UNIVERSIDAD TECNICA DE AMBATO
FACULTAD DE CIENCIAS HUMANAS Y DE LA EDUCACION

CARRERA DE DOCENCIA EN INFORMATICA
SEGUNDO SEMESTRE

APLICACIONES SENCILLAS UTILIZANDO SENTENCIAS DE CONTROL
PARA DESARROLLAR LA LOGICA DE LA PROGRAMACION EN
LENGUAJE C++

AUTOR: JOHANA VARGAS

PERIODO: SEP2013-FEB2014
PROGRAMA 1
1. ENUNCIADO
Diseñe un programa que me permita ingresar 3 números enteros desde teclado que
corresponden a 3 notas las mismas que deben estar entre 1 y 10, obtenga el promedio
correspondiente y determine su equivalencia.
 Si el promedio es mayor o igual a 7, está aprobado.
 Si el promedio es mayor o igual a 5 y Menor que 7 esta suspenso
 Si el promedio es menor que 5 esta reprobado
2. ANALISIS
Para realizar las condiciones se utiliza la sentencia condicionante IF y ELSE de esta manera
podremos saber si la persona está aprobada, suspensa, o reprobada.
3. DOCUMENTACION:
#include<stdio.h>
Librerías
#include<conio.h>
void main()
Inicio del programa
{
Declaración de variable tipo entera
float a,b,c,d,p;
Blanqueo de pantalla
clrscr();
gotoxy(8,5);printf("Introduzca la primera calificacion:");
Ingreso y escaneo de datos
scanf("%f",&a);
if((a>0)&&(a<11))
{
gotoxy(8,8);
printf("Introduzca la segunda calificacion:");
scanf("%f",&b);
}
if((b>0)&&(b<11))
{
gotoxy(8,11);
printf("Introduzca la tercera calificacion:");
If para condicionar cada una
scanf("%f",&c);
}
de las calificaciones
if((c>0)&&(c<11))
{
p=(a+b+c)/3;
}
if(p>6)
{
gotoxy(8,14);
printf("Ha aprobado, el promedio es:%f",p);
}
if((p>4)&&(p<7))
{
gotoxy(8,14);
printf("Esta suspenso, el promedio es:%f",p);
}
if(p<5)
{
gotoxy(8,14);
printf("Ha reprobado, el promedio es:%f",p);
}
getch();
Pausar pantalla
}
Fin del programa

If para condicionar cada una
de las calificaciones

4. CORRIDO DEL PROGRAMA:

PROGRAMA 2
1. ENUNCIADO
Diseñe un programa que me permita ingresar un número entero desde teclado entre 1 y 7,
que me permita visualizar el nombre del día de la semana que le corresponde.
2. ANALISIS
En este programa utilizamos varias sentencias if y else para poder saber a qué día pertenece
el número ingresado.
3. DOCUMENTACION:
#include<stdio.h>
#include<conio.h>
Librerías
void main()
Inicio del programa
{
Declaración de variable tipo entera
Int n;
Blanqueo de pantalla
clrscr();
gotoxy (10,5);printf("DIAS DE LA SEMANA SEGUN EL NUMERO");
gotoxy(5,8);printf("Ingrese el numero:");scanf("%d",&n);
if((n<8)&&(n>0))
{
if(n==1)
gotoxy(10,10);printf("Lunes");
}
if(n==2)
{
gotoxy(10,10);printf(“ Martes");
}
if(n==3)
{
gotoxy(10,10);printf("Miercoles");
}
if(n==3)
{
gotoxy(10,10);printf("Jueves");
}
if(n==3)
{
gotoxy(10,10);printf("Viernes");
}
if(n==3)
{
gotoxy(10,10);printf("Sábado");
}
if(n==3)
{
gotoxy(10,10);printf("Es Domingo");
}
getch();
Pausar pantalla
Pausar pantalla
}
Fin del programa
Fin del programa

Ingreso y escaneo de datos

If para condicionar cada uno
de los días
4. CORRIDO DEL PROGRAMA:

PROGRAMA 3
1. ENUNCIADO:
Diseñe un programa en C++ que me permita obtener las comisiones de ventas de la
empresa xyz bajo los siguientes condicionamientos:
 Si el valor de la venta es ≥ 3000 y ≤ 5000 el valor de porcentaje es de 5%
 Si el valor de la venta es > 5000 y ≤ 8500 el valor de porcentaje es de 7%
 Si el valor de la venta es > 8500 y ≤ 10000 el valor de porcentaje es de 8%
 Si el valor de la venta es > 10000 el valor de porcentaje es de 10%
Visualice el valor total de ventas ingresadas y el total de comisiones ingresadas; el proceso
se repite n veces.
2. ANALISIS
Se utiliza IFs para validar cada condicionamiento de los valores y según su resultado se
le acredita un porcentaje a la venta y un DO WHILE para repetir el proceso n número
de veces.
3. DOCUMENTACION:
#include<stdio.h>
Librerias
#include<conio.h>
main()
{
int z=1,y=0,con;
Declaración de variables tipo entero y flotante
float a,b,c,d,e,f,g,h,i;
do
Do para repetir n veces

Blanqueo pantalla
{
clrscr();
z=1;
y=0;
gotoxy(32,4);printf("VENTAS EFECTUADAS");
Ingresa y escanea la venta
gotoxy(5,7);printf("Ingresar el valor de la venta efectuada:");
scanf("%f",&a);
if((a>2999)&&(a<5001))
{
b=(a*5)/100;
c=a+b;
gotoxy(8,10);printf("Total de ventas : %f",c);
Ifs para hacer las validaciones
gotoxy(8,13);printf("Su utilidad es : %f",b);
}
if((a>5000)&&(a<8499))
{
d=(a*7)/100;
Caso contrario
e=d+a;
gotoxy(8,10);printf("Total de ventas : %f",e);
gotoxy(8,13);printf("Su utilidad es : %f",d);
}
if((a>8500)&&(a<10001))
{
Imprime la venta y
h=(a*8)/100;
porcentaje ganado
i=h+a;
gotoxy(8,10);printf("Total de ventas : %f",i);
gotoxy(8,13);printf("Su utilidad es : %f",h);
}
if(a>10000)
{
f=(a*10)/100;
g=f+a;
gotoxy(8,10);printf("Total de ventas : %f",g);
gotoxy(8,13);printf("Su utilidad es : %f",f);
}
gotoxy(30,20);printf("Pulsa 1 para continuar o 2 salir del programa");
Repetir proceso
scanf("%d",&con);
}
while(con==1);
getch();
}
Fin del programa
4. CORRIDO DEL PROGRAMA

PROGRAMA 4
1. ENUNCIADO:
Diseñe un programa que me permita ingresar 2 números por teclado y realizar la suma de
los mismos.
2. ANALISIS: Utilizamos un if para que me valide los datos ingresados para que el
primer número ingresado sea mayor que el segundo número caso contrario me
imprima un mensaje y me
#include <stdio.h>
pida nuevamente.
#include <conio.h>
int a,b,r;
void main ()
{
clrscr();

Librerías

Declaración de variables tipo enteras
3. DOCUMENTACIO
Librerías
N:
Inicio del programa
Blanqueo de pantalla

gotoxy(15,8); printf("ingrese 1er valor: "); scanf("%d",&a);
gotoxy(15,12); printf("ingrese 2do valor: "); scanf("%d",&b);
if(a>b)
{
r=a+b;
Operación
}
Else
{
gotoxy(5,22); printf("ingrese un número mayor");
}
gotoxy(15,15); printf("el resultado es: %d",r);
getch();
Pausar pantalla
}
Fin del programa

Condición para validar los datos

Imprime resultados

CORRIDO DEL
PROGRAMA:

PROGRAMA 5

1. ENUNCIADO:
Diseñe un programa que realice la suma de dos números, siempre que el primer valor
este entre 3 y 23 y el segundo valor este entre 5 y 17. El programa se repite n veces.
2. ANALISIS: Utilizamos un DO WHILE para que el proceso se repita cuantas veces
quiera el usuario y también dos más para que me valide los datos ingresados entre
los rango de 3 y 23 y el otro de 5 y 17 caso contrario me pida nuevamente.
3. DOCUMENTACION:
#include<stdio.h>
#include<conio.h>
void main()
{

Librerías
Inicio del programa
Declaración de variables tipo enteras
int a,b,suma,op;
{
clrscr();
do
{
gotoxy(36,4); printf(" ");
Segundo DO para validar los datos
gotoxy(10,4); printf("Ingrese el primer número: ");
scanf("%d",&a);
Ingreso y escaneo de datos
}
while (a<3||a>23);
do
{
gotoxy(36,6); printf(" ");
Tercer DO para validar los datos
gotoxy(10,6); printf("Ingrese el segundo numero: ");
Ingreso y escaneo de datos
scanf("%d",&b);
}
while ((b>4)&&(b<18));
Operación
suma= a+b;
Imprime resultados
gotoxy(10,8); printf("La suma es: %d",suma);
gotoxy(10,10); printf("Presione 1 para continuar o 0 para salir");
scanf("%d",&op);
Primer DO para que se repita n
}
veces
while (op==1);
Pausar pantalla
getch();
} Fin del programa
4. CORRIDO DEL PROGRAMA:

PROGRAMA 6

1. ENUNCIADO:
Diseñe un programa que me permita ingresar el nombre de una persona y la edad de la
misma que debe estar entre 3 y 85, para obtener las siguientes equivalencias:


Si la edad está entre 3 y 5 debe visualizarse: nombre, “es un bebé”



Si la edad es > 5 y <13 debe visualizarse: nombre, “es un niño”



Si la edad es > 13 y ≤ 21 debe visualizarse: nombre, “es un adolescente”



Si la edad es > 21 y ≤ 60 debe visualizarse: nombre, “es un adulto”



Si la edad es > 60 debe visualizarse: nombre, “es un adulto mayor”

El programa se repite tantas veces como el usuario lo desee.
2. ANALISIS: Se utilizan IFs para obtener el resultado; si la persona es bebe, niño,
adolescente, adulto o adulto mayor.
3. DOCUMENTACION:
#include<stdio.h>
Librerías
#include<conio.h>
void main()
{
Declaración de variables
int e;
char nombre[15];
Blanquea pantalla
clrscr();
gotoxy(15,2); printf("EQUIVALENCIAS DE EDAD");
flushall();
gotoxy(10,4); printf("Ingrese el nombre: "); gets(nombre);
do
{
gotoxy(18,6); printf(" ");
Ingresa la
gotoxy(10,6); printf("Ingrese la edad: ");scanf("%d",&e);
edad
}
while (e<3||e>85);
if((e>2)&&(e<6))
{
gotoxy(10,10); puts(nombre);
Imprime es un
gotoxy(20,10); printf("Es un bebe");
bebe
}
if ((e>5)&&(e<14))
{
gotoxy(10,10); puts(nombre);
Imprime es un niño
gotoxy(20,10); printf("Es un niño");
}
if ((e>12)&&(e<22))
{
gotoxy(10,10); puts(nombre);
Imprime es un adolescente
gotoxy(20,10); printf("Es un adolescente");
}

DO para validar las
edades
getch();
}

Fin del programa

4. CORRIDO DEL PROGRAMA:

PROGRAMA 7

1. ENUNCIADO: Diseñe un programa que me permita simular la venta de productos
en una factura, de la cual necesitamos ingresar el nombre del producto, la cantidad,
precio unitario y calcular el precio total. El programa se repite n veces según los
productos que el usuario desee ingresar.
2. ANALISIS: Utilizamos una variable tipo carácter para ingresar el nombre otra tipo
entero para ingresar la cantidad otra tipo flotante para ingresar el valor de cada uno
de los productos y realizar operaciones básicas y un DO WHILE para repetirlo n
veces.
3. DOCUMENTACION:
#include<stdio.h>
Librerías
#include<conio.h
void main()
{
Inicio del programa
int can,op;
Declaración de variables
float pre,sub=0,iv,to;
char pro[15];
do
Do para generar n veces
{
clrscr();
Blanquea pantalla
gotoxy(31,1);printf("Factura de n Productos");
flushall();
gotoxy(10,2);printf("Producto");
gotoxy(26,2);printf("Cantidad");

Diseño de la factura
gotoxy(36,2);printf("Precio");
gotoxy(43,2);printf("Valor total");
gotoxy(10,3);gets(pro);
gotoxy(26,3);scanf("%d",&can);
Escaneo la cantidad y precio
gotoxy(36,3);scanf("%f",&pre);
vt=can*pre;
gotoxy(43,3);printf("%2.2f",vt);
sub=sub+vt;
Operaciones
iv=(sub*12)/100;
to=sub+iv;
gotoxy(10,20);printf("Presione 1 para continuar o 0 para salir: ");scanf("%d",&op);
}
while(op==1);
gotoxy(10,11);printf("Subtotal %2.2f",sub);
gotoxy(10,12);printf("Iva %2.2f",iv);
Imprimir resultados
gotoxy(10,13);printf("Total %2.2f",to);
getch();
}

Repetir n
veces

4. CORRIDO DEL PROGRAMA:

PROGRAMA 8

1. ENUNCIADO:
Diseñe un programa que me permita calcular el promedio general de las notas de distintas
materias correspondientes al 2º Semestre de Docencia en Informática, en donde cada una de
las notas ingresadas debe estar entre 1 y 10.
2. ANALISIS: Se utiliza tres DO WHILEs para realizar las validaciones en las
calificaciones, caso contrario me pedirá d nuevo que ingrese la calificacion.

3. DOCUMENTACION:
#include<conio.h>
Librerías
#include<stdio.h>
void main()
Inicio del programa
{
char no[15];
Declaración de variables
int op,c=0;
float n1,n2,d,n3,fla=8,pg=0,p;
clrscr();
Borrar pantalla
Gotoxy(25,2); printf("UNIVERSIDAD TECNICA DE AMBATO");
gotoxy(20,4);printf("FACULTAD DE CIENCIAS HUMANAS Y DE LA EDUCACION");
Diseño de
gotoxy(29,5);printf("Segundo Informática");
pantalla
gotoxy(10,7);printf("MODULO
NOTA1 NOTA2 NOTA3 PROMEDIO");
do
{
c=c+1;
gotoxy(10,fla);gets(no);
do
Do para hacer las validaciones
{
Ingresa modulo y
gotoxy(27,fla);printf(" ");
nota
gotoxy(27,fla);scanf("%f",&n1);
}while(n1>10 || n1<1);
do
{
gotoxy(36,fla);printf(" ");
gotoxy(36,fla);scanf("%f",&n2);
}while(n2>10 || n2<1);
Do para hacer las validaciones
do
Ingresa modulo y
{
nota
gotoxy(45,fla);printf(" ");
gotoxy(45,fla);scanf("%f",&n3);
}while(n3>10 || n3<1);
p=(n1+n2+n3)/3;
Operaciones
pg=pg+p;
gotoxy(54,fla);printf("%2.2f",p);
gotoxy(10,15);printf("%2.2f",pg);
Escaneamos el promedio junto con el promedio general
fla=fla+1;
gotoxy(4,24);printf("Presione 1 para continuar o 0 para salir: ");scanf("%d",&op);
}while(op==1);
d=pg/c;
Fin de programa
gotoxy(10,fla+6);printf("%d",d);
getch();

4. CORRIDO DEL PROGRAMA:

PROGRAMA 9

1. ENUNCIADO: Realice un programa en C++ que me permita obtener el líquido a
recibir de un empleado bajo los siguientes parámetros:
El empleado percibe un salario minimo vital el mismo que depende de su categoría, existen
3 posibles alterantivas, este datos deberá ser ingresada al inicio del programa
conjuntamente con el nombre del empleado:
 Categoria 1
180,00
 Categoría 2
250,00
 Categoría 3
380,00
A este salario minimo vital se le incluye algunos rubros que son:
1. Horas extras, las mimas que no pueden exceder 8, cada hora extra cuesta Usd. 1,80.
2. Bono familiar la misma que esta condicionada. Si el empleado tiene mas de dos
hujos se le paga Usd. 4,50 por cada hijo caso contrario se le reconoce Usd. 6,20 por
cada hijo.
3. Obtenga el valor del IESS que es el 11,5 % del nominal
4. Se le descuenta el 2% del nominal como aporte a la asociación
5. Obtenga los valores correspondientes de ingresos, egresos y total a recibir.
El programa se genera n veces.
2. ANALISIS:

3. DOCUMENTACION:
4. CORRIDO DEL PROGRAMA:
PROGRAMA 10

1. ENUNCIADO:
Diseñe un programa que me permita imprimir un borde de pantalla.
2. ANALISIS:
Utilizamos un ciclo FOR para que tenga un inicio y un fin tal símbolo utilizado para que
nos de la imagen de un borde.
3. DOCUMENTACION:
#include<conio.h>
Librerías
#include<stdio.h>
main ()
Inicio del programa
{
Declaración de variable tipo entera
int i;
clrscr();
Blanqueo de pantalla
for(i=2;i<=78;i++)
{
gotoxy(i,1);printf("-");
gotoxy(i,24); printf("-");
}
Inicio del ciclo repetitivo
for(i=2;i<=24;i++)
para genera el margen
{
gotoxy(2,i);printf("-");
gotoxy(78,i);printf("-");
}
Impresión de un mensaje en pantalla
gotoxy(25,5);printf("BORDE EN PANTALLA");
getch();
Pausar pantalla
}
Fin del programa
4. CORRIDO DEL PROGRAMA:
PROGRAMA 11

1. ENUNCIADO:
Diseñe un programa que me permita visualizar la serie de los números pares ingresando un
límite desde teclado con un margen el programa debe generase n veces.
2. ANALISIS: Utilizamos un DO WHILE para que el proceso se genere n veces, dos
ciclos FOR el primero para el borde y el segundo para ingresar un límite para
obtener los números pares.
3. DOCUMENTACION:
#include<conio.h>
Librerías
#include<stdio.h>
main ()
{
int i,limite,fila,op;
Declaración de variable tipo entera
do
DO para que se repita n veces
{
clrscr();
for(i=2;i<=75;i++) Blanqueo de pantalla
{
gotoxy(i,1);printf("-");
Primer ciclo para generar
gotoxy(i,24); printf("-");
el borde
}
for(i=1;i<=24;i++)
{
gotoxy(2,i);printf("-");
gotoxy(75,i);printf("-");
}
Titulo
gotoxy(25,5);printf("NUMEROS PARES");
gotoxy(6,8);printf("INGRESE EL LIMITE: "); scanf("%d",&limite);
Ingreso y escaneo de datos
fila=10;
for(i=2;i<=limite;i+=2)
Variable fila para que comience desde ahí
{
gotoxy(10,fila); printf("%d",i);
Segundo ciclo para obtener los
fila=fila+1;
números pares
}
gotoxy(4,18); printf("INGRESAR UN NUEVO NUMERO 1 SALIR 0: ");
scanf("%d",&op);
}
Para que se repita n veces
while(op==1);
getch();
Pausar pantalla
}
Fin del programa
4. CORRIDO DEL PROGR

PROGRAMA 12

1. ENUNCIADO:
Diseñe un programa que me permita visualizar la serie de los números pares y los impares
que existen hasta el número límite ingresado desde teclado.
2. ANALISIS:
Utilización de lazos for para el borde y para obtener los numeros pares e impares
además de un DO WHILE para que el proceso se genere n veces
3. DOCUMENTACION:
#include<conio.h>
Librerías
#include<stdio.h>
void main()
Inicio del programa
{
int limite, fila=9, i, op=1;
Declaración de variables
do
Do para repetir n veces
{
Blanqueo de pantalla
clrscr();
for(i=1;i<=80;i++)
{
Margen.
gotoxy(i,1);printf("*");
gotoxy(i,24);printf("*");
}
for(i=1;i<=23;i++)
{
gotoxy(1,i);printf("*");
gotoxy(80,i);printf("*");
}
gotoxy(25,3);printf("SERIE DE NUMEROS");
gotoxy(4,5);printf("ingrese el limite
");scanf("%d",&limite);
gotoxy(9,7);printf(" numeros pares
numeros impares");
for(i=2;i<=limite;i+=2)
{
gotoxy(18,fila);printf("%d",i);
fila=fila+1;
Se imprime los números
}
correspondientes a los
fila=9;
pares e impares
for(i=1;i<=limite;i+=2)
{
gotoxy(40,fila);printf("%d",i);
fila=fila+1;
}
gotoxy(6,22);printf("continuar 1 cerrar 0 ====>");scanf("%d",&op);
}
while(op==1);
getch();

Ingreso y escaneo de datos

Fin del programa

}
4. CORRIDO DEL PROGRAMA:

PROGRAMA 13

1. ENUNCIADO:
Diseñe un programa que me permita generar las tablas de multiplicar de cualquier factor
ingresado desde teclado y por cualquier limite ingresado desde teclado, el programa se
genera n veces, diseñe el borde en pantalla.
2. ANALISIS: Necesitamos un lazo for dos variables tipo enteras una será el factor o
número y la otra será el límite y después un ciclo DO WHILE para repetirla n veces.
3. DOCUMENTACION:

#include<conio.h>
#include<stdio.h>
Librerías
void main()
{
Inicio del programa
int i,f,l,d,op;
Declaración de variables tipo enteras
do
Do para repetir n veces
{
clrscr();
Blanqueo de pantalla
for(i=1;i<=80;i++)
{
gotoxy(i,1);printf("*");
gotoxy(i,24);printf("*");
}
for(i=1;i<=24;i++)
Borde
{
gotoxy(1,i);printf("*");
gotoxy(80,i);printf("*");
}
gotoxy(15,2);printf("Tabla de multiplicar");
Ingreso y escaneo de
gotoxy(10,3);printf("Factor: ");scanf("%d",&f);
gotoxy(10,4);printf("Limite: ");scanf("%d",&l);
datos
for(i=1;i<=l;i++)
Ciclo for para la tabla
{
d=f*i;
de multiplicar
gotoxy(10,4+i);printf("%d",f);
gotoxy(18,4+i);printf("%d",d);
gotoxy(12,4+i);printf("*");
Impresión de resultados
gotoxy(16,4+i);printf("=");
gotoxy(14,4+i);printf("%d",i);
}
gotoxy(15,20);printf("Desea salir 1/0: ");scanf("%d",&op);
Ingreso de la opción para
}while(op==1);
salir o regresar
getch();
}

4. CORRIDO DEL PROGRAMA:
PROGRAMA 14

1. ENUNCIADO:
Diseñe un programa que me permita visualizar la factorial de un número ingresado desde
teclado.
2. ANALISIS: Necesitamos un lazo for para generar el factorial y una variable
declara en 1 y multiplicarle por el contador y presentar el contador además de un
DO WHILE para repetirla n veces. .
3. DOCUMENTACION:

Librerías
#include<stdio.h>
#include<conio.h>
void main()
Inicio del programa
{
int i,n,f,op;
Declaración de variables
float fac;
fac=1;
do
Do para repetir n veces
{
fac=1;
clrscr();
Blanqueo de pantalla
for (i=1;i<=80;i++)
{
gotoxy(i,1);printf("*");
gotoxy(i,24);printf("*");
Borde
}
for(i=1;i<=24;i++)
{
gotoxy(1,i);printf("*");
gotoxy(80,i);printf("*");
}
gotoxy(28,3);printf("FACTORIAL DE NUMEROS");
gotoxy(4,4);printf("Ingrese el limite: ");scanf("%d",&n);
for(i=1;i<=n;i++)
{
fac=fac*i;
gotoxy(35,6+i);printf("%6.0f",fac);
gotoxy(15,6+i);printf("Factorial de: %d",i);
gotoxy(33,6+i);printf("=");
}
gotoxy(15,20);printf("Desea salir 1/0: ");scanf("%d",&op);
}while(op==1);
getch();
}

Ciclo for para obtener el
factorial

Fin del programa
4. CORRIDO DEL PROGRAMA:

PROGRAMA 15

1. ENUNCIADO:
Diseñe un programa que me permita generar una serie de números, en donde el numerador
es cualquier factor ingresado desde teclado, y el numerador es la serie de los números
impares.
2. ANALISIS: utilizamos un DO WHILE para generar n veces el proceso y dos ciclos
FOR para mostrar el borde en pantalla y para obtener los numeros pares e impares
en forma horizontal.
3. DOCUMENTACION:
#include<stdio.h>
Librerías
#include<conio.h>
void main()
Inicio del programa
{
int i,f,r,d,op,factor,limite;
Declaración de variables
do
Do para generar n veces
{
clrscr();
Blanqueo de pantalla
for(i=1;i<=80;i++)
{
gotoxy(i,24);printf("-");
gotoxy(i,1);printf("-");
}
for(i=1;i<=24;i++)
{
gotoxy(1,i);printf("-");

Margen
gotoxy(80,i);printf("-");
}
Título e ingreso y escaneo de
gotoxy(35,2);printf("// SERIE DE NUMEROS ");
gotoxy(15,9);printf("Ingrese el Limite: ");scanf("%d",&limite);
datos
f=0;
d=0;
r=1;
Ciclo para generar el factor y los
for(i=1;i<=limite;i++)
numeros impares
{
d=d+4;
r=r+2;
factor=i*limite;
gotoxy(14+d,12);printf("%d",factor);
Impresión de resultados
gotoxy(14+d,13);printf("-");
de forma horizontal
gotoxy(14+d,14);printf("%d",r);
}
gotoxy(3,23);printf("NUEVO PROCESO 1 SALIR 0: ");scanf("%d",&op);
Fin del programa
}
while(op==1);
getch();
}

4. CORRIDO DEL PROGRAMA:
PROGRAMA 16

1. ENUNCIADO:
Diseñe un programa en C++ que me permita generar n numeros primos, el proceso se repite
n veces y se visualiza el borde de pantalla.
2. ANALISIS: utilizamos un DO WHILE para generar n veces el proceso y ciclos
FOR para mostrar el borde en pantalla y para obtener la serie de numeros primos
en forma horizontal
3. DOCUMENTACION:

#include<conio.h>
Librerías
#include<stdio.h>
main()
Inicio del programa
{
int i=0,j=0,lt,c,res=0,op=1,nc=0; Declaración de variables
do
Do para repetir n veces
{
clrscr();
Blanqueo de pantalla
for(i=1;i<=24;i++)
{
gotoxy(1,i);printf("*");
Margen.
gotoxy(79,i);printf("*");
}
for(i=1;i<=80;i++)
{
gotoxy(i,1);printf("*");
gotoxy(i,24);printf("*");
}
gotoxy(29,2);printf("NUMEROS PRIMOS");
gotoxy(6,4);printf("INGRESE EL LIMITE : ");scanf("%d",&lt);
gotoxy(6,6);printf("1");
c=2;
for(i=2;i<=lt;i++)
{
for(j=1;j<=c;j++)
{
if(i%j==0)
Se imprime los números
{
primos correspondientes
nc=nc+1;
al rango
}
}
if(nc==2)
{
printf("%6d",i);
}
nc=0;

Ingreso y escaneo de
datos.
c=c+1;
}
gotoxy(2,23),printf("REPETIR 1 Y 0 PARA SALIR : ");scanf("%d",&op);
}
while(op==1);
getch();
}

Fin de programa

4. CORRIDO DEL PROGRAMA:

PROGRAMA 17

1. ENUNCIADO:
Realice un programa que me permita generar la siguiente serie de datos: como numerador
la serie de los impares y como denominador el factorial.
2. ANALISIS: utilizamos un DO WHILE para generar n veces el proceso y ciclos
FOR para mostrar el borde en pantalla y para obtener la serie de numeros impares
como numerador y factorial como denominador en forma horizontal.

3. DOCUMENTACION:

Librerías
#include<stdio.h>
#include<conio.h>
void main()
Inicio del programa
{
int j,b,d,c,op,limite,f,a;
Declaración de variables
do
{
clrscr();
for(j=1;j<=80;j++)´

Do para repetir n veces
Blanqueo de pantalla
{
gotoxy(j,24);printf("-");
gotoxy(j,1);printf("-");
}
margen
for(j=1;j<=24;j++)
{
gotoxy(1,j);printf("-");
gotoxy(80,j);printf("-");
}
gotoxy(35,2);printf("SERIE DE DATOS");
Título, ingreso y escaneo
gotoxy(15,5);printf("Ingrese el Limite: ");scanf("%d",&limite);
de datos
a=1;
b=1;
d=0;
f=0;
c=1;
for(j=1;j<=limite;j++)
{
f=f+5;
Ciclo for para obtener numeros impares
a=a*j;
y factorial de forma horizontal
gotoxy(15+f,9);printf("%d ",a);
gotoxy(15+f,8); printf("-");
gotoxy(15+f,7);printf("%d",c);
c=c+2;
}
Fin del programa
gotoxy(3,22);printf("NUEVO PROCESO 1 SALIR 0: ");scanf("%d",&op);
}while(op==1);
getch();
}

4. CORRIDO DEL PROGRAMA:
PROGRAMA 18

1. ENUNCIADO:
Genere n elementos de la siguiente serie: cualquier factor ingresado desde teclado como
numerador, el denominador numeros pares.
2. ANALISIS: utilizamos un DO WHILE para generar n veces el proceso y ciclos
FOR para mostrar el borde en pantalla y para obtener la serie de cualquier factor
como numerador y numeros pares como denominador en forma horizontal.
3. DOCUMENTACION:
#include<conio.h>
#include<stdio.h>

librerías

main ()
Inicio del programa
{
int i,n,m,p,j,l,d,opc;
Declaración de variables
do
Do para generar n veces
{
clrscr();
for(i=2;i<=80;i++)
{
gotoxy(i,1);printf("*");
gotoxy(i,24);printf("*");
}
Margen
for(i=1;i<=24;i++)
{
gotoxy (2,i); printf("*");
gotoxy(80, i); printf("*");
}
gotoxy(10,4);printf(" Programa que permite generar una serie de números");
gotoxy(4,9);printf("Ingrese el límite: ");
scanf("%d",&n);
l=6;
for(j=1;j<=n;j++)
{
P=j*n;
gotoxy(l,13); printf("%d",p);
gotoxy(l,14); printf("--");
l=l+3;
}
m=0;
l=6;
for(d=1;d<=n;d++)
{

Ciclo para generar la serie
de cualquier factor y los
numeros pares

Título, ingreso y
escaneo de
datos
m=m+2;
gotoxy(l,15); printf("%d",m);
l=l+3;
}
gotoxy(6,18);printf("Si desea realizar otra serie digite 1 o 0 para salir: ");scanf("%d",&opc);
}
while(opc==1);
getch();
}

4. CORRIDO DEL PROGRAMA:

PROGRAMA 19

1. ENUNCIADO:
Genere una serie de datos que lleve por numerador el factorial y por denominador la serie
del Fibonacci
2. ANALISIS: utilizamos un DO WHILE para generar n veces el proceso y ciclos
FOR para mostrar el borde en pantalla y para obtener la serie de la factorial como
numerador y numeros Fibonacci como denominador en forma horizontal.
3. DOCUMENTACION:
#include<conio.h>
#include<stdio.h>
void main()
{
int lt,j,op,i,a,co,b,c;
do
{
float fact=1;

Librerías
Inicio del programa
Declaración de variables
Blanqueo de pantalla

Fin del
programa
clrscr();
for(i=1;i<=24;i++)
{
gotoxy(1,i);printf("*");
gotoxy(79,i);printf("*");
Margen
}
for(i=1;i<=79;i++)
{
gotoxy(i,1);printf("*");
gotoxy(i,25);printf("*");
}
Ingreso y escaneo de datos
gotoxy(25,2);printf("TABLA DEL FACTORIAL Y FIBONACI ");
gotoxy(2,3);printf("INGRESE EL LIMITE : ");scanf("%d",&lt);
a=1;
b=0;
Operaciones
co=10;
for(j=1;j<=lt;j++)
{
fact=fact*j;
c=a+b;
a=b;
Ciclo para generar factorial
b=c;
y numeros Fibonacci
gotoxy(co-3,6);printf("%4.0f",fact);
gotoxy(co-1,7);printf("---");
gotoxy(co,8);printf("%d",c);
co=co+7;
}
gotoxy(2,24);printf("1 continuar 0 salir");scanf("%d",&op);
Fin del programa
}while(op==1);
getch();
}

4. CORRIDO DEL PROGRAMA:
PROGRAMA 20

1. ENUNCIADO:
Diseñe un programa que me permita generar la siguiente serie de datos: como numerador
los numeros impares y como denominador la serie fibonasi.
2. ANALISIS: utilizamos un DO WHILE para generar n veces el proceso y ciclos
FOR para mostrar el borde en pantalla y para obtener la serie de numeros impares
como numerador y numeros impares como denominador en forma horizontal.
3. DOCUMENTACION:

#include<stdio.h>
Librerías
#include<conio.h>
void main() Inicio del programa
{
int i,a,b,c,l,p,cv,op; Declaración de variables
do
Do para generar n veces
{
Blanqueo de pantalla
clrscr();
for (i=1;i<=80;i++)
{
gotoxy(i,1);printf("*");
gotoxy(i,24);printf("*");
Borde
}
for(i=1;i<=24;i++)
{
gotoxy(1,i);printf("*");
gotoxy(80,i);printf("*");
gotoxy(35,2);printf("Serie de datos");
Título, ingreso y escaneo de
gotoxy(15,4);printf("Limite: ");scanf("%d",&l);
datos
a=1;
b=0;
p=1;
cv=0.5;
for(i=1;i<=l;i++)
{
c=a+b;
Ciclo for para las series
a=b;
b=c;
cv=cv+3;
gotoxy(15+cv,9);printf("%d",c);
Impresión de resultados
gotoxy(15+cv,8);printf("--");
gotoxy(15+cv,7);printf("%d",p);
p=p+2;
}
gotoxy(15,22);printf("Desea salir 1/0: ");scanf("%d",&op);
}while(op==1);
getch();
}

Fin del programa

4. CORRIDO DEL PROGRAMA:

PROGRAMA 21

1. ENUNCIADO:
Diseñe un programa que me presente un menú de opciones con las operaciones básicas,
estas son suma, resta, multiplicación, división y una opción para salir del programa.
2. ANALISIS: se realiza un menú de opciones que nos permita elegir varias
operaciones y para esto necesitamos un switch para realizar las operaciones y un
case para cada caso, break para terminarlos casos y dos do whiles para volver al
menú y para salir del programa.
3. DOCUMENTACION:
#include<math.h>
#include<conio.h>
Librerías
#include<stdio.h>
#include<stdlib.h>
void borde() Comienza la función borde
{
int i; Declaración de variables
for (i=1;i<=80;i++)
{
gotoxy(i,1);printf("-");
gotoxy(i,24);printf("-");
Margen.
}
for(i=1;i<=24;i++)
{
gotoxy(1,i);printf("-");
gotoxy(80,i);printf("-");
}
}
void main()
{
int c,d,op,S,R,M;
Declaración de variables
float a,b,DV,RD,PT;
do
Comienzo del do
{
clrscr();
Borrar pantalla
borde();
Se llama al borde
gotoxy(35,3);printf("OPERACIONES BASICAS");
gotoxy(25,5);printf("1. SUMA");
gotoxy(25,6);printf("2. RESTA");
Menú
gotoxy(25,7);printf("3. DIVISION");
gotoxy(25,8);printf("4. MULTIPLICACION");
gotoxy(25,11);printf("5.SALIR");
gotoxy(23,13);printf("ELIGA UNA OPCION >");scanf("%d",&op);
switch(op)
Comienza switch y lee la opción elegida
{
case 1:
Caso 1
clrscr();
Se ingresan los numeros a
Se llama al borde
borde();
sumar.
gotoxy(30,3);printf("SUMA");
gotoxy(4,4);printf("INGRESE PRIMER NUMERO >");scanf("%d",&c);
gotoxy(4,5);printf("INGRESE SEGUNDO NUMERO >");scanf("%d",&d);
S=c+d;
OPERACION.
gotoxy(10,8);printf("%d",c);
gotoxy(9,9);printf("+");
Se imprime los numeros a sumar y la
gotoxy(10,10);printf("%d",d);
suma.
gotoxy(9,11);printf("----");
gotoxy(10,12);printf("%d",S);
break;
Termina el primer caso
case 2:
Caso 2
clrscr();
Se llama al borde
borde();
gotoxy(30,3);printf("RESTA");
gotoxy(4,4);printf("INGRESE PRIMER NUMERO >");scanf("%d",&c);
do{
Se ingresan los numeros a
gotoxy(28,5);printf(" ");
restar.
gotoxy(4,5);printf("INGRESE SEGUNDO NUMERO >");scanf("%d",&d);
}while(d>c);
R=c-d;
Resta.
gotoxy(10,8);printf("%d",c);
gotoxy(10,10);printf("%d",d);
gotoxy(9,9);printf("-");
Se imprime los numeros a restar y la resta
gotoxy(9,11);printf("----");
gotoxy(10,12);printf("%d",R);
break;
Caso 3
case 3:
clrscr();
Se llama al borde
borde();
gotoxy(30,3);printf("DIVISION");
Se ingresan los numeros a
gotoxy(4,4);printf("INGRESE EL PRIMER NUMERO >");scanf("%f",&a);
dividir.
gotoxy(4,5);printf("INGRESE EL SEGUNDO NUMERO >");scanf("%f",&b);
DV=a/b;
gotoxy(10,8);printf("%2.0f",a);
Se imprime los numeros a dividir y la
gotoxy(16,8);printf("%2.0f",b);
división
gotoxy(14,8);printf("/");
gotoxy(20,8);printf("=");
gotoxy(24,8);printf("%2.2f",DV);
Termina el tercer caso
break;
Caso 4
case 4:
clrscr();
Se llama al borde
borde();
gotoxy(30,3);printf("MULTIPLICACION");
Se ingresan los numeros a
gotoxy(4,4);printf("INGRESE EL PRIMER NUMERO >");scanf("%d",&c);
gotoxy(4,5);printf("INGRESE EL SEGUNDO NUMERO >");scanf("%d",&d);
multiplicar.
M=c*d;
gotoxy(10,8);printf("%d",c);
gotoxy(9,9);printf("*");
gotoxy(10,10);printf("%d",d);
Se imprime los numeros multiplicar.
gotoxy(9,11);printf("----");
gotoxy(10,12);printf("%d",M);
break;
Termina el cuarto caso
case 5:
Caso 5
exit(0);
Finalizar
break;
}
gotoxy(2,22);printf("1 continuar 0 salir");scanf("%d",&op);
}while(op==1);
Fin del programa
getch();
}

4. CORRIDO DEL PROGRAMA:
PROGRAMA 22

1. ENUNCIADO:
Diseñe un programa con un menú de opciones que me permita calcular las áreas y
perímetros de las 4 figuras básicas: circulo, cuadrado, triangulo, rectángulo.
2. ANALISIS: se realiza un menú de opciones que nos permita elegir varias
operaciones y para esto necesitamos un switch para realizar las operaciones y un
case para cada caso, break para terminarlos casos y dos do whiles para volver al
menú y para salir del programa.
3. DOCUMENTACION:
#include<stdio.h>
#include<conio.h>
#include<stdlib.h>
void borde()
{
int i,ope;
clrscr();
for(i=2;i<=80;i++)
{
gotoxy(i,2);printf("*");
gotoxy(i,24);printf("*");
}

LIBRERIAS
Función borde
Declaracion de variables

Ciclo for para el borde
for(i=2;i<=24;i++)
{
gotoxy(2,i);printf("*");
gotoxy(80,i);printf("*");
}
}
void main()
Inicio de programa
{
int la,ope,pcu,acu,r,opec;
Declaración de variables
float cp,ca;
do
inicio primer ciclo do while
{
clrscr();
borrar la pantalla
borde();
Se llama al borde
gotoxy(33,4);printf("<< AREA Y PERIMETRO >>");
gotoxy(20,6);printf("1.CUADRADO");
gotoxy(20,8);printf("2.CIRCULO");
impresión del menú
gotoxy(20,10);printf("3.TRIANGULO");
gotoxy(20,12);printf("4.RECTANGULO");
gotoxy(20,14);printf("5.SALIR");
gotoxy(15,18);printf("<< INGRESE UNA OPCION: ");
scanf("%d",&ope);
escaneo de la opción
switch(ope)
comienzo del switch
{
case 1:
incio de la primera opcion
do
inicio del ciclo do while
{
clrscr();
borrar la pantalla
borde();
Se llama al borde
gotoxy(20,6);printf("<< AREA Y PERIMETRO DEL CUADRADO >>");
Impresión del titulo
opcion del menu
gotoxy(10,8);printf("INGRESE EL LADO: ");
scanf("%d",&la);
pcu=la+la+la+la;
acu=la*la;
gotoxy(10,12);printf("EL PERIMETRO ES :");
gotoxy(29,12);printf("%d + %d + %d + %d = %d",la,la,la,la,pcu);
Operaciones de área y perímetro
gotoxy(10,14);printf("EL AREA ES :");
gotoxy(29,14);printf("%d * %d = %d ",la,la,acu);
gotoxy(5,20);printf("PULSE 1 PARA REALIZAR OTRA OPERACION O 0 PARA SALIR : ");
scanf("%d",&opec);
Fin del ciclo do
}
while
while(opec==1);
break;
Fin del primer case
case 2:
Inicio case 2
do
{
Inicio 2º do while
float ar,pe,ra;
Declaración de variables
const float pi=3.141632;
clrscr();
Borrar la pantalla
borde();
Se Y PERIMETRO
gotoxy(20,6);printf("<< AREA llama al bordeDEL CIRCULO >>");
Área y perímetro del
gotoxy(10,8);printf("INGRESE EL RADIO :");
círculo
Ingreso del radio
scanf("%f", &ra);
ar=2*(pi*ra);
Operaciones de área y perímetro
pe=pi*(ra*ra);
gotoxy(10,12);printf("EL PERIMETRO ES: %7.3f",pe);
Impresión de área y perímetro
gotoxy(10,14);printf("EL AREA ES: %7.3f",ar);
gotoxy(5,20);printf("PULSE 1 PARA REALIZAR OTRA OPERACION O 0 PARA SALIR : ");
scanf("%d",&opec);
Fin 2º ciclo do while
}
while(opec==1);
Fin case 2
break;
case 3:
Inicio case3
do
Inicio 3º ciclo do while
{
Declaración variable
int l1,ba,l3,l2,ato,pet,ha;
clrscr();
Borrar pantalla
borde();
Se llama al borde
gotoxy(20,4);printf("<< AREA Y PERIMETRO DEL TRIANGULO >>");
gotoxy(13,6);printf("PERIMETRO");
Impresión de los
gotoxy(7,8);printf("<< INGRESE EL 1er LADO: ");
lados del triangulo
scanf("%d",&l1);
gotoxy(7,10);printf("<<INGRESE EL 2do LADO: ");
scanf("%d",&l2);
gotoxy(7,12);printf("<<INGRESE EL 3er LADO: ");
scanf("%d",&l3);
Operación del perímetro
pet=l1+l2+l3;
gotoxy(9,14);printf(" ES IGUAL :%d ",pet);
gotoxy(50,6);printf("AREA");
Impresión del perímetro
gotoxy(40,8);printf("<< INGRESE LA BASE: ");
scanf("%d",&ba);
gotoxy(40,10);printf("<< INGRESE LA ALTURA: ");
Impresión de la base y la altura
scanf("%d",&ha);
ato=(ba*ha)/2;
Operación del área
gotoxy(43,14);printf(" ES IGUAL :%d ", ato);
gotoxy(5,20);printf("PULSE 1 PARA REALIZAR OTRA OPERACION O 0 PARA SALIR : ");
scanf("%d",&opec);
}
while(opec==1);
Fin del 3º ciclo do while
break;
case 4:
Inicio de 4º case
do
{int per,bar,are,har;
clrscr();
Se llama al borde
borde();
gotoxy(20,4);printf("<< AREA Y PERIMETRO DEL RECTANGULO >>");
gotoxy(10,8);printf("<< INGRESE LA BASE :");
Impresión de la base y
scanf("%d",&bar);
altura del rectángulo
gotoxy(10,10);printf("<< INGRESE LA ALTURA: ");
scanf("%d",&har);
Operación del perímetro
per=(2*bar)+(2*har);
gotoxy(10,14);printf("EL PERIMETRO ES :%d",per );
Impresión del perímetro
are=bar*har;
Operación del área
gotoxy(10,16);printf("EL AREA ES :%d ",are);
gotoxy(5,20);printf("PULSE 1 PARA REALIZAR OTRA OPERACION O 0 PARA SALIR : ");
scanf("%d",&opec);
}
while(opec==1);
break;
Fin del 4º case
case 5:
Inicio 5º case
exit(5);
Función salir
break;
Fin del 5º case
}
gotoxy(5,20);printf("PULSE 1 PARA REALIZAR OTRA OPERACION O 0 PARA SALIR :
");scanf("%d",opec);
Fin del ciclo do while inicial
}
while(opec==0);
getch();
Fin del programa
}

