Esp. Sistemas Y
 Computación


          Introducción A La
          Programación




          CENTER OF HELP




                           Esp. Sistemas Y Computación
Introducción A La Programación                               Esp. Sistemas Y Computación


                                  LA PROGRAMACIÓN
La programación es establecer una serie de instrucciones para que el ordenador o
computadora las ejecute.

Para diseñar y elaborar una programación se deben ejecutar varias etapas, que son las
siguientes:

       Analizar: Se debe entender claramente el problema.
       Solución General: Escribir los pasos o procedimientos para solucionar el problema,
        diseñando un algoritmo.
       Prueba: Prueba de escritorio.
       Implementación Específica: el algoritmo debe ser traducido a un lenguaje de
        programación, debe ser codificado.
       Prueba: el programa debe ser ejecutado en la computadora y corregido si es
        necesario.
       Uso: Debe ser utilizado para la necesidad que fue elaborado.

                                PROCESO DE DISEÑO DE UN PROGRAMA

                                                        Entiendo El Problema.


                 Análisis Del                          Identifico Los Datos De
                 Problema.                                     Entrada.

                                                       Identifico Los Datos De
                                                        Salidas y Respuestas.

            Diseño Del Algoritmo.
                                                           Codificación En
                                                             Programa.


                                                       Ejecución Del Programa.
           Verificación Manual Del
                  Algoritmo.
                                                           Verificación Del
                                                             Programa.
             Fase De Resolución
                                                       Identifico Los Datos De
                                                        Salidas y Respuestas.
                                                                                             1




                                                       Fase De Implementación
                                                                                             Página




Center Of Help                    Instituto Técnico Industrial                     2010
Introducción A La Programación                                Esp. Sistemas Y Computación

Como resultado de la fase de resolución tenemos el diseño y la estructura del algoritmo, y
como resultado de la fase de implementación es la parte en la que damos como resultado el
programa.

    Análisis Del Problema: se debe estudiar cuidadosamente el problema para así
     entenderlo y saber cuál es su solución.

    Diseño Del Algoritmo: se debe diseñar la estructura del algoritmo, determinando las
     instrucciones para resolver el problema. Las herramientas más usuales para elaborar un
     algoritmo son los diagramas de flujo y el seudocódigo.

    Verificación Del Algoritmo: Se debe revisar que el algoritmo cumpla con todas las
     condiciones para que produzca correctos resultados, Es necesaria la verificación
     manual.

                                             ALGORITMO

¿Qué es un algoritmo?
Un algoritmo es una serie de actividades y acciones que realizamos para llegar a la
solución de un problema.

¿Qué características presenta un algoritmo?
    Precisó.
    Finito. (debe tener un final.)
    Definido.
    Posee Tres partes :
                          Entrada.
                          Proceso.
                          Salida.



                           Herramientas De Programación
Existen dos herramientas usuales que se utilizan para elaborar algoritmos, ellas son:

DIAGRAMAS DE FLUJO
Los diagramas de flujo son una manera de representar visualmente el flujo de datos a través de
sistemas de tratamiento de información. Los diagramas de flujo describen que operaciones y
en que secuencia se requieren para solucionar un problema dado.
                                                                                                 2
                                                                                                 Página




Center Of Help                    Instituto Técnico Industrial                        2010
Introducción A La Programación                              Esp. Sistemas Y Computación

Reglas para crear un diagrama de flujo:

  1. Los Diagramas de flujo deben escribirse de arriba hacia abajo, y/o de izquierda a
     derecha.
  2. Los símbolos se unen con líneas, las cuales tienen en la punta una flecha que
     indica la dirección que fluye la información procesos, se deben de utilizar
     solamente líneas de flujo horizontal o verticales (nunca diagonales).
  3. Se debe evitar el cruce de líneas, para lo cual se quisiera separar el flujo del
     diagrama a un sitio distinto, se pudiera realizar utilizando los conectores. Se debe
     tener en cuenta que solo se van a utilizar conectores cuando sea estrictamente
     necesario.
  4. No deben quedar líneas de flujo sin conectar.
  5. Todo texto escrito dentro de un símbolo debe ser legible, preciso, evitando el
     uso de muchas palabras.
  6. Todos los símbolos pueden tener más de una línea de entrada, a excepción del
     símbolo final.
  7. Solo los símbolos de decisión pueden y deben tener más de una línea de flujo de
     salida.
  8. Los símbolos de inicio y final solo deben aparecer una sola vez.
  9. Cada rombo de decisión debe tener como mínimo dos líneas de salida.

                 SÍMBOLOS PARA DISEÑAR UN DIAGRAMA DE FLUJO
                      Indica el inicio o final                     Indica cada una de las
                      del diagrama de flujo.                       variables.

                      Indica una acción o                          Indica  operaciones
                      un proceso.                                  lógicas    o     de
                                                                   comparación.
                      Indica los datos de                          Indica el enlace entre
                      entrada o salida.                            dos o más partes de
                                                                   un diagrama.
                      Indica      que     el                       Indican          El
                      resultado        será                        Seguimiento Lógico
                      presentado en la                             Del diagrama
                      pantalla o impreso.

SEUDOCÓDIGO

Es un lenguaje algorítmico de fácil redacción del algoritmo .Es una imitación del
lenguaje de las computadoras, su utilización es fácil ya que es un lenguaje muy natural
similar al nuestro.
                                                                                            3




Se debe tener en cuenta los símbolos usados como operadores aritméticos, los
                                                                                            Página




identificadores, los comentarios y la sangría.


Center Of Help                   Instituto Técnico Industrial                     2010
Introducción A La Programación                            Esp. Sistemas Y Computación

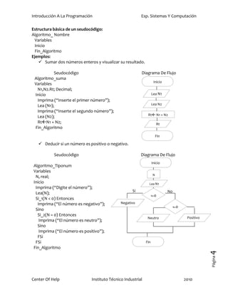
Estructura básica de un seudocódigo:
Algoritmo_ Nombre
  Variables
  Inicio
  Fin_Algoritmo
Ejemplos:
     Sumar dos números enteros y visualizar su resultado.

