OSCILACIONES DE UN PENDULO FISICO Se trata de un cuerpo solido que gira alrededor de
un punto, interno o externo
Aqui hay que tomar en cuenta no solo la inercia
respecto al movimiento lineal, sino ademas la
inercia respecto al giro, cuantificada por el
Momento de Inercia
A - Punto fijo (alrededor del cual gira el cuerpo)
C - Centro de masas
a - Distancia del punto de giro al centro de masas
A' - Punto de balanceo
a' - Distancia del centro de masas al punto de balanceo
h - Altura a la que se eleva el centro de masas
Evaluaremos este movimiento usando la Ecuacion de Energia en coordenadas
generalizadas
centro de
masas de la
esfera
centro de
masas del
sistema hilo -
esfera
Alla por los tiempos remotos....
COMO TRABAJA UN RELOJ
MECANICO
https://www.youtube.com/watch?
v=9_QsCLYs2mY
¿Por qué usar un reloj mecánico?
Si va a trabajar en zonas donde actúan
campos electromagnéticos intensos, use
un reloj mecánico.... No dejará de
funcionar
Ejemplo:
Mecanismos automatizados de respuesta
ante un ataque EMP siguen usando relays
electromecánicos y .... cronómetros
mecánicos
Péndulos usados en USA circa 1920 para
establecer estandares de tiempo
Cerrado al
vacio
Pasamos a oscilaciones que no
dependan de factores externos.
Cristales de cuarzo sometidos a un
campo EM
Desventajas:
. Sus oscilaciones se mantienen en tanto el voltaje de la batería se
mantiene
. Sus circuitos son afectados por campos EM externos
Ejemplos
PENDULO DE BARRA
PENDULO DE TORSION
Una barra uniforme de masa m y logitud L se balancea alrededor de un
punto ubicado a una distancia x de su centro de masas C. Si el angulo
de balanceo es pequeño, hallar el período de oscilacion.
Sistema masa - resorte con rodillos
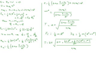
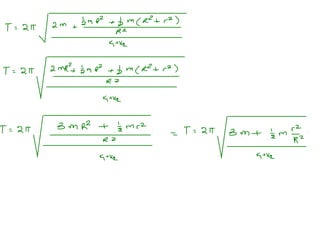
Momentos de inercia típicos Hallar el periodo de oscilacion del sistema mostrado
PENDULO EN UN SISTEMA NO INERCIAL DE REFERENCIA (ACELERADO)
Vista desde fuera del sistema acelerado Vista dentro del sistema acelerado

02 movimiento oscilatorio de un solido

  • 1.
    OSCILACIONES DE UNPENDULO FISICO Se trata de un cuerpo solido que gira alrededor de un punto, interno o externo Aqui hay que tomar en cuenta no solo la inercia respecto al movimiento lineal, sino ademas la inercia respecto al giro, cuantificada por el Momento de Inercia A - Punto fijo (alrededor del cual gira el cuerpo) C - Centro de masas a - Distancia del punto de giro al centro de masas A' - Punto de balanceo a' - Distancia del centro de masas al punto de balanceo h - Altura a la que se eleva el centro de masas Evaluaremos este movimiento usando la Ecuacion de Energia en coordenadas generalizadas
  • 4.
    centro de masas dela esfera centro de masas del sistema hilo - esfera
  • 5.
    Alla por lostiempos remotos.... COMO TRABAJA UN RELOJ MECANICO https://www.youtube.com/watch? v=9_QsCLYs2mY ¿Por qué usar un reloj mecánico? Si va a trabajar en zonas donde actúan campos electromagnéticos intensos, use un reloj mecánico.... No dejará de funcionar Ejemplo: Mecanismos automatizados de respuesta ante un ataque EMP siguen usando relays electromecánicos y .... cronómetros mecánicos
  • 6.
    Péndulos usados enUSA circa 1920 para establecer estandares de tiempo Cerrado al vacio Pasamos a oscilaciones que no dependan de factores externos. Cristales de cuarzo sometidos a un campo EM Desventajas: . Sus oscilaciones se mantienen en tanto el voltaje de la batería se mantiene . Sus circuitos son afectados por campos EM externos
  • 7.
  • 8.
    Una barra uniformede masa m y logitud L se balancea alrededor de un punto ubicado a una distancia x de su centro de masas C. Si el angulo de balanceo es pequeño, hallar el período de oscilacion.
  • 10.
    Sistema masa -resorte con rodillos
  • 11.
    Momentos de inerciatípicos Hallar el periodo de oscilacion del sistema mostrado
  • 14.
    PENDULO EN UNSISTEMA NO INERCIAL DE REFERENCIA (ACELERADO) Vista desde fuera del sistema acelerado Vista dentro del sistema acelerado