asociación de egresados de IPAL
                                                                                                             -   Dirección
                                 -   Consolidar y fomentar equipos de trabajo pedagógico para la                 Administrativa
                                     implementación real del modelo educativo propuesto en la Misión y
                                     Visión institucional.                                                   -   Docentes /
                                 -   Promover la capacitación continua del docente y personal                    Formadores
                                     administrativo en su especialidad, promoviendo experiencias
                                     empresariales, sensibilidad social y trabajo con proyección a la
                                                                                                             -   Asesores
                                     comunidad.
                                 -   Promover y desarrollar una cultura de investigación, innovación,




“HACER Y HACER BIEN LAS COSAS”                                                                                                         Página 79
PROYECTO EDUCATIVO INSTITUCIONAL 2011-2016-IPAL

                                     gestión tecnológica y empresarial entre la comunidad educativa IPAL,
                                     creando los mecanismos y condiciones necesarios.
                                                                                                            -   Dirección General
                                 -   Generar plenarias con participación de la comunidad educativa para
                                     evaluar las políticas y lineamientos institucionales.
                                 -   Establecer mecanismos para sectorizar los espacios que
                                     correspondan a cada área profesional.                                  -   Dirección Académica

                                 -   Difundir proyectos tecnológicos o productivos en concursos o ferias
                                     organizadas por instituciones de prestigio.
                                                                                                            -   Coordinadores
                                 -   Participar permanentemente en actividades de consejería y tutoría          Académico
                                     estudiantil
       PROCESOS ACADÉMICOS
                                 -   Conformar los comités de asesoramiento académico para alumnos
                                     egresados, a quienes se le debe asesorar en el perfeccionamiento de -      Dirección
                                                                                                                Administrativa
                                     sus proyectos productivos y demás trámites conducentes a la
                                     titulación.
                                                                                                            -   Docentes /
                                 -   Diseñar y elaborar material didáctico moderno para su distribución         Formadores
                                     digital o a modo de texto en cada carrera profesional.
                                 -   Evaluar constantemente el desempeño laboral de los docentes y
                                     coordinadores.                                                         -   Asesores
                                 -   Crear el centro de investigación Tecnológico IPAL.


                                 -   Mejorar los procesos administrativos, aplicando técnicas modernas de -     Dirección General
                                     reingeniería.
                                                                                                            -   Dirección Académica




“HACER Y HACER BIEN LAS COSAS”                                                                                                        Página 80
PROYECTO EDUCATIVO INSTITUCIONAL 2011-2016-IPAL

                                 -   Capacitar al personal administrativo en el manejo de las TICs, de los
                                                                                                                  -   Coordinadores
                                     procesos administrativos, simplificación de trámites, y conocimiento
                                                                                                                      Académico
                                     de técnicas de atención personalizada
                                 -    Promover el desarrollo de un sistema especializado de IPAL para el          -   Dirección
                                                                                                                      Administrativa
        SERVICIOS DE APOYO           manejo de la información de cada área profesional.
                                 -   Actualizar constantemente la página WEB IPAL.                                -   Personal
                                                                                                                      administrativo
                                 -   Implementar un programa de gestión de calidad y de mejora continua,
                                     sistematizando las operaciones a nivel interno y externo.
                                 -   Implementar medidas de evaluación constante del desempeño del
                                     personal administrativo.
                                 -   Internalizar e institucionalizar la cultura del respeto y buen trato entre   -   Dirección General
                                     el personal administrativo, docentes y discentes para brindar un
                                                                                                                  -   Dirección Académica
                                     servicio de calidad.
                                 -   Participar activamente con instituciones como el ministerio de trabajo       -   Coordinadores
                                                                                                                      Académico
                                     para promover entre los estudiantes la bolsa de trabajo.
      IMPACTO Y RESULTADOS       -   Promover campañas de conservación y protección del medio                     -   Dirección
                                                                                                                      Administrativa
                                     ambiente.
                                 -   Participar y/u organizar ferias tecnológicas.                                -   Docentes /
                                                                                                                      Formadores
                                 -   Establecer convenios marco con empresas e instituciones de prestigio
                                     y, alianzas de cooperación con los representantes de las mismas; con -           Personal
                                                                                                                      Administrativo
                                     el fin de mejorar el nivel formativo, tecnológico y de gestión
                                                                                                                  -   Asesores




“HACER Y HACER BIEN LAS COSAS”                                                                                                              Página 81
PROYECTO EDUCATIVO INSTITUCIONAL 2011-2016-IPAL

                                     empresarial.
                                 -   Diseñar y aplicar encuestas y sondeos de opinión, para formular
                                                                                                               -   Dirección General
                                     mejoras en las políticas internas.
                                 -   Promover y fomentar actividades deportivas a nivel interno y participar
                                     en eventos externos.                                                      -   Dirección Académica
                                 -   Implementar el buzón de quejas y hacer la revisión continua de los
                                     pareceres de los estudiantes y usuarios de nuestros servicios.
                                 -   Organizar ruedas de negocios con empresas, municipalidades u otras        -   Coordinadores
                                                                                                                   Académico
                                     instituciones públicas o privadas que presten interés en el IPAL, con
                                     el propósito de ejecutar proyectos, realizar negocios, prácticas pre

      IMPACTO Y RESULTADOS           profesionales, pasantías u otros de interés mutuo.                        -   Dirección
                                 -   Establecer convenios con universidades para facilitar la capacitación         Administrativa
                                     continua de los docentes.
                                 -   Crear y difundir de manera impresa y digital la revista institucional     -   Docentes /
                                                                                                                   Formadores
                                     IPAL
                                 -   Establecer como norma el registro de egresados de IPAL, en formato
                                                                                                               -   Personal
                                     preestablecido apreciable en la página WEB IPAL.
                                                                                                                   Administrativo
                                 -   Crear y Organizar el elenco permanente de oratoria, música, danzas,
                                     teatro y representantes deportivos de IPAL.
                                                                                                               -   Asesores




“HACER Y HACER BIEN LAS COSAS”                                                                                                           Página 82
PROYECTO EDUCATIVO INSTITUCIONAL 2011-2016-IPAL




                                 CAPÍTULO V




        PROPUESTA
       PEDAGÓGICA

“HACER Y HACER BIEN LAS COSAS”                   Página 83
PROYECTO EDUCATIVO INSTITUCIONAL 2011-2016-IPAL


                                 CAPÍTULO V

5.     PROPUESTA PEDAGÓGICA

5.1. CARACTERÍSTICAS, FINES Y OBJETIVOS DE LA EDUCACIÓN SUPERIOR
      TECNOLOGICA

5.1.1. CARACTERÍSTICAS

La Educación Superior Tecnológica, debe formar personas calificadas en el manejo
y conocimiento de los procesos tecnológicos de los diferentes sectores productivos
acrecentar capacidades como pensar creativa y críticamente, tomar decisiones en la
solución de problemas, capacidad de aprendizaje, capacidad de pensamiento
práctico, capacidades de organización, creatividad, responsabilidad, liderazgo y
valores para participar de manera eficiente en el desarrollo de la economía Nacional,
los rasgos que caracterizan a la educación superior tecnológica son :

• Desempeño profesional competente.- Formar personas que respondan a las
necesidades de un trabajo productivo de calidad, desarrollando capacidades para el
manejo tecnológico con eficiencia y responsabilidad incorporando aspectos
actitudinales e instrumentales que permitan el trabajo en equipo, capacidad de
aprendizaje, tomar decisiones con rapidez en situaciones de presión o contingencia,
ser polivalente.

• Mayor movilidad y adaptabilidad laboral.- Formar profesionales técnicos altamente
calificados capaces de responder a los distintos requerimientos a lo largo de su vida
profesional; que impulsen la reconversión productiva de las empresas, su inserción
en el mercado laboral nacional, e internacional y el crecimiento sostenible del país
en una perspectiva del desarrollo humano; personas capaces de actualizarse
permanentemente de manera autónoma, adecuarse y responder asertivamente a los
cambios tecnológicos y del mercado laboral.

• Flexibilidad de la formación.- Brindar a los distintos beneficiarios de la Educación
Superior Tecnológica la posibilidad de adquirir capacidades terminales organizadas
en módulos, permitiendo, por un lado, tener opciones de empleabilidad durante su
formación, y por otro, la posibilidad de reinsertarse en el sistema formativo, si éste
fuera el caso.

5.1.2. FINES

Formar personas capaces de lograr su realización ética, intelectual, artística,
cultural, afectiva, física, espiritual y religiosa, promoviendo la formación y
consolidación de su identidad y autoestima y su integración adecuada y crítica a la
sociedad para el ejercicio de su ciudadanía en armonía con su entorno, así como el



“HACER Y HACER BIEN LAS COSAS”                                               Página 84
PROYECTO EDUCATIVO INSTITUCIONAL 2011-2016-IPAL


desarrollo de sus capacidades y habilidades para vincular su vida con el mundo del
trabajo y para afrontar los incesantes cambios en la sociedad y el conocimiento.

Contribuir a formar una sociedad democrática, solidaria, justa, inclusiva, próspera,
tolerante y forjadora de una cultura de paz que afirme la identidad nacional
sustentada en la diversidad cultural, étnica y lingüística, supere la pobreza e impulse
el desarrollo sostenible del país y fomente la integración latinoamericana teniendo en
cuenta los retos de un mundo globalizado.

5.1.3. OBJETIVOS

Formar personas con valores éticos, consolidando su identidad y autoestima para un
mejor ejercicio de su ciudadanía y plena realización personal con calidad de vida.
Formar profesionales que respondan a las demandas del sector productivo y a las
oportunidades de trabajo, que se inserten en el mercado laboral y/o generen
empresas que compitan con éxito en el mercado local, regional, nacional e
internacional.

Formar personas emprendedoras capaces de poner en práctica iniciativas
empresariales competitivas en cualquier sector o rama de la economía nacional
propiciando la conservación del medio ambiente.

Propiciar la articulación fluida y permanente del sistema de formación con el mundo
del trabajo, estimulando en la formación una mentalidad productiva y una cultura de
trabajo en las instituciones educativas.

Realizar investigación tecnológica para mejorar los productos y los procesos de
producción de las empresas, posibilitar y promover su desarrollo e incorporación con
éxito al mercado internacional, utilizando racionalmente los recursos con los que
cuenta el país y propiciando la conservación del medio ambiente.

Promover la calificación de los recursos humanos, brindando una formación de
calidad, pertinente, de amplia cobertura, con capacidad de respuesta a las
necesidades de individuos y empresas; creando, entre quienes participan, hábitos y
actitudes que les permitan incorporarse en procesos de formación permanente.

Promover el desarrollo local de las regiones y comunidades, estimulando o
gestionando diversas iniciativas de innovación o adecuación tecnológica acorde
con la realidad socioeconómica del entorno.

5.2. CONCEPTO DE EDUCACIÓN

Proceso sociocultural, constituye el desarrollo integral de las personas y sociedad;
capaces de transformar y crear cultura, cumple función socializadora de nuevas
generaciones asumiendo responsabilidad y roles ciudadanos.



“HACER Y HACER BIEN LAS COSAS”                                                Página 85
PROYECTO EDUCATIVO INSTITUCIONAL 2011-2016-IPAL


5.3. PRINCIPIOS PEDAGÓGICOS

5.3.1. PRINCIPIOS EDUCACIONALES

a) La Educación debe orientarse al desarrollo humano
Desarrollo integral de aptitudes, destrezas, habilidades y conocimientos para
enfrentar al mundo cambiante.

b) La Educación debe ser ética
Debe rescatar los valores que permitan la construcción de una sociedad solidaria,
justa, en la que se respete la vida y libertad.

c) La Educación debe prepararse para el trabajo
Otorgan al alumno capacidades laborales adecuadas no solo para emplearse en un
mercado competitivo, sino para crear su propio trabajo productivo en el marco de la
transformación y modernización de la estructura del país.

d) La Educación debe ser intercultural
Promoviendo diálogo entre personas migrantes, culturas, etnias de acuerdo a
nuestra realidad del país multicultural y multiétnico.

e) La Educación debe alcanzar para todos
Poniendo a disposición a cada niño y adolescente la mayor educación posible, sin
distingo, en busca de la excelencia.

f) La Equidad
Que garantiza a todos iguales oportunidades de acceso, permanencia y trato en un
sistema educativo de calidad.

g) La Inclusión
Que incorpora a las personas con discapacidad, grupos sociales excluidos,
marginados y vulnerables, especialmente en el ámbito rural, sin distinción de etnia,
religión, sexo y otra causa de discriminación, contribuyendo así a la eliminación de la
pobreza, la exclusión y las desigualdades.

h) La Conciencia Ambiental
Que motiva el respeto, cuidado y conservación del entorno natural, como garantía
para el desenvolvimiento de la vida.

i) La Creatividad y la Innovación
Que promueven la producción de nuevos conocimientos en todos los campos del
saber, el arte y la cultura.

j) La Calidad




“HACER Y HACER BIEN LAS COSAS”                                                Página 86
PROYECTO EDUCATIVO INSTITUCIONAL 2011-2016-IPAL


Que asegura condiciones adecuadas para una educación integral, pertinente,
flexible y permanente.

5.3.2. PRINCIPIOS PSICOPEDAGÓGICOS

Pensamiento Abstracto y valores

a. Desarrollo cognoscitivo
Aplicar los principios de pensamiento abstracto como
     Comprensión
     Sistematización
     Aplicación
     Análisis
     Criticidad
     Autoevaluación

b. Desarrollo afectivo y biológico.
     Orientar en los aspectos de la sexualidad
     Concientizar los valores culturales, sociales, familiares y personales.
     Orientar los aspectos emocionales y sentimentales
     Orientar biológico del varón y mujer, y cambios físicos de ambos
     Orientar visión, misión, metas y objetivos de vida.

Disgrafía

a. Motricidad fina
    Aplicar ejercicios de motricidad fina.
    Ejercicios de escritura y claridad en las palabras.
    Uniformidad y espaciamiento entre palabras.
    Enlaces de grafema

b. Ejercicios de dictado
     Precisión, esto puede ser fuerte normal o débil.
     Márgenes, tanto en la derecha, izquierda arriba, abajo.
     Limpieza, si existe borrones, manchas, tachaduras, maltratos de papel etc.

Disortografía

a. Ejercicios de dictado
     Pronunciamiento correcto de palabras
     Repetición continua
     Repetición lenta, por sílabas
     Omisión de palabras: artículos, preposiciones y conjunciones

b. Ejercicios de escritura
     Coordinación de la motricidad fina – escritura


“HACER Y HACER BIEN LAS COSAS”                                                  Página 87
PROYECTO EDUCATIVO INSTITUCIONAL 2011-2016-IPAL


      Enumeración de palabras
      Coordinación de coherencia lógica
      Estructuración de frases y palabras lógicas.
      Estructuración de oraciones escritas.
      Composición escrita
      Ejercicios. Oral y escrito y las correcciones.

Discalculía

a. Dominio de conceptos aritméticos
     Enseñará el vocabulario aritmético.
     Enseñar conceptos de línea
     Memorización de signos
     Vocabularios espaciales
     Enseñara a mensurar

b. Aplicación de operaciones matemáticos
     Tomando las tres etapas: presentación, clasificación, simbolización
     Realizar preguntas de asimilación
     Aplicar con la realidad de mensurar, contar, resolver, formular.
     Manipulación de objetos contables
     Motivación y representación mental y a mano alzada

Dislalia

a. Ejercicios de respiración y vocabulario
     Respiración nasal y juegos de imitación
     Ejercicios de percepción y orientación físico
     Ejercicios de orientación temporal
     Ejercicios de ritmo

b. Ejercicios de discriminación auditiva
     Discriminación de sonidos percibidos y distinción de palabras
     Diferenciación de fonemas
     Sustitución de letras
     Corrección y alteración orgánica

Hiperactividad

a. Programa especial – interactivo
     Autocontrol e individualización
     Utilizar la psicología conductista
     Reforzamiento de otras conductas
     Crear nuevos rincones de aprendizajes físicos

b. La auto-estima


“HACER Y HACER BIEN LAS COSAS”                                              Página 88
PROYECTO EDUCATIVO INSTITUCIONAL 2011-2016-IPAL


      Desarrollar y enfatizar la auto-estima
      Enseñar a querer a otros y valorarse a sí mismo
      Enseñar los modos de vida que puede enfrentar en lo venidero

Dislexia

a. Ejercicios verbal
      Representar gráficos y el símbolo
      Actividades con representaciones gráficas
      Estructurar imágenes representando palabras
      Elaborar gráficos representativos a nivel aula

b. Ejercicios no verbal
  Representar los imágenes y símbolos
  Corregir palabras equivocadas en pronunciamiento
  Manipuleo de objetos sensibles
  Percepción global, luego volver al gráfico representativo

Déficit atencional

a. Conflictos interpersonales
     Enseñar a valorar a otros y aceptar tal como es
     Animar y alentar que su auto-estima es sumamente alta
     Enseñar a resolver problemas
     Llamar atención con representaciones gráficas

b. Tratamiento psicosocial
     Socializar con sus compañeros
     Paciencia y tolerancia a la persona
     Tolerancia a la diversidad
     Sistematizar las ideas para proponer y animar lo que él desea ser

Talento superior

a. Motivación extrínseca.- Para su desarrollo intelectual con mayor capacidad de
abstraer e imaginarse genialmente.

b. Apoyo emocional.- Orientación emocional, animar siempre que está progresando
y va llegar a logros muy importantes y significativos.

Inteligencia emocional

a. Autoestima.- Es el valor personal de cada uno de nosotros.
     Desarrollar los valores personales y culturales
     Valorar la familia y medio ambiente
     Reconocer nuestras actitudes emocionales


“HACER Y HACER BIEN LAS COSAS”                                            Página 89
PROYECTO EDUCATIVO INSTITUCIONAL 2011-2016-IPAL


      Inducir a la aceptación y valoración de sí mismo y a los demás

b. Auto concepto.- Es la percepción sobre nosotros mismos.
     Desarrollar la personalidad consciente de nuestra realidad en los educandos
     Elevar el ánimo y la autoestima a los educandos
     Orientar en los aspectos de proyección hacia el futuro
     Influencias el trabajo junto con los padres
     Infundir las relaciones humanas, la apariencia física, relaciones sociales,
       relaciones con sus pares, la lectura, etc.

Inteligencia múltiple

a. Creatividad y capacidad
     Infundir la creatividad según los tipos de inteligencia
     Descubrir el tipo de inteligencia para proyección del futuro
     Aplicar los tipos de inteligencia para descubrir la personalidad de cada
      persona
     Lograr reconocer las capacidades intelectuales

b. Orientación vocacional
    Descubrir por medio de test el tipo de inteligencia que tiene el educando
    Orientar qué tipo de inteligencia posee
    Perfilar su profesión a base del tipo de inteligencia
    Orientar su vocación a base de inteligencias que parte de sus aptitudes
       personales del educando

5.4. PARADIGMA EDUCATIVO

Es el modelo teórico para hacer ciencia pedagógica e interpretar la práctica derivada
de esta.

Es un modelo de acción, un ejemplo aceptado y un esquema de interpretación; la
cual orienta la teoría, la acción, la práctica y la investigación en el aula.

Paradigma adoptado por institución como propuesta para el que hacer educativo; es
la complementariedad del paradigma cognitivo y ecológico contextual.

El paradigma cognitivo la enseñanza – aprendizaje está centrado en el proceso; el
paradigma ecológico – contextual centrado en la vida, su conservación y en el
contexto.

El paradigma cognitivo se centra en los procesos del profesor (como enseña) y el
alumno (como aprende); mientras el paradigma ecológico-contextual se preocupa
del entorno y de la vida en aula.




“HACER Y HACER BIEN LAS COSAS”                                              Página 90
PROYECTO EDUCATIVO INSTITUCIONAL 2011-2016-IPAL


El paradigma cognitivo es más individualista, centrado en los procesos del alumno,
mientras el paradigma ecológico-contextual es más socializador (centrado en la
interacción, contexto–grupo–individuo y viceversa).

Por medio del paradigma cognitivo podemos dar significación y sentido a los
conceptos, diagrama de flujos, pensamiento lógico y numérico para estructurar
significativamente los contenidos; por medio del paradigma ecológico-contextual
podemos estructurar significativamente la experiencia, aprendizaje comparativo,
diversificación y contextualización.

En conclusión el paradigma cognitivo (a partir de una adecuada estructuración
significativa de los contenidos, hechos y procedimientos) favorece el aprendizaje
significativo individual; el paradigma ecológico-contextual nos facilita profundizar la
experiencia individual y grupal contextualizada. Y desde esta doble perspectiva
surge el interés y la motivación, lo que facilita la creación, aptitudes, actitudes y
valores.

El potencial del aprendizaje (dimensión cognitiva) se desarrolla por medio de la
socialización contextualizada (dimensión ecológico-contextual) según Vygotsky.

Se debe considerar o tomar en cuenta el paradigma histórico-social, llamado
también paradigma sociocultural o histórico-cultural, fue desarrollado por L.S.
Vygotsky a partir de la década de 1920. Una premisa central de este paradigma es
que el proceso de desarrollo cognitivo individual no es independiente o autónomo de
los procesos socioculturales en general, ni de los procesos educacionales en
particular. No es posible estudiar ningún proceso de desarrollo psicológico sin tomar
en cuenta el contexto histórico-cultural en el que se encuentra inmerso, el cual trae
consigo una serie de instrumentos y prácticas sociales históricamente determinados
y organizados. Para Vygotsky convierte en un triángulo abierto en el que los tres
vértices se representan por sujeto, objeto de conocimiento y los artefactos o
instrumentos socioculturales; y se encuentra abierto a la influencia de su contexto
cultural. De esta manera la influencia del contexto cultural pasa a desempeñar un
papel esencial y determinante en el desarrollo del sujeto quien no recibe
pasivamente la influencia sino que la reconstruye activamente.

5.5. MODELO PEDAGÓGICO

Es una aproximación teórica útil en la descripción y comprensión de aspectos
interrelacionados de un fenómeno o parámetros pedagógicos

Los Modelos pedagógicos representan formas particulares de interrelación entre
los parámetros pedagógicos, una concepción del ser humano específica y de una
idea claramente determinada de la sociedad. Los modelos pedagógicos en general
responden al menos a las siguientes cinco preguntas:




“HACER Y HACER BIEN LAS COSAS”                                                Página 91
PROYECTO EDUCATIVO INSTITUCIONAL 2011-2016-IPAL


       El ideal de la persona bien educada que se pretende formar.
       A través de qué o con qué estrategias metodológicas.
       Con qué contenidos y experiencias educativas concretas.
       A qué ritmos o niveles debe llevarse el proceso formativo.
       Quién dirige el proceso formativo y en quién se centra el mismo.

  El modelo pedagógico de la Institución.

           Estimula los procesos mentales superiores para la creatividad y búsqueda
            de solución de problemas.
           Propende a métodos activos. Privilegia el aprendizaje en la práctica, el
            taller, fusionando el pensamiento acción.
           Se centra en el aprendizaje significativo en relación a las necesidades,
            mercado laboral y en capacidades, valores y actitudes.
           Toma en cuenta la realidad e individualidad de los alumnos, propendiendo
            el trabajo en equipo. Impulsa la relación personal del docente con el
            alumno, desarrollando en esta las habilidades y destrezas para la vida en
            su formación profesional.

5.6. MODELO CURRICULAR

Díaz Barriga, afirma que los modelos curriculares que existen en el discurso
educativo son: currículo por asignaturas, por áreas y por módulos.

Román Pérez y Diez López, citando a Porlán, afirman que los modelos curriculares
no sólo pretenden explicar y describir una realidad sino también informar sobre cómo
intervenir en ella para transformarla.

5.6.1 ESTRATEGIA DE ENSEÑANZA                     PARA     LA    PROMOCIÓN       DE
APRENDIZAJES SIGNIFICATIVOS

Son recursos que el profesor utiliza para focalizar y mantener la atención de los
aprendizajes durante una cesión. Entre las principales estrategias tenemos:

       a. Capacidades o propósitos.- Enunciado que establece condiciones, tipo de
          actividad y forma del aprendizaje del alumno. Generación de expectativas
          apropiadas en los alumnos.
       b. Resumen.- Síntesis y abstracción de la información relevante de un
          discurso oral o escrito. Enfatiza conceptos clave, principios, términos y
          argumento central.
       c. Organizador previo.- Información de tipo introductorio y contextual. Es
          elaborado con un nivel superior de abstracción, generalidad e inclusividad
          de la información que se aprenderá.
       d. Tiende un puente cognitivo entre la información nueva y la previa.




“HACER Y HACER BIEN LAS COSAS”                                              Página 92
PROYECTO EDUCATIVO INSTITUCIONAL 2011-2016-IPAL


     e. Manipulación, utilización e Ilustraciones.- Representación visual de los
        conceptos, manipulación y utilización de objetos, herramientas, o
        situaciones de una teoría o tema específico. El tipo de ilustraciones en
        textos académicos más usuales tenemos: Descriptiva, expresiva,
        constitucional, funcional, lógico-matemática, algorítmica, arreglo de datos.
     f. Analogías.- Proposición que indica que una cosa o evento (concreto y
        familiar) es semejante a otro (desconocido y abstracto o complejo).
     g. Preguntas intercaladas.- Preguntas insertadas en la situación de
        enseñanza o en un texto. Mantienen la atención y favorecen la práctica, la
        retención y la obtención de información relevante.
     h. Pistas tipográficas y discursivas.- Señalamientos que se hacen en un texto
        o en la situación de enseñanza para enfatizar y/u organizar elementos
        relevantes del contenido por aprender.
     i. Mapas conceptuales y redes semánticas.- Representación gráfica de
        esquema de conocimiento, diagramas de flujo (indican conceptos,
        proposiciones y explicaciones).
     j. Uso de estructuras textuales.- Organizaciones retóricas de un discurso oral
        o escrito que influyen en su comprensión y recuerdo

5.6.2 ENFOQUE TEÓRICO DEL APRENDIZAJE




“HACER Y HACER BIEN LAS COSAS”                                             Página 93
PROYECTO EDUCATIVO INSTITUCIONAL 2011-2016-IPAL




5.6.3 RECOMENDACIONES PARA EL APRENDIZAJE

Aprender a aprender como desarrollo de la inteligencia potencial

El concepto del potencial del aprendizaje (inteligencia potencial) pretende dar una
síntesis entre el aprendizaje cognitivo y el aprendizaje social. Se aprende por
socialización y la mediación del adulto (actúa como agente de socialización y
facilitador del aprendizaje) es importante y trascendente.

La inteligencia (individual y colectiva- personal e institucional) se desarrolló por
medio del aprendizaje. Todas las personas, sobre todo en edades tempranas
poseen un amplio potencial de aprendizaje; unas veces se desarrolla y se convierte
en desarrollo real (aprendizaje real) y otras no, quedándose en desarrollo potencial
(aprendizaje potencial).

Los modelos de diseño curriculares aplicados son propuestos con una nueva
manera de hacer, impulsando el desarrollo de procesos cognitivos y afectivos
(capacidades y valores) y una nueva arquitectura del conocimiento desde la
perspectiva del aprendizaje significativo.

Se esquematiza de la siguiente manera:




“HACER Y HACER BIEN LAS COSAS”                                             Página 94
PROYECTO EDUCATIVO INSTITUCIONAL 2011-2016-IPAL




¿Qué significa aprender?

Desde los enfoques cognitivos y constructivistas, han aprendido a aprender porque:
   Controlan sus procesos de aprendizaje
   Se dan cuenta de lo que hacen
   Captan las exigencias de la tarea y responden correctamente
   Planifican y examinan sus propias realizaciones pudiendo identificar los
     aciertos y desaciertos
   Emplean estrategias de estudio pertinentes para cada situación
   Valoran los logros obtenidos y corrigen sus errores

¿Qué son estrategias de aprendizaje?

      Son procedimientos
      Pueden incluir varias técnicas, operaciones o actividades específicas




“HACER Y HACER BIEN LAS COSAS”                                                 Página 95
PROYECTO EDUCATIVO INSTITUCIONAL 2011-2016-IPAL


      Persiguen un propósito determinado: El aprendizaje y la solución de
       problemas académicos y/o aquellos otros aspectos vinculados a ellos como
       desarrollo de la motricidad, habilidades y destrezas.
      Son más que los “hábitos de estudio” porque se realizan flexiblemente
      Pueden ser abiertas (públicas) o encubiertas (privadas)
      Son instrumentos socioculturales aprendidos en contexto de interacción con
       alguien que sabe más.

Aprender a aprender implica:

       El uso adecuado de estrategias cognitivas, en sentido amplio el concepto de
        estrategia cognitiva puede entenderse como l conjunto de procesos que sirva
        de base a al realizaciones de tareas intelectuales. En sentido más estricto “Un
        método para aprender una tarea o más generalmente para alcanzar un
        objetivo. Existen dos enfoques fundamentales en el marco del currículo.
       Las estrategias como solución del problema, un conjunto de pasos, suelen
        centrar en el qué (respuesta adecuada al problema) y los pasos dados (cómo)
        para la solución. Suelen descuidar el para qué, que de ordinario es implícito
        (capacidades y valores).
       Estrategias como desarrollo de capacidades de valores, como el camino
        para desarrollar destrezas que desarrollan capacidades y desarrollar actitudes
        que desarrollan valores por medio de contenidos (formas de saber) y
        métodos-procedimientos (formas de hacer). Este tipo de estrategias de
        aprendizaje desarrolla el para qué (capacidades - destrezas y valores –
        actitudes), el cómo (procesos, métodos, habilidades) y el qué (contenidos).
       El uso adecuado de estrategias Meta cognitivas; la Meta cognición está
        orientada, según Flavel, a “pensar sobre el propio pensamiento. Meta
        cognición significa el conocimiento de uno mismo concerniente a los propios
        procesos de uno mismo y productos cognitivos o a todo lo relacionado con
        ellos”.
        El aprender a aprender Meta cognitivo debe ayudar a los estudiantes a:
        Construir un alto repertorio de tácticas cognitivas: repetición,
           estructuración,    organización    de    hechos,     conceptos   principios,
           procedimientos a usar.
        Reconocer lo que deben aprender, es decir aplicar las metas a conseguir
        Acentuar la calidad de las experiencias Meta cognitivas para facilitar
           el aprendizaje y aumentar la motivación y el interés.
        Elaborar un almacén de tácticas diseños y andamios del pensamiento,
           incluyendo el cuándo y el cómo usarlo.
       El uso adecuado de modelos conceptuales; los modelos conceptuales son
        formas de representación cognitiva del universo, de las cosas y objetos que
        contiene y de uno mismo. Cada área o y/o asignatura escolar tiene su propio
        mapa mental que es necesario transferir a la mente del aprendiz de una
        manera ordenada, global y sistemática, ya que lo que se aprende se ha de
        situar en lo que se sabe.



“HACER Y HACER BIEN LAS COSAS”                                                Página 96
PROYECTO EDUCATIVO INSTITUCIONAL 2011-2016-IPAL


Constructivismo y aprendizaje significativo

El constructivismo es una corriente pedagógica que confluencia de diversos
enfoques psicológicos que enfatizan la existencia y prevalencia de procesos activos
de autoestructuración y reconstrucción de los saberes culturales, los cuales permiten
explicar la génesis del comportamiento y del aprendizaje.

La concepción constructivista del aprendizaje escolar y la intervención educativa,
constituye la convergencia de diversas aproximaciones psicológicas a problemas
cómo:

      El desarrollo psicológico del individuo, particularmente en el plano intelectual
       y en su intervención con los aprendizajes escolares.
      La identificación y atención a las diversidades, intereses, necesidades y
       motivaciones de los alumnos en relación con el proceso enseñanza–
       aprendizaje.
      El replanteamiento de los contenidos curriculares, orientados a que los
       sujetos aprendan a aprender sobre contenidos significativos
      El reconocimiento de la existencia diversos tipos y modalidades de
       aprendizaje escolar, dando una tensión más integrada a los componentes
       intelectuales, afectivos y sociales
      La búsqueda de alternativas novedosas para la selección, organización y
       distribución del conocimiento escolar asociadas al diseño y promoción de
       estrategias de aprendizaje e instrucción cognitivas
      La importancia de promover la interacción entre el docente y sus alumnos ,
       así como entre los alumnos mismos. A través del manejo de grupos mediante
       el empleo de estrategias de aprendizaje cooperativo
      La revalorización del papel del docente, no solo en sus funciones de
       transmisor del conocimiento, guía o facilitador del aprendizaje, sino como
       mediador del mismo, enfatizando el papel de la ayuda pedagógica que presta
       reguladamente al alumno.
      Dicho proceso de construcción depende de dos procesos fundamentales: De
       los conocimientos previos o representación que se tenga de la nueva
       información o de la actividad o tarea al resolver; y de la actividad externa e
       interna que el aprendiz realice al respecto.

La concepción constructivista del aprendizaje escolar se sustenta en la idea de que
la finalidad de la educación que se imparte en las instituciones educativas es
promover los procesos de crecimiento personal del alumno en el marco de la cultura
del grupo al que pertenece. Es decir enseñar a enseñar y actuar sobre contenidos
significativos y conceptualizados.

Para que realmente sea significativo el aprendizaje, este debe reunir varias
condiciones de logro: la nueva información debe relacionarse de modo no arbitrario y
sustancial con lo que el alumno ya sabe; dependiendo también de la disposición
(motivación y actitud ) de éste para aprender, así como de la naturaleza de los
materiales o contenidos de aprendizaje.



“HACER Y HACER BIEN LAS COSAS”                                                Página 97
PROYECTO EDUCATIVO INSTITUCIONAL 2011-2016-IPAL


Características    fundamentales     del   aprendizaje   según     la   concepción
constructivista

El aprendizaje se caracteriza por ser un proceso constructivo, acumulativo,
contextualizado, autorregulado, orientado a una meta, propósito educativo,
colaborativo o cooperativo e individualmente distinto en cada aprendiz.

      El aprendizaje es constructivo (Cobb, De Corte).- Las personas que aprenden
       no permanecen pasivas al recibir la información sino que construyen sus
       propios conocimientos y habilidades; implica en todos ellos que el aprendiz
       adquiere conocimientos y habilidades nuevos en un proceso activo que
       requieren actividades significativas y que demanda esfuerzo por parte del
       sujeto que aprende.
      El aprendizaje es acumulativo (Shuell).- Los alumnos no son “tabula rasa” ni
       siquiera cuando ingresan por primera vez al sistema solar. En todo nuevo
       aprendizaje existen conocimientos y experiencias anteriores, formales e
       informales, que es activan. El aprendizaje está basado en lo que los
       aprendices ya saben y pueden hacer, a partir de lo cual procesan la nueva
       información y derivan nuevos significados y/o adquieren nuevas habilidades.
      El aprendizaje es contextualizado (Greer, Vygotsky).- Las representaciones
       mentales de la nueva información se hacen eco de las experiencias previas
       del estudiante y se impregnan de la interpretación que él pueda hacer del
       contexto en que adquiere significado este nuevo aprendizaje.
      El aprendizaje es autorregulado (Shuell).- Esta característica expresa el
       aspecto Meta cognitivo del aprendizaje, a través de las actividades de
       monitoreo, manejo de la concentración y motivación, retroalimentación
       y emisión de juicios que hace el estudiante acerca de su propio proceso de
       aprender.
      El aprendizaje es orientado hacia una nueva meta o propósito (Shuell).- El
       aprendizaje efectivo y significativo es facilitado si se conoce una meta
       determinada.     Tomando      en    cuenta    su   naturaleza constructiva y
       autorregulada, se puede suponer que el aprendizaje es más productivo
       cuando los estudiantes determinan y señalan sus propias metas. El
       aprendizaje puede ser exitoso cuando los objetivos son definidos previamente
       y propuestos a los alumnos por el profesor, un texto, un programa de
       computación, etc. siempre que sus metas sean adoptadas y asumidas por los
       aprendices.
      El aprendizaje es colaborativo y cooperativo (Vygotsky).- Aprender con
       otros es un aspecto esencial del proceso de aprender, implica la naturaleza
       cooperativa del aprendizaje. La visión del aprendizaje como proceso social es
       central en la concepción de muchos constructivistas que consideran la
       interacción social fundamental para el aprendizaje. No se opone a la
       construcción individual del conocimiento que ocurre simultáneamente durante
       el proceso de interacción, negociación y cooperación.




“HACER Y HACER BIEN LAS COSAS”                                             Página 98
PROYECTO EDUCATIVO INSTITUCIONAL 2011-2016-IPAL


      El aprendizaje es individualmente diferente (Riveros).- los procesos y
       resultados de los aprendizajes varían entre los estudiantes por la diferencias
       individuales de sus actitudes para aprender, sus conocimientos previos,
       sus concepciones del aprendizaje, interés, autoestima y especialmente su
       disposición afectiva.

Inteligencias múltiples

Gardner enuncia la competencia cognitiva como un conjunto de habilidades,
talentos, aptitudes o capacidades que denominan inteligencias. Los individuos
normales poseen hasta cierto grado cada una de esas inteligencias y difieren entre
si el nivel de las mismas y en su combinación. Gardner como Psiconeurólogo
considera la inteligencia como un atributo innato y por tanto heredado. Cada una de
las inteligencias posee un componente neurológico que radica en una zona
determinada del cerebro humano. Es por tanto un potencial psicobiológico y ello
facilita el ejercicio de este conjunto de facultades. Cada una de las inteligencias es
un potencial biológico en bruto, que puede ser pulido en un contexto cultural
determinado y además sirve para resolver problemas y alcanzar diversos fines
culturales; se concretan en estos siete tipos fundamentales:

      Inteligencia musical.- Se localiza preferentemente en el hemisferio derecho
       del cerebro, aunque no exclusivamente. Se manifiesta en la percepción y
       producción musical y más en concreto en habilidades tales como el ritmo, el
       tono el canto, la discriminación de notas, el reconocimiento de canciones, etc.
       se concreta sobre todo en los músicos.
      Inteligencia cinético-corporal.- Se localiza en la corteza motora donde cada
       uno de los hemisferios cerebrales actúan a la inversa (izquierda – derecha).
       Consiste en la capacidad para resolver problemas y elaborar productos
       empleando el cuerpo o partes del mismo. Se da, sobre todo, en bailarines,
       atletas, cirujanos y artesanos.
      Inteligencia lógico–matemático.- Radica en diversas zonas del cerebro poco
       perfiladas aún por la investigación actual. Está en relación con el pensamiento
       científico y se manifiesta en capacidades tales como la observación y la
       deducción, la comprensión y el uso de conceptos numéricos, cálculo mental y
       la abstracción científica. Constituye la base principal de los tests de
       inteligencia y puede ser considerada como “inteligencia en bruto”. Posee un
       peso excesivo en la identificación del coeficiente intelectual. Es propia de los
       científicos, matemáticos, ingenieros etc.
      Inteligencia lingüística.- Se sitúa en el “área del broca“ del cerebro y es
       responsable de la producción de oraciones gramaticales, a partir de
       habilidades tales como: el vocabulario, el uso de conectores, el diálogo, la
       fluidez. Se manifiesta sobre todo en los poetas y en los escritores.
      Inteligencia espacial.- Su sede está en hemisferio derecho del cerebro y
       consiste en la capacidad para formarse un modelo mental de un mundo
       espacial y para maniobrar y operar usando ese modelo. Se concreta, sobre
       todo en, marinos, ingenieros, astronauta, cirujanos, escultores, pintores.




“HACER Y HACER BIEN LAS COSAS”                                                Página 99
PROYECTO EDUCATIVO INSTITUCIONAL 2011-2016-IPAL


      Inteligencia interpersonal.- Radica en los lóbulos frontales del cerebro y se
       construye al percibir distinciones entre los demás, contrastando sus estados
       de ánimo, temperamentos, motivaciones e intenciones. Supone la capacidad
       de entender a otras personas tales como; qué les motiva, cómo trabajan,
       cómo trabajar con ellos en forma cooperativa. Se manifiesta en políticos,
       profesores, maestros, vendedores, líderes religiosos.
      Inteligencia intrapersonales.- Radica también los lóbulos frontales del cerebro
       y consiste en capacidad de formarse un modelo ajustado y verídico de uno
       mismo y además de utilizar ese modelo para desenvolverse eficazmente en la
       vida. Existe en todas las persona, con mejor o peor nivel de organización.

La teoría de las inteligencias múltiples resulta atractiva, pero a nivel escolar su gran
limitación radica en dispersión teórica su base biológica y genetista y su elaboración
técnica poca afinada. En la práctica confunde (en muchos casos) la inteligencia con
las diversas áreas del currículo. Deja pocos espacios para la intervención en el
desarrollo de capacidades en los aprendices y en la formulación de objetivos.

Constructivismo y evaluación

La evaluación se entiende como el proceso permanente de información y reflexión,
comprende todos los componentes y todos los elementos del proceso educativo, no
solamente al rendimiento.

En el enfoque basado en competencias laborales en una estructura modular, para la
evaluación de los aprendizajes se toma en cuenta los criterios de evaluación a partir
de los cuales se definen los indicadores que constituyen los estándares de calidad
mínimos a lograr en la capacidad terminal.

El proceso de evaluación en este enfoque tiene dos dimensiones que se dan en
forma paralela: la primera se relaciona con el seguimiento del aprendizaje, y la
segunda se refiere a la valoración del mismo expresada en calificaciones que
reflejan cuánto se ha aprendido. Esta perspectiva plantea no centrarse en la
calificación del aprendizaje, sino concebir la evaluación de manera integral.

Se plantean cuatro técnicas para el proceso de evaluación del aprendizaje en la
Educación Superior Tecnológica. El uso de éstas dependerá de la definición de la
variable del objeto de evaluación, es decir la capacidad o actitud que se quiera
evaluar. Entre ellas tenemos las siguientes:

      Observación del proceso
      Verificación del producto
      Verificación de la información
      Observación de las actitudes

El rol que desempeña la evaluación en el proceso de aprendizaje: Identifica sus
problemas, posibles causas y necesidades de los alumnos, mide sus logros, informa
las fortalezas y debilidades de sus aprendizajes, determina eficiencia y eficacia de
las estrategias utilizadas por el profesor.




“HACER Y HACER BIEN LAS COSAS”                                                Página 100
PROYECTO EDUCATIVO INSTITUCIONAL 2011-2016-IPAL


El sentido de la evaluación, desde el punto de vista de un concepto moderno, no
solo se restringe al rendimiento de los estudiantes, pues comprende todos los
elementos del proceso educativo. Si la evaluación sólo sirve para promover al
alumno o desaprobarlo no cumple una función propiamente pedagógica. La
evaluación es principalmente un valioso medio de formación. De este modo
podemos decir que los tipos de evaluación se enmarca en:

      Evaluación de contexto.- Considera todo lo relacionado con el ambiente que
       rodea al alumno y alumna, el hogar, el centro educativo y la comunidad. Nos
       permite conocer la situación del estudiante, principales necesidades y
       problemas, sus relaciones dentro un grupo social, los valores que practican
       en forma habitual y sus experiencias culturales, como punto partida para
       relacionar el proceso educativo con la realidad del medio donde el estudiante
       se desarrolla o interactúa.
      Evaluación Inicial.- Tiene el propósito de lograr información acerca de
       conocimientos y expresiones previas de los alumnos y alumnas, en relación a
       capacidades, actitudes, conceptos y procedimientos, considerados en el
       currículo para el grado correspondiente.
      Evaluación Formativa.- Permita evaluar el desarrollo y la práctica de valores y
       actitudes en el proceso de aprendizaje, rara vez registramos los logros y
       dificultades que tienen los estudiantes e el desarrollo y la práctica de esos
       valores.
      Evaluación Diferencial.- Los alumnos y alumnas no aprenden al mismo ritmo
       ni constituyen conocimientos al mismo nivel. Los logros del aprendizaje se
       realiza a lo largo de un proceso en que el alumno y aluna avanzan según el
       ritmo de sus capacidades y habilidades, en consecuencia la evaluación es
       diferencial en el aprendizaje y en el proceso para lograrlo.
      Evaluación Sumativa.- Tiene función clasificadora o calificadora de los
       estudiantes al final de cada actividad, proyecto o unidad de aprendizaje.

Procedimientos de Evaluación.- Son las maneras o formas de evaluar, para obtener
el nivel de logro de los aprendizajes.

Instrumentos de evaluación.- Son recursos técnicos estructurados en base a
indicadores, plasmados en ítems, cuyo propósito es obtener información de los
niveles de logro del proceso enseñanza aprendizaje.

Criterios de Evaluación.- Hace referencia al dominio de capacidades, facilitan la
formulación de indicadores y nos dan una visión como aplicar instrumentos de
evaluación; y son pertinentes en todos los niveles.

Indicadores.- Medios observables de evaluación, es signo, síntoma de alguna
condición. Referencias tangibles de los niveles de aprendizaje logradas por los
estudiantes que permiten el registro, análisis y elaboración de instrumentos para
evaluar capacidades, contenido y productos propuestos.

El docente se plantea las siguientes interrogantes:




“HACER Y HACER BIEN LAS COSAS”                                              Página 101
PROYECTO EDUCATIVO INSTITUCIONAL 2011-2016-IPAL


¿Para qué evaluar?

Necesidad de responder al problema planteado en una actividad de aprendizaje. Y
se evalúa para:

      Identificar si los estudiantes poseen las capacidades, conocimientos y
       experiencias previas e información relevante, que permite comprender y
       desarrollar en forma significativa los nuevos aprendizajes.
      Intervenir y regular a tiempo los aprendizajes mientras estos se realizan.
       Comprender, retroalimentar y mejorar los procesos pedagógicos.
      Verificar el nivel del logro alcanzado por los estudiantes al final de un periodo
       o al final del año académico.

¿Qué evaluar?

Necesidad de precisar los indicadores; se evalúan:

      Logros de aprendizaje
      Capacidad
      Conocimiento
      Valores y actitudes

¿Cómo evaluar?

Necesidad de establecer procedimientos; comprende:

      Análisis de los logros de aprendizaje
      Selección de las capacidades que se evaluarán
      Búsqueda y recojo de información relevante
      Organización y análisis de la información
      Valoración
      Toma de decisiones
      Comunicación de la información

¿Con qué evaluar?

Necesidad de elaborar los instrumentos.

      Diseñar instrumentos pertinentes con banco de ítems

¿Cuándo evaluar?

Necesidad de precisar los periodos.

      Precisar los momentos, circunstancias y frecuencia para la evaluación.

Dimensiones de la evaluación




“HACER Y HACER BIEN LAS COSAS”                                                Página 102
PROYECTO EDUCATIVO INSTITUCIONAL 2011-2016-IPAL


      Dimensión Psicopedagógica y curricular, se involucran directamente todos
       aquellos aspectos relacionados con un modelo o marco de referencia teórico
       y un planteamiento curricular determinado.
      Dimensión referida a las prácticas de la evaluación, lo relativo al conjunto de
       procedimientos, técnicas, instrumentos y criterios para realizar las actividades
       de evaluación.
      Dimensión normativa, implica los asuntos relacionados con fines
       administrativos e institucionales. La acreditación, la promoción, los
       documentos de evaluación, las evaluaciones del profesorado y directivo.

Una de las dimensiones relevantes de la evaluación es considerar a todos los
instrumentos y procedimientos que suelen utilizarse en las distintas prácticas
educativas.

Técnicas informales

Se utilizan dentro de los episodios de enseñanza con una duración breve, podemos
identificar dos clases:

      Observación de las actividades realizadas por los alumnos
      Exploración a través de preguntas formuladas por el profesor durante la
       sesión de clase.

Técnicas semiformales

Se caracterizan por requerir de un mayor tiempo de preparación, demandar mayor
tiempo para su valoración y exigir a los alumnos respuestas más duraderas.
Tenemos:

      Ejercicios y prácticas que los alumnos realizan en clase.
      Tareas que los profesores encomiendan a sus alumnos para realizar fuera de
       clase.

Técnicas Formales

Exigen planeación y elaboración más sofisticados y suelen aplicarse en situaciones
que demandan un mayor grado de control. Los alumnos perciben como situaciones
verdaderas de aprendizaje. Tenemos:

      Pruebas o exámenes tipo test
      Mapas conceptuales, diagramas de flujo, planos
      Pruebas de ejecución, de habilidades, de manipulación.
      Listas de cotejo o verificación y escalas.