           Seudocódigo                                    Diagrama De Flujo
 Algoritmo_suma
                                                                     Inicio
 Variables
  N1,N2.Rt; Decimal;
 Inicio                                                             Lea N1
  Imprima (“Inserte el primer número”);
  Lea (N1);                                                         Lea N2
  Imprima (“Inserte el segundo número”);
                                                               Rt N1 + N2
  Lea (N2);
  RtN1 + N2;                                                           Rt
 Fin_Algoritmo
                                                                        Fin

    Deducir si un número es positivo o negativo.

           Seudocódigo                                    Diagrama De Flujo
                                                                    Inicio
 Algoritmo_Tiponum
 Variables
                                                                    N
  N, real;
 Inicio                                                         Lea N1
  Imprima (“Digite el número”);
                                                     Si                       No
  Lea(N);
                                                                    N<0
  Si_1(N < 0) Entonces
   Imprima (“El número es negativo”);          Negativo
                                                                                   N=0
  Sino
                                                                                   00
   Si_2(N = 0) Entonces
                                                               Neutro                     Positivo
    Imprima (“El número es neutro”);
   Sino
    Imprima (“El número es positivo”);
   FSi
  FSi                                                         Fin
 Fin_Algoritmo
                                                                                                     4
                                                                                                     Página




Center Of Help                 Instituto Técnico Industrial                              2010
Introducción A La Programación                             Esp. Sistemas Y Computación

    Deducir el salario de un trabajador a partir de la lectura de su nombre, precio de
     la hora, horas trabajadas y sabiendo que los descuentos corresponden al 10% del
     salario bruto.

                 Seudocódigo

        Algoritmo_Salario
        Variables
          Nom; Cadena;
          Ht;Entero;
          Sb,Sn,Vh,Des;Real;
        Inicio
          Imprima (“Digite El Nombre Del Trabajador”);
          Lea (Nom);
          Imprima (“Digite El Número De Horas trabajadas”);
          Lea (Ht);
          Imprima (“Digite el valor de la hora”);
          Lea (Vh);
          SbHt*Vh
          DesSb*0.1
          SnSb-Des
          Imprima (“Nombre Del Trabajador”, Nom);
          Imprima (“Salario Básico”, Sb);
          Imprima (“Descuento Total”, Des);
          Imprima (“Total A Pagar”, Sn);
        Fin_Algoritmo

             Diagrama De Flujo
                                           Inicio


                                     Nom,Ht,Sb,Sn,Vh,Des


                                         Lea Nom
                                          Lea Ht
                                          Lea Vh

                                    SbHt*Vh
                                    DesSb*0.1
                                    SnSb-Des


                                     Nom, Sb, Des, Sn
                                                                                          5
                                                                                          Página




                                            Fin



Center Of Help                 Instituto Técnico Industrial                     2010
Introducción A La Programación                              Esp. Sistemas Y Computación

 Leer un número y escribir si es mayor que 1000.

          Seudocódigo                                         Diagrama De Flujo

     Algoritmo_MaMil
     Variables                                                        Inicio
        N,Entero;
     Inicio                                                           N
       Imprima (“Digite el número”);
       Lea (“N”);                                                    Lea N

       Si(N>1000) Entonces                            Si                          No
         Imprima (“Es Mayor”);                                      N>1000
       Sino
         Imprima (“Es Menor”);
       FSi                                       Mayor                                 Menor
      Fin_Algoritmo
                                                                     N


                                                                     Fin


                                   OPERACIONES BÁSICAS

       Identificadores y Palabras Reservadas: Son los nombres que se le dan a los
        programas, rutinas o subprogramas, variables, constantes; los nombres deben
        comenzar con la letra, en lo posible se recomienda usar un identificador
        significativo, algunos programas permiten el subrayado.
        Ejemplos:
                         Total_Pagar
                         Saldo_Basico
                         VN
                         SuVe
          Las palabras reservadas son claves propios de un lenguaje o algoritmo, no se permite
          usar como identificadores.
          Ejemplos:
                           Inicio.
                           Fin.
                           Mientas
                                                                                                 6




                           Haga.
                                                                                                 Página




                           Si.


   Center Of Help                  Instituto Técnico Industrial                         2010
Introducción A La Programación                               Esp. Sistemas Y Computación


                    Entonces.
    Constantes: son datos cuyo valor no cambia durante el desarrollo del programa,
     su tipo depende del tipo de dato al cual pertenezca, sé deben declarar usando
     un identificador.
     Ejemplos:
                    A=b
                    St=423.236
     Variables: son datos que pueden cambiar su valor en el transcurso de la ejecución del
     programa. Al declarar las variables se usa un identificador. Debe aclarar el tipo (real,
     cadena, entero, carácter, lógica). Reservándose una posición en la memoria del
     computador la cual queda etiquetado con el identificador asignado.
     Ejemplos:
                       Num-Empleados
                       Suma-Sueldo
                       Carta-Alumno
    Cabecera De Un Programa:
                       Nombre del programa o Algoritmo.
                       Declaración de constantes variables y tipo de datos.
                       Declaración de subprogramas
     Ejemplo:
     Algoritmo_nombre
     Const
       Cons 1: valor 1
     Variables
        Variables 1: real
     Inicio
       Acciones o Instrucciones
     Fin_Algoritmo

    Operaciones Aritméticas:
         Operaciones aritméticas:
            Símbolo Operaciones            Tipo De Operaciones        Tipo De Resultado
            ^         exponenciación       Entero – Real              Entero – Real
            *         Multiplicación       Entero – Real              Entero – Real
            /         División             Entero – Real              Entero – Real
            +         Suma                 Entero – Real              Entero – Real
            -         Resta                Entero – Real              Entero – Real
            Div ()   División Entera      Entero                     Entero (Cociente)
            Mod       Modulo               Entero                     Entero (Residuo)
                                                                                                7
                                                                                                Página




