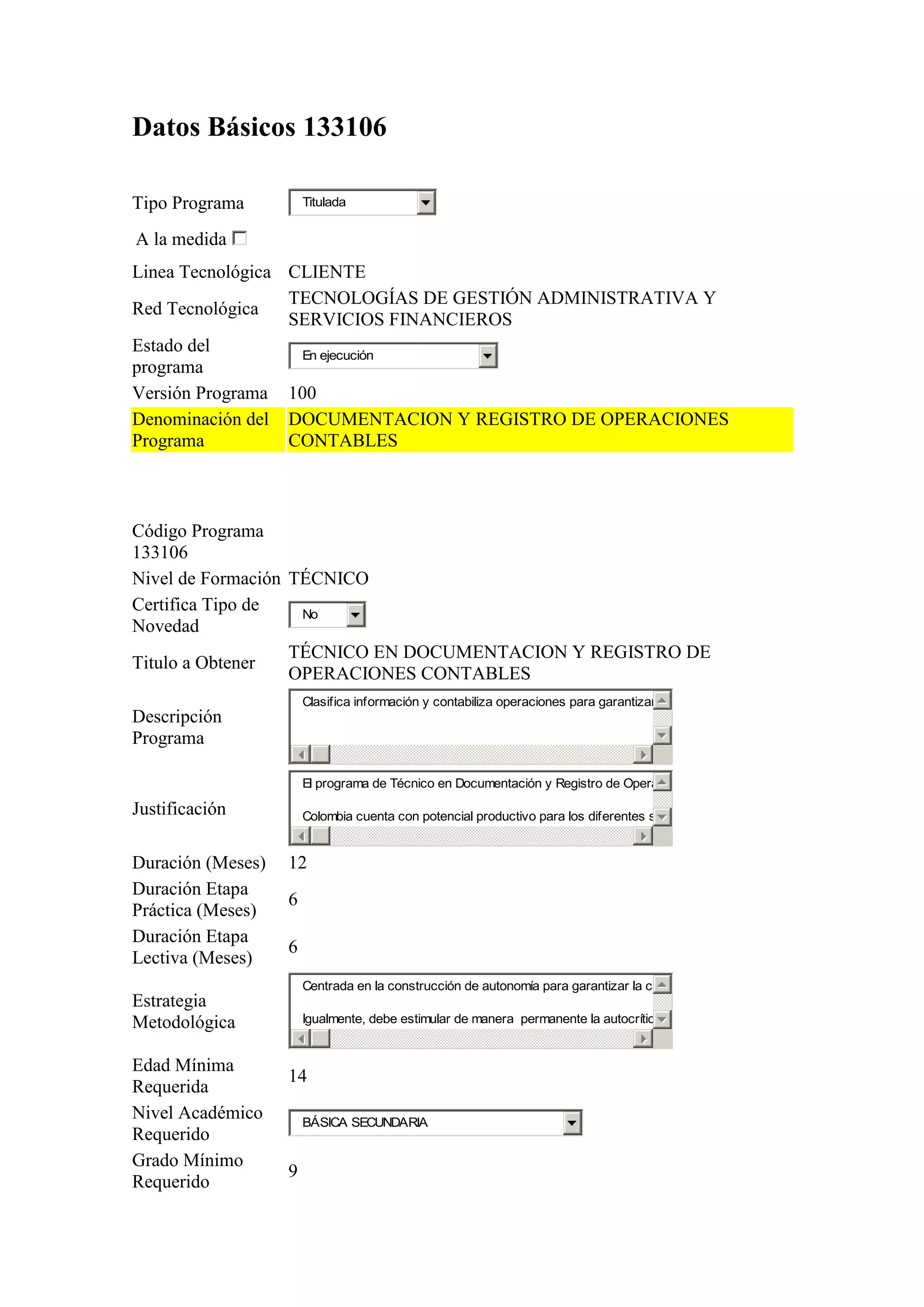
Principio del formulario<br />Datos Básicos 133106<br />Tipo Programa A la medida Linea Tecnológica CLIENTERed Tecnológica TECNOLOGÍAS DE GESTIÓN ADMINISTRATIVA Y SERVICIOS FINANCIEROSEstado del programa Versión Programa 100Denominación del ProgramaDOCUMENTACION Y REGISTRO DE OPERACIONES CONTABLESCódigo Programa 133106Nivel de Formación TÉCNICOCertifica Tipo de Novedad Titulo a Obtener TÉCNICO EN DOCUMENTACION Y REGISTRO DE OPERACIONES CONTABLESDescripción Programa JustificaciónDuración (Meses)12Duración Etapa Práctica (Meses)6Duración Etapa Lectiva (Meses)6Estrategia Metodológica Edad Mínima Requerida 14Nivel Académico Requerido Grado Mínimo Requerido 9Requisito Adicional Requisito Certificación Sector Programa PENDIENTE POR DEFINIR<br />Perfil Técnico del Instructor<br />Requisitos Académicos Experiencia laboral y/o especialización Competencias Mínimas <br />Ocupaciones<br />ÍndiceOcupaciónAUXILIAR, CUENTAS POR COBRARAUXILIARES CONTABLESAUXILIAR, COMPRAS E INVENTARIOSAUXILIARES DE COMPRAS E INVENTARIOSAUXILIAR, FACTURACIÓNAUXILIARES CONTABLESAUXILIAR, TESORERÍAAUXILIARES CONTABLESAUXILIAR, CUENTAS POR PAGARAUXILIARES CONTABLESAUXILIAR, CONTABILIDADAUXILIARES CONTABLESAUXILIAR, CONTABLEAUXILIARES CONTABLESTENEDOR DE LIBROSAUXILIARES CONTABLESFACTURADORAUXILIARES CONTABLESPágina 1 de 1<br />Consultar Competencias<br />Principio del formulario<br />Lista de Competencias del ProgramaNombre Competencia↑COMPRENDER TEXTOS EN INGLÉS EN FORMA ESCRITA Y AUDITIVACONTABILIZAR OPERACIONES DE ACUERDO CON LAS NORMAS VIGENTES Y LAS POLÍTICAS ORGANIZACIONALES.PROCESAR LA INFORMACIÓN DE ACUERDO CON LAS NECESIDADES DE LA ORGANIZACIÓNPROMOVER LA INTERACCIÓN IDÓNEA CONSIGO MISMO, CON LOS DEMÁS Y CON LA NATURALEZA EN LOS CONTEXTOS LABORAL Y SOCIALRESULTADOS DE APRENDIZAJE ETAPA PRACTICA<br />Consultar Competencias<br />Principio del formulario<br />Nombre de la Competencia:COMPRENDER TEXTOS EN INGLÉS EN FORMA ESCRITA Y AUDITIVAConocimiento ConceptoConocimiento ProcesoCriterio EvaluaciónPerfil Técnico del InstructorDuración Máxima (horas)180Bina TecnológicaPorcentaje L150Porcentaje L250Requiere Aprobado Certificación <br />Lista de Elementos de la Competencia<br />Inglés básico nivel a1Inglés básico nivel a2<br />Principio del formulario<br />Consultar Resultados de Aprendizaje<br />Resultados de Aprendizaje del Programa de Formación<br />NombreEtapaENCONTRAR INFORMACIÓN ESPECÍFICA Y PREDECIBLE EN ESCRITOS SENCILLOS Y COTIDIANOSLectivaCOMPRENDER FRASES Y VOCABULARIO HABITUAL SOBRE TEMAS DE INTERÉS PERSONAL Y TEMAS TÉCNICOSLectivaREALIZAR INTERCAMBIOS SOCIALES Y PRÁCTICOS MUY BREVES, CON UN VOCABULARIO SUFICIENTE PARA HACER UNA EXPOSICIÓN