SOLUCION DE EL TALLER SALUD OCUPACIONAL:

RESUMEN DE LOS ENLACES:

http://web.grupomide.com/suratepControl/index4.php?m=4

   1. SO UNOS VIDEOS SOBRE LA ARP EN ELLOS NOS EXPLICA QUE ES LA
      ARP QUE FUNCIONES TIENE LA ARP. SON 4 VIDEOS.

EL PRIMER VIDEO SE TRATA DE CUBRIMIENTO DE LOS RIESGOS
PROFECIONALES.

LAS ARP SON LA ENCARGADAS DE LA COBERTURA Y LA ADMINISTRACION
DEL SISTEMA, TODA EMPRESA DEBE ESTAR AFILIADA HA UNA SOLA ARP. EL
PAGO TOTAL DE LA ARP CORRE POR CUENTA DEL EMPLEADOR, ASI MISMO
ELIGE LA ARP, ES NECESARIO QUE EL TRABAJADOR ESTE AFILIADO ALA ARP
ANTES DE INICIAR SUS LABORES ENLA EMPRESA, ESTA ES OBLIGATORIO
PARA EL SECTOR PUBLICO Y PRIVADO. ESTANDO AFILIADO A LA ARP
TENEMOS DERECHO ALA ATENCION MEDICA EN CASO DE ALGUN ACCIDENTE
LABORAL, TAMBIEN AL RECONOCIMIENTO DE LAS PRESTACIONES
ECONOMICAS QUE PUEDAN GENERARSE POR EL ACCIDENTE LABORAL.

LOS TRABAJADORES TIENE COMO DEBER:

   -   INFORMARLE ALA EMPRESA EL ESTADO DE LA SALUD

   -   CONOCER LOS RIESGOS PROPIOS DE LA LABOR A DESEMPEÑAR.

   -   CUMPLIR CON LAS NORMAS DISPUESTAS EN LA EMPRESA PARA ESA
       LABOR

   -   ASUMIR LA RESPONSABILIDAD DEL AUTO CUIDADO Y PROTECCION.

EL SEGUNDO VIDEO:

¿QUE ES LA ARP?

Administradora de riesgos profesionales.

Están en cargada de la asesoría de los programas que se realizaran en la
empresa, la atención medica de los trabajadores que se accidenten o enfermen
por causas propias de su trabajo, el pago de las prestaciones económicas como
las incapacidades, pensiones, pensiones de invalides o sobrevivientes que se
pueda generar como consecuencia de los accidentes o enfermedades
profesionales, el recaudo que hace las empresas por sus trabajadores.
TERCER VIDEO:

PROGRAMA DE SALUD OCUPACIONAL

Consiste en la planeación y ejecución de conjuntos de medicina, en toda
empresa debe existir un comité paritario de salud ocupacional el cual tiene
como función hacer un seguimiento a todas las actividades laborales de la
empresa.

CUARTO VIDEO:

RESPONSABILIDAD SOCIAL DEL EMPRESARIO

Todo empresario debe estar en el rango de salud ocupacional, los empleadores
deben crear un ambiente sano, estar pendiente de ello sin un buen manejo del
salud ocupacional sería imposible tener un buen proyección en la empres.

   2. Enlaces :

PRIMER ENLACE:

RESOLUCIÓN 2400 DE 1979 SOBRE LOS ESTABLECIMIENTOS DE TRABAJO

En el capítulo 1 dice que estos reglamentos se aplican a todos los
establecimientos de trabajo

ACTIVIDAD 1

   1.       DEFINA SISTEMA GENERAL DE RIESGOS PROFESIONALES Y SUS
        FUNCIONES
   2.       DEFINA ARP Y SUS FUNCIONES
   3.       DEFINA EPS Y SUS FUNCIONES
   4.       DEFINA SALUD OCUPACIONA
   5.       DEFINA SEGURIDAD INDUSTRIAL




Solución:
1. Es el conjunto de entidades públicas y privadas, normas y
      procedimientos, destinados a prevenir, proteger y atender a los
      trabajadores de los efectos de las enfermedades y los accidentes que
      puedan ocurrirles con ocasión o como consecuencia del trabajo que
      desarrollan.



