CAL/Solucion_Caso_Ctas_Bco
Caso Cuentas de Banco
1. Modelado del Negocio
1.1. Diagrama de CUN
Abrir Cuenta de Ahorro
(from CU del Negocio)
Extraer Dinero
(from CU del Negocio)
Cliente
(f rom Actores del Negocio)
Depositar Dinero
(from CU del Negocio)
Abrir Caja Chica
(from CU del Negocio)
Hacer cuadre de Caja Chica
(from CU del Negocio)
1.2. Trabajadores del Negocio
Especialista en apertura de Cuentas CajeroJefe de Turno
1.3. Entidades del Negocio
Boleta de Inscripcion
Tarjeta
Recibo de Importe depositado
Copia de Documento de Efectivo Original de Documento de Efectivo
Dinero
Documento de Descuadre
CAL/Solucion_Caso_Ctas_Bco
1.4. Especificaciones de los CUN
1.4.1. CUN Abrir Cuenta de Ahorro
Descripción:
Permite abrir una Cuenta de Ahorro al Cliente y
entregarle su tarjeta la cual le permitirá realizar
cualquier operación.
Flujo Básico:
El Cliente solicita Boleta de Inscripción al
Especialista en aperturas de Cuentas, este le
entrega dicho documento para ser llenado, si la
cuenta que se desea abrir no es individual, el
cliente deberá llenar en la Boleta de Inscripción los
datos del otro Cliente, después se le entrega el
documento al Especialista y este lo verifica con los
documentos(si la cuenta que se va abrir no es
Individual) o el documento(si la cuenta que se va
abrir es Individual), luego se genera la Tarjeta o
Tarjetas(según el tipo de cuenta) y se la da al
Cliente junto con un sobre con la contraseña o
PIN.
Flujo Alternativo:
Si la verificación de la Boleta de Inscripción fue
incorrecta se rechaza dicha Boleta y se le informa
al Cliente.
1.4.2. CUN Depositar Dinero
Descripción:
Permite al Cliente depositar dinero y hacer que su
Cuenta de Ahorro incremente.
Flujo Básico:
El Cliente se acerca a la ventanilla de cualquiera
de los cajeros de la Agencia Bancaria, e indica la
cantidad que desea depositar. El Cajero recibe el
dinero, verifica la cantidad y le solicita al cliente
que pase su Tarjeta por el dispositivo. Si la lectura
es correcta, introduce los datos del depósito en el
Sistema. Luego el Cajero confirma el depósito en
el Sistema, después el Cajero entrega el recibo por
el importe depositado que fue generado por
Sistema.
Flujo Alternativo:
Si el dinero recibido no coincide con la cantidad
descrita por el Cliente o si no es valido el dinero,
este se rechaza.
Si la lectura de la Tarjeta no fue correcta se
rechaza la Tarjeta y el dinero.
CAL/Solucion_Caso_Ctas_Bco
1.4.3. CUN Extraer Dinero
Descripción:
Permite al Cliente extraer una determinada
cantidad de dinero de su cuenta.
Flujo Básico:
El cliente pasar su Tarjeta por el lector y digitar su
PIN. El Cliente le indica al cajero la cantidad que
desea retirar. El Cajero entonces registra la
cantidad indicada en el Sistema, y si el saldo de la
Cuenta es mayor o igual a dicho monto, acepta la
operación y automáticamente actualiza el saldo de
la Cuenta Bancaria y emite un Documento de
entrega de efectivo en original(contiene el valor de
la extracción) y copia. El original se le entrega al
cliente junto con el efectivo, y el otro se le da a
firmar como constancia de la entrega para luego
archivarlo.
Flujo Alternativo:
Si el saldo del es inferior a la cantidad que se
desea extraer, el sistema rechazará la operación,
lo cual será informado al cliente por el cajero.
1.4.4. CUN Abrir Caja Chica
Descripción:
Permite cargar Caja Chica con dinero al inicio de
cada día e inicializar el Sistema del Cajero.
Flujo Básico:
El Jefe de Turno del Banco registra cantidad de
efectivo. Esa cantidad es entregada al Cajero, el
abre el sistema al comienzo de su turno y se
identifica con su nombre y contraseña. El sistema
muestra la cantidad entregada para que el Cajero
la confirme y el sistema abre todas las
posibilidades disponibles para el Cajero.
Flujo Alternativo:
Si la cantidad no es correcta el Cajero cancela
confirmación y el Sistema se cierra.
1.4.5. CUN Hacer cuadre de Caja Chica
Descripción:
Permite que el dinero que hay en caja y el de las
operaciones del día coincida con la cantidad inicial
de Caja.
Flujo Básico:
Al final del día el Cajero hace un cuadre del dinero
en Caja, después solicita hacer el “Cierre de
Operaciones”. Luego envía el dinero al Jefe de
Turno.
Flujo Alternativo:
En caso de descuadre entre el saldo de la Caja por
el Sistema y el efectivo del Cajero, el Cajero llena
un Documento de descuadre que el Jefe de Turno
introduce o ingresa al Sistema cuando reciba el
efectivo del Cajero.
CAL/Solucion_Caso_Ctas_Bco
1.5. Realización de los CUN
1.5.1. CUN Abrir Cuenta de Ahorro
1.5.1.1. Diagrama de Actividades Detallado
Entregar Boleta
de Inscripcion
Recibir Boleta de
Inscripcion llenada
Verificar datos de Boleta
de Inscripcion
Rechazar Boleta de
Inscripcion
[ datos incorrectos ]
Entregar PIN en
sobre cerrado
Abrir nueva Cuenta
de Ahorro
[ datos correctos ]
Generar Tarjeta
Entregar
Tarjeta
: Boleta de Inscripcion
: Tarjeta
Especialista en apertura de Cuentas
1.5.1.2. Diagrama de Objetos
Boleta de Inscripcion
(f rom Entidades del Negocio)
Especialista en apertura de Cuentas
(f rom Trabajadores del Negocio)
entrega
recibe
verifica
rechaza
Tarjeta
(f rom Entidades del Negocio)
genera y entrega
CAL/Solucion_Caso_Ctas_Bco
1.5.2. CUN Depositar Dinero
1.5.2.1. Diagrama de Actividades Detallado
Recibir Dinero
Verificar Dinero
Solicitar pase de Tarjeta por
dispositivo electronico
[ dinero correcto ]
Rechazar
Dinero
[ dinero incorrecto ]
Rechazar
Tarjeta
[ lectura incorrecta ]
Confirmar Deposito de
Dinero
Entregar Recibo por
importe depositado
Introducir datos
de Deposito
[ lectura correcta ]
: Dinero
: Tarjeta
: Recibo de Importe depositado
Cajero
1.5.2.2. Diagrama de Objetos
Tarjeta
(f rom Entidades del Negocio)
Cajero
(f rom Trabajadores del Negocio)
rechaza
solicita
Recibo de Importe depositado
(f rom Entidades del Negocio)
entrega
CAL/Solucion_Caso_Ctas_Bco
1.5.3. CUN Extraer Dinero
1.5.3.1. Diagrama de Actividades Detallado
Solicitar pase de Tarjeta
por dispositivo electronico
Solicitar digitacion
de PIN
Rechazar
Tarjeta
[ PIN incorrecto ]
Registrar cantidad de
Dinero ha extraer
[ PIN correcto ]
Informar al
Cliente
Emitir Copia y Original
Documento de Efectivo
Recibir Copia de
Documento de Efectivo
Archivar Copia de
Documento de Efectivo
Solicitar firma del Cliente en Copia
de Documento de Efectivo
Entregar Original de
Documento de Efectivo
: Tarjeta
: Copia de Documento de Efectivo
: Original de Documento de Efectivo
[ cantidad no valida ]
[ cantidad valida ]
Cajero
1.5.3.2. Diagrama de Objetos
Tarjeta
(f rom Entidades del Negocio)
Dinero
(f rom Entidades del Negocio)
Original de Documento de Efectivo
(f rom Entidades del Negocio)
contiene
Copia de Documento de Efectivo
(f rom Entidades del Negocio)
Cajero
(f rom Trabajadores del Negocio)
rechaza solicita
emite
emite
almacena
CAL/Solucion_Caso_Ctas_Bco
1.5.4. CUN Abrir Caja Chica
1.5.4.1. Diagrama de Actividades Detallado
Registrar
Dinero
: Dinero
Recibir Dinero
Abrir Sistema
Verificar cantidad de
Dinero recibido
Cancelar
Confimacion
[ cantidad incorrecta ]
Confirmar cantidad
de Dinero recibida
[ cantidad correcta ]
CajeroJefe de Turno : Dinero
1.5.4.2. Diagrama de Objetos
Jefe de Turno
(f rom Trabajadores del Negocio)
Dinero
(f rom Entidades del Negocio)
registra
Cajero
(f rom Trabajadores del Negocio)
verifica
recibe
CAL/Solucion_Caso_Ctas_Bco
1.5.5. CUN Hacer cuadre de Caja Chica
1.5.5.1. Diagrama de Actividades Detallado
Verificar cuadre
de Dinero
Llenar Documento de
Descuadre
Enviar Documento de
Descuadre
Enviar Dinero de Caja
Enviar Dinero
de caja
Solicitar Cierre de
Operaciones
: Documento de Descuadre
Introducir Documento de
Descuadre
: Dinero
[ verificacion correcta ]
[ verificacion incorrecta ]
Jefe de TurnoCajero
1.5.5.2. Diagrama de Objetos
Documento de Descuadre
(f rom Entidades del Negocio)
Cajero
(f rom Trabajadores del Negocio)
llena y envia
Dinero
(f rom Entidades del Negocio)
Jefe de Turno
(f rom Trabajadores del Negocio)
recibe
recibeenvia
CAL/Solucion_Caso_Ctas_Bco
2. Análisis del Sistema
2.1. Diagrama de CUS
Registrar Descuadre
(from Use Cases)
Generar Tarjeta
(from Use Cases)
Abrir nueva Cuenta de Ahorro
(from Use Cases)
Especialista en
apertura de Cuentas
(f rom Actors)
Generar Reporte
(from Use Cases)
Gerente de Agencia
(f rom Actors)
Registrar Deposito de Dinero
(from Use Cases)
Registrar Extraccion de Dinero
(from Use Cases)
Verificar Dinero de Caja
(from Use Cases)
Consultar Operaciones del dia
(from Use Cases)
Hacer Cierre de Operaciones
(from Use Cases)
Cajero
(f rom Actors)
Iniciar Sesion
(from Use Cases)
Usuario
(f rom Actors)
Jefe de Turno
(f rom Actors)
Registrar Dinero de Caja
(from Use Cases)
2.2. Especificaciones de los CUS
2.2.1. CUS Iniciar Sesión
Actor(es):
Especialista en apertura de Cuentas, Cajero, Jefe de
Turno, Gerente de Agencia (llamado cada uno
Usuario en la especificación).