Práctica docente

La acción técnica, técnica científica y sistemática del docente, frente a la demanda
de la formación del discente tanto en el aula, como fuera de ella, se enmarca en:




“HACER Y HACER BIEN LAS COSAS”                                               Página 103
PROYECTO EDUCATIVO INSTITUCIONAL 2011-2016-IPAL


Proceso Enseñanza y aprendizaje

Principios:

        Organización cognitiva del alumno
        Desarrollo capacidades
        Construcción de contenidos culturales, potencialmente significativos
        Aprende lo que comprende
        Uso de metodología y aplica didáctica critica
        El pensamiento autónomo se constituye a partir del diálogo y toma de
         conciencia
        El contexto influye en la autoconstrucción de los conocimientos
        Evaluación de proceso
        Desarrollar trabajo cooperativo que provoquen conflictos cognitivos

Rol del Maestro

Cambio de actitud:

        Es guía, facilitador, mediador y regulador
        Propicia aprendizajes significativos, en relación a la demanda laboral.
        Favorece un clima de aceptación, confianza y autoestima
        Conoce y aplica sustentos teóricos de su práctica educativa
        Posee equilibrio emocional
        Se actualiza, auto-instruye y está a tono con los avances científicos
        Es líder social.

El Alumno en el IESTP

Logra:

        Formación integral tecnológica
        Aprendizaje significativo
        Rol activo
        Cooperación y solidaridad
        Sociedad
        Convivencia humana en justicia, bienestar general, calidad de vida y
         seguridad




“HACER Y HACER BIEN LAS COSAS”                                                 Página 104
PROYECTO EDUCATIVO INSTITUCIONAL 2011-2016-IPAL


5.6.4 CURRICULO




“HACER Y HACER BIEN LAS COSAS”                   Página 105
PROYECTO EDUCATIVO INSTITUCIONAL 2011-2016-IPAL




CULTURA SOCIAL, CULTURA INSTITUCIONAL Y CURRÍCULUM:

Elementos básicos:

Aproximación Conceptual.- Es un instrumento de educación formal, explícita y
concreta, propósitos en términos de logros de aprendizaje, capacidades, actitudes y
valores

Diseño Curricular.-Es la forma cómo se formulan los diferentes elementos del
currículo de acuerdo al modelo pedagógico asumido por el centro educativo,
articulado con el diseño curricular básico. El PCC debe formularse, ejecutarse y
evaluarse en equipo. El diseño curricular debe responder a:

      Intencionalidad



“HACER Y HACER BIEN LAS COSAS”                                           Página 106
PROYECTO EDUCATIVO INSTITUCIONAL 2011-2016-IPAL


       ¿Para qué enseñar?
       ¿Para qué aprender?
      Conocimientos, Capacidades, Valores, Contenidos
       ¿Qué enseñar?
       ¿Qué aprender?
      Secuencialidad y organización
       ¿Cuándo enseñar?
       ¿Cuándo aprender?
      Estrategias metodológicas
       ¿Cómo enseñar?
       ¿Cómo aprender?
      Recursos
      ¿Con qué enseñar?
       ¿Con qué aprender?
      Evaluación
       ¿Qué resultado, efectos e impactos se dieron?
      Clima del aula
       ¿Cómo van a ser las relaciones maestro-alumno, alumno–maestro?




“HACER Y HACER BIEN LAS COSAS”                                          Página 107
PROYECTO EDUCATIVO INSTITUCIONAL 2011-2016-IPAL




ENFOQUE DEL CURRICULO

Está basado en el enfoque por competencias laborales en una estructura modular.

1. Enfoque por competencias laborales


“HACER Y HACER BIEN LAS COSAS”                                          Página 108
PROYECTO EDUCATIVO INSTITUCIONAL 2011-2016-IPAL



Surge en un marco de transformación de la producción y del trabajo, y de nuevas
exigencias de competitividad respecto a la forma de desempeño del individuo en el
puesto de trabajo. Ser más competitivo no sólo significa atender mecánicamente las
necesidades del mercado de trabajo, sino las necesidades mismas del individuo, es
decir, su formación integral; poseer los conocimientos fundamentales, las
habilidades sociales y las actitudes que permitan al individuo resolver problemas y
enfrentar situaciones de contingencia, así como transferir su saber, su saber-hacer y
su saber-ser a distintos contextos.

Existen por lo menos tres razones por las cuales la formación basada en
competencias laborales es la más óptima. Éstas son:

En primer lugar, enfatiza y focaliza la valorización de las personas y la capacidad
humana para la construcción del desarrollo económico y social.

Una segunda razón, es porque este enfoque responde mejor que otros a la
necesidad de encontrar un punto de convergencia entre educación y empleo; entre
los esfuerzos educativos de formación profesional por una parte, y el funcionamiento
del mercado laboral, por otra.

En tercer lugar, porque se adapta a la necesidad de cambio, pues la competencia es
un concepto dinámico, que imprime énfasis y valor a la capacidad humana para
innovar, enfrentar el cambio y gestionarlo.

Competencias

Fernández Gonzales la define como “una configuración psicológica que integra
diversos componentes cognitivos, Meta cognitivos, motivacionales y cualidades de la
personalidad en estrecha unidad funcional, que posee el individuo para
desempeñarse real y eficientemente en una esfera específica de la actividad,
atendiendo al modelo de desempeño deseable socialmente construido en un
contexto histórico concreto”.

Se puede decir también que es la capacidad o habilidad general para realizar un
desempeño eficiente y eficaz.

Desempeño eficiente: implica el dominio de una actividad específica.

Desempeño eficaz: En la medida que este dominio pueda ser aplicado a diferentes
contextos.

      Componente cognitivo.- Según Pérez Martín son “las capacidades que
       permiten al hombre conocer el mundo que le rodea en toda su integridad y
       penetrando en su verdadera esencia. Gracias a esto, el hombre puede
       orientarse e influir de modo directo en la transformación de la realidad y, con
       esto transformarse a sí mismo.”
      Componente Meta cognitivo.- Según Llivina “son capacidades que permiten
       hacer referencia a los procesos que garantizan la toma de conciencia




“HACER Y HACER BIEN LAS COSAS”                                              Página 109
PROYECTO EDUCATIVO INSTITUCIONAL 2011-2016-IPAL


       (reflexión Meta cognitiva) y el control (regulación Meta cognitiva) del proceso
       de construcción del conocimiento acerca de la realidad.”
      Componente motivacional.- Integra aquellos procesos afectivos que
       estimulan, sostienen y orientan el desempeño eficiente del sujeto en
       motivaciones predominantemente intrínsecas, su autovaloración como
       profesional y expectativas positivas acerca de su desempeño. Las cualidades
       o rasgos de la personalidad según Pérez Martin son “las características
       relativamente estables de la personalidad que expresan las actitudes del
       hombre hacia los objetos y fenómenos de la realidad”.

Competencia laboral

Se entiende como las capacidades productivas de un individuo que se definen y
miden en términos de desempeño en un determinado contexto laboral, y que
movilizan conocimientos, habilidades, destrezas y actitudes necesarias para la
realización de un trabajo efectivo y de adecuada calidad.
Clases de competencias laborales:

      Competencias básicas: Son capacidades elementales que se desarrollan en
       la educación o formación básica y están asociadas a conocimientos de
       carácter formativo. Facilitan el ingreso y la adaptación del profesional al
       trabajo para asumir responsabilidades que requieran el desarrollo de
       habilidades específicas.
      Competencias genéricas: Son capacidades que permiten realizar
       desempeños comunes a diversas ocupaciones y ramas de la actividad
       productiva, entre ellas tenemos capacidades para planificar y organizar,
       capacidades y actitudes para trabajar en equipo, resolver problemas y tomar
       decisiones; capacidades que permitan comprender y aplicar principios
       científicos en el proceso de estudio de mercado, diseño, comercialización y
       evaluación de la producción de bienes o servicios.
      Competencias específicas: Son capacidades que permiten realizar funciones
       productivas y de gestión propias de la profesión en el ámbito laboral de
       manera eficiente y eficaz, involucrando conocimientos, habilidades y
       actitudes. Integra las capacidades para desarrollar roles y situaciones de
       trabajo, en los niveles de desempeño requeridos en el campo laboral.

2. Estructura Modular

Es la mínima unidad de formación que desarrolla capacidades específicas o
terminales para desempeñarse en una actividad social, académica o laboral. Como
unidad formativa está conformada por un bloque completo, autónomo y coherente de
capacidades, contenidos y criterios de evaluación.

Clases de módulos:

En la formación profesional se desarrollarán tres clases de módulos: de formación
general, transversales y profesionales.




“HACER Y HACER BIEN LAS COSAS”                                              Página 110
PROYECTO EDUCATIVO INSTITUCIONAL 2011-2016-IPAL


      Módulos de formación general.- Son unidades formativas orientadas a
       afianzar las competencias básicas, proporcionan las bases científicas y
       humanísticas, desarrollan capacidades para actuar con eficiencia y sentido
       ético en todas las esferas de la vida, para comprender el contexto social y
       económico que permita responder a las demandas de una sociedad
       cambiante y aportar significativamente a la construcción de una sociedad más
       justa, democrática y desarrollada.
      Módulos transversales.- Son unidades formativas que proporcionan el soporte
       científico y tecnológico para la formación profesional específica, desarrollan
       las competencias genéricas, capacidades y actitudes emprendedoras,
       competitivas y empresariales; garantizando, con ello, una formación
       polivalente que facilitará la movilidad laboral y la reconversión de los
       profesionales ante los efectos del avance de la ciencia, la tecnología y los
       cambios que se generan en la producción y el trabajo, producto de la
       globalización económica, social y cultural.
      Módulos Profesionales.- Son unidades formativas asociadas a la unidad de
       competencia del perfil profesional, desarrollan capacidades propias de uno o
       más puestos de trabajo del mercado laboral. Un módulo corresponde a una
       unidad formativa de carácter terminal y es el componente mínimo del itinerario
       formativo que puede acreditarse y capitalizarse para la obtención del título
       profesional. Su peso académico abarca el mayor porcentaje de la formación.

MARCO CURRICULAR

1. Características básicas del currículo

Las siguientes son características que tipifican al currículo, lo hacen coherente con
los fines y objetivos educativos y pertinentes con el contexto demandado por el
sector productivo. Son: Sistemático, Coherente, Flexible, Integral, Funcional,
Práctico, Terminal, Vinculado a la producción Local y Regional.

2. Perfil Profesional

El Perfil Profesional diseña las actitudes de las personas, describe las funciones que
realiza una persona al desempeñarse de manera eficiente en un contexto laboral
específico de acuerdo a criterios de calidad definidos por el sector productivo a
través de la competencia general. Se elabora con el aporte de este sector y sirve
para definir la formación que acredita al título profesional correspondiente.

El Perfil Profesional es el referente para la elaboración de la oferta de formación
mediante los módulos correspondientes a cada título o carrera profesional, se
organiza en torno a los siguientes elementos: Competencia General, Capacidades
Profesionales, Unidades de Competencia, Realizaciones, Criterios de Realización y
Dominio Profesional.

3. Plan de Estudios




“HACER Y HACER BIEN LAS COSAS”                                              Página 111
PROYECTO EDUCATIVO INSTITUCIONAL 2011-2016-IPAL


El Plan de Estudios responde a las exigencias establecidas en el perfil profesional.
El que se propone para la Educación Superior Tecnológica es modular y tiene los
siguientes componentes: Formación General, Investigación y Formación
Tecnológica, integrado con la Práctica Profesional y la Consejería.

CAPACIDADES Y COMPONENTES

Entendemos por capacidad una habilidad general que utiliza el individuo o puede
utilizar para aprender, cuyo componente fundamental es cognitivo. Las capacidades
en cada uno de los componentes en la Educación Superior tecnológica son las
siguientes:

1. Componente de formación general

Este componente está constituido por el conjunto de módulos obligatorios para todas
las carreras, tienen valor por sí mismos y aseguran su desarrollo personal, las
capacidades a lograr en los módulos del componente de Formación General,
propuestos en correspondencia con el Perfil Profesional son las siguientes:
Comunicación, matemática, informática, realidad social, nacional y mundial, ecología
y desarrollo sostenido, Actividades.

2. Componente Investigación

Analiza el marco teórico y la metodología de la investigación:

3. Componente Formación Tecnológica.

Este componente se refiere a la formación propiamente dicha de la carrera
profesional y requiere de un conjunto de aprendizajes comunes a todas ellas, y otros
de formación exclusivamente de la carrera. En el primero se utilizan los módulos
transversales y en el segundo, los módulos profesionales.

Capacidades a lograr, con los módulos transversales a través de: tecnología de
base, idioma extranjero, gestión empresarial, formación y orientación laboral,
Relaciones con el entorno del trabajo.

Capacidades a lograr con los módulos profesionales: aplica los principios
tecnológicos de su profesión, en aspectos teórico-prácticos con conocimientos,
habilidades, destrezas y actitudes positivas para intervenir en la producción de
bienes o servicios.

DIVERSIFICACIÓN DEL CURRÍCULO

La diversificación del Diseño Curricular de la Educación Superior Tecnológica se
inicia identificando el perfil profesional de cada una de las carreras profesionales que
permitan el logro de las competencias con valor y significado para el trabajo.
Los equipos de docentes de cada una de las carreras profesionales del Instituto
realizarán la contextualización de los perfiles profesionales tomando como referente
el Catálogo Nacional de Títulos y Certificaciones, los Planes de Desarrollo de las
Regiones, las necesidades reales del entorno empresarial y productivo de la
localidad, si fuera necesario, los diagnósticos de la realidad educativa sociocultural,



“HACER Y HACER BIEN LAS COSAS”                                                Página 112
PROYECTO EDUCATIVO INSTITUCIONAL 2011-2016-IPAL


especialmente la productiva de la región de influencia del Instituto Superior
Tecnológico.

El Catálogo Nacional de Títulos y Certificaciones aprobado por la Resolución
Viceministerial N° 0085-2003-ED, contiene los Perfiles Profesionales específicos
(competencia general, capacidades profesionales) Unidades de Competencia,
Realizaciones, Criterios de Realización y Dominio Profesional de cada carrera, los
que han sido formulados con la participación del sector productivo (empresarios y
trabajadores expertos).

5.6.5 MATERIALES EDUCATIVOS Y RECURSOS DIDÁCTICOS

Son todos aquellos elementos que son utilizados durante el proceso de enseñanza–
aprendizaje y sirven de apoyo para generar los aprendizajes propuestos.

5.6.5.1 TIPOS

1. Material Impreso
Como Libros o guías de prácticas; en general, todo tipo de información escrita o
gráfica complementaria.

2. Material Grabado
Todo material visual, auditivo o audiovisual; puede complementarse         con
material escrito, exposiciones, demostraciones, etc.; en general, todo tipo de
representaciones gráficas, pictóricas y animadas.

3. Material Electrónico
Aquel que sirve de los medios informáticos, como programas de procesamiento de
textos o de diseño gráfico, entre otros, y, en general, diferentes programas
multimedia.

4. Material no Impreso
Como maquetas, modelos, mapas, murales, juegos que se realicen con los
contenidos que se estén trabajando, experimentos, etc; en general, todo material
que brinde la posibilidad de observar, manipular, consultar, investigar, analizar,
visualizar los principios y aprender a través del juego y el trabajo.

5.6.5.2 CLASIFICACIÓN

1. Material Ilustrativo
Tenemos medios visuales, auditivos, audiovisuales, estos permiten apreciar de
manera objetiva y gráfica a información. Ejm. Fotos, láminas, diapositivas, micas,
televisión.

2. Material Instrumental
Sirven para ejecutar las experiencias de aprendizaje. Ejemplo: Tizas, pizarras,
pinceles, tijera y cartulina.

3. Material Experimental
Permite que el estudiante tenga experiencia directa. Ejemplo: Material de laboratorio,
máquina de escribir, computadora.



“HACER Y HACER BIEN LAS COSAS”                                              Página 113
PROYECTO EDUCATIVO INSTITUCIONAL 2011-2016-IPAL



4. Material Informativo
Son las diversas publicaciones que permiten difundir. Ejemplo: Libros, enciclopedias,
diarios, manuales.

5.6.6. PROYECTO CURRICULAR INSTITUCIÓN EDUCATIVA

Es elaborado por la comunidad educativa. Consiste en la contextualización del plan
de estudios de cada una de las carreras profesionales que oferta el Instituto,
tomando en cuenta el Diseño Curricular Básico, la realidad geográfica, económica,
social y cultural de la región y del entorno local; a las características y necesidades
del sector productivo del entorno, a las posibilidades del centro de formación y a las
oportunidades que presenta el mercado global.

El proyecto curricular es un documento pedagógico que es construido con la
participación integral de todos los docentes que constituyen nuestra institución, la
estructuración puede tener el siguiente orden.

5.6.6.1 FUNDAMENTOS Y CONCEPCIONES DE LA PROPUESTA PEDAGÓGICA

Recoger dichos fundamentos y propuestas, para articular desde el punto de vista
filosófico en proyecto curricular.

5.6.6.2 PROPUESTA DE PERFILES PROFESIONALES

Los fundamentos y concepciones nos conducirán para establecer la propuesta de
perfiles de acuerdo al catálogo nacional de títulos y certificaciones, de acuerdo a
criterios de calidad definidos por el sector productivo.

5.6.6.3 LOGROS DE APRENDIZAJE

De acuerdo a las competencias laborales.

5.6.6.4 PROCESO DE DIVERSIFICACIÓN CURRICULAR

      Aspecto de la problemática
      Determinación de la contextualización de los perfiles profesionales
      Diversificación por carreras
      Matriz Curricular

5.6.6.5 PLAN DE ESTUDIOS

5.6.6.6 PROGRAMACIÓN CURRICULAR MODULAR

5.6.6.7 ORGANIZACIÓN

      Del aula
      Del taller
      De los alumnos
      De la distribución del tiempo



“HACER Y HACER BIEN LAS COSAS”                                               Página 114
PROYECTO EDUCATIVO INSTITUCIONAL 2011-2016-IPAL


      Materiales educativos

5.6.6.8 ORIENTACIONES METODOLÓGICAS

      Por carreras profesionales
      Por competencias
      Modulares

5.6.6.9 CONSEJERÍA Y SERVICIO SOCIAL

      Proceso
      Planificación y diagnóstico
      Temas a trabajar
        Área académica
        - Desempeño y rendimiento
        - Hábitos y métodos de estudio y trabajo
        Área personal
        - Desarrollo evolutivo
        - Grupos de pertenencia y relaciones interpersonales
        - Relación de pareja y enamoramiento
        - Comportamientos sociales
        - Autoestima, imagen y cuidado corporal
        - Emociones y sentimientos
        - Toma de decisiones
        - Valores y proyecto de vida
        Área vocacional
        - Autoconocimiento
        - Elección vocacional
        - Proyectos futuros e intereses
        - Aptitudes y personalidad
        - Realidad del País, oferta y demanda laboral
        Área de salud, nutrición y subsistencia
        - Alimentación balanceada
        - Alimentos de la localidad y región –como utilizarlos
        - Alimentación y salud
        - Noción de salud y enfermedad
        - Enfermedades y prevención
        Área de participación comunitaria
        - Reconocimiento de necesidades del IST. y la comunidad
        - Promoción de actividades comunitarias
        Área recreativa
        - Visitas a centros culturales, centros productivos y reservas naturales de la
          zona




“HACER Y HACER BIEN LAS COSAS”                                              Página 115
PROYECTO EDUCATIVO INSTITUCIONAL 2011-2016-IPAL


5.6.6.10 EVALUACIÓN

    5.6.6.10.1 MARCO CONCEPTUAL

      -   Características
      -   Funciones
      -   Fases
      -   Modelos de evaluación
      -   Indicadores
      -   Técnicas e instrumentos

    5.6.6.10.2 ESTRATEGIAS DE EVALUACIÓN

      -   Matriz de evaluación
      -   Técnica e instrumentos de evaluación por áreas
      -   Banco de items por áreas y tabla de especificaciones
      -   Evaluación del estudiante
      -   Evaluación de valores
      -   Evaluación de materiales y recursos
      -   Evaluación de viabilidad de proyectos
      -   Valoración de las capacidades y actitudes
      -   Registro de evaluación
      -   Libreta de información

5.6.6.11 EVALUACIÓN CURRICULAR

La evaluación curricular es una dimensión que forma parte de todos los momentos
del diseño y desarrollo curricular analizados anteriormente ya que en todo proceso
de dirección el control es una tarea esencial.

La evaluación del diseño y desarrollo curricular constituye un proceso mediante el
cual se corrobora o se comprueba la validez del diseño en su conjunto, mediante el
cual se determina en qué‚ medida su proyección, implementación práctica y
resultados satisfacen las demandas que la sociedad plantea a las instituciones
educativas.

Se evaluará mediante criterios, metodologías e indicadores durante la vida útil del
proyecto curricular de centro, la pertinencia del currículo.

5.6.6.12 PROYECTOS PEDAGÓGICOS

Desarrollará proyectos pedagógicos propuestos, en las estrategias y objetivos del
PEI y articulará con la gestión institucional para su presupuesto pertinente.




“HACER Y HACER BIEN LAS COSAS”                                           Página 116
PROYECTO EDUCATIVO INSTITUCIONAL 2011-2016-IPAL




                                 CAPÍTULO VI




     PROPUESTA
     DE GESTIÓN
“HACER Y HACER BIEN LAS COSAS”                   Página 117
PROYECTO EDUCATIVO INSTITUCIONAL 2011-2016-IPAL


                                   CAPÍTULO VI

6. PROPUESTA DE GESTIÓN Y PROYECTOS DE INVERSIÓN INSTITUCIONAL

6.1.    CONCEPCION DE GESTIÓN

El IESTP “Peruano Alemán” se plantea desarrollar la siguiente propuesta
considerando que:

Gestionar implica tener la capacidad para dirigir, conducir y delegar los procesos de
planificación, organización, dirección y seguimiento vinculados al ámbito pedagógico
institucional y administrativo de la Institución Acciones que se realizan a través de
procesos internos de naturaleza democrática, equitativa y eficiente.

6.2.   PRINCIPIOS DE GESTIÓN

Cuando se redactaron las normas ISO 9001 e ISO 9004, se elaboraron 8 principios
básicos, sobre los que descansa todo el sistema de gestión de la calidad.

Si una empresa implanta un sistema de gestión de la calidad, que cumpla los
requerimientos de la norma ISO 9001, pero que no siga estos principios, no obtendrá
ni la mitad de los beneficios esperados.

Los principios de gestión de la calidad, de acuerdo a lo indicado en la norma ISO
9001 son:

1.- Enfoque al cliente: las organizaciones dependen de sus clientes, por lo tanto
deben comprender sus necesidades actuales y futuras, satisfacer sus requisitos y
esforzarse en exceder sus expectativas.

2.- Liderazgo: los líderes establecen la unidad de propósito y la orientación de la
organización. Deben crear y mantener un ambiente interno, en el cual el personal
pueda llegar a involucrarse en el logro de los objetivos de la organización.

3.- Participación del personal: El personal, a todos los niveles, es la esencia de la
organización, y su total compromiso posibilita que sus habilidades sean usadas para
el beneficio de la organización.

4.- Enfoque basado en procesos: Un resultado deseado se alcanza más
eficientemente cuando las actividades y los recursos relacionados se gestionan
como un proceso.

5.- Enfoque de sistema para la gestión: identificar, entender y gestionar los
procesos interrelacionados como un sistema, contribuye a la eficacia y eficiencia de
la organización en el logro de sus objetivos.

6.- Mejora continua: La mejora continua del desempeño global de la organización,
debe de ser un objetivo permanente de esta.




“HACER Y HACER BIEN LAS COSAS”                                             Página 118
PROYECTO EDUCATIVO INSTITUCIONAL 2011-2016-IPAL


7.- Enfoque basado en hechos para la toma de decisiones: las decisiones
eficaces se basan en el análisis de los datos y en la información previa.

8.- Relaciones mutuamente beneficiosas con el proveedor: una organización y
sus proveedores son interdependientes, y una relación mutuamente beneficiosa
aumenta la capacidad de ambos para crear valor.

6.3.   PRINCIPIOS DE GESTIÓN EDUCATIVA:

Los principios que orientan la gestión educativa pueden ser múltiples y variados,
pero dentro de un criterio de modernidad deben centrase en el educando, por ser la
razón esencial del proceso educativo. Los más relevantes son los siguientes:

      Vivir una nueva cultura, la cultura del cumplimiento.
      Participación coherente con los objetivos institucionales.
      Coherencia entre los principios pedagógicos y principios de gestión.
      Ubicación del personal de acuerdo a su competencia y/o especialización.
      Coordinación fluida.
      Comunicación clara y permanente entre los miembros de la comunidad
       educativa
      Control y evaluación constante para un mejoramiento continuo.
      Moralización y motivación

Los principios no solo deben ser enunciados. Deben adoptarse colectivamente. La
estructura organizativa de la institución a través de sus organigramas, reglamento
interno y manual debe mantener ese espíritu para formar al estudiante dentro de una
cultura de participación.

Los elementos y la estructura del proceso de gestión del PEI no son diferentes a
otros donde actúa la administración, ya que aquí también identificamos elementos
como la planeación, organización, ejecución y control, funciones articuladas y
coordinadas por una dirección, autoridad o mecanismo de control determinado De
ello se concluye que la ejecución del PEI fundamentalmente es una tarea de
administración que implica cinco funciones básicas:

       A.   Planificar
       B.   Organizar
       C.   Coordinar
       D.   Dirigir
       E.   Controlar y evaluar

El PEI debe darle sentido a cada una de estas funciones y buscar que se cumplan
de la mejor manera. Dichos procesos deben estar referidos a los siguientes
aspectos:

   a) Operatividad de los Sistemas Técnico Administrativos:



“HACER Y HACER BIEN LAS COSAS”                                           Página 119
PROYECTO EDUCATIVO INSTITUCIONAL 2011-2016-IPAL


        - Personal: selección, control, evaluación, capacitación, ascensos
        - Planificación: Plan Operativo anual, Programación curricular
        - Abastecimiento: Suministro de materiales
        - Estadísticas: Variadas
        - Racionalización: Funciones, competencias, responsabilidades
        - Presupuestos: Ingresos, egresos, proceso presupuestario
        - Información y comunicaciones: Boletín, revistas, diálogos, reuniones
        - Contabilidad: Registro de transacciones económicas.
           - Tesorería: Pagos y sistemas de ejecución Jurídico
          - legal: Normas legales
          - Otros sistemas: Supervisión

       b) Administración pedagógica:

         -   Currículo: Programación, desarrollo y evaluación.
         -   Metodología: Diversificada.
         -   Medios auxiliares: Selección, elaboración, conservación y evaluación
         -   Sistema de aprendizaje: Renovado
         -   Evaluación: Autoevaluación, coevaluación, heteroevaluación.
         -   Supervisión: Control de calidad.

6.4.    PROCESOS DE GESTIÓN

Es el conjunto de acciones de planeamiento, organización, ejecución, coordinación y
evaluación para el eficiente desarrollo de acciones educativas en beneficio del
aprendizaje de los educandos.

El PROYECTO EDUCATIVO INSTITUCIONAL de nuestra Institución plantea un
cambio de estructura organizativa que concuerde con las aspiraciones de toda la
comunidad educativa por rubros.

    Planificación.- Técnica que trata de coordinar acciones y mecanismos con el
        objeto de alcanzar objetivos predeterminados, este proceso intencional de los
        actores y agentes actúan sobre una realidad para transformarla.

    Organización.- Conjunto de actividades coordinadas que tienen por objeto
        aumentar la productividad y crear condiciones favorables al mismo para lograr
        un óptimo funcionamiento institucional.

    Ejecución.- Realizar las acciones planificadas de la Institución.

    Coordinación.- Disponer esfuerzos para una acción común de la institución.

    Evaluación.- Valorización del rendimiento del trabajo educativo de los
        diferentes estamentos mediante la supervisión verificación, orientación y
        retroalimentación.




“HACER Y HACER BIEN LAS COSAS”                                               Página 120
PROYECTO EDUCATIVO INSTITUCIONAL 2011-2016-IPAL


6.5.   CÍRCULOS DE CALIDAD:

  La idea básica de los Círculos de Calidad consiste en crear conciencia de calidad
  y productividad en todos y cada uno de los miembros de una organización, a
  través del trabajo en equipo y el intercambio de experiencias y conocimientos, así
  como el apoyo recíproco. Todo ello, para el estudio y resolución de problemas
  que afecten el adecuado desempeño y la calidad de un área de trabajo,
  proponiendo ideas y Alternativas con un enfoque de mejora contínua.
  Las definiciones siguientes son expuestas en el libro de Phillip C. Thompson,
          Un Círculo de Calidad es un pequeño grupo de personas que se reúnen
           voluntariamente y en forma periódica, para detectar, analizar y buscar
           soluciones a los problemas que se suscitan en su área de trabajo.
          Un Círculo de Calidad está formado por pequeños grupos de empleados
           que se reúnen e intervienen a intervalos fijos con su dirigente, para
           identificar y solucionar problemas relacionados con sus labores cotidianas.
          Un Círculo de Calidad está integrado por un reducido número de
           empleados de la misma área de trabajo y su supervisor, que se reúnen
           voluntaria y regularmente para estudiar técnicas de mejoramiento de
           control de calidad y de productividad, con el fin de aplicarlas en la
           identificación y solución de dificultades relacionadas con problemas
           vinculados a sus trabajos.
          El Círculo de Calidad es un grupo pequeño que desarrolla actividades de
           Control de calidad voluntariamente dentro de un mismo taller. Este
           pequeño grupo lleva a cabo continuamente, como parte de las actividades
           de control de calidad en toda la empresa, autodesarrollo y desarrollo,
           mutuo control y mejoramiento dentro del taller, utilizando técnicas de
           control de calidad con participación de todos los miembros.
  En nuestro caso en nuestra institución se está desarrollando las actividades de
  gestión de calidad de manera óptima, sistemática y organizada en tal medida que
  cada miembro del equipo de gestión de calidad cumpla su función a cabalidad.


6.6.   CLIMA INSTITUCIONAL

Es el ambiente generado por una institución, a partir de las vivencias cotidianas de
sus miembros en el IESTP. El clima institucional tiene que ver con las actitudes,
creencias y valores que comparten los miembros de la comunidad educativa El




“HACER Y HACER BIEN LAS COSAS”                                                 Página 121
PROYECTO EDUCATIVO INSTITUCIONAL 2011-2016-IPAL


mejoramiento del clima institucional se puede dar a través de todos los actores y
agentes de la institución. Con actitudes positivas que sean modelos de conducta.

       Crear conciencia a partir valores más significativos ya sean individuales y
        organizacionales.




           Valores Individuales                     Valores Organizacionales

    -   Profesionalismo                         -   Calidad.

    -   Ética Profesional                       -   Trabajo en Equipo.

    -   Honestidad Personal                     -   Liderazgo Corporativo.

    -   Creatividad                             -   Disciplina Laboral.

    -   Innovación                              -   Mejoramiento Continuo.

    -   Responsabilidad                         -   Pluralidad.

    -   Tolerancia                              -   Calidez de innovación.

    -   Fuerza de voluntad.                     -   Competitividad.

    -   Amor.



   Establecer formas de estímulo y desempeño a los formadores, para elevar el
    autoestima, el desarrollo profesional y personal.

   Dinamizar el trabajo en equipo, alentando la participación de los miembros de la
    Comunidad Educativa.

Mantener continuamente las buenas Relaciones Humanas de confianza y respeto
mutuo para una mejor integración de la Comunidad Educativa.

En nuestra Institución se viene organizando proyectos y programas que tienen por
objetivo viabilizar la mejora del ambiente laboral dentro de la organización, con
participación de profesionales calificados para el desarrollo de talleres y sesiones
con la participación de toda la comunidad educativa.

6.7.    ESTRUCTURA ORGÁNICA.




“HACER Y HACER BIEN LAS COSAS”                                                Página 122
PROYECTO EDUCATIVO INSTITUCIONAL 2011-2016-IPAL


6.7.1. Organigrama.- Gráfica la estructura Orgánica de la Institución, donde se
       especifica los niveles de jerarquía, coordinación, asesoría y apoyo.
                               ORGANIGRAMA ESTRUCTURAL
                 INSTITUTO DE EDUCACIÓN SUPERIOR TECNOLÓGICO PRIVADO
                                 “PERUANO ALEMÁN” S.R.L.
                                                PROMOTORA

                                             DIRECCIÓN                COCOI
                                              GENERAL
                                                                                    OFICINA DE PROYECTOS
                                                 DIRECCCIÓN
                SECRETARÍA                       EJECUTIVA                           ASESORÍA LEGAL
                 GENERAL
          DIRECCIÓN                                                                  ASESORÍA CONTABLE
       ADMINISTRATIVA
 SECRETARÍA                                                                          ASESORÍA ACADÉMICA


                                 ASIST. DE DIRECC.                 SISTEMAS DE INFORMACIÓN
                                 ADMINISTRATIVA


                                          SERVICIOS
                                                                           IMAGEN INSTITUCIONAL Y
 JEFE DE            CAJA                  GENERALES                             PROTOCOLO
SUPERVISI
  ÓN DE
                                                                                    CETPRO
  PAGOS

                                                                               SECRETARIA DIRECCIÓN
                                                  DIRECCIÓN                         ACADÉMICA
                                                  ACADÉMICA

ÁREA ACTAS, NÓMINAS Y                                                         MAQUINARIA PESADA
    CERTIFICADOS
                                                                                     TRANSPORTE

       SECRETARÍA                                                                  PUBLICIDAD Y
                                                                                    MARKETING
                                                                              CIL (centro de información
            BIBLIOTECA
                                                                                       Laboral)




COORDINADOR               COORDINADOR           COORDINADORA         COORDINADOR              COORDINADOR
                          ACADÉMICO DE                              ACADÉMICO DE
ACADÉMICO DE               MECÁNICA,             ACADÉMICA DE       COMPUTACIÓN E                 DE
   SALUD                 ELECTRICIDAD Y         CONTABILIDAD Y       INFORMÁTICA               EXTENSIÓN
                          ELECTRÓNICA              NEGOCIOS                                    EDUCATIVA


   DOCENTES               DOCENTES                    DOCENTES        DOCENTES                     DOCENTES


 ASISTENTE DE               JEFE DE                                  ASISTENTE DE
 LABORATORIO                TALLER                                   LABORATORIO




                                                      ESTUDIANTE
                                                          S




“HACER Y HACER BIEN LAS COSAS”                                                                       Página 123
PROYECTO EDUCATIVO INSTITUCIONAL 2011-2016-IPAL


6.7.2. Manual de Organización y funciones (MOF) Describe las funciones
       específicas o tareas del cargo propuestos en el organigrama estructural de la
       institución con sus respectivas acciones en concordancia con las relaciones
       de autoridad, responsabilidad y coordinación del IPAL.

6.7.3. Manual de Procedimiento Administrativos cuyas reglas básicas están
       consignadas en la Ley No 27444-2003- Ley de Procedimientos
       Administrativos general; a fin de dar cumplimiento a las funciones de los
       estamentos del IPAL, a través de los flujogramas.

6.8.   INSTRUMENTOS DE GESTIÓN

   -   PROYECTO EDUCATIVO INSTITUCIONAL.

   -   Proyecto Curricular Institucional.

   -   Plan Anual de Trabajo.

   -   Reglamento Interno.

   -   Manual de organización y funciones

   -   Informe de Gestión.

6.9.   PROYECTO DE PRESUPUESTO 2011 A 2014

En las páginas siguientes se aprecia el nivel de ingresos y egresos que se
generarán a partir del semestre lectivo 2011-II, como respuesta a la implementación
de nuevas carreras profesionales en un periodo de tiempo de 04 años.

En primer lugar, se presenta el flujo de caja proyectado para cuatro años de gestión;
luego se agrega el cuadro de ingresos que se logrará por las Áreas de Ingeniería y
Contabilidad y Negocios, a partir de la apertura de las carreras profesionales de
Autotrónica, Diseño Gráfico y Publicidad Digital, Análisis de sistemas y
Modelamiento de Base de Datos, así como por la carreras de Contabilidad y
Finanzas, Administración de Negocios Internacionales, Administración y Gestión
Empresarial, Gastronomía y Arte Culinario, Marketing Empresarial y Secretariado
Ejecutivo Bilingüe.

Seguidamente se presenta un cuadro donde se indican las fuentes de
financiamiento, luego, los egresos proyectados en cuatro años, seguido el cuadro de
egresos por remuneraciones, por bienes y servicios, egresos por inversión en
inmuebles, equipamiento, inversión en mobiliario y otros egresos no financieros.




“HACER Y HACER BIEN LAS COSAS”                                             Página 124
PROYECTO EDUCATIVO INSTITUCIONAL 2011-2016-IPAL


                             FLUJO DE CAJA DEL PLAN DE NEGOCIOS IPAL 2011 - 2014
  RUBRO




                             CONCEPTO                   AÑO 1                 AÑO 2                 AÑO 3                  AÑO 4

                             INGRESOS
  A       APORTE DE CAPITAL                               228,648.06            356,711.49             451,513.89             460,128.22

          PENSIONES Y MATRÍCULA                         4,572,961.25          7,134,229.85           9,030,277.85           9,202,564.46
          DONACIONES

          OTROS (Producción de bienes y servicios)        457,296.13            713,422.99             903,027.79             920,256.45


  B                   TOTAL INGRESOS                 5,258,905.44          8,204,364.33          10,384,819.53          10,582,949.13
                             EGRESOS

 C1       GASTOS DIRECTOS DE FORMACIÓN                1,393,144.12          2,209,726.92           2,851,200.33           2,855,249.06

          REMUNERACIONES DOCENTES                       1,285,679.53          2,042,072.52           2,638,988.80           2,638,988.80

          COMPRAS (Bibliografía)                           45,729.61             71,342.30              90,302.78              92,025.64


          MANUALES Y FOLLETOS DE ENSEÑANZA                 45,729.61             71,342.30              90,302.78              92,025.64


          OTROS (Bienes y servicios)                       16,005.36             24,969.80              31,605.97              32,208.98


 C2       GASTOS GENERALES DE OPERACIÓN               1,858,719.29          2,208,266.09           2,513,602.19           2,531,048.65

          REMUNERACION DEL PERSONAL                     1,424,368.34          1,522,699.43           1,600,298.54           1,600,298.54

          MATERIALES DE OFICINA                            68,594.42            107,013.45             135,454.17             138,038.47


          SERVCIOS (egresos no financieros)                91,378.86            143,365.19             181,851.14             185,342.38

          PUBLICIDAD                                       91,459.23            142,684.60             180,605.56             184,051.29

          GASTOS ADMINISTRATIVOS (equipamiento)           155,480.68            242,563.81             307,029.45             312,887.19


          MANTENIMIENTO DE EDIFICIOS Y EQUIPO              27,437.77             49,939.61             108,363.33             110,430.77


          DEPRECIACIÓN DE ACTIVOS

          OTROS (ESPECIFIQUE)

 C3       INVERSIONES                                   745,392.68            934,584.11             641,149.73             837,433.37

          COMPRA DE TERRENOS O LOCAL



          EDIFICACIONES Y OTRAS CONSTRUCCIONES            457,296.13            556,469.93             252,847.78             257,671.80



          COMPRA DE UNIDADES DE TRANSPORTE                 45,729.61             71,342.30              90,302.78              92,025.64


          COMPRA DE MOBILIARIO                            105,178.11            164,087.29             207,696.39             211,658.98


          COMPRA DE MAQUINARIA Y EQUIPO                   137,188.84            142,684.60              90,302.78             276,076.93


          OTROS (ESPECIFIQUE)


  C          TOTAL EGRESOS (C1 + C2 + C3)             3,997,256.10          5,352,577.12           6,005,952.24           6,223,731.08


          SALDO DE CAJA (A + B) - C                  1,261,649.34          2,851,787.21           4,378,867.29           4,359,218.05

  D       FINANCIAMIENTO                                               -                     -                      -                      -

          SALDO FINAL DE CAJA (A + B) – C)+D         1,261,649.34          2,851,787.21           4,378,867.29           4,359,218.05
Fuente: Elaboración Propia




“HACER Y HACER BIEN LAS COSAS”                                                                                          Página 125
PROYECTO EDUCATIVO INSTITUCIONAL 2011-2016-IPAL
INGRESOS: Área de Ingenierías más Contabilidad y Negocios

TASAS DE ENSEÑANZA

                                                                                                           PROYECCIÓN DE INGRESOS ÁREA DE INGENIERÍA
                                                             1er año                                         2do año                                3er año                                                                         4to año
         TASAS
                                                  SEM I                    SEM II                  SEM III              SEM IV           SEM V                                           SEM VI                       SEM I                        SEM II
                                VT        Nº         NºXVT          Nº        NºXVT           Nº       NºXVT         Nº      NºXVT Nº         NºXvt         Nº                               NºXVT          Nº            NºXvt               Nº       NºXVT
1) Derecho de examen de
                                 50.00 950.00    47500.00         300.00        15000.00     950.00       47500.00      300.00        15000.00         950.00      47500.00         300.00      15000.00         950.00       47500.00        300.00        15000.00
ingreso
2) Derechos de Matricula        100.00 760.00    76000.00         240.00        24000.00     760.00       76000.00      240.00        24000.00         760.00      76000.00         240.00      24000.00         760.00       76000.00        240.00        24000.00
3) Niveles de Pensiones
Becados (5%)                            38.00                      34.80                    63.44                 55.15                 81.18                 71.12                 84.91                 71.12
Área de Ingeniería            1,250.00 760.00 1,073,500.00        696.00      909,000.00 1,268.80 1,709,500.00 1,103.04 1,417,800.00 1,623.62 2,153,020.00 1,422.37 1,816,968.00 1,698.27 2,246,332.00 1,422.37 1,816,968.00
Sub Total                     1,250.00 760.00 1,073,500.00        696.00      909,000.00 1,268.80 1,709,500.00 1,103.04 1,417,800.00 1,623.62 2,153,020.00 1,422.37 1,816,968.00 1,698.27 2,246,332.00 1,422.37 1,816,968.00
4)        Otras       Tasas
educacionales
(Certificados      oficiales,     10%           107,350.00                     90,900.00                 170,950.00                  141,780.00                   215,302.00                   181,696.80             -    224,633.20              -     181,696.80
Constancias, Trámite de
Títulación, otros)
TOTAL POR SEMESTRE                            1,180,850.00                    999,900.00               1,880,450.00                1,559,580.00                 2,368,322.00                 1,998,664.80 1,698.27 2,470,965.20 1,422.37 1,998,664.80
TOTAL POR AÑO                                                               2,180,750.00                                           3,440,030.00                                              4,366,986.80 1,698.27 4,469,630.00 3,120.64 4,469,630.00


                                                                                                       PROYECCIÓN DE INGRESOS ÁREA DE CONTABILIDAD Y NEGOCIOS
                                                             1er año                                             2do año                                                  3er año                                                   4to año
         TASAS
                                                  SEM I                    SEM II                  SEM III                      SEM IV                      SEM V                        SEM VI                       SEM I                        SEM II
                                VT        Nº         NºXVT          Nº        NºXVT           Nº         NºXVT             Nº        NºXVT        Nº              NºXvt             Nº         NºXVT        Nº              NºXvt             Nº         NºXVT
1) Derecho de examen de
                                 50.00 1212.50        60625.00 221.25           11062.50    1212.50       60625.00      221.25        11062.50     1212.50         60625.00         221.25      11062.50     1212.50          60625.00        221.25        11062.50
ingreso
2) Derechos de Matricula       100.00 970.00          97000.00 177.00           17700.00     970.00       97000.00      177.00        17700.00         970.00      97000.00         177.00      17700.00         970.00       97000.00        177.00        17700.00
3) Niveles de Pensiones
Becados (5%)                              48.50                    37.95                       77.09                       60.82                        97.25                        78.97                       100.00                        78.97
Área de Contabilidad y
                             1,150.00 970.00 1,273,125.00 759.00              901,612.50 1,541.80 1,930,695.00 1,216.44 1,427,668.50 1,945.00 2,394,375.00 1,579.32 1,844,980.50 2,000.05 2,457,687.19 1,579.32 1,844,980.50
Negocios

Sub Total                    1,150.00 970.00 1,273,125.00 759.00              901,612.50 1,541.80 1,930,695.00 1,216.44 1,427,668.50 1,945.00 2,394,375.00 1,579.32 1,844,980.50 2,000.05 2,457,687.19 1,579.32 1,844,980.50
4) Otras Tasas
educacionales
(Certificados oficiales,          10%                127,312.50                90,161.25                 193,069.50                  142,766.85                   239,437.50                   184,498.05                  245,768.72                    184,498.05
Constancias, Trámite de
Títulación, otros)
TOTAL POR SEMESTRE                                 1,400,437.50               991,773.75               2,123,764.50                1,570,435.35                 2,633,812.50                 2,029,478.55                 2,703,455.91                 2,029,478.55
TOTAL POR AÑO                                                               2,392,211.25                                           3,694,199.85                                              4,663,291.05                                              4,732,934.46

TOTAL ANUAL INGRESOS POR PROYECTO:                                          4,572,961.25                                           7,134,229.85                                              9,030,277.85                                              9,202,564.46
Fuente: Elaboración propia

Nº = Número de Estudiantes.
VT= Valor de la tasa de pensión de enseñanza (3) en nuevos soles constantes del año de presentación del proyecto.
El número de niveles de pensiones lo establece el instituto.
Se considera para efectos de demostrar la rentabilidad del proyecto un periodo de 06 semestres lectivos. Iniciando operaciones desde el 2011-I hasta el 2013-II

“HACER Y HACER BIEN LAS COSAS”                                                                                                                                                                                                           Página 126
PROYECTO EDUCATIVO INSTITUCIONAL 2011-2016-IPAL
INGRESOS ÁREA DE INGENIERÍAS:

CARRERAS PROFESIONALES                                                                       POBLACIÓN INGRESANTE POR SEMESTRE
                                                                                          SEMESTRE I        SEMESTRE II                   TOTAL
AUTOTRÓNICA                                                                                           500           150                           650
DISEÑO GRÁFICO Y PUBLICIDAD DIGITAL                                                                   200            60                           260
ANÁLISIS DE SISTEMAS Y MODELAMIENTO DE BASE DE DATOS                                                   60            30                            90
                                                                                                      760           240                          1000
TASAS DE ENSEÑANZA

                                                                                                                                                           PROYECCIONES
                                                                        1er año                                                      2do año                                                         3er año                                                            4to año
             TASAS
                                                           SEM I                          SEM II                      SEM III                         SEM IV                         SEM V                             SEM VI                           SEM I                              SEM II
                                      VT           Nº          NºXVT              Nº          NºXVT            Nº            NºXVT              Nº            NºXVT       Nº                 NºXvt              Nº            NºXVT       Nº                    NºXvt             Nº                NºXVT
1) Derecho de examen de
ingreso
                                            50       950            47500          300             15000            950           47500              300          15000            950           47500               300          15000           950              47500               300             15000
2) Derechos de Matricula                   100       760            76000          240             24000            760           76000              240          24000            760           76000               240          24000           760              76000               240             24000

3) Niveles de Pensiones
Becados (5%)                                       38.00                          34.80                          63.44                           55.15                            81.18                         71.12                            84.91                              71.12


Área de Ingenierías:


Ingenierías - 2011-I                 1,250.00 760.00          950,000.00      456.00         570,000.00       364.80        456,000.00         291.84       364,800.00          262.66     328,320.00          236.39       295,488.00                                  -              -                    -

Ingenierías - 2011-II                1,250.00                                 240.00         300,000.00       144.00        180,000.00         115.20       144,000.00           92.16     115,200.00           82.94       103,680.00          74.65       93,312.00                                       -

Ingenierías - 2012-I                 1,250.00                                                                 760.00        950,000.00         456.00       570,000.00          364.80     456,000.00          291.84       364,800.00         262.66      328,320.00             236.39       295,488.00

Ingenierías - 2012-II                1,250.00                                                                                                  240.00       300,000.00          144.00     180,000.00          115.20       144,000.00          92.16      115,200.00              82.94       103,680.00

Ingenierías - 2013-I                 1,250.00                                                                                                                                   760.00     950,000.00          456.00       570,000.00         364.80      456,000.00             291.84       364,800.00

Ingenierías - 2013-II                1,250.00                                                                                                                                                                  240.00       300,000.00         144.00      180,000.00             115.20       144,000.00

Ingenierías - 2014-I                 1,250.00                                                                                                                                                                                                  760.00      950,000.00             456.00       570,000.00

Ingenierías - 2014-II                1,250.00                                                                                                                                                                                                                           -         240.00       300,000.00


Sub Total                            1,250.00    760.00     1,073,500.00      696.00         909,000.00      1,268.80     1,709,500.00       1,103.04 1,417,800.00             1,623.62 2,153,020.00 1,422.37 1,816,968.00                 1,698.27       2,246,332.00       1,422.37        1,816,968.00
4) Otras Tasas educacionales
(Certificados           oficiales,
Constancias,       Trámite      de
                                           10%                107,350.00                       90,900.00                    170,950.00                      141,780.00                     215,302.00                       181,696.80                     224,633.20                          181,696.80
Títulación, otros)
TOTAL POR SEMESTRE                                          1,180,850.00                     999,900.00                   1,880,450.00                     1,559,580.00                   2,368,322.00                     1,998,664.80                   2,470,965.20                       1,998,664.80
TOTAL POR AÑO                                                                              2,180,750.00                                                    3,440,030.00                                                    4,366,986.80                                                      4,469,630.00
Fuente: Elaboración propia
NOTAS IMPORTANTES:
Nº = Número de Estudiantes.
VT= Valor de la tasa de pensión de enseñanza (3) en nuevos soles constantes del año de presentación del proyecto. Hay 04 niveles de pensiones. Así como otros conceptos (1,2, y 4)
El número de niveles de pensiones lo establece el instituto.
Se considera para efectos de demostrar la rentabilidad del proyecto un periodo de 08 semestres lectivos. Iniciando operaciones desde el 2011-I hasta el 2013-II
Del 100% de postulantes al instituto, un 25% de ellos, no logran cubrir una vacante.
El ïndice de deserción estudiantil promedio es de 40% al culminar o durante el Semestre I, 20% al culminar el II y/o III semestre, el 10% al culminar el IV y/o V semestre.
Para que los estudiantes tengan mejores opciones de inserción laboral debemos de promover los Post Títulos. De este modo también mejoraríamos los niveles de Ingresos económicos y lograríamos mejor impacto social.
Se debe considerar el Punto 3) Becados para los mejores estudiantes egresados de la educación básica regular. De este modo se beneficiarían éstos y la institución, porque se promoverían concursos tecnológicos y proyectos de investigación con mejores resultados.




