RELACIÓN ENTRE EL ÍNDICE NORMALIZADO
DIFERENCIAL DE VEGETACIÓN (NDVI) E
ÍNDICES DE ÁRIDEZ EN LA REGIÓN DEL ALTO
PATÍA, COLOMBIA
Fredy Hernando Neira Méndez
Agrólogo, MSc Physical Land Resources
PhD Student -Toegepaste Biologische Wetenschappen: Land en Bosbeheer
Promotor: Donald Gabriels – Ghent University
Co-promotor: Deyanira Lobo - Universidad Central de Venezuela
Agradecimientos: Koen Verbist - UGent
Inés Toro – CORPOICA
IDEAM, 2001
DISTRIBUCION DE LA PRECIPITACION MEDIA
ANUAL EN COLOMBIA
Venezuela
BrazilEcuador
Perú
Panamá
Introducción
7
Guajira
Sabanas del Caribe
Santander y Cesar
Altiplano Cundiboyacense
Alto Magdalena -Tatacoa
1
2
3
4
5
6
1
2
3
4
5
6
7
Valle del Cauca
Alto Patia
N
EW
S
Panama
A
tlantic Ocean
PacificOcean
Equator O°
1998 – Colombia firma la
Convención de las Naciones
Unidas de Lucha contra la
Desertificación y la Sequía
Necesidades:
Seleccionar áreas prioritarias
Susceptibles a desertificación
Guajira
1’136.381 hectares
mean annual precipitation less than 500 mm
Santanderes
587.400 hectares with severe erosion
Mean annual precipitation 1000 - 2000 mm
Santander
Sabanas del Caribe
Mean annual precipitation 600 - 2400 mm
Tatacoa - Huila
304108 ha
annual precipitation + 1000 mm
Alto Magdalena - Tolima
769600 ha
Tatacoa
Huila
572200 ha
Boyacá
CARACTERISTICAS COMUNES
• DEGRADACIÓN DE SUELOS (EROSIÓN)
+
• DÉFICIT HÍDRICO
• ZONAS SECAS ?
 DESERTIFICACION
• CUALES SON LAS ZONAS SECAS ?
DETERMINACION DE ZONAS
SECAS:
• INDICES CLIMATICOS !
OBJETIVO
Seleccionar el índice climático más
adecuado para identificar zonas secas
basado en la relación Índice - NDVI como
indicador de la vegetación
Zona Piloto: Valle del Alto Patía
43 estaciones
meteorológicas
798.000 hectáreas
305000 habitantes
1°13’ - 2°25’ latitud N
77°40’ - 76°35’ longitud E
Estación: Granja Universidad de Nariño (580 m)
20
21
22
23
24
25
26
27
28
29
30
Ene Feb Mar Abr May Jun Jul Ago Sep Oct Nov Dic
Mes
TemperaturaºC Estación: Bolivar (1431 m)
16
17
18
19
20
21
22
23
24
25
26
Ene Feb Mar Abr May Jun Jul Ago Sep Oct Nov Dic
Mes
TemperaturaºC
Estación: Mercaderes (1174 m)
18
19
20
21
22
23
24
25
26
27
28
Ene Feb Mar Abr May Jun Jul Ago Sep Oct Nov Dic
Mes
TemperaturaºC
Estación: Los Milagros (1946 m)
10
11
12
13
14
15
16
17
18
19
20
Ene Feb Mar Abr May Jun Jul Ago Sep Oct Nov Dic
Mes
TemperaturaºC
Estación: La Fonda – Citec (677 m)
Media Máxima media Mínima media
23
24
25
26
27
28
29
30
Ene Feb Mar Abr May Jun Jul Ago Sep Oct Nov Dic
Mes
TemperaturaºC
Estación: Taminango (1861 m)
14
15
16
17
18
19
20
21
22
Ene Feb Mar Abr May Jun Jul Ago Sep Oct Nov Dic
Mes
TemperaturaºC
Elevación
200 – 3800 msnm
Pendientes:
suaves en zonas bajas
fuertes en zonas altas
Estación: Granja U Nariño
0
40
80
120
160
200
Ene Feb Mar Abr May Jun Jul Ago Sep Oct Nov Dic
Mes
Precipitación(mm)
Estación: Bolivar
0
40
80
120
160
200
240
280
320
Ene Feb Mar Abr May Jun Jul Ago Sep Oct Nov Dic
Mes
Precipitación(mm)
Estación: Mercaderes
0
40
80
120
160
200
240
Ene Feb Mar Abr May Jun Jul Ago Sep Oct Nov Dic
Mes
Precipitación(mm)
Estación: Los Milagros
0
40
80
120
160
200
240
Ene Feb Mar Abr May Jun Jul Ago Sep Oct Nov Dic
Mes
Precipitación(mm)
Estación: Taminango
0
40
80
120
160
200
240
280
Ene Feb Mar Abr May Jun Jul Ago Sep Oct Nov Dic
Mes
Precipitación(mm)Estación: Fonda
0
40
80
120
160
200
240
280
320
Ene Feb Mar Abr May Jun Jul Ago Sep Oct Nov Dic
Mes
Precipitación(mm)
Histogramas de precipitación
Metodología General
PrecipitaciónTemperatura
NDVI
Relación?
