SALARIO MINIMO LEGAL AÑO 2012   SALARIO MINIMO LEGAL MENSUAL  $566.700 DECRETO 4919  del 26  de diciembre  de 2011 AUMENTO  5.8065%    AUXILIO DE TRANSPORTE MENSUAL  $67.800 DECRETO  4963  del 30 de diciembre de 2011 AUMENTO  6.603%   SALARIO MINIMO LEGAL DIARIO  18.890.00     VALOR HORA DIURNA ORDINARIA  2.361.25   VALOR RECARGO NOCTURNO HORA  826.43   VALOR HORA EXTRA DIURNA  2.951.56   VALOR HORA EXTRA NOCTURNA  4.132.18   VALOR HORA ORDINARIA CON RECARGO NOCTURNO  3.187.93   DOMINICAL Y/O FESTIVO (8 HORAS)  33.057.50   VALOR HORA EXTRA DIURNA DOMINICAL Y/O FESTIVA  4.722.49   VALOR HORA EXTRA NOCTURNA DOMINICAL Y/O FESTIVA  5.903.11   SALARIO INTEGRAL: Mínimo 10 salarios MLMV más el 30% del Factor Prestacional.   COSTOS PRESTACIONES SOCIALES EN % MENSUAL   CESANTIAS 8.33% INTERESES SOBRE CESANTIAS 1.00% PRIMA DE SERVICIOS 8.33% VACACIONES (Excluido el auxilio de transporte) 4.16% APORTES SEGURIDAD SOCIAL INTEGRAL con el mínimo legal del año 2012 SEGURIDAD SOCIAL TOTAL EMPLEADOR TRABAJADOR PENSION 16% DECRETO  (12%) $68.004.00 (4%) $22.668.00 SALUD 12.5% (8.5%) $48.169.50 (4%) $22.668.00 RIESGOS PROFESIONALES 0.348 Mínimo APORTES PARAFISCALES A CARGO DEL EMPLEADOR con base en el salario mínimo legal 2012 ENTIDAD PORCENTAJE VALOR CAJA COMPENSACION FAMILIAR 4% $22.668.00 SENA 2% $11.334.00 I.C.B.F. 3% $17.001.00
HISTÒRICO SALARIOS MÍNIMOS FECHA DE VIGENCIA NÚMERO DE DECRETO SECTOR URBANO Crecimiento (%) Inflación SECTOR RURAL Subsidio de Transporte 01/01/1950 - 60 - - 60 - 01/01/1951 - 60 0 - 60 - 01/01/1952 - 60 0 - 60 - 01/01/1953 - 60 0 - 60 - 01/01/1954 - 60 0 - 60 - 01/01/1955 - 60 0 - 60 - 01/10/1956 2214 Sep./56 135 125 - 96 - 01/07/1957 2214 Sep./56 155,4 15,1 - 110 - 01/01/1958 2214 Sep./56 155,4 0 - 110 - 01/01/1959 2214 Sep./56 155,4 0 - 110 - 01/05/1960 1090 Abr./60 198 27,4 - 132 - 01/01/1962 2834 Nov./61 219 10,6 - 153 - 01/08/1962 1828 Jul./62 300 37 - 210 - 01/01/1963 236 y 240 Feb./63 420 40 - 270 - 01/08/1969 1233 Jul./69 519 23,6 - 300 - 01/01/1970 1233 Jul./69 519 0 6,6 300 - 01/01/1971 1233 Jul./69 519 0 14,1 300 - 13/04/1972 577 Abr./72 660 27,2 14 390 - 01/01/1973 577 Abr./72 660 0 24,1 390 - 01/01/1974 2680 Dic/73 900 36,4 26,4 690 - 08/11/1974 2394 Nov./74 1.200,00 33,3 1.020,00 - 01/01/1975 2394 Nov./74 1.200,00 0 17,8 1.020,00 - 30/07/1976 1623 Jul./76 1.560,00 30 25,8 1.320,00 - 01/01/1977 1623 Jul./76 1.770,00 13,5 28,7 1.500,00 - 01/08/1977 1623 Jul./76 1.860,00 5,1 1.590,00 - 01/11/1977 2371 Oct./77 2.340,00 25,8 2.010,00 - 01/05/1978 2371 Oct./77 2.580,00 10,3 18,4 2.205,00 - 01/01/1979 2381 Dic./78 3.450,00 33,7 28,8 3.150,00 - 01/01/1980 3189 Dic./79 4.500,00 30,4 25,9 4.200,00 -