“HACER Y HACER BIEN LAS COSAS”                                                                                                                                                                                                                                     Página 127
PROYECTO EDUCATIVO INSTITUCIONAL 2011-2016-IPAL
INGRESOS ÁREA DE CONTABILIDAD Y NEGOCIOS:

CARRERAS PROFESIONALES                                                                    POBLACIÓN INGRESANTE POR SEMESTRE
                                                                                          SEMESTRE I SEMESTRE II                     TOTAL
CONTABILIDAD Y FINANZAS                                                                           300            90                         390
SECRETARIADO EJECUTIVO BILINGÜE                                                                   150            45                         195
ADMINISTRACIÓN DE NEGOCIOS INTERNACIONALES                                                        140            42                         182
MARKETING EMPRESARIAL                                                                             100            30                         130
ADMINISTRACIÓN Y GESTIÓN EMPRESARIAL                                                              140            42                         182
GASTRONOMÍA Y ARTE CULINARIO                                                                      140            42                         182

                                                  SUB TOTAL INGRESANTES                         970.00     177.00                     1147.00

TASAS DE ENSEÑANZA

                                                                                                                                                    PROYECCIONES
                                                                        1er año                                                  2do año                                                       3er año                                                          4to año
             TASAS
                                                           SEM I                       SEM II                      SEM III                      SEM IV                            SEM V                       SEM VI                            SEM I                          SEM II
                                       VT           Nº          NºXVT             Nº         NºXVT          Nº           NºXVT             Nº         NºXVT         Nº                NºXvt              Nº          NºXVT        Nº                    NºXvt             Nº            NºXVT

1) Derecho de examen de ingreso          50.00     1212.50         60625.00    221.25         11062.50 1212.50            60625.00     221.25            11062.50        1212.50          60625.00       221.25        11062.50        1212.5              60625          221.25         11062.5
2) Derechos de Matricula                100.00      970.00         97000.00    177.00         17700.00     970.00         97000.00     177.00            17700.00         970.00          97000.00       177.00        17700.00        970.00              97000          177.00           17700

3) Niveles de Pensiones
Becados (5%)                                         48.50                        37.95                     77.09                          60.82                           97.25                          78.97                        200.01                             157.93

Área de Contabilidad y
Negocios:

Negocios - 2011-I                     1,150.00     970.00 1,115,500.00        582.00       669,300.00     465.60       535,440.00     372.48        428,352.00           335.23      385,516.80       301.71       346,965.12

Negocios - 2011-II                    1,150.00                                177.00       203,550.00     106.20       122,130.00          84.96     97,704.00            67.97       78,163.20          61.17      70,346.88           55.05       63,312.19

Negocios - 2012-I                     1,150.00                                                            970.00 1,115,500.00         582.00        669,300.00           465.60      535,440.00       372.48       428,352.00          335.23      385,516.80             301.71    346,965.12

Negocios - 2012-II                    1,150.00                                                                                        177.00        203,550.00           106.20      122,130.00          84.96      97,704.00           67.97       78,163.20              61.17     70,346.88

Negocios - 2013-I                     1,150.00                                                                                                                           970.00    1,115,500.00       582.00       669,300.00          465.60      535,440.00             372.48    428,352.00

Negocios - 2013-II                    1,150.00                                                                                                                                                        177.00       203,550.00          106.20      122,130.00              84.96     97,704.00

                                      1,150.00                                                                                                                                                                                         970.00    1,115,500.00             582.00    669,300.00

                                      1,150.00                                                                                                                                                                                                                            177.00    203,550.00


Sub Total                             1,150.00     970.00 1,273,125.00        759.00       901,612.50 ####### 1,930,695.00           1,216.44      1,427,668.50     1,945.00       2,394,375.00      1,579.32     1,844,980.50    2,000.05       2,457,687.19        1,579.32      1,844,980.50
4) Otras Tasas educacionales
(Certificados            oficiales,
Constancias,       Trámite       de
                                            10%               127,312.50                    90,161.25                  193,069.50                   142,766.85                       239,437.50                    184,498.05                      245,768.72                       184,498.05
Títulación, otros)
TOTAL POR SEMESTRE                                           1,400,437.50                   991,773.75                2,123,764.50                 1,570,435.35                    2,633,812.50                   2,029,478.55    4,000.11       2,703,455.91        3,158.64      2,029,478.55
TOTAL POR AÑO                                                                             2,392,211.25                                             3,694,199.85                                                   4,663,291.05                                                     4,732,934.46
Fuente: Elaboración propia

Nº = Número de Estudiantes.
VT= Valor de la tasa de pensión de enseñanza (3) en nuevos soles constantes del año de presentación del proyecto. Hay 04 niveles de pensiones. Así como otros conceptos (1,2, y 4)
El número de niveles de pensiones lo establece el instituto.
Se considera para efectos de demostrar la rentabilidad del proyecto un periodo de 08 semestres lectivos. Iniciando operaciones desde el 2011-I hasta el 2013-II
Del 100% de postulantes al instituto, un 25% de ellos, no logran cubrir una vacante.
El ïndice de deserción estudiantil promedio es de 40% al culminar o durante el Semestre I, 20% al culminar el II y/o III semestre, el 10% al culminar el IV y/o V semestre.
Para que los estudiantes tengan mejores opciones de inserción laboral debemos de promover los Post Títulos. De este modo también mejoraríamos los niveles de Ingresos económicos y lograríamos mejor impacto social.
Se debe considerar el Punto 3) Becados para los mejores estudiantes egresados de la educación básica regular. De este modo se beneficiarían éstos y la institución, porque se promoverían concursos tecnológicos y proyectos de investigación con mejores resultados.




“HACER Y HACER BIEN LAS COSAS”                                                                                                                                                                                                                                  Página 128
PROYECTO EDUCATIVO INSTITUCIONAL 2011-2016-IPAL

                          EGRESOS: PROYECTADOS EN CUATRO AÑOS
                                      PROYECCIÓN A 4 AÑOS (En Nuevos Soles) (‘)
           RUBROS                                                                              TOTALES
                                      1          2            3             4
1) GASTOS
                                  2,977,566.10   3,982,124.39   4,767,558.59   4,777,637.36   16,504,886.45
CORRIENTES
1.1. Remuneraciones               2,710,047.87   3,564,771.94   4,239,287.34   4,239,287.34   14,753,394.50

1.2. Bienes y Servicios            267,518.23     417,352.45     528,271.25     538,350.02     1,751,491.95
2) GASTOS DE CAPITAL                                                                                        -
2.1. Inversiones                  1,019,689.99   1,370,452.73   1,238,393.64   1,262,042.43    4,890,578.79
2.2.1. Inmuebles (compra,
                                   484,733.89     606,409.54     361,211.11     368,102.58     1,820,457.12
construcción,
2.2.2. Equipamiento                292,669.52     385,248.41     397,332.23     404,912.84     1,480,162.99

2.2.3. Mobiliario                  150,907.72     235,429.59     297,999.17     303,684.63      988,021.10
2.2.4. Otros Egresos no
                                    91,378.86     143,365.19     181,851.14     185,342.38      601,937.57
Financieros
2.2.5. Otros (especificar)                   -              -              -                                -
3) SERVICIOS DE LA
                                             -              -              -                                -
DEUDA
             TOTAL                3,997,256.10   5,352,577.12   6,005,952.24   6,039,679.79   21,395,465.24
Fuente: Elaboración propia
(‘) En soles constante del año de presentación del proyecto

“HACER Y HACER BIEN LAS COSAS”                                                                      Página 129
PROYECTO EDUCATIVO INSTITUCIONAL 2011-2016-IPAL
                                          EGRESOS: REMUNERACIONES
                                                         PROYECCIÓN A 4 AÑOS (En Nuevos Soles) (‘)
                  RUBROS
                                                 1               2            3            4          TOTALES
1. AUTORIDADES                               280,000.00       280,000.00   280,000.00   280,000.00    1,120,000.00

2. RESPONSABLES DE LAS
                                             245,000.00       245,000.00   245,000.00   245,000.00     980,000.00
CARRERAS PROF.

3. PERSONAL DOCENTE                         1,285,679.53 2,042,072.52 2,638,988.80 2,638,988.80       8,605,729.64

4. PERSONAL ADMINISTRATIVO                   546,000.00       546,000.00   546,000.00   546,000.00    2,184,000.00

5. CARGAS SOCIALES                           306,368.34       404,699.43   482,298.54   482,298.54    1,675,664.85

6. BONIFICACIONES                              14,000.00       14,000.00    14,000.00    14,000.00      56,000.00

7. BONIFICACIONES (AUTORIDADES Y
                                               28,000.00       28,000.00    28,000.00    28,000.00     112,000.00
RESPONSABLES)

8. OTROS GASTOS DE PERSONAL                     5,000.00        5,000.00     5,000.00     5,000.00      20,000.00

TOTAL REMUNERACIONES                        2,710,047.87 3,564,771.94 4,239,287.34 4,239,287.34      14,753,394.50
Fuente: Elaboración propia
(‘) En soles constante del año de presentación del proyecto



“HACER Y HACER BIEN LAS COSAS”                                                                            Página 130
PROYECTO EDUCATIVO INSTITUCIONAL 2011-2016-IPAL
                                               EGRESOS: BIENES Y SERVICIOS
                                                                     PROYECCIÓN A 4 AÑOS (En Nuevos Soles) (‘)
       RUBROS DE EGRESOS EN BIENES Y
         MATERIALES EDUCACIONALES
                                                               1            2            3            4         TOTALES


1. GASTOS DE OPERACIÓN Y FUNCIONAMIENTO                   68,594.42      107,013.45   135,454.17   138,038.47    449,100.50


2. MATERIALES DE ENSEÑANZA (Equipamiento
                                                          45,729.61       71,342.30    90,302.78    92,025.64    299,400.33
Didáctico)

3. PUBLICIDAD Y DIFUSIÓN                                  91,459.23      142,684.60   180,605.56   184,051.29    598,800.67

4. ALQUILER DE INMUEBLE Y OTROS                               2,286.48     3,567.11     4,515.14     4,601.28     14,970.02

5. GASTOS DE MATERIALES, LAB. /TALLERES                       6,859.44    10,701.34    13,545.42    13,803.85     44,910.05

6. GASTOS PREVISTOS PARA EVALUACIÓN DEL
                                                              6,859.44    10,701.34    13,545.42    13,803.85     44,910.05
INSTITUTO

7. OTROS (ADQ. BIBLIOGRÁFICAS)                            45,729.61       71,342.30    90,302.78    92,025.64    299,400.33

TOTAL BIENES Y SERVICIOS                                267,518.23       417,352.45   528,271.25   538,350.02   1,751,491.95
Fuente: Elaboración propia
(‘) En soles constante del año de presentación del proyecto



“HACER Y HACER BIEN LAS COSAS”                                                                                     Página 131
PROYECTO EDUCATIVO INSTITUCIONAL 2011-2016-IPAL

                                 EGRESOS: INVERSIÓN EN INMUEBLES
                                                                     PROYECCIÓN A 4 AÑOS (En Nuevos Soles) (‘)
                      RUBROS
                                                               1            2            3            4          TOTALES

1.- Construcción de Inmuebles – Terrenos                457,296.13       556,469.93   252,847.78   257,671.80    1,524,285.64

1.1 Terrenos                                                                                                                 -

1.2 Aulas                                               457,296.13       356,711.49            -            -     814,007.62
1.3 Laboratorios / Talleres                                              142,684.60   180,605.56   184,051.29     507,341.44

1.4 Biblioteca Central                                                                                                       -
1.5 Área Administrativa                                                   35,671.15    45,151.39    46,012.82     126,835.36
1.6 Área de bienestar Estudiantil                                          7,134.23     9,030.28     9,202.56      25,367.07
1.7 Otros (Cerco Perimétrico y Loza Deportiva)                            14,268.46    18,060.56    18,405.13      50,734.14

2. Locales (Adecuación y Remodelación)                   27,437.77        49,939.61   108,363.33   110,430.77     296,171.48

2.1 Laboratorio / Taller                                      4,572.96     7,134.23     9,030.28     9,202.56      29,940.03

2.2 Biblioteca Central                                                     7,134.23     9,030.28     9,202.56      25,367.07
2.3 Área Administrativa                                                                45,151.39    46,012.82      91,164.21
2.4 Área de Bienestar Estudiantil                        22,864.81        35,671.15    45,151.39    46,012.82     149,700.17
Otros (especificar) Aulas                                                                                                    -
TOTAL INMUEBLES                                         484,733.89       606,409.54   361,211.11   368,102.58    1,820,457.12
Fuente: Elaboración propia

(‘) En soles constante del año de presentación del proyecto
“HACER Y HACER BIEN LAS COSAS”                                                                                      Página 132
PROYECTO EDUCATIVO INSTITUCIONAL 2011-2016-IPAL

                                 EGRESOS: INVERSIÓN EN EQUIPAMIENTO
                                                       PROYECCIÓN A 4 AÑOS (En Nuevos Soles) (‘)
                   RUBROS                                                                                 TOTALES
                                                       1             2             3            4

3.1. Equipamiento Aulas                              137,188.84    142,684.60    90,302.78    92,025.64    462,201.86


3.2. Equipamiento de Laboratorios y Talleres         137,188.84    214,026.90   270,908.34   276,076.93    898,201.00


3.3. Equipamiento Biblioteca Central                    4,572.96     7,134.23     9,030.28     9,202.56     29,940.03


3.4. Equipamiento Área Administrativa                   6,859.44    10,701.34    13,545.42    13,803.85     44,910.05


3.5. Equipamiento de Bienestar Estudiantil              6,859.44    10,701.34    13,545.42    13,803.85     44,910.05


3.6. Otros (especificar)                                       -            -            -            -              -

TOTAL EQUIPAMIENTO                                   292,669.52    385,248.41   397,332.23   404,912.84   1,480,162.99

Fuente: Elaboración propia

(‘) En soles constante del año de presentación del proyecto



“HACER Y HACER BIEN LAS COSAS”                                                                               Página 133
PROYECTO EDUCATIVO INSTITUCIONAL 2011-2016-IPAL

                                     EGRESOS: INVERSIÓN EN MOBILIARIO

                                            PROYECCIÓN A 4 AÑOS (En Nuevos Soles) (‘)
                   RUBROS                                                                            TOTALES
                                                1                2            3            4

4.1. Mobiliario Aulas                        45,729.61         71,342.30    90,302.78    92,025.64   299,400.33

4.2. Mobiliario de Laboratorios y
                                             45,729.61         71,342.30    90,302.78    92,025.64   299,400.33
Talleres

4.3. Mobiliario Biblioteca Central             4,572.96         7,134.23     9,030.28     9,202.56    29,940.03


4.4. Mobiliario Área Administrativa            4,572.96         7,134.23     9,030.28     9,202.56    29,940.03


4.5. Mobiliario de Área Bienestar              4,572.96         7,134.23     9,030.28     9,202.56    29,940.03


4.6. Otros (compra de autos)                 45,729.61         71,342.30    90,302.78    92,025.64   299,400.33


TOTAL:                                      150,907.72        235,429.59   297,999.17   303,684.63   988,021.10

Fuente: Elaboración propia

(‘) En soles constante del año de presentación del proyecto



“HACER Y HACER BIEN LAS COSAS”                                                                          Página 134
PROYECTO EDUCATIVO INSTITUCIONAL 2011-2016-IPAL

                       EGRESOS: OTROS EGRESOS NO FINANCIEROS

                                       PROYECCIÓN A 4 AÑOS (En Nuevos Soles) (‘)
               RUBROS                                                                    TOTALES

                                         1           2            3           4
1. Gastos en Becas
                                      15,925.00    25,650.40    32,851.55    33,500.07   107,927.02
Estudiantiles

2. Gastos en Programas de
                                      45,729.61    71,342.30    90,302.78    92,025.64   299,400.33
Investigación

3. Gastos en prog. de perfecc.
                                       6,859.44    10,701.34    13,545.42    13,803.85    44,910.05
Docente

4. Estudios y Asesorías                9,145.92    14,268.46    18,060.56    18,405.13    59,880.07

5. Otros                                                                                            -
5.1 Proyección Soc. y Extens.
                                       6,859.44    10,701.34    13,545.42    13,803.85    44,910.05
Univ.

5.2 Bienestar Estudiantil              6,859.44    10,701.34    13,545.42    13,803.85    44,910.05

               TOTALES                91,378.86   143,365.19   181,851.14   185,342.38   601,937.57
Fuente: Elaboración propia
(‘) En soles constante del año de presentación del proyecto


“HACER Y HACER BIEN LAS COSAS”                                                              Página 135
PROYECTO EDUCATIVO INSTITUCIONAL 2011-2016-IPAL


                                       ANEXOS

Consideramos pertinente comentar que este PROYECTO EDUCATIVO
INSTITUCIONAL 2011-2016, tiene como anexos innumerable información, que en
el caso que se nos solicite gustosamente lo alcanzaremos.

Los anexos son:

1.     Reglamento Institucional
2.     Proyecto Educativo Institucional
3.     Proyecto de Cada carrera Profesional, adecuados todos al sistema modular.
4.     Plan Anual de Trabajo
5.     Reglamento Interno: Procedimientos de Admisión de formadores y personal
       administrativo.
6.     Manual de Organización y Funciones
7.     Plan de Consejería
8.     Reglamento de Prácticas Pre Profesionales
9.     Reglamento de Admisión
10.    Reglamento de Titulación
11.    Programación Curricular
12.    Itinerarios Formativos
13.    Normatividad emitida por el Ministerio de Educación del Perú
14.    Plan de supervisión educacional
15.    Plan de Investigación
16.    Mallas curriculares
17.    Infraestructura: Fotos inéditas
18.    Otros que sean referidos a la gestión institucional




“HACER Y HACER BIEN LAS COSAS”                                               Página 136
PROYECTO EDUCATIVO INSTITUCIONAL 2011-2016-IPAL


                                    AMBIENTES MODERNOS DEL IPAL




“HACER Y HACER BIEN LAS COSAS”                                                Página 137
PROYECTO EDUCATIVO INSTITUCIONAL 2011-2016-IPAL


                                           LIMPIEZA Y ORDEN




“HACER Y HACER BIEN LAS COSAS”                                                Página 138
PROYECTO EDUCATIVO INSTITUCIONAL 2011-2016-IPAL


                     EDUCACIÓN BASADA EN LA FORMACIÓN DE VALORES HUMANOS




“HACER Y HACER BIEN LAS COSAS”                                                Página 139
PROYECTO EDUCATIVO INSTITUCIONAL 2011-2016-IPAL




“HACER Y HACER BIEN LAS COSAS”                                                Página 140
PROYECTO EDUCATIVO INSTITUCIONAL 2011-2016-IPAL


                                       MECÁNICA AUTOMOTRIZ




“HACER Y HACER BIEN LAS COSAS”                                                Página 141
PROYECTO EDUCATIVO INSTITUCIONAL 2011-2016-IPAL




                     TRABAJO ACADÉMICO-PRÁCTICO DE LOS ESTUDIANTES DE IPAL




“HACER Y HACER BIEN LAS COSAS”                                                Página 142
PROYECTO EDUCATIVO INSTITUCIONAL 2011-2016-IPAL




                                                                TÉCNICO EN FARMACIA




“HACER Y HACER BIEN LAS COSAS”                                                        Página 143
PROYECTO EDUCATIVO INSTITUCIONAL 2011-2016-IPAL




                                     TÉCNICO EN CONTABILIDAD




“HACER Y HACER BIEN LAS COSAS”                                                Página 144
PROYECTO EDUCATIVO INSTITUCIONAL 2011-2016-IPAL



                                      SECRETARIADO EJECUTIVO




“HACER Y HACER BIEN LAS COSAS”                                                Página 145
PROYECTO EDUCATIVO INSTITUCIONAL 2011-2016-IPAL



                                          LOZA DEPORTIVA




                                 LABORES ACADÉMICAS COMPUTACIÓN

“HACER Y HACER BIEN LAS COSAS”                                                Página 146
PROYECTO EDUCATIVO INSTITUCIONAL 2011-2016-IPAL




                                   TALLER DE ENSAMBLAJE DE PCS



“HACER Y HACER BIEN LAS COSAS”                                                Página 147
PROYECTO EDUCATIVO INSTITUCIONAL 2011-2016-IPAL




                                      CAPACITACIONES CONTINUAS




“HACER Y HACER BIEN LAS COSAS”                                                Página 148
PROYECTO EDUCATIVO INSTITUCIONAL 2011-2016-IPAL


                                 DESARROLLO DE PROYECTOS EMPRESARIALES




“HACER Y HACER BIEN LAS COSAS”                                                Página 149
PROYECTO EDUCATIVO INSTITUCIONAL 2011-2016-IPAL


                           DESARROLLO REAL DE HABILIDADES Y COMPETENCIAS




“HACER Y HACER BIEN LAS COSAS”                                                Página 150
PROYECTO EDUCATIVO INSTITUCIONAL 2011-2016-IPAL


                        REFERENCIAS BIBLIOGRAFÍCAS



   1. ÁLVAREZ DE ZAYAS, C. (1996).La escuela en la vida: Didáctica.
      Editorial Pueblo y Educación.

   2. GÓMEZ, G. (2003). Educación en contextos multiculturales. Revista de
      Ciencias de la Educación

   3. F. IMBERNÓN (Ed.), (2004) La investigación educativa como

       herramienta de formación del profesorado. Barcelona: Graó.

   4. OLIVER. M. (1998).La atención a la diversidad desde los agrupamientos

       flexibles de estudiantes. Tesis Doctoral. Universidad de Barcelona.