Center Of Help                   Instituto Técnico Industrial                        2010
Introducción A La Programación                                   Esp. Sistemas Y Computación

Ejemplos:

                       Expresión                 Resultado
                         5^8                      390.625
                         5*5                         25
                       10.5 / 3.0                   3.5
                       265 + 658                    923
                       659 - 365                    294
                        30 Div 5                     6
                       12 Mod 5                       2


     Jerarquía De Las Operaciones Aritméticas:

            
                     Operador                     Orden                        Operación
                          ^                       Mayor                      Potenciación
                         *, /                                          Multiplicación , División
                         +,-                                                  Suma, Resta
                    Div () , Mod                 Menor                División Entera , Modulo


               Reglas:
                               Las operaciones se ejecutan de acuerdo a su jerarquía.
                               Si las operaciones tienen igual nivel de jerarquía, se realizan de
                                izquierda a derecha.
                               Si en una expresión se encuentran paréntesis, se realizan las
                                operaciones internas teniendo en cuenta la jerarquía; si son
                                varios paréntesis se comienza de adentro hacia afuera.


                                        Actividad Práctica

   1) Cuáles    de los siguientes identificadores son válidos:
                Renta 
                SUMA-ALUM X
                A+NOTAS X
                Salario básico X
                NOM_APELL 
                R2D2
                4Suma
                N 
                                                                                                     8




                SALB1
                                                                                                     Página




Center Of Help                      Instituto Técnico Industrial                           2010
Introducción A La Programación                                        Esp. Sistemas Y Computación

   2) Evaluar las siguientes expresiones:
      2*3+5                          5+6/2+3                                      25 Div 7
                                            3                                       3.57
       6                               8
         11                               11

      3 + 6 * 14                    (8 + 3) * (40 – (7 * 4))       7 * 10 – 15 Mod 3 * 4 + 9
           84                         11             28              70              12
        87                                       12                     55              21
                                           132                                  13

      8+7*3+4*6                   (7 * (10 – 5) Mod 3) * 4 + 9             2^3+5*3^2
          21  24                          5                                 8      9
       29                            45                                         45
           53                           0                                    53
                                               0
                                                    9

      5 * (75 / 15) + 4 * (4 – 1) + 2 * (7 + 4)        4*7+2^3/4-5                  5 Mod 5
             5               3             11                 8                        1
         25             12           22                 28
                 37                                             2
                          59                               30
                                                                  28



        5 + (3 * 8) + 1            6 /3 * 8 / 2          25 Mod 7                  3 + 4 *(8 + 2)
               24                    2     4                 4                              10
           29                           8                                                40
                30                                                                    43



      (3 +2) * (8 + 2)                 8/2*3/6                 (2 + 3) ^ 3 + 3
          5       10                    4   2                      5
             50                           8                           125
                                                                            128

   3) Convertir las siguientes expresiones en forma algorítmica:
                                                                                                           1




                    = ((M+N) / P) / ((Q-R) / 5)
                                                                                                           Página




Center Of Help                       Instituto Técnico Industrial                                   2010
Introducción A La Programación                                        Esp. Sistemas Y Computación


                       =      M + (N / (P - Q)


         5 + (X + Y) = 5 + (X + Y)

                      = (A ^ 2) + (B ^ 2)

     (            )    = ((3 / 5) + 2 / 7) * 3



                                           EXPRESIONES LÓGICAS
Estas expresiones pueden tomar dos valores, verdadero o falso. Se forman combinando
constantes y variables con operadores lógicos y relacionales ed gran utilidad en las estructuras
de control.
     Operadores de relación: permite expresar comparaciones entre expresiones, su
       resultado será verdadero o falso.
                           Expresion1 Operador de relación Expresion2


         Operador          Significado      Expresión Expresión Expresión                 Resultado
             =             Igual                                lógica
            <>             Diferente a           5        10          5<10                  Verdadero
            >=             Mayor o              12        23         12>23                  verdadero
                           igual que            25        25         25=25                  Verdadero
             <=            Menor o
                                               510        52       510<=25                    falso
                           igual que
                                               568       568      568>=568                    Falso
              >            Mayor que
                                                6         6          6<>6                     Falso
              <            Menor que

     Operadores Lógicos: permiten relaciones lógicas, se representan condiciones
      compuestas. Su respuesta debe ser sí o no.


Operador Lógico                          Expresión Lógica                 Significado
No                                       No p                             Negación de P; no P es
                                                                          falso si P es verdadero; no
                                                                          P es verdadero si P es falso.
Y                                        Pyq                              Conjunción de P y Q; P y Q
                                                                          es verdadero si P y Q
                                                                          verdaderos;      falso    en
                                                                          cualquier otro caso.
o                                        Poq                              Disyunción de P y Q: P o Q
                                                                                                          2
                                                                                                          Página




                                                                          es verdadero ; falso en
                                                                          cualquier otro caso


Center Of Help                             Instituto Técnico Industrial                         2010
Introducción A La Programación                                  Esp. Sistemas Y Computación



                                            Ejercicio
           o   Deducir el valor lógico de las siguientes expresiones.
                      (4.5 > x) y (z < x + 7.5)

                      (1 > 0)y (3 = 3)
                          F      v
                            F
                      No(5 <> 5)
                           V
                      (5 <= 7) y (2 > 4)
                          V        V
                              V
                      (0 < 5) o (0 > 5)
                          V        V
                              V

                            INSTRUCCIONES DE ASIGNACIÓN
Su símbolo es, se utiliza para asignar valores a variables o cambiar el valor almacenado.
                         Nombre De La Variable  Expresión Asignada