   2. ADMINISTRADORA DE REISGOS PROFECIONALES, sus funciones son

   Están en cargada de la asesoría de los programas que se realizaran en la
   empresa, la atención medica de los trabajadores que se accidenten o
   enfermen por causas propias de su trabajo, el pago de las prestaciones
   económicas como las incapacidades, pensiones, pensiones de invalides o
   sobrevivientes que se pueda generar como consecuencia de los accidentes
   o enfermedades profesionales, el recaudo que hace las empresas por sus
   trabajadores.

   3. Entidad Promotora de Salud.

Su función principal es inscribir, afiliar,
carnetizar y garantizar la prestación de los servicios de salud correspondientes
al POS a la población que pertenece al régimen contributivo.
Equidad: Desarrollo de la favorabilidad del estado hacia la inclusión de las
personas con discapacidad física, sensorial y cognitiva

   4. Salud ocupacional: es una ciencia que busca proteger y mejorar la salud
      fisica, mental,social y espiritual de los trabajadores en sus puestos de
      trabajo, repercutiendo positivamente en la empresa.



   5. Seguridad industrial: es una ciencia que busca proteger y mejorar la
      salud física, mental, social y espiritual de los trabajadores en sus
      puestos de trabajo, repercutiendo positivamente en la empresa.




ACTIVIDAD 2
  1.     DEFINA SALUD SEGÚN LA OMS
  2.     EXPLIQUE LOS COMPONENTES DE LA SALUD SEGÚN LA OMS
  3.     EXPLIQUE COMO SE RELACIONAN LOS COMPONENTE DE LA SALU Y
       DE UN EJEMPLO
4.      QUE ES LA TRIADA ECOLOGICA Y SUS COMPONENTES
  5.      EXPLIQUE LA RELACION QUE EXISTE ENTRE EL TRABAJO Y LA SALUD




        Solución:



   1. La SALUD es el completo bienestar FÍSICO, MENTAL y SOCIAL del
      individuo y no
      Solamente la ausencia de enfermedad.



   2. Aspecto físico: son funciones vitales como la respiración, digestión,
      condición cardiaca.

Aspecto mental: El hombre en su estructura física también posee el sistema
nervioso, que le permite
Sentir, moverse, pensar, expresar su carácter, la personalidad y el lenguaje
para comunicarse con sus semejantes y su entorno.

Aspecto social: Pero para poder vivir en comunidad, ha tenido que idear
formas de convivencia, regidas
por las normas y leyes que regulan los intereses, deberes y derechos de los
individuos.
Esta interacción es la que constituye el

4 Es decir, si la estructura anatómica o las funciones orgánicas del hombre o
mujer no presentaban ninguna disfunción, entonces se calificaba como sano;
en caso contrario, éste se encontraba enfermo. el huésped, el
Ambiente y el agente causal.

5 el trabajo produce desecho, al producir estos desechos está afectando
todas las fuentes de vida: tierra agua fauna y flora, por otro lado el trabajador
en la vida empresarial tiene riesgos como accidentes laborales al ocurrir esto la
empresa tiene perdida de potencial humano, y de productividad. Es decir si el
trabajador no tien salud el trabajo puede quedar estancado.


ACTIVIDAD 3

   1.     EXPLIQUE QUE ES UN RIESGO Y LOS TIPOS DE RIESGO
   2.     EXPLIQUE QUE ES UN RIESGO PROFESIONAL Y SUS TIPOS
   3.     DIGA CUALES SON LOS FACTORES DE RIESGO Y EXPLIQUELOS
4.      DE UN EJEMPLO DE LOS FACTORES DE RIESGO PROFESIONAL EN
        UNA ACTIVIDAD DIARIA O LABORAL

   Solución:

   1.   RIESGO es la posibilidad de que ocurra un accidente o perturbación

        funcional a la persona expuesta. Tipos de riesgo son :
   -    Riesgo estático
   -    Riesgo dinámico


   2. Es la posibilidad de sufrir un accidente o enfermedad en y
   Durante la realización de una actividad laboral con vínculo laboral vigente.
        Tipos: Clase V Riesgo máximo
        Clase IV Riesgo alto
        Clase III Riesgo medio
        Clase II Riesgo bajo
        Clase I Riesgo mínimo




   3. FACTORES DE RIESGO DEL AMBIENTE DE TRABAJO O
      MICROCLIMA LABORAL: Su exceso o defecto puede producir alteraciones
      en la comodidad, la salud y el rendimiento de las personas,
      convirtiéndose en un factor de riesgo.