Selección del índice
Más adecuado
Estimación
de zonas secas
Índices climáticos
(L, M, TI,UI)
Metodología
Precipitación
efectiva
Escorrentía
Incrementos
Coeficiente
de
reducción
de
precipitación
Caudales
Metodología alternativa
PrecipitaciónTemperatura
NDVI
Relación?
Selección del índice
Más adecuado
Estimación
de zonas secas
Índices climáticos
(L, M, TI,UI)
Lang
(1915)
Índices Climáticos
L=P/T
P : Precipitación media anual
T: Temperatura media anual
Lang
L
Clima
0 – 20 Desierto
20.1 – 40 Árido
40.1 – 60 Semiárido
60.1 – 100 Subhúmedo
100.1 – 160 Húmedo
> 160 Muy húmedo
De Martonne
(1923)
10+
=
T
P
IM
De Martonne
(IM)
Clima
0 – 10 Árido
10 – 20 Semiárido
20 – 24 Mediterráneo
24 – 28 Semi-húmedo
28 – 35 Húmedo
35 – 55 Muy húmedo
> 55
Extremadamente
húmedo
P : Precipitación media anual
T: Temperatura media anual
Thornthwaite
(1948)
∑
=








−
=
12
1
9/10
10
115
n
T
P
xPE
TI Clima
< 16 Árido
16 – 31 Semiárido
32 – 63 Subhúmedo
64 – 127 Húmedo
> 127 Muy húmedo
UNEP INDEX (1997)
UI = P/ETo Clima
< 0.05 Hyper-árido
0.05 – 0.2 Árido
0.2 – 0.5 Semiárido
0.5 – 0.65 Seco subhúmedo
0.65 - 1 Subhúmedo
> 1 húmedo
UI = P/ETo
ETo Penman-Monteith :
∆ declinación de curvatura (K Pa °C-1
);
Rn radiación neta (MJ m-2 dia-1
);
G = densidade de flujo de calor (MJ m-2
dia-1
);
T = temperatura (°C);
U2 = velocidad del viento a 2 m (m s-1
);
es = presión de saturación de vapor (KPa);
eO = presión real de vapor (KPa)
g = factor psicométrico (MJ kg-1
)
a
I
Tm
NmETo )
10
(16
×
××=
ETo Thornthwaite
rednearIR
rednearIR
NDVI
+
−
=
Normalized Difference Vegetation Index
Available free images from USGS LandDAAC
MODIS 2005 (1982 – 2005).
Average NDVI 100 m around meteorological stations
NDVI values between 0 and 1
0 = no vegetation
1 = dense vegetation
STUDY ZONE
LANG UNEP THORNTWAITE MARTONNE
(ha) % (ha) % (ha) % (ha) %
GUAJIRA 1136381 100 1136381 100 1136381 100 1136381 100
CARIBE 5365201 90.5 984341 16.6 1455292 24.5 223514 3.8
SANTANDERES 2121912 53.2 345175 8.6 270883 6.8 91073 2.3
CUNDIBOYACA 463137 43.9 469598 44.5 139705 13.2 1287 0.1
MAGDALENA 1333399 33.6 18931 0.5 50617 1.3 0 0.0
CAUCA 544312 50.9 92224 8.6 103648 9.7 0 0.0
NARIÑO 157733 7.8 17117 0.8 16335 0.8 4954 0.2
Drylands estimated using climate indices
162910> 0.8
4546780.7-0.8
2052170.6-0.7
258680.5-0.6
6440.4-0.5
570.3-0.4
Area (ha)NDVI
NDVI Medio
NDVI medio anual (1982-2005)
USGS LandDAAC MODIS 2005.