4. CORRIDO DEL PROGRAMA:
PROGRAMA 23

1. ENUNCIADO:
Diseñe un programa a través de un menú de opciones que me permita calcular las 6
operaciones básicas con sus respectivas validaciones. Estas son suma, resta, multiplicación,
división, potenciación y radicación.
2. ANALISIS: se realiza un menú de opciones que nos permita elegir varias
operaciones y para esto necesitamos un switch para realizar las operaciones y un
case para cada caso, break para terminarlos casos y dos do whiles para volver al
menú y para salir del programa.
3. DOCUMENTACION:
#include<math.h>
#include<conio.h>
#include<stdio.h>

Librerías
#include<stdlib.h>
void borde()

función para el borde

{
Declaración de variables

int i;
for (i=1;i<=80;i++)
{
gotoxy(i,1);printf(">");
gotoxy(i,24);printf(">");

margen.

}
for(i=1;i<=24;i++)
{
gotoxy(1,i);printf(">");
gotoxy(80,i);printf(">");
}
}
void main()

inicio del programa

{
int c,d,op,S,R,M;

Declaración de variables

float a,b,DV,RD,PT;
do

Comienzo del do

{
clrscr();

Borrar pantalla

borde();

Se llama al borde

gotoxy(35,3);printf("OPERACIONES BASICAS");
gotoxy(25,5);printf("1. SUMA");
gotoxy(25,6);printf("2. RESTA");

Diseño del menu
gotoxy(25,7);printf("3. DIVISION");
gotoxy(25,8);printf("4. MULTIPLICACION");
gotoxy(25,9);printf("5. RADICACION");
gotoxy(25,10);printf("6. POTENCIACION");
gotoxy(25,11);printf("7.SALIR");
gotoxy(23,13);printf("ELIGA UNA OPCION >");scanf("%d",&op);
Comienza en switch y lee la opción elegida

switch(op)
{
case 1:
clrscr();

Caso 1
Se llama al borde

borde();

gotoxy(30,3);printf("SUMA");
gotoxy(4,4);printf("INGRESE PRIMER NUMERO >");scanf("%d",&c);
gotoxy(4,5);printf("INGRESE SEGUNDO NUMERO >");scanf("%d",&d);

Se ingresan los numeros a
sumar.

S=c+d;
gotoxy(10,8);printf("%d",c);
gotoxy(9,9);printf("+");
gotoxy(10,10);printf("%d",d);
gotoxy(9,11);printf("----");

Se imprime los numeros a sumar y la
suma.

gotoxy(10,12);printf("%d",S);
Termina el primer caso

break;
case 2:
clrscr();
borde();

Caso 2
Se llama al borde

gotoxy(30,3);printf("RESTA");
gotoxy(4,4);printf("INGRESE PRIMER NUMERO >");scanf("%d",&c);

Se ingresan los numeros a
restar.
do{
gotoxy(28,5);printf(" ");
gotoxy(4,5);printf("INGRESE SEGUNDO NUMERO >");scanf("%d",&d);
}while(d>c);
R=c-d;
gotoxy(10,8);printf("%d",c);
gotoxy(10,10);printf("%d",d);
gotoxy(9,9);printf("-");
gotoxy(9,11);printf("----");
gotoxy(10,12);printf("%d",R);
break;
case 3:
clrscr();

Caso 3

Se llama al borde

borde();

gotoxy(30,3);printf("DIVISION");
gotoxy(4,4);printf("INGRESE EL PRIMER NUMERO >");scanf("%f",&a);
gotoxy(4,5);printf("INGRESE EL SEGUNDO NUMERO >");scanf("%f",&b);
DV=a/b;
gotoxy(10,8);printf("%2.0f",a);
gotoxy(16,8);printf("%2.0f",b);

Se imprime los numeros a dividir y la
division

gotoxy(14,8);printf("/");
gotoxy(20,8);printf("=");
gotoxy(24,8);printf("%2.2f",DV);
Termina el segundo caso

break;
case 4:
clrscr();

Caso 4
Se llama al borde

Se ingresan los numeros a
dividir.
borde();
gotoxy(30,3);printf("MULTIPLICACION");
gotoxy(4,4);printf("INGRESE EL PRIMER NUMERO >");scanf("%d",&c);

Se ingresan los numeros a
multiplicar.

gotoxy(4,5);printf("INGRESE EL SEGUNDO NUMERO >");scanf("%d",&d);
División.

M=c*d;
gotoxy(10,8);printf("%d",c);

Se imprime los numeros a dividir y la
división.

gotoxy(9,9);printf("*");
gotoxy(10,10);printf("%d",d);
gotoxy(9,11);printf("----");
gotoxy(10,12);printf("%d",M);

Termina el cuarto caso

break;
case 5:
clrscr();

Caso 5
Se llama al borde

borde();

gotoxy(30,3);printf("RADICACION");
gotoxy(4,4);printf("INGRESE EL NUMERO >");scanf("%d",&c);

Se ingresan el numeros a
radicar.

RD=sqrt(c);
gotoxy(10,8);printf("raiz cuadrada de %d",c);
Se imprime la radicación del número
ingresado

gotoxy(30,8);printf("=");
gotoxy(33,8);printf("%2.2f",RD);

Termina el quinto caso

break;
case 6:
clrscr();
borde();

Caso 6
Se llama al borde

gotoxy(30,3);printf("POTENCIACION");
gotoxy(4,4);printf("INGRESE EL NUMERO >");scanf("%d",&c);

Se ingresan la base y la
potencia.

Potencia.
gotoxy(4,5);printf("INGRESE LA POTENCIA >");scanf("%d",&d);
PT=pow(c,d);
gotoxy(10,8);printf("%d",c);
Se imprime la base y la potencia y a su vez
el resultado

gotoxy(12,8);printf("^");
gotoxy(14,8);printf("%d",d);
gotoxy(15,8);printf("=");
gotoxy(17,8);printf("%4.0f",PT);

Termina el sexto caso

break;
case 7:
exit(0);

Caso 7
Finalizar

break;
}
gotoxy(2,22);printf("1 continuar 0 salir");scanf("%d",&op);
}while(op==1);
getch();}

4. CORRIDO DEL PROGRAMA:

Fin del programa
PROGRAMA 24

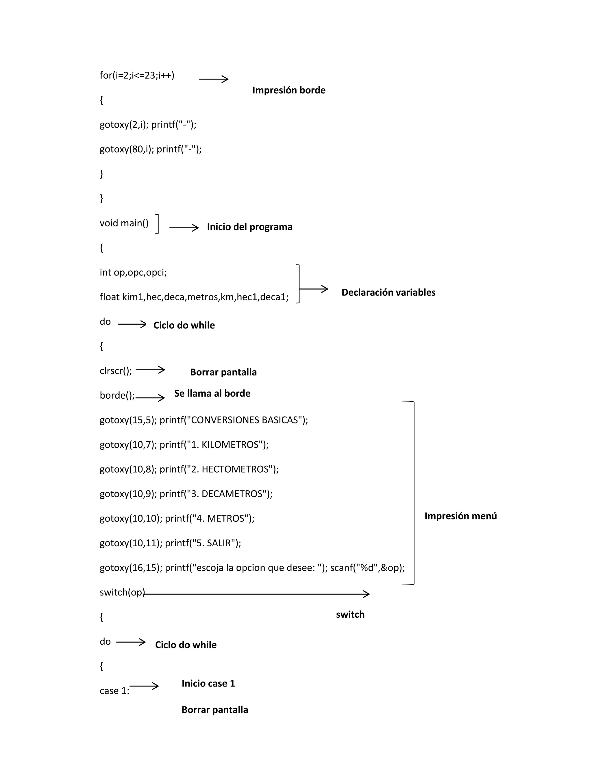
1. ENUNCIADO:
Diseñe un programa que me permita realizar las conversiones básicas: metros, kilómetros,
decámetros, hectómetros.
2. ANALISIS: se realiza un menú de opciones que nos permita elegir varias
operaciones y para esto necesitamos un switch para realizar las operaciones y un
case para cada caso, break para terminarlos casos y dos do whiles para volver al
menú y para salir del programa.
3. DOCUMENTACION:
#include<stdio.h>
#include<conio.h>
#include<stdlib.h>

Librerias

#include<math.h>
void borde()

Función borde

{
int i;
for(i=2;i<=80;i++)
{
gotoxy(i,2); printf("-");
gotoxy(i,23); printf("-");
}

Ciclo for borde
for(i=2;i<=23;i++)
Impresión borde

{
gotoxy(2,i); printf("-");
gotoxy(80,i); printf("-");
}
}
void main()

Inicio del programa

{
int op,opc,opci;
float kim1,hec,deca,metros,km,hec1,deca1;
do

Declaración variables

Ciclo do while

{
clrscr();
borde();

Borrar pantalla

Se llama al borde

gotoxy(15,5); printf("CONVERSIONES BASICAS");
gotoxy(10,7); printf("1. KILOMETROS");
gotoxy(10,8); printf("2. HECTOMETROS");
gotoxy(10,9); printf("3. DECAMETROS");
Impresión menú

gotoxy(10,10); printf("4. METROS");
gotoxy(10,11); printf("5. SALIR");
gotoxy(16,15); printf("escoja la opcion que desee: "); scanf("%d",&op);
switch(op)
switch

{
do

Ciclo do while

{
case 1:

Inicio case 1
Borrar pantalla
clrscr();
Se llama al borde

borde();

gotoxy(15,5); printf("CONVERSION A KILOMETROS");
gotoxy(10,8); printf("INGRESE LOS KILOMETROS: "); scanf("%f",&km);

Ingreso kilometros

metros=km*1000;
conversiones

deca=km*100;
hec=km*10;

gotoxy(11,12); printf("EL RESULTADO EN HECTOMETROS ES: %2.0f",hec);
gotoxy(11,13); printf("EL RESULTADO EN DECAMETROS ES: %2.0f",deca);
gotoxy(11,14); printf("EL RESULTADO EN METROS ES: %2.0f",metros);

Impresión conversiones

gotoxy(3,18); printf("realizar otra vez 1 salir 0: "); scanf("%d",&opci);
}
Fin ciclo do while

while (opci==1);
break;
do

Fin case 1
Ciclo do while

{
case 2:

Inicio case 2

clrscr();

Borrar pantalla

borde();

Se llama al borde

gotoxy(15,5); printf("CONVERSION A HECTOMETROS");
gotoxy(10,8); printf("INGRESE LOS HECTOMETROS: "); scanf("%f",&hec);

Ingreso hectometros

metros=hec*100;
deca=hec*10;

Operación conversiones

kim1=hec/10;
gotoxy(11,12); printf("EL RESULTADO EN KILOMETROS ES: %2.0f",kim1);
gotoxy(11,13); printf("EL RESULTADO EN DECAMETROS ES: %2.0f",deca);
Impresión conversiones
gotoxy(11,14); printf("EL RESULTADO EN METROS ES: %2.0f",metros);
gotoxy(3,18); printf("realizar otra vez 1 salir 0: "); scanf("%d",&opci);
}
Fin ciclo do while

while(opci==1);
break;
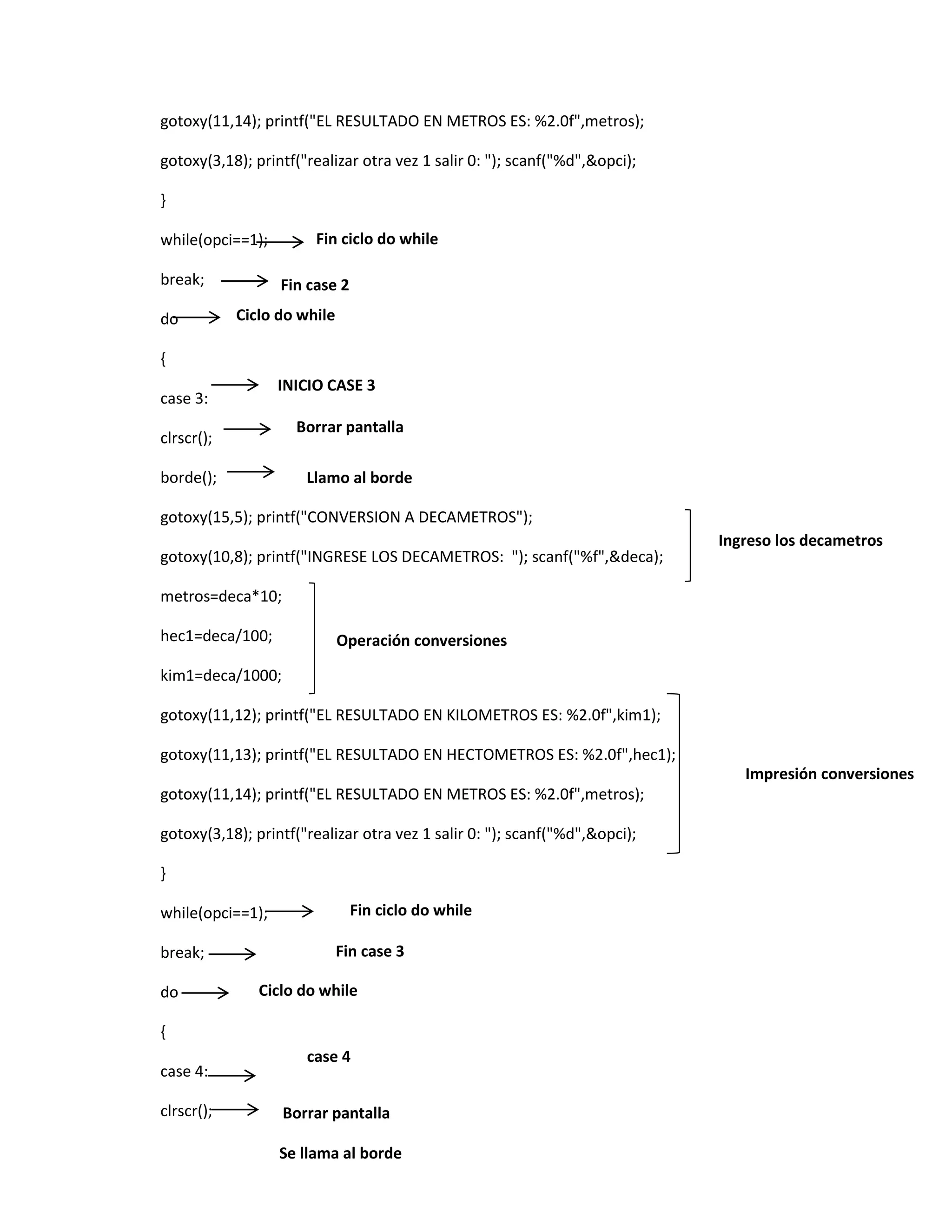
do

Fin case 2
Ciclo do while

{
INICIO CASE 3

case 3:

Borrar pantalla

clrscr();
borde();

Llamo al borde

gotoxy(15,5); printf("CONVERSION A DECAMETROS");
gotoxy(10,8); printf("INGRESE LOS DECAMETROS: "); scanf("%f",&deca);

Ingreso los decametros

metros=deca*10;
hec1=deca/100;

Operación conversiones

kim1=deca/1000;
gotoxy(11,12); printf("EL RESULTADO EN KILOMETROS ES: %2.0f",kim1);
gotoxy(11,13); printf("EL RESULTADO EN HECTOMETROS ES: %2.0f",hec1);
Impresión conversiones
gotoxy(11,14); printf("EL RESULTADO EN METROS ES: %2.0f",metros);
gotoxy(3,18); printf("realizar otra vez 1 salir 0: "); scanf("%d",&opci);
}
while(opci==1);
break;
do

Fin ciclo do while
Fin case 3

Ciclo do while

{
case 4:
clrscr();

case 4
Borrar pantalla

Se llama al borde
borde();
gotoxy(15,5); printf("CONVERSION A METROS");
Ingreso metros
gotoxy(10,8); printf("INGRESE LOS METROS: "); scanf("%f",&metros);
deca1=metros/1000;
Operación conversiones

hec1=metros/100;
kim1=metros/10;

gotoxy(11,12); printf("EL RESULTADO EN KILOMETROS ES: %2.0f",kim1);
gotoxy(11,13); printf("EL RESULTADO EN HECTOMETROS ES: %2.0f",hec1);

Impresión conversiones

gotoxy(11,14); printf("EL RESULTADO EN DECAMETROS ES: %2.0f",deca1);
gotoxy(3,18); printf("realizar otra vez 1 salir 0: "); scanf("%d",&opci);
}
while(opci==1);
break;

Fin ciclo do while

Fin case 4

case 5:
exit(0);
break;

Inicio case 5
Función salir
Fin case 5

}
gotoxy(4,20); printf("VOLVER AL MENU 1 SINO 0: "); scanf("%d",&opc);
Fin ciclo do while

}
while(opc==1);
getch();

Fin del programa

}

4. CORRIDO DEL PROGRAMA:
PROGRAMA 25

1. ENUNCIADO:
Diseñe un programa que me permita
generar el siguiente menú de opciones
de la siguiente serie de datos:
1. Numeros Pares
2. Numeros Impares
3. Fibonasi
4. Factorial
5. Salir
2. ANALISIS: se realiza un menú
de opciones que nos permita elegir
varias operaciones y para esto necesitamos un switch para realizar las operaciones y
un case para cada caso, break para terminarlos casos y dos do whiles para volver al
menú y para salir del programa
3. DOCUMENTACION:
#include<stdio.h>
Librerías
#include<conio.h>
#include<stdlib.h>
void borde()

Función borde

{
int j;

Declaración de variables

for(j=1;j<=80;j++)
{
gotoxy(j,24);printf("*");
gotoxy(j,1);printf("*");
}
for(j=1;j<=24;j++)
borde

{
gotoxy(1,j);printf("*");
gotoxy(80,j);printf("*");
}
}
void main()
{

Inicio del programa
principal

int lim,oper,i,h=7,x,y,z,a=1,par=2,op,li,imp=1,l,limi;
float r;
do

Ciclo do while

{
a=1;

Igualación de variables

h=7;
clrscr();
borde();

Borrar la pantalla
Se llama al borde

Declaración de variables
gotoxy(25,3);printf(">>>SERIES DE DATOS<<<");
gotoxy(10,5);printf("1.-NUMEROS PARES");
gotoxy(10,7);printf("2.-NUMEROS IMPARES");
menú

gotoxy(10,9);printf("3.-SERIE FIBONACCI");
gotoxy(10,11);printf("4.-FACTORIAL");
gotoxy(10,13);printf("5.-SALIR");
gotoxy(10,15);printf("INGRESE LA OPCION QUE DESEA GENERAR: ");scanf("%d",&op);
switch(op)

Inicio swich

{
case 1:
clrscr();
borde();

Inicio case 1
Borrar pantalla
Se llama al borde

gotoxy(25,3);printf("NUMEROS PARES");

Impresión números pares

gotoxy(5,5);printf("INGRESE EL LIMITE:");scanf("%d",&lim);
Ciclo for del límite

for(i=1;i<=lim;i++)
{
h=h+3;