Las operaciones de asignación almacenan un nuevo valor y borran el que tenía la variable. A5
          B6
          AA+B
          A11
También es posible utilizar el nombre de las variables para la asignación.
AA + 5
     Asignación aritmética: A2 * 6 + 3
     Asignación lógica: A 5<>6
     Asignación de caracteres: Mar “Marcela”

                                           Ejercicio
    Hallar el valor A después de las siguientes ejecuciones:
    A3
     B4                                               A2
     CA+2*B                                              ACuadrado(A+A)
     BC-A                                                ARaíz    cuadrada(A         +     raíz
     AB*C                                                cuadrada(A)+5)
                                                                                                    3




     ¿Valor de A? : 88
                                                                                                    Página




Center Of Help                     Instituto Técnico Industrial                            2010
Introducción A La Programación                                  Esp. Sistemas Y Computación

    Determinar la hipotenusa de un triángulo rectángulo conociendo las longitudes de sus
     catetos:
     Algoritmo_hipotenusa
     Variables
        C1,C2,Hipo;Real
     Inicio
        Imprima (“ingrese el valor del primer cateto”);
        Lea (C1);
        Imprima (“ingrese el valor del segundo cateto”);
        Lea (C2);
        Hipo(C1^2+C2^2)* 0.05;
        Imprima (“el valor de la hipotenusa Es:”, Hipo);
     Fin_Algoritmo

                                                TALLER
          1.   Cuál es el valor de las variables A y B después de la ejecución de las
               instrucciones:
                    A5                                                   A10
                       BA+6                                                 B5
                       AA+1                                                 AB
                       BA-5                                                 BA
                       A: 6 B: 1                                             A: 5 B: 10

                    A3                                                 A5
                     B20                                                 BA*2
                     CA+B                                                CB/2
                     BA+B                                                BA+C
                     AB                                                  AC
                     A: 23 B: 23                                          A: 5 B: 10



          2. Escribir las instrucciones necesarias para intercambiar entre si el valor de las
             variables: A, B, C, usando una sola variables auxiliar temporal: A toma el valor
             De B; C toma el valor de A; B toma el valor de C.
          3. Determinar el valor lógico de las siguientes expresiones:
                  (4.5 > 7) y (z < 7 + 7.5)
                           V
                  M5>2
                        F
                                                                                                 1
                                                                                                 Página




                    ((2<=4) y (4>3)) o (3=2)


Center Of Help                     Instituto Técnico Industrial                           2010
Introducción A La Programación                               Esp. Sistemas Y Computación

                         F       F
                             F
                                   F
                 No(5>5)
                           F
                 No(no(4=4) o (5>4))
                               V       f
                           V         f
                                v
          4. Realizar los siguientes algoritmos. indicar comentarios mostrando las
             operaciones de asignación, comparación y lógica, aritmética.
                 Calcule la suma de los enteros desde 1 a 10
                                            Inicio




                  Que lea los datos personales de un estudiante , determine si es mayor o
                    menor de edad:
                    Algoritmo_Medad
                    Variables
                       Ed; Enteró;
                   Inicio
                       Imprima (“digite edad del alumno”);
                       Lea (ed);
                       Si(ed>18) entonces
                       Imprima (“es mayor de edad”):
                       Sino
                       Imprima (“es menor De Edad”);
                                                                                             1
                                                                                             Página




                    Fin_Algoritmo



Center Of Help                   Instituto Técnico Industrial                        2010
Introducción A La Programación                               Esp. Sistemas Y Computación

                                      TIPOS DE DATOS

Los datos que utilizan los programas simples o compuestos.

    Tipo Entero: (simple) está conformado por el conjunto de los números enteros (los
     números naturales, sus negativos) y el número cero.
    Tipo Real: (simple) está conformado por el conjunto de números reales (números
     racionales e irracionales).
    Tipo lógico: (contra compuesto) son aquellos que solo pueden tomar uno de los dos
     valores, sí o no.
     Los valores verdadero o falso son contra compuestos, ósea que un dato lógico siempre
     está asociado a que algo se cumpla o no se cumpla.
    tipo Carácter: (simple) son aquellos que puede tomar por valor un carácter
     perteneciente al conjunto de los caracteres que puede representar el computador, en
     seudocódigo se representa entre comillas.
    Tipo Cadena: (compuesto) es aquel que puede tomar por valor una secuencia de
     caracteres.

                                OPERACIONES CON CADENAS

    Comparación de cadenas: se trata de comparaciones que inician desde la izquierda, su
     resultado debe ser falso o verdadero.
     ‘369’ <‘569’ verdadero
     ‘695’>‘213’ falso
    Concatenación de cadenas: consiste en unir dos o más cadenas. Sus símbolos son: + , &
     , //.
    Subcadenas: es una parte de la cadena.
     Función de la subcadena: subcadena (s1,s2,s3)
             S1 es la cadena de la cual se extrae la subcadena.
             S2 es la posición inicial de la subcadena.
             S3 es la posición final de la subcadena.
    Longitud: es el número de caracteres de una cadena, incluye espacios y signos.

                                           TALLER
           1.   Halla el valor de la frase:
                Var A; B; C, frase: cadena
                A‘Ciencia’
                B‘de las’
                C‘Computadoras’
                FraseA//B//C
                Rt: Ciencia de las Computadoras
                                                                                             2
                                                                                             Página




           2. Encontrar los resultados:



Center Of Help                    Instituto Técnico Industrial                     2010
Introducción A La Programación                                  Esp. Sistemas Y Computación

           o  Longitud (‘alfa’//‘beta’//‘gamma’)
             Rt: 15
           o Subcadena (‘sierra de carzola’,8,2)// (‘sierra de carzola’,11,7)
             Rt: de carzola.
           o Subcadena(‘madrid’,longitud(‘madrid’),-4)
              Rt:Madrid.
                                         ESTRUCTURAS SECUENCIALES
              Son aquellas que después de una acción ejecuta otra.
              Estructura:
              Algoritmo_nombre
             Variables
              Inicio
                  Acción
              Fin_Algoritmo