        FACTORES DE RIESGO CONTAMINANTES DEL AMBIENTE:

De tipo físico: Son todos los fenómenos de naturalezafísica no mecánicos
que se presentan durante el trabajo y que pueden causar enfermedades y
lesiones orgánicas a lostrabajadores.

De tipo químico: Son todas las sustancias o materiales que según su estado,
aturaleza, condiciones físico - químicas y presentación pueden causar
alteración del ambiente, enfermedades o lesiones a los trabajadores.

De tipo biológico: Son todos los organismos o materiales contaminados que
se encuentren en los lugares o áreas geográficas de trabajo que pueden
transmitir a los trabajadores expuestos patologías, directa o indirectamente.

FACTORES DE RIESGO PRODUCTORES DE INSALUBRIDAD
LOCATIVA Y AMBIENTAL DEFICIENTES
Son aquellos factores de riesgo que se caracterizan por ser fuente de molestias
o de posibles enfermedades para el trabajador debido al deficiente servicio,
falta o estado inadecuado de sanidad locativa y ambiental deficientes.

4.4 GRUPO 4: FACTORES DE RIESGO PRODUCTORES DE SOBRECARGA
FÍSICA
Son todos aquellos factores de riesgo que causan en el trabajador importante
fatiga muscular y además desencadenan o agravan patologías
osteomusculares, los cuales se caracterizan por no cumplir con las normas de
la ergonomía o por presentar situaciones de orden psicosocial.

Posiciones inadecuadas del cuerpo:
: Sentado
S De pie
D Encorvado
E Acostado
Posturas inadecuadas del cuerpo:
P Rotada
R Flexionada
F Extendida
E Encogida

FACTORES DE RIESGO PSICOSOCIALES PRODUCTORES DE
SOBRECARGA PSÍQUICA
Son todos aquellos factores de riesgo generados por la organización del trabajo
o de la
sociedad circundante (extralaboral), que pueden producir en los trabajadores
tensiones
emocionales desagradables, repetitivas y prolongadas.


FACTORES DE RIESGO PRODUCTORES DE INSEGURIDAD:

Son todos aquellos factores que pueden causar accidentes y pérdida de
capitales, por el
Inadecuado o mal estado de funcionamiento o falta de protección en los
equipos materiales, instalaciones o el ambiente.

   4. En una empresa hay un baño en el cual tiene cierto desaseo
      La cual los empleados se ven afectados por los olores.