Contador

gotoxy(5+h,7);printf("%d",par);
par=par+2;

Impresión números pares

Operación numero par

}
break;
case 2:
clrscr();
borde();

Fin case 1
Inicio case2
Borrar pantalla
Se llama al borde

gotoxy(25,3);printf("NUMEROS IMPARES");
gotoxy(5,5);printf("INGRESE EL LIMITE:");scanf("%d",&li);

Ciclo for del límite

Ingreso del límite números
impares
for(i=1;i<=li;i++)
{
Contador
h=h+3;
Impresión números impares

gotoxy(5+h,7);printf("%d",imp);

Operación número impar

imp=imp+2;
}

Fin case 2

break;

Inicio case 3

case 3:
clrscr();

Borrar pantalla

borde();

Librerías

gotoxy(25,3);printf("SERIE FIBONACCI");
gotoxy(5,5);printf("INGRESE EL LIMITE:");scanf("%d",&l);
x=1;
y=0;

Igualación de variables

for(i=1;i<=l;i++)

Ciclo for límite

{
h=h+3;

Contador

z=x+y;
gotoxy(5+h,7);printf("%d",z);
x=y;

Igualación de variables
y=z;
}
break;
case 4:
clrscr();
borde();

Fin case 3
Inicio case 4
Borrar pantalla
Se llama al borde

Impresión serie Fibonacci

Ingreso limite serie Fibonacci
gotoxy(25,3);printf("FACTORIAL");

Ingreso del límite del factorial

gotoxy(5,5);printf("INGRESE EL LIMITE:");scanf("%d",&limi);
r=1;

Librerías

for(i=1;i<=limi;i++)

Ciclo for del límite

{
h=h+3;

Operaciones de la factorial

r=r*i;
gotoxy(5,7+i);printf("%8.0f",r);

Impresión de la factorial

}
break;
case 5:

Fin case 4
Inicio case 5

exit(0);

Función salir

break;

Fin case 5

}
gotoxy(15,23);printf("PRESS 1 PARA CONTINUAR 0 SALIR: ");scanf("%d",&oper);
}
while(oper==1);
getch();

Fin del programa

}

4. CORRIDO DEL PROGRAMA:
PROGRAMA 26

1. ENUNCIADO:
Diseñe un programa que me permita realizar un borde utilizaciones funciones.
2. ANALISIS:
Utilizando funciones con parámetros realizaremos uno llamado borde y llamarlo
cuando sea necesario.
3. DOCUMENTACION:
#include<stdio.h>
#include<conio.h>
Librerías
#include<stdlib.h>
int i,op,opc,conta,p,contav;
Declaración de variables
float tv,venta,valo;
void borde()
Inicio de la función
{
for(i=1;i<=80;i++)
Inicio for
{
gotoxy(i,1);printf("*");

borde
gotoxy(i,24);printf("*");
}
for(i=1;i<=24;i++)
{
gotoxy(1,i);printf("*");
gotoxy(80,i);printf("*");
}
}
void main()
{
clrscr();
llamado del
borde();
margen
getch();
}

Inicio del
programa

4. CORRIDO DEL PROGRAMA:

PROGRAMA 27

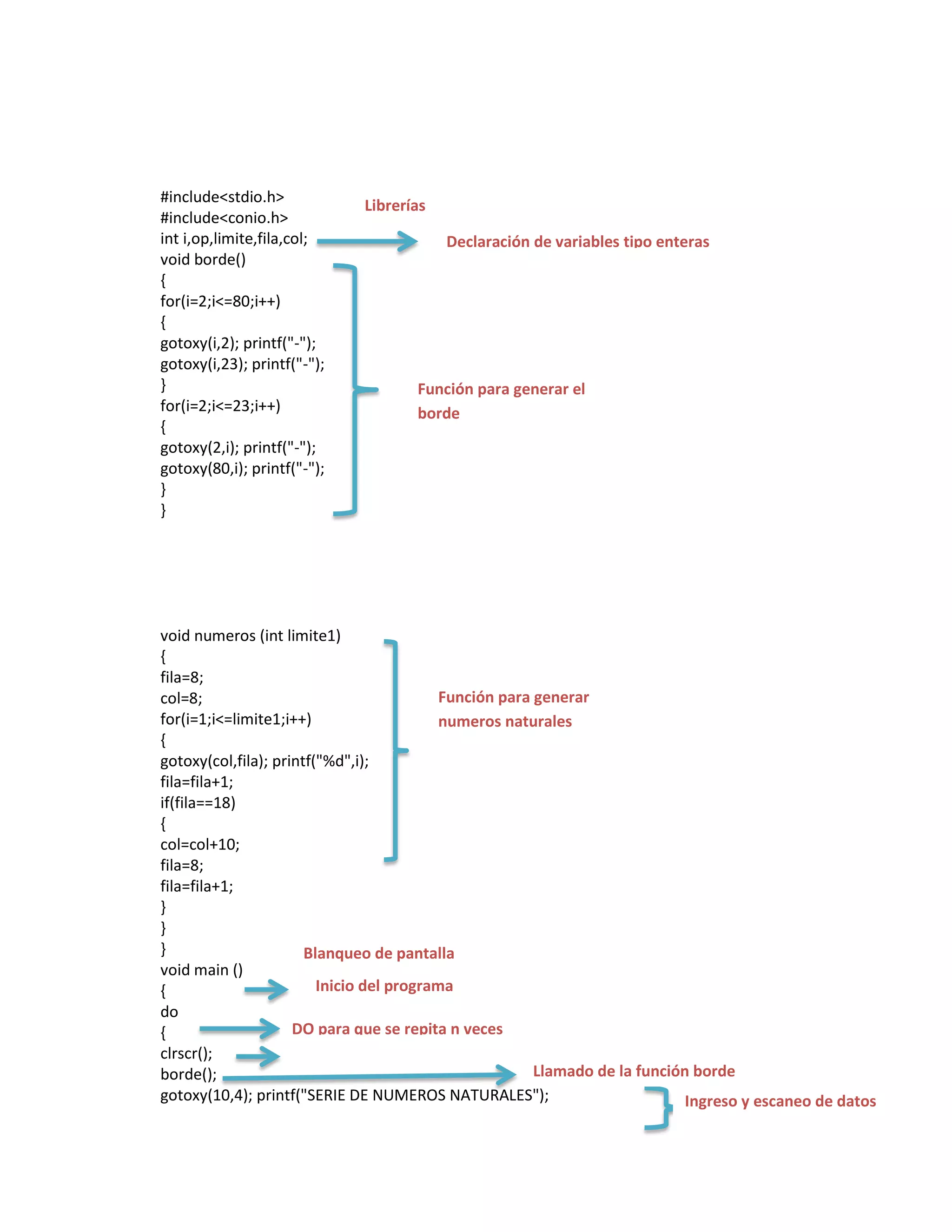
1. ENUNCIADO: Diseñe un programa utilizando funciones que me permita generar n
numeros naturales
2. ANALISIS: utilizando funciones realizamos el borde y la operación para generar n
numeros naturales dentro de las mismas utilizando ciclos FOR y DO WHILE
3. DOCUMENTACIÓN:
#include<stdio.h>
#include<conio.h>
int i,op,limite,fila,col;
void borde()
{
for(i=2;i<=80;i++)
{
gotoxy(i,2); printf("-");
gotoxy(i,23); printf("-");
}
for(i=2;i<=23;i++)
{
gotoxy(2,i); printf("-");
gotoxy(80,i); printf("-");
}
}

Librerías
Declaración de variables tipo enteras

Función para generar el
borde

void numeros (int limite1)
{
fila=8;
Función para generar
col=8;
for(i=1;i<=limite1;i++)
numeros naturales
{
gotoxy(col,fila); printf("%d",i);
fila=fila+1;
if(fila==18)
{
col=col+10;
fila=8;
fila=fila+1;
}
}
}
Blanqueo de pantalla
void main ()
Inicio del programa
{
do
DO para que se repita n veces
{
clrscr();
Llamado de la función borde
borde();
gotoxy(10,4); printf("SERIE DE NUMEROS NATURALES");
Ingreso y escaneo de datos
gotoxy(15,5); printf("Ingrese el limite: "); scanf("%d",&limite);
numeros(limite);
gotoxy(3,22); printf("presione 1 para volver a hacer o 0 para salir: ");
scanf("%d",&op);
}
while(op==1);
getch();
Pausar pantalla
}
Fin del programa

Llamado de la función limite
Para que se repita n veces

4. CORRIDO DEL PROGRAMA:

PROGRAM
A2 8

1. ENU
NCIADO:
Diseñe un
programa
utilizando funciones y un menú de opciones que me permita realizar el siguiente proceso.
Serie de datos
1. Verificar numeros pares
2. Verificar numeros impares
3. Verificar numeros primos
4. Salir
2. ANALISIS:

3. DOCUMENTACION:
#include<stdio.h>
#include<conio.h>

Librerías
#include<stdlib.h>
int numero,op,rp,ri,i,c;
void borde()

Declaración de variables
Función borde

{
for(i=1;i<=80;i++)

Ciclo for borde

{
gotoxy(i,1);printf("*");
borde

gotoxy(i,24);printf("*");
}
for(i=1;i<=24;i++)
{
gotoxy(1,i);printf("*");
gotoxy(80,i);printf("*");
}
}

Función par

void par(int num)
{
rp=num%2;

Operación numero par

if(rp==0)

Comparación

{
gotoxy(20,5);printf("ES PAR");

Impresión numero par

}
}
void impar(int num)

Función impar

{
ri=num%2;

Operación número impar
if(ri==1)

Condición

{
gotoxy(30,12);printf("ES IMPAR");

Impresión número impar

}
}
void primo(int num)

Inicio función primo

{
c=0;

Igualación de variable
Ciclo for número primo

for(i=1;i<=numero/2;i++)
if(numero%i==0)
c=c+1;
if(c==2)

Condición
Contador
Condición 2

{
gotoxy(20,12); printf ("NO ES PRIMO",numero);

Impresión número primo

}
else

Caso contrario

{
gotoxy(20,12);printf ("ES PRIMO",numero);
}
}
void main()

Función principal

{
do

Inicio ciclo do while

{
clrscr();
borde();

Borra pantalla
Se llama al borde

Impresión número primo
gotoxy(35,2);printf("<< SERIE DE DATOS >>");
gotoxy(15,5);printf("1.VERIFICAR DI ES PAR");
gotoxy(15,7);printf("2.VERIFICAR SI ES IMPAR");

Impresión menú

gotoxy(15,9);printf("3.VERIFICAR SI ES PRIMO");
gotoxy(15,11);printf("4.SALIR");
do

Inicio ciclo do while

{
gotoxy(29,13);printf("

");
Escaneo opción

gotoxy(15,13);printf("ELIJA UNA OPCION: ");scanf("%d",&op);
}while(op>4);

Fin ciclo do while

switch(op)
{
case 1:
clrscr();
borde();

Inicio swich
Inicio case 1

Borrar pantalla
Se llama al borde

gotoxy(33,3);printf("VERIFICAR SI ES PAR");
gotoxy(15,5);printf("NUMERO: ");scanf("%d",&numero);
par(numero);
break;

Titulo case 1
Ingrese el número

Se llama a la función par
Fin case 1

case 2:
clrscr();
borde();

Inicio case2
Se llama al borde

gotoxy(33,3);printf("VERIFICAR SI ES IMPAR");
gotoxy(15,5);printf("NUMERO: ");scanf("%d",&numero);
impar(numero);
break;

Se llama a la función impar
Fin case 2
Inicio case 3

Ingreso número
verificación impar
case 3:
clrscr();
borde();

Borrar pantalla
Se llama al borde

gotoxy(33,3);printf("VERIFICAR SI ES PRIMO");
gotoxy(15,5);printf("NUMERO: ");scanf("%d",&numero);

Ingreso número verificación
primo

primo(numero);
break;

Fin case 3

case 4:

Inicio case 4

exit(0);

Función salir

break;
}

Fin case 4

gotoxy(15,22);printf("Desea salir 1/0: ");scanf("%d",&op);
}while(op==1);
getch();}
Fin del programa
4. CORRIDO DEL PROGRAMA:

Fin ciclo do while
PROGRAMA29

1. ENUNCIADO:
Diseñe un programa utilizando funciones que me permita calcular el valor de las
comisiones por venta de vehículos según los siguientes condicionamientos, existen 3
vendedores, el vendedor 1, el vendedor 2, el vendedor 3, se asigna un valor de comisión si:
 La venta es ≥ 8500 y ≤ 13500 la comisión es del 3%
 La venta es > 13500 y ≤ 18000 la comisión es del 8%
 La venta es > 18000 la comisión es del 11%
Obtenga el número de ventas realizadas por vendedor, el total de ventas realizadas, el total
de comisiones recibidas y el total general de todas las comisiones.
2. ANALISIS: Realizar un menú, establecer funciones y aplicar las operaciones
especificadas para ingresar la venta, Se obtiene el resultado usando la opción 4 del
menú de opciones, Utilizamos un do while para repetir el proceso n veces.
3. DOCUMENTACION:
#include<stdio.h>
Librerías
#include<conio.h>
#include<stdlib.h>
int i,op,opc,conta,p,contav;
Declaración de
float tv,venta,valo,tore,tore1,tore2,sumto;
variables
void borde()
{
for(i=1;i<=80;i++)
{
gotoxy(i,1);printf("*");
4. gotoxy(i,24);printf("*");
}
Función borde
for(i=1;i<=24;i++)
{
gotoxy(1,i);printf("*");
gotoxy(80,i);printf("*");
}
}
void v1(int venta)
{
Inicio del if
if(venta<8500)
{
}
else
{
if(venta>=8500 && venta<=13500)
{
tv=venta*0.03;
gotoxy(10,11); printf("la comision es: %f",tv);
}
else
{
Proceso del if con el caso
if(venta>13500 && venta<=18000)
contrario e impresiones de
{
resultados
tv=venta*0.08;
gotoxy(10,11); printf("la comision es: %f",tv);
}
else
{
tv=venta*0.11;
gotoxy(10,11); printf("la comision es : %f",tv);
}
}
}
}
void main()
Inicio del programa principal
{
p=0;
Inicio del do
do
{
p=p+1;
clrscr();
borde();
gotoxy(10,3);printf("COMISION DE VENTAS DE VEHICULOS EMPRESA XYZ ");
Impresión del menu
gotoxy(18,5);printf("1.Vendedor 1");
gotoxy(18,6);printf("2.Vendedor 2");
gotoxy(18,7);printf("3.Vendedor 3");
gotoxy(18,8);printf("4.Total de ventas");
gotoxy(18,9);printf("5.Salir");
gotoxy(18,12);printf("Elija opcion: ");scanf("%d",&op);
switch(op)
Inicio del switch para el
{
menu
conta=0;
contav=0;
Igualación de variables a 0
valo=0;
do
Comienzo del do
{
case 1:
clrscr();
Lectura e
borde();
impresión
conta=conta+1;
del
gotoxy(10,5);printf("Vendedor 1: ");scanf("%f",&venta);
vendedor
gotoxy(15,20);printf("Ingresar otra venta 1 sino 0: ");scanf("%d",&opc);
1
contav=contav+1;
gotoxy(10,8); printf("total de ventas: %d",contav);
v1(venta);
Llamado de la fusión
valo=valo+venta;
Contador del total vendido
venta=venta+venta;
gotoxy(10,10); printf("total ventas: %2.2f",venta);
tore=venta+tv;
gotoxy(10,12); printf("Total a recibir: %2.2f",tore);
}
while(opc==1);
Fin del do
break;
do
{
case 2:
clrscr();
Lectura e
borde();
impresión
conta=conta+1;
del
gotoxy(10,5);printf("Vendedor 2: ");scanf("%f",&venta);
vendedor
gotoxy(15,20);printf("Ingresar otra venta 1 sino 0: ");scanf("%d",&opc);
1
contav=contav+1;
gotoxy(10,8); printf("total de ventas: %d",contav);
v1(venta);
valo=valo+venta;
Contador del total vendido
venta=venta+venta;
gotoxy(10,10); printf("total ventas: %f",venta);
tore1=venta+tv;
gotoxy(10,12); printf("Total a recibir: %2.2f",tore1);
}
while(opc==1);
Fin del do
break;
do
{
case 3:
clrscr();
Lectura e
borde();
impresión
conta=conta+1;
del
gotoxy(10,5);printf("Vendedor 3: ");scanf("%f",&venta);
vendedor
1
Llamado de la fusión
gotoxy(15,20);printf("Ingresar otra venta 1 sino 0: ");scanf("%d",&opc);
contav=contav+1;
gotoxy(10,8); printf("total de ventas: %d",contav);
v1(venta);
valo=valo+venta;
Contador del total vendido
venta=venta+venta;
gotoxy(10,10); printf("total ventas: %f",venta);
tore2=venta+tv;
gotoxy(10,12); printf("Total a recibir: %2.2f",tore2);
}
while(opc==1);
Fin del do
break;
case 4:
clrscr();
Contador del total vendido
borde();
de los 3 vendedores
sumto=tore+tore1+tore2;
gotoxy(15,8);printf("Total general de los 3 vendedrores: %2.2f",sumto);
break;
case 5:
exit(0);
break;
}
gotoxy(15,22);printf("VOLVER AL MENU 1 SALIR 0: ");scanf("%d",&op);
}while(op==1);
Fin del do
getch();
}

5. CORRIDO DEL PROGRAMA:
PROGRAMA 31

1. ENUNCIADO:
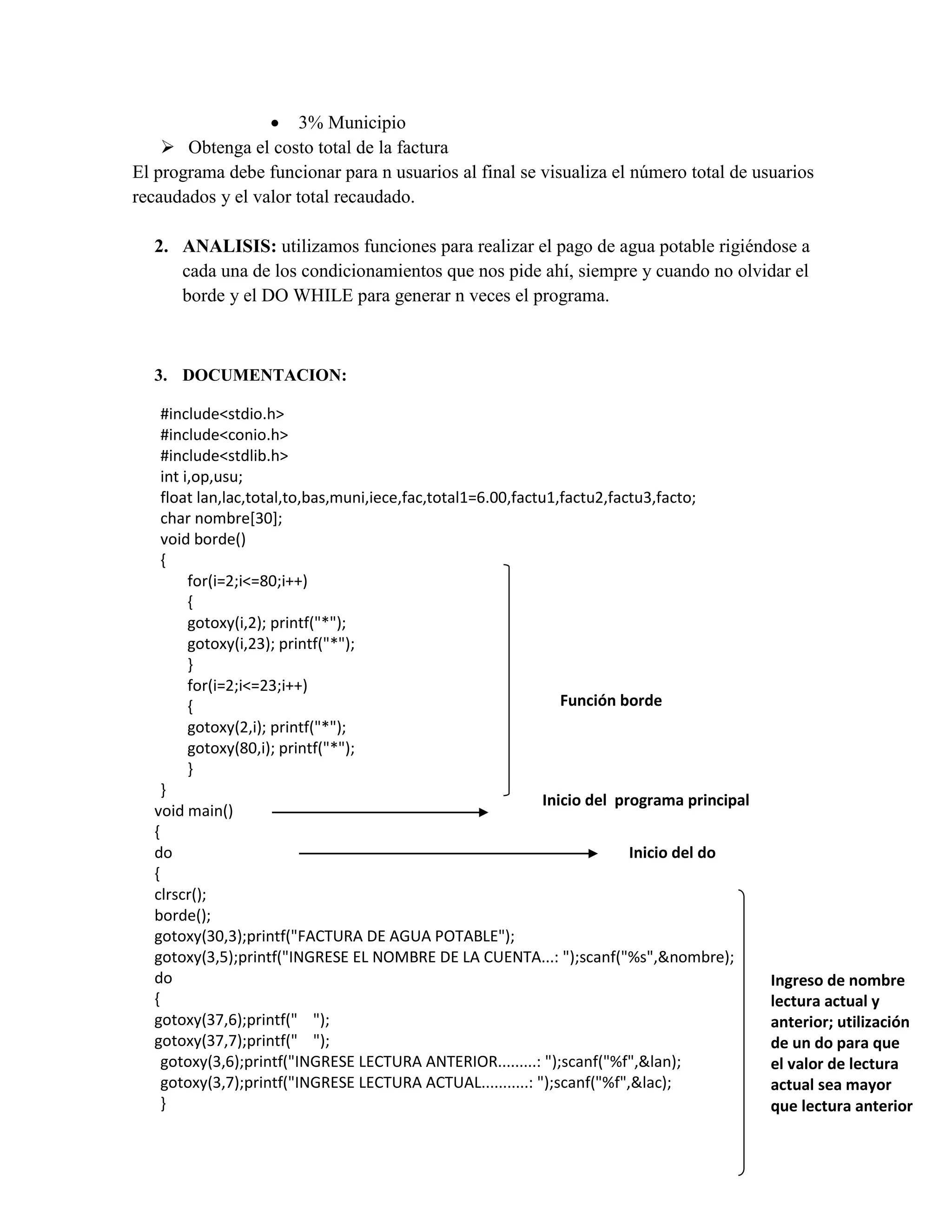
Diseñe un programa permita obtener el valor a pagar por concepto consumo de agua
potable según el siguiente condicionamiento.
Se ingresa desde teclado el nombre del abonado y las lecturas del medidor del mes anterior
y del mes actual, considerando siempre que la lectura actual no puede ser menor que la
anterior, la diferencia entre las dos lecturas me permite obtener el consumo actual las
mismas que tiene el siguiente condicionamiento
 Si el consumo es ≤ 30 litros de agua, se le factura el valor mínimo que son Usd.
6,00
 Si el consumo es > 30 y ≤ que 200 se cobra, 1,50 centavos cada litro de agua
 Si el consumo es > 200 litros se cobra 2,75 cada litro
 A este importe total obtenido se le añade los impuestos de ley
 5% Basurero
 %5 IECE
 3% Municipio
 Obtenga el costo total de la factura
El programa debe funcionar para n usuarios al final se visualiza el número total de usuarios
recaudados y el valor total recaudado.
2. ANALISIS: utilizamos funciones para realizar el pago de agua potable rigiéndose a
cada una de los condicionamientos que nos pide ahí, siempre y cuando no olvidar el
borde y el DO WHILE para generar n veces el programa.