Precondición: No especifica.
Poscondición: Sistema carga opciones según cargo de Usuario.
Flujo Básico:
1. El CU comienza cuando el Usuario selecciona
“Iniciar Sesión”.
2. El Sistema muestra ventana de Iniciar Sesión.
3. El Usuario ingresa su nombre y su contraseña,
luego hace clic en “Aceptar”.
4. El Sistema verifica datos ingresados y carga
opciones según cargo de Usuario.
5. El CU ha finalizado.
Flujo Alternativo:
Usuario no existe
1. El Sistema muestra mensaje de error respectivo.
Contraseña incorrecta
1. El Sistema muestra mensaje de error respectivo.
Cancelar
1. El Usuario hace clic en “Cancelar”.
2. El Sistema elimina ventana de Iniciar Sesión.
CAL/Solucion_Caso_Ctas_Bco
2.2.1.1. Diagrama de Secuencia
: Usuario : Ventana_Principal : Ventana_Iniciar_Sesion : Usuario:
Controlador_Iniciar_Sesion
seleccionar "Iniciar Sesion"
cargar Ventana
ingresar Nombre de Usuario
ingresar Contraseña de Usuario
hacer clic en "Aceptar"
Iniciar Sesion
buscar por Nombre de Usuario
validar Usuario
cargar Opcion segun cargo de Usuario
2.2.1.2. Diagrama de Colaboración
: Usuario
: Ventana_Principal
: Ventana_Iniciar_Sesion
: Usuario :
Controlador_Iniciar_Sesion
8: validar Usuario
9: cargar Opcion segun cargo de Usuario
1: seleccionar "Iniciar Sesion"
3: ingresar Nombre de Usuario
4: ingresar Contraseña de Usuario
5: hacer clic en "Aceptar"
2: cargar Ventana
6: Iniciar Sesion
7: buscar por Nombre de Usuario
CAL/Solucion_Caso_Ctas_Bco
2.2.1.3. Diagrama de Clases
2.2.2. CUS Abrir nueva Cuenta de Ahorro
Actor(es): Especialista en apertura de Cuentas (llamado Usuario
en la especificación).
Precondición: Usuario inicio sesión.
Poscondición: Cuenta de Ahorro aperturada.
Flujo Básico:
1. El CU comienza cuando el Usuario selecciona
“Abrir nueva Cuenta de Ahorro”.
2. El Sistema muestra ventana de Abrir nueva
Cuenta de Ahorro.
3. El Usuario ingresa los datos Boleta de Inscripción
(Nro. de Identidad, nombre dirección, nombre del
Beneficiario, dirección del Beneficiario, tipo de
Cuenta de Ahorro) y numero de Agencia Bancaria,
luego hace clic en “Abrir nueva Cuenta de Ahorro”.
4. El Sistema valida datos ingresados y asigna un
numero a la cuenta el cual es mostrado el Usuario.
5. El CU ha finalizado.
Flujo Alternativo:
Datos ingresados no validos
1. El Sistema muestra mensaje de error respectivo.
Cancelar
1. El Usuario hace clic en “Cancelar”.
2. El Sistema elimina ventana de Abrir nueva Cuenta
de Ahorro.
CAL/Solucion_Caso_Ctas_Bco
2.2.2.1. Diagrama de Secuencia
: Especialista en
apertura de Cuentas
: Ventana_Principal : Ventana_Abrir_Nueva_CA :
Controlador_Abrir_Nueva_CA
: Usuario : Beneficiario : Cuenta_Ahorro
seleccionar "Abrir nueva Cuenta de Ahorro"
cargar Ventana
ingresar datos de Boleta de Inscripcion
ingresar Numero de Agencia Bancaria
hacer clic en "Abrir nueva Cuenta de Ahorro"
Abrir nueva Cuenta de Ahorro
registrar Usuario
registrar Beneficiario
validar datos ingresados
registrar Cuenta de Ahorro
mostrar numero de Cuenta de Ahorro
2.2.2.2. Diagrama de Colaboración
: Especialista en
apertura de Cuentas
: Controlador_Abrir_Nueva_CA
: Usuario: Beneficiario
: Cuenta_Ahorro
: Ventana_Abrir_Nueva_CA
6: validar datos ingresados
11: mostrar numero de Cuenta de Ahorro
: Ventana_Principal
1: seleccionar "Abrir nueva Cuenta de Ahorro"
3: ingresar datos de Boleta de Inscripcion
4: ingresar Numero de Agencia Bancaria
5: hacer clic en "Abrir nueva Cuenta de Ahorro"
2: cargar Ventana
7: Abrir nueva Cuenta de Ahorro
8: registrar Usuario
10: registrar Cuenta de Ahorro
9: registrar Beneficiario
CAL/Solucion_Caso_Ctas_Bco
2.2.2.3. Diagrama de Clases
2.2.3. CUS Generar Tarjeta
Actor(es): Especialista en apertura de Cuentas (llamado Usuario
en la especificación).
Precondición: Usuario inicio sesión.
Poscondición: Tarjeta Creada.
Flujo Básico:
1. El CU comienza cuando el Usuario selecciona
“Generar Tarjeta”.
2. El Sistema muestra ventana de Generar Tarjeta.
3. El Usuario ingresa número de Cuenta de Ahorro,
luego hace clic en “Generar Tarjeta”.
4. El Sistema valida numero de Cuenta de Ahorro y
genera Tarjeta.
5. El CU ha finalizado.
Flujo Alternativo:
Número de Cuenta de Ahorro no valida
1. El Sistema muestra mensaje de error respectivo.
Cancelar
1. El Usuario hace clic en “Cancelar”.
2. El Sistema elimina ventana de Generar Tarjeta.
CAL/Solucion_Caso_Ctas_Bco
2.2.3.1. Diagrama de Secuencia
: Especialista en
apertura de Cuentas
: Ventana_Principal : Ventana_Generar_Tarjeta :
Controlador_Generar_Tarjeta
: Cuenta_Ahorro: Tarjeta
seleccionar "Generar Tarjeta"
cargar Ventana
ingresar numero de Cuenta de Ahorro
hacer clic en "Generar Tarjeta"
generar Tarjeta
buscar Cuenta de Ahorro
verificar Cuenta de Ahorro
registrar Tarjeta
2.2.3.2. Diagrama de Colaboración
: Especialista en
apertura de Cuentas
: Ventana_Generar_Tarjeta
: Controlador_Generar_Tarjeta: Cuenta_Ahorro
7: verificar Cuenta de Ahorro
: Ventana_Principal
: Tarjeta
1: seleccionar "Generar Tarjeta"
3: ingresar numero de Cuenta de Ahorro
4: hacer clic en "Generar Tarjeta"
5: generar Tarjeta
2: cargar Ventana
6: buscar Cuenta de Ahorro
8: registrar Tarjeta
CAL/Solucion_Caso_Ctas_Bco
2.2.3.3. Diagrama de Clases
2.2.4. CUS Registrar Deposito de Dinero
Actor(es): Cajero (llamado Usuario en la especificación).