   5. RIBEIRO, D. (1969).La Universidad Necesaria. Editorial Paz y Tierra.

   6. Proyecto Educativo Nacional (PEN)

   7. www.minedu.gob.pe

   8. www.educaedu.com.pe/administracion-educativa

   9. www.cdi.org.pe/

   10. www.ciao.es/Introduccion_a_la_Teoria_General_de_la_Administracion_I

       dalberto_Chiavenato__620407 - hace 23 horas




“HACER Y HACER BIEN LAS COSAS”                                        Página 151

Pdi

  • 1.
    PROYECTO EDUCATIVO INSTITUCIONAL2011-2016-IPAL PROYECTO EDUCATIVO INSTITUCIONAL IPAL (2011-2016) “HACER Y HACER BIEN LAS COSAS” Página 1
  • 2.
    PROYECTO EDUCATIVO INSTITUCIONAL2011-2016-IPAL ÍNDICE Presentación Introducción CAPÍTULO I 1. Datos institucionales 1.1. Denominación 1.1.1 Documentación legal de creación 1.1.2 Miembros del Órgano Directivo 1.1.3 Niveles y modalidades que atiende 1.2. Características del local 1.2.1. Ubicación geográfica 1.2.1.1.1. Infraestructura: aulas, talleres, laboratorios de cómputo, módulos, oficinas y otras áreas importantes. 1.2.2.1. Infraestructura: aulas 1.2.2.2. Infraestructura: talleres 1.2.2.3. Infraestructura: laboratorios de cómputo 1.2.2.4. Infraestructura: módulos de salud e ingeniería 1.2.2.5. Infraestructura: oficinas, áreas libres y otras zonas 1.3. Metas de Atención 2006- 2011 (parte) y proyección 2011 – 2016 1.4. Población Estudiantil 2011 1.4.1. Población Estudiantil por carreras profesionales 2011 1.4.2. Población Estudiantil en extensión educativa 1.4.3. Población Estudiantil en CETPRO 1.5. Personal Docente 1.6. Personal Administrativo y de apoyo 1.7. Ingresos económicos aproximados desde 2005 hasta 2011 1.8. Ingresos proyectados 2012 - 2016 CAPÍTULO II 2. Base legal y Resoluciones Directorales de autorización y funcionamiento de las carreras profesionales tecnológicas del IESTP “IPAL” “HACER Y HACER BIEN LAS COSAS” Página 2
  • 3.
    PROYECTO EDUCATIVO INSTITUCIONAL2011-2016-IPAL 2.1. Dispositivos legales Ministerio de Educación y otros documentos importantes. 2.2. Resoluciones Directorales de creación y autorización de funcionamiento de carreras profesionales tecnológicas CAPÍTULO III 3. PRINCIPIOS Y BASES CONCEPTUALES EN IPAL 3.1. Misión Institucional 3.2. Visión Institucional 3.3. Valores Institucionales 3.4. Objetivos Generales del IESTP “IPAL” 3.4.1. Gestión Pedagógica 3.4.2. Gestión Institucional 3.4.3. Gestión Administrativa 3.5. Principios Institucionales 3.6. Perfiles ideales de los agentes educativos 3.6.1. Perfil de los directivos 3.6.2. Perfil del docente 3.6.3. Perfil del estudiante 3.6.3.1. Desarrollo personal 3.6.3.2. Habilidades comunicativas 3.6.3.3. Habilidades sociales 3.6.3.4. Cualidades profesionales 3.7. Sistema de evaluación del IESTP “IPAL” 3.7.1. Concepto 3.7.2. Finalidad 3.7.3. Principios 3.7.4. Objetivos 3.7.5. Características de la evaluación 3.7.6. Funciones 3.7.7. Tipos “HACER Y HACER BIEN LAS COSAS” Página 3
  • 4.
    PROYECTO EDUCATIVO INSTITUCIONAL2011-2016-IPAL CAPÍTULO IV 4. DIAGNÓSTICO Y AUTOEVALUACIÓN ESTRATÉGICA DE LA REALIDAD EDUCATIVA IPAL 4.1. Autoevaluación estratégica de las Gestión Institucional 4.2. Autoevaluación de los Procesos Académicos 4.3. Autoevaluación de los servicios y apoyo 4.4. Autoevaluación del impacto y resultados 4.5. Diagnóstico externo del IESTP “IPAL” 4.6. Objetivos estratégicos según resultados de diagnóstico y autoevaluación del IESTP “IPAL” CAPÍTULO V 5. PROPUESTA PEDAGÓGICA 5.1. Características, fines y objetivos de la Educación Superior Tecnológica 5.1.1. Características 5.1.2. Fines 5.1.3. Objetivos 5.2. Concepto de educación 5.3. Principios pedagógicos 5.3.1. Principios educacionales 5.3.2. Principios psicopedagógicos 5.4. Paradigma educativo 5.5. Modelo pedagógico 5.6. Modelo curricular 5.6.1. Estrategia de enseñanza para la promoción de aprendizajes significativos 5.6.2. Enfoque teórico del aprendizaje 5.6.3. Recomendaciones para el aprendizaje 5.6.4. Currículo 5.6.5. Materiales educativos y recursos didácticos 5.6.5.1. Tipos 5.6.5.2. Clasificación “HACER Y HACER BIEN LAS COSAS” Página 4
  • 5.
    PROYECTO EDUCATIVO INSTITUCIONAL2011-2016-IPAL 5.6.6. Proyecto curricular institución educativa 5.6.6.1. Fundamentos y concepciones de la propuesta pedagógica 5.6.6.2. Propuesta de perfiles profesionales 5.6.6.3. Logros de aprendizaje 5.6.6.4. Proceso de diversificación curricular 5.6.6.5. Plan de estudios 5.6.6.6. Programación curricular modular 5.6.6.7. Organización 5.6.6.8. Orientaciones metodológicas 5.6.6.9. Conserjería y servicio social 5.6.6.10. Evaluación 5.6.6.10.1. Marco conceptual 5.6.6.10.2. Estrategias de evaluación 5.6.6.11. Evaluación curricular 5.6.6.12. Proyectos pedagógicos CAPÍTULO VI 6. PROPUESTA DE GESTIÓN Y PROYECTOS DE INVERSIÓN INSTITUCIONAL 6.1. Concepción de gestión 6.2. Principios de gestión 6.3. Principios de gestión educativa 6.4. Procesos de gestión 6.5. Círculos de calidad 6.6. Clima institucional 6.7. Estructura orgánica 6.7.1. Organigrama 6.8. Instrumentos de gestión 6.8.1. Manual de Organización y Funciones (MOF) 6.8.2. Manual de Procedimiento Administrativos 6.9. Proyecto de Inversión Institucional 2011 – 2014 “HACER Y HACER BIEN LAS COSAS” Página 5
  • 6.
    PROYECTO EDUCATIVO INSTITUCIONAL2011-2016-IPAL 6.9.1. Flujo de caja del Proyecto Educativo Institucional (PEI) 2011 a 2014 6.9.2. Ingresos proyectados: Áreas de Ingeniería, más contabilidad y negocios (carreras nuevas). 6.9.3. Ingresos Área de Ingeniería 6.9.4. Ingresos Área de Contabilidad y Negocios 6.9.5. Egresos generales proyectados en cuatro años 6.9.6. Egresos remuneraciones 6.9.7. Egresos bienes y servicios 6.9.8. Egresos inversión en inmuebles 6.9.9. Egresos inversión en equipamiento 6.9.10. Egresos inversión en mobiliario 6.9.11. Otros egresos no financieros 6.9.12. Cuadro resumen de horas dictadas 2005-2011 6.10. Anexos (éstos serán presentados cuando sean requeridos) 6.10.1. Reglamento Institucional (RI) 6.10.2. Proyecto Educativo Institucional (PEI) 6.10.3. Proyecto de cada carrera profesional, adecuados todos al sistema modular. 6.10.4. -) 6.10.5. Reglamento Interno: procedimientos de admisión de formadores y personal administrativo. 6.10.6. Manual de Organización y Funciones (MOF) 6.10.7. Plan de Consejería 6.10.8. Reglamento de prácticas pre-profesionales 6.10.9. Reglamento de admisión 6.10.10. Reglamento de titulación 6.10.11. Inventarios 6.10.12. Programación curricular 6.10.13. Itinerarios formativos 6.10.14. Normatividad emitida por el Ministerio de Educación del Perú 6.10.15. Plan de supervisión educacional “HACER Y HACER BIEN LAS COSAS” Página 6
  • 7.
    PROYECTO EDUCATIVO INSTITUCIONAL2011-2016-IPAL 6.10.16. Plan de investigación 6.10.17. Mallas curriculares 6.10.18. Infraestructura: fotos inéditas 6.10.19. Otros que sean referidos a la gestión institucional 6.11. Referencias bibliográficas 6.12. Mallas curriculares “HACER Y HACER BIEN LAS COSAS” Página 7
  • 8.
    PROYECTO EDUCATIVO INSTITUCIONAL2011-2016-IPAL PRESENTACIÓN El PROYECTO EDUCATIVO INSTITUCIONAL (PEI), como instrumento de gestión, del INSTITUTO DE EDUCACIÓN SUPERIOR TECNOLÓGICO PRIVADO “PERUANO ALEMÁN“, ayudará mucho en la conducción de la institución educativa de manera estratégica y prospectiva, para responder a los diferentes cambios y exigencias de nuestra sociedad globalizada. El PROYECTO EDUCATIVO INSTITUCIONAL presentado sirve como instrumento de transformación y mejoramiento de la entidad; le da visión de futuro, identidad, cohesión en torno a objetivos comunes, organización y orden en el trabajo. En síntesis, construye el horizonte a donde aspiramos llegar “Ofreciendo un Servicio Educativo de Excelencia y Calidad”. El análisis estratégico en lo que respecta a Gestión Institucional, Procesos Académicos, Servicios de Apoyo y Resultados e Impacto, ha permitido establecer correlaciones entre fortalezas y debilidades en el ámbito interno, así como en las implicancias y posibilidades de un manejo de oportunidades y amenazas en el campo externo. Este análisis hace posible precisar los objetivos estratégicos tendientes a la solución de la problemática de la Institución, así como ha permitido determinar los principios directrices dentro de los cuales deben encuadrarse todas las actividades educativas a realizarse mediante el Plan Anual de Trabajo. Además, se ha hecho un análisis del aspecto económico y financiero, considerando variables de ingresos y egresos de los últimos 05 años, los que han servido para hacer proyecciones de un escenario económico para los siguientes cinco años. El resultado de este análisis se ha insertado en el Capítulo VI Propues-tas de Gestión Institucional, en el ítem sobre proyecto de inversión 2011 al 2014. Aquí encontraremos información relevante del significado económico que representará la apertura de 09 carreras profesionales experimentales para los próximos cinco años. También, el esmero y cuidado para efectivizar los egresos en equipamiento, materiales didácticos, remuneraciones y mejoramiento continuo. En consecuencia, el objetivo a corto plazo es garantizar el logro de las metas trazadas en el PROYECTO EDUCATIVO INSTITUCIONAL; significando esto un gran paso rumbo a la ACREDITACIÓN de cada carrera profesional técnica y, posteriormente de la Institución. “HACER Y HACER BIEN LAS COSAS” Página 8
  • 9.
    PROYECTO EDUCATIVO INSTITUCIONAL2011-2016-IPAL INTRODUCCIÓN El Instituto de Educación Superior Tecnológico Privado Peruano Alemán S.R.L., de Lima, tiene la enorme satisfacción de presentar a la comunidad educativa, los empresarios y población en general del Perú, su PROYECTO EDUCATIVO INSTITUCIONAL (PEI), correspondiente al período 2011 a 2016, plan que se enmarca dentro de una propuesta de reingeniería institucional que diéramos inicio el año 2005, con el apoyo invalorable de sus Promotores y Directores Generales Ing. Mario Gabriel Peláez Bardales y Dr. Eduardo Peláez Bardales, a quienes les damos desde este espacio nuestro reconocimiento público. Es la primera oportunidad que el IPAL comparte su PROYECTO EDUCATIVO INSTITUCIONAL con la comunidad educativa del Perú, dejando de lado viejos paradigmas. A partir de este escenario consideramos que somos una empresa de servicios educativos que está dispuesta a seguir liderando los cambios en la educación y formación tecnológica. Hoy estamos convencidos que el desarrollo industrial de las sociedades está enmarcado en el conocimiento de la ciencia y tecnología, por lo tanto no podemos seguir de espaldas ante esta realidad, más por el contrario tenemos ahora que abrir bien los ojos y adecuar la formación de los recursos humanos a las necesidades y demandas de los sectores productivos; con un pensamiento positivo de emprender soluciones a los problemas que caracterizan a éstos. Este PROYECTO EDUCATIVO INSTITUCIONAL lo consideramos como un instrumento de gestión y programación, que recoge las expectativas de quienes conformamos e integramos el IPAL, que sería considerado inconcluso si es que no tuviera el veredicto y aprobación de sus usuarios y población comprometida con la educación y modernidad, que siempre serán la razón de nuestro permanente deseo de superación; en ese sentido está abierta la posibilidad para recibir las sugerencias para su mejoramiento. El PROYECTO EDUCATIVO INSTITUCIONAL es la expresión de un compromiso social en el corto, mediano y largo plazo. Tenemos el infinito deseo de convertirnos o mejor aún en transformarnos en un Centro de Excelencia en la Educación Superior Tecnológica en el Perú; es un ambicioso proyecto de inversión que pone a prueba la capacidad de los recursos humanos del IPAL. Estamos conscientes que este reto no solo será posible con la participación de docentes, estudiantes, trabajadores y autoridades de IPAL, sino también con el concurso de la empresa privada, de las instituciones públicas del país, de las ONGs, asociaciones y otras instituciones de la sociedad civil. “HACER Y HACER BIEN LAS COSAS” Página 9
  • 10.
    PROYECTO EDUCATIVO INSTITUCIONAL2011-2016-IPAL Se conformó empíricamente, pero con el mejor deseo de proponer soluciones rápidas y efectivas, el Comité Estratégico de IPAL, compuesto por profesionales con vasta experiencia en el desarrollo de empresas educativas del país. Fueron muchas y largas las jornadas de trabajo que tuvo el Comité Estratégico de IPAL, para formular esta propuesta que, estará siempre con la consigna de ser debatida una y otra vez más, porque así se logró esta primera impresión. Esta idea fue aprobada por los Promotores y Directores Generales desde sus inicios, sumándose luego los agentes de esta comunidad educativa, quienes constantemente aportaron inmensa información importante para este logro. La metodología aplicada para la recolección de datos fue de reuniones informativas diarias, talleres, reuniones de trabajo, concertaciones de campo, y a través de plenarias, entre otras. Sin embargo, vuelvo a manifestar que este documento será muy importante y trascendente si lo consideramos como un instrumento de trabajo que orienta el desarrollo institucional en un horizonte temporal de seis años, es decir del 2011 al 2016. Cada uno de los integrantes de la comunidad Educativa IPAL está muy seguro hoy del rol que le toca jugar en estos escenarios muy competitivos, donde día a día surgen nuevas situaciones que hay que hacer frente, una de ellas el avance tecnológico acelerado, otros el surgimiento de nuevas empresas educativas en los conos norte y sur; nuevas políticas orientadas a formar institutos saludables, crear instituciones de educación superior sin fronteras. Entonces, esta realidad nos exige ser muy productivos, imaginativos, innovadores, efectivos, eficientes y eficaces, para hacerles frente a la competencia con herramientas como la que presentamos. Además, todo ello exige entre otras cosas a aprender a desaprender, conocer y saber más sobre cómo modernizar nuestra infraestructura, con tecnología y equipos modernos, sin colapsar económica y financieramente por los enormes costos que estos significan. Cómo mejorar nuestros procesos de información Intra y Extra; cómo lograr que todos conozcamos a cabalidad los sistemas y procesos de formación profesional, de atención eficiente al cliente, de procesos de mejora continua, del empoderamiento empresarial, de cómo hacer sostenible una empresa educativa. Estamos comprometidos en la reorientación de nuestra visión y misión institucional en el campo de la formación profesional técnica, respondiendo a la demanda social, productiva y empresarial del país y de las exigencias de la globalización. Buscamos que haya coherencia entre la oferta y demanda de profesionales técnico dentro del sistema laboral; la aplicación del Enfoque por Competencias y el Sistema Modular son elementos importantes de este proceso educativo que están en marcha desde el 2006, aplicando según nuestras propias competencias la RD 0896-2006-ED dada el 29-12-2006. “HACER Y HACER BIEN LAS COSAS” Página 10
  • 11.
    PROYECTO EDUCATIVO INSTITUCIONAL2011-2016-IPAL Hemos sido el primer Instituto Tecnológico en presentar un Plan de estudios aplicando el Diseño Curricular Básico en la Carrea de Mecánica Automotriz. El 2007 sale la RD Nº 0339-2007-ED autorizándonos a aplicar el Nuevo Diseño Curricular Básico. Dos años más tarde sale la RD Nº 0255-2009-ED autorizándonos a aplicar el DCB en las Carreas de Contabilidad, Secretariado Ejecutivo, Enfermería Técnica, Farmacia Técnica y Computación e Informática. Como vemos poco a poco fuimos implementando este sistema en las carreras profesionales técnicas autorizadas por el Ministerio de Educación. Tampoco nos quedamos ahí, el 2011 presentamos 09 proyectos de carreras experimentales al Ministerio de Educación para su aprobación. Las carreras propuestas, son el resultado del estudio de mercado serio y altamente técnico que se realizó con el equipo especializado en esos fines. Estas carreras propuestas se concentran en dos ejes del desarrollo Perú 2021; son las vinculadas al área de Contabilidad y Negocios: Contabilidad y Finanzas, Secretariado Ejecutivo Bilingüe, Marketing Empresarial, Administración y Gestión Empresarial, Gastronomía y Arte Culinario, Administración de Negocios Internacionales y, al Área de Ingenierías: Autotrónica, Análisis de Sistemas y Modelamiento de Base de Datos, Diseño Gráfico y Publicidad Digital. Esperamos pronto recibir la resolución Directoral de autorización de funcionamiento de estas carreras profesionales técnicas, las mismas que obedecen a cómo debemos, en tiempo real, prevenir las contingencias y asegurar el sostenimiento de IPAL en los próximos años. También, se crearon las carreras profesionales técnicas de Electrónica Industrial y Electrotecnia Industrial con RD Nº 00780-2010-ED, el 24 de setiembre del 2010. La que a su vez se logró adecuar con Certificado Nº 070-2011-DESTP. Otras carreras que están en proceso de evaluación para determinar su continuidad son Laboratorio Clínico, Prótesis Dental y Fisioterapia y Rehabilitación. Estamos a la expectativa de que nuestros Centros de Producción participen en eventos importantes como el que se dio el 2008, el Concurso Público Nº 003-2009 promovido por la Región Callao, en donde participamos en Consorcio en la Capacitación de 5400 profesores de la Región Callao en el curso de “Herramientas de Productividad”, Concurso público que ganamos gracias a la experiencia propia y de nuestros consorciados. Estas oportunidades de negocio se presentan en diferentes empresas; tenemos experiencia en la Capacitación al personal del Servicio de Mantenimiento de aviones de la FAP y comerciales, a quienes les dimos cursos de OSCE, SIAF, Contabilidad, Computación y otros, entre los años 2008 y 2009. Así como la capacitación al personal de tropa del GRUOT, SESAN FAP; desde el 2007 hasta el 2009. Este año, por decir, “HACER Y HACER BIEN LAS COSAS” Página 11
  • 12.
    PROYECTO EDUCATIVO INSTITUCIONAL2011-2016-IPAL seguimos capacitando en la FAP en cursos que se dictan en el CETPRO IPAL como Cosmetología, Mecánica, Electricidad y otros. Finalmente queremos agradecer a los señores Directores, Asesores, Coordinadores, Docentes, personal administrativo, estudiantes y empresarios, por habernos apoyado en todo momento y nos dan la suficiente confianza para emprender estas acciones de cambio en IPAL; hoy más que nunca hemos encontrado un eco positivo para iniciar una nueva cultura de emprendimiento y constantes cambios, que en términos técnicos significan la AUTOEVALUACIÓN como primer paso rumbo a la ACREDITACIÓN DE LAS CARREAS PROFESIONALES TÉCNICAS DE IPAL. Lima, 15 de Enero del 2011 “HACER Y HACER BIEN LAS COSAS” Página 12
  • 13.
    PROYECTO EDUCATIVO INSTITUCIONAL2011-2016-IPAL CAPÍTULO I 3. DATOS INSTITUCIONALES 1.1. DENOMINACIÓN INSTITUTO DE EDUCACION SUPERIOR TECNÓLOGICO PRIVADO “PERUANO ALEMAN” S.R.L 1.1.1. DOCUMENTACIÓN LEGAL DE CREACIÓN El estudio de factibilidad fue aprobado en agosto de 1,983 por R.M. Nº 910- 83-ED del 26 de septiembre del mismo año. Con R.M. Nº 1221-83-ED se autorizó su funcionamiento y adecuó su nombre según la Ley General de Educación, a “Instituto Superior Tecnológico No Estatal Peruano Alemán”. 1.1.2. MIEMBROS DEL ÓRGANO DIRECTIVO NOMBRE CARGO DNI Mg. Ing. MARIO GABRIEL PELÁEZ a DIRECTOR GENERAL 08777064 BARDALES b Dr. EDUARDO PELÁEZ BARDALES DIRECTOR GENERAL 07959685 c Dr. EDUARDO PELÁEZ SANTILLÁN DIRECTOR EJECUTIVO Mg. Ing. CARLOS ENRIQUE d DIRECTOR ACADÉMICO 20074139 MELGAR MARAVÍ e Lic. ALBERTO TABOADA JIMÉNEZ ASESOR ACADÉMICO 1.1.3. NIVELES Y MODALIDADES QUE ATIENDE NIVEL SUPERIOR Educación Superior Tecnológica TURNOS Mañana y Noche Dirección Regional de Educación de Lima Metropolitana. JURISDICCIÓN EDUCATIVA Unidad de Gestión Ejecutiva Local – UGEL 03: Lima “HACER Y HACER BIEN LAS COSAS” Página 13
  • 14.
    PROYECTO EDUCATIVO INSTITUCIONAL2011-2016-IPAL 1.2. CARACTERÍSTICAS DEL LOCAL 1.2.1. UBICACIÓN GEOGRÁFICA RUBROS LOCAL 1 a. Departamento Lima b. Provincia Lima c. Distrito Cercadode Lima d. Dirección Av. Uruguay Nº 514 e. Teléfono 4115888 f. Email peruanoaleman@ipal.edu.com 1.2.2. INFRAESTRUCTURA Y EQUIPAMIENTO: Campus Tecnológico Propio: 5039.92 M2 Av. Uruguay 514 y otros dos ingresos hacia el Jr. Chota 1148 y 1170 - Lima (Sede Institucional). Además, el área techada del primer piso es de 2735.84 m 2 y área libre de 1154.43 m2; cumpliéndose con lo establecido por las normas legales de tener un mínimo del 30% de área libre para las instituciones de educación superior. En el segundo piso tenemos un área techada de 3662.52 m 2, en el tercer piso un área techada de 2858.95 m2, y, en el cuarto nivel un área techada de 887.80 m2. Por lo tanto, el área total techada de IPAL es de aproximadamente 10145.11 m 2. 1.2.2.1 INFRAESTRUCTURA: AULAS DISTRIBUCIÓN DE AULAS 2011 CAPACIDAD Nº AULA UBICACIÓN LARGO ANCHO ÁREA MÁXIMA MOBILIARIO POR AULA 1 101 1er Piso 5.45 4.65 25.34 21.12 22 Carpetas 2 102 1er Piso 5.45 4.50 24.53 20.44 21 Carpetas 3 103 1er Piso 5.45 4.80 26.16 21.80 23 Carpetas 4 104 1er Piso 5.90 4.75 28.03 23.35 8 mesas con 16 sillas 5 105 1er Piso 5.90 4.86 28.67 23.90 26 Carpetas 6 106 1er Piso 7.30 2.90 21.17 17.64 18 Carpetas 7 107 1er Piso 5.45 4.85 26.43 22.03 22 Carpetas 8 108 1er Piso 5.45 4.90 26.71 22.25 23 Carpetas “HACER Y HACER BIEN LAS COSAS” Página 14
  • 15.
    PROYECTO EDUCATIVO INSTITUCIONAL2011-2016-IPAL 15 mesas con 30 9 109 1er Piso 6.80 4.75 32.30 26.92 sillas 10 110 1er Piso 6.80 4.90 33.32 27.77 28 Carpetas 1 201 2do Piso 11.30 5.00 56.50 47.08 40 Carpetas 2 202 2do Piso 11.30 5.00 56.50 47.08 40 Carpetas 3 203 2do Piso 11.30 5.70 64.41 53.68 17 mesas con 34 sillas 4 204 2do Piso 11.30 5.50 62.15 51.79 19 mesas con 38 sillas 5 205 2do Piso 11.30 5.75 64.98 54.15 40 Carpetas 6 206 2do Piso 9.20 4.85 44.62 37.18 38 Carpetas 7 207 2do Piso 9.20 4.90 45.08 37.57 16 mesas con 32 sillas 8 208 2do Piso 9.20 4.80 44.16 36.80 15 mesas con 30 sillas 9 209 2do Piso 9.20 4.80 44.16 36.80 37 Carpetas 10 210 2do Piso 9.20 4.70 43.24 36.03 15 mesas con 30 sillas 11 211 2do Piso 9.75 4.00 39.00 32.50 13 mesas con 26 sillas 12 212 2do Piso 5.70 4.80 27.36 22.80 15 mesas con 30 sillas 13 213 2do Piso 5.60 3.00 16.80 14.00 21 Carpetas 14 214 2do Piso 5.90 4.80 28.32 23.60 26 Carpetas 15 215 2do Piso 5.90 4.80 28.32 23.60 26 Carpetas 16 216 2do Piso 5.70 4.80 27.36 22.80 12 mesas con 24 sillas 17 217 2do Piso 4.90 4.30 21.07 17.56 18 Carpetas 18 218 2do Piso 5.70 4.80 27.36 22.80 9 mesas con 18 sillas 19 219 2do Piso 5.90 4.80 28.32 23.60 24 Carpetas 20 220 2do Piso 5.90 4.80 28.32 23.60 24 Carpetas 21 221 2do Piso 5.90 4.80 28.32 23.60 24 Carpetas 22 222 2do Piso 4.90 4.00 19.60 16.33 18 Carpetas 23 223 2do Piso 5.00 4.00 20.00 16.67 18 Carpetas 24 224 2do Piso 5.70 5.50 31.35 26.13 11 mesas con 22 sillas 25 225 2do Piso 8.40 3.80 31.92 26.60 28 Carpetas 26 226 2do Piso 5.50 4.80 26.40 22.00 22 Carpetas 27 227 2do Piso 6.80 5.50 37.40 31.17 30 Carpetas “HACER Y HACER BIEN LAS COSAS” Página 15
  • 16.
    PROYECTO EDUCATIVO INSTITUCIONAL2011-2016-IPAL 28 228 2do Piso 9.50 5.50 52.25 43.54 9 mesas con 26 sillas 29 229 2do Piso 6.40 3.40 21.76 18.13 18 Carpetas 30 230 2do Piso 4.80 3.80 18.24 15.20 16 Carpetas 31 231 2do Piso 5.00 3.80 19.00 15.83 16 Carpetas 32 232 2do Piso 11.50 5.00 57.50 47.92 40 Carpetas 33 233 2do Piso 11.50 5.00 57.50 47.92 40 Carpetas 34 234 2do Piso 11.50 5.00 57.50 47.92 40 Carpetas 35 235 2do Piso 7.50 5.50 41.25 34.38 30 Carpetas 36 236 2do Piso 7.50 5.50 41.25 34.38 30 Carpetas 1 301 3er Piso 11.30 5.00 56.50 47.08 40 Carpetas 2 302 3er Piso 11.30 5.00 56.50 47.08 40 Carpetas 3 303 3er Piso 11.30 5.00 56.50 47.08 40 Carpetas 4 304 3er Piso 11.30 7.00 79.10 65.92 40 Carpetas 5 305 3er Piso 11.30 6.00 67.80 56.50 15 mesas con 30 sillas 6 306 3er Piso 11.30 5.50 62.15 51.79 15 mesas con 34 sillas 7 307 3er Piso 11.30 5.50 62.15 51.79 12 mesas con 30 sillas 8 308 3er Piso 11.30 5.75 64.98 54.15 15 mesas con 36 sillas 9 309 3er Piso 9.20 4.60 42.32 35.27 11 mesas con 35 sillas 10 310 3er Piso 9.20 4.60 42.32 35.27 14 mesas con 33 sillas 11 311 3er Piso 7.00 4.80 33.60 28.00 06 mesas con 18 sillas 12 312 3er Piso 4.60 4.50 20.70 17.25 06 mesas con 18 sillas 13 313 3er Piso 5.30 4.60 24.38 20.32 03 mesas con 12 sillas 14 314 3er Piso 5.30 3.60 19.08 15.90 05 mesas con 17 sillas 15 315 3er Piso 5.80 5.00 29.00 24.17 11 mesas con 20 sillas 16 316 3er Piso 5.80 4.75 27.55 22.96 10 mesas con 22 sillas 17 317 3er Piso 11.50 4.80 55.20 46.00 40 Carpetas 18 318 3er Piso 11.50 4.80 55.20 46.00 40 Carpetas 19 319 3er Piso 11.50 4.80 55.20 46.00 40 Carpetas 20 320 3er Piso 7.30 5.50 40.15 33.46 30 Carpetas “HACER Y HACER BIEN LAS COSAS” Página 16
  • 17.
    PROYECTO EDUCATIVO INSTITUCIONAL2011-2016-IPAL 21 321 3er Piso 7.30 5.50 40.15 33.46 30 Carpetas 22 322 3er Piso 11.30 3.20 36.16 30.13 30 Carpetas 1 401 4to Piso 8.15 5.50 44.83 37.35 35 Carpetas 2 402 4to Piso 8.15 5.50 44.83 37.35 35 Carpetas 3 403 4to Piso 9.00 4.70 42.30 35.25 15 mesas con 30 sillas 4 404 4to Piso 10.00 5.75 57.50 47.92 13 mesas con 32 sillas 5 405 4to Piso 9.80 5.80 56.84 47.37 18 mesas con 31 sillas 6 406 4to Piso 6.30 3.90 24.57 20.48 20 Carpetas 7 407 4to Piso 9.20 4.85 44.62 37.18 19 mesas con 37 sillas 8 408 4to Piso 7.40 6.00 44.40 37.00 38 Carpetas 9 409 4to Piso 7.40 6.20 45.88 38.23 33 Carpetas 10 410 4to Piso 7.40 5.80 42.92 35.77 35 Carpetas SUB TOTAL CAPACIDAD INSTALADA 2589.40 Fuente: Elaboración Propia Como podemos apreciar en el cuadro adjunto, contamos con suficiente cantidad de aulas, y cada una de ellas con un mobiliario moderno, que permite que las actividades académicas sean lo más cómodas posibles. Contamos con algunas aulas con áreas menores a 24.00 m 2, destinadas al VI semestre de algunas carreras que tienen población estudiantil menor a 18 alumnos, debido al decrecimiento vegetativo existente. Distribución resumen de Aulas por Piso Descripción CANTIDAD UBICACIÓN 78 Aulas 1º piso 10 1er Piso Aulas 2º piso 36 2do Piso Aulas 3º piso 22 3er Piso Aulas 4º piso 10 4to Piso Fuente: Elaboración propia En la mayoría de aulas se han instalado televisores de 42” LCD, que como material didáctico y para las clases teóricas resultan motivadoras. Además, como se ve en los cuadros anteriores, se cuenta con aproximadamente 500 mesas “HACER Y HACER BIEN LAS COSAS” Página 17
  • 18.
    PROYECTO EDUCATIVO INSTITUCIONAL2011-2016-IPAL distribuidas en las aulas, aspecto que hay que resaltar, puesto que ello ayuda mucho para que las clases sean dinámicas y manejadas por cada equipo de trabajo. La capacidad instalada es para atender por turno a aproximadamente 2589 estudiantes 1.2.2.2 INFRAESTRUCTURA: TALLERES: Se cuenta con 17 talleres para el Área de Ingeniería, en la que se encuentran las carreras de Mecánica Automotriz, Electrónica Industrial, Electricidad Industrial, Computación e Informática, Diseño Gráfico y próximamente Autotrónica. Adicionalmente para el Área de Contabilidad y Negocios tenemos un total de 04 talleres. La capacidad instalada por turno en estos talleres de para atender a 452 estudiantes. DISTRIBUCIÓN DE TALLERES DE ÁREA DE INGENIERÍA Y, ÁREA DE CONTABILIDAD Y NEGOCIOS 2011 Nº TALLER DENOMINACIÓN UBICACIÓN LARGO ANCHO ÁREA CAPAC/AULA 1 101 ELECTRICIDAD 1er Piso 11.80 4.10 48.38 21.99 2 102 ELECTRÓNICA 1er Piso 11.80 3.90 46.02 20.92 3 103 MECÁNICA DE AJUSTE A 1er Piso 11.60 5.40 62.64 28.47 4 104 AUTOTRONICA A 1er Piso 11.60 5.10 59.16 26.89 5 105 AUTOTRONICA B 1er Piso 11.60 5.10 59.16 26.89 SISTEMAS DE TRANSMISIÓN 6 106 MECÁNICA Y AUTOMÁTICA 1er Piso 11.60 4.70 54.52 24.78 7 107 ELECTROTECNIA 1er Piso 9.80 4.80 47.04 21.38 REPARACIÓN DE MOTORES 8 108 OTTO Y DIESEL 1er Piso 9.50 4.90 46.55 21.16 CONVERSIÓN DE 9 109 1er Piso 9.50 4.90 46.55 21.16 MOTORES OTTO A GAS 10 110 MECÁNICA DE AJUSTE B 1er Piso 9.50 4.90 46.55 21.16 SISTEMA DE 11 111 ALIMENTACIÓN Y BOMBAS 1er Piso 5.50 4.90 26.95 12.25 DE INYECCIÓN DIESEL AFINAMIENTO 12 112 1er Piso 5.50 4.90 26.95 12.25 ELECTRÓNICO 13 201 ELECTRÓNICA 2do Piso 10.00 5.07 50.70 23.05 14 401 DIBUJO TÉCNICO 4º Piso 7.40 6.00 44.40 20.18 DISTRIBUCIÓN DE TALLERES EN COMPUTACIÓN E INFORMÁTICA 2011 TALLER DE 1 201 2do Piso 14.00 5.50 77.00 35.00 ENSAMBLAJE DE PCs “HACER Y HACER BIEN LAS COSAS” Página 18
  • 19.
    PROYECTO EDUCATIVO INSTITUCIONAL2011-2016-IPAL TALLER DE 2 202 2do Piso 9.10 4.80 43.68 19.85 ENSAMBLAJE DE PCs TALLER DE 3 203 2do Piso 5.60 5.20 29.12 13.24 ENSAMBLAJE DE PCs DISTRIBUCIÓN DE TALLERES EN SECRETARIADO 2011 MECANOGRAFÍA 1 301 3er Piso 16.00 5.80 92.80 37.12 MECÁNICA MECANOGRAFÍA 2 302 3er Piso 5.8 4.80 27.84 12.65 ELECTRÓNICA DISTRIBUCIÓN DE TALLERES GASTRONOMÍA 2011 1 401 TALLER DE COCINA 8.15 4.95 40.34 33.62 15.28 TALLER BAR / 2 402 8.15 5.55 45.23 37.69 17.13 COMEDOR CAPACIDAD INSTALADA POR TURNO 452.81 Fuente: elaboración propia 1.2.2.3 INFRAESTRUCTURA: LABORATORIOS DE CÓMPUTO: Actualmente contamos con 10 laboratorios de cómputo, todos ellos con tecnología de última generación. La capacidad instalada dentro de estos laboratorios es para atender aproximadamente a 300 estudiantes por turno. LABORATORIOS DE INGENIERÍA, CONTABILIDAD Y NEGOCIOS Y SALUD 2011 Nº LABORATORIO DENOMINACIÓN UBICACIÓN LARGO ANCHO ÁREA CAPACIDAD 1 101 COMPUTACIÓN 1er Piso 13.50 5.00 67.50 27.00 2 102 COMPUTACIÓN 1er Piso 13.50 5.00 67.50 27.00 3 103 COMPUTACIÓN 1er Piso 13.50 6.00 81.00 32.00 4 104 COMPUTACIÓN 1er Piso 13.50 6.00 81.00 32.00 5 105 COMPUTACIÓN 1er Piso 13.80 4.85 66.93 27.00 6 201 COMPUTACIÓN 2do Piso 11.30 5.00 56.50 23.00 7 202 COMPUTACIÓN 2do Piso 11.30 5.00 56.50 23.00 8 203 COMPUTACIÓN 2do Piso 11.30 7.00 79.10 32.00 9 204 COMPUTACIÓN 2do Piso 11.30 6.00 67.80 27.00 10 205 COMPUTACIÓN 2do Piso 10.40 5.00 52.00 21.00 Nº LABORATORIO DENOMINACIÓN UBICACIÓN LARGO ANCHO ÁREA CAPACIDAD 1 101 FÍSICA Y QUÍMICA 1er Piso 9.90 5.80 57.42 38.28 SUB TOTAL CAPACIDAD INSTALADA 309.28 Fuente: Elaboración Propia “HACER Y HACER BIEN LAS COSAS” Página 19
  • 20.
    PROYECTO EDUCATIVO INSTITUCIONAL2011-2016-IPAL 1.2.2.4 INFRAESTRUCTURA: MÓDULOS DE SALUD: LABORATORIOS Y MÓDULOS DE INGENIERÍA Y SALUD 2011 Nº DENOMINACIÓN UBICACIÓN LARGO ANCHO Área CAPACIDAD MÓDULO DE CRECIMIENTO 1 2do Piso 5.30 3.10 16.43 8.00 Y DESARROLLO LABORATORIO DE 2 BIOQUÍMICA - QUÍMICA - 2do Piso 8.40 5.70 47.88 24.00 BIOLOGÍA MÓDULO ENFERMERÍA 3 2do Piso 7.80 4.00 31.20 16.00 BÁSICA I MÓDULO ENFERMERÍA 4 2do Piso 13.50 5.60 75.60 38.00 BÁSICA II 5 SALA DE VIDEO 2do Piso 6.90 3.90 26.91 13.00 6 MÓDULO DE FARMACIA 2do Piso 9.50 4.00 38.00 19.00 MÓDULO DE ANATOMÍA Y 7 2do Piso 8.50 5.60 47.60 24.00 FISIOLOGÍA LABORATORIO DE ANÁLISIS 8 BROMATOLÓGICO Y 2do Piso 9.70 5.70 55.29 28.00 MICROBIOLOGÍA MÓDULO DE PREPARADOS 9 2do Piso 7.40 5.60 41.44 21.00 GALÉNICOS SUB TOTAL CAPACIDAD INSTALADA 191.00 Fuente: Elaboración propia Los módulos de salud están a disposición de los estudiantes de las carreras profesionales de Enfermería Técnica y Farmacia Técnica principalmente. La capacidad instalada de estos laboratorios es para atender por turno a aproximadamente 191 estudiantes. “HACER Y HACER BIEN LAS COSAS” Página 20
  • 21.
    PROYECTO EDUCATIVO INSTITUCIONAL2011-2016-IPAL 1.2.2.5 INFRAESTRUCTURA: OFICINAS, ÁREAS LIBRES Y OTRAS ZONAS IMPORTANTES PARA REALIZAR ACTIVIDADES ACADÉMICAS Y PRESTAR SERVICIOS ADMINISTRATIVOS: ÁREA LIBRE, ÁREAS DE APOYO AL ESTUDIANTE Y OFICINAS ADMINISTRATIVAS TOTAL Nº DENOMINACIÓN PISO LARGO ANCHO m2 ÁREA LIBRE 1 PATIO 1º PISO (SECTOR 1) 1er Piso 21.20 20.75 439.90 2 PATIO 1º PISO (SECTOR 2) 1er Piso 38.22 10.35 395.58 3 PATIO 1º PISO (SECTOR 3) 1er Piso 37.20 3.50 130.20 4 PATIO 1º PISO (SECTOR 4) 1er Piso 26.50 3.00 79.50 5 PATIO 1º PISO (SECTOR 5) 1er Piso 14.80 3.60 53.28 6 PATIO 1º PISO (SECTOR 6) 1er Piso 4.85 5.80 28.13 7 PATIO 1º PISO (SECTOR 7) 1er Piso 4.80 5.80 27.84 TOTAL ÁREA LIBRE 1154.43 AUDITORIOS AUDITORIO ALEXANDER VON 1er Piso 29.50 10.00 295.00 1 HUMBOLDT 2 AUDITORIO ROBERT KOCH 3er Piso 20.00 10.00 200.00 OFICINAS PERSONAL DIRECTIVO, ACADÉMICO Y ADMINISTRATIVO 3 DIRECCIÓN GENERAL 1er Piso 7.20 5.40 38.88 SALA DE REUNIONES DE 1er Piso 7.20 6.00 43.20 4 DIRECTORIO 5 OFICINA DE CAJA 1er Piso 4.20 4.50 18.90 6 HALL DE RECEPCIÓN 1er Piso 7.20 5.60 40.32 HALL DE INGRESO DIRECCIÓN 1er Piso 5.60 6.50 36.40 7 GENERAL 8 HALL DE INGRESO - JR. CHOTA 1er Piso 10.50 6.50 68.25 COORDINACIÓN DE ÁREA DE INGENIERÍA (MECÁNICA, 2do Piso 9.80 4.30 42.14 9 ELECTRÓNICA I, ELECTRICIDAD I) 10 COORDINACIÓN DE SALUD 2do Piso 4.60 3.50 16.10 ÁREA DE CONTROL DE PRÁCTICAS 11 SALUD 2do Piso 3.00 2.60 7.80 COORDINACIÓN DE ÁREA DE INGENIERÍA (COMPUTACIÓN E 12 INFORMÁTICA) 2do Piso 2.90 3.10 8.99 13 OFICINA DE EXTENSIÓN EDUCATIVA 2do Piso 2.90 3.20 9.28 OFICINA DE SISTEMAS DE 14 INFORMACIÓN 2do Piso 5.50 2.50 13.75 “HACER Y HACER BIEN LAS COSAS” Página 21
  • 22.
    PROYECTO EDUCATIVO INSTITUCIONAL2011-2016-IPAL 15 OFICINA DE IMAGEN INSTITUCIONAL 2do Piso 5.60 3.80 21.28 16 OFICINA DE SUPERVISIÓN DE PAGOS 2do Piso 7.50 6.00 45.00 17 OFICINA DE APOYO AL ESTUDIANTE 2do Piso 6.00 2.80 16.80 18 DIRECCIÓN ACADÉMICA 3er Piso 4.50 4.00 18.00 OFICINA DE SECRETARÍA 19 ACADÉMICA 3er Piso 7.20 4.50 32.40 20 OFICINA DE ASESORÍA 3er Piso 4.80 3.00 14.40 OFICINA DE ACTAS, NÓMINAS Y 3er Piso 2.20 4.40 9.68 21 CERTIFICADOS DIRECCIÓN DE ADMINISTRACIÓN 3er Piso 7.50 6.00 45.00 22 COORDINACIÓN DE CONTABILIDAD Y 3er Piso 4.00 2.30 9.20 23 NEGOCIOS 24 OFICINA DE RELACIONES PÚBLICAS 3er Piso 5.80 4.00 23.20 25 ÁREA DE EDUCACIÓN VIAL 3er Piso 5.60 5.00 28.00 OTRAS ÁREAS IMPORTANTES 26 ALMACÉN 1er Piso 15.40 4.40 67.76 27 ALMACÉN 2do Piso 4.80 4.50 21.60 28 VESTUARIO A 1er Piso 3.00 4.00 12.00 29 VESTUARIO B 1er Piso 3.00 3.80 11.40 30 VESTUARIO C 1er Piso 3.00 4.80 14.40 31 SERVICIOS HIGIÉNICOS DAMAS (5) 1er Piso 30.10 1.00 30.10 32 SERVICIOS HIGIÉNICOS VARONES (6) 1er Piso 31.80 1.00 31.80 SS. HH. PERSONAL 1er Piso 8.00 1.00 8.00 33 ADMINISTRATIVOS (2) 34 SS. HH. PARA DISCAPACITADOS (2) 1er Piso 6.00 1.00 6.00 35 JEFATURA DE TALLER 1er Piso 3.60 4.50 16.20 36 SERVICIOS HIGIÉNICOS VARONES (4) 2do Piso 43.00 1.00 43.00 37 SERVICIOS HIGIÉNICOS DAMAS (5) 2do Piso 54.50 1.00 54.50 SS.HH. PERSONAL ADMINISTRATIVO (3) 2do Piso 38 39 LIBRERÍA 1 2do Piso 1.70 2.25 3.83 DEPARTAMENTO 2do Piso 3.00 2.60 7.80 40 PSICOPEDAGÓGICO 41 TÓPICO DE SALUD 2do Piso 3.00 2.60 7.80 42 DEPÓSITO 1 2do Piso 2.50 2.00 5.00 43 DEPÓSITO 2 2do Piso 6.50 3.00 19.50 44 DEPÓSITO 3 2do Piso 5.00 3.00 15.00 45 DEPÓSITO 4 2do Piso 4.70 3.00 14.10 “HACER Y HACER BIEN LAS COSAS” Página 22
  • 23.
    PROYECTO EDUCATIVO INSTITUCIONAL2011-2016-IPAL 46 DEPÓSITO 1 3er Piso 3.20 3.00 9.60 47 DEPÓSITO 2 3er Piso 3.20 3.00 9.60 48 DEPÓSITO 3 3er Piso 3.00 2.00 6.00 49 DEPÓSITO 4 3er Piso 7.50 6.00 45.00 50 DEPÓSITO 5 3er Piso 7.50 5.50 41.25 51 ARCHIVO 1 3er Piso 3.50 3.20 11.20 52 ARCHIVO 2 3er Piso 4.50 6.00 27.00 53 SERVICIOS HIGIÉNICOS DAMAS (03) 3er Piso 43.00 1.00 43.00 SERVICIOS HIGIÉNICOS VARONES 3er Piso 51.00 1.00 51.00 54 (03) SS. HH. PERSONAL ADMINISTRATIVO 3er Piso 43.00 1.00 43.00 55 (7) SERVICIOS HIGIÉNICOS DOCENTES 3er Piso 6.00 1.00 6.00 56 (2) 57 LIBRERÍA 2 3er Piso 9.30 2.40 22.32 58 CAFETÍN 1 3er Piso 9.50 8.80 83.60 59 BIBLIOTECA (habilitada con 17 PCs) 3er Piso 13.60 10.20 138.72 60 LOSA DEPORTIVA 3er Piso 41.00 17.00 697.00 61 SALA DE PROFESORES 3er Piso 5.60 5.00 28.00 62 OFICINA DE MAQUINARIA PESADA 3er Piso 4.70 3.50 16.45 SERVICIOS HIGIÉNICOS VARONES 4to Piso 4.40 2.80 12.32 63 (02) 64 SERVICIOS HIGIÉNICOS DAMAS (01) 4to Piso 4.40 3.00 13.20 SS. HH. PERSONAL ADMINISTRATIVO 4to Piso 12.00 1.00 12.00 65 (2) 66 CAFETÍN 2 4to Piso 23.00 6.00 138.00 Fuente: Elaboración Propia “HACER Y HACER BIEN LAS COSAS” Página 23
  • 24.
    PROYECTO EDUCATIVO INSTITUCIONAL2011-2016-IPAL 1.3. METAS DE ATENCIÓN: Del cuadro adjunto podemos apreciar que en los últimos seis años, el Ministerio de Educación a través de la Dirección Regional de Educación de Lima Metropolitana nos han asignado metas de atención en un promedio de 2220 alumnos por año para las diferentes carreras profesionales que ofertamos. Estas Resoluciones Directorales de otorgamiento de Metas contemplan para tal efecto, en primer lugar la información Censal que remitimos anualmente a la DRELM; en segundo lugar la RD Nº 0275-2005 de Revalidación, en la que después de una evaluación rigurosa del Ministerio de Educación de Infraestructura, docentes y equipos asignó una meta anual de 1045 alumnos por turno y, otras Resoluciones otorgadas por la DRELM en la que se menciona el incremento de la capacidad instalada durante los últimos cinco años. Esta información de infraestructura y Metas de ingresantes anuales, nos han servido para preparar el cuadro adjunto, en donde proyectamos el crecimiento de IPAL durante los próximos cinco años, considerando las nuevas carreras profesionales que iniciarán sus actividades a partir del 2011. METAS DE INGRESANTES 2006 AL 2011 AÑOS 2006 2007 2008 2009 2010 2011 CARRERAS TD TN TD TN TD TN TD TN TD TN TD TN TOTAL TOTAL TOTAL TOTAL TOTAL TOTAL PROFESIONALES ENFERMERÍA TÉCNICA 300 570 870 150 550 700 150 400 550 200 200 400 200 90 290 150 90 240 TÉCNICA EN FARMACIA 40 70 110 40 80 120 40 80 120 70 100 170 70 100 170 100 70 170 TÉCNICA EN LABORATORIO 20 16 36 0 0 0 0 0 0 0 0 0 0 0 0 0 0 0 CLÍNICO COMPUTACIÓN E 60 60 120 60 80 140 60 80 140 100 70 170 100 150 250 180 100 280 INFORMÁTICA MECÁNICA AUTOMOTRIZ 500 380 880 500 700 1200 422 300 722 600 400 1000 600 400 1000 600 400 1000 SECRETARIADO EJECUTIVO 30 54 84 50 70 120 50 70 120 80 70 150 80 70 150 80 40 120 CONTABILIDAD 30 90 120 60 110 170 60 60 120 120 100 220 120 130 250 120 100 220 TÉCNICA EN FISIOTERAPIA 0 0 0 0 0 0 0 40 40 30 30 60 30 30 60 0 0 0 Y REHABILITACIÓN TÉCNICA EN PRÓTESIS 0 0 0 0 0 0 0 40 40 25 25 50 25 25 50 0 0 0 DENTAL ELECTRICIDAD INDUSTRIAL 0 0 0 0 0 0 0 0 0 0 0 0 0 0 0 60 40 100 ELECTRÓNICA INDUSTRIAL 0 0 0 0 0 0 0 0 0 0 0 0 0 0 0 60 40 100 SUB TOTAL METAS 980 1240 2220 860 1590 2450 782 1070 1852 1225 995 2220 1225 995 2220 1350 880 2230 METAS TOTALES 2220 2450 1852 2220 2220 2230 ANUALES Fuente: Elaboración propia “HACER Y HACER BIEN LAS COSAS” Página 24
  • 25.
    PROYECTO EDUCATIVO INSTITUCIONAL2011-2016-IPAL PROYECCIÓN DE METAS DE ATENCIÓN POR ÁREA PROFESIONAL 2011-2016 TD TN Movimiento Poblacional AULAS (Población ( Población item Carreras Profesionales Técnicas Actual y Proyectado en (Requerimiento estudiantil estudiantil 03 años Proyectado) estimada) estimada) ÁREA INGENIERÍA 2330 1165 1165 39 39 1 Mecánica Automotriz 960 480 480 16 16 2 Computación e Informática 250 125 125 4 4 3 Electricidad Industrial 60 30 30 1 1 4 Electrónica Industrial 60 30 30 1 1 5 Análisis de Sistemas y MBD (P) 90 45 45 2 2 6 Diseño Gráfico y Publicidad digital (P) 260 130 130 4 4 7 Autotrónica (P) 650 325 325 11 11 ÁREA DE CONTABILIDAD Y 1511 756 756 25 25 NEGOCIOS 1 Contabilidad 150 75 75 3 3 2 Secretariado Ejecutivo 100 50 50 2 2 3 Contabilidad y Finanzas (P) 390 195 195 7 7 4 Secretariado Ejecutivo Bilingüe (P) 195 97.5 97.5 3 3 5 Administración y Gestión Empresarial (P) 182 91 91 3 3 “HACER Y HACER BIEN LAS COSAS” Página 25
  • 26.
    PROYECTO EDUCATIVO INSTITUCIONAL2011-2016-IPAL Administración de Negocios Internacionales 6 182 91 91 3 3 (P) 7 Marketing Empresarial (P) 130 65 65 2 2 8 Gastronomía y Arte Culinario (P) 182 91 91 3 3 ÁREA DE SALUD 340 170 170 6 6 1 Farmacia 170 85 85 3 3 2 Enfermería 170 85 85 3 3 3 Fisioterapia y Rehabilitación 0 0 0 0 0 4 Prótesis dental 0 0 0 0 0 5 Laboratorio Clínico 0 0 0 0 0 Requerimiento total de aulas por turno 4181 2091 2091 70 70 Fuente: Elaboración propia P Se trata de las Carreras Profesionales Técnicas que están en proceso de autorización de funcionamiento de manera experimental Observación: Dada la demanda de profesionales de Contabilidad y Finanzas, Secretariado Ejecutivo Bilingüe y Autotrónica; se presume que en un futuro próximo éstas reemplazarán a las carreras de Contabilidad, Secretariado Ejecutivo y Mecánica Automotriz. Conclusión: En IPAL hay dos ingresos por año. Actualmente Contamos con un total de 78 aulas y 41 ambientes entre talleres, laboratorios, módulos, etc., disponibles, de los cuales en el momento que se cubra la demanda proyectada sólo necesitaremos aproximadamente 70 aulas por turno (tal como lo apreciamos en el cuadro). Por lo tanto, concluimos que la cantidad de aulas, por la rotación y factores técnicos contemplados cubre a futuro nuestras expectativas empresariales y de infraestructura. “HACER Y HACER BIEN LAS COSAS” Página 26
  • 27.
    PROYECTO EDUCATIVO INSTITUCIONAL2011-2016-IPAL 1.4. POBLACIÓN ESTUDIANTIL 2011: Nuestra Institución cuenta en su gran mayoría, con un personal docente comprometido con su labor, preparado y calificado para efectuar su labor docente con eficiencia. El personal administrativo está capacitado y preparado para actuar con identidad institucional y espíritu de colaboración. 1.4.1. POBLACIÓN ESTUDIANTILPOR CARRERA PROFESIONAL TECNOLÓGICA 2011: Actualmente contamos con una población estudiantil de 3347 estudiantes, distribuidos en las siguientes carreras: Carrera Profesional N° Estudiantes: N° Estudiantes: Turno Diurno Turno Nocturno 1.-CONTABILIDAD 75 160 2.-SECRETARIADO EJECUTIVO 61 47 3.-MECANICA AUTOMOTRIZ 587 911 4.-ENFERMERIA TECNICA 235 95 5.-FARMACIA 140 52 6.-COMPUTACION E INFORMATICA 223 112 7.-ADMINISTRACION Y GESTION 57 32 EMPRESARIAL 8.-SECRETARIADO EJECUTIVO BILINGUE 59 18 9.-CONTABILIDAD Y FINANZAS 115 35 10.-DISEÑO GRAFICO Y PUBLICIDAD Y 100 15 DIGITAL 11.-ADMINISTRACION DE NEGOCISO 32 12 INTERNACIONALES 12.-MARKETING EMPRESARIAL 15 0 13.-ELICTROTECNICA INDUSTRIAL 34 45 14.-ELECTRONICA INDUSTRIAL 26 14 15. FISIOTERAPIA Y REHABILITACIÓN 0 40 SUB TOTAL 1759 1588 Fuente: Elaboración propia, con información proyectada y estimada según fuentes internas de matrículas y estadísticas de los años 2008, 2009 y 2011. “HACER Y HACER BIEN LAS COSAS” Página 27
  • 28.
    PROYECTO EDUCATIVO INSTITUCIONAL2011-2016-IPAL Como podemos apreciar actualmente tenemos una población promedio de 1600 estudiantes por turno, que en total representa 3200 estudiantes en ambos turnos. Siendo nuestra capacidad instalada en función al número de estudiantes que podemos albergar, de: Aulas: 2589.00 Talleres: 452.00 Laboratorios de Cómputo: 309.00 Módulos y laboratorios de Salud: 191.00 Sub Total: 3541.00 Entonces actualmente contamos con una capacidad de 3541.00 estudiantes por turno. De los cuales, estamos usando en el turno diurno el 49.67% y en el turno nocturno el 44.84% de la capacidad instalada. Se está asumiendo como que el 100% de áreas están construidas y disponibles. Considerando que para los próximos tres años habremos culminado la construcción de 11 ambientes más en el área de ingenierías, podremos soportar la demanda venidera. 1.4.2. POBLACIÓN ESTUDIANTIL EN EXTENSIÓN EDUCATIVA: Tenemos una población estudiantil que vienen a estudiar los sábados y domingos, de aproximadamente 2000 estudiantes, distribuidos en los cursos de computación, diseño gráfico, turismo, secretariado, contabilidad, mecánica automotriz, entre otros. 1.4.3. POBLACIÓN ESTUDIANTIL EN CETPRO: Son aproximadamente 300 estudiantes de cosmetología y cursos afines. Funciona en un área específica asignada para tal fin. 1.4.4. PERSONAL DOCENTE: La institución viene brindando trabajo a muchos docentes. La disponibilidad de éstos es tomada en cuenta para clasificarla en docentes a dedicación exclusiva, a tiempo completo, o a tiempo parcial. Un alto porcentaje de ellos están con contrato a plazo determinado, sujeto a modalidad. Contamos en promedio en estos tres últimos años con cerca de 160 docentes, distribuidos en las carreras profesionales tecnológicas . “HACER Y HACER BIEN LAS COSAS” Página 28
  • 29.
    PROYECTO EDUCATIVO INSTITUCIONAL2011-2016-IPAL Por la particularidad de la formación superior tecnológica que brindamos, requerimos desde el primer semestre de docentes de especialidad, esto hace entonces que actualmente contemos con un porcentaje muy alto de docentes a tiempo parcial; considerando como cerca al 80% que están bajo esta condición. Los docentes a dedicación exclusiva representan cerca al 15% y a tiempo completo 5%. 1.4.5. PERSONAL ADMINISTRATIVO Y DE APOYO: Actualmente se cuenta con personal administrativo nombrado y contratado que cubren la atención en doble horario. Es decir, desde el inicio de nuestras actividades matinales hasta el cierre de nuestras operaciones diarias. Estas personas atienden a los estudiantes y padres de familia en lo que concierne a temas administrativos y académicos permanentemente. Se han asignado bien las funciones por áreas de trabajo, considerando el reglamente de organización y funciones. La Dirección académica, encargada de la conducción de los procesos académicos de todas las carreras profesionales, es ayudada por los Coordinadores académicos, quienes cumplen con el perfil establecido por norma expresa y Reglamento Institucional; que por ahora suman 04 más una profesional a cargo del área de extensión educativa. Además, cada Coordinador Académico tiene la facultad de solicitar el apoyo de practicantes para cubrir algunas operaciones que son parte de su formación profesional de éstos, estas actividades pueden ser de orden informático, secretarial, contable o de salud. También, se tienen responsables de los laboratorios de cómputo en cantidad suficiente, para los 10 laboratorios que actualmente tiene la institución. Así como también, se han instalado jefes de talleres por carrera profesional. IPAL por medidas de cautelar con el orden y seguridad de su comunidad educativa ha contratado los servicios de una empresa de vigilancia y seguridad, que es administrada por terceros, los que brindan seguridad durante las 24 horas del día por los 365 días del año. Actualmente, tenemos como servicio de apoyo al personal de limpieza, que en cantidad suficiente cumplen con la noble labor de mantener en perfectas condiciones de limpieza las aulas, laboratorios, módulos, talleres, losa deportiva, bibliotecas, auditorio y todas las áreas que se encuentran dentro de nuestras instalaciones. La forma de cómo se admite al personal administrativo, está establecido en el reglamento interno, y corresponde al rubro de Servicios de Apoyo. Estamos, por la cantidad de trabajadores en el área administrativa dentro de los estándares internacionales que indican que se debe de mantener un “HACER Y HACER BIEN LAS COSAS” Página 29
  • 30.
    PROYECTO EDUCATIVO INSTITUCIONAL2011-2016-IPAL porcentaje de entre 15 a 20% del total de estudiantes de la institución educativa, por lo tanto, si contamos con aproximadamente 3200 estudiantes, entonces necesitamos por norma aproximadamente 65 trabajadores administrativos. 1.5. INGRESOS ECONÓMICOS APROXIMADOS DESDE 2005 HASTA 2011 CUADRO DE INGRESOS 2005 A 2011 (en miles de soles) MESES/AÑOS 2005 2006 2007 2008 2009 2010 2011 ENERO 347.00 512.00 562.00 760.00 793.00 769.00 810.00 FEBRERO 309.00 437.00 576.00 669.00 737.00 776.00 750.00 MARZO 396.00 542.00 731.00 799.00 945.00 888.00 890.00 ABRIL 432.00 497.00 691.00 840.00 730.00 801.00 822.00 MAYO 482.00 584.00 753.00 830.00 829.00 929.00 990.00 JUNIO 382.00 475.00 606.00 825.00 713.00 785.00 800.00 JULIO 386.00 506.00 691.00 838.00 824.00 780.00 800.00 AGOSTO 472.00 572.00 841.00 908.00 928.00 980.00 1,000.00 SEPTIEMBRE 407.00 598.00 832.00 1,036.00 828.00 849.00 900.00 OCTUBRE 477.00 619.00 821.00 832.00 800.00 826.00 800.00 NOVIEMBRE 466.00 615.00 700.00 708.00 792.00 820.00 830.00 DICIEMBRE 364.00 473.00 579.00 681.00 607.00 682.00 750.00 4,920.00 6,430.00 8,383.00 9,726.00 9,526.00 11,895.00 12,153.00 Fuente: Elaboración propia, Se toma como base los PDT. Del cuadro adjunto podemos apreciar los ingresos de los últimos años de IPAL, según el PDT y algunos cálculos proyectados para lo que resta del 2011. Esta información nos ha servido para preparar el cuadro de Ingresos Proyectados para los otros cinco años, es decir 2012 a 2016, considerando los ingresos provenientes de las pensiones de las nuevas carreras experimentales que se inician en el 2011-II. 1.6. INGRESOS PROYECTADOS 2012-2016 CUADRO DE INGRESOS PROYECTADO 2011 A 2016 (en miles de soles) MESES/AÑOS 2012 2013 2014 2015 2016 ENERO 890.30 940.80 991.30 1,041.80 1,092.30 FEBRERO 838.10 883.60 929.10 974.60 1,020.10 MARZO 972.70 1,013.40 1,054.10 1,094.80 1,135.50 ABRIL 843.70 866.00 888.30 910.60 932.90 MAYO 1,038.10 1,095.40 1,152.70 1,210.00 1,267.30 JUNIO 850.20 885.00 919.80 954.60 989.40 JULIO 834.60 850.60 866.60 882.60 898.60 AGOSTO 1,048.40 1,087.40 1,126.40 1,165.40 1,204.40 SEPTIEMBRE 873.70 868.60 863.50 858.40 853.30 OCTUBRE 801.40 796.60 791.80 787.00 782.20 NOVIEMBRE 881.60 918.80 956.00 993.20 1,030.40 DICIEMBRE 762.70 797.00 831.30 865.60 899.90 12,647.50 13,016.20 13,384.90 13,753.60 14,122.30 Fuente: Elaboración propia, Se hace las proyecciones respectivas “HACER Y HACER BIEN LAS COSAS” Página 30
  • 31.