3. DOCUMENTACION:
#include<stdio.h>
#include<conio.h>
#include<stdlib.h>
int i,op,usu;
float lan,lac,total,to,bas,muni,iece,fac,total1=6.00,factu1,factu2,factu3,facto;
char nombre[30];
void borde()
{
for(i=2;i<=80;i++)
{
gotoxy(i,2); printf("*");
gotoxy(i,23); printf("*");
}
for(i=2;i<=23;i++)
Función borde
{
gotoxy(2,i); printf("*");
gotoxy(80,i); printf("*");
}
}
Inicio del programa principal
void main()
{
do
Inicio del do
{
clrscr();
borde();
gotoxy(30,3);printf("FACTURA DE AGUA POTABLE");
gotoxy(3,5);printf("INGRESE EL NOMBRE DE LA CUENTA...: ");scanf("%s",&nombre);
do
{
gotoxy(37,6);printf(" ");
gotoxy(37,7);printf(" ");
gotoxy(3,6);printf("INGRESE LECTURA ANTERIOR.........: ");scanf("%f",&lan);
gotoxy(3,7);printf("INGRESE LECTURA ACTUAL...........: ");scanf("%f",&lac);
}

Ingreso de nombre
lectura actual y
anterior; utilización
de un do para que
el valor de lectura
actual sea mayor
que lectura anterior
while (lac<lan);
total=lac-lan;
gotoxy(5,11);printf("NUMERO DE LITROS CONSUMIDOS....: %f",total);
if(total<=30)
{
bas=total1*0.05;
iece=total1*0.05;
muni=total1*0.03;
fac=total1+bas+iece+muni;
factu1=factu1+fac;
gotoxy(5,13);printf("VALOR A PAGAR DE AGUA POTABLE...: %f",total1);
gotoxy(5,14);printf("VALOR A PAGAR DE BASURERO.......: %f",bas);
gotoxy(5,15);printf("VALOR A PAGAR DE IECE...........: %f",iece);
gotoxy(5,16);printf("VALOR A PAGAR DE MUNICIPIO......: %f",muni);
gotoxy(5,17);printf("VALOR A PAGAR DE FACTURA........: %f",fac);
gotoxy(5,19);printf("TOTAL DE RECAUDACION............: %f",factu1);
}
else
{
if((total>30)&&(total<=200))
{
to=total*1.50;
bas=to*0.05;
iece=to*0.05;
muni=to*0.03;
fac=to+bas+iece+muni;
gotoxy(5,13);printf("VALOR A PAGAR DE AGUA POTABLE...: %f",to);
gotoxy(5,14);printf("VALOR A PAGAR DE BASURERO.......: %f",bas);
gotoxy(5,15);printf("VALOR A PAGAR DE IECE...........: %f",iece);
gotoxy(5,16);printf("VALOR A PAGAR DE MUNICIPIO......: %f",muni);
gotoxy(5,17);printf("VALOR A PAGAR DE FACTURA........: %f",fac);
factu2=factu2+fac;
gotoxy(5,19);printf("TOTAL DE RECAUDACION...: %f",factu2);
}
else
{
if(total>200)
{
to=total*1.50;
bas=to*0.05;
iece=to*0.05;
muni=to*0.03;
fac=to+bas+iece+muni;
gotoxy(5,13);printf("VALOR A PAGAR DE AGUA POTABLE...: %f",to);
gotoxy(5,14);printf("VALOR A PAGAR DE BASURERO.......: %f",bas);
gotoxy(5,15);printf("VALOR A PAGAR DE IECE...........: %f",iece);
gotoxy(5,16);printf("VALOR A PAGAR DE MUNICIPIO......: %f",muni);
gotoxy(5,17);printf("VALOR A PAGAR DE FACTURA........: %f",fac);

Inicio del if
Cálculos

Impresión de
resultados

Caso contrario
Inicio del if

Impresión de
resultados

Caso contrario
Inicio del if

Cálculos

Impresión de
resultados
factu3=factu3+fac;
gotoxy(5,19);printf("TOTAL DE RECAUDACION...: %f",factu3);
}

usu=usu+1;
gotoxy(2,22);printf("otro usuario 1 y 0 para salir");scanf("%d",&op);
}
while(op==1);
facto=factu1+factu2+factu3;
gotoxy(5,18);printf("TOTAL DE USUARIOS......: %d",usu);
gotoxy(5,19);printf("TOTAL DE RECAUDACION...: %f",facto);
getch();

4. CORRIDO DEL PROGRAMA:

Contador

Contador
Impresión
de
recaudacion
PROGRAMA 32
1. ENUNCIADO
Diseñe un programa utilizando funciones que me permita ingresar 3 valores enteros desde
teclado entre 4 y 64 y presentarlos en forma ordenada ascendentemente.
2. ANALISIS: Utilizaremos varias funciones con condiciones if para hacer las
comparaciones y para validar los datos y no olvidemos también para que el proceso se
repita n veces
3. DOCUMENTACION
#include<stdio.h>
LIBRERIAS
#include<conio.h>
int i,a,b,c,op;
Declaracion de variables
void borde()
{
for(i=1;i<=80;i++)
inicio del for
{
gotoxy(i,1);printf("-");
gotoxy(i,24);printf("-");
}
for(i=1;i<=24;i++)
{
Impresión del margen
gotoxy(1,i);printf("-");
gotoxy(80,i);printf("-");
}
}
void numero()
Inicio de la función void main
{
do
Inicio del do
{
gotoxy(24,4);printf("
");
gotoxy(15,4);printf("Numero 1; ");scanf("%d",&a);
Validación de datos
}
while(a>64 || a<4);
Ingreso y escaneo de datos el
do
segundo numero
{
gotoxy(24,5);printf("
");
gotoxy(15,5);printf("Numero 2: ");scanf("%d",&b);
}
while(b>64 || b<4);
do
{
gotoxy(24,6);printf("
");
gotoxy(15,6);printf("Numero 3: ");scanf("%d",&c);
}while(c>64 || c<4);
}
void orden()
Inicio de la función void orden
{
if(a<=b && a<=c)
{
if(b<=c)
{
gotoxy(15,8);printf("%d %d %d",a,b,c);
}
if para que los números
if(c<=b)
ingresados estén en
{
forma ordenada
gotoxy(15,8);printf("%d %d %d",a,b,c);
ascendentemente.
}
}
if(b<=a && b<=c)
{
if(a<=c)
{
gotoxy(15,8);printf("%d %d %d",b,a,c);
}
if(c<=a)
{
gotoxy(15,8);printf("%d %d %d",b,c,a);
}
}
if para que los números
if(c<=a && c<=b)
ingresados estén en
{
forma ordenada
if(a<=b)
ascendentemente.
{
gotoxy(15,8);printf("%d %d %d",c,a,b);
}
if(b<=a)
{
gotoxy(15,8);printf("%d %d %d",c,b,a);
}
}
gotoxy(15,7);printf("El orden es:");
}
void main()
{
do
{
clrscr();
borde();
numero();
orden();

Inicio del programa
Blanqueo de pantalla
Llamar al borde
Llamar a la función
numero
Llamar a la función orden

getch();
gotoxy(15,22);printf("Desea salir 1/0: ");scanf("%d",&op);
}while(op==1);
}