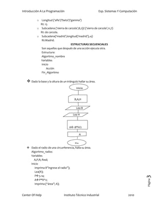
    Dado la base y la altura de un triángulo hallar su área.
                                             Inicio


                                           B,A,H


                                             Lea B

                                          Lea H



                                       A-B*H/2

                                               A


                                          Fin
    Dado el radio de una circunferencia, halla su área.
     Algoritmo_radioc
     Variables
       A,P,R; Real;
     Inicio
        Imprima 8”ingrese el radio”);
        Lea(R);
        P3.14;
                                                                                              3
                                                                                              Página




        AP*R^2;
        Imprima (“área”; A);


Center Of Help                    Instituto Técnico Industrial                      2010
Introducción A La Programación                                   Esp. Sistemas Y Computación

     Fin_Algoritmo
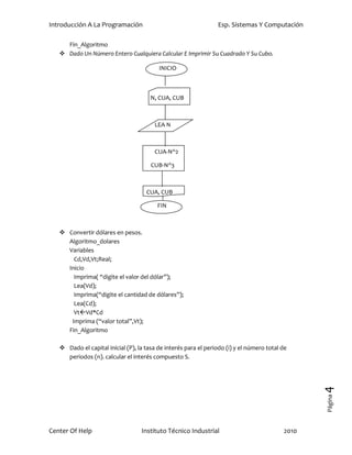
    Dado Un Número Entero Cualquiera Calcular E Imprimir Su Cuadrado Y Su Cubo.

                                          INICIO



                                       N, CUA, CUB



                                        LEA N



                                        CUA-N^2

                                       CUB-N^3



                                     CUA, CUB

                                         FIN



    Convertir dólares en pesos.
     Algoritmo_dolares
     Variables
       Cd,Vd,Vt;Real;
     Inicio
       Imprima( “digite el valor del dólar”);
       Lea(Vd);
       Imprima(“digite el cantidad de dólares”);
       Lea(Cd);
       VtVd*Cd
      Imprima (“valor total”,Vt);
     Fin_Algoritmo

    Dado el capital inicial (P), la tasa de interés para el periodo (i) y el número total de
     periodos (n). calcular el interés compuesto S.
                                                                                                  4
                                                                                                  Página




Center Of Help                     Instituto Técnico Industrial                            2010
Introducción A La Programación                          Esp. Sistemas Y Computación