Avances
Coeficiente de aumento del caudal medio mensual del Río Patia
(1970-2004)
0
0,1
0,2
0,3
0,4
0,5
0,6
0,7
0,8
0,9
ENE FEB MAR ABR MAY JUN JUL AGO SEP OCT NOV DIC
Mes
CI
Pusmeo Los Nortes P Guascas Fonda P. NuevoStations :
Zonas secas usando el índice de Lang
Zonas secas usando el índice UNEP
Estimación de zonas secas (%) en la región Alto Patía
usando diferente índices climáticos
Climate Index →
Lang Factor
(LF)
UNEP (UI) Thornthwaite (TI)
De Martonne
(MI)
Climate zone ↓
(TP)
%
(EP)
%
(TP)
%
(EP)
%
(TP)
%
(EP)
%
(TP)
%
(EP)
%
Desert /Hyperarid 0.01
Arid 0.14 3.27 0.03
Semiarid 9.12 34.19 0.05 0.41 0.24 8.54 0.01 0.13
Dry subhumid-
Mediterranean) 0.21 9.45 0.05 0.46
Subtotal drylands 9.26 37.5 0.26 9.86 0.24 8.57 0.06 0.59
Subhumid / Semi-humid 63.00 62.24 25.30 67.29 67.38 90.80 0.07 2.26
Humid 27.70 0.29 74.44 22.86 32.37 0.63 0.83 21.76
Very humid 0 * 44.62 66.63
Extremely humid * * 54.42 8.74
Index  Lang (LF) Thornthwaite (TI) De Martonne (MI) UNEP (UI)
Station TP CC EP CC TP CC EP CC TP CC EP CC TP CC EP CC
La Guasca 26.4 A 19.0 D 19.8 Sa 14.2 A 19.1 Sa 13.7 Sa 0.4 Sa 0.3 Sa
Viento Libre 41.2 Sa 29.9 A 29.0 Sa 21.0 Sa 27.8 Seh 20.1 M 0.6 Dsh 0.4 Sa
Granja U Nariño 43.9 Sa 31.5 A 33.1 Sh 23.7 Sa 31.7 H 22.7 M 0.7 Sh 0.5 Sa
El Estrecho 44.2 Sa 31.9 A 33.0 Sh 23.8 Sa 31.6 H 22.8 M 0.7 Sh 0.5 Sa
Caney -Mojarra 52.2 Sa 37.8 A 39.1 Sh 28.3 Sa 37.7 VH 27.3 Seh 0.8 Sh 0.6 Dsh
Pisanda 53.5 Sa 38.6 A 40.1 Sh 28.9 Sa 38.6 VH 27.9 Seh 0.8 Sh 0.6 Dsh
Aepto A Nariño 58.5 Sa 42.1 Sa 40.5 Sh 29.1 Sa 38.4 VH 27.7 Seh 0.8 Sh 0.6 Dsh
Mamaconde 56.2 Sa 40.3 Sa 41.9 Sh 30.0 Sa 40.2 VH 28.8 H 0.9 Sh 0.6 Dsh
Vivero Linares 58.5 Sa 42.5 Sa 41.2 Sh 29.9 Sa 39.4 VH 28.6 H 0.8 Sh 0.6 Dsh
El Peñol 61.9 Sh 44.8 Sa 42.7 Sh 30.9 Sa 40.7 VH 29.5 H 0.8 Sh 0.6 Dsh
Buesaco 71.0 Sh 51.1 Sa 46.8 Sh 33.7 Sh 44.6 VH 32.0 H 0.9 Sh 0.6 Dsh
Mercaderes 65.0 Sh 47.4 Sa 47.3 Sh 34.5 Sh 45.2 VH 33.0 H 1.0 Sh 0.7 Sh
Tanama 65.3 Sh 47.6 Sa 46.0 Sh 33.5 Sh 44.0 VH 32.0 H 0.9 Sh 0.7 Sh
El Rosario 2 70.6 Sh 51.4 Sa 48.7 Sh 35.5 Sh 46.4 VH 33.8 H 0.9 Sh 0.7 Sh
La Vega 79.3 Sh 57.1 Sa 51.9 Sh 37.4 Sh 49.3 VH 35.5 VH 0.9 Sh 0.7 Sh
Chachagui 80.5 Sh 58.2 Sa 54.9 Sh 39.7 Sh 52.3 VH 37.8 VH 1.0 Sh 0.8 Sh
La Cruz 81.5 Sh 58.1 Sa 53.8 Sh 38.3 Sh 51.2 VH 36.4 VH 1.0 Sh 0.7 Sh
Policarpa 76.1 Sh 55.2 Sa 56.8 Sh 41.2 Sh 54.4 VH 39.5 VH 1.2 H 0.9 Sh
Taminango 80.7 Sh 58.5 Sa 55.6 Sh 40.3 Sh 53.1 VH 38.4 VH 1.1 H 0.8 Sh
Bolivar 80.8 Sh 58.0 Sa 58.1 Sh 41.6 Sh 55.2 EH 39.6 VH 1.2 H 0.8 Sh
La Fonda Citec 76.7 Sh 55.6 Sa 58.1 Sh 42.0 Sh 55.7 EH 40.4 VH 1.2 H 0.9 Sh
Los Milagros 88.7 Sh 63.5 Sh 57.6 Sh 41.2 Sh 54.5 VH 39.0 VH 1.0 Sh 0.7 Sh
El Rodeo 87.0 Sh 62.1 Sh 61.4 Sh 43.8 Sh 58.6 EH 41.8 VH 1.2 H 0.9 Sh
Hidromayo