Actividad 4
1- Basicamente consiste en la prevencion mediante varias metodologias y
      tecnicas para preveer cualquier tipo de accidente o percance en el tiempo
      en que el empleado este trabajando.
   2- Por inspección de seguridad e higiene ocupacional se entiende la actividad
      Mediante la cual se identifican y localizan los diferentes factores de riesgo
      presentes en las áreas de trabajo de la empresa, para luego seleccionar las
      alternativas de control apropiadas, antes de que se presenten los
      accidentes de trabajo y las enfermedades profesionales.
   3- Es un elemento que se utiliza para identificar los factores de riesgo que
      existen en el lugar de trabajo.
   4- El panorama de factores de riesgo se utiliza para detectar las fuentes de
      riesgo existentes en el lugar de trabajo.
   5- Para dar un diagnostico de las posibles causa de esos riesgos detectados.
Actividad 5
   1- Es una eventualidad que dada por las circunstancias en que se de puede
      generar daños a la integridad de la persona afectada.
   2- Se pueden dar en la empresa en varios factores gente, equipo, materiales y
      ambiente.
   3- Es la violación de una norma aceptada como técnica y segura por el
      trabajador, que permite la aparición del accidente.
   4- Es el estado o condición física del objeto o material que puede causar el
      accidente y que puede ser corregida antes de que éste ocurra.
   5- Es un acontecimiento no deseado que bajo circunstancias un poco
      diferentes pudo haber resultado en lesión, enfermedad o daños a la
      propiedad.
   6- Un accidente es todo suceso repentino que sobrevenga por causa u
      ocasión del trabajo y que produzca en el trabajador una lesión orgánica,
      una perturbación funcional, una invalidez o la muerte.
   7- Para efectos legales se considera accidente de trabajo aquel que se
      produce durante la ejecución de órdenes provenientes del empleador o
      durante la ejecución de una labor bajo su autoridad, aún fuera del lugar y
      horas de trabajo.Igualmente se considera accidente de trabajo el que se
      produzca durante el traslado de los trabajadores desde su residencia a los
      lugares de trabajo o viceversa, cuando el transporte lo suministre el
      empleador.
Actividad 6
   1- Una vez que el accidente ocurre, se hace necesario, investigar sus causas
      con el fin de esclarecer la responsabilidad que recae sobre el empresario y
      el trabajador y la que asume la Administradora de Riesgos Profesionales
      (ARP) frente a la empresa.
   2- Cualquier tipo de investigacion debe concluir con un informe detallado de
      las causa del accidente y sus objetivos son: Esclarecer la responsabilidad
      que la empresa y el trabajador tienen en su ocurrencia, con el fin de
      establecer los controles necesarios para evitar futuros accidentes, asumir o
      transferir la responsabilidad de pagos a que diere lugar la ley vigente, sean
éstos por incapacidad, invalidez o muerte del trabajador accidentado, llevar
                      un registro estadístico que permita realizar programas de vigilancia
                      epidemiológica.




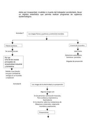
                Actividad 7      Los riesgos físicos y químicos y control de incendios




 Físicos-quimicos                                                                              Control de incendios


 Se caracteriza por                                                                                 tales como

                                                                                         Detectores automáticos
Por ser                                                                                   Extintores portátiles
Una de las causas
principales de                                                                            Brigadas de prevención
siniestralidad industrial
y doméstica

 Debido a que desata
 una gran cantidad de
 energía en un incendio
 o explocion


            Actividad 8               Los riesgos de la electricidad y su prevención



                                                   Algunos riesgos son

                                         En las personas: contracción musculas,
                                               Paro cardiaco y respiratorio y
                                                       Quemaduras
                                        En la industria: sobre las instalaciones de
                                           Maquinas y materiales, originando
                                                  Incendios y explosiones


                                                 Prevenciones
Analizar las causas de los incidentes y
 Accidentes de trabajo relacionados
           Con la corriente