Precondición: Usuario inicio sesión.
Poscondición: Saldo de Cuenta de Ahorro es incrementado.
Flujo Básico:
1. El CU comienza cuando el Usuario selecciona
“Registrar Depósito de Dinero”.
2. El Sistema muestra ventana de Registrar Depósito
de Dinero.
3. El Usuario ingresa datos de Deposito (cantidad de
Deposito, numero de Tarjeta), luego hace clic en
“Registrar Depósito de Dinero”.
4. El Sistema valida numero de Tarjeta y pide
confirmación de Depósito.
5. El Usuario confirma Depósito.
6. El Sistema registra Deposito (fecha, hora y código
de Cajero) e incrementa saldo de Cuenta de
Ahorro, luego imprime Recibo de Deposito
(numero de Cuenta de Ahorro, fecha, hora, código
de Cajero, valor de Deposito, nuevo saldo de la
Cuenta).
7. El CU ha finalizado.
Flujo Alternativo:
Número de Tarjeta no valida
1. El Sistema muestra mensaje de error respectivo.
Cantidad de Deposito no valida
1. El Sistema muestra mensaje de error respectivo.
Cancelar
1. El Usuario hace clic en “Cancelar”.
2. El Sistema elimina ventana de Registrar Depósito
de Dinero.
CAL/Solucion_Caso_Ctas_Bco
2.2.4.1. Diagrama de Secuencia
: Cajero : Ventana_Principal : Ventana_Registrar_DD :
Controlador_Registrar_DD
: Tarjeta : Cuenta_Ahorro : Operacion_Bancario
seleccionar "Registrar Deposito de Dinero"
ingresar datos de Deposito
cargar Ventana
hacer clic en "Registrar Deposito de Dinero"
Registrar Deposito de Dinero
buscar Tarjeta
validar numero Tarjeta
mostrar peticion de confrmacion de Deposito de Dinero
hacer clic en "Confirmar Deposito de Dinero"
confirmar Deposito de Dinero
registrar Operacion Bancaria
imprimir Operacion Bancaria
actualizar saldo de Cuenta de Ahorro
2.2.4.2. Diagrama de Colaboración
: Cajero
: Tarjeta
: Operacion_Bancario
: Ventana_Registrar_DD
8: mostrar peticion de confrmacion de Deposito de Dinero
:
Controlador_Registrar_DD
7: validar numero Tarjeta
13: imprimir Operacion Bancaria
: Cuenta_Ahorro
: Ventana_Principal
1: seleccionar "Registrar Deposito de Dinero"
3: ingresar datos de Deposito
4: hacer clic en "Registrar Deposito de Dinero"
9: hacer clic en "Confirmar Deposito de Dinero"
2: cargar Ventana
5: Registrar Deposito de Dinero
10: confirmar Deposito de Dinero
6: buscar Tarjeta
12: actualizar saldo de Cuenta de Ahorro
11: registrar Operacion Bancaria
CAL/Solucion_Caso_Ctas_Bco
2.2.4.3. Diagrama de Clases
2.2.5. CUS Registrar Extracción de Dinero
Actor(es): Cajero (llamado Usuario en la especificación).
Precondición: Usuario inicio sesión.
Poscondición: Saldo de Cuenta de Ahorro es decrementado.
Flujo Básico:
1. El CU comienza cuando el Usuario selecciona
“Registrar Extracción de Dinero”.
2. El Sistema muestra ventana de Registrar
Extracción de Dinero.
3. El Usuario ingresa datos de Extracción (cantidad
de Extracción, número de Tarjeta), luego hace clic
en “Registrar Extracción de Dinero”.
4. El Sistema valida numero de Tarjeta y cantidad de
Extracción, luego imprime Recibo de Extracción.
5. El CU ha finalizado.
Flujo Alternativo:
Número de Tarjeta no valida
1. El Sistema muestra mensaje de error respectivo.
Cantidad de Extracción no valida
1. El Sistema muestra mensaje de error respectivo.
Cancelar
1. El Usuario hace clic en “Cancelar”.
2. El Sistema elimina ventana de Registrar
CAL/Solucion_Caso_Ctas_Bco
Extracción de Dinero.
2.2.5.1. Diagrama de Secuencia
: Cajero : Tarjeta : Ventana_Registrar_ED :
Controlador_Registrar_ED
: Tarjeta : Cuenta_Ahorro : Operacion_Bancario
seleccionar "Registrar Extraccion de Dinero"
cargar Ventana
ingresar datos de Extracion de Dinero
hacer clic en "Registrar Extraccion de Dinero"
Registrar Extraccion de Dinero
buscar Tarjeta
verificar numero de Tarjeta
buscar Cuenta de Ahorro
verificar cantidad de Extracion de Dinero
registrar Operacion Bancaria
imprimir Operacion Bancaria
2.2.5.2. Diagrama de Colaboración
: Cajero
: Tarjeta
: Tarjeta : Cuenta_Ahorro
: Operacion_Bancario
: Ventana_Registrar_ED
:
Controlador_Registrar_ED
7: verificar numero de Tarjeta
9: verificar cantidad de Extracion de Dinero
11: imprimir Operacion Bancaria
1: seleccionar "Registrar Extraccion de Dinero"
3: ingresar datos de Extracion de Dinero
4: hacer clic en "Registrar Extraccion de Dinero"
6: buscar Tarjeta
8: buscar Cuenta de Ahorro
10: registrar Operacion Bancaria
5: Registrar Extraccion de Dinero
2: cargar Ventana
CAL/Solucion_Caso_Ctas_Bco
2.2.5.3. Diagrama de Clases
2.2.6. CUS Registrar Dinero en Caja
Actor(es): Jefe de Turno (llamado Usuario en la especificación).
Precondición: Usuario inicio sesión.
Poscondición: Dinero es registrado en Caja.
Flujo Básico:
1. El CU comienza cuando el Usuario selecciona
“Registrar Dinero en Caja”.
2. El Sistema muestra ventana de Registrar Dinero
en Caja.
3. El Usuario ingresa cantidad entregada y código de
Cajero, luego hace clic en “Registrar Dinero en
Caja”.
4. El Sistema valida datos ingresados, obtiene
nombre de Cajero, código de Usuario, fecha y
hora de entrega, después registra Dinero en Caja.
5. El CU ha finalizado.
Flujo Alternativo:
Datos ingresados no validos
1. El Sistema muestra mensaje de error respectivo.
Cancelar
1. El Usuario hace clic en “Cancelar”.
2. El Sistema elimina ventana de Registrar Dinero en
Caja.
CAL/Solucion_Caso_Ctas_Bco
2.2.6.1. Diagrama de Secuencia
: Jefe de Turno : Ventana_Principal : Ventana_Registrar_DC :
Controlador_Registrar_DC
: Caja: Cajero
seleccionar "Registrar Dinero en Caja"
cargar Ventana
ingresar cantidad de Dinero
ingresar codigo de Cajero
hacer clic en "Registrar Dinero en Caja"
registrar Dinero en Caja
buscar Cajero
verificar Cajero
registrar Dinero
2.2.6.2. Diagrama de Colaboración
: Jefe de Turno
: Ventana_Principal
: Controlador_Registrar_DC: Cajero
9: verificar Cajero
: Ventana_Registrar_DC
: Caja
1: seleccionar "Registrar Dinero en Caja"
3: ingresar cantidad de Dinero
4: ingresar codigo de Cajero
5: hacer clic en "Registrar Dinero en Caja"
2: cargar Ventana
6: registrar Dinero en Caja
7: buscar Cajero
8: registrar Dinero
CAL/Solucion_Caso_Ctas_Bco
2.2.6.3. Diagrama de Clases
2.2.7. CUS Verificar Dinero de Caja
Actor(es): Cajero (llamado Usuario en la especificación).
Precondición: Jefe de Turno registro Dinero en Caja y Usuario inicio
sesión.
Poscondición: Dinero de Caja esta verificado.
Flujo Básico:
1. El CU comienza cuando el Usuario selecciona
“Verificar Dinero de Caja”.
2. El Sistema muestra ventana de Verificar Dinero en
Caja con la cantidad registrada según código de
Usuario.
3. El Usuario verifica y hace clic en “Confirmar
Dinero de Caja”.
4. El Sistema carga opciones para Operaciones del
dia.
5. El CU ha finalizado.
Flujo Alternativo:
Cancelar
1. El Usuario hace clic en “Cancelar”.
2. El Sistema elimina ventana de Verificar Dinero de
Caja.