O MANTENER UNA CONVERSACIÓN SENCILLA SOBRE TEMAS TÉCNICOSLectivaLEER TEXTOS MUY BREVES Y SENCILLOS EN INGLÉS GENERAL Y TÉCNICOLectivaCOMUNICARSE EN TAREAS SENCILLAS Y HABITUALES QUE REQUIEREN UN INTERCAMBIO SIMPLE Y DIRECTO DE INFORMACIÓN COTIDIANA Y TÉCNICALectivaCOMPRENDER LA IDEA PRINCIPAL EN AVISOS Y MENSAJES BREVES, CLAROS Y SENCILLOS EN INGLÉS TÉCNICOLectivaENCONTRAR VOCABULARIO Y EXPRESIONES DE INGLÉS TÉCNICO EN ANUNCIOS, FOLLETOS, PÁGINAS WEB, ETCLectiva<br />Principio del formulario<br />Nombre de la Competencia:CONTABILIZAR OPERACIONES DE ACUERDO CON LAS NORMAS VIGENTES Y LAS POLÍTICAS ORGANIZACIONALES.Conocimiento ConceptoConocimiento ProcesoCriterio EvaluaciónDuración Máxima (horas)720Bina TecnológicaPorcentaje L150Porcentaje L250Requiere Aprobado Certificación <br />Lista de Elementos de la Competencia<br />Analizar las transacciones comerciales y los estados financieros de la empresa teniendo en cuenta los resultados obtenidos y las políticas organizacionales Elaborar los estados contables y financieros de acuerdo con los procedimientos organizacionales, normas y legislación vigentes. Registrar las operaciones del ejercicio en los documentos correspondientes de acuerdo con los procedimientos organizacionales, normas y legislación vigentes. <br />Principio del formulario<br />Consultar Resultados de Aprendizaje<br />Resultados de Aprendizaje del Programa de Formación<br />NombreEtapaAPLICAR AL CICLO CONTABLE, LOS PRINCIPIOS Y NORMAS DE CONTABILIDAD GENERALMENTE ACEPTADOS.LectivaIDENTIFICAR LA FUENTE LEGAL QUE REGULA LAS NORMAS BÁSICAS CONTABLES Y LOS PRINCIPIOS DE CONTABILIDAD GENERALMENTE ACEPTADOS EN COLOMBIA.LectivaLIQUIDAR LOS IMPUESTOS Y COSTOS DE VENTAS DE ACUERDO CON LA NORMATIVA Y LA POLÍTICA DE LA ORGANIZACIÓN.LectivaREGISTRAR MOVIMIENTOS DE KÁRDEX CON BASE EN EL MÉTODO DE REGISTRO ESTABLECIDO POR LA ORGANIZACIÓN.LectivaIDENTIFICAR LA FUENTE LEGAL QUE REGULA LA DETERMINACIÓN DE LOS IMPUESTOS NACIONALES Y LOCALES QUE AFECTAN LAS OPERACIONES COMERCIALES DE CONSUMO Y PRESTACIÓN DE SERVICIOS.LectivaDESARROLLAR PROCESOS CONTABLES DE FORMA MANUAL Y/O UTILIZANDO MEDIOS INFORMÁTICOS (PROGRAMAS DE CONTABILIDAD).LectivaCONTABILIZAR LAS DIFERENTES TRANSACCIONES GENERADAS EN EL DESARROLLO DEL OBJETO SOCIAL DE UNA EMPRESA COMERCIAL APLICANDO CON TRANSPARENCIA LAS NORMAS CONTABLES, COMERCIALES, TRIBUTARIAS Y LABORALES.LectivaCLASIFICAR Y CODIFICAR LAS CUENTAS SEGÚN SU NATURALEZA Y SU UTILIZACIÓN.Lectiva<br />Principio del formulario<br />Nombre de la Competencia:PROCESAR LA INFORMACIÓN DE ACUERDO CON LAS NECESIDADES DE LA ORGANIZACIÓNConocimiento ConceptoConocimiento ProcesoCriterio EvaluaciónDuración Máxima (horas)120Bina TecnológicaPorcentaje