Fuente: “Estadísticas monetarias y financieras”. Banco de la República; Función Pública. 01/01/1981 3463 Dic./80 5.700,00 26,7 26,4 5.310,00 - 01/01/1982 3687 Dic./81 7.410,00 30 24 7.020,00 - 01/01/1983 3713 Dic./82 9.261,00 25 16,6 8.775,00 - 01/01/1984 3506 Dic./83 11.298,00 22 18,3 10.875,00 - 01/04/1984 3506 Dic./83 11.298,00 0 11.082,00 - 01/07/1984 3506 Dic./83 11.298,00 0 11.298,00 - 01/01/1985 01 Ene./85 13.557,00 20 22,4 13.557,60 - 01/01/1986 3754 Dic./85 16.811,40 24 20,9 16.811,40 - 01/01/1987 3732 Dic./86 20.510,00 22 24 20.510,00 - 01/01/1988 2545 Dic./87 25.637,40 25 28,1 25.637,40 - 01/01/1989 2662 Dic./88 32.559,60 27 26,1 32.559,60 - 01/01/1990 3000 Dic./89 41.025,10 26 32,4 41.025,10 3.798 01/01/1991 3074 Dic./90 51.720,00 26,1 26,8 51.720,00 4.787 01/01/1992 2867 Dic./91 65.190,00 26 25,1 65.190,00 6.033 01/01/1993 2061 Dic./92 81.510,00 25 22,6 81.510,00 7.542 01/01/1994 2548 Dic /93 98.700,00 21,1 22,6 98.700,00 8.705 01/01/1995 2872 Dic /94 118.933,50 20,5 19,5 118.933,50 10.815 01/01/1996 2310 Dic./95 142.125,50 19,5 21,6 142.125,50 13.567 01/01/1997 2334 Dic./96 172.005,00 21 17,7 172.005,00 17.250 01/01/1998 3106 Dic /97 203.825,93 18,5 16,7 203.825,93 20.700 01/01/1999 2560 Dic /98 236.438,07 16 9,2 236.438,07 24.012 01/01/2000 2647 Dic /99 260.100,00 10 8,7 260.100,00 26.413 01/01/2001 2580 Dic/00 286.000,00 9,96 7,7 286.000,00 30.000 01/01/2002 2910 Dic/01 309.000,00 8,04 7,6 309.000,00 34.000 01/01/2003 3232 Dic/02 332.000,00 7,44 6,9 332.000,00 37.500 01/01/2004 3770 Dic/03 358.000,00 7.83 6,49 358.000,00 41.600 01/01/2005 4360 Dic/04 381.500,00 6,564 5,5 381.500,00 44.500 01/01/2006 4686 Dic/05 408.000,00 6,95 408.000,00 47.700 01/01/2007 4580 Dic/06 433.700,00 6,299 433.700,00 50.800 01/01/2008 4565 Dic/07 461.500,00 6,41 461.500,00 55.000 01/01/2009 4868 Dic/08 496.900.00 7.67 496.900.00 59.300 01/01/2010 5053 Dic/09 515.000.00 3.64 515.000.00 61.500 01/01/2011 4834 Dic/10 535.600.00 4.0 535.600.00 63.600 01/01/2012 4919 Dic/11 566.700 5.806 566.700.00 67.800

Salario minimo 2012

  • 1.