CAL/Solucion_Caso_Ctas_Bco
2.2.7.1. Diagrama de Secuencia
: Cajero : Ventana_Principal : Ventana_Verificar_DC : Controlador_Verificar_DC : Caja: Cajero
seleccionar "Verificar Dinero de Caja"
cargar Ventana
obtener Dinero de Caja
buscar Cajero
obtener Dinero de Caja
hacer clic en "Confirmar Dinero de Caja"
cargar opciones para Operaciones del dia
2.2.7.2. Diagrama de Colaboración
: Cajero : Ventana_Verificar_DC
: Controlador_Verificar_DC
: Caja
: Cajero
7: cargar opciones para Operaciones del dia
: Ventana_Principal
1: seleccionar "Verificar Dinero de Caja"
6: hacer clic en "Confirmar Dinero de Caja"
3: obtener Dinero de Caja
2: cargar Ventana
4: buscar Cajero
5: obtener Dinero de Caja
CAL/Solucion_Caso_Ctas_Bco
2.2.7.3. Diagrama de Clases
2.2.8. CUS Consultar Operaciones del día
Actor(es): Cajero (llamado Usuario en la especificación).
Precondición: Usuario inicio sesión.
Poscondición: Dinero de Caja esta verificado.
Flujo Básico:
1. El CU comienza cuando el Usuario selecciona
“Consultar Operaciones del dia”.
2. El Sistema muestra Reporte de Operaciones del
dia.
3. El CU ha finalizado.
2.2.8.1. Diagrama de Secuencia
: Cajero : Ventana_Principal : Ventana_Consultar_OB :
Controlador_Consultar_OB
: Operacion_Bancario
seleccionar "Consultar Operaciones del dia"
cargar Ventana
obtener Reporte de Operaciones Bancarias del dia
obtener Operaciones Bancarias
CAL/Solucion_Caso_Ctas_Bco
2.2.8.2. Diagrama de Colaboración
: Cajero
: Ventana_Principal
: Ventana_Consultar_OB
:
Controlador_Consultar_OB
: Operacion_Bancario
1: seleccionar "Consultar Operaciones del dia"
2: cargar Ventana
3: obtener Reporte de Operaciones Bancarias del dia
4: obtener Operaciones Bancarias
2.2.8.3. Diagrama de Clases
2.2.9. CUS Hacer cierre de Operaciones
Actor(es): Cajero (llamado Usuario en la especificación).
Precondición: Usuario inicio sesión.
Poscondición: Deshabilita opciones para Operaciones del dia.
Flujo Básico:
1. El CU comienza cuando el Usuario selecciona
“Hacer cierre de Operaciones”.
2. El Sistema emite Reporte de Cierre de Caja (Nro.
de Caja, fecha, hora, dinero inicial de Caja, lista de
extracciones, lista de depósitos, nombre y código
de Cajero) y deshabilita opciones para
Operaciones del dia.
3. El CU ha finalizado.
CAL/Solucion_Caso_Ctas_Bco
2.2.9.1. Diagrama de Secuencia
: Cajero : Ventana_Principal : Controlador_Hacer_CO : Cierre_Operaciones : Caja: Cajero : Operacion_Bancario
seleccionar "Hacer cierre de Operaciones"
hacer cierre de Operaciones
buscar Cajero
obtener Caja
obtener Operaciones del dia
registrar Cierre de Operaciones
emitir Cierre de Operaciones
deshabilitar opciones para Operaciones del dia
2.2.9.2. Diagrama de Colaboración
: Cajero : Ventana_Principal
: Cierre_Operaciones
: Caja : Cajero
: Operacion_Bancario
8: deshabilitar opciones para Operaciones del dia
: Controlador_Hacer_CO
7: emitir Cierre de Operaciones
1: seleccionar "Hacer cierre de Operaciones"
2: hacer cierre de Operaciones
6: registrar Cierre de Operaciones
3: buscar Cajero
5: obtener Operaciones del dia
4: obtener Caja
CAL/Solucion_Caso_Ctas_Bco
2.2.9.3. Diagrama de Clases
2.2.10. CUS Registrar Descuadre
Actor(es): Jefe de Turno (llamado Usuario en la especificación).
Precondición: Cajero hizo cierre de Operaciones y Usuario inicio
sesión.
Poscondición: Descuadre registrado.
Flujo Básico:
1. El CU comienza cuando el Usuario selecciona
“Registrar Descuadre”.
2. El Sistema muestra ventana de Registrar
Descuadre.
3. El Usuario ingresa datos de Documento de
Descuadre y hace clic en “”Registrar Descuadre”.
4. El Sistema valida datos y registra Descuadre.
5. El CU ha finalizado.
Flujo Alternativo:
Cancelar
1. El Usuario hace clic en “Cancelar”.
2. El Sistema elimina ventana de Registrar
Descuadre.
CAL/Solucion_Caso_Ctas_Bco
2.2.10.1. Diagrama de Secuencia
: Jefe de Turno : Ventana_Principal :
Ventana_Registrar_Descuadre
:
Controlador_Registrar_Descuadre
: Descuadre
seleccionar "Regsitrar Descuadre"
cargar Ventana
ingresar datos de Descuadre
hacer clic en "Registrar Descuadre"
registrar Descuadre
registrar Descuadre
2.2.10.2. Diagrama de Colaboración
: Jefe de Turno
: Ventana_Principal
: Ventana_Registrar_Descuadre
:
Controlador_Registrar_Descuadre
: Descuadre
1: seleccionar "Regsitrar Descuadre"
3: ingresar datos de Descuadre
4: hacer clic en "Registrar Descuadre"
2: cargar Ventana
5: registrar Descuadre
6: registrar Descuadre
2.2.10.3. Diagrama de Clases
CAL/Solucion_Caso_Ctas_Bco
2.2.11. CUS Generar Reporte
Actor(es): Cajero, Jefe de Turno, Gerente de Agencia (llamado
cada uno Usuario en la especificación).
Precondición: Usuario inicio sesión.
Poscondición: Reporte mostrado
Flujo Básico:
1. El CU comienza cuando el Usuario selecciona
“Generar Reporte”.
2. El Sistema muestra ventana de Generar Reporte.
3. El Usuario selecciona tipo de reporte y hace clic
en “Mostrar Reporte”.
4. El Sistema muestra Reporte.
5. El Usuario selecciona “Imprimir Reporte”.
6. El Sistema imprime reporte
7. El CU ha finalizado.
Flujo Alternativo:
Cancelar
1. El Usuario hace clic en “Cancelar”.
2. El Sistema elimina ventana de Generar Reporte.
2.2.11.1. Diagrama de Secuencia
: Usuario : Ventana_Principal : Ventana_Generar_Reporte :
Controlador_Generar_Reporte
: Cuenta_Ahorro
seleccionar "Generar Reporte"
cargar Ventana
selecciona tipo de Reporte
hace clic en "Mostrar Reporte"
mostrar Reporte
buscar informacion de Cuentas de Ahorro
hacer clic en "Imprimir Reporte"
imprimir Reporte
CAL/Solucion_Caso_Ctas_Bco
2.2.11.2. Diagrama de Colaboración
: Usuario
: Ventana_Principal
: Ventana_Generar_Reporte
:
Controlador_Generar_Reporte
: Cuenta_Ahorro
1: seleccionar "Generar Reporte"
3: selecciona tipo de Reporte
4: hace clic en "Mostrar Reporte"
7: hacer clic en "Imprimir Reporte"
2: cargar Ventana
5: mostrar Reporte
8: imprimir Reporte
6: buscar informacion de Cuentas de Ahorro
2.2.11.3. Diagrama de Clases
CAL/Solucion_Caso_Ctas_Bco
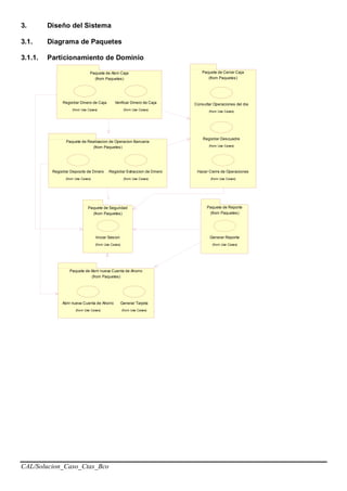
3. Diseño del Sistema
3.1. Diagrama de Paquetes
3.1.1. Particionamiento de Dominio
Paquete de Abrir nueva Cuenta de Ahorro
(from Paquetes)
Abrir nueva Cuenta de Ahorro
(from Use Cases)
Generar Tarjeta
(from Use Cases)
Paquete de Seguridad
(from Paquetes)
Iniciar Sesion
(from Use Cases)
Paquete de Realizacion de Operacion Bancaria
(from Paquetes)
Registrar Extraccion de Dinero
(from Use Cases)
Paquete de Reporte
(from Paquetes)
Generar Reporte
(from Use Cases)
Paquete de Abrir Caja
(from Paquetes)
Registrar Deposito de Dinero
(from Use Cases)
Registrar Dinero de Caja
(from Use Cases)
Verificar Dinero de Caja
(from Use Cases)
Paquete de Cerrar Caja
(from Paquetes)
Consultar Operaciones del dia
(from Use Cases)
Hacer Cierre de Operaciones
(from Use Cases)
Registrar Descuadre
(from Use Cases)
CAL/Solucion_Caso_Ctas_Bco
3.1.1.1. Paquete de Abrir Caja
3.1.1.2. Paquete de Abrir nueva Cuenta de Ahorro
CAL/Solucion_Caso_Ctas_Bco
3.1.1.3. Paquete de Cerrar Caja
3.1.1.4. Paquete de Realización de Operación Bancaria
3.1.1.5. Paquete de Reportes
CAL/Solucion_Caso_Ctas_Bco
3.1.1.6. Paquete de Seguridad
CAL/Solucion_Caso_Ctas_Bco
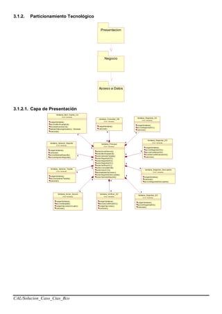
3.1.2. Particionamiento Tecnológico
Presentacion
Negocio
Acceso a Datos
3.1.2.1. Capa de Presentación
CAL/Solucion_Caso_Ctas_Bco
3.1.2.2. Capa de Negocio
3.1.2.3. Capa de Acceso de Datos
CAL/Solucion_Caso_Ctas_Bco
3.2. Diagrama de Componentes y Despliegue
3.3. Modelo de Datos
Basado en MySQL

Solucion propuesta-caso-cuentas-banco

  • 1.