L150Porcentaje L250Requiere Aprobado Certificación <br />Lista de Elementos de la Competencia<br />Compilar la información empleando las fuentes disponibles, de acuerdo con las necesidades de la organización. Emitir resultados de acuerdo con el propósito planteado por la organización. Tabular la información empleando las herramientas disponibles. <br />Principio del formulario<br />Consultar Resultados de Aprendizaje<br />Resultados de Aprendizaje del Programa de Formación<br />NombreEtapaDESCRIBIR LAS CARACTERÍSTICAS DE LOS DOCUMENTOS COMERCIALES Y DE LOS TÍTULOS VALORES.LectivaCONSTITUIR UNA EMPRESA DE ACUERDO CON LA NORMATIVA LEGAL VIGENTE.LectivaDIFERENCIAR LAS ENTIDADES SEGÚN SU ORGANIZACIÓN, PRINCIPIOS CORPORATIVOS, ASPECTOS LEGALES ECONÓMICOS Y TIPO DE ACTIVIDAD.LectivaELABORAR Y CLASIFICAR LOS DOCUMENTOS QUE SE GENERAN EN EL PROCESO CONTABLE, APLICANDO CON TRANSPARENCIA NORMAS COMERCIALES, CONTABLES, TRIBUTARIAS Y LABORALESLectivaIDENTIFICAR LA FUENTE JURÍDICA QUE REGULA LA SUSCRIPCIÓN, EMISIÓN Y CIRCULACIÓN DE LOS TÍTULOS VALORES.Lectiva<br />Principio del formulario<br />Nombre de la Competencia:PROMOVER LA INTERACCIÓN IDÓNEA CONSIGO MISMO, CON LOS DEMÁS Y CON LA NATURALEZA EN LOS CONTEXTOS LABORAL Y SOCIALConocimiento ConceptoConocimiento ProcesoCriterio EvaluaciónPerfil Técnico del InstructorBina TecnológicaPorcentaje L170Porcentaje L230Requiere Aprobado Certificación <br />Lista de Elementos de la Competencia<br />Nombre Elemento↑Emprender un proceso de mejoramiento personal, de acuerdo con los requerimientos del mundo social y productivo. Mantener relaciones interpersonales asertivas y eficaces que posibiliten resolver conjuntamente problemas de carácter laboral y social. Practicar los principios y valores étnicos universales mínimos que posibilitan la convivencia. Reconocer al otro en su condición de ser humano y la responsabilidad social que ello implica, según el principio de dignidad humana. Reconocer el ambiente donde se desarrolla su vida y los componentes que lo integran en el marco de la interacción naturaleza-cultura. Reconocerse como ser humano teniendo en cuenta los deberes y derechos que ello implica. Resolver problemas de carácter ambiental con criterio de sostenibilidad. <br />Principio del formulario<br />Consultar Resultados de Aprendizaje<br />Resultados de Aprendizaje del Programa de Formación<br />NombreEtapaINTERACTUAR EN LOS CONTEXTOS PRODUCTIVOS Y SOCIALES EN FUNCIÓN DE LOS PRINCIPIOS Y VALORES UNIVERSALES.LectivaRECONOCER EL ROL DE LOS PARTICIPANTES EN EL PROCESO FORMATIVO, EL PAPEL DE LOS AMBIENTES DE APRENDIZAJE Y LA METODOLOGÍA DE FORMACIÓN, DE ACUERDO CON LA DINÁMICA ORGANIZACIONAL DEL SENALectivaCONCERTAR ALTERNATIVAS Y