4. CORRIDO DEL PROGRAMA

Fin del programa

Programacion elem2

  • 1.
    UNIVERSIDAD TECNICA DEAMBATO FACULTAD DE CIENCIAS HUMANAS Y DE LA EDUCACION CARRERA DE DOCENCIA EN INFORMATICA SEGUNDO SEMESTRE APLICACIONES SENCILLAS UTILIZANDO SENTENCIAS DE CONTROL PARA DESARROLLAR LA LOGICA DE LA PROGRAMACION EN LENGUAJE C++ AUTOR: JOHANA VARGAS PERIODO: SEP2013-FEB2014
  • 2.
    PROGRAMA 1 1. ENUNCIADO Diseñeun programa que me permita ingresar 3 números enteros desde teclado que corresponden a 3 notas las mismas que deben estar entre 1 y 10, obtenga el promedio correspondiente y determine su equivalencia.  Si el promedio es mayor o igual a 7, está aprobado.  Si el promedio es mayor o igual a 5 y Menor que 7 esta suspenso  Si el promedio es menor que 5 esta reprobado 2. ANALISIS Para realizar las condiciones se utiliza la sentencia condicionante IF y ELSE de esta manera podremos saber si la persona está aprobada, suspensa, o reprobada. 3. DOCUMENTACION: #include<stdio.h> Librerías #include<conio.h> void main() Inicio del programa { Declaración de variable tipo entera float a,b,c,d,p; Blanqueo de pantalla clrscr(); gotoxy(8,5);printf("Introduzca la primera calificacion:"); Ingreso y escaneo de datos scanf("%f",&a); if((a>0)&&(a<11)) { gotoxy(8,8); printf("Introduzca la segunda calificacion:"); scanf("%f",&b); } if((b>0)&&(b<11)) { gotoxy(8,11); printf("Introduzca la tercera calificacion:"); If para condicionar cada una scanf("%f",&c); } de las calificaciones if((c>0)&&(c<11)) { p=(a+b+c)/3; } if(p>6) { gotoxy(8,14); printf("Ha aprobado, el promedio es:%f",p);
  • 3.
    } if((p>4)&&(p<7)) { gotoxy(8,14); printf("Esta suspenso, elpromedio es:%f",p); } if(p<5) { gotoxy(8,14); printf("Ha reprobado, el promedio es:%f",p); } getch(); Pausar pantalla } Fin del programa If para condicionar cada una de las calificaciones 4. CORRIDO DEL PROGRAMA: PROGRAMA 2 1. ENUNCIADO Diseñe un programa que me permita ingresar un número entero desde teclado entre 1 y 7, que me permita visualizar el nombre del día de la semana que le corresponde. 2. ANALISIS En este programa utilizamos varias sentencias if y else para poder saber a qué día pertenece el número ingresado.
  • 4.
    3. DOCUMENTACION: #include<stdio.h> #include<conio.h> Librerías void main() Iniciodel programa { Declaración de variable tipo entera Int n; Blanqueo de pantalla clrscr(); gotoxy (10,5);printf("DIAS DE LA SEMANA SEGUN EL NUMERO"); gotoxy(5,8);printf("Ingrese el numero:");scanf("%d",&n); if((n<8)&&(n>0)) { if(n==1) gotoxy(10,10);printf("Lunes"); } if(n==2) { gotoxy(10,10);printf(“ Martes"); } if(n==3) { gotoxy(10,10);printf("Miercoles"); } if(n==3) { gotoxy(10,10);printf("Jueves"); } if(n==3) { gotoxy(10,10);printf("Viernes"); } if(n==3) { gotoxy(10,10);printf("Sábado"); } if(n==3) { gotoxy(10,10);printf("Es Domingo"); } getch(); Pausar pantalla Pausar pantalla } Fin del programa Fin del programa Ingreso y escaneo de datos If para condicionar cada uno de los días
  • 5.
    4. CORRIDO DELPROGRAMA: PROGRAMA 3 1. ENUNCIADO: Diseñe un programa en C++ que me permita obtener las comisiones de ventas de la empresa xyz bajo los siguientes condicionamientos:  Si el valor de la venta es ≥ 3000 y ≤ 5000 el valor de porcentaje es de 5%  Si el valor de la venta es > 5000 y ≤ 8500 el valor de porcentaje es de 7%  Si el valor de la venta es > 8500 y ≤ 10000 el valor de porcentaje es de 8%  Si el valor de la venta es > 10000 el valor de porcentaje es de 10% Visualice el valor total de ventas ingresadas y el total de comisiones ingresadas; el proceso se repite n veces. 2. ANALISIS Se utiliza IFs para validar cada condicionamiento de los valores y según su resultado se le acredita un porcentaje a la venta y un DO WHILE para repetir el proceso n número de veces. 3. DOCUMENTACION: #include<stdio.h> Librerias #include<conio.h> main() { int z=1,y=0,con; Declaración de variables tipo entero y flotante float a,b,c,d,e,f,g,h,i; do Do para repetir n veces Blanqueo pantalla
  • 6.
    { clrscr(); z=1; y=0; gotoxy(32,4);printf("VENTAS EFECTUADAS"); Ingresa yescanea la venta gotoxy(5,7);printf("Ingresar el valor de la venta efectuada:"); scanf("%f",&a); if((a>2999)&&(a<5001)) { b=(a*5)/100; c=a+b; gotoxy(8,10);printf("Total de ventas : %f",c); Ifs para hacer las validaciones gotoxy(8,13);printf("Su utilidad es : %f",b); } if((a>5000)&&(a<8499)) { d=(a*7)/100; Caso contrario e=d+a; gotoxy(8,10);printf("Total de ventas : %f",e); gotoxy(8,13);printf("Su utilidad es : %f",d); } if((a>8500)&&(a<10001)) { Imprime la venta y h=(a*8)/100; porcentaje ganado i=h+a; gotoxy(8,10);printf("Total de ventas : %f",i); gotoxy(8,13);printf("Su utilidad es : %f",h); } if(a>10000) { f=(a*10)/100; g=f+a; gotoxy(8,10);printf("Total de ventas : %f",g); gotoxy(8,13);printf("Su utilidad es : %f",f); } gotoxy(30,20);printf("Pulsa 1 para continuar o 2 salir del programa"); Repetir proceso scanf("%d",&con); } while(con==1); getch(); } Fin del programa
  • 7.
    4. CORRIDO DELPROGRAMA PROGRAMA 4 1. ENUNCIADO: Diseñe un programa que me permita ingresar 2 números por teclado y realizar la suma de los mismos. 2. ANALISIS: Utilizamos un if para que me valide los datos ingresados para que el primer número ingresado sea mayor que el segundo número caso contrario me imprima un mensaje y me #include <stdio.h> pida nuevamente. #include <conio.h> int a,b,r; void main () { clrscr(); Librerías Declaración de variables tipo enteras 3. DOCUMENTACIO Librerías N: Inicio del programa Blanqueo de pantalla gotoxy(15,8); printf("ingrese 1er valor: "); scanf("%d",&a); gotoxy(15,12); printf("ingrese 2do valor: "); scanf("%d",&b);
  • 8.
    if(a>b) { r=a+b; Operación } Else { gotoxy(5,22); printf("ingrese unnúmero mayor"); } gotoxy(15,15); printf("el resultado es: %d",r); getch(); Pausar pantalla } Fin del programa Condición para validar los datos Imprime resultados CORRIDO DEL PROGRAMA: PROGRAMA 5 1. ENUNCIADO: Diseñe un programa que realice la suma de dos números, siempre que el primer valor este entre 3 y 23 y el segundo valor este entre 5 y 17. El programa se repite n veces. 2. ANALISIS: Utilizamos un DO WHILE para que el proceso se repita cuantas veces quiera el usuario y también dos más para que me valide los datos ingresados entre los rango de 3 y 23 y el otro de 5 y 17 caso contrario me pida nuevamente. 3. DOCUMENTACION: #include<stdio.h> #include<conio.h> void main() { Librerías Inicio del programa Declaración de variables tipo enteras
  • 9.
    int a,b,suma,op; { clrscr(); do { gotoxy(36,4); printf(""); Segundo DO para validar los datos gotoxy(10,4); printf("Ingrese el primer número: "); scanf("%d",&a); Ingreso y escaneo de datos } while (a<3||a>23); do { gotoxy(36,6); printf(" "); Tercer DO para validar los datos gotoxy(10,6); printf("Ingrese el segundo numero: "); Ingreso y escaneo de datos scanf("%d",&b); } while ((b>4)&&(b<18)); Operación suma= a+b; Imprime resultados gotoxy(10,8); printf("La suma es: %d",suma); gotoxy(10,10); printf("Presione 1 para continuar o 0 para salir"); scanf("%d",&op); Primer DO para que se repita n } veces while (op==1); Pausar pantalla getch(); } Fin del programa 4. CORRIDO DEL PROGRAMA: PROGRAMA 6 1. ENUNCIADO: Diseñe un programa que me permita ingresar el nombre de una persona y la edad de la misma que debe estar entre 3 y 85, para obtener las siguientes equivalencias:
  • 10.
     Si la edadestá entre 3 y 5 debe visualizarse: nombre, “es un bebé”  Si la edad es > 5 y <13 debe visualizarse: nombre, “es un niño”  Si la edad es > 13 y ≤ 21 debe visualizarse: nombre, “es un adolescente”  Si la edad es > 21 y ≤ 60 debe visualizarse: nombre, “es un adulto”  Si la edad es > 60 debe visualizarse: nombre, “es un adulto mayor” El programa se repite tantas veces como el usuario lo desee. 2. ANALISIS: Se utilizan IFs para obtener el resultado; si la persona es bebe, niño, adolescente, adulto o adulto mayor. 3. DOCUMENTACION: #include<stdio.h> Librerías #include<conio.h> void main() { Declaración de variables int e; char nombre[15]; Blanquea pantalla clrscr(); gotoxy(15,2); printf("EQUIVALENCIAS DE EDAD"); flushall(); gotoxy(10,4); printf("Ingrese el nombre: "); gets(nombre); do { gotoxy(18,6); printf(" "); Ingresa la gotoxy(10,6); printf("Ingrese la edad: ");scanf("%d",&e); edad } while (e<3||e>85); if((e>2)&&(e<6)) { gotoxy(10,10); puts(nombre); Imprime es un gotoxy(20,10); printf("Es un bebe"); bebe } if ((e>5)&&(e<14)) { gotoxy(10,10); puts(nombre); Imprime es un niño gotoxy(20,10); printf("Es un niño"); } if ((e>12)&&(e<22)) { gotoxy(10,10); puts(nombre); Imprime es un adolescente gotoxy(20,10); printf("Es un adolescente"); } DO para validar las edades
  • 11.
    getch(); } Fin del programa 4.CORRIDO DEL PROGRAMA: PROGRAMA 7 1. ENUNCIADO: Diseñe un programa que me permita simular la venta de productos en una factura, de la cual necesitamos ingresar el nombre del producto, la cantidad, precio unitario y calcular el precio total. El programa se repite n veces según los productos que el usuario desee ingresar. 2. ANALISIS: Utilizamos una variable tipo carácter para ingresar el nombre otra tipo entero para ingresar la cantidad otra tipo flotante para ingresar el valor de cada uno de los productos y realizar operaciones básicas y un DO WHILE para repetirlo n veces. 3. DOCUMENTACION: #include<stdio.h> Librerías #include<conio.h void main() { Inicio del programa int can,op; Declaración de variables float pre,sub=0,iv,to; char pro[15]; do Do para generar n veces { clrscr(); Blanquea pantalla gotoxy(31,1);printf("Factura de n Productos"); flushall(); gotoxy(10,2);printf("Producto"); gotoxy(26,2);printf("Cantidad"); Diseño de la factura
  • 12.
    gotoxy(36,2);printf("Precio"); gotoxy(43,2);printf("Valor total"); gotoxy(10,3);gets(pro); gotoxy(26,3);scanf("%d",&can); Escaneo lacantidad y precio gotoxy(36,3);scanf("%f",&pre); vt=can*pre; gotoxy(43,3);printf("%2.2f",vt); sub=sub+vt; Operaciones iv=(sub*12)/100; to=sub+iv; gotoxy(10,20);printf("Presione 1 para continuar o 0 para salir: ");scanf("%d",&op); } while(op==1); gotoxy(10,11);printf("Subtotal %2.2f",sub); gotoxy(10,12);printf("Iva %2.2f",iv); Imprimir resultados gotoxy(10,13);printf("Total %2.2f",to); getch(); } Repetir n veces 4. CORRIDO DEL PROGRAMA: PROGRAMA 8 1. ENUNCIADO: Diseñe un programa que me permita calcular el promedio general de las notas de distintas materias correspondientes al 2º Semestre de Docencia en Informática, en donde cada una de las notas ingresadas debe estar entre 1 y 10.
  • 13.
    2. ANALISIS: Seutiliza tres DO WHILEs para realizar las validaciones en las calificaciones, caso contrario me pedirá d nuevo que ingrese la calificacion. 3. DOCUMENTACION: #include<conio.h> Librerías #include<stdio.h> void main() Inicio del programa { char no[15]; Declaración de variables int op,c=0; float n1,n2,d,n3,fla=8,pg=0,p; clrscr(); Borrar pantalla Gotoxy(25,2); printf("UNIVERSIDAD TECNICA DE AMBATO"); gotoxy(20,4);printf("FACULTAD DE CIENCIAS HUMANAS Y DE LA EDUCACION"); Diseño de gotoxy(29,5);printf("Segundo Informática"); pantalla gotoxy(10,7);printf("MODULO NOTA1 NOTA2 NOTA3 PROMEDIO"); do { c=c+1; gotoxy(10,fla);gets(no); do Do para hacer las validaciones { Ingresa modulo y gotoxy(27,fla);printf(" "); nota gotoxy(27,fla);scanf("%f",&n1); }while(n1>10 || n1<1); do { gotoxy(36,fla);printf(" "); gotoxy(36,fla);scanf("%f",&n2); }while(n2>10 || n2<1); Do para hacer las validaciones do Ingresa modulo y { nota gotoxy(45,fla);printf(" "); gotoxy(45,fla);scanf("%f",&n3); }while(n3>10 || n3<1); p=(n1+n2+n3)/3; Operaciones pg=pg+p; gotoxy(54,fla);printf("%2.2f",p); gotoxy(10,15);printf("%2.2f",pg); Escaneamos el promedio junto con el promedio general fla=fla+1; gotoxy(4,24);printf("Presione 1 para continuar o 0 para salir: ");scanf("%d",&op); }while(op==1); d=pg/c; Fin de programa gotoxy(10,fla+6);printf("%d",d);
  • 14.
    getch(); 4. CORRIDO DELPROGRAMA: PROGRAMA 9 1. ENUNCIADO: Realice un programa en C++ que me permita obtener el líquido a recibir de un empleado bajo los siguientes parámetros: El empleado percibe un salario minimo vital el mismo que depende de su categoría, existen 3 posibles alterantivas, este datos deberá ser ingresada al inicio del programa conjuntamente con el nombre del empleado:  Categoria 1 180,00  Categoría 2 250,00  Categoría 3 380,00 A este salario minimo vital se le incluye algunos rubros que son: 1. Horas extras, las mimas que no pueden exceder 8, cada hora extra cuesta Usd. 1,80. 2. Bono familiar la misma que esta condicionada. Si el empleado tiene mas de dos hujos se le paga Usd. 4,50 por cada hijo caso contrario se le reconoce Usd. 6,20 por cada hijo. 3. Obtenga el valor del IESS que es el 11,5 % del nominal 4. Se le descuenta el 2% del nominal como aporte a la asociación 5. Obtenga los valores correspondientes de ingresos, egresos y total a recibir. El programa se genera n veces. 2. ANALISIS: 3. DOCUMENTACION:
  • 15.
    4. CORRIDO DELPROGRAMA: PROGRAMA 10 1. ENUNCIADO: Diseñe un programa que me permita imprimir un borde de pantalla. 2. ANALISIS: Utilizamos un ciclo FOR para que tenga un inicio y un fin tal símbolo utilizado para que nos de la imagen de un borde. 3. DOCUMENTACION: #include<conio.h> Librerías #include<stdio.h> main () Inicio del programa { Declaración de variable tipo entera int i; clrscr(); Blanqueo de pantalla for(i=2;i<=78;i++) { gotoxy(i,1);printf("-"); gotoxy(i,24); printf("-"); } Inicio del ciclo repetitivo for(i=2;i<=24;i++) para genera el margen { gotoxy(2,i);printf("-"); gotoxy(78,i);printf("-"); } Impresión de un mensaje en pantalla gotoxy(25,5);printf("BORDE EN PANTALLA"); getch(); Pausar pantalla } Fin del programa 4. CORRIDO DEL PROGRAMA:
  • 16.
    PROGRAMA 11 1. ENUNCIADO: Diseñeun programa que me permita visualizar la serie de los números pares ingresando un límite desde teclado con un margen el programa debe generase n veces. 2. ANALISIS: Utilizamos un DO WHILE para que el proceso se genere n veces, dos ciclos FOR el primero para el borde y el segundo para ingresar un límite para obtener los números pares. 3. DOCUMENTACION: #include<conio.h> Librerías #include<stdio.h> main () { int i,limite,fila,op; Declaración de variable tipo entera do DO para que se repita n veces { clrscr(); for(i=2;i<=75;i++) Blanqueo de pantalla { gotoxy(i,1);printf("-"); Primer ciclo para generar gotoxy(i,24); printf("-"); el borde } for(i=1;i<=24;i++) { gotoxy(2,i);printf("-"); gotoxy(75,i);printf("-"); } Titulo gotoxy(25,5);printf("NUMEROS PARES"); gotoxy(6,8);printf("INGRESE EL LIMITE: "); scanf("%d",&limite); Ingreso y escaneo de datos fila=10; for(i=2;i<=limite;i+=2) Variable fila para que comience desde ahí { gotoxy(10,fila); printf("%d",i); Segundo ciclo para obtener los fila=fila+1; números pares } gotoxy(4,18); printf("INGRESAR UN NUEVO NUMERO 1 SALIR 0: "); scanf("%d",&op); } Para que se repita n veces while(op==1); getch(); Pausar pantalla } Fin del programa
  • 17.
    4. CORRIDO DELPROGR PROGRAMA 12 1. ENUNCIADO: Diseñe un programa que me permita visualizar la serie de los números pares y los impares que existen hasta el número límite ingresado desde teclado. 2. ANALISIS: Utilización de lazos for para el borde y para obtener los numeros pares e impares además de un DO WHILE para que el proceso se genere n veces 3. DOCUMENTACION: #include<conio.h> Librerías #include<stdio.h> void main() Inicio del programa { int limite, fila=9, i, op=1; Declaración de variables do Do para repetir n veces { Blanqueo de pantalla clrscr(); for(i=1;i<=80;i++) { Margen. gotoxy(i,1);printf("*"); gotoxy(i,24);printf("*"); } for(i=1;i<=23;i++) { gotoxy(1,i);printf("*");
  • 18.
    gotoxy(80,i);printf("*"); } gotoxy(25,3);printf("SERIE DE NUMEROS"); gotoxy(4,5);printf("ingreseel limite ");scanf("%d",&limite); gotoxy(9,7);printf(" numeros pares numeros impares"); for(i=2;i<=limite;i+=2) { gotoxy(18,fila);printf("%d",i); fila=fila+1; Se imprime los números } correspondientes a los fila=9; pares e impares for(i=1;i<=limite;i+=2) { gotoxy(40,fila);printf("%d",i); fila=fila+1; } gotoxy(6,22);printf("continuar 1 cerrar 0 ====>");scanf("%d",&op); } while(op==1); getch(); Ingreso y escaneo de datos Fin del programa } 4. CORRIDO DEL PROGRAMA: PROGRAMA 13 1. ENUNCIADO: Diseñe un programa que me permita generar las tablas de multiplicar de cualquier factor ingresado desde teclado y por cualquier limite ingresado desde teclado, el programa se genera n veces, diseñe el borde en pantalla. 2. ANALISIS: Necesitamos un lazo for dos variables tipo enteras una será el factor o número y la otra será el límite y después un ciclo DO WHILE para repetirla n veces.
  • 19.
    3. DOCUMENTACION: #include<conio.h> #include<stdio.h> Librerías void main() { Iniciodel programa int i,f,l,d,op; Declaración de variables tipo enteras do Do para repetir n veces { clrscr(); Blanqueo de pantalla for(i=1;i<=80;i++) { gotoxy(i,1);printf("*"); gotoxy(i,24);printf("*"); } for(i=1;i<=24;i++) Borde { gotoxy(1,i);printf("*"); gotoxy(80,i);printf("*"); } gotoxy(15,2);printf("Tabla de multiplicar"); Ingreso y escaneo de gotoxy(10,3);printf("Factor: ");scanf("%d",&f); gotoxy(10,4);printf("Limite: ");scanf("%d",&l); datos for(i=1;i<=l;i++) Ciclo for para la tabla { d=f*i; de multiplicar gotoxy(10,4+i);printf("%d",f); gotoxy(18,4+i);printf("%d",d); gotoxy(12,4+i);printf("*"); Impresión de resultados gotoxy(16,4+i);printf("="); gotoxy(14,4+i);printf("%d",i); } gotoxy(15,20);printf("Desea salir 1/0: ");scanf("%d",&op); Ingreso de la opción para }while(op==1); salir o regresar getch(); } 4. CORRIDO DEL PROGRAMA:
  • 20.
    PROGRAMA 14 1. ENUNCIADO: Diseñeun programa que me permita visualizar la factorial de un número ingresado desde teclado. 2. ANALISIS: Necesitamos un lazo for para generar el factorial y una variable declara en 1 y multiplicarle por el contador y presentar el contador además de un DO WHILE para repetirla n veces. . 3. DOCUMENTACION: Librerías #include<stdio.h> #include<conio.h> void main() Inicio del programa { int i,n,f,op; Declaración de variables float fac; fac=1; do Do para repetir n veces { fac=1; clrscr(); Blanqueo de pantalla for (i=1;i<=80;i++) { gotoxy(i,1);printf("*"); gotoxy(i,24);printf("*"); Borde } for(i=1;i<=24;i++) { gotoxy(1,i);printf("*"); gotoxy(80,i);printf("*"); } gotoxy(28,3);printf("FACTORIAL DE NUMEROS"); gotoxy(4,4);printf("Ingrese el limite: ");scanf("%d",&n); for(i=1;i<=n;i++) { fac=fac*i; gotoxy(35,6+i);printf("%6.0f",fac); gotoxy(15,6+i);printf("Factorial de: %d",i); gotoxy(33,6+i);printf("="); } gotoxy(15,20);printf("Desea salir 1/0: ");scanf("%d",&op); }while(op==1); getch(); } Ciclo for para obtener el factorial Fin del programa
  • 21.
    4. CORRIDO DELPROGRAMA: PROGRAMA 15 1. ENUNCIADO: Diseñe un programa que me permita generar una serie de números, en donde el numerador es cualquier factor ingresado desde teclado, y el numerador es la serie de los números impares. 2. ANALISIS: utilizamos un DO WHILE para generar n veces el proceso y dos ciclos FOR para mostrar el borde en pantalla y para obtener los numeros pares e impares en forma horizontal. 3. DOCUMENTACION: #include<stdio.h> Librerías #include<conio.h> void main() Inicio del programa { int i,f,r,d,op,factor,limite; Declaración de variables do Do para generar n veces { clrscr(); Blanqueo de pantalla for(i=1;i<=80;i++) { gotoxy(i,24);printf("-"); gotoxy(i,1);printf("-"); } for(i=1;i<=24;i++) { gotoxy(1,i);printf("-"); Margen
  • 22.
    gotoxy(80,i);printf("-"); } Título e ingresoy escaneo de gotoxy(35,2);printf("// SERIE DE NUMEROS "); gotoxy(15,9);printf("Ingrese el Limite: ");scanf("%d",&limite); datos f=0; d=0; r=1; Ciclo para generar el factor y los for(i=1;i<=limite;i++) numeros impares { d=d+4; r=r+2; factor=i*limite; gotoxy(14+d,12);printf("%d",factor); Impresión de resultados gotoxy(14+d,13);printf("-"); de forma horizontal gotoxy(14+d,14);printf("%d",r); } gotoxy(3,23);printf("NUEVO PROCESO 1 SALIR 0: ");scanf("%d",&op); Fin del programa } while(op==1); getch(); } 4. CORRIDO DEL PROGRAMA:
  • 23.