    PROYECTO EDUCATIVO INSTITUCIONAL2011-2016-IPAL Esta información se obtiene de al proyectar los ingresos de los últimos cinco años más los ingresos proyectados por la apertura de las nuevas carreras profesionales tecnológicas. Estimamos que a partir del año 2012 habrán mejores ingresos por la apertura de las carreras profesionales de: - Contabilidad y Finanzas, la que contará con un promedio de 390 ingresantes en los dos semestres académicos proyectados. - Secretariado Ejecutivo Bilingüe, la que contará con un promedio de 195 ingresantes en los dos semestres académicos proyectados. - Autotrónica, que contará con un promedio de 650 ingresantes en los dos semestres académicos proyectados. - Diseño gráfico y Publicidad Digital, que contará con un promedio de 260 ingresantes en los dos semestres académicos proyectados. - Análisis de sistemas y Modelamiento de Base de Datos, que contará con un promedio de 90 ingresantes en los dos semestres académicos proyectados. - Administración y Gestión Empresarial, que contará con un promedio de 182 ingresantes en los dos semestres académicos proyectados. - Gastronomía y Arte culinario, que contará con un promedio de 182 ingresantes en los dos semestres académicos proyectados. - Marketing Empresarial, que contará con un promedio de 130 ingresantes en los dos semestres académicos proyectados. - Administración de Negocios Internacionales, que contará con un promedio de 182 ingresantes en los dos semestres académicos proyectados. - Electrónica Industrial, que a partir del 2011-I cuenta con una meta de 60 ingresantes para los dos semestres académicos proyectados. - Electrotecnia Industrial, que a partir del 2011-I cuenta con una meta de 60 ingresantes para los dos semestres académicos proyectados. Se puede observar que hay una capacidad instalada que espera ser cubierta por un alto porcentaje de ingresantes a partir del periodo lectivo 2011-II. Este hecho permitirá mejorar las condiciones de sostenibilidad y proyección de IPAL hacia la sociedad peruana. “HACER Y HACER BIEN LAS COSAS” Página 31
  • 32.
    PROYECTO EDUCATIVO INSTITUCIONAL2011-2016-IPAL CAPÍTULO II 4. BASE LEGALY RESOLUCIONES DIRECTORALES DE AUTORIZACIÓN DE FUNCIONAMIENTO DE LAS CARRERAS PROFESIONALES TECNOLÓGICAS DE IPAL. 2.3. DISPOSITIVOS LEGALES EMITIDOS POR EL MINISTERIO DE EDUCACIÓN Y OTROS DOCUMENTOS IMPORTANTES • Constitución Política del Estado • Ley General de Educación N" 28044 • Proyecto Educativo Nacional 2015 • Lineamientos Nacionales de Política de la Formación Profesional Aprobado por Decreto Supremo Nº 021-2006-ED del 28 de julio del 2006 • DIseño Curricular Básico de la Educación Superior Tecnológica Aprobado con carácter experimental mediante R.D. No.0896-2006-ED DEL 29-12-2006  Ley de Institutos y escuelas de educación superior Ley 29394 del 05-08-2009  Aprueban el Reglamento de la Ley No.29394, Ley de Institutos y Escuelas de Educación Superior Decreto Supremo No. 004-2010-ED del 26-01-2010  Decreto Legislativo Nº 882 Ley de la Promoción de la Inversión en la Educación  Aprueban Normas Nacionales para el desarrollo, Procedimientos para la Autorización y Formatos para solicitar autorización de funcionamiento de programas de Post-Título (Segunda Especialización) en IEST Resolución Directoral No.0102-2011-ED del 26-01-2011 Formatos  Aprueban Normas para la Aplicación del Nuevo Diseño Curricular Básico de la Educación Superior Tecnológica en IEST e ISE autorizados Resolución Directoral No.0929-2011-ED del 21-03-2011  Aprueban Normas, Procedimientos y Formatos para el Desarrollo de los Cursos de Extensión y para la Autorización de Programas de Capacitación, Actualización o Especialización en IEST e ISE Resolución Directoral No.0922-2011-ED del 15-03-2011 Formatos Rectificación Resolución Directoral No.1498-2011-ED del 24-06-2011  Se establecen períodos para que los Institutos Superiores de Educación que desarrollan carreras tecnológicas, puedan efectuar el respectivo “HACER Y HACER BIEN LAS COSAS” Página 32
  • 33.
    PROYECTO EDUCATIVO INSTITUCIONAL2011-2016-IPAL examen de admisión Resolución Ministerial No.0412-2010-ED del 23-12-2010  Aprueban las Orientaciones y Normas para el Desarrollo de las actividades Educativas en el año 2011 en Instituto y Escuela de Educación Superior que desarrolla carreras tecnológicas Resolución Directoral No.1067-2010-ED del 01-12-2010 Rectificación Resolución Directoral No.1071-2010-ED del 06-12-2010  Aprueban el Procedimiento de Evaluación de Expedientes de Creación y Autorización de Funcionamiento de Instituto de Educación Superior Tecnológico Privado y Público y de nuevas carreras profesionales Resolución Directoral No.0738-2010-ED del 06-09-2010  Aprueban Normas para la adecuación de los planes de estudio de las carreras tecnológicas de acuerdo a los lineamientos generales del nuevo Diseño Curricular Básico, en Instituto de Educación Superior Tecnológico e Instituto Superior de Educación Resolución Directoral No.0686-2010-ED del 01-09-2010 Formato en versión word  Contenidos básicos comunes mínimos que deben incluirse en los planes de estudios de las carreras profesionales Resolución Directoral No.0411-2010-ED del 21-05-2010  Lineamientos para la titulación de los egresados de Instituto de Educación Superior Tecnológico, Instituto Superior de Educación e Instituto de Educación Superior Pedagógico que aplican el nuevo Diseño Curricular Básico de la Educación Superior Tecnológica Resolución Directoral No.0408-2010-ED del 21-05-2010  Lineamientos para la práctica pre-profesional en Instituto de Educación Superior Tecnológico, Instituto Superior de Educación e Instituto de Educación Superior Pedagógico que aplican el nuevo Diseño Curricular Básico de la Educación Superior Tecnológica Resolución Directoral No.0401-2010-ED del 18-05-2010  Fijan a partir del año 2011, el periodo comprendido entre el 1° de febrero al 30 de noviembre de cada año, para la presentación de proyectos de creación y autorización de funcionamiento de Institutos y Escuelas de Educación Superior Tecnológicos, y de nuevas carreras profesionales en los Institutos y Escuelas de Educación Superior Tecnológicos, ante las Direcciones Regionales de Educación Resolución Ministerial No.0089-2010-ED del 06-04-2010  Lineamientos para elaborar el reglamento institucional y documentos de gestión de los Institutos y Escuelas de Educación Superior Resolución Directoral No.0321-2010-ED del 23-03-2010 “HACER Y HACER BIEN LAS COSAS” Página 33
  • 34.
    PROYECTO EDUCATIVO INSTITUCIONAL2011-2016-IPAL  Normas para la aplicación del nuevo Diseño Curricular Básico de la Educación Superior Tecnológica en los Institutos de Educación Superior Tecnológicos, Institutos Superiores de Educación e Institutos de Educación Superior Pedagógicos autorizados Resolución Directoral No.0279-2010-ED del 15-03-2010  Precisión sobre los exámenes de admisión en los Institutos y Escuelas de Educación Superior Tecnológicos y en los Institutos de Educación Superior pedagógicos autorizados para desarrollar carreras profesionales tecnológicas Resolución Directoral No. 0208-2010-ED del 19-02-2010  Aprueban "Normas para la Organización y Ejecución del Proceso de Admisión a los Institutos y escuelas de educación superior tecnológica" Resolución Ministerial No. 0025-2010-ED del 13-02-2010  Aprueban Plan de Adecuación de los actuales Institutos y Escuelas de Educación Superior a la Ley No.29394 - Ley de institutos y Escuelas de Educación Superior Resolución Ministerial No. 0023-2010-ED del 13-02-2010  Aprueban, el reajuste de la estructura del nuevo Diseño Curricular Básico de la Educación Superior Tecnológica, a partir del 2010 Resolución Directoral No. 0107-2010-ED del 26-01-2010  Decreto Supremo N°004-98-ED, Reglamento de infracciones y sanciones para las instituciones educativas particulares. “HACER Y HACER BIEN LAS COSAS” Página 34
  • 35.
    PROYECTO EDUCATIVO INSTITUCIONAL2011-2016-IPAL 2.4. RESOLUCIONBES DIRECTORALES DE CREACIÓN Y AUTORIZACIÓN DE FUNCIONAMIENTO DE CARRERAS PROFESIONALES TECNOLÓGICAS CUADRO Nº 01 Nº Carreras Resolución de Observación Proceso de adecuación Propuesta de Gestión autorización de Profesionales Funcionamiento El Ministerio de Educación autorizó RM Nº 1221-1983, (emitida el RD Nº 2555-2009-ED, para otorgar Título Profesional a 1 Contabilidad 26/09/1983) Carreras (emitida el 10/11/2009) Nombre de la Nación como Profesionales Profesional Técnico en Contabilidad. Técnicas Revalidadas El Ministerio de Educación autorizó 2 Secretariado Ejecutivo RM Nº 1221-1983, (emitida el Con RD Nº 2555-2009-ED, para otorgar Título Profesional a 26/09/1983) RD Nº 0275-2005-ED, (emitida el 10/11/2009) Nombre de la Nación como emitida el 23 de Profesional Técnico en Secretariado noviembre del 2005. Ejecutivo. En esta RD se El Ministerio de Educación autorizó RM Nº 0213-1984-ED, establece como meta 3 Enfermería Técnica RD Nº 2555-2009-ED, para otorgar Título Profesional a (emitida el 07/03/1984) 1045 alumnos por (emitida el 10/11/2009) Nombre de la Nación como turno. Profesional Técnico en Enfermería Técnica. El Ministerio de Educación autorizó RM Nº 0213-1984-ED, 4 Técnica en Farmacia RD Nº 2555-2009-ED, para otorgar Título Profesional a (emitida el 07/03/1984) (emitida el 10/11/2009) Nombre de la Nación como “HACER Y HACER BIEN LAS COSAS” Página 35
  • 36.
    PROYECTO EDUCATIVO INSTITUCIONAL2011-2016-IPAL Profesional Técnico en Técnica en Farmacia. 5 Laboratorio Clínico RM Nº 0213-1984-ED, En proceso de evaluación El Ministerio de Educación autorizó (emitida el 07/03/1984) para el cierre definitivo. para otorgar Título Profesional a Nombre de la Nación como Profesional Técnico en Laboratorio Clínico. RD Nº 0213-91-ED, (emitida 6 Computación e RD Nº 2555-2009-ED, El Ministerio de Educación autorizó el 30/07/1990) Informática (emitida el 10/11/2009) para otorgar Título Profesional a Nombre de la Nación como Profesional Técnico en Computación e Informática. 7 El Ministerio de Educación autorizó Mecánica automotriz. RM Nº 0360-96-ED, (emitida RD Nº 0339-07-ED, (emitida para otorgar Título Profesional a el 05/07/1996) el 14/09/2007) Nombre de la Nación como Profesional Técnico en Mecánica Automotriz. El Ministerio de Educación autorizó RD Nº 0185-07-ED, (emitida 8 Técnica en Prótesis Cierre Temporal En proceso de evaluación para otorgar Título Profesional a el 20/04/2007) “HACER Y HACER BIEN LAS COSAS” Página 36
  • 37.
    PROYECTO EDUCATIVO INSTITUCIONAL2011-2016-IPAL Dental para el cierre temporal. Nombre de la Nación como Profesional Técnico en Prótesis Dental. El Ministerio de Educación autorizó RD Nº 0185-07-ED, (emitida 9 Fisioterapia y Cierre Temporal En proceso de evaluación para otorgar Título Profesional a el 20/04/2007) Rehabilitación para el cierre temporal. Nombre de la Nación como Profesional Técnico en Fisioterapia y Rehabilitación. Ha sido admitida la solicitud hecha RD Nº 0780-10-ED, (emitida 10 Electricidad Industrial Inició actividades el Adecuado con Certificado N ante el Ministerio de Educación para el 24/09/2010) 2011-I º 070-2011-DESTP emitido que el Título Profesional sea de el 20/06/2011 Profesional Técnico en Electrotecnia Industrial. El Ministerio de Educación autoriza RD Nº 0780-10-ED, (emitida 11 Electrónica Industrial Inició actividades el Adecuado con Certificado N para que el Título Profesional sea de el 24/09/2010) 2011-I º 070-2011-DESTP emitido Profesional Técnico en Electrónica el 20/06/2011 Industrial. A partir del 2011-II se ofertará esta RD Nº 1921-11-ED, (emitida 12 Contabilidad y Finanzas Inició actividades el Adecuado con la misma RD carrera profesional técnica. El el 05/08/2011) 2011-II Nº 1921-2011-ED Ministerio de Educación autoriza para que el Título Profesional sea de Profesional Técnico en Contabilidad y Finanzas. “HACER Y HACER BIEN LAS COSAS” Página 37
  • 38.
    PROYECTO EDUCATIVO INSTITUCIONAL2011-2016-IPAL A partir del 2011-II se ofertará esta RD Nº 1921-11-ED, (emitida 13 Administración de Inició actividades el Adecuado con la misma RD carrera profesional técnica. El el 05/08/2011) Negocios 2011-II Nº 1921-2011-ED Ministerio de Educación autoriza para Internacionales. que el Título Profesional sea de Profesional Técnico en Administración de Negocios Internacionales. A partir del 2011-II se ofertará esta RD Nº 1921-11-ED, (emitida 14 Administración y Inició actividades el Adecuado con la misma RD carrera profesional técnica. El el 05/08/2011) Gestión Empresarial. 2011-II Nº 1921-2011-ED Ministerio de Educación autoriza para que el Título Profesional sea de Profesional Técnico en Administración y Gestión Empresarial. A partir del 2011-II se ofertará esta RD Nº 1921-11-ED, (emitida 15 Marketing Empresarial Inició actividades el Adecuado con la misma RD carrera profesional técnica. El el 05/08/2011) 2011-II Nº 1921-2011-ED Ministerio de Educación autoriza para que el Título Profesional sea de Profesional Técnico en Marketing Empresarial. A partir del 2011-II se ofertará esta RD Nº 1921-11-ED, (emitida 16 Secretariado Ejecutivo Inició actividades el Adecuado con la misma RD carrera profesional técnica. El el 05/08/2011) Bilingüe. 2011-II Nº 1921-2011-ED Ministerio de Educación autoriza para que el Título Profesional sea de “HACER Y HACER BIEN LAS COSAS” Página 38
  • 39.
    PROYECTO EDUCATIVO INSTITUCIONAL2011-2016-IPAL Profesional Técnico en Secretariado Ejecutivo Bilingüe. A partir del 2011-II se ofertará esta RD Nº 1921-11-ED, (emitida 17 Autotrónica. Inició actividades el Adecuado con la misma RD carrera profesional técnica. El el 05/08/2011) 2011-II Nº 1921-2011-ED Ministerio de Educación autoriza para que el Título Profesional sea de Profesional Técnico en Autotrónica. A partir del 2011-II se ofertará esta RD Nº 1921-11-ED, (emitida 18 Gastronomía y Arte Inició actividades el Adecuado con la misma RD carrera profesional técnica. El el 05/08/2011) Culinario. 2011-II Nº 1921-2011-ED Ministerio de Educación autoriza para que el Título Profesional sea de Profesional Técnico en Gastronomía y Arte Culinario. A partir del 2011-II se ofertará esta RD Nº 1921-11-ED, (emitida 19 Diseño Gráfico y Inició actividades el Adecuado con la misma RD carrera profesional técnica. El el 05/08/2011) Publicidad Digital. 2011-II Nº 1921-2011-ED Ministerio de Educación autoriza para que el Título Profesional sea de Profesional Técnico en Diseño Gráfico y Publicidad Digital. “HACER Y HACER BIEN LAS COSAS” Página 39
  • 40.
    PROYECTO EDUCATIVO INSTITUCIONAL2011-2016-IPAL A partir del 2011-II se ofertará esta RD Nº 1921-11-ED, (emitida 20 Análisis de Sistemas y Inició actividades el Adecuado con la misma RD carrera profesional técnica. El el 05/08/2011) Modelación de Base de 2011-II Nº 1921-2011-ED Ministerio de Educación autoriza para Datos. que el Título Profesional sea de Profesional Técnico en Análisis de Sistemas y Modelación de Base de Datos. “HACER Y HACER BIEN LAS COSAS” Página 40
  • 41.
    PROYECTO EDUCATIVO INSTITUCIONAL2011-2016-IPAL CAPÍTULO III 4. PRINCIPIOS Y BASES CONCEPTUALES EN IPAL 4.1. MISIÓN INSTITUCIONAL Formar profesionales técnicos altamente competitivos con valores, creatividad, liderazgo y cultura, que contribuirán con el desarrollo nacional y mundial. 4.2. VISIÓN INSTITUCIONAL Ser una institución de educación superior tecnológica de excelencia, líder nacional e internacional, que garantice la formación de profesionales técnicos altamente competitivos con visión cosmopolita; acreditados por los valores que practican. 4.3. VALORES INSTITUCIONALES Teniendo en cuenta la Declaración Universal de los Derechos Humanos a continuación se describen los valores que se optan: Institucionalmente y que se desarrollan y concretizan en las esferas de Lo personal y lo social de la vida Profesional.  Respeto por la Vida: Actitud personal y colectiva hacia la conservación mejoramiento y protección de las diversas formas de existencia: las personas, el clima organizacional, el medio ambiente, la comunidad, y la sociedad en general.  Equidad: Es el ofrecimiento de los servicios sin distinciones de raza, sexo, credo o procedencia social, como aporte a la constitución de la democracia.  Democracia Participativa: Valor referido al ejercicio del poder fundamentado en la voluntad colectiva que garantice la autonomía, la libertad, la equidad y el derecho a la participación.  Respeto a la Diversidad: Basados en la convicción del ser como elemento potenciador del desarrollo. Valor básico al considerar las diferentes realidades y condiciones individuales de nuestros miembros y normas de organización local, regional, nacional e internacional. Tiene que ver con la no discriminación por asuntos parciales, políticos y socioeconómicos y culturales.  Responsabilidad Crítica: Decidir y actuar conforme al análisis previo de las consecuencias inmediatas o a corto plazo de las acciones, formas comunicativas o el ejercicio del desempeño.  Honestidad: Actitud consciente e intencional para realizar todos los procesos con transparencia, eficiencia, eficacia y disposición para rendir cuenta a la comunidad, incluso en aquellas ocasiones que impliquen riesgos o intereses particulares. Al interior de la Institución se refleja en “HACER Y HACER BIEN LAS COSAS” Página 41
  • 42.
    PROYECTO EDUCATIVO INSTITUCIONAL2011-2016-IPAL relaciones y acciones que generen confianza y credibilidad interna y externa.  Dignidad Humana: Este valor implica respeto, reconocimiento tolerancia que enaltece en el ser humano su condición de la persona y ciudadano. Actuar consciente e intencionalmente en concordancia con los valores, compromisos, políticas y fines establecidos.  Solidaridad: Fundamento de la formación de personas con responsabilidad social a partir del trabajo colectivo y la interdisciplinariedad.  Pertenencia: Capacidad de conjugar expectativas y proyecto de Vida personal con la misión institucional.  Pertinencia: Capacidad de adecuar conocimientos, metodología, procesos y proyectos a las necesidades del entorno y a la visión institucional. 4.4. OBJETIVOS ESTRATÉGICOS DE UNA EMPRESA EDUCATIVA: 4.4.1. GESTIÓN PEDAGÓGICA 1. Elaborar el PCCI del IESTP “PERUANO ALEMAN” mostrando una pertinente diversificación que responda a nuestra propuesta pedagógica y a las demandas de desarrollo socio-cultural de la región. 2. Desarrollar los contenidos transversales de los Derechos Humanos y Educación Ecológica a través de proyectos de integración de áreas, proyección social y relación interinstitucional. 3. Innovar permanentemente en el manejo de estrategias de aprendizaje y materiales educativos con el apoyo de los recursos que nos ofrece la ciencia y la tecnología. 4. Desarrollar una micro planificación coherente con los sílabos, que rescate saberes previos y sea capaz de estimular aprendizajes significativos en las distintas áreas curriculares. 5. Desarrollar un sistema de evaluación de los aprendizajes coherente con nuestra propuesta pedagógica y que se plasme en un Reglamento actualizado de Evaluación. 6. Garantizar el uso óptimo de los recursos educativos institucionales (informáticos, bibliografía especializada y actualizada, audiovisuales, laboratorios, material didáctico, etc. Para mejorar los procesos de enseñanza aprendizaje de las distintas áreas curriculares. 7. Elaborar el Plan de Investigación y Práctica General del IESTP (de todas las especialidades) como expresión de consensos en cuanto a líneas, tipos, diseños e instrumentos de investigación, así como normas y criterios de asesoría y evaluación tanto de la práctica como de los procesos y productos de la investigación. “HACER Y HACER BIEN LAS COSAS” Página 42
  • 43.
    PROYECTO EDUCATIVO INSTITUCIONAL2011-2016-IPAL 8. Continuar articulando la investigación y la práctica como estrategia de innovación educativa orientada a la transformación de la realidad educativa. 9. Sistematizar los resultados de los talleres de investigación, los informes de investigación y experiencias de innovación pedagógica con fines de difusión. 10. Promover el trabajo y la producción con el desarrollo de proyectos productivos aprovechando el apoyo de instituciones públicas y no gubernamentales para la ejecución de los proyectos. 11. Promover talleres de interaprendizaje docente y el trabajo en equipo para el trabajo de investigación curricular, investigación, integración de áreas, manejo de nuevas metodologías y estrategias, diseño de materiales educativos, TIC s aplicadas a la educación. 12. Potenciar el trabajo de equipo de formadores de tutoría y los espacios para la tutoría grupal y personalizada con el fin de mejorar el desarrollo personal, vocacional y profesional de los estudiantes. 13. Promover de manera sostenida el dominio de los aprendizajes básicos en las áreas priorizadas por la Emergencia Educativa: comprensión y producción de textos, habilidades lógico-matemáticas, valores y habilidades Meta cognitivas que aseguren aprendizajes autónomos y permanentes. 14. Formar la conciencia democrática y el liderazgo ético a fin de promover la participación organizada de los estudiantes en la comunidad educativa a través de sus instancias legítimas. 4.4.2. GESTIÓN INSTITUCIONAL 1. Actualizar los documentos de gestión (PEI, PAT, ROF, RI) con la participación de la comunidad educativa, teniendo en cuenta la identidad institucional, las demandas internas y externas y los nuevos paradigmas del desarrollo organizacional. 2. Emprender la elaboración y ejecución del Plan de Mejoramiento Institucional, con la participación democrática de los agentes de la institución a fin de elevar la calidad de la gestión pedagógica e institucional. 3. Mejorar la identidad y clima institucional promoviendo acciones de carácter formativo, socio cultural y deportivo entre estudiantes y todos los trabajadores del IEST y sus centros de aplicación. 4. Fomentar una cultura de evaluación y mejora permanente de la calidad a través de un Plan de Supervisión Interna utilizando estrategias innovadoras y canales de participación democrática. “HACER Y HACER BIEN LAS COSAS” Página 43
  • 44.
    PROYECTO EDUCATIVO INSTITUCIONAL2011-2016-IPAL 5. Potenciar las relaciones interinstitucionales a través de convenios, redes, participación en mesas de concertación, con fines de proyección social, investigación y práctica pedagógica, formación en servicio y apoyo técnico y financiero. 6. Establecer políticas y estrategias de coordinación y comunicación con los egresados a través de alianzas estratégicas para desarrollar proyectos de investigación e innovación, promocionando algunas oportunidades de trabajo, utilizando los servicios básicos de la Institución. 7. Implementar canales de comunicación y difusión de la vida institucional y los productos de los procesos académicos, administrativos y de gestión aprovechando las tecnologías de la información y comunicación. 4.4.3. GESTIÓN ADMINISTRATIVA 1. Mantener y mejorar la infraestructura de los diferentes ambientes instalaciones del IPAL, para desarrollar adecuadamente las labores educativas. 2. Mantener y mejorar el equipamiento de oficinas, laboratorios y servicios de nuestra institución para optimizar el trabajo administrativo, técnico-pedagógico y formativo. 3. Organizar e informatizar los recursos para el aprendizaje de la institución (biblioteca, hemeroteca, audiovisuales, materiales didácticos) a fin de mejorar el acceso a los mismos y prestar verdadero soporte a los aprendizajes de calidad. 4. Organizar pertinentemente los recursos humanos y desarrollar un plan de capacitación, en función de brindar un mejor servicio a la comunidad educativa y a la comunidad en general. 5. Elaborar el presupuesto anual en función de las necesidades y demandas prioritarias de la institución considerando mecanismos de generación de recursos. 6. Implementar un servicio de cafetería en la institución. 4.5. PRINCIPIOS INSTITUCIONALES: Los principios Institucionales constituyen las normas para la interpretación de los estatutos y reglamentos y prevalecen sobre las disposiciones internas. En consecuencia, guían el quehacer de todas y cada una de las dependencias y acciones del INSTITUTO DE EDUCACION SUPERIOR TECNOLÓGICO PRIVADO “PERUANO ALEMÁN” “HACER Y HACER BIEN LAS COSAS” Página 44
  • 45.
    PROYECTO EDUCATIVO INSTITUCIONAL2011-2016-IPAL  Democratización de la Educación: El IPAL es una institución de educación superior con vocación de servicio a la comunidad y abierta a las oportunidades de formación de los hombres. Ofrece una educación tecnológica para todos. El conocimiento, la ciencia y la tecnología son patrimonio de la humanidad, lo que significa que todos tienen derecho de acceder a ellas y a tener un modo profesional de desempeño.  Participación de la Comunidad Educativa: El IPAL promueve la participación de todos sus estamentos educativos en la formulación de políticas, estrategias, planes de desarrollo institucional, sin distingos de capacidad económica, religión, raza e ideología o cualquier otra característica cultural.  Aprendizaje Flexible: El IPAL facilita al estudiante el aprendizaje permanente a través de métodos y estrategias que permitan el acceso al conocimiento de manera flexible, autoregulativo y significativo mediante un currículo flexible.  Educación para la Libertad: La formación integral impartida conlleva a la libertad de pensamiento, de cátedra y por consiguiente a la formación de individuos con criterio propio, autonomía personal y fundamentación innovadora para crear proyectos emprendedores.  Defensa de los Derechos Humanos: El IPAL es una institución con una educación integral fundamenta en la defensa, respeto y promoción de los derechos humanos y en el fomento de la convivencia y la tolerancia. La idea de paz como estado de bienestar.  Integridad: Se manifiesta en el actuar permanente de las personas en concordancia con los valores que orientan la educación y el desarrollo humano.  Autonomía: Se entiende como la capacidad que planea la vida institucional y se asume como el ejercicio de la libertad individual y colectiva, manifiesta en el libre ejercicio de la autosugestión y el autocontrol responsable, en concordancia con las normas que rigen la convivencia social.  Autocrítica: Proceso reflexivo individual o colectivo sobre lo que se hace o ejerce con el ánimo de identificar los campos susceptibles de mejoramiento y calificación personal e institucional.  Interdisciplinariedad: Es la interacción necesaria entre las disciplinas, de tal manera que sea concretada y eficiente ante la creciente complejidad de los problemas. La interacción hace posible que los conocimientos se complementen, se corrijan y se controlen, resultando así una articulación o interdisciplinariedad compleja y dinámica en todos los campos del saber. Esto implica el abordaje pedagógico innovador que genera actitudes emprendedoras en las diferentes áreas de desarrollo.  Desarrollo Humano: La Institución asume ante su comunidad el respeto por su dignidad, el reconocimiento a sus méritos y el compromiso de “HACER Y HACER BIEN LAS COSAS” Página 45
  • 46.
    PROYECTO EDUCATIVO INSTITUCIONAL2011-2016-IPAL apoyar su crecimiento personal y profesional, propiciando un clima organizacional que contribuya a su desarrollo integral del ser humano.  Transversalidad: Se asume como la actividad pedagógica donde se entrelazan el educar y el enseñar, para lograr de esta forma la educación integral. 4.6. PERFILES IDEALES DE LOS AGENTES EDUCATIVOS 3.6.1 PERFIL DE LOS DIRECTIVOS: Los directivos tienen un papel decisivo en el éxito de los diversos propósitos que el Instituto se ha planteado a través del PEI. Son ellos los llamados a liderar los procesos de mejora y cambio, contagiando a la comunidad con la meta que cada proyecto espera lograr sus objetivos estratégicos. Su principal responsabilidad es mantener los propósitos institucionales, avivando la voluntad de su equipo educativo para seguir avanzando y manteniendo una mirada crítica de construcción de futuro para la institución. 3.6.2 PERFIL DEL DOCENTE: En un mundo donde la globalización cobra cada vez mayor fuerza se hace necesario la preparación de un individuo que pueda recibir cualquier información y procesarla de manera consciente sin que esto afecte en nada a su desarrollo. Por eso es vital la formación de un hombre con cualidades positivas en su personalidad para enfrentar todos los fenómenos que suceden a su alrededor. La docencia va más allá de la simple transmisión de conocimientos. Es una actividad compleja que requiere para su ejercicio, de la comprensión del fenómeno educativo. El sólo dominio de una disciplina, no aporta los elementos para el desempeño de la docencia en forma profesional, es necesario hacer énfasis en los aspectos metodológicos y prácticos de su enseñanza, así como en los sociales y psicológicos que van a determinar las características de los grupos en los cuales se va a ejercer su profesión. La docencia como profesión se ubica en un contexto social, institucional, grupal e individual, de ahí que un docente no puede desconocer las relaciones y determinaciones en ninguno de estos niveles, pues no todos los obstáculos a los que se enfrenta el docente en el salón de clases se originan ahí solamente, sino que son reflejo de un problema social más amplio que repercute en la institución y por supuesto en el aula en el momento de la interacción. El docente formador de formadores debe poseer y haber desarrollado los 4 saberes, base fundamental para un buen desenvolvimiento en la sociedad actual: saber, saber ser, saber hacer y saber convivir. “HACER Y HACER BIEN LAS COSAS” Página 46
  • 47.
    PROYECTO EDUCATIVO INSTITUCIONAL2011-2016-IPAL MEDIADOR INVESTIGADOR PROMOTOR / TUTOR SABER SER -Tener una sólida - Ser inquisitivo -Desarrollar interés y formación en valores que frente a la realidad, curiosidad por comprender y guían la integridad y la buscar comprenderla profundizar diferentes coherencia de su conducta. y solucionar los aspectos de la realidad. -Tener altas expectativas problemas y cambios -Demostrar en sus estudiantes e de manera crítica y autoconocimiento y interés por estimular creativamente. autocontrol de su persona. aprendizajes significativos. -Desarrollar y manejar su sensibilidad y afectos. -Ser una persona auténtica, justa y responsable. SABER CONVIVIR Ser responsable frente a Respetar el Saber escuchar y generar un su misión de liderazgo y de pensamiento ambiente de empatía. su compromiso como divergente y valora la Ser modelo de valores agente formador de líderes interculturalidad. cristianos e inspiración de positivos. Analiza e interpreta, sus estudiantes, Poseer una actitud en equipo transmitiendo una vocación democrática, convicción de multidisciplinario, la de servicio a los demás. libertad, responsabilidad, realidad compleja, respeto por todas las para plantear personas y grupos alternativas de humanos. solución. SABER PENSAR Tener una sólida Despertar Respetar la individualidad de formación académica y entusiasmo en las cada estudiante, reforzando preocupación constante alumnas para sus virtudes y fortaleciendo por su capacitación y descubrir y su autoestima. actualización desarrollar sus Posee conocimientos potencialidades con el suficientes y actualizados. fin de construir un mundo mejor SABER HACER Compartir con los padres Propiciar el trabajo en Ser abierto al cambio, de familia la equipo, generando un incorporando a su quehacer responsabilidad en la tarea ambiente de armonía educativo los últimos formadora de los y enriquecimiento en avances de la ciencia y la estudiantes, tendiendo las interrelaciones tecnología para alcanzar la siempre apertura al humanas. excelencia. diálogo. Tener capacidad de Fomenta la identidad Asumir, respetar y hacer innovación y cultural respetar las normas del creatividad. Reglamento. Reflexionar y Ser un experto en sistematizar su diversificación curricular práctica docente. Participa en la elaboración, ejecución y evaluación de proyectos de equipo Aplicar teorías, enfoques y metodologías contemporáneas. “HACER Y HACER BIEN LAS COSAS” Página 47
  • 48.
    PROYECTO EDUCATIVO INSTITUCIONAL2011-2016-IPAL SABER TRASCENDER - Buscar comprender - Proyectar a los estudiantes Apostar por la e investigar no sólo el y la colectividad motivado integralidad de la cómo de los por el valor del bien común educación a partir de una fenómenos y procesos y/o su fe. concepción antropológica sino los por qué y integral que asume la para qué de las cosas dimensión de para vivir y actuar trascendencia del ser con sentido. humano. 3.6.3 PERFIL DEL ESTUDIANTE: 3.6.3.1. DESARROLLO PERSONAL: Vivimos en un mundo en constante cambio, donde los nuevos modos de relación y modelos de organización y de trabajo en entornos profesionales nos obligan a modificar creencias y costumbres. A menudo, los cambios se producen más rápidamente que nuestra capacidad de responder a ellos, produciéndonos estrés y malestar. Ante ello hay que tener en cuenta en la educación los aspectos personales que influyen en la motivación de las personas. Los ítems que van a marcar la frontera entre una actitud positiva y la frustración van a estar definidos por los siguientes elementos: • Autoestima: Saber quién se es y qué es lo que uno quiere. Tener conciencia de sí mismo, de sus facultades, virtudes y limitaciones. Reconocerse con realismo y con capacidad de superarse cada día. • Ser abiertos y positivos: Capacidad de situarse dentro de una visión global con actitud positiva y tolerante. Actitud positiva ante los cambios y situaciones que se planteen, relativizando los problemas que puedan surgir y afrontándolos con serenidad. • Ser constantes: Constancia y actitud proactiva, no sólo recopilar la información y utilizarla, sino también trabajar con ella y hacerla propia mediante una voluntad activa y consciente. 3.6.3.2. Habilidades comunicativas: Los estudiantes además de tener conocimientos deben saber comunicarlos y comunicarse con los demás en diversos ámbitos o entornos. Para ello deberán desarrollar distintas habilidades de tratamiento de la información y de comunicación y estar al día en el uso de las nuevas herramientas y técnicas de interrelación. Ello les permitirá afrontar con eficacia tanto las exigencias del mundo del trabajo como las de una sociedad en las que la información y la comunicación abarcan todas las esferas. “HACER Y HACER BIEN LAS COSAS” Página 48
  • 49.
    PROYECTO EDUCATIVO INSTITUCIONAL2011-2016-IPAL Como punto de partida se pueden establecer tres ejes básicos a considerar en el logro de estas habilidades: • Capacidad lingüística: capacidad de utilizar de forma correcta la lengua castellana. • Conocimiento de los distintos ámbitos de interrelación cercanos como son la escuela, la empresa, la comunidad y el municipio, tratamiento de la información y manejo de herramientas de información y comunicación interactivas. • Dominio del lenguaje verbal y no verbal en los diferentes contextos en que les toque interactuar así como técnicas de comunicación asertiva, entendiendo como asertividad la capacidad de transmitir opiniones, sentimientos, intenciones, etcétera, con eficacia, sin ocasionar incomodidad o consecuencias negativas para uno mismo ni para los interlocutores. 3.6.3.3. Habilidades sociales: El estudiante además de funcionar en un entorno laboral estará inmerso en un entorno social en el que tendrá que implicarse: familia, organizaciones sociales, asociaciones, etc. Los estudiantes serán los futuros educadores, trabajadores, empresarios y gobernantes. En este sentido las competencias a adquirir dentro de este aspecto del perfil serían: • Espíritu de aprendizaje - Predisposición por descubrir algo nuevo. - Aprendizaje a lo largo de la vida. • Capacidad de compromiso, implicación y colaboración: - Buena educación y cordialidad. - Capacidad de crítica y autocrítica. o Saber defender o criticar con argumentos las opiniones y buscar consensos . • Capacidad de asumir responsabilidades y previsión de consecuencias: - Trabajo en equipo y cooperación - Obligaciones sociales en los distintos entornos. - Orden y limpieza - Respeto (hacia las personas, cosas, naturaleza). - Saber convivir. - Agentes activos de cambio y progreso social (compromiso y perspectiva de futuro). “HACER Y HACER BIEN LAS COSAS” Página 49
  • 50.
    PROYECTO EDUCATIVO INSTITUCIONAL2011-2016-IPAL 3.6.3.4. Cualidades profesionales: Nuestros estudiantes, ante el reto de las nuevas tecnologías y un entorno profesional cambiante necesitan desarrollar un abanico de capacidades que les permitan, por un lado, una integración laboral eficaz en el papel que le corresponda y por otro, una adaptabilidad a los cambios tanto socio laborales como organizativos que se produzcan en su entorno de trabajo. En este marco general podemos distinguir tres grandes campos de desarrollo: • Capacidad de ser autónomo y responder con equilibrio ante las exigencias laborales: - Tener una cultura emprendedora (actitud de superación ante los problemas) - Ser capaz de tomar decisiones y responsabilizarse de ellas (iniciativa) - Capacidad de planificación y organización de sus tareas (constancia) • Capacidad de aprendizaje y formación técnica y humana adecuada a las exigencias: - Motivado por el aprendizaje permanente (curiosidad intelectual) - Gusto por el trabajo bien hecho (auto exigencia) - Creatividad y capacidad de innovación (inteligencia lateral) - Respetar las normas de seguridad y mantener el orden en el puesto de trabajo • Capacidad de adaptación socio laboral: - Tener habilidades en la resolución de problemas y conflictos (control emotivo) - Capacidad de trabajo en grupo (participación y cooperación) - Adaptabilidad a los cambios y las novedades de cada momento (flexibilidad). En definitiva en el IST “Peruano Alemán”, en nuestro caso de Formación Tecnológico Profesional, se debe tratar de formar personas valiosas y profesionales competentes. 4.7. SISTEMA DE EVALUACIÓN: En coherencia con el espíritu del currículo por competencias adoptado para la formación de profesionales de la educación Tecnológica Superior en el IESTP “PERUANO ALEMAN”, exponemos las concepciones y características del sistema de evaluación, conscientes de que éste es un asunto complejo y que la práctica siempre dista de la teoría. “HACER Y HACER BIEN LAS COSAS” Página 50
  • 51.
    PROYECTO EDUCATIVO INSTITUCIONAL2011-2016-IPAL 4.7.1. CONCEPTO: La evaluación es un proceso de reflexión y análisis integral, permanente y flexible, cuyo propósito es verificar y realimentar oportunamente el aprendizaje por competencias, estas últimas planteadas en el perfil y especificadas en el área y/o sub área del Plan de Estudios. 4.7.2. FINALIDAD: El sistema de evaluación de los aprendizajes tiene por finalidad contribuir a la mejora de la calidad de los procesos de enseñanza y aprendizaje, por tanto debe darse antes, durante y después de estos procesos permitiendo la regulación de las interrelaciones, detectar las dificultades que se van presentando, averiguar las causas y actuar oportunamente sin esperar que el proceso concluya; por tanto es de naturaleza formativa. De la misma manera, la evaluación de los aprendizajes asume que su objeto lo constituyen los criterios e indicadores de cada área curricular, que funcionan como parámetros de referencia para determinar los progresos y dificultades de los educandos. Dichos criterios se constituyen en la unidad de recopilación, registro, análisis y comunicación del proceso evaluativo, dándole así su naturaleza de criterial. 4.7.3. PRINCIPIOS: a. Los valores educativos que han de guiar no sólo QUÉ evaluar sino CÓMO evaluar, con la intencionalidad de llegar al mejoramiento educativo y al cambio. b. La concepción multidimensional e integral que permite valorar los logros a través del tiempo. c. La reflexión sobre las experiencias educativas que coadyuvan al logro de los resultados. d. El fortalecimiento de los aprendizajes en el estudiante con incidencia en el desempeño profesional del formador. 4.7.4. OBJETIVOS: a. Recoger y procesar información sobre el conjunto de aprendizajes intelectuales, afectivo-actitudinales y operativo-motores de los estudiantes. b. Detectar las causas del éxito o fracaso obtenido y procesar la información sobre todos los factores que intervienen en dichos aprendizajes. c. Analizar y reflexionar los resultados, para retroalimentar oportunamente. d. Promocionar y acreditar a los estudiantes de acuerdo a las competencias logradas. “HACER Y HACER BIEN LAS COSAS” Página 51
  • 52.
    PROYECTO EDUCATIVO INSTITUCIONAL2011-2016-IPAL 4.7.5. CARACTERÍSTICAS DE LA EVALUACIÓN: a. Promocional, la evaluación será explicitada a los estudiantes no como un fin del proceso educativo, sino como un medio para orientar mejor sus aprendizajes y determinar su promoción. b. Actúa como medio para el logro de aprendizajes de calidad, evitando todo carácter represivo y toda acción que tienda a desalentar a quien aprende. c. Ayuda a ubicar a cada estudiante en el nivel curricular que le permita tener éxito. d. Permanente, constituyendo un proceso continuo en su previsión y desarrollo, facilitando una constante y oportuna realimentación del aprendizaje. e. Es sistemática, articulando en forma estructurada y dinámica las acciones y los elementos de la evaluación. f. Es objetiva, ajustándose a los hechos con la mayor precisión posible. g. Considera el error y el conflicto como fuentes de nuevos aprendizajes y la gestión y autogestión de errores y conflictos como instrumentos fundamentales para la formación integral. h. Es diferencial, precisando el grado de avance y el nivel de logro de cada estudiante. i. Participante, para lo cual los estudiantes deben adquirir progresivamente las técnicas que les permitan autoevaluarse y evaluar a sus compañeros con objetividad. j. Es diversificada y flexible, buscando que sus estrategias e instrumentos respeten las características socioculturales del entorno y personales de los estudiantes. k. Es integral, es decir, abarca las experiencias de aprendizaje relacionadas con el desarrollo intelectual, socioemocional y psicomotor de los estudiantes así como los elementos, procesos y sujetos de la educación. l. Es criterial, los criterios, técnicas e instrumentos utilizados en la evaluación del aprendizaje serán determinados en función de las competencias previstas para cada una de las Áreas y Subáreas del Plan de Estudios. 4.7.6. FUNCIONES: a. Diagnóstica, porque reconoce y valora los saberes, conocimientos, habilidades, destrezas y actitudes previas a las competencias que los educandos traen para ajustar los aprendizajes y seguir construyendo sus conocimientos. “HACER Y HACER BIEN LAS COSAS” Página 52
  • 53.
    PROYECTO EDUCATIVO INSTITUCIONAL2011-2016-IPAL b. Formativa, porque está presente constantemente en el desarrollo de las competencias a fin de identificar y atender los diferentes ritmos y estilos de aprendizaje de los educandos. c. Sumativa, porque confirma los resultados que los estudiantes han ido consolidando a través de las distintas evaluaciones de sus aprendizajes. d. Motivadora, porque incentiva, alienta y gratifica el esfuerzo del estudiante afianzando su seguridad personal. 4.7.7. TIPOS: a. La evaluación de Inicio, de Reconocimiento o Diagnóstica, cuyo propósito es reconocer las habilidades, destrezas y conocimientos previos o el nivel de competencias que los educandos traen, así como los intereses y necesidades de los mismos a fin de ajustar el Programa Curricular, b. La Evaluación Formativa o de Seguimiento, que acompaña oportunamente el aprendizaje del estudiante a fin de orientar la adopción de competencias y el avance con respecto a las competencias de acuerdo a los ritmos de aprendizaje. c. Evaluación Sumativa o de confirmación, que tiene lugar al término de la fase de aprendizaje de un proyecto, unidad de aprendizaje Integrada en un tiempo determinado. Confirma el logro de las competencias y el esfuerzo desplegado por cada estudiante desde el inicio del proceso de aprendizaje hasta el final. d. La héteroevaluación, donde intervienen los diferentes actores del proceso educativo emitiendo sus juicios de valor para mejorar los proceso oportunamente, desde sus pares (coevaluación) y desde los otros (inter evaluación). e. La evaluación formativa, propone la revisión de los estándares mínimos propuestos en el perfil profesional a través de la revisión constante y su comparación con aquello ya logrado. “HACER Y HACER BIEN LAS COSAS” Página 53
  • 54.
    PROYECTO EDUCATIVO INSTITUCIONAL2011-2016-IPAL CAPÍTULO IV 4. DIAGNÓSTICO Y AUTOEVALUACIÓN ESTRATÉGICA DE LA REALIDAD EDUCATIVA IPAL: 4.1. AUTOEVALUACIÓN ESTRATÉGICA DE LA GESTIÓN INSTITUCIONAL IPAL: DIMENSIÓN FACTOR FORTALEZAS DEBILIDADES - La institución elabora, aprueba y - No se cuenta con la Resolución de aprobación del actualiza permanentemente el PEI y un plan PEI 1.1. PROYECTO EDUCATIVO estratégico de desarrollo para cada carrera 1. GESTIÓN INSTITUCIONAL: INSTITUCIONAL. profesional. En coherencia con el PEN, PER - Los coordinadores no incluyen en el plan anual de y PEL. trabajo el PEI. - La institución actualiza su visión, La institución elabora, - No hay actas de reuniones de elaboración del PEI. misión y valores en coherencia con las 1.1.1. Formulación, ejecución y políticas nacionales y propósitos evaluación del PEI - No hay un plan de trabajo del directorio. aprueba y actualiza institucionales, articulándose con su propuesta pedagógica y las demandas del - No se elabora la memoria anual de gestión entorno. permanentemente, su directriz. 1.1.2. Difusión del PEI - Los directivos se preocupan en difundir misión, visión y valores, en el PEI institucional - No hay un plan de difusión de resultados. - Los directivos son Proactivos, - No hay resultados de entrevistas con coherencia con las políticas emprendedores, perseverantes, profesionales u organizaciones de interés carismáticos y democráticos. institucional 1.1.3. Coherencia presupuestal nacionales y propósitos - Los directivos propician un clima - No se dan talleres de sensibilización. institucional favorable. institucionales, articulándose - No hay un presupuesto de gestión anual - Los directivos planifican sus actividades anualmente. aprobado. “HACER Y HACER BIEN LAS COSAS” Página 54
  • 55.
    PROYECTO EDUCATIVO INSTITUCIONAL2011-2016-IPAL con su propuesta pedagógica - Los directivos coordinan con empresas - No se da a conocer el organigrama de la y entidades privadas y públicas del medio. institución y las demandas del entorno. - L a ubicación de la institución está - Hay poca difusión de los servicios que ofrece la dentro del centro histórico de la capital. institución - - El liderazgo del personal directivo es - Falta realizar el informe de cumplimiento de reconocido por la comunidad educativa, y objetivos institucionales. permite algunos logros. - No hay resultados de la aplicación de encuestas 1.2. Organización y gestión - Se promueve un clima organizacional de opinión a los formadores, estudiantes, personal administrativa. que conlleva a la consolidación de la visión administrativo y personal de apoyo. institucional. Se promueve la búsqueda de la excelencia académica, basado en los - Los canales de comunicación no son eficientes. valores que se comparten y compromiso de generar entre sus miembros, iniciativas que - Falta hacer de conocimiento de la comunidad de 1. GESTIÓN INSTITUCIONAL permitan un funcionamiento organizacional los documentos de gestión institucional. 1.2.1. Liderazgo eficaz de calidad. - Los programas de promoción de cultura - Los directores y coordinadores organizacional en base a la calidad aun no sean La institución cuenta con una creado. promueven el trabajo en equipo, en la cual cada miembro asume su responsabilidad estructura organizacional - El manual de organización y funciones no se ha 1.2.2. Cultura organizacional en individual en el proceso educativo difundido oportunamente. base a la calidad participativo e interdisciplinario. que garantiza una gestión de - Los resultados de las actividades realizadas por - Se cuenta con documentos de Gestión los equipos de trabajo no se difunden. Institucional como PEI, Reglamento calidad de los procesos de la Institucional, MOF, PCC, Prospecto de - No se da a conocer el reglamento de evaluación, admisión, plan de capacitación al personal selección y promoción del personal docente y institución. 1.2.3. Trabajo en equipo administrativo, entre otros. directivo. - Los profesionales encargados de las - No hay resolución directoral de aprobación de áreas académicas cumplen con el perfil reglamento de admisión de personal de IPAL. establecido por la institución y las normas de selección y promoción correspondientes. - No se difunde el plan de seguimiento y evaluación 1.2.4. Personal idóneo para cargos “HACER Y HACER BIEN LAS COSAS” Página 55
  • 56.