                                                                                      5
                                                                                      Página




Center Of Help               Instituto Técnico Industrial                   2010

Proyecto de-programacion

  • 1.
    Esp. Sistemas Y Computación Introducción A La Programación CENTER OF HELP Esp. Sistemas Y Computación
  • 2.
    Introducción A LaProgramación Esp. Sistemas Y Computación LA PROGRAMACIÓN La programación es establecer una serie de instrucciones para que el ordenador o computadora las ejecute. Para diseñar y elaborar una programación se deben ejecutar varias etapas, que son las siguientes:  Analizar: Se debe entender claramente el problema.  Solución General: Escribir los pasos o procedimientos para solucionar el problema, diseñando un algoritmo.  Prueba: Prueba de escritorio.  Implementación Específica: el algoritmo debe ser traducido a un lenguaje de programación, debe ser codificado.  Prueba: el programa debe ser ejecutado en la computadora y corregido si es necesario.  Uso: Debe ser utilizado para la necesidad que fue elaborado. PROCESO DE DISEÑO DE UN PROGRAMA Entiendo El Problema. Análisis Del Identifico Los Datos De Problema. Entrada. Identifico Los Datos De Salidas y Respuestas. Diseño Del Algoritmo. Codificación En Programa. Ejecución Del Programa. Verificación Manual Del Algoritmo. Verificación Del Programa. Fase De Resolución Identifico Los Datos De Salidas y Respuestas. 1 Fase De Implementación Página Center Of Help Instituto Técnico Industrial 2010
  • 3.
    Introducción A LaProgramación Esp. Sistemas Y Computación Como resultado de la fase de resolución tenemos el diseño y la estructura del algoritmo, y como resultado de la fase de implementación es la parte en la que damos como resultado el programa.  Análisis Del Problema: se debe estudiar cuidadosamente el problema para así entenderlo y saber cuál es su solución.  Diseño Del Algoritmo: se debe diseñar la estructura del algoritmo, determinando las instrucciones para resolver el problema. Las herramientas más usuales para elaborar un algoritmo son los diagramas de flujo y el seudocódigo.  Verificación Del Algoritmo: Se debe revisar que el algoritmo cumpla con todas las condiciones para que produzca correctos resultados, Es necesaria la verificación manual. ALGORITMO ¿Qué es un algoritmo? Un algoritmo es una serie de actividades y acciones que realizamos para llegar a la solución de un problema. ¿Qué características presenta un algoritmo?  Precisó.  Finito. (debe tener un final.)  Definido.  Posee Tres partes :  Entrada.  Proceso.  Salida. Herramientas De Programación Existen dos herramientas usuales que se utilizan para elaborar algoritmos, ellas son: DIAGRAMAS DE FLUJO Los diagramas de flujo son una manera de representar visualmente el flujo de datos a través de sistemas de tratamiento de información. Los diagramas de flujo describen que operaciones y en que secuencia se requieren para solucionar un problema dado. 2 Página Center Of Help Instituto Técnico Industrial 2010
  • 4.
    Introducción A LaProgramación Esp. Sistemas Y Computación Reglas para crear un diagrama de flujo: 1. Los Diagramas de flujo deben escribirse de arriba hacia abajo, y/o de izquierda a derecha. 2. Los símbolos se unen con líneas, las cuales tienen en la punta una flecha que indica la dirección que fluye la información procesos, se deben de utilizar solamente líneas de flujo horizontal o verticales (nunca diagonales). 3. Se debe evitar el cruce de líneas, para lo cual se quisiera separar el flujo del diagrama a un sitio distinto, se pudiera realizar utilizando los conectores. Se debe tener en cuenta que solo se van a utilizar conectores cuando sea estrictamente necesario. 4. No deben quedar líneas de flujo sin conectar. 5. Todo texto escrito dentro de un símbolo debe ser legible, preciso, evitando el uso de muchas palabras. 6. Todos los símbolos pueden tener más de una línea de entrada, a excepción del símbolo final. 7. Solo los símbolos de decisión pueden y deben tener más de una línea de flujo de salida. 8. Los símbolos de inicio y final solo deben aparecer una sola vez. 9. Cada rombo de decisión debe tener como mínimo dos líneas de salida. SÍMBOLOS PARA DISEÑAR UN DIAGRAMA DE FLUJO Indica el inicio o final Indica cada una de las del diagrama de flujo. variables. Indica una acción o Indica operaciones un proceso. lógicas o de comparación. Indica los datos de Indica el enlace entre entrada o salida. dos o más partes de un diagrama. Indica que el Indican El resultado será Seguimiento Lógico presentado en la Del diagrama pantalla o impreso. SEUDOCÓDIGO Es un lenguaje algorítmico de fácil redacción del algoritmo .Es una imitación del lenguaje de las computadoras, su utilización es fácil ya que es un lenguaje muy natural similar al nuestro. 3 Se debe tener en cuenta los símbolos usados como operadores aritméticos, los Página identificadores, los comentarios y la sangría. Center Of Help Instituto Técnico Industrial 2010
  • 5.
    Introducción A LaProgramación Esp. Sistemas Y Computación Estructura básica de un seudocódigo: Algoritmo_ Nombre Variables Inicio Fin_Algoritmo Ejemplos:  Sumar dos números enteros y visualizar su resultado. Seudocódigo Diagrama De Flujo Algoritmo_suma Inicio Variables N1,N2.Rt; Decimal; Inicio Lea N1 Imprima (“Inserte el primer número”); Lea (N1); Lea N2 Imprima (“Inserte el segundo número”); Rt N1 + N2 Lea (N2); RtN1 + N2; Rt Fin_Algoritmo Fin  Deducir si un número es positivo o negativo. Seudocódigo Diagrama De Flujo Inicio Algoritmo_Tiponum Variables N N, real; Inicio Lea N1 Imprima (“Digite el número”); Si No Lea(N); N<0 Si_1(N < 0) Entonces Imprima (“El número es negativo”); Negativo N=0 Sino 00 Si_2(N = 0) Entonces Neutro Positivo Imprima (“El número es neutro”); Sino Imprima (“El número es positivo”); FSi FSi Fin Fin_Algoritmo 4 Página Center Of Help Instituto Técnico Industrial 2010