    CAL/Solucion_Caso_Ctas_Bco Caso Cuentas deBanco 1. Modelado del Negocio 1.1. Diagrama de CUN Abrir Cuenta de Ahorro (from CU del Negocio) Extraer Dinero (from CU del Negocio) Cliente (f rom Actores del Negocio) Depositar Dinero (from CU del Negocio) Abrir Caja Chica (from CU del Negocio) Hacer cuadre de Caja Chica (from CU del Negocio) 1.2. Trabajadores del Negocio Especialista en apertura de Cuentas CajeroJefe de Turno 1.3. Entidades del Negocio Boleta de Inscripcion Tarjeta Recibo de Importe depositado Copia de Documento de Efectivo Original de Documento de Efectivo Dinero Documento de Descuadre
  • 2.
    CAL/Solucion_Caso_Ctas_Bco 1.4. Especificaciones delos CUN 1.4.1. CUN Abrir Cuenta de Ahorro Descripción: Permite abrir una Cuenta de Ahorro al Cliente y entregarle su tarjeta la cual le permitirá realizar cualquier operación. Flujo Básico: El Cliente solicita Boleta de Inscripción al Especialista en aperturas de Cuentas, este le entrega dicho documento para ser llenado, si la cuenta que se desea abrir no es individual, el cliente deberá llenar en la Boleta de Inscripción los datos del otro Cliente, después se le entrega el documento al Especialista y este lo verifica con los documentos(si la cuenta que se va abrir no es Individual) o el documento(si la cuenta que se va abrir es Individual), luego se genera la Tarjeta o Tarjetas(según el tipo de cuenta) y se la da al Cliente junto con un sobre con la contraseña o PIN. Flujo Alternativo: Si la verificación de la Boleta de Inscripción fue incorrecta se rechaza dicha Boleta y se le informa al Cliente. 1.4.2. CUN Depositar Dinero Descripción: Permite al Cliente depositar dinero y hacer que su Cuenta de Ahorro incremente. Flujo Básico: El Cliente se acerca a la ventanilla de cualquiera de los cajeros de la Agencia Bancaria, e indica la cantidad que desea depositar. El Cajero recibe el dinero, verifica la cantidad y le solicita al cliente que pase su Tarjeta por el dispositivo. Si la lectura es correcta, introduce los datos del depósito en el Sistema. Luego el Cajero confirma el depósito en el Sistema, después el Cajero entrega el recibo por el importe depositado que fue generado por Sistema. Flujo Alternativo: Si el dinero recibido no coincide con la cantidad descrita por el Cliente o si no es valido el dinero, este se rechaza. Si la lectura de la Tarjeta no fue correcta se rechaza la Tarjeta y el dinero.
  • 3.
    CAL/Solucion_Caso_Ctas_Bco 1.4.3. CUN ExtraerDinero Descripción: Permite al Cliente extraer una determinada cantidad de dinero de su cuenta. Flujo Básico: El cliente pasar su Tarjeta por el lector y digitar su PIN. El Cliente le indica al cajero la cantidad que desea retirar. El Cajero entonces registra la cantidad indicada en el Sistema, y si el saldo de la Cuenta es mayor o igual a dicho monto, acepta la operación y automáticamente actualiza el saldo de la Cuenta Bancaria y emite un Documento de entrega de efectivo en original(contiene el valor de la extracción) y copia. El original se le entrega al cliente junto con el efectivo, y el otro se le da a firmar como constancia de la entrega para luego archivarlo. Flujo Alternativo: Si el saldo del es inferior a la cantidad que se desea extraer, el sistema rechazará la operación, lo cual será informado al cliente por el cajero. 1.4.4. CUN Abrir Caja Chica Descripción: Permite cargar Caja Chica con dinero al inicio de cada día e inicializar el Sistema del Cajero. Flujo Básico: El Jefe de Turno del Banco registra cantidad de efectivo. Esa cantidad es entregada al Cajero, el abre el sistema al comienzo de su turno y se identifica con su nombre y contraseña. El sistema muestra la cantidad entregada para que el Cajero la confirme y el sistema abre todas las posibilidades disponibles para el Cajero. Flujo Alternativo: Si la cantidad no es correcta el Cajero cancela confirmación y el Sistema se cierra. 1.4.5. CUN Hacer cuadre de Caja Chica Descripción: Permite que el dinero que hay en caja y el de las operaciones del día coincida con la cantidad inicial de Caja. Flujo Básico: Al final del día el Cajero hace un cuadre del dinero en Caja, después solicita hacer el “Cierre de Operaciones”. Luego envía el dinero al Jefe de Turno. Flujo Alternativo: En caso de descuadre entre el saldo de la Caja por el Sistema y el efectivo del Cajero, el Cajero llena un Documento de descuadre que el Jefe de Turno introduce o ingresa al Sistema cuando reciba el efectivo del Cajero.
  • 4.
    CAL/Solucion_Caso_Ctas_Bco 1.5. Realización delos CUN 1.5.1. CUN Abrir Cuenta de Ahorro 1.5.1.1. Diagrama de Actividades Detallado Entregar Boleta de Inscripcion Recibir Boleta de Inscripcion llenada Verificar datos de Boleta de Inscripcion Rechazar Boleta de Inscripcion [ datos incorrectos ] Entregar PIN en sobre cerrado Abrir nueva Cuenta de Ahorro [ datos correctos ] Generar Tarjeta Entregar Tarjeta : Boleta de Inscripcion : Tarjeta Especialista en apertura de Cuentas 1.5.1.2. Diagrama de Objetos Boleta de Inscripcion (f rom Entidades del Negocio) Especialista en apertura de Cuentas (f rom Trabajadores del Negocio) entrega recibe verifica rechaza Tarjeta (f rom Entidades del Negocio) genera y entrega
  • 5.
    CAL/Solucion_Caso_Ctas_Bco 1.5.2. CUN DepositarDinero 1.5.2.1. Diagrama de Actividades Detallado Recibir Dinero Verificar Dinero Solicitar pase de Tarjeta por dispositivo electronico [ dinero correcto ] Rechazar Dinero [ dinero incorrecto ] Rechazar Tarjeta [ lectura incorrecta ] Confirmar Deposito de Dinero Entregar Recibo por importe depositado Introducir datos de Deposito [ lectura correcta ] : Dinero : Tarjeta : Recibo de Importe depositado Cajero 1.5.2.2. Diagrama de Objetos Tarjeta (f rom Entidades del Negocio) Cajero (f rom Trabajadores del Negocio) rechaza solicita Recibo de Importe depositado (f rom Entidades del Negocio) entrega
  • 6.
    CAL/Solucion_Caso_Ctas_Bco 1.5.3. CUN ExtraerDinero 1.5.3.1. Diagrama de Actividades Detallado Solicitar pase de Tarjeta por dispositivo electronico Solicitar digitacion de PIN Rechazar Tarjeta [ PIN incorrecto ] Registrar cantidad de Dinero ha extraer [ PIN correcto ] Informar al Cliente Emitir Copia y Original Documento de Efectivo Recibir Copia de Documento de Efectivo Archivar Copia de Documento de Efectivo Solicitar firma del Cliente en Copia de Documento de Efectivo Entregar Original de Documento de Efectivo : Tarjeta : Copia de Documento de Efectivo : Original de Documento de Efectivo [ cantidad no valida ] [ cantidad valida ] Cajero 1.5.3.2. Diagrama de Objetos Tarjeta (f rom Entidades del Negocio) Dinero (f rom Entidades del Negocio) Original de Documento de Efectivo (f rom Entidades del Negocio) contiene Copia de Documento de Efectivo (f rom Entidades del Negocio) Cajero (f rom Trabajadores del Negocio) rechaza solicita emite emite almacena
  • 7.