Camp 87.1 Sh 62.0 Sh 59.5 Sh 42.3 Sh 56.5 EH 40.2 VH 1.1 H 0.8 Sh
Hidromayo
Presa 85.3 Sh 60.7 Sh 58.2 Sh 41.4 Sh 55.4 EH 39.4 VH 1.1 H 0.8 Sh
Aponte 90.6 Sh 64.5 Sh 61.6 Sh 43.8 Sh 58.8 EH 41.8 VH 1.2 H 0.8 Sh
Guachicono 86.7 Sh 62.0 Sh 63.3 H 45.3 Sh 60.7 EH 43.4 VH 1.3 H 0.9 Sh
Parraga 92.9 Sh 66.7 Sh 66.1 H 47.4 Sh 63.1 EH 45.3 VH 1.3 H 0.9 Sh
Taminango 2 97.9 Sh 71.0 Sh 65.6 H 47.5 Sh 62.3 EH 45.2 VH 1.2 H 0.9 Sh
Samaniego 98.1 Sh 71.1 Sh 67.7 H 49.0 Sh 64.5 EH 46.7 VH 1.3 H 0.9 Sh
Berruecos 98.6 Sh 70.6 Sh 65.0 H 46.6 Sh 61.9 EH 44.3 VH 1.2 H 0.9 Sh
Rosal d’ Monte 114.1 H 81.6 Sh 69.4 H 49.7 Sh 66.1 EH 47.3 VH 1.2 H 0.8 Sh
La Union 110.4 H 79.4 Sh 76.2 H 54.7 Sh 72.5 EH 52.2 VH 1.5 H 1.1 H
Balboa 113.6 H 82.0 Sh 77.2 H 55.8 Sh 73.7 EH 53.2 VH 1.5 H 1.1 H
Sajandi 111.6 H 80.2 Sh 83.0 H 59.7 Sh 79.8 EH 57.4 EH 1.7 H 1.3 H
Quilcase 113.4 H 82.4 Sh 82.8 H 60.1 Sh 79.3 EH 57.7 EH 1.7 H 1.2 H
Rosas 123.0 H 87.7 Sh 85.0 H 60.6 Sh 80.8 EH 57.6 EH 1.6 H 1.2 H
San Bernardo 123.5 H 88.7 Sh 81.5 H 58.5 Sh 77.5 EH 55.7 EH 1.5 H 1.1 H
La Mesa 124.8 H 89.2 Sh 93.1 H 66.5 H 89.3 EH 63.8 EH 1.9 H 1.4 H
La Sierra 140.1 H 99.8 Sh 95.7 H 68.2 H 91.0 EH 64.8 EH 1.8 H 1.3 H
Nariño 150.6 H 107.6 H 91.6 H 65.5 H 87.2 EH 62.3 EH 1.5 H 1.1 H
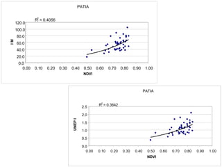
PATIA
R
2
= 0.4056
0.0
20.0
40.0
60.0
80.0
100.0
120.0
0.00 0.10 0.20 0.30 0.40 0.50 0.60 0.70 0.80 0.90 1.00
NDVI
IM
PATIA
R2
= 0.3642
0.0
0.5
1.0
1.5
2.0
2.5
0.00 0.10 0.20 0.30 0.40 0.50 0.60 0.70 0.80 0.90 1.00
NDVI
UNEPI
Índice Climático
R2
Precipitación
media anual
R2
Precipitación
efectiva
Lang (LF) 0,4701 0,4726
Thornthwaite (TI) 0,4673 0,4693
De Martonne (MI) 0,4664 0,4685
UNEP (UI) 0,4416 0,4429
Correlación NDVI - índices climáticos
Usando Lang más estaciones son clasificadas como
zonas secas (Desierto, árido y semiárido) mientras que
usando UNEP se indica menor área en zonas secas
(Semiárido y seco subhúmedo).
Usando la precipitación efectiva se presenta mayor
área o número de estaciones como áreas secas.
La correlación entre NDVI y los índices es baja y no
es significativamente diferente entre índices.
Conclusiones
Conclusiones
Consideraciones…
La baja correlación entre NDVI y los índices climáticos puede estar
sub/sobre – estimada.
- La resolución de las imágenes NDVI puede ser aún alta
- Efectos de borde como bosques riparios o de galería, cercas o
barreras vivas, etc.. pueden disminuir el verdadero valor de NDVI.
- Parte de la precipitación que llega se pierde por escorrentía (zonas
secas subestimadas)
- Necesidad de conocer precipitación efectiva y escorrentía
Continuidad …
Selección de estaciones meteorológicas con cobertura vegetal natural
A relationship will be more accurate to the natural vegetation.