  • 6.
    Introducción A LaProgramación Esp. Sistemas Y Computación  Deducir el salario de un trabajador a partir de la lectura de su nombre, precio de la hora, horas trabajadas y sabiendo que los descuentos corresponden al 10% del salario bruto. Seudocódigo Algoritmo_Salario Variables Nom; Cadena; Ht;Entero; Sb,Sn,Vh,Des;Real; Inicio Imprima (“Digite El Nombre Del Trabajador”); Lea (Nom); Imprima (“Digite El Número De Horas trabajadas”); Lea (Ht); Imprima (“Digite el valor de la hora”); Lea (Vh); SbHt*Vh DesSb*0.1 SnSb-Des Imprima (“Nombre Del Trabajador”, Nom); Imprima (“Salario Básico”, Sb); Imprima (“Descuento Total”, Des); Imprima (“Total A Pagar”, Sn); Fin_Algoritmo Diagrama De Flujo Inicio Nom,Ht,Sb,Sn,Vh,Des Lea Nom Lea Ht Lea Vh SbHt*Vh DesSb*0.1 SnSb-Des Nom, Sb, Des, Sn 5 Página Fin Center Of Help Instituto Técnico Industrial 2010
  • 7.
    Introducción A LaProgramación Esp. Sistemas Y Computación  Leer un número y escribir si es mayor que 1000. Seudocódigo Diagrama De Flujo Algoritmo_MaMil Variables Inicio N,Entero; Inicio N Imprima (“Digite el número”); Lea (“N”); Lea N Si(N>1000) Entonces Si No Imprima (“Es Mayor”); N>1000 Sino Imprima (“Es Menor”); FSi Mayor Menor Fin_Algoritmo N Fin OPERACIONES BÁSICAS  Identificadores y Palabras Reservadas: Son los nombres que se le dan a los programas, rutinas o subprogramas, variables, constantes; los nombres deben comenzar con la letra, en lo posible se recomienda usar un identificador significativo, algunos programas permiten el subrayado. Ejemplos:  Total_Pagar  Saldo_Basico  VN  SuVe Las palabras reservadas son claves propios de un lenguaje o algoritmo, no se permite usar como identificadores. Ejemplos:  Inicio.  Fin.  Mientas 6  Haga. Página  Si. Center Of Help Instituto Técnico Industrial 2010
  • 8.
    Introducción A LaProgramación Esp. Sistemas Y Computación  Entonces.  Constantes: son datos cuyo valor no cambia durante el desarrollo del programa, su tipo depende del tipo de dato al cual pertenezca, sé deben declarar usando un identificador. Ejemplos:  A=b  St=423.236 Variables: son datos que pueden cambiar su valor en el transcurso de la ejecución del programa. Al declarar las variables se usa un identificador. Debe aclarar el tipo (real, cadena, entero, carácter, lógica). Reservándose una posición en la memoria del computador la cual queda etiquetado con el identificador asignado. Ejemplos:  Num-Empleados  Suma-Sueldo  Carta-Alumno  Cabecera De Un Programa:  Nombre del programa o Algoritmo.  Declaración de constantes variables y tipo de datos.  Declaración de subprogramas Ejemplo: Algoritmo_nombre Const Cons 1: valor 1 Variables Variables 1: real Inicio Acciones o Instrucciones Fin_Algoritmo  Operaciones Aritméticas:  Operaciones aritméticas: Símbolo Operaciones Tipo De Operaciones Tipo De Resultado ^ exponenciación Entero – Real Entero – Real * Multiplicación Entero – Real Entero – Real / División Entero – Real Entero – Real + Suma Entero – Real Entero – Real - Resta Entero – Real Entero – Real Div () División Entera Entero Entero (Cociente) Mod Modulo Entero Entero (Residuo) 7 Página Center Of Help Instituto Técnico Industrial 2010
  • 9.
    Introducción A LaProgramación Esp. Sistemas Y Computación Ejemplos: Expresión Resultado 5^8 390.625 5*5 25 10.5 / 3.0 3.5 265 + 658 923 659 - 365 294 30 Div 5 6 12 Mod 5 2  Jerarquía De Las Operaciones Aritméticas:  Operador Orden Operación ^ Mayor Potenciación *, / Multiplicación , División +,- Suma, Resta Div () , Mod Menor División Entera , Modulo  Reglas:  Las operaciones se ejecutan de acuerdo a su jerarquía.  Si las operaciones tienen igual nivel de jerarquía, se realizan de izquierda a derecha.  Si en una expresión se encuentran paréntesis, se realizan las operaciones internas teniendo en cuenta la jerarquía; si son varios paréntesis se comienza de adentro hacia afuera. Actividad Práctica 1) Cuáles de los siguientes identificadores son válidos:  Renta   SUMA-ALUM X  A+NOTAS X  Salario básico X  NOM_APELL   R2D2  4Suma  N  8  SALB1 Página Center Of Help Instituto Técnico Industrial 2010
  • 10.
    Introducción A LaProgramación Esp. Sistemas Y Computación 2) Evaluar las siguientes expresiones: 2*3+5 5+6/2+3 25 Div 7 3 3.57 6 8 11 11 3 + 6 * 14 (8 + 3) * (40 – (7 * 4)) 7 * 10 – 15 Mod 3 * 4 + 9 84 11 28 70 12 87 12 55 21 132 13 8+7*3+4*6 (7 * (10 – 5) Mod 3) * 4 + 9 2^3+5*3^2 21 24 5 8 9 29 45 45 53 0 53 0 9 5 * (75 / 15) + 4 * (4 – 1) + 2 * (7 + 4) 4*7+2^3/4-5 5 Mod 5 5 3 11 8 1 25 12 22 28 37 2 59 30 28 5 + (3 * 8) + 1 6 /3 * 8 / 2 25 Mod 7 3 + 4 *(8 + 2) 24 2 4 4 10 29 8 40 30 43 (3 +2) * (8 + 2) 8/2*3/6 (2 + 3) ^ 3 + 3 5 10 4 2 5 50 8 125 128 3) Convertir las siguientes expresiones en forma algorítmica: 1 = ((M+N) / P) / ((Q-R) / 5) Página Center Of Help Instituto Técnico Industrial 2010
  • 11.
    Introducción A LaProgramación Esp. Sistemas Y Computación = M + (N / (P - Q) 5 + (X + Y) = 5 + (X + Y) = (A ^ 2) + (B ^ 2) ( ) = ((3 / 5) + 2 / 7) * 3 EXPRESIONES LÓGICAS Estas expresiones pueden tomar dos valores, verdadero o falso. Se forman combinando constantes y variables con operadores lógicos y relacionales ed gran utilidad en las estructuras de control.  Operadores de relación: permite expresar comparaciones entre expresiones, su resultado será verdadero o falso. Expresion1 Operador de relación Expresion2 Operador Significado Expresión Expresión Expresión Resultado = Igual lógica <> Diferente a 5 10 5<10 Verdadero >= Mayor o 12 23 12>23 verdadero igual que 25 25 25=25 Verdadero <= Menor o 510 52 510<=25 falso igual que 568 568 568>=568 Falso > Mayor que 6 6 6<>6 Falso < Menor que  Operadores Lógicos: permiten relaciones lógicas, se representan condiciones compuestas. Su respuesta debe ser sí o no. Operador Lógico Expresión Lógica Significado No No p Negación de P; no P es falso si P es verdadero; no P es verdadero si P es falso. Y Pyq Conjunción de P y Q; P y Q es verdadero si P y Q verdaderos; falso en cualquier otro caso. o Poq Disyunción de P y Q: P o Q 2 Página es verdadero ; falso en cualquier otro caso Center Of Help Instituto Técnico Industrial 2010