    PROYECTO EDUCATIVO INSTITUCIONAL2011-2016-IPAL directivos - Se hace la evaluación del desempeño de desempeño del personal administrativo. profesional en dos procesos anuales. - Poca difusión de los servicios que ofrece la - Se cuenta con medio de impresión y institución. fotocopiado, al servicio de la comunidad educativa. - Poca capacidad de autocrítica. - Se posee capacidad de liderazgo responsable. - Hay identificación con la institución - Se nota capacidad en la toma de decisiones para solucionar conflictos. - - Hay un comité de calidad en cada una - Falta documentar la conformación de los comités de las carreras profesionales de IPAL, que de calidad de cada carrera profesional. promueve, orienta, evalúa y toma decisiones sobre los procesos de mejora - El plan de trabajo anual, ha estructurado un continua. presupuesto por cada carrera profesional que no se ha evaluado. 1.3. Gestión docente - La institución cuenta con políticas y 1. GESTIÓN INSTITUCIONAL procedimientos para la evaluación y - No hay resultados impresos de las actividades selección de los formadores de cada carrera realizadas en el proceso de mejora continua en cada profesional, en función al perfil profesional carrera profesional. 1.3.1. Gestión de la calidad La institución dispone de definido por la propia institución, cumpliendo con el requisito mínimo - No hay archivos ordenados de los procesos de establecido por la autoridad del Ministerio selección y promoción de formadores. políticas y procedimientos de Educación. - No hay informes de los resultados del proceso de para la selección, evaluación 1.3.2. Selección de los formadores - Los formadores están ubicados en las selección de formadores. unidades didácticas correspondientes a su formación, desempeño y experiencia - El legajo del personal se haya disperso. y promoción de formadores. profesional. - Los proyectos de investigación, innovación - Los horarios de clase se entregan a la tecnológica y otros trabajos no se hallan en archivos dirección académica oportunamente. adecuados. “HACER Y HACER BIEN LAS COSAS” Página 56
  • 57.
    PROYECTO EDUCATIVO INSTITUCIONAL2011-2016-IPAL 1.3.3. Asignación de carga horaria - Las programaciones académicas se - No hay informes de la evaluación de resultados de consolidad 15 días antes de iniciarse una las actividades realizadas por los formadores. actividad académica. - El informe semestral sobre las actividades no 1.3.4. Actividades complementarias - La institución ha designado cierta lectivas desarrolladas por los formadores no se de los formadores cantidad de horas para que los formadores evidencia. realicen actividades no lectivas como: programación curricular, seguimiento de - El cuadro de mejoramiento de remuneraciones egresados, actividades productivas y por buen desempeño profesional aún no se ha empresariales, asesoramiento, consejería, y concluido. 1.3.5. Motivación de los tutoría a los estudiantes, investigación, formadores. innovación tecnológica, proyección social y - El informe de diagnóstico de necesidades no se otras relacionadas al DCB. presenta oportunamente. - Hay un reconocimiento y promoción - El plan de desarrollo profesional del formador no para los formadores de cada carrera se evidencia. 1.3.6. Formación y evaluación profesional técnica. continua de los formadores. - Los resultados de la evaluación de los formadores - Los formadores cumplen con la no se publica oportunamente. evaluación, entrega de registros oportunamente y, otras actividades - Los instrumentos de evaluación del desempeño académicas según el DCB. docente debe revisarse periódicamente. 1.3.7. Aplicación de competencias adquiridas. - En la institución se ha creado un sistema de entrenamiento y evaluación - Los resultados de las encuestas aplicados deben darse a conocer oportunamente. continua sobre el desempeño profesional de los formadores nuevos. - Se establecen metas y funciones a cada formador, los que se miden anualmente 1.4. Gestión presupuestal - La institución mensualmente asigna un - No se lleva un registro de las inversiones por cada presupuesto a cada carrera profesional carrera profesional. 1.4.1. Implementación del técnica en función al pedido o presupuesto. requerimiento efectuado para el - Una vez presentado el plan anual de trabajo este 1.GESTIÓN INSTITUCIONAL debe ser revisado por una comisión para decidir el cumplimento de sus funciones básicas: procesos pedagógicos, investigación y otros monto que se le debe asignar para el desarrollo de servicios.. sus actividades. “HACER Y HACER BIEN LAS COSAS” Página 57
  • 58.
    PROYECTO EDUCATIVO INSTITUCIONAL2011-2016-IPAL Los recursos económicos de 1.4.2. Seguimiento presupuestal. - Se debe respetar el presupuesto elaborado para cada carrera profesional, con cargo a resultados óptimos. la institución son - No hay mecanismos eficientes de control interno. administrados de manera - Los informes de avance de ejecución presupuestaria no se evidencian para saber cuánto se eficiente. 1.4.3. Generación de ingresos avanza según lo planificado. económicos. - La institución no aplica políticas que contribuyen a ampliar el presupuesto de la carrera profesional técnica, debido a que en primer lugar, no hay la aprobación oportuna de un presupuesto y en segundo lugar, porque los responsables de cada carrera profesional no han hecho una programación real de requerimientos de materiales. - Los proyectos productivos que generen ingresos adicionales a la institución por cada carrera profesional no están planificados. “HACER Y HACER BIEN LAS COSAS” Página 58
  • 59.
    PROYECTO EDUCATIVO INSTITUCIONAL2011-2016-IPAL 4.2. AUTOEVALUACIÓN ESTRATÉGICA DE LOS PROCESOS ACADÉMICOS IPAL: DIMENSIÓN FACTOR FORTALEZAS DEBILIDADES - La institución realizó estudios de - Los documentos de la institución determinando el mercado para proponer nuevos proyectos número de vacantes en los tres últimos años falta de creación de carreras profesionales procesar y analizar. 2. Procesos Académicos técnicas, en función a la demanda y oferta 2.1. Diseño curricular. existente. - La publicación y socialización de los resultados de - La institución ha establecido para cada los estudios de mercado no se evidencian. La institución garantiza una carrera profesional un perfil profesional del 2.1.1. Pertinencia de la oferta - Falta difundir el perfil profesional del egresado egresado de acuerdo con el PEI, misión, académica por cada carrera profesional. formación integral visión y objetivos estratégicos institucionales. - Falta actualizar los diseños curriculares de actualizada, cumple con la - El plan curricular propuesto asegura y algunas carreras profesionales. garantiza la formación de competencias, implementación de 2.1.2. Perfil el egresado coherente con el perfil profesional del - Los planes de estudio de cada carrera profesional egresado de acuerdo con las necesidades deben de evaluarse y contextualizarse. locales y nacionales. políticas curriculares y co - Las programaciones curriculares de las carreras - La programación curricular asegura profesionales no están ordenados. curriculares y adecúa una que la formación ofrecida corresponde a las necesidades del entorno y está alineada con - El Proyecto curricular de la institución es acorde 2.1.3. Formación integral los principios, tendencias pedagógicas y metodología pertinente tecnológicas. a lo que determina el Ministerio de Educación, pero, requiere articularse por áreas profesionales, para su desarrollo. - Existe coherencia entre la propuesta Ingeniería, Contabilidad y Negocios y Salud. 2.1.4. Alineación con las tendencias curricular, los sílabos aprobados y su pedagógicas y tecnológicas. aplicación en la carrera profesional. - Las fichas de actividad se están implementando paulatinamente, se requiere concertar con los - Existen actividades co curriculares, formadores para que se tenga siempre este coherentes con el perfil profesional del 2.1.5. Coherencia curricular. instrumento. egresado de la carrera profesional, destinadas a complementar su formación “HACER Y HACER BIEN LAS COSAS” Página 59
  • 60.
    PROYECTO EDUCATIVO INSTITUCIONAL2011-2016-IPAL profesional integral. - No hay informes y reseñas de actividades, menciones y premiaciones por participación en - Se tiene y aplica un sistema de eventos, grupos o asociaciones culturales, deportivas evaluación de los procesos curriculares y sus resultados son utilizados para su existentes. actualización y mejora continua. 2.1.6. Actividades co – curriculares - Falta conocimiento sobre la normativa relacionada a la evaluación por competencias. - No se hacen informes apropiados sobre la evaluación curricular. 2.1.7. Evaluación curricular - No hay informe sobre la revisión y pertinencia de contenidos. - No hay documento que recoja información sobre las acciones resultantes de la evaluación curricular, tales como nuevas unidades didácticas, cambios de metodologías e, innovaciones. 2. Procesos Académicos - La institución difunde a través de la - Los planes de marketing on muy dinámicos, y guía del estudiante, página WEB y otros cada semestre deben de actualizarse. 2.2 Admisión. formatos publicitarios información sobre las características de la oferta educativa de - No hay informes oportunos sobre los resultados La institución cuenta con de la inversión y beneficios obtenidos de los planes la carrera profesional técnica. de marketing. una oferta educativa, 2.2.1 Oferta educativa - La institución admite ingresantes para la carrera profesional según las metas - El reglamento de admisión aún no ha sido otorgadas por la DRELM y/o Ministerio de aprobado por la institución. selecciona y admite 2.2.2 Examen de ingreso Educación, cumpliendo a cabalidad con la normatividad vigente. - Los resultados del proceso de admisión deben ser ingresantes sistematizados para tener resultados en tiempo real. - La institución cuenta con un plan de marketing. “HACER Y HACER BIEN LAS COSAS” Página 60
  • 61.
    PROYECTO EDUCATIVO INSTITUCIONAL2011-2016-IPAL 2. Procesos Académicos - Las actividades de aprendizaje se - Los portafolios o carpetas pedagógicas del desarrollan secuencial y planificadamente, docente no son aun optados por el 100% de 2.3. Enseñanza aprendizaje contando con los elementos curriculares formadores. La institución implementa, para promover el aprendizaje de los estudiantes, en las horas de clase - No se hace un seguimiento del parte diario de programadas. clase, o por lo menos no se evidencia éste. ejecuta, evalúa, actualiza y - Existe correspondencia entre los - No se conocen los resultados de las encuestas 2.3.1. Cumplimento de programas aplicadas a los estudiantes obre el desempeño de sus mejora sus procesos contenidos de las unidades didácticas y los métodos de enseñanza. formadores. académicos. - La institución promueve el - No se hacen informes de supervisión de clases. autoaprendizaje de los estudiantes de la carrera profesional. - Las programaciones curriculares y sílabos no están implementados al 100% en las carreras 2.3.2. Consistencia metodológica - La institución tiene, aplica mejora profesionales. continuamente un sistema de evaluación, del aprendizaje de la carrera profesional. - Las fichas de supervisión deben consolidarse y formar parte de un sistema de Investigación - La institución toma medias de mejora permanente. en base a los resultados del rendimiento 2. Procesos Académicos académico de los estudiantes de cada - Las fichas de actividad se están implementando 2.3.3. Autoaprendizaje carrera profesional. poco a poco. - Hay un comité de calidad en cada una - No existe un plan de evaluación del aprendizaje La institución implementa, por cada módulo profesional en cada carrera de las carreras profesionales de IPAL, que promueve, orienta, evalúa y toma profesional. ejecuta, evalúa, actualiza y decisiones sobre los procesos de mejora - No hay informes sobre las evaluaciones por cada continua. criterio de evaluación, se requiere implementar esto. mejora sus procesos 2.3.4. Evaluación del aprendizaje - Los criterios e indicadores de evaluación deben académicos. - La institución ha implementado una ser utilizados según la planificación y debe ficha de supervisión de las actividades evidenciarse estadísticamente los resultados académicas teórica y práctica, validada por académicos por cada módulo profesional en cada expertos. carrera profesional. - Se publican los consolidados de notas - Los reglamentos de prácticas pre profesionales de periódicamente en las coordinaciones cada carrera profesional técnica deben ser aprobados “HACER Y HACER BIEN LAS COSAS” Página 61
  • 62.
    PROYECTO EDUCATIVO INSTITUCIONAL2011-2016-IPAL académicas y a través del intranet IPAL. con resolución directoral. 2.3.5. Rendimiento académico. - La relación de empresas e instituciones con las que la institución tiene convenios deben ser publicados permanentemente, tanto a nivel físico y digital. - Los informes de las prácticas pre profesionales realizadas por los estudiantes deben registrarse en el sistema de información institucional. - Las institución cuenta con convenios con instituciones debidamente calificadas, - Los reportes de evaluación de las prácticas pre 2.3.6. Prácticas pre profesionales para la realización de las prácticas pre profesionales deben estar en el sistema IPAL. profesionales de sus estudiantes, en lugares y sedes que permiten y posibilitan las - Los formadores debe sumarse a las supervisiones experiencias de aprendizaje planificados en de las prácticas pre profesionales. los sílabos de las carreras profesionales 2.Procesos Académicos técnicas. - Debe implementarse encuestas para saber más sobre la realidad de las prácticas que realizan los estudiantes. La institución implementa, - La adquisición del software y el hardware debe ser de conocimiento de los estudiantes para que los ejecuta, evalúa, actualiza y 2.3.7. Nuevas tecnologías utilicen adecuadamente. - La institución ha implementado nuevos - IPAL debe implementar una plataforma virtual. mejora sus procesos laboratorios de cómputo, nuevos talleres de mecánica, electricidad y electrónica que - Se debe consolidar haciendo uso de estas académicos. promueve que los estudiantes conozcan tecnologías los recursos didácticos. nuevas tecnologías fortaleciendo las innovaciones en los procesos pedagógicos. - En los centros de cómputo debe figurar el reglamento de uso de equipos y materiales. - Se debe crear el centro de almacenamiento de audiovisuales. - La institución desarrolla e implementa - El reglamento de titulación está en procesos de eficientemente el proceso de titulación de revisión para elevarlo a la Dirección General y Emitir 2.4. Titulación los estudiantes de la carrera profesional la RD correspondiente. “HACER Y HACER BIEN LAS COSAS” Página 62
  • 63.
    PROYECTO EDUCATIVO INSTITUCIONAL2011-2016-IPAL 2.Procesos Académicos técnica, se acuerdo con la norma vigente. - Hay un registro de titulados y egresados. Lo que se requiere es consolidar la información para 2.4.1. Eficiencia de la titulación determinar los índices de titulados en los últimos 05 La titulación refleja el éxito años. - Falta implementar un plan de promoción de la de la oferta educativa titulación 2.4.2. Promoción de la titulación. - Existen políticas que promueven y - Falta establecer líneas básicas de investigación por institucional. facilitan, académica y administrativamente cada carrera profesional. la titulación de los estudiantes. - Se debe establecer las formas y fuentes de financiamiento para el proceso de titulación. - Una vez implementados los planes de promoción de la titulación, se debe de elevar el informe de resultados. - Falta consolidar el informe de entrevistas a los egresados de las carreras profesionales técnicas. 2.Procesos Académicos - IPAL cuenta con su plan de consejería institucional, que falta aprobarlo y emitir la RD - La institución brinda a los estudiantes correspondiente. consejería durante su proceso formativo en La institución apoya de 2.5. Consejería la carrera profesional. - Los resultados de la aplicación de encuestas no refieren este ítem, para conocer la real demanda del manera personalizada a sistema de consejería. 2.5.1. Consejería - A los formadores se les incluye, dentro - El profesional a cargo del área de atención en aquellos estudiantes que de sus funciones las actividades de consejería debe emitir sus informes respectivos. consejería. requieren asistencia en 2.5.2. Función de consejería en - Falta definir los horarios de consejería. formadores - El historial de intervenciones no se haya en el aspectos académicos en los sistema. - Debe implementarse el registro personal de consejería por docente. “HACER Y HACER BIEN LAS COSAS” Página 63
  • 64.
    PROYECTO EDUCATIVO INSTITUCIONAL2011-2016-IPAL que afecten su rendimiento. - La evaluación del plan de consejería institucional debe darse con frecuencia, una vez aprobado. 2.6. Investigación - La institución tiene una estructura - Dentro del reglamento institucional está organizacional para promover el desarrollo contemplado el tema de investigación. Falta aprobar de la investigación en la carrera el nuevo RI. profesional. 2.6.1. Organización de la - No hay planes de investigación investigación. - No hay un presupuesto asignado para 2.Procesos Académicos - La institución cuneta con recursos para investigación la investigación en la carrera profesional. 2.6.2. Recursos de la investigación. - Tampoco hay ejecución presupuestal en proyectos La institución ha definido de investigación. - No se han realizado acuerdos y convenios de políticas y estrategias para cooperación para investigación. 2.6.3. Seguimiento de la - Existe y se aplica un plan de investigación. seguimiento y evaluación permanente del - No se generan informes de investigación, por promover el desarrollo de desarrollo y resultados de la investigación cuanto estos aún no se han implementado. en la carrera profesional. la investigación. - No hay premios o reconocimientos por 2.6.4. Publicaciones. investigaciones realizadas. - La institución difunde los resultados de - No hay publicaciones de investigaciones. las investigaciones desarrolladas y promueve su publicación a través de - No se cuenta con listado de investigaciones 2.6.5. Capacitación de realizadas por los formadores. investigadores. medios especializados. - Los estudiantes realizan proyectos de investigación, los que aún no están consolidados por carrera profesional. - No se cuenta con el historial de investigaciones realizadas por los formadores. - Se debe formular un plan de capacitación a investigadores. “HACER Y HACER BIEN LAS COSAS” Página 64
  • 65.
    PROYECTO EDUCATIVO INSTITUCIONAL2011-2016-IPAL 4.3. AUTOEVALUACIÓN ESTRATÉGICA DE LOS SERVICIOS DE APOYO IPAL: DIMENSIÓN FACTOR FORTALEZAS DEBILIDADES - Se cuenta con la opinión de los - Los resultados de las encuestas aplicados a los formadores y estudiantes acerca de la estudiantes y formadores no se consolida y publica. calidad del servicio administrativo y personal de apoyo.. - Se conoce poco sobre los instrumentos que se 3.1. Desarrollo del personal administrativo. utilizan para la evaluación del desempeño del - Existen políticas de reconocimiento y personal administrativo y personal de apoyo. motivación al personal administrativo y 3. Servicios de apoyo personal de apoyo. - No hay directivas específicas de reconocimiento 3.1.1. Opinión de los formadores para el personal administrativo y de apoyo. estudiantes. - Se evalúa y retroalimenta el desempeño La institución dispone de del personal administrativo y personal de - Se debe de fijar acuerdos y registrar y cumplirlos apoyo en forma permanente. para estimular al personal administrativo y de apoyo. políticas y procedimientos - Las evaluaciones al personal administrativo y de para el desarrollo del personal 3.1.2. Motivación apoyo deben ser periódicas. administrativo, facilitando el cumplimiento de los objetivos académicos. 3.1.3. Evaluación de desempeño 3.2. Sistema de información. - La institución utiliza los canales - La institución está en permanente actualización adecuados para comunicarse al interior y de su página WEB. exterior de la inst-itución. - Se debe de participar en la elaboración de “HACER Y HACER BIEN LAS COSAS” Página 65
  • 66.
    PROYECTO EDUCATIVO INSTITUCIONAL2011-2016-IPAL 3.Servicios de apoyo folletos, que a su vez sirvan para difundirlos en ferias de orientación vocacional virtual. 3.2.1. Comunicación - La información referida a la gestión administrativa y académica, se encuentra - Debemos de realizar campañas de salud La institución garantiza una disponible y sistematizada, para facilitar su análisis y la toma de decisiones - El personal de informes debe comunicarse con los adecuada organización de su correspondientes. grupos de interés a través de los correos electrónicos. 3.2.2. Uso de información en la toma sistema de información. de decisiones. - Los reportes de la base de datos deben actualizarse. - Los usuarios cuentan con facilidad de acceso al sistema de información, referida a - El sistema de información debe ser reanalizado y la gestión administrativa y académica, de soportar algunos cambios que a media de cómo se 3.2.3. Acceso a la información. acuerdo a los niveles correspondientes. van implementando algunos procesos estos deban cambiarse a la par. - La institución cumple eficientemente - Debe haber un registro de acceso y consultas al con las disposiciones de transparencia y sistema de información. acceso a su información, referida a la gestión administrativa y académica de - Se debe de consignar el número de visitas a la 3.2.4. Transparencia. acuerdo a los niveles correspondientes. página WEB. - Aún no hay un programa de actualización y publicación periódica de información. - Se debe de brindar información según los niveles de responsabilidad. - Existe poca difusión del sistema de beneficios económicos que reciben los estudiantes. - La institución cuenta con políticas claras y difundidas para brindar beneficios - Las políticas y procedimientos para brindar 3.Servicios de apoyo asistenciales de carácter económico y social beneficios deben de reanalizarse e implementarse. a sus estudiantes. 3.3. Bienestar La institución promueve la - Se debe de elaborar una lista de profesionales “HACER Y HACER BIEN LAS COSAS” Página 66
  • 67.
    PROYECTO EDUCATIVO INSTITUCIONAL2011-2016-IPAL participación de los especializados en temas de bienestar estudiantil - La institución articula el acceso a los - Se debe establecer la relación de beneficiarios estudiantes en actividades co servicios de salud y garantiza la orientación cada semestre académico. 3.3.1. Beneficios asistenciales psicológica para sus formadores, curriculares; y los asiste en estudiantes, personal administrativo y - Se está mejorando el equipamiento del tópico de personal de apoyo. salud. sus necesidades para un buen - Se está implementando el registro de apoyo en rendimiento académico. salud integral, orientación psicológica a los estudiantes y personal en general. 3.3.2. Servicios de salud - La institución promueve la participación de los estudiantes en - Hay poca información sobre los reportes de actividades científico tecnológicas, eventos artísticos, tecnológicos, culturales y culturales, artísticas, deportivas y de deportivos. proyección a la comunidad fortaleciendo su formación integral. - Recién se están promoviendo actividades de proyección a la comunidad 3.3.3. Participación estudiantil en actividades co curriculares - Se está estudiando nuevas políticas y - Existen políticas y estrategias orientadas a reducir la deserción de los procedimientos de fidelización estudiantil estudiantes. - Se cuenta con información poco precisa sobre la deserción en los últimos tres años. 3.3.4. Deserción de estudiantes - Aún no se hace un estudio de causas de deserción. - Se están preparando planes correctivos para disminuir la deserción estudiantil. - La institución cuneta con una - Falta difundir las condiciones, medidas de infraestructura acorde con las normas del bioseguridad y uso de infraestructura. Ministerio de educación, Municipalidad y 3.Servicios de apoyo Defensa Civil. - El Certificado de seguridad de defensa Civil está 3.4. Infraestructura, equipamiento y tecnología. en proceso. “HACER Y HACER BIEN LAS COSAS” Página 67
  • 68.
    PROYECTO EDUCATIVO INSTITUCIONAL2011-2016-IPAL La institución cuenta con - La institución cuenta con una biblioteca - El inventario de los bienes y patrimonio de la física y virtual, recursos informáticos, biblioteca está en proceso. 3.4.1. Infraestructura simuladores, audiovisuales, laboratorios, infraestructura, equipamiento salas de práctica clínica y centro de - Se requiere implementar un sistema de control de recursos didácticos actualizados y uso y acceso a los recursos bibliográficos. y tecnología moderna para el disponibles; aplicando medidas de bioseguridad en cantidad suficiente; de - Debe hacerse un registro de los recursos desarrollo de sus actividades 3.4.2. Recursos didácticos conformidad con los parámetros informáticos que se usan en el proceso formativo. establecidos por la carrera profesional. académicas y administrativas. - Debe implementarse un control de los audiovisuales. 3.4.3. Servicios esenciales Realiza labores de - Está garantizada la operatividad - Hay un archivo de recibos de servicios básicos, a permanente y racionalidad de uso de los cargo de personal especializado. servicios básicos. mantenimiento preventivo y - No hay un informe sobre la evaluación del uso de los servicios básicos. correctivo y aplica acciones de 3.4.4. Mantenimiento - La institución cuneta con un plan de - No se tiene reportes últimos de los planes de mantenimiento preventivo de mejora de la protección ambiental. infraestructura, mobiliario y equipos. mantenimiento de infraestructura, equipos y mobiliario. - La institución dispone de equipos, - Se debe contar con un informe de resultados de la 3.4.5. Seguridad personal capacitado y un plan de aplicación del plan de mantenimiento. contingencia para atender casos de emergencia y salvaguardar la integridad de - Falta difundir le plan de seguridad 3.Servicios de apoyo la comunidad educativa, así como para proteger los bienes e instalaciones físicas - Debe hacerse el reporte de los simulacros según la norma vigente. realizados La institución cuenta con 3.4.6. Higiene y medias sanitarias. - Se debe elaborar con la comunidad un plan de infraestructura, equipamiento - La institución cuente con políticas y bioseguridad. mecanismo para mantener la infraestructura en condiciones sanitarias, y tecnología moderna para el de acuerdo a la norma vigente. - La políticas y procedimientos para mantener la institución en condiciones sanitaras no se difunde. 3.4.7. Protección ambiental “HACER Y HACER BIEN LAS COSAS” Página 68
  • 69.
    PROYECTO EDUCATIVO INSTITUCIONAL2011-2016-IPAL desarrollo de sus actividades - La institución cuenta con políticas y - No hay n reporte de las condiciones sanitarias. ejecuta acciones a favor de la protección ambiental. - El plan de protección ambiental no se difunde. académicas y administrativas. 3.4.8. Mobiliario - Debe hacerse un reporte de segregación de - La institución cuenta con mobiliario en residuos sólidos, reciclaje y desechos peligrosos. Realiza labores de las aulas, laboratorios, biblioteca y otras instalaciones, calidad y en cantidad - El inventario de bienes y mobiliario de la mantenimiento preventivo y suficientes. institución debe registrarse en formatos estándares. correctivo y aplica acciones de - Debe hacerse un reporte de altas y bajas permanentemente. protección ambiental. - Debe haber un plan de renovación de mobiliario. - Se debe plantear en el presupuesto de inversiones el porcentaje para este fin. “HACER Y HACER BIEN LAS COSAS” Página 69
  • 70.
    PROYECTO EDUCATIVO INSTITUCIONAL2011-2016-IPAL 4.4. AUTOEVALUACIÓN ESTRATÉGICA DE LOS RESULTADOS E IMPACTO IPAL: DIMENSIÓN FACTOR FORTALEZAS DEBILIDADES 4. Resultados e impacto 4.1. Imagen Institucional. - La carrera profesional posee el - No se cuenta con resoluciones de felicitación d reconocimiento público de organizaciones organizaciones importantes. La institución cuenta con una debido a la destacada labor que desempeña en su localidad. - Los diplomas de felicitaciones no se hallan imagen posicionada dentro del 4.1.1. Reconocimiento público disponibles para dar a conocer a la comunidad. medio social, cultural y - No se ha consolidado el reporte de premios, - Los distintos miembros de la 4.1.2. Opinión de usuarios reconocimientos o felicitaciones de los últimos tres comunidad educativa, usuarios directos e productivo de su localidad. indirectos de la institución poseen una años. imagen positiva de la carrera profesional. Establece su participación en la sociedad y busca ejercer influencia positiva sobre su entorno. - La institución ejecuta programas y - Falta elaborar el plan estratégico de la carrera actividades de apoyo a la comunidad, las profesional 4.2. Proyección social. que están contenidas dentro de la política 4.Resultados e impacto institucional, su plan anual de trabajo y el - Hay proyectos presentados, que están en proceso plan estratégico de la carrera profesional. de evaluación. 4.2.1. Inclusión en el plan anual de - La institución realiza el seguimiento y - No hay un programa de proyección social “HACER Y HACER BIEN LAS COSAS” Página 70
  • 71.
    PROYECTO EDUCATIVO INSTITUCIONAL2011-2016-IPAL La institución expresa su trabajo evaluación de proyectos y actividades de aprobado en el plan anual de trabajo interés social sostenibles, acorde a la política y planificación institucional. - No existe un informe de resultados del programa responsabilidad social, a de proyección social. 4.2.2. Sostenibilidad - La institución realiza alianzas través de programas de estratégicas con miembros de la sociedad - La empresa está en proceso de consolidación de civil, empresas, organismos a nivel sus aliados estratégicos. internacional, nacional, regional y local, proyección en beneficio de la para la obtención de recursos y la co 4.2.3. Alianzas estratégicas. - Se debe incrementar la cantidad de convenios con ejecución de proyectos de interés social comunidad. relacionados a la carrera profesional. instituciones - Se deben evaluar los proyectos presentados. 4.3. Egresados - La institución realiza seguimiento de - La institución cuenta con base de datos de los los estudiantes egresados de la carrera egresados de los últimos tres años. Faltando 4.Resultados e impacto profesional. solamente crear un menú en el sistema para que se 4.3.1. Base de datos de egresados pueda visualizar en tiempo real el mismo. La institución realiza el - La institución posee procedimientos - Hay un plan de seguimiento de egresados que que permiten evaluar la satisfacción del falta implementarse. seguimiento de sus egresados, egresado con la formación recibida en la carrera profesional. - Los resultados del seguimiento de los egresados los convoca y organiza a fin de 4.3.2. Satisfacción de egresados con un alto grado de inserción laboral no está al día. tener información sobre su - Faltan resultados de la aplicación de encuestas a 4.3.3. Relación permanente con el los egresados. - La institución cuenta con mecanismos egresado experiencia laboral, que permiten y estimulan el contacto permanente con el egresado de la carrera - Falta consolidar los resultados de las encuestas y profesional. entrevistas a los egresados. actualización y servicio de - Debe implementarse planes de actualización y 4.3.4. Inserción laboral empleo. seguimiento de los egresados. - La institución promueve el empleo de “HACER Y HACER BIEN LAS COSAS” Página 71
  • 72.
    PROYECTO EDUCATIVO INSTITUCIONAL2011-2016-IPAL los egresados de la carrera profesional. - No hay un reporte de actividades del egresado. - Hay un estudio de mercado laboral desactualizado. - Se debe implementar más alianzas de colocación laboral con organizaciones diversas. - Se debe implementar la bolsa de trabajo - Se debe difundir a través de la página WEB la oferta laboral. - Debe realizarse encuestas de opinión a empleadores. - El portal WEB debe vincularse a bolsas de trabajo. “HACER Y HACER BIEN LAS COSAS” Página 72
  • 73.
    PROYECTO EDUCATIVO INSTITUCIONAL2011-2016-IPAL 4.5. DIAGNÓSTICO EXTERNO DEL IESTP ”PERUANO ALEMÁN” ASPECTOS OPORTUNIDADES AMENAZAS - Las carreras profesionales de Administración de - Hay mucha competencia para las carreras de Negocios Internacionales, Administración y Gestión Computación, Contabilidad, Secretariado, con Empresarial, Diseño Gráfico y Publicidad Digital, institutos particulares y públicos que se ubican entre otras, son carreras que, como proyectos cerca al IPAL. Por decir, tenemos dos institutos experimentales, en los que aplicaremos el Nuevos públicos cerca. El Instituto diseño y el IEST Diseño Curricular por Competencias, no tienen Público Argentino. Además, tenemos otros INSTITUCIONAL competencia con empresas educativas públicas o privados como COMPUTRONIC, CESCA, privadas; puesto que por ahora y bajo este enfoque CIMAS, IDAT. éstas estén brindando estas carreras profesionales. - Dentro de la población estudiantil hay casos de - Por las condiciones educacionales que poseemos, personas con problemas de alcoholismo, hay muchas posibilidades técnicas para Acreditar las drogadicción y otros parecidos. carreras profesionales técnicas que ofertamos. - Las normas legales no permiten hoy en día - Ubicación estratégica favorable. establecer políticas severas para perfeccionar - Hay la cercanía al corredor metropolitano. el control disciplinario de los estudiantes. - Hay buen flujo de peatones por la avenida donde - Hay muchas deficiencias en la conducta de los está el IPAL, que permitiría una buena campaña ingresantes. publicitaria. - Hay mucha vulnerabilidad en la posición socio - El posicionamiento de IPAL permitiría generar más económica de los estudiantes. convenios con instituciones diversas. - investigación. “HACER Y HACER BIEN LAS COSAS” Página 73
  • 74.
    PROYECTO EDUCATIVO INSTITUCIONAL2011-2016-IPAL - Se pueden generar asociaciones o consorcios con - Falta definir políticas de manejo y archivo de empresas educativas, para generar ingresos por documentos como proyectos, normas externas regalías. e internas. - Se pueden generar convenios con empresas - Actualización de documentos de gestión INSTITUCIONAL privadas que manejen los rubros acordes a las institucional. carreras profesionales que ofertamos. Por decir, generar compromisos de consolidar subvenciones económicas para formar profesionales según las realizaciones establecidas por estas empresas. - Nos debemos de vincular a instituciones especializadas y dedicadas a combatir algunas adicciones. - Posibilidades de establecer convenios y acuerdos con instituciones públicas y privadas. - La inversión en equipos, materiales de enseñanza, y otros pedidos de las Coordinaciones académicas son atendidos de manera inmediata. - Una ventaja competitiva es contar con internet línea - Hay problemáticas grandes en la familia de los dedicada las 24 horas del día. estudiantes que repercute en su desarrollo PROCESOS ACADÉMICOS - Apoyo del Municipio de Lima a través de convenios académico y asistencia a clases. y alianzas estratégicas. - Hay docentes que tienen poca carga horaria, “HACER Y HACER BIEN LAS COSAS” Página 74
  • 75.
    PROYECTO EDUCATIVO INSTITUCIONAL2011-2016-IPAL - Se cuenta con un Proyecto Educativo Nacional, que por lo tanto hay poco compromiso de parte de le da un norte a la formación de educación superior. ellos para con los estudiantes. - Las carreras profesionales están adecuadas a las - La dependencia del Instituto ante el Ministerio disposiciones que da el Ministerio de Educación, lo de Educación, no permite actuar con total que hace que en un futuro cercano podamos ofertar autonomía, conforme lo establece la Ley de lo siguiente: educación Superior Tecnológica. - Cursos de Post Titulo, con una duración de 04 - La obligación dispuesta por el Ministerio de semestres adicionales, que conducen al estudiante a Educación, del compromiso que tienen los obtener un Título más; que equivale a los postgrados institutos tecnológicos de adecuarse al nuevo que se ofertan en las universidades y, diseño curricular, genera a la larga cierta PROCESOS ACADÉMICOS - Cursos de extensión con certificación del Ministerio competencia. de Educación. Estos Cursos son Cursos de - Falta de capacitación continua sobre el Nuevo Capacitación, de Actualización, y de Especialización. Diseño Curricular y las formas de Evaluación - Hemos ingresado ante CONEACES a la etapa de que en ellas se deben de practicar. Autoevaluación, lo que nos permite reorientar de manera estratégica nuestros lineamientos y políticas institucionales, todo ello rumbo a la Acreditación. - En el Portal de CONEACES se puede visualizar que hemos iniciado la etapa de Autoevaluación. - Los estudiantes cuentan con un seguro contra - Presencia de pandillaje y delincuencia juvenil accidentes; que les permite atención de primera en en los alrededores. SERVICIOS DE APOYO “HACER Y HACER BIEN LAS COSAS” Página 75
  • 76.
    PROYECTO EDUCATIVO INSTITUCIONAL2011-2016-IPAL las mejores clínicas del Perú, la póliza la compramos - Empresas cercanas que prestan Servicios que a la compañía de seguros el pacífico. atentan contra la integridad física y moral de los - Apoyo de las Instituciones privadas como Institutos estudiantes. SERVICIOS DE APOYO Superiores y Universidades Nacionales. - Insuficiente práctica de valores. - Acceso a exposiciones, teleconferencias, etc. - Hay diferencia significativa entre los servicios - Presencia de PNP para brindar seguridad a la educativos y orientación que recibió el comunidad. estudiante en su educación básica, versus lo que pretendemos darle en el IPAL. - Tenemos acceso a las nuevas TICS. - Hay muchos centros de baile cercanos al IPAL, - Los estudiantes tienen la ventaja de acceder a que funcionan durante el día y la noche, que créditos educativos otorgados por OBEC. perturban la tranquilidad de los estudiantes. - Hay cada vez más interés de algunas empresas en - Hay pocas posibilidades de empleo para los IMPACTO Y RESULTADOS los profesionales técnicos egresados de IPAL. egresados. - Cercano a medios de comunicación que permiten - En los empleos que logran tener nuestros difundir nuestros proyectos e imagen Institucional. egresados, los pagos por sus servicios son - Posibilidad de desarrollar proyectos de bajos respecto a la RMV. implementación. “HACER Y HACER BIEN LAS COSAS” Página 76
  • 77.
    PROYECTO EDUCATIVO INSTITUCIONAL2011-2016-IPAL 4.6. OBJETIVOS ESTRATÉGICOS SEGÚN RESULTADOS DEL DIAGNÓSTICO DEL IESTP ”PERUANO ALEMÁN” OBJETIVOS ACTIVIDADES RESPONSABLE DE HACER Y EJECUTAR CRONOGRAMA DE ESTRATÉGICOS EJECUCIÓN - Implementar el PROYECTO EDUCATIVO INSTITUCIONAL, buscando de ser el caso las fuentes de financiamiento correspondientes. - Dirección General - Continuar con el proceso de autoevaluación de cada carrera profesional, adecuándose a las normas emitidas por CONEACES. - Promover y facilitar los formatos establecidos por IPAL y MINEDU, para la formulación de proyectos multidisciplinarios entre docentes y - Dirección Académica estudiantes. INSTITUCIONAL - Establecer un programa de marketing empresarial que permite mejorar el nivel de captación de estudiantes; en el que se consignen actividades como charlas de orientación vocacional y visitas guiadas - Coordinadores al instituto. Académico - Continuar promoviendo actividades que permitan el acercamiento entre los miembros de la comunidad educativa IPAL. - Modernizar las instalaciones y equipamiento de los talleres y laboratorios de acuerdo a la demanda interna de las carreras - Dirección Administrativa profesionales y experimentales. - Promover convenios con empresas de alto nivel tecnológico, para la “HACER Y HACER BIEN LAS COSAS” Página 77
  • 78.
    PROYECTO EDUCATIVO INSTITUCIONAL2011-2016-IPAL promoción de pasantías. - Constituir las Unidades de Generación de Negocios en cada área profesional. - Ofertar mejor los servicios académicos / empresariales que podamos - Dirección General brindar a la sociedad, con estándares de calidad. - Revisar los planes de trabajo de las áreas correspondientes para aprobar los presupuestos y actividades co curriculares planteadas en el mismo. - Dirección Académica INSTITUCIONAL - Diseñar e implementar una nueva propuesta de gestión que adopte los resultados planteados en el proceso de autoevaluación iniciado. - Establecer proyectos de implementación por cada carrera profesional. - Establecer los lineamientos y requisitos de titulación para cada - Coordinadores Académico carrera profesional técnica. - Contar con un banco de proyectos de inversión a nivel de pre factibilidad para ser presentados en el sector financiero o fundaciones interesadas en ellos. - Dirección - Ser un instituto referente a nivel nacional, en formación profesional Administrativa tecnológica que aplica el Diseño Curricular Básico con enfoque por competencias y estructura modular en todas sus carreras profesionales, que otorga certificaciones progresivas y canaliza certificados modulares a nombre del Ministerio de educación, “HACER Y HACER BIEN LAS COSAS” Página 78
  • 79.
    PROYECTO EDUCATIVO INSTITUCIONAL2011-2016-IPAL teniendo como soporte a profesionales innovadores, emprendedores, con valores y capaces de contribuir con el desarrollo nacional y mundial. - Preparar y difundir el reglamento y prospecto de admisión - Dirección General - Conformar la Comisión de admisión del Instituto. - Revisar, reelaborar, difundir y ejecutar el PCC - Aplicar el Diseño Curricular Básico por competencias - Dirección Académica - Mejorar el proceso de convalidación interna y externa. - Propiciar y crear mecanismos que generen la mejora del nivel de PROCESOS ACADÉMICOS competencia, de los docentes, para formar mejores profesionales. - Coordinadores - Establecer las actividades co curriculares al inicio de cada semestre Académico lectivo, de tal modo que se puedan presupuestar anticipadamente. - Constituir la asociación de egresados de IPAL - Dirección - Consolidar y fomentar equipos de trabajo pedagógico para la Administrativa implementación real del modelo educativo propuesto en la Misión y Visión institucional. - Docentes / - Promover la capacitación continua del docente y personal Formadores administrativo en su especialidad, promoviendo experiencias empresariales, sensibilidad social y trabajo con proyección a la - Asesores comunidad. - Promover y desarrollar una cultura de investigación, innovación, “HACER Y HACER BIEN LAS COSAS” Página 79
  • 80.
    PROYECTO EDUCATIVO INSTITUCIONAL2011-2016-IPAL gestión tecnológica y empresarial entre la comunidad educativa IPAL, creando los mecanismos y condiciones necesarios. - Dirección General - Generar plenarias con participación de la comunidad educativa para evaluar las políticas y lineamientos institucionales. - Establecer mecanismos para sectorizar los espacios que correspondan a cada área profesional. - Dirección Académica - Difundir proyectos tecnológicos o productivos en concursos o ferias organizadas por instituciones de prestigio. - Coordinadores - Participar permanentemente en actividades de consejería y tutoría Académico estudiantil PROCESOS ACADÉMICOS - Conformar los comités de asesoramiento académico para alumnos egresados, a quienes se le debe asesorar en el perfeccionamiento de - Dirección Administrativa sus proyectos productivos y demás trámites conducentes a la titulación. - Docentes / - Diseñar y elaborar material didáctico moderno para su distribución Formadores digital o a modo de texto en cada carrera profesional. - Evaluar constantemente el desempeño laboral de los docentes y coordinadores. - Asesores - Crear el centro de investigación Tecnológico IPAL. - Mejorar los procesos administrativos, aplicando técnicas modernas de - Dirección General reingeniería. - Dirección Académica “HACER Y HACER BIEN LAS COSAS” Página 80
  • 81.
    PROYECTO EDUCATIVO INSTITUCIONAL2011-2016-IPAL - Capacitar al personal administrativo en el manejo de las TICs, de los - Coordinadores procesos administrativos, simplificación de trámites, y conocimiento Académico de técnicas de atención personalizada - Promover el desarrollo de un sistema especializado de IPAL para el - Dirección Administrativa SERVICIOS DE APOYO manejo de la información de cada área profesional. - Actualizar constantemente la página WEB IPAL. - Personal administrativo - Implementar un programa de gestión de calidad y de mejora continua, sistematizando las operaciones a nivel interno y externo. - Implementar medidas de evaluación constante del desempeño del personal administrativo. - Internalizar e institucionalizar la cultura del respeto y buen trato entre - Dirección General el personal administrativo, docentes y discentes para brindar un - Dirección Académica servicio de calidad. - Participar activamente con instituciones como el ministerio de trabajo - Coordinadores Académico para promover entre los estudiantes la bolsa de trabajo. IMPACTO Y RESULTADOS - Promover campañas de conservación y protección del medio - Dirección Administrativa ambiente. - Participar y/u organizar ferias tecnológicas. - Docentes / Formadores - Establecer convenios marco con empresas e instituciones de prestigio y, alianzas de cooperación con los representantes de las mismas; con - Personal Administrativo el fin de mejorar el nivel formativo, tecnológico y de gestión - Asesores “HACER Y HACER BIEN LAS COSAS” Página 81
  • 82.
    PROYECTO EDUCATIVO INSTITUCIONAL2011-2016-IPAL empresarial. - Diseñar y aplicar encuestas y sondeos de opinión, para formular - Dirección General mejoras en las políticas internas. - Promover y fomentar actividades deportivas a nivel interno y participar en eventos externos. - Dirección Académica - Implementar el buzón de quejas y hacer la revisión continua de los pareceres de los estudiantes y usuarios de nuestros servicios. - Organizar ruedas de negocios con empresas, municipalidades u otras - Coordinadores Académico instituciones públicas o privadas que presten interés en el IPAL, con el propósito de ejecutar proyectos, realizar negocios, prácticas pre IMPACTO Y RESULTADOS profesionales, pasantías u otros de interés mutuo. - Dirección - Establecer convenios con universidades para facilitar la capacitación Administrativa continua de los docentes. - Crear y difundir de manera impresa y digital la revista institucional - Docentes / Formadores IPAL - Establecer como norma el registro de egresados de IPAL, en formato - Personal preestablecido apreciable en la página WEB IPAL. Administrativo - Crear y Organizar el elenco permanente de oratoria, música, danzas, teatro y representantes deportivos de IPAL. - Asesores “HACER Y HACER BIEN LAS COSAS” Página 82
  • 83.
    PROYECTO EDUCATIVO INSTITUCIONAL2011-2016-IPAL CAPÍTULO V PROPUESTA PEDAGÓGICA “HACER Y HACER BIEN LAS COSAS” Página 83
  • 84.
    PROYECTO EDUCATIVO INSTITUCIONAL2011-2016-IPAL CAPÍTULO V 5. PROPUESTA PEDAGÓGICA 5.1. CARACTERÍSTICAS, FINES Y OBJETIVOS DE LA EDUCACIÓN SUPERIOR TECNOLOGICA 5.1.1. CARACTERÍSTICAS La Educación Superior Tecnológica, debe formar personas calificadas en el manejo y conocimiento de los procesos tecnológicos de los diferentes sectores productivos acrecentar capacidades como pensar creativa y críticamente, tomar decisiones en la solución de problemas, capacidad de aprendizaje, capacidad de pensamiento práctico, capacidades de organización, creatividad, responsabilidad, liderazgo y valores para participar de manera eficiente en el desarrollo de la economía Nacional, los rasgos que caracterizan a la educación superior tecnológica son : • Desempeño profesional competente.- Formar personas que respondan a las necesidades de un trabajo productivo de calidad, desarrollando capacidades para el manejo tecnológico con eficiencia y responsabilidad incorporando aspectos actitudinales e instrumentales que permitan el trabajo en equipo, capacidad de aprendizaje, tomar decisiones con rapidez en situaciones de presión o contingencia, ser polivalente. • Mayor movilidad y adaptabilidad laboral.- Formar profesionales técnicos altamente calificados capaces de responder a los distintos requerimientos a lo largo de su vida profesional; que impulsen la reconversión productiva de las empresas, su inserción en el mercado laboral nacional, e internacional y el crecimiento sostenible del país en una perspectiva del desarrollo humano; personas capaces de actualizarse permanentemente de manera autónoma, adecuarse y responder asertivamente a los cambios tecnológicos y del mercado laboral. • Flexibilidad de la formación.- Brindar a los distintos beneficiarios de la Educación Superior Tecnológica la posibilidad de adquirir capacidades terminales organizadas en módulos, permitiendo, por un lado, tener opciones de empleabilidad durante su formación, y por otro, la posibilidad de reinsertarse en el sistema formativo, si éste fuera el caso. 5.1.2. FINES Formar personas capaces de lograr su realización ética, intelectual, artística, cultural, afectiva, física, espiritual y religiosa, promoviendo la formación y consolidación de su identidad y autoestima y su integración adecuada y crítica a la sociedad para el ejercicio de su ciudadanía en armonía con su entorno, así como el “HACER Y HACER BIEN LAS COSAS” Página 84