Análisis de la relación entre índices y NDVI a través del año para
definir periódos críticos
Necesidad de estimar precipitación efectiva
Estimación erosividad
Determinación de periódos críticos
Agresividad de lluvias
Degradación de tierras = degradación del hombre
OBRIGADO
GRACIAS
DANK U WEL

Presentacion elafis Brasil 2009

  • 1.
    RELACIÓN ENTRE ELÍNDICE NORMALIZADO DIFERENCIAL DE VEGETACIÓN (NDVI) E ÍNDICES DE ÁRIDEZ EN LA REGIÓN DEL ALTO PATÍA, COLOMBIA Fredy Hernando Neira Méndez Agrólogo, MSc Physical Land Resources PhD Student -Toegepaste Biologische Wetenschappen: Land en Bosbeheer Promotor: Donald Gabriels – Ghent University Co-promotor: Deyanira Lobo - Universidad Central de Venezuela Agradecimientos: Koen Verbist - UGent Inés Toro – CORPOICA
  • 2.
    IDEAM, 2001 DISTRIBUCION DELA PRECIPITACION MEDIA ANUAL EN COLOMBIA Venezuela BrazilEcuador Perú Panamá Introducción
  • 3.
    7 Guajira Sabanas del Caribe Santandery Cesar Altiplano Cundiboyacense Alto Magdalena -Tatacoa 1 2 3 4 5 6 1 2 3 4 5 6 7 Valle del Cauca Alto Patia N EW S Panama A tlantic Ocean PacificOcean Equator O° 1998 – Colombia firma la Convención de las Naciones Unidas de Lucha contra la Desertificación y la Sequía Necesidades: Seleccionar áreas prioritarias Susceptibles a desertificación
  • 4.
    Guajira 1’136.381 hectares mean annualprecipitation less than 500 mm
  • 5.
    Santanderes 587.400 hectares withsevere erosion Mean annual precipitation 1000 - 2000 mm
  • 6.
  • 7.
    Sabanas del Caribe Meanannual precipitation 600 - 2400 mm
  • 8.
    Tatacoa - Huila 304108ha annual precipitation + 1000 mm
  • 9.
    Alto Magdalena -Tolima 769600 ha
  • 10.
  • 11.
  • 12.
  • 13.
    CARACTERISTICAS COMUNES • DEGRADACIÓNDE SUELOS (EROSIÓN) + • DÉFICIT HÍDRICO • ZONAS SECAS ?  DESERTIFICACION • CUALES SON LAS ZONAS SECAS ?
  • 14.
  • 15.
    OBJETIVO Seleccionar el índiceclimático más adecuado para identificar zonas secas basado en la relación Índice - NDVI como indicador de la vegetación Zona Piloto: Valle del Alto Patía
  • 16.
    43 estaciones meteorológicas 798.000 hectáreas 305000habitantes 1°13’ - 2°25’ latitud N 77°40’ - 76°35’ longitud E
  • 18.
    Estación: Granja Universidadde Nariño (580 m) 20 21 22 23 24 25 26 27 28 29 30 Ene Feb Mar Abr May Jun Jul Ago Sep Oct Nov Dic Mes TemperaturaºC Estación: Bolivar (1431 m) 16 17 18 19 20 21 22 23 24 25 26 Ene Feb Mar Abr May Jun Jul Ago Sep Oct Nov Dic Mes TemperaturaºC Estación: Mercaderes (1174 m) 18 19 20 21 22 23 24 25 26 27 28 Ene Feb Mar Abr May Jun Jul Ago Sep Oct Nov Dic Mes TemperaturaºC Estación: Los Milagros (1946 m) 10 11 12 13 14 15 16 17 18 19 20 Ene Feb Mar Abr May Jun Jul Ago Sep Oct Nov Dic Mes TemperaturaºC Estación: La Fonda – Citec (677 m) Media Máxima media Mínima media 23 24 25 26 27 28 29 30 Ene Feb Mar Abr May Jun Jul Ago Sep Oct Nov Dic Mes TemperaturaºC Estación: Taminango (1861 m) 14 15 16 17 18 19 20 21 22 Ene Feb Mar Abr May Jun Jul Ago Sep Oct Nov Dic Mes TemperaturaºC
  • 19.
    Elevación 200 – 3800msnm Pendientes: suaves en zonas bajas fuertes en zonas altas
  • 20.