  • 12.
    Introducción A LaProgramación Esp. Sistemas Y Computación Ejercicio o Deducir el valor lógico de las siguientes expresiones.  (4.5 > x) y (z < x + 7.5)  (1 > 0)y (3 = 3) F v F  No(5 <> 5) V  (5 <= 7) y (2 > 4) V V V  (0 < 5) o (0 > 5) V V V INSTRUCCIONES DE ASIGNACIÓN Su símbolo es, se utiliza para asignar valores a variables o cambiar el valor almacenado. Nombre De La Variable  Expresión Asignada Las operaciones de asignación almacenan un nuevo valor y borran el que tenía la variable. A5 B6 AA+B A11 También es posible utilizar el nombre de las variables para la asignación. AA + 5  Asignación aritmética: A2 * 6 + 3  Asignación lógica: A 5<>6  Asignación de caracteres: Mar “Marcela” Ejercicio  Hallar el valor A después de las siguientes ejecuciones:  A3 B4  A2 CA+2*B ACuadrado(A+A) BC-A ARaíz cuadrada(A + raíz AB*C cuadrada(A)+5) 3 ¿Valor de A? : 88 Página Center Of Help Instituto Técnico Industrial 2010
  • 13.
    Introducción A LaProgramación Esp. Sistemas Y Computación  Determinar la hipotenusa de un triángulo rectángulo conociendo las longitudes de sus catetos: Algoritmo_hipotenusa Variables C1,C2,Hipo;Real Inicio Imprima (“ingrese el valor del primer cateto”); Lea (C1); Imprima (“ingrese el valor del segundo cateto”); Lea (C2); Hipo(C1^2+C2^2)* 0.05; Imprima (“el valor de la hipotenusa Es:”, Hipo); Fin_Algoritmo TALLER 1. Cuál es el valor de las variables A y B después de la ejecución de las instrucciones:  A5  A10 BA+6 B5 AA+1 AB BA-5 BA A: 6 B: 1 A: 5 B: 10  A3  A5 B20 BA*2 CA+B CB/2 BA+B BA+C AB AC A: 23 B: 23 A: 5 B: 10 2. Escribir las instrucciones necesarias para intercambiar entre si el valor de las variables: A, B, C, usando una sola variables auxiliar temporal: A toma el valor De B; C toma el valor de A; B toma el valor de C. 3. Determinar el valor lógico de las siguientes expresiones:  (4.5 > 7) y (z < 7 + 7.5) V  M5>2 F 1 Página  ((2<=4) y (4>3)) o (3=2) Center Of Help Instituto Técnico Industrial 2010
  • 14.
    Introducción A LaProgramación Esp. Sistemas Y Computación F F F F  No(5>5) F  No(no(4=4) o (5>4)) V f V f v 4. Realizar los siguientes algoritmos. indicar comentarios mostrando las operaciones de asignación, comparación y lógica, aritmética.  Calcule la suma de los enteros desde 1 a 10 Inicio  Que lea los datos personales de un estudiante , determine si es mayor o menor de edad: Algoritmo_Medad Variables Ed; Enteró; Inicio Imprima (“digite edad del alumno”); Lea (ed); Si(ed>18) entonces Imprima (“es mayor de edad”): Sino Imprima (“es menor De Edad”); 1 Página Fin_Algoritmo Center Of Help Instituto Técnico Industrial 2010
  • 15.
    Introducción A LaProgramación Esp. Sistemas Y Computación TIPOS DE DATOS Los datos que utilizan los programas simples o compuestos.  Tipo Entero: (simple) está conformado por el conjunto de los números enteros (los números naturales, sus negativos) y el número cero.  Tipo Real: (simple) está conformado por el conjunto de números reales (números racionales e irracionales).  Tipo lógico: (contra compuesto) son aquellos que solo pueden tomar uno de los dos valores, sí o no. Los valores verdadero o falso son contra compuestos, ósea que un dato lógico siempre está asociado a que algo se cumpla o no se cumpla.  tipo Carácter: (simple) son aquellos que puede tomar por valor un carácter perteneciente al conjunto de los caracteres que puede representar el computador, en seudocódigo se representa entre comillas.  Tipo Cadena: (compuesto) es aquel que puede tomar por valor una secuencia de caracteres. OPERACIONES CON CADENAS  Comparación de cadenas: se trata de comparaciones que inician desde la izquierda, su resultado debe ser falso o verdadero. ‘369’ <‘569’ verdadero ‘695’>‘213’ falso  Concatenación de cadenas: consiste en unir dos o más cadenas. Sus símbolos son: + , & , //.  Subcadenas: es una parte de la cadena. Función de la subcadena: subcadena (s1,s2,s3) S1 es la cadena de la cual se extrae la subcadena. S2 es la posición inicial de la subcadena. S3 es la posición final de la subcadena.  Longitud: es el número de caracteres de una cadena, incluye espacios y signos. TALLER 1. Halla el valor de la frase: Var A; B; C, frase: cadena A‘Ciencia’ B‘de las’ C‘Computadoras’ FraseA//B//C Rt: Ciencia de las Computadoras 2 Página 2. Encontrar los resultados: Center Of Help Instituto Técnico Industrial 2010
  • 16.
    Introducción A LaProgramación Esp. Sistemas Y Computación o Longitud (‘alfa’//‘beta’//‘gamma’) Rt: 15 o Subcadena (‘sierra de carzola’,8,2)// (‘sierra de carzola’,11,7) Rt: de carzola. o Subcadena(‘madrid’,longitud(‘madrid’),-4) Rt:Madrid. ESTRUCTURAS SECUENCIALES Son aquellas que después de una acción ejecuta otra. Estructura: Algoritmo_nombre Variables Inicio Acción Fin_Algoritmo  Dado la base y la altura de un triángulo hallar su área. Inicio B,A,H Lea B Lea H A-B*H/2 A Fin  Dado el radio de una circunferencia, halla su área. Algoritmo_radioc Variables A,P,R; Real; Inicio Imprima 8”ingrese el radio”); Lea(R); P3.14; 3 Página AP*R^2; Imprima (“área”; A); Center Of Help Instituto Técnico Industrial 2010
  • 17.
    Introducción A LaProgramación Esp. Sistemas Y Computación Fin_Algoritmo  Dado Un Número Entero Cualquiera Calcular E Imprimir Su Cuadrado Y Su Cubo. INICIO N, CUA, CUB LEA N CUA-N^2 CUB-N^3 CUA, CUB FIN  Convertir dólares en pesos. Algoritmo_dolares Variables Cd,Vd,Vt;Real; Inicio Imprima( “digite el valor del dólar”); Lea(Vd); Imprima(“digite el cantidad de dólares”); Lea(Cd); VtVd*Cd Imprima (“valor total”,Vt); Fin_Algoritmo  Dado el capital inicial (P), la tasa de interés para el periodo (i) y el número total de periodos (n). calcular el interés compuesto S. 4 Página Center Of Help Instituto Técnico Industrial 2010
  • 18.
    Introducción A LaProgramación Esp. Sistemas Y Computación 5 Página Center Of Help Instituto Técnico Industrial 2010