  • 85.
    PROYECTO EDUCATIVO INSTITUCIONAL2011-2016-IPAL desarrollo de sus capacidades y habilidades para vincular su vida con el mundo del trabajo y para afrontar los incesantes cambios en la sociedad y el conocimiento. Contribuir a formar una sociedad democrática, solidaria, justa, inclusiva, próspera, tolerante y forjadora de una cultura de paz que afirme la identidad nacional sustentada en la diversidad cultural, étnica y lingüística, supere la pobreza e impulse el desarrollo sostenible del país y fomente la integración latinoamericana teniendo en cuenta los retos de un mundo globalizado. 5.1.3. OBJETIVOS Formar personas con valores éticos, consolidando su identidad y autoestima para un mejor ejercicio de su ciudadanía y plena realización personal con calidad de vida. Formar profesionales que respondan a las demandas del sector productivo y a las oportunidades de trabajo, que se inserten en el mercado laboral y/o generen empresas que compitan con éxito en el mercado local, regional, nacional e internacional. Formar personas emprendedoras capaces de poner en práctica iniciativas empresariales competitivas en cualquier sector o rama de la economía nacional propiciando la conservación del medio ambiente. Propiciar la articulación fluida y permanente del sistema de formación con el mundo del trabajo, estimulando en la formación una mentalidad productiva y una cultura de trabajo en las instituciones educativas. Realizar investigación tecnológica para mejorar los productos y los procesos de producción de las empresas, posibilitar y promover su desarrollo e incorporación con éxito al mercado internacional, utilizando racionalmente los recursos con los que cuenta el país y propiciando la conservación del medio ambiente. Promover la calificación de los recursos humanos, brindando una formación de calidad, pertinente, de amplia cobertura, con capacidad de respuesta a las necesidades de individuos y empresas; creando, entre quienes participan, hábitos y actitudes que les permitan incorporarse en procesos de formación permanente. Promover el desarrollo local de las regiones y comunidades, estimulando o gestionando diversas iniciativas de innovación o adecuación tecnológica acorde con la realidad socioeconómica del entorno. 5.2. CONCEPTO DE EDUCACIÓN Proceso sociocultural, constituye el desarrollo integral de las personas y sociedad; capaces de transformar y crear cultura, cumple función socializadora de nuevas generaciones asumiendo responsabilidad y roles ciudadanos. “HACER Y HACER BIEN LAS COSAS” Página 85
  • 86.
    PROYECTO EDUCATIVO INSTITUCIONAL2011-2016-IPAL 5.3. PRINCIPIOS PEDAGÓGICOS 5.3.1. PRINCIPIOS EDUCACIONALES a) La Educación debe orientarse al desarrollo humano Desarrollo integral de aptitudes, destrezas, habilidades y conocimientos para enfrentar al mundo cambiante. b) La Educación debe ser ética Debe rescatar los valores que permitan la construcción de una sociedad solidaria, justa, en la que se respete la vida y libertad. c) La Educación debe prepararse para el trabajo Otorgan al alumno capacidades laborales adecuadas no solo para emplearse en un mercado competitivo, sino para crear su propio trabajo productivo en el marco de la transformación y modernización de la estructura del país. d) La Educación debe ser intercultural Promoviendo diálogo entre personas migrantes, culturas, etnias de acuerdo a nuestra realidad del país multicultural y multiétnico. e) La Educación debe alcanzar para todos Poniendo a disposición a cada niño y adolescente la mayor educación posible, sin distingo, en busca de la excelencia. f) La Equidad Que garantiza a todos iguales oportunidades de acceso, permanencia y trato en un sistema educativo de calidad. g) La Inclusión Que incorpora a las personas con discapacidad, grupos sociales excluidos, marginados y vulnerables, especialmente en el ámbito rural, sin distinción de etnia, religión, sexo y otra causa de discriminación, contribuyendo así a la eliminación de la pobreza, la exclusión y las desigualdades. h) La Conciencia Ambiental Que motiva el respeto, cuidado y conservación del entorno natural, como garantía para el desenvolvimiento de la vida. i) La Creatividad y la Innovación Que promueven la producción de nuevos conocimientos en todos los campos del saber, el arte y la cultura. j) La Calidad “HACER Y HACER BIEN LAS COSAS” Página 86
  • 87.
    PROYECTO EDUCATIVO INSTITUCIONAL2011-2016-IPAL Que asegura condiciones adecuadas para una educación integral, pertinente, flexible y permanente. 5.3.2. PRINCIPIOS PSICOPEDAGÓGICOS Pensamiento Abstracto y valores a. Desarrollo cognoscitivo Aplicar los principios de pensamiento abstracto como  Comprensión  Sistematización  Aplicación  Análisis  Criticidad  Autoevaluación b. Desarrollo afectivo y biológico.  Orientar en los aspectos de la sexualidad  Concientizar los valores culturales, sociales, familiares y personales.  Orientar los aspectos emocionales y sentimentales  Orientar biológico del varón y mujer, y cambios físicos de ambos  Orientar visión, misión, metas y objetivos de vida. Disgrafía a. Motricidad fina  Aplicar ejercicios de motricidad fina.  Ejercicios de escritura y claridad en las palabras.  Uniformidad y espaciamiento entre palabras.  Enlaces de grafema b. Ejercicios de dictado  Precisión, esto puede ser fuerte normal o débil.  Márgenes, tanto en la derecha, izquierda arriba, abajo.  Limpieza, si existe borrones, manchas, tachaduras, maltratos de papel etc. Disortografía a. Ejercicios de dictado  Pronunciamiento correcto de palabras  Repetición continua  Repetición lenta, por sílabas  Omisión de palabras: artículos, preposiciones y conjunciones b. Ejercicios de escritura  Coordinación de la motricidad fina – escritura “HACER Y HACER BIEN LAS COSAS” Página 87
  • 88.
    PROYECTO EDUCATIVO INSTITUCIONAL2011-2016-IPAL  Enumeración de palabras  Coordinación de coherencia lógica  Estructuración de frases y palabras lógicas.  Estructuración de oraciones escritas.  Composición escrita  Ejercicios. Oral y escrito y las correcciones. Discalculía a. Dominio de conceptos aritméticos  Enseñará el vocabulario aritmético.  Enseñar conceptos de línea  Memorización de signos  Vocabularios espaciales  Enseñara a mensurar b. Aplicación de operaciones matemáticos  Tomando las tres etapas: presentación, clasificación, simbolización  Realizar preguntas de asimilación  Aplicar con la realidad de mensurar, contar, resolver, formular.  Manipulación de objetos contables  Motivación y representación mental y a mano alzada Dislalia a. Ejercicios de respiración y vocabulario  Respiración nasal y juegos de imitación  Ejercicios de percepción y orientación físico  Ejercicios de orientación temporal  Ejercicios de ritmo b. Ejercicios de discriminación auditiva  Discriminación de sonidos percibidos y distinción de palabras  Diferenciación de fonemas  Sustitución de letras  Corrección y alteración orgánica Hiperactividad a. Programa especial – interactivo  Autocontrol e individualización  Utilizar la psicología conductista  Reforzamiento de otras conductas  Crear nuevos rincones de aprendizajes físicos b. La auto-estima “HACER Y HACER BIEN LAS COSAS” Página 88
  • 89.
    PROYECTO EDUCATIVO INSTITUCIONAL2011-2016-IPAL  Desarrollar y enfatizar la auto-estima  Enseñar a querer a otros y valorarse a sí mismo  Enseñar los modos de vida que puede enfrentar en lo venidero Dislexia a. Ejercicios verbal  Representar gráficos y el símbolo  Actividades con representaciones gráficas  Estructurar imágenes representando palabras  Elaborar gráficos representativos a nivel aula b. Ejercicios no verbal  Representar los imágenes y símbolos  Corregir palabras equivocadas en pronunciamiento  Manipuleo de objetos sensibles  Percepción global, luego volver al gráfico representativo Déficit atencional a. Conflictos interpersonales  Enseñar a valorar a otros y aceptar tal como es  Animar y alentar que su auto-estima es sumamente alta  Enseñar a resolver problemas  Llamar atención con representaciones gráficas b. Tratamiento psicosocial  Socializar con sus compañeros  Paciencia y tolerancia a la persona  Tolerancia a la diversidad  Sistematizar las ideas para proponer y animar lo que él desea ser Talento superior a. Motivación extrínseca.- Para su desarrollo intelectual con mayor capacidad de abstraer e imaginarse genialmente. b. Apoyo emocional.- Orientación emocional, animar siempre que está progresando y va llegar a logros muy importantes y significativos. Inteligencia emocional a. Autoestima.- Es el valor personal de cada uno de nosotros.  Desarrollar los valores personales y culturales  Valorar la familia y medio ambiente  Reconocer nuestras actitudes emocionales “HACER Y HACER BIEN LAS COSAS” Página 89
  • 90.
    PROYECTO EDUCATIVO INSTITUCIONAL2011-2016-IPAL  Inducir a la aceptación y valoración de sí mismo y a los demás b. Auto concepto.- Es la percepción sobre nosotros mismos.  Desarrollar la personalidad consciente de nuestra realidad en los educandos  Elevar el ánimo y la autoestima a los educandos  Orientar en los aspectos de proyección hacia el futuro  Influencias el trabajo junto con los padres  Infundir las relaciones humanas, la apariencia física, relaciones sociales, relaciones con sus pares, la lectura, etc. Inteligencia múltiple a. Creatividad y capacidad  Infundir la creatividad según los tipos de inteligencia  Descubrir el tipo de inteligencia para proyección del futuro  Aplicar los tipos de inteligencia para descubrir la personalidad de cada persona  Lograr reconocer las capacidades intelectuales b. Orientación vocacional  Descubrir por medio de test el tipo de inteligencia que tiene el educando  Orientar qué tipo de inteligencia posee  Perfilar su profesión a base del tipo de inteligencia  Orientar su vocación a base de inteligencias que parte de sus aptitudes personales del educando 5.4. PARADIGMA EDUCATIVO Es el modelo teórico para hacer ciencia pedagógica e interpretar la práctica derivada de esta. Es un modelo de acción, un ejemplo aceptado y un esquema de interpretación; la cual orienta la teoría, la acción, la práctica y la investigación en el aula. Paradigma adoptado por institución como propuesta para el que hacer educativo; es la complementariedad del paradigma cognitivo y ecológico contextual. El paradigma cognitivo la enseñanza – aprendizaje está centrado en el proceso; el paradigma ecológico – contextual centrado en la vida, su conservación y en el contexto. El paradigma cognitivo se centra en los procesos del profesor (como enseña) y el alumno (como aprende); mientras el paradigma ecológico-contextual se preocupa del entorno y de la vida en aula. “HACER Y HACER BIEN LAS COSAS” Página 90
  • 91.
    PROYECTO EDUCATIVO INSTITUCIONAL2011-2016-IPAL El paradigma cognitivo es más individualista, centrado en los procesos del alumno, mientras el paradigma ecológico-contextual es más socializador (centrado en la interacción, contexto–grupo–individuo y viceversa). Por medio del paradigma cognitivo podemos dar significación y sentido a los conceptos, diagrama de flujos, pensamiento lógico y numérico para estructurar significativamente los contenidos; por medio del paradigma ecológico-contextual podemos estructurar significativamente la experiencia, aprendizaje comparativo, diversificación y contextualización. En conclusión el paradigma cognitivo (a partir de una adecuada estructuración significativa de los contenidos, hechos y procedimientos) favorece el aprendizaje significativo individual; el paradigma ecológico-contextual nos facilita profundizar la experiencia individual y grupal contextualizada. Y desde esta doble perspectiva surge el interés y la motivación, lo que facilita la creación, aptitudes, actitudes y valores. El potencial del aprendizaje (dimensión cognitiva) se desarrolla por medio de la socialización contextualizada (dimensión ecológico-contextual) según Vygotsky. Se debe considerar o tomar en cuenta el paradigma histórico-social, llamado también paradigma sociocultural o histórico-cultural, fue desarrollado por L.S. Vygotsky a partir de la década de 1920. Una premisa central de este paradigma es que el proceso de desarrollo cognitivo individual no es independiente o autónomo de los procesos socioculturales en general, ni de los procesos educacionales en particular. No es posible estudiar ningún proceso de desarrollo psicológico sin tomar en cuenta el contexto histórico-cultural en el que se encuentra inmerso, el cual trae consigo una serie de instrumentos y prácticas sociales históricamente determinados y organizados. Para Vygotsky convierte en un triángulo abierto en el que los tres vértices se representan por sujeto, objeto de conocimiento y los artefactos o instrumentos socioculturales; y se encuentra abierto a la influencia de su contexto cultural. De esta manera la influencia del contexto cultural pasa a desempeñar un papel esencial y determinante en el desarrollo del sujeto quien no recibe pasivamente la influencia sino que la reconstruye activamente. 5.5. MODELO PEDAGÓGICO Es una aproximación teórica útil en la descripción y comprensión de aspectos interrelacionados de un fenómeno o parámetros pedagógicos Los Modelos pedagógicos representan formas particulares de interrelación entre los parámetros pedagógicos, una concepción del ser humano específica y de una idea claramente determinada de la sociedad. Los modelos pedagógicos en general responden al menos a las siguientes cinco preguntas: “HACER Y HACER BIEN LAS COSAS” Página 91
  • 92.
    PROYECTO EDUCATIVO INSTITUCIONAL2011-2016-IPAL  El ideal de la persona bien educada que se pretende formar.  A través de qué o con qué estrategias metodológicas.  Con qué contenidos y experiencias educativas concretas.  A qué ritmos o niveles debe llevarse el proceso formativo.  Quién dirige el proceso formativo y en quién se centra el mismo. El modelo pedagógico de la Institución.  Estimula los procesos mentales superiores para la creatividad y búsqueda de solución de problemas.  Propende a métodos activos. Privilegia el aprendizaje en la práctica, el taller, fusionando el pensamiento acción.  Se centra en el aprendizaje significativo en relación a las necesidades, mercado laboral y en capacidades, valores y actitudes.  Toma en cuenta la realidad e individualidad de los alumnos, propendiendo el trabajo en equipo. Impulsa la relación personal del docente con el alumno, desarrollando en esta las habilidades y destrezas para la vida en su formación profesional. 5.6. MODELO CURRICULAR Díaz Barriga, afirma que los modelos curriculares que existen en el discurso educativo son: currículo por asignaturas, por áreas y por módulos. Román Pérez y Diez López, citando a Porlán, afirman que los modelos curriculares no sólo pretenden explicar y describir una realidad sino también informar sobre cómo intervenir en ella para transformarla. 5.6.1 ESTRATEGIA DE ENSEÑANZA PARA LA PROMOCIÓN DE APRENDIZAJES SIGNIFICATIVOS Son recursos que el profesor utiliza para focalizar y mantener la atención de los aprendizajes durante una cesión. Entre las principales estrategias tenemos: a. Capacidades o propósitos.- Enunciado que establece condiciones, tipo de actividad y forma del aprendizaje del alumno. Generación de expectativas apropiadas en los alumnos. b. Resumen.- Síntesis y abstracción de la información relevante de un discurso oral o escrito. Enfatiza conceptos clave, principios, términos y argumento central. c. Organizador previo.- Información de tipo introductorio y contextual. Es elaborado con un nivel superior de abstracción, generalidad e inclusividad de la información que se aprenderá. d. Tiende un puente cognitivo entre la información nueva y la previa. “HACER Y HACER BIEN LAS COSAS” Página 92
  • 93.
    PROYECTO EDUCATIVO INSTITUCIONAL2011-2016-IPAL e. Manipulación, utilización e Ilustraciones.- Representación visual de los conceptos, manipulación y utilización de objetos, herramientas, o situaciones de una teoría o tema específico. El tipo de ilustraciones en textos académicos más usuales tenemos: Descriptiva, expresiva, constitucional, funcional, lógico-matemática, algorítmica, arreglo de datos. f. Analogías.- Proposición que indica que una cosa o evento (concreto y familiar) es semejante a otro (desconocido y abstracto o complejo). g. Preguntas intercaladas.- Preguntas insertadas en la situación de enseñanza o en un texto. Mantienen la atención y favorecen la práctica, la retención y la obtención de información relevante. h. Pistas tipográficas y discursivas.- Señalamientos que se hacen en un texto o en la situación de enseñanza para enfatizar y/u organizar elementos relevantes del contenido por aprender. i. Mapas conceptuales y redes semánticas.- Representación gráfica de esquema de conocimiento, diagramas de flujo (indican conceptos, proposiciones y explicaciones). j. Uso de estructuras textuales.- Organizaciones retóricas de un discurso oral o escrito que influyen en su comprensión y recuerdo 5.6.2 ENFOQUE TEÓRICO DEL APRENDIZAJE “HACER Y HACER BIEN LAS COSAS” Página 93
  • 94.
    PROYECTO EDUCATIVO INSTITUCIONAL2011-2016-IPAL 5.6.3 RECOMENDACIONES PARA EL APRENDIZAJE Aprender a aprender como desarrollo de la inteligencia potencial El concepto del potencial del aprendizaje (inteligencia potencial) pretende dar una síntesis entre el aprendizaje cognitivo y el aprendizaje social. Se aprende por socialización y la mediación del adulto (actúa como agente de socialización y facilitador del aprendizaje) es importante y trascendente. La inteligencia (individual y colectiva- personal e institucional) se desarrolló por medio del aprendizaje. Todas las personas, sobre todo en edades tempranas poseen un amplio potencial de aprendizaje; unas veces se desarrolla y se convierte en desarrollo real (aprendizaje real) y otras no, quedándose en desarrollo potencial (aprendizaje potencial). Los modelos de diseño curriculares aplicados son propuestos con una nueva manera de hacer, impulsando el desarrollo de procesos cognitivos y afectivos (capacidades y valores) y una nueva arquitectura del conocimiento desde la perspectiva del aprendizaje significativo. Se esquematiza de la siguiente manera: “HACER Y HACER BIEN LAS COSAS” Página 94
  • 95.
    PROYECTO EDUCATIVO INSTITUCIONAL2011-2016-IPAL ¿Qué significa aprender? Desde los enfoques cognitivos y constructivistas, han aprendido a aprender porque:  Controlan sus procesos de aprendizaje  Se dan cuenta de lo que hacen  Captan las exigencias de la tarea y responden correctamente  Planifican y examinan sus propias realizaciones pudiendo identificar los aciertos y desaciertos  Emplean estrategias de estudio pertinentes para cada situación  Valoran los logros obtenidos y corrigen sus errores ¿Qué son estrategias de aprendizaje?  Son procedimientos  Pueden incluir varias técnicas, operaciones o actividades específicas “HACER Y HACER BIEN LAS COSAS” Página 95
  • 96.
    PROYECTO EDUCATIVO INSTITUCIONAL2011-2016-IPAL  Persiguen un propósito determinado: El aprendizaje y la solución de problemas académicos y/o aquellos otros aspectos vinculados a ellos como desarrollo de la motricidad, habilidades y destrezas.  Son más que los “hábitos de estudio” porque se realizan flexiblemente  Pueden ser abiertas (públicas) o encubiertas (privadas)  Son instrumentos socioculturales aprendidos en contexto de interacción con alguien que sabe más. Aprender a aprender implica:  El uso adecuado de estrategias cognitivas, en sentido amplio el concepto de estrategia cognitiva puede entenderse como l conjunto de procesos que sirva de base a al realizaciones de tareas intelectuales. En sentido más estricto “Un método para aprender una tarea o más generalmente para alcanzar un objetivo. Existen dos enfoques fundamentales en el marco del currículo.  Las estrategias como solución del problema, un conjunto de pasos, suelen centrar en el qué (respuesta adecuada al problema) y los pasos dados (cómo) para la solución. Suelen descuidar el para qué, que de ordinario es implícito (capacidades y valores).  Estrategias como desarrollo de capacidades de valores, como el camino para desarrollar destrezas que desarrollan capacidades y desarrollar actitudes que desarrollan valores por medio de contenidos (formas de saber) y métodos-procedimientos (formas de hacer). Este tipo de estrategias de aprendizaje desarrolla el para qué (capacidades - destrezas y valores – actitudes), el cómo (procesos, métodos, habilidades) y el qué (contenidos).  El uso adecuado de estrategias Meta cognitivas; la Meta cognición está orientada, según Flavel, a “pensar sobre el propio pensamiento. Meta cognición significa el conocimiento de uno mismo concerniente a los propios procesos de uno mismo y productos cognitivos o a todo lo relacionado con ellos”. El aprender a aprender Meta cognitivo debe ayudar a los estudiantes a:  Construir un alto repertorio de tácticas cognitivas: repetición, estructuración, organización de hechos, conceptos principios, procedimientos a usar.  Reconocer lo que deben aprender, es decir aplicar las metas a conseguir  Acentuar la calidad de las experiencias Meta cognitivas para facilitar el aprendizaje y aumentar la motivación y el interés.  Elaborar un almacén de tácticas diseños y andamios del pensamiento, incluyendo el cuándo y el cómo usarlo.  El uso adecuado de modelos conceptuales; los modelos conceptuales son formas de representación cognitiva del universo, de las cosas y objetos que contiene y de uno mismo. Cada área o y/o asignatura escolar tiene su propio mapa mental que es necesario transferir a la mente del aprendiz de una manera ordenada, global y sistemática, ya que lo que se aprende se ha de situar en lo que se sabe. “HACER Y HACER BIEN LAS COSAS” Página 96
  • 97.
    PROYECTO EDUCATIVO INSTITUCIONAL2011-2016-IPAL Constructivismo y aprendizaje significativo El constructivismo es una corriente pedagógica que confluencia de diversos enfoques psicológicos que enfatizan la existencia y prevalencia de procesos activos de autoestructuración y reconstrucción de los saberes culturales, los cuales permiten explicar la génesis del comportamiento y del aprendizaje. La concepción constructivista del aprendizaje escolar y la intervención educativa, constituye la convergencia de diversas aproximaciones psicológicas a problemas cómo:  El desarrollo psicológico del individuo, particularmente en el plano intelectual y en su intervención con los aprendizajes escolares.  La identificación y atención a las diversidades, intereses, necesidades y motivaciones de los alumnos en relación con el proceso enseñanza– aprendizaje.  El replanteamiento de los contenidos curriculares, orientados a que los sujetos aprendan a aprender sobre contenidos significativos  El reconocimiento de la existencia diversos tipos y modalidades de aprendizaje escolar, dando una tensión más integrada a los componentes intelectuales, afectivos y sociales  La búsqueda de alternativas novedosas para la selección, organización y distribución del conocimiento escolar asociadas al diseño y promoción de estrategias de aprendizaje e instrucción cognitivas  La importancia de promover la interacción entre el docente y sus alumnos , así como entre los alumnos mismos. A través del manejo de grupos mediante el empleo de estrategias de aprendizaje cooperativo  La revalorización del papel del docente, no solo en sus funciones de transmisor del conocimiento, guía o facilitador del aprendizaje, sino como mediador del mismo, enfatizando el papel de la ayuda pedagógica que presta reguladamente al alumno.  Dicho proceso de construcción depende de dos procesos fundamentales: De los conocimientos previos o representación que se tenga de la nueva información o de la actividad o tarea al resolver; y de la actividad externa e interna que el aprendiz realice al respecto. La concepción constructivista del aprendizaje escolar se sustenta en la idea de que la finalidad de la educación que se imparte en las instituciones educativas es promover los procesos de crecimiento personal del alumno en el marco de la cultura del grupo al que pertenece. Es decir enseñar a enseñar y actuar sobre contenidos significativos y conceptualizados. Para que realmente sea significativo el aprendizaje, este debe reunir varias condiciones de logro: la nueva información debe relacionarse de modo no arbitrario y sustancial con lo que el alumno ya sabe; dependiendo también de la disposición (motivación y actitud ) de éste para aprender, así como de la naturaleza de los materiales o contenidos de aprendizaje. “HACER Y HACER BIEN LAS COSAS” Página 97
  • 98.
    PROYECTO EDUCATIVO INSTITUCIONAL2011-2016-IPAL Características fundamentales del aprendizaje según la concepción constructivista El aprendizaje se caracteriza por ser un proceso constructivo, acumulativo, contextualizado, autorregulado, orientado a una meta, propósito educativo, colaborativo o cooperativo e individualmente distinto en cada aprendiz.  El aprendizaje es constructivo (Cobb, De Corte).- Las personas que aprenden no permanecen pasivas al recibir la información sino que construyen sus propios conocimientos y habilidades; implica en todos ellos que el aprendiz adquiere conocimientos y habilidades nuevos en un proceso activo que requieren actividades significativas y que demanda esfuerzo por parte del sujeto que aprende.  El aprendizaje es acumulativo (Shuell).- Los alumnos no son “tabula rasa” ni siquiera cuando ingresan por primera vez al sistema solar. En todo nuevo aprendizaje existen conocimientos y experiencias anteriores, formales e informales, que es activan. El aprendizaje está basado en lo que los aprendices ya saben y pueden hacer, a partir de lo cual procesan la nueva información y derivan nuevos significados y/o adquieren nuevas habilidades.  El aprendizaje es contextualizado (Greer, Vygotsky).- Las representaciones mentales de la nueva información se hacen eco de las experiencias previas del estudiante y se impregnan de la interpretación que él pueda hacer del contexto en que adquiere significado este nuevo aprendizaje.  El aprendizaje es autorregulado (Shuell).- Esta característica expresa el aspecto Meta cognitivo del aprendizaje, a través de las actividades de monitoreo, manejo de la concentración y motivación, retroalimentación y emisión de juicios que hace el estudiante acerca de su propio proceso de aprender.  El aprendizaje es orientado hacia una nueva meta o propósito (Shuell).- El aprendizaje efectivo y significativo es facilitado si se conoce una meta determinada. Tomando en cuenta su naturaleza constructiva y autorregulada, se puede suponer que el aprendizaje es más productivo cuando los estudiantes determinan y señalan sus propias metas. El aprendizaje puede ser exitoso cuando los objetivos son definidos previamente y propuestos a los alumnos por el profesor, un texto, un programa de computación, etc. siempre que sus metas sean adoptadas y asumidas por los aprendices.  El aprendizaje es colaborativo y cooperativo (Vygotsky).- Aprender con otros es un aspecto esencial del proceso de aprender, implica la naturaleza cooperativa del aprendizaje. La visión del aprendizaje como proceso social es central en la concepción de muchos constructivistas que consideran la interacción social fundamental para el aprendizaje. No se opone a la construcción individual del conocimiento que ocurre simultáneamente durante el proceso de interacción, negociación y cooperación. “HACER Y HACER BIEN LAS COSAS” Página 98
  • 99.
    PROYECTO EDUCATIVO INSTITUCIONAL2011-2016-IPAL  El aprendizaje es individualmente diferente (Riveros).- los procesos y resultados de los aprendizajes varían entre los estudiantes por la diferencias individuales de sus actitudes para aprender, sus conocimientos previos, sus concepciones del aprendizaje, interés, autoestima y especialmente su disposición afectiva. Inteligencias múltiples Gardner enuncia la competencia cognitiva como un conjunto de habilidades, talentos, aptitudes o capacidades que denominan inteligencias. Los individuos normales poseen hasta cierto grado cada una de esas inteligencias y difieren entre si el nivel de las mismas y en su combinación. Gardner como Psiconeurólogo considera la inteligencia como un atributo innato y por tanto heredado. Cada una de las inteligencias posee un componente neurológico que radica en una zona determinada del cerebro humano. Es por tanto un potencial psicobiológico y ello facilita el ejercicio de este conjunto de facultades. Cada una de las inteligencias es un potencial biológico en bruto, que puede ser pulido en un contexto cultural determinado y además sirve para resolver problemas y alcanzar diversos fines culturales; se concretan en estos siete tipos fundamentales:  Inteligencia musical.- Se localiza preferentemente en el hemisferio derecho del cerebro, aunque no exclusivamente. Se manifiesta en la percepción y producción musical y más en concreto en habilidades tales como el ritmo, el tono el canto, la discriminación de notas, el reconocimiento de canciones, etc. se concreta sobre todo en los músicos.  Inteligencia cinético-corporal.- Se localiza en la corteza motora donde cada uno de los hemisferios cerebrales actúan a la inversa (izquierda – derecha). Consiste en la capacidad para resolver problemas y elaborar productos empleando el cuerpo o partes del mismo. Se da, sobre todo, en bailarines, atletas, cirujanos y artesanos.  Inteligencia lógico–matemático.- Radica en diversas zonas del cerebro poco perfiladas aún por la investigación actual. Está en relación con el pensamiento científico y se manifiesta en capacidades tales como la observación y la deducción, la comprensión y el uso de conceptos numéricos, cálculo mental y la abstracción científica. Constituye la base principal de los tests de inteligencia y puede ser considerada como “inteligencia en bruto”. Posee un peso excesivo en la identificación del coeficiente intelectual. Es propia de los científicos, matemáticos, ingenieros etc.  Inteligencia lingüística.- Se sitúa en el “área del broca“ del cerebro y es responsable de la producción de oraciones gramaticales, a partir de habilidades tales como: el vocabulario, el uso de conectores, el diálogo, la fluidez. Se manifiesta sobre todo en los poetas y en los escritores.  Inteligencia espacial.- Su sede está en hemisferio derecho del cerebro y consiste en la capacidad para formarse un modelo mental de un mundo espacial y para maniobrar y operar usando ese modelo. Se concreta, sobre todo en, marinos, ingenieros, astronauta, cirujanos, escultores, pintores. “HACER Y HACER BIEN LAS COSAS” Página 99
  • 100.
    PROYECTO EDUCATIVO INSTITUCIONAL2011-2016-IPAL  Inteligencia interpersonal.- Radica en los lóbulos frontales del cerebro y se construye al percibir distinciones entre los demás, contrastando sus estados de ánimo, temperamentos, motivaciones e intenciones. Supone la capacidad de entender a otras personas tales como; qué les motiva, cómo trabajan, cómo trabajar con ellos en forma cooperativa. Se manifiesta en políticos, profesores, maestros, vendedores, líderes religiosos.  Inteligencia intrapersonales.- Radica también los lóbulos frontales del cerebro y consiste en capacidad de formarse un modelo ajustado y verídico de uno mismo y además de utilizar ese modelo para desenvolverse eficazmente en la vida. Existe en todas las persona, con mejor o peor nivel de organización. La teoría de las inteligencias múltiples resulta atractiva, pero a nivel escolar su gran limitación radica en dispersión teórica su base biológica y genetista y su elaboración técnica poca afinada. En la práctica confunde (en muchos casos) la inteligencia con las diversas áreas del currículo. Deja pocos espacios para la intervención en el desarrollo de capacidades en los aprendices y en la formulación de objetivos. Constructivismo y evaluación La evaluación se entiende como el proceso permanente de información y reflexión, comprende todos los componentes y todos los elementos del proceso educativo, no solamente al rendimiento. En el enfoque basado en competencias laborales en una estructura modular, para la evaluación de los aprendizajes se toma en cuenta los criterios de evaluación a partir de los cuales se definen los indicadores que constituyen los estándares de calidad mínimos a lograr en la capacidad terminal. El proceso de evaluación en este enfoque tiene dos dimensiones que se dan en forma paralela: la primera se relaciona con el seguimiento del aprendizaje, y la segunda se refiere a la valoración del mismo expresada en calificaciones que reflejan cuánto se ha aprendido. Esta perspectiva plantea no centrarse en la calificación del aprendizaje, sino concebir la evaluación de manera integral. Se plantean cuatro técnicas para el proceso de evaluación del aprendizaje en la Educación Superior Tecnológica. El uso de éstas dependerá de la definición de la variable del objeto de evaluación, es decir la capacidad o actitud que se quiera evaluar. Entre ellas tenemos las siguientes:  Observación del proceso  Verificación del producto  Verificación de la información  Observación de las actitudes El rol que desempeña la evaluación en el proceso de aprendizaje: Identifica sus problemas, posibles causas y necesidades de los alumnos, mide sus logros, informa las fortalezas y debilidades de sus aprendizajes, determina eficiencia y eficacia de las estrategias utilizadas por el profesor. “HACER Y HACER BIEN LAS COSAS” Página 100
  • 101.
    PROYECTO EDUCATIVO INSTITUCIONAL2011-2016-IPAL El sentido de la evaluación, desde el punto de vista de un concepto moderno, no solo se restringe al rendimiento de los estudiantes, pues comprende todos los elementos del proceso educativo. Si la evaluación sólo sirve para promover al alumno o desaprobarlo no cumple una función propiamente pedagógica. La evaluación es principalmente un valioso medio de formación. De este modo podemos decir que los tipos de evaluación se enmarca en:  Evaluación de contexto.- Considera todo lo relacionado con el ambiente que rodea al alumno y alumna, el hogar, el centro educativo y la comunidad. Nos permite conocer la situación del estudiante, principales necesidades y problemas, sus relaciones dentro un grupo social, los valores que practican en forma habitual y sus experiencias culturales, como punto partida para relacionar el proceso educativo con la realidad del medio donde el estudiante se desarrolla o interactúa.  Evaluación Inicial.- Tiene el propósito de lograr información acerca de conocimientos y expresiones previas de los alumnos y alumnas, en relación a capacidades, actitudes, conceptos y procedimientos, considerados en el currículo para el grado correspondiente.  Evaluación Formativa.- Permita evaluar el desarrollo y la práctica de valores y actitudes en el proceso de aprendizaje, rara vez registramos los logros y dificultades que tienen los estudiantes e el desarrollo y la práctica de esos valores.  Evaluación Diferencial.- Los alumnos y alumnas no aprenden al mismo ritmo ni constituyen conocimientos al mismo nivel. Los logros del aprendizaje se realiza a lo largo de un proceso en que el alumno y aluna avanzan según el ritmo de sus capacidades y habilidades, en consecuencia la evaluación es diferencial en el aprendizaje y en el proceso para lograrlo.  Evaluación Sumativa.- Tiene función clasificadora o calificadora de los estudiantes al final de cada actividad, proyecto o unidad de aprendizaje. Procedimientos de Evaluación.- Son las maneras o formas de evaluar, para obtener el nivel de logro de los aprendizajes. Instrumentos de evaluación.- Son recursos técnicos estructurados en base a indicadores, plasmados en ítems, cuyo propósito es obtener información de los niveles de logro del proceso enseñanza aprendizaje. Criterios de Evaluación.- Hace referencia al dominio de capacidades, facilitan la formulación de indicadores y nos dan una visión como aplicar instrumentos de evaluación; y son pertinentes en todos los niveles. Indicadores.- Medios observables de evaluación, es signo, síntoma de alguna condición. Referencias tangibles de los niveles de aprendizaje logradas por los estudiantes que permiten el registro, análisis y elaboración de instrumentos para evaluar capacidades, contenido y productos propuestos. El docente se plantea las siguientes interrogantes: “HACER Y HACER BIEN LAS COSAS” Página 101
  • 102.
    PROYECTO EDUCATIVO INSTITUCIONAL2011-2016-IPAL ¿Para qué evaluar? Necesidad de responder al problema planteado en una actividad de aprendizaje. Y se evalúa para:  Identificar si los estudiantes poseen las capacidades, conocimientos y experiencias previas e información relevante, que permite comprender y desarrollar en forma significativa los nuevos aprendizajes.  Intervenir y regular a tiempo los aprendizajes mientras estos se realizan. Comprender, retroalimentar y mejorar los procesos pedagógicos.  Verificar el nivel del logro alcanzado por los estudiantes al final de un periodo o al final del año académico. ¿Qué evaluar? Necesidad de precisar los indicadores; se evalúan:  Logros de aprendizaje  Capacidad  Conocimiento  Valores y actitudes ¿Cómo evaluar? Necesidad de establecer procedimientos; comprende:  Análisis de los logros de aprendizaje  Selección de las capacidades que se evaluarán  Búsqueda y recojo de información relevante  Organización y análisis de la información  Valoración  Toma de decisiones  Comunicación de la información ¿Con qué evaluar? Necesidad de elaborar los instrumentos.  Diseñar instrumentos pertinentes con banco de ítems ¿Cuándo evaluar? Necesidad de precisar los periodos.  Precisar los momentos, circunstancias y frecuencia para la evaluación. Dimensiones de la evaluación “HACER Y HACER BIEN LAS COSAS” Página 102
  • 103.
    PROYECTO EDUCATIVO INSTITUCIONAL2011-2016-IPAL  Dimensión Psicopedagógica y curricular, se involucran directamente todos aquellos aspectos relacionados con un modelo o marco de referencia teórico y un planteamiento curricular determinado.  Dimensión referida a las prácticas de la evaluación, lo relativo al conjunto de procedimientos, técnicas, instrumentos y criterios para realizar las actividades de evaluación.  Dimensión normativa, implica los asuntos relacionados con fines administrativos e institucionales. La acreditación, la promoción, los documentos de evaluación, las evaluaciones del profesorado y directivo. Una de las dimensiones relevantes de la evaluación es considerar a todos los instrumentos y procedimientos que suelen utilizarse en las distintas prácticas educativas. Técnicas informales Se utilizan dentro de los episodios de enseñanza con una duración breve, podemos identificar dos clases:  Observación de las actividades realizadas por los alumnos  Exploración a través de preguntas formuladas por el profesor durante la sesión de clase. Técnicas semiformales Se caracterizan por requerir de un mayor tiempo de preparación, demandar mayor tiempo para su valoración y exigir a los alumnos respuestas más duraderas. Tenemos:  Ejercicios y prácticas que los alumnos realizan en clase.  Tareas que los profesores encomiendan a sus alumnos para realizar fuera de clase. Técnicas Formales Exigen planeación y elaboración más sofisticados y suelen aplicarse en situaciones que demandan un mayor grado de control. Los alumnos perciben como situaciones verdaderas de aprendizaje. Tenemos:  Pruebas o exámenes tipo test  Mapas conceptuales, diagramas de flujo, planos  Pruebas de ejecución, de habilidades, de manipulación.  Listas de cotejo o verificación y escalas. Práctica docente La acción técnica, técnica científica y sistemática del docente, frente a la demanda de la formación del discente tanto en el aula, como fuera de ella, se enmarca en: “HACER Y HACER BIEN LAS COSAS” Página 103
  • 104.
    PROYECTO EDUCATIVO INSTITUCIONAL2011-2016-IPAL Proceso Enseñanza y aprendizaje Principios:  Organización cognitiva del alumno  Desarrollo capacidades  Construcción de contenidos culturales, potencialmente significativos  Aprende lo que comprende  Uso de metodología y aplica didáctica critica  El pensamiento autónomo se constituye a partir del diálogo y toma de conciencia  El contexto influye en la autoconstrucción de los conocimientos  Evaluación de proceso  Desarrollar trabajo cooperativo que provoquen conflictos cognitivos Rol del Maestro Cambio de actitud:  Es guía, facilitador, mediador y regulador  Propicia aprendizajes significativos, en relación a la demanda laboral.  Favorece un clima de aceptación, confianza y autoestima  Conoce y aplica sustentos teóricos de su práctica educativa  Posee equilibrio emocional  Se actualiza, auto-instruye y está a tono con los avances científicos  Es líder social. El Alumno en el IESTP Logra:  Formación integral tecnológica  Aprendizaje significativo  Rol activo  Cooperación y solidaridad  Sociedad  Convivencia humana en justicia, bienestar general, calidad de vida y seguridad “HACER Y HACER BIEN LAS COSAS” Página 104
  • 105.
    PROYECTO EDUCATIVO INSTITUCIONAL2011-2016-IPAL 5.6.4 CURRICULO “HACER Y HACER BIEN LAS COSAS” Página 105
  • 106.
    PROYECTO EDUCATIVO INSTITUCIONAL2011-2016-IPAL CULTURA SOCIAL, CULTURA INSTITUCIONAL Y CURRÍCULUM: Elementos básicos: Aproximación Conceptual.- Es un instrumento de educación formal, explícita y concreta, propósitos en términos de logros de aprendizaje, capacidades, actitudes y valores Diseño Curricular.-Es la forma cómo se formulan los diferentes elementos del currículo de acuerdo al modelo pedagógico asumido por el centro educativo, articulado con el diseño curricular básico. El PCC debe formularse, ejecutarse y evaluarse en equipo. El diseño curricular debe responder a:  Intencionalidad “HACER Y HACER BIEN LAS COSAS” Página 106
  • 107.
    PROYECTO EDUCATIVO INSTITUCIONAL2011-2016-IPAL ¿Para qué enseñar? ¿Para qué aprender?  Conocimientos, Capacidades, Valores, Contenidos ¿Qué enseñar? ¿Qué aprender?  Secuencialidad y organización ¿Cuándo enseñar? ¿Cuándo aprender?  Estrategias metodológicas ¿Cómo enseñar? ¿Cómo aprender?  Recursos  ¿Con qué enseñar? ¿Con qué aprender?  Evaluación ¿Qué resultado, efectos e impactos se dieron?  Clima del aula ¿Cómo van a ser las relaciones maestro-alumno, alumno–maestro? “HACER Y HACER BIEN LAS COSAS” Página 107
  • 108.
    PROYECTO EDUCATIVO INSTITUCIONAL2011-2016-IPAL ENFOQUE DEL CURRICULO Está basado en el enfoque por competencias laborales en una estructura modular. 1. Enfoque por competencias laborales “HACER Y HACER BIEN LAS COSAS” Página 108
  • 109.
    PROYECTO EDUCATIVO INSTITUCIONAL2011-2016-IPAL Surge en un marco de transformación de la producción y del trabajo, y de nuevas exigencias de competitividad respecto a la forma de desempeño del individuo en el puesto de trabajo. Ser más competitivo no sólo significa atender mecánicamente las necesidades del mercado de trabajo, sino las necesidades mismas del individuo, es decir, su formación integral; poseer los conocimientos fundamentales, las habilidades sociales y las actitudes que permitan al individuo resolver problemas y enfrentar situaciones de contingencia, así como transferir su saber, su saber-hacer y su saber-ser a distintos contextos. Existen por lo menos tres razones por las cuales la formación basada en competencias laborales es la más óptima. Éstas son: En primer lugar, enfatiza y focaliza la valorización de las personas y la capacidad humana para la construcción del desarrollo económico y social. Una segunda razón, es porque este enfoque responde mejor que otros a la necesidad de encontrar un punto de convergencia entre educación y empleo; entre los esfuerzos educativos de formación profesional por una parte, y el funcionamiento del mercado laboral, por otra. En tercer lugar, porque se adapta a la necesidad de cambio, pues la competencia es un concepto dinámico, que imprime énfasis y valor a la capacidad humana para innovar, enfrentar el cambio y gestionarlo. Competencias Fernández Gonzales la define como “una configuración psicológica que integra diversos componentes cognitivos, Meta cognitivos, motivacionales y cualidades de la personalidad en estrecha unidad funcional, que posee el individuo para desempeñarse real y eficientemente en una esfera específica de la actividad, atendiendo al modelo de desempeño deseable socialmente construido en un contexto histórico concreto”. Se puede decir también que es la capacidad o habilidad general para realizar un desempeño eficiente y eficaz. Desempeño eficiente: implica el dominio de una actividad específica. Desempeño eficaz: En la medida que este dominio pueda ser aplicado a diferentes contextos.  Componente cognitivo.- Según Pérez Martín son “las capacidades que permiten al hombre conocer el mundo que le rodea en toda su integridad y penetrando en su verdadera esencia. Gracias a esto, el hombre puede orientarse e influir de modo directo en la transformación de la realidad y, con esto transformarse a sí mismo.”  Componente Meta cognitivo.- Según Llivina “son capacidades que permiten hacer referencia a los procesos que garantizan la toma de conciencia “HACER Y HACER BIEN LAS COSAS” Página 109
  • 110.
    PROYECTO EDUCATIVO INSTITUCIONAL2011-2016-IPAL (reflexión Meta cognitiva) y el control (regulación Meta cognitiva) del proceso de construcción del conocimiento acerca de la realidad.”  Componente motivacional.- Integra aquellos procesos afectivos que estimulan, sostienen y orientan el desempeño eficiente del sujeto en motivaciones predominantemente intrínsecas, su autovaloración como profesional y expectativas positivas acerca de su desempeño. Las cualidades o rasgos de la personalidad según Pérez Martin son “las características relativamente estables de la personalidad que expresan las actitudes del hombre hacia los objetos y fenómenos de la realidad”. Competencia laboral Se entiende como las capacidades productivas de un individuo que se definen y miden en términos de desempeño en un determinado contexto laboral, y que movilizan conocimientos, habilidades, destrezas y actitudes necesarias para la realización de un trabajo efectivo y de adecuada calidad. Clases de competencias laborales:  Competencias básicas: Son capacidades elementales que se desarrollan en la educación o formación básica y están asociadas a conocimientos de carácter formativo. Facilitan el ingreso y la adaptación del profesional al trabajo para asumir responsabilidades que requieran el desarrollo de habilidades específicas.  Competencias genéricas: Son capacidades que permiten realizar desempeños comunes a diversas ocupaciones y ramas de la actividad productiva, entre ellas tenemos capacidades para planificar y organizar, capacidades y actitudes para trabajar en equipo, resolver problemas y tomar decisiones; capacidades que permitan comprender y aplicar principios científicos en el proceso de estudio de mercado, diseño, comercialización y evaluación de la producción de bienes o servicios.  Competencias específicas: Son capacidades que permiten realizar funciones productivas y de gestión propias de la profesión en el ámbito laboral de manera eficiente y eficaz, involucrando conocimientos, habilidades y actitudes. Integra las capacidades para desarrollar roles y situaciones de trabajo, en los niveles de desempeño requeridos en el campo laboral. 2. Estructura Modular Es la mínima unidad de formación que desarrolla capacidades específicas o terminales para desempeñarse en una actividad social, académica o laboral. Como unidad formativa está conformada por un bloque completo, autónomo y coherente de capacidades, contenidos y criterios de evaluación. Clases de módulos: En la formación profesional se desarrollarán tres clases de módulos: de formación general, transversales y profesionales. “HACER Y HACER BIEN LAS COSAS” Página 110
  • 111.