    PROGRAMA 16 1. ENUNCIADO: Diseñeun programa en C++ que me permita generar n numeros primos, el proceso se repite n veces y se visualiza el borde de pantalla. 2. ANALISIS: utilizamos un DO WHILE para generar n veces el proceso y ciclos FOR para mostrar el borde en pantalla y para obtener la serie de numeros primos en forma horizontal 3. DOCUMENTACION: #include<conio.h> Librerías #include<stdio.h> main() Inicio del programa { int i=0,j=0,lt,c,res=0,op=1,nc=0; Declaración de variables do Do para repetir n veces { clrscr(); Blanqueo de pantalla for(i=1;i<=24;i++) { gotoxy(1,i);printf("*"); Margen. gotoxy(79,i);printf("*"); } for(i=1;i<=80;i++) { gotoxy(i,1);printf("*"); gotoxy(i,24);printf("*"); } gotoxy(29,2);printf("NUMEROS PRIMOS"); gotoxy(6,4);printf("INGRESE EL LIMITE : ");scanf("%d",&lt); gotoxy(6,6);printf("1"); c=2; for(i=2;i<=lt;i++) { for(j=1;j<=c;j++) { if(i%j==0) Se imprime los números { primos correspondientes nc=nc+1; al rango } } if(nc==2) { printf("%6d",i); } nc=0; Ingreso y escaneo de datos.
  • 24.
    c=c+1; } gotoxy(2,23),printf("REPETIR 1 Y0 PARA SALIR : ");scanf("%d",&op); } while(op==1); getch(); } Fin de programa 4. CORRIDO DEL PROGRAMA: PROGRAMA 17 1. ENUNCIADO: Realice un programa que me permita generar la siguiente serie de datos: como numerador la serie de los impares y como denominador el factorial. 2. ANALISIS: utilizamos un DO WHILE para generar n veces el proceso y ciclos FOR para mostrar el borde en pantalla y para obtener la serie de numeros impares como numerador y factorial como denominador en forma horizontal. 3. DOCUMENTACION: Librerías #include<stdio.h> #include<conio.h> void main() Inicio del programa { int j,b,d,c,op,limite,f,a; Declaración de variables do { clrscr(); for(j=1;j<=80;j++)´ Do para repetir n veces Blanqueo de pantalla
  • 25.
    { gotoxy(j,24);printf("-"); gotoxy(j,1);printf("-"); } margen for(j=1;j<=24;j++) { gotoxy(1,j);printf("-"); gotoxy(80,j);printf("-"); } gotoxy(35,2);printf("SERIE DE DATOS"); Título,ingreso y escaneo gotoxy(15,5);printf("Ingrese el Limite: ");scanf("%d",&limite); de datos a=1; b=1; d=0; f=0; c=1; for(j=1;j<=limite;j++) { f=f+5; Ciclo for para obtener numeros impares a=a*j; y factorial de forma horizontal gotoxy(15+f,9);printf("%d ",a); gotoxy(15+f,8); printf("-"); gotoxy(15+f,7);printf("%d",c); c=c+2; } Fin del programa gotoxy(3,22);printf("NUEVO PROCESO 1 SALIR 0: ");scanf("%d",&op); }while(op==1); getch(); } 4. CORRIDO DEL PROGRAMA:
  • 26.
    PROGRAMA 18 1. ENUNCIADO: Generen elementos de la siguiente serie: cualquier factor ingresado desde teclado como numerador, el denominador numeros pares. 2. ANALISIS: utilizamos un DO WHILE para generar n veces el proceso y ciclos FOR para mostrar el borde en pantalla y para obtener la serie de cualquier factor como numerador y numeros pares como denominador en forma horizontal. 3. DOCUMENTACION: #include<conio.h> #include<stdio.h> librerías main () Inicio del programa { int i,n,m,p,j,l,d,opc; Declaración de variables do Do para generar n veces { clrscr(); for(i=2;i<=80;i++) { gotoxy(i,1);printf("*"); gotoxy(i,24);printf("*"); } Margen for(i=1;i<=24;i++) { gotoxy (2,i); printf("*"); gotoxy(80, i); printf("*"); } gotoxy(10,4);printf(" Programa que permite generar una serie de números"); gotoxy(4,9);printf("Ingrese el límite: "); scanf("%d",&n); l=6; for(j=1;j<=n;j++) { P=j*n; gotoxy(l,13); printf("%d",p); gotoxy(l,14); printf("--"); l=l+3; } m=0; l=6; for(d=1;d<=n;d++) { Ciclo para generar la serie de cualquier factor y los numeros pares Título, ingreso y escaneo de datos
  • 27.
    m=m+2; gotoxy(l,15); printf("%d",m); l=l+3; } gotoxy(6,18);printf("Si desearealizar otra serie digite 1 o 0 para salir: ");scanf("%d",&opc); } while(opc==1); getch(); } 4. CORRIDO DEL PROGRAMA: PROGRAMA 19 1. ENUNCIADO: Genere una serie de datos que lleve por numerador el factorial y por denominador la serie del Fibonacci 2. ANALISIS: utilizamos un DO WHILE para generar n veces el proceso y ciclos FOR para mostrar el borde en pantalla y para obtener la serie de la factorial como numerador y numeros Fibonacci como denominador en forma horizontal. 3. DOCUMENTACION: #include<conio.h> #include<stdio.h> void main() { int lt,j,op,i,a,co,b,c; do { float fact=1; Librerías Inicio del programa Declaración de variables Blanqueo de pantalla Fin del programa
  • 28.
    clrscr(); for(i=1;i<=24;i++) { gotoxy(1,i);printf("*"); gotoxy(79,i);printf("*"); Margen } for(i=1;i<=79;i++) { gotoxy(i,1);printf("*"); gotoxy(i,25);printf("*"); } Ingreso y escaneode datos gotoxy(25,2);printf("TABLA DEL FACTORIAL Y FIBONACI "); gotoxy(2,3);printf("INGRESE EL LIMITE : ");scanf("%d",&lt); a=1; b=0; Operaciones co=10; for(j=1;j<=lt;j++) { fact=fact*j; c=a+b; a=b; Ciclo para generar factorial b=c; y numeros Fibonacci gotoxy(co-3,6);printf("%4.0f",fact); gotoxy(co-1,7);printf("---"); gotoxy(co,8);printf("%d",c); co=co+7; } gotoxy(2,24);printf("1 continuar 0 salir");scanf("%d",&op); Fin del programa }while(op==1); getch(); } 4. CORRIDO DEL PROGRAMA:
  • 29.
    PROGRAMA 20 1. ENUNCIADO: Diseñeun programa que me permita generar la siguiente serie de datos: como numerador los numeros impares y como denominador la serie fibonasi. 2. ANALISIS: utilizamos un DO WHILE para generar n veces el proceso y ciclos FOR para mostrar el borde en pantalla y para obtener la serie de numeros impares como numerador y numeros impares como denominador en forma horizontal. 3. DOCUMENTACION: #include<stdio.h> Librerías #include<conio.h> void main() Inicio del programa { int i,a,b,c,l,p,cv,op; Declaración de variables do Do para generar n veces { Blanqueo de pantalla clrscr(); for (i=1;i<=80;i++) { gotoxy(i,1);printf("*"); gotoxy(i,24);printf("*"); Borde } for(i=1;i<=24;i++) { gotoxy(1,i);printf("*"); gotoxy(80,i);printf("*"); gotoxy(35,2);printf("Serie de datos"); Título, ingreso y escaneo de gotoxy(15,4);printf("Limite: ");scanf("%d",&l); datos a=1; b=0; p=1; cv=0.5; for(i=1;i<=l;i++) { c=a+b; Ciclo for para las series a=b; b=c; cv=cv+3; gotoxy(15+cv,9);printf("%d",c); Impresión de resultados gotoxy(15+cv,8);printf("--"); gotoxy(15+cv,7);printf("%d",p);
  • 30.
    p=p+2; } gotoxy(15,22);printf("Desea salir 1/0:");scanf("%d",&op); }while(op==1); getch(); } Fin del programa 4. CORRIDO DEL PROGRAMA: PROGRAMA 21 1. ENUNCIADO: Diseñe un programa que me presente un menú de opciones con las operaciones básicas, estas son suma, resta, multiplicación, división y una opción para salir del programa. 2. ANALISIS: se realiza un menú de opciones que nos permita elegir varias operaciones y para esto necesitamos un switch para realizar las operaciones y un case para cada caso, break para terminarlos casos y dos do whiles para volver al menú y para salir del programa. 3. DOCUMENTACION: #include<math.h> #include<conio.h> Librerías #include<stdio.h> #include<stdlib.h> void borde() Comienza la función borde { int i; Declaración de variables for (i=1;i<=80;i++) { gotoxy(i,1);printf("-");
  • 31.
    gotoxy(i,24);printf("-"); Margen. } for(i=1;i<=24;i++) { gotoxy(1,i);printf("-"); gotoxy(80,i);printf("-"); } } void main() { int c,d,op,S,R,M; Declaraciónde variables float a,b,DV,RD,PT; do Comienzo del do { clrscr(); Borrar pantalla borde(); Se llama al borde gotoxy(35,3);printf("OPERACIONES BASICAS"); gotoxy(25,5);printf("1. SUMA"); gotoxy(25,6);printf("2. RESTA"); Menú gotoxy(25,7);printf("3. DIVISION"); gotoxy(25,8);printf("4. MULTIPLICACION"); gotoxy(25,11);printf("5.SALIR"); gotoxy(23,13);printf("ELIGA UNA OPCION >");scanf("%d",&op); switch(op) Comienza switch y lee la opción elegida { case 1: Caso 1 clrscr(); Se ingresan los numeros a Se llama al borde borde(); sumar. gotoxy(30,3);printf("SUMA"); gotoxy(4,4);printf("INGRESE PRIMER NUMERO >");scanf("%d",&c); gotoxy(4,5);printf("INGRESE SEGUNDO NUMERO >");scanf("%d",&d); S=c+d; OPERACION. gotoxy(10,8);printf("%d",c); gotoxy(9,9);printf("+"); Se imprime los numeros a sumar y la gotoxy(10,10);printf("%d",d); suma. gotoxy(9,11);printf("----"); gotoxy(10,12);printf("%d",S); break; Termina el primer caso case 2: Caso 2 clrscr(); Se llama al borde borde(); gotoxy(30,3);printf("RESTA"); gotoxy(4,4);printf("INGRESE PRIMER NUMERO >");scanf("%d",&c); do{ Se ingresan los numeros a gotoxy(28,5);printf(" "); restar. gotoxy(4,5);printf("INGRESE SEGUNDO NUMERO >");scanf("%d",&d); }while(d>c); R=c-d; Resta.
  • 32.
    gotoxy(10,8);printf("%d",c); gotoxy(10,10);printf("%d",d); gotoxy(9,9);printf("-"); Se imprime losnumeros a restar y la resta gotoxy(9,11);printf("----"); gotoxy(10,12);printf("%d",R); break; Caso 3 case 3: clrscr(); Se llama al borde borde(); gotoxy(30,3);printf("DIVISION"); Se ingresan los numeros a gotoxy(4,4);printf("INGRESE EL PRIMER NUMERO >");scanf("%f",&a); dividir. gotoxy(4,5);printf("INGRESE EL SEGUNDO NUMERO >");scanf("%f",&b); DV=a/b; gotoxy(10,8);printf("%2.0f",a); Se imprime los numeros a dividir y la gotoxy(16,8);printf("%2.0f",b); división gotoxy(14,8);printf("/"); gotoxy(20,8);printf("="); gotoxy(24,8);printf("%2.2f",DV); Termina el tercer caso break; Caso 4 case 4: clrscr(); Se llama al borde borde(); gotoxy(30,3);printf("MULTIPLICACION"); Se ingresan los numeros a gotoxy(4,4);printf("INGRESE EL PRIMER NUMERO >");scanf("%d",&c); gotoxy(4,5);printf("INGRESE EL SEGUNDO NUMERO >");scanf("%d",&d); multiplicar. M=c*d; gotoxy(10,8);printf("%d",c); gotoxy(9,9);printf("*"); gotoxy(10,10);printf("%d",d); Se imprime los numeros multiplicar. gotoxy(9,11);printf("----"); gotoxy(10,12);printf("%d",M); break; Termina el cuarto caso case 5: Caso 5 exit(0); Finalizar break; } gotoxy(2,22);printf("1 continuar 0 salir");scanf("%d",&op); }while(op==1); Fin del programa getch(); } 4. CORRIDO DEL PROGRAMA:
  • 33.
    PROGRAMA 22 1. ENUNCIADO: Diseñeun programa con un menú de opciones que me permita calcular las áreas y perímetros de las 4 figuras básicas: circulo, cuadrado, triangulo, rectángulo. 2. ANALISIS: se realiza un menú de opciones que nos permita elegir varias operaciones y para esto necesitamos un switch para realizar las operaciones y un case para cada caso, break para terminarlos casos y dos do whiles para volver al menú y para salir del programa. 3. DOCUMENTACION: #include<stdio.h> #include<conio.h> #include<stdlib.h> void borde() { int i,ope; clrscr(); for(i=2;i<=80;i++) { gotoxy(i,2);printf("*"); gotoxy(i,24);printf("*"); } LIBRERIAS Función borde Declaracion de variables Ciclo for para el borde
  • 34.
    for(i=2;i<=24;i++) { gotoxy(2,i);printf("*"); gotoxy(80,i);printf("*"); } } void main() Inicio deprograma { int la,ope,pcu,acu,r,opec; Declaración de variables float cp,ca; do inicio primer ciclo do while { clrscr(); borrar la pantalla borde(); Se llama al borde gotoxy(33,4);printf("<< AREA Y PERIMETRO >>"); gotoxy(20,6);printf("1.CUADRADO"); gotoxy(20,8);printf("2.CIRCULO"); impresión del menú gotoxy(20,10);printf("3.TRIANGULO"); gotoxy(20,12);printf("4.RECTANGULO"); gotoxy(20,14);printf("5.SALIR"); gotoxy(15,18);printf("<< INGRESE UNA OPCION: "); scanf("%d",&ope); escaneo de la opción switch(ope) comienzo del switch { case 1: incio de la primera opcion do inicio del ciclo do while { clrscr(); borrar la pantalla borde(); Se llama al borde gotoxy(20,6);printf("<< AREA Y PERIMETRO DEL CUADRADO >>"); Impresión del titulo opcion del menu gotoxy(10,8);printf("INGRESE EL LADO: "); scanf("%d",&la); pcu=la+la+la+la; acu=la*la; gotoxy(10,12);printf("EL PERIMETRO ES :"); gotoxy(29,12);printf("%d + %d + %d + %d = %d",la,la,la,la,pcu); Operaciones de área y perímetro gotoxy(10,14);printf("EL AREA ES :"); gotoxy(29,14);printf("%d * %d = %d ",la,la,acu); gotoxy(5,20);printf("PULSE 1 PARA REALIZAR OTRA OPERACION O 0 PARA SALIR : "); scanf("%d",&opec); Fin del ciclo do } while while(opec==1); break; Fin del primer case case 2: Inicio case 2 do { Inicio 2º do while
  • 35.
    float ar,pe,ra; Declaración devariables const float pi=3.141632; clrscr(); Borrar la pantalla borde(); Se Y PERIMETRO gotoxy(20,6);printf("<< AREA llama al bordeDEL CIRCULO >>"); Área y perímetro del gotoxy(10,8);printf("INGRESE EL RADIO :"); círculo Ingreso del radio scanf("%f", &ra); ar=2*(pi*ra); Operaciones de área y perímetro pe=pi*(ra*ra); gotoxy(10,12);printf("EL PERIMETRO ES: %7.3f",pe); Impresión de área y perímetro gotoxy(10,14);printf("EL AREA ES: %7.3f",ar); gotoxy(5,20);printf("PULSE 1 PARA REALIZAR OTRA OPERACION O 0 PARA SALIR : "); scanf("%d",&opec); Fin 2º ciclo do while } while(opec==1); Fin case 2 break; case 3: Inicio case3 do Inicio 3º ciclo do while { Declaración variable int l1,ba,l3,l2,ato,pet,ha; clrscr(); Borrar pantalla borde(); Se llama al borde gotoxy(20,4);printf("<< AREA Y PERIMETRO DEL TRIANGULO >>"); gotoxy(13,6);printf("PERIMETRO"); Impresión de los gotoxy(7,8);printf("<< INGRESE EL 1er LADO: "); lados del triangulo scanf("%d",&l1); gotoxy(7,10);printf("<<INGRESE EL 2do LADO: "); scanf("%d",&l2); gotoxy(7,12);printf("<<INGRESE EL 3er LADO: "); scanf("%d",&l3); Operación del perímetro pet=l1+l2+l3; gotoxy(9,14);printf(" ES IGUAL :%d ",pet); gotoxy(50,6);printf("AREA"); Impresión del perímetro gotoxy(40,8);printf("<< INGRESE LA BASE: "); scanf("%d",&ba); gotoxy(40,10);printf("<< INGRESE LA ALTURA: "); Impresión de la base y la altura scanf("%d",&ha); ato=(ba*ha)/2; Operación del área gotoxy(43,14);printf(" ES IGUAL :%d ", ato); gotoxy(5,20);printf("PULSE 1 PARA REALIZAR OTRA OPERACION O 0 PARA SALIR : "); scanf("%d",&opec); } while(opec==1); Fin del 3º ciclo do while break; case 4: Inicio de 4º case do {int per,bar,are,har; clrscr(); Se llama al borde
  • 36.
    borde(); gotoxy(20,4);printf("<< AREA YPERIMETRO DEL RECTANGULO >>"); gotoxy(10,8);printf("<< INGRESE LA BASE :"); Impresión de la base y scanf("%d",&bar); altura del rectángulo gotoxy(10,10);printf("<< INGRESE LA ALTURA: "); scanf("%d",&har); Operación del perímetro per=(2*bar)+(2*har); gotoxy(10,14);printf("EL PERIMETRO ES :%d",per ); Impresión del perímetro are=bar*har; Operación del área gotoxy(10,16);printf("EL AREA ES :%d ",are); gotoxy(5,20);printf("PULSE 1 PARA REALIZAR OTRA OPERACION O 0 PARA SALIR : "); scanf("%d",&opec); } while(opec==1); break; Fin del 4º case case 5: Inicio 5º case exit(5); Función salir break; Fin del 5º case } gotoxy(5,20);printf("PULSE 1 PARA REALIZAR OTRA OPERACION O 0 PARA SALIR : ");scanf("%d",opec); Fin del ciclo do while inicial } while(opec==0); getch(); Fin del programa } 4. CORRIDO DEL PROGRAMA:
  • 37.
    PROGRAMA 23 1. ENUNCIADO: Diseñeun programa a través de un menú de opciones que me permita calcular las 6 operaciones básicas con sus respectivas validaciones. Estas son suma, resta, multiplicación, división, potenciación y radicación. 2. ANALISIS: se realiza un menú de opciones que nos permita elegir varias operaciones y para esto necesitamos un switch para realizar las operaciones y un case para cada caso, break para terminarlos casos y dos do whiles para volver al menú y para salir del programa. 3. DOCUMENTACION: #include<math.h> #include<conio.h> #include<stdio.h> Librerías
  • 38.
    #include<stdlib.h> void borde() función parael borde { Declaración de variables int i; for (i=1;i<=80;i++) { gotoxy(i,1);printf(">"); gotoxy(i,24);printf(">"); margen. } for(i=1;i<=24;i++) { gotoxy(1,i);printf(">"); gotoxy(80,i);printf(">"); } } void main() inicio del programa { int c,d,op,S,R,M; Declaración de variables float a,b,DV,RD,PT; do Comienzo del do { clrscr(); Borrar pantalla borde(); Se llama al borde gotoxy(35,3);printf("OPERACIONES BASICAS"); gotoxy(25,5);printf("1. SUMA"); gotoxy(25,6);printf("2. RESTA"); Diseño del menu
  • 39.
    gotoxy(25,7);printf("3. DIVISION"); gotoxy(25,8);printf("4. MULTIPLICACION"); gotoxy(25,9);printf("5.RADICACION"); gotoxy(25,10);printf("6. POTENCIACION"); gotoxy(25,11);printf("7.SALIR"); gotoxy(23,13);printf("ELIGA UNA OPCION >");scanf("%d",&op); Comienza en switch y lee la opción elegida switch(op) { case 1: clrscr(); Caso 1 Se llama al borde borde(); gotoxy(30,3);printf("SUMA"); gotoxy(4,4);printf("INGRESE PRIMER NUMERO >");scanf("%d",&c); gotoxy(4,5);printf("INGRESE SEGUNDO NUMERO >");scanf("%d",&d); Se ingresan los numeros a sumar. S=c+d; gotoxy(10,8);printf("%d",c); gotoxy(9,9);printf("+"); gotoxy(10,10);printf("%d",d); gotoxy(9,11);printf("----"); Se imprime los numeros a sumar y la suma. gotoxy(10,12);printf("%d",S); Termina el primer caso break; case 2: clrscr(); borde(); Caso 2 Se llama al borde gotoxy(30,3);printf("RESTA"); gotoxy(4,4);printf("INGRESE PRIMER NUMERO >");scanf("%d",&c); Se ingresan los numeros a restar.
  • 40.
    do{ gotoxy(28,5);printf(" "); gotoxy(4,5);printf("INGRESE SEGUNDONUMERO >");scanf("%d",&d); }while(d>c); R=c-d; gotoxy(10,8);printf("%d",c); gotoxy(10,10);printf("%d",d); gotoxy(9,9);printf("-"); gotoxy(9,11);printf("----"); gotoxy(10,12);printf("%d",R); break; case 3: clrscr(); Caso 3 Se llama al borde borde(); gotoxy(30,3);printf("DIVISION"); gotoxy(4,4);printf("INGRESE EL PRIMER NUMERO >");scanf("%f",&a); gotoxy(4,5);printf("INGRESE EL SEGUNDO NUMERO >");scanf("%f",&b); DV=a/b; gotoxy(10,8);printf("%2.0f",a); gotoxy(16,8);printf("%2.0f",b); Se imprime los numeros a dividir y la division gotoxy(14,8);printf("/"); gotoxy(20,8);printf("="); gotoxy(24,8);printf("%2.2f",DV); Termina el segundo caso break; case 4: clrscr(); Caso 4 Se llama al borde Se ingresan los numeros a dividir.
  • 41.
    borde(); gotoxy(30,3);printf("MULTIPLICACION"); gotoxy(4,4);printf("INGRESE EL PRIMERNUMERO >");scanf("%d",&c); Se ingresan los numeros a multiplicar. gotoxy(4,5);printf("INGRESE EL SEGUNDO NUMERO >");scanf("%d",&d); División. M=c*d; gotoxy(10,8);printf("%d",c); Se imprime los numeros a dividir y la división. gotoxy(9,9);printf("*"); gotoxy(10,10);printf("%d",d); gotoxy(9,11);printf("----"); gotoxy(10,12);printf("%d",M); Termina el cuarto caso break; case 5: clrscr(); Caso 5 Se llama al borde borde(); gotoxy(30,3);printf("RADICACION"); gotoxy(4,4);printf("INGRESE EL NUMERO >");scanf("%d",&c); Se ingresan el numeros a radicar. RD=sqrt(c); gotoxy(10,8);printf("raiz cuadrada de %d",c); Se imprime la radicación del número ingresado gotoxy(30,8);printf("="); gotoxy(33,8);printf("%2.2f",RD); Termina el quinto caso break; case 6: clrscr(); borde(); Caso 6 Se llama al borde gotoxy(30,3);printf("POTENCIACION"); gotoxy(4,4);printf("INGRESE EL NUMERO >");scanf("%d",&c); Se ingresan la base y la potencia. Potencia.
  • 42.
    gotoxy(4,5);printf("INGRESE LA POTENCIA>");scanf("%d",&d); PT=pow(c,d); gotoxy(10,8);printf("%d",c); Se imprime la base y la potencia y a su vez el resultado gotoxy(12,8);printf("^"); gotoxy(14,8);printf("%d",d); gotoxy(15,8);printf("="); gotoxy(17,8);printf("%4.0f",PT); Termina el sexto caso break; case 7: exit(0); Caso 7 Finalizar break; } gotoxy(2,22);printf("1 continuar 0 salir");scanf("%d",&op); }while(op==1); getch();} 4. CORRIDO DEL PROGRAMA: Fin del programa
  • 44.
    PROGRAMA 24 1. ENUNCIADO: Diseñeun programa que me permita realizar las conversiones básicas: metros, kilómetros, decámetros, hectómetros. 2. ANALISIS: se realiza un menú de opciones que nos permita elegir varias operaciones y para esto necesitamos un switch para realizar las operaciones y un case para cada caso, break para terminarlos casos y dos do whiles para volver al menú y para salir del programa. 3. DOCUMENTACION: #include<stdio.h> #include<conio.h> #include<stdlib.h> Librerias #include<math.h> void borde() Función borde { int i; for(i=2;i<=80;i++) { gotoxy(i,2); printf("-"); gotoxy(i,23); printf("-"); } Ciclo for borde
  • 45.
    for(i=2;i<=23;i++) Impresión borde { gotoxy(2,i); printf("-"); gotoxy(80,i);printf("-"); } } void main() Inicio del programa { int op,opc,opci; float kim1,hec,deca,metros,km,hec1,deca1; do Declaración variables Ciclo do while { clrscr(); borde(); Borrar pantalla Se llama al borde gotoxy(15,5); printf("CONVERSIONES BASICAS"); gotoxy(10,7); printf("1. KILOMETROS"); gotoxy(10,8); printf("2. HECTOMETROS"); gotoxy(10,9); printf("3. DECAMETROS"); Impresión menú gotoxy(10,10); printf("4. METROS"); gotoxy(10,11); printf("5. SALIR"); gotoxy(16,15); printf("escoja la opcion que desee: "); scanf("%d",&op); switch(op) switch { do Ciclo do while { case 1: Inicio case 1 Borrar pantalla
  • 46.
    clrscr(); Se llama alborde borde(); gotoxy(15,5); printf("CONVERSION A KILOMETROS"); gotoxy(10,8); printf("INGRESE LOS KILOMETROS: "); scanf("%f",&km); Ingreso kilometros metros=km*1000; conversiones deca=km*100; hec=km*10; gotoxy(11,12); printf("EL RESULTADO EN HECTOMETROS ES: %2.0f",hec); gotoxy(11,13); printf("EL RESULTADO EN DECAMETROS ES: %2.0f",deca); gotoxy(11,14); printf("EL RESULTADO EN METROS ES: %2.0f",metros); Impresión conversiones gotoxy(3,18); printf("realizar otra vez 1 salir 0: "); scanf("%d",&opci); } Fin ciclo do while while (opci==1); break; do Fin case 1 Ciclo do while { case 2: Inicio case 2 clrscr(); Borrar pantalla borde(); Se llama al borde gotoxy(15,5); printf("CONVERSION A HECTOMETROS"); gotoxy(10,8); printf("INGRESE LOS HECTOMETROS: "); scanf("%f",&hec); Ingreso hectometros metros=hec*100; deca=hec*10; Operación conversiones kim1=hec/10; gotoxy(11,12); printf("EL RESULTADO EN KILOMETROS ES: %2.0f",kim1); gotoxy(11,13); printf("EL RESULTADO EN DECAMETROS ES: %2.0f",deca); Impresión conversiones