ACCIONES DE FORMACIÓN PARA EL DESARROLLO DE LAS COMPETENCIAS DEL PROGRAMA FORMACIÓN, CON BASE EN LA POLÍTICA INSTITUCIONAL.LectivaGENERAR PROCESOS AUTÓNOMOS Y DE TRABAJO COLABORATIVO PERMANENTES, FORTALECIENDO EL EQUILIBRIO DE LOS COMPONENTES RACIONALES Y EMOCIONALES ORIENTADOS HACIA EL DESARROLLO HUMANO INTEGRAL.LectivaASUMIR RESPONSABLEMENTE LOS CRITERIOS DE PRESERVACIÓN Y CONSERVACIÓN DEL MEDIO AMBIENTE Y DE DESARROLLO SOSTENIBLE, EN EL EJERCICIO DE SU DESEMPEÑO LABORAL Y SOCIAL.LectivaREDIMENSIONAR PERMANENTEMENTE SU PROYECTO DE VIDA DE ACUERDO CON LAS CIRCUNSTANCIAS DEL CONTEXTO Y CON VISIÓN PROSPECTIVA.LectivaGESTIONAR LA INFORMACIÓN DE ACUERDO CON LOS PROCEDIMIENTOS ESTABLECIDOS Y CON LAS TECNOLOGÍAS DE LA INFORMACIÓN Y LA COMUNICACIÓN DISPONIBLES.LectivaASUMIR LOS DEBERES Y DERECHOS CON BASE EN LAS LEYES Y LA NORMATIVA INSTITUCIONAL EN EL MARCO DE SU PROYECTO DE VIDA.LectivaDESARROLLAR PROCESOS COMUNICATIVOS EFICACES Y ASERTIVOS DENTRO DE CRITERIOS DE RACIONALIDAD QUE POSIBILITEN LA CONVIVENCIA, EL ESTABLECIMIENTO DE ACUERDOS, LA CONSTRUCCIÓN COLECTIVA DEL CONOCIMIENTO Y LA RESOLUCIÓN DE PROBLEMAS DE CARÁCTER PRODUCTIVO Y SOCIAL.LectivaASUMIR ACTITUDES CRÍTICAS , ARGUMENTATIVAS Y PROPOSITIVAS EN FUNCIÓN DE LA RESOLUCIÓN DE PROBLEMAS DE CARÁCTER PRODUCTIVO Y SOCIAL.Lectiva<br />Final del formulario<br />Principio del formulario<br />Consultar Resultados de Aprendizaje<br />Resultados de Aprendizaje del Programa de Formación<br />NombreEtapaDESARROLLAR PERMANENTEMENTE LAS HABILIDADES PSICOMOTRICES Y DE PENSAMIENTO EN LA EJECUCIÓN DE LOS PROCESOS DE APRENDIZAJE.LectivaAPLICAR TÉCNICAS DE CULTURA FÍSICA PARA EL MEJORAMIENTO DE SU EXPRESIÓN CORPORAL, DESEMPEÑO LABORAL SEGÚN LA NATURALEZA Y COMPLEJIDAD DEL ÁREA OCUPACIONAL.LectivaGENERAR HÁBITOS SALUDABLES EN SU ESTILO DE VIDA PARA GARANTIZAR LA PREVENCIÓN DE RIESGOS OCUPACIONALES DE ACUERDO CON EL DIAGNÓSTICO DE SU CONDICIÓN FÍSICA INDIVIDUAL Y LA NATURALEZA Y COMPLEJIDAD DE SU DESEMPEÑO LABORAL.LectivaIDENTIFICAR LAS OPORTUNIDADES QUE EL SENA OFRECE EN EL MARCO DE LA FORMACIÓN PROFESIONAL DE ACUERDO CON EL CONTEXTO NACIONAL E INTERNACIONAL.Lectiva<br />Final del formulario<br />Final del formulario<br />Resultados de Aprendizaje del Programa de Formación<br />NombreEtapaAPLICAR EN LA RESOLUCIÓN DE PROBLEMAS REALES DEL SECTOR PRODUCTIVO, LOS CONOCIMIENTOS, HABILIDADES Y DESTREZAS PERTINENTES A LAS COMPETENCIAS DEL PROGRAMA DE FORMACIÓN ASUMIENDO ESTRATEGIAS Y METODOLOGÍAS DE AUTOGESTIÓNPráctica<br />Final del formulario<br />Final del formulario<br />Final del formulario<br />Final del formulario<br />Final del formulario<br />Final del formulario<br />
Version 100
Version 100
Version 100
Version 100
Version 100