Solucion de el taller salud ocupacional

  • 1.
    SOLUCION DE ELTALLER SALUD OCUPACIONAL: RESUMEN DE LOS ENLACES: http://web.grupomide.com/suratepControl/index4.php?m=4 1. SO UNOS VIDEOS SOBRE LA ARP EN ELLOS NOS EXPLICA QUE ES LA ARP QUE FUNCIONES TIENE LA ARP. SON 4 VIDEOS. EL PRIMER VIDEO SE TRATA DE CUBRIMIENTO DE LOS RIESGOS PROFECIONALES. LAS ARP SON LA ENCARGADAS DE LA COBERTURA Y LA ADMINISTRACION DEL SISTEMA, TODA EMPRESA DEBE ESTAR AFILIADA HA UNA SOLA ARP. EL PAGO TOTAL DE LA ARP CORRE POR CUENTA DEL EMPLEADOR, ASI MISMO ELIGE LA ARP, ES NECESARIO QUE EL TRABAJADOR ESTE AFILIADO ALA ARP ANTES DE INICIAR SUS LABORES ENLA EMPRESA, ESTA ES OBLIGATORIO PARA EL SECTOR PUBLICO Y PRIVADO. ESTANDO AFILIADO A LA ARP TENEMOS DERECHO ALA ATENCION MEDICA EN CASO DE ALGUN ACCIDENTE LABORAL, TAMBIEN AL RECONOCIMIENTO DE LAS PRESTACIONES ECONOMICAS QUE PUEDAN GENERARSE POR EL ACCIDENTE LABORAL. LOS TRABAJADORES TIENE COMO DEBER: - INFORMARLE ALA EMPRESA EL ESTADO DE LA SALUD - CONOCER LOS RIESGOS PROPIOS DE LA LABOR A DESEMPEÑAR. - CUMPLIR CON LAS NORMAS DISPUESTAS EN LA EMPRESA PARA ESA LABOR - ASUMIR LA RESPONSABILIDAD DEL AUTO CUIDADO Y PROTECCION. EL SEGUNDO VIDEO: ¿QUE ES LA ARP? Administradora de riesgos profesionales. Están en cargada de la asesoría de los programas que se realizaran en la empresa, la atención medica de los trabajadores que se accidenten o enfermen por causas propias de su trabajo, el pago de las prestaciones económicas como las incapacidades, pensiones, pensiones de invalides o sobrevivientes que se pueda generar como consecuencia de los accidentes o enfermedades profesionales, el recaudo que hace las empresas por sus trabajadores.
  • 2.
    TERCER VIDEO: PROGRAMA DESALUD OCUPACIONAL Consiste en la planeación y ejecución de conjuntos de medicina, en toda empresa debe existir un comité paritario de salud ocupacional el cual tiene como función hacer un seguimiento a todas las actividades laborales de la empresa. CUARTO VIDEO: RESPONSABILIDAD SOCIAL DEL EMPRESARIO Todo empresario debe estar en el rango de salud ocupacional, los empleadores deben crear un ambiente sano, estar pendiente de ello sin un buen manejo del salud ocupacional sería imposible tener un buen proyección en la empres. 2. Enlaces : PRIMER ENLACE: RESOLUCIÓN 2400 DE 1979 SOBRE LOS ESTABLECIMIENTOS DE TRABAJO En el capítulo 1 dice que estos reglamentos se aplican a todos los establecimientos de trabajo ACTIVIDAD 1 1. DEFINA SISTEMA GENERAL DE RIESGOS PROFESIONALES Y SUS FUNCIONES 2. DEFINA ARP Y SUS FUNCIONES 3. DEFINA EPS Y SUS FUNCIONES 4. DEFINA SALUD OCUPACIONA 5. DEFINA SEGURIDAD INDUSTRIAL Solución:
  • 3.
    1. Es elconjunto de entidades públicas y privadas, normas y procedimientos, destinados a prevenir, proteger y atender a los trabajadores de los efectos de las enfermedades y los accidentes que puedan ocurrirles con ocasión o como consecuencia del trabajo que desarrollan. 2. ADMINISTRADORA DE REISGOS PROFECIONALES, sus funciones son Están en cargada de la asesoría de los programas que se realizaran en la empresa, la atención medica de los trabajadores que se accidenten o enfermen por causas propias de su trabajo, el pago de las prestaciones económicas como las incapacidades, pensiones, pensiones de invalides o sobrevivientes que se pueda generar como consecuencia de los accidentes o enfermedades profesionales, el recaudo que hace las empresas por sus trabajadores. 3. Entidad Promotora de Salud. Su función principal es inscribir, afiliar, carnetizar y garantizar la prestación de los servicios de salud correspondientes al POS a la población que pertenece al régimen contributivo. Equidad: Desarrollo de la favorabilidad del estado hacia la inclusión de las personas con discapacidad física, sensorial y cognitiva 4. Salud ocupacional: es una ciencia que busca proteger y mejorar la salud fisica, mental,social y espiritual de los trabajadores en sus puestos de trabajo, repercutiendo positivamente en la empresa. 5. Seguridad industrial: es una ciencia que busca proteger y mejorar la salud física, mental, social y espiritual de los trabajadores en sus puestos de trabajo, repercutiendo positivamente en la empresa. ACTIVIDAD 2 1. DEFINA SALUD SEGÚN LA OMS 2. EXPLIQUE LOS COMPONENTES DE LA SALUD SEGÚN LA OMS 3. EXPLIQUE COMO SE RELACIONAN LOS COMPONENTE DE LA SALU Y DE UN EJEMPLO