    Estación: Granja UNariño 0 40 80 120 160 200 Ene Feb Mar Abr May Jun Jul Ago Sep Oct Nov Dic Mes Precipitación(mm) Estación: Bolivar 0 40 80 120 160 200 240 280 320 Ene Feb Mar Abr May Jun Jul Ago Sep Oct Nov Dic Mes Precipitación(mm) Estación: Mercaderes 0 40 80 120 160 200 240 Ene Feb Mar Abr May Jun Jul Ago Sep Oct Nov Dic Mes Precipitación(mm) Estación: Los Milagros 0 40 80 120 160 200 240 Ene Feb Mar Abr May Jun Jul Ago Sep Oct Nov Dic Mes Precipitación(mm) Estación: Taminango 0 40 80 120 160 200 240 280 Ene Feb Mar Abr May Jun Jul Ago Sep Oct Nov Dic Mes Precipitación(mm)Estación: Fonda 0 40 80 120 160 200 240 280 320 Ene Feb Mar Abr May Jun Jul Ago Sep Oct Nov Dic Mes Precipitación(mm) Histogramas de precipitación
  • 22.
    Metodología General PrecipitaciónTemperatura NDVI Relación? Selección delíndice Más adecuado Estimación de zonas secas Índices climáticos (L, M, TI,UI) Metodología
  • 23.
  • 24.
    Lang (1915) Índices Climáticos L=P/T P :Precipitación media anual T: Temperatura media anual Lang L Clima 0 – 20 Desierto 20.1 – 40 Árido 40.1 – 60 Semiárido 60.1 – 100 Subhúmedo 100.1 – 160 Húmedo > 160 Muy húmedo
  • 25.
    De Martonne (1923) 10+ = T P IM De Martonne (IM) Clima 0– 10 Árido 10 – 20 Semiárido 20 – 24 Mediterráneo 24 – 28 Semi-húmedo 28 – 35 Húmedo 35 – 55 Muy húmedo > 55 Extremadamente húmedo P : Precipitación media anual T: Temperatura media anual
  • 26.
    Thornthwaite (1948) ∑ =         − = 12 1 9/10 10 115 n T P xPE TI Clima < 16Árido 16 – 31 Semiárido 32 – 63 Subhúmedo 64 – 127 Húmedo > 127 Muy húmedo
  • 27.
    UNEP INDEX (1997) UI= P/ETo Clima < 0.05 Hyper-árido 0.05 – 0.2 Árido 0.2 – 0.5 Semiárido 0.5 – 0.65 Seco subhúmedo 0.65 - 1 Subhúmedo > 1 húmedo UI = P/ETo
  • 28.
    ETo Penman-Monteith : ∆declinación de curvatura (K Pa °C-1 ); Rn radiación neta (MJ m-2 dia-1 ); G = densidade de flujo de calor (MJ m-2 dia-1 ); T = temperatura (°C); U2 = velocidad del viento a 2 m (m s-1 ); es = presión de saturación de vapor (KPa); eO = presión real de vapor (KPa) g = factor psicométrico (MJ kg-1 ) a I Tm NmETo ) 10 (16 × ××= ETo Thornthwaite
  • 29.
    rednearIR rednearIR NDVI + − = Normalized Difference VegetationIndex Available free images from USGS LandDAAC MODIS 2005 (1982 – 2005). Average NDVI 100 m around meteorological stations NDVI values between 0 and 1 0 = no vegetation 1 = dense vegetation
  • 30.
    STUDY ZONE LANG UNEPTHORNTWAITE MARTONNE (ha) % (ha) % (ha) % (ha) % GUAJIRA 1136381 100 1136381 100 1136381 100 1136381 100 CARIBE 5365201 90.5 984341 16.6 1455292 24.5 223514 3.8 SANTANDERES 2121912 53.2 345175 8.6 270883 6.8 91073 2.3 CUNDIBOYACA 463137 43.9 469598 44.5 139705 13.2 1287 0.1 MAGDALENA 1333399 33.6 18931 0.5 50617 1.3 0 0.0 CAUCA 544312 50.9 92224 8.6 103648 9.7 0 0.0 NARIÑO 157733 7.8 17117 0.8 16335 0.8 4954 0.2 Drylands estimated using climate indices
  • 31.
    162910> 0.8 4546780.7-0.8 2052170.6-0.7 258680.5-0.6 6440.4-0.5 570.3-0.4 Area (ha)NDVI NDVIMedio NDVI medio anual (1982-2005) USGS LandDAAC MODIS 2005. Avances
  • 32.
    Coeficiente de aumentodel caudal medio mensual del Río Patia (1970-2004) 0 0,1 0,2 0,3 0,4 0,5 0,6 0,7 0,8 0,9 ENE FEB MAR ABR MAY JUN JUL AGO SEP OCT NOV DIC Mes CI Pusmeo Los Nortes P Guascas Fonda P. NuevoStations :
  • 33.
    Zonas secas usandoel índice de Lang
  • 34.
    Zonas secas usandoel índice UNEP
  • 35.