    PROYECTO EDUCATIVO INSTITUCIONAL2011-2016-IPAL  Módulos de formación general.- Son unidades formativas orientadas a afianzar las competencias básicas, proporcionan las bases científicas y humanísticas, desarrollan capacidades para actuar con eficiencia y sentido ético en todas las esferas de la vida, para comprender el contexto social y económico que permita responder a las demandas de una sociedad cambiante y aportar significativamente a la construcción de una sociedad más justa, democrática y desarrollada.  Módulos transversales.- Son unidades formativas que proporcionan el soporte científico y tecnológico para la formación profesional específica, desarrollan las competencias genéricas, capacidades y actitudes emprendedoras, competitivas y empresariales; garantizando, con ello, una formación polivalente que facilitará la movilidad laboral y la reconversión de los profesionales ante los efectos del avance de la ciencia, la tecnología y los cambios que se generan en la producción y el trabajo, producto de la globalización económica, social y cultural.  Módulos Profesionales.- Son unidades formativas asociadas a la unidad de competencia del perfil profesional, desarrollan capacidades propias de uno o más puestos de trabajo del mercado laboral. Un módulo corresponde a una unidad formativa de carácter terminal y es el componente mínimo del itinerario formativo que puede acreditarse y capitalizarse para la obtención del título profesional. Su peso académico abarca el mayor porcentaje de la formación. MARCO CURRICULAR 1. Características básicas del currículo Las siguientes son características que tipifican al currículo, lo hacen coherente con los fines y objetivos educativos y pertinentes con el contexto demandado por el sector productivo. Son: Sistemático, Coherente, Flexible, Integral, Funcional, Práctico, Terminal, Vinculado a la producción Local y Regional. 2. Perfil Profesional El Perfil Profesional diseña las actitudes de las personas, describe las funciones que realiza una persona al desempeñarse de manera eficiente en un contexto laboral específico de acuerdo a criterios de calidad definidos por el sector productivo a través de la competencia general. Se elabora con el aporte de este sector y sirve para definir la formación que acredita al título profesional correspondiente. El Perfil Profesional es el referente para la elaboración de la oferta de formación mediante los módulos correspondientes a cada título o carrera profesional, se organiza en torno a los siguientes elementos: Competencia General, Capacidades Profesionales, Unidades de Competencia, Realizaciones, Criterios de Realización y Dominio Profesional. 3. Plan de Estudios “HACER Y HACER BIEN LAS COSAS” Página 111
  • 112.
    PROYECTO EDUCATIVO INSTITUCIONAL2011-2016-IPAL El Plan de Estudios responde a las exigencias establecidas en el perfil profesional. El que se propone para la Educación Superior Tecnológica es modular y tiene los siguientes componentes: Formación General, Investigación y Formación Tecnológica, integrado con la Práctica Profesional y la Consejería. CAPACIDADES Y COMPONENTES Entendemos por capacidad una habilidad general que utiliza el individuo o puede utilizar para aprender, cuyo componente fundamental es cognitivo. Las capacidades en cada uno de los componentes en la Educación Superior tecnológica son las siguientes: 1. Componente de formación general Este componente está constituido por el conjunto de módulos obligatorios para todas las carreras, tienen valor por sí mismos y aseguran su desarrollo personal, las capacidades a lograr en los módulos del componente de Formación General, propuestos en correspondencia con el Perfil Profesional son las siguientes: Comunicación, matemática, informática, realidad social, nacional y mundial, ecología y desarrollo sostenido, Actividades. 2. Componente Investigación Analiza el marco teórico y la metodología de la investigación: 3. Componente Formación Tecnológica. Este componente se refiere a la formación propiamente dicha de la carrera profesional y requiere de un conjunto de aprendizajes comunes a todas ellas, y otros de formación exclusivamente de la carrera. En el primero se utilizan los módulos transversales y en el segundo, los módulos profesionales. Capacidades a lograr, con los módulos transversales a través de: tecnología de base, idioma extranjero, gestión empresarial, formación y orientación laboral, Relaciones con el entorno del trabajo. Capacidades a lograr con los módulos profesionales: aplica los principios tecnológicos de su profesión, en aspectos teórico-prácticos con conocimientos, habilidades, destrezas y actitudes positivas para intervenir en la producción de bienes o servicios. DIVERSIFICACIÓN DEL CURRÍCULO La diversificación del Diseño Curricular de la Educación Superior Tecnológica se inicia identificando el perfil profesional de cada una de las carreras profesionales que permitan el logro de las competencias con valor y significado para el trabajo. Los equipos de docentes de cada una de las carreras profesionales del Instituto realizarán la contextualización de los perfiles profesionales tomando como referente el Catálogo Nacional de Títulos y Certificaciones, los Planes de Desarrollo de las Regiones, las necesidades reales del entorno empresarial y productivo de la localidad, si fuera necesario, los diagnósticos de la realidad educativa sociocultural, “HACER Y HACER BIEN LAS COSAS” Página 112
  • 113.
    PROYECTO EDUCATIVO INSTITUCIONAL2011-2016-IPAL especialmente la productiva de la región de influencia del Instituto Superior Tecnológico. El Catálogo Nacional de Títulos y Certificaciones aprobado por la Resolución Viceministerial N° 0085-2003-ED, contiene los Perfiles Profesionales específicos (competencia general, capacidades profesionales) Unidades de Competencia, Realizaciones, Criterios de Realización y Dominio Profesional de cada carrera, los que han sido formulados con la participación del sector productivo (empresarios y trabajadores expertos). 5.6.5 MATERIALES EDUCATIVOS Y RECURSOS DIDÁCTICOS Son todos aquellos elementos que son utilizados durante el proceso de enseñanza– aprendizaje y sirven de apoyo para generar los aprendizajes propuestos. 5.6.5.1 TIPOS 1. Material Impreso Como Libros o guías de prácticas; en general, todo tipo de información escrita o gráfica complementaria. 2. Material Grabado Todo material visual, auditivo o audiovisual; puede complementarse con material escrito, exposiciones, demostraciones, etc.; en general, todo tipo de representaciones gráficas, pictóricas y animadas. 3. Material Electrónico Aquel que sirve de los medios informáticos, como programas de procesamiento de textos o de diseño gráfico, entre otros, y, en general, diferentes programas multimedia. 4. Material no Impreso Como maquetas, modelos, mapas, murales, juegos que se realicen con los contenidos que se estén trabajando, experimentos, etc; en general, todo material que brinde la posibilidad de observar, manipular, consultar, investigar, analizar, visualizar los principios y aprender a través del juego y el trabajo. 5.6.5.2 CLASIFICACIÓN 1. Material Ilustrativo Tenemos medios visuales, auditivos, audiovisuales, estos permiten apreciar de manera objetiva y gráfica a información. Ejm. Fotos, láminas, diapositivas, micas, televisión. 2. Material Instrumental Sirven para ejecutar las experiencias de aprendizaje. Ejemplo: Tizas, pizarras, pinceles, tijera y cartulina. 3. Material Experimental Permite que el estudiante tenga experiencia directa. Ejemplo: Material de laboratorio, máquina de escribir, computadora. “HACER Y HACER BIEN LAS COSAS” Página 113
  • 114.
    PROYECTO EDUCATIVO INSTITUCIONAL2011-2016-IPAL 4. Material Informativo Son las diversas publicaciones que permiten difundir. Ejemplo: Libros, enciclopedias, diarios, manuales. 5.6.6. PROYECTO CURRICULAR INSTITUCIÓN EDUCATIVA Es elaborado por la comunidad educativa. Consiste en la contextualización del plan de estudios de cada una de las carreras profesionales que oferta el Instituto, tomando en cuenta el Diseño Curricular Básico, la realidad geográfica, económica, social y cultural de la región y del entorno local; a las características y necesidades del sector productivo del entorno, a las posibilidades del centro de formación y a las oportunidades que presenta el mercado global. El proyecto curricular es un documento pedagógico que es construido con la participación integral de todos los docentes que constituyen nuestra institución, la estructuración puede tener el siguiente orden. 5.6.6.1 FUNDAMENTOS Y CONCEPCIONES DE LA PROPUESTA PEDAGÓGICA Recoger dichos fundamentos y propuestas, para articular desde el punto de vista filosófico en proyecto curricular. 5.6.6.2 PROPUESTA DE PERFILES PROFESIONALES Los fundamentos y concepciones nos conducirán para establecer la propuesta de perfiles de acuerdo al catálogo nacional de títulos y certificaciones, de acuerdo a criterios de calidad definidos por el sector productivo. 5.6.6.3 LOGROS DE APRENDIZAJE De acuerdo a las competencias laborales. 5.6.6.4 PROCESO DE DIVERSIFICACIÓN CURRICULAR  Aspecto de la problemática  Determinación de la contextualización de los perfiles profesionales  Diversificación por carreras  Matriz Curricular 5.6.6.5 PLAN DE ESTUDIOS 5.6.6.6 PROGRAMACIÓN CURRICULAR MODULAR 5.6.6.7 ORGANIZACIÓN  Del aula  Del taller  De los alumnos  De la distribución del tiempo “HACER Y HACER BIEN LAS COSAS” Página 114
  • 115.
    PROYECTO EDUCATIVO INSTITUCIONAL2011-2016-IPAL  Materiales educativos 5.6.6.8 ORIENTACIONES METODOLÓGICAS  Por carreras profesionales  Por competencias  Modulares 5.6.6.9 CONSEJERÍA Y SERVICIO SOCIAL  Proceso  Planificación y diagnóstico  Temas a trabajar  Área académica - Desempeño y rendimiento - Hábitos y métodos de estudio y trabajo  Área personal - Desarrollo evolutivo - Grupos de pertenencia y relaciones interpersonales - Relación de pareja y enamoramiento - Comportamientos sociales - Autoestima, imagen y cuidado corporal - Emociones y sentimientos - Toma de decisiones - Valores y proyecto de vida  Área vocacional - Autoconocimiento - Elección vocacional - Proyectos futuros e intereses - Aptitudes y personalidad - Realidad del País, oferta y demanda laboral  Área de salud, nutrición y subsistencia - Alimentación balanceada - Alimentos de la localidad y región –como utilizarlos - Alimentación y salud - Noción de salud y enfermedad - Enfermedades y prevención  Área de participación comunitaria - Reconocimiento de necesidades del IST. y la comunidad - Promoción de actividades comunitarias  Área recreativa - Visitas a centros culturales, centros productivos y reservas naturales de la zona “HACER Y HACER BIEN LAS COSAS” Página 115
  • 116.
    PROYECTO EDUCATIVO INSTITUCIONAL2011-2016-IPAL 5.6.6.10 EVALUACIÓN 5.6.6.10.1 MARCO CONCEPTUAL - Características - Funciones - Fases - Modelos de evaluación - Indicadores - Técnicas e instrumentos 5.6.6.10.2 ESTRATEGIAS DE EVALUACIÓN - Matriz de evaluación - Técnica e instrumentos de evaluación por áreas - Banco de items por áreas y tabla de especificaciones - Evaluación del estudiante - Evaluación de valores - Evaluación de materiales y recursos - Evaluación de viabilidad de proyectos - Valoración de las capacidades y actitudes - Registro de evaluación - Libreta de información 5.6.6.11 EVALUACIÓN CURRICULAR La evaluación curricular es una dimensión que forma parte de todos los momentos del diseño y desarrollo curricular analizados anteriormente ya que en todo proceso de dirección el control es una tarea esencial. La evaluación del diseño y desarrollo curricular constituye un proceso mediante el cual se corrobora o se comprueba la validez del diseño en su conjunto, mediante el cual se determina en qué‚ medida su proyección, implementación práctica y resultados satisfacen las demandas que la sociedad plantea a las instituciones educativas. Se evaluará mediante criterios, metodologías e indicadores durante la vida útil del proyecto curricular de centro, la pertinencia del currículo. 5.6.6.12 PROYECTOS PEDAGÓGICOS Desarrollará proyectos pedagógicos propuestos, en las estrategias y objetivos del PEI y articulará con la gestión institucional para su presupuesto pertinente. “HACER Y HACER BIEN LAS COSAS” Página 116
  • 117.
    PROYECTO EDUCATIVO INSTITUCIONAL2011-2016-IPAL CAPÍTULO VI PROPUESTA DE GESTIÓN “HACER Y HACER BIEN LAS COSAS” Página 117
  • 118.
    PROYECTO EDUCATIVO INSTITUCIONAL2011-2016-IPAL CAPÍTULO VI 6. PROPUESTA DE GESTIÓN Y PROYECTOS DE INVERSIÓN INSTITUCIONAL 6.1. CONCEPCION DE GESTIÓN El IESTP “Peruano Alemán” se plantea desarrollar la siguiente propuesta considerando que: Gestionar implica tener la capacidad para dirigir, conducir y delegar los procesos de planificación, organización, dirección y seguimiento vinculados al ámbito pedagógico institucional y administrativo de la Institución Acciones que se realizan a través de procesos internos de naturaleza democrática, equitativa y eficiente. 6.2. PRINCIPIOS DE GESTIÓN Cuando se redactaron las normas ISO 9001 e ISO 9004, se elaboraron 8 principios básicos, sobre los que descansa todo el sistema de gestión de la calidad. Si una empresa implanta un sistema de gestión de la calidad, que cumpla los requerimientos de la norma ISO 9001, pero que no siga estos principios, no obtendrá ni la mitad de los beneficios esperados. Los principios de gestión de la calidad, de acuerdo a lo indicado en la norma ISO 9001 son: 1.- Enfoque al cliente: las organizaciones dependen de sus clientes, por lo tanto deben comprender sus necesidades actuales y futuras, satisfacer sus requisitos y esforzarse en exceder sus expectativas. 2.- Liderazgo: los líderes establecen la unidad de propósito y la orientación de la organización. Deben crear y mantener un ambiente interno, en el cual el personal pueda llegar a involucrarse en el logro de los objetivos de la organización. 3.- Participación del personal: El personal, a todos los niveles, es la esencia de la organización, y su total compromiso posibilita que sus habilidades sean usadas para el beneficio de la organización. 4.- Enfoque basado en procesos: Un resultado deseado se alcanza más eficientemente cuando las actividades y los recursos relacionados se gestionan como un proceso. 5.- Enfoque de sistema para la gestión: identificar, entender y gestionar los procesos interrelacionados como un sistema, contribuye a la eficacia y eficiencia de la organización en el logro de sus objetivos. 6.- Mejora continua: La mejora continua del desempeño global de la organización, debe de ser un objetivo permanente de esta. “HACER Y HACER BIEN LAS COSAS” Página 118
  • 119.
    PROYECTO EDUCATIVO INSTITUCIONAL2011-2016-IPAL 7.- Enfoque basado en hechos para la toma de decisiones: las decisiones eficaces se basan en el análisis de los datos y en la información previa. 8.- Relaciones mutuamente beneficiosas con el proveedor: una organización y sus proveedores son interdependientes, y una relación mutuamente beneficiosa aumenta la capacidad de ambos para crear valor. 6.3. PRINCIPIOS DE GESTIÓN EDUCATIVA: Los principios que orientan la gestión educativa pueden ser múltiples y variados, pero dentro de un criterio de modernidad deben centrase en el educando, por ser la razón esencial del proceso educativo. Los más relevantes son los siguientes:  Vivir una nueva cultura, la cultura del cumplimiento.  Participación coherente con los objetivos institucionales.  Coherencia entre los principios pedagógicos y principios de gestión.  Ubicación del personal de acuerdo a su competencia y/o especialización.  Coordinación fluida.  Comunicación clara y permanente entre los miembros de la comunidad educativa  Control y evaluación constante para un mejoramiento continuo.  Moralización y motivación Los principios no solo deben ser enunciados. Deben adoptarse colectivamente. La estructura organizativa de la institución a través de sus organigramas, reglamento interno y manual debe mantener ese espíritu para formar al estudiante dentro de una cultura de participación. Los elementos y la estructura del proceso de gestión del PEI no son diferentes a otros donde actúa la administración, ya que aquí también identificamos elementos como la planeación, organización, ejecución y control, funciones articuladas y coordinadas por una dirección, autoridad o mecanismo de control determinado De ello se concluye que la ejecución del PEI fundamentalmente es una tarea de administración que implica cinco funciones básicas: A. Planificar B. Organizar C. Coordinar D. Dirigir E. Controlar y evaluar El PEI debe darle sentido a cada una de estas funciones y buscar que se cumplan de la mejor manera. Dichos procesos deben estar referidos a los siguientes aspectos: a) Operatividad de los Sistemas Técnico Administrativos: “HACER Y HACER BIEN LAS COSAS” Página 119
  • 120.
    PROYECTO EDUCATIVO INSTITUCIONAL2011-2016-IPAL - Personal: selección, control, evaluación, capacitación, ascensos - Planificación: Plan Operativo anual, Programación curricular - Abastecimiento: Suministro de materiales - Estadísticas: Variadas - Racionalización: Funciones, competencias, responsabilidades - Presupuestos: Ingresos, egresos, proceso presupuestario - Información y comunicaciones: Boletín, revistas, diálogos, reuniones - Contabilidad: Registro de transacciones económicas. - Tesorería: Pagos y sistemas de ejecución Jurídico - legal: Normas legales - Otros sistemas: Supervisión b) Administración pedagógica: - Currículo: Programación, desarrollo y evaluación. - Metodología: Diversificada. - Medios auxiliares: Selección, elaboración, conservación y evaluación - Sistema de aprendizaje: Renovado - Evaluación: Autoevaluación, coevaluación, heteroevaluación. - Supervisión: Control de calidad. 6.4. PROCESOS DE GESTIÓN Es el conjunto de acciones de planeamiento, organización, ejecución, coordinación y evaluación para el eficiente desarrollo de acciones educativas en beneficio del aprendizaje de los educandos. El PROYECTO EDUCATIVO INSTITUCIONAL de nuestra Institución plantea un cambio de estructura organizativa que concuerde con las aspiraciones de toda la comunidad educativa por rubros.  Planificación.- Técnica que trata de coordinar acciones y mecanismos con el objeto de alcanzar objetivos predeterminados, este proceso intencional de los actores y agentes actúan sobre una realidad para transformarla.  Organización.- Conjunto de actividades coordinadas que tienen por objeto aumentar la productividad y crear condiciones favorables al mismo para lograr un óptimo funcionamiento institucional.  Ejecución.- Realizar las acciones planificadas de la Institución.  Coordinación.- Disponer esfuerzos para una acción común de la institución.  Evaluación.- Valorización del rendimiento del trabajo educativo de los diferentes estamentos mediante la supervisión verificación, orientación y retroalimentación. “HACER Y HACER BIEN LAS COSAS” Página 120
  • 121.
    PROYECTO EDUCATIVO INSTITUCIONAL2011-2016-IPAL 6.5. CÍRCULOS DE CALIDAD: La idea básica de los Círculos de Calidad consiste en crear conciencia de calidad y productividad en todos y cada uno de los miembros de una organización, a través del trabajo en equipo y el intercambio de experiencias y conocimientos, así como el apoyo recíproco. Todo ello, para el estudio y resolución de problemas que afecten el adecuado desempeño y la calidad de un área de trabajo, proponiendo ideas y Alternativas con un enfoque de mejora contínua. Las definiciones siguientes son expuestas en el libro de Phillip C. Thompson,  Un Círculo de Calidad es un pequeño grupo de personas que se reúnen voluntariamente y en forma periódica, para detectar, analizar y buscar soluciones a los problemas que se suscitan en su área de trabajo.  Un Círculo de Calidad está formado por pequeños grupos de empleados que se reúnen e intervienen a intervalos fijos con su dirigente, para identificar y solucionar problemas relacionados con sus labores cotidianas.  Un Círculo de Calidad está integrado por un reducido número de empleados de la misma área de trabajo y su supervisor, que se reúnen voluntaria y regularmente para estudiar técnicas de mejoramiento de control de calidad y de productividad, con el fin de aplicarlas en la identificación y solución de dificultades relacionadas con problemas vinculados a sus trabajos.  El Círculo de Calidad es un grupo pequeño que desarrolla actividades de Control de calidad voluntariamente dentro de un mismo taller. Este pequeño grupo lleva a cabo continuamente, como parte de las actividades de control de calidad en toda la empresa, autodesarrollo y desarrollo, mutuo control y mejoramiento dentro del taller, utilizando técnicas de control de calidad con participación de todos los miembros. En nuestro caso en nuestra institución se está desarrollando las actividades de gestión de calidad de manera óptima, sistemática y organizada en tal medida que cada miembro del equipo de gestión de calidad cumpla su función a cabalidad. 6.6. CLIMA INSTITUCIONAL Es el ambiente generado por una institución, a partir de las vivencias cotidianas de sus miembros en el IESTP. El clima institucional tiene que ver con las actitudes, creencias y valores que comparten los miembros de la comunidad educativa El “HACER Y HACER BIEN LAS COSAS” Página 121
  • 122.
    PROYECTO EDUCATIVO INSTITUCIONAL2011-2016-IPAL mejoramiento del clima institucional se puede dar a través de todos los actores y agentes de la institución. Con actitudes positivas que sean modelos de conducta.  Crear conciencia a partir valores más significativos ya sean individuales y organizacionales. Valores Individuales Valores Organizacionales - Profesionalismo - Calidad. - Ética Profesional - Trabajo en Equipo. - Honestidad Personal - Liderazgo Corporativo. - Creatividad - Disciplina Laboral. - Innovación - Mejoramiento Continuo. - Responsabilidad - Pluralidad. - Tolerancia - Calidez de innovación. - Fuerza de voluntad. - Competitividad. - Amor.  Establecer formas de estímulo y desempeño a los formadores, para elevar el autoestima, el desarrollo profesional y personal.  Dinamizar el trabajo en equipo, alentando la participación de los miembros de la Comunidad Educativa. Mantener continuamente las buenas Relaciones Humanas de confianza y respeto mutuo para una mejor integración de la Comunidad Educativa. En nuestra Institución se viene organizando proyectos y programas que tienen por objetivo viabilizar la mejora del ambiente laboral dentro de la organización, con participación de profesionales calificados para el desarrollo de talleres y sesiones con la participación de toda la comunidad educativa. 6.7. ESTRUCTURA ORGÁNICA. “HACER Y HACER BIEN LAS COSAS” Página 122
  • 123.
    PROYECTO EDUCATIVO INSTITUCIONAL2011-2016-IPAL 6.7.1. Organigrama.- Gráfica la estructura Orgánica de la Institución, donde se especifica los niveles de jerarquía, coordinación, asesoría y apoyo. ORGANIGRAMA ESTRUCTURAL INSTITUTO DE EDUCACIÓN SUPERIOR TECNOLÓGICO PRIVADO “PERUANO ALEMÁN” S.R.L. PROMOTORA DIRECCIÓN COCOI GENERAL OFICINA DE PROYECTOS DIRECCCIÓN SECRETARÍA EJECUTIVA ASESORÍA LEGAL GENERAL DIRECCIÓN ASESORÍA CONTABLE ADMINISTRATIVA SECRETARÍA ASESORÍA ACADÉMICA ASIST. DE DIRECC. SISTEMAS DE INFORMACIÓN ADMINISTRATIVA SERVICIOS IMAGEN INSTITUCIONAL Y JEFE DE CAJA GENERALES PROTOCOLO SUPERVISI ÓN DE CETPRO PAGOS SECRETARIA DIRECCIÓN DIRECCIÓN ACADÉMICA ACADÉMICA ÁREA ACTAS, NÓMINAS Y MAQUINARIA PESADA CERTIFICADOS TRANSPORTE SECRETARÍA PUBLICIDAD Y MARKETING CIL (centro de información BIBLIOTECA Laboral) COORDINADOR COORDINADOR COORDINADORA COORDINADOR COORDINADOR ACADÉMICO DE ACADÉMICO DE ACADÉMICO DE MECÁNICA, ACADÉMICA DE COMPUTACIÓN E DE SALUD ELECTRICIDAD Y CONTABILIDAD Y INFORMÁTICA EXTENSIÓN ELECTRÓNICA NEGOCIOS EDUCATIVA DOCENTES DOCENTES DOCENTES DOCENTES DOCENTES ASISTENTE DE JEFE DE ASISTENTE DE LABORATORIO TALLER LABORATORIO ESTUDIANTE S “HACER Y HACER BIEN LAS COSAS” Página 123
  • 124.
    PROYECTO EDUCATIVO INSTITUCIONAL2011-2016-IPAL 6.7.2. Manual de Organización y funciones (MOF) Describe las funciones específicas o tareas del cargo propuestos en el organigrama estructural de la institución con sus respectivas acciones en concordancia con las relaciones de autoridad, responsabilidad y coordinación del IPAL. 6.7.3. Manual de Procedimiento Administrativos cuyas reglas básicas están consignadas en la Ley No 27444-2003- Ley de Procedimientos Administrativos general; a fin de dar cumplimiento a las funciones de los estamentos del IPAL, a través de los flujogramas. 6.8. INSTRUMENTOS DE GESTIÓN - PROYECTO EDUCATIVO INSTITUCIONAL. - Proyecto Curricular Institucional. - Plan Anual de Trabajo. - Reglamento Interno. - Manual de organización y funciones - Informe de Gestión. 6.9. PROYECTO DE PRESUPUESTO 2011 A 2014 En las páginas siguientes se aprecia el nivel de ingresos y egresos que se generarán a partir del semestre lectivo 2011-II, como respuesta a la implementación de nuevas carreras profesionales en un periodo de tiempo de 04 años. En primer lugar, se presenta el flujo de caja proyectado para cuatro años de gestión; luego se agrega el cuadro de ingresos que se logrará por las Áreas de Ingeniería y Contabilidad y Negocios, a partir de la apertura de las carreras profesionales de Autotrónica, Diseño Gráfico y Publicidad Digital, Análisis de sistemas y Modelamiento de Base de Datos, así como por la carreras de Contabilidad y Finanzas, Administración de Negocios Internacionales, Administración y Gestión Empresarial, Gastronomía y Arte Culinario, Marketing Empresarial y Secretariado Ejecutivo Bilingüe. Seguidamente se presenta un cuadro donde se indican las fuentes de financiamiento, luego, los egresos proyectados en cuatro años, seguido el cuadro de egresos por remuneraciones, por bienes y servicios, egresos por inversión en inmuebles, equipamiento, inversión en mobiliario y otros egresos no financieros. “HACER Y HACER BIEN LAS COSAS” Página 124
  • 125.
    PROYECTO EDUCATIVO INSTITUCIONAL2011-2016-IPAL FLUJO DE CAJA DEL PLAN DE NEGOCIOS IPAL 2011 - 2014 RUBRO CONCEPTO AÑO 1 AÑO 2 AÑO 3 AÑO 4 INGRESOS A APORTE DE CAPITAL 228,648.06 356,711.49 451,513.89 460,128.22 PENSIONES Y MATRÍCULA 4,572,961.25 7,134,229.85 9,030,277.85 9,202,564.46 DONACIONES OTROS (Producción de bienes y servicios) 457,296.13 713,422.99 903,027.79 920,256.45 B TOTAL INGRESOS 5,258,905.44 8,204,364.33 10,384,819.53 10,582,949.13 EGRESOS C1 GASTOS DIRECTOS DE FORMACIÓN 1,393,144.12 2,209,726.92 2,851,200.33 2,855,249.06 REMUNERACIONES DOCENTES 1,285,679.53 2,042,072.52 2,638,988.80 2,638,988.80 COMPRAS (Bibliografía) 45,729.61 71,342.30 90,302.78 92,025.64 MANUALES Y FOLLETOS DE ENSEÑANZA 45,729.61 71,342.30 90,302.78 92,025.64 OTROS (Bienes y servicios) 16,005.36 24,969.80 31,605.97 32,208.98 C2 GASTOS GENERALES DE OPERACIÓN 1,858,719.29 2,208,266.09 2,513,602.19 2,531,048.65 REMUNERACION DEL PERSONAL 1,424,368.34 1,522,699.43 1,600,298.54 1,600,298.54 MATERIALES DE OFICINA 68,594.42 107,013.45 135,454.17 138,038.47 SERVCIOS (egresos no financieros) 91,378.86 143,365.19 181,851.14 185,342.38 PUBLICIDAD 91,459.23 142,684.60 180,605.56 184,051.29 GASTOS ADMINISTRATIVOS (equipamiento) 155,480.68 242,563.81 307,029.45 312,887.19 MANTENIMIENTO DE EDIFICIOS Y EQUIPO 27,437.77 49,939.61 108,363.33 110,430.77 DEPRECIACIÓN DE ACTIVOS OTROS (ESPECIFIQUE) C3 INVERSIONES 745,392.68 934,584.11 641,149.73 837,433.37 COMPRA DE TERRENOS O LOCAL EDIFICACIONES Y OTRAS CONSTRUCCIONES 457,296.13 556,469.93 252,847.78 257,671.80 COMPRA DE UNIDADES DE TRANSPORTE 45,729.61 71,342.30 90,302.78 92,025.64 COMPRA DE MOBILIARIO 105,178.11 164,087.29 207,696.39 211,658.98 COMPRA DE MAQUINARIA Y EQUIPO 137,188.84 142,684.60 90,302.78 276,076.93 OTROS (ESPECIFIQUE) C TOTAL EGRESOS (C1 + C2 + C3) 3,997,256.10 5,352,577.12 6,005,952.24 6,223,731.08 SALDO DE CAJA (A + B) - C 1,261,649.34 2,851,787.21 4,378,867.29 4,359,218.05 D FINANCIAMIENTO - - - - SALDO FINAL DE CAJA (A + B) – C)+D 1,261,649.34 2,851,787.21 4,378,867.29 4,359,218.05 Fuente: Elaboración Propia “HACER Y HACER BIEN LAS COSAS” Página 125
  • 126.
    PROYECTO EDUCATIVO INSTITUCIONAL2011-2016-IPAL INGRESOS: Área de Ingenierías más Contabilidad y Negocios TASAS DE ENSEÑANZA PROYECCIÓN DE INGRESOS ÁREA DE INGENIERÍA 1er año 2do año 3er año 4to año TASAS SEM I SEM II SEM III SEM IV SEM V SEM VI SEM I SEM II VT Nº NºXVT Nº NºXVT Nº NºXVT Nº NºXVT Nº NºXvt Nº NºXVT Nº NºXvt Nº NºXVT 1) Derecho de examen de 50.00 950.00 47500.00 300.00 15000.00 950.00 47500.00 300.00 15000.00 950.00 47500.00 300.00 15000.00 950.00 47500.00 300.00 15000.00 ingreso 2) Derechos de Matricula 100.00 760.00 76000.00 240.00 24000.00 760.00 76000.00 240.00 24000.00 760.00 76000.00 240.00 24000.00 760.00 76000.00 240.00 24000.00 3) Niveles de Pensiones Becados (5%) 38.00 34.80 63.44 55.15 81.18 71.12 84.91 71.12 Área de Ingeniería 1,250.00 760.00 1,073,500.00 696.00 909,000.00 1,268.80 1,709,500.00 1,103.04 1,417,800.00 1,623.62 2,153,020.00 1,422.37 1,816,968.00 1,698.27 2,246,332.00 1,422.37 1,816,968.00 Sub Total 1,250.00 760.00 1,073,500.00 696.00 909,000.00 1,268.80 1,709,500.00 1,103.04 1,417,800.00 1,623.62 2,153,020.00 1,422.37 1,816,968.00 1,698.27 2,246,332.00 1,422.37 1,816,968.00 4) Otras Tasas educacionales (Certificados oficiales, 10% 107,350.00 90,900.00 170,950.00 141,780.00 215,302.00 181,696.80 - 224,633.20 - 181,696.80 Constancias, Trámite de Títulación, otros) TOTAL POR SEMESTRE 1,180,850.00 999,900.00 1,880,450.00 1,559,580.00 2,368,322.00 1,998,664.80 1,698.27 2,470,965.20 1,422.37 1,998,664.80 TOTAL POR AÑO 2,180,750.00 3,440,030.00 4,366,986.80 1,698.27 4,469,630.00 3,120.64 4,469,630.00 PROYECCIÓN DE INGRESOS ÁREA DE CONTABILIDAD Y NEGOCIOS 1er año 2do año 3er año 4to año TASAS SEM I SEM II SEM III SEM IV SEM V SEM VI SEM I SEM II VT Nº NºXVT Nº NºXVT Nº NºXVT Nº NºXVT Nº NºXvt Nº NºXVT Nº NºXvt Nº NºXVT 1) Derecho de examen de 50.00 1212.50 60625.00 221.25 11062.50 1212.50 60625.00 221.25 11062.50 1212.50 60625.00 221.25 11062.50 1212.50 60625.00 221.25 11062.50 ingreso 2) Derechos de Matricula 100.00 970.00 97000.00 177.00 17700.00 970.00 97000.00 177.00 17700.00 970.00 97000.00 177.00 17700.00 970.00 97000.00 177.00 17700.00 3) Niveles de Pensiones Becados (5%) 48.50 37.95 77.09 60.82 97.25 78.97 100.00 78.97 Área de Contabilidad y 1,150.00 970.00 1,273,125.00 759.00 901,612.50 1,541.80 1,930,695.00 1,216.44 1,427,668.50 1,945.00 2,394,375.00 1,579.32 1,844,980.50 2,000.05 2,457,687.19 1,579.32 1,844,980.50 Negocios Sub Total 1,150.00 970.00 1,273,125.00 759.00 901,612.50 1,541.80 1,930,695.00 1,216.44 1,427,668.50 1,945.00 2,394,375.00 1,579.32 1,844,980.50 2,000.05 2,457,687.19 1,579.32 1,844,980.50 4) Otras Tasas educacionales (Certificados oficiales, 10% 127,312.50 90,161.25 193,069.50 142,766.85 239,437.50 184,498.05 245,768.72 184,498.05 Constancias, Trámite de Títulación, otros) TOTAL POR SEMESTRE 1,400,437.50 991,773.75 2,123,764.50 1,570,435.35 2,633,812.50 2,029,478.55 2,703,455.91 2,029,478.55 TOTAL POR AÑO 2,392,211.25 3,694,199.85 4,663,291.05 4,732,934.46 TOTAL ANUAL INGRESOS POR PROYECTO: 4,572,961.25 7,134,229.85 9,030,277.85 9,202,564.46 Fuente: Elaboración propia Nº = Número de Estudiantes. VT= Valor de la tasa de pensión de enseñanza (3) en nuevos soles constantes del año de presentación del proyecto. El número de niveles de pensiones lo establece el instituto. Se considera para efectos de demostrar la rentabilidad del proyecto un periodo de 06 semestres lectivos. Iniciando operaciones desde el 2011-I hasta el 2013-II “HACER Y HACER BIEN LAS COSAS” Página 126
  • 127.
    PROYECTO EDUCATIVO INSTITUCIONAL2011-2016-IPAL INGRESOS ÁREA DE INGENIERÍAS: CARRERAS PROFESIONALES POBLACIÓN INGRESANTE POR SEMESTRE SEMESTRE I SEMESTRE II TOTAL AUTOTRÓNICA 500 150 650 DISEÑO GRÁFICO Y PUBLICIDAD DIGITAL 200 60 260 ANÁLISIS DE SISTEMAS Y MODELAMIENTO DE BASE DE DATOS 60 30 90 760 240 1000 TASAS DE ENSEÑANZA PROYECCIONES 1er año 2do año 3er año 4to año TASAS SEM I SEM II SEM III SEM IV SEM V SEM VI SEM I SEM II VT Nº NºXVT Nº NºXVT Nº NºXVT Nº NºXVT Nº NºXvt Nº NºXVT Nº NºXvt Nº NºXVT 1) Derecho de examen de ingreso 50 950 47500 300 15000 950 47500 300 15000 950 47500 300 15000 950 47500 300 15000 2) Derechos de Matricula 100 760 76000 240 24000 760 76000 240 24000 760 76000 240 24000 760 76000 240 24000 3) Niveles de Pensiones Becados (5%) 38.00 34.80 63.44 55.15 81.18 71.12 84.91 71.12 Área de Ingenierías: Ingenierías - 2011-I 1,250.00 760.00 950,000.00 456.00 570,000.00 364.80 456,000.00 291.84 364,800.00 262.66 328,320.00 236.39 295,488.00 - - - Ingenierías - 2011-II 1,250.00 240.00 300,000.00 144.00 180,000.00 115.20 144,000.00 92.16 115,200.00 82.94 103,680.00 74.65 93,312.00 - Ingenierías - 2012-I 1,250.00 760.00 950,000.00 456.00 570,000.00 364.80 456,000.00 291.84 364,800.00 262.66 328,320.00 236.39 295,488.00 Ingenierías - 2012-II 1,250.00 240.00 300,000.00 144.00 180,000.00 115.20 144,000.00 92.16 115,200.00 82.94 103,680.00 Ingenierías - 2013-I 1,250.00 760.00 950,000.00 456.00 570,000.00 364.80 456,000.00 291.84 364,800.00 Ingenierías - 2013-II 1,250.00 240.00 300,000.00 144.00 180,000.00 115.20 144,000.00 Ingenierías - 2014-I 1,250.00 760.00 950,000.00 456.00 570,000.00 Ingenierías - 2014-II 1,250.00 - 240.00 300,000.00 Sub Total 1,250.00 760.00 1,073,500.00 696.00 909,000.00 1,268.80 1,709,500.00 1,103.04 1,417,800.00 1,623.62 2,153,020.00 1,422.37 1,816,968.00 1,698.27 2,246,332.00 1,422.37 1,816,968.00 4) Otras Tasas educacionales (Certificados oficiales, Constancias, Trámite de 10% 107,350.00 90,900.00 170,950.00 141,780.00 215,302.00 181,696.80 224,633.20 181,696.80 Títulación, otros) TOTAL POR SEMESTRE 1,180,850.00 999,900.00 1,880,450.00 1,559,580.00 2,368,322.00 1,998,664.80 2,470,965.20 1,998,664.80 TOTAL POR AÑO 2,180,750.00 3,440,030.00 4,366,986.80 4,469,630.00 Fuente: Elaboración propia NOTAS IMPORTANTES: Nº = Número de Estudiantes. VT= Valor de la tasa de pensión de enseñanza (3) en nuevos soles constantes del año de presentación del proyecto. Hay 04 niveles de pensiones. Así como otros conceptos (1,2, y 4) El número de niveles de pensiones lo establece el instituto. Se considera para efectos de demostrar la rentabilidad del proyecto un periodo de 08 semestres lectivos. Iniciando operaciones desde el 2011-I hasta el 2013-II Del 100% de postulantes al instituto, un 25% de ellos, no logran cubrir una vacante. El ïndice de deserción estudiantil promedio es de 40% al culminar o durante el Semestre I, 20% al culminar el II y/o III semestre, el 10% al culminar el IV y/o V semestre. Para que los estudiantes tengan mejores opciones de inserción laboral debemos de promover los Post Títulos. De este modo también mejoraríamos los niveles de Ingresos económicos y lograríamos mejor impacto social. Se debe considerar el Punto 3) Becados para los mejores estudiantes egresados de la educación básica regular. De este modo se beneficiarían éstos y la institución, porque se promoverían concursos tecnológicos y proyectos de investigación con mejores resultados. “HACER Y HACER BIEN LAS COSAS” Página 127
  • 128.
    PROYECTO EDUCATIVO INSTITUCIONAL2011-2016-IPAL INGRESOS ÁREA DE CONTABILIDAD Y NEGOCIOS: CARRERAS PROFESIONALES POBLACIÓN INGRESANTE POR SEMESTRE SEMESTRE I SEMESTRE II TOTAL CONTABILIDAD Y FINANZAS 300 90 390 SECRETARIADO EJECUTIVO BILINGÜE 150 45 195 ADMINISTRACIÓN DE NEGOCIOS INTERNACIONALES 140 42 182 MARKETING EMPRESARIAL 100 30 130 ADMINISTRACIÓN Y GESTIÓN EMPRESARIAL 140 42 182 GASTRONOMÍA Y ARTE CULINARIO 140 42 182 SUB TOTAL INGRESANTES 970.00 177.00 1147.00 TASAS DE ENSEÑANZA PROYECCIONES 1er año 2do año 3er año 4to año TASAS SEM I SEM II SEM III SEM IV SEM V SEM VI SEM I SEM II VT Nº NºXVT Nº NºXVT Nº NºXVT Nº NºXVT Nº NºXvt Nº NºXVT Nº NºXvt Nº NºXVT 1) Derecho de examen de ingreso 50.00 1212.50 60625.00 221.25 11062.50 1212.50 60625.00 221.25 11062.50 1212.50 60625.00 221.25 11062.50 1212.5 60625 221.25 11062.5 2) Derechos de Matricula 100.00 970.00 97000.00 177.00 17700.00 970.00 97000.00 177.00 17700.00 970.00 97000.00 177.00 17700.00 970.00 97000 177.00 17700 3) Niveles de Pensiones Becados (5%) 48.50 37.95 77.09 60.82 97.25 78.97 200.01 157.93 Área de Contabilidad y Negocios: Negocios - 2011-I 1,150.00 970.00 1,115,500.00 582.00 669,300.00 465.60 535,440.00 372.48 428,352.00 335.23 385,516.80 301.71 346,965.12 Negocios - 2011-II 1,150.00 177.00 203,550.00 106.20 122,130.00 84.96 97,704.00 67.97 78,163.20 61.17 70,346.88 55.05 63,312.19 Negocios - 2012-I 1,150.00 970.00 1,115,500.00 582.00 669,300.00 465.60 535,440.00 372.48 428,352.00 335.23 385,516.80 301.71 346,965.12 Negocios - 2012-II 1,150.00 177.00 203,550.00 106.20 122,130.00 84.96 97,704.00 67.97 78,163.20 61.17 70,346.88 Negocios - 2013-I 1,150.00 970.00 1,115,500.00 582.00 669,300.00 465.60 535,440.00 372.48 428,352.00 Negocios - 2013-II 1,150.00 177.00 203,550.00 106.20 122,130.00 84.96 97,704.00 1,150.00 970.00 1,115,500.00 582.00 669,300.00 1,150.00 177.00 203,550.00 Sub Total 1,150.00 970.00 1,273,125.00 759.00 901,612.50 ####### 1,930,695.00 1,216.44 1,427,668.50 1,945.00 2,394,375.00 1,579.32 1,844,980.50 2,000.05 2,457,687.19 1,579.32 1,844,980.50 4) Otras Tasas educacionales (Certificados oficiales, Constancias, Trámite de 10% 127,312.50 90,161.25 193,069.50 142,766.85 239,437.50 184,498.05 245,768.72 184,498.05 Títulación, otros) TOTAL POR SEMESTRE 1,400,437.50 991,773.75 2,123,764.50 1,570,435.35 2,633,812.50 2,029,478.55 4,000.11 2,703,455.91 3,158.64 2,029,478.55 TOTAL POR AÑO 2,392,211.25 3,694,199.85 4,663,291.05 4,732,934.46 Fuente: Elaboración propia Nº = Número de Estudiantes. VT= Valor de la tasa de pensión de enseñanza (3) en nuevos soles constantes del año de presentación del proyecto. Hay 04 niveles de pensiones. Así como otros conceptos (1,2, y 4) El número de niveles de pensiones lo establece el instituto. Se considera para efectos de demostrar la rentabilidad del proyecto un periodo de 08 semestres lectivos. Iniciando operaciones desde el 2011-I hasta el 2013-II Del 100% de postulantes al instituto, un 25% de ellos, no logran cubrir una vacante. El ïndice de deserción estudiantil promedio es de 40% al culminar o durante el Semestre I, 20% al culminar el II y/o III semestre, el 10% al culminar el IV y/o V semestre. Para que los estudiantes tengan mejores opciones de inserción laboral debemos de promover los Post Títulos. De este modo también mejoraríamos los niveles de Ingresos económicos y lograríamos mejor impacto social. Se debe considerar el Punto 3) Becados para los mejores estudiantes egresados de la educación básica regular. De este modo se beneficiarían éstos y la institución, porque se promoverían concursos tecnológicos y proyectos de investigación con mejores resultados. “HACER Y HACER BIEN LAS COSAS” Página 128
  • 129.
    PROYECTO EDUCATIVO INSTITUCIONAL2011-2016-IPAL EGRESOS: PROYECTADOS EN CUATRO AÑOS PROYECCIÓN A 4 AÑOS (En Nuevos Soles) (‘) RUBROS TOTALES 1 2 3 4 1) GASTOS 2,977,566.10 3,982,124.39 4,767,558.59 4,777,637.36 16,504,886.45 CORRIENTES 1.1. Remuneraciones 2,710,047.87 3,564,771.94 4,239,287.34 4,239,287.34 14,753,394.50 1.2. Bienes y Servicios 267,518.23 417,352.45 528,271.25 538,350.02 1,751,491.95 2) GASTOS DE CAPITAL - 2.1. Inversiones 1,019,689.99 1,370,452.73 1,238,393.64 1,262,042.43 4,890,578.79 2.2.1. Inmuebles (compra, 484,733.89 606,409.54 361,211.11 368,102.58 1,820,457.12 construcción, 2.2.2. Equipamiento 292,669.52 385,248.41 397,332.23 404,912.84 1,480,162.99 2.2.3. Mobiliario 150,907.72 235,429.59 297,999.17 303,684.63 988,021.10 2.2.4. Otros Egresos no 91,378.86 143,365.19 181,851.14 185,342.38 601,937.57 Financieros 2.2.5. Otros (especificar) - - - - 3) SERVICIOS DE LA - - - - DEUDA TOTAL 3,997,256.10 5,352,577.12 6,005,952.24 6,039,679.79 21,395,465.24 Fuente: Elaboración propia (‘) En soles constante del año de presentación del proyecto “HACER Y HACER BIEN LAS COSAS” Página 129
  • 130.
    PROYECTO EDUCATIVO INSTITUCIONAL2011-2016-IPAL EGRESOS: REMUNERACIONES PROYECCIÓN A 4 AÑOS (En Nuevos Soles) (‘) RUBROS 1 2 3 4 TOTALES 1. AUTORIDADES 280,000.00 280,000.00 280,000.00 280,000.00 1,120,000.00 2. RESPONSABLES DE LAS 245,000.00 245,000.00 245,000.00 245,000.00 980,000.00 CARRERAS PROF. 3. PERSONAL DOCENTE 1,285,679.53 2,042,072.52 2,638,988.80 2,638,988.80 8,605,729.64 4. PERSONAL ADMINISTRATIVO 546,000.00 546,000.00 546,000.00 546,000.00 2,184,000.00 5. CARGAS SOCIALES 306,368.34 404,699.43 482,298.54 482,298.54 1,675,664.85 6. BONIFICACIONES 14,000.00 14,000.00 14,000.00 14,000.00 56,000.00 7. BONIFICACIONES (AUTORIDADES Y 28,000.00 28,000.00 28,000.00 28,000.00 112,000.00 RESPONSABLES) 8. OTROS GASTOS DE PERSONAL 5,000.00 5,000.00 5,000.00 5,000.00 20,000.00 TOTAL REMUNERACIONES 2,710,047.87 3,564,771.94 4,239,287.34 4,239,287.34 14,753,394.50 Fuente: Elaboración propia (‘) En soles constante del año de presentación del proyecto “HACER Y HACER BIEN LAS COSAS” Página 130
  • 131.
    PROYECTO EDUCATIVO INSTITUCIONAL2011-2016-IPAL EGRESOS: BIENES Y SERVICIOS PROYECCIÓN A 4 AÑOS (En Nuevos Soles) (‘) RUBROS DE EGRESOS EN BIENES Y MATERIALES EDUCACIONALES 1 2 3 4 TOTALES 1. GASTOS DE OPERACIÓN Y FUNCIONAMIENTO 68,594.42 107,013.45 135,454.17 138,038.47 449,100.50 2. MATERIALES DE ENSEÑANZA (Equipamiento 45,729.61 71,342.30 90,302.78 92,025.64 299,400.33 Didáctico) 3. PUBLICIDAD Y DIFUSIÓN 91,459.23 142,684.60 180,605.56 184,051.29 598,800.67 4. ALQUILER DE INMUEBLE Y OTROS 2,286.48 3,567.11 4,515.14 4,601.28 14,970.02 5. GASTOS DE MATERIALES, LAB. /TALLERES 6,859.44 10,701.34 13,545.42 13,803.85 44,910.05 6. GASTOS PREVISTOS PARA EVALUACIÓN DEL 6,859.44 10,701.34 13,545.42 13,803.85 44,910.05 INSTITUTO 7. OTROS (ADQ. BIBLIOGRÁFICAS) 45,729.61 71,342.30 90,302.78 92,025.64 299,400.33 TOTAL BIENES Y SERVICIOS 267,518.23 417,352.45 528,271.25 538,350.02 1,751,491.95 Fuente: Elaboración propia (‘) En soles constante del año de presentación del proyecto “HACER Y HACER BIEN LAS COSAS” Página 131
  • 132.
    PROYECTO EDUCATIVO INSTITUCIONAL2011-2016-IPAL EGRESOS: INVERSIÓN EN INMUEBLES PROYECCIÓN A 4 AÑOS (En Nuevos Soles) (‘) RUBROS 1 2 3 4 TOTALES 1.- Construcción de Inmuebles – Terrenos 457,296.13 556,469.93 252,847.78 257,671.80 1,524,285.64 1.1 Terrenos - 1.2 Aulas 457,296.13 356,711.49 - - 814,007.62 1.3 Laboratorios / Talleres 142,684.60 180,605.56 184,051.29 507,341.44 1.4 Biblioteca Central - 1.5 Área Administrativa 35,671.15 45,151.39 46,012.82 126,835.36 1.6 Área de bienestar Estudiantil 7,134.23 9,030.28 9,202.56 25,367.07 1.7 Otros (Cerco Perimétrico y Loza Deportiva) 14,268.46 18,060.56 18,405.13 50,734.14 2. Locales (Adecuación y Remodelación) 27,437.77 49,939.61 108,363.33 110,430.77 296,171.48 2.1 Laboratorio / Taller 4,572.96 7,134.23 9,030.28 9,202.56 29,940.03 2.2 Biblioteca Central 7,134.23 9,030.28 9,202.56 25,367.07 2.3 Área Administrativa 45,151.39 46,012.82 91,164.21 2.4 Área de Bienestar Estudiantil 22,864.81 35,671.15 45,151.39 46,012.82 149,700.17 Otros (especificar) Aulas - TOTAL INMUEBLES 484,733.89 606,409.54 361,211.11 368,102.58 1,820,457.12 Fuente: Elaboración propia (‘) En soles constante del año de presentación del proyecto “HACER Y HACER BIEN LAS COSAS” Página 132
  • 133.
    PROYECTO EDUCATIVO INSTITUCIONAL2011-2016-IPAL EGRESOS: INVERSIÓN EN EQUIPAMIENTO PROYECCIÓN A 4 AÑOS (En Nuevos Soles) (‘) RUBROS TOTALES 1 2 3 4 3.1. Equipamiento Aulas 137,188.84 142,684.60 90,302.78 92,025.64 462,201.86 3.2. Equipamiento de Laboratorios y Talleres 137,188.84 214,026.90 270,908.34 276,076.93 898,201.00 3.3. Equipamiento Biblioteca Central 4,572.96 7,134.23 9,030.28 9,202.56 29,940.03 3.4. Equipamiento Área Administrativa 6,859.44 10,701.34 13,545.42 13,803.85 44,910.05 3.5. Equipamiento de Bienestar Estudiantil 6,859.44 10,701.34 13,545.42 13,803.85 44,910.05 3.6. Otros (especificar) - - - - - TOTAL EQUIPAMIENTO 292,669.52 385,248.41 397,332.23 404,912.84 1,480,162.99 Fuente: Elaboración propia (‘) En soles constante del año de presentación del proyecto “HACER Y HACER BIEN LAS COSAS” Página 133
  • 134.
    PROYECTO EDUCATIVO INSTITUCIONAL2011-2016-IPAL EGRESOS: INVERSIÓN EN MOBILIARIO PROYECCIÓN A 4 AÑOS (En Nuevos Soles) (‘) RUBROS TOTALES 1 2 3 4 4.1. Mobiliario Aulas 45,729.61 71,342.30 90,302.78 92,025.64 299,400.33 4.2. Mobiliario de Laboratorios y 45,729.61 71,342.30 90,302.78 92,025.64 299,400.33 Talleres 4.3. Mobiliario Biblioteca Central 4,572.96 7,134.23 9,030.28 9,202.56 29,940.03 4.4. Mobiliario Área Administrativa 4,572.96 7,134.23 9,030.28 9,202.56 29,940.03 4.5. Mobiliario de Área Bienestar 4,572.96 7,134.23 9,030.28 9,202.56 29,940.03 4.6. Otros (compra de autos) 45,729.61 71,342.30 90,302.78 92,025.64 299,400.33 TOTAL: 150,907.72 235,429.59 297,999.17 303,684.63 988,021.10 Fuente: Elaboración propia (‘) En soles constante del año de presentación del proyecto “HACER Y HACER BIEN LAS COSAS” Página 134
  • 135.
    PROYECTO EDUCATIVO INSTITUCIONAL2011-2016-IPAL EGRESOS: OTROS EGRESOS NO FINANCIEROS PROYECCIÓN A 4 AÑOS (En Nuevos Soles) (‘) RUBROS TOTALES 1 2 3 4 1. Gastos en Becas 15,925.00 25,650.40 32,851.55 33,500.07 107,927.02 Estudiantiles 2. Gastos en Programas de 45,729.61 71,342.30 90,302.78 92,025.64 299,400.33 Investigación 3. Gastos en prog. de perfecc. 6,859.44 10,701.34 13,545.42 13,803.85 44,910.05 Docente 4. Estudios y Asesorías 9,145.92 14,268.46 18,060.56 18,405.13 59,880.07 5. Otros - 5.1 Proyección Soc. y Extens. 6,859.44 10,701.34 13,545.42 13,803.85 44,910.05 Univ. 5.2 Bienestar Estudiantil 6,859.44 10,701.34 13,545.42 13,803.85 44,910.05 TOTALES 91,378.86 143,365.19 181,851.14 185,342.38 601,937.57 Fuente: Elaboración propia (‘) En soles constante del año de presentación del proyecto “HACER Y HACER BIEN LAS COSAS” Página 135
  • 136.
    PROYECTO EDUCATIVO INSTITUCIONAL2011-2016-IPAL ANEXOS Consideramos pertinente comentar que este PROYECTO EDUCATIVO INSTITUCIONAL 2011-2016, tiene como anexos innumerable información, que en el caso que se nos solicite gustosamente lo alcanzaremos. Los anexos son: 1. Reglamento Institucional 2. Proyecto Educativo Institucional 3. Proyecto de Cada carrera Profesional, adecuados todos al sistema modular. 4. Plan Anual de Trabajo 5. Reglamento Interno: Procedimientos de Admisión de formadores y personal administrativo. 6. Manual de Organización y Funciones 7. Plan de Consejería 8. Reglamento de Prácticas Pre Profesionales 9. Reglamento de Admisión 10. Reglamento de Titulación 11. Programación Curricular 12. Itinerarios Formativos 13. Normatividad emitida por el Ministerio de Educación del Perú 14. Plan de supervisión educacional 15. Plan de Investigación 16. Mallas curriculares 17. Infraestructura: Fotos inéditas 18. Otros que sean referidos a la gestión institucional “HACER Y HACER BIEN LAS COSAS” Página 136
  • 137.
    PROYECTO EDUCATIVO INSTITUCIONAL2011-2016-IPAL AMBIENTES MODERNOS DEL IPAL “HACER Y HACER BIEN LAS COSAS” Página 137
  • 138.
    PROYECTO EDUCATIVO INSTITUCIONAL2011-2016-IPAL LIMPIEZA Y ORDEN “HACER Y HACER BIEN LAS COSAS” Página 138
  • 139.
    PROYECTO EDUCATIVO INSTITUCIONAL2011-2016-IPAL EDUCACIÓN BASADA EN LA FORMACIÓN DE VALORES HUMANOS “HACER Y HACER BIEN LAS COSAS” Página 139
  • 140.
    PROYECTO EDUCATIVO INSTITUCIONAL2011-2016-IPAL “HACER Y HACER BIEN LAS COSAS” Página 140
  • 141.
    PROYECTO EDUCATIVO INSTITUCIONAL2011-2016-IPAL MECÁNICA AUTOMOTRIZ “HACER Y HACER BIEN LAS COSAS” Página 141
  • 142.
    PROYECTO EDUCATIVO INSTITUCIONAL2011-2016-IPAL TRABAJO ACADÉMICO-PRÁCTICO DE LOS ESTUDIANTES DE IPAL “HACER Y HACER BIEN LAS COSAS” Página 142
  • 143.
    PROYECTO EDUCATIVO INSTITUCIONAL2011-2016-IPAL TÉCNICO EN FARMACIA “HACER Y HACER BIEN LAS COSAS” Página 143
  • 144.
    PROYECTO EDUCATIVO INSTITUCIONAL2011-2016-IPAL TÉCNICO EN CONTABILIDAD “HACER Y HACER BIEN LAS COSAS” Página 144
  • 145.
    PROYECTO EDUCATIVO INSTITUCIONAL2011-2016-IPAL SECRETARIADO EJECUTIVO “HACER Y HACER BIEN LAS COSAS” Página 145
  • 146.
    PROYECTO EDUCATIVO INSTITUCIONAL2011-2016-IPAL LOZA DEPORTIVA LABORES ACADÉMICAS COMPUTACIÓN “HACER Y HACER BIEN LAS COSAS” Página 146
  • 147.
    PROYECTO EDUCATIVO INSTITUCIONAL2011-2016-IPAL TALLER DE ENSAMBLAJE DE PCS “HACER Y HACER BIEN LAS COSAS” Página 147
  • 148.
    PROYECTO EDUCATIVO INSTITUCIONAL2011-2016-IPAL CAPACITACIONES CONTINUAS “HACER Y HACER BIEN LAS COSAS” Página 148
  • 149.
    PROYECTO EDUCATIVO INSTITUCIONAL2011-2016-IPAL DESARROLLO DE PROYECTOS EMPRESARIALES “HACER Y HACER BIEN LAS COSAS” Página 149
  • 150.
    PROYECTO EDUCATIVO INSTITUCIONAL2011-2016-IPAL DESARROLLO REAL DE HABILIDADES Y COMPETENCIAS “HACER Y HACER BIEN LAS COSAS” Página 150
  • 151.
    PROYECTO EDUCATIVO INSTITUCIONAL2011-2016-IPAL REFERENCIAS BIBLIOGRAFÍCAS 1. ÁLVAREZ DE ZAYAS, C. (1996).La escuela en la vida: Didáctica. Editorial Pueblo y Educación. 2. GÓMEZ, G. (2003). Educación en contextos multiculturales. Revista de Ciencias de la Educación 3. F. IMBERNÓN (Ed.), (2004) La investigación educativa como herramienta de formación del profesorado. Barcelona: Graó. 4. OLIVER. M. (1998).La atención a la diversidad desde los agrupamientos flexibles de estudiantes. Tesis Doctoral. Universidad de Barcelona. 5. RIBEIRO, D. (1969).La Universidad Necesaria. Editorial Paz y Tierra. 6. Proyecto Educativo Nacional (PEN) 7. www.minedu.gob.pe 8. www.educaedu.com.pe/administracion-educativa 9. www.cdi.org.pe/ 10. www.ciao.es/Introduccion_a_la_Teoria_General_de_la_Administracion_I dalberto_Chiavenato__620407 - hace 23 horas “HACER Y HACER BIEN LAS COSAS” Página 151