    CAL/Solucion_Caso_Ctas_Bco 1.5.4. CUN AbrirCaja Chica 1.5.4.1. Diagrama de Actividades Detallado Registrar Dinero : Dinero Recibir Dinero Abrir Sistema Verificar cantidad de Dinero recibido Cancelar Confimacion [ cantidad incorrecta ] Confirmar cantidad de Dinero recibida [ cantidad correcta ] CajeroJefe de Turno : Dinero 1.5.4.2. Diagrama de Objetos Jefe de Turno (f rom Trabajadores del Negocio) Dinero (f rom Entidades del Negocio) registra Cajero (f rom Trabajadores del Negocio) verifica recibe
  • 8.
    CAL/Solucion_Caso_Ctas_Bco 1.5.5. CUN Hacercuadre de Caja Chica 1.5.5.1. Diagrama de Actividades Detallado Verificar cuadre de Dinero Llenar Documento de Descuadre Enviar Documento de Descuadre Enviar Dinero de Caja Enviar Dinero de caja Solicitar Cierre de Operaciones : Documento de Descuadre Introducir Documento de Descuadre : Dinero [ verificacion correcta ] [ verificacion incorrecta ] Jefe de TurnoCajero 1.5.5.2. Diagrama de Objetos Documento de Descuadre (f rom Entidades del Negocio) Cajero (f rom Trabajadores del Negocio) llena y envia Dinero (f rom Entidades del Negocio) Jefe de Turno (f rom Trabajadores del Negocio) recibe recibeenvia
  • 9.
    CAL/Solucion_Caso_Ctas_Bco 2. Análisis delSistema 2.1. Diagrama de CUS Registrar Descuadre (from Use Cases) Generar Tarjeta (from Use Cases) Abrir nueva Cuenta de Ahorro (from Use Cases) Especialista en apertura de Cuentas (f rom Actors) Generar Reporte (from Use Cases) Gerente de Agencia (f rom Actors) Registrar Deposito de Dinero (from Use Cases) Registrar Extraccion de Dinero (from Use Cases) Verificar Dinero de Caja (from Use Cases) Consultar Operaciones del dia (from Use Cases) Hacer Cierre de Operaciones (from Use Cases) Cajero (f rom Actors) Iniciar Sesion (from Use Cases) Usuario (f rom Actors) Jefe de Turno (f rom Actors) Registrar Dinero de Caja (from Use Cases) 2.2. Especificaciones de los CUS 2.2.1. CUS Iniciar Sesión Actor(es): Especialista en apertura de Cuentas, Cajero, Jefe de Turno, Gerente de Agencia (llamado cada uno Usuario en la especificación). Precondición: No especifica. Poscondición: Sistema carga opciones según cargo de Usuario. Flujo Básico: 1. El CU comienza cuando el Usuario selecciona “Iniciar Sesión”. 2. El Sistema muestra ventana de Iniciar Sesión. 3. El Usuario ingresa su nombre y su contraseña, luego hace clic en “Aceptar”. 4. El Sistema verifica datos ingresados y carga opciones según cargo de Usuario. 5. El CU ha finalizado. Flujo Alternativo: Usuario no existe 1. El Sistema muestra mensaje de error respectivo. Contraseña incorrecta 1. El Sistema muestra mensaje de error respectivo. Cancelar 1. El Usuario hace clic en “Cancelar”. 2. El Sistema elimina ventana de Iniciar Sesión.
  • 10.
    CAL/Solucion_Caso_Ctas_Bco 2.2.1.1. Diagrama deSecuencia : Usuario : Ventana_Principal : Ventana_Iniciar_Sesion : Usuario: Controlador_Iniciar_Sesion seleccionar "Iniciar Sesion" cargar Ventana ingresar Nombre de Usuario ingresar Contraseña de Usuario hacer clic en "Aceptar" Iniciar Sesion buscar por Nombre de Usuario validar Usuario cargar Opcion segun cargo de Usuario 2.2.1.2. Diagrama de Colaboración : Usuario : Ventana_Principal : Ventana_Iniciar_Sesion : Usuario : Controlador_Iniciar_Sesion 8: validar Usuario 9: cargar Opcion segun cargo de Usuario 1: seleccionar "Iniciar Sesion" 3: ingresar Nombre de Usuario 4: ingresar Contraseña de Usuario 5: hacer clic en "Aceptar" 2: cargar Ventana 6: Iniciar Sesion 7: buscar por Nombre de Usuario
  • 11.
    CAL/Solucion_Caso_Ctas_Bco 2.2.1.3. Diagrama deClases 2.2.2. CUS Abrir nueva Cuenta de Ahorro Actor(es): Especialista en apertura de Cuentas (llamado Usuario en la especificación). Precondición: Usuario inicio sesión. Poscondición: Cuenta de Ahorro aperturada. Flujo Básico: 1. El CU comienza cuando el Usuario selecciona “Abrir nueva Cuenta de Ahorro”. 2. El Sistema muestra ventana de Abrir nueva Cuenta de Ahorro. 3. El Usuario ingresa los datos Boleta de Inscripción (Nro. de Identidad, nombre dirección, nombre del Beneficiario, dirección del Beneficiario, tipo de Cuenta de Ahorro) y numero de Agencia Bancaria, luego hace clic en “Abrir nueva Cuenta de Ahorro”. 4. El Sistema valida datos ingresados y asigna un numero a la cuenta el cual es mostrado el Usuario. 5. El CU ha finalizado. Flujo Alternativo: Datos ingresados no validos 1. El Sistema muestra mensaje de error respectivo. Cancelar 1. El Usuario hace clic en “Cancelar”. 2. El Sistema elimina ventana de Abrir nueva Cuenta de Ahorro.
  • 12.
    CAL/Solucion_Caso_Ctas_Bco 2.2.2.1. Diagrama deSecuencia : Especialista en apertura de Cuentas : Ventana_Principal : Ventana_Abrir_Nueva_CA : Controlador_Abrir_Nueva_CA : Usuario : Beneficiario : Cuenta_Ahorro seleccionar "Abrir nueva Cuenta de Ahorro" cargar Ventana ingresar datos de Boleta de Inscripcion ingresar Numero de Agencia Bancaria hacer clic en "Abrir nueva Cuenta de Ahorro" Abrir nueva Cuenta de Ahorro registrar Usuario registrar Beneficiario validar datos ingresados registrar Cuenta de Ahorro mostrar numero de Cuenta de Ahorro 2.2.2.2. Diagrama de Colaboración : Especialista en apertura de Cuentas : Controlador_Abrir_Nueva_CA : Usuario: Beneficiario : Cuenta_Ahorro : Ventana_Abrir_Nueva_CA 6: validar datos ingresados 11: mostrar numero de Cuenta de Ahorro : Ventana_Principal 1: seleccionar "Abrir nueva Cuenta de Ahorro" 3: ingresar datos de Boleta de Inscripcion 4: ingresar Numero de Agencia Bancaria 5: hacer clic en "Abrir nueva Cuenta de Ahorro" 2: cargar Ventana 7: Abrir nueva Cuenta de Ahorro 8: registrar Usuario 10: registrar Cuenta de Ahorro 9: registrar Beneficiario
  • 13.
    CAL/Solucion_Caso_Ctas_Bco 2.2.2.3. Diagrama deClases 2.2.3. CUS Generar Tarjeta Actor(es): Especialista en apertura de Cuentas (llamado Usuario en la especificación). Precondición: Usuario inicio sesión. Poscondición: Tarjeta Creada. Flujo Básico: 1. El CU comienza cuando el Usuario selecciona “Generar Tarjeta”. 2. El Sistema muestra ventana de Generar Tarjeta. 3. El Usuario ingresa número de Cuenta de Ahorro, luego hace clic en “Generar Tarjeta”. 4. El Sistema valida numero de Cuenta de Ahorro y genera Tarjeta. 5. El CU ha finalizado. Flujo Alternativo: Número de Cuenta de Ahorro no valida 1. El Sistema muestra mensaje de error respectivo. Cancelar 1. El Usuario hace clic en “Cancelar”. 2. El Sistema elimina ventana de Generar Tarjeta.
  • 14.
    CAL/Solucion_Caso_Ctas_Bco 2.2.3.1. Diagrama deSecuencia : Especialista en apertura de Cuentas : Ventana_Principal : Ventana_Generar_Tarjeta : Controlador_Generar_Tarjeta : Cuenta_Ahorro: Tarjeta seleccionar "Generar Tarjeta" cargar Ventana ingresar numero de Cuenta de Ahorro hacer clic en "Generar Tarjeta" generar Tarjeta buscar Cuenta de Ahorro verificar Cuenta de Ahorro registrar Tarjeta 2.2.3.2. Diagrama de Colaboración : Especialista en apertura de Cuentas : Ventana_Generar_Tarjeta : Controlador_Generar_Tarjeta: Cuenta_Ahorro 7: verificar Cuenta de Ahorro : Ventana_Principal : Tarjeta 1: seleccionar "Generar Tarjeta" 3: ingresar numero de Cuenta de Ahorro 4: hacer clic en "Generar Tarjeta" 5: generar Tarjeta 2: cargar Ventana 6: buscar Cuenta de Ahorro 8: registrar Tarjeta
  • 15.