    Estimación de zonassecas (%) en la región Alto Patía usando diferente índices climáticos Climate Index → Lang Factor (LF) UNEP (UI) Thornthwaite (TI) De Martonne (MI) Climate zone ↓ (TP) % (EP) % (TP) % (EP) % (TP) % (EP) % (TP) % (EP) % Desert /Hyperarid 0.01 Arid 0.14 3.27 0.03 Semiarid 9.12 34.19 0.05 0.41 0.24 8.54 0.01 0.13 Dry subhumid- Mediterranean) 0.21 9.45 0.05 0.46 Subtotal drylands 9.26 37.5 0.26 9.86 0.24 8.57 0.06 0.59 Subhumid / Semi-humid 63.00 62.24 25.30 67.29 67.38 90.80 0.07 2.26 Humid 27.70 0.29 74.44 22.86 32.37 0.63 0.83 21.76 Very humid 0 * 44.62 66.63 Extremely humid * * 54.42 8.74
  • 36.
    Index  Lang(LF) Thornthwaite (TI) De Martonne (MI) UNEP (UI) Station TP CC EP CC TP CC EP CC TP CC EP CC TP CC EP CC La Guasca 26.4 A 19.0 D 19.8 Sa 14.2 A 19.1 Sa 13.7 Sa 0.4 Sa 0.3 Sa Viento Libre 41.2 Sa 29.9 A 29.0 Sa 21.0 Sa 27.8 Seh 20.1 M 0.6 Dsh 0.4 Sa Granja U Nariño 43.9 Sa 31.5 A 33.1 Sh 23.7 Sa 31.7 H 22.7 M 0.7 Sh 0.5 Sa El Estrecho 44.2 Sa 31.9 A 33.0 Sh 23.8 Sa 31.6 H 22.8 M 0.7 Sh 0.5 Sa Caney -Mojarra 52.2 Sa 37.8 A 39.1 Sh 28.3 Sa 37.7 VH 27.3 Seh 0.8 Sh 0.6 Dsh Pisanda 53.5 Sa 38.6 A 40.1 Sh 28.9 Sa 38.6 VH 27.9 Seh 0.8 Sh 0.6 Dsh Aepto A Nariño 58.5 Sa 42.1 Sa 40.5 Sh 29.1 Sa 38.4 VH 27.7 Seh 0.8 Sh 0.6 Dsh Mamaconde 56.2 Sa 40.3 Sa 41.9 Sh 30.0 Sa 40.2 VH 28.8 H 0.9 Sh 0.6 Dsh Vivero Linares 58.5 Sa 42.5 Sa 41.2 Sh 29.9 Sa 39.4 VH 28.6 H 0.8 Sh 0.6 Dsh El Peñol 61.9 Sh 44.8 Sa 42.7 Sh 30.9 Sa 40.7 VH 29.5 H 0.8 Sh 0.6 Dsh Buesaco 71.0 Sh 51.1 Sa 46.8 Sh 33.7 Sh 44.6 VH 32.0 H 0.9 Sh 0.6 Dsh Mercaderes 65.0 Sh 47.4 Sa 47.3 Sh 34.5 Sh 45.2 VH 33.0 H 1.0 Sh 0.7 Sh Tanama 65.3 Sh 47.6 Sa 46.0 Sh 33.5 Sh 44.0 VH 32.0 H 0.9 Sh 0.7 Sh El Rosario 2 70.6 Sh 51.4 Sa 48.7 Sh 35.5 Sh 46.4 VH 33.8 H 0.9 Sh 0.7 Sh La Vega 79.3 Sh 57.1 Sa 51.9 Sh 37.4 Sh 49.3 VH 35.5 VH 0.9 Sh 0.7 Sh Chachagui 80.5 Sh 58.2 Sa 54.9 Sh 39.7 Sh 52.3 VH 37.8 VH 1.0 Sh 0.8 Sh La Cruz 81.5 Sh 58.1 Sa 53.8 Sh 38.3 Sh 51.2 VH 36.4 VH 1.0 Sh 0.7 Sh Policarpa 76.1 Sh 55.2 Sa 56.8 Sh 41.2 Sh 54.4 VH 39.5 VH 1.2 H 0.9 Sh Taminango 80.7 Sh 58.5 Sa 55.6 Sh 40.3 Sh 53.1 VH 38.4 VH 1.1 H 0.8 Sh Bolivar 80.8 Sh 58.0 Sa 58.1 Sh 41.6 Sh 55.2 EH 39.6 VH 1.2 H 0.8 Sh La Fonda Citec 76.7 Sh 55.6 Sa 58.1 Sh 42.0 Sh 55.7 EH 40.4 VH 1.2 H 0.9 Sh Los Milagros 88.7 Sh 63.5 Sh 57.6 Sh 41.2 Sh 54.5 VH 39.0 VH 1.0 Sh 0.7 Sh El Rodeo 87.0 Sh 62.1 Sh 61.4 Sh 43.8 Sh 58.6 EH 41.8 VH 1.2 H 0.9 Sh Hidromayo Camp 87.1 Sh 62.0 Sh 59.5 Sh 42.3 Sh 56.5 EH 40.2 VH 1.1 H 0.8 Sh Hidromayo Presa 85.3 Sh 60.7 Sh 58.2 Sh 41.4 Sh 55.4 EH 39.4 VH 1.1 H 0.8 Sh Aponte 90.6 Sh 64.5 Sh 61.6 Sh 43.8 Sh 58.8 EH 41.8 VH 1.2 H 0.8 Sh Guachicono 86.7 Sh 62.0 Sh 63.3 H 45.3 Sh 60.7 EH 43.4 VH 1.3 H 0.9 Sh Parraga 92.9 Sh 66.7 Sh 66.1 