    SALARIO MINIMO LEGALAÑO 2012   SALARIO MINIMO LEGAL MENSUAL $566.700 DECRETO 4919 del 26 de diciembre de 2011 AUMENTO 5.8065%   AUXILIO DE TRANSPORTE MENSUAL $67.800 DECRETO 4963 del 30 de diciembre de 2011 AUMENTO 6.603%   SALARIO MINIMO LEGAL DIARIO 18.890.00   VALOR HORA DIURNA ORDINARIA 2.361.25   VALOR RECARGO NOCTURNO HORA 826.43   VALOR HORA EXTRA DIURNA 2.951.56   VALOR HORA EXTRA NOCTURNA 4.132.18   VALOR HORA ORDINARIA CON RECARGO NOCTURNO 3.187.93   DOMINICAL Y/O FESTIVO (8 HORAS) 33.057.50   VALOR HORA EXTRA DIURNA DOMINICAL Y/O FESTIVA 4.722.49   VALOR HORA EXTRA NOCTURNA DOMINICAL Y/O FESTIVA 5.903.11   SALARIO INTEGRAL: Mínimo 10 salarios MLMV más el 30% del Factor Prestacional.   COSTOS PRESTACIONES SOCIALES EN % MENSUAL   CESANTIAS 8.33% INTERESES SOBRE CESANTIAS 1.00% PRIMA DE SERVICIOS 8.33% VACACIONES (Excluido el auxilio de transporte) 4.16% APORTES SEGURIDAD SOCIAL INTEGRAL con el mínimo legal del año 2012 SEGURIDAD SOCIAL TOTAL EMPLEADOR TRABAJADOR PENSION 16% DECRETO (12%) $68.004.00 (4%) $22.668.00 SALUD 12.5% (8.5%) $48.169.50 (4%) $22.668.00 RIESGOS PROFESIONALES 0.348 Mínimo APORTES PARAFISCALES A CARGO DEL EMPLEADOR con base en el salario mínimo legal 2012 ENTIDAD PORCENTAJE VALOR CAJA COMPENSACION FAMILIAR 4% $22.668.00 SENA 2% $11.334.00 I.C.B.F. 3% $17.001.00
  • 2.
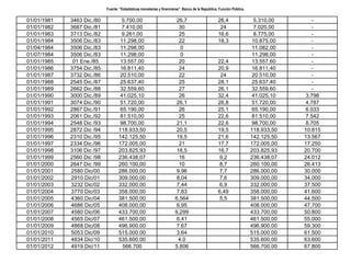
    HISTÒRICO SALARIOS MÍNIMOSFECHA DE VIGENCIA NÚMERO DE DECRETO SECTOR URBANO Crecimiento (%) Inflación SECTOR RURAL Subsidio de Transporte 01/01/1950 - 60 - - 60 - 01/01/1951 - 60 0 - 60 - 01/01/1952 - 60 0 - 60 - 01/01/1953 - 60 0 - 60 - 01/01/1954 - 60 0 - 60 - 01/01/1955 - 60 0 - 60 - 01/10/1956 2214 Sep./56 135 125 - 96 - 01/07/1957 2214 Sep./56 155,4 15,1 - 110 - 01/01/1958 2214 Sep./56 155,4 0 - 110 - 01/01/1959 2214 Sep./56 155,4 0 - 110 - 01/05/1960 1090 Abr./60 198 27,4 - 132 - 01/01/1962 2834 Nov./61 219 10,6 - 153 - 01/08/1962 1828 Jul./62 300 37 - 210 - 01/01/1963 236 y 240 Feb./63 420 40 - 270 - 01/08/1969 1233 Jul./69 519 23,6 - 300 - 01/01/1970 1233 Jul./69 519 0 6,6 300 - 01/01/1971 1233 Jul./69 519 0 14,1 300 - 13/04/1972 577 Abr./72 660 27,2 14 390 - 01/01/1973 577 Abr./72 660 0 24,1 390 - 01/01/1974 2680 Dic/73 900 36,4 26,4 690 - 08/11/1974 2394 Nov./74 1.200,00 33,3 1.020,00 - 01/01/1975 2394 Nov./74 1.200,00 0 17,8 1.020,00 - 30/07/1976 1623 Jul./76 1.560,00 30 25,8 1.320,00 - 01/01/1977 1623 Jul./76 1.770,00 13,5 28,7 1.500,00 - 01/08/1977 1623 Jul./76 1.860,00 5,1 1.590,00 - 01/11/1977 2371 Oct./77 2.340,00 25,8 2.010,00 - 01/05/1978 2371 Oct./77 2.580,00 10,3 18,4 2.205,00 - 01/01/1979 2381 Dic./78 3.450,00 33,7 28,8 3.150,00 - 01/01/1980 3189 Dic./79 4.500,00 30,4 25,9 4.200,00 -
  • 3.