  • 4.
    4. QUE ES LA TRIADA ECOLOGICA Y SUS COMPONENTES 5. EXPLIQUE LA RELACION QUE EXISTE ENTRE EL TRABAJO Y LA SALUD Solución: 1. La SALUD es el completo bienestar FÍSICO, MENTAL y SOCIAL del individuo y no Solamente la ausencia de enfermedad. 2. Aspecto físico: son funciones vitales como la respiración, digestión, condición cardiaca. Aspecto mental: El hombre en su estructura física también posee el sistema nervioso, que le permite Sentir, moverse, pensar, expresar su carácter, la personalidad y el lenguaje para comunicarse con sus semejantes y su entorno. Aspecto social: Pero para poder vivir en comunidad, ha tenido que idear formas de convivencia, regidas por las normas y leyes que regulan los intereses, deberes y derechos de los individuos. Esta interacción es la que constituye el 4 Es decir, si la estructura anatómica o las funciones orgánicas del hombre o mujer no presentaban ninguna disfunción, entonces se calificaba como sano; en caso contrario, éste se encontraba enfermo. el huésped, el Ambiente y el agente causal. 5 el trabajo produce desecho, al producir estos desechos está afectando todas las fuentes de vida: tierra agua fauna y flora, por otro lado el trabajador en la vida empresarial tiene riesgos como accidentes laborales al ocurrir esto la empresa tiene perdida de potencial humano, y de productividad. Es decir si el trabajador no tien salud el trabajo puede quedar estancado. ACTIVIDAD 3 1. EXPLIQUE QUE ES UN RIESGO Y LOS TIPOS DE RIESGO 2. EXPLIQUE QUE ES UN RIESGO PROFESIONAL Y SUS TIPOS 3. DIGA CUALES SON LOS FACTORES DE RIESGO Y EXPLIQUELOS
  • 5.
    4. DE UN EJEMPLO DE LOS FACTORES DE RIESGO PROFESIONAL EN UNA ACTIVIDAD DIARIA O LABORAL Solución: 1. RIESGO es la posibilidad de que ocurra un accidente o perturbación funcional a la persona expuesta. Tipos de riesgo son : - Riesgo estático - Riesgo dinámico 2. Es la posibilidad de sufrir un accidente o enfermedad en y Durante la realización de una actividad laboral con vínculo laboral vigente. Tipos: Clase V Riesgo máximo Clase IV Riesgo alto Clase III Riesgo medio Clase II Riesgo bajo Clase I Riesgo mínimo 3. FACTORES DE RIESGO DEL AMBIENTE DE TRABAJO O MICROCLIMA LABORAL: Su exceso o defecto puede producir alteraciones en la comodidad, la salud y el rendimiento de las personas, convirtiéndose en un factor de riesgo. FACTORES DE RIESGO CONTAMINANTES DEL AMBIENTE: De tipo físico: Son todos los fenómenos de naturalezafísica no mecánicos que se presentan durante el trabajo y que pueden causar enfermedades y lesiones orgánicas a lostrabajadores. De tipo químico: Son todas las sustancias o materiales que según su estado, aturaleza, condiciones físico - químicas y presentación pueden causar alteración del ambiente, enfermedades o lesiones a los trabajadores. De tipo biológico: Son todos los organismos o materiales contaminados que se encuentren en los lugares o áreas geográficas de trabajo que pueden transmitir a los trabajadores expuestos patologías, directa o indirectamente. FACTORES DE RIESGO PRODUCTORES DE INSALUBRIDAD
  • 6.
    LOCATIVA Y AMBIENTALDEFICIENTES Son aquellos factores de riesgo que se caracterizan por ser fuente de molestias o de posibles enfermedades para el trabajador debido al deficiente servicio, falta o estado inadecuado de sanidad locativa y ambiental deficientes. 4.4 GRUPO 4: FACTORES DE RIESGO PRODUCTORES DE SOBRECARGA FÍSICA Son todos aquellos factores de riesgo que causan en el trabajador importante fatiga muscular y además desencadenan o agravan patologías osteomusculares, los cuales se caracterizan por no cumplir con las normas de la ergonomía o por presentar situaciones de orden psicosocial. Posiciones inadecuadas del cuerpo: : Sentado S De pie D Encorvado E Acostado Posturas inadecuadas del cuerpo: P Rotada R Flexionada F Extendida E Encogida FACTORES DE RIESGO PSICOSOCIALES PRODUCTORES DE SOBRECARGA PSÍQUICA Son todos aquellos factores de riesgo generados por la organización del trabajo o de la sociedad circundante (extralaboral), que pueden producir en los trabajadores tensiones emocionales desagradables, repetitivas y prolongadas. FACTORES DE RIESGO PRODUCTORES DE INSEGURIDAD: Son todos aquellos factores que pueden causar accidentes y pérdida de capitales, por el Inadecuado o mal estado de funcionamiento o falta de protección en los equipos materiales, instalaciones o el ambiente. 4. En una empresa hay un baño en el cual tiene cierto desaseo La cual los empleados se ven afectados por los olores. Actividad 4