    CAL/Solucion_Caso_Ctas_Bco 2.2.3.3. Diagrama deClases 2.2.4. CUS Registrar Deposito de Dinero Actor(es): Cajero (llamado Usuario en la especificación). Precondición: Usuario inicio sesión. Poscondición: Saldo de Cuenta de Ahorro es incrementado. Flujo Básico: 1. El CU comienza cuando el Usuario selecciona “Registrar Depósito de Dinero”. 2. El Sistema muestra ventana de Registrar Depósito de Dinero. 3. El Usuario ingresa datos de Deposito (cantidad de Deposito, numero de Tarjeta), luego hace clic en “Registrar Depósito de Dinero”. 4. El Sistema valida numero de Tarjeta y pide confirmación de Depósito. 5. El Usuario confirma Depósito. 6. El Sistema registra Deposito (fecha, hora y código de Cajero) e incrementa saldo de Cuenta de Ahorro, luego imprime Recibo de Deposito (numero de Cuenta de Ahorro, fecha, hora, código de Cajero, valor de Deposito, nuevo saldo de la Cuenta). 7. El CU ha finalizado. Flujo Alternativo: Número de Tarjeta no valida 1. El Sistema muestra mensaje de error respectivo. Cantidad de Deposito no valida 1. El Sistema muestra mensaje de error respectivo. Cancelar 1. El Usuario hace clic en “Cancelar”. 2. El Sistema elimina ventana de Registrar Depósito de Dinero.
  • 16.
    CAL/Solucion_Caso_Ctas_Bco 2.2.4.1. Diagrama deSecuencia : Cajero : Ventana_Principal : Ventana_Registrar_DD : Controlador_Registrar_DD : Tarjeta : Cuenta_Ahorro : Operacion_Bancario seleccionar "Registrar Deposito de Dinero" ingresar datos de Deposito cargar Ventana hacer clic en "Registrar Deposito de Dinero" Registrar Deposito de Dinero buscar Tarjeta validar numero Tarjeta mostrar peticion de confrmacion de Deposito de Dinero hacer clic en "Confirmar Deposito de Dinero" confirmar Deposito de Dinero registrar Operacion Bancaria imprimir Operacion Bancaria actualizar saldo de Cuenta de Ahorro 2.2.4.2. Diagrama de Colaboración : Cajero : Tarjeta : Operacion_Bancario : Ventana_Registrar_DD 8: mostrar peticion de confrmacion de Deposito de Dinero : Controlador_Registrar_DD 7: validar numero Tarjeta 13: imprimir Operacion Bancaria : Cuenta_Ahorro : Ventana_Principal 1: seleccionar "Registrar Deposito de Dinero" 3: ingresar datos de Deposito 4: hacer clic en "Registrar Deposito de Dinero" 9: hacer clic en "Confirmar Deposito de Dinero" 2: cargar Ventana 5: Registrar Deposito de Dinero 10: confirmar Deposito de Dinero 6: buscar Tarjeta 12: actualizar saldo de Cuenta de Ahorro 11: registrar Operacion Bancaria
  • 17.
    CAL/Solucion_Caso_Ctas_Bco 2.2.4.3. Diagrama deClases 2.2.5. CUS Registrar Extracción de Dinero Actor(es): Cajero (llamado Usuario en la especificación). Precondición: Usuario inicio sesión. Poscondición: Saldo de Cuenta de Ahorro es decrementado. Flujo Básico: 1. El CU comienza cuando el Usuario selecciona “Registrar Extracción de Dinero”. 2. El Sistema muestra ventana de Registrar Extracción de Dinero. 3. El Usuario ingresa datos de Extracción (cantidad de Extracción, número de Tarjeta), luego hace clic en “Registrar Extracción de Dinero”. 4. El Sistema valida numero de Tarjeta y cantidad de Extracción, luego imprime Recibo de Extracción. 5. El CU ha finalizado. Flujo Alternativo: Número de Tarjeta no valida 1. El Sistema muestra mensaje de error respectivo. Cantidad de Extracción no valida 1. El Sistema muestra mensaje de error respectivo. Cancelar 1. El Usuario hace clic en “Cancelar”. 2. El Sistema elimina ventana de Registrar
  • 18.
    CAL/Solucion_Caso_Ctas_Bco Extracción de Dinero. 2.2.5.1.Diagrama de Secuencia : Cajero : Tarjeta : Ventana_Registrar_ED : Controlador_Registrar_ED : Tarjeta : Cuenta_Ahorro : Operacion_Bancario seleccionar "Registrar Extraccion de Dinero" cargar Ventana ingresar datos de Extracion de Dinero hacer clic en "Registrar Extraccion de Dinero" Registrar Extraccion de Dinero buscar Tarjeta verificar numero de Tarjeta buscar Cuenta de Ahorro verificar cantidad de Extracion de Dinero registrar Operacion Bancaria imprimir Operacion Bancaria 2.2.5.2. Diagrama de Colaboración : Cajero : Tarjeta : Tarjeta : Cuenta_Ahorro : Operacion_Bancario : Ventana_Registrar_ED : Controlador_Registrar_ED 7: verificar numero de Tarjeta 9: verificar cantidad de Extracion de Dinero 11: imprimir Operacion Bancaria 1: seleccionar "Registrar Extraccion de Dinero" 3: ingresar datos de Extracion de Dinero 4: hacer clic en "Registrar Extraccion de Dinero" 6: buscar Tarjeta 8: buscar Cuenta de Ahorro 10: registrar Operacion Bancaria 5: Registrar Extraccion de Dinero 2: cargar Ventana
  • 19.
    CAL/Solucion_Caso_Ctas_Bco 2.2.5.3. Diagrama deClases 2.2.6. CUS Registrar Dinero en Caja Actor(es): Jefe de Turno (llamado Usuario en la especificación). Precondición: Usuario inicio sesión. Poscondición: Dinero es registrado en Caja. Flujo Básico: 1. El CU comienza cuando el Usuario selecciona “Registrar Dinero en Caja”. 2. El Sistema muestra ventana de Registrar Dinero en Caja. 3. El Usuario ingresa cantidad entregada y código de Cajero, luego hace clic en “Registrar Dinero en Caja”. 4. El Sistema valida datos ingresados, obtiene nombre de Cajero, código de Usuario, fecha y hora de entrega, después registra Dinero en Caja. 5. El CU ha finalizado. Flujo Alternativo: Datos ingresados no validos 1. El Sistema muestra mensaje de error respectivo. Cancelar 1. El Usuario hace clic en “Cancelar”. 2. El Sistema elimina ventana de Registrar Dinero en Caja.
  • 20.
    CAL/Solucion_Caso_Ctas_Bco 2.2.6.1. Diagrama deSecuencia : Jefe de Turno : Ventana_Principal : Ventana_Registrar_DC : Controlador_Registrar_DC : Caja: Cajero seleccionar "Registrar Dinero en Caja" cargar Ventana ingresar cantidad de Dinero ingresar codigo de Cajero hacer clic en "Registrar Dinero en Caja" registrar Dinero en Caja buscar Cajero verificar Cajero registrar Dinero 2.2.6.2. Diagrama de Colaboración : Jefe de Turno : Ventana_Principal : Controlador_Registrar_DC: Cajero 9: verificar Cajero : Ventana_Registrar_DC : Caja 1: seleccionar "Registrar Dinero en Caja" 3: ingresar cantidad de Dinero 4: ingresar codigo de Cajero 5: hacer clic en "Registrar Dinero en Caja" 2: cargar Ventana 6: registrar Dinero en Caja 7: buscar Cajero 8: registrar Dinero
  • 21.
    CAL/Solucion_Caso_Ctas_Bco 2.2.6.3. Diagrama deClases 2.2.7. CUS Verificar Dinero de Caja Actor(es): Cajero (llamado Usuario en la especificación). Precondición: Jefe de Turno registro Dinero en Caja y Usuario inicio sesión. Poscondición: Dinero de Caja esta verificado. Flujo Básico: 1. El CU comienza cuando el Usuario selecciona “Verificar Dinero de Caja”. 2. El Sistema muestra ventana de Verificar Dinero en Caja con la cantidad registrada según código de Usuario. 3. El Usuario verifica y hace clic en “Confirmar Dinero de Caja”. 4. El Sistema carga opciones para Operaciones del dia. 5. El CU ha finalizado. Flujo Alternativo: Cancelar 1. El Usuario hace clic en “Cancelar”. 2. El Sistema elimina ventana de Verificar Dinero de Caja.
  • 22.
