TORQUE O MOMENTO DE TORSION UNIDAD II SEMANA II
Se ha preguntado ¿Qué hace o como hace para aflojar un tornillo muy apretado ?  La respuesta  a esta inquietud viene a continuación. Si no puede aflojar un tornillo muy apretado con una llave de cruz , lo que usted hace por intuición es utilizar una llave con mango mas largo o poner un tubo sobre la llave existente para hacerla mas larga , con la finalidad de que sea mucho mas fácil de aflojar, Lo que esta haciendo es aplicar un tema esencial de este Capitulo “TORQUE O MOMENTO DE UNA FUERZA”
La fuerza  F  tiene mayor tendencia a la rotación alrededor de O cuando aumenta  F  y cuando aumenta el brazo de momento la componente  tiende hacer girar la llave alrededor de O  Considere la llave de tuercas que hace pívot en el eje que pasa por O (ver figura). La fuerza aplicada  F  actúa a un ángulo  Φ  con respecto a la horizontal. Definimos la magnitud del momento de torsión asociado con la fuerza  F  por la expresión:   Donde  r  es la distancia entre el punto del pívot  y el punto de aplicación de  F  y  d  es la distancia perpendicular  desde el punto de pívot a la línea de acción de  F
Entonces podemos decir que: El momento de fuerzas,   , es la tendencia de una fuerza a hacer rotar un objeto alrededor de algún eje  El momento de fuerzas es un vector Algebraicamente, Donde:  F es la Fuerza r es el brazo de aplicación ………… ( 1 )
La forma sencilla de calcular esta expresión algebraica es como sigue: 1.- Calcular el torque respecto al origen, producido por una fuerza  F  = (4 î  - 5 ĵ ) N, que se aplica a un objeto en la posición  r  = (2î + ĵ) m. Solución: Aplicando la definición de producto vectorial, se obtiene:
2.- Calcular el torque de una fuerza  aplicada al cuerpo de la Figura, cuando  F  es 6 N y hace un ángulo de 30 °  con el eje X y  r  mide 45 cm haciendo un ángulo de 50 ° con el eje positivo de las X.
Primer Método :  Aplicando la ecuación De la figura el ángulo entre  r  y  F  es 20 ° Este Método solo nos da la magnitud del torque. Para saber el sentido de la Rotación debemos aplicar la REGLA DE LA MANO DERECHA. En ese caso el torque es
Segundo Método :  Aplicando la ecuación Donde los valores de x e y son Similarmente descomponiendo la fuerza  F  en sus componentes rectangulares Por lo tanto El signo negativo indica rotación del cuerpo en el sentido horario
Es necesario tener en cuenta los signos para el cálculo del momento de una fuerza, tal como se muestra: OBSERVACIÓN:   “ F” no producirá rotación en la barra respecto al punto “0” ya que su línea de acción pasa por el punto (0). Entonces d = 0 y .
Un cuerpo se encuentra en equilibrio de rotación respecto a un punto, si la suma de momentos respecto a ese punto es cero. El caso más común de Equilibrio de Rotación es cuando un cuerpo no experimenta giros. Como la barra no gira; se puede aplicar la 2da. condición de equilibrio, tomando como centro de momento el punto 0 O sea que: Como   Entonces:
MOMENTO DE FUERZAS NETO Si dos o mas fuerzas actúan sobre un cuerpo rígido (ver figura) cada una tiende a producir rotación alrededor del eje en O. En este ejemplo F2 tiende a hacer rotar el cuerpo en el sentido de giro de las manecillas de un reloj, y F1 tiene a hacerlo rotar  en sentido contrario  Aquí observamos que F1 tiene un brazo de momento d1 , entonces el torque es positivo  + F1.d1 ya que F1 hace que tienda a girar en el sentido contrario alas manecillas del reloj, de manera análoga  - F2.d2. Por lo tanto el momento de torsión  neto alrededor del eje O es:
TEOREMA DE VARIGNON El momento respecto de un punto dado O de la resultante de varias fuerzas concurrentes es igual a la suma de los momentos de cada una de las fuerzas respecto al mismo punto O.  Esto es, si las fuerzas, F 1 , F 2 , F 3  Y F 4  ; se aplican en un punto P, como se indica en la figura siguiente, podemos concluir inmediatamente por la propiedad distributiva del producto vectorial respecto a la suma, que:
r x ( F 1 +F 2 +F 3  + F 4  + …) = r x F 1  + r x F 2  +….. X Y Z F 1 F 2 F 3 F 4 A O r
Es decir, el momento respecto a un punto dado O, de la resultante de varias fuerzas concurrentes, es igual a la suma de los momentos de las distintas fuerzas con respecto al mismo punto O.  Esta propiedad la descubrió el matemático francés Varignon (1654-1722), mucho antes de inventarse el álgebra vectorial, por lo  que se le conoce como en Teorema de Varignon. rxR  =  rx ( F 1 +  F 2 +  Fi  + ... +  Fn ) rxR  =  rxF 1 +  rxF 2 +  rxFi  + ... +  rxFn ) entonces M  =  M 1 +  M 2 +  Mi  + ... +  Mn
El resultado anterior permite sustituir la determinación directa del momento de una fuerza, por la determinación de los momentos de dos o más fuerzas componentes. Esto es particularmente útil en la descomposición de una fuerza en sus componentes rectangulares. Sin embargo, puede resultar más útil en algunos casos descomponer en componentes que no sean paralelas a los ejes coordenados.
3.-   Considerar 3 fuerzas aplicadas al punto A de la figura,  con  r = 1,5m   y  Usando O como punto de referencia, encontrar el torque resultante debido a estas fuerzas.  Sabemos que el torque es  donde
El valor de  r es Realizando el producto vectorial Si calculamos los torques producidos por cada una de las fuerzas entonces
IMPORTANTE: Un sistema de  fuerzas   concurrentes  puede reemplazarse por una sola fuerza (Resultante) que es equivalente en lo que respecta a efectos de traslación y rotación.
En primer lugar encontramos la resultante En seguida encontramos el torque de cada fuerza con respecto a  O Luego
El equilibrio es estable  si el cuerpo, siendo apartado de su posición de equilibrio, vuelve al puesto que antes tenía, por efecto de la gravedad.  En este caso el centro de gravedad está debajo del punto de suspensión.  Ejemplo: El péndulo, la plomada, una campana colgada. El equilibrio es inestable  si el cuerpo, siendo apartado de su posición de equilibrio, se aleja por efecto de la gravedad. En este caso el centro de gravedad está más arriba del punto o eje de suspensión.  Ejemplo: Un bastón sobre su punta.
El equilibrio es indiferente  si el cuerpo siendo movido, queda en equilibrio en cualquier posición. En este caso el centro de gravedad coincide con el punto de suspensión.  Ejemplo: Una rueda en su eje.
COMPOSICION DE FUERZA APLICADAS  A UN CUERPO RIGIDO En general, un sistema de fuerzas que actúan sobre un cuerpo rígido no  puede reducirse a una sola fuerza o resultante igual a la suma vectorial de las fuerzas.
CUPLA O PAR DE FUERZAS Se define como un sistema de dos fuerzas de igual magnitud pero de  direcciones opuestas que actúan a lo largo de líneas paralelas.
La resultante o vector suma de las dos fuerzas es indicando que la cupla no produce efecto de traslación   Por otro lado la suma vectorial de los torque, teniendo en cuenta   donde  b  es el brazo de palanca de la cupla   es dada por   la cupla produce efecto de rotación
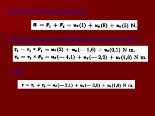
4.- Encontrar la fuerza resultante y el torque resultante del sistema mostrado en la figura donde y u x , u y  y u z  son los vectores unitarios en  X, Y,  y  Z  respectivamente y los puntos de aplicación son  A (0,4m; 0,5m; 0) y  B (0,4m; -0,5m; 0,8m)
COMPOSICIÓN DE FUERZAS PARALELAS Consideremos un sistema de fuerzas paralelas a un vector unitario  u . Luego  donde  F i  es positivo o negativo dependiendo de si la dirección de  F i   es la misma de  u  u opuesta a la de  u .  La suma vectorial es  Y por tanto también paralelo a u. La magnitud de la resultante es entonces La suma vectorial es
La cual es perpendicular a  u  y por lo tanto también es perpendicular a  R . Por este motivo, colocando  R  en la posición apropiada  r c , es posible igualar su torque a   ; esto es,  . Introduciendo las expresiones de  R  y     podemos escribir Esta ecuación se satisface si O sea,  r c  se denomina centro de fuerzas paralelas.
La ecuación vectorial se puede separar en sus tres componentes donde hemos designado por  x c ,  y c ,  z c  las coordenadas del punto definido por  r c .
5.- Hallar la resultante de las fuerzas que actúan en la barra de la Figura.
Considerando la dirección hacia arriba como positiva la resultante es  Para determinar su punto de aplicación utilizamos la ecuación  x c  . Se requiere solamente de la primera ya que todas las fuerzas son paralelas al eje Y. Tomando A como el origen, obtenemos
El punto considerado como origen puede ser cualquiera. Para mostrar esto tomemos el punto D como origen. Entonces Este punto es exactamente el mismo, ya que AD = 20 pulgadas.

Momento De Fuerza

  • 1.
    TORQUE O MOMENTODE TORSION UNIDAD II SEMANA II
  • 2.
    Se ha preguntado¿Qué hace o como hace para aflojar un tornillo muy apretado ? La respuesta a esta inquietud viene a continuación. Si no puede aflojar un tornillo muy apretado con una llave de cruz , lo que usted hace por intuición es utilizar una llave con mango mas largo o poner un tubo sobre la llave existente para hacerla mas larga , con la finalidad de que sea mucho mas fácil de aflojar, Lo que esta haciendo es aplicar un tema esencial de este Capitulo “TORQUE O MOMENTO DE UNA FUERZA”
  • 3.
    La fuerza F tiene mayor tendencia a la rotación alrededor de O cuando aumenta F y cuando aumenta el brazo de momento la componente tiende hacer girar la llave alrededor de O Considere la llave de tuercas que hace pívot en el eje que pasa por O (ver figura). La fuerza aplicada F actúa a un ángulo Φ con respecto a la horizontal. Definimos la magnitud del momento de torsión asociado con la fuerza F por la expresión: Donde r es la distancia entre el punto del pívot y el punto de aplicación de F y d es la distancia perpendicular desde el punto de pívot a la línea de acción de F
  • 4.
    Entonces podemos decirque: El momento de fuerzas,  , es la tendencia de una fuerza a hacer rotar un objeto alrededor de algún eje El momento de fuerzas es un vector Algebraicamente, Donde: F es la Fuerza r es el brazo de aplicación ………… ( 1 )
  • 5.
    La forma sencillade calcular esta expresión algebraica es como sigue: 1.- Calcular el torque respecto al origen, producido por una fuerza F = (4 î - 5 ĵ ) N, que se aplica a un objeto en la posición r = (2î + ĵ) m. Solución: Aplicando la definición de producto vectorial, se obtiene:
  • 6.
    2.- Calcular eltorque de una fuerza aplicada al cuerpo de la Figura, cuando F es 6 N y hace un ángulo de 30 ° con el eje X y r mide 45 cm haciendo un ángulo de 50 ° con el eje positivo de las X.
  • 7.
    Primer Método : Aplicando la ecuación De la figura el ángulo entre r y F es 20 ° Este Método solo nos da la magnitud del torque. Para saber el sentido de la Rotación debemos aplicar la REGLA DE LA MANO DERECHA. En ese caso el torque es
  • 8.
    Segundo Método : Aplicando la ecuación Donde los valores de x e y son Similarmente descomponiendo la fuerza F en sus componentes rectangulares Por lo tanto El signo negativo indica rotación del cuerpo en el sentido horario
  • 9.
    Es necesario teneren cuenta los signos para el cálculo del momento de una fuerza, tal como se muestra: OBSERVACIÓN: “ F” no producirá rotación en la barra respecto al punto “0” ya que su línea de acción pasa por el punto (0). Entonces d = 0 y .
  • 10.
    Un cuerpo seencuentra en equilibrio de rotación respecto a un punto, si la suma de momentos respecto a ese punto es cero. El caso más común de Equilibrio de Rotación es cuando un cuerpo no experimenta giros. Como la barra no gira; se puede aplicar la 2da. condición de equilibrio, tomando como centro de momento el punto 0 O sea que: Como Entonces:
  • 11.
    MOMENTO DE FUERZASNETO Si dos o mas fuerzas actúan sobre un cuerpo rígido (ver figura) cada una tiende a producir rotación alrededor del eje en O. En este ejemplo F2 tiende a hacer rotar el cuerpo en el sentido de giro de las manecillas de un reloj, y F1 tiene a hacerlo rotar en sentido contrario Aquí observamos que F1 tiene un brazo de momento d1 , entonces el torque es positivo + F1.d1 ya que F1 hace que tienda a girar en el sentido contrario alas manecillas del reloj, de manera análoga - F2.d2. Por lo tanto el momento de torsión neto alrededor del eje O es:
  • 12.
    TEOREMA DE VARIGNONEl momento respecto de un punto dado O de la resultante de varias fuerzas concurrentes es igual a la suma de los momentos de cada una de las fuerzas respecto al mismo punto O. Esto es, si las fuerzas, F 1 , F 2 , F 3 Y F 4 ; se aplican en un punto P, como se indica en la figura siguiente, podemos concluir inmediatamente por la propiedad distributiva del producto vectorial respecto a la suma, que:
  • 13.
    r x (F 1 +F 2 +F 3 + F 4 + …) = r x F 1 + r x F 2 +….. X Y Z F 1 F 2 F 3 F 4 A O r
  • 14.
    Es decir, elmomento respecto a un punto dado O, de la resultante de varias fuerzas concurrentes, es igual a la suma de los momentos de las distintas fuerzas con respecto al mismo punto O. Esta propiedad la descubrió el matemático francés Varignon (1654-1722), mucho antes de inventarse el álgebra vectorial, por lo que se le conoce como en Teorema de Varignon. rxR = rx ( F 1 + F 2 + Fi + ... + Fn ) rxR = rxF 1 + rxF 2 + rxFi + ... + rxFn ) entonces M = M 1 + M 2 + Mi + ... + Mn
  • 15.
    El resultado anteriorpermite sustituir la determinación directa del momento de una fuerza, por la determinación de los momentos de dos o más fuerzas componentes. Esto es particularmente útil en la descomposición de una fuerza en sus componentes rectangulares. Sin embargo, puede resultar más útil en algunos casos descomponer en componentes que no sean paralelas a los ejes coordenados.
  • 16.
    3.- Considerar 3 fuerzas aplicadas al punto A de la figura, con r = 1,5m y Usando O como punto de referencia, encontrar el torque resultante debido a estas fuerzas. Sabemos que el torque es donde
  • 17.
    El valor de r es Realizando el producto vectorial Si calculamos los torques producidos por cada una de las fuerzas entonces
  • 18.
    IMPORTANTE: Un sistemade fuerzas concurrentes puede reemplazarse por una sola fuerza (Resultante) que es equivalente en lo que respecta a efectos de traslación y rotación.
  • 19.
    En primer lugarencontramos la resultante En seguida encontramos el torque de cada fuerza con respecto a O Luego
  • 20.
    El equilibrio esestable si el cuerpo, siendo apartado de su posición de equilibrio, vuelve al puesto que antes tenía, por efecto de la gravedad. En este caso el centro de gravedad está debajo del punto de suspensión. Ejemplo: El péndulo, la plomada, una campana colgada. El equilibrio es inestable si el cuerpo, siendo apartado de su posición de equilibrio, se aleja por efecto de la gravedad. En este caso el centro de gravedad está más arriba del punto o eje de suspensión. Ejemplo: Un bastón sobre su punta.
  • 21.
    El equilibrio esindiferente si el cuerpo siendo movido, queda en equilibrio en cualquier posición. En este caso el centro de gravedad coincide con el punto de suspensión. Ejemplo: Una rueda en su eje.
  • 22.
    COMPOSICION DE FUERZAAPLICADAS A UN CUERPO RIGIDO En general, un sistema de fuerzas que actúan sobre un cuerpo rígido no puede reducirse a una sola fuerza o resultante igual a la suma vectorial de las fuerzas.
  • 23.
    CUPLA O PARDE FUERZAS Se define como un sistema de dos fuerzas de igual magnitud pero de direcciones opuestas que actúan a lo largo de líneas paralelas.
  • 24.
    La resultante ovector suma de las dos fuerzas es indicando que la cupla no produce efecto de traslación Por otro lado la suma vectorial de los torque, teniendo en cuenta donde b es el brazo de palanca de la cupla es dada por la cupla produce efecto de rotación
  • 25.
    4.- Encontrar lafuerza resultante y el torque resultante del sistema mostrado en la figura donde y u x , u y y u z son los vectores unitarios en X, Y, y Z respectivamente y los puntos de aplicación son A (0,4m; 0,5m; 0) y B (0,4m; -0,5m; 0,8m)
  • 26.
    COMPOSICIÓN DE FUERZASPARALELAS Consideremos un sistema de fuerzas paralelas a un vector unitario u . Luego donde F i es positivo o negativo dependiendo de si la dirección de F i es la misma de u u opuesta a la de u . La suma vectorial es Y por tanto también paralelo a u. La magnitud de la resultante es entonces La suma vectorial es
  • 27.
    La cual esperpendicular a u y por lo tanto también es perpendicular a R . Por este motivo, colocando R en la posición apropiada r c , es posible igualar su torque a  ; esto es, . Introduciendo las expresiones de R y  podemos escribir Esta ecuación se satisface si O sea, r c se denomina centro de fuerzas paralelas.
  • 28.
    La ecuación vectorialse puede separar en sus tres componentes donde hemos designado por x c , y c , z c las coordenadas del punto definido por r c .
  • 29.
    5.- Hallar laresultante de las fuerzas que actúan en la barra de la Figura.
  • 30.
    Considerando la direcciónhacia arriba como positiva la resultante es Para determinar su punto de aplicación utilizamos la ecuación x c . Se requiere solamente de la primera ya que todas las fuerzas son paralelas al eje Y. Tomando A como el origen, obtenemos
  • 31.
    El punto consideradocomo origen puede ser cualquiera. Para mostrar esto tomemos el punto D como origen. Entonces Este punto es exactamente el mismo, ya que AD = 20 pulgadas.