H 47.4 Sh 63.1 EH 45.3 VH 1.3 H 0.9 Sh Taminango 2 97.9 Sh 71.0 Sh 65.6 H 47.5 Sh 62.3 EH 45.2 VH 1.2 H 0.9 Sh Samaniego 98.1 Sh 71.1 Sh 67.7 H 49.0 Sh 64.5 EH 46.7 VH 1.3 H 0.9 Sh Berruecos 98.6 Sh 70.6 Sh 65.0 H 46.6 Sh 61.9 EH 44.3 VH 1.2 H 0.9 Sh Rosal d’ Monte 114.1 H 81.6 Sh 69.4 H 49.7 Sh 66.1 EH 47.3 VH 1.2 H 0.8 Sh La Union 110.4 H 79.4 Sh 76.2 H 54.7 Sh 72.5 EH 52.2 VH 1.5 H 1.1 H Balboa 113.6 H 82.0 Sh 77.2 H 55.8 Sh 73.7 EH 53.2 VH 1.5 H 1.1 H Sajandi 111.6 H 80.2 Sh 83.0 H 59.7 Sh 79.8 EH 57.4 EH 1.7 H 1.3 H Quilcase 113.4 H 82.4 Sh 82.8 H 60.1 Sh 79.3 EH 57.7 EH 1.7 H 1.2 H Rosas 123.0 H 87.7 Sh 85.0 H 60.6 Sh 80.8 EH 57.6 EH 1.6 H 1.2 H San Bernardo 123.5 H 88.7 Sh 81.5 H 58.5 Sh 77.5 EH 55.7 EH 1.5 H 1.1 H La Mesa 124.8 H 89.2 Sh 93.1 H 66.5 H 89.3 EH 63.8 EH 1.9 H 1.4 H La Sierra 140.1 H 99.8 Sh 95.7 H 68.2 H 91.0 EH 64.8 EH 1.8 H 1.3 H Nariño 150.6 H 107.6 H 91.6 H 65.5 H 87.2 EH 62.3 EH 1.5 H 1.1 H
  • 37.
    PATIA R 2 = 0.4056 0.0 20.0 40.0 60.0 80.0 100.0 120.0 0.00 0.100.20 0.30 0.40 0.50 0.60 0.70 0.80 0.90 1.00 NDVI IM PATIA R2 = 0.3642 0.0 0.5 1.0 1.5 2.0 2.5 0.00 0.10 0.20 0.30 0.40 0.50 0.60 0.70 0.80 0.90 1.00 NDVI UNEPI
  • 38.
    Índice Climático R2 Precipitación media anual R2 Precipitación efectiva Lang(LF) 0,4701 0,4726 Thornthwaite (TI) 0,4673 0,4693 De Martonne (MI) 0,4664 0,4685 UNEP (UI) 0,4416 0,4429 Correlación NDVI - índices climáticos
  • 39.
    Usando Lang másestaciones son clasificadas como zonas secas (Desierto, árido y semiárido) mientras que usando UNEP se indica menor área en zonas secas (Semiárido y seco subhúmedo). Usando la precipitación efectiva se presenta mayor área o número de estaciones como áreas secas. La correlación entre NDVI y los índices es baja y no es significativamente diferente entre índices. Conclusiones Conclusiones
  • 40.
    Consideraciones… La baja correlaciónentre NDVI y los índices climáticos puede estar sub/sobre – estimada. - La resolución de las imágenes NDVI puede ser aún alta - Efectos de borde como bosques riparios o de galería, cercas o barreras vivas, etc.. pueden disminuir el verdadero valor de NDVI. - Parte de la precipitación que llega se pierde por escorrentía (zonas secas subestimadas) - Necesidad de conocer precipitación efectiva y escorrentía
  • 41.
    Continuidad … Selección deestaciones meteorológicas con cobertura vegetal natural A relationship will be more accurate to the natural vegetation. Análisis de la relación entre índices y NDVI a través del año para definir periódos críticos Necesidad de estimar precipitación efectiva Estimación erosividad Determinación de periódos críticos Agresividad de lluvias
  • 42.
    Degradación de tierras= degradación del hombre OBRIGADO GRACIAS DANK U WEL