    CAL/Solucion_Caso_Ctas_Bco 2.2.7.1. Diagrama deSecuencia : Cajero : Ventana_Principal : Ventana_Verificar_DC : Controlador_Verificar_DC : Caja: Cajero seleccionar "Verificar Dinero de Caja" cargar Ventana obtener Dinero de Caja buscar Cajero obtener Dinero de Caja hacer clic en "Confirmar Dinero de Caja" cargar opciones para Operaciones del dia 2.2.7.2. Diagrama de Colaboración : Cajero : Ventana_Verificar_DC : Controlador_Verificar_DC : Caja : Cajero 7: cargar opciones para Operaciones del dia : Ventana_Principal 1: seleccionar "Verificar Dinero de Caja" 6: hacer clic en "Confirmar Dinero de Caja" 3: obtener Dinero de Caja 2: cargar Ventana 4: buscar Cajero 5: obtener Dinero de Caja
  • 23.
    CAL/Solucion_Caso_Ctas_Bco 2.2.7.3. Diagrama deClases 2.2.8. CUS Consultar Operaciones del día Actor(es): Cajero (llamado Usuario en la especificación). Precondición: Usuario inicio sesión. Poscondición: Dinero de Caja esta verificado. Flujo Básico: 1. El CU comienza cuando el Usuario selecciona “Consultar Operaciones del dia”. 2. El Sistema muestra Reporte de Operaciones del dia. 3. El CU ha finalizado. 2.2.8.1. Diagrama de Secuencia : Cajero : Ventana_Principal : Ventana_Consultar_OB : Controlador_Consultar_OB : Operacion_Bancario seleccionar "Consultar Operaciones del dia" cargar Ventana obtener Reporte de Operaciones Bancarias del dia obtener Operaciones Bancarias
  • 24.
    CAL/Solucion_Caso_Ctas_Bco 2.2.8.2. Diagrama deColaboración : Cajero : Ventana_Principal : Ventana_Consultar_OB : Controlador_Consultar_OB : Operacion_Bancario 1: seleccionar "Consultar Operaciones del dia" 2: cargar Ventana 3: obtener Reporte de Operaciones Bancarias del dia 4: obtener Operaciones Bancarias 2.2.8.3. Diagrama de Clases 2.2.9. CUS Hacer cierre de Operaciones Actor(es): Cajero (llamado Usuario en la especificación). Precondición: Usuario inicio sesión. Poscondición: Deshabilita opciones para Operaciones del dia. Flujo Básico: 1. El CU comienza cuando el Usuario selecciona “Hacer cierre de Operaciones”. 2. El Sistema emite Reporte de Cierre de Caja (Nro. de Caja, fecha, hora, dinero inicial de Caja, lista de extracciones, lista de depósitos, nombre y código de Cajero) y deshabilita opciones para Operaciones del dia. 3. El CU ha finalizado.
  • 25.
    CAL/Solucion_Caso_Ctas_Bco 2.2.9.1. Diagrama deSecuencia : Cajero : Ventana_Principal : Controlador_Hacer_CO : Cierre_Operaciones : Caja: Cajero : Operacion_Bancario seleccionar "Hacer cierre de Operaciones" hacer cierre de Operaciones buscar Cajero obtener Caja obtener Operaciones del dia registrar Cierre de Operaciones emitir Cierre de Operaciones deshabilitar opciones para Operaciones del dia 2.2.9.2. Diagrama de Colaboración : Cajero : Ventana_Principal : Cierre_Operaciones : Caja : Cajero : Operacion_Bancario 8: deshabilitar opciones para Operaciones del dia : Controlador_Hacer_CO 7: emitir Cierre de Operaciones 1: seleccionar "Hacer cierre de Operaciones" 2: hacer cierre de Operaciones 6: registrar Cierre de Operaciones 3: buscar Cajero 5: obtener Operaciones del dia 4: obtener Caja
  • 26.
    CAL/Solucion_Caso_Ctas_Bco 2.2.9.3. Diagrama deClases 2.2.10. CUS Registrar Descuadre Actor(es): Jefe de Turno (llamado Usuario en la especificación). Precondición: Cajero hizo cierre de Operaciones y Usuario inicio sesión. Poscondición: Descuadre registrado. Flujo Básico: 1. El CU comienza cuando el Usuario selecciona “Registrar Descuadre”. 2. El Sistema muestra ventana de Registrar Descuadre. 3. El Usuario ingresa datos de Documento de Descuadre y hace clic en “”Registrar Descuadre”. 4. El Sistema valida datos y registra Descuadre. 5. El CU ha finalizado. Flujo Alternativo: Cancelar 1. El Usuario hace clic en “Cancelar”. 2. El Sistema elimina ventana de Registrar Descuadre.
  • 27.
    CAL/Solucion_Caso_Ctas_Bco 2.2.10.1. Diagrama deSecuencia : Jefe de Turno : Ventana_Principal : Ventana_Registrar_Descuadre : Controlador_Registrar_Descuadre : Descuadre seleccionar "Regsitrar Descuadre" cargar Ventana ingresar datos de Descuadre hacer clic en "Registrar Descuadre" registrar Descuadre registrar Descuadre 2.2.10.2. Diagrama de Colaboración : Jefe de Turno : Ventana_Principal : Ventana_Registrar_Descuadre : Controlador_Registrar_Descuadre : Descuadre 1: seleccionar "Regsitrar Descuadre" 3: ingresar datos de Descuadre 4: hacer clic en "Registrar Descuadre" 2: cargar Ventana 5: registrar Descuadre 6: registrar Descuadre 2.2.10.3. Diagrama de Clases
  • 28.
    CAL/Solucion_Caso_Ctas_Bco 2.2.11. CUS GenerarReporte Actor(es): Cajero, Jefe de Turno, Gerente de Agencia (llamado cada uno Usuario en la especificación). Precondición: Usuario inicio sesión. Poscondición: Reporte mostrado Flujo Básico: 1. El CU comienza cuando el Usuario selecciona “Generar Reporte”. 2. El Sistema muestra ventana de Generar Reporte. 3. El Usuario selecciona tipo de reporte y hace clic en “Mostrar Reporte”. 4. El Sistema muestra Reporte. 5. El Usuario selecciona “Imprimir Reporte”. 6. El Sistema imprime reporte 7. El CU ha finalizado. Flujo Alternativo: Cancelar 1. El Usuario hace clic en “Cancelar”. 2. El Sistema elimina ventana de Generar Reporte. 2.2.11.1. Diagrama de Secuencia : Usuario : Ventana_Principal : Ventana_Generar_Reporte : Controlador_Generar_Reporte : Cuenta_Ahorro seleccionar "Generar Reporte" cargar Ventana selecciona tipo de Reporte hace clic en "Mostrar Reporte" mostrar Reporte buscar informacion de Cuentas de Ahorro hacer clic en "Imprimir Reporte" imprimir Reporte
  • 29.
    CAL/Solucion_Caso_Ctas_Bco 2.2.11.2. Diagrama deColaboración : Usuario : Ventana_Principal : Ventana_Generar_Reporte : Controlador_Generar_Reporte : Cuenta_Ahorro 1: seleccionar "Generar Reporte" 3: selecciona tipo de Reporte 4: hace clic en "Mostrar Reporte" 7: hacer clic en "Imprimir Reporte" 2: cargar Ventana 5: mostrar Reporte 8: imprimir Reporte 6: buscar informacion de Cuentas de Ahorro 2.2.11.3. Diagrama de Clases
  • 30.
    CAL/Solucion_Caso_Ctas_Bco 3. Diseño delSistema 3.1. Diagrama de Paquetes 3.1.1. Particionamiento de Dominio Paquete de Abrir nueva Cuenta de Ahorro (from Paquetes) Abrir nueva Cuenta de Ahorro (from Use Cases) Generar Tarjeta (from Use Cases) Paquete de Seguridad (from Paquetes) Iniciar Sesion (from Use Cases) Paquete de Realizacion de Operacion Bancaria (from Paquetes) Registrar Extraccion de Dinero (from Use Cases) Paquete de Reporte (from Paquetes) Generar Reporte (from Use Cases) Paquete de Abrir Caja (from Paquetes) Registrar Deposito de Dinero (from Use Cases) Registrar Dinero de Caja (from Use Cases) Verificar Dinero de Caja (from Use Cases) Paquete de Cerrar Caja (from Paquetes) Consultar Operaciones del dia (from Use Cases) Hacer Cierre de Operaciones (from Use Cases) Registrar Descuadre (from Use Cases)
  • 31.
    CAL/Solucion_Caso_Ctas_Bco 3.1.1.1. Paquete deAbrir Caja 3.1.1.2. Paquete de Abrir nueva Cuenta de Ahorro
  • 32.
    CAL/Solucion_Caso_Ctas_Bco 3.1.1.3. Paquete deCerrar Caja 3.1.1.4. Paquete de Realización de Operación Bancaria 3.1.1.5. Paquete de Reportes
  • 33.
  • 34.
  • 35.
    CAL/Solucion_Caso_Ctas_Bco 3.1.2.2. Capa deNegocio 3.1.2.3. Capa de Acceso de Datos
  • 36.
    CAL/Solucion_Caso_Ctas_Bco 3.2. Diagrama deComponentes y Despliegue 3.3. Modelo de Datos Basado en MySQL