  • 47.
    gotoxy(11,14); printf("EL RESULTADOEN METROS ES: %2.0f",metros); gotoxy(3,18); printf("realizar otra vez 1 salir 0: "); scanf("%d",&opci); } Fin ciclo do while while(opci==1); break; do Fin case 2 Ciclo do while { INICIO CASE 3 case 3: Borrar pantalla clrscr(); borde(); Llamo al borde gotoxy(15,5); printf("CONVERSION A DECAMETROS"); gotoxy(10,8); printf("INGRESE LOS DECAMETROS: "); scanf("%f",&deca); Ingreso los decametros metros=deca*10; hec1=deca/100; Operación conversiones kim1=deca/1000; gotoxy(11,12); printf("EL RESULTADO EN KILOMETROS ES: %2.0f",kim1); gotoxy(11,13); printf("EL RESULTADO EN HECTOMETROS ES: %2.0f",hec1); Impresión conversiones gotoxy(11,14); printf("EL RESULTADO EN METROS ES: %2.0f",metros); gotoxy(3,18); printf("realizar otra vez 1 salir 0: "); scanf("%d",&opci); } while(opci==1); break; do Fin ciclo do while Fin case 3 Ciclo do while { case 4: clrscr(); case 4 Borrar pantalla Se llama al borde
  • 48.
    borde(); gotoxy(15,5); printf("CONVERSION AMETROS"); Ingreso metros gotoxy(10,8); printf("INGRESE LOS METROS: "); scanf("%f",&metros); deca1=metros/1000; Operación conversiones hec1=metros/100; kim1=metros/10; gotoxy(11,12); printf("EL RESULTADO EN KILOMETROS ES: %2.0f",kim1); gotoxy(11,13); printf("EL RESULTADO EN HECTOMETROS ES: %2.0f",hec1); Impresión conversiones gotoxy(11,14); printf("EL RESULTADO EN DECAMETROS ES: %2.0f",deca1); gotoxy(3,18); printf("realizar otra vez 1 salir 0: "); scanf("%d",&opci); } while(opci==1); break; Fin ciclo do while Fin case 4 case 5: exit(0); break; Inicio case 5 Función salir Fin case 5 } gotoxy(4,20); printf("VOLVER AL MENU 1 SINO 0: "); scanf("%d",&opc); Fin ciclo do while } while(opc==1); getch(); Fin del programa } 4. CORRIDO DEL PROGRAMA:
  • 49.
    PROGRAMA 25 1. ENUNCIADO: Diseñeun programa que me permita generar el siguiente menú de opciones de la siguiente serie de datos: 1. Numeros Pares 2. Numeros Impares 3. Fibonasi 4. Factorial 5. Salir 2. ANALISIS: se realiza un menú de opciones que nos permita elegir varias operaciones y para esto necesitamos un switch para realizar las operaciones y un case para cada caso, break para terminarlos casos y dos do whiles para volver al menú y para salir del programa 3. DOCUMENTACION: #include<stdio.h> Librerías
  • 50.
    #include<conio.h> #include<stdlib.h> void borde() Función borde { intj; Declaración de variables for(j=1;j<=80;j++) { gotoxy(j,24);printf("*"); gotoxy(j,1);printf("*"); } for(j=1;j<=24;j++) borde { gotoxy(1,j);printf("*"); gotoxy(80,j);printf("*"); } } void main() { Inicio del programa principal int lim,oper,i,h=7,x,y,z,a=1,par=2,op,li,imp=1,l,limi; float r; do Ciclo do while { a=1; Igualación de variables h=7; clrscr(); borde(); Borrar la pantalla Se llama al borde Declaración de variables
  • 51.
    gotoxy(25,3);printf(">>>SERIES DE DATOS<<<"); gotoxy(10,5);printf("1.-NUMEROSPARES"); gotoxy(10,7);printf("2.-NUMEROS IMPARES"); menú gotoxy(10,9);printf("3.-SERIE FIBONACCI"); gotoxy(10,11);printf("4.-FACTORIAL"); gotoxy(10,13);printf("5.-SALIR"); gotoxy(10,15);printf("INGRESE LA OPCION QUE DESEA GENERAR: ");scanf("%d",&op); switch(op) Inicio swich { case 1: clrscr(); borde(); Inicio case 1 Borrar pantalla Se llama al borde gotoxy(25,3);printf("NUMEROS PARES"); Impresión números pares gotoxy(5,5);printf("INGRESE EL LIMITE:");scanf("%d",&lim); Ciclo for del límite for(i=1;i<=lim;i++) { h=h+3; Contador gotoxy(5+h,7);printf("%d",par); par=par+2; Impresión números pares Operación numero par } break; case 2: clrscr(); borde(); Fin case 1 Inicio case2 Borrar pantalla Se llama al borde gotoxy(25,3);printf("NUMEROS IMPARES"); gotoxy(5,5);printf("INGRESE EL LIMITE:");scanf("%d",&li); Ciclo for del límite Ingreso del límite números impares
  • 52.
    for(i=1;i<=li;i++) { Contador h=h+3; Impresión números impares gotoxy(5+h,7);printf("%d",imp); Operaciónnúmero impar imp=imp+2; } Fin case 2 break; Inicio case 3 case 3: clrscr(); Borrar pantalla borde(); Librerías gotoxy(25,3);printf("SERIE FIBONACCI"); gotoxy(5,5);printf("INGRESE EL LIMITE:");scanf("%d",&l); x=1; y=0; Igualación de variables for(i=1;i<=l;i++) Ciclo for límite { h=h+3; Contador z=x+y; gotoxy(5+h,7);printf("%d",z); x=y; Igualación de variables y=z; } break; case 4: clrscr(); borde(); Fin case 3 Inicio case 4 Borrar pantalla Se llama al borde Impresión serie Fibonacci Ingreso limite serie Fibonacci
  • 53.
    gotoxy(25,3);printf("FACTORIAL"); Ingreso del límitedel factorial gotoxy(5,5);printf("INGRESE EL LIMITE:");scanf("%d",&limi); r=1; Librerías for(i=1;i<=limi;i++) Ciclo for del límite { h=h+3; Operaciones de la factorial r=r*i; gotoxy(5,7+i);printf("%8.0f",r); Impresión de la factorial } break; case 5: Fin case 4 Inicio case 5 exit(0); Función salir break; Fin case 5 } gotoxy(15,23);printf("PRESS 1 PARA CONTINUAR 0 SALIR: ");scanf("%d",&oper); } while(oper==1); getch(); Fin del programa } 4. CORRIDO DEL PROGRAMA:
  • 54.
    PROGRAMA 26 1. ENUNCIADO: Diseñeun programa que me permita realizar un borde utilizaciones funciones. 2. ANALISIS: Utilizando funciones con parámetros realizaremos uno llamado borde y llamarlo cuando sea necesario. 3. DOCUMENTACION: #include<stdio.h> #include<conio.h> Librerías #include<stdlib.h> int i,op,opc,conta,p,contav; Declaración de variables float tv,venta,valo; void borde() Inicio de la función { for(i=1;i<=80;i++) Inicio for { gotoxy(i,1);printf("*"); borde
  • 55.
    gotoxy(i,24);printf("*"); } for(i=1;i<=24;i++) { gotoxy(1,i);printf("*"); gotoxy(80,i);printf("*"); } } void main() { clrscr(); llamado del borde(); margen getch(); } Iniciodel programa 4. CORRIDO DEL PROGRAMA: PROGRAMA 27 1. ENUNCIADO: Diseñe un programa utilizando funciones que me permita generar n numeros naturales 2. ANALISIS: utilizando funciones realizamos el borde y la operación para generar n numeros naturales dentro de las mismas utilizando ciclos FOR y DO WHILE 3. DOCUMENTACIÓN:
  • 56.
    #include<stdio.h> #include<conio.h> int i,op,limite,fila,col; void borde() { for(i=2;i<=80;i++) { gotoxy(i,2);printf("-"); gotoxy(i,23); printf("-"); } for(i=2;i<=23;i++) { gotoxy(2,i); printf("-"); gotoxy(80,i); printf("-"); } } Librerías Declaración de variables tipo enteras Función para generar el borde void numeros (int limite1) { fila=8; Función para generar col=8; for(i=1;i<=limite1;i++) numeros naturales { gotoxy(col,fila); printf("%d",i); fila=fila+1; if(fila==18) { col=col+10; fila=8; fila=fila+1; } } } Blanqueo de pantalla void main () Inicio del programa { do DO para que se repita n veces { clrscr(); Llamado de la función borde borde(); gotoxy(10,4); printf("SERIE DE NUMEROS NATURALES"); Ingreso y escaneo de datos
  • 57.
    gotoxy(15,5); printf("Ingrese ellimite: "); scanf("%d",&limite); numeros(limite); gotoxy(3,22); printf("presione 1 para volver a hacer o 0 para salir: "); scanf("%d",&op); } while(op==1); getch(); Pausar pantalla } Fin del programa Llamado de la función limite Para que se repita n veces 4. CORRIDO DEL PROGRAMA: PROGRAM A2 8 1. ENU NCIADO: Diseñe un programa utilizando funciones y un menú de opciones que me permita realizar el siguiente proceso. Serie de datos 1. Verificar numeros pares 2. Verificar numeros impares 3. Verificar numeros primos 4. Salir 2. ANALISIS: 3. DOCUMENTACION: #include<stdio.h> #include<conio.h> Librerías
  • 58.
    #include<stdlib.h> int numero,op,rp,ri,i,c; void borde() Declaraciónde variables Función borde { for(i=1;i<=80;i++) Ciclo for borde { gotoxy(i,1);printf("*"); borde gotoxy(i,24);printf("*"); } for(i=1;i<=24;i++) { gotoxy(1,i);printf("*"); gotoxy(80,i);printf("*"); } } Función par void par(int num) { rp=num%2; Operación numero par if(rp==0) Comparación { gotoxy(20,5);printf("ES PAR"); Impresión numero par } } void impar(int num) Función impar { ri=num%2; Operación número impar
  • 59.
    if(ri==1) Condición { gotoxy(30,12);printf("ES IMPAR"); Impresión númeroimpar } } void primo(int num) Inicio función primo { c=0; Igualación de variable Ciclo for número primo for(i=1;i<=numero/2;i++) if(numero%i==0) c=c+1; if(c==2) Condición Contador Condición 2 { gotoxy(20,12); printf ("NO ES PRIMO",numero); Impresión número primo } else Caso contrario { gotoxy(20,12);printf ("ES PRIMO",numero); } } void main() Función principal { do Inicio ciclo do while { clrscr(); borde(); Borra pantalla Se llama al borde Impresión número primo
  • 60.
    gotoxy(35,2);printf("<< SERIE DEDATOS >>"); gotoxy(15,5);printf("1.VERIFICAR DI ES PAR"); gotoxy(15,7);printf("2.VERIFICAR SI ES IMPAR"); Impresión menú gotoxy(15,9);printf("3.VERIFICAR SI ES PRIMO"); gotoxy(15,11);printf("4.SALIR"); do Inicio ciclo do while { gotoxy(29,13);printf(" "); Escaneo opción gotoxy(15,13);printf("ELIJA UNA OPCION: ");scanf("%d",&op); }while(op>4); Fin ciclo do while switch(op) { case 1: clrscr(); borde(); Inicio swich Inicio case 1 Borrar pantalla Se llama al borde gotoxy(33,3);printf("VERIFICAR SI ES PAR"); gotoxy(15,5);printf("NUMERO: ");scanf("%d",&numero); par(numero); break; Titulo case 1 Ingrese el número Se llama a la función par Fin case 1 case 2: clrscr(); borde(); Inicio case2 Se llama al borde gotoxy(33,3);printf("VERIFICAR SI ES IMPAR"); gotoxy(15,5);printf("NUMERO: ");scanf("%d",&numero); impar(numero); break; Se llama a la función impar Fin case 2 Inicio case 3 Ingreso número verificación impar
  • 61.
    case 3: clrscr(); borde(); Borrar pantalla Sellama al borde gotoxy(33,3);printf("VERIFICAR SI ES PRIMO"); gotoxy(15,5);printf("NUMERO: ");scanf("%d",&numero); Ingreso número verificación primo primo(numero); break; Fin case 3 case 4: Inicio case 4 exit(0); Función salir break; } Fin case 4 gotoxy(15,22);printf("Desea salir 1/0: ");scanf("%d",&op); }while(op==1); getch();} Fin del programa 4. CORRIDO DEL PROGRAMA: Fin ciclo do while
  • 62.
    PROGRAMA29 1. ENUNCIADO: Diseñe unprograma utilizando funciones que me permita calcular el valor de las comisiones por venta de vehículos según los siguientes condicionamientos, existen 3 vendedores, el vendedor 1, el vendedor 2, el vendedor 3, se asigna un valor de comisión si:  La venta es ≥ 8500 y ≤ 13500 la comisión es del 3%  La venta es > 13500 y ≤ 18000 la comisión es del 8%  La venta es > 18000 la comisión es del 11% Obtenga el número de ventas realizadas por vendedor, el total de ventas realizadas, el total de comisiones recibidas y el total general de todas las comisiones. 2. ANALISIS: Realizar un menú, establecer funciones y aplicar las operaciones especificadas para ingresar la venta, Se obtiene el resultado usando la opción 4 del menú de opciones, Utilizamos un do while para repetir el proceso n veces. 3. DOCUMENTACION: #include<stdio.h> Librerías #include<conio.h> #include<stdlib.h> int i,op,opc,conta,p,contav; Declaración de float tv,venta,valo,tore,tore1,tore2,sumto; variables void borde() { for(i=1;i<=80;i++) { gotoxy(i,1);printf("*"); 4. gotoxy(i,24);printf("*"); } Función borde for(i=1;i<=24;i++) {
  • 63.
    gotoxy(1,i);printf("*"); gotoxy(80,i);printf("*"); } } void v1(int venta) { Iniciodel if if(venta<8500) { } else { if(venta>=8500 && venta<=13500) { tv=venta*0.03; gotoxy(10,11); printf("la comision es: %f",tv); } else { Proceso del if con el caso if(venta>13500 && venta<=18000) contrario e impresiones de { resultados tv=venta*0.08; gotoxy(10,11); printf("la comision es: %f",tv); } else { tv=venta*0.11; gotoxy(10,11); printf("la comision es : %f",tv); } } } } void main() Inicio del programa principal { p=0; Inicio del do do { p=p+1; clrscr(); borde(); gotoxy(10,3);printf("COMISION DE VENTAS DE VEHICULOS EMPRESA XYZ "); Impresión del menu gotoxy(18,5);printf("1.Vendedor 1"); gotoxy(18,6);printf("2.Vendedor 2"); gotoxy(18,7);printf("3.Vendedor 3"); gotoxy(18,8);printf("4.Total de ventas"); gotoxy(18,9);printf("5.Salir"); gotoxy(18,12);printf("Elija opcion: ");scanf("%d",&op); switch(op) Inicio del switch para el { menu
  • 64.
    conta=0; contav=0; Igualación de variablesa 0 valo=0; do Comienzo del do { case 1: clrscr(); Lectura e borde(); impresión conta=conta+1; del gotoxy(10,5);printf("Vendedor 1: ");scanf("%f",&venta); vendedor gotoxy(15,20);printf("Ingresar otra venta 1 sino 0: ");scanf("%d",&opc); 1 contav=contav+1; gotoxy(10,8); printf("total de ventas: %d",contav); v1(venta); Llamado de la fusión valo=valo+venta; Contador del total vendido venta=venta+venta; gotoxy(10,10); printf("total ventas: %2.2f",venta); tore=venta+tv; gotoxy(10,12); printf("Total a recibir: %2.2f",tore); } while(opc==1); Fin del do break; do { case 2: clrscr(); Lectura e borde(); impresión conta=conta+1; del gotoxy(10,5);printf("Vendedor 2: ");scanf("%f",&venta); vendedor gotoxy(15,20);printf("Ingresar otra venta 1 sino 0: ");scanf("%d",&opc); 1 contav=contav+1; gotoxy(10,8); printf("total de ventas: %d",contav); v1(venta); valo=valo+venta; Contador del total vendido venta=venta+venta; gotoxy(10,10); printf("total ventas: %f",venta); tore1=venta+tv; gotoxy(10,12); printf("Total a recibir: %2.2f",tore1); } while(opc==1); Fin del do break; do { case 3: clrscr(); Lectura e borde(); impresión conta=conta+1; del gotoxy(10,5);printf("Vendedor 3: ");scanf("%f",&venta); vendedor 1 Llamado de la fusión
  • 65.
    gotoxy(15,20);printf("Ingresar otra venta1 sino 0: ");scanf("%d",&opc); contav=contav+1; gotoxy(10,8); printf("total de ventas: %d",contav); v1(venta); valo=valo+venta; Contador del total vendido venta=venta+venta; gotoxy(10,10); printf("total ventas: %f",venta); tore2=venta+tv; gotoxy(10,12); printf("Total a recibir: %2.2f",tore2); } while(opc==1); Fin del do break; case 4: clrscr(); Contador del total vendido borde(); de los 3 vendedores sumto=tore+tore1+tore2; gotoxy(15,8);printf("Total general de los 3 vendedrores: %2.2f",sumto); break; case 5: exit(0); break; } gotoxy(15,22);printf("VOLVER AL MENU 1 SALIR 0: ");scanf("%d",&op); }while(op==1); Fin del do getch(); } 5. CORRIDO DEL PROGRAMA:
  • 66.
    PROGRAMA 31 1. ENUNCIADO: Diseñeun programa permita obtener el valor a pagar por concepto consumo de agua potable según el siguiente condicionamiento. Se ingresa desde teclado el nombre del abonado y las lecturas del medidor del mes anterior y del mes actual, considerando siempre que la lectura actual no puede ser menor que la anterior, la diferencia entre las dos lecturas me permite obtener el consumo actual las mismas que tiene el siguiente condicionamiento  Si el consumo es ≤ 30 litros de agua, se le factura el valor mínimo que son Usd. 6,00  Si el consumo es > 30 y ≤ que 200 se cobra, 1,50 centavos cada litro de agua  Si el consumo es > 200 litros se cobra 2,75 cada litro  A este importe total obtenido se le añade los impuestos de ley  5% Basurero  %5 IECE
  • 67.
     3% Municipio Obtenga el costo total de la factura El programa debe funcionar para n usuarios al final se visualiza el número total de usuarios recaudados y el valor total recaudado. 2. ANALISIS: utilizamos funciones para realizar el pago de agua potable rigiéndose a cada una de los condicionamientos que nos pide ahí, siempre y cuando no olvidar el borde y el DO WHILE para generar n veces el programa. 3. DOCUMENTACION: #include<stdio.h> #include<conio.h> #include<stdlib.h> int i,op,usu; float lan,lac,total,to,bas,muni,iece,fac,total1=6.00,factu1,factu2,factu3,facto; char nombre[30]; void borde() { for(i=2;i<=80;i++) { gotoxy(i,2); printf("*"); gotoxy(i,23); printf("*"); } for(i=2;i<=23;i++) Función borde { gotoxy(2,i); printf("*"); gotoxy(80,i); printf("*"); } } Inicio del programa principal void main() { do Inicio del do { clrscr(); borde(); gotoxy(30,3);printf("FACTURA DE AGUA POTABLE"); gotoxy(3,5);printf("INGRESE EL NOMBRE DE LA CUENTA...: ");scanf("%s",&nombre); do { gotoxy(37,6);printf(" "); gotoxy(37,7);printf(" "); gotoxy(3,6);printf("INGRESE LECTURA ANTERIOR.........: ");scanf("%f",&lan); gotoxy(3,7);printf("INGRESE LECTURA ACTUAL...........: ");scanf("%f",&lac); } Ingreso de nombre lectura actual y anterior; utilización de un do para que el valor de lectura actual sea mayor que lectura anterior
  • 68.
    while (lac<lan); total=lac-lan; gotoxy(5,11);printf("NUMERO DELITROS CONSUMIDOS....: %f",total); if(total<=30) { bas=total1*0.05; iece=total1*0.05; muni=total1*0.03; fac=total1+bas+iece+muni; factu1=factu1+fac; gotoxy(5,13);printf("VALOR A PAGAR DE AGUA POTABLE...: %f",total1); gotoxy(5,14);printf("VALOR A PAGAR DE BASURERO.......: %f",bas); gotoxy(5,15);printf("VALOR A PAGAR DE IECE...........: %f",iece); gotoxy(5,16);printf("VALOR A PAGAR DE MUNICIPIO......: %f",muni); gotoxy(5,17);printf("VALOR A PAGAR DE FACTURA........: %f",fac); gotoxy(5,19);printf("TOTAL DE RECAUDACION............: %f",factu1); } else { if((total>30)&&(total<=200)) { to=total*1.50; bas=to*0.05; iece=to*0.05; muni=to*0.03; fac=to+bas+iece+muni; gotoxy(5,13);printf("VALOR A PAGAR DE AGUA POTABLE...: %f",to); gotoxy(5,14);printf("VALOR A PAGAR DE BASURERO.......: %f",bas); gotoxy(5,15);printf("VALOR A PAGAR DE IECE...........: %f",iece); gotoxy(5,16);printf("VALOR A PAGAR DE MUNICIPIO......: %f",muni); gotoxy(5,17);printf("VALOR A PAGAR DE FACTURA........: %f",fac); factu2=factu2+fac; gotoxy(5,19);printf("TOTAL DE RECAUDACION...: %f",factu2); } else { if(total>200) { to=total*1.50; bas=to*0.05; iece=to*0.05; muni=to*0.03; fac=to+bas+iece+muni; gotoxy(5,13);printf("VALOR A PAGAR DE AGUA POTABLE...: %f",to); gotoxy(5,14);printf("VALOR A PAGAR DE BASURERO.......: %f",bas); gotoxy(5,15);printf("VALOR A PAGAR DE IECE...........: %f",iece); gotoxy(5,16);printf("VALOR A PAGAR DE MUNICIPIO......: %f",muni); gotoxy(5,17);printf("VALOR A PAGAR DE FACTURA........: %f",fac); Inicio del if Cálculos Impresión de resultados Caso contrario Inicio del if Impresión de resultados Caso contrario Inicio del if Cálculos Impresión de resultados
  • 69.
    factu3=factu3+fac; gotoxy(5,19);printf("TOTAL DE RECAUDACION...:%f",factu3); } usu=usu+1; gotoxy(2,22);printf("otro usuario 1 y 0 para salir");scanf("%d",&op); } while(op==1); facto=factu1+factu2+factu3; gotoxy(5,18);printf("TOTAL DE USUARIOS......: %d",usu); gotoxy(5,19);printf("TOTAL DE RECAUDACION...: %f",facto); getch(); 4. CORRIDO DEL PROGRAMA: Contador Contador Impresión de recaudacion
  • 70.
    PROGRAMA 32 1. ENUNCIADO Diseñeun programa utilizando funciones que me permita ingresar 3 valores enteros desde teclado entre 4 y 64 y presentarlos en forma ordenada ascendentemente. 2. ANALISIS: Utilizaremos varias funciones con condiciones if para hacer las comparaciones y para validar los datos y no olvidemos también para que el proceso se repita n veces 3. DOCUMENTACION #include<stdio.h> LIBRERIAS #include<conio.h> int i,a,b,c,op; Declaracion de variables void borde() { for(i=1;i<=80;i++) inicio del for { gotoxy(i,1);printf("-"); gotoxy(i,24);printf("-"); } for(i=1;i<=24;i++) { Impresión del margen gotoxy(1,i);printf("-"); gotoxy(80,i);printf("-"); } } void numero() Inicio de la función void main { do Inicio del do { gotoxy(24,4);printf(" "); gotoxy(15,4);printf("Numero 1; ");scanf("%d",&a); Validación de datos } while(a>64 || a<4); Ingreso y escaneo de datos el do segundo numero { gotoxy(24,5);printf(" "); gotoxy(15,5);printf("Numero 2: ");scanf("%d",&b); } while(b>64 || b<4);
  • 71.
    do { gotoxy(24,6);printf(" "); gotoxy(15,6);printf("Numero 3: ");scanf("%d",&c); }while(c>64|| c<4); } void orden() Inicio de la función void orden { if(a<=b && a<=c) { if(b<=c) { gotoxy(15,8);printf("%d %d %d",a,b,c); } if para que los números if(c<=b) ingresados estén en { forma ordenada gotoxy(15,8);printf("%d %d %d",a,b,c); ascendentemente. } } if(b<=a && b<=c) { if(a<=c) { gotoxy(15,8);printf("%d %d %d",b,a,c); } if(c<=a) { gotoxy(15,8);printf("%d %d %d",b,c,a); } } if para que los números if(c<=a && c<=b) ingresados estén en { forma ordenada if(a<=b) ascendentemente. { gotoxy(15,8);printf("%d %d %d",c,a,b); } if(b<=a) { gotoxy(15,8);printf("%d %d %d",c,b,a); } } gotoxy(15,7);printf("El orden es:");
  • 72.
    } void main() { do { clrscr(); borde(); numero(); orden(); Inicio delprograma Blanqueo de pantalla Llamar al borde Llamar a la función numero Llamar a la función orden getch(); gotoxy(15,22);printf("Desea salir 1/0: ");scanf("%d",&op); }while(op==1); } 4. CORRIDO DEL PROGRAMA Fin del programa