Version 100
Version 100
Version 100
Version 100
Version 100
Version 100

Version 100

  • 1.
    Principio del formulario<br/>Datos Básicos 133106<br />Tipo Programa A la medida Linea Tecnológica CLIENTERed Tecnológica TECNOLOGÍAS DE GESTIÓN ADMINISTRATIVA Y SERVICIOS FINANCIEROSEstado del programa Versión Programa 100Denominación del ProgramaDOCUMENTACION Y REGISTRO DE OPERACIONES CONTABLESCódigo Programa 133106Nivel de Formación TÉCNICOCertifica Tipo de Novedad Titulo a Obtener TÉCNICO EN DOCUMENTACION Y REGISTRO DE OPERACIONES CONTABLESDescripción Programa JustificaciónDuración (Meses)12Duración Etapa Práctica (Meses)6Duración Etapa Lectiva (Meses)6Estrategia Metodológica Edad Mínima Requerida 14Nivel Académico Requerido Grado Mínimo Requerido 9Requisito Adicional Requisito Certificación Sector Programa PENDIENTE POR DEFINIR<br />Perfil Técnico del Instructor<br />Requisitos Académicos Experiencia laboral y/o especialización Competencias Mínimas <br />Ocupaciones<br />ÍndiceOcupaciónAUXILIAR, CUENTAS POR COBRARAUXILIARES CONTABLESAUXILIAR, COMPRAS E INVENTARIOSAUXILIARES DE COMPRAS E INVENTARIOSAUXILIAR, FACTURACIÓNAUXILIARES CONTABLESAUXILIAR, TESORERÍAAUXILIARES CONTABLESAUXILIAR, CUENTAS POR PAGARAUXILIARES CONTABLESAUXILIAR, CONTABILIDADAUXILIARES CONTABLESAUXILIAR, CONTABLEAUXILIARES CONTABLESTENEDOR DE LIBROSAUXILIARES CONTABLESFACTURADORAUXILIARES CONTABLESPágina 1 de 1<br />Consultar Competencias<br />Principio del formulario<br />Lista de Competencias del ProgramaNombre Competencia↑COMPRENDER TEXTOS EN INGLÉS EN FORMA ESCRITA Y AUDITIVACONTABILIZAR OPERACIONES DE ACUERDO CON LAS NORMAS VIGENTES Y LAS POLÍTICAS ORGANIZACIONALES.PROCESAR LA INFORMACIÓN DE ACUERDO CON LAS NECESIDADES DE LA ORGANIZACIÓNPROMOVER LA INTERACCIÓN IDÓNEA CONSIGO MISMO, CON LOS DEMÁS Y CON LA NATURALEZA EN LOS CONTEXTOS LABORAL Y SOCIALRESULTADOS DE APRENDIZAJE ETAPA PRACTICA<br />Consultar Competencias<br />Principio del formulario<br />Nombre de la Competencia:COMPRENDER TEXTOS EN INGLÉS EN FORMA ESCRITA Y AUDITIVAConocimiento ConceptoConocimiento ProcesoCriterio EvaluaciónPerfil Técnico del InstructorDuración Máxima (horas)180Bina TecnológicaPorcentaje L150Porcentaje L250Requiere Aprobado Certificación <br />Lista de Elementos de la Competencia<br />Inglés básico nivel a1Inglés básico nivel a2<br />Principio del formulario<br />Consultar Resultados de Aprendizaje<br />Resultados de Aprendizaje del Programa de Formación<br />NombreEtapaENCONTRAR INFORMACIÓN ESPECÍFICA Y PREDECIBLE EN ESCRITOS SENCILLOS Y COTIDIANOSLectivaCOMPRENDER FRASES Y VOCABULARIO HABITUAL SOBRE TEMAS DE INTERÉS PERSONAL Y TEMAS TÉCNICOSLectivaREALIZAR INTERCAMBIOS SOCIALES Y PRÁCTICOS MUY BREVES, CON