    Fuente: “Estadísticas monetariasy financieras”. Banco de la República; Función Pública. 01/01/1981 3463 Dic./80 5.700,00 26,7 26,4 5.310,00 - 01/01/1982 3687 Dic./81 7.410,00 30 24 7.020,00 - 01/01/1983 3713 Dic./82 9.261,00 25 16,6 8.775,00 - 01/01/1984 3506 Dic./83 11.298,00 22 18,3 10.875,00 - 01/04/1984 3506 Dic./83 11.298,00 0 11.082,00 - 01/07/1984 3506 Dic./83 11.298,00 0 11.298,00 - 01/01/1985 01 Ene./85 13.557,00 20 22,4 13.557,60 - 01/01/1986 3754 Dic./85 16.811,40 24 20,9 16.811,40 - 01/01/1987 3732 Dic./86 20.510,00 22 24 20.510,00 - 01/01/1988 2545 Dic./87 25.637,40 25 28,1 25.637,40 - 01/01/1989 2662 Dic./88 32.559,60 27 26,1 32.559,60 - 01/01/1990 3000 Dic./89 41.025,10 26 32,4 41.025,10 3.798 01/01/1991 3074 Dic./90 51.720,00 26,1 26,8 51.720,00 4.787 01/01/1992 2867 Dic./91 65.190,00 26 25,1 65.190,00 6.033 01/01/1993 2061 Dic./92 81.510,00 25 22,6 81.510,00 7.542 01/01/1994 2548 Dic /93 98.700,00 21,1 22,6 98.700,00 8.705 01/01/1995 2872 Dic /94 118.933,50 20,5 19,5 118.933,50 10.815 01/01/1996 2310 Dic./95 142.125,50 19,5 21,6 142.125,50 13.567 01/01/1997 2334 Dic./96 172.005,00 21 17,7 172.005,00 17.250 01/01/1998 3106 Dic /97 203.825,93 18,5 16,7 203.825,93 20.700 01/01/1999 2560 Dic /98 236.438,07 16 9,2 236.438,07 24.012 01/01/2000 2647 Dic /99 260.100,00 10 8,7 260.100,00 26.413 01/01/2001 2580 Dic/00 286.000,00 9,96 7,7 286.000,00 30.000 01/01/2002 2910 Dic/01 309.000,00 8,04 7,6 309.000,00 34.000 01/01/2003 3232 Dic/02 332.000,00 7,44 6,9 332.000,00 37.500 01/01/2004 3770 Dic/03 358.000,00 7.83 6,49 358.000,00 41.600 01/01/2005 4360 Dic/04 381.500,00 6,564 5,5 381.500,00 44.500 01/01/2006 4686 Dic/05 408.000,00 6,95 408.000,00 47.700 01/01/2007 4580 Dic/06 433.700,00 6,299 433.700,00 50.800 01/01/2008 4565 Dic/07 461.500,00 6,41 461.500,00 55.000 01/01/2009 4868 Dic/08 496.900.00 7.67 496.900.00 59.300 01/01/2010 5053 Dic/09 515.000.00 3.64 515.000.00 61.500 01/01/2011 4834 Dic/10 535.600.00 4.0 535.600.00 63.600 01/01/2012 4919 Dic/11 566.700 5.806 566.700.00 67.800