  • 7.
    1- Basicamente consisteen la prevencion mediante varias metodologias y tecnicas para preveer cualquier tipo de accidente o percance en el tiempo en que el empleado este trabajando. 2- Por inspección de seguridad e higiene ocupacional se entiende la actividad Mediante la cual se identifican y localizan los diferentes factores de riesgo presentes en las áreas de trabajo de la empresa, para luego seleccionar las alternativas de control apropiadas, antes de que se presenten los accidentes de trabajo y las enfermedades profesionales. 3- Es un elemento que se utiliza para identificar los factores de riesgo que existen en el lugar de trabajo. 4- El panorama de factores de riesgo se utiliza para detectar las fuentes de riesgo existentes en el lugar de trabajo. 5- Para dar un diagnostico de las posibles causa de esos riesgos detectados. Actividad 5 1- Es una eventualidad que dada por las circunstancias en que se de puede generar daños a la integridad de la persona afectada. 2- Se pueden dar en la empresa en varios factores gente, equipo, materiales y ambiente. 3- Es la violación de una norma aceptada como técnica y segura por el trabajador, que permite la aparición del accidente. 4- Es el estado o condición física del objeto o material que puede causar el accidente y que puede ser corregida antes de que éste ocurra. 5- Es un acontecimiento no deseado que bajo circunstancias un poco diferentes pudo haber resultado en lesión, enfermedad o daños a la propiedad. 6- Un accidente es todo suceso repentino que sobrevenga por causa u ocasión del trabajo y que produzca en el trabajador una lesión orgánica, una perturbación funcional, una invalidez o la muerte. 7- Para efectos legales se considera accidente de trabajo aquel que se produce durante la ejecución de órdenes provenientes del empleador o durante la ejecución de una labor bajo su autoridad, aún fuera del lugar y horas de trabajo.Igualmente se considera accidente de trabajo el que se produzca durante el traslado de los trabajadores desde su residencia a los lugares de trabajo o viceversa, cuando el transporte lo suministre el empleador. Actividad 6 1- Una vez que el accidente ocurre, se hace necesario, investigar sus causas con el fin de esclarecer la responsabilidad que recae sobre el empresario y el trabajador y la que asume la Administradora de Riesgos Profesionales (ARP) frente a la empresa. 2- Cualquier tipo de investigacion debe concluir con un informe detallado de las causa del accidente y sus objetivos son: Esclarecer la responsabilidad que la empresa y el trabajador tienen en su ocurrencia, con el fin de establecer los controles necesarios para evitar futuros accidentes, asumir o transferir la responsabilidad de pagos a que diere lugar la ley vigente, sean
  • 8.
    éstos por incapacidad,invalidez o muerte del trabajador accidentado, llevar un registro estadístico que permita realizar programas de vigilancia epidemiológica. Actividad 7 Los riesgos físicos y químicos y control de incendios Físicos-quimicos Control de incendios Se caracteriza por tales como Detectores automáticos Por ser Extintores portátiles Una de las causas principales de Brigadas de prevención siniestralidad industrial y doméstica Debido a que desata una gran cantidad de energía en un incendio o explocion Actividad 8 Los riesgos de la electricidad y su prevención Algunos riesgos son En las personas: contracción musculas, Paro cardiaco y respiratorio y Quemaduras En la industria: sobre las instalaciones de Maquinas y materiales, originando Incendios y explosiones Prevenciones
  • 9.
    Analizar las causasde los incidentes y Accidentes de trabajo relacionados Con la corriente