UN VOCABULARIO SUFICIENTE PARA HACER UNA EXPOSICIÓN O MANTENER UNA CONVERSACIÓN SENCILLA SOBRE TEMAS TÉCNICOSLectivaLEER TEXTOS MUY BREVES Y SENCILLOS EN INGLÉS GENERAL Y TÉCNICOLectivaCOMUNICARSE EN TAREAS SENCILLAS Y HABITUALES QUE REQUIEREN UN INTERCAMBIO SIMPLE Y DIRECTO DE INFORMACIÓN COTIDIANA Y TÉCNICALectivaCOMPRENDER LA IDEA PRINCIPAL EN AVISOS Y MENSAJES BREVES, CLAROS Y SENCILLOS EN INGLÉS TÉCNICOLectivaENCONTRAR VOCABULARIO Y EXPRESIONES DE INGLÉS TÉCNICO EN ANUNCIOS, FOLLETOS, PÁGINAS WEB, ETCLectiva<br />Principio del formulario<br />Nombre de la Competencia:CONTABILIZAR OPERACIONES DE ACUERDO CON LAS NORMAS VIGENTES Y LAS POLÍTICAS ORGANIZACIONALES.Conocimiento ConceptoConocimiento ProcesoCriterio EvaluaciónDuración Máxima (horas)720Bina TecnológicaPorcentaje L150Porcentaje L250Requiere Aprobado Certificación <br />Lista de Elementos de la Competencia<br />Analizar las transacciones comerciales y los estados financieros de la empresa teniendo en cuenta los resultados obtenidos y las políticas organizacionales Elaborar los estados contables y financieros de acuerdo con los procedimientos organizacionales, normas y legislación vigentes. Registrar las operaciones del ejercicio en los documentos correspondientes de acuerdo con los procedimientos organizacionales, normas y legislación vigentes. <br />Principio del formulario<br />Consultar Resultados de Aprendizaje<br />Resultados de Aprendizaje del Programa de Formación<br />NombreEtapaAPLICAR AL CICLO CONTABLE, LOS PRINCIPIOS Y NORMAS DE CONTABILIDAD GENERALMENTE ACEPTADOS.LectivaIDENTIFICAR LA FUENTE LEGAL QUE REGULA LAS NORMAS BÁSICAS CONTABLES Y LOS PRINCIPIOS DE CONTABILIDAD GENERALMENTE ACEPTADOS EN COLOMBIA.LectivaLIQUIDAR LOS IMPUESTOS Y COSTOS DE VENTAS DE ACUERDO CON LA NORMATIVA Y LA POLÍTICA DE LA ORGANIZACIÓN.LectivaREGISTRAR MOVIMIENTOS DE KÁRDEX CON BASE EN EL MÉTODO DE REGISTRO ESTABLECIDO POR LA ORGANIZACIÓN.LectivaIDENTIFICAR LA FUENTE LEGAL QUE REGULA LA DETERMINACIÓN DE LOS IMPUESTOS NACIONALES Y LOCALES QUE AFECTAN LAS OPERACIONES COMERCIALES DE CONSUMO Y PRESTACIÓN DE SERVICIOS.LectivaDESARROLLAR PROCESOS CONTABLES DE FORMA MANUAL Y/O UTILIZANDO MEDIOS INFORMÁTICOS (PROGRAMAS DE CONTABILIDAD).LectivaCONTABILIZAR LAS DIFERENTES TRANSACCIONES GENERADAS EN EL DESARROLLO DEL OBJETO SOCIAL DE UNA EMPRESA COMERCIAL APLICANDO CON TRANSPARENCIA LAS NORMAS CONTABLES, COMERCIALES, TRIBUTARIAS Y LABORALES.LectivaCLASIFICAR Y CODIFICAR LAS CUENTAS SEGÚN SU NATURALEZA Y SU UTILIZACIÓN.Lectiva<br />Principio del formulario<br />Nombre de la Competencia:PROCESAR LA INFORMACIÓN DE ACUERDO CON LAS NECESIDADES DE LA ORGANIZACIÓNConocimiento ConceptoConocimiento ProcesoCriterio EvaluaciónDuración Máxima (horas)120Bina TecnológicaPorcentaje L150Porcentaje L250Requiere Aprobado Certificación <br />Lista de Elementos de la Competencia<br />Compilar la información empleando las fuentes disponibles, de acuerdo con las necesidades de la organización. Emitir resultados de acuerdo con el propósito planteado por la organización. Tabular la información empleando las herramientas disponibles. <br />Principio del formulario<br />Consultar Resultados de Aprendizaje<br />Resultados de Aprendizaje del Programa de Formación<br />NombreEtapaDESCRIBIR LAS CARACTERÍSTICAS DE LOS DOCUMENTOS COMERCIALES Y DE LOS TÍTULOS VALORES.LectivaCONSTITUIR UNA EMPRESA DE ACUERDO CON LA NORMATIVA LEGAL VIGENTE.LectivaDIFERENCIAR LAS ENTIDADES SEGÚN SU ORGANIZACIÓN, PRINCIPIOS CORPORATIVOS, ASPECTOS LEGALES ECONÓMICOS Y TIPO DE ACTIVIDAD.LectivaELABORAR Y CLASIFICAR LOS DOCUMENTOS QUE SE GENERAN EN EL PROCESO CONTABLE, APLICANDO CON TRANSPARENCIA NORMAS COMERCIALES, CONTABLES, TRIBUTARIAS Y LABORALESLectivaIDENTIFICAR LA FUENTE JURÍDICA QUE REGULA LA SUSCRIPCIÓN, EMISIÓN Y CIRCULACIÓN DE LOS TÍTULOS VALORES.Lectiva<br />Principio del formulario<br />Nombre de la Competencia:PROMOVER LA INTERACCIÓN IDÓNEA CONSIGO MISMO, CON LOS DEMÁS Y CON LA NATURALEZA EN LOS CONTEXTOS LABORAL Y SOCIALConocimiento ConceptoConocimiento ProcesoCriterio EvaluaciónPerfil Técnico del InstructorBina TecnológicaPorcentaje L170Porcentaje L230Requiere Aprobado Certificación <br />Lista de Elementos de la Competencia<br />Nombre Elemento↑Emprender un proceso de mejoramiento personal, de acuerdo con los requerimientos del mundo social y productivo. Mantener relaciones interpersonales asertivas y eficaces que posibiliten resolver conjuntamente problemas de carácter laboral y social. Practicar los principios y valores étnicos universales mínimos que posibilitan la convivencia. Reconocer al otro en su condición de ser humano y la responsabilidad social que ello implica, según el principio de dignidad humana. Reconocer el ambiente donde se desarrolla su vida y los componentes que lo integran en el marco de la interacción naturaleza-cultura. Reconocerse como ser humano teniendo en cuenta los deberes y derechos que ello implica. Resolver problemas de carácter ambiental con criterio de sostenibilidad. <br />Principio del formulario<br />Consultar Resultados de Aprendizaje<br />Resultados de Aprendizaje del Programa de Formación<br />NombreEtapaINTERACTUAR EN LOS CONTEXTOS PRODUCTIVOS Y SOCIALES EN FUNCIÓN DE LOS PRINCIPIOS Y VALORES UNIVERSALES.LectivaRECONOCER EL ROL DE LOS PARTICIPANTES EN EL PROCESO FORMATIVO, EL PAPEL DE LOS AMBIENTES DE APRENDIZAJE Y LA METODOLOGÍA DE FORMACIÓN, DE ACUERDO CON LA DINÁMICA ORGANIZACIONAL DEL SENALectivaCONCERTAR ALTERNATIVAS Y ACCIONES DE FORMACIÓN PARA EL DESARROLLO DE LAS COMPETENCIAS DEL PROGRAMA FORMACIÓN, CON BASE EN LA POLÍTICA INSTITUCIONAL.LectivaGENERAR PROCESOS AUTÓNOMOS Y DE TRABAJO COLABORATIVO PERMANENTES, FORTALECIENDO EL EQUILIBRIO DE LOS COMPONENTES RACIONALES Y EMOCIONALES ORIENTADOS HACIA EL DESARROLLO HUMANO INTEGRAL.LectivaASUMIR RESPONSABLEMENTE LOS CRITERIOS DE PRESERVACIÓN Y CONSERVACIÓN DEL MEDIO AMBIENTE Y DE DESARROLLO SOSTENIBLE, EN EL EJERCICIO DE SU DESEMPEÑO LABORAL Y SOCIAL.LectivaREDIMENSIONAR PERMANENTEMENTE SU PROYECTO DE VIDA DE ACUERDO CON LAS CIRCUNSTANCIAS DEL CONTEXTO Y CON VISIÓN PROSPECTIVA.LectivaGESTIONAR LA INFORMACIÓN DE ACUERDO CON LOS PROCEDIMIENTOS ESTABLECIDOS Y CON LAS TECNOLOGÍAS DE LA INFORMACIÓN Y LA COMUNICACIÓN DISPONIBLES.LectivaASUMIR LOS DEBERES Y DERECHOS CON BASE EN LAS LEYES Y LA NORMATIVA INSTITUCIONAL EN EL MARCO DE SU PROYECTO DE VIDA.LectivaDESARROLLAR PROCESOS COMUNICATIVOS EFICACES Y ASERTIVOS DENTRO DE CRITERIOS DE RACIONALIDAD QUE POSIBILITEN LA CONVIVENCIA, EL ESTABLECIMIENTO DE ACUERDOS, LA CONSTRUCCIÓN COLECTIVA DEL CONOCIMIENTO Y LA RESOLUCIÓN DE PROBLEMAS DE CARÁCTER PRODUCTIVO Y SOCIAL.LectivaASUMIR ACTITUDES CRÍTICAS , ARGUMENTATIVAS Y PROPOSITIVAS EN FUNCIÓN DE LA RESOLUCIÓN DE PROBLEMAS DE CARÁCTER PRODUCTIVO Y SOCIAL.Lectiva<br />Final del formulario<br />Principio del formulario<br />Consultar Resultados de Aprendizaje<br />Resultados de Aprendizaje del Programa de Formación<br />NombreEtapaDESARROLLAR PERMANENTEMENTE LAS HABILIDADES PSICOMOTRICES Y DE PENSAMIENTO EN LA EJECUCIÓN DE LOS PROCESOS DE APRENDIZAJE.LectivaAPLICAR TÉCNICAS DE CULTURA FÍSICA PARA EL MEJORAMIENTO DE SU EXPRESIÓN CORPORAL, DESEMPEÑO LABORAL SEGÚN LA NATURALEZA Y COMPLEJIDAD DEL ÁREA OCUPACIONAL.LectivaGENERAR HÁBITOS SALUDABLES EN SU ESTILO DE VIDA PARA GARANTIZAR LA PREVENCIÓN DE RIESGOS OCUPACIONALES DE ACUERDO CON EL DIAGNÓSTICO DE SU CONDICIÓN FÍSICA INDIVIDUAL Y LA NATURALEZA Y COMPLEJIDAD DE SU DESEMPEÑO LABORAL.LectivaIDENTIFICAR LAS OPORTUNIDADES QUE EL SENA OFRECE EN EL MARCO DE LA FORMACIÓN PROFESIONAL DE ACUERDO CON EL CONTEXTO NACIONAL E INTERNACIONAL.Lectiva<br />Final del formulario<br />Final del formulario<br />Resultados de Aprendizaje del Programa de Formación<br />NombreEtapaAPLICAR EN LA RESOLUCIÓN DE PROBLEMAS REALES DEL SECTOR PRODUCTIVO, LOS CONOCIMIENTOS, HABILIDADES Y DESTREZAS PERTINENTES A LAS COMPETENCIAS DEL PROGRAMA DE FORMACIÓN ASUMIENDO ESTRATEGIAS Y METODOLOGÍAS DE AUTOGESTIÓNPráctica<br />Final del formulario<br />Final del formulario<br />Final del formulario<br />Final del formulario<br />Final del formulario